El libro de Y. I. Perelman "Aritmética Recreativa" tuvo, durante la vida del autor, siete ediciones que fueron revisadas una a una por él mismo. La última de ellas salió a la luz en Leningrado, en 1938.
En los siguientes 16 años, el libro no se reimprimió, y fue hasta 1954 que la Editorial Estatal de Literatura Infantil realizó una octava edición abreviada.
En esta novena edición, se reelaboraron los capítulos primero, segundo y noveno. Estos capítulos se complementaron con material nuevo: hablan con más detalle de los diversos sistemas de numeración, de cómo se calculaba en el ábaco chino, de los grandes números de nuestra realidad y especialmente de los gigantes numéricos del grandioso plan septenal de 1959-1965. Asimismo se habla de la denominación de los grandes números.
El presente libro es una versión española de la "Zanimatielnaia arifmétika" (Aritmética recreativa) que forma parte de la extensa obra (Matemáticas recreativas., Algebra recreativa, Mecánica para todos, Física recreativa, en 2 tomos, cuya próxima publicación en español correrá a cuenta de esta Editorial, etc.) del eminente investigador y pedagogo soviético, de la ciencia recreativa, Yakov Isidorovich Perelman.
La presente obra posee un alto valor didáctico que puede ser aprovechado, tanto por el profesor de matemática elemental, como por el estudiante autodidacta que se interese por el origen y evolución histórica de los diversos sistemas de numeración; asimismo, es altamente provechoso el tratamiento referente a la manera de calcular de diversos pueblos de la Antigüedad.
En cierta medida, el presente libro puede servir como estímulo para que el lector se interese por la técnica de cálculo basada en las máquinas electrónicas, en virtud que contiene un excelente capítulo referente a los sistemas no decimales de numeración, donde en forma especial se tratan dos sistemas: el de base dos (binario) y el de base cinco (quinario). El primero tiene una alta importancia en la codificación de la computación electrónica, Y el segundo muestra su importancia en la codificación de las comunicaciones telegráficas múltiples (sistema Baudot, etc.)
Puede, además, en virtud del material que contiene acerca de las propiedades de ciertos números y de las pirámides numéricas, motivar el interés en el lector, por el estudio sistemático de la Aritmética, pues no debe olvidar que lo que en un principio es sólo curiosidad, posteriormente se puede llegar a transformar en un anhelo.
Desde el punto de vista recreativo, el libro contiene bastante material para el desarrollo y realización de trucos, adivinanzas y charadas matemáticas, la mayor parte, de gran originalidad, que pueden servir para agudizar la percepción e inteligencia del joven estudiante y de los lectores en general. Posee, además, un gran valor "mnemotécnico", pues contiene una serie de procedimientos para la memorización de los números, sirviendo, al mismo tiempo, tanto al lector ordinario como al estudiante, de regla de cálculo "natural" debido a la formulación de reglas para la realización de operaciones con los números aproximados, lo que da por resultado un ahorro en el trabajo de cálculo,
Contiene, también, material que permite valorizar en una forma clara y precisa, la magnitud, tanto de los gigantes numéricos, como de los enanos numéricos, en relación con fenómenos o hechos del dominio general.
Resumiendo: creemos con firmeza que la presente obra con todo su contenido tan rico en cuestiones históricas, didácticas, metodológicas y recreativas de la Aritmética elemental, descubrirá ante el lector todo el mundo fantástico de los números, permitiéndole, después de su lectura, abordar tanto textos sistemáticos de Aritmética elemental, como libros que investiguen o expongan la historia de la matemática elemental. Y consideramos que después de la lectura de esta obra, el lector ordinario y el estudiante comprenderán y aceptarán el papel tan importante que juega la Aritmética, y, sin dudar un momento de que estamos en lo justo, la matemática en general, en la vida del hombre moderno.
Finalmente, no dejamos de reconocer la gran complejidad del texto original ruso, en virtud de su amplio campo de cuestiones tratadas, y de que es posible que no hayamos superado, con éxito, todas las dificultades que originó su traducción; pero hacemos patente nuestro reconocimiento para todo el lector que con motivo de sus observaciones críticas, dirigidas a la dirección de esta Editorial, contribuya a elevar, tanto la calidad del contenido, como de la exposición y terminología de la presente traducción.
Capítulo 1
Lo antiguo y lo nuevo sobre los números y las numeraciones

1. Las numeraciones escritas más difundidas
2. Numeración antigua egipcia
3. Numeración antigua rusa
4. Numeración romana
5. Numeración antigua griega
6. Numeración eslava
7. Numeración babilónica
8. "Claves" secretas comerciales
9. Peones en lugar de números
10. La aritmética en el desayuno
11. Charadas aritméticas
12. Descubriendo un número de tres cifras
13. El sistema decimal de los anaqueles de libros
14. Los signos y denominaciones aritméticas en diversos pueblos
15. Curiosidades aritméticas
Parto de la base que para ninguno de ustedes, lectores de este libro, constituye un gran esfuerzo escribir cualquier número entero; digamos que inferior a un millón. Para representar gráficamente los números, empleamos diez signos bien conocidos 1, 2, 3, 4, 5, 6, 7, 8, 9, 0, llamados; cifras. Ahora nadie duda que, con la ayuda de estos diez signos (cifras) podemos escribir un número, ya sea muy grande o muy pequeño, entero o fraccionario.
Escribimos los números del cero al nueve, con la ayuda de una sola cifra para cada uno de ellos. Para escribir los números del diez al noventa y nueve, necesitamos de dos cifras para cada número, una de las cuales puede ser también el cero, y así sucesivamente.
Como base de la numeración tomamos el número "diez", por lo que nuestro sistema de numeración se llama decimal.
Es decir, que diez unidades simples (unidades de primer orden) forman una decena (una unidad de segundo orden), diez decenas forman una centena (una unidad de tercer orden), diez centenas forman un millar (una unidad de cuarto orden) y, en general, cada diez unidades de cualquier orden forman una unidad del orden inmediatamente superior.
Muchos pueblos emplean sistemas de numeración decimales. Esto se debe a que tenemos diez dedos en nuestras manos.
Al escribir un número, anotamos en el primer lugar de derecha a izquierda, la cifra correspondiente a las unidades; a su izquierda, en segundo lugar, la cifra de las decenas; luego la de las centenas, después la de los millares, etc. Así, por ejemplo, al escribir 2716 indicamos que el número se compone de 2 millares, 7 centenas, 4 decenas y 6 unidades.
Si un número carece de unidades de determinado orden, escribimos un cero en el lugar correspondiente a éstas. Así, el número que tiene tres millares y cinco unidades, se escribe. 3005. En este número no existen decenas ni centenas, es decir, que no tiene unidades de segundo ni tercer orden; por tal razón, escribimos ceros en el segundo y tercer lugar de derecha a izquierda.
¿Qué particularidad notable podemos encontrar en el sistema de numeración que siempre hemos usado?
En el número 14742, empleamos, por ejemplo, dos veces la cifra 4: en el segundo y en el cuarto lugar de derecha a izquierda. En tanto que uno de ellos representa 4 decenas, el otro representa 4 millares.
En consecuencia, resulta que una misma cifra puede denotar unidades, o decenas, o centenas, o millares, etc. De acuerdo con la posición que ocupa la cifra en el número. Debido a esto nuestro sistema de numeración se llama posicional.
Volvamos al número 2746, del cual hablamos antes. En éste, la primera cifra de la derecha (el 6) representa 6 unidades, la segunda cifra de la derecha (el 4) representa 4 decenas, es decir, el número
40 = 4 x 10
la tercera cifra de la derecha (el 7) representa 7 centenas, es decir, el número
700 = 7 x 10 x 10 = 7 x 102
y finalmente, la cuarta cifra (el 2) representa 2 millares, es decir, el número
2000 = 2 x 10 x 10 x 10 = 2 x 103
Es decir, que el citado número se puede escribir así:
2746 = 2000 + 700 + 40 + 6 = 2 x 103 + 7 x 102 + 4 x 101 + 6
Cada grupo de tres cifras de un número forma una clase. Las clases se cuentan siempre de derecha a izquierda. La primera clase está conformada por las unidades, decenas y centenas; la segunda clase está conformada por los millares, las decenas de millar y las centenas de millar: la tercera clase está conformada por los millones, las decenas de millón y las centenas de millón, etc.
Nos preguntamos ¿por qué se efectúan con los números las cuatro operaciones aritméticas: adición, substracción, multiplicación y división, tan rápida y fácilmente? Como es de suponer, esta es una consecuencia del citado principio posicional de la escritura de los números.
En efecto, al efectuar cualquier operación aritmética con números, trabajamos con decenas, centenas, millares, etc., como si fueran unidades, y sólo tenemos en cuenta su orden, al obtener el resultado final.
En síntesis, para escribir los números, empleamos el sistema posicional de numeración decimal. El famoso físico y matemático francés Laplace (siglos XVIII-XIX), escribió acerca del sistema: "La idea de representar todos los números con diez signos, asignándoles, además de un valor por su forma, otro por su posición, es tan sencilla, que en virtud de esta sencillez resulta difícil imaginar cuán admirable es esta idea".
Ahora casi toda la humanidad utiliza este sencillo sistema de numeración, cuyo principio de construcción y la escritura de las cifras, poseen idénticas propiedades en todo mundo.
¿Cómo surgió este extraordinario sistema posicional de numeración decimal?
Pese a su sencillez, los hombres necesitaron varios miles de años para llegar a él. Podemos afirmar, sin caer en exageraciones, que todos los pueblos del mundo tomaron parte en la creación de dicho sistema.
Inicialmente el sistema de numeración decimal de tipo posicional apareció en la India, y a mediados del siglo VIII, se encontraba bastante extendido su uso. Por esa misma época, llegó también a la China y a otros países de Oriente. Los europeos adoptaron este sistema hindú de numeración en el siglo XIII, debido a la influencia de los árabes. Precisamente surgió de aquí, la denominación históricamente incorrecta, de "numeración arábiga".
¿Qué sistemas de numeración estaban en uso, antes del surgimiento del decimal posicional?
El enorme interés que suscita esta pregunta, hace necesario un análisis detallado, que nos permitirá apreciar mejor las ventajas de nuestro sistema de numeración.
2. Numeración antigua egipcia
Una de las más antiguas numeraciones es la egipcia. Data aproximadamente de hace 7000 años, es decir, de más de 3000 años antes de nuestra era. Durante los tres primeros milenios sufrió cambios insignificantes. Acerquémonos un poco a dicha numeración antigua, y fijemos nuestra atención en la forma en que se representaban los números en ella.
En la numeración egipcia existían signos especiales (jeroglíficos) para los números: uno, diez, cien, mil, diez mil, cien mil, un millón. Estos signos se muestran en la figura 1.

Figura 1. Los antiguos egipcios empleaban signos especiales (jeroglíficos) para escribir los números.

Figura 2. Escritura del número 23 145 en el sistema de numeración egipcio.
Con este ejemplo se puede aprender a escribir los números tal y como los representaban los antiguos egipcios. El sistema de numeración egipcio es muy simple y primitivo. Es un sistema decimal puro, porque emplea el principio decimal del orden de las clases, para representar cada cifra. Se puede observar que cada símbolo solo representa un número. Así, por ejemplo, el símbolo para las decenas (ver fig. 1) solo denota diez unidades. Y no diez decenas o diez centenas, lo que pone en evidencia por qué el sistema de numeración egipcio no era posicional.
3. Numeración antigua rusa
Conforme al principio de la numeración egipcia antigua, se construyeron sistemas de numeración en otros pueblos, por ejemplo, el de la antigua Grecia, del que hablaremos detalladamente, más adelante.
En la antigua Rusia, por ejemplo, existió un sistema popular de numeración ampliamente difundido, basado en el mismo principio del sistema egipcio, diferenciándose de éste, por la representación de los signos numéricos.
Es interesante anotar, que esta numeración era de carácter legal en la antigua Rusia; precisamente los recaudadores de impuestos debían llevar los registros en el libro de contribuciones, acordes a este sistema, sólo que de manera más explícita.
El recaudador, leemos en el antiguo "Código de las Leyes", recibiendo de cualquiera de los arrendadores o propietarios el dinero aportado, deberá él mismo, o por medio de un escribiente, registrar en el libro de contribuciones frente al nombre del arrendador, la cantidad de dinero recaudado, anotando la suma recibida con cifras o signos. Para conocimiento de todos y de cada cual, estos signos se instituyen idénticos para todo lugar, a saber:
| diez rublos se denotan por el signo | ( |
| un rublo se denota por el signo | O |
| diez kopeks se denotan por el signo | x |
| un kopek se denota por el signo | | |
| un cuarto se denota por el signo | - |
Por ejemplo, veintiocho rublos, cincuenta y siete kopeks y tres cuartos:
((OOOOOOOOxxxxx|||||||---
En otro lugar del mismo tomo del "Código de las Leyes", nos volvemos a encontrar con una referencia al empleo obligatorio de las notaciones numéricas nacionales. Se dan signos especiales para los millares de rublos, en forma de una estrella de seis puntas con una cruz en su centro, y para las centenas, en forma de una rueda con ocho rayos. Pero se establece aquí una notación para rublos y decenas de kopeks, diferente a la señalada en la ley anterior. Veamos el texto de la ley acerca de los así llamados "signos tributarios".Que en todo recibo entregado al Representante de la Alta Estirpe, además de la redacción con palabras, se escriban con signos especiales, los rublos y kopeks aportados, de tal manera que al realizar un simple cálculo de todos los números, pueda ser aseverada la veracidad de las declaraciones[1]. Los signos empleados en el recibo significan:
| una estrella | mil rublos |
| una rueda | cien rublos |
| . | diez rublos |
| X | un rublo, |
| |||||||||| | diez kopeks |
| | | un kopek. |
Para que no pueda hacerse aquí ningún tipo de enmendaduras, todos los signos se rodean por medio de un trazo constituido por líneas rectas.

Figura 3. Inscripción antigua en un recibo de pago de impuestos ("tributo"), que representa la suma 1232 rublos, 24 kopeks.
4. Numeración romana
De todas las numeraciones antiguas, la romana es, posiblemente la única que se ha conservado hasta hoy, y que es empleada con frecuencia. Las cifras romanas se utilizan hoy día para indicar los siglos, las numeraciones de los capítulos en los libros, etc.
Para escribir números enteros en la numeración romana, es necesario recordar las representaciones de los siete números fundamentales:
| I | V | X | L | C | D | M |
| 1 | 5 | 10 | 50 | 100 | 500 | 1000 |
Con su ayuda, podemos escribir todo número entero menor que 4000, y algunas de las cifras (I, X, C, M) pueden repetirse consecutivamente hasta tres veces.
En el sistema de numeración romana, se puede escribir una cifra menor a la derecha de una mayor; en este caso, la menor se adiciona a la mayor. Por ejemplo, el número 283 lo podernos escribir, en signos romanos, así:
CCLXXXIII
Que equivale a 200 + 50 + 30 + 3 = 283. Aquí, la cifra que representa las centenas aparece dos veces, y las que representan respectivamente a las decenas y a las unidades aparecen tres veces.También se puede escribir una cifra menor, a la izquierda de una mayor, caso en el cual se sustrae la menor de la mayor. En este caso no se admiten repeticiones de la cifra menor. A continuación se presentan algunos ejemplos que ayudan a aclarar completamente el método de escritura de los números romanos.
Escribamos en romanos los números 94, 944, 1809, 1959:
| XCIV | = 100 - 10 + 5 - 1 | = 94 |
| CMXLIV | = 1000 - 100 + 50 - 10 + 5 - 1 | = 944 |
| MDCCCIX | = 1000 + 500 + 300 + 10 - 1 | = 1809 |
| MCMLIX | = 1000 + 1000 - 100 + 50 + 10 - 1 | = 1959 |
¿Han observado que en este sistema no existe signo alguno para representar el cero? Así, por ejemplo, cuando escribimos el número 1809, no empleamos el cero.

Figura 4.- Así se escriben todos los números romanos del uno al cien.
Con ayuda de las cifras romanas se pueden escribir también grandes números, para ello se introduce la letra latina M como subíndice, dejando un espacio en blanco después de escribir los millares.[2]
Escribamos, como ejemplo, el número 417.986:
CDXVIIM CMLXXXVI
El sistema romano de numeración, igual que el antiguo egipcio, no es de tipo posicional: en él, cada cifra representa un sólo número, estrictamente definido. Sin embargo, a diferencia del antiguo egipcio, no es decimal puro. La presencia en el sistema romano de signos especiales para representar los números cinco, cincuenta, y quinientos, deja entrever fuertes vestigios de un sistema de numeración quinario.La numeración romana no se adapta, en modo alguno, para realizar operaciones aritméticas de forma escrita. Esto constituye su mayor desventaja.
5. Antigua numeración griega
Continuemos nuestro relato acerca de los sistemas de numeración no posicionales[3], y al final del capítulo describiremos detalladamente uno de los más antiguos sistemas de numeración, posterior al egipcio: el babilónico, que fue el primer sistema posicional.

Figura 5. Escritura de algunas cifras en numeración ática o herodiánica.
Un sistema muy parecido al romano es el llamado ático o herodiánico[4], que se utilizó en la antigua Grecia. En la figura 5 se muestra la representación de varias cantidades en este sistema numeración. A diferencia de la numeración romana este dibujo muestra que aquí, los signos para los números uno, diez, cien y mil, pueden repetirse no tres, sino cuatro veces, en cambio, se prohíbe escribir una cifra menor la izquierda de una mayor.[5]

Figura 6. Ejemplos que aclaran el método de escritura de los números enteros en el sistema numérico ático.
En la figura 6 se dan ejemplos de escritura de números enteros en el sistema de numeración ático, que aclaran completamente tal método de escritura.
Durante el siglo III A. de N. E., en Grecia, en lugar de la numeración ática se utilizaba la numeración jónica, donde los números enteros se representaban con las letras del alfabeto griego colocando un guión sobre ellas; sistema de numeración denominado alfabético.

Figura 7.
Como se ve, este sistema es decimal, pero no posicional.

Esto también sucede en otras numeraciones alfabéticas.
6. Numeración eslava
Los pueblos eslavos también utilizaron una numeración alfabética. En la figura 8 están representadas las 27 letras del alfabeto eslavo. Bajo cada letra está escrito su nombre y el valor numérico que le corresponde. Sobre la letra que representa al número hay un signo (ver fig. 8) llamado "titlo"[6].

Figura 8. Notación de los números en la numeración alfabética eslava. Los nombres de las letras, que en el dibujo están escritas en ruso, se traducen como sigue, en su orden correspondiente: az vedi glagol dobró est zeló zenilia izhe fitá i kako lyudi mislietie nash ksi on pokoy cherv rtsi slevo tvierbo uk fert ja psi o tsy.
7. Numeración babilónica
El más interesante de todos los antiguos sistemas de numeración es el babilónico, que surgió aproximadamente en el año 2000 A. de N.E. Fue el primer sistema posicional de numeración, del que se tiene noticia. En este sistema se representaban los números solo con ayuda de dos símbolos, una cuña vertical V que representaba la unidad y una cuña horizontal para el número diez. Estas cuñas resaltaban en las tablillas de arcilla, por los palitos inclinados, y tomaban la forma de un prisma. De aquí surgió la denominación de cuneiforme[7] para la escritura de los antiguos babilonios.
Con la ayuda de los dos signos mencionados, se podían escribir todos los números enteros del 1 al 59, conforme a un sistema decimal, tal como ocurre en la numeración egipcia: es decir, que los signos para el diez y la unidad se repetían tantas veces como hubiese decenas y unidades en el número. Proporcionemos algunos ejemplos explicativos:

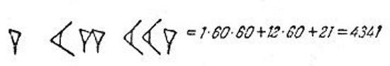
Hasta el momento no hemos encontrado nada nuevo. Lo nuevo empieza con la escritura del número 60 donde se utiliza el mismo signo que se emplea para el 1, pero con un mayor intervalo entre él y los signos restantes. Veamos algunos ejemplos aclaratorios:

De esta manera, ya podemos representar los números del 1 al 59 x 60 + 59 = 3599.
Enseguida está una unidad de un nuevo orden (es decir el número 1 x 60 x 60 = 3600), que también se representa por el signo para la unidad; por ejemplo:

De esta manera, la unidad de segundo orden representada por el mismo signo es 60 veces mayor que la de primer orden, y la unidad de tercer orden es 60 veces mayor que la de segundo orden y 3600 veces mayor (60 x 60 = 3600) que la unidad de primer orden. Y así sucesivamente.
Pero ustedes se preguntarán ¿qué sucede si no existe uno de los órdenes intermedios? ¿Cómo se escribe, por ejemplo, el número 1 x 60 x 60 + 23 = 3623? Si se escribiera de esta forma:

Se le podría confundir con el número 1 x 60 + 23 = 83. Para evitar confusiones se introdujo, posteriormente, el signo separador, que jugaba el mismo papel que juega el "cero" en nuestra numeración.
![]()
Así pues, con la ayuda de dicho signo separador, el número 3623 se escribirá así:

Nunca se colocaba el signo separador babilonio al final de un número; por tal razón, los números 3, 3 x 60 = 180, 3 x 60 x 60 = 10800, etc., se representaban de idéntica forma. Se convenía en determinar conforme al sentido del texto, a cuál de estos números se refería lo expuesto.
Resulta notable el que en la matemática babilónica, se empleara un mismo signo, tanto para escribir números enteros, como para escribir fracciones. Por ejemplo, las tres cuñas verticales escritas en fila, podían denotar 3/60, ó 3/60 x 60 = 3/3.600, ó 3/60 x 60 x 60 = 3/216.000
¿Qué podemos concluir sobre las particulares características de la numeración babilónica?
En primer lugar, observamos que este sistema de numeración es posicional. Así, un mismo signo puede representar en él, tanto 1, como 1 x 60, como 1 x 60 x 60 = 1 x 602 = 1 x 3600, etc., en función del lugar en que esté escrito dicho signo. Tal como ocurre en nuestro sistema de numeración, una cifra, por ejemplo, un 2, puede representar los números: 2, ó 2 x 10 = 20, ó 2 x 10 x 10 = 2 X 102 = 2 x 100 = 200, etc., dependiendo del orden en que se encuentre.
Sin embargo, el principio posicional, en la numeración babilónica, se lleva a cabo en órdenes sexagesimales. Por tal motivo, dicha numeración se llama sistema de numeración posicional sexagesimal. Los números hasta el 60 se escribían, en este sistema, tal como lo hacemos en el sistema decimal.
En segundo lugar la numeración babilónica permitía escribir de forma simple las fracciones sexagesimales, es decir, las fracciones con denominadores 60, 60 x 60 = 3600, 60 x 60 x 60 = 216 000, etc.
Las fracciones sexagesimales se utilizaron mucho en la época de los babilonios. Pero aún hoy dividimos 1 hora en 60 minutos, y 1 minuto en 60 segundos. De igual manera, dividimos la circunferencia en 360 partes, llamadas grados, un grado lo dividimos en 60 minutos, y dividimos un minuto en 60 segundos.
Como se ve, el sistema de numeración hindú, ampliamente usado por nosotros, está lejos de ser el único método de notación de los números.
Han existido también, otras formas para representar los números; así, por ejemplo, algunos comerciantes tenían sus signos secretos para anotar los números: se les llamaba, "claves" comerciales. Sobre ellas hablaremos ahora detenidamente.
8. "Claves" secretas comerciales
En tiempos anteriores a la revolución, en los artículos comprados en los comercios ambulantes o en las tiendas particulares[8], especialmente de provincia, se veían frecuentemente unas letras indescifrables, por ejemplo,
a ve v uo.
Se trata simplemente de dos claves: una hace referencia al precio de venta que tiene la mercancía, y la otra al costo que tuvo la misma para el comerciante. Así, éste podía calcular cuánto rebajarla en caso de que el cliente le pidiese descuento.

Figura 9. "Clave" comercial en la cubierta de un libro (en ella se representa con las letras superiores, el valor intrínseco, o costo, del libro, y con las letras inferiores el precio de venta).
El sistema de notaciones era muy sencillo. El vendedor escogía cualquier palabra de diez letras diferentes: por ejemplo la palabra "feudalismo". La primera letra de la palabra representaba al uno, la segunda, 2 la tercera, 3, y así sucesivamente hasta la última letra, que representaba al cero. Con ayuda de estas letras-cifras condicionales, el comerciante anotaba el precio sobre las mercancías, guardando en estricto secreto "la clave" de su sistema de ganancias.
Si escogía, por ejemplo, la palabra "feudalismo":
| f | e | u | d | a | l | i | s | m | o |
| 1 | 2 | 3 | 4 | 5 | 6 | 7 | 8 | 9 | 0 |
el precio de 4 rublos, 75 kopeks, se escribía d ia
Algunas veces, sobre la mercancía se escribía el precio en forma de quebrado (fig. 9), por ejemplo, en un libro se encontraba la notación
ao / f ea
eso significaba, en la clave "f e u d a l i s m o", que si el libro valía 50 kopeks, se debían pedir por él, un rublo y 25 kopeks.
9. Peones en lugar de números
Luego de haber visto lo antes indicado, resulta fácil comprender que no solo se pueden representar los números mediante cifras, sino que también se pueden emplear diversos signos y objetos: lápices, plumas, reglas, gomas, etc. Basta con atribuir a cada objeto el valor de una determinada cifra cualquiera. Incluso se puede representar, por curiosidad, con ayuda de tales cifras-objetos, las operaciones a realizar con los números: sumar, restar, multiplicar, dividir.

Figura 10. Representación del problema publicado por una revista de ajedrez, donde casi todas las cifras están substituidas por peones.
En una revista de ajedrez fue presentado un problema: determinar las cifras correspondientes al ejercicio de división de números, mostrado en la fig. 10, en el cual se han sustituido casi todas las cifras por peones. De 28 cifras, sólo 2 son conocidas: el 8 en el cociente y, el 1 en el residuo.
Los otros 26 signos son peones de ajedrez, por lo que probablemente parecerá que el problema no tiene sentido. Sin embargo ahora veremos una manera de solucionar el problema, basándonos en el proceso de la división.
Podemos razonar de dos formas llegando al mismo resultado. Resulta obvio que la segunda cifra del cociente sea cero, ya que al residuo de la primera resta le añadimos dos cifras en vez de una. También podemos observar que después al añadir la primera cifra al residuo obtenido en este paso, formamos un número menor que el divisor; en tales casos la cifra siguiente del cociente es cero.
Por idéntico razonamiento, se establece que la cuarta cifra del cociente es, también cero.
Fijando la atención en la disposición de los peones, observamos que el divisor de dos cifras, al ser multiplicado por 8 da un número de dos cifras; al multiplicarlo por la primera cifra (aún desconocida) del cociente, se obtiene un número de tres cifras. Es decir que esta primera cifra del cociente es mayor que 8; tal cifra solo puede ser el 9.
Siguiendo el mismo análisis, establecemos que también la última cifra del cociente es 9.
Ahora, el cociente está completo; es: 90 809. Obtengamos ahora el divisor. Como se ve en la figura 10, consta de dos cifras; además, la disposición de los peones indica que al multiplicar este número de dos cifras por 8, se obtiene un número de dos cifras; al multiplicarlo por 9, da un número de tres cifras. ¿Cuál es este número? Realicemos, las pruebas empezando con el menor número de dos cifras: el 10.
10 x 8 = 80.
10 x 9 = 90.
El número 10, como vemos, no satisface las condiciones requeridas: ambos productos dan números de dos cifras. Probemos con el siguiente número de dos cifras, el 11:
11 x 8 = 88
11 x 9 = 99
El número 11 tampoco sirve, pues los dos productos tienen otra vez dos cifras. Probemos ahora con el 12:
12 x 8 = 96
12 x 9 = 108
El número 12 satisface todas las condiciones. Pero, ¿habrá otros números que también cumplan dichas condiciones? Probemos con el 13:
13 x 8 = 104
13 x 9 = 117
Ambos productos son números de tres cifras, por lo que el 13 no sirve. Queda claro que tampoco servirán todos los números mayores que 13.
Por lo tanto, el 12 es el único divisor posible. Conociendo el divisor, el cociente y el residuo, fácilmente podemos encontrar el dividendo, invirtiendo el proceso de la división.
Así, multiplicando
90 809 x 12 + 1 = 1 089 709
Finalmente tenemos, por consiguiente, el ejemplo dado de división con residuo:
| 1 | 0 | 8 | 9 | 7 | 0 | 9 | 1 | 2 | ||||
| - | 1 | 0 | 8 | 9 | 0 | 8 | 0 | 9 | ||||
| 9 | 7 | |||||||||||
| - | 9 | 6 | ||||||||||
| 1 | 0 | 9 | ||||||||||
| - | 1 | 0 | 8 | |||||||||
| 1 |
Como vemos, con dos cifras conocidas hemos podido encontrar el valor de 26 cifras desconocidas.
10. La aritmética en el desayuno
Ante nosotros hay una serie de operaciones con números, representados por la vajilla y los cubiertos de una mesa (fig. 11): El tenedor, la cuchara, el cuchillo, la jarra, la tetera, el plato, son signos diferentes, cada uno representa una cifra determinada.
Observando la vajilla y los cubiertos, cabe preguntar: ¿Qué número representa cada utensilio?

