Biología cuántica
Salvador Miret Artés
Las preguntas de la vida son sus respuestas
A Martina y Carlota, maravillas de vida
En física básica, la fuerza resultante (o simplemente, resultante) sobre un cuerpo es la suma de todas las fuerzas que actúan sobre dicho cuerpo. A lo largo del tiempo, esa resultante va cambiando en intensidad, dirección y sentido. Yo me considero la resultante de muchas fuerzas que han actuado (y actuarán) sobre mi persona a lo largo de mi vida. Primero, mi familia original —mis padres y mi hermano—, y después, la familia que he formado con Virginia, Jessi y David, por su paciencia, comprensión y apoyo constantes; especialmente Bio. Segundo, mi familia ampliada y mis amigos. Tercero, mis colegas y colaboradores científicos, nacionales e internacionales, con los que he tenido y tengo una enorme fortuna de interaccionar y trabajar, enriqueciéndome no solo a nivel científico, sino humano también. Y, cuarto, los miembros, pasados y presentes, del Instituto de Física Fundamental (IFF) del Consejo Superior de Investigaciones Científicas (CSIC), al cual pertenezco, y del que actualmente soy director. Finalmente, quisiera agradecer al Consejo Editorial de la colección «¿Qué sabemos de?», por aceptar que este proyecto saliera a la luz.
Aparte de creencias religiosas y posiciones dogmáticas, todo el mundo estará de acuerdo conmigo en que la vida es un hecho singular y extraordinario por su extensa y rica diversidad, sus hechos sorprendentes e inesperados, admirable por su belleza, pero al mismo tiempo terrible, problemática, enigmática y misteriosa. De la observación directa, la pregunta más fácil que uno se puede plantear es la siguiente: ¿por qué la materia inanimada y animada, estando hechas ambas de átomos y moléculas, tienen comportamientos radicalmente diferentes? Pensemos en las estrellas, galaxias y planetas, o en las bacterias, los virus, los animales y las personas.
Otro hecho singular es la cara opuesta de la vida, la muerte. La transición de la vida a la muerte es, a día de hoy, un proceso irreversible y también enigmático, pues en la línea divisoria entre ambos estados, en ese tránsito que puede durar segundos o minutos, esos mismos átomos y moléculas que forman la materia viva pasan a comportarse de otra forma. Es como si tuvieran noción o fueran conscientes de su estado en cada momento. Esta pequeña reflexión me recuerda la película 21 gramos (2003), escrita por Guillermo Arriaga y dirigida por Alejando González Iñárritu. Está basada en el proceder curioso de un médico americano, D. MacDougall, que hacia principios del siglo pasado pesaba a sus pacientes antes y después de su muerte. La pérdida de peso del cuerpo en ese trance la atribuía, ingenuamente, al peso del alma que emprendía una nueva etapa o alcanzaba un nuevo estado.
A finales de los años veinte y principios de los treinta, un grupo de físicos empezó a ver que el campo de la biología podría ser un buen terreno a explorar dentro de la mecánica cuántica. Pensaban que los grandes enigmas de la vida podrían explicarse o entenderse mejor con la nueva física que estaba emergiendo con fuerza. N. Bohr, P. Jordan y M. Delbrück contribuyeron, inicialmente y motivados por el primero, a adoptar el principio de complementariedad (o dualidad onda-corpúsculo como aspectos complementarios de la realidad) como base para abordar las ciencias de la vida. Igual que se parte de los postulados de la mecánica cuántica para empezar a desarrollarla, la aceptación de la vida en la biología debería ser vista como un hecho fundamental y, por tanto, como un postulado. Mientras Bohr estaba interesado principalmente en los aspectos filosóficos, Jordan y Delbrück tomaron diferentes posturas y caminos. Parece ser que la primera vez que se habla de biología cuántica es en un artículo firmado por Jordan. Uno de sus proyectos fue crear un instituto de investigación sobre la raza y desarrolló una teoría para entender los procesos cuánticos en las células que desencadenarían eventos macroscópicos. El contexto político alemán no era el adecuado y esto, unido a su pensamiento político alineado con la ideología nazi, hizo que Jordan tuviera muchos detractores. El trabajo de Delbrück tomó un rumbo más científico (experimental), pues se centró en estudios sobre los virus bacteriófagos (virus que infectan solo a las bacterias), que le llevaron a compartir el Premio Nobel de Fisiología en 1969 con S. E. Luria y A. D. Hershey.
E. Schrödinger propuso en su libro What’s life?, publicado en 1944, una nueva forma de analizar la vida que tuvo una gran repercusión. Resumiendo, las tres ideas nuevas que aportó en este ensayo fueron:
- La vida sigue las leyes estadísticas de la termodinámica de tal forma que el promedio de un gran número de partículas (átomos, moléculas, etc.) es predecible según las leyes físicas, no el comportamiento individual de una de ellas; estableció así lo que se conoce como principio del orden desde el desorden.
- Introdujo el término neguentropía o entropía negativa de un ser vivo para dar cuenta de la entropía que transmite un sistema al medio para mantener baja su propia entropía, además de dejar claro que la vida es un proceso fuera del equilibrio (el equilibrio implicaría la muerte).
- Introdujo el concepto de un cristal aperiódico y su similitud a la información contenida en el código genético y viendo cómo la herencia se transmitía con alta fidelidad, le convencieron para establecer, en este contexto, el nuevo principio del orden desde el orden. Si hubiera que definir la vida muy resumidamente, se podría decir que esta es autoorganización y autorreplicación. El código básico de la vida debería tener la estructura de un cristal aperiódico.
La biología molecular se desarrolló enormemente después de su libro porque, poco después, en 1953, se descubrió el ADN, a partir de datos de difracción de rayos X recogidos por R. Franklin, y sus autores, F. H. C. Crick y J. D. Watson, le agradecieron su influencia en este campo. Este ensayo fue para muchos una provocación, pues los críticos sostenían que la mecánica cuántica no podía estar detrás de la vida. Esta posición se mantuvo durante mucho tiempo porque sostener lo que se conoce como coherencia cuántica en un organismo vivo, que es un medio caliente, húmedo y desordenado o turbulento, no parecía posible. Hoy, más que nunca, nos acordamos del libro de Schrödinger y su clarividencia; en 2019 se cumplen 75 años de su publicación.
En 2007, un grupo de investigadores de la Universidad de California, en Berkeley (EE UU), obtuvo la primera evidencia experimental de la coherencia cuántica en la fotosíntesis. En palabras más llanas, fue la primera confirmación experimental de que la mecánica cuántica podría estar detrás de procesos vitales como la propia fotosíntesis. Este descubrimiento marcó claramente el resurgimiento de la biología cuántica y numerosos grupos de investigación de todo el mundo desde entonces están llevando a cabo estudios acerca de la implicación de esta disciplina en los organismos vivos. A partir de 2011, en prestigiosas revistas científicas como Nature y Science empezamos a ver artículos que tratan sobre la biología cuántica.
La biología molecular y, más general, la biología cuántica, surge de la unión de la física, la química y la biología. El tema que trata es el de la propia vida. La vida es algo muy cercano a todos nosotros, pero el lenguaje que se requiere para su comprensión es cada vez más especializado como resultado de la continua investigación. Un estudio completo sobre la vida necesita de una auténtica investigación multidisciplinar con la consiguiente acumulación de conocimientos para, después, interpretarlos y comprenderlos en su conjunto, tarea harto difícil, ya que pueden aparecer —y aparecen— nuevas propiedades emergentes que no se pueden deducir de los compartimentos estancos que representan los diferentes campos del conocimiento. Como reza uno de los famosos títulos de la revista Science en un artículo del premio Nobel de física P. W. Anderson: «More is different».
Para una mejor comprensión de los temas que vamos a desarrollar, he dividido este libro en cuatro capítulos. En mi libro Mecánica cuántica (2015), de esta misma colección, intenté ofrecer una aproximación sencilla a esta disciplina que tantos éxitos sigue cosechando, no solo al nivel de la ciencia básica o fundamental, sino también de las aplicaciones tecnológicas. No hay ya ninguna duda de que las llamadas tecnologías cuánticas se impondrán en los próximos años. Hablaba en él del comportamiento del mundo microscópico o micromundo (partículas como electrones, protones, neutrones, átomos o moléculas) y lo denominaba etología cuántica como una extensión de la ciencia de la etología que estudia el comportamiento del hombre y de los animales. Este comportamiento es dual, antiintuitivo y, por tanto, paradójico (el lenguaje cotidiano es más un obstáculo que una ayuda para entender el mundo cuántico).
En el primer capítulo me quiero centrar únicamente en recordar al lector algunos de los conceptos básicos de la mecánica cuántica, deteniéndome con un poco más de detalle en lo que se conoce como efectos cuánticos no triviales. Algunos de estos son: el efecto túnel, la coherencia cuántica y los latidos cuánticos (quantum beats), el entrelazamiento o correlación cuántica, medida fuerte y decoherencia, el efecto Zenón y la resonancia estocástica. Cuando el proceso de decoherencia o pérdida de coherencia cuántica se impone, el mundo clásico emerge y la dualidad onda-corpúsculo y el mundo paradójico desaparecen. El propósito es doble, intentar que este libro sea lo más autosuficiente posible y equiparnos del bagaje mínimo indispensable para poder seguir sin dificultad los próximos capítulos. No obstante, para liberar al lector de la presión que pueda sentir al esforzarse en entender este mundo tan fascinante y sorprendente, me remito a lo que dijo el genial físico estadounidense R. P. Feynman: «I think I can safely say that nobody understands quantum mechanics [Creo que puedo decir con seguridad que nadie entiende la mecánica cuántica]».
En el segundo capítulo vamos a dar a conocer también, de manera muy sucinta, el lenguaje mínimo necesario para poder entender la biología molecular o la química cuántica de la vida, en particular, el enlace químico, la reacción química, los radicales libres y las biomoléculas tales como las proteínas, las enzimas y los lípidos o grasas. Al igual que en el capítulo anterior, quizás más, muchos tecnicismos tienen que introducirse porque a medida que nos adentramos en lo más pequeño, nuevos y necesarios conceptos van apareciendo para describir una realidad cada vez más compleja. Intentaré, en la medida de lo posible, ser claro y conciso. Pido disculpas al lector si se ve un poco perdido o incluso confuso. Como dije en mi anterior libro, la responsabilidad de hacerse entender es del que escribe o habla, principalmente.
En el tercer capítulo haremos especial hincapié en cómo la mecánica cuántica interviene en los procesos vitales. En particular, analizaremos algunos de ellos: la quiralidad, la genética y la epigenética, la fotosíntesis, la respiración, la magnetorrecepción o migración aviar y el olfato. El denominador común de estos procesos vitales, como dije anteriormente, es analizar cómo la coherencia cuántica puede mantenerse en un medio o entorno caliente, húmedo y turbulento como el que está presente en cualquier organismo vivo. Una de las conclusiones a la que llegaremos es que esos procesos vitales deben ocurrir a escalas de tiempo muy cortas, tiempos siempre más cortos que el tiempo en el que el proceso de decoherencia tiene lugar. Esta conclusión no deja de ser problemática porque este proceso se establece de una manera gradual, no instantánea. Otra conclusión es que, al entender mejor los mecanismos involucrados en los procesos vitales, podemos aprovecharnos de ellos y diseñar, por ejemplo, computadores cuánticos a imagen y semejanza de los organismos vivos, influir externamente en la vida a través de la prevención y curación de enfermedades mediante nuevas terapias cada vez más sofisticadas y, en general, mejorar nuestra calidad de vida a nivel energético, tecnológico, social e individual.
Parafraseando de nuevo a Feynman, «there’s plenty of room at the bottom», que en una traducción libre sería algo así como «queda aún mucho por descubrir en lo pequeño». Esta frase está sacada de una charla que dio en 1959 y que, en opinión de mucha gente, suministró los fundamentos intelectuales del campo de la nanotecnología o la ingeniería a la escala de átomos y moléculas. Más aún, parece ser que sirvió de inspiración a la maravillosa película Fantastic Voyage en la que un submarino y sus tripulantes se encogen o reducen al nivel molecular (nanoescala, del orden de 10−−9 metros) para poder entrar en el cuerpo humano y disolver un coágulo de sangre que se ha formado en el cerebro. Este submarino nos permite también llegar a «ver» los mecanismos que subyacen en los procesos vitales de los organismos vivos, valga la redundancia.
Sin lugar a dudas, toda la investigación básica llevada a cabo en la biología cuántica tendrá aplicaciones futuras directas en nuestra sociedad que conllevarán el cambio de muchos paradigmas. En una ocasión, Feynman manifestó que «everything that living organisms do can be understood in terms of the jiggling and wiggling of atoms», de nuevo, en una traducción libre, diríamos que «todo lo que los organismos vivos hacen se puede entender en términos de agitación y movimiento de átomos». La complejidad de la vida quizás haga muy difícil este objetivo.
Se podría decir que hay tres grandes interrogantes en la ciencia: el origen del universo, el origen de la vida y el origen de la mente/consciencia. Científicamente, se pueden explicar muchas cosas a día de hoy o, al menos, suministrar explicaciones muy plausibles sobre la evolución del universo, de la vida y de la consciencia. Pero las causas de estos tres hechos singulares quedan aún muy lejos de conocerse, si es que algún día se conocen. Es como si en el proceso evolutivo, que sugiere un proceso continuo, de repente hubiera habido tres saltos de una importancia capital. En el cuarto y último capítulo voy a intentar abordar este tema tan delicado pero apasionante, donde es muy fácil abonarse al campo de la especulación.
La pregunta que nos podemos hacer es, como plantea la teleología (campo de la metafísica que estudia los fines o propósitos de algún objeto o ser): ¿existe una causa final de las cosas?; en particular, la existencia de la vida ¿tiene una causa final o telos? Se habla de disteleología cuando la respuesta filosófica a esta pregunta es negativa. Para tal fin, y por limitación de espacio, me he propuesto intentar dar una visión muy resumida y, por tanto, simplificada y reduccionista de lo que la ciencia actual (bajo los dominios de la teoría de la relatividad, la mecánica cuántica, la biología, la genética, etc.) puede decir sobre la existencia del universo, del sistema solar, de la Tierra, de la vida y, finalmente, de la aparición de la mente. El objetivo final es motivar al lector a una reflexión, un poco más profunda de lo habitual, sobre la existencia de él mismo y de su entorno analizada desde tres componentes o dimensiones básicas: la escala macroscópica, que es nuestro medio natural de vida, y las escalas microscópica y cósmica, donde los límites de lo muy pequeño y muy grande, respectivamente, nos hacen ignorar y perder muchas veces una perspectiva complementaria y, por tanto, más completa y enriquecedora de nuestra propia existencia.
Prevengo al lector de que el propio enfoque del capítulo puede estar sesgado hacia mi posición existencial y experiencia profesional. No obstante, prometo que me mantendré lo más aséptico posible para que su reflexión no quede contaminada por mis propias posiciones vitales. Lo que sí quiero dejar claro es que en cualquier parte del camino que vamos a recorrer juntos, el lector está libre de apoyarse en sus creencias. Yo no voy a hacer ninguna mención al componente religioso o credo de los asuntos que trataremos aquí. Como he dicho muchas veces, ese componente religioso no puede ser ni negado ni afirmado por la ciencia, pues está en un plano radicalmente diferente, aparte de implicar una elección y una vivencia personal.
Finalmente, en el epílogo, mi objetivo es recoger una muestra de investigaciones recientes que están apareciendo en los artículos de la prensa escrita relacionados con los temas que trataremos aquí. Mi intención es poner de manifiesto lo importante que son la investigación y sus aplicaciones, y concienciarnos de que la mecánica cuántica tiene mucho que decir en otros campos como, de alguna manera, ya apuntaba Schrödinger en su libro. Muchos conceptos científicos del campo de la biología cuántica y otros se están popularizando porque la gente está ávida de este tipo de información.
Se dice que un libro debería hacer reflexionar, pensar, sobre el tema que desarrolla. Si al leer este libro he conseguido que el lector reflexione y busque más información y formación, me daré totalmente por satisfecho. Como he dicho anteriormente, la biología cuántica es un tema multidisciplinar. Cualquier profesional de la investigación en física, química o biología que quiera escribir un libro de divulgación sobre este tema se enfrenta a un reto muy grande, pues la especialización hoy en día en cualquier campo del conocimiento es muy alta. Soy por ello consciente de que la tarea que se me viene encima no es nada fácil. Dependiendo de la formación del autor, un libro de divulgación hace hincapié en los aspectos en los que este se siente más cómodo, mostrando un claro sesgo hacia su especialidad. Esto no lo he podido evitar y, por tanto, de antemano pido disculpas si no he conseguido mi objetivo inicial. Ni que decir tiene que la habilidad del autor en transmitir conceptos nuevos e ideas complejas y hacerlas llegar al lector de una forma entendible y digerida es un terreno ya ganado al éxito del proyecto, amén de saber transmitirle el entusiasmo del propio autor al plasmarlo. Lo adelanto, la conclusión final, quizás la más importante, es que queda un largo camino por andar, si no infinito.
Este libro pretende ser también un modestísimo homenaje personal a Schrödinger por su excelente y clarividente ensayo cuyas bodas de brillantes se celebran precisamente este año.
Con mis mejores deseos, recibe un cordial saludo.
Salvador Miret Artés
Capítulo 1
Etología cuántica. Algunos efectos no triviales en mecánica cuántica
§. Los cuantos
§. El principio de incertidumbre
§. El espín
§. La función de onda
§. El efecto túnel
§. Coherencia cuántica. Latidos cuánticos
§. La medida fuerte. Decoherencia
§. Entrelazamiento cuántico o correlación cuántica
§. Medida débil
§. Sistemas cuánticos abiertos. Epigenética cuántica
§. Resonancia estocástica
Antes de comenzar a desarrollar con un poco de detalle algunos de los llamados efectos no triviales de la mecánica cuántica, es conveniente recordar algunos conceptos básicos de esta disciplina.
§. Los cuantos
A finales de 1900, el físico alemán M. K. E. L. Planck propuso la hipótesis de los cuantos para poder describir y explicar la radiación emitida por un cuerpo negro en lo que se conoce como catástrofe ultravioleta. La hipótesis de Planck, radical y transgresora para su época, asumía que la energía viene empaquetada por unidades indivisibles o cuantos y, por tanto, es una magnitud discontinua o discreta. La experiencia diaria nos dice que el peso de cualquier sustancia es una magnitud que varía de forma continua, es decir, añadiendo o quitando cantidad de esa sustancia se puede hacer que el peso sea tan grande o pequeño como queramos.
La energía cinética de un coche (debido a su velocidad) puede incrementarse continuamente acelerando hasta alcanzar la velocidad que queramos. La energía potencial del agua de un pantano se puede aumentar a voluntad (continuamente) incrementando la altura del pantano sobre el nivel del mar. Esto deja de ser cierto si, por ejemplo, queremos pesar una sustancia que se suministra por unidades o paquetes indivisibles (ladrillos, botellas de agua, lentejas, etc.). Al añadir una unidad más, el peso no varía de una forma continua, sino que experimenta un incremento o salto igual a lo que pesa una unidad o paquete. De otra forma, si la moneda más pequeña que dispusiéramos fuera la de un euro, la cantidad de dinero que recibiríamos o daríamos solo puede aumentar o disminuir en unidades de euro. Se suele decir entonces que el peso y la cantidad de dinero varían de una forma discontinua o discreta. Al valor de esa unidad mínima se le llama cuanto.
Durante 1905, A. Einstein solo pudo explicar el famoso efecto fotoeléctrico utilizando los cuantos de Planck. Al cuanto de luz lo denominó fotón. La interpretación de este efecto revolucionó enormemente la física clásica porque iba en contra de la teoría ondulatoria de la luz, ampliamente aceptada en aquella época. La acogida y aprobación de esta propuesta por la comunidad científica se hizo esperar algún tiempo. Las ideas geniales o rompedoras, en cualquier campo del conocimiento, necesitan un periodo para ser digeridas y definitivamente aceptadas por sus respectivas comunidades. Como se sabe, el efecto fotoeléctrico se usa para abrir y cerrar puertas, generar la corriente eléctrica a partir de la radiación solar y, en general, en todo tipo de dispositivos como sensores y detectores donde una señal eléctrica se genera a partir de la luz.
La atmósfera científica tan positiva y fecunda de comienzos del siglo XX hizo que las nuevas observaciones condujeran a revolucionarias y profundas ideas sobre el mundo microscópico que cambiaron definitivamente la forma de ver la naturaleza. Fue Bohr quien desarrolló la primera teoría de la estructura atómica proponiendo que la materia emite o absorbe energía mediante fotones, es decir, de forma discontinua. Por tanto, el átomo también debería estar estructurado de acuerdo a estados de energías discretos. Así, al absorber o emitir luz, un átomo cambia de estado o de nivel de energía y tiene lugar lo que se denomina transición o salto cuántico. Lo mismo ocurre con las moléculas. Estas transiciones dan la base para entender la espectroscopia. Estableció también el llamado principio de correspondencia entre la teoría clásica y la cuántica, de tal forma que la segunda tiene como límite a la primera. Para masas cada vez más grandes de las partículas, nos acercamos más a la teoría clásica.
Hacia los años veinte del siglo pasado, Schrödinger, L. de Broglie y W. K. Heisenberg revolucionaron de nuevo la física. De Broglie estableció que la naturaleza, a escala microscópica, se comporta de una forma dual, llegando a hablar de dualismo onda-partícula (o corpúsculo). Un ente microscópico es a la vez onda y partícula introduciendo, por primera vez, el concepto de ondas de materia. Una partícula es un objeto pequeño de tamaño finito. La onda puede ser tan extensa como queramos. Este dualismo paradójico (extenso-no extenso, finito-infinito) puede verse como el oxímoron de la teoría cuántica, desarrollado en mi libro anterior. Solo recordar al lector que un oxímoron es una figura retórica que se utiliza con frecuencia en los textos escritos para resaltar una idea mediante palabras opuestas. Ejemplos de oxímoron son: la soledad sonora, un hielo abrasador, la docta ignorancia, etc. En la vida cotidiana también podemos pensar que algunos objetos son duales. Si tenemos un lápiz y lo miramos de frente veremos un punto gordo y si lo miramos desde un lateral, veremos un segmento recto. Si el lápiz es infinito, el segmento recto será infinito pero la visión frontal seguirá siendo un punto. En términos más técnicos, Bohr enunció el principio de complementariedad que nos dice que ambas descripciones, la corpuscular y la ondulatoria, son necesarias para comprender el mundo cuántico. Afortunadamente, los entes microscópicos se comportan de forma dual y no múltiple.
Sobre esta base, Schrödinger estableció un poco más tarde la mecánica ondulatoria a través de su famosa ecuación y Heisenberg propuso una teoría alternativa llamada mecánica matricial que fue perfeccionada por Bohr, Jordan y P. A. M. Dirac. Ellos obtuvieron los mismos resultados que Schrödinger y se demostró que ambas formulaciones eran equivalentes desde el punto de vista matemático. La teoría cuántica está basada en razonamientos matemáticos tan abstractos que, como dijo H. R. Hertz a propósito de las leyes de J. C. Mawxell, y que también se podría aplicar aquí para la ecuación de Schrödinger, «[…] estas fórmulas matemáticas tienen una existencia independiente y una inteligencia propia, saben más que nosotros, incluso más que los que la han descubierto, y deducimos más de ellas que lo que las dio origen». En efecto, no por conocer esta ecuación que rige la mecánica cuántica no relativista se puede afirmar que conozcamos perfectamente el mundo microscópico. De hecho, a lo largo de todos estos años, el importante, espectacular y fructuoso progreso de la teoría cuántica, impredecible inicialmente, ha venido marcado fundamentalmente por el desarrollo y la aplicación de esta ecuación a las observaciones experimentales del mundo microscópico. Dirac quizás se excedió cuando dijo: «Las leyes físicas fundamentales necesarias para la teoría matemática de una gran parte de la física y de la totalidad de la química se conocen por completo, y la única dificultad reside en que la aplicación exacta de esas leyes lleva a ecuaciones demasiado complicadas para resolver…».
§. El principio de incertidumbre
Heisenberg estableció el principio de incertidumbre (o de indeterminación) que viene a decirnos que es imposible conocer al mismo tiempo y con precisión absoluta (error o incertidumbre cero) la posición y velocidad de una partícula microscópica. En otras palabras, cuanto menor es la incertidumbre de la velocidad, es decir, cuanto mejor queramos conocer la velocidad, mayor debe ser la incertidumbre o el error en la posición de la partícula. Esto contrasta drásticamente con lo que ocurre en el mundo macroscópico (o clásico), pues si queremos localizar un coche en movimiento, lo podemos hacer con un error extremadamente pequeño; en principio, y teóricamente, tan pequeño como queramos gracias, por ejemplo, al GPS. Así, el anhelado determinismo laplaciano de la teoría clásica quedaba definitivamente enterrado.
Las variables relacionadas por el principio de incertidumbre se denominan conjugadas o complementarias, como la velocidad y la posición, la energía y el tiempo, etc. Aún más, cuando consideramos magnitudes complementarias, el orden en que se realizan las correspondientes dos medidas cambia los resultados observados. Es decir, la propiedad conmutativa (no importa el orden en que se realiza una operación) no se cumple en el proceso de medición cuántico. Ese indeterminismo fundamental parece pues un límite infranqueable a nuestro conocimiento de la naturaleza. Este principio excluye definitivamente la idea de trayectoria de una partícula en el mundo cuántico y no deja de ser paradójico, respecto a nuestro mundo cotidiano, donde la trayectoria de un coche (o de una persona o un gato andando) está tan asumida por nosotros que lo contrario nos dejaría claramente perplejos. Como ya comenté en mi libro anterior, hay otra interpretación de la mecánica cuántica (la mecánica bohmiana) que descansa fundamentalmente en el concepto de trayectoria, la trayectoria cuántica. La medida débil, de la que hablaremos más adelante, también ha hecho que nos replanteemos este principio.
§. El espín
G. E. Uhlenbeck y S. A. Goudsmit, antes del desarrollo de la mecánica ondulatoria, observaron un comportamiento anormal del electrón en presencia de campos magnéticos. Para entender mejor ese comportamiento, supusieron que el electrón (partícula con carga eléctrica negativa) debería girar sobre sí mismo a la manera de una peonza, comportándose como un imán (recordemos que toda carga eléctrica en movimiento crea un campo magnético). A este movimiento lo denominaron espín. En lenguaje más técnico, se dice que el espín está orientado hacia arriba (↑) o hacia abajo (↓) según el electrón gire sobre sí mismo a favor de las agujas del reloj o en sentido contrario, respectivamente. W. E. Pauli fue uno de los pioneros en considerar esta propiedad de espín dentro de un marco teórico y a él se debe también el principio de exclusión. Este principio nos alerta de que en un mismo estado o nivel de energía cuántico solo se pueden encajar o acomodar dos electrones, cada uno de ellos con diferente espín. En la figura 1 queda representado lo que podríamos denominar el icono por excelencia de este principio, la señal de circulación de doble sentido.

Figura 1. Esta señal de tráfico puede erigirse como el icono del principio de exclusión de Pauli.
§. La función de onda
Como hemos mencionado, Schrödinger estableció la mecánica ondulatoria en 1926 a partir de su famosa ecuación de ondas. Esta ecuación solo se puede resolver exactamente para problemas muy sencillos y ha sido clave en el éxito de la teoría cuántica. Existen actualmente numerosos métodos numéricos para su resolución aproximada. Lo que se obtiene al resolverla es lo que se conoce como la función de onda, que se representa tradicionalmente por la letra griega Ψ. Esta función suministra toda la información necesaria del sistema que queremos estudiar o analizar y de ella se entresaca cualquiera de sus propiedades o atributos. Esta función, por tanto, puede considerarse como «el Santo Grial» de la mecánica cuántica.
La función de onda posee una serie de propiedades que a continuación pasamos a enumerar:
- Representa matemáticamente el estado de una partícula o conjunto de partículas.
- Es una onda abstracta, matemáticamente hablando, que evoluciona con el tiempo por un espacio de muchas dimensiones. Se podría ver como un campo que posee un valor en cada punto de ese espacio y a cada instante, es decir, que contiene toda la información pasada, presente y futura del sistema. Recordemos que un campo es una función matemática que posee valores en cualquier punto del espacio. Cuando en meteorología se habla del campo de velocidades, y se representa con flechas, estas nos están indicando la velocidad y dirección del viento a una determinada altura y en un cierto instante en cada uno de los puntos del mapa.
- Como cualquier onda, posee las propiedades de reflexión, refracción, difracción, interferencia y polarización.
- La función de onda se interpreta también como una onda de probabilidad de acuerdo a la propuesta de M. Born (1882-1970). Así, por ejemplo, la función de onda de un electrón nos permite calcular la probabilidad de que este pueda ser registrado u observado en un punto del espacio en un instante determinado. Esto es tanto como admitir que la posición de cualquier partícula viene dada por una probabilidad, no por una certeza, como ocurre en la teoría clásica. El determinismo tal como lo entendemos en la vida cotidiana no tiene lugar en el mundo microscópico.
- La función de onda cumple el principio de superposición lineal o simplemente superposición. Cualquier función de onda puede ser representada como una combinación de dos o más funciones de onda (es decir, como una suma de funciones acompañadas ellas de un coeficiente multiplicativo o peso para formar de nuevo otra función de onda). En otras palabras, si un sistema tiene varios estados o una partícula tiene varios caminos a seguir, decimos que existen varias alternativas y la función de onda total es la suma de todas las alternativas posibles. Esta propiedad es la responsable de que se diga que el gato (de Schrödinger) puede estar, por ejemplo, el 50% vivo y el 50% muerto al mismo tiempo, o que una partícula gire sobre sí misma, por ejemplo, con una probabilidad del 20% a favor de las agujas del reloj (espín hacia arriba) y del 80% en contra de las agujas del reloj (espín hacia abajo) también al mismo tiempo, etc. Una manera más clásica de poder entender mejor esta propiedad es lo que ocurre con la combinación de colores. Al combinar azul y amarillo con diferentes proporciones o pesos obtenemos diferentes tonalidades del verde; el color resultante no es por tanto ni azul ni amarillo puro. Algo similar ocurre cuando una persona tiene más de dos casas y vive a caballo entre ellas, decimos coloquialmente que esa persona está deslocalizada. Es cierto que clásicamente estará, en un momento determinado, en una de ellas, pero no sabemos en cuál. Cuando hablamos de la función de onda, esta analogía debe ser extendida. Si la función de onda que representa un electrón es superposición de varios estados, también se dice que el electrón está deslocalizado entre ellos. En otras palabras, el electrón sí que puede estar, con una cierta probabilidad, en cada uno de esos estados en el mismo instante. Como veremos más adelante, la deslocalización juega un papel esencial en muchos procesos vitales.
La función de onda recoge, pues, el conjunto de todas las propiedades o atributos de un sistema. Más aún, contiene información de todas las mediciones pasadas, presentes y futuras que se pueden realizar sobre un sistema. Podríamos hablar de información latente o potencialidades. En la figura 2 queremos representar todos los estados posibles de un gato (contento, agresivo, vivo, muerto, etc.) por su función de onda Ψ. El determinismo cuántico reside, entonces, en el conocimiento de la función de onda a partir de la resolución de la ecuación de Schrödinger. Además, el carácter impredecible de la teoría se debe al comportamiento probabilístico de los resultados obtenidos de una medida dada, hablando entonces de valores promedios, como en estadística. Si se tienen N sistemas idénticos y se mide una propiedad dada, se obtendrán N valores diferentes. El valor de esa propiedad es el valor medio de los N resultados.

Figura 2. La función de onda ψ del gato vista como una superposición lineal de todos sus estados posibles.
Como se puede imaginar el lector, hay innumerables efectos no triviales en mecánica cuántica y no es el propósito aquí de enunciarlos todos. Solo introduciremos los mínimos necesarios para poder entender mejor el resto de los capítulos.
§. El efecto túnel
En 1927, el físico alemán F. Hund descubrió el conocido como efecto túnel al estudiar el espectro de ciertas moléculas poliatómicas e inmediatamente después, en 1928, fue usado por el físico ruso G. Gamow para resolver la desintegración del núcleo atómico. Rápidamente, se vio que este efecto podría estar detrás de muchos otros procesos cuánticos, ya que provenía de una propiedad matemática general de la función de onda que se derivaba fácilmente de la resolución de la ecuación de Schrödinger.
Imaginemos una barrera u obstáculo como, por ejemplo, un dique. Si una ola se acerca al dique con una altura mayor que la de este, la ola lo atravesará sin ningún problema y la parte de ola por debajo de la altura del dique se reflejará. Por el contrario, si la ola que se acerca es de menor altura que el dique, simplemente rebotará, es decir, de nuevo se reflejará. La única forma que pase agua al otro lado del dique es vía filtraciones. Decimos así que habrá una probabilidad no nula de que el agua pase o se transmita al otro lado del dique. Algo similar ocurre con la función de onda. Esta puede transmitirse y esta probabilidad no nula de transmisión es lo que se conoce como efecto túnel.
Para buscar otro paralelismo en nuestra vida cotidiana, recordemos que las ondas sonoras se transmiten a través de las paredes. Lo realmente insólito es que el paso de un lado a otro de la barrera (pared, por ejemplo) pueda ocurrir para partículas con masa, por ejemplo, una pelota, un electrón, etc. Según la teoría cuántica, cuanto más pesada sea la partícula, menor es la probabilidad de que ocurra el efecto túnel. Esta probabilidad de transmisión es nula cuando las partículas son muy pesadas y, por tanto, rebotarán al llegar a la barrera, como hacen las partículas clásicas (una pelota de tenis rebota al golpear la pared del frontón). La forma más común de aumentar la masa de un átomo es aumentar los neutrones de su núcleo (manteniendo el número de electrones y protones), consiguiendo isótopos. Por ejemplo, el hidrógeno tiene dos isótopos, el deuterio y el tritio, con uno y dos neutrones, respectivamente. La probabilidad del efecto túnel para el deuterio y el tritio es, como consecuencia, mucho menor que para el hidrógeno. Este hecho se conoce como efecto isotópico en el efecto túnel.

Figura 3. Ilustración del efecto túnel. Se muestra el comportamiento de la función de onda de una partícula al atravesar la barrera. La línea de puntos indica su energía que es menor que la altura de la barrera.
El efecto túnel es bastante paradójico y con él los divulgadores de ciencia tienen el éxito asegurado en sus charlas. A un nivel más popular, se ha aprovechado este regalo de la naturaleza para mencionarlo en algún capítulo de Los Simpson, en películas y novelas de ciencia ficción, en cómics y en videojuegos. De lo que no cabe ninguna duda, porque cada vez hay más evidencias, es que este efecto juega un papel fundamental en muchos procesos biológicos y, de hecho, es más ubicuo de lo que se pensaba inicialmente. Aquí tenemos otro buen ejemplo de deslocalización, pues un electrón, por ejemplo, tiene una probabilidad no nula de estar a ambos lados de la barrera al mismo tiempo. Imaginemos un toro que pudiera estar a la vez a ambos lados del burladero.
§. Coherencia cuántica. Latidos cuánticos
El efecto túnel nos suministra una buena ilustración de la coherencia cuántica y de lo que se conoce como latidos cuánticos (quantum beats). La barrera que separa dos regiones del espacio (barrera de potencial) hace que la función de onda, según las leyes de la mecánica cuántica, sea no nula en ambas partes. La función de onda total es, como sabemos, la superposición de ambas, una función de onda en cada lado de la barrera. En términos de probabilidades, es más fácil razonar. Cuando la función de onda está totalmente a la izquierda, la probabilidad de que una partícula esté solo a la izquierda es 1 (certeza) y, por tanto, a la derecha no encontraremos dicha partícula (probabilidad 0). Lo mismo ocurre cuando la función de onda se ha transmitido y ha pasado a la derecha: la partícula tiene probabilidad 1 de estar a la derecha y 0 de estar a la izquierda.

Figura 4. Latidos cuánticos.
Ahora imaginemos que tenemos más de una partícula; en vez de hablar de probabilidades podemos hablar de poblaciones. Probabilidad 1 de estar a la derecha significa que toda la población o número de partículas están a la derecha. Y análogamente cuando razonamos a la izquierda. La siguiente pregunta es: ¿cómo evoluciona con el tiempo la población o el número de partículas cuando el efecto túnel está actuando? Esta evolución temporal se ilustra en la figura 4, donde en el eje vertical se muestra la diferencia de poblaciones a la derecha e izquierda de la barrera, y en el eje horizontal, el tiempo. El valor 1 indica que todas las partículas están a la derecha de la barrera, el valor –1 que todas las partículas están a la izquierda y el valor 0 que hay un 50% de partículas a la izquierda y otro 50% de partículas a la derecha. Así, vemos claramente que la población de partículas oscila con el tiempo pasando por los tres valores críticos 1, 0 y −−1. Esta oscilación puede ser más fuerte o menos dependiendo, entre otros parámetros, de la velocidad de transmisión. La curva dibujada con oscilaciones más pequeñas nos dice que durante ese tiempo, la población permanece mayoritariamente en la parte derecha. Estas oscilaciones son los famosos latidos cuánticos, que son, pues, una manifestación de la coherencia cuántica y son observados no solo en el efecto túnel, sino también en muchos otros procesos cuánticos. No obstante, lo que no podemos olvidar es que la coherencia cuántica es muy frágil, es decir, se destruye muy fácilmente, dando lugar a la decoherencia.
§. La medida fuerte. Decoherencia
El proceso de medición en mecánica cuántica conlleva la interacción entre el sistema cuántico (un electrón, un átomo, una molécula, etc.) que queremos medir y un aparato de medida macroscópico (un detector, una cámara de gas, una pantalla, etc.). Se establece una fuerza entre ambos que hace que no puedan ignorarse uno al otro: cuando dos partículas colisionan, decimos que interaccionan; la Tierra interacciona con el Sol a través del campo gravitatorio; dos cargas eléctricas del mismo signo (positivas o negativas) interaccionan mediante la repulsión entre ellas según la ley de Coulomb, etc.
Cuando no se mide, la evolución en el tiempo de la función de onda es coherente y queda, por ejemplo, bien ilustrado en el patrón de interferencia que se observa en el famoso experimento de la doble rendija (presencia de máximos y mínimos u oscilaciones en la intensidad observada sobre la pantalla). El proceso de medida lleva, dentro de la interpretación estándar u ortodoxa de la mecánica cuántica, a lo que se conoce como reducción o colapso de la función de onda total (o de la superposición) en una de las alternativas. Recordemos el ejemplo de la doble rendija cuando queremos saber por qué rendija pasa el electrón. La medida selecciona una alternativa entre las dos posibles, destruyendo la interferencia entre ellas. La destrucción de la interferencia entre alternativas también se conoce como decoherencia. Esta lleva a la aparición o emergencia del mundo clásico, o sea, fuerza las probabilidades cuánticas a ser clásicas. En mecánica cuántica, un estado de superposición no puede medirse o no es observable. De otra forma, la función de onda de superposición de varios estados evoluciona según la ecuación de Schrödinger y la superposición se preserva a lo largo del tiempo (coherencia). No obstante, cuando el sistema interacciona con un aparato de medida, la superposición se rompe, hablando entonces de la probabilidad de cada alternativa en sentido clásico. Por otra parte, los objetos macroscópicos no se encuentran nunca en una superposición de estados (por ejemplo, el gato está vivo o muerto, pero no los dos estados a la vez). La famosa ley de la lógica del tercero excluido no se aplica en mecánica cuántica (recordamos que esta ley nos dice que una persona está dentro o fuera de una habitación, no en ambos sitios a la vez; algo es o no es, etc.). Esta ausencia de superposición está en el corazón del problema de la medida en mecánica cuántica. Por qué el proceso de medida rompe la superposición es un problema complemente abierto hoy en día.
Supongamos ahora un electrón viajando libremente por el espacio de tres dimensiones (en el que vivimos nosotros). Como ya sabemos muy bien, la descripción de su movimiento viene dada por su función de onda, que posee un valor en cada punto del espacio y a cada instante de tiempo (como si fuera un campo), solución de la ecuación de Schrödinger. En la ortodoxia cuántica, el electrón no se encuentra en una posición bien determinada antes de que midamos su posición, ya que está deslocalizado u ocupando potencialmente todo el espacio de acuerdo a la extensión de su onda asociada. Ahora colocamos una placa fotográfica o pantalla en una región del espacio para poder captar o medir la posición del electrón. Cuando la partícula llega a la pantalla, un destello se registra en ella, pudiendo afirmar que en ese instante y en ese lugar el electrón se ha manifestado. Se puede, por tanto, decir que la placa fotográfica ha hecho efectiva una de las localizaciones potenciales del electrón. De otro modo, al interaccionar el electrón con la placa fotográfica (aparato de medida) se produce la reducción brusca del conjunto de potencialidades suministrada por su función de onda. El conocimiento adquirido por la medida modifica súbitamente ese conjunto de potencialidades mediante un colapso. Sin entrar en más detalles, me gustaría recordar al lector que otras interpretaciones de la mecánica cuántica no necesitan del colapso de la función de onda para explicar el proceso de la medida, por ejemplo, la mecánica bohmiana.
No mencionaremos aquí de nuevo la paradoja del gato de Schrödinger. Únicamente recordemos que, según la interpretación de Copenhague o estándar, la función de onda del gato es una superposición de los dos estados o alternativas, vivo y muerto (al 50%), hasta que se observa. En este momento, se produce el colapso de la función de onda de superposición en una de las dos alternativas. Ese observador podría ser el causante de la muerte del gato. Las implicaciones filosóficas sobre esta paradoja han sido ampliamente discutidas en numerosos libros de divulgación. Para la reflexión del lector solo me gustaría apuntar que si el gato (que está encerrado en una habitación completamente aislada) tuviera conciencia, él y solo él sabría si está vivo o muerto, no hace falta que nadie (un observador) lo certifique. Sería tremendamente trágico que una persona estuviera dentro de esa habitación pues estaría delante de una ruleta rusa cuántica. En 2018 se propuso una versión nueva de la paradoja, ahondando en que la interpretación estándar o de Copenhague de la mecánica cuántica entra en gran contradicción consigo misma.
Veamos otro ejemplo. Sabemos que el electrón posee la propiedad del espín, hacia arriba (↑) o hacia abajo (↓). Su estado cuántico está representado por una función de onda que es superposición de ambas alternativas. Si no se mide el espín, se tiene un 50% de probabilidad de tener el espín hacia arriba y un 50% de tener el espín hacia abajo. Cuando se mide este atributo o esta propiedad del electrón, la función de onda colapsa a una de las dos alternativas. Si queremos buscar un paralelismo en nuestro mundo, lo mismo ocurre cuando lanzamos una moneda al aire: cara o cruz son los resultados posibles, pero nunca ambos a la vez o una combinación de ellos. Análogamente, si se realiza la medida del espín en un conjunto de electrones, todos ellos en las mismas condiciones iniciales, el resultado será que la mitad de las veces observaremos el espín hacia arriba y, la otra mitad, el espín hacia abajo.
En 1957, para encajar o digerir mejor la interpretación de Copenhague e instalarse en una zona de confort dentro del mundo cuántico, el físico norteamericano H. Everett propuso la interpretación de los muchos mundos o universos paralelos. Si pensamos en las dos alternativas del espín, Everett mantiene que el estado total sigue estando representado por la función de onda de superposición y cada alternativa existe en un universo diferente. En otras palabras, la destrucción de la superposición o colapso es solo aparente, no real. Cuantos más estados o alternativas contribuyen a la función de onda total, más universos paralelos son necesarios. La debilidad de esta interpretación radica en que no es falsable o refutable, si seguimos a K. Popper.
En 1977, dos físicos teóricos, B. Misra y E. C. G. Sudarshan, propusieron una demostración experimental del colapso y lo denominaron el efecto Zenón cuántico. La idea básica fue considerar un sistema inestable. Supongamos que un átomo absorbe luz y pasa a un estado excitado o de mayor energía. Al cabo de un tiempo, el átomo tiende a bajar a su estado original o fundamental. Entonces, si a este átomo excitado le sometemos a sucesivas y repetidas medidas en intervalos de tiempo muy, muy cortos, la función de onda del átomo colapsaría también sucesivamente en el estado excitado, y por tanto no perdería su energía y alargaríamos su vuelta al estado fundamental; en el límite teórico, el átomo nunca volvería al estado fundamental. Este efecto, que parece ciencia ficción, ha sido observado experimentalmente de una forma similar a la predicha teóricamente.
No deja de ser curioso que el efecto contrario, el denominado efecto anti-Zenón cuántico, también fuera predicho. Este nuevo efecto fue propuesto por A. Kofman y G. Kurizki en el año 2000 y, posteriormente, observado experimentalmente. Bajo otras condiciones de medidas sucesivas y repetidas, se ha conseguido acelerar la transición al estado fundamental. Esta situación es claramente impensable en nuestro mundo diario; no por más medir y volver a medir la velocidad de un coche circulando por la carretera somos capaces de cambiar su estado de movimiento, acelerándolo o frenándolo. ¿Podríamos salvar el gato abriendo y cerrando la puerta de la habitación donde está encerrado de una forma rápida y continua? Como decía Bohr, en la teoría cuántica ya no somos meramente observadores cuando medimos, también somos actores. De nuevo, la mecánica bohmiana ofrece otra interpretación del efecto Zenón y anti-Zenón.
§. Entrelazamiento cuántico o correlación cuántica
Imaginemos ahora un experimento donde, de alguna forma, no midiéramos una parte del sistema para entender mejor cómo funciona el mecanismo del colapso. La desintegración de un pión, partícula elemental de espín cero, consiste en la aparición de un electrón y un positrón (electrón con carga eléctrica positiva) con espines opuestos para preservar que el espín total o su suma sea cero. Así, las dos alternativas son: 1) electrón con ↑ y positrón con ↓, y 2) electrón con ↓ y positrón con ↑, siendo la función de onda total la superposición de esas dos alternativas. La teoría cuántica nos dice que hay un 50% que ocurra la primera alternativa y otro 50% que ocurra la segunda. Supongamos ahora que el electrón y el positrón se separan una distancia apreciable, metros o incluso kilómetros, y medimos el espín del electrón. Si obtenemos el espín hacia arriba, ↑, inmediatamente sabremos, sin medirlo, que el espín del positrón tiene que ser espín hacia abajo, ↓, debido a la conservación del espín total, que debe ser cero. Se dice entonces que ambos estados de espín están correlacionados cuánticamente o entrelazados. Muchas veces también se habla de entrelazamiento cuántico.
Salvando mucho las distancias, imaginemos que tenemos que realizar un viaje. Cogemos una caja de zapatos sin percatarnos que solo hay uno de los dos. Al llegar al destino, abrimos la caja de zapatos y vemos que solo está el correspondiente al del pie izquierdo. Aparte de cabrearnos, inmediatamente sabemos que el del derecho estará en nuestra casa, sin verlo. Más aún, la interpretación ortodoxa (o de Copenhague) nos dice que, al medir el espín del electrón, se colapsa su función de onda e, instantáneamente, el espín del positrón se materializa en un espín antiparalelo para mantener la conservación del espín total. Esta interpretación implícitamente asume que la «comunicación» entre el electrón y el positrón es inmediata y, en palabras de Einstein, que existe una acción a distancia fantasmagórica entre ellos. Así, el colapso de la función de onda es instantáneo para mantener el espín total igual a cero; en caso contrario, hasta que llegara la señal de que se ha realizado una medida al electrón, el positrón podría estar en un estado de espín paralelo al 50% y de espín antiparalelo también al 50%, violando la conservación del espín total. Este hecho, según los detractores de la escuela de Copenhague, era difícil de admitir pues no hay señal de ningún tipo que pueda superar la velocidad de la luz. A esta propiedad se le conoce como localidad y a la teoría que utiliza dicha propiedad se la denomina teoría local, como la teoría de la relatividad. Análogamente, si la acción a distancia tiene efecto, hablamos entonces de no localidad y la teoría correspondiente se denomina teoría no local, como la mecánica cuántica.
El ejemplo que acabamos de describir es una variante de lo que se conoce como la famosa paradoja de Einstein, B. Y. Podolsky y N. Rosen o paradoja EPR (según las iniciales de los físicos que la propusieron). Estos autores pensaban que la función de onda no era todo, tenía que haber algo más para caracterizar el estado de un sistema cuántico. Entonces «ese algo más» fue reemplazado por lo que se conoce como variables ocultas, que harían comprensible la no localidad (o acción a distancia) de esta teoría. En 1964, el británico J. S. Bell demostró teóricamente que cualquier teoría local de variables ocultas era incompatible con la mecánica cuántica. Así pues, la paradoja EPR les resultó a los autores y sus seguidores como un bumerán: se les volvió en contra. A partir del resultado de Bell, una emocionante carrera experimental se desarrolló para poder mostrar ese resultado. Esta carrera culminó con el experimento de A. Aspect, P. Grangier y G. Roger que utilizaron fotones en vez de piones. Confirmaron definitivamente que la mecánica cuántica es una teoría no local. Dicho de otra forma, el mundo microscópico es no local y el macroscópico, local. De nuevo, tenemos aquí otra paradoja del mundo cuántico. Este es uno de los grandes problemas que existe para unificar la teoría de la relatividad y la teoría cuántica.
Generalizando, podemos decir que cuando dos sistemas cuánticos interaccionan, estos quedan irremediablemente unidos para siempre, incluso si se separan distancias considerables. Se habla entonces de la no separabilidad del mundo microscópico. Si un sistema está entrelazado, no se puede separar por partes distintas e independientes (recordemos los estados inseparables del gato en la figura 2). Alternativamente, si un sistema está formado por dos partículas en interacción y se las separa, estas partículas, que están entrelazadas pero distantes, están conectadas no localmente porque son partes del mismo estado cuántico del sistema total. El mundo microscópico es holístico, un sistema ya no es solo la suma de sus partes. Este estado de cosas es lo que llevó a D. Bohm y B. Hiley a hablar del universo indiviso. Pensemos en un puzle gigante en el espacio donde todas las piezas están correlacionadas: cada una debe ocupar su puesto y no otro. Dos piezas cualesquiera, por muy alejadas que estén una de la otra, están correlacionadas. Más aún, una región de este no significa nada. El puzle es un todo y es, por tanto, no separable y no local.
§. Medida débil
La medida débil propone que la interacción entre el aparato de medida y el sistema que se quiere medir sea tan débil que evitaríamos el colapso de la función de onda. La incertidumbre en esta medida sería claramente muy grande, pero al realizar la medida un número de veces muy alto, el promedio se aproximaría al valor de la propiedad que se quiere conocer. Este tipo de medidas va en contra de lo que comentaba Bohr sobre la medida fuerte con el símil del teatro al afirmar que el aparato de medida es actor y espectador al mismo tiempo. Así, la medida fuerte es participativa mientras que la medida débil es no participativa, es decir, el aparato de medida sería meramente un espectador.
Este tipo de medidas está convulsionando los fundamentos de la mecánica cuántica y cada vez hay más experimentos que van por la vía débil. Por ejemplo, las medidas débiles no siguen el principio de incertidumbre de Heisenberg, permitiendo pensar en trayectorias y en medir posiciones y velocidades con la arbitrariedad que se quiera. De todas formas, tenemos que esperar a que este campo se desarrolle más para poder tener una mejor perspectiva del problema de la medida y, por tanto, de los «nuevos» fundamentos de la mecánica cuántica.
§. Sistemas cuánticos abiertos. Epigenética cuántica
Otro aspecto también muy importante es conocer qué sucede cuando un sistema está en interacción con el medio que le rodea o el entorno. Por ejemplo, ¿se puede afirmar que un electrón es solo eso, un simple y elemental electrón? o ¿el medio también define y caracteriza al electrón? Quizás antes convenga pararnos a pensar lo que le sucede a un ser vivo, ya sea animal o persona. Un buen ejemplo en el mundo animal es el camaleón. Sabemos que su color es variable, cambian en la época de celo, para expresar su estado de ánimo, para camuflarse, para recibir mayor o menor radiación solar, etc. Como el gato, creo que el camaleón también podría erigirse como paradigma de un animal cuántico (el camaleón cuántico).
El comportamiento de las personas variará dependiendo de las situaciones a las que se tengan que enfrentar (situaciones placenteras, de estrés o extremas). En un lenguaje cuántico, el ser vivo puede verse como el resultado de una superposición de todas las potencialidades o estados (instintivos o no) que puede presentar su personalidad y de ahí su complejidad (figura 2). Al enfrentarse a una situación determinada, manifiesta una de todas sus potencialidades (colapsa en uno de sus atributos: agresivo, cariñoso, etc.). En este momento es bueno recordar de nuevo lo que nos decía J. Ortega y Gasset: «Yo soy yo y mi circunstancia, y si no la salvo a ella, no me salvo yo».
Pasemos a describir brevemente dos buenos ejemplos donde el medio influye de forma decisiva en el comportamiento de los sistemas físicos. Sabemos que el agua está formada por moléculas en constante agitación térmica debido a la temperatura. Esta agitación térmica se puede observar en un microscopio colocando en su seno una partícula muy pequeña. Esta partícula está en constante movimiento sin ninguna dirección privilegiada, totalmente al azar. Este movimiento se conoce como movimiento browniano y fue descubierto en 1828 por el botánico escocés R. Brown cuando analizaba granos de polen suspendidos en agua (en 1785, J. Ingenhousz describió el mismo fenómeno observando partículas de carbón sobre alcohol). La interpretación teórica de este movimiento fue llevada a cabo por Einstein en 1905. La agitación térmica de las moléculas del líquido es la responsable de ese movimiento «loco» de las partículas del polen. Algo similar ocurre cuando dejamos caer una gota de leche sobre un vaso de agua. Vemos, inmediatamente, que las partículas que forman la gota de leche se van difundiendo por el vaso. Otro experimento que podemos realizar es dejar caer una pluma de ave desde una altura hasta el suelo. La pluma no cae en línea recta, sino que zigzaguea debido a la corriente de aire alrededor de ella. Su deriva (su tendencia) es el movimiento rectilíneo hacia abajo debido a la fuerza de la gravedad, y las fluctuaciones o movimientos de las partículas del aire hacen que vaya cayéndose de una forma más suave, como balanceándose.
En todos estos ejemplos, solo nos podemos preguntar cuál es la probabilidad de que una partícula alcance una determinada posición sobre el líquido o en el suelo al cabo de un cierto tiempo. Pues bien, la generalización y abstracción de este movimiento, observado accidentalmente, ha dado lugar a una inmensa labor investigadora en muchas disciplinas tales como la matemática, la física, la química, la biología y la economía. El movimiento browniano es un claro ejemplo de lo que se denominan procesos estocásticos que estudian la interacción de un sistema con el medio que le rodea (el grano de polen rodeado por agua, la pluma de ave inmersa en el aire, etc.). En el estudio de esta dinámica, los problemas o interrogantes se plantean siempre en términos de probabilidades. En sentido estricto, no hay ningún sistema que esté completamente aislado del resto del mundo. Cuando se tiene en cuenta lo que rodea a los sistemas físicos que queremos estudiar se habla de sistemas abiertos, en contraposición a los sistemas cerrados, donde sus entornos no se consideran. Si solo la fricción (o rozamiento) juega un papel en la dinámica, se habla de procesos disipativos. El rozamiento de las ruedas de un coche con el asfalto de la carretera es una buena ilustración de un proceso disipativo, es decir, que disipa (aunque no existe la palabra disipativo en el Diccionario de la lengua española, su uso está ampliamente aceptado en textos especializados). En los sistemas abiertos, el concepto de fluctuación juega un papel determinante. En sentido físico, la fluctuación de una magnitud o propiedad es la diferencia entre su valor instantáneo y el valor promedio. Si tenemos un elevado número de partículas con diferentes velocidades, la fluctuación de la velocidad de una de ellas es su velocidad menos la velocidad media del grupo.
Si nos acercamos al mundo de la genética, tenemos un concepto que nos puede ayudar a entender la dinámica de los sistemas abiertos, la epigenética. Este concepto fue acuñado por C. H. Waddington en 1942 para referirse al estudio de las interacciones de los genes con el entorno. La diferencia entre el ser humano y el chimpancé, que comparten el 99% del material genético, es debida a la epigenética. En el capítulo 3 se desarrollará un poco más este concepto.
Volvamos al electrón. Un electrón aislado se comporta también de forma diferente según el medio en el que se encuentra, ya sea una pantalla, una doble rendija, etc. Igualmente ocurre con el proceso de medición, donde el aparato de medida influye en el comportamiento del sistema que queremos analizar teniendo que aplicar la teoría de los sistemas abiertos. El aparato de medida es un sistema extenso, es decir, está formado por un elevado número de átomos o moléculas y puede considerarse como el medio o el entorno que interacciona con el sistema que queremos estudiar. Cuando se habla del proceso de medición, las fluctuaciones de las partículas que forman el aparato de medida son importantísimas para poder entender mejor el resultado de esa medición. En otras palabras, el proceso de medición se puede considerar un proceso estocástico y, como tal, está también regido por una serie de ecuaciones que han sido ampliamente desarrolladas durante los últimos años. Sin entrar en detalles, y sabiendo que hay actualmente varias vías de estudio, este proceso estocástico está regido por una ecuación de Schrödinger no lineal, es decir, el principio de superposición de las soluciones (o suma de ondas) deja de ser válido. Otra forma de ver este proceso estocástico es mediante el movimiento browniano. Una partícula cuántica al estar inmersa en un medio dado (aire, agua, etc.) presenta una velocidad con dos componentes, una determinista (la que tendría si estuviera en el vacío) y otra aleatoria, debido a la agitación térmica o fluctuaciones del fluido que le rodea. En términos más científicos, cuando se estudia la interacción de un sistema con un medio extenso (aparato de medida, agua, gas, baño térmico, etc.) se habla de la teoría de sistemas cuánticos abiertos. Por extensión, también se podría hablar de la epigenética cuántica. La interacción con el entorno o con un aparato de medida destruye el entrelazamiento cuántico, apareciendo la decoherencia donde el mundo clásico emerge.
El ejemplo anterior sobre el efecto túnel y las poblaciones (figura 4) nos viene muy bien para ilustrar la decoherencia. Si imaginamos que el efecto túnel tiene lugar en un medio disipativo y a una cierta temperatura, la evolución de las poblaciones mencionada antes presentaría otro tipo de evolución temporal, como se ilustra en la figura 16 donde se explicará en un contexto más conveniente. Los latidos cuánticos ya no son oscilaciones perfectas sino amortiguadas hasta llegar al valor nulo donde la población a la izquierda y a la derecha de la barrera es la misma.
Otro ejemplo más del carácter no intuitivo y paradójico de la dinámica cuántica en sistemas abiertos lo tenemos con el efecto túnel en presencia de la fricción y la temperatura. Recientemente, el químico israelí E. Pollak mostró que el tiempo de recorrido medio de una partícula por efecto túnel disminuye a medida que la temperatura decrece y la longitud del túnel crece. Imaginemos que un gato quiere ir de un sitio a otro a buscar comida, teniendo que atravesar un túnel. Si hace mucho frío, cuanto mayor sea la longitud del túnel, tardará menos (¿correrá más?). La presencia de la fricción en el camino no hace cambiar este escenario, excepto si fuera muy elevada. Sorprendente, ¿no? En cualquier caso, hablar del tiempo en mecánica cuántica es otro problema muy importante que no está aún resuelto satisfactoriamente. Es un tema apasionante que merecería una reflexión y tratamiento aparte.
§. Resonancia estocástica
Si reducimos la materia viva e inerte a una escala microscópica, lo que tendremos son átomos, moléculas, electrones, protones, etc. Pero me quiero detener ahí, no quiero seguir hacia más partículas elementales. La ecuación que gobierna estos sistemas es la ecuación de Schrödinger. Eso digamos, en cierto sentido, es ya trivial cuando conocemos cómo funciona el mundo de lo pequeño. Es claro que la mecánica cuántica está siempre presente en ese mundo. Algunas de sus consecuencias ya no son tan triviales y requieren un grado mayor de complejidad y, por tanto, de comprensión como hemos intentado exponer en este capítulo. Intentaremos mostrar que estas «rarezas» o paradojas cuánticas sobreviven en medios extensos, cálidos, húmedos y desordenados donde se llevan a cabo los fenómenos de la vida.
Imaginemos que acudimos a un concierto. En el auditorio, los oyentes quieren escuchar obras de los grandes compositores. Les atrae la coherencia (armonía y sintonía) de las vibraciones que emiten todos los instrumentos musicales de la orquesta al unísono. La gente está callada para poder disfrutar de la coherencia acústica que nos hace sentir la música. No obstante, si alguien de la orquesta desafina o no sigue el ritmo marcado por el director de orquesta, puede ser un auténtico suplicio escucharla. Pero aún puede ser peor si los asistentes empezaran a hablar, gritar, hacer ruido, etc. La armonía se perdería por completo y se mezclaría todo, dando lugar a una total incoherencia acústica. Bien, traslademos ahora esta imagen a nivel microscópico. Los átomos y las moléculas vibran en sus estados o niveles de energía, los procesos cuánticos de la vida necesitan que esas vibraciones se mantengan para llevarse a cabo y, muchas veces, al unísono. Si el medio que les rodea actúa como los oyentes de la orquesta, se pierde la coherencia cuántica dando lugar a la incoherencia de la que hablábamos o, en términos más científicos, a la decoherencia.
La pregunta crucial es: ¿cómo es posible que, a pesar de los oyentes ruidosos y maleducados, los procesos vitales cuánticos se mantengan?, o mejor dicho, ¿cuánto tiempo sobrevive la coherencia cuántica a los mal educados teniendo en cuenta que la decoherencia es ya de por sí un proceso muy rápido? Si queremos hablar del origen cuántico de la vida, de una epigenética cuántica en un sentido literal y no solo figurado, la coherencia cuántica tiene que durar un tiempo mínimo necesario para que los procesos vitales tengan lugar al unísono como en el concierto, para que «la vida siga igual» (como cantaba Julio Iglesias). Así, tenemos coherencia y concurrencia de procesos cuánticos, de procesos vitales en una clara armonía y sintonía para que la vida se vaya desarrollando a lo largo de toda la evolución. Feynman, como ya sabemos, afirmaba que todo lo que los seres vivos hacen se puede entender en términos de agitación y balanceo de átomos (vibraciones), pero en armonía y sintonía. No obstante, habría que añadir que esta dinámica debe darse en tiempos tan cortos para que el entorno no inhiba esas vibraciones coherentes de los átomos y las moléculas y la vida sea una pieza musical sin fin.
Otra cuestión es si podría darse el caso de que el ruido de la gente ayudara a la orquesta a mejorar o, al menos, a no perder la sintonía musical o coherencia acústica. En el mundo clásico, parece imposible. Cuando queremos sintonizar la radio a una estación o emisora y no la tenemos bien ajustada, el ruido que emite el receptor es desagradable. Con otras palabras, el llamado ruido de fondo, es decir, el conjunto de señales aleatorias que se dan habitualmente en cualquier sistema, se considera como indeseable, ya que afecta al proceso de comunicación.