Figura 11. ¿A qué números corresponden estos símbolos aritméticos?
A primera vista, el problema parece ser muy difícil: como si se tratara de descifrar jeroglíficos, tal y como lo hizo hace algún tiempo Champollion[9]. Pero este problema es mucho más sencillo: ustedes saben que los números, aunque estén representados por cuchillos, cucharas, tenedores, etc., están escritos conforme al sistema numérico decimal, es decir, que sabemos que el elemento colocado en segundo lugar (leyendo desde la derecha), corresponde a las decenas, así como el objeto que está a su derecha corresponde a las unidades, y el que está a su izquierda corresponde a las centenas. Además, ustedes saben que la disposición de todos estos objetos tiene un determinado sentido, acorde con las operaciones aritméticas realizadas con los números que representan. Todo esto facilita en gran medida, la resolución del problema presentado.
¿Con qué números se realizan las operaciones aritméticas, indicadas acá?
Veamos cómo se pueden encontrar los valores de las piezas mostradas acá. Considerando los tres primeros renglones de nuestro dibujo, verán que, cuchara multiplicada por cuchara, da cuchillo; y de los renglones 3, 4 y 5, vemos que cuchillo menos cuchara da cuchara es decir, cuchara + cuchara = cuchillo. ¿Qué cifra da el mismo resultado al multiplicarse por sí misma que al duplicarse? Solo puede ser el 2, porque 2 x 2 = 2 + 2. Por lo tanto, deducimos que la cuchara vale 2 y, por lo tanto, cuchillo vale 4.
Sigamos adelante, ¿Qué cifra representa el tenedor? Lo averiguaremos por las primeras 3 líneas, donde el tenedor aparece multiplicando, y por los renglones III, IV y V, donde aparece el tenedor restando. En la resta vemos que, al restar tenedor de cuchara, en el orden de las decenas, obtenemos un tenedor, es decir, al efectuar la resta 2 - tenedor, obtenemos un tenedor. Solo se pueden presentar dos casos: o el tenedor vale 1, y por lo tanto, 2-1=1, o el tenedor vale 6, y entonces restando 6 de 12 (una unidad de orden superior se representa por una taza), obtenemos 6. ¿Cuál debemos elegir: 1 ó 6?
Probemos el 6 para el tenedor en otras operaciones. Dirijamos la atención a la multiplicación de los números que se hallan en los renglones I y II. Si el tenedor vale 6, entonces en el segundo renglón está el número 62 (ya sabemos que la cuchara vale 2). No es difícil comprender que en tal caso, en el primer renglón deberá estar el número 12, y la jarra representará la cifra 1. Si la jarra representara la cifra 2 o cualquier otra cifra mayor, el producto de los números de los renglones I y II sería un número de cuatro cifras, y no de tres, como se indica en el problema. Por lo tanto, si el tenedor vale 6, en el primer renglón se encuentra el número 12, y en el renglón II, el 62. Por lo tanto, su producto es 12 x 62 = 744.
Pero esto es imposible, porque la cifra de las decenas de este producto es una cuchara, es decir, un 2, y no el 4 que obtuvimos. Esto quiere decir, que el tenedor no vale 6 como se suponía, y por lo tanto debe valer 1.
Luego de hallar, tras una extensa búsqueda, que el tenedor representa el 1, en adelante avanzaremos con mayor rapidez y destreza. De la resta, en los renglones III y IV, vemos que taza puede ser 6, o bien 8. Pero el 8 no puede ser, porque implicaría que la copa fuera 4, y sabemos que el cuchillo representa el 4. Por lo tanto, la taza representa el 6 y la copa el 3.
¿Qué cifra representa la jarra del renglón I? Esto se puede averiguar fácilmente, dado que se conoce el producto (III renglón, 624) y uno de los factores (II renglón, 12). Dividiendo 624 entre 12, obtenemos 52. Por lo tanto, la jarra vale 5.
El valor del plato se determina fácilmente: en el VII renglón, plato = tenedor + taza = copa + cuchillo, es decir que, plato = 1 + 6 = 3 + 4 = 7. El plato vale 7.
Ahora, sólo falta descifrar el valor numérico de la tetera y de la azucarera en el VII renglón. Puesto que para las cifras 1, 2, 3, 1, 5, 6 y 7, ya se han encontrado los objetos que los representan, solo queda por elegir entre 8, 9 y 0. Substituyendo los objetos por las cifras correspondientes en la división, mostrada en los tres últimos renglones, obtenemos la disposición siguiente (con las letras t y a se designan, respectivamente, la tetera y la azucarera):
| 774 | t a | |
| - | 712 | t |
| 62 |
El número 712, como vemos, es el producto de los dos números desconocidos, ta y t que no pueden ser cero, ni terminados en cero: es decir, ni t, ni a son cero. Entonces, quedan ya sólo dos alternativas: t = 8 y a = 9 o bien, t = 9 y a = 8. Pero multiplicando 98 x 9 = 882, no obtenemos 712; por consiguiente, la tetera representa al 8, y la azucarera al 9 (efectivamente: 89 x 8 = 712).
Así, por medio de sencillos cálculos aritméticos desciframos la inscripción jeroglífica de los cubiertos y la vajilla de una mesa:
| tenedor | 1 |
| cuchara | 2 |
| copa | 3 |
| cuchillo | 4 |
| jarra | 5 |
| taza | 6 |
| plato | 7 |
| tetera | 8 |
| azucarera | 9 |
Y toda la serie de operaciones aritméticas, representada por este original servicio de mesa, adquiere, sentido:
| 52 | ||
| x | 12 | |
| 624 | ||
| - | 312 | |
| 312 | ||
| + | 462 | |
| 774 | 89 | |
| - | 712 | 8 |
| 62 |
11. Charadas aritméticas
Llamo charada[10] aritmética a un juego recreativo: la adivinanza de determinada palabra mediante la resolución de un problema al estilo del que resolvimos en el párrafo anterior. El adivinador piensa una palabra de 10 letras diferentes (no repetidas). Por ejemplo: terminados, acostumbre, impersonal. Asignando una cifra a cada letra de la palabra pensada, representará mediante estas letras cualquier división. Si se pensó, por ejemplo, la palabra "terminados", se puede dar un ejemplo de división así:
| t | e | r | m | i | n | a | d | o | s |
| 1 | 2 | 3 | 4 | 5 | 6 | 7 | 8 | 9 | 0 |
dividendo: 4517820 = mitades; divisor: 87890 = dados
| 4517820 | 87890 | mitades | dados | |||
| - | 439450 | 51 | - | mromis | it | |
| 123320 | terres | |||||
| - | 87890 | - | dados | |||
| 35430 | rimrs |
Se pueden tomar también otras palabras:
dividendo: 8945673 = dominar; divisor: 45670 = minas
| dominar | minas | |
| - | minas | toi |
| mradna | ||
| - | mttsrs | |
| endrar | ||
| - | eedris | |
| msser |
Se presenta al adivinador una determinada división representada con letras, y éste deberá analizar el conjunto de palabras sin sentido alguno, adivinando la palabra pensada. Como bien lo sabe el lector, de acuerdo a lo visto en la resolución del problema del párrafo anterior, se trata de descubrir el valor numérico de las letras. Estas charadas aritméticas requieren un poco de paciencia, con la única condición de que el ejercicio propuesto proporcione los datos suficientes para realizar las pruebas del caso. Si se escogen palabras que den divisiones cortas, por ejemplo:
| a | c | o | s | t | u | m | b | r | e |
| 1 | 2 | 3 | 4 | 5 | 6 | 7 | 8 | 9 | 0 |
dividendo: 21414 = casas; divisor: 9053 = reto
| casas | reto | |
| - | abaeu | c |
| ooeb |
la adivinación resulta muy laboriosa. En estos casos, se hace necesario solicitar al adivinador, continuar la división hasta obtener centésimas o milésimas, es decir, obtener el cociente con dos o tres decimales. He aquí una división con centésimas:
| i | m | p | e | r | s | o | n | a | l |
| 1 | 2 | 3 | 4 | 5 | 6 | 7 | 8 | 9 | 0 |
dividendo: 21039 = milpa; divisor: 2939 = mapa
| milpa | mapa | |
| - | mlrop | ois |
| essl | ||
| - | mapa | |
| iomil | ||
| - | iospe | |
| eme |
Si en este caso nos limitásemos a la parte entera (o) del cociente, sería poco probable encontrar la palabra propuesta.
No resulta tan difícil como parece, elegir las palabras "clave" para estas charadas. Además de las antes indicadas se pueden emplear muchas palabras más: futbolista, inyectarlo, esquivador, profetizas, reticulado, esculpidor.
12. Descubriendo un número de tres cifras
Veamos otro acertijo aritmético diferente. Un número desconocido consta de tres cifras diferentes: A, B, C. Lo escribimos, así: ABC, teniendo presente, que C es la cifra de las unidades, B la de las decenas y A, la de las centenas. Hay que hallar este número, sabiendo que:
| A | B | C | ||||
| X | B | A | C | |||
| * | * | * | * | |||
| + | * | * | A | |||
| * | * | * | B | |||
| * | * | * | * | * | * |
Los asteriscos denotan cifras desconocidas. Procedamos a encontrarlas todas:
Ante todo, establezcamos que ni A, ni B, ni C son cero, pues de lo contrario no se podrían obtener tres renglones de productos parciales.
Observemos además que:
el producto C x A termina en A
el producto C x B termina en B
de donde deducimos que C puede ser 1 ó 6. Para C=1, resulta evidente el resultado; para C=6, se aclara con ejemplos:
6 x 2 = 12;
6 x 8 = 48;
6 x 4 = 24.
Otras cifras no poseen semejante propiedad. Pero si C fuera 1, el primer producto parcial no sería de cuatro cifras, sino solamente de tres. Por consiguiente, solo queda una posibilidad: C = 6.
Como C = 6, entonces A y B solo pueden ser 2, 4 u 8; pero como el segundo producto parcial consta solamente de tres cifras, entonces A no puede ser ni 4 ni 8, y por lo tanto A = 2.
Para B quedan dos posibilidades: B = 4, y B = 8. Si con A = 2, B fuera 4, el último producto parcial constaría de tres cifras y no de cuatro; por lo tanto, B = 8.
Así tenemos que A = 2, B = 8 y C = 6. El número buscado es 286, y la multiplicación queda como sigue:
| 2 | 8 | 6 | ||||
| X | 8 | 2 | 6 | |||
| 1 | 7 | 1 | 6 | |||
| + | 5 | 7 | 2 | |||
| 2 | 2 | 8 | 8 | |||
| 2 | 3 | 6 | 2 | 3 | 6 |
13. El sistema decimal de los anaqueles de libros
El sistema de numeración decimal halla aplicación allí donde no se esperaba, en la distribución de los libros de las bibliotecas, según las respectivas secciones.

Figura 12
En algunas bibliotecas se utiliza el sistema de clasificación de libros, en el cual todos los libros de cada sección llevan la misma notación numérica ("clave"). Este sistema se denomina decimal[11] y libra al lector de la necesidad de consultar el catálogo al requerir libros de una u otra sección.
El sistema es sencillo y muy conveniente. Su esencia consiste en que, a cada rama del conocimiento se le asigna un número de forma tal, que las cifras que lo componen, indican el lugar que ocupa dicha rama en la organización general de las materias:
Todos los libros se distribuyen, de acuerdo a diez secciones principales, que se identifican por las cifras del 0 al 9:
| 0 | Obras de carácter general. |
| 1 | Filosofía. |
| 2 | Historia de la religión y literatura antirreligiosa. |
| 3 | Ciencias sociales. Derecho. |
| 4 | Filología. Lenguas. |
| 5 | Ciencias, físico-matemáticas y naturales |
| 6 | Ciencias aplicadas (la medicina, la técnica, la agricultura, etc.) |
| 7 | Bellas Artes. |
| 8 | Literatura. |
| 9 | Historia, geografía, biografías. |
En este sistema, la primera cifra de la clave (es decir, de la notación numérica), indica a cual sección de libros se refiere. Todo libro de filosofía tiene una clave que empieza con el 1, de matemáticas con el 5, de técnica con el 6, etc. Si la clave empieza, por ejemplo con la cifra 4, entonces sabrán ustedes que se trata de la sección de lingüística.
Además de esto, cada sección, se subdivide a su vez en 10 subsecciones, que también se enumeran con las cifras del 0 al 9; estas cifras ocupan el segundo lugar en la clave. Por ejemplo, la quinta sección, que contiene libros de ciencias físico-matemáticas y naturales, se subdivide en las siguientes subsecciones:
| 50 | Obras generales de ciencias físico-matemáticas naturales |
| 51 | Matemática. |
| 52 | Astronomía. Geodesia. |
| 53 | Física. Mecánica Teórica. |
| 54 | Química. Mineralogía. |
| 55 | Geología. |
| 56 | Paleontología. |
| 57 | Biología; Antropología. Antropología. |
| 58 | Botánica. |
| 59 | Zoología. |
De igual forma se dividen también las otras secciones. Por ejemplo, en la sección de ciencias aplicadas, 6, a la subsección de medicina le corresponde el número 61, a la de agricultura el 63, al comercio y vías de comunicación el 65.
14. Los signos y denominaciones aritméticas en diversos pueblos
Cabe pensar que los signos aritméticos, hasta cierto punto, son internacionales, y que tienen igual significado en todos los pueblos de cultura europea. Esto no es totalmente cierto. Los signos + y -, los signos ´ y ¸ tienen igual significado para alemanes, franceses e ingleses. Pero el punto, como signo de multiplicación, se aplica de diferente forma en diferentes pueblos. Mientras que algunos escriben 1a multiplicación 7.8, otros la denotan como 7·8, elevando el punto a la mitad de la cifra. También se escribe el punto decimal, de diversas maneras: mientras algunos, como nosotros (hago referencia a los soviéticos), escribimos 4,5, otros escriben 4.5, y otros en tanto, escriben 4·5, colocando el punto arriba de la mitad. Además, cuando se trata de escribir un número decimal que no tiene parte entera, los norteamericanos y los ingleses omiten el cero, lo que no sucede en ningún lugar de Europa Continental. En libros norteamericanos, frecuentemente se pueden hallar notaciones como .725, ·725, ó ,725 en vez de 0,725 (en Colombia se escribe 0.725). La descomposición de un número en clases se denota, también, en diversas formas. Así, en algunos países se separan las clases con puntos (15.000.000), en otros con comas (15, 000,000), y en otros se acostumbra dejar espacio libres, sin signo alguno entre clase y clase (15 000 000). Después de ver esto, resulta instructivo observar, cómo se modifica la forma en que se denominan los números, al pasar de una lengua a otra. Así, por ejemplo, el número 18, en ruso se dice vociemnadtsat es decir, primero se pronuncian las unidades (8) y luego las decenas (10), mientras que en español es a la inversa. En alemán, ese mismo número se lee achtzhen, es decir, ocho diez; en francés, se dice diez ocho (dix-huit). En la siguiente tabla vemos como varía en diferentes pueblos, la forma en que se denomina el mismo número 18:
- en ruso 8 10
- en alemán 8 10
- en francés 10 8
- en armenio 10 + 8
- en griego 8 + 10
- en latín menos 2 , 20
- en neozelandés 11 + 7
- en lituano 8 arriba de 10
También es curiosa la voz groenlandesa: "tres del otro pie". Esto es, una abreviatura de la suma de los dedos de las manos, de los dedos de un pie, y tres dedos del otro pie. Veamos el sentido que tiene:
| número de dedos en ambas manos | 10 |
| número de dedos en un pie | 5 |
| número de dedos del otro pie | 3 |
| Total | 18 |
La voz completa para el número dieciocho sería: "mis manos, 3, mi mano", sin tomar en cuenta los dedos de los pies (es decir, 10 + 3 + 5).
15. Curiosidades Aritméticas
- 100 = 1 + 2 + 3 + 4 + 5 + 6 + 7 + 8 x 9
- 100 = 1 + 2 x 3 + 4 x 5 - 6 + 7 + 8 x 9
- 100 = 1 + 2 x 3 + 4 + 5 + 67 + 8 + 9
- 100 = 1 x 2 + 34 + 56 + 7 - 8 + 9
Capítulo 2
El ábaco antiguo y sus descendientes

1. El rompecabezas de Chéjov
2. Cómo calculaban en la antigüedad
3. Ecos de la antigüedad
4. Curiosidades aritméticas
Ahora veremos un ameno problema aritmético, tal y como lo planteó el estudiante de séptimo año, Ziberov, del cuento de Chéjov, "El Preceptor".
"Un comerciante compró 138 arshins (1 arshin = 80 cm) de tela negra y azul por 540 rublos. Me pregunto, ¿cuántos arshin compró de cada una, si la tela azul costaba 5 rublos por arshin, y la negra, 3 rublos?"
Con gran humor, Chéjov relata cómo trabajaron sobre este problema tanto el preceptor de séptimo grado como su alumno Pedrito, de 12 años, sin que este fuera ayudado por su padre:
"Pedrito observó el problema y, sin decir una palabra, empezó a dividir 540 entre 138.
— ¿Para qué divide? ¡Deténgase! O... siga... ¿Aparece un residuo? Aquí no puede haber residuo. ¡Permíteme!
— Probablemente no se trate de un problema aritmético, pensó, y vio la respuesta: 75 y 63—.
— ¡Hmm!, dividir 540 entre 5 + 3? no, no.
— Bien, ¡resuélvalo ya! — le dijo a Pedrito, con voz de mando.
— ¿Qué tanto piensas? Ese problema te quitará todo el tiempo — dijo a Pedrito su padre, Udonov.
— ¡Qué tontería! Egor Aliéksevich, resuélvalo usted esta vez.
Egor Aliéksevich, coge el pizarrín[13] y se dispone a resolverlo; tartamudea, enrojece. Palidece.
— Este problema debe ser algebraico — dijo —. Se puede resolver con ayuda de la x y de la y. También se puede resolver de otra forma: Yo aquí he dividido... ¿Comprende? Ahora es necesario restar. ¿Entiende?... o si no... Lo mejor será que me lo traiga resuelto mañana… ¡Píenselo!
Pedrito sonrió. Udonov también sonrió. Ambos comprendían la confusión del maestro. El estudiante de séptimo grado se confundió aún más, y empezó a pasearse de un lado a otro de la habitación.
Al fin, Udonov dijo:
— Sin álgebra también se puede resolver — y agregó dirigiéndose hacia un ábaco— helo aquí, mira...
Utilizó el ábaco[14], y obtuvo 75 y 63, que era la respuesta correcta.
— Lo he resuelto a mi modo… no tiene nada de ciencia".
Esta historia del problema que confundió al preceptor, plantea tres nuevos problemas, a saber:
- El preceptor, ¿cómo hubiera resuelto el problema algebraicamente?
- ¿Cómo resolvió el problema Pedrito?
- ¿Cómo lo resolvió el padre de Pedrito, sin ninguna ciencia, empleando el ábaco?
- El preceptor del alumno de séptimo año hablaba de resolver el problema "con la ayuda de la x y de la y", y decía que el problema debía ser "algebraico". Fácilmente se forma un sistema de dos ecuaciones con dos incógnitas, para el problema; helo aquí:
![]()
- Sin embargo, se resuelve fácilmente mediante un procedimiento aritmético. Suponiendo que toda la tela hubiera sido azul, los 138 arshins de tela azul hubieran costado 5 x 138 = 690 rublos; esto es, 690 — 540 = 150 rublos más del costo real. Para que el precio sea 150 rublos menor, basta considerar que la diferencia de precios entre un arshin de tela azul y uno de tela negra es de 5 — 3 = 2 rublos. Dividiendo 150 entre 2, obtenemos 75 arshins de tela negra; restándolos de los 138 originales, obtenemos 138 — 75 = 63 arshins de tela azul. Así debió haber resuelto el problema Pedrito.
- Queda aún la tercera pregunta: ¿Cómo resolvió el problema Udonov?
El relato, dice muy poco al respecto: "Utilizó el ábaco, y obtuvo 75 y 63, que era la respuesta correcta.".
¿Cuáles son los métodos de resolución de un problema con la ayuda del ábaco?
El ábaco sirve para efectuar operaciones aritméticas tal como se hacen en el papel (fig. 13).

Figura 13. Abaco ruso.
La primera operación que efectuó, debió haber sido la multiplicación de 138 por 5. Para eso, conforme a las reglas de las operaciones en el ábaco, primeramente multiplicó 138 por 5, es decir, simplemente movió el número 138 una hilera hacia arriba (ver las figuras 14, a y b) y luego dividió este número entre dos, sobre el mismo ábaco. La división se empieza por abajo: se separan la mitad de bolitas colocadas en cada alambre; si el número de bolitas es impar en un alambre dado, se resuelve esta dificultad, "partiendo" una bolita de este alambre en 10 inferiores.
En nuestro caso, por ejemplo, 1380 se divide por la mitad de la siguiente manera: en el alambre inferior, donde existen 8 bolitas, se separan 4 bolitas (4 decenas), en el alambre intermedio de las 3 bolitas se separa 1, pero se conserva una, y la otra se substituye mentalmente por 10 bolas inferiores y se dividen a la mitad, añadiendo las decenas a las bolitas inferiores; en el alambre superior se "divide" una bolita agregando 5 centenas a las bolitas del alambre intermedio. En consecuencia, en el alambre superior no hay bolitas, en el intermedio 1 + 5 = 6 centenas y en el inferior 4 + 5 = 9 (Fig. 14, c). En total 690 unidades. Todo esto se efectúa rápida y automáticamente.

Figura 14. Primero se muestra, en el ábaco, 138 x 10, es decir el número 138 (a), sometido a la operación (b), y luego se muestra el resultado anterior dividido entre dos (c)
Finalmente sólo le quedaba dividir la diferencia por la mitad, obteniendo: 150; Udonov apartó 2 de las 5 bolitas (decenas), entregando 5 unidades a la fila inferior de bolitas; después de 1 bolita en el alambre de las centenas, entregó 5 decenas a la fila inferior: obtuvo 7 decenas y 5 unidades, es decir, 75.
Naturalmente, estas sencillas operaciones se efectúan con mayor rapidez en el ábaco, que en esta descripción que acabamos de dar.
2. Cómo calculaban en la antigüedad
Desde hace mucho tiempo, la gente ya sabía contar. Los dedos de las manos constituyeron el primer instrumento natural para contar. De ahí vino la idea de un sistema decimal de numeración en muchos pueblos antiguos. Debemos decir que las operaciones aritméticas con los dedos sirvieron mucho tiempo como medio práctico para algunos pueblos, inclusive para los antiguos griegos. No debemos creer solo se puede contar hasta diez con los dedos. Por documentos de la literatura griega antigua, que han llegado hasta nosotros, sabemos que ya en los siglos V y IV antes de nuestra era se habían desarrollado considerablemente las operaciones con los dedos, alcanzando resultados que llegaban a miles.
Posteriormente, entre los egipcios, griegos, romanos y chinos, y en otros pueblos antiguos, aparece un instrumento para efectuar cálculos, que de acuerdo a su forma de manejo, recuerda nuestro ábaco. Su forma variaba de un pueblo a otro. Así, el ábaco griego era en sí, un tablero (mesa) que llevaba una cuadrícula (fig. 15), sobre dicho tablero se desplazaban fichas especiales que hacían el papel de las bolitas de los ábacos de nuestro tiempo. El ábaco romano estaba formado por un tablero de cobre con canales (ranuras), por los cuales se desplazaban unos botones.

Figura 15. Tablero y fichas utilizadas para efectuar operaciones aritméticas, antes del ábaco
Las cifras, en el tablero de cálculo chino, se podían representar de dos formas diferentes. Ambas se muestran en la fig. 16.
Para escribir los números en el tablero, se seguía el siguiente proceso: la primera cifra (leyendo de derecha a izquierda) se representaba por el primer método; la siguiente cifra, por el segundo método; la tercera cifra de nuevo se representaba por el primer método; la cuarta cifra por el segundo método, y así sucesivamente.
En otras palabras, todas las cifras de un número, que ocupaban lugares impares (leyendo de derecha a izquierda), se representaban por el primer método, y aquellas que se encontraban en los lugares pares, eran representadas por el segundo método.

Figura 16. Dos maneras de escribir las cifras, en el tablero de cálculo chino

Figura 17. Ejemplos de construcción de algunos números en la tabla china de operaciones (o cálculos)
Adición[15]
Supongamos que se desea hallar la suma de los números 9876 y 5647.
Primeramente se les representa en el tablero de operaciones:
Primer Paso:
Sumemos los millares
9 + 5 = 14
Representamos esto así:
Segundo Paso:
Sumemos las centenas
8 + 6 = 14
y puesto que obtenemos en la adición una unidad de mayor orden, la agregarnos a la suma anteriormente obtenida.| 1 | 4 | |
| 1 | 4 | |
| 1 | 5 | 4 |
Así quedará el tercer renglón (los dos primeros se dejan intactos)
Tercer Paso:
Sumemos las decenas
7 + 4 = 11,
con lo que el siguiente resultado es| 1 | 5 | 4 | |
| 1 | 1 | ||
| 1 | 5 | 5 | 1 |
el número 1551 se escribe a la izquierda, en el cuarto renglón:

ahora, falta solamente sumar las unidades
6 + 7 = 13
y la suma de los dos números dadas se determina: es igual a 15523:| 1 | 5 | 5 | 1 | |
| 1 | 3 | |||
| 1 | 5 | 5 | 2 | 3 |
el número 15523 obtenido, está escrito en el quinto renglón de la columna izquierda, y el esquema de la adición, finalmente, tiene el aspecto representado en la fig. 18.

Figura 18. En este dibujo se representa la suma de dos números, 9876 y 5647, según el tablero chino de cálculo
En el tablero de cálculo de la antigua China, se iniciaba la multiplicación con las cifras de orden superior, pasando gradualmente a las cifras de órdenes menores. Además de esto, ya se empleaban las tablas de multiplicar.
Supongamos, a título de ejemplo, que se trata de multiplicar 346 por 27. El proceso de la multiplicación en la tabla de operaciones observado en nuestras notaciones, tomaba aproximadamente el siguiente aspecto:
| 3 | 4 | 6 | ||
| x | 2 | 7 | ||
| 6 | ||||
| 2 | 1 | |||
| 8 | ||||
| 2 | 8 | |||
| 1 | 2 | |||
| 4 | 2 | |||
| 9 | 3 | 4 | 2 |
Primero multiplicamos 3 por 2 y obtenemos 6; es decir, la cifra del orden más alto del producto (número de millares). Después, multiplicamos, 3 por 7 y 4 por 2, obteniendo 21 y 8 centenas; los escribimos debajo de la cifra 6, considerando los órdenes, como se indica.
Luego, multiplicamos 4 por 7 y 6 por 2 (esto nos da los números de 28 y 12), y finalmente, multiplicamos 7 por 6 para obtener 42 unidades: sumando las anteriores cantidades, obtenemos 9342.
El tablero de cálculo y la forma de operarlo, se conservaron en China hasta el siglo XIII.
En esta época se empezó a emplear el cero, el que con ayuda de los palitos de cálculo se representaba en forma de cuadrado.
Entonces, ya se podían representar también las fracciones decimales en el tablero de cálculo. Por ejemplo, los números 106368 y 6312 se representaban tal como se muestra en la figura 19.

Figura 19. Ejemplo de construcciones en la tabla de operaciones china. La combinación de los números 106 368 y 6312
He aquí, por ejemplo, la opinión de un científico japonés: A pesar de su antigüedad, el soroban supera a todas las calculadoras modernas, gracias a su facilidad de manejo, a lo simple del dispositivo y a su bajo costo.

Figura 20. Abaco usado en China y Japón, con siete bolitas de marfil en cada alambre
Hay algunos objetos útiles que no valoramos lo suficiente debido a su constante manejo, lo que los ha convertido en objetos demasiado comunes de uso diario. A tal grupo de objetos poco estimados pertenece nuestro ábaco: aparato de cálculo muy popular, de origen ruso, el cual no es una modificación del famoso "ábaco" o "tablero de cálculo", de nuestros remotos antecesores.
En Occidente, en tanto, poco se sabe sobre los ábacos, y solo se dispone de algunos de gran tamaño, en grandes centros educativos: Un medio práctico para la enseñanza de los números a nivel escolar.
Con justa razón nos enorgullecemos de nuestro ábaco, puesto que gracias a este instrumento tan sencillo, pueden lograrse resultados a tal punto, que compite en ciertos aspectos con las calculadoras modernas. En unas manos hábiles, este sencillo instrumento hace con facilidad, verdaderas maravillas. Un especialista que trabajó antes de la revolución en una gran firma rusa vendedora de calculadoras, me contó que en más de una ocasión tuvo oportunidad de observar la admiración que despertaban los ábacos rusos, en los extranjeros importadores de modelos de complejos mecanismos de cálculo.
En vez de multiplicar por 7, multiplíquese el multiplicando por 10 y luego réstese el mismo tres veces.
La multiplicación por 8 da el mismo resultado que, restar el doble del multiplicando al producto de la multiplicación por diez.
Para multiplicar por 9, multiplíquese por diez y réstese el multiplicando.
Para multiplicar por 10, basta subir todo el número, un renglón.
Probablemente, el lector comprenderá cómo se debe proceder al multiplicar por números mayores que 10 y qué sustituciones resultan más convenientes. Así, en vez de 11 se usará 10 + 1, en vez de 12, 10 + 2.
Consideremos algunos casos especiales para multiplicadores, inferiores a cien:
| 20 = 10 x 2 | 32 = 22 + 10 |
| 22 = 11 x 2 | 42 = 22 + 20 |
| 25 = (100 ÷ 2) ÷ 2 | 43 = 33 + 10 |
| 26 = 25 + 1 | 45 = 50 — 5 |
| 27 = 30 — 3 | 63 = 33 + 30 etc. |
Como se ve, con ayuda de los ábacos resulta más sencilla la multiplicación por 22, 33, 44, 55, etc., que por otros números: por tal razón, resulta de gran utilidad descomponer los multiplicadores, en números que contengan tales cifras.
También se recurre a métodos similares al multiplicar por números mayores que 100. Si tales métodos nos resultan agotadores, podemos recurrir al ábaco para realizar dichas operaciones, conforme a una regla general que consiste en multiplicar cada cifra del multiplicador, y escribir los productos parciales. Esto, desde luego, reduce el tiempo de cálculo.
División
Naturalmente, la división en el ábaco es más difícil que la multiplicación; para esto es necesario recordar una serie de métodos especiales, a veces bastante complicados. A quienes se interesen en ellos, les sugerimos, que consultar un manual especializado. Aquí indicamos sólo los métodos referentes a la división por números de una sola cifra (exceptuando el número 7, con el cual resulta demasiado complicada la división).
Ya sabemos cómo dividir entre 2, lo cual es bastante simple.
El método para dividir entre 3 es más complicado y consiste en multiplicar por la fracción periódica infinita 0,3333... (se sabe que 0,333...=1/3). Sabemos multiplicar por 3 con ayuda del ábaco; también podemos dividir entre 10; en este caso solo hay que trasladar el dividendo al alambre inmediatamente inferior. Después de practicar un poco, este método de división entre 3, muy largo a primera vista, resulta muy adecuado en la práctica.
La división entre 4, naturalmente, equivale a dividir 2 veces entre 2.
Más fácil aún es la división entre 5: basta multiplicar el número por 10, y dividir el resultado entre 2.
Entre 6, hay que seguir dos pasos: primero dividir entre 2, y luego dividir entre 3.
La división entre 7 es muy complicada con el ábaco, por lo que aquí no hablaremos de ella.
La división entre 8 equivale a dividir tres veces consecutivas entre 2.
Es muy interesante la división entre 9. Sabemos que 1/9 = 0,11111... Está claro aquí que, en lugar de la división entre 9 se pueden sumar sucesivamente 0,1 del dividendo con 0,01 del mismo, con 0,001,... etc.[17]
Como se ve es muy fácil dividir entre 2, 10 y 5, y naturalmente entre sus múltiplos 4, 8, 16, 20, 25, 32, 40, 50, 64, 80, 100. En estos casos, la división no representa obstáculo, incluso para quienes tienen poca experiencia en el manejo del ábaco.
3. Ecos de la antigüedad
Ciertos vestigios de la antigüedad, tanto en el lenguaje, como en las costumbres se relacionan con los más remotos antecesores de nuestros ábacos de calcular. Pocos sospechan, por ejemplo, cómo surgió la idea de anudar un pañuelo "para recordar algo".
Con esta acción estamos repitiendo lo que hacían antiguamente nuestros antepasados, quienes empleando el sentido común, solían "escribir" sobre cordeles, el resultado de un cálculo. Una serie de lazos o cuerdas con nudos efectuados en ellas, constituía un instrumento de cálculo (fig. 21) en principio, análogo al ábaco. Esto constituye el "ábaco de cuerda" peruano denominado "quipo". Un nudo sobre la cuerda, representaba 10; dos nudos, 100; tres nudos, 1000, y así sucesivamente.

Figura 21. Instrumentos de cálculo usados por los antiguos peruanos, llamados "quipos"[18]
En alemán "bank" significa banco, escaño, silla.
¿Qué tienen en común la institución financiera "bank", en el sentido moderno de la palabra, y el banco o escaño? Lo que aquí se muestra, dista de ser una simple coincidencia de nombres. El ábaco en forma de banco tuvo una amplia difusión en los círculos comerciales de Alemania en los siglos XV y XVI; cada banco de cambio u oficina bancaria, se caracterizaba ante todo por la presencia de un "banco de contabilidad".
La palabra "check" (cheque); término de origen inglés, procedente del verbo "checker" (registrar, revisor); "checkered" (registrado, cotejado), guarda una relación menos directa con el ábaco. Durante los siglos XVI y XVII, se llamaba "check" a una servilleta de cuero rayado, en forma de ábaco que los comerciantes ingleses llevaban enrollada y que desplegaban sobre una mesa al efectuar cuentas. Los resultados obtenidos se pasaban a formas de papel, y no resulta extraño que al igual que se transfería el resultado al papel, también se asignara a dichas formas, el nombre abreviado de estos instrumentos de cálculo; fue así como se originó la palabra "check" a partir de la palabra "checkered".
Es curioso que de acá se originara la expresión "se quedó con un palmo de narices", expresión que aplicamos actualmente al hombre que ha perdido todo su dinero. Esto también se relaciona con la época en que todos los cálculos monetarios se realizaban sobre el ábaco; por medio de habichuelas que substituían las cuentas de nuestros ábacos. En la obra "La Ciudad del Sol" de Campanella[19] (1602), leemos: "Uno calcula con piedrecillas, el otro con habichuelas". Un hombre, habiendo perdido su dinero, se quedaba con unas habichuelas que representaban la suma de su pérdida: de aquí surge el correspondiente giro del lenguaje.
4. Curiosidades aritméticas
- 100 = 12 + 3 – 4 + 5 + 67 + 8 + 9
- 100 = 12 – 3 – 4 + 5 – 6 + 7 + 89
- 100 = 123 + 4 – 5 +67 – 89
1. "La división es un asunto difícil"
2. ¿Multiplicamos bien?
3. Método ruso de multiplicación
4. Del país de las pirámides
5. Curiosidades aritméticas
Hemos visto que la división en general es más complicada que la multiplicación y aunque ahora podemos resolverla con gran facilidad, no siempre fue así.
En la antigüedad se consideraba "sabio" a quien hacia correctamente y con rapidez las divisiones; cada "maestro en división" (algo así como un especialista) debía comunicar a los demás el resultado de determinadas operaciones.
Algunas veces, encendiendo un cerillo con un movimiento habitual, reflexionamos sobre cuánto trabajo costó a nuestros antecesores, de un pasado no muy remoto, obtener el fuego.
Empero pocos sospechan que a los actuales métodos de realización de las operaciones aritméticas tampoco fueron, en su origen, así de sencillos y cómodos para que en forma tan rápida y directa condujeran al resultado.
Nuestros antepasados emplearon métodos mucho más lentos y engorrosos, y si un escolar del siglo XX pudiera trasladarse tres o cuatro siglos atrás, sorprendería a nuestros antecesores por la rapidez y exactitud de sus cálculos aritméticos. El rumor acerca de él recorrería las escuelas y monasterios de los alrededores, eclipsando la gloria de los más hábiles contadores de esa época, y de todos lados llegarían gentes a aprender del nuevo gran maestro el arte de calcular.
Particularmente difíciles y complejas eran en la antigüedad las operaciones de la multiplicación y la división: esta última en mayor escala. "La multiplicación es mi martirio, y la división es mi desgracia" decían entonces. Pero aún no existía, como ahora, un método práctico elaborado para cada operación. Por el contrario, estaba en uso simultáneamente casi una docena de métodos diferentes de multiplicación y división con tales complicaciones que su firme memorización sobrepasaba las posibilidades del hombre medio. Cada "maestro de la división" exaltaba su método particular al respecto.
En el libro de V. Belustino: "Cómo llegó gradualmente la gente a la aritmética actual" (1911), aparecen 27 métodos de multiplicación, y el autor advierte: "es muy posible que existan todavía métodos ocultos en lugares secretos las de bibliotecas, diseminados fundamentalmente en colecciones manuscritas": y todos estos métodos de multiplicación : "ajedrecístico o por organización", "por inclinación", "por partes", "por cruz pequeña", "por red", "al revés", "por rombo", "por triángulo", "por cubo o copa", "por diamante", y otros[20], así como todos los métodos de división, que tenían nombres no menos ingeniosos, competían unos con otros, tanto en volumen como en complejidad. Dichos métodos se asimilaban con gran trabajo y solamente después de una prolongada práctica. Inclusive se consideraba que para poder dominar la multiplicación y la división de números de varias cifras significativas con rapidez y exactitud, era necesario un talento natural especial, una capacidad excepcional: sabiduría que para los hombres sencillos era inaccesible.
"Asunto difícil es la división" (dura cosa es la partida) decía un antiguo aforismo italiano; acertado refrán si se toman en cuenta los agotadores métodos con que se realizaban entonces: no importa que estos métodos llevaran a veces nombres demasiado festivos: bajo ellos se ocultaba una larguísima serie de complejas manipulaciones. Así, en el siglo XVI se consideraba que el método más corto y cómodo para efectuar una división era el de "lancha o galera". El ilustre matemático italiano de esa época, Nicolás Tartaglia (siglo XVI), escribió en su extenso manual de aritmética lo siguiente respecto a dicho método:
"El segundo método de división se llama en Venecia, por lancha o galera, debido a que al dividir ciertos números se forma una figura parecida a una lancha (ver fig. 22), y en otras, a una galera que a veces queda tan bien terminada, que se muestra provista de todos sus elementos principales tales como popa y proa, mástil, velas y remos".

Figura 22. División de números a la manera antigua, por el método de "galera"


Figura 23. Grabado de la "Aritmética" de Magnitski (editada en el año 1703). El dibujo representa el Templo de la Sabiduría. La Sabiduría está sentada en el trono de la Aritmética y en los escalones están los nombres de las operaciones aritméticas (división, multiplicación, sustracción, adición, cálculo). Las columnas son las ciencias en que la aritmética encuentra aplicación: geometría, estereometría, astronomía, óptica (conocimientos adquiridos por "vanidad"), mercatoria (es decir, cartografía), geografía, fortificación, arquitectura (conocimientos adquiridos por "estudio"). Bajo las columnas dice, también en eslavo antiguo: "La Aritmética que se apoya en las columnas, lo abarca todo"
Llegando después de múltiples trabajos, al final de una operación aritmética, nuestros antecesores consideraron absolutamente necesario comprobar este total obtenido con el sudor de su frente, ya que los métodos voluminosos provocaron, como es lógico, desconfianza hacia sus resultados; es más fácil perderse en un camino largo y sinuoso, que en el recto camino de los métodos modernos. Naturalmente, de aquí surge la antigua costumbre de comprobar toda operación aritmética efectuada, encomiable regla que aún hoy se practica.
El método favorito de comprobación era el llamado "método del nueve", el cual frecuentemente se describe en algunos manuales contemporáneos de aritmética.
La comprobación por el nueve se basa en la "regla de los residuos" que dice: el residuo de la división de una suma entre cualquier número, es igual a la suma de los residuos de la división de cada sumado entre el mismo número. De igual manera, el residuo de un producto dividido entre 9, es igual al producto de los residuos de los factores, dividido cada uno entre 9, e igual a la suma de las cifras del mismo producto. Por ejemplo, 758 entre 9 da como residuo 2: el mismo 2 se obtiene como residuo de la división de 7 + 5 + 8 entre 9.
Comparando ambas propiedades indicadas, llegamos al método de comprobación por nueve, es decir, por división entre 9. Mostraremos mediante un ejemplo, en qué consiste dicho método[22].
Se desea comprobar la validez de la adición de la siguiente columna:
| 38932 | 7 |
| 1096 | 7 |
| + 4710043 | 1 |
| 589106 | 2 |
| 5339177 | 8 |
Realicemos la suma de las cifras de cada sumando y en aquellas sumas que tengan dos o más dígitos, sumemos también sus cifras (este procedimiento se efectúa al momento de realizar la adición de las cifras de cada sumando), hasta obtener en el resultado final un número de una sola cifra. Escribimos estos resultados (residuos de la división entre nueve), como se indica en el ejemplo, al lado del correspondiente sumando. Al sumar todos los residuos (7 + 7 + 1 + 2 = 17; 1 + 7 = 8), obtenemos 8. Igual deberá ser la suma de las cifras del total (5339177) si se ha efectuado correctamente la operación: 5 + 3 + 3 + 9 + 1 + 7 + 7; después de efectuar todas las simplificaciones, obtenemos como resultado: 8.
La comprobación de la substracción se realiza en la misma forma si se considera al minuendo como suma, y al substraendo y la diferencia como sumandos. Por ejemplo:
| 6913 | 1 |
| - 2587 | 4 |
| 4326 | 6 |
4 + 6 = 10; 1 + 0 = 1
Este método es especialmente conveniente, si se aplica para comprobar la operación de una multiplicación, como vemos en el siguiente ejemplo:| 8713 | 1 |
| x 264 | x 3 |
| 34852 | 3 |
| 52278 | |
| 17426 | |
| 2300232 |
Si en tal comprobación se descubre un error en el resultado, para determinar dónde tiene lugar dicho error, se puede verificar por el método del nueve, cada producto parcial por separado; y si el error no se encuentra aquí, solo queda comprobar la adición de los productos parciales.
¿Cómo se puede comprobar la división conforme a este método? Si tenemos el caso de una división sin residuo, el dividendo se considera como el producto del divisor por el cociente. En el caso de una división con residuo se aprovecha la circunstancia de que dividendo = divisor x cociente + residuo.
Por ejemplo:

Para la Multiplicación
| 365 | 5 |
| x 24 | x 6 |
| 1460 | 30 |
| 730 | |
| 8760 |
Para la división
- del cociente 8
- del dividendo 1
- del divisor 2
- del residuo 3
2 x 8 + 3 = 19
1 + 9 = 10
1 + 0 = 1
Nuestros antecesores reconocían lo anterior, y no se limitaban a una sola comprobación por medio del nueve, sino que efectuaban inclusive una comprobación complementaria por medio del siete. Este método se basa en la "regla de los residuos", pero no es tan efectivo como el método del nueve, porque se debe efectuar completamente la división entre 7, para hallar así los residuos (y además se originan errores, en las operaciones del propio método).
Las dos comprobaciones, por nueve y por siete, proveen un control mucho más seguro: lo que escapa a una prueba, será captado por la otra. En este caso solo se oculta el error, cuando la diferencia entre el resultado verdadero y el obtenido sea 7 x 9 = 63, o uno de sus múltiplos. Puesto que se puede presentar esta situación, la doble verificación tampoco garantiza absoluta seguridad en la veracidad del resultado.
Además, en los cálculos corrientes, en los que se cometen con frecuencia errores en 1 ó 2 unidades, basta efectuar la prueba del nueve. La verificación complementaria del siete, es bastante agotadora.
Tengamos presente que solo es bueno el control que no obstaculice el trabajo.
Sin embargo, cuando se efectúa un cálculo de gran importancia, con el objeto de tener mayor seguridad en el resultado, se realiza una doble comprobación, para lo cual, en lugar de dividir 7 resulta más conveniente dividir por 11.
Además, se puede simplificar en gran medida el procedimiento, aplicando la siguiente prueba conveniente de divisibilidad entre 11: se descompone el número, de derecha a izquierda, en grupos de dos cifras (el último grupo de la izquierda puede tener una sola cifra); se suman los gripos obtenidos y la suma obtenida será "congruente" con el número examinado conforme al divisor 11: la suma de las partes da en la división entre 11, el mismo residuo que el número examinado.
Aclaremos lo indicado con un ejemplo. Se desea hallar el residuo de la división 24716 entre 11.
Descompongamos el número en partes y sumémoslas:
2 + 47 + 16 = 65
Puesto que al dividir 65 entre 11 da como residuo 10, el número 24716, da el mismo residuo al dividirlo entre 11. En mi libro "Matemáticas Recreativas", se explican las bases de este método.Propongo este método porque muestra si hay o no congruencia entre el número obtenido y el número examinado, tal como ocurre cuando se emplea el 9 como divisor. De esta manera, podemos realizar la comprobación de forma conveniente, mediante los divisores: 9 y 11. Solo puede escapar un error a esta prueba. Este se presenta cuando la diferencia entre el resultado verdadero y el obtenido es un múltiplo de 99, caso que resulta muy poco probable.
2. ¿Multiplicamos bien?
Los antiguos métodos de multiplicación eran torpes e inadecuados, ¿será tan bueno nuestro actual método a tal punto que no admita ninguna mejora posterior? No cabe duda que nuestro método no es perfecto; se pueden desarrollar otros procedimientos más rápidos e incluso más seguros. Indicaremos solo una de tantas mejoras propuestas, que aumenta la seguridad, no así la rapidez al efectuar la operación; consiste en que, cuando se tiene un multiplicador de varias cifras, se comienza la multiplicación con la primera cifra del multiplicador y no con la última. La multiplicación 8713 x 264, efectuada anteriormente, adopta la forma:
| 8713 |
| x 264 |
| 17426 |
| 52278 |
| 34852 |
| 2300232 |
Como vemos, la última cifra de cada producto parcial se escribe debajo de aquella cifra del multiplicador, por la cual se multiplica.
La ventaja de esta disposición consiste en que las primeras cifras de los productos parciales, que determinan las cifras de mayor valor en el resultado, se obtienen al principio de la operación, cuando el calculista tiene mayor concentración y, por consiguiente, se reduce la probabilidad de cometer un error. (Además, este método simplifica el procedimiento de multiplicación "abreviada"[23], sobre el cual no nos vamos a extender).
3. Método ruso de multiplicación
No se pueden realizar multiplicaciones de números de varias cifras, así sean de dos cifras, si no se recuerdan de memoria todos los resultados de la multiplicación de los dígitos, es decir, lo que es la tabla de multiplicación. En la antigua "Aritmética" de Magnitski, que ya hemos mencionado, la necesidad de un conocimiento sólido de la tabla de multiplicación está expresada en los versos siguientes[24] (extraños para el oído moderno):
Aún no ha existido quien,El autor de estos versos, evidentemente, no sabía o no tomaba en consideración que existe un método para multiplicar números en que no se necesita conocer las tablas de multiplicar.
ignorando las tablas de multiplicación,
quede exento de tropiezos
que finalmente lo derroten
en todas las ciencias.
Y aún más, sí habiéndolas
aprendido las olvida,
no habrá obtenido ningún beneficio.
Este método, que difiere de nuestros métodos escolares, fue heredado y comúnmente empleado por el pueblo ruso desde la remota antigüedad. Fundamentalmente consiste en que la multiplicación de dos números cualesquiera, lleva a una serie de divisiones consecutivas de un número por la mitad y, a una duplicación del otro número. He aquí un ejemplo:
| 32 x 13 |
| 16 x 26 |
| 8 x 52 |
| 4 x 104 |
| 2 x 208 |
| 1 x 416 |
La división por la mitad se prosigue hasta que en el cociente se obtenga 1, duplicando paralelamente el otro número. El último número duplicado da el resultado buscado.
No resulta difícil comprender el principio en el que se basa este método: el producto no varía si uno de los factores disminuye a la mitad, y el otro aumenta al doble. Es claro, por tal razón, que el resultado de la repetición múltiple de esta operación corresponde al producto buscado:
32 x 13 = 1 x 416
Sin embargo ¿cómo proceder cuando se requiera dividir un número impar por la mitad?El método popular resuelve fácilmente esta dificultad.
La regla dice que es necesario, en caso de tener un número impar, restarle una unidad y dividir el resto por la mitad; pero en compensación, será necesario sumar el último número de la columna de la derecha, con todos los números de dicha columna que se hallan en el mismo renglón de un número impar de la columna izquierda: esta suma nos dará el producto buscado. Cuando se lleva a la práctica este método, se acostumbra tachar todos los renglones con números pares a la izquierda, quedando únicamente los renglones que contienen un número impar a la izquierda.
Proporcionemos un ejemplo:
| 19 x 17 |
| 9 x 34 |
| 1 x 272 |
Sumando los números de la columna de la derecha, sin tachar, obtenemos el resultado correcto:
17 + 34 + 272 = 323.
¿En qué se basa este método?La validez del método se hace evidente, si se tiene en cuenta que
19 x 17 = (18 + 1) x 17 = 18 x 17 + 17,
9 x 34 = (8 + 1) x 34 = 8 x 34 + 34
4. Del país de las pirámides
Es muy probable que el método anteriormente descrito llegara hasta nosotros desde la más remota antigüedad, de un lejano país: Egipto. Poco sabemos sobre la forma en que realizaban las operaciones aritméticas los habitantes del antiguo país de las pirámides, pero se conserva un interesante documento: un papiro donde se encuentran plasmados varios ejercicios aritméticos de un alumno de una de las escuelas de agrimensura del antiguo Egipto; se le conoce como "Papiro de Rhind"[25], data de una época entre los años 2000 y 1700 antes de nuestra era, y representa una copia de un manuscrito todavía más antiguo, trascrito por un tal Ahmes. El escriba[26] Ahmes, al encontrar "el cuaderno del escolar" de esta lejanísima época, transcribió cuidadosamente todos los ejercicios aritméticos del futuro agrimensor, incluyendo sus errores y las correcciones del profesor, y dio a su copia un título solemne, que ha llegado hasta nosotros en la siguiente forma incompleta:
Precepto para alcanzar el conocimiento de todas las cosas desconocidas... de todos los secretos ocultos en las cosas.
Elaborado por el escriba Ahmes durante la época del faraón Ra, para uso del Alto y Bajo Egipto, conforme a los cánones de las obras antiguas del tiempo del faraón "Ra - en – mata".
El papiro de Rhind terminaba con consejos muy originales:
Cazadores de reptiles y ratones,
hagan fuego contra la mala hierba;
cobren abundantes presas.
Rueguen al Dios Ra del calor,
del viento y del agua,
que está en lo alto
Uno de los papiros matemáticos egipcios se encuentra en Moscú, en el Museo de Bellas Artes Aleksandr Sergeyevich Pushkin. El académico Boris Alexandrovich Turaiev lo empezó a descifrar en 1914, tarea concluida por el académico Vasili V. Struve en el año 1927.
En el papiro de Rhind, ese interesante documento que ha perdurado cerca de 40 siglos, y que testimonia sobre una antigüedad aún más remota, encontramos cuatro ejemplos de multiplicación efectuados mediante un método que nos hace recordar vivamente al sistema popular ruso. He aquí estos ejemplos (los puntos delante de los números simbolizan el número de unidades del multiplicador; con el signo +, señalamos los números que están sujetos a la adición):
| (8 x 8) | |
| . 8 | |
| .. 16 | |
| .... 32 | |
| :::: 64 | |
| (9 x 9) | |
| . 9 | + |
| .. 18 | |
| .... 36 | |
| :::: 72 | + |
| Total 81 | |
| (8 x 365) | |
| . 365 | |
| .. 730 | |
| .... 1460 | |
| :::: 2920 | |
| (7 x 2801) | |
| . 2801 | + |
| .. 5602 | + |
| .... 11204 | + |
| Total 19607 |
De estos ejemplos se deduce que varios milenios antes de nuestra era, los egipcios empleaban un método de multiplicación muy parecido al popular procedimiento ruso (fig. 24), y fue trasladado por caminos desconocidos, del antiguo país de las pirámides a la época moderna.