Figura 5. Ilustración de la resonancia estocástica mediante el modelo del doble pozo.
Veremos más adelante que los seres vivos de alguna forma se comunican internamente y la comunicación biológica tiene que, en principio, realizarse a través de la ausencia de ruido. No obstante, si el ruido es inevitable —que lo es—, puede ocurrir que en ciertas circunstancias mejore esa comunicación; de esta forma, el ruido puede ser constructivo. El fenómeno se ha bautizado como resonancia estocástica y proviene del campo de la climatología. Lo utilizaron para explicar una cierta regularidad en las glaciaciones que ha habido en la Tierra. Generalmente, este fenómeno se da en sistemas llamados biestables (solo dos estados pueden tener lugar, activo-inactivo, arriba-abajo, etc.) que se comunican a través de una señal. En la técnica de fotografía digital conocida como posterización se consiguen fotos de contraste controlable a partir de este fenómeno.
Imaginemos que una partícula puede encontrarse en dos estados separados por una barrera (modelo del doble pozo) y se la somete a una perturbación periódica externa que dependa del tiempo, como se observa en la figura 5. Gracias a esta perturbación, el sistema pasa de un doble pozo simétrico a otro asimétrico, y así sucesivamente, como indica el ciclo observado en la figura. Si la temperatura (es decir, el ruido) es baja y la intensidad de la perturbación es pequeña, las asimetrías de los pozos no serán importantes y la partícula permanecerá en el estado original. Si la perturbación es grande, las asimetrías serán importantes. Si además aumentamos la temperatura, el sistema siempre deseará estar en el pozo más bajo (ver la cara contenta de la partícula en los pozos más profundos). Lo ideal sería buscar la temperatura óptima para la cual la partícula salta de forma sincronizada con la perturbación externa. De esta forma, se conseguiría el fenómeno resonante (desde un punto de vista estocástico) donde la relación señal/ruido es máxima. Así, hemos conseguido que el ruido, que se manifiesta a través de la temperatura en este ejemplo, ayude constructivamente a la perturbación externa a buscar la estabilidad del sistema (estar en el pozo más profundo). El fenómeno de resonancia es muy importante en todos los campos de la física, la química y la biología. En el ejemplo de la radio que aludíamos antes, cuando se ajusta una frecuencia del receptor a la de la emisora, tenemos resonancia.
Obviamente, en el mundo microscópico, lo que se conoce como resonancia estocástica cuántica también se ha observado. En este caso tenemos todos los ingredientes de un sistema cuántico abierto: fricción, temperatura (ruido), perturbación externa y sistema biestable. Una pregunta interesante es si nuestro cerebro se beneficia de este fenómeno estocástico cuántico, pero para ello tendremos que llegar al capítulo 4.
Capítulo 2
Biología molecular, la química cuántica de la vida
§. El enlace
§. La reacción química
§. Isómeros, enantiómeros y tautómeros
§. Las proteínas y enzimas
§. Los lípidos o las grasas
§. Los glúcidos o hidratos de carbono (o carbohidratos)
Hasta finales del siglo XX un dogma científico —me gusta este oxímoron— de los biólogos moleculares era que la función o actividad biológica de las biomoléculas (moléculas de la vida como las proteínas, las enzimas, etc.) está basada en su estructura y se deriva de ella. En otras palabras, la estructura de estas moléculas y su actividad bioquímica están íntimamente relacionadas. Este dogma tuvo sus detractores como, por ejemplo, el físico ruso laureado con el Premio Nobel I. Prigogine, que pensaba justamente lo contrario, es decir, que es la función la que crea la estructura. Las conocidas como proteínas dúctiles cambiaron esta forma de pensar, ya que no adoptan una estructura definida para realizar una función. En cualquier caso, la función y la estructura forman muy a menudo una pareja indisoluble: no se puede entender la una sin la otra. Es interesante resaltar que las propiedades que tienen ciertas asociaciones de moléculas no las muestran las moléculas que la constituyen. Eso también ocurre a nivel celular y en muchos sistemas complejos. La complejidad que surge en un sistema no puede entenderse generalmente a partir de sus componentes debido a la aparición de nuevas propiedades globales (propiedades emergentes). No lo olvidemos: «More is different».
Este nuevo capítulo está cargado inevitablemente de tecnicismos propios de la química cuántica y la biología molecular. Pido disculpas al lector, que se tiene que preparar para leer un capítulo un tanto árido, pero necesario para acercarse a los grandes interrogantes de la vida. Intentaré, en la medida de lo posible, ser claro y conciso, y no añadir más términos y conceptos químicos que los necesarios.
§. El enlace
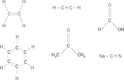
El reduccionismo ha sido la manera más usual de entender y explicar la ciencia. Sabemos que un átomo está formado por electrones con cargas negativas que están orbitando alrededor de un núcleo formado por protones con cargas positivas y neutrones carentes de carga eléctrica. Cada una de estas partículas las consideraremos elementales a lo largo de este libro, a sabiendas de que los protones y neutrones están formados por quarks que se manifiestan en rangos de energías muy superiores a los que ocurren los procesos vitales. Los electrones que siguen ciertas órbitas (o capas) alrededor del núcleo constituyen menos del 0,06% de la masa del átomo. Una molécula es una asociación o unión de átomos dispuestos geométricamente en el espacio manteniéndose unidos mediante enlaces químicos. Con otras palabras, si una molécula se considera como un edificio o estructura, los átomos que la forman son sus ladrillos y los enlaces químicos son la argamasa que los mantiene unidos. Otra analogía: las moléculas serían como las figuras planas o tridimensionales que se construyen con las piezas de LEGO, que serían los átomos; los engranajes de las piezas serían los enlaces. Podríamos hablar de un LEGO químico y/o bioquímico.
El conocimiento de la estructura o edificio molecular es esencial para una mejor comprensión de la actividad o función de las moléculas, en particular, de las biomoléculas. La molécula es la unidad menor en que puede dividirse una sustancia química conservando sus propiedades características. Más aún, se sabe que las moléculas poseen nuevas e insospechadas propiedades que no muestran los átomos que la constituyen. Estas nuevas propiedades que emergen cuando se unen los átomos hace que ese reduccionismo, utilizado para entender el edificio molecular, no sea suficiente para lograr una total comprensión de la actividad de las moléculas cuando están inmersas en distintos medios como en fase gas, líquida o sólida. Por ejemplo, la molécula de agua, H2O, que está formada por dos átomos de hidrógeno (H) y un átomo de oxígeno (O), tiene propiedades notablemente diferentes a la de los átomos que la constituyen. Las moléculas de agua tienen comportamientos diferentes si se encuentran en estado líquido o en forma de hielo. Por tanto, a medida que las estructuras moleculares crecen en complejidad con la participación de un elevado número de átomos para formar superestructuras tridimensionales, nuevas y sorprendentes propiedades van emergiendo radicalmente diferentes a las propiedades de sus elementos constitutivos (igual que con las figuras creadas por las piezas de LEGO). El caso de las biomoléculas (proteínas, lípidos, glúcidos o hidratos de carbono y ácidos nucleicos) es particularmente dramático porque además estamos hablando del paso de la materia inanimada a la animada.
Los electrones de las capas más externas de los átomos que conforman una molécula participan en la formación del enlace químico. Al poder, potencialidad o capacidad de combinación de los átomos se le denomina la valencia, que nos dice la cantidad de electrones más externos que efectivamente participan en un enlace químico. Los espines de esos electrones también cumplen el principio de exclusión de Pauli. Si cada enlace está formado por dos electrones provenientes uno de cada átomo involucrado, estos tienen que tener espines antiparalelos (recordemos el icono mostrado en la figura 1 para ilustrar el principio de exclusión). La mayoría de las moléculas son estables, no tienden a desintegrarse o descomponerse con el paso del tiempo. De hecho, se requiere bastante energía para romper las moléculas en los átomos que las integran. Esa energía varía de acuerdo a la fortaleza del enlace químico. Más aún, en la formación de una molécula estable se libera energía, ya que esta posee una energía más baja que la de los átomos que la forman.
A mi modo de ver, la manera más simple de entender este comportamiento energético es la siguiente: pensemos en un pantano situado en lo alto de una montaña, el agua está situada a una cierta altura y posee, como recordaremos de nuestros años en la enseñanza secundaria, energía potencial. Esta energía se manifiesta cuando se abren las compuertas para que el agua liberada caiga a un nivel más bajo (un valle), donde hay una turbina, provocando su giro para generar energía eléctrica. Lo mismo ocurre con una batería de móvil, de ordenador, etc.: la batería tiene energía potencial eléctrica, la que necesitará el artilugio para funcionar. Imaginemos ahora un esquema energético donde la altura significa más energía (cuando se está en lo alto de una montaña) y el valle representa un nivel de energía más bajo (la falda de la montaña). Los átomos que constituyen el agua, H y O, están en un estado energético alto que puede asimilarse a una energía potencial. Esa energía potencial se manifiesta cuando los átomos se unen para formar la molécula de agua, H2O, pasando esta a un estado energético más bajo (el valle) que el de sus componentes atómicos. Esta imagen quedará más clara cuando hablemos del esquema energético de una reacción química.
El estudio de la naturaleza del enlace químico es uno de los principales objetivos de la química cuántica. Aquí solo describiremos cualitativamente los más importantes que tienen lugar dentro de la biología molecular. El llamado enlace iónico o electrovalente hace que dos iones atómicos de cargas opuestas (positiva y negativa) se atraigan a través de la fuerza electrostática según la ley de Coulomb. El ejemplo más típico es la sal común, cuya molécula está simbolizada químicamente por NaCl, formada por un átomo de cloro (Cl) y un átomo de sodio (Na). Esta molécula se forma porque los correspondientes iones atómicos Na+ (el signo + nos indica que el átomo de Na ha perdido un electrón de su última capa y queda cargado positivamente) y Cl− (el signo − nos indica que el átomo de Cl ha ganado un electrón en su última capa y queda cargado negativamente) permanecen juntos o unidos por la fuerza electrostática atractiva. El origen de esa ionización se debe a la descompensación de la carga total de electrones con la de los protones de los núcleos. En un átomo neutro (o no ionizado) hay el mismo número de electrones que protones. Ahora, según la famosa ley de Coulomb: dos cargas de distinto signo se atraen, las del mismo signo se repelen. El enlace iónico (fuertemente atractivo) puede considerarse como un enlace «egoísta» ya que los iones permanecen unidos a expensas de que el Cl le «quita» un electrón al Na ya que el Cl tiene mucha «avidez» de electrones y el Na se lo deja quitar fácilmente. Se dice entonces que el Cl es un elemento muy electronegativo y el Na muy electropositivo. Los cristales de la sal común están formados por muchos iones de sodio y cloro unidos por el enlace iónico.

Figura 6. Dos representaciones de la molécula de agua, H2O. El ángulo que forman los dos enlaces covalentes O−H es de 104,45º y la longitud del enlace es de 95,84 pm (1 pico-metro (pm) = 10-12 metros).
En la molécula de ácido clorhídrico, HCl, los dos electrones del enlace pasan más tiempo cerca del Cl que del H, ya que el Cl es más electronegativo que el H. De esta forma, se crea una acumulación de carga negativa alrededor del Cl y un defecto de carga negativa (o carga positiva) alrededor del H. Entonces hablamos de que la molécula está polarizada o forma un dipolo. Un dipolo (eléctrico) es la asociación de una carga positiva y otra negativa próximas entre sí, a una distancia dada. Es parecido a un imán que tiene su polo positivo y negativo pero, en vez de hablar de campos eléctricos, hablamos de campos magnéticos.
En la molécula de agua, cada átomo de hidrógeno está unido al átomo de oxígeno formando un enlace covalente, mientras que entre ellos no están unidos. El enlace covalente se representa por un segmento de recta entre los átomos unidos. Así, la molécula de agua posee dos enlaces covalentes del tipo O-H. En cada enlace covalente hay también dos electrones, uno proviene del H y el otro del O. Este enlace es como una «pareja» donde los electrones se comparten más o menos al 50% y se consideran los dos electrones como «bienes gananciales». Como se aprecia en la figura 6, la molécula de agua no es lineal, ya que los dos enlaces covalentes forman un ángulo aproximado de 105º. Cuando se dice que en este enlace se «comparten» los electrones casi al 50% quiere decir que a veces hay muchas moléculas donde uno de los dos átomos atrae más a los electrones que el otro, dependiendo de su naturaleza electronegativa y/o electropositiva. El O es más electronegativo que el H y, por tanto, los electrones del enlace pasan más tiempo orbitando alrededor del O que del H, hablando también de la presencia de un dipolo eléctrico.
Hasta ahora hemos puesto ejemplos sencillos y bien conocidos de nuestros años de instituto de lo que se conoce como química inorgánica. En la química orgánica, los compuestos están formados principalmente por carbono (C), hidrógeno, oxígeno, nitrógeno (N) y, en menor medida, por fósforo (P) y azufre (S). En algunas ocasiones también hay elementos metálicos como hierro (Fe), níquel (Ni), cobre (Cu), etc., que es el caso de las metaloproteínas o muchas enzimas. Estas moléculas orgánicas son fundamentales para la biología y permanecen unidas principalmente mediante enlaces covalentes que pueden ser simples, dobles y triples. En la figura 7 presentamos las moléculas de etileno (C2H4), acetileno (C2H2), benceno (C6H6), ácido fórmico (CH2O2), acetona (C3H6O) y cianuro sódico (NaCN). La variedad de enlaces en las biomoléculas es amplísima con un predominio claro de los enlaces covalentes simples y dobles y una presencia exigua de los enlaces triples.

Figura 7. En la primera fila presentamos, de izquierda a derecha, algunas moléculas orgánicas cuyas fórmulas químicas corresponden al etileno, acetileno y ácido fórmico. En la segunda fila, análogamente, tenemos las moléculas de benceno, acetona y cianuro de sodio.
Es interesante observar que cuando una molécula posee, por ejemplo, un enlace doble, los electrones del segundo enlace covalente no se hallan alrededor de ningún átomo en particular, pertenecen a la molécula como un todo. Se llaman electrones no localizados y se denominan electrones π y su enlace, enlace π (de la letra griega pi). En el enlace triple, hay dos enlaces π. Cuando una molécula está formada por una cadena (abierta o cerrada) de átomos de C unidos por enlaces simples y dobles, hablamos de que la cadena está conjugada.
El caso más paradigmático es la molécula de benceno (C6H6) que posee una geometría hexagonal (plana) como muestra la figura 8. Las diferentes formas de representar el benceno se denominan estructuras de Kekulé debido a su descubridor A. Kekulé, primer químico orgánico alemán que intuyó esta estructura (a través de un sueño donde imaginó una serpiente mordiéndose la cola) a partir de evidencias experimentales acumuladas durante años. Cuantas más configuraciones puedan usarse para representar la molécula (configuraciones resonantes), más estable será la molécula, es decir, más energía hará falta para romperla. Se habla de configuraciones resonantes porque los electrones se encuentran muy deslocalizados a través de toda la molécula, por arriba y debajo del plano molecular.
Esta deslocalización electrónica es la base del almacenamiento de la energía en la célula. Uno de los ejemplos más conocidos en biología es la hidrólisis o reacción química de cualquier molécula con el agua, del ATP (trifosfato de adenosina) donde se libera una importante cantidad de energía.
Las estructuras moleculares que hemos descrito hasta ahora son rígidas, consistentes y, en general, direccionales, ya que los enlaces forman ángulos (figura 6).

Figura 8. Las dos estructuras resonantes de Kekulé para la molécula de benceno (en el plano de la hoja de papel). Los electrones π están de hecho deslocalizados a lo largo del anillo hexagonal, por arriba y por abajo del plano molecular, es decir, de la hoja de papel. Ni la una ni la otra son buenas representaciones de la molécula, sino una combinación lineal (o superposición) entre ellas. Se acepta hoy en día que la mejor representación es un anillo bencénico y dentro un círculo que indica que los electrones π del doble enlace están orbitando por arriba y por abajo del plano.
Los enlaces tienen lugar dentro del edificio molecular y entonces se habla de enlaces intramoleculares. Por el contrario, también existen una serie de enlaces llamados intermoleculares, que son enlaces más débiles, y tienen lugar bajo la presencia de más de una molécula. Son muy importantes ya que juegan un papel esencial en la biología y, por tanto, en la vida. Las estructuras que se forman son más complejas, no direccionales y flexibles (poco rígidas). El enlace dipolo-dipolo se forma cuando moléculas polares (representadas por dipolos eléctricos permanentes) se acercan mucho entre sí, orientándose adecuadamente según el signo de las cargas (positiva con negativa y viceversa).
La molécula del ácido clorhídrico, por ejemplo, forma un dipolo permanente por la alta electronegatividad del Cl. Cada molécula de HCl se denomina monómero y cuando dos de estos monómeros se atraen, forman un dímero. Se atraen los dos monómeros orientándose de tal manera que el Cl de una molécula cargado negativamente se alinea con el H de la otra molécula que está cargado positivamente. Este enlace se representa por una línea discontinua como HCl---HCl o simplemente (HCl)2. Otro ejemplo es el dímero del fluoruro de sodio NaF---NaF donde F indica flúor. Si existieran muchas de estas moléculas o monómeros en un recipiente, se asociarían todas ellas formando un polímero (es decir, muchos monómeros) siguiendo el esquema del dímero del HCl o del NaF. El llamado enlace de hidrógeno, que es un tipo especial de enlace dipolo-dipolo, solo ocurre con la presencia del H.
El ejemplo más conocido es el que se da cuando dos o más moléculas de agua están muy próximas entre sí y el hidrógeno de una molécula se une al oxígeno de otra molécula de agua y así sucesivamente. Se representa generalmente como (H2O)n donde n es un número natural (n = 2, 3, 4…). Y, por último, está el enlace de Van der Waals, nombre que hace honor al laureado físico holandés J. D. van der Waals, que recibió el Premio Nobel en 1910. Los lagartos pueden adherirse a las paredes y techos debido precisamente a esta unión o fuerza atractiva. En este enlace, en vez de estar presentes dipolos permanentes, se tiene la interacción entre dipolos inducidos (no permanentes; es decir, que varían con el tiempo) cuando están muy cerca uno del otro. Si al enlace de Van der Waals le asignáramos una energía de enlace unidad (energía que hace falta suministrar para romper dicho enlace), el enlace de hidrógeno sería del orden de 4 veces mayor, el dipolo-dipolo de 5, el iónico estaría sobre 120, el covalente podría variar entre 60 y 110, y el enlace covalente doble entre 145 y 170, dependiendo siempre de los átomos involucrados. Cuanta más energía hace falta para romper los enlaces de una molécula, menores son las distancias de enlace entre los átomos que la forman y la molécula es más estable.
§. La reacción química
La reacción química es un proceso de transformación donde dos o más sustancias, llamadas reactivos, cambian sus estructuras moleculares mediante la rotura de sus enlaces para formar otras sustancias con diferentes estructuras moleculares y con nuevos enlaces, llamados productos. Se representa formalmente por la ecuación química siguiente:
A + B ←→ C + D,
siendo las sustancias A y B los reactivos, y las sustancias C y D los productos. La doble flecha indica que, en principio, la reacción puede transcurrir en un doble sentido, es decir, es reversible. Las magnitudes conservadas son el número de átomos presentes, la carga eléctrica y la masa total. Una ecuación química, para estar correcta, tiene que estar ajustada como podemos recordar de nuestros años de enseñanza secundaria. Por ejemplo, la sal común (NaCl) se obtiene de la combinación de átomos Na y Cl según la reacción
2 Na (s) + Cl2 (g) ←→ 2 NaCl (s),
donde muchas veces se indica también el estado en que se encuentran las sustancias involucradas: estado sólido (s), líquido (l) o gas (g). Esta reacción se conoce como de combinación o síntesis, ya que se forma una nueva sustancia, la sal común, a partir de sus componentes. La reacción inversa se denomina de descomposición pues volvemos a recuperar sus componentes.
Hay muchas clases de reacciones químicas que se clasifican en diferentes categorías atendiendo a criterios de estructura, de energía y de intercambio de partículas. Esta clasificación es bastante flexible pues hay reacciones que podrían estar ubicadas en categorías diferentes al mismo tiempo. Si nos fijamos en el intercambio de energía, se puede hablar de reacciones exotérmicas y endotérmicas. La combustión es una buena ilustración de una reacción exotérmica y una de las más conocidas es la combustión del carbono según
C (s) + O2 (g) → CO2 (g) + calor.
Las reacciones endotérmicas necesitan el aporte de calor o energía para poderse llevar a cabo. También de nuestros años en la enseñanza secundaria, todos recordamos la famosa reacción química
ácido + base → sal + agua,
que puede ser ilustrada por
HCl (aq) + NaOH (aq) → NaCl (aq) + H2O (l),
que nos dice que el ácido clorhídrico (HCl) se combina con el hidróxido sódico (NaOH) para dar el cloruro de sodio (NaCl) y el agua (H2O) (aq significa que la sustancia está diluida en agua y la reacción ocurre en medio acuoso). En esta reacción se intercambian protones. Si se intercambian electrones, la reacción se denomina de oxidación-reducción o redox como en
2 NaI (s) + Cl2 (g) → I2 (g) + 2 NaCl (s),
donde el cloro molecular (Cl2) toma dos electrones del yoduro de sodio (NaI) para formar iodo molecular (I2) y cloruro sódico. Se dice entonces que el cloro se reduce al ganar electrones mientras el yodo (I) del yoduro de sodio se oxida al perder electrones para formar nuevos enlaces, los del iodo molecular (I2) y la sal común. La regla estándar aquí es: el elemento que se reduce se denomina oxidante y el que se oxida, reductor. Vamos, un galimatías en toda regla. En la reacción de la formación del agua, el O es el oxidante y el H el reductor. Estas reacciones redox son importantes en muchos ámbitos como en la corrosión, combustión, etc. No obstante, son especialmente importantes y fundamentales en el metabolismo de los seres vivos con la presencia de sustancias orgánicas, no de sustancias inorgánicas como acabamos de ilustrar con estas reacciones químicas. Otra clase de reacciones muy importantes es la electrólisis en la cual se aporta energía por medio de electricidad para separar los átomos de un compuesto molecular.
En las reacciones redox, mención especial merecen los llamados radicales o radicales libres que tan mala propaganda tienen, con toda la razón del mundo. Cuando estos traspasan un cierto umbral, son nocivos para nuestro cuerpo y provocan la aparición de numerosas enfermedades. Se nos bombardea continuamente acerca de los daños que producen dichos radicales: el envejecimiento, el cáncer, las enfermedades del Parkinson y Alzheimer, etc. Fumar y, en general, los malos hábitos, aumentan el número de radicales libres en nuestro organismo. Nosotros somos capaces de asimilar un cierto número de radicales libres, es decir, los que se generan de una manera natural (por ejemplo, a partir del metabolismo o neutralizando el ataque de los virus y las bacterias). Los radicales libres intervienen también en los procesos de señalización de las células y activan mecanismos vitales. Los radicales libres reaccionan químicamente con otras moléculas alterando su estabilidad y funcionalidad dentro del organismo. De sobra conocido es que la forma más efectiva de combatir la presencia de radicales libres es a través de antioxidantes (vitaminas, minerales, etc.) que retardan o previenen la oxidación de otras moléculas. En general, las moléculas tienen todos los electrones en sus estados de energía formando parejas; es decir, según el principio de exclusión de Pauli, en cada nivel de energía de la molécula hay dos electrones con espines antiparalelos. El espín total de la molécula es por tanto cero. No obstante, hay moléculas que tienen algún electrón libre en su capa más externa ya que el resto de los electrones están todos pareados o emparejados y presentan una gran avidez a buscar pareja. De esta forma, estas moléculas son muy activas e inestables participando en un gran número de reacciones químicas, al igual que ocurre con los radicales.
Es muy ilustrativo analizar, de nuevo, la formación de agua a partir de sus elementos ya que nos permite introducir un concepto básico que es la energía de activación de una reacción química. La reacción química es
2 H2 (g) + O2 (g) → 2 H2O (g),
donde el hidrógeno molecular (H2) está formado por dos átomos de hidrógeno unidos por un enlace covalente (H-H) y el oxígeno molecular (O2) cuyos átomos están unidos por un enlace covalente doble (O = O). Esta reacción no tiene lugar mientras los enlaces covalentes no se rompan, de otra forma, estas dos moléculas podrían estar siempre cerca la una de la otra sin que se produjera nunca la reacción. La energía suministrada por una chispa eléctrica desencadenaría automáticamente la reacción pues rompería los enlaces covalentes de los reactivos. El hidrógeno y el oxígeno atómicos son muy reactivos haciendo que la velocidad de formación del agua sea muy rápida. Esa energía suministrada se conoce como energía de activación. Los reactivos poseen, en general, una energía mayor que la de los productos, liberándose entonces una gran cantidad de energía (reacción exotérmica). Este proceso queda recogido gráficamente en la figura 9.
Esta figura debe entenderse como un mapa de energía. En el máximo de energía, los reactivos están formando un compuesto denominado complejo activado o estado de transición que dura un breve lapso. Este tiempo es el que necesitan los átomos de hidrógeno y oxígeno para acomodarse para la formación de los nuevos enlaces que forman la molécula del agua.

Figura 9. Esquema energético de una reacción química exotérmica. La energía de activación es la energía que se necesita para que tenga lugar la reacción y la diferencia de energía entre reactivos y productos, la energía que se desprende. El máximo de energía corresponde a lo que se conoce como complejo activado o estado de transición. Un catalizador sirve para disminuir la energía de activación.
En general, deberíamos escribir mejor la reacción química como sigue:
A + B → estado de transición → C + D.
Esta teoría se conoce como la teoría del estado de transición. Una imagen que ayuda a comprender esta figura es la siguiente. Imaginemos que donde están los reactivos tenemos una gran cantidad de agua que está a una determinada altura y, por tanto, posee una energía potencial. Queremos trasladar la cantidad de agua que hay en la zona de reactivos a la zona de productos, que está a una altura menor. Como en los pantanos, la diferencia de altura puede generarnos energía eléctrica, ya que en la zona de productos tenemos un sistema de turbinas que se mueven al caer el agua. Tenemos un inconveniente, hay una montaña que separa ambas zonas. Podemos consumir energía para elevar el agua en la zona de los reactivos (energía de activación) por encima del pico de la montaña para vencer este obstáculo. Este esfuerzo o trabajo realizado valdrá la pena si conseguimos pasar el agua a la zona de productos y la energía que obtenemos es mayor que la gastada en elevar el agua. Lo mismo pasa con una reacción química. Esta energía de activación también se puede suministrar en forma de calor, aumentando la temperatura para que suministre una energía como mínimo igual a la de activación. Pero como ya somos expertos en mecánica cuántica, cuando se habla de montañas, barreras u obstáculos, debemos tener también presente el efecto túnel. Hay muchas reacciones químicas que ocurren a bajas temperaturas, no teniendo suficiente energía para superar la montaña; entonces si los reactivos tienen poca masa (como el H, por ejemplo) se abre un túnel en la montaña para que pueda pasar el agua de reactivos a productos. Con otras palabras, el gato, que está a la izquierda en el agua nadando, tiene pereza o no puede sortear la montaña, entonces decide abrir un túnel, como si fuera un topo, pasando a la derecha, feliz y contento.
§. Isómeros, enantiómeros y tautómeros
Imaginemos que tenemos solo unas cuantas fichas de LEGO, ¿cuántas figuras se pueden hacer con ellas? En principio, si hay suficientes fichas, al menos más de una. Pues esto también pasa con las moléculas orgánicas. De acuerdo a la figura 10, una misma fórmula molecular puede conllevar dos estructuras diferentes; por ejemplo, la fórmula química C2H6O puede representar el alcohol etílico y el éter dimetílico, sustancias con propiedades radicalmente diferentes. También podemos imaginar que una rotación simple puede llevarnos a dos estructuras diferentes como, por ejemplo, la molécula 2-buteno. En este caso, las posiciones del H y del grupo CH3 (grupo metilo) se intercambian por una mera rotación respecto a un carbono del enlace covalente doble. En química orgánica, cuando los mismos grupos están arriba o abajo, se les denomina isómero cis (o conformación cis), cuando están intercambiados, isómero trans (o conformación trans). Si dos isómeros presentan diferente actividad óptica, es decir, se comportan de forma diferente cuando incide la luz en ellos, se les llama enantiómeros. Estos isómeros serán especialmente importantes cuando tratemos, más adelante, la quiralidad. Otros isómeros que juegan un papel esencial en la biología molecular son los tautómeros, donde existe una migración o desplazamiento de un átomo o grupo de átomos a otras posiciones dentro de la molécula, cambiando de nuevo las propiedades químicas.

Figura 10. Isómeros con fórmulas químicas C2H6O para el alcohol etílico y éter dimetílico y los isómeros cis y trans de la molécula 2-buteno.
En todos los casos que hemos mencionado, el entorno influye para tener la presencia y el predominio de un isómero respecto al otro (por ejemplo, la temperatura, un medio ácido o básico, etc.). Normalmente, la dinámica de los dos isómeros puede verse como resultado de una reacción química donde uno hace el papel de reactivo y el otro de producto. El entorno químico o físico existente hace que la doble flecha (reversibilidad) de la reacción se decante más hacia un lado que hacia el otro.
§. Las proteínas y enzimas
En 1950 ya se aceptaba que el conocimiento de la estructura de las moléculas proteicas (o proteínas) es tan importante para la biología como la estructura atómica para la física. Como ya hemos dicho, la actividad biológica de las proteínas, las enzimas, las hormonas, las vitaminas, los anticuerpos, los genes, etc., deriva muchas veces de su estructura molecular. La palabra proteína viene del griego que significa «de principal o primer orden» y fue acuñada por el químico holandés G. J. Muldner a sugerencia del químico sueco J. J. Berzellius.

Figura 11. Fórmula química de un aminoácido. El grupo carboxilo (COOH) tiene carácter ácido (es capaz de liberar protones, H+) y el grupo amino (NH2) carácter de base (capaz de atraer protones). R es una cadena lateral o radical formada por un solo átomo como el H o mucho más complicada formada por grupos de átomos; por ejemplo, R podría ser – CH3, —CH2 —CH2 —COOH, —CH2 —CONH2, etc.
La ciencia bioquímica quizás comenzó en 1828 cuando F. Wöhler sintetizó accidentalmente, y por primera vez, un producto elaborado por los organismos vivos como la urea (NH2-CO-NH2) a partir de compuestos inorgánicos (cloruro de amonio o sal de amoníaco, NH4Cl, y cianato de potasio, KOCN), poniendo fin a la teoría imperante de la época debida a Berzellius y denominada teoría vitalista, que afirmaba que la actividad de los seres vivos se debía a una fuerza vital especial. El puente entre la materia inanimada (inorgánica) y la animada (orgánica) había sido establecido de una forma clara y patente o, al menos, así se pensaba en la época.
Las proteínas son macromoléculas (moléculas muy grandes) formadas por cadenas lineales de ciertas unidades químicas llamadas aminoácidos que podrían considerarse como los átomosbiológicos. Los 20 aminoácidos que constituyen las proteínas (aminoácidos proteicos) tienen la estructura ilustrada en la figura 11. Algunos de ellos son ya familiares por el interés creciente de las personas sobre la dieta (por ejemplo, ácido glutámico, cisteína, lisina, ácido aspártico, alanina, glicina, triptófano, etc.). Sus extremos tienen propiedades químicas distintas, uno de ellos tiene carácter de base y el otro de ácido, permitiendo la unión de ellos, gracias a los protones (H+), por sus extremos para formar largas cadenas moleculares. En esas uniones se elimina, como ya hemos visto anteriormente, agua y se forma el llamado enlace peptídico (figura 12). Cuando se unen dos aminoácidos tenemos un dipéptido y cuando se unen muchos, un polipéptido o proteína. El número mínimo de aminoácidos necesarios para formar una proteína se establece, según algunos autores, a partir de 50 o 100. Cada aminoácido puede verse como la perla de un collar, el eslabón de una cadena o la cuenta de un rosario.
En 1953, el bioquímico inglés F. Sanger, doblemente laureado con el Nobel de Química como M. Curie, L. Pauling y J. Bardeen, y sus colaboradores determinaron por primera vez la secuencia de los 51 aminoácidos que forman la insulina, generada por el páncreas y primordial para controlar el paso de la glucosa desde la sangre a las células de los tejidos. Como es sabido, su escasez causa la diabetes mellitus. Esta proteína fue sintetizada in vitro en 1966. Se ha establecido una analogía utilizada en la actualidad entre la secuencia de aminoácidos de una proteína y la secuencia de letras y espacios que forman una frase. Al igual que el orden de las letras en una palabra y en una frase determina su sentido o significado, el orden de los aminoácidos determina su actividad biológica. Si ligeras modificaciones en una frase pueden mantener su significado fundamental, lo mismo ocurre con los aminoácidos en los diferentes organismos vivos, sin deteriorar su actividad biológica. Al final, la estructura tridimensional de las proteínas, derivada de la secuencia de sus aminoácidos, marcará su actividad biológica.

Figura 12. Enlace peptídico formado por la unión de dos aminoácidos.
Esta analogía es de aplicación limitada pues, en sentido estricto, la actividad biológica está determinada por más factores tales como el entorno, las interacciones con otras moléculas, etc. No obstante, un hecho fundamental es que las proteínas difieren marcadamente de un organismo a otro. Como sabemos, este es un problema crítico que se intenta superar en la investigación de trasplantes. Las macromoléculas del órgano del donante son rechazadas por el cuerpo receptor mediante los anticuerpos al reconocerlas como cuerpos extraños, ya que las secuencias de aminoácidos son diferentes. Pero no es menos cierto que en la actualidad se pueden sintetizar proteínas e insertar cualquier aminoácido en la posición de la cadena que se quiera. El diseño de nuevos fármacos avanza en esa dirección.
La estructura de las proteínas puede considerarse dividida en cuatro niveles. La estructura primaria está representada, como hemos mencionado anteriormente, por la secuencia de los aminoácidos unidos mediante el cemento resistente de los enlaces covalentes (principalmente, los enlaces peptídicos). Esta cadena de aminoácidos se encuentra frecuentemente enrollada en una o varias configuraciones no necesariamente helicoidales mediante enlaces más débiles como el enlace de hidrógeno y se habla de la estructura secundaria. A su vez estas cadenas pueden enrollarse y plegarse para formar figuras geométricas tridimensionales más complicadas mediante enlaces aún más débiles como el de Van der Waals, dando lugar a la estructura terciaria. La actividad biológica de las proteínas se debe a esta estructura terciaria frágil y flexible, ya que está construida mediante enlaces muy débiles. Esta actividad biológica deja de funcionar cuando la proteína, por ejemplo, se desnaturaliza, es decir, cuando se expone a condiciones físicas o químicas adversas. No siempre este proceso es reversible. En general, la pérdida de la actividad biológica puede deberse a cambios muy sutiles o a perturbaciones que afecten a los sitios activos de las proteínas o a sus interacciones con otras proteínas, o con genes u otras moléculas. La actividad biológica es muy compleja y puede verse afectaba por sutiles y pequeñas perturbaciones. Las proteínas dúctiles o desordenadas juegan un papel esencial. La predicción de la estructura terciaria a partir de la primaria no es obvia y, muchas veces, se tiene un catálogo de correspondencia entre ambos niveles construido a partir de la propia experiencia.
El tránsito de la estructura primaria a la terciaria se conoce como plegamiento de las proteínas. El fallo en el proceso de plegamiento puede llevar muchas veces a la aparición de enfermedades graves como el cáncer, Alzheimer o Parkinson. Se pensaba que este proceso estaba regido por las leyes de la física clásica. Pollak sugirió recientemente que el efecto túnel puede también estar detrás de esta dinámica y observó que el tiempo de plegamiento, por este efecto, disminuye a medida que la temperatura se reduce (en el capítulo 1 recogimos algunas de las paradojas que podemos encontrar en el efecto túnel). La agrupación de las proteínas para formar estructuras más grandes y complejas constituye la estructura cuaternaria, dando lugar a nuevas actividades biológicas importantes en la vida a nivel celular y, por tanto, importante para la arquitectura de la vida.
Existe un largo camino a recorrer en la dirección de acumulación de conocimientos sobre la secuencia de aminoácidos y estructuras tridimensionales (como un coleccionista de sellos) y la comprensión de la correspondiente actividad biológica. Dos tipos de proteínas que merecen destacarse son las fibrilares, que son utilizadas principalmente por el organismo como proteínas estructurales y constituyen el material del que están formados los tendones y ligamentos, las plumas, la lana, el pelo, las garras, las uñas, etc., y las globulares, más complejas, que actúan como enzimas, trasportadoras de oxígeno, anticuerpos, estructuras propulsivas (como, por ejemplo, los músculos, flagelos y cilios). En la estructura cuaternaria entran en juego las proteínas globulares y, en menor medida, las fibrilares. Las propiedades más reseñables de las proteínas son la flexibilidad y la plasticidad (susceptibles de ser moldeadas para cambiar de forma).
Sin querer adelantar acontecimientos, en los años sesenta del siglo pasado se creía que las proteínas obedecían a estructuras tridimensionales siguiendo un plan definido. Este tema se tratará en el último capítulo dentro de un contexto mucho más general. De todas formas, la difracción por rayos X y el microscopio electrónico son dos técnicas experimentales ampliamente utilizadas para el análisis de la estructura tridimensional de las proteínas. Las primeras analizadas por rayos X fueron la pepsina, insulina, mioglobina y hemoglobina. Hoy en día, hay muchos más métodos experimentales para su caracterización. La era de la proteónica acaba, como quien dice, de empezar.
En los procesos vitales, las enzimas, que son proteínas globulares, juegan un papel primordial en la reactividad química aumentando la velocidad de reacción para facilitarla, como hacen los catalizadores. Estos proporcionan un mecanismo o proceso de reacción alternativo, disminuyendo la energía de activación junto con la formación de un estado de transición diferente (figura 9). En otras palabras, «engrasa» el mecanismo de la reacción química. La enzima se une a los reactivos, forma el estado de transición para después dar lugar a los productos, liberándose de nuevo la enzima de acuerdo a la reacción
A + B + enzima → estado de transición → C + D + enzima.
Al ser una proteína, solo una pequeña región de su estructura terciaria es la que participa en la reacción. Esta zona activa se «fija» a los reactivos mediante enlaces débiles como los de hidrógeno y de Van der Waals, pues si fueran covalentes, que son mucho más fuertes, su liberación posterior retrasaría enormemente la reacción. Las enzimas son selectivas en el sentido de que cada reacción química vital requiere una enzima particular. Las enzimas requieren muchas veces la presencia de iones metálicos como K+ (ion potasio), Ca2+ (ion calcio) y Mg2+ (ion magnesio) u otras moléculas orgánicas llamadas coenzimas para realizar su actividad. Como comprenderá el lector, esto es un mundo apasionante pero complejo por la variedad y la riqueza de los procesos químicos esenciales para la vida.
A las enzimas se les conoce también como máquinas (mejor dicho, nanomáquinas) moleculares o motores de la vida ya que aceleran toda clase de reacciones bioquímicas de un organismo vivo, el proceso del metabolismo. Si no existiera esta actividad enzimática, los procesos que tienen lugar en las células podrían demorarse hasta miles de años en vez de segundos o incluso menos. No se comprende del todo bien, a día de hoy, la actividad enzimática. De hecho, aún no se ha podido sintetizar una enzima partiendo de cero y que pueda llegar al aumento notable de las velocidades de reacción alcanzadas por las enzimas naturales. Lo que sí parece bastante probable es que ayuden o participen para que el efecto túnel de los electrones y los protones tenga lugar.
La importancia de las enzimas es sin lugar a dudas remarcable. La función más importante es conseguir que la cantidad de reacciones químicas (que son millones) en los organismos vivos ocurran simultáneamente y a cada instante, en tiempos cortos compatibles con la vida de cada uno de ellos. Se las conoce también como biocatalizadores o catalizadores biológicos y son específicas para una o pocas reacciones químicas, pudiendo regular su actividad en función del medio que les rodea. A lo largo de la evolución, las enzimas pasaron de ser generalistas (estaban involucradas en muchos procesos químicos) a ser mucho más específicas. Otra propiedad sorprendente de las enzimas es que son capaces de regular su actividad en función de su entorno (como si fueran camaleónicas). Aparte de esta actividad tan básica, sus potencialidades son también numerosas. Por ejemplo, permiten diagnosticar enfermedades y están presentes en la industria química, farmacéutica y alimentaria.
§. Los lípidos o las grasas
En la arquitectura de un ser vivo (a partir de sus células), además de las proteínas, hay otro tipo de biomoléculas que ayudan a formar otras estructuras biológicas. Los lípidos son quizás los más importantes de estas moléculas no proteicas. La característica común de los diversos tipos de lípidos es la no solubilidad en agua. Los esteroides y los fosfolípidos son los más importantes. El esteroide más conocido es el colesterol cuya composición química se muestra en la figura 13. Los fosfolípidos son derivados de los triglicéridos que poseen un extremo hidrófobo (no soluble en agua o aversión al agua) y otro hidrófilo (soluble en agua o atracción por el agua) haciendo que se orienten o acomoden a las interfases aire-agua o grasa-agua. Las correspondientes alineaciones u orientaciones, según la fase, constituyen fácilmente capas monomoleculares. Los fosfolípidos también forman unas estructuras llamadas micelas dependiendo del medio acuoso u orgánico en donde están inmersos. Las capas monomoleculares se conocen con el nombre de membranas o biomembranas que se encuentran en las células. La membrana periférica de la célula actúa como una barrera permeable a moléculas liposolubles o no solubles en agua. Las membranas también se pueden formar a partir de una capa bimolecular que forman barreras lipoideas entre dos soluciones acuosas. Finalmente, la membrana micelar es otro tipo de membranas muy importante.

Figura 13. Estructura química del colesterol..
La biofísica de las membranas es un campo muy activo de investigación ya que determina, por ejemplo, el transporte de materia, carga (a través de iones) y energía entre dentro y fuera de la célula. El potencial de acción o diferencia de potencial aparece cuando hay un desequilibrio de carga entre ambas partes de la membrana (como en una batería). Estos potenciales de acción son especialmente importantes en las células nerviosas y algunas musculares debido a la alteración brusca de la permeabilidad del ion sodio (Na+). Este potencial de acción o impulso nervioso puede propagarse a lo largo de la membrana de una célula nerviosa como se propaga una llama a lo largo de un reguero de pólvora. Este movimiento alcanza un punto refractario o de reposo donde la membrana está inactiva y después se vuelve a reiniciar. La actividad de estas células se transmite por tanto a través de corrientes eléctricas que pueden ser medidas y controladas desde el exterior por expertos. Estas membranas lipoproteicas también juegan un papel fundamental en los procesos bioenergéticos.
§. Los glúcidos o hidratos de carbono (o carbohidratos)
Estas biomoléculas están formadas por C, H y O mediante enlaces covalentes que almacenan grandes cantidades de energía, la cual se libera en las reacciones químicas que se dan en el metabolismo de los seres vivos, proporcionando energía a la célula para crecer, reproducirse, mantener su estructura, responder a estímulos, etc. También pueden almacenarse para su consumo posterior. Otra función muy relevante de los glúcidos es su importancia en las estructuras esqueléticas, componente de las paredes celulares, etc. Se clasifican en monosacáridos, disacáridos, oligosacáridos y polisacáridos. Los azúcares suelen usarse para denominar a los monosacáridos y disacáridos. No debe confundirse con el azúcar (de mesa o refinada) que se refiere a la sacarosa, terrible para la diabetes. No es este el lugar ni el momento de hablar de la nutrición y la dieta, que tanta preocupación generan actualmente.
No quiero cerrar este capítulo sin antes referirme a la termodinámica de los seres vivos a través del metabolismo. La famosa segunda ley de la termodinámica establece que la entropía (o grado de desorden) aumenta en un sistema cerrado. La vida de los seres vivos contradice esta ley porque son sistemas abiertos donde hay siempre un intercambio de materia y energía con sus alrededores. De esta manera, estos no alcanzan el estado de equilibrio termodinámico que es el estado de entropía máxima, es decir, su muerte. Los seres vivos son sistemas de disipación o disipativos que mantienen un nivel bastante elevado de orden (o bajo de entropía) absorbiendo continuamente orden de su medio ambiente para compensar el aumento de entropía, retardando la degradación al equilibrio termodinámico. Como acuñó Schrödinger, se habla de negentropía cuando nos referimos a la entropía negativa que nos da idea de orden.
Para finalizar, quisiera felicitar al lector si ha sido capaz de superar este gran obstáculo en la lectura del libro. Si no, igualmente puede hacer un «acto de fe científico» —otro oxímoron— y seguir adelante, pues quedan temas apasionantes para acercarnos un poco más y entender mejor algunos procesos vitales.
Capítulo 3
Descripción cuántica de algunos procesos vitales
§. Quiralidad
§. Genética y epigenética
§. Fotosíntesis
§. Respiración
§. Magnetorecepción. Migración aviar
§. Olfato
Este capítulo y el siguiente son los temas centrales de este libro. Como dijimos al principio, hemos necesitado los dos capítulos anteriores para equiparnos del lenguaje mínimo necesario para entender mejor lo que sigue. Si el lector ha pasado esta barrera, no por efecto túnel, sino por su esfuerzo mental en esta lectura previa tan técnica, le felicito. Si algún lector ha utilizado el efecto túnel para llegar hasta aquí, tendrá un poco más de dificultad, pero también le felicito porque lo mejor está aún por llegar.
Ya entrando en materia, me gustaría hacer notar que es sorprendente que los electrones (su movimiento) jueguen un papel esencial para la vida, al igual que lo hacen en el funcionamiento de cualquier dispositivo tecnológico actual del que ya no podríamos desprendernos.
§. Quiralidad
L. Pasteur fue el primero en darse cuenta de que debía existir una fuerza asimétrica en la naturaleza responsable de la doble estructura de ciertas biomoléculas. El ácido tartárico (C4H6O6) se presenta cristalizado según dos estructuras diferentes, dependiendo si se sintetiza en el laboratorio o si se extrae de algún organismo vivo. Se percató que estas dos formas estructurales o conformaciones eran imágenes especulares una de la otra. La palabra quiral fue introducida por lord Kelvin para designar objetos que no son superponibles con su imagen especular, proviene del griego y significa «mano». Su propiedad, la quiralidad, es un concepto más simple de explicar en el mundo macroscópico que en el microscópico. La importancia de esta propiedad de la materia es tan fundamental que en las eternas preguntas sobre el origen de la vida no se puede dejar a un lado. Vamos a intentar en unas cuantas páginas que el lector adquiera una visión mínima pero suficiente para que sea capaz de medir por sí solo su importancia vital.
Empecemos por el mundo macroscópico. En la figura 14 se ve claramente que las manos izquierda y derecha de una persona son imágenes especulares (a través de un espejo) una de la otra. Al igual sucede con la letra «p” y la letra «q». Así, el concepto de quiralidad se refiere a la simetría especular que poseen dos objetos (manos, guantes, pies, zapatos, orejas, etc.). Por el contrario, los objetos que no poseen dicha propiedad se denominan aquirales (silla, botella, etc.). Si nos fijamos en la letra «p» vemos claramente que no es posible transformarla en la letra «q» mediante una traslación o una rotación (giro) dentro del plano de la hoja, es decir, sin que se salga de la hoja. Estas dos letras, por tanto, no se pueden superponer, al igual que ocurre con las manos.
Este carácter dual o dicotómico (y, por tanto, excluyente) de la quiralidad ya nos es familiar con otras propiedades de los cuerpos (estar arriba o abajo, dentro o fuera, vivo o muerto, sentir frío o calor, etc.). Pero también es cierto que los dos estados excluyentes son complementarios, pues cubren todas las posibilidades y no hay término intermedio. Según vimos en el capítulo 1, se puede deducir y prever fácilmente que las implicaciones de esta sencilla propiedad en la mecánica cuántica deben de ser fundamentales. Nos acercamos de nuevo al oxímoron y a la paradoja. En este mundo macroscópico no podemos decir «mi mano derecha está a la izquierda» o «tengo tanto frío del calor que hace», etc., a no ser que sea en sentido figurado o literario. Hasta aquí, todo está muy claro.

Figura 14. Imágenes especulares de la mano izquierda (que es la derecha), y de la letra p (que es la letra q), donde la raya intermedia indica un espejo.
En la química (inorgánica, orgánica y bioquímica), esta propiedad juega un papel esencial para entender muchas reacciones químicas y bioquímicas, además de interrogarse sobre la formación de compuestos quirales. Como dijimos en el capítulo anterior, los enantiómeros o isómeros ópticos son compuestos químicos tales que uno es la imagen especular del otro y, por tanto, no son superponibles. Las dos formas enantiómeras o enantioméricas tienen las mismas propiedades físicas, excepto que una gira el plano de la luz polarizada hacia la derecha o en sentido de las agujas del reloj, y la otra en el sentido contario, hablando del carácter dextrógiro o levógiro (del latín, dexter ‘derecha’ y levus ‘izquierda’). Se diferencian los dos enantiómeros por la etiqueta L (left: izquierda) y R (right: derecha). También tienen las mismas propiedades químicas excepto si reaccionan con otras moléculas quirales. Por tanto, la actividad biológica es muy diferente para cada enantiómero ya que la mayoría de las moléculas presentes en los seres vivos son quirales.
Uno de los problemas abiertos más fascinantes y sorprendentes, ligado a su vez a la aparición de la vida, es el origen de la homoquiralidad biológica. Esta propiedad consiste en que las moléculas quirales en los seres vivos solo presentan una de las dos conformaciones (L o R), estando completamente ausente la otra. Por ejemplo, todos los aminoácidos son L o levógiros y los azúcares R o dextrógiros. Se han propuesto varias explicaciones de esta discriminación quiral o asimetría en estas biomoléculas y, hasta la fecha, ninguna resulta suficientemente convincente.
El descubrimiento de un exceso de L-aminoácidos en meteoritos reavivó la idea de un origen extraterrestre de la homoquiralidad. Dos clases de teorías están vigentes hoy en día para explicar la homoquiralidad o por qué y cuándo se produjo la rotura de la simetría especular en las biomoléculas, una de naturaleza determinista y la otra de naturaleza estocástica o debida al azar. La primera teoría atrae quizás a más personas porque mantiene que cualquier causa tiene su efecto (algo que parece obvio); es la quintaesencia del determinismo. No obstante, como decía Feynman: «A philosopher once said: It is necessary for the very existence of science that the same conditions always produce the same results. Well, they don’t! [Un filósofo dijo una vez que es necesario para la misma existencia de la ciencia que las mismas condiciones lleven siempre a los mismos resultados; pues bien, no es así]». No se puede olvidar la componente estocástica de la naturaleza y, por tanto, ambas componentes deben estar presentes en cualquier teoría más general con un mayor o menor grado de implicación. Podría ocurrir que inicialmente un pequeño desequilibrio en la presencia de un enantiómero respecto del otro se fuera amplificando con el tiempo debido a reacciones autocatalíticas (reacciones químicas donde los productos son a su vez catalizadores de la reacción), provocando la homoquiralidad. Curiosamente, cuando las moléculas quirales se sintetizan en el laboratorio mediante agentes o reactivos aquirales, se obtiene lo que se llama una mezcla racémica que posee los dos enantiómeros al 50%.
En mecánica cuántica, el modelo simple más aceptado para representar la quiralidad es el que se conoce como modelo del doble pozo asimétrico que se ilustra en la figura 15. Como ya sabemos, la función de onda de la molécula es la superposición de las dos conformaciones o estados L y R (como la función de onda del gato, vivo y muerto). Más aún, se puede pasar de L a R o viceversa por efecto túnel debido a la barrera que existe entre ambas conformaciones o si hay bastante energía (por ejemplo, aumentando la temperatura), superando esa barrera (recordemos el símil de los pantanos empleado al explicar el efecto túnel en los capítulos 1 y 2). Si queremos conocer en qué conformación está la molécula quiral, debemos medir. Como ya sabemos también del capítulo 1, no se puede medir una superposición de estados y uno de los dos estados será el resultado de la medida. En la interpretación estándar de la mecánica cuántica, decimos que la función de onda ha colapsado a una de las dos conformaciones, L o R. Otra forma de ver lo mismo es a través de la decoherencia. El medio o entorno que rodea la molécula quiral hace de aparato de medida y se establece entonces el proceso de decoherencia, haciendo que la conformación L o R sea la que se observe. Dependiendo de la naturaleza del medio, aquiral o quiral, puede cambiar totalmente el resultado de esa medición. Esta podría ser una vía para entender la homoquiralidad.

Figura 15. Doble pozo asimétrico representando una molécula quiral genérica en sus dos formas o conformaciones, L y R. Cada bola gris representa un grupo de átomos. Una conformación es imagen especular de la otra.
El origen de la asimetría (o lo que se conoce muchas veces como rotura de simetría) del pozo de potencial es de carácter fundamental. Esta asimetría es debida a lo que se conoce como interacción débil o fuerza débil, una de las cuatro interacciones o fuerzas fundamentales de la naturaleza. Como sabemos estas fuerzas son:
1. La interacción electromagnética, que opera sobre las cargas eléctricas y da lugar a la atracción o repulsión de ellas dependiendo del signo de las cargas (ley de Coulomb).
2. La fuerza de la gravedad, siempre atractiva y responsable de que la manzana de Newton caiga.
3. La interacción fuerte que permite unirse a los quarks para formar partículas subatómicas llamadas hadrones; una manifestación de esta fuerza se da en los núcleos atómicos formados por protones y neutrones para mantenerse unidos.
4. La fuerza débil, responsable de que los quarks y leptones (o fermiones fundamentales) decaigan en partículas más livianas; es responsable también de la radioactividad y la llamada desintegración β (la partícula beta es un electrón o un positrón) que ocurre para ajustar la relación de protones y neutrones en un núcleo atómico inestable. Debido a esta inestabilidad, el electrón que se emite no proviene de los orbitales de un átomo, sino de la conversión del neutrón en un protón, un electrón y un antineutrino electrónico. Esta fuerza débil es quizás responsable de otras importantes asimetrías en el universo; por ejemplo, la mayor abundancia de materia que de antimateria o la asimetría de la carga. No confundamos la interacción fuerte y débil con la medida fuerte y débil que introducíamos en el capítulo 1.
Como el lector se habrá percatado rápidamente, cuando hemos mencionado que las dos conformaciones están separadas por una barrera de energía, como muestra la figura 15, la quiralidad está irremediablemente ligada al efecto túnel y la presencia de latidos cuánticos como una manifestación de la coherencia cuántica. Y, efectivamente, no le falta razón. Con el tiempo, las dos conformaciones L y R van apareciendo y desapareciendo según un movimiento oscilatorio.
En la figura 4 hablábamos de poblaciones y probabilidades de estar a la derecha o a la izquierda de la barrera. La probabilidad igual a 1 de estar a la derecha significaba que toda la población (o número de partículas) estaba a la derecha. Y lo mismo ocurría cuando razonábamos a la izquierda. Además, aquella figura ilustraba la evolución temporal del sistema donde, en el eje vertical, se mostraba la diferencia de poblaciones entre la derecha e izquierda y, en el eje horizontal, el tiempo. El valor +1 indicaba que todas las partículas estaban a la derecha de la barrera y ninguna a la izquierda; el valor –1, que todas las partículas estaban a la izquierda y ninguna a la derecha; y el valor 0, cuando había un 50% de partículas a la izquierda y otro 50% de partículas a la derecha. Las oscilaciones (o latidos cuánticos) más grandes o pequeñas dependían, entre otros parámetros, de la velocidad de transmisión o del efecto túnel.
Este mismo esquema de razonamiento puede aplicarse a una molécula quiral con sus conformaciones L y R y sus poblaciones respectivas. Lo que decíamos para la izquierda sirve para la conformación L y lo de la derecha, para la conformación R. En la figura 16 se muestra la evolución temporal de la diferencia de poblaciones de una molécula quiral cuando está rodeada por un medio aquiral a una temperatura baja dada. En el tiempo inicial t = 0 se parte de la conformación R y, a medida que avanza el tiempo, el efecto túnel hace que la población de la conformación L aumente, y por tanto la diferencia de poblaciones disminuye. Las oscilaciones amortiguadas (las amplitudes son cada vez más pequeñas) observadas recuerdan a los latidos cuánticos que, en el transcurso del tiempo, son cada vez más débiles. La diferencia de las poblaciones alcanza con el tiempo el valor nulo que implica la igualdad de las poblaciones, hablando entonces de una mezcla racémica. Esto es claramente una signatura de la incoherencia cuántica o decoherencia. Este comportamiento es típico en los procesos físico-químicos que presentan el llamado efecto túnel incoherente, en contraposición al efecto túnel coherente que se tiene cuando los latidos cuánticos no están amortiguados (como en la figura 4).