Figura 24. El razonamiento de las operaciones aritméticas llegó del antiguo Egipto a Rusia
| 1 → 17 | + |
| 2 → 34 | + |
| 4 → 68 | |
| 8 → 136 | |
| 16 → 272 | + |
y después sumaría los números que están seguidos por el signo +, es decir, 17 + 34 + 272.
Obtendría, finalmente el resultado correcto: 17 + (2 x 17) + (16 x 17) = 19 x 17. Se puede ver fácilmente que este método, en esencia, guarda gran afinidad con el procedimiento popular ruso (la substitución de la multiplicación por una serie de duplicaciones sucesivas).
No se puede afirmar a ciencia cierta, si hubo o no participación de algunos campesinos nuestros en la transferencia de este antiguo método de multiplicación; los autores ingleses lo denominan "método campesino ruso"; en algunas regiones de Alemania le llaman "ruso", pese a que lo emplean los campesinos de dichas regiones.
Sería sumamente interesante que los lectores informaran sobre los lugares en donde se emplea hoy en día, este antiguo método de multiplicación, que ha tenido tan largo y original pasado.
En general, hemos seguido con gran atención lo referente a la matemática popular: hemos ahondado en los métodos populares de cálculo y medición, hemos recopilado y hemos registrado los conocimientos matemáticos conocidos desde antiguos tiempos, que han perdurado hasta hoy.
Este asunto llamó hace tiempo la atención del historiador de la matemática, Viktor Viktorovich Bobynin, quien propuso un breve programa de recopilación de los anales de la matemática popular.
Quizás no esté de más proporcionar aquí la clasificación compuesta por él, para saber exactamente que conviene recopilar y registrar:
Numeración y cálculo.
Métodos de medida y de peso.
Conocimientos geométricos y sus expresiones en edificaciones y ornamentos.
Métodos de agrimensura.
Problemas populares.
Proverbios, enigmas, y en general, desarrollos de la filología popular que tienen relación con los conocimientos matemáticos.
En síntesis, proporcionó una breve información acerca de cuándo aparecieron por vez primera los signos que hoy son de uso común, como son los de las operaciones aritméticas, la notación de las fracciones, de los exponentes, etc.
| + y – | en los manuscritos de Leonardo da Vinci (1452-1519) |
| x | en la obra de Guillermo Oughtred (1631) |
| . y : | en la obra de Godofredo W. Leibniz (1046-1716) |
| a/b | en la obra de Leonardo Pisano (Fibonacci) (1202) |
| an | en la obra de Nicolás Chuquet (1484) |
| = | en la obra de Roberto Recorde (1557) |
| > y < | en la obra de Tomás Harriot (1631) |
| () y [] | en la obra de Alberto Girard (1629) |
Si el lector está interesado en profundizar sobre la historia de la aritmética, conviene que consulte el libro de V. Belustino "Cómo llegó gradualmente la gente hasta la aritmética actual" (1914), obra que puede encontrar en las bibliotecas o librerías de libros antiguos.
5. Curiosidades aritméticas
100 = 123 + 45 – 67 + 8 – 9
100 = 123 – 45 – 67 + 89
100 = (1 + 2 – 3 – 4) x (5 – 6 – 7 – 8 –9)
Capítulo 4
Sistemas no-decimales de numeración

1. Autobiografía enigmática
2. El sistema de numeración más sencillo
3. ¿Par o impar?
4. Problemas instructivos
5. Fracciones exactas
6. Curiosidad aritmética
Me permito iniciar este capítulo con un problema que yo imaginé hace tiempo para los lectores de una antigua revista de gran difusión[27], en calidad de "problema con premio". Helo aquí:
En los papeles de un matemático original fue hallada su autobiografía. Esta empezaba con las siguientes líneas:Acabé mis estudios en la universidad a los 44 años de edad. Después de un año, siendo un joven de 100 años, me casé con una muchacha de 34 años. La insignificante diferencia de edades que había entre nosotros, de sólo 11 años, hacía que tuviéramos sueños y aspiraciones comunes. Después de algunos años, ya tenía yo una pequeña familia de 10 niños. Yo ganaba en total, 200 rublos al mes, de los cuales le daba 1/10 a mi hermana, por lo que nosotros y los niños vivíamos con 130 rublos al mes…",y así continúa el relato.
¿Qué aclara las extrañas contradicciones entre los números de este fragmento?El nombre de este capítulo sugiere que el problema se puede resolver mediante: un sistema no decimal de numeración; he aquí la razón de las aparentes contradicciones de los números citados.
Procediendo con base en esta idea, se puede hallar fácilmente en que sistema de numeración ha representado los números el singular matemático. El secreto se descifra partiendo de la frase: "Acabé mis estudios en la universidad a los 44 años de edad. Después de un año, siendo un joven de 100 años…"; si el número 44 se transforma en 100 al añadirle una unidad, significa que el 4 es el mayor dígito de este sistema numérico (como el 9 lo es en el sistema decimal), y por consiguiente, la base del sistema es el 5. Al excéntrico matemático se le ocurrió la fantasía de escribir todos los números de su biografía en el sistema quinario[28] de numeración, es decir, aquel sistema en el cual la unidad de orden superior no es 10 veces, sino 5 veces mayor que la unidad de un orden inmediatamente inferior: en el primer lugar de la derecha se hallan, en él, las unidades simples (no mayores que 4), en el segundo, no las decenas, sino las "quinarias"; en el tercero no las centenas, sino las "vigesimoquinarias" y así sucesivamente. Por tal razón, el número "44" representado en el texto de la escritura, no se representa como 4 x 10 + 4, como en el sistema decimal sino 4 x 5 + 4, es decir, veinticuatro. De igual manera, el número "100" en la autobiografía representa una unidad de tercer orden en el sistema quinario, es decir, 25 en el sistema decimal. Los demás números del relato indican respectivamente[29]:
| "34" | = 3 x 5 + 4 | = 19 |
| "11" | = 5 + 1 | = 6 |
| "200" | = 2 x 25 | = 50 |
| "10" | = 5 | = 5 |
| "1/10" | = 1/5 | = 1/5 |
| "130" | = 25 + 3 x 5 | = 40 |
Vertiendo el valor de los números del relato a nuestro sistema decimal, vemos que no existen contradicciones de ningún tipo en lo allí enunciado.
"Acabé el curso de la universidad a los 24 años de edad. Después de un año, siendo un joven de 25 años, me casé con una muchacha de 19 años. La insignificante diferencia de edades que había entre nosotros, de sólo 6 años, hacía que tuviéramos sueños y aspiraciones comunes. Después de algunos años, ya tenía yo una pequeña familia de 5 niños. Yo ganaba en total, 50 rublos al mes, de los cuales le daba 1/5 a mi hermana, por lo que nosotros y los niños vivíamos con 40 rublos al mes…"
¿Es difícil representar los números en otros sistemas de numeración? En absoluto. Supongamos que se desea representar el número 119 en el sistema quinario. Se divide 119 entre 5, para saber cuántas unidades de primer orden caben en él:
Así, 119 = 4 x 25 + 3 x 5 + 4, o, en el sistema quinario es "434".
Las operaciones realizadas, para comodidad, se disponen en la forma siguiente:
| 119 | 5 | |
| 4 | 23 | 5 |
| 3 | 4 |
Las cifras en negritas (en la escritura se las puede subrayar) se escriben de derecha a izquierda y, simultáneamente, se obtiene la representación buscada, del número en otro sistema.
Pongamos aún otros ejemplos:
Ejemplo 1
Representar 47 en el sistema ternario.
Solución
| 47 | 3 | ||
| 2 | 15 | 3 | |
| 0 | 5 | 3 | |
| 2 | 1 |
Respuesta: 1202
Verificación1 x 27 + 2 x 9 + 0 x 3 + 2 = 47.
Ejemplo 2
Representar 200 en el sistema septenario.
Resolución
| 200 | 7 | |
| 60 | 28 | 7 |
| 4 | 0 | 4 |
Respuesta: 404
Verificación4 x 49 + 0 x 7 + 4 = 200,
Ejemplo 3
Representar el número 163 en el sistema duodecimal:
Solución
| 163 | 12 | |
| 43 | 13 | 12 |
| 7 | 1 | 1 |
Respuesta: 117
Verificación1 x 144 + 1 x 12 + 7 = 163.Ahora el lector no tiene dificultad para representar cualquier número en un sistema de numeración determinado. El único obstáculo que puede surgir, se debe a que en ciertos casos no se encuentran notaciones para las cifras. En efecto, al representar un número en un sistema cuya base sea mayor que diez, por ejemplo, en duodecimal, se pueden presentar inconvenientes con las cifras "diez" y "once". Se puede resolver esta dificultad con suma facilidad, asignando a las nuevas cifras algunos signos o letras que las representen, por ejemplo, las letras K y L que se hallan en el lugar 10º y 11º del alfabeto ruso[30]. Así, el número decimal 1579, se representa en el sistema duodecimal[31] de la forma siguiente:
| 1579 | 12 | |
| 37 | 131 | 12 |
| 19 | 11 | 10 |
| 7 |
Respuesta"(10) (11) 7", o IJ7 (según el alfabeto castellano).Verificación10 x 144 + 11 x 12 + 7 = 1579.
* * *
Problema 1Escribir el número 1926 en el sistema duodecimal.[32]
Problema 2
Escribir el número 273 en el sistema duodecimal.
2. El sistema de numeración más sencillo
Sin trabajo podemos notar que la mayor cifra que se utiliza en cada sistema es menor en una unidad que el número base del sistema. Así, en el sistema decimal, la mayor cifra es el 9; en el sistema de base 6, el 5; en el sistema ternario, el 2; en el sistema de base 15, el 14, etc.
El sistema de numeración más sencillo es, naturalmente, aquel para el cual se requiere el menor número de cifras. En el sistema decimal son necesarias 10 cifras (considerando, también, al cero), en el quinario, 5 cifras, en el ternario, 3 cifras (0, 1 y 2), en el binario únicamente 2 cifras (1 y 0).
¿Existe un sistema "unitario"? Naturalmente: este sistema es aquel en el cual las unidades de todos los órdenes tienen idéntico valor. Este mismo "sistema" rudimentario lo empleaba el hombre primitivo, efectuando cortes en un árbol de acuerdo al número de objetos contados. Pero entre él y todos los otros sistemas de cálculo existe una enorme diferencia: carece de la principal ventaja de nuestra numeración (el valor posicional de las cifras). En efecto, en el sistema "unitario" un signo que se halle en el 3º ó 5º lugares, tiene el mismo valor que el que se encuentre en el primer lugar. Mientras que, aún en el sistema binario, la unidad en el 3er. lugar (desde la derecha) es 4 (2 x 2) veces mayor que una unidad en el 1er. lugar, y una unidad en el 5º lugar, es 16 veces (2 x 2 x 2 x 2) mayor que la unidad en el 1er. lugar. Para representar cualquier número en el sistema "unitario", se requieren tantos signos como objetos se cuenten: para escribir cien objetos, se necesitan cien signos: en el binario solamente siete ("1100100"); en el quinario, en total, tres ("400").
Por esta razón no es correcto llamar "sistema" al sistema "unitario"; por lo menos, no se le puede colocar junto a los restantes, puesto que difiere fundamentalmente de ellos, en que no proporciona ninguna ventaja en la representación de los números. Si se le descarta, el sistema binario resulta ser el más sencillo de todos los sistemas de numeración; en él se emplean solamente dos cifras: 1 y 0. ¡Por medio de la unidad y del cero se puede representar todo el conjunto infinito de números!
Este sistema es poco conveniente para escribir los números: se obtienen números excesivamente largos[33]. El sistema binario es adecuado para una serie de investigaciones teóricas. En los últimos tiempos el papel del sistema binario ha tomado gran fuerza, puesto que con base en él realizan los cálculos las computadoras electrónicas. Dicho sistema posee ciertas particularidades inherentes, bastante interesantes, que se pueden emplear a propósito, para efectuar una serie de trucos matemáticos, sobre los cuales hablaremos detalladamente en el capítulo "Trucos sin engaños" (Capítulo 6).
Nos hemos habituado a tal grado a las operaciones aritméticas, que las efectuamos automáticamente, casi sin pensar en lo que hacemos. Pero las mismas operaciones exigen de nosotros gran esfuerzo cuando las efectuamos con números escritos en un sistema no decimal.
Intentemos, por ejemplo, efectuar la adición de los dos números siguientes, escritos en el sistema quinario.
| 2132 | + 4203 |
Sumamos las cifras según su orden, empezando con las unidades, es decir, con las primeras cifras de la derecha: 3 + 2 es igual a cinco; pero no podemos escribir 5, porque tal cifra no existe en el sistema quinario; el cinco es ya una unidad de orden superior. Es decir, en la suma no hay unidades; escribimos 0, y retenemos en nuestra memoria el cinco, o sea la unidad del siguiente orden. Como, 0 + 3 = 3, al agregar la unidad que memorizamos antes, nos da en total 4 unidades de segundo orden. En el tercer orden obtenemos 2 + 1 = 3. En el cuarto, 4 + 2 es igual a seis, es decir, 5 + 1; escribimos 1, y trasladamos a la izquierda el 5, o sea la unidad de orden superior. La suma será = "11340":
| 4203 |
| + 2132 |
| 11340 |
Damos al lector la posibilidad de comprobar esta adición, trasladando, previamente, los números entre comillas al sistema decimal.
Las otras operaciones se efectúan de igual manera. A modo de ejercicio, ofrecemos a continuación siete problemas[34], cuyo número puede aumentar el lector por su cuenta, a voluntad:
En el sistema quinario:
Problema 3
| 2143 |
| - 334 |
| 213 |
| x 3 |
| 42 |
| x 31 |
En el sistema ternario:
Problema 6
| 212 |
| + 120 |
Problema 7
| 122 |
| x 20 |
Problema 8
| 220 |
| ÷ 2 |
Problema 9
| 201 |
| ÷ 12 |
Para realizar estas operaciones, primero representamos mentalmente los números dados, en nuestro familiar sistema decimal, efectuamos la respectiva operación y una vez obtenido el resultado, lo representamos de nuevo en el correspondiente sistema no decimal. Pero también se puede proceder de otra forma: se construyen "la tabla de adición" y "la tabla de multiplicación" para los sistemas en los que estén dados los números, y se emplean directamente estas tablas.
Por ejemplo, la tabla de adición en el sistema quinario tiene la siguiente forma:
| + | 0 | 1 | 2 | 3 | 4 |
| 0 | 0 | 1 | 2 | 3 | 4 |
| 1 | 1 | 2 | 3 | 4 | 10 |
| 2 | 2 | 3 | 4 | 10 | 11 |
| 3 | 3 | 4 | 10 | 11 | 12 |
| 4 | 4 | 10 | 11 | 12 | 13 |
Por medio de esta tabla podemos sumar los números "4203" y "2132", escritos en el sistema quinario, requiriendo un menor esfuerzo que con el método aplicado anteriormente.
Fácilmente se puede comprender, que también se simplifica la sustracción.
Formemos la tabla de multiplicar ("pitagórica") para el sistema quinario:
| X | 1 | 2 | 3 | 4 |
| 1 | 1 | 2 | 3 | 4 |
| 2 | 2 | 4 | 11 | 13 |
| 3 | 3 | 11 | 14 | 22 |
| 4 | 4 | 13 | 22 | 31 |
Teniendo frente a nosotros esta tabla, podemos simplificar el proceso de multiplicación y división en el sistema quinario, como se puede comprobar, aplicándola a los ejercicios propuestos anteriormente. Por ejemplo, en la multiplicación.
| 213 |
| x 3 |
| 1144 |
Razonamos así: tres por tres (de la tabla de multiplicar expuesta arriba) da "14", escribimos el "4" y memorizamos el "1" para el siguiente orden. Tres por uno, "3", más "1" del orden anterior, 4; de la tabla, 3 x 2 da "11", con lo cual el resultado final será "1144".
Cuanto menor es la base de un sistema, tanto menores son, también, las correspondientes tablas de adición y de multiplicación. Por ejemplo, las dos tablas para el sistema ternario son:
| + | 0 | 1 | 2 | x | 1 | 2 | ||
| 0 | 0 | 1 | 2 | 1 | 1 | 2 | ||
| 1 | 1 | 2 | 10 | 2 | 2 | 11 | ||
| 2 | 2 | 10 | 11 | |||||
| Tabla de la adición para el sistema ternario | Tabla pitagórica para el sistema ternario | |||||||
Dichas tablas se pueden memorizar simultáneamente, y así realizar las operaciones correspondientes en el sistema ternario. Las tablas de adición y multiplicación más breves corresponden al sistema binario.
| + | 0 | 1 | ||
| 0 | 0 | 1 | ||
| 1 | 1 | 10 | 1 x 1 = 1 | |
| Tabla de la adición para el sistema binario | Tabla de multiplicación para el sistema binario | |||
¡Por medio de estas sencillas "tablas" se pueden efectuar las cuatro operaciones en el sistema binario! Las multiplicaciones como tales, no existen en este sistema, pues multiplicar por la unidad equivale a dejar el número sin modificación; Para multiplicar por "10", "100", "1000" (es decir, por 2, por 4, por 8) basta agregar a la derecha el correspondiente número de ceros. En lo que respecta a la adición, solo basta recordar que, en el sistema binario, 1 + 1 = 10.
¿No es cierto que nosotros, sustentamos ampliamente nuestra afirmación de que el sistema binario era el más sencillo de todos los sistemas posibles? Como vemos, la enorme longitud de los números expresados en este sistema, se compensa con la sencillez para efectuar todas las operaciones aritméticas con ellos.
Si por ejemplo, se desea multiplicar:
| 1 | 0 | 0 | 1 | 0 | 1 | 1 | 1 | 0 | 1 | ||||||
| x | 1 | 0 | 0 | 1 | 0 | 1 | |||||||||
| 1 | 0 | 0 | 1 | 0 | 1 | 1 | 1 | 0 | 1 | ||||||
| + | 1 | 0 | 0 | 1 | 0 | 1 | 1 | 1 | 0 | 1 | • | ||||
| 1 | 0 | 0 | 1 | 0 | 1 | 1 | 1 | 0 | 1 | • | • | ||||
| 1 | 0 | 1 | 0 | 1 | 1 | 1 | 0 | 1 | 1 | 1 | 0 | 0 | 0 | 1 |
El realizar esta operación nos lleva únicamente a una transcripción de los números dados en una disposición ordenada: esto requiere menor esfuerzo mental que si se multiplicaran estos números, en el sistema decimal (605 x 37 = 22 385). Si adoptáramos el sistema binario, los cálculos escritos nos exigirían un menor esfuerzo mental (a cambio de una mayor cantidad de papel y tinta). Sin embargo, en los cálculos mentales, la aritmética binaria cedería en gran medida ante nuestro sistema decimal, dada la comodidad de este último para realizar las operaciones.
Proporcionemos también un ejemplo de división, efectuada en el sistema de numeración binario:
| 1 | 0 | 0 | 0 | 0 | 0 | 1 | 0 | 1 | 1 | 1 | |||
| - | 1 | 1 | 1 | 1 | 0 | 0 | 1 | 0 | |||||
| 1 | 0 | 0 | 1 | ||||||||||
| - | 1 | 1 | 1 | ||||||||||
| 1 | 0 | 0 |
En nuestro familiar sistema decimal, esta operación tendría la siguiente forma:
| 130 | 7 |
| -7 | 18 |
| 60 | |
| - 56 | |
| 4 |
El dividendo, el divisor, el cociente y el residuo en ambos casos son idénticos, en esencia, aunque los valores intermedios son diferentes.
3. ¿Par o impar?
Sin saber el número, naturalmente resulta imposible saber si es par o impar. Pero desde luego, nos resulta fácil responder a la pregunta una vez conocido el número. Así, por ejemplo, ¿el número 16 es par o impar?
Si sabemos que está escrito en el sistema decimal, es correcto afirmar que dicho número es par. Pero si se ha escrito el número en cualquier otro sistema, ¿se puede afirmar, sin temor a equivocación, que es par?
Evidentemente no. Si, por ejemplo, la base es siete, "16" representa 7 + 6 = 13, un número impar. Esto sucederá también, para toda base impar. (Porque todo número impar + 6 es también es un número impar).
De aquí se concluye que la regla que establece que un número es par si es divisible entre 2 (es decir, cuando el número tiene la última cifra par), bien conocida por nosotros, sólo resulta útil para el sistema de numeración decimal; para otros sistemas no siempre es cierta. A saber, esta norma solo tiene validez para sistemas de numeración con base par: base 6, base 8, etc. ¿Cuándo es divisible un número entre 2 en los sistemas de base impar? Basta con tener presente esta regla: la suma de las cifras del número deberá ser par. Por ejemplo, el número "136" es par en cualquier sistema de numeración, inclusive también en un sistema de base impar; en efecto, en este último ejemplo tenemos el número "136": un número impar[35] + un número impar + un número par = número par.
Con sumo cuidado nos referimos al siguiente problema: ¿El número 25 siempre es divisible entre 5? El número 25 no es divisible entre 5 en el sistema de base 7 ni en el de base 8 (porque 25 en base 7 equivale a 19 en decimal, y en base 8 equivale a 21 en decimal, y ninguno de estos dos números es divisible entre 5). De igual manera, la bien conocida divisibilidad entre 9 (de acuerdo a la suma de las cifras) solo es válida para el sistema decimal. De igual manera, en el sistema quinario se aplica la divisibilidad para el 4, y en el de base siete, por ejemplo, se aplica la divisibilidad para el 6. Así, el número "323" en el sistema quinario es divisible entre 4, porque 3 + 2 + 3 = 8, y el número "51" en el sistema de base siete, es divisible entre 6 (fácilmente comprobable si se transcriben estos números al sistema decimal: obtenemos respectivamente, 88 y 36). El lector puede verificar lo dicho acá, si profundiza en la deducción de la divisibilidad entre 9 y aplica idénticos razonamientos a otros sistemas, realizando las modificaciones del caso. Así, por ejemplo, la deducción de la divisibilidad entre 6 para el sistema de base 7.
Resulta más laborioso aún, demostrar por un medio puramente aritmético, la validez de las siguientes proposiciones para todos los sistemas de numeración (en los que se tengan las cifras correspondientes):
121 ÷ 11 = 11
144 ÷ 12 = 12
21 x 21 = 441
Los entendidos que posean conocimientos de álgebra, pueden hallar fácilmente el principio que explique la validez de estas igualdades. Los otros lectores pueden verificarlas para diversos sistemas de numeración.
Veamos la comprobación algebraica de estas proposiciones:
Proposición 1: Si el número está escrito en una base cualquiera, b, entonces:
Verificando: 121 ÷ 11 = 11, se tiene:
![]()
![]()
![]()
Proposición 2: Si el número está escrito en una base cualquiera, b, entonces:
Verificando: 144 ÷ 12 = 12, se tiene:
144 = b2 + 4b +4 [1]
12 = b + 2 [2]
![]()
![]()
![]()
Esta expresión es válida para cualquier valor de b, por lo tanto, es válida para cualquier base.
Proposición 3: Si el número está escrito en una base cualquiera, b, entonces:
Verificando: 21 ´ 21 = 441, se tiene:
21 x 21 = (2b + 1) x (2b + 1) [1]
441 = 4b2 + 4b + 1 [2]
21 x 21 = (2b + 1) x (2b + 1)
21 x 21 = (2b + 1)2
21 x 21 = 4b2 + 4b + 1 [3]
![]()
4. Problemas instructivos
¿Cuándo 2 x 2 = 100?[36]
¿Cuándo 2 x 2 = 11?[37]
¿Cuándo 10 es número impar?[38]
¿Cuándo 2 x 3 = 11?[39]
¿Cuándo 3 x 3 = 14?[40]
5. Fracciones exactas
Estamos habituados al hecho de que, solamente las fracciones decimales exactas se escriben sin denominador. Por tal razón, a simple vista parece que no es posible escribir directamente, sin denominador, las fracciones: 2/7 y 1/3. Sin embargo cabe preguntarnos si es posible tener fracciones exactas, en otros sistemas de numeración.
Por ejemplo, ¿qué representa en el sistema quinario, la fracción "0,4"? Naturalmente, 4/5. En el sistema septenario la fracción "1,2" denota 1 2/7. ¿Y qué denota en el mismo sistema septenario la fracción 0,33"? Aquí el resultado resulta más complicado: 3/7 + 3/49 = 24/49.
Consideremos algunas fracciones exactas, no decimales:
- ¿A qué es igual "2,121" en el sistema ternario?
- ¿A qué es igual "1,011" en el sistema binario?
- ¿A qué es igual "3,431" en el sistema quinario?
- ¿A qué es igual "2,(5)" en el sistema septenario?
- 2 + 1/3 + 2/9 + 1/27 = 2 16/27.
- 1 + 1/4 + 1/8 = 1 3/8.
- 3 + 4/5 + 3/25 + 1/125 = 3 116/125.
- 2 + 5/7 + 5/49 + 5/343 +... = 2 5/6.
Para concluir el capítulo, consideremos algunos problemas de índole especial:
Problema 10[41]
¿En qué sistema de numeración se ha efectuado la siguiente adición?:
| 756 |
| 307 |
| + 2456 |
| 24 |
| 3767 |
Problema 11
En qué sistema de numeración se ha efectuado la división:
| 4415400 | 4532 |
| - 40344 | 543 |
| 34100 | |
| - 31412 | |
| 22440 | |
| - 22440 | |
| 0 |
Problema 12
Escriba el número "ciento treinta" en todos los sistemas de numeración del binario al decimal, inclusive.
Problema 13
¿A qué es igual el número "123" si se le considera escrito en todos los sistemas de numeración, hasta el nonario inclusive? ¿Es posible escribirlo en el sistema binario? ¿Y en el sistema ternario? Si está escrito en el sistema quinario, ¿se puede saber si es divisible exactamente entre dos, sin transcribirlo al sistema decimal? Si está escrito en el sistema de base nueve, ¿es divisible exactamente entre cuatro?
6. Curiosidad aritmética
25 x 92 = 2592
Capítulo 5
Galería de maravillas numéricas[42]
1. Museo de curiosidades aritméticas
2. El número 12
3. El número 365
4. Tres nueves
5. El número de Scheherezada
6. El número 10101
7. El número 10001
8. Seis unidades
9. Pirámides numéricas
10. Nueve cifras iguales
11. Escala numérica
12. Anillos mágicos
13. Una familia fenomenal
14. Curiosidades aritméticas
En el mundo de los números, como también sucede en el mundo de los seres vivos, se encuentran auténticas maravillas, ejemplares únicos, que poseen propiedades sorprendentes. A partir de varios números extraordinarios, se pudo conformar un museo de rarezas numéricas: el presente "museo de curiosidades aritméticas". En sus vitrinas hallaremos un lugar, no solamente dedicado a los gigantes numéricos, sobre los que charlaremos aún más en un capítulo especial, sino también otro para los números de dimensiones discretas que, en compensación, se distinguen de la serie de los otros por ciertas propiedades no habituales. Algunos de ellos llaman la atención por su apariencia; otros en tanto, dejan ver sus notables particularidades solamente a través de un conocimiento más profundo.