Figura 16. Ilustración de la decoherencia para una molécula quiral. Los latidos cuánticos van desapareciendo o amortiguándose con el tiempo hasta llegar a la mezcla racémica. Puede verse también como un ejemplo del efecto túnel incoherente.
Por último, añadir que la quiralidad es un buen ejemplo, de los muchos que hay, del efecto túnel a escala macroscópica y, por tanto, observable por nosotros mismos.
§. Genética y epigenética
Gracias al científico inglés R. Hooke empezamos a conocer que los organismos vivos están formados por unas unidades básicas que él denominó células. Así podemos decir que las células son la base fundamental de los organismos vivos o unidad mínima con «vida» o actividad propia (los átomos de la vida). Las células que carecen de núcleo se denominan procariotas y las que sí lo tienen, eucariotas. El diámetro medio de una célula está entre 10-100 micras (1 micra = 10-6 m). La célula está rodeada por una pared o membrana (membrana celular) que actúa como una barrera impermeable al agua, aislándola del medio que la rodea. Una de las vías para penetrar en la célula es mediante una especie de canales o «tuberías», que se denominan porinas, que permiten a los nutrientes entrar y a los deshechos salir. De una manera muy simplificada, la célula eucariota está formada por un núcleo que contiene cromosomas y la membrana plasmática. El citoplasma es un fluido o coloide viscoso y aparentemente desordenado, presentando una gran actividad en unas unidades o estructuras especializadas en funciones vitales denominadas orgánulos. Por ejemplo, las mitocondrias se encargan de la respiración dentro de la célula. En las células vegetales, los cloroplastos son los encargados de la fotosíntesis. Los tilacoides son membranas dispuestas en el interior de los cloroplastos y los motores de la fotosíntesis ya que están llenos de moléculas de clorofila que, como sabemos, capturan o recogen la luz como una antena. Estas antenas son proteínas de membrana insertadas en el tilacoide que tienen asociados los pigmentos de clorofilas; esos pigmentos se llaman cromóforos. La clorofila es quizás la segunda molécula más importante para la vida después del ácido desoxirribonucleico (ADN). Podemos decir que la célula funciona como una planta industrial miniaturizada. La célula y su entorno también pueden verse como portadores de información que se transmite a lo largo de muchos años de evolución.
Hay muchas maneras de definir qué es la vida y quizás una que puede ser aceptada por una gran mayoría (sin entrar en el terreno ético y religioso) es la autoorganización y la capacidad de replicar (autorreplicación) o reproducir fielmente la información genética de una generación a otra, es decir, la transmisión de la herencia. Un organismo vivo es, pues, capaz de extraer energía y entropía del medio del que está rodeado y utilizarlos para asegurar la perpetuación de su especie. Y esto nos lleva a la extraordinaria diversidad de la materia viva, que se adapta a cualquier situación imaginable e inimaginable por extrema que sea (recordemos los extremófilos). Esta diversidad o variabilidad proviene fundamentalmente de dos fuentes, las mutaciones y lo que se conoce como doble dotación, que se produce cada vez que tiene lugar una reproducción sexual.
El primer científico que viene a la mente de cualquier persona sobre la doble dotación es sin duda el monje austríaco G. Mendel. Curiosamente, sus trabajos sobre la genética en diferentes variedades de guisantes fueron totalmente ignorados por la mayoría de sus contemporáneos, incluido el naturista inglés C. Darwin. A principios del siglo XX, su trabajo fundamental en la genética fue finalmente reconocido y aceptado por la comunidad de biólogos. Fue el genetista estadounidense W. Sutton quien empezó a hablar de cromosomas y de que los genes (reminiscencia de los llamados factores mendelianos) estaban localizados en ellos. Posteriormente, el canadiense O. Avery (1877-1955) mostró que el ADN de los cromosomas contenía toda la información genética vital; podríamos decir que es un criptograma. Y quienes finalmente descubrieron la estructura molecular de la doble hélice del ADN fueron el biólogo estadounidense J. D. Watson y el biofísico británico F. Crick en 1953, a partir de los datos experimentales de la química y cristalógrafa británica R. Franklin.
Cada cadena o hebra del ADN está formada por nucleótidos como si fueran las cuentas de un rosario (al igual que en las proteínas, los aminoácidos). Otro ácido nucleico muy importante es el ácido ribonucleico (ARN) que posee una sola hebra o cadena. Un nucleótido está formado por un grupo fosfato (PO4-3) que se une a un azúcar (la desoxirribosa en el ADN y la ribosa en el ARN) y esta a una base nitrogenada por enlaces covalentes. Las estructuras de estos azúcares son idénticas excepto que la ribosa tiene la presencia de un átomo de oxígeno más. La unión fosfato-azúcar-base nitrogenada se puede repetir muchas veces para formar un polinucleótido. Las cuatro bases nitrogenadas diferentes que se encuentran en el ADN se denominan: adenina (A), guanina (G), citosina (C) y timina (T). En el ARN, la timina es sustituida por el uracilo (U). Forman el abecedario genético y su secuencia puede verse como un código que suministra las instrucciones vitales para la transmisión de la herencia. El conjunto del ADN de todo un organismo se conoce como genoma y puede verse como un manual de instrucciones.

Figura 17. Estructuras de las cuatro bases de los nucleótidos que forman el ADN. La adenina y la guanina son purinas, y la timina y citosina son pirimidinas.
En la figura 17 se muestran las estructuras de las cuatro bases que constituyen la molécula del ADN. Las dos cadenas (de fosfato-azúcar) se enrollan entre sí formando una espiral de tal forma que las bases están dirigidas hacia dentro, como los peldaños de una escalera de caracol. Las dos cadenas pueden verse como las dos barandillas de la escalera.
Estratégicamente, esta disposición es la ideal pues permite que las bases, que son hidrófobas, se escondan dentro de la molécula mientras el grupo fosfato y restos de azúcar, que son hidrófilos, queden fuera en contacto con el medio acuoso. Estas bases se unen formando puentes de hidrógeno. La timina (T) se une con la adenina (A) y la citosina (C) con la guanina (G), formando largas cadenas mediante enlaces de hidrógeno del tipo O---H y N---H. En la figura 18 mostramos esquemáticamente la molécula de ADN. El emparejamiento es siempre purina-pirimidina (figura 17). Estas bases se unen en un plano, los electrones π (capítulo 2) se encuentran por arriba y por debajo de dicho plano, como en la molécula de benceno. La estructura por tanto es estable, permanente y fácilmente replicable. Si conocemos una cadena del ADN, podemos predecir la secuencia de las bases en la otra cadena o hebra. El enlace de hidrógeno, como ya sabemos, es un enlace débil que permite, con poco gasto energético, que las dos hebras de la estructura helicoidal puedan separarse facilitando la auto-replicación para la perpetuación de la vida. Este simple mecanismo de copia, que está detrás del origen de la vida, es de naturaleza cuántica, o dicho más precisamente, de química cuántica.

Figura 18. Estructura esquemática de la molécula del ADN. Las dos cadenas o hebras están entrelazadas helicoidalmente y los peldaños de la escalera de caracol que nos sugiere la figura son los puentes de hidrógeno de las bases nitrogenadas provenientes de cada cadena.
El químico sueco P.-O. Löwdin dio la razón a Schrödinger cuando este afirmaba, en su libro, What’s life?, que la mecánica cuántica estaba detrás de la herencia. Las letras genéticas son letras cuánticas y, por tanto, las leyes que rigen esa herencia tienen que ser cuánticas, no clásicas. La información hereditaria está, pues, codificada en las secuencias de las bases de los polinucleótidos. Más aún, está íntimamente relacionada con la estructura de las proteínas y, por tanto, debería especificar el orden de los aminoácidos en la estructura primaria de la proteína. Ahora bien, tenemos solo cuatro nucleótidos diferentes en el ADN y 20 aminoácidos que están implicados en la formación de las proteínas. ¿Cómo es el mecanismo de codificación? La secuencia más pequeña que codifica cada uno de los 20 aminoácidos es una secuencia de tres y a estos tripletes se les llama codones. En última instancia, el ADN es una lista de proteínas que marcará sus funciones y su mantenimiento. La biosíntesis de las proteínas tiene lugar en los ribosomas que son compuestos formados por proteínas y ARN en la proporción aproximada de 3 a 2. La mayor parte del ARN de la célula se haya concentrado en ellos. Simplificando, cuando se habla de la «lectura» del ADN significa que el ADN genera el ARN (proceso de transcripción) y este genera a la proteína (proceso de traducción). Esto se ha considerado un dogma de la biología molecular, que fue establecido por Crick muy a su pesar, pues hay multitud de matices en este proceso de lectura. En el proceso llamado de retro-transcripción, el ARN puede volver a codificar ADN, pero algunas moléculas de ARN jamás darán proteínas. Animo al lector interesado a leer libros más especializados en este apasionante tema.
Hoy en día es bien sabido por todos que la forma de replicar el ADN no está exenta de errores o mutaciones que ocurren de forma espontánea (la probabilidad es menor que uno entre mil millones). El genoma en nuestras células consiste en alrededor de tres mil millones de letras genéticas que están codificadas en unos 54.000 genes. Hay mutaciones que también son debidas a factores externos y tienen diferentes orígenes (luz ultravioleta, radioactividad, rayos cósmicos, elementos contaminantes, fármacos, etc.) y son las causantes de las enfermedades genéticas. El cáncer es una de ellas; es debido al descontrol en el crecimiento de las células que se producen los tumores. Pensemos de la siguiente forma: si el mecanismo de autorreplicación fuese siempre perfecto, la vida nunca hubiera podido darse en toda su amplia y rica diversidad como la conocemos. Incluso más aún, la vida hubiera desaparecido muy pronto a lo largo de la evolución. No hay rosa sin espinas.
Con la teoría de la evolución de Darwin, la supervivencia del mejor adaptado o selección natural eclipsó la teoría del naturalista francés J. P. Lamarck, que postulaba la capacidad de los seres vivos de adaptarse al medio que les rodeaba, transmitiéndose las adaptaciones a futuras generaciones por vía hereditaria (Lamarck fue el primero que acuñó la palabra biología como la ciencia de los seres vivos, en 1802). Es de justicia también recordar al naturalista británico A. R. Wallace, que propuso prácticamente las mismas ideas que Darwin. Esa selección natural actuaba mediante muy pequeñas variaciones en la herencia. La síntesis neodarwiniana consistió en añadir la teoría genética debida a Mendel. S. E. Luria y M. Delbrück descubrieron que las mutaciones ocurren al azar, pudiendo ser dañinas algunas veces, pero muy buenas en otras ocasiones para la supervivencia de alguna especie en algún ecosistema determinado. Sus experimentos les valieron, como ya dijimos en el prefacio, el premio Nobel de Medicina en 1969, pues demostraron que la teoría neodarwiniana era la buena, frente a la de Lamarck.
La química cuántica debe estar detrás de, al menos, algunas mutaciones, si no de todas. No se conoce todavía cómo influye en la mayoría de ellas, pero quizás podamos algún día afirmar que, en última instancia, todas las mutaciones son cuánticas. Watson y Crick sugirieron que el proceso llamado de tautomerización (que implica, como expusimos en el capítulo anterior, el movimiento o migración de protones o grupos de átomos dentro de una molécula de un sitio a otro) podría ser el origen de algún tipo de mutación. Esta tautomerización ocurre en los enlaces de hidrógeno de los pares A-T y C-G que son enlaces débiles y muy flexibles. En la figura 19 se muestra ese proceso de tautomerización para el par A-T. Esta tautomerización es crítica si se produce en el momento de la copia o replicación, ya que entonces el tautómero de T podría unirse a G en vez de a A y la copia ya no sería fiel. Análogamente, la forma tautomérica de A podría unirse a C en vez de a T. Esto llevaría a una mutación en la secuencia del ADN que heredaría la progenie. Löwdin propuso posteriormente que la tautomerización se producía por efecto túnel y era también responsable de esta mutagénesis (o aparición de mutaciones).

Figura 19. Tautomerización del enlace A-T.
En 2011, casi 60 años después de esa propuesta, se demostró que efectivamente la tautomerización puede ser un desencadenante o conductor de la mutación y, por tanto, de la evolución de las especies. Como en la quiralidad, el doble pozo es un buen modelo para los dos tautómeros. Que se tenga uno u otro depende del medio o entorno ya que, como dijimos, este funciona también como un aparato de medida que realiza medidas de una forma casi continua. Al no poderse medir superposiciones, una de las dos formas es la que se registra o queda, dando lugar a las mutaciones. De otra forma, si el proceso de transcripción se considera una medida cuántica continua, las probabilidades de la mutagénesis aumentan. Por supuesto que la lectura del ADN también está sujeta a muchas reacciones bioquímicas que pueden dañar o perturbar la estructura molecular de los genes de muchas formas.
Por otra parte, en experimentos de genética llevados a cabo originalmente por el grupo de J. Cairns, se observó lo que se conoce como mutaciones adaptativas que tienden a ocurrir en los entornos donde son más ventajosas, cuando implican una ventaja. Esto va lógicamente en contra del dogma de la biología molecular antes mencionado teniendo una cierta reminiscencia a la idea lamarckiana de la evolución. J. McFadden y J. Al-Khalili estudiaron la posibilidad de que el efecto túnel a través del protón pudiera estar detrás de estas mutaciones adaptativas. El problema ahora aún está completamente abierto. La imagen de un doble pozo asimétrico para los dos tautómeros es la que suministra un modelo bastante plausible, aunque simplificado. Y esta imagen nos lleva inmediatamente a que el medio podría ayudar también a favorecer el efecto túnel del protón. No descarto que la resonancia estocástica cuántica pudiera también influir de alguna forma en este interesante problema.
Un aspecto muy importante que conviene resaltar al hablar del ADN es que muchos lo consideran como una molécula fósil. Son moléculas que nos hablan del pasado, de la historia de su evolución. Cualquier molécula orgánica no tiene historia alguna excepto su síntesis realizada en el laboratorio.
Una vez analizados muy someramente, desde el punto de vista bioquímico, algunos aspectos importantes de las «moléculas de la vida», me gustaría hacer una brevísima incursión en lo que se conoce como mecanismos epigenéticos. El objetivo primordial es entender la complejidad de un organismo vivo como el hombre donde cada célula posee una función determinada. Para ello, debemos de aceptar desde el principio dos propiedades que definitivamente marcan la dinámica génica. La primera propiedad es la versatilidad y plasticidad de las células ya que realizan todo tipo de funciones dependiendo de su ubicación en el organismo vivo. Cada una de ellas puede verse como una gigantesca planta industrial especializada en determinadas tareas. Las plantas industriales requieren generación y transformación de la energía, maquinaria, herramientas, trabajadores y una perfecta organización para su funcionamiento. En términos bioquímicos, las proteínas y las enzimas, los ácidos nucleicos, los mecanismos de reacción, la síntesis, la generación de energía, etc. hacen esas tareas.
La segunda propiedad es el «automatismo» celular. Todas sus actividades están pautadas o guiadas automáticamente; en otras palabras, se funciona de acuerdo a las leyes de la química cuántica. No hay planes directores, jefes, reuniones para buscar una mejor estrategia de trabajo, mayor producción, etc. Por otra parte, los genes son las unidades de información. Cada cierto tramo del ADN corresponde a un gen que contienen los codones o tripletes de nucleótidos cuya traducción conduce a la síntesis de un aminoácido. No obstante, hay partes del ADN que no terminan formando ninguna proteína teniendo una función reguladora o estructural. En nuestra especie, el genoma es el conjunto de genes contenidos en los cromosomas. El número de cromosomas varía mucho de une especie a otra. La especie humana presenta 23 pares de cromosomas donde se encuentra la herencia de los caracteres. Cada cromosoma es una molécula de ADN de diferente tamaño y con regiones que no codifican información para traducir a proteínas. Los telómeros son los extremos de los cromosomas, regiones del ADN no codificante, altamente repetitivas, y suministran la estabilidad estructural de los cromosomas previniendo la fusión de estos al ponerse en contacto por sus extremos. Están involucrados en enfermedades como el cáncer, así como en el envejecimiento. Como todas las células de un organismo parten del mismo manual de instrucciones, y cada célula se especializa en una determinada función, tiene que haber mecanismos que activen o inhiban ciertas instrucciones que se denominan mecanismos epigenéticos. En el manual de instrucciones, dependiendo de esos mecanismos, hay capítulos que se cierran y no pueden abrirse. Esto es particularmente importante en la división celular, cuando se parte de las células embrionarias.
Pensemos de nuevo en el LEGO. Unas piezas con su manual de instrucciones y herramientas de montaje apropiadas crearán una estancia de una casa, otras crearán otra estancia y así sucesivamente. El genoma es algo dinámico que se daña y repara constantemente incluyendo las mutaciones o la acción de agentes mutágenos externos. La interacción entre ambiente y genes explica las características finales de un individuo o fenotipo partiendo de su conjunto de genes particulares o genotipo. Como decía T. Jenuwein, si el genoma es un libro entero, la epigenética sería la lectura que cada uno podría hacer de dicho libro con sus interpretaciones y modificaciones sujetas a cada lector al hacer uso del libro en cada momento. La epigenética va en contra del determinismo genético regulando el papel de los genes. La influencia educativa o cultural de los progenitores también entra dentro de lo que se conoce como entorno.
Uno de los mecanismos epigenéticos es el que se conoce como metilación en el ADN. Es un proceso químico que consiste en añadir un grupo o radical metilo (–CH3) a una base nitrogenada; en concreto, a la citosina. La región del ADN «metilada» es la marca para silenciar. Como ya sabemos, las proteínas se encargan de leer e interpretar la lista de instrucciones y como tienen una amplia diversidad estructural y funcional son responsables de toda la actividad de la célula. En particular, de obtener el ARN a partir del ADN. En este proceso de transcripción (lectura), que es el primer paso para convertir la información de los genes en proteínas, la copia del ARN está sujeta a que se silencien o inhiban la expresión génica en el segundo paso, que es la formación de proteínas. También están las acetilaciones (añadir un grupo acetilo, –COCH3) y fosforilaciones (añadir un grupo fosfato, PO4-3). Los mecanismos son más complicados porque puede haber casos de retrotranscripción o que el ARN no codifique ninguna proteína o incluso pueda inhibir la traducción.
Siguiendo con la epigenética, la reproducción es una etapa esencial de cualquier organismo vivo. La determinación sexual proviene de un equilibrio hormonal muy crítico. Inicialmente, todos somos asexuados o potencialmente hembras o machos. Que los andrógenos o estrógenos se impongan marca la diferencia, sabiendo que la estructura química de ambas es muy parecida y deriva de la molécula del colesterol. Hay especies en donde la temperatura del ambiente juega un papel esencial para la determinación del sexo (lubinas, tortugas…). Se observó que se producía una metilación aumentando los niveles de andrógeno, lo que llevaba a la atrofia de los órganos femeninos.
Aún queda mucho por investigar en este campo tan fundamental y excitante a la vez. Sin duda, nos deparará sorpresas y grandes alegrías en muchos campos de la medicina tales como la curación de muchas enfermedades mortales o crónicas hoy en día, la reproducción, el envejecimiento, la medicina forense, la arqueología, la evolución de las especies, la biotecnología, etc., sin mencionar cuestiones fundamentales de tipo ético e incluso religioso para muchos.
No quisiera finalizar este apartado sin antes mencionar el fuerte paralelismo que existe entre la epigenética, en el contexto de la genética, y su extensión al dominio de la mecánica cuántica, la epigenética cuántica, de la que hablé en el primer capítulo. Creo que el lector convendrá conmigo que la noción de epigenética puede extenderse sin dificultad para entender muchos campos del conocimiento; recordemos de nuevo a Ortega y Gasset en su famosa frase mencionada en el capítulo 1. Resulta, pues, curioso que el silenciar o activar genes, al tener una base molecular, esté también relacionado con la química cuántica.
§. Fotosíntesis
Es de todos bien conocido que el Sol es el principal responsable de la vida en la Tierra; en otras palabras, de los llamados procesos bioenergéticos. Simplificando al máximo, podemos decir que cuando un fotón proveniente del Sol interacciona con el electrón de una molécula de un organismo vivo, el electrón se excita y pasa a un nivel de energía superior y tarda, en general, de unos 10-9 a 10-8 segundos en volver a su estado fundamental. La energía que libera el electrón en su vuelta al estado fundamental es la fuente de energía que se utiliza para cualquier proceso bioenergético. La energía de los fotones solares se halla principalmente en el espectro visible. En las plantas verdes, la molécula de la clorofila es la responsable de la captación de los fotones solares. Esta contiene átomos de carbono, nitrógeno, oxígeno, hidrógeno y magnesio. El electrón más externo del átomo de magnesio se excita entonces a un nivel superior de energía y en vez de volver a su estado fundamental directamente, el electrón se escapa de la clorofila, quedando esta oxidada (ha perdido un electrón), y creándose un «hueco» (ausencia de electrón, cargado positivamente). El hueco y el electrón excitado forman un sistema que se denomina un excitón.
Los excitones pueden verse como una diminuta batería con su polo positivo y negativo que almacena la energía absorbida para un uso posterior. Los excitones son inestables y, después de un cierto tiempo, se pueden recombinar, es decir, el electrón escapado vuelve a su posición original, el orbital en el átomo de magnesio, desapareciendo el hueco; la energía solar del fotón se pierde en forma de calor. No obstante, para que esto no ocurra y se aproveche la energía solar capturada, el excitón tiene que desplazarse muy rápidamente a un centro de reacción donde el electrón huido se almacena creando una batería química más estable que el excitón llamada NADPH (nicotinamida adenina dinucleótido) para su uso posterior en todas las importantes reacciones químicas fotosintéticas. En todo este proceso ultra-rápido, el mecanismo de transporte electrónico es esencial. Vamos a detallarlo sucintamente.
En 2005, se descubrió la existencia de complejos fotosintéticos en bacterias que viven en el fondo del mar (cerca de la zona abisal, entre 4.000 y 6.000 metros de profundidad) donde pueden absorber en promedio un fotón por minuto. Esa luz es absorbida por el clorosoma que es quizás la antena fotosintética más eficiente de todas las existentes. Esa antena se encarga de transferir la luz captada a un centro de reacción donde se inician los procesos bioenergéticos. El clorosoma está compuesto por más de cien mil moléculas de bacterioclorofila y un número de carotenos que se denominan popularmente «chorizos de Andouille» por su auto-organización en rollos. Estas estructuras internas están adyacentes a una placa de moléculas de clorofila o clorofilas que realizan el transporte de energía al centro de reacción a través de unos compuestos denominados complejos FOM (por sus descubridores R. E. Fenna, B. W. Matthews y J. M. Olson, en 1975). Estos complejos, que tienen siete bacterioclorofilas, sirven como un cable que transporta la energía con una eficacia de más del 98%. Son estos complejos los que se excitan al absorber las 22 moléculas de clorofila que forman la luz solar. Estos electrones excitados se transfieren a las proteínas de menor energía hasta llegar a la más cercana al aceptor, la zona del complejo que hará el almacenamiento de la energía. La excitación electrónica es, pues, convertida en una excitación de transferencia de carga que, a su vez, inicia otra transferencia electrónica. Este transporte del electrón se da a través de un bosque de moléculas de clorofila que también excitan su electrón del átomo de magnesio, apareciendo el ya mencionado excitón. Hasta hace relativamente poco tiempo, se pensaba que este transporte electrónico tenía lugar completamente al azar dentro de ese bosque con la consiguiente disipación o pérdida de energía (mecanismo poco eficiente energéticamente). La imagen que más se ajusta a este transporte es el llamado caminante aleatorio (random walk) que lo representa muy bien: un borracho con su paso zigzagueante. Pero este mecanismo no encajaba con la extraordinaria eficiencia de la fotosíntesis.
En 2007, el grupo de G. Fleming empleando técnicas de espectroscopía de femtosegundo (1 femtosegundo = 10−15 segundos) mediante láseres analizó la transferencia energética dentro de los complejos FMO en fase acuosa. Sorprendentemente, se observó que la evolución de la excitación electrónica debido a la absorción de la luz mostraba coherencia cuántica (latidos cuánticos) durante unos 600 femtosegundos. Digo sorprendentemente porque en el medio celular (viscoso, caliente y turbulento o caótico) nadie diría que la coherencia cuántica pudiera mantenerse durante tanto tiempo. Así, en lugar de que la excitación deambule de un estado de excitación colectivo de las clorofilas, el excitón, a otro como se presuponía, esta (cuasi) partícula u onda oscila entre los diferentes caminos o alternativas que se forman en las siete clorofilas manteniendo esa coherencia cuántica en un medio acuoso. Muchos biólogos fueron muy reacios a aceptar esta interpretación, pues el experimento se realizó a 77 K, una temperatura muy baja que no se da en los organismos vivos (entre 200 y 300 K). Pero también sorprendió a los físicos cuánticos porque 77 K es muy alta para mantener la coherencia cuántica. En resumidas cuentas, no dejó a nadie satisfecho, pero todos quedaron muy perplejos. No obstante, nuevos experimentos fueron llevados a cabo y aumentaron la temperatura a 180 K e incluso a temperatura ambiente (unos 300 K). La duración de la coherencia cuántica ha llegado a medirse incluso en el rango de los picosegundos (1 picosegundo = 10−12 segundos), tres órdenes de magnitud mayor. Numerosos grupos teóricos se dispusieron a plantear modelos dentro de la mecánica cuántica de sistemas abiertos para poder entender lo que estaba pasando en este tipo de transferencias básicas para la vida. El grupo de A. Aspuru-Guzik propuso en 2008 que la eficiencia de este proceso energético era debido a un mecanismo que se conoce como transporte cuántico asistido por el entorno o ambiente (donde se combina el efecto Zenón y la coherencia cuántica perfecta). El modelo de caminante aleatorio clásico no era una buena descripción de lo que estaba ocurriendo. Era mejor aceptar el modelo del camino cuántico, varias alternativas o caminos al mismo tiempo.
Este proceso está aún en pleno debate, pero, qué duda cabe, que mejorar la eficiencia de los paneles solares es otra aplicación que podría beneficiarse del estudio de la fotosíntesis. Sabemos que la energía es cada vez más un problema por su carestía y contaminación, además de que los recursos naturales se van agotando.
§. Respiración
Como hemos descrito brevemente en el capítulo 2, en las reacciones redox hay un trasiego de electrones entre los reactivos y los productos. Estas reacciones también se denominan reacciones con transferencia electrónica desde un átomo o una molécula donante a otro átomo o molécula receptora. Como dijimos, la combustión de carbono es un ejemplo típico de esta clase de reacciones. La energía liberada como calor al producirse dióxido de carbono (CO2) es utilizada por el hombre para muchas actividades. Algo similar ocurre con la respiración. Este proceso vital muy eficiente y aparentemente tan sencillo, presenta bastantes sutilezas a nivel microscópico.
En general, podríamos decir que los depósitos de energía más importantes de los organismos vivos son los enlaces covalentes que unen las moléculas e hidratos de carbono. Otro de ellos es la síntesis del ATP a partir del ADP (difosfato de adenosina) y el ácido fosfórico (H3PO4) que se conoce como fotofosforilización debido a los electrones excitados por la luz solar. Los animales se benefician de este proceso bioenergético comiendo hierba. De ahí el famoso dicho, «toda la carne es hierba».
En nuestras células, la mitocondria es un orgánulo citoplasmático que tiene como principal función la producción de energía mediante el consumo de oxígeno y la obtención del dióxido de carbono y agua. Los nutrientes que se obtienen de la comida como, por ejemplo, los carbohidratos se transforman en el estómago en azúcares (como la glucosa), que se transporta por el flujo sanguíneo y se reparte por las células. El oxígeno necesario para quemar los azúcares se obtiene de la sangre a partir de los pulmones, desde donde llega a las células. Los electrones liberados en la combustión se almacenan en la molécula NADH, que es una coenzima. Los electrones van pasando de una enzima a otra a través de lo que se conoce como una cadena respiratoria de enzimas dentro de la célula; vamos, como una carrera de relevos donde se van pasando el testigo. En cada paso, el electrón excitado pasa a un estado de energía más bajo (se va desexcitando) y la energía liberada se utiliza para que las enzimas bombeen protones fuera de la mitocondria. La diferencia de protones fuera y dentro de la mitocondria se utiliza para impulsar rotaciones de otra enzima llamada ATPasa que produce la biomolécula ATP. El ATP es muy importante en todas las células vivas ya que actúa como una batería de energía que puede fácilmente ser transportada por la célula para iniciar muchas actividades que requieren consumo de energía. Retomando nuestra analogía previa en el capítulo 2 de una central hidroeléctrica, las turbinas serían la enzima ATPasa y el agua haría el papel de los protones.
Lo curioso del mecanismo es que la transferencia electrónica entre dos enzimas dentro de la célula tiene lugar a través de un espacio de varios angstroms (1 angstrom = 10-10 m) es decir, de varios átomos y, por tanto, más lejano de lo que se pensaba para un salto electrónico. Este era el nudo gordiano del mecanismo. Durante los años cincuenta del siglo pasado, el laureado con el premio Nobel R. A. Marcus propuso una teoría sobre la velocidad a la cual los electrones pueden saltar o moverse entre diferentes átomos o moléculas mediante el efecto túnel. Posteriormente, en 1966, D. DeVault y B. Chance mostraron que la velocidad del salto electrónico en las enzimas que actuaban en la respiración disminuía con la temperatura hasta llegar a un valor constante. Esta evidencia experimental y estudios posteriores más específicos en las enzimas mostraron claramente que algún mecanismo cuántico debía estar presente, en particular, el efecto túnel de los electrones a través de una barrera. Curiosamente, en muchas reacciones enzimáticas, el efecto túnel de los protones a través de barreras también ha sido probado experimentalmente, a pesar de que el protón es unas dos mil veces más pesado que el electrón.
A raíz de los experimentos llevados a cabo por Fleming y su grupo, V. Vedral quiso saber si se podrían encontrar efectos cuánticos como en la fotosíntesis en el reino animal. En vez de utilizar láseres y llevar a cabo experimentos en el laboratorio, se podía acercar más a la realidad utilizando luz solar y células vivas. Como hemos dicho, la factoría de energía en una célula animal es la mitocondria (en la célula vegetal están la mitocondria y el cloroplasto), un repositorio para transportar energía de la glucosa aprovechada de la comida hacia los electrones para excitarlos. Estos electrones excitados son entonces usados para provocar una cascada de reacciones para obtener ATP, la molécula que sirve de gasolina para el motor celular. Esta cascada de reacciones no es tan eficiente si los electrones van saltando de molécula en molécula dentro de la mitocondria a la velocidad que el ATP necesita generarse. De nuevo, la explicación más plausible es que los electrones están en un estado superposición distribuidos en todas las moléculas que están en la línea de producción del ATP. Los errores en la trasferencia electrónica en la mitocondria podrían estar ligados a ciertos cánceres y a la enfermedad de Parkinson. Esto está actualmente bajo estudio.
De nuevo, lo que no deja de intrigar a los físicos, los químicos y los biólogos es que siendo la célula un lugar extraordinariamente «poblado», con constante agitación térmica y turbulento o caótico, la coherencia cuántica pueda sobrevivir para que tenga lugar el efecto túnel.
§. Magnetorecepción. Migración aviar
Nuestro planeta puede verse como un imán gigante y, por tanto, existe un campo magnético que se extiende hasta varios miles de kilómetros de altura respecto a la superficie terrestre. La magnetoesfera es la capa o escudo magnético que nos protege del viento solar y permite la vida en la Tierra. Hoy en día está fuera de toda duda que muchas especies animales han desarrollado formas de aprovecharse del campo magnético terrestre; en particular, para navegar. Explicarlo no es tarea fácil. Los humanos también nos beneficiamos de este campo gracias, por ejemplo, a la brújula.
En 1850, el ruso A. von Middendorf evidenció por primera vez que los pájaros migratorios se orientan gracias al campo magnético terrestre. Ni qué decir tiene que, para los científicos de la época, esta investigación, durante mucho tiempo, resultó bastante sospechosa por no decir pseudocientífica. Recordemos que las palomas mensajeras se han utilizado desde la antigüedad e incluso en la Segunda Guerra Mundial. Más aún, las tortugas son también capaces de volver a su lugar de nacimiento desde miles de kilómetros de distancia. El reconocimiento del extremadamente débil campo magnético terrestre (unas cien veces más pequeño que el imán que se suele poner en las puertas de la nevera en casa) y su dirección es otra forma de guiarse por la Tierra. Esta sensibilidad «magnética» se conoce con el nombre de magnetorecepción y también la poseen, entre otras especies, la mariposa monarca y la mosca de la fruta.
En 1997, se sugirió que la tortuga arco iris utiliza unas células magnetoreceptoras situadas en la nariz; sería como si «olieran» el campo magnético. La mariposa monarca es capaz de viajar varios miles de kilómetros desde el sureste de Canadá hasta el centro de México. Lo que es realmente curioso y sorprendente es que ninguna realiza el vuelo de ida y vuelta completo, pues son sus nietos los que llegan finalmente al destino. Incluso seres vivos que no migran retienen alguna sensibilidad a la magnetorecepción. Se puede afirmar, sin lugar a dudas, que los animales tienen una cierta habilidad para detectar el campo magnético terrestre. El petirrojo europeo, que es capaz de navegar más de tres mil kilómetros desde Suecia central hasta la costa norte africana gracias a la magnetorecepción, es digno de estudio. En 1978, el matrimonio alemán Wiltschko junto con S. T. Emlen y N. J. Demong publicaron en la revista Science un artículo donde se estableció claramente que el petirrojo europeo era capaz de detectar el campo magnético terrestre distinguiendo entre el polo y el ecuador, no como una brújula que distingue los polos norte y sur magnéticos. La explicación radica básicamente en la existencia de las líneas de fuerza que todo campo magnético presenta.
Recuerdo que en mis años en la enseñanza secundaria una de las prácticas de física consistía en poner unas limaduras de hierro sobre una hoja de papel bajo la cual se colocaba un imán. Estas limaduras se distribuyen sobre la hoja de papel siguiendo unos semicírculos que empiezan y finalizan en cada uno de los polos del imán. Ahora debemos imaginar que la Tierra es como un imán gigantesco, las líneas de fuerza del campo magnético terrestre emergen del polo sur magnético, radian hacia afuera curvándose y entran por el polo norte magnético (los polos magnéticos y geográficos de la Tierra no coinciden exactamente). Esas líneas están muy curvadas cerca de los polos (emergen y entran formando casi un ángulo recto, 90º) y mucho menos curvadas, casi paralelas a la superficie terrestre (formando un ángulo de 0º), cuando pasan por el ecuador. El petirrojo funciona como una brújula que es capaz de detectar ese ángulo de inclinación. Lo que quedaba aún por descubrir era cómo funcionaba esa brújula desde el punto de vista químico y/o biológico.
A mediados de los años setenta del siglo pasado, el alemán K. Schulten propuso un mecanismo que ligaba la luz con la magnetorecepción. Sus cálculos teóricos avanzaban la idea muy arriesgada (y quizás extravagante) de que la propiedad cuántica de entrelazamiento de los espines de los electrones estaba presente en las reacciones químicas estudiadas que implicaban la presencia de radicales. Curiosamente, el trabajo que publicó con sus colegas fue rechazado por la prestigiosa revista Science. Lo publicaron finalmente en una revista alemana de mucho menos impacto (menos conocida en el campo) porque ellos pensaban que estaban en lo cierto.
En el capítulo 1 mencionábamos el principio de exclusión de Pauli, que afirmaba que dos electrones no pueden estar en el mismo estado energético con espines paralelos (los dos dirigidos hacia arriba o hacia abajo), sino que tienen que estar antiparalelos (uno dirigido hacia arriba y el otro hacia abajo). Cuando dos electrones se comparten en un enlace químico o en una órbita atómica, sus espines tienen que ser también anti-paralelos y a este estado de energía se le llama estado singlete. Ocurre a veces, bajo ciertas condiciones, que dos electrones pueden estar con sus espines paralelos y se habla entonces de estado triplete. Imaginemos que uno de los dos electrones de un estado singlete en un mismo átomo salta a un átomo vecino. Los dos electrones se pueden encontrar en los diferentes átomos con espines paralelos formando un estado triplete. Los dos electrones están así correlacionados cuánticamente y forman un estado entrelazado cuya función de onda es la superposición del estado singlete y triplete. Más aún, en el capítulo 2 decíamos que los enlaces covalentes comparten un par de electrones. Estos dos electrones están correlacionados o entrelazados cuánticamente y, en general, forman un estado singlete. Si el enlace se rompe, estos electrones siguen estando entrelazados. Los átomos separados, que se llaman radicales libres, tienen un electrón cada uno y el espín de uno de ellos puede cambiar de sentido. Así, los dos electrones se pueden representar por una superposición de estados singlete y triplete. Esta superposición no está «equilibrada», es decir, no hay un 50% de que se encuentren en el estado singlete y otro 50% en el estado triplete; es decir, la probabilidad de cada estado no es la misma. Precisamente estas dos probabilidades dependen de acciones externas como, por ejemplo, un débil campo magnético; en particular, el extremadamente débil campo magnético terrestre. Como los radicales son muy inestables ya que los electrones libres buscan formar parejas en tiempos muy cortos de tiempo, se combinarán en una reacción química para dar productos. La relación de probabilidades del estado singlete al triplete hace que los productos de la reacción puedan ser diferentes. Es como, por ejemplo, cuando lanzamos una moneda al aire, una corriente de aire puede cambiar el resultado de salir cara o cruz. A veces efectos insignificantes sobre un sistema pueden tener grandes consecuencias si este se encuentra en un estado inestable; por ejemplo, una roca muy grande colocada cerca de un abismo solo requerirá un leve empujón para caer. Pero volvamos a nuestro relato principal, no nos desviemos.
Los radicales libres están situados en los ojos de las aves migratorias o palomas mensajeras, en sus fotoreceptores. La proteína llamada criptocromo es la responsable y se encuentra enrollada alrededor de un pigmento molecular llamado FAD (dinucleótido de adenina y flavina) que es una coenzima que interviene en las reacciones metabólicas de oxidación-reducción. Al absorber luz azul (fotones con una energía determinada), un electrón de uno de los átomos de la FAD se eyecta como en la fotosíntesis, dejando una vacante. La vacante se rellena por otro electrón que proviene de un par de electrones entrelazado (de los que hablábamos antes) en un aminoácido llamado triptófano dentro del criptocromo. Pero este electrón sigue estando entrelazado con su pareja en una superposición de estado singlete y triplete; es decir, la pareja de electrones está saltando entre un estado y el otro. Este estado de superposición puede interaccionar con un campo magnético oscilante con una frecuencia igual a la de los saltos de los electrones, entrando pues en resonancia y activando la brújula química. Como sabemos, mantener la superposición está relacionado con la coherencia cuántica. Hace falta que esta se mantenga durante un cierto tiempo para que esta interacción pueda ser efectiva. Este mecanismo aún está siendo cuestionado, pero hay cálculos teóricos que mantienen que esta superposición puede mantenerse al menos unos diez microsegundos, tiempo suficiente para interaccionar con un campo magnético oscilante. Se ha estimado que la interacción de ese campo magnético con las moléculas del organismo vivo es alrededor de una billonésima de la energía requerida para romper un enlace covalente. Actualmente, este problema está completamente abierto pero las recientes investigaciones siguen la misma dirección.
Por otra parte, también se podría hablar de una especie de brújula solar gracias al reloj circadiano o reloj biológico que tienen los organismos vivos. Por ejemplo, la mosca de la fruta ajusta sus ritmos circadianos al ciclo del día y la noche. Los genetistas descubrieron una mutación en un gen que codifica el criptocromo que está enrollada en la molécula FAD que absorbe luz azul. Esta proteína es responsable de su reloj circadiano y, al mutar, pierde esa facultad. En la mariposa monarca, esta proteína se encuentra en las antenas.
Muy recientemente, un trabajo de investigación ha concluido que el salmón del Atlántico norte se sirve de las variaciones del campo magnético (intensidad y ángulo de inclinación con respecto a la superficie de la Tierra) terrestre para orientarse y encontrar su río de origen para desovar. Igual ocurre, como ya se sabía, con las tortugas marinas.
§. Olfato
Es bien conocido que alrededor de dos tercios del cerebro de un tiburón se dedica al sentido del olfato. Muchas películas sobre estos animales, como Tiburón (1975), por ejemplo, nos recuerdan que son capaces de oler una gota de sangre en el agua a una distancia de más de un kilómetro. El pez payaso es capaz de distinguir los arrecifes (y sus aguas) que les vieron nacer de otros más distantes. De nuevo, la famosa película Buscando a Nemo (2003) nos adentra en ese maravilloso mundo. Los salmones vuelven al mismo río del que salieron debido a que pueden seguir el rastro de un olor o aroma determinado. En tierra, la capacidad olfativa de los animales es también muy conocida y necesaria para poder volver a su «casa», escapar de sus predadores o coger a sus presas, encontrar pareja, comunicarse y, en fin, para su supervivencia. Las feromonas, sustancias químicas secretadas por los animales, sirven de comunicación (sexual y no sexual) entre miembros de una misma especie. Podríamos decir, por tanto, que tanto en el mar como en la tierra tenemos paisajes de olores y cada animal es selectivamente sensible a un conjunto de ellos. Pensemos, por ejemplo, en los perros policía y en los domésticos. Los osos pueden oler comida y cadáveres a distancias de unos 20 km. Algunas mariposas pueden detectar el olor de la hembra también a esas distancias. Y así podríamos seguir con toda la fauna terrestre y marina.
Los humanos no tenemos este sentido tan desarrollado como los animales, pues el abanico de olores que podíamos detectar ha ido disminuyendo notablemente a lo largo de nuestra evolución. No obstante, se estima que podemos diferenciar alrededor de diez mil olores. Salud y olor también están íntimamente conectados. Más aún, el sentido del gusto (basado en cinco sabores: dulce, ácido, salado, amargo y umami o sabroso) está casi al 90% ligado al del olfato. Pero también es cierto que trastornos otorrinolaringológicos como la pérdida de la capacidad olfativa parcial (hiposmia) o total (anosmia) son bastante comunes entre nosotros.
Alrededor de 1980, R. Axel y L. Buck fueron atraídos por una nueva ciencia que estaba emergiendo, la neurociencia molecular, y se dedicaron a investigar la base molecular del olfato. En 2004 recibieron el Premio Nobel por sus trabajos pioneros en receptores olfativos y la organización del sistema olfativo. Descubrieron que cada olor activaba varias neuronas y que estas respondían a diferentes olores, resolviendo el enigma de cómo alrededor de trescientas neuronas olfativas pueden identificar unos diez mil diferentes olores.
En general, los animales y el hombre son capaces de detectar alguna molécula que activa ciertos receptores indicando la presencia material de «algo». Estos receptores se encuentran en la lengua o en el epitelio olfativo situado en el techo de nuestra cavidad nasal. Las neuronas olfativas son el equivalente a los conos y bastones en el ojo. Al capturar esa molécula, se libera una proteína, llamada proteína G, que abre un diminuto canal en la membrana de la neurona que permite el paso de los iones de calcio (cargados positivamente) en la célula desde el exterior. La presencia de muchas de esas moléculas hace que el paso de esos iones sea mayor creando una corriente eléctrica de una billonésima de amperio (10-12 amperios), estableciéndose un potencial de acción (el amperio es la unidad con que se mide la corriente eléctrica). La explicación estándar del olfato es conocida como la teoría de forma o estructura basada en el mecanismo de cerradura y llave. Las moléculas receptoras son complementarias en forma a las moléculas olorosas y se ajustan como lo hace una llave a su cerradura. Claramente, existe una correlación entre la forma o la estructura de una molécula y su olor. Paralelamente, en la industria del perfume se abrió una carrera para entender esta teoría mejor realizando, al principio, numerosas síntesis químicas «a ciegas», es decir, ensayos prueba-error.
A finales de los años veinte del siglo pasado, M. Dyson propuso una idea arriesgada diciendo que la nariz no detecta la estructura de una molécula entera sino la frecuencia de vibración de los enlaces químicos en la molécula. A principios de los mismos años veinte, cuando la mecánica cuántica iba emergiendo con mucha fuerza, C. V. Raman propuso una nueva espectroscopía, conocida como espectroscopía Raman, que le valió el premio Nobel de física en 1930, donde la luz se dispersa inelásticamente después de incidir sobre una molécula. El término inelástico se refiere a que el haz de luz que incide y el que se dispersa después de su colisión con la molécula no tienen la misma energía. La pérdida de energía se debe a que la molécula usa esa diferencia para excitar alguno de sus enlaces químicos aumentando su estado de vibración (esto explica, por ejemplo, la opalescencia azul del mar y la opalescencia atmosférica debido a los rayos del sol). Como dijimos en el primer capítulo, la espectroscopía identifica a cada molécula por su espectro que es como su huella dactilar. Cuando Dyson conoció esta espectroscopía propuso entonces que la nariz podría funcionar como un espectroscopio. La apuesta era muy arriesgada y no obtuvo mucho eco en su tiempo pues no era fácil imaginar el mecanismo molecular que pudiera identificar las frecuencias. En cualquier caso, abrió una nueva línea de investigación en este campo. Las cosas se pusieron peor cuando se observó que la nariz podía fácilmente diferenciar entre moléculas quirales que poseen idéntico espectro Raman (por ejemplo, el limoneno y el dipenteno, que tienen olores muy diferentes).