Figura 25. Vitrina de maravillas aritméticas
"El tres es un número perfecto. La unidad es al número 3, lo mismo que el diámetro al círculo. El número 3 es el único que posee centro. Los demás números, son elipses que tienen dos focos. De aquí surge una particularidad propia, exclusiva del número 3. Al sumar las cifras de cualquier número, múltiplo de 3, la suma es divisible exactamente entre 3".En esta vaga y aparentemente profunda revelación, está colmada de imprecisiones; exceptuando la última frase del texto presentado, todo lo demás carece de sentido o es un absurdo. Sin embargo, la propiedad de la suma de las cifras a que hace referencia el texto, no surge de lo argumentado allí, y por lo mismo no representa una propiedad particular, exclusiva del número 3: por esta propiedad se distingue también el número 9 en el sistema decimal, y en otros sistemas, se distinguen también el número entero, inmediatamente inferior a su base.
Las maravillas de nuestra "galería" son de otro tipo: en ellas no hay nada misterioso ni indescifrable.
Invito al lector a realizar una excursión por la galería de estas maravillas numéricas y a relacionarse con algunas de ellas.
Pasemos, sin detenernos, delante de las primeras vitrinas que encierran números de propiedades bien conocidas por nosotros. Ya sabemos por qué se encuentra el número 2 en la galería de maravillas: no porque sea el primer número par[43], sino porque es la base de un interesante sistema de numeración[44].
No nos sorprende tampoco, encontrar aquí el número 9, naturalmente, no como un "símbolo de constancia"[45], sino como el número que nos permite comprobar todas las operaciones aritméticas. Pero aquí está la vitrina; miremos a través de su cristal.
2. El número 12
¿Qué tan especial es? Es el número de meses del año y el número de unidades de una docena.
Pero, en esencia, ¿qué hay de particular en la docena? Por pocos es conocido que el 12 es el antiguo y derrotado rival del número 10 en la lucha por el puesto honorífico de base del sistema de numeración. Un pueblo de gran cultura del Antiguo Oriente, los babilonios, y sus predecesores sumerios, realizaban los cálculos en el sistema duodecimal de numeración. Hasta ahora, hemos rendido algún tributo a este sistema, no obstante la victoria del sistema decimal. Tenemos gran inclinación por las docenas y las gruesas[46]; nuestro día se divide en 2 docenas de horas, nuestras horas se dividen en 5 docenas de minutos, nuestros minutos se dividen en 5 docenas de segundos, el círculo se divide en 30 docenas de grados, y finalmente, el pie se divide en 12 pulgadas. ¿Acaso no son pruebas (así como muchas otras) de la gran influencia de este antiguo sistema, en nuestros días?
¿Es conveniente que en la lucha entre la docena y la decena haya triunfado esta última?
Naturalmente, debido a la estrecha relación entre la decena y los diez dedos, nuestras propias manos han sido y siguen siendo calculadoras naturales. Pero si no fuera por esto, convendría dar preferencia al 12 antes que al 10. Es mucho más conveniente realizar los cálculos en el sistema duodecimal que en el decimal. Esto se debe a que el número 10 solo es divisible entre 2 y 5, mientras que el 12 es divisible entre 2, 3, 4 y 6. En el 10 hay solo dos divisores y en el 12 hay cuatro. Saltan a la vista las ventajas del sistema duodecimal, si se considera que en este sistema todo número terminado en cero, es múltiplo de 2, 3, 9 y 6. Pensemos: ¡qué tan cómodo resulta dividir un número cuando 1/2, 1/3, 1/4 y 7/6 de este son números enteros!
Todo número duodecimal que termine en dos ceros, es divisible entre 144, y por consiguiente, también entre todos los multiplicadores de 144, es decir, entre estos números:
2, 3, 4, 6, 8, 9, 12, 16, 18, 24, 36, 48, 72 y 144.
Catorce divisores, en lugar de ocho que tienen los números decimales que terminan en dos ceros, a saber:2, 4, 5, 10, 20, 25, 50 y 100.
En nuestro sistema decimal, solamente se convierten en decimales finitos las fracciones exactas: 1/2, 1/4, 1/5, 1/20, 1/25, 1/50 y 1/100; en cambio, en el sistema duodecimal, se puede escribir mayor cantidad de fracciones exactas, y ante todo: 1/2, 1/3, 1/4, 1/6, 1/8, 1/9, 1/12, 1/16, 1/18, 1/24, 1/36, 1/48, 1/72, 1/144, las que respectivamente se representan así:0,6; 0,4; 0,3; 0,2; 0,16; 0,14; 0,1; 0,09; 0,08; 0,06; 0,04; 0,03; 0,02; 0,01.
Por otra parte, sería un gran error pensar que la divisibilidad de un número puede depender del sistema de numeración en que esté representado. Si unas nueces contenidas en un saco, pueden separarse en 5 montones iguales, esta propiedad no se modifica dependiendo del sistema de numeración en el que expresemos este número o de si lo anotamos en un ábaco, o lo escribimos en letras, o lo representamos mediante cualquier otro método. Si el número escrito en el sistema duodecimal es divisible entre 6 o entre 72, entonces, al ser expresado en otro sistema de numeración, por ejemplo en el decimal, deberá tener los mismos divisores. La diferencia consiste únicamente en que, en el sistema duodecimal la divisibilidad entre 6 o entre 72 se verifica con mayor facilidad (el número termina en uno o en dos ceros).Ante tales ventajas del sistema duodecimal, no es extraño que entre los matemáticos se corriera la voz en favor de un traslado definitivo a este sistema. Sin embargo, ya estamos demasiado acostumbrados al sistema decimal como para resolver los planteamientos matemáticos mediante dicho sistema.
El gran matemático francés Laplace emitió la siguiente opinión respecto a dicho problema: "La base de nuestro sistema de numeración no es divisible entre 3 ni entre 4, es decir, entre dos divisores muy empleados por su sencillez. La incorporación de dos nuevos símbolos (cifras) daría al sistema de numeración esta ventaja; pero, sin duda, tal innovación sería contraproducente.
Perderíamos la utilidad que dio origen a nuestra aritmética: la posibilidad de calcular con los dedos de las manos".
Procedió a estandarizar las unidades, pasando también a decimales, las medidas de los arcos, los minutos y los grados.
Se intentó realizar dicha reforma en Francia, pero no se llegó a implantar. Nadie, aparte de Laplace[47], era ardiente partidario de esta reforma. En su célebre libro "Exposición de un sistema del mundo", realiza sucesivamente la subdivisión decimal de los ángulos; llama grado, no a la noventava, sino a la centésima parte de un ángulo recto, minuto a la centésima parte de un grado, etc. Inclusive, Laplace emitió su opinión sobre la subdivisión decimal de las horas y los minutos. "La uniformidad del sistema de medidas, requiere que se divida el día en 100 horas, la hora en 100 minutos, el minuto en 100 segundos" escribió el eminente geómetra francés.
Se ve, por consiguiente, que la docena tiene por sí misma, una larga historia, y que el número 12, no sin fundamento, se encuentra en la galería de las maravillas numéricas. Por el contrario su vecino, el número 13, figura aquí no porque sea notable, sino más bien por no serlo, aunque se emplea precisamente por una gloria sombría: ¿no es extraordinario que no habiendo nada que distinga al número, pudiera llegar a ser "peligroso" para las personas supersticiosas?
Esta superstición que se originó en la antigua Babilonia, se propagó por todo el planeta[48], lo que se evidencia por el hecho de que en la época del régimen zarista, los constructores del tranvía eléctrico en San Petersburgo, no se decidieron a introducir la ruta número 13, la omitieron y pasaron a la número 14. Las autoridades pensaban que el público no viajaría en vagones con tan "siniestro" número. Resulta curioso que en San Petersburgo los alojamientos que tenían 13 cuartos, permanecieran solitarios... En los hoteles, generalmente no existía la habitación número 13. Para luchar contra esta superstición numérica, carente de fundamento, en algunas partes de Occidente (por ejemplo, en Inglaterra) se han constituido inclusive los exclusivos "Clubes del número 13".
En la siguiente vitrina del museo de maravillas aritméticas vemos ante nosotros al número 365.
3. El número 365
Es notable, ante todo, porque denomina el número de días del año. Además, al dividirlo entre 7 da 1 como residuo: por ser un residuo tan insignificante, esta propiedad del número 365 adquiere una gran importancia para nuestro calendario de siete días.

Figura 26. El curioso número 365
365 = 10 x 10 + 11 x 11 + 12 x 12
es decir, que el número 365 es igual a la suma de los cuadrados de tres números consecutivos, empezando por el 10:102 + 112 + 122 = 100 + 121 + 144 = 365.
Pero además, es igual a la suma de los cuadrados de los dos siguientes números, 13 y 14:132 + 142 = 169 + 196 = 365.
En esta propiedad del número 365 se basa el conocido problema del editor y educador S. A. Rachinsky, que inspiró el famoso cuadro de Bogdánov-Belsky. "El problema difícil" (figura 27)[49]

Figura 27. Viñeta del famoso cuadro del artista Bogdanov-Belski, titulado "El Problema Difícil"
En la siguiente vitrina está, expuesto el mayor de todos los números de tres cifra: el 999. Dicho número, sin duda es mucho más extraordinario que su imagen volcada, el 666, el famoso "número de la bestia" citado en el Apocalipsis, que ha generado un temor absurdo entre algunas personas supersticiosas que, acorde a las propiedades aritméticas, nada hay que lo distinga de los demás números.

Figura 28. Un número por el cual es fácil multiplicar
Una propiedad interesante del número 999 se manifiesta en su multiplicación por cualquier otro número de tres cifras. De esta forma se obtiene un producto de seis cifras: sus tres primeras cifras constituyen el número a multiplicar por 999, reducido en una unidad, y las tres cifras restantes (inclusive la última) son el "complemento" al 9, de las tres primeras. Por ejemplo, el 573:
Se reduce 573 en una unidad, queda: 572. Se complementa cada cifra a 9: 9 – 5 = 4; 9 – 7 = 2; 9 – 2 = 7, queda: 427. Se escribe el producto:
573 x 999 = 572 427
Solo es necesario echar una ojeada al siguiente renglón, para comprender el origen de esta propiedad:
573 x 999 = 573 x (1000 - 1) = 573 000 - 573 = 572 427
Conociendo esta particularidad, podemos multiplicar "instantáneamente" cualquier número de tres cifras por 999:
967 x 999 = 966 033
509 x 991 = 508 491
981 x 999 = 980 019
Y puesto que 999 = 9 x 111 = 3 x 3 x 3 x 37, se pueden escribir con la rapidez de un rayo, colonias enteras de números de seis cifras, múltiplos de 37; no se puede hacer esto si no se conocen las propiedades del número 999. Haciendo uso de estas propiedades, se pueden organizar ante los profanos, pequeñas demostraciones de "multiplicación y división instantáneas".
5. El número de Scheherezada[50]
El que sigue en turno es el número 1001, el célebre número de Scheherezada. Pocos sospechan, probablemente, que en el nombre mismo de una colección de cuentos encantados árabes se esconde una maravilla, que hubiera podido exaltar la imaginación del sultán del cuento, en grado no menor grado que algunas otras maravillas de Oriente, si se hubiera interesado por las maravillas aritméticas.

Figura 29. El número de Scheherezada
¿Qué tan notable es el número 1001? En su aspecto, parece un número corriente. No pertenece al grupo de los números "primos". Es divisible entre 7, 11 y 13, los cuales son números primos consecutivos, cuyo producto resulta ser el mencionado número. Pero lo maravilloso de este número no consiste en que 1001 = 7 x 11 x 13, ya que aquí no hay nada de mágico. Lo que lo hace notable, es que al multiplicar un número de tres cifras por 1001, se obtiene un resultado formado por los dígitos del número multiplicado por él, escritos dos veces, por ejemplo:
873 x 1001 = 873 873
207 x 1001 = 207 207
Y aunque esto era de esperarse, porque 873 x 1001 = 873 x 1000 + 873 = 873 000 + 873, aprovechando la señalada propiedad "del número de Scheherezada" se pueden lograr resultados inesperados, por lo menos para el hombre no preparado.
Ahora veamos en qué forma.
Se puede sorprender a un grupo de camaradas no iniciados en los misterios aritméticos, con el siguiente truco. Supóngase que alguno de ellos escribe secretamente, en un trozo de papel, un número de tres cifras, y que luego le agregue el mismo número, en uno de sus extremos.
Se obtiene así un número de seis cifras que se compone de tres cifras repetidas. Se le propone al mismo camarada o a su vecino dividir este número, en secreto, entre 7; además, con anticipación se predice que en la división no se obtendrá residuo. Transmite el resultado al vecino, quien de acuerdo con la proposición, lo divide entre 11, y aunque no se conoce el dividendo, uno puede afirmar que la división tampoco dará residuo. Este camarada entrega a otro vecino, el resultado obtenido, y se le solicita a éste, dividir este resultados entre 13, y conforme a lo predicho de antemano, la división no dará ningún residuo. Obtenido el resultado de la tercera división, sin que el adivino vea el número obtenido, se traslada al primer camarada con las palabras:
— ¿Este es el número que pensó?
— Así es, acertó, le contestará sin duda alguna.
¿Cuál es la clave del truco?
Este bonito truco aritmético, que produce en los no iniciados un efecto mágico, se explica en una forma muy sencilla: recuérdese que agregar a un número de tres cifras el propio número, significa multiplicarlo por 1001, es decir, por el producto 7 x 11 x 13. Por esta razón, el número de seis cifras que obtiene nuestro camarada después de agregar al número dado el propio número, deberá dividirse exactamente entre 7, entre 11 y entre 13; y como consecuencia de las divisiones consecutivas entre estos tres números (es decir, entre su producto, 1001) se deberá obtener otra vez el número pensado.
La realización del truco se puede variar a voluntad, de modo que se pueda encontrar el número enigmático al finalizar los cálculos. Es sabido que el número de seis cifras sobre el cual se comienzan a hacer los cálculos, es igual al producto
(número pensado) x 7 x 11 x 13.
Por tal razón, si se pide dividir el número de seis cifras, primero entre siete, después entre 11, y luego entre el número pensado, con seguridad se puede afirmar que el resultado es 13.
Repitiendo el truco, se pide realizar las divisiones en otro orden: al principio entre 11, después entre el número pensado y entre 13. La última división deberá dar 7 como cociente. O al principio entre 13, después entre el número pensado, y luego entre 7; el resultado final es 11.
6. El número 10101
Después de lo dicho sobre el número 1001, no nos sorprende encontrar al número 10101 en las vitrinas de nuestra galería. Se adivina a qué propiedad está obligado este número por tal honor. El, como el número 1001, da un resultando sorprendente en la multiplicación, pero no de números de tres cifras, sino de dos cifras; todo número de dos cifras, multiplicado por 10101, da como resultado el propio número, escrito tres veces.

Figura 30. Un número que se presta para trucos
Por ejemplo:
73 x 10 101 = 737 373
21 x 10 101 = 212 121.
La causa de estos resultados se aclara en el siguiente renglón:
73 x 10101 = 73 (10000 + 100 + 1) = 730000 + 7300 + 73
¿Con ayuda de este número se pueden realizar trucos de adivinación poco conocidos, tal como se hicieron con el número 1001?
Sí se puede. Aquí es posible inclusive, disponer de una mayor variedad de formas al momento de presentar el truco, si se tiene en cuenta que 10101 es producto de cuatro números primos:
10101 = 3 x 7 x 13 x 37.
Se pide a un camarada pensar un número de dos cifras, se pide a un segundo añadirle el mismo número, se pide a un tercer camarada agregar el mismo número una vez más. A un cuarto camarada se le pide dividir el número obtenido, de seis cifras; un quinto camarada deberá dividir el cociente obtenido entre 3; un sexto camarada divide entre 37 el resultado antes obtenido y, finalmente, un séptimo camarada divide este resultado entre 13; ninguna de las cuatro divisiones arroja un residuo. Se transmite al primer camarada el resultado de la última división: éste será el número que él había pensado.
Cada vez que se repita el truco se realizan algunas variaciones, empleando cada vez nuevos divisores. A saber, en lugar de los cuatro multiplicadores 3 x 7 x 13 x 37, se pueden tomar los siguientes grupos de tres multiplicadores:
21 x 13 x 37
7 x 39 x 37
3 x 91 x 37
7 x 13 x 111
Este truco se puede modificar con facilidad, tal como se varió en el caso anterior (es decir, en el truco con el número 1001).
El número 101001 es, quizás aun más sorprendente que el número encantado de Scheherezada, aunque se conozcan en menor grado sus propiedades. Además se escribió sobre él, doscientos años antes, en la "Aritmética" de Magnitski, en el capítulo en el que se presentan ejemplos de multiplicación, "sorprendentes". Con mayor razón, debe incluirse dicho número en nuestra colección de maravillas numéricas.
7. El número 10001
Con este número se pueden también hacer trucos a la manera de los anteriores, aunque quizás no tan variados.

Figura 31. Otro número que se presta para trucos
Dicho número representa el producto de dos números primos:
10 001 = 73 x 137
Tengo confianza en que el lector, después de todo lo antedicho, notará cómo aprovechar esta peculiaridad para realizar operaciones aritméticas "sorprendentes".
8. Seis unidades
En la siguiente vitrina vemos una nueva maravilla del museo de curiosidades aritméticas, un número formado por seis unidades. En virtud las propiedades mágicas ya conocidas del número 1001, nos damos cuenta de que
111111 = 111 x 1001.

Figura 32. Número útil para la adivinación
Pero 111 = 3 x 37, y 1001 = 7 x 11 x 13. De aquí se deduce que nuestro nuevo fenómeno numérico, formado solamente por unidades, representa el producto de cinco multiplicadores primos. Combinando estos cinco multiplicadores en todas las formas posibles, en dos grupos, obtenemos 15 pares de multiplicadores cuyos productos dan el mismo número, 111111:
3 x (7 x 11 x 13 x 37) = 3 x 37037 = 111111
7 x (3 x 11 x 13 x 37) = 7 x 15873 = 111111
11 x (3 x 7 x 13 x 37) = 11 x 10101 = 111111
13 x (3 x 7 x 11 x 37) = 13 x 8547 = 111111
37 x (3 x 7 x 11 x 13) = 37 x 3003 = 111111
(3 x 7) x (11 x 13 x 37) = 21 x 5291 = 111111
(3 x 11) x (7 x 13 x 37) = 33 x 3367 = 111111
En ese caso, se puede poner a 15 camaradas el trabajo de multiplicación y, aunque cada uno multiplicara un par de números diferentes, todos obtendrían el mismo resultado: 111111.
El mismo número 111111 es útil para adivinar los números pensados, mediante un procedimiento similar al explicado antes para los números 1001 y 10101. En este caso se propone pensar un número de una sola cifra, y repetirlo 6 veces. Sirven como divisores, cinco números primos: 3, 7, 11, 13, 37, y las combinaciones que se obtienen a partir de ellos: 21, 33, 39, etc. Esto proporciona una amplia gama de variantes para realizar el truco.
Por ejemplo, partiendo de lo visto para el número 111111, el lector puede emplear en los trucos aritméticos, otro número que solo se componga de puras unidades, para ello debe descomponer dicho número en factores. Para fortuna de los aficionados a estos trucos, no todos los números resultantes son primos, sino que algunos son compuestos.
De los primeros 17 números de este tipo, solo son primos los dos menores, 1 y 11, los restantes son compuestos. He aquí cómo se descomponen en factores primos, los diez primeros números compuestos de este sistema.
111 | = | 3 x 37 |
1.111 | = | 11 x 101 |
11.111 | = | 41 x 271 |
111.111 | = | 3 x 7 x 11 x 13 x 37 |
1.111.111 | = | 239 x 4649 |
11.111.111 | = | 11 x 73 x 101 x 137 |
111.111.111 | = | 9 x 37 x 333 667 |
1.111.111.111 | = | 11 x 41 x 271 x 9091 |
111.11.111.111 | = | 21649 x 513 239 |
111.111.111.111 | = | 3 x 7 x 11 x 13 x 37 x 101 x 9901 |
No todos los números dados aquí resultan apropiados para efectos de adivinación.
Pero los números de 3, 4, 5, 6, 8, 9 y 12 unidades, resultan útiles para este fin. Al finalizar el siguiente capítulo se darán ejemplos de cómo aplicarlos a la adivinación.
9. Pirámides numéricas
En las siguientes vitrinas de la galería admiramos otros números destacados, pertenecientes a una categoría muy particular: forman pirámides compuestas de números. Consideremos más de cerca la primera de ellas (fig. 33).
¿Cómo explicar estos resultados singulares de la multiplicación?
Para comprender esta rara peculiaridad, tomemos como ejemplo cualquiera de las filas intermedias de nuestra pirámide numérica: 123456 x 9 + 7. En lugar de la multiplicación por 9, se puede multiplicar por (10 - 1), es decir, agregar el 0 a la derecha y restar el multiplicando:
123456 x 9 + 7 = 1234560 + 7 - 123456 = 1.111.111
Basta echar una ojeada a la última substracción para comprender por qué se obtiene un resultado formado por una serie de unos.
Figura 33. Primera pirámide numérica
También podemos explicar este resultado, razonando de otra manera. Para que un número de la forma 12345… se convierta en un número de la forma 11111…, es necesario restar 1 a la segunda de sus cifras, 2 a la tercera, 3 a la cuarta, 4 a la quinta y así sucesivamente; en otras palabras, restar del número 12345, el mismo número de la forma 12345… eliminándole su última cifra, es decir, reduciéndolo a su décima parte.

Figura 34. Segunda pirámide numérica
Ahora sabemos que para obtener el resultado deseado debemos multiplicar por 10 nuestro número y sumarle la cifra que sigue en la secuencia numérica, y restarle al número resultante, el número original (multiplicar por 10 y restar el multiplicando quiere decir, multiplicar por 9).
En forma análoga se explica la formación de la siguiente pirámide numérica (fig. 34), que se obtiene de la multiplicación de una determinada serie de cifras por 8, adicionando cifras que van aumentando progresivamente.
Particularmente interesante en la pirámide, es la última fila donde, como resultado de la multiplicación por 8 y la adición del 9, tiene lugar la transformación de la serie natural total de cifras, en dicha serie, pero con una disposición inversa.
Intentemos explicar esta peculiaridad.
La obtención de los extraños resultados se aclara en el siguiente renglón:
12345 x 9 + 6 = 111111 [51]
12345 x 8 + 5 = 98765
es decir12345 x (9 - 1) + 5 + 1 - 1 = 12345 x 9 - 12345+5 = 111111 - 12346.
Pero restando del número 111111 el número 12346, compuesto de una serie de cifras crecientes, obtendremos, como bien se comprueba fácilmente, una serie de cifras decrecientes: 98765.
He aquí, finalmente, la tercera pirámide numérica, que también requiere explicación (fig. 35).
Esta pirámide es una consecuencia directa de las dos primeras. La relación se establece muy fácilmente. De la primera pirámide sabemos ya que, por ejemplo:
12345 x 9 + 6 = 111111.
Multiplicando ambos miembros por 8, tenemos:(12 345 x 8 x 9) + (6 x 8) = 888888.

Figura 35. Tercera pirámide numérica
Pero de la segunda pirámide se sabe que
12345 x 8 + 5 = 98765
ó12345 x 8 = 98760.
Vale decir,888888 = (12345 x 8 x 9) + (6 x 8)
888888 = (98760 x 9) + (5 x 9) + 3
888888 = (98760 + 5) x 9 + 3
888888 = 98765 x 9 + 3.
Finalmente uno se da cuenta de que todas estas pirámides numéricas no son tan misteriosas como parecen a primera vista. Sin embargo, algunos las consideran aún sin descifrar. Alguna vez encontré estas pirámides, impresas en un periódico alemán, acompañadas de esta nota: "Hasta el presente nadie ha podido explicar la causa de tan sorprendente singularidad..."
10. Nueve cifras iguales
El último renglón de la primera "pirámide" (fig. 33)
12 345 678 x 9 + 9 = 111.111.111
forma parte de un grupo completo de interesantes curiosidades aritméticas de nuestro museo, reunidas en una tabla (ver fig. 36).

Figura 36.
Pero ¿dónde se encuentra la singularidad de los resultados? Tengamos en cuenta que
12 345 678 x 9 + 9 = (12 345 678 + 1) x 9 = 12 345 679 x 9.
Por esta razón
12 345 679 x 9 = 111111111.
Y de aquí se obtiene directamente que
12345 679 x 9 x 2 = 222222222
12345 679 x 9 x 3 = 333333333
12345 679 x 9 x 4 = 444444444
11. Escala numérica
Es interesante determinar qué se obtiene si se multiplica por sí mismo el número 111111111, con el cual ahora estamos estrechamente relacionados. De antemano se puede sospechar que el resultado deberá ser singular, pero ¿cuál es precisamente?
Si se posee capacidad para dibujar claramente en la imaginación una serie de cifras, se llegará a encontrar el resultado que nos interesa, sin recurrir a los cálculos sobre el papel. En esencia, el proceso se reduce a efectuar una disposición adecuada de los productos parciales, porque solamente se realizan multiplicaciones de 1 x 1. La adición de los productos parciales lleva a un sencillo cálculo con unidades[52]. He aquí el resultado de este producto, único en su especie (en el cual no se recurre a la multiplicación):
| 1 | 1 | 1 | 1 | 1 | 1 | 1 | 1 | 1 | ||||||||
| x | 1 | 1 | 1 | 1 | 1 | 1 | 1 | 1 | 1 | |||||||
| 1 | 1 | 1 | 1 | 1 | 1 | 1 | 1 | 1 | ||||||||
| 1 | 1 | 1 | 1 | 1 | 1 | 1 | 1 | 1 | ||||||||
| 1 | 1 | 1 | 1 | 1 | 1 | 1 | 1 | 1 | ||||||||
| 1 | 1 | 1 | 1 | 1 | 1 | 1 | 1 | 1 | ||||||||
| 1 | 1 | 1 | 1 | 1 | 1 | 1 | 1 | 1 | ||||||||
| 1 | 1 | 1 | 1 | 1 | 1 | 1 | 1 | 1 | ||||||||
| 1 | 1 | 1 | 1 | 1 | 1 | 1 | 1 | 1 | ||||||||
| 1 | 1 | 1 | 1 | 1 | 1 | 1 | 1 | 1 | ||||||||
| 1 | 1 | 1 | 1 | 1 | 1 | 1 | 1 | 1 | ||||||||
| 1 | 2 | 3 | 4 | 5 | 6 | 7 | 8 | 9 | 8 | 7 | 6 | 5 | 4 | 3 | 2 | 1 |
Las cifras de este resultado disminuyen simétricamente, a partir del centro, en ambas direcciones.
Aquellos lectores que se hayan cansado de la visita a las maravillas numéricas, pueden abandonar aquí la "galería" y pasar a las siguientes secciones en las que se realizan trucos y se presentan los gigantes y los enanos numéricos: insisto en que pueden suspender la lectura de este capítulo y pasar al siguiente. Pero quienes deseen todavía ponerse al corriente de algunas curiosidades del mundo de los números, los invito a visitar conmigo una pequeña serie de vitrinas cercanas.
Las maravillas numéricas sobre las cuales se hablará ahora reclaman del lector, el conocimiento de las fracciones periódicas infinitas. Aquellos lectores que no estén al corriente de ellas, les propongo transformar las siguientes fracciones ordinarias; en decimales, conforme al método bien conocido:
1/4, 1/8, 1/3, 1/11
Puede comprobarse con suma facilidad que al convertir las dos primeras fracciones en decimales, se obtienen números finitos de dos y tres cifras respectivamente.
Al convertir en decimales las fracciones restantes, se obtienen series infinitas de cifras, que se repiten en un orden determinado:
1/3 = 0,3333333…
1/11 = 0,09090909090909…
A estas fracciones se les denomina periódicas, y al grupo de cifras que se repite en ellas se le llama período.
12. Anillos mágicos
¡Qué extraños anillos están expuestos en la siguiente vitrina de nuestra galería! Ante nosotros (fig. 37) hay tres anillos planos que giran libremente, cada uno dentro del otro.
En cada anillo se hallan escritas seis cifras, en el mismo orden, formando el número: 142857.
Los anillos poseen esta notable propiedad: en cualquier forma en que se giren, al sumar los dos números escritos sobre ellos (contando a partir de cualquier cifra, en la dirección de giro de las manecillas del reloj), obtenemos en todos los casos el mismo número de seis cifras (en general, el resultado será de seis cifras) ¡solo que se desplazan las cifras del número inicial, 142857! (ver fig. 37).

Figura 37. Anillos numéricos giratorios
En la posición que se muestra en la fig. 37, al sumar los números de los dos anillos exteriores, obtenemos:
| 142857 |
| + 428571 |
| 571428 |
es decir, que se obtiene otra vez la misma serie de cifras: 142857, aunque se han desplazado las cifras 5 y 7, del final al principio del número inicial.
En otras disposiciones relativas de los anillos, tenemos otros casos:
| 285714 |
| + 571428 |
| 857142 |
| 714285 |
| + 142857 |
857142 |
Y así sucesivamente.
Se presenta una excepción, caso en cual, se obtiene como resultado el número 999999:
| 714285 |
| + 285714 |
| 999999 |
(Cuando el lector termine de leer este apartado, captará otras desviaciones del resultado, respecto de la regla indicada).
También se obtiene esta misma serie de cifras, en idéntica secuencia, al efectuar la substracción de los números escritos en los anillos.
Por ejemplo:
| 428571 | 571428 | 714285 | ||
| - 142857 | - 285714 | - 142857 | ||
| 285714 | 285714 | 571428 |
Se presenta una excepción cuando se hacen coincidir los números de dos anillos adyacentes; en este caso, por supuesto, la diferencia es igual a cero.
Pero esto no es todo. Al multiplicar el número 142857 por 2, 3, 4, 5 ó por 6, se obtiene otra vez la misma serie de cifras, presentándose el desplazamiento circular de uno o varios dígitos:
142 857 x 2 = 285 714
142 857 x 3 = 428 571
142 857 x 4 = 571 428
142 857 x 5 = 714 285
142 857 x 6 = 857 142
¿Qué condición rige estas enigmáticas particularidades de nuestro número?
Hallamos la clave, si prolongamos un poco la última tabla, multiplicando nuestro número por 7, obteniendo como resultado el número: 999999. Vale decir, que el número 142 857 no es otra cosa que la séptima parte de 999999 y, por consiguiente, la fracción 142857/999999 = 1/7.
En efecto, si se transforma 1/7 en fracción decimal se obtiene:
1/7 = 0,142 857...
es decir que1/7 = 0,(142 857)
Nuestro enigmático número es el periodo de una fracción periódica infinita que se obtiene al transformar 1/7 en decimal. Es comprensible ahora, por qué en al duplicar, triplicar, etc. este número, se produce el desplazamiento de sus cifras. En efecto, al multiplicar este número por 2 se hace igual a 2/7 y por lo tanto, equivalente a transformar en fracción decimal, no 1/7, sino 2/7. Al transformar la fracción 2/7 a decimal, se observa que la cifra 2 hace parte del residuo que obtuvimos al transformar 1/7 a decimal; resulta evidente que se deberá repetir la serie precedente de cifras del cociente, empezando con otra cifra; en otras palabras, se obtendrá el mismo periodo, solo que tendrá sus cifras desplazadas. Sucede lo mismo al multiplicar por 3, por 4, por 5, y por 6, es decir, por todos los números que se obtienen en los residuos de estas divisiones. En la multiplicación por 7 deberemos obtener la unidad, o lo que es lo mismo 0,9999...
Se explican los interesantes resultados de adición y substracción de los números de los anillos, porque el período de la fracción 1/7, es 142857. En efecto, ¿qué hacemos al girar el anillo unas cuantas cifras?. Pasemos el grupo de cifras del principio al final, es decir, de conformidad con lo indicado, multipliquemos el número 142857 por 2, 3, 4, etc. Por lo tanto, todas las operaciones de adición y substracción de los números escritos en los anillos, llevan a sumar y restar las fracciones 1/7, 2/7, 3/7 y así sucesivamente. Obtenemos como resultado, fracciones de un séptimo, es decir, que conseguimos de nuevo nuestra serie de cifras 142857 desplazadas en círculo. Se excluye de acá solo el caso en el que la suma de fracciones de un séptimo, es mayor o igual que 1.
Pero no se excluyen totalmente los últimos casos: ciertamente no dan un resultado idéntico a los ya vistos, pero guardan cierta relación con ellos. Prestemos atención a los resultados obtenidos al multiplicar nuestro enigmático número por números mayores que 7, es decir por 8, por 9, etc.
Podemos efectuar la multiplicación de 142857 por 8, así por ejemplo: multiplicamos el número por 7, y agregamos nuestro número al producto obtenido (es decir, á 999999):
142 857 x 8 = 142 857 x 7 + 142 857 = 999999 + 142 857 =
1000 000 - 1 + 142 857 = 1000 000 + (142 857 - 1).
El resultado final 1.142.856, difiere únicamente del multiplicando 142857, en que tiene antepuesta una unidad, y la última cifra se ha reducido en una unidad[53]. De acuerdo a una regla similar se obtiene el producto de 142857 por todo número mayor que 7, como fácilmente se observa en las siguientes líneas:| 142 857 x 8 | = | (142 857 x 7 x 1) + (142 857 x 1) | = | 1 142 856 |
| 142 857 x 9 | = | (142 857 x 7 x 1) + (142 857 x 2) | = | 1 285 713 |
| 142 857 x 10 | = | (142 857 x 7 x 1) + (142 857 x 3) | = | 1 428 570 |
| 142 857 x 16 | = | (142 857 x 7 x 2) + (142 857 x 2) | = | 2 285 712 |
| 142 857 x 39 | = | (142 857 x 7 x 5) + (142 857 x 4) | = | 5 571 423 |
La regla general es la siguiente: para multiplicar 142857 por cualquier número, se multiplica 142857 por el residuo de la división del multiplicador entre 7; se antepone a este producto el número de veces que cabe el 7 en el multiplicador (o sea el cociente de la división), al resultado de esta operación se le resta este mismo cociente[54]. Supóngase, por ejemplo, que deseamos multiplicar 142857 por 88. El multiplicador 88 dividido entre 7, da 12 en el cociente y 4 en el residuo; el resultado de las operaciones indicadas es:
142857 x 4 = 571428 (se multiplica 142857 por el residuo, 4)
12571428 (se antepone el cociente de la división, 12)
12571428 - 12 = 12571416 (se le resta el cociente, 12)
O sea que: 142857 x 88 = 12571416
De la multiplicación 142857 x 365 (365 dividido entre 7, da 52 en el cociente y 1 en el residuo) obtenemos:
142857 x 1 = 142857 (se multiplica 142857 por el residuo, 1)
52142857 (se antepone el cociente de la división, 52)
52142857 - 52 = 52142805 (se le resta el cociente, 52)
O sea que: 142857 x 365 = 52142805
Aprendiendo esta sencilla regla y recordando los resultados de la multiplicación de nuestro singular número por los multiplicadores del 2 al 6 (lo que es muy fácil, solo es necesario recordar con qué cifras comienzan), se puede sorprender a los no iniciados con la rapidez para multiplicar un número de seis cifras; y para no olvidar este número maravilloso, observemos que él procede de 1/7, o lo que es lo mismo de 2/14: tenemos las tres primeras cifras, de nuestro número: 142. Las tres restantes se obtienen restando las tres primeras, del número 999:
| 999 |
| - 142 |
857 |
Ya hemos tenido que ver con estos números cuando nos pusimos al corriente de las propiedades del número 999. Recordando lo indicado allí, nos damos cuenta de que el número 142857 es el resultado de la multiplicación de 143 por 999:
142857 = 143 x 999
Pero 143 = 13 x 11. Recordando lo visto anteriormente acerca del número 1001, tenemos que este número es igual a 7 x 11 x 13; por lo tanto, sin efectuar operaciones, podemos predecir el resultado de la multiplicación 142857 x 7:
142857 x 7 = 143 x 999 x 7 = 999 x 11 x 13 x 7 = 999 x 1001 = 999999
(todas estas transformaciones, claro está, se pueden efectuar mentalmente).
13. Una familia fenomenal
El número 142857 que acabamos de tratar es uno de los miembros de una familia completa de números que poseen las mismas propiedades. He aquí uno de tales números: 0 588 235 294 117 647 (es necesario anteponer el 0). Si se multiplica este número por 4, por ejemplo, obtenemos aquella misma serie de cifras, sólo que las cuatro primeras cifras estarán colocados al final:
0 588 235 294 117 647 x 4 = 2 352 941 176 470 588.
Disponiendo las cifras de este número sobre varios anillos móviles (fig. 38), como en el caso anterior, al sumar los números, dígito a dígito, de dos anillos obtendremos el mismo número, sólo que desplazado en el orden circular:
| 0 588 235 294 117 647 |
| + 2 352 941 176 470 588 |
2 941 176 470 588 235 |
Naturalmente, las tres series que se disponen en los anillos, son idénticas:

Figura 38
De la substracción de los números de dos anillos, se obtiene otra vez el mismo círculo de cifras:
| 2 352 941 176 470 588 |
| - 0 588 235 294 117 647 |
| 1 764 705 882 352 941 |
Finalmente, este número, igual que el 142857 que consideramos antes, consta de dos mitades: las cifras de la segunda mitad son el complemento a 9 de las cifras de la primera mitad.
Tratemos de hallar la clave para encontrar todos los números que tengan estas características especiales.
Fácilmente nos damos cuenta que esta larga serie numérica resulta ser pariente cercano del número 142 857; este número representa el período de una fracción infinita igual a 1/7; seguramente el número 0 588 235 294 117 647 es el período de otra fracción; en efecto, nuestra larga serie de cifras no es otra cosa, que el período de la fracción infinita que se obtiene al transformar la fracción simple 1/17, a decimal:
1/17 = 0 (0 588 235 294 117 647).
Es por esto que al multiplicar este número por sus factores del 1 al 16, se obtiene la misma serie de cifras, en la cual solo se transfieren una o varias cifras iniciales, al final del número. Y recíprocamente, al transferir una o varias cifras de la serie, del comienzo al final, aumentamos varias veces el número (de 1 a 16 veces, inclusive). Sumando dos anillos que se han girado el uno con relación al otro, se obtiene la suma de dos números cuyos valores son múltiplos del valor inicial, - que uno de ellos sea, por ejemplo, tres veces el valor inicial y el otro, diez veces este valor-; naturalmente, se obtiene el mismo anillo de cifras, debido a que la multiplicación por 3 + 10, es decir, por 13, solo genera un ligero desplazamiento del grupo de cifras dispuestas de forma circular.Con ciertas posiciones de los anillos se obtienen, sin embargo, sumas que difieren un poco de la serie inicial. Si, por ejemplo, giramos los anillos de tal forma que generen un sumando equivalente al número inicial multiplicado por seis, y el otro sumando equivalente al número inicial multiplicado por 15, en la suma se deberá obtener el número inicial multiplicado por 6 + 15 = 21. Y tal producto, como se puede observar, difiere del producto obtenido al multiplicar el número por un factor menor que 17. En efecto, nuestro número corresponde al período de 1/17; al multiplicarse por 17, el número deberá dar 16 veces mayor (es decir, tantos desplazamientos como cifras existen en el período de nuestra fracción periódica), o el 1 seguido de 17 ceros, menos 1. Por esta razón, al multiplicar por 21, es decir por 4 + 17, deberemos obtener nuestro número cuadruplicado, y al resultado obtenido le restamos 1. El número cuadruplicado empieza con las cifras que se obtienen en la transformación de la fracción simple 4/17 en decimal:
4 ÷ 17 = 0,23...
Se conoce el orden de las cifras restantes: 5294... Vale decir, que nuestro número, multiplicado por 21 será:
2 352 941 176 470 587.
Se procede de igual manera al sumar las cifras de los círculos colocadas en una determinada posición. En la substracción de los anillos numéricos, en este caso, no se puede.Existe una infinidad de números, semejantes a los dos que hemos analizado.
Ellos constituyen una familia completa, puesto que están ligados por un origen común: a partir de la transformación de las fracciones simples en fracciones decimales infinitas. Pero no todo período de una fracción decimal tiene la interesante propiedad, anteriormente descrita, de generar un desplazamiento circular de las cifras, al efectuar una multiplicación. Sin entrar en sutilezas teóricas, observamos que esto tiene lugar, solamente para aquellas fracciones en las que el número de cifras de su periodo es menor en una unidad, que el denominador de la fracción simple correspondiente.
Así, por ejemplo:
1/7 da en el período 6 cifras
1/17 da en el período 16 cifras
1/19 da en el período 13 cifras
1/23 da en el período 22 cifras
1/29 da en el período 28 cifras
Si no se satisface la condición que acabamos de indicar (relativa al número de cifras del período), entonces el correspondiente período da un número que no pertenece a la interesante familia numérica que nos ocupa. Por ejemplo, 1/13 da una fracción decimal con un período de seis (y no de 12) cifras:
1 /13 = 0,076923
Multiplicando por 2, obtenemos un número completamente distinto.
2 /13 = 0,153846
¿Por qué? Porque entre las cifras del residuo de la división 1/13 no estaba el número 2. De los diferentes números del residuo, existen tantos como cifras hay en el periodo, es decir, 6; de los diversos multiplicadores para la fracción 1/13 tenemos 12, por consiguiente, no todos los factores estarán entre las cifras del residuo, sino solo 6. Resulta fácil verificar que estos factores son: 1, 3, 4, 9, 10, 12. La multiplicación por estos 6 números da una nueva posición circular (076 923 x 3 = 230 769), no ocurriendo así en la multiplicación por los números restantes.
Esta es la razón por la cual de 1/13 se obtiene un número parcialmente útil para el "anillo mágico".
14. Curiosidades aritméticas
100 = 91 + 5823/647Contenido:
100 = 94 + 1578/264
100 = 96 + 1428/357
1. El arte del calculista hindú
2. Sin abrir los monederos
3. Adivinar el número de cerillas
4. "lectura de pensamientos" conforme a cerillas
5. Sistema de pesas ideal
6. Predecir la suma de números no escritos
7. Sorpresa aparente
8. División instantanea
9. La cifra favorita
10. Adivinar la fecha de nacimiento
11. Una de las "operaciones favoritas" de Magnitski
12. Adivinación de números
13. Curiosidades aritméticas
Los trucos aritméticos son trucos sin engaño, honestos. Aquí no se pretende engañar, ni se trata de desviar la atención del espectador. Para realizar un truco aritmético no se necesita una milagrosa destreza de manos, ni una sorprendente agilidad de movimientos, ni cualesquiera otras capacidades artísticas que, algunas veces, requieren varios años de practica. Todo el secreto del truco aritmético consiste en el estudio minucioso y la utilización de las propiedades interesantes de los números, con un íntimo conocimiento de sus particularidades. Para quien conoce la clave de un truco, este le resulta sencillo y claro, mientras que, para quien desconoce la aritmética, una operación ordinaria parece una especie de truco.
Antiguamente, cuando la capacidad de efectuar operaciones aritméticas ordinarias con grandes números, conocidas ahora por todo escolar, constituía el arte de unos cuantos, para los demas se mostraba como una capacidad excepcional. En la antigua narración hindú "Nal y Damayanti"[55] encontramos un eco de este punto de vista sobre las operaciones aritméticas.
Nal, que sabía manejar perfectamente caballos, acompañado en una ocasión del virtuoso calculista Ritupern pasó delante del frondoso arbol de Vibitaka. De repente el contador vio a los lejos el arbol Vibitaka de espeso follaje. "Escucha, dijo, la tierra nadie tiene todos los conocimientos: en el arte de guiar caballos tú eres el primero, en cambio, yo lo soy en el arte de calcular..."
Y en demostración de su arte el calculista instantaneamente determinó el número de hojas del frondoso Vibitaka. Al pedirle Nal, sorprendido, que le confiriera el secreto de su arte, Ritupern accedió.
"...lo que había hecho Ritupern, tal y como le dijo a Nal, consistía en contar las hojas de una rama y el número de ramas del Vibitaka, y multiplicar los números..."El secreto arte consistía, como puede suponerse, en que el calculo directo de las hojas, que requiere cierto tiempo y paciencia, se substituía por el calculo del número de hojas de una sola rama y, por la multiplicación de este número por el número de ramas de cada ramificación, y después por el número de ramificaciones del arbol (suponiendo que todas las ramificaciones estaban conformadas por idéntico número de ramas, y las ramas por hojas).
La clave de la generalidad de los trucos aritméticos es tan sencilla como el secreto del "truco" de Ritupern. Basta sólo saber en qué consiste el secreto del truco, e inmediatamente se aprende el arte de realizarlo, a la manera que aprendió el legendario Nal por el sorprendente arte del calculo rapido. En la base de todo truco aritmético se halla una determinada particularidad interesante de los números, por lo que el conocimiento de trucos semejantes resulta tanto instructivo, como recreativo.
2. Sin abrir los monederos
El prestidigitador esparce sobre la mesa un montón de monedas que suman 3 rublos, y presenta el problema: distribuir el dinero en 9 monederos, de tal modo que se pueda pagar cualquier suma hasta 3 rublos, sin abrir los monederos.

Figura 39
Obsérvese: el propio prestidigitador se pone a trabajar. Distribuyendo las monedas en los monederos, y sujetando a cada uno, una etiqueta con la designación de la cantidad colocada (ver fig. 39), propone que se determine cualquier suma que no exceda los 3 rublos.
Se nombra la primera que viene a la mente: 2 rublos 69 kopeks.
Sin tardanza, el prestidigitador elige y entrega 4 monederos. Al abrirlos se halla:
| en uno en otro en un tercero en un cuarto Total | 64 k 45 k 1r. 28 k 32 k 2r. 69 k |
Uno esta predispuesto a sospechar del prestidigitador en cuanto al habil cambio de monederos, y reclama la repetición del truco. Para esto, se ponen todos los monederos bajo nuestra custodia, y cuando se nombra una nueva suma, por ejemplo, 1 rublo, ó 7 kopeks, ó 2 r. 93 k., aquel indicara rapidamente cuales de los monederos, que se tienen bajo el brazo se deberan tomar, para que se forme la suma enunciada. A saber:Para un rublo, 6 monederos (32 kopeks, 1k., 45k., 16k., 2 k., 4 k.)Para 7 kopeks, 3 monederos (1 k., 2 k., 4 k.)Para 2 rublos 93 kopeks, 6 monederos (1r. 28 k., 32 k., 8 k., 45 k., 64 k., 16 k.)Conforme al deseo del prestidigitador, los monederos siempre resultan adecuados para constituir cualquier suma nombrada (hasta 3 rublos). ¿Cómo se explica esto?El secreto radica en distribuir el dinero en la siguiente forma: 1 k., 2 k., 4 k., 8 k., 16 k., 32 k., 64 k., 1 r. 28 k. el dinero restante en el último monedero, es decir, 45 k.,
300 - (1 + 2 + 4 + 8 + 16 + 32 + 64 + 128) = 300 - 255 = 45 k.
Con los primeros 8 monederos, como se comprueba facilmente, se puede formar cualquier suma desde 1 hasta 255 kopeks; si se da una suma mayor, entonces se entrega el último monedero con 45 kopeks, y la diferencia se forma con los primeros ocho monederos.Se puede verificar la utilidad de tal agrupamiento de números haciendo bastantes ensayos, y convencerse de que a partir de ellos se puede efectivamente formar todo número que no exceda de 300. Pero quiza interese también por qué razón la serie de números 1, 2, 4, 8, 16, 32, 64, etc. posee tan extraordinaria propiedad. Es facil de comprender esto, si se recuerda que los números de nuestra serie representan potencias del número 2:
20, 21, 22, 23, 24, etc.[56]
y por consiguiente se pueden considerar como órdenes del sistema binario de numeración; y puesto que todo número se puede escribir en el sistema binario, entonces es posible para todo número el que se forme en base a una suma de potencias de 2, es decir, de números de la serie 1, 2, 4, 8, 16, etc. Y cuando se toman monedas para formar, en base a ellas, el contenido del número dado, en esencia, se expresa dicho número en el sistema binario de numeración. Por ejemplo, el número 100 se forma facilmente, si se le representa en el sistema binario:
3. Adivinar el número de cerillas
La propiedad antes descrita, del sistema binario, se puede utilizar también para el siguiente truco: Propóngase a cualquiera, colocar sobre una mesa una caja de cerillas, incompleta y que, en línea con ella y a su izquierda, se coloquen 7 papelitos de forma rectangular.

Figura 40. Adivinación del número de cerillas. Acciones sucesivas del participante
Al final se restituyen a la caja todas las cerillas, salvo las que se hallan junto a los papelitos (ver figs. 40 y 41).

Figura 41. Continuación del truco: aspecto final de los papelitos
¿Cómo se puede adivinar el número inicial de cerillas en la caja, con base en los papelitos vacíos y las cerillas dispuestas al azar?Estos papelitos "vacíos", en el caso dado, son bastante dicientes: conforme a ellos y a las cerillas dispuestas al azar, se puede leer literalmente el número buscado, porque esta escrito sobre la mesa, en el sistema binario de numeración. Aclaremos esto con un ejemplo.
Supóngase que el número de cerillas en la caja es 66. En los esquemas de las Figs. 40 y 41 se muestran las operaciones sucesivas con ellas y el aspecto final de los papelitos.
No es difícil darse cuenta de que las operaciones efectuadas con los cerillas, en esencia, son las mismas que hubiésemos realizado de haber querido determinar el número de cerillas de la caja, en el sistema binario de numeración; el esquema final representa directamente este número en el sistema binario si los papelitos vacíos se adoptan como ceros, y los papeles con un cerilla al lado, como unidades. Leyendo el esquema de izquierda a derecha, obtenemos:
| 1 | 0 | 0 | 0 | 0 | 1 | 0 |
| 64 | 32 | 16 | 8 | 4 | 2 | 1 |
en el sistema decimal:
64 + 2 = 66
Si hubiera 57 cerillas, los esquemas serían los correspondientes a las figuras 42 y 43.
Figura 42. Otro caso de adivinación. Principio del truco

Figura 43. Final del truco
| 1 | 1 | 1 | 0 | 0 | 1 |
| 32 | 16 | 8 | 4 | 2 | 1 |
Y en el sistema decimal:
32 + 16 + 8 + 1 = 57.
4. "Lectura de pensamientos" con base en las cerillasLa tercera variante del mismo truco representa, en sí, un método singular de adivinación de un número pensado, conforme a cerillas. El que piense el número, debera dividirlo mentalmente por la mitad; debera dividir esta mitad obtenida otra vez por la mitad, y así sucesivamente (de un número impar se quita una unidad), y en cada división debe colocar ante sí una cerilla, conforme a lo largo de la mesa si divide un número par, y transversalmente si llega a dividir un número impar. Al final de la operación se obtendra un dibujo como el mostrado en la Fig. 44.
Se fija la mirada en esta figura, y se nombra correctamente el número pensado: 137 ¿Cómo se llega a saber?

Figura 44. Adivinación del número pensado conforme a cerillas: lo que hace el que propone

Figura 45. El secreto del truco: lo que hace el adivinador

Figura 46. ¿Qué número esta representado aquí?

Figura 47. Respuesta al problema de la figura 46
El mismo resultado se puede obtener en otra forma considerando que la cerilla que se halla en posición horizontal, debera corresponder en el sistema binario al cero (la división entre 2 no da residuo), y el que se halla en posición vertical, a la unidad.
Así, en el primer ejemplo (figs. 44 y 45) tenemos el número (leyendo el dibujo de derecha a izquierda)
| 1 | 0 | 0 | 0 | 1 | 0 | 0 | 1 |
| 128 | 64 | 32 | 16 | 8 | 4 | 2 | 1 |
o, en el sistema decimal:
128 + 8 + 1 = 137.
Y en el segundo ejemplo (fig. 46) el número pensado se representa en el sistema binario en la forma siguiente:| 1 | 0 | 1 | 0 | 0 | 1 | 1 | 0 | 0 | 0 |
| 512 | 256 | 128 | 64 | 32 | 16 | 8 | 4 | 2 | 1 |
o en el sistema decimal:
512 + 128 + 16 + 8 = 664.
Tratese de conocer qué número se pensó si se ha obtenido el dibujo de la Fig. 48.
Figura 48. ¿Qué número esta representado en esta figura?
32 + 4 + 1 = 37
Es necesario observar que la unidad obtenida en la última división, debera ser indicada, también, por una cerilla en posición vertical.5. Sistema de pesas ideal
Quiza en ciertos lectores haya surgido una pregunta: ¿por qué empleamos el sistema binario para la realización de las experiencias antes descritas? Si se puede representar cualquier número en cualquier sistema, entre otros en el sistema decimal, ¿qué explica aquí la predilección por el binario?Esto se debe a que en este sistema, ademas del cero, se utiliza sólo una cifra mas: la unidad, y por consiguiente, el número se forma a partir de diferentes potencias de 2, tomando una cada vez. Si en el truco con los monederos distribuyéramos el dinero, por ejemplo, en sistema quinario, podría formarse cualquier suma sin abrir los monederos, pero solo en el caso en que cada uno de los monederos que tuviéramos se repitiera no menos de 4 veces (en el sistema quinario se emplean, ademas del cero, 4 cifras).
Por otra parte, ocurren casos en los que, para estos menesteres, es mas conveniente usar no el binario, sino el ternario, con una ligera modificación. Aquí viene al caso el antiguo "problema sobre las pesas", por cierto muy famoso, que también puede servir de tema para un truco aritmético.
Supóngase que uno se ha propuesto inventar un juego de 4 pesas, por medio de las cuales sea posible pesar cualquier número entero de kilogramos, desde 1 hasta 40. El sistema binario determina el juego:
1 kg, 2 kg, 4 kg, 8 kg, 16 kg.
con el que se pueden pesar todas las cargas comprendidas entre 1 y 31 kg Pero esto, evidentemente, no satisface las condiciones requeridas, ni por lo que se refiere al número, ni por lo referente a la carga límite (31 kg en lugar de 40 kg). Por otro lado, no se ha empleado aquí la posibilidad de colocar pesas, no solamente sobre un platillo de la balanza, sino también sobre el otro; es decir, ademas de que se pasa por la suma de pesas, también se pasa por su diferencia. Lo último da combinaciones mucho mas diversas, por lo que uno se pierde completamente en búsquedas, no pudiendo poner aquellas en cualquier sistema.Si no se tiene la suerte de caer en el camino correcto, estara uno preparado dudosamente, en general, para la resolución del problema con un número pequeño de pesas, como es cuatro.
Un iniciado sale de esta dificultad, con una sencillez pasmosa, proponiendo las 4 siguientes pesas (Fig. 49)
1 kg, 3 kg, 9 kg, 27 kg

Figura 49. Con la ayuda de estas cuatro pesas se puede pesar cualquier carga comprendida entre 1 y 40 kilogramos.
No proporcionamos ejemplos, porque es facil que cada uno por sí mismo, se dé cuenta de la completa utilidad de tal, juego de pesas, para nuestro objetivo. Analicemos con detenimiento el por qué precisamente la serie indicada posee esta propiedad. Probablemente[57], los lectores ya observaron que estos números son la serie de potencia con base 3:
30, 31, 32, 33
Así pues, habremos de recurrir al sistema ternario de numeración. Las pesas son cifras de este sistema ternario. ¿Pero cómo puede aprovecharse dicho sistema, cuando el peso buscado se obtiene como una diferencia de pesos?; ¿y cómo se evita el empleo de pesas duplicadas (en el sistema ternario, ademas del cero, se emplean dos cifras: 1 y 2)?Lo último se logra introduciendo cifras "negativas". El hecho conduce, sin mas, a que en lugar de la cifra 2 se emplee 3 - 1, es decir, una unidad de orden superior, a la cual se le resta una unidad de orden inferior. Por ejemplo, en nuestro sistema ternario modificado el número 2 no se denota por el 2, sino por elAhora esta claro que, si cualquier número se puede representar en el sistema ternario por medio del cero (es decir, por el signo que indica "carencia de número") y de una sola cifra, agregando o quitando una unidad, entonces sumando o restando los números 1, 3, 9, 27 se pueden formar todos los números desde el 1 hasta el 40. En verdad, escribimos todos estos números colocando pesas en lugar de cifras. Al pesar un cuerpo, las pesas a sumar se colocan en un platillo, y las pesas a restar se colocan en el otro platillo junto al objeto a pesar. Al efectuar esta resta se obtiene el peso del artículo colocado en la balanza. El cero indica la ausencia de pesas.
| 1 | 1 | 11 | 9 + 3 - 1 | 21 | 27 + 3 - 9 | 31 | 27 + 3 + 1 |
| 2 | 3 - 1 | 12 | 9 + 3 | 22 | 27 + 3 + 1 - 9 | 32 | 27 + 9 - 3 - 1 |
| 3 | 3 | 13 | 9 + 3 + 1 | 23 | 27 - 3 - 1 | 33 | 27 + 9 - 3 |
| 4 | 3 + 1 | 14 | 27 - 9 - 3 - 1 | 24 | 27 - 3 | 34 | 27 + 9 + 1 - 3 |
| 5 | 9 - 3 - 1 | 15 | 27 - 9 - 3 | 25 | 27 + 1 - 3 | 35 | 27 + 9 - 1 |
| 6 | 9 - 3 | 16 | 27 + 1 - 9 - 3 | 26 | 27 - 1 | 36 | 27 + 9 |
| 7 | 9 + 1 - 3 | 17 | 27 - 9 - 1 | 27 | 27 | 37 | 27 + 9 + 1 |
| 8 | 9 - 1 | 18 | 27 - 9 | 28 | 27 + 1 | 38 | 27 + 9 + 3 - 1 |
| 9 | 9 | 19 | 27 + 1 - 9 | 29 | 27 + 3 - 1 | 39 | 27 + 3 + 9 |
| 10 | 9 + 1 | 20 | 27 + 3 - 9 - 1 | 30 | 27 + 3 | 40 | 27 + 9 + 3 + 1 |
Tabla de pesos. En un platillo de la balanza se coloca el objeto a pesar y las pesas marcadas con signo "-". En el otro platillo se colocan las pesas con signo "+". Los valores resaltados indican el peso del artículo colocado en la balanza. (N. del E.)Como bien se sabe, este sistema no se emplea en la practica. Por doquier en el mundo, donde se ha adoptado el sistema métrico decimal de medidas, se usa un juego de pesas de 1, 2, 2, 5 unidades, y no de 1, 3, 9, 27, aunque con el primero solo se pueda pesar una carga maxima de 10 unidades, y en el segundo, una carga maxima de 40 unidades. Tampoco se usó el juego de pesas 1, 3, 9, 27 cuando aún no se había adoptado el sistema métrico decimal.
¿Por qué razón no se ha empleado en la practica, este sistema de pesas que parece ser el mas perfecto?La razón es que este sistema ideal de pesas solo es funcional en el papel, pues se dificulta su empleo en la practica. Si se pesara solamente un número dado de unidades de peso, por ejemplo, 400 gr. de mantequilla o, 2500 gr. de azúcar, se podría emplear en la practica un juego de pesas de 100, 300, 900, 2700 gr. (aunque se tendría que buscar pacientemente la combinación adecuada de las pesas cada vez que se efectuara un pesaje). Pero cuando se tenga que determinar cuanto pesa una mercancía dada, semejante sistema de pesas resulta poco practico: aquí, cada que se agrega una nueva pesa al juego suministrado, se cambia totalmente la combinación anterior por otra nueva. Bajo tales condiciones, el pesaje se convierte en una labor extremadamente lenta y bastante ardua. No todos saben que, por ejemplo, para obtener 19 kg de peso, se deben colocar sobre un platillo las pesas de 27 kg y 1 kg, y sobre el otro platillo, la de 9 Kg; para obtener 20 kg de peso, se deben colocar sobre un platillo las pesas de 27 kg y 3 kg, y sobre el otro platillo, las de 9 Kg y 1 Kg. En cada pesaje se debe resolver un rompecabezas semejante a estos. En cambio, el sistema de pesas 1, 2, 2, 5, no conduce a tales dificultades.
6. Predecir la suma de números no escritos
Uno de los "números" mas sorprendentes, entre los realizados por el prodigioso calculista soviético R. S. Arrago[58], era la adición con la rapidez del rayo, sólo le bastaba con dar una ojeada a una columna completa de números de varias cifras para anunciar inmediatamente el resultado de su suma.
¿Pero qué decir sobre un hombre que puede escribir la suma antes de que le sean nombrados todos los sumandos?Naturalmente se trata de un truco, y se efectúa en la siguiente forma:El adivinador propone escribir cualquier número de varias cifras; echando una mirada a este primer sumando, el adivinador escribe en un trozo de papel la suma futura de tres sumandos, y entrega el resultado a alguien entre los asistentes, quien lo debe mantener en secreto. Después de esto, pide al mismo participante, o a otro entre el público presente, escribir un nuevo sumando cualquiera. Y seguidamente, el adivino escribe rapidamente el tercer sumando. Se suman los tres números escritos y se obtiene el resultado previamente escrito por el adivinador, en el papel que se ha guardado en depósito.
Si por ejemplo, Si el primer número elegido fue el 83267, entonces el adivinador escribe la suma futura: 183266. Si después se elige, supongamos, el 27935 y el adivinador escribe el tercer sumando 72064, entonces se tiene:
| I | Alguien | 83.267 |
| III | Alguien | + 27.935 |
| IV | El adivinador | 72.064 |
| II | Suma | 183.266 |
Se obtiene exactamente la suma predicha, aún cuando el adivinador no podía saber cual sería el segundo sumando. El adivinador puede predecir también, una suma de 5 ó 7 sumandos, pero entonces él mismo escribe dos o tres de ellos. No se pueden tener sospechas sobre algún cambio del papel con el resultado, puesto que hasta el último momento se conserva en el bolsillo del depositario. Evidentemente, el adivinador emplea una cierta propiedad de los números, desconocida por el público. ¿Cual es?El adivinador hace uso de la propiedad de que al sumar 5 nueves (99.999) a un número de cinco cifras, este número se incrementa en 100.000 - 1, es decir, antepuesta, a él aparece una unidad, y la última cifra se ve disminuida en una unidad. Por ejemplo:
| 83.267 |
| + 99.999 |
| 183.266 |
Esta suma, es decir, la suma del primer número escrito por nosotros y de 99 999, el adivinador la escribe sobre el trozo de papel que depositara con el resultado futuro de la adición; y para que dicho resultado se justifique, el adivino mira nuestro segundo sumando, y elige su tercer sumando en tal forma que, conjuntamente con el segundo, constituya el 99 999: es decir, resta de 9 cada cifra del segundo sumando. Estas operaciones, facilmente las puede uno observar en el ejemplo anterior y también en los siguientes:
| I | Alguien | 379.264 |
| III | Alguien | 4.873 |
| IV | El adivinador | 995.126 |
| II | Suma | 1.379.263 |
| I | Alguien | 9.035 |
| III | Alguien | 5.669 |
| IV | El adivinador | 4.330 |
| II | Suma | 19.034 |
El truco resulta mas impresionante, cuando participan varias personas para proponer diversos sumandos. Después del primer sumando, por ejemplo 437.692, el adivinador ya predice la suma de los cinco números, y escribira 2.437.690 (aquí se agregara dos veces 999.999, es decir, 200 000 - 2). Todo lo demas es claro debido al siguiente esquema:
| I | Uno escribió | 437.692 |
| III | Otro escribió | 822.541 |
| V | Un tercero escribió | 263.009 |
| IV | El adivinador escribió | 177.458 |
| VI | El adivinador escribió | 736.990 |
| II | Suma | 2.437.690 |
Tomemos otro ejemplo:
| I | Uno escribió | 7.400 |
| III | Otro escribió | 4.732 |
| V | Un tercero escribió | 9.000 |
| IV | El adivinador escribió | 5.267 |
| VI | El adivinador escribió | 999 |
| II | Suma | 27.398 |
A los lectores les resultara interesante ahora, conocer cómo esta descrito el mismo truco por el escritor soviético Shishkov[59], en su novela "Los extraños":
"Ivan Petrovich arrancó una hojita de su cuaderno de notas y dandosela a un chico, le preguntó.En la novela, el truco no va acompañado de la solución, pero para uno, es totalmente comprensible su sencilla aritmética.
- ¿Tienes un lapiz? Escribe un número cualquiera.
El niño escribió. Ivan Petrovich vio el número, y escribió en otro papel un número mas.
- Ahora, escribe otro debajo de él. ¿Ya lo escribiste? Ahora yo escribiré un tercer número. Ahora suma los tres números.
En dos minutos quedó lista la respuesta verificada. El ingeniero Voshkin (sobrenombre del niño) mostró su calculo:
46.853 + 21.398 78.601 146.852
- Ciento cuarenta y seis mil ochocientos cincuenta y dos, Ivan Petrovich.
- Tardaste mucho tiempo para efectuar la suma. Aquí tengo la respuesta. Yo también la sabía, desde que tú escribiste el primer número. Hela aquí. Toma mi papel.
El niño vio incrédulo el papel en que Ivan Petrovich había escrito el resultado, y era exactamente el 146.852".
7. Sorpresa aparente
En el año 1916, durante el apogeo de la guerra imperialista, algunos periódicos de la neutral Suiza se entretenían con un "acertijo" aritmético sobre el destino futuro de los emperadores de Alemania y Austria. "Los profetas" sumaban las siguientes columnas de números:
| Para Guillermo II | Para Francisco José | |
| año de nacimiento | 1859 | 1830 |
| año de llegada al trono | 1888 | 1848 |
| años de reinado | 28 | 68 |
| edad | 57 | 86 |
| Suma | 3832 | 3832 |
En la coincidencia de las sumas, "los profetas" vieron un sombrío augurio para los personajes coronados, y puesto que cada total representaba en sí, el doble del año 1916, a ambos emperadores se les predijo la ruina, precisamente en dicho año.
Sin embargo, desde el punto de vista matematico, la coincidencia de resultados no es sorprendente. Basta modificar un poco el orden de los sumandos, y resulta comprensible el por qué ellos dan en el total, el doble del año 1916. En efecto, repartamos los sumandos en la siguiente forma:
Año de nacimiento
edad
año en que llegó al trono
años de reinado.
Puesto no todas las personas se dan cuenta de lo que hemos indicado aca, se puede aprovechar este resultado para realizar un truco aritmético recreativo. Propóngase a cualquiera escribir, a escondidas nuestras, cuatro números:
Año de nacimiento
Año de ingreso a la escuela (a la empresa, etc.)
Edad
Años que lleva estudiando en la escuela (trabajando en la empresa, etc.)
8. División instantanea
Entre gran cantidad y variedad de trucos de este género, describamos uno que se basa en una propiedad ya conocida por nosotros, aquel en el cual el multiplicador se compone de una serie de nueves: cuando se multiplica por esta cantidad, un número de varias cifras, se obtiene un resultado que consta de dos partes: la primera de ellas es el número que hemos multiplicado, disminuido en una unidad; la segunda es la que se obtiene al restar del multiplicador antes indicado, este número que se acaba de obtener, correspondiente a la primera mitad del resultado final. Por ejemplo:
247 x 999 = 246.753
1.372 x 9999 = 13.718.628
La razón de esto se explica de forma sencilla, en el siguiente renglón:247 x 999 = 247 x (1000 - 1) = 247.000 - 247 = 246.999 - 246.
Aprovechando esta propiedad, se propone a un grupo de camaradas efectuar la división de números de varias cifras: a uno 68 933 106 ÷ 6894, a otro 876 432 348 ÷ 9999, a un tercero 543 456 ÷ 544, a un cuarto 12 948 705 ÷ 1295, etc., y uno toma la delantera a todos ellos, realizando los mismos problemas. Y antes de que ellos empiecen a efectuar los calculos, uno entrega a cada uno un papelito con el resultado de la división: al primero 9999, al segundo 87 652, al tercero 999, al cuarto 9999. Uno puede crear sus propios pasatiempos, con base en el ejemplo dado, sorprender a quienes conocen muy poco de matematicas, realizando divisiones simultaneas: para esto se echa mano de ciertas propiedades de los números que se hallan en la "Galería de las maravillas numéricas" (ver capítulo V).9. La cifra favorita
Propóngase a cualquiera, que le comunique su cifra favorita. Supongamos que le han nombrado a uno la cifra 6.
-¡Es sorprendente!, exclama uno, esta es justamente, una de las cifras significativas mas notables.
- ¿Por qué es notable dicha cifra?, se pregunta el fascinado interlocutor.
- Lo es, por lo que vera usted enseguida: multiplique la cifra dada, por algún número, por ejemplo 9; y el número obtenido (54) escríbalo como multiplicador del número 12 345 679:
12 345 679 x 54
¿Qué se obtuvo en el producto?Nuestro interlocutor efectúa la multiplicación, y con sorpresa obtiene el resultado, que esta constituido exclusivamente por su cifra favorita:666 666 666.
Vea que fina percepción matematica tiene usted, concluye uno, ¡Usted supo elegir de todas las cifras, justamente la que posee tan notable propiedad!Sin embargo, ¿cual es el punto aquí?Exactamente la misma refinada inclinación, se manifestaría en nuestro interlocutor, si hubiera elegido alguna otra de las nueve cifras significativas, porque cada una de ellas posee idéntica propiedad:12 345 679 x 4 x 9 = 444 444 444
12 345 679 x 7 x 9 = 777 777 777
12 345 679 x 9 x 9 = 999 999 999
Uno comprende por qué razón sucede esto, si recuerda que se habló sobre el número 12 345 679 en la "Galería de maravillas numéricas" (ver capítulo V).10. Adivinar la fecha de nacimiento
Los trucos que se relacionan con esta categoría, se pueden modificar de diversas formas. Describo aca una de las múltiples formas de presentar este truco, que aunque resulta demasiado complicada, es precisamente por eso que motiva un gran efecto.
Supongamos que usted nació el 18 de mayo y que ahora tiene 23 años. Yo, naturalmente, no conozco ni la fecha de su nacimiento, ni su edad. Sin embargo, me propongo adivinarlas, pidiéndole a usted que realice una serie de calculos, a saber: Le pido que multiplique el número de orden del mes (mayo, 5º mes), por 100; que agregue al producto el día del mes (18); que duplique la suma, al resultado le añada 8, el número obtenido lo multiplique por 5, al producto le agregue 4, multiplique el resultado por 10, le sume 4, y al número obtenido le agregue su edad (23).
Cuando usted haya realizado todo esto, me comunica el resultado final de los calculos. Yo resto de él 444, y la diferencia la distribuyo en grupos de derecha a izquierda, conforme a 2 cifras en cada uno: Obtengo simultaneamente tanto el día y el mes de su nacimiento, como su edad.
En efecto, realicemos sucesivamente todos los calculos indicados:
| 5 x 100 = 500 500 + 18 = 518 518 x 2 = 1 036 1 036 + 8 = 1 044 1 044 x 5 = 5 220 5 220 + 4 = 5 224 5 224 x 10 = 52 240 52 240 + 4 = 52 244 52 244 + 23 = 52 267 |
Efectuando la resta 52 267 - 444, obtenemos el número 51 823.
Ahora, dividamos este número en grupos de dos cifras, de derecha a izquierda:
5, 18, 23,
es decir, 5º mes (mayo); número del día, 18; edad 23 años.¿Por qué obtuvimos este resultado?Nuestro secreto es facil de entender tras considerar la siguiente igualdad
{[(100m+d) x 2+8] x 5+4} x 10+4+e-444 = 10000m+100d+e.
Aquí la letra m denota el número de orden del mes, d el día del mes, e la edad. El primer miembro de la igualdad expresa todas las operaciones realizadas sucesivamente por ustedes, y el segundo miembro, lo que se obtiene, si se eliminan paréntesis y se realizan las simplificaciones posibles.En la expresión
10 000 m + 100 d + e
ni d, ni m, ni e pueden ser números con mas de dos cifras; por tal razón, el número que se obtiene en el resultado, debera descomponerse siempre en tres grupos de dos cifras, que representan los números buscados m, d y e.[60]Dejamos a la inventiva del lector el imaginar modificaciones del truco, es decir, otras combinaciones de operaciones que den idéntico resultado.11. Una de las "operaciones favoritas" de Magnitski
Propongo al lector descubrir también, el secreto del sencillo truco siguiente, que fue descrito ya en la "Aritmética" de Magnitski, en el capítulo "Sobre ciertas operaciones recreativas utilizadas en aritmética".
Consistía en entregar un anillo a ocho hombres, (designados por los números del 1 al 8), para que uno de ellos, sin mostrarlo, se lo pusiera en una de las tres articulaciones de un dedo. Por ejemplo, el anillo quedaría en la segunda articulación del dedo meñique (es decir, el 5º dedo) del 4º hombre. Se preguntaba: ¿En cual de los ocho hombres, en qué dedo y en cual articulación del dedo se encuentra el anillo? Y enseguida, en ausencia del adivinador se debían hacer las siguientes operaciones:"El número del hombre que tenga el anillo, multiplicarlo por 2; al resultado, sumarle 5, y multiplicar por 5 la suma: agregar el número del dedo en que esta el anillo, y multiplicar el resultado por 10; agregar el número de la articulación.
Se entrega este resultado al adivinador, quien resta 250 a dicho resultado, obteniendo la respuesta buscada. Así, por ejemplo, si se le comunica como resultado, el número 702, el adivino efectúa la resta: 702 - 250 = 452, es decir, que el anillo lo tiene el cuarto hombre, en el quinto dedo, sobre la segunda articulación".

Figura 50. Truco matematico de la Aritmética de Magnitski. Se ha reproducido el grabado como aparece en la obra mencionada, con las palabras escritas en ruso antiguo, y que significan sucesivamente, de arriba hacia abajo: persona: - multiplique: - sume: - multiplique: - sume el número del dedo: - multiplique: - sume el número de la articulación
12. Adivinación de números
Finalmente, sin preguntarle nada a usted, le adivino el resultado que obtiene al efectuar una serie de calculos un número pensado.
Piense en cualquier número de una cifra, excepto el cero. Multiplíquelo por 37. Multiplique el resultado obtenido por 3.
Borre la última cifra de del producto, y el número que quede divídalo por el número pensado inicialmente; no habra residuo.
Le puedo decir qué número obtuvo, aunque lo escribí mucho tiempo antes de que usted procediera a la lectura del libro. Usted obtuvo el número 11.
Hagamos el truco por segunda vez de otra forma. Piense un número de dos cifras. Escriba a su derecha el mismo número otra vez. El número de cuatro cifras obtenido divídalo entre el número pensado: la división se realiza sin residuo. Sume todas las cifras del cociente. Usted obtuvo 2.
Si no es así, verifique cuidadosamente sus calculos y se convencera de que usted se equivocó y no yo.
¿Cual es la clave de estos trucos?Clave: Nuestro lector ahora ya esta suficientemente experimentado en el desciframiento de trucos, y no requiere de mis largas explicaciones. En la primera prueba de adivinación, el número pensado se multiplicó inicialmente por 37, después por 3.
Pero 37 x 3 = 111, y multiplicar una cifra por 111 equivale a formar un número con tres cifras idénticas (por ejemplo, 4 x 37 x 3 = 444). ¿Qué hicimos después? Borramos la última cifra y, por consiguiente, se obtuvo un número de dos cifras idénticas (44) el que naturalmente, debería dividirse por la cifra pensada, y dar 11 como cociente.
En la segunda prueba, escribimos dos veces el número pensado, de dos cifras: si por ejemplo, se pensó 29, se escribió 2929.
Esto equivale a multiplicar el número pensado por 101 (en efecto, 29 x 101 = 2929). Como esto yo lo sé, puedo con justeza prever que de la división de tal número de cuatro cifras entre el número pensado, se obtiene 101 y que, por consiguiente, la suma de las cifras del cociente (1 + 0 + 1) es igual a 2.
Como se ve, la adivinación de basa en las propiedades de los números 111 y 101, por lo que tenemos derecho a colocar ambos números en nuestra galería de maravillas numéricas. (Ver capítulo 5).
13. Curiosidades aritméticas

1. Fenómenos reales y ficticios
2. Memorización de números
3."¿Cuantos días tengo?"
4."¿Cuantos segundos tengo?"
5. Métodos de multiplicación acelerada
6. Para calculos cotidianos
7. Curiosidades aritméticas
1. Fenómenos reales y ficticios
Quien haya asistido a sesiones de nuestro calculista soviético Arrago, puede no sorprenderse por sus enormes capacidades de calculo. Aquí ante nosotros ya no hay trucos, sino un notable don natural. Arrago, por ejemplo, calculó mentalmente, ante mí, el cubo del número 4729, en menos de un minuto (resultado: 105.756.712.489), y en la multiplicación 679.321 x 887.064, también mentalmente, empleó en total 1 1/2 minutos.
Yo he tenido la posibilidad de observar el trabajo de este fenomenal calculista, no solamente en el estrado, sino también en reuniones domésticas, a solas, y me convencí de que no emplea ningún método especial de calculo, y calcula mentalmente, en general, como lo hacemos nosotros sobre el papel. Pero su extraordinaria memoria para los números lo ayuda a pararse en un punto del calculo, sin tener que escribir los resultados intermedios, y la rapidez de inteligencia le permite operar con números de dos cifras, tan facilmente como nosotros efectuamos las operaciones con números de una cifra.
Gracias a esto, la multiplicación entre números de seis cifras resulta para él, un problema sin mayores complicaciones que las que significa para nosotros, la multiplicación de números de tres cifras.
Fenómenos tales, como Arrago entre nosotros, o en Occidente Inodí, Diamandi, Rückle, el Dr. Fred Brauns, se cuentan con los dedos. Pero conjuntamente con ellos se consagran también, matematicos de estrado de otro género, que fundamentan su arte en unos u otros trucos aritméticos. Usted puede haber llegado a escuchar o inclusive a asistir a "sesiones de geniales matematicos" que calculaban de memoria, con una rapidez sorprendente, cuantos, días, minutos y segundos tiene usted, en qué día de la semana nació, etc. Para realizar gran parte de estos calculos, no es necesario, sin embargo, poseer una capacidad matematica extraordinaria. Solo es necesario conocer algunos secretos de estos trucos, al revelamiento de los cuales, pasamos enseguida.
2. Memorización de números
Un calculista rapido, debera poseer ante todo, un excelente desarrollo de la memoria para los números. Los siguientes récords muestran hasta qué refinamiento llega tal memoria en los mejores calculistas. El famoso calculista aleman Rückle se aprendió de memoria un número compuesto de 504 cifras, en 35 minutos, y su compatriota, el doctor Fred Brauns rompió este récord, haciendo lo mismo ¡en menos de 13 minutos!
Pero naturalmente, tal memoria fenomenal es dotada por la naturaleza en forma muy especial.
Los calculistas profesionales que se consagran al estrado, no poseyendo una memoria natural para los números, se ayudan a sí mismos con diferentes medios artificiales (los llamados "mnemotécnicos"). En la vida diaria nosotros mismos hemos intentado emplear tales métodos, la mayor parte de ellos, hay que reconocerlo, mal elegidos. Queriendo recordar, por ejemplo, el número de teléfono 25 - 49[61] depositamos la esperanza en el hecho de que este número es facil de recordar en la memoria, ya que esta, formado por dos cuadrados exactos:
25 = 52 =, 49 = 72. Pero cuando es menester recordarlo en un momento dado, resulta que nos confundimos entre tantos otros números telefónicos conocidos y desconocidos:
16-25, 36-64, 49-16, 64-16, 81-25, etc.
Semejante fracaso lo concebimos también en otros casos. El teléfono número 17-53 nos proponemos recordarlo, aprovechando el hecho de que la suma de las dos primeras cifras (1 + 7) es igual a la suma de las dos últimas (5 + 3). Pero al final no resulta mejor que en el caso anterior.Y en efecto, aún falta evitar confusiones al momento de elegir a qué teléfono se le aplica esa combinación, y a cual se le aplica otra diferente. Solo puede causarnos sorpresa, el ver cómo muchas personas intentan emplear obstinadamente este método, notoriamente inservible. La afición a este método, la ridiculizó con gran ingenio el escritor J. Hašek en sus famosas "Aventuras del bravo soldado Sveik"[62]:
"Sveik miró atentamente el número de su fusil y, al final, dijo:
- El número 4268. Justamente tal número estaba en una locomotora en Pées en la vía dieciséis.
Era necesario llevar la locomotora a Liss para la reparación, pero esto no era tan facil, porque el maquinista que debería conducirla alla, tenía muy mala memoria para los números. Entonces el jefe de estación lo hizo venir al despacho y le dijo: "Sobre la vía 16 se encuentra la locomotora número 4268. Yo sé que usted tiene mala memoria para los números, y si escribe el número en un papelillo, pierde usted el papelillo. Pero si verdaderamente es tan débil para los números, entonces trate de recordar lo que yo le voy a indicar, para que vea usted que es muy facil conservar cualquier número en la memoria. El método es el siguiente: la locomotora que usted debe llevar al taller, esta marcada con el número 4268. Centre su atención en este número. La primera cifra es un cuatro, la segunda un dos. Recuerde, por consiguiente, 42, es decir, dos por dos son cuatro, lo que nos da la primera cifra, y si usted la divide entre dos, obtiene de nuevo dos, y en esta forma se obtiene, junto al 4, el 2. El resto es sencillo. ¿Cuanto sera el doble de cuatro? ocho ¿no es así? Así graba en su memoria el ocho que es, la última cifra en nuestro número. Ahora ya recuerda usted que la primera cifra es el cuatro, la segunda el dos y La última el ocho. Es decir, sólo resta recordar la cifra seis antes del ocho. Pero esto es bastante sencillo. La primera cifra que tenemos es el 4, la segunda el 2, y conjuntamente constituyen el 6. De esta manera el número 4268 ya se ha alojado firmemente en su mente.
Puede también llegar al resultado, por un camino mas sencillo, a saber: de 8 se resta 2, y se obtiene 6. Recuerde: 6. De seis se resta 2, y se obtiene 4. Por consiguiente, tenemos ya 4 y 68.
Ahora es necesario únicamente, colocar la cifra: 2 entre esos dos números y obtenemos 4268. También se puede hacer de otra forma bastante simple, por medio de la multiplicación.
Recuerde que el doble de 42 es igual a 84. En un año hay doce meses. Es necesario reatar 12 de 84, quedando 72, y de 72 se restan los 12 meses. Se obtiene 60. Lo que tenemos aquí es, ya, el 6, porque el cero, sencillamente lo podemos dejar a un lado. Es decir, si escribimos 42-6-84 y dejamos a un lado el último 4, obtenemos inevitablemente el número 4268, que corresponde al número de la locomotora que debe conducir".
Los métodos de los calculistas de estrado son de un género absolutamente diferente. He aquí uno de ellos, que en alguna ocasión puede llegar a servirnos a todos. El calculista relaciona con las cifras, determinadas letras consonantes, bien memorizadas:
| Cifras | 0 | 1 | 2 | 3 | 4 | 5 | 6 | 7 | 8 | 9 |
| B | D | G | J | K | P | S | R | W | X | |
| Letras | C | F | H | Z | M | R | T | V | Y | L |
Puesto que solo se eligen las consonantes, entonces ellas pueden, sin temor a caer en confusiones, se combinan con las vocales para constituir palabras cortas. Por ejemplo:
| Para los números | las palabras |
| 1 | de |
| 2 | ba |
| 3 | jo |
| 4 | ama |
| 5 | upa |
| 6 | ese |
| 7 | va |
| 8 | yo |
| 9 | ole |
| 0 | aca |
En forma analoga se constituyen las palabras, también para números de dos cifras:
| 11 | → | dedo |
| 13 | → | dejo |
| 14 | → | dama |
| 16 | → | dato |
| 19 | → | dale |
| 21 | → | hada |
Para recordar el número 2549, el calculista de estrado mentalmente escribe bajo las cifras, las letras correspondientes:
| 2 | 4 | 5 | 9 |
| G | P | K | X |
| H | R | M | L |
y a partir de ella, constituye, rapidamente, las palabras:
| 25 | 49 | |
| GIRO | MALO |
Tal es uno de los métodos mnemotécnicos empleados entre los calculistas de estrado. Existen también otros, sobre los cuales, sin embargo, no nos detendremos, pues ahora pasaremos a los métodos de realización de algunos ejercicios.
¿Cuantos, años tengo?, ¿cuantos días tengo?, pregunta cualquier persona del público asistente, y obtiene rapidamente la respuesta desde el estrado.
¿Y cuantos segundos tengo, si mi edad es tal? hace la pregunta otro, y obtiene también rapida respuesta.
¿Cómo se realizan estos calculos?
3. "¿Cuantos días tengo?"
Para determinar, de acuerdo con el número de año, el número de días, el calculista recurre al siguiente método: la mitad del número de años lo multiplica por 73 y añade un cero; el resultado sera, precisamente, el número buscado. Se comprende esta fórmula si se observa que 730 = 365 x 2: Si tengo 24 años, el número de días lo obtenemos multiplicando 12 x 73 = 876 añadiendo un cero: 8760. La propia multiplicación por 73 se realiza también en forma abreviada, como veremos mas adelante.
Generalmente no se efectúa en el calculo la corrección de algunos días con motivo de los años bisiestos, aunque se puede introducir facilmente, agregando al resultado la cuarta parte del número de años; en nuestro ejemplo: 24 x 4 = 6; el total es, por consiguiente, 8766.
No le resultara difícil al lector, hallar por su propia cuenta, la forma de calcular el número de minutos, después de leer las indicaciones del siguiente parrafo.
4. "¿Cuantos segundos tengo?"
Si la edad del interrogador se expresa por un número par no mayor que 26, entonces se puede responder muy rapidamente esta pregunta, empleando el siguiente método: la mitad del número de años se multiplica por 63; después se multiplica esta misma mitad por 72; este resultado queda al lado del primero y se agregan tres ceros. Si tiene por ejemplo, 24 años, entonces para determinar el número de segundos procedemos así:
63 x 12 = 756; 72 x 12 = 864, resultado 756.864.000.
Tal como en el ejemplo anterior, aquí no se tienen en cuenta los años bisiestos, un error que nadie reprocha al calculista, cuando se tiene que ver con cientos de millones (error que se puede corregir, agregando al valor obtenido antes, el número de segundos que hay en los días correspondientes a la cuarta parte del número de años).¿En qué se basa el método aquí indicado?
Se explica la validez de nuestra fórmula de un modo sencillo. Para determinar el número de segundos que hay en un determinado número de años, es necesario que los años (24 en muestro ejemplo) se multipliquen por el número de segundos del año, es decir,
365 x 24 x 60 x 60 = 31.536.000.
Luego, separamos el factor en dos partes (facilmente se comprende por qué se agregan tres ceros), y en lugar de multiplicar 24 por 31.536, se multiplica 24 por 31.500 y por 36; operaciones que substituimos por otras, para comodidad de los calculos, como se evidencia en el siguiente esquema:

Sólo falta agregar tres ceros, y tenemos el resultado buscado:
756.864.000.
5. Métodos de multiplicación acelerada
Ya indicamos antes que para realizar las diversas operaciones de una multiplicación, componente basico de cada uno de los métodos antes expuestos, existen también métodos adecuados a algunos casos.
Algunos de ellos son sencillos y de facil aplicación; aligeran a tal grado los calculos, que en general, no molesta recordarlos para su empleo practico. Tal es, por ejemplo, el método de multiplicación cruzada, muy conveniente en las operaciones con números de dos cifras. El método no es nuevo; se remonta a los griegos e hindúes y en la antigüedad se llamaba "método relampago" o de "multiplicación en cruz". Ahora ha caído en el olvido y no tiene ningún problema el recordarlo.
Supóngase que se requiere multiplicar 24 x 32. Mentalmente disponemos los números, unos debajo de otros, según se muestra en el siguiente esquema:
| 2 | 4 | |
| x | ||
| 3 | 2 |
Ahora, realicemos sucesivamente las siguientes operaciones:
4 x 2 = 8, ésta es la última cifra del resultado.
2 x 2 = 4; 4 x 3 = 12; 4 + 12 = 16;
6 es la penúltima cifra del resultado; recordemos mentalmente el 1.
2 x 3 = 6, mas el 1 que llevamos en la mente, tenemos 7;
ésta es la primera cifra del resultado.
Obtenemos, por consiguiente, el producto: 768.
Después de varios ejercicios este método se asimila facilmente.
Otro método que consiste en los llamados "complementos", se aplica en forma conveniente en aquellos casos en que los números multiplicados estan próximos al 100.
Supongamos que se requiere multiplicar 96 x 92. "El complemento" para 92 hasta 100 sera 8, para 96 sera 4. La operación se realiza conforme al siguiente esquema:
| Factores | 92 | 96 |
| Complementos | 8 | 4 |
Las dos primeras cifras del resultado se obtienen por la simple sustracción del "complemento" del multiplicando respecto del multiplicador o viceversa, es decir, de 92 se sustrae 4 ó de 96 se sustrae 8. En ambos casos tenemos 88; a este número se le agrega a su derecha, el producto de los "complementos": 8 x 4 = 32. Obtenemos el resultado 8832.
Que el resultado obtenido debera ser exacto, es indudable por las siguientes transformaciones:

Veamos otro ejemplo:
Se requiere multiplicar 78 por 77.
| Factores | 78 | 77 |
| Complementos | 22 | 23 |
78 - 23 = 77 - 22 = 55
22 x 23 = 506
5500 + 506 = 6006
Veamos un tercer ejemplo:
Multiplicar 99 x 98.
| Factores | 99 | 98 |
| Complementos | 1 | 2 |
99 - 2 = 98 - 1= 97
1 x 2 = 2
En el caso dado es necesario recordar que 97 denota aquí el número de centenas. Por tal razón sumamos:
9700 + 2 = 9702.
6. Para calculos cotidianosExiste un gran conjunto de métodos de realización acelerada de las operaciones aritméticas, métodos destinados no a intervenciones de estrado, sino a calculos cotidianos. Si hubiera que exponer tan sólo los principales métodos, sería necesario escribir un libro completo.
Nos limitaremos pues, a algunos ejemplos con números de uso común y corriente.
En la practica de los calculos técnicos y comerciales es un caso frecuente que se lleguen a sumar columnas de números muy próximos uno a otro, en lo que a magnitudes se refiere. Por ejemplo:
| 43 38 39 45 41 39 42 | Se simplifica notablemente la suma de estos números si se emplea el método indicado a continuación, cuya esencia se comprende con suma facilidad |
| 43 = 40 + 3 38 = 40 - 2 39 = 40 - 1 45 = 40 + 5 41 = 40 + 1 39 = 40 - 1 42 = 40 + 2 | = 40 x 7 + 3 - 2 - 1 + 5 + 1 - 1 + 2 = 280 + 7 = 287 |
De la misma manera hallamos la suma:
| 752 = 750 + 2 753 = 750 + 3 746 = 750 - 4 754 = 750 + 4 745 = 750 - 5 751 = 750 + 1 | = 750 x 6 + 2 + 3 - 4 + 4 - 5 + 1 = 4500 + 1 = 4501 |
En forma analoga se procede para hallar la media aritmética de números cuyo valor sea muy parecido. Encontremos, por ejemplo la media de los siguientes precios:
| Rublos 4 4 4 4 4 4 4 4 | Kopeks 65 73 75 67 78 74 68 72 | Fijemos a ojo, un precio redondeado próximo a la media: en el caso dado evidentemente es 4 r, 70 k. Escribamos las desviaciones de todos los precios con relación a la media: los excesos con el signo +, los defectos en el signo -. Obtenemos: - 5 + 3 + 5 - 3 + 8 + 4 - 2 + 2 = 12 |
Dividiendo la suma de las desviaciones entre el número de ellas, tenemos:
12 ÷ 8 = 1,5.
Así pues, el precio medio buscado es:
4 rublos 70 k + 1,5 k. = 4 rublos y 71,5 kopeks
Pasemos a la multiplicación. Ante todo indiquemos que la multiplicación por los números 5, 25 y 125 se acelera notablemente si se tiene en cuenta, lo siguiente:
5 = 10/2; 25 = 100/4; 125 = 1000/8
Por esta razón, por ejemplo:
36 x 5 = 360/2 = 180
36 x 25 = 3600/4 = 900
36 x 125 = 36 000/8 = 4500
87 x 5 = 870/2 = 435
87 x 25 = 8700/4 = 2175
87 x 125 = 87 000/8 = 10875
Para multiplicar por 15 se puede aprovechar que
15 = 10 x 1 1/2
Por tal motivo, es facil realizar en la mente calculos como:
36 x 15 = 360 x 1 1/2 = 360 + 180 = 540
o sencillamente,
36 x 1 1/2 x 10 = 540,
87 x 15 = 870 + 435 = 1305.
En la multiplicación por 11 no hay necesidad de escribir 5 renglones:
| 383 |
| x 11 |
| 383 |
| + 383. |
| 4213 |
basta con que debajo del número multiplicado se escriba él mismo, desplazado una cifra a la izquierda:
| 383 |
| + 383 |
| 4213 |
y se efectúa la suma.
Es útil recordar los resultados de multiplicar por 12, 13, 14 y 15, como se hace con los primeros 9 números. Así, la multiplicación de números de varias cifras por tales factores se acelera en gran medida. Supóngase que se desea multiplicar
| 4587 |
| x 13 |
Procedamos así. Cada cifra del multiplicando multipliquémosla mentalmente, a la vez, por 13:
7 x 13 = 91; escribimos el 1, y memorizamos 9
8 x 13 = 104; 104 + 9 = 113; escribimos el 3 y memorizamos 11
5 x 13 = 65; 65 + 11 = 76; escribimos el 6, y memorizamos 7
4 x 13 = 52; 52 + 7 = 59.
Total: 59.631
Después de practicar un poco, este método se asimila facilmente.
Existe un método muy conveniente para la multiplicación de números de dos cifras por 11: basta con separar las cifras del multiplicando, y escribir entra ellas, su suma:
43 x 11 = 473.
Si la suma de las cifras tiene dos cifras, entonces el número de sus decenas se suma a la primera cifra del multiplicando:
48 x 11 = 4(12)8, es, decir 528.
Indiquemos finalmente, algunos métodos de división acelerada. Al dividir entre 5, multipliquemos por 2 dividendo y divisor:3471 ÷ 5 = 6942 ÷ 10 = 694,2
Para dividir entre 25, multipliquemos cada número por 4:
3471 ÷ 25 = 13 884 ÷ 100 = 138,84
En forma parecida se procede para dividir entre 1 ½ (= 1,5) y entre 2 ½ (= 2,5)
3471 ÷ 1 ½ = 6942 ÷ 3 = 2314,
3471 ÷ 2,5 = 13 884 ÷ 10 = 1388,4
7. Curiosidades aritméticas
Capítulo 8
Calculos aproximados
Contenido
1. Enigmas matematicos de la piramide de Keops
2. Números aproximados
3. Redondeo de números
4. Cifras significativas y no significativas
5. Adición y substracción de números aproximados
6. Multiplicación, división y elevación a una potencia de los números aproximados
7. Aplicación en la practica
8. Ahorro de trabajo de calculo
9. Curiosidades aritméticas
1. Enigmas matematicos de la piramide de Keops
La mas alta piramide del antiguo Egipto, la de Keops, desde hace cinco mil años azotada por el aire tórrido del desierto, representa sin lugar a dudas, la construcción mas extraordinaria que se conserva del mundo antiguo (Fig. 51). Con una altura de casi ciento cincuenta metros, cubre con su base un area de 40 mil metros cuadrados y esta compuesta de doscientas hileras de gigantescas piedras. Cien mil esclavos, en el curso de 30 años, trabajaron en su edificación, habiendo empleado inicialmente, 10 años en preparar el camino para el transporte de piedras desde la cantera hasta el lugar de la construcción, y posteriormente, 20 años en amontonarlas una sobre otra con ayuda de las primitivas maquinas de ese tiempo.
Sería extraño que tan colosal construcción hubiese sido erigida con el único propósito de servir de tumba para los dirigentes del país. Por tal, razón, algunos investigadores han tratado de descubrir si el misterio de la piramide puede revelarse por la relación de sus dimensiones.
Estos tuvieron la suerte, conforme a su juicio, de hallar una serie de sorprendentes relaciones que atestigua acerca del hecho de que los sacerdotes directores del trabajo de construcción, poseían profundos conocimientos de matematica y astronomía, los cuales fueron personificados en las formas de piedra de la piramide.
«Cuenta Heródoto (Famoso historiador griego que visitó Egipto durante el año 300 antes de nuestra era), leemos en el libro del astrónomo francés Maurais ("Enigmas de la ciencia", 1926. Tomo I), que los sacerdotes egipcios le revelaron la siguiente relación entre la base lateral de la piramide y su altura: el cuadrado de la altura de la piramide, es exactamente igual al area de cada uno de los triangulos laterales. Esto encaja perfectamente con las mas modernas mediciones. He aquí la demostración de que en todo tiempo, la piramide de Keops se ha considerado como un monumento cuyas proporciones han sido calculadas matematicamente.
(Aporto la demostración mas tardía: sabemos que la relación entre la longitud de la circunferencia y su diametro es una magnitud constante, bien conocida de los escolares actuales. Para calcular la longitud de la circunferencia, basta con multiplicar su diametro por 3,1416. O sea, por la constante pi (π).
Los matematicos de la antigüedad solo conocían esta relación en una forma aproximada y muy burda.
Pero si se suman los cuatro lados de la base de la piramide, obtenemos para su perímetro, 931,22 metros. Dividiendo este número entre el doble de la altura (2 x 148,208), tenemos como resultado 3,1416, es decir, la relación de la longitud de la circunferencia a su diametro. (Otros autores de tales mediciones de la piramide deducen el valor de π aún con mayor precisión: 3,14159. Yakov Perelman).
Este monumento único en su género, representa por lo tanto, una materialización del número π, que ha jugado un papel importante en la historia de la matematica. Como vemos, los sacerdotes egipcios tenían representaciones exactas de una serie de temas que se consideran como descubrimientos de siglos posteriores» (El valor de π, con la precisión que se obtiene aquí, a partir de las relaciones de las dimensiones de la piramide, solo fue conocido por los matematicos europeos en el siglo XVI.).
Existe aún otra relación mas sorprendente: si el lado de la base de la piramide se divide entre la duración exacta del año: 365,2422 días, se obtiene exactamente la diezmillonésima parte del semieje terrestre, con una precisión son la cual rivalizarían con los astrónomos modernos.[63]

Figura 51. ¿Qué misterios matematicos encierran las piramides egipcias?
Ademas la altura de la piramide constituye exactamente la milmillonésima parte de la distancia de la Tierra al Sol, magnitud que fue conocida por la ciencia europea solo a fines del siglo XVIII[64]. Los egipcios de 5.000 años atras conocían, como se muestra, lo que no sabían aún ni los contemporaneos de Galileo y Kepler, ni los científicos de la época de Newton. No es de extrañar que las investigaciones de este género originaran en Europa, una extensa literatura.
Sin embargo, todo esto no es mas que un juego de cifras. El asunto se presenta en otro aspecto completamente diferente, al abordar la evaluación de los resultados de los calculos aproximados.
Consideremos en el mismo orden, los ejemplos que hemos presentado.
Sobre el número "Pi". La aritmética de los números aproximados afirma que si en la división deseamos obtener un número con seis cifras exactas (3,14159), debemos tener tanto en el dividendo como en el divisor, por lo menos, las mismas cifras exactas. Esto quiere decir que si se aplica esta regla a la piramide, para obtener "Pi" con seis cifras, es necesario medir los lados de la base, y la altura de la piramide, con una precisión de millonésimos en los resultados, es decir, hasta de un milímetro. El astrónomo Maurais indica que la piramide tiene una altura de 148,208 m, lo que parece haber realizado meticulosamente, con una precisión de 1 mm. ¿Pero quién garantiza tal precisión en la medición de la piramide?
Recordemos que en los laboratorios del Instituto de Medidas, en donde se efectúan las mediciones mas exactas del mundo, la medición de una longitud no puede superar tal precisión (al medir una longitud se obtienen solamente 6 cifras exactas). Se comprende entonces, qué error admite la medición de la mole de piedra en el desierto. En verdad, en los trabajos mas exactos de agrimensura (en la medición de las areas) se puede alcanzar en el campo, la misma precisión que se logra en el laboratorio, es decir, que se pueden garantizar números con 6 cifras exactas. Pero no se puede llevar a cabo tal medición en las actuales condiciones en las que se encuentra la piramide. Las verdaderas dimensiones iniciales de la piramide, hace mucho que no existen en la naturaleza, puesto que el revestimiento de la construcción desapareció, y nadie sabe qué espesor tenía. Para ser exactos, es necesario tomar las medidas de la piramide en metros cerrados; y entonces se obtiene un valor de π bastante impreciso, no mas exacto que el que se conoce en el papiro matematico de Rhind. Si la piramide es en efecto, una representación pétrea del número π, entonces, como vemos, esta representación esta bastante lejos de ser perfecta. Pero es absolutamente admisible, que se haya construido la piramide, totalmente ajena a esta relación. Dentro de los límites de los números aproximados de tres cifras para las dimensiones de la piramide, caben muy bien otras suposiciones. Es posible, por ejemplo, que para la altura de la piramide fuese tomado 2/3 del borde de la piramide o 2/3 de la diagonal de su base. También es completamente admisible la relación que fue indicada por Heródoto: que la altura de la piramide es la raíz cuadrada del area de una cara lateral. Son tan probables estas suposiciones, como la "hipótesis de π".
La siguiente suposición se refiere a la duración del año y a la longitud del radio terrestre: si se divide el lado de la base de la piramide entre la duración exacta del año (un número de siete cifras), obtenemos exactamente una diezmillonésima parte del eje terrestre (un número de 5 cifras). Pero como bien sabemos, en el dividendo no tenemos mas de tres cifras exactas, 7 cifras exactas en el divisor y 5 cifras exactas en el cociente. La aritmética, en este caso, solo tiene en cuenta tres cifras en la duración del año y tres cifras en el radio terrestre. Por lo tanto, aca solo podemos hablar del año de 365 días y el radio terrestre de cerca de 6400 kilómetros.
En lo que respecta a la distancia de la Tierra al Sol, existe otro malentendido. Es extraño inclusive, cómo los partidarios de esta teoría no han notado un error lógico, que ellos mismos han admitido. Si en efecto, como ellos afirman, un lado de la piramide constituye una parte conocida del radio terrestre, y la altura una parte conocida de la base, entonces no es posible decir que la misma altura constituye una determinada parte de la distancia hasta el Sol. Es lo uno o lo otro. Y si se descubre casualmente una correspondencia interesante entre ambas longitudes, esto quiere decir que tal relación siempre ha existido en nuestro sistema planetario; y en esto no puede haber mérito alguno de los sacerdotes.
Los partidarios de esta teoría van aun mas lejos: afirman que la masa de la piramide constituye exactamente una milcuatrillonésima parte de la masa de la esfera terrestre. De acuerdo a su opinión, esta relación no puede ser casual, y testimonia sobre el hecho de que los antiguos sacerdotes egipcios no solo conocían las dimensiones geométricas de nuestro planeta, sino que mucho tiempo antes de Newton y Cavendish calcularon su masa, es decir, que "pesaron" la esfera terrestre.
Aquí existe la misma falta de lógica que en el ejemplo considerado de la distancia de la Tierra al Sol. Es completamente absurdo decir que la masa de la piramide esta "elegida" en una correspondencia determinada con la masa de la esfera terrestre. La masa de la piramide se determina al momento de escoger su material y de fijar las dimensiones de su base y de su altura. No es posible ajustar simultaneamente la altura de la piramide, con una base que constituya una determinada parte del radio terrestre, y que independientemente de ello, su masa guarde relación con la masa de la Tierra. Una se determina por la otra. En ese caso, deberan eliminarse todos los conceptos anteriores sobre el conocimiento que poseían los egipcios, de la masa de la esfera terrestre. Esto no es mas que un malabarismo numérico. Manipulando habilmente los números, y apoyandose en coincidencias casuales, se puede demostrar todo cuanto se desee.
Vemos sobre qué bases tan dudosas, reposa la leyenda referente a la inconcebible sabiduría de los sacerdotes arquitectos de la piramide. Al mismo tiempo, tenemos una clara demostración de las ventajas de esa rama de la aritmética que se ocupa de los números aproximados.
2. Números aproximados
A quien desconozca las reglas de las operaciones con los números aproximados, probablemente le sera interesante ponerse al corriente de ellas brevemente, tanto mas que el conocimiento de estos sencillos métodos se muestra practicamente útil, economizando trabajo y tiempo en los calculos.
Aclaremos, ante todo, qué es un "número aproximado" y de dónde se obtienen tales números.
Los datos que intervienen en los calculos técnicos, se obtienen efectuando mediciones. Pero ninguna medición se puede efectuar con exactitud absoluta. En principio, inclusive las propias medidas que se emplean para efectuar las mediciones, habitualmente encierran en sí un error.
Fabricar reglas métricas, pesas de kilogramos, botellas de litro es una tarea bastante difícil, y la ley admite en su fabricación un cierto error. Por ejemplo, en la fabricación de una regla métrica, por ley, se admite un error hasta de un milímetro; para una cadena o cinta decamétrica para agrimensura hasta 1 centímetro; para una pesa de un kilogramo, hasta 1 gramo; (Ademas del error en las pesas, la ley admite también el error en la balanza, que alcanza hasta 1 gramo por cada kilogramo de carga pesada.) para juegos de pesas pequeñas, de 1 gramo, hasta, 0,01 de gramo; para una botella de un litro, hasta 5 cm3.
Ademas, al realizar la medición, también se introducen errores. Supóngase que se mide una distancia cualquiera, por ejemplo, el ancho de una calle. Supongamos que el ancho de dicha calle abarca un poco mas de 13 metros. Se puede decir que el ancho de la calle es de unos 13 metros; sin embargo, su ancho real es de 13 metros y una fracción de metro, que puede ser del orden de decimales, centesimales, etc., que no se tuvo en cuenta.
Por consiguiente, el resultado de nuestra medición se puede expresar así:
anchura de la calle = 13, ? ? ? metros,
en donde los signos de interrogación denotan cifras desconocidas, de fracciones decimales, centesimales, etc.
Si se deseara medir la anchura de la calle con mayor precisión, se sabe cuantos decímetros (décimas partes de un metro) contiene la parte restante que corresponde a una fracción del metro. Supongamos que contenga 8 decímetros y que aún exista cierto residuo menor que un decímetro. El resultado de la nueva medición, 13,8 m, sera mas exacta que la anterior, pero tampoco sera totalmente exacta, porque ademas de las 8 décimas de metro, el ancho de la calle contiene aún cierto número desconocido de centesimales, milesimales, etc. del metro. Por consiguiente, podemos expresar así el resultado mas exacto obtenido ahora
13,8 ? ? metros.
En una medición mas precisa se tienen en cuenta las centésimas del metro (centímetros), en la fracción restante; pero se desprecia la fracción inferior a un centímetro; en ese caso, tampoco este resultado sera absolutamente exacto. Como no se efectúa la medición con absoluta precisión, no se puede afirmar que después de la última cifra obtenida, no se existan otras mas.Naturalmente, el resultado no se modifica en absoluto, en virtud de que al realizar una medición, las fracciones mayores que la mitad de la unidad de medida, habitualmente se aproximan a la unidad.
Si en la primera medición de la calle, no hubiéramos considerado su ancho de 13 metros, sino de 14, también se hubiera obtenido un resultado aproximado. Se le podría expresar en la siguiente forma
14, ? ? ? metros,
donde los signos de interrogación denotan cifras negativas (es decir, que indican en cuantas décimas, centésimas, etc., sobrepasa el número 14 al verdadero ancho de la calle).
Así, incluso el resultado de una medición metódica no se puede considerar totalmente exacto: expresa el valor real de forma aproximada. Tales números se llaman aproximados.
La aritmética de los números aproximados no coincide totalmente con la aritmética de los números exactos. Mostremos en un ejemplo esta diferencia.
Se requiere calcular el area de una sección rectangular, cuya longitud y anchura son respectivamente, 68 m y 42 m Si los números 68 y 42 fueran exactos, el area de la sección sería exactamente igual a
68 x 42 = 2856 m2
Pero los números 68 y 42 no son exactos, sino aproximados: en la longitud no hay exactamente 68 m, sino un poco mas o un poco menos, puesto que es poco probable que el metro esté comprendido en ella, exactamente 68 veces. También es poco probable que la propia longitud de la regla métrica sea igual a l m De acuerdo con esto, podemos expresar la longitud de la sección, en metros, así:
68,?
De igual forma, expresamos el ancho de la sección por
42,?
Realicemos ahora, la multiplicación de los números aproximados:
68,? x 42,?
Se evidencia la realización de la operación en el siguiente esquema
| 6 | 8 | ? | |||
| x | 4 | 2 | ? | ||
| ? | ? | ? | |||
| 1 | 3 | 6 | ? | ||
| 2 | 7 | 2 | ? | ||
| 2 | 8 | 5 | ? | ? | ? |
Vemos que la cuarta cifra (de izquierda a derecha) del resultado es desconocida: se obtiene sumando las tres cifras (? + 6 + ?), de las cuales dos son desconocidas. La tercera cifra del resultado también es incierta: nosotros escribimos 5, pero al sumar los números de la columna ? + 6 + ?, se puede obtener un número mayor que 10 e inclusive que 20; en ese caso, en lugar de 5 puede resultar un 6 ó un 7. Las únicas cifras completamente validas son las dos primeras de izquierda a derecha (cifras 2 y 8) del resultado. Por tal razón, siendo bastante metódicos, sólo debemos afirmar que el area buscada contiene cerca de 28 cientos de metros cuadrados. Desconocemos las decenas y las unidades en metros cuadrados, de dicha area.
Así pues, la respuesta correcta a la pregunta del problema es 2800, y los ceros no denotan aquí la ausencia, a ciencia cierta, de las unidades de los correspondientes órdenes, sino que indican que se desconocen estas. Dicho en otras palabras, los ceros denotan lo mismo que los signos de interrogación en las notaciones precedentes.
Es erróneo pensar que la respuesta 2856, obtenida conforme las reglas de la aritmética de los números exactos, es mas precisa que la respuesta 2800, pues hemos visto que las últimas dos cifras (56) del resultado no se conocen con exactitud: no se puede garantizar su validez. Es preferible la respuesta 2800 y no la 2856, porque la primera no induce al error: indica que sólo son correctas las cifras 2, en el lugar de los millares, y 8, en el lugar de las centenas, y que se desconocen las cifras que les siguen. La repuesta 2856 es engañosa: induce a pensar que las últimas dos cifras son tan valederas, como lo son las dos primeras.
«Es poco ético escribir mas cifras de las que se puedan avalar... Yo, con mucho pesar, reconozco que muchos de esos números que conducen a resultados erróneos, se encuentran en las mejores obras sobre las maquinas de vapor... Cuando yo estudiaba en el colegio, nos informaron que la distancia media de la Tierra al Sol es de 95 192 357 millas inglesas (Una milla inglesa es igual a 1852 m). Me sorprendí porque no indicaban cuantos pies y pulgadas mas medía dicha distancia. Las mediciones actuales mas exactas, afirman que esta distancia oscila entre 92,5 y 93 millones de millas» escribió a este propósito el matematico inglés Perri.
Así que, en los calculos con números aproximados no es necesario tener en cuenta todas las cifras del resultado, sino solo algunas. Hablaremos especialmente sobre cuales cifras conviene conservar en estos casos, y cuales sustituir por ceros. En principio nos detendremos sobre la forma en que se debe redondear un número.
3. Redondeo de números
El redondeo de un número consiste en reemplazar por ceros, una o varias cifras de éste (de derecha a izquierda). Dado que los ceros que se hallan después del punto decimal no tienen valor, se les descarta completamente. Por ejemplo:
| el número | se redondea a |
| 3734 | 3730 ó 3700 |
| 5,314 | 5,31 ó 5,3 |
| 0,00731 | 0,0073 ó 0,007 |
Si la primera de las cifras eliminadas en el redondeo es 6 ó mayor que seis, la cifra precedente se aumenta en una unidad. Por ejemplo:
| el número | se redondea a | |
| 4867 | 4870 ó 4900 | |
| 5989 | 5990 ó 6000 | |
| 3,666 | 3,67 ó 3,7 |
Se procede de igual manera, si se elimina la cifra 5 que antecede otras cifras significativas. Por ejemplo:
| el número | se redondea a | |
| 4552 | 4600 | |
| 38,1506 | 38,2 |
Pero si solo se elimina la cifra 5, solo se aumenta una unidad a la cifra precedente si esta es impar; si es par, se deja sin modificar. Por ejemplo:
| el número | se redondea a | |
| 735 | 740 | |
| 8645 | 8640 | |
| 37,65 | 37,6 | |
| 0,0275 | 0,028 | |
| 70,5 | 70 |
(El cero se considera una cifra par)
Los resultados de las operaciones con números aproximados se ciñen a las mismas reglas de "redondeo".
4. Cifras significativas y no significativas
En el estudio de los calculos aproximados se entienden por cifras significativas, todas las cifras excepto el cero, a menos que el cero se halle entre otras cifras significativas. Así, en los números 3700 y 0,0062, los ceros no son cifras significativas; en los números 105 y 2006, los ceros son cifras significativas. En el número 0,0708 los dos primeros ceros no son cifras significativas, el tercer cero si lo es.
En ciertos casos, un cero significativo puede hallarse también al final del número: por ejemplo, redondeando el número 2,540002 obtenemos, el número 2,54000, en el que todos los ceros son significativos, puesto que indican a ciencia cierta la ausencia de unidades en los correspondientes órdenes. Por esta razón, se consideran de dos cifras los números 4,0 ó el 0,80, si figuran en las condiciones de un problema o en una tabla.
Redondeando el número 289,9 a 290, obtenemos también un cero significativo al final.
5. Adición y substracción de números aproximados
Al sumar o restar números aproximados no se debe finalizar con cifras significativas si estas no existen en ciertos órdenes de uno de los números dados. Si se obtienen tales cifras, conviene eliminarlas mediante el "redondeo"
| 28,30 | ||
| 3400 | + 146,85 | 176,30 |
| + 275 | 108,00 | - 0,46 |
| 3700 | 283,00 | 175,90 |
| (y no 3675) | (y no 283,15) | (y no 175,84) |
No es difícil entender esta regla. Supóngase que se requiere agregar 275 m a 3400 m En el número 3400, es evidente que se desprecian las decenas de metros; es claro que añadiendo a este número 2 centenas de metros, 7 decenas de metros y 5 m mas, obtenemos como suma, no 3675 m, sino el resultado mas próximo, con otras cifras en el lugar de las decenas y de las unidades. Por tal razón, en el lugar de las decenas y de las unidades escribimos, en la suma ceros, que en el caso dado, indican que el calculista no conoce las cifras que allí se encuentran allí.
6. Multiplicación, división y elevación a una potencia de números aproximados
El resultado de la multiplicación y también de la división de números aproximados, no debera contener mas cifras significativas que las que tiene el número con menos cifras significativas. Las cifras restantes se substituyen por ceros.
Ejemplos:
37 x 245 = 9100 (y no 9065)
57,8 ÷ 3,2 = 18 (y no 18,06)
25 ÷ 3,14 = 8,0 (y no 7,961).
Al contar el número de cifras no se presta atención al punto decimal: así por ejemplo, 4,57 es un número de tres cifras.
El número de cifras significativas de la potencia de un número aproximado, no debe superar al número de cifras contenidas en la base de la potencia. Las cifras excedentes se substituyen por ceros.
1572 = 24 600 (y no 24 649)
5,813 = 196 (y no 196,122941).
Estas reglas se relacionan solamente con el resultado final. Si al realizar una operación, no termina el calculo, entonces en el resultado de esta operación intermedia se conserva una cifra significativa mas que lo que requiere la regla. Efectuando, por ejemplo, al calcular
36 x 1,4 = 50,4
(no se conservan dos, sino tres cifras); 50,4 ÷ 3,4 = 15.
En calculos técnicos sencillos, las reglas indicadas antes indicadas pueden aplicarse, en casi todos los casos, en la siguiente forma simplificada. Antes de calcular se establece, conforme al número de cifras del dato mas breve (el que posee el menor número de cifras significativas), cuantas cifras exactas puede tener el resultado final. Cuando se establezca este valor, se procede a efectuar los calculos