Después de mucho trabajo de los investigadores, L. Turin propuso incluso una teoría aún más especulativa que la de Dyson, las vibraciones de los enlaces químicos se detectan vía efecto túnel de los electrones. Esta idea le sobrevino del conocimiento de otro tipo de técnica de espectroscopía que se utilizaba en el análisis químico, la espectroscopía de efecto túnel inelástico electrónico o IETS (inelastic electron tunneling spectroscopy, por sus siglas en inglés). Esta técnica es fácil de entender. Imaginemos que tenemos dos placas de metal bastante próximas una a la otra, las separa un espacio minúsculo recubierto por un aislante. Si aplicamos un voltaje, los electrones se concentrarán en una placa que llamaremos donante, cargándose negativamente. La otra placa se cargará positivamente y la llamaremos receptor. Clásicamente, los electrones no tienen suficiente energía para pasar de una placa a la otra, pues el aislante actúa como una barrera. Pero como sabemos que los electrones son partículas cuánticas, sí que pueden pasar de una placa a la otra por efecto túnel, es decir, pasar del donante al receptor. Si los electrones que pasan de una placa a la otra tienen la misma energía, el efecto túnel es elástico. No obstante, muchas veces ocurre que el electrón que pasa a la otra placa tiene que perder energía para poder adaptarse a la configuración electrónica del metal de la placa receptora. La energía liberada se queda en la sustancia química que recubre el hueco entre las placas, el aislante. Esa energía se utiliza para excitar la vibración de algún enlace de las moléculas que conforman el aislante. En otras palabras, tiene que estar en resonancia con alguna frecuencia de vibración de los enlaces de la molécula. Conociendo la energía que se libera y las vibraciones de enlace de las moléculas se obtiene su espectroscopía IETS. El efecto túnel no se produce si no hay resonancia.
Ya hemos hablado de la resonancia en el capítulo 1. Aquí pondremos otros ejemplos para entender mejor el fenómeno. Desde el punto de vista clásico, basta recordar que un vaso se puede romper cuando una soprano canta llegando a la frecuencia crítica del vaso. Otro ejemplo bien conocido es cuando se aproximan dos diapasones que son capaces de emitir un sonido de la misma frecuencia. Al hacer vibrar uno, el otro diapasón emite espontáneamente la misma frecuencia.
Volviendo al olfato, la teoría de la vibración cuántica de Turin básicamente nos dice que una molécula del receptor olfativo solo captura una molécula de un olor determinado cuando esta posee un enlace con la misma frecuencia vibracional que la del receptor. Entonces, el electrón localizado en una zona o región de esta molécula receptora pasa por efecto túnel a otra zona de la misma molécula de menor energía, transmitiendo la energía sobrante a la molécula de olor determinado excitando el enlace que es resonante. Cuando el electrón ha pasado a la zona receptora, se libera la proteína G, activándose la neurona olfativa que envía una señal al cerebro para reconocer el olor correspondiente. El mérito de esta teoría fue que predijo por primera vez el olor de un perfume desde el punto de vista químico. Posteriormente, algún éxito más tuvo lugar.
Como ocurre muchas veces en la investigación científica, se deben suministrar muchas más evidencias para aceptar una teoría por completo, aunque se creó una compañía para sacar rendimiento económico a esta teoría. A lo largo de los años posteriores, se publicaron artículos científicos que desechaban la teoría de Turin. Lo que se puede decir es que la teoría de Turin es plausible y que hay una actividad muy intensa en este campo de investigación pues no es lo mismo probar esa teoría en animales que en hombres. Sería muy importante aislar moléculas receptoras olfativas y estudiar su estructura aún a riesgo de perder sus propiedades lejos de su entorno natural. Está claro que queda un largo y apasionante camino por recorrer y parece que una combinación de las dos teorías, la de forma y la vibracional, deben estar presentes para obtener la teoría del olfato en mayúscula. La mecánica cuántica con una alta probabilidad estará presente.
Finalmente, para cerrar este capítulo, me gustaría hacer hincapié en que hay que incrementar las investigaciones básicas acerca de los procesos vitales vistos desde un enfoque cuántico, que tienen un futuro muy prometedor por delante. Actualmente, los mecanismos cuánticos que hemos descrito en los procesos vitales mencionados aquí están aún sujetos a debate. Parece, al menos, que no hay ninguna duda de que la mecánica cuántica debe estar detrás de todos ellos y de muchos más. Pensemos que si se conocen los mecanismos cuánticos que subyacen a todos estos procesos, la medicina podría dar nuevos avances significativos para mejorar nuestras vidas. Recordemos que muchas técnicas actuales en medicina (TAC, PET…) se han desarrollado gracias a la mecánica cuántica.
Capítulo 4
Sobre la teleología y el origen cuántico de la vida
§.El universo
§.La vida
§.La mente
§.¿Hacia una disteleología cuántica?
Este capítulo puede ser el más fácil o el más difícil de escribir. Se puede involucrar a todos los campos del conocimiento al mismo tiempo y, dependiendo del grado de complejidad y extensión elegido para su desarrollo, el lector puede quedar más o menos satisfecho al leerlo. El enfoque de los libros de esta colección es para un público muy amplio, está limitado a una cierta extensión y, por tanto, no se puede ser muy prolijo. Como dije en el prefacio, mi único objetivo es intentar estimular al lector a reflexionar sobre la propia vida desde diferentes puntos de vista y a ampliar sus conocimientos consultando libros más especializados. En particular, quisiera centrarme en lo que se pueden considerar los tres grandes enigmas de la ciencia y que se produjeron, según parece de forma discontinua: la aparición del universo, de la vida y de la mente, haciendo especial énfasis sobre su posible origen cuántico.
§. El universo
Al principio —si es que se puede hablar de principio— no había ni espacio ni tiempo (aunque hay teorías especulativas en física que ya hablan de lo que pasó antes del inicio). Estamos hablando de hace unos 14.000 millones de años. De repente, hay una explosión, una «gran explosión» (en inglés, y en tono despectivo, big bang acuñado por F. Hoyle, uno de los detractores de esta teoría) y comienza a expandirse el espacio y el tiempo. A partir de este momento, las leyes de la física o de la naturaleza empiezan a actuar de una forma inexorable; podríamos decir que empieza un automatismo regido por dichas leyes emergentes; o también, de otra forma, que se van estableciendo las leyes de la naturaleza a medida que el espacio y el tiempo fluyen. Uno puede tener la sensación de que una vez el motor se enciende (la explosión), la máquina de la evolución, ya no puede detenerse. La radiación o energía en forma de fotones existente al inicio está tan confinada (horno cosmológico) que genera una presión enorme que da lugar a esa explosión con la consiguiente expansión. En los primeros instantes, el espacio ya puede tener una dimensión considerable, digamos unos 1015 kilómetros de radio si lo vemos como algo esférico, y una temperatura de 10.000 millones de grados.
Según la teoría de la gran unificación (la mecánica cuántica y la teoría de la relatividad general, ambas juntas y revueltas), en los albores del universo, las cuatro interacciones fundamentales (gravitatoria, electromagnética, fuerte y electrodébil) que conocemos actualmente debían ser una sola, diferenciándose a medida que el universo se expandía y, por tanto, se enfriaba. Los fotones muy energéticos, por ejemplo, generaban materia (un electrón, carga negativa) y antimateria (un positrón, carga positiva). Las partículas elementales también empezarían a formarse en parejas de materia-antimateria. Esta simetría se rompió pues, en caso contrario, nunca tendríamos la materia necesaria para seguir el proceso de formación del universo. Estas roturas de simetría, bien conocidas en física de partículas, llevarían, por ejemplo, a la aparición de protones y neutrones. Ciertas reacciones nucleares se iniciaron entonces y se fueron formando elementos muy ligeros como el hidrógeno, uno de sus isótopos (el deuterio), y el helio principalmente, y también litio en menor cantidad. Ya en los primeros minutos, alrededor de un 98% de la masa total del universo estaba formada.
Curiosamente, la idea de la gran explosión fue inicialmente una especulación propuesta por un sacerdote e investigador belga G. Lemaître, que sugirió que si fuéramos capaces de «mirar» o «escuchar» la profundidad del espacio podríamos encontrar los ecos de esa gran explosión a partir de la radiación residual (o radiación cósmica de fondo) en forma de microondas (una zona del espectro electromagnético). Esa radiación residual (los fotones más antiguos del universo) es isótropa y fue captada accidentalmente en 1965 por una gran antena de comunicaciones como un ruido de fondo persistente y molesto que distorsionaba gravemente las señales de comunicación que se recibían en las estaciones receptoras (todos, de alguna forma, hemos sufrido este ruido de fondo en nuestra radio y televisión). Los físicos A. A. Penzias y R. Wilson, que la detectaron, recibieron el Premio Nobel de Física. La primera teoría del universo inflacionario fue debida a A. Guth que explica con todo detalle esos primeros instantes donde las aglomeraciones de materia darían lugar a las galaxias y estrellas. Lógicamente, esta teoría fue corregida y ampliada a medida que se iban conociendo y asentando nuevos conocimientos científicos. Que la gran explosión pueda ser vista como parte de un ciclo eterno explosión-colapso queda a la imaginación de cada persona, pues será muy difícil confirmar experimentalmente la existencia de dicho ciclo. Quizás el número de grandes explosiones es infinito o muy elevado y cada una de ellas da lugar a un universo diferente, que se supone, está sujeto a un proceso irreversible. De todas ellas, quizás también, solo una ha dado lugar al nuestro, que ha albergado la vida tal como la conocemos. Es como jugar a la ruleta con una cantidad elevada de números presentes y apostar por uno de ellos; intentándolo muchas, muchas veces, al cabo de un tiempo muy grande debería salir el número que deseamos. Esto nos recuerda el famoso principio antrópico debido a R. H. Dicke que puede enunciarse como «el universo debe tener unas propiedades que permitan a la vida desarrollarse en algún estadio de su historia o evolución». Las constantes universales, la intensidad de las interacciones fundamentales, etc. si hubieran sido ligeramente diferentes, el universo emergente hubiera sido distinto al que conocemos actualmente dando lugar a una forma de vida distinta también a la que conocemos; o simplemente, no hubiera habido vida. Una de las críticas que se hace a este principio antrópico es que destila una cierta componente religiosa. Por otra parte, existe la conocida como fórmula de F. Drake que es una ecuación que permite estimar la cantidad de civilizaciones en nuestra galaxia susceptibles de ser radiodetectables. Según dicha fórmula, debería haber multitud de ellas en el universo, pero no está aceptada ampliamente.
Sigamos con el relato. En la gran explosión se formaron gases ligeros, pero ningún elemento pesado como, por ejemplo, el carbono o el hierro. Esto de nuevo requería mucha energía y la energía inicial ya se había enfriado bastante. Las supernovas vienen a nuestro rescate. Una supernova se produce cuando una estrella gigante de una masa altísima (muchísimo más pesada que nuestro Sol) colapsa y explota, liberando una cantidad de energía espectacular. Si una explosión de esta categoría se produjera a quinientos años luz de la Tierra, pereceríamos (un año luz es la distancia que recorre la luz durante un año, es decir, 9,461 × 1012 kilómetros). Afortunadamente, el espacio es increíblemente grande y tan vasto que esas explosiones no pueden alcanzarnos. El término supernova fue acuñado por el físico búlgaro F. Zwicky proponiendo el siguiente proceso: al colapsar la estrella, los átomos se aplastarían unos contra otros empujando los electrones hacia el núcleo y entonces se formaría una estrella de neutrones cuya existencia fue confirmada posteriormente. Más aún, él fue también responsable de proponer lo que se denomina materia oscura. Su razonamiento también fue impecable cuando se dio cuenta de que no había masa visible suficiente en el universo para mantener las galaxias unidas y que debería haber algún tipo de masa «no visible» que hiciera posible la atracción gravitatoria. Estuvo muy cerca de predecir los agujeros negros. Cuando una estrella de neutrones se comprime hasta hacerse muy densa, ni siquiera la luz es capaz de escapar de ella debido a la fuerte atracción gravitatoria dentro del agujero negro.
Pero no nos desviemos de nuestro camino inicial. Las supernovas fueron observadas por el astrofísico británico F. Hoyle y sus colegas demostraron que la correspondiente energía liberada era capaz de generar los elementos pesados en lo que se conoce como nucleosíntesis (proceso de formación de los núcleos atómicos pesados a partir de los protones y los neutrones). Estos elementos nuevos se dispersarían por todo el espacio formando nubes gaseosas (o lo que se conoce como medio interestelar) que podrían aglomerarse en nuevos sistemas solares, siendo uno de ellos el nuestro. Esto debió ocurrir hace unos 4.600 millones de años. Casi toda la masa de nuestro sistema solar la posee el Sol y del material flotante se formarían nuestros planetas a través de colisiones, escisiones y recombinaciones. Un auténtico festival gravitatorio.
Parece ser que la Tierra primigenia se habría formado siguiendo esta dinámica en unos doscientos millones de años. La Luna sería la consecuencia de la colisión de un objeto de gran tamaño sobre la Tierra. La atmósfera de nuestro planeta (aún muy lejos de la que conocemos ahora) estaría inicialmente compuesta de dióxido de carbono, nitrógeno, metano y azufre y el Sol debía emitir una luz aún tenue. Durante unos 500 millones de años, la Tierra estaría expuesta a un bombardeo constante de todo tipo de objetos galácticos como cometas, meteoritos, etc., que aportarían, entre otras cosas, agua. Como J. B. S. Haldane afirmaba, «el universo no solo es más raro de lo que suponemos, sino que es más raro de lo que podemos suponer».
§. La vida
Nos encontramos aquí, por lo que parece, con un nuevo salto, un nuevo enigma o incógnita. ¿Cómo empezó la vida?, ¿cuál es el origen de la vida? Pregunta difícil de resolver donde las haya, si es que algún día se resuelve. Según muchas teorías, el origen de la vida pudo tener lugar a partir de la materia inerte, obviamente de compuestos orgánicos. La abiogénesis se refiere al proceso natural del paso de la materia inerte a la materia viva y debió ocurrir en el período comprendido entre 3.800 y 4.300 millones de años atrás. Los filósofos presocráticos ya proponían que el origen de la vida no era sobrenatural. La doctrina epicúrea también anticipaba una especie de selección natural. Todas estas propuestas de origen no divino influyeron a los filósofos del renacimiento. El lector interesado puede acudir a las obras clásicas de la filosofía para profundizar más sobre el desarrollo de todas estas fecundas ideas, muy avanzadas, para su época. Ya, en el terreno científico, la evolución de las teorías sobre el origen de la vida es apasionante y muy extensa. Aquí, mi intención es únicamente exponer a muy grandes rasgos esa evolución.
Darwin especuló sobre la aparición de la materia viva, que podría proceder incluso de la materia inorgánica, y sobre la teoría de la generación espontánea que afirma que el origen de la vida proviene de la materia inerte no era tan improbable; obviamente, su significado era bien distinto a lo defendido por el polímata Aristóteles. La hipótesis de la generación espontánea no fue aceptada por F. Redi al mostrar que los gusanos que eran detectados en la carne provenían de las larvas de las moscas, y que no aparecían si se protegía la carne con una malla fina. La aparición espontánea de los microorganismos que descomponían la materia orgánica fue más difícil de refutar. L. Spallanzani realizó una serie de experimentos que demostraron que la presencia de los microorganismos puede evitarse si los medios en donde proliferan son previamente hervidos y se mantienen cerrados herméticamente. La estocada final a la teoría de la generación espontánea vino de la mano de Pasteur (al que se considera padre de la microbiología) cuando, alrededor de 1860, demostró que todo proceso de fermentación y descomposición de la materia orgánica se debe a la acción de microorganismos. Más aún, propuso un método para eliminar los microorganismos que pueden degradar el vino, la cerveza o la leche, conocido como pasteurización y ampliamente utilizado por la industria alimentaria. Quedó bien establecido que todo ser vivo procedía de otro ser vivo a través de la famosa frase omne vivum ex vivo (o ex ovo). Esta frase puede ser la definición de lo que se conoce como biogénesis, teoría que mantiene que todo ser vivo proviene de otro ser vivo ya existente y contraria, por tanto, a la abiogénesis.
Paralelamente, a principios del siglo XIX, se creía que los compuestos orgánicos relacionados con la vida poseían una fuerza vital (fuerza que no tenía nada que ver con la que estudiaba la física) que los hacía distintos de los compuestos inorgánicos. De hecho, se consideraba que sería imposible sintetizar en el laboratorio un compuesto orgánico a partir de compuestos inorgánicos, ya que solo podían ser generadas por los seres vivos en presencia siempre de esa fuerza vital. Berzelius fue uno de los máximos exponentes de la teoría vitalista. Curiosamente, como dijimos en el capítulo 2, un discípulo de él, F. Wöhler, que no estaba convencido de esa teoría, sintetizó la urea, sustancia también llamada carbamida que aparece en la orina humana y de muchos animales, en el laboratorio. Este experimento no solo dejó sin efecto la teoría vitalista, sino que abrió el camino a la síntesis de muchos compuestos orgánicos, como queda recogido en el libro de M. P. E. Berthelot; en particular, de aquellos que se encuentran en la célula. El éxito de las síntesis realizadas en química orgánica quizás eclipsó por un tiempo las implicaciones de estos trabajos sobre el origen de la vida.
Mientras tenía lugar la disputa a favor o en contra de la teoría vitalista, H. Richte acuñó el término panspermia para proponer una teoría donde la vida en la Tierra pudiera haberse originado a partir de cuerpos provenientes del espacio exterior (cometas, asteroides y polvo cósmico). La teoría de la panspermia fue impulsada con énfasis por S. A. Arrhenius y Hoyle. Parece ser que esta teoría recupera una vieja idea del filósofo griego Anaxágoras en el siglo VI a. C.
Volviendo a la abiogénesis, debido al aumento en el conocimiento de la catálisis enzimática, a principios del siglo XX, empieza a haber teorías que postulan que el primer organismo debió de ser autótrofo, es decir, un organismo capaz de sintetizar todas las sustancias esenciales para su metabolismo a partir de sustancias inorgánicas y, por tanto, no necesitaba de otros seres vivos; las plantas y las bacterias son autótrofas, pero su mecanismo está basado en la fotosíntesis o la quimiosíntesis, respectivamente, como fuente de energía. L. L. Troland propuso que el primer organismo vivo debió ser una enzima autoreplicante y supone el primer precedente del mundo del ARN. Posteriormente, T. H. Morgan, en un intento de corregir a Troland, matizó que esa enzima debió ser un gen o un conjunto de genes. Otros autores, viendo la complejidad de la nutrición autótrofa, en la segunda década del siglo XX, proponen un origen heterótrofo y en fuentes hidrotermales.
En la misma época, A. Oparin y Haldane, parece ser que independientemente, propusieron que la atmósfera de la tierra primitiva era rica en hidrógeno, metano y vapor de agua que, al exponerse a los rayos, radiación solar o calor volcánico, podría crear una mezcla de compuestos orgánicos simples. Estos compuestos se irían acumulando y haciéndose más complejos en los océanos, como en una sopa orgánica diluida (sopa prebiótica) que, después de millones de años, produciría una molécula nueva con una propiedad excepcional: la habilidad de reproducirse ella misma. Este mecanismo se denominó biopoesis y el origen sería heterótrofo. La atmósfera primitiva sería altamente reductora ya que, como se sabía, el oxígeno procedía de la actividad biológica. En el proceso de replicarse podría haber muchos errores o mutaciones y, siguiendo la selección natural de Darwin, predominarían las moléculas más adaptadas. Algunas de ellas podrían reproducirse siguiendo reacciones químicas catalizadas por enzimas, o incluso buscar el abrigo en pequeñas vesículas (saquitos de fluido o aire), facilitando los procesos metabólicos y la generación de biomoléculas. A esta teoría le faltaba la confirmación experimental.
En los años cincuenta del siglo pasado, H. C. Urey y S. Miller simularon lo que podría ser la atmósfera primordial en un recipiente con agua y gases como vapor de agua, metano, hidrógeno y amoniaco. Esta mezcla fue expuesta a descargas eléctricas y, sorprendentemente, al cabo de una semana el recipiente contenía cantidades significativas de aminoácidos que, como sabemos, son los ladrillos de las proteínas, los átomos biológicos. Este experimento supuso todo un hito en biología. Se asumió después que la polimerización para formar proteínas sería el siguiente paso. A pesar de repetirse el experimento en diferentes condiciones por muchos laboratorios de todo el mundo, y de observarse los 20 aminoácidos básicos, más de los que Urey y Miller detectaron, la molécula primigenia capaz de reproducirse no se ha conseguido obtener. Curiosamente, Urey cedió el protagonismo a Miller y este publicó como único autor el trabajo, unas semanas después de que Crick y Watson dieran a conocer la estructura del ADN. Urey ya había recibido el premio Nobel de química en 1934.
Faltaba una pieza aún por encajar: la existencia de los biopolímeros que están presentes en todos los organismos vivos. S. W. Fox y su equipo, en una serie de experimentos, consiguieron la polimerización a través de distintos polipéptidos que recordaban a las proteínas. El español J. Oró consiguió sintetizar la adenina en condiciones que se suponía que existían en la tierra primitiva, partiendo del ácido cianhídrico, una de las sustancias más venenosas conocidas. Estos estudios fueron motivados por el premio Nobel S. Ochoa que, junto M. Grunberg-Manago, aisló la enzima que cataliza la síntesis del ARN llamada polinucleótido-fosforilasa. Esto desencadenó la preparación de polinucleótidos sintéticos. Su discípulo, A. Kornberg, que compartió el premio Nobel con Ochoa, también demostró que el ADN se sintetizaba mediante su polimerasa. Esta enzima permite la reacción en cadena de la polimerasa (PCR), generando un gran número de copias de un fragmento de ADN.
Hoy en día, el organismo más básico capaz de reproducirse es la bacteria denominada micoplasma que posee tan solo 500 genes y es un parásito. La siguiente más simple es la cianobacteria, con unos 2.000 genes, que podría vivir independientemente. Se piensa que estos organismos vivos son muy complicados para haberse obtenido por puro azar. Se debería buscar organismos más simples.
La geología también tiene que aportar su granito de arena a este gran interrogante. El carbono tiene dos isótopos bien conocidos, 12C y 13C. La abundancia relativa de estos isótopos es estable en la atmósfera. En la fotosíntesis, el CO2 se incorpora para obtener moléculas orgánicas siendo, en los sistemas biológicos, el isótopo preferido, el más ligero, 12C. El otro isótopo es el que enriquece las rocas carbonatadas. Estas firmas isotópicas se preservan en los sedimentos e indican claramente una actividad biológica temprana.
Como hemos comentado en el capítulo anterior, el ARN es un ADN más simple, con una única hebra helicoidal. La información genética también se escribe con cuatro letras y son capaces de formar genomas, por ejemplo, el de muchos virus. No obstante, en las células de las bacterias, las plantas o los animales, el código genético escrito en el ADN es primero copiado en el ARN, que se lee y traduce en las secuencias de aminoácidos en las proteínas; por tanto, esta molécula es un intermediario necesario entre el código genético del ADN y las proteínas que deben formarse.
Pero la pregunta inmediata es: ¿qué vino primero, el huevo o la gallina? Se han encontrado unas moléculas tipo ARN, las ribozimas, que son capaces de actuar como enzimas y catalizar reacciones químicas; fueron halladas en organismos vivos unicelulares. La hipótesis del ARN consiste en que es capaz de actuar como gen y enzima y, por tanto, podría formar su propio genoma y hacer copias de sí mismo (protocélulas cuánticas). Esto parece ser un «dogma» sobre el origen de la vida hoy en día. De todas formas, aún no está claro cómo se consiguió esa molécula de ARN. ¿Azar?, no se sabe. Más aún, nadie en el laboratorio ha sido capaz de llegar hasta ahí. Uno puede pensar que reproducirse no es tan difícil como se puede imaginar… o sí. Pensemos en los virus informáticos, una auténtica pesadilla para los usuarios de ordenadores.
De todas formas, hay que dar con esa «molécula autorreplicante» o con el «autorreplicante» a secas. Hoy en día se está especulando que un camino cuántico (como el que hablábamos en el capítulo anterior) podría estar detrás del origen de la vida junto con el efecto túnel. A lo mejor la reproducción podría venir por la vía no clásica. Una superposición de estados de una protoenzima podría explicar la facilidad de encontrar de entre todas las posibilidades o alternativas, la necesaria para la replicación. Clásicamente, se requeriría un tiempo infinito, pero no así cuánticamente; como un ordenador cuántico que es más potente y eficaz que uno clásico. La idea de que un proceso cuántico pueda ser más eficaz que uno clásico es una especulación muy plausible.
Hay grupos de investigación internacionales que están desarrollando actualmente lo que se denomina biología sintética, que intentan imitar los organismos vivos existente. Otros se centran en el origen químico de la biología molecular. Es un campo de impresionante actividad que en un futuro nos deparará, sin lugar a dudas, resultados sorprendentes.
§. La mente
Quizás los primeros indicios de que la especie humana era algo más que carne y huesos se remontan a las cuevas donde se ha encontrado arte rupestre o prehistórico: dibujos de animales tan variados como bisontes, mamuts, leones y un largo etcétera. Para nuestros estándares, estos dibujos son muy simples, pero lo que más llama la atención es que el artista plasmaba no solo objetos, sino algo más fundamental: ideas. ¡Bienvenido al mundo de la abstracción! Esto nos lleva inmediatamente a concluir que los individuos pensaban los lugares donde vivían; en otras palabras, eran conscientes del mundo que les rodeaba y, por tanto, tenían mente (aunque a día de hoy hay mucha mente inconsciente). No pretendo aquí tratar un tema muy delicado y difícil que ha dejado y deja perplejas a las mentes más profundas. No quiero definir la mente ni la conciencia, solo quiero considerar y exponer ideas simples y estimular al lector, en la medida de lo posible, a que indague más por su cuenta. Cuándo y cómo se dio este salto quizás tardemos mucho aún en saberlo o quizás nos aproximemos mucho pero nunca lo sepamos. No lo sé. Lo desconocido nos atrae y es el mejor motor para seguir investigando.
El instinto de supervivencia de los animales es quizás un nivel muy básico de conciencia. Según los dueños de los animales domésticos, con sus gestos y actitudes parece que hablan; mejor dicho, no les hace falta hablar. Nosotros también poseemos el mismo instinto, pero este no nos impide morir por un ideal, por alguien, e incluso quitarnos nuestra propia vida o autodestruirnos. Obviamente, nos situamos en un nivel superior. Intentamos entender el mundo que nos rodea para sacar provecho de él mostrando actitudes más o menos éticas. No nos vemos como autómatas, ya que somos conscientes de nosotros mismos y de nuestros congéneres. No obstante, al mismo tiempo, acciones rutinarias como caminar o ir en bicicleta podemos realizarlas de una forma inconsciente. Tenemos ideas, pensamos, solucionamos problemas, incluso los creamos y nos perjudicamos. Amamos, lloramos, nos alegramos, etc. En resumidas cuentas, somos un cóctel de emociones y sentimientos difícil de entender. Nuestra maquinaria central, que controla, en la medida de lo posible, este cóctel, a veces explosivo, es el cerebro. Un gran desconocido.
La primera pregunta que se nos viene al cerebro (valga la redundancia) es ¿cómo es posible gestionar todo, absolutamente todo, en un espacio tan reducido y un órgano tan pequeño? Si uno mira hacia atrás, bien hacia atrás, desde los hombres de las cavernas hasta ahora, el recorrido de las ideas y los sentimientos ha evolucionado enormemente de forma más o menos continua. Hablar de cuerpo y mente/consciencia (y alma, según la religión) es muy peligroso, porque las ideas y los sentimientos tienen un reflejo directo sobre nuestro cuerpo (somatización) y viceversa (¿psiquización?). Se dice que el cuerpo habla cuando la mente calla. Creo que tal afirmación no es del todo acertada. La mente y el cuerpo hablan al unísono, no callan nunca. Nuestra conducta y la gestión de la información que manejamos como personas son problemas muy complejos que requieren a veces simplificar para poder abordarlos. De ahí la famosa dicotomía cuerpo-mente (o soma-psiqué, de los griegos). Deberíamos idear una palabra que contuviera las dos al mismo tiempo, ya que no se pueden separar. Esta es la razón por la cual, cada vez más, se habla de inteligencia emocional. Toda inteligencia es emocional y, viceversa, toda emoción es inteligencia. En otras palabras, cuerpo y mente son una y la misma cosa, o las dos caras de una moneda, o un concepto dual. ¿Nos recuerda esto al oxímoron de la mecánica cuántica?
Todas las vivencias que tenemos a lo largo de nuestra vida, nuestra memoria, nuestros temores, nuestros deseos, etc., quedan claramente «escritos» químicamente en nuestro cerebro. Todos hemos pensado, alguna vez, cuando se habla de trasplante de órganos, en la posibilidad de trasplantar el cerebro de una persona a otra. No me imagino, una vez superada la fase de rechazo, si se llega a ello, cómo se podría vivir, no en el cuerpo de otro, sino con el cerebro de otro dentro de mi cuerpo. Da miedo imaginarlo.
Si nos centramos en el cerebro, lo primero que se nos viene a la mente son las células nerviosas o neuronas y las sinapsis o sus conexiones entre ellas. La neurología o neurobiología está dando pasos de gigante para intentar entender los complejos mecanismos de conexiones entre las neuronas. Tal como hemos indicado en el capítulo 3 acerca del movimiento de un músculo, podríamos ver las neuronas como una puerta lógica de una computadora. El cerebro, por tanto, podría verse como una especie de ordenador que tiene consciencia. Esta teoría es conocida como teoría computacional del cerebro. Pero recordemos que cualquier ordenador, por potente que sea, no posee conciencia, al menos hasta ahora. En este punto debemos mencionar a R. Penrose, que en 1989 publicaba su libro La nueva mente del emperador, donde postuló que la mente humana es como un ordenador cuántico. Las propiedades fundamentales de un ordenador cuántico son superposición, entrelazamiento y coherencia. Pero también sabemos que la coherencia es muy frágil y se pierde cuando los átomos que forman el ordenador cuántico están en un entorno; de ahí, las condiciones tan extremas en las que se debe construir y hacer funcionar uno de esos ordenadores. Cuantos más átomos forman el ordenador cuántico, más complicado es mantener la coherencia y el entrelazamiento entre ellos. La pregunta del millón es: si la hipótesis de Penrose fuera cierta, ¿cómo se puede mantener la coherencia cuántica en el cerebro? En su libro posterior junto a S. Hameroff, titulado Las sombras de la mente, propusieron que unas estructuras llamadas microtúbulos (un túbulo es una estructura pequeña en forma de tubo) encontradas en las neuronas eran los qubits del cerebro cuántico. Estos microtúbulos son largas cadenas de una proteína llamada tubulina. A día de hoy, la mayoría de los neurobiólogos son muy escépticos ante tal propuesta, ya que esos microtúbulos no juegan ningún papel esencial en el proceso de la información neuronal. Más aún, no pueden jugar el papel de un qubit porque son grandes en tamaño y bastante complicados. A raíz de esta propuesta, se ha empezado a hablar de neurología cuántica.
Sin embargo, otra vía posible para que la mecánica cuántica entre en juego está en los canales iónicos. Son del orden de un nanómetro de longitud y la mitad de esa longitud de ancho. Los iones de Na+ tienen que pasar uno a uno. El mecanismo es muy efectivo, el transporte es muy rápido y es altamente selectivo. Los iones están muy deslocalizados porque pueden verse también como ondas y los mecanismos cuánticos pueden hacer que el transporte sea muy rápido. En otras palabras, los canales iónicos podrían mantener la coherencia y podrían estar entrelazados con otros. Es una especulación, quizás no muy plausible. Otra alternativa es el voltaje que se crea con los potenciales de acción. Si hay voltaje, hay campo electromagnético. Este campo podría interaccionar con los canales iónicos manteniendo la coherencia requerida.
A lo largo de este libro hemos hablado poco del ruido y todo apunta a que este debe jugar un papel esencial dentro de los organismos vivos para mantener la coherencia cuántica deseada. Mencionábamos la resonancia estocástica, que podría favorecer ciertos procesos. Equipos de investigación españoles han estudiado este fenómeno como el responsable de la «coherencia estocástica» en el cerebro. Las neuronas del cerebro parecen no seguir un patrón de comportamiento ordenado y raramente la actividad de una neurona individual muestra regularidad en sus impulsos. Estos grupos han apuntado como responsable al llamado «ruido de fondo», es decir, el conjunto de señales aleatorias que se dan habitualmente en cualquier sistema y que son normalmente consideradas como indeseables. Por ejemplo, en el sueño, si una respuesta neuronal depende de que la magnitud de la señal alcance cierto umbral, el ruido de fondo puede ayudar a la señal a superar el umbral necesario que dará lugar a la respuesta, hablando por primera vez de esta coherencia estocástica en el cerebro. Parece ser que hay un nivel de ruido que es óptimo para alcanzar la máxima regularidad, a partir del cual el ruido domina sobre el orden. Otra alternativa es que el «ruidoso» interior de las células vivas puede favorecer la dinámica cuántica y, por tanto, la coherencia en ciertas condiciones favorables. Muchos estudios actuales van en esa dirección y se presentan muy prometedores.
Se habla incluso de que la biología cuántica puede ser la vía adecuada para crear una tecnología «viva». Esto ya existe si nos paramos a pensar en lo que ocurre en la agricultura para producir comida. El poder de las enzimas y, en general, de la biotecnología y la farmacología está todavía por desarrollarse plenamente. Cada vez más, tendremos que añadir el prefijo «bío» a muchos nuevos productos. Incluso se habla de arquitectura biométrica, cuando los edificios puedan estar formados por células vivas que sean capaces de mantenerse vivas, autorepararse y autoreplicarse. En el mundo de la medicina, las prótesis tienen un futuro muy prometedor; nos alegramos del advenimiento de las impresoras 3D para obtener copias exactas del algún hueso o cualquier órgano, pero, sin lugar a dudas, la revolución está aún por llegar cuando se aplique ampliamente la biotecnología en todos sus campos.
En esa navegación a escala atómica y molecular, tenemos que tener presente de nuevo la frase de Feynman: «What I cannot create, I do not understand [Lo que no puedo crear, no lo entiendo]». Y esa es la clave. Si no somos capaces de crear vida desde cero y, ya no hablemos de vida inteligente, no comprenderemos nada totalmente y seguiremos estando ciegos. Pero estamos en la dirección correcta, eso esperamos.
§.¿Hacia una disteleología cuántica?
Después de exponer y describir muy sucintamente al menos los tres grandes enigmas de la ciencia, estamos obligados a hablar sobre un importante problema filosófico. Como dijimos en el Prefacio, la teleología (campo de la metafísica que estudia los fines o propósitos de algún objeto o ser) quiere responder a las preguntas: ¿existe una causa final de las cosas?; en particular, la existencia de la vida, ¿tiene una causa final o telos? Mucho se ha escrito sobre este tema y pienso que es bueno finalizar este capítulo aportando, de nuevo, algunas reflexiones al lector.
De lo expuesto a lo largo de este capítulo, la primera pregunta que se plantea uno mismo es si la aparición y evolución del universo, la vida y la mente tienen un fin, un objetivo y responden a un proyecto. En otras palabras, si todo esto está diseñado por alguna mente preclara siguiendo un «diseño inteligente» con un «objetivo final». Desde todos los puntos de vista, la vida es muy, muy complicada, como indica cualquier campo del conocimiento. La inquietud de la persona religiosa puede ser si todas las maravillas y calamidades existentes en la vida no sirven de nada y esta es un sinsentido. Para los no creyentes, la preocupación será si vale la pena vivir en condiciones difíciles. No es mi intención polemizar sobre las corrientes creacionistas y evolucionistas, ni tomar partido. Esto lo dejo a criterio del propio lector.
En 1970, J. L. Monod, en su libro El azar y la necesidad, utilizó el término teleonómico para aceptar el reconocimiento de un propósito o proyecto en biología dentro del marco de la evolución sin apelar a una causa final. La naturaleza es objetiva y no proyectiva. En un momento escribe que «el hombre por fin se sabe solo en la inmensidad insensible del universo, de la que ha surgido solo por casualidad. Su destino no está escrito en ninguna parte, ni es su deber. El reino de lo anterior o la oscuridad de lo posterior; esta es su elección». La probabilidad de la vida es nula porque es un hecho único e irrepetible. Se mostró contrario a las teorías vitalistas y, desde luego, marcó una época y tendencia sobre el ateísmo a partir de la publicación de su libro. Lógicamente, entra en colisión con lo que se conoce como el diseño inteligente que puede verse como una teoría no científica a favor de la existencia de Dios. De alguna forma, se sugiere que debe haber una causa inteligente, un diseño y un diseñador detrás del proceso de la evolución. Grupos de presión, principalmente de los Estados Unidos, están asociados bajo el amparo de un think tank ideológico manteniendo este discurso.
S. Pinker, en su libro Los ángeles que llevamos dentro, mantiene que la humanidad dio un gran salto adelante cuando aceptó que gran parte de las desgracias que nos llegan no tenían detrás la voluntad de un Dios enojado con nosotros o a la magia negra. Shit happens, o así es la vida o son cosas que pasan, es uno de los pilares de nuestra civilización. Este pensamiento va en contra tanto del creacionismo como de los «conspiranoicos», que piensan siempre en alguna teoría de la conspiración. Esas formas de pensar son obviamente más fáciles de digerir, pero van claramente en contra de la teoría de la evolución. El tener una mentalidad basada en la conspiración conlleva a que detrás de lo que sucede en el mundo (atentados, desastres naturales, accidentes, etc.) siempre haya varias mentes pensantes con una intención clara.
Más recientemente, S. Hawking y L. Mlodinow, en su libro El gran diseño, publicado en 2010, sostienen que la invocación a Dios no es necesaria para explicar el origen del universo y que todo es consecuencia de las leyes científicas de la física. Introducen un matiz muy importante, en este contexto, al hablar de un realismo dependiendo del modelo para zanjar el debate ontológico entre idealismo y realismo. Quizás el modelo que plantean no es el real pero sí que se ajusta mucho a las observaciones y predicciones de la teoría actual vigente, la cual está sujeta a varias o muchas interpretaciones. Esto lleva a la existencia de múltiples verdades y no tiene sentido hablar de la verdadera realidad o única verdad. Recordemos aquí, de nuevo, a Aristóteles cuando decía que la única verdad es la realidad. Aún más, me viene a la mente la famosa frase de J. Cortázar que decía que la explicación (o interpretación) es un error bien vestido.
Para explicar el origen del universo, Hawking y Mlodinow se basan en la conocida como teoría M o teoría del todo, donde se unifican las cuatro fuerzas fundamentales de la naturaleza, mencionadas en el capítulo 3. Esta teoría fue inicialmente planteada por E. Witten y combinaba las teorías de supercuerdas y supergravedad en once dimensiones, pero no está aceptada por toda la comunidad de físicos, pues no existen pruebas empíricas a su favor y es difícil verificarla dadas las energías requeridas, aparte de contener problemas matemáticos no resueltos todavía. Una crítica que se puede hacer a estos autores es que precisamente se basan en una teoría que no puede verificarse experimentalmente, al menos por el momento. Pero esto nos lleva al famoso principio de falsabilidad de K. Popper que afirma que ninguna teoría es absolutamente verdadera, sino, a lo sumo, no refutada.
Una vez el universo se puso en marcha, se debe presuponer que el resto, es decir, la vida y la mente, son consecuencia directa de las leyes físicoquímicas. Estas leyes empiezan a actuar, como ya hemos dicho, de una manera inexorable. ¿Las leyes pueden ser vistas como la causa final, el proyecto? Al originarse el universo (o universos), las leyes se establecieron por el propio universo (o universos). Esas leyes requieren de un marco teórico de referencia y de modelos e interpretaciones. En este sentido, hay un principio filosófico que es ampliamente aceptado y se conoce como la navaja de Ockham o principio de economía: en igualdad de condiciones, la explicación/interpretación más sencilla suele ser la más probable (pero no necesariamente la verdadera, algunas veces). Este principio sirve de guía en la ciencia para el desarrollo de los modelos teóricos.
Por otra parte, si la mecánica cuántica (sin considerar la teoría de la relatividad general) es el cimiento o fundamento de la realidad física, y hay problemas muy serios sobre las diferentes ontologías planteadas en esta disciplina, tenemos que reivindicar quizás el realismo dependiendo de la ontología, no del modelo; al menos para los que aceptan una realidad subyacente, que no es ampliamente aceptada por la comunidad científica que piensa en lo contrario y, por tanto, la cuestiona o incluso la niega. A veces uno tiene la sensación que está jugando una partida de ajedrez en un tablero como el que sugiere J. Carelman en su galería de objetos imposibles: las fichas blancas están hacia abajo y las negras están hacia arriba.
Ya, para finalizar, con los conocimientos que tenemos actualmente y quizás en un futuro, uno también puede pensar: la pregunta que se plantea la teleología, ¿qué tipo de respuesta tiene? Acercándonos al mundo microscópico, se puede uno inclinar hacia la disteleología. Pero resulta que el mundo macroscópico es un reflejo del microscópico; por tanto, la respuesta debería ser también extrapolable. No cabe ninguna duda que el desarrollo de la filosofía (y cualquiera de sus ramas) está íntimamente relacionado con el contexto histórico y con el avance del conocimiento. Los avances científicos hacen que los filósofos, y cualquiera de nosotros, vayamos añadiendo matices muy importantes a las respuestas de las eternas preguntas de la vida; es decir, nuestras respuestas se convierten en preguntas de nuevo. Obviamente, esos matices son mucho más ricos y sutiles cuanto más conocimiento de todos los campos del saber vamos adquiriendo y procesando. Pero, al mismo tiempo, nuestra vida es limitada, y nos iremos de aquí con pocas respuestas y con un saco de preguntas. No obstante, lo que importa es el acervo de la humanidad, que va creciendo constantemente.
Al concluir este libro queda patente que el campo de la biología cuántica está en sus inicios. Queda un camino muy largo por recorrer, que, como decía anteriormente, seguro que un camino sin fin. Una historia interminable de nuevo. Como en todo campo del conocimiento, los límites no existen. Un viaje apasionante y estimulante cuyo único destino es el camino de la investigación. Indudablemente, se ha avanzado y se avanzará.
El origen (cuántico) de la vida nos fascina, pero también es un terreno abonado a la especulación fácil. Hay hipótesis que se pueden desmontar en un relativo corto espacio de tiempo, pero otras veces hace falta mucha paciencia, tiempo e investigación para derribarlas. Desde mi punto de vista, hay que huir de posiciones dogmáticas y buscar soluciones plausibles basadas en los conocimientos científicos del momento. Incluso en el terreno de la plausibilidad, más de una dirección es posible, no puede haber unicidad; entonces, ¿cuál será la verdadera?, ¿y la realidad? Más aún, ¿la vida tiene un proyecto, un fin? Sin querer, estamos entrando también en el campo de la filosofía.
Como escribí en las páginas anteriores, he intentado aparcar la componente religiosa acerca del origen de la vida, pues el conocimiento científico está en un plano diferente al teológico. A día de hoy, tenemos más preguntas que respuestas y las respuestas también tienen que ser cuestionadas. Las preguntas de la vida son las respuestas. Lo que no cabe ninguna duda es que los tres grandes enigmas de la ciencia (universo, vida y mente) necesitan del esfuerzo conjunto de todos los campos del saber, de una auténtica investigación multidisciplinar.
En última estancia, si descendemos al mundo microscópico podremos acercarnos a conocer mejor cómo efectos macroscópicos que nos afectan directamente pueden tener, y la tienen, una base mecanocuántica. Esto se ha querido ilustrar en el capítulo 3 con algunos ejemplos. Digo acercarnos porque el cuerpo humano, o cualquier organismo vivo, está compuesto por muchas células y saber cómo funciona globalmente no solo se debe alcanzar reduciendo a nivel molecular el análisis, sino también, no se debe olvidar, teniendo en cuenta que las células son parte de una maquinaria perfectamente «engrasada». A riesgo de ser recurrente, no debemos olvidar que nuevas propiedades emergentes aparecen en sistemas complejos que no se deducen de un análisis de sus partes más pequeñas. «Moreis different». Eso ya ocurre entre los electrones, los protones y los neutrones que forman los átomos de una molécula y la propia molécula. Las propiedades de esta última no tienen nada que ver con las propiedades de sus componentes. Imaginémonos un organismo vivo, la complejidad del todo supera con creces a la de sus elementos constitutivos. Por otra parte, nuestra forma de analizar y estudiar los sistemas o cualquier efecto macroscópico tiene que empezar necesariamente de lo más sencillo a lo más complejo. A fin de cuentas, y tomando prestado el lenguaje computacional, el hardware de los organismos vivos es químico o bioquímico y el software está gobernado por las leyes de la naturaleza.
En este epílogo, mi objetivo es recoger una muestra pequeña de investigaciones recientes de la que se están haciendo eco los artículos de la prensa escrita nacional e internacional relacionados con la vida y, quizás eventualmente, con la biología cuántica. Con ello quiero sugerir al lector que siga la evolución de estas investigaciones al menos en la prensa porque nos esperan descubrimientos realmente sobresalientes e impactantes.
Que la vida no es única en nuestro universo parece cada vez más evidente. Más allá del sistema solar se han descubierto millares de exoplanetas. La presencia de agua y elementos como el carbono, el oxígeno, etc., así como una temperatura adecuada, indican una posible actividad biológica. Se está proponiendo hacer una guía cósmica de exoplanetas y centrar un gran esfuerzo en observarlos y estudiarlos. Los gases de la atmósfera y sus cambios estacionales en un planeta (por ejemplo, la fotosíntesis es más activa en estaciones con mucha luz solar y, por tanto, aumenta la abundancia del oxígeno y dióxido de carbono), que van cambiando con el transcurso del tiempo, se conocen como biomarcadores. Su presencia puede apuntar hacia esa actividad biológica pero no implica una causa directa. Análisis observacionales más detallados necesitan llevarse a cabo para su plena corroboración en la nueva generación de telescopios muy grandes que se están diseñando. Sin ir más lejos, el descubrimiento en Marte de un gran lago de agua líquida en su polo sur bajo una capa de un kilómetro y medio de hielo ha supuesto un gran avance y ha generado reacciones muy positivas a la posibilidad de albergar formas de vida (extremófilos). El lago Vostok en la Tierra que está enterrado a más de 4 kilómetros bajo el hielo de la Antártida es un buen ejemplo. Quizás, hace mucho tiempo, Marte tenía océanos y puede que algún resquicio de vida. Si se llegara a Marte, un inconveniente para buscar vida sería nuestra propia contaminación del lugar. La presencia de agua líquida en muchos planetas o, mejor dicho, exoplanetas puede llevarnos también a pensar que la vida podría haber surgido y evolucionado no una vez sino muchas veces.
Las células se comunican entre sí y con su entorno según sus propios mecanismos, que son fisicoquímicos. Este campo goza de un amplio desarrollo en la actualidad. Más aún, ¿se podría influir en esa comunicación no verbal? A. Turing sentó las bases de la modelización de la morfogénesis, que es el proceso donde la comunicación celular es primordial. Se interesó por la etapa embrionaria y propuso un modelo matemático para entender los patrones que emergían y la especialización de las células en diferentes funciones y órganos. Propuso unas ecuaciones, las ecuaciones de Turing, para entender dichos patrones que se hicieron famosas bastante tiempo después. Actualmente, estas ecuaciones no han sido aún validadas por el experimento. Los mecanismos subyacentes son muy complejos y se requieren grandes conocimientos de las bases fisicoquímicas a las que antes aludíamos. El desarrollo tumoral es otro aspecto a destacar en este contexto. Por otra parte, la sincronización neuronal es un gran reto en la neurociencia computacional donde las matemáticas son decisivas a través de modelos de redes neuronales. Esta vía de aplicación de modelos matemáticos a la biología está resultando ser muy prometedora.
El proyecto Biogenoma de la Tierra propone secuenciar el material genético de todas las formas de vida más avanzadas: animales, plantas y hongos. Se piensa que se podría completar en unos diez años y el objetivo principal es preservar la biodiversidad del planeta. La recolección de datos no se presenta fácil ya que el número de especies es enorme, más de dos millones descritas, sin contar las que hay aún por descubrir (que se estima sean de muchos más millones). Es un esfuerzo colectivo de muchos grupos de investigación que puede complicar aún más, si cabe, este macroproyecto. La importancia es capital para entender mejor la evolución, preservar la biodiversidad del planeta, desarrollar nuevos fármacos, superar la resistencia de los microorganismos a los antibióticos, descubrir nuevos materiales y nuevas fuentes de energía, mejorar la agricultura y un largo etcétera. Otra componente no menos importante es recuperar especies ya extintas.
Otro tipo de problemas que plantea tal macroproyecto es el acceso a esta gran base de datos y ver qué tipo de uso y abuso se hace de ellos. La secuencia completa o parcial de microbios puede servir de base para este proyecto, pero su estudio actual también es fundamental para conocer su situación estratégica en la evolución, además del propio interés biológico. Como ejemplo, se ha conseguido la secuencia completa del gusano Schmidtea mediterránea, que parece inmortal porque es capaz de regenerarse totalmente y podría arrojar luz sobre las células madre. Recientemente se ha elaborado un código de barras genético (el de un ratón) que plasma el origen de todas sus células. Este código de barras a nivel humano debería ser fundamental para la curación de muchas enfermedades.
Por otra parte, el genetista L. L. Cavalli-Sforza, recientemente fallecido, estudió la genética de las poblaciones, lo que le llevó a obtener un árbol genealógico de la humanidad. Una de sus conclusiones de mayor impacto fue la afirmación de que las razas no existen, existen solo en la mente de los racistas. La cultura es vista como motor para justificar las diferencias entre las poblaciones humanas. La ciencia planteará una serie de preguntas incómodas y acciones cuestionables, cuanto menos, que desafiarán claramente a la ética y al ser humano (pensemos, por ejemplo, en la clonación humana). Más aún, ciertas técnicas genéticas (para curar o mejorar) estarán solo al alcance de personas muy ricas que podrán pagárselas. La eugenesia que defiende la mejora de los rasgos hereditarios humanos plantea problemas muy serios.
La longevidad parece encontrarse en 25 genes que presentan mutaciones respecto a los primates. En general, no se entiende bien aún la diferencia en la esperanza de vida de las distintas especies. Sobre los años cincuenta del siglo pasado se postuló lo que se conoce como la pleiotropía antagonista. Algunas variantes favorecen a los individuos en la etapa joven, pero afectan negativamente en la etapa adulta. Este hecho es crítico pues puede influir en los genes de la siguiente generación. El cambio en nuestra especie pudo sobrevenir cuando empezamos a ser dominantes en nuestro entorno, a vivir en sociedad y en grupos grandes que favorecieron la protección. Por otra parte, según J. C. Izpisua, el envejecimiento tiene marcha atrás reescribiendo el genoma (se ha comprobado ya con ratas) para corregir enfermedades. Parece ser que las células olvidan lo que son. El genoma es el hardware y el epigenoma el software, que es la relación de nuestro genoma con el ambiente (dieta, estrés, ejercicio, alcohol, tabaco…).
La inmortalidad es incompatible con la evolución. La evolución no está solo en manos de la evolución natural propiamente dicha, también está en nuestras manos por primera vez. No se entiende aún por qué somos incapaces de regenerar nuestras propias células como la hidra, que tiene esa capacidad y por tanto es inmortal. No se sabe si los virus son inmortales porque no existe consenso sobre si son organismos vivos. No son células e infectan otro organismo; necesitan de él, su replicación no es idéntica y no están compuestos de células que son las estructuras básicas de la vida. No tienen metabolismo propio. Si no hay ningún ser vivo al que parasitar, desaparecerían. Los virus son inmortales porque se reproducen en poblaciones de virus diferentes (recordemos el virus de la gripe y sus diferentes cepas). En nuestro cerebro, la pérdida de neuronas debido a la edad es compensada por un aumento de ramificaciones de las restantes y la utilización de circuitos neuronales alternativos en lo que se conoce como plasticidad neuronal.
Si queremos empezar a entender nuestra vida parece claro que los organismos unicelulares deberían estudiarse mejor. La homeostasis es como una fuerza de autoconservación de la vida al ser la capacidad de cualquier organismo vivo de mantener la estabilidad interna a pesar de su entorno cambiante. El sentimiento y el estado vital son inseparables. Hay sentimiento cuando está presente el sistema nervioso. Las respuestas de las bacterias son emotivas, no tienen sentimiento porque no tienen mente. Las estrategias de comportamiento que nos han llevado a la cultura ya estaban presentes en los organismos unicelulares. La evolución se puede también entender para proteger la vida de los organismos que están evolucionando y esa supervivencia aumenta, en principio, con la cultura y la inteligencia.
La memoria tiene que tener un anclaje o una base química para que deje una impronta en nuestro cerebro. Esa esquiva huella se llama engrama y es un gran misterio en biología. Los engramas deben estar en las sinapsis, conexión entre neuronas encargadas de transmitir mensajes químicos y eléctricos. Curiosamente, en un experimento reciente, parece que se han transferido recuerdos de un animal a otro (una babosa marina) mediante inyecciones de ARN. De ser cierto, la memoria estaría almacenada en el núcleo de las neuronas. Las modificaciones sinápticas serían un reflejo de la información que el ARN lleva consigo. Estos estudios podrían ser primordiales para vencer el alzhéimer o el trastorno del estrés postraumático y poder de nuevo recuperar la conciencia de sí mismo (conocimiento de sí mismo, actos, reflexiones, etc.) y la capacidad de recordar. Muy recientemente, los enfermos de alzhéimer han visto una luz para su mejora cognitiva. Los estudios cada vez ponen más en evidencia que los animales pueden tener conciencia de sí mismos y del mundo que los rodea a través de la prueba del espejo. Esta prueba fue superada por diferentes animales como los chimpancés, bonobos, orangutanes, delfines, elefantes y palomas. Una publicación reciente informa sobre la superación de esta prueba por un pequeño pez tropical.
Se ha descubierto un nuevo tipo de células cerebrales humanas denominadas escaramujos y son del tipo de neuronas inhibidoras que frenan la actividad de otras y controlan el flujo de información de manera muy especializada. Se está desarrollando un atlas cerebral sobre los procesos moleculares que ocurren en el córtex, que es aparentemente la estructura más compleja de la naturaleza. Cuando se sabe que tenemos unos 80 mil millones de neuronas, y todas conectadas entre sí, uno puede empezarse a preguntar si la unidad en el cerebro la juegan las neuronas. Estas podrían verse como los píxeles de la pantalla de la televisión de la imagen que, cuando interactúan, generan la memoria, etc., pudiéndose ver como propiedades emergentes. En neurociencia, el proyecto BRAIN, auspiciado por el gobierno de B. Obama, quiere desarrollar unas nuevas técnicas para ver la actividad de todas ellas conjuntamente.
El cerebro está compuesto por neuronas y unas células que se llaman glías que sirven de soporte de ellas en el procesamiento cerebral de información, descubiertas por el premio Nobel S. Ramón y Cajal. Estas células son la base del sistema nervioso central. El cerebro es quizás el entramado más complejo que existe en la naturaleza. Se conoce bastante acerca de las neuronas, pero poco de sus conexiones. El hipocampo es como el GPS del cerebro, ya que nos dice nuestra posición respecto al entorno. La investigación en esta disciplina con una nueva tecnología inspirada por la biología, la neurotecnología, sin duda mejorará el conocimiento de muchas enfermedades y con ello su curación. Tampoco está muy lejos el tiempo en el que a través de una interfaz habrá conexión entre nuestro cerebro y los ordenadores con el consiguiente trasvase de información. Más aún, el aprendizaje está relacionado con las conexiones neuronales, pero no se sabe todavía por qué se crean nuevas, o se hacen más fuertes o incluso que pueda haber nueva incorporación de neuronas. Esta última posibilidad es muy discutida porque también se cree que no aparecen neuronas nuevas en cualquier parte del cerebro. Se cree que se duerme tanto, y es necesario dormir, porque se reactivan los circuitos que se han mantenido activos en la vigilia; si hay insomnio, hay déficit de aprendizaje. Que el insomnio no te quite el sueño, como alguien dijo. Cuando se habla de la inteligencia emocional no es ningún disparate, el cerebro tiene componentes emocionales que influyen en el sistema nervioso y mejoran el aprendizaje. Hay un periodo de mucha plasticidad en el cerebro donde la información (recogida por la vista, oído, diálogo, etc.) del exterior cambia su estructura. Al cabo de un cierto tiempo, esta plasticidad se reduce drásticamente. Resulta también curioso, según la psicología conductual, que el cerebro cuando toma decisiones actúa de una forma curiosa. Parece que muchas de ellas ya se han tomado de antemano pues rechaza todo aquello que va en contra de sus esquemas de pensamiento y creencias; una forma de amortiguar la realidad, que puede ser muy dura. Incluso, puede haber cerrazón al contrastar datos para quitar la razón a alguien. Muy común actualmente.
Parece ser que la inteligencia humana no deja de menguar o, de otra forma, que el cociente intelectual va empeorando, según estudios recientes. El aumento paulatino en las puntuaciones sobre las medias del cociente intelectual durante la primera mitad del siglo XX o efecto Flynn ha dejado de ser cierto. El auge de la tecnología (ordenadores, aparatos electrónicos, etc.) o factores ambientales (educación, nutrición, etc.) podrían estar detrás de esta tendencia nefasta. La transmisión genética ya no es tan importante. También se podría ver de una forma inversa: tendríamos que adaptar las pruebas que recogen la medida del cociente intelectual a los nuevos tiempos.
No hemos hablado del lenguaje. Las palabras que utilizamos tienen la capacidad de transformar nuestra realidad, generar cambios en nuestro cerebro y modificar la percepción de nuestro entorno. El lenguaje también está vinculado a nuestras emociones. Por ejemplo, las palabras negativas hacen que liberemos la hormona del estrés, el cortisol. Actitudes negativas nos pueden llevar a la autodestrucción. Recordemos aquí y ahora la famosa frase de Marco Aurelio que decía: «La vida de un hombre es lo que sus pensamientos hacen de ella». No se debe obviar el psicoanálisis que tantos beneficios puede aportar. Más recientemente, en coaching hay una técnica denominada programación neurolingüística (PNL), que se basa en las conexiones entre los procesos neurológicos, el lenguaje y los patrones de comportamiento adquiridos por nuestra experiencia. Las técnicas de PNL, que tiene aún muchos detractores, cada día son más populares.
En criminología, o en la búsqueda de personas o familiares, tener acceso a una base de datos genética es muy importante pero también muy peligroso. Si tenemos nuestro ADN en lo que se conoce como un Facebook genético, el robo o manipulación de esos datos sin consentimiento o sujeto a las leyes de privacidad puede llevar a un uso ilegítimo de esa información.
Deberíamos ser más conscientes de la migración aviar. Las aves son auténticos héroes por las hazañas silenciosas que realizan al volar miles de kilómetros cada año en busca de climas más suaves o lugares adecuados para su reproducción. Incluso algunas de ellas duermen volando en ese largo viaje, no comen durante miles de kilómetros o no llegan nunca a su destino (pero sí sus descendientes). Pero al mismo tiempo son también indicadores (uno más) del cambio climático, pues se están empezando a observar cambios de comportamiento en sus migraciones. ¿Cómo detectan, a nivel molecular, el cambio climático? Como dijimos, en determinadas clases de reptiles, el sexo se determina por condiciones externas como el momento de la incubación. Este cambio climático parece que está afectando a que haya más tortugas hembras. Para cierta clase de cocodrilos ocurre justamente todo lo contrario y empieza a ver una proliferación de machos. No se puede predecir exactamente lo que el cambio climático conllevará, pero debemos estar vigilantes porque puede suponer una amenaza. En el océano, perturbar el campo magnético terrestre puede ser dramático para los salmones, tortugas marinas y, en general, especies que se guían por dicho campo.
Lógicamente, la mecánica cuántica es también una disciplina abierta y muy activa con constantes descubrimientos que podrían y deberían incorporarse a la biología cuántica. Quisiera entresacar solamente tres. Primero, sobre la famosa disyuntiva de qué fue primero, si el huevo o la gallina. El lector podrá intuir que en mecánica cuántica la respuesta es claramente los dos a la vez. Recientemente, físicos de la Universidad de Queensland y el Instituto Néel han propuesto lo que denominaron orden causal indefinido, mostrando que, en un dispositivo cuántico, el orden de los eventos depende de la polarización de la luz. Segundo, ¿el futuro puede condicionar el pasado? Se están llevando a cabo investigaciones teóricas sobre la causalidad y la retrocausalidad dentro de esta disciplina. Tres, recientes investigaciones están hablando ya de diferentes realidades como respuesta a un mismo experimento cuántico. El actual desarrollo de una mecánica cuántica no lineal es también muy prometedor llevando a la aparición de nuevas propiedades que pudieran suministrarnos otros enfoques alternativos porque la superposición y el entrelazamiento dejan de actuar cuando se rompe el carácter lineal. Quizás este enfoque puede ser más adecuado al estudiar conjuntamente un sistema y su entorno. Al menos debería ser complementario. Nadie nos puede hacer callar, por ahora, si pensamos que el cerebro se entiende mejor dentro del marco de una mecánica cuántica no lineal. El potencial es muy prometedor.
Los Nobel del año 2018 han sido ciertamente importantes para la biología cuántica. En Química, los galardonados han aplicado los principios de la evolución establecidos por Darwin a los tubos de ensayo y han utilizado este enfoque para desarrollar nuevos tipos de sustancias para el beneficio de la humanidad. Así rezaba el comunicado de la Academia sueca. De los tres galardonados, uno de ellos estudió por primera vez la evolución de una enzima de forma dirigida, y los otros dos han desarrollado una técnica que utiliza los virus batceriófagos, que infectan bacterias, para producir anticuerpos y otras proteínas. Curación de enfermedades, desarrollo de nuevos fármacos y nuevos biocombustibles están detrás de sus posibles y reales aplicaciones para la sociedad. El de Física, que ha sido concedido a dos investigadores, premia rompedoras invenciones en el campo de la física del láser de alta intensidad. En particular, uno de ellos mostró que el láser era capaz de capturar y manipular partículas de tamaño del nanómetro como bacterias mediante lo que se conoce como pinzas ópticas. La luz puede penetrar en el interior de las células sin romper su membrana ni perturbar su actividad.
Hemos expuesto el paralelismo que puede existir entre el cerebro y un ordenador cuántico. Científicos algo incrédulos en este tema ya argumentan que los ordenadores cuánticos son tan potentes que aún no funcionan. Recientemente, se ha empezado a hablar de la supremacía cuántica que debería ocurrir cuando un ordenador cuántico pudiera realizar algo que uno clásico no pudiera (aunque sea el más potente del mundo, en el futuro). El concepto deja mucho que desear pues nos recuerda inmediatamente a la supremacía blanca que mantiene que la raza caucásica es superior a otras.
Investigadores ingleses acaban de crear el primer ser vivo artificial con el ADN modificado y el código genético alterado. Paralelamente, investigadores españoles también han creado vida artificial en un ordenador cuántico partiendo de sistemas cuánticos capaces de aprender, memorizar, mutar, replicarse y morir. A esta idea se le conoce como biomimética cuántica.
En esta lista de nuevos descubrimientos, y los que vendrán, debería considerarse una nueva extensión en todos ellos, la componente cuántica para alcanzar una completitud de enfoques. Como se ha dicho varias veces a lo largo del libro, el tema del origen de la vida es multidisciplinar, más que ninguno. Llegar a conocer los mecanismos moleculares detrás de cada acción, pensamiento, emoción, etc., se presupone una tarea difícil, por no decir imposible, por la complejidad del problema. No he entrado a considerar aquí una disciplina importantísima también en esta labor titánica, la filosofía. Esta habla de ideas, pensamientos, de la realidad y la verdad, de las eternas preguntas sobre la vida… Es conocido que las preguntas unen, las respuestas separan, como no podría ser de otra forma. Si hay diversidad (y mucha) en la vida, lo mismo ocurre con las formas de pensar y creer. Una visión completa de la vida, y de su origen cuántico, no se puede conseguir sin tener en cuenta la filosofía.
El camino se hace al andar, nuestro destino es el camino, el camino de cada cual, disfrutemos del paisaje sin preocuparnos del destino. En un grafiti que vi recientemente en un barrio de Madrid, en Lavapiés, se podía leer: «Somos lo que hacemos para cambiar lo que somos». En la ciencia y, en particular, en la biología cuántica, lo mejor está aún por llegar.
Finalmente, para cerrar este libro, me gustaría recordar de nuevo una cita de Feynman: «I would rather have questions I cannot answer than answers I cannot question(Tendría más bien cuestiones que no puedo responder que respuestas que no puedo cuestionar)».
- Abbott, D.; Davies, P. C. W. y Pati, A. K. (eds.) (2008): Quantum Aspects of Life, Imperial College Press, Londres.
- Almira, J. M. y Aguilar-Domingo, M. (2016): Neuromatemáticas, Los Libros de la Catarata-CSIC, Madrid.
- Álvarez-Rodríguez, U. et al. (2018): «Quantum artificial life in an IBM quantum computer», Scientific Reports, 8, 14793.
- Ayala, F. J. (1999): La teoría de la evolución, Temas de Hoy, Madrid.
- Ball, P. (2011): «The dawn of quantum biology», Nature, 474, 272.
- Bargueño, P. (2015): «Chirality and gravitational parity violation», Chirality, 27, 375.
- Bargueño, P.; Miret-Artés, S. y Gonzalo, I. (2011): «Quantum stochastic resonance in parity violating chiral molecules», Physical Chemistry Chemical Physics, 13, 850.
- Bryson, B. (2004): Una breve historia de casi todo, RBA, Barcelona.
- Cairns, J.; Overbaugh, J. y Millar, S. (1988): «The origin of mutants», Nature, 335, 142.
- Cavalli-Sforza, L. L. (1999): ¿Quiénes somos? Historia de la diversidad humana, Crítica, Barcelona.; (2000): Genes, pueblos y lenguas, Crítica, Barcelona.
- Chin, A. W.; Huelga, S. F. y Plenio, M. B. (2012): «Coherence and decoherence in biological systems: principles of noise-assited transport and the origin of long-lived coherences», Philosophical Transactions of the Royal Society A, 370, 3658.
- Damasio, A. (2018): El extraño orden de las cosas, Destino, Barcelona.
- Dyson, F. J. (1999): Los orígenes de la vida, Cambridge University Press, Madrid.
- Engel, G. S. et al. (2007): «Evidence for wavelike energy transfer through quantum coherence in photosynthetic systems», Nature, 446, 782.
- Etxenike, P. M. (2017): «Discurso de ingreso en la Academia de Ciencias Exactas, Físicas y Naturales», Madrid.
- Frauchiger, D. y Renner, R. (2018): «Quantum theory cannot consistently describe the use of itself», Nature, 561, 446.
- Gambini, R. (2018): A Hospitable Universe, Andrews UK Limited, Luton.
- Gardner, M. (1985): Izquierda y derecha en el cosmos, Biblioteca Científica Salvat, Barcelona.
- Gato, B. (2018): Antimateria, Los Libros de la Catarata-CSIC, Madrid.
- Guijarro, A. y Yus, M. (2009): The Origin of Chirality in the Molecules of Life, The Royal Society of Chemistry, Cambridge.
- Gribbin, J. (2007): Biografía del universo, Crítica, Barcelona.
- Hawking, S. W. (1988): Historia del tiempo, Crítica, Barcelona.; (2018): Breves respuestas a las grandes preguntas, Crítica, Barcelona.
- Hawking, S. W. y Mlodinow, L. (2010): El gran diseño, Crítica, Barcelona.
- Joaquim, L.; Freire, O. Jr. y El-Hani, C. N. (2015): «Quantum explorers: Bohr, Jordan and Delbrück venturing into biology», Physics in Perspective, 17, 236.
- Jorgensen, R. A. (2011): «Epigenetics: biology’s quantum mechanics», Frontiers in Plant Science, 2, 1.
- Lambert, N. et al. (2013): «Quantum biology», Nature Physics, 9 , 10.
- Lerma, J. (2010): Cómo se comunican las neuronas, Los Libros de la Catarata-CSIC, Madrid.
- Levi Montalcini, R. (1999): El as en la manga, Crítica, Barcelona.
- Longuet-Higgins, H. C. (1962): «Quantum mechanics and biology», Biophysical Journal, 2, 207.
- Lucas, A. (2019): La liaison hydrogène [en prensa].
- Maddox, J. (1999): Lo que queda por descubrir, Debate, Barcelona.
- Magro, P. y Tiemblo, A. (1989): El camino de la pregunta, Orígenes, Madrid.
- Margulis, L. y Sagan, D. (1996): ¿Qué es la vida?, Tusquets, Barcelona.
- McFadden, J. (2002): Quantum Evolution, W. W. Norton & Company, Nueva York.
- McFadden, J. y Al-Khalili, J. (2014): Life on the Edge, Crown Publishers, Nueva York.
- Miret Artés, S. (2015): Mecánica cuántica, Los Libros de la Catarata-CSIC, Madrid.
- Mohseni, M. et al. (eds.) (2014): Quantum Effects in Biology, Cambridge University Press, Cambridge.
- Monod, J. (1993): El azar y la necesidad, Metatemas, Tusquets, Barcelona.
- Murphy, M. P. y O’Neil, L. A. J. (eds.) (1995): What is life? The next fifty years: Speculations on the future of biology, Cambridge University Press, Cambridge.
- Navarro, J. (2015): Las constantes universales, RBA, Barcelona.
- Oparin, A. I. (1953): Origin of Life, Dover Publications, Nueva York.
- Penrose, R. (1991): La nueva mente del emperador, Mondadori, Madrid.; (1996): Las sombras de la mente, Crítica, Barcelona.
- Peñate-Rodríguez, H. C. et al. (2013): «Stochastic dynamics of chiral systems: a Langevin canonical approach I. Populations and coherences», Chirality, 25, 514.; (2014): «Stochastic dynamics of chiral systems: a Langevin canonical approach II. Heat capacities and termal verages», Chirality, 26, 319.
- Pinker, S. (2001): Cómo funciona la mente, Paidós, Barcelona.; (2002): La tabla rasa, Paidós, Barcelona.; (2012): Los ángeles que llevamos dentro, Paidós, Barcelona.
- Plou, F. J. (2016): Las enzimas, Los Libros de la Catarata-CSIC, Madrid.
- Pollak, E. (2017): «Transition path time distribution, tunneling times, friction and uncertainty», Physical Review Letters, 118, 070401.
- Pollak E. y Miret-Artés, S. (2018): «Time averaging of weak values-consequences for time-energy and coordiante-momentum uncertainty», New Journal of Physics, 20, 073016.
- Prigogine, I. (1988): El nacimiento del tiempo, Tusquets, Barcelona.
- Ridley, M. (2004): Qué nos hace humanos, Taurus, Madrid.
- Romá Mateo, C. (2016): La epigenética, Los Libros de la Catarata-CSIC, Madrid.
- Scanlan, M. M. et al. (2018): «Magnetic map in nonadromous Atlantic salmon», Proceedings of the National Academy of Sciences(USA), 115, 10995.
- Schrödinger, E. (1988): ¿Qué es la vida?, Tusquets, Barcelona.
- Smith, C. U. M. (1971): Biología molecular, Alianza Universidad, Madrid.
- Weinberg, S. (1996): Los tres primeros minutos del universo, Alianza, Madrid.
- Wikipedia: Abiogénesis, en https://es.wikipedia.org/wiki/Abiogénesis
- Yruela Guerrero, I. (2016): Las proteínas dúctiles, Los Libros de la Catarata-CSIC, Madrid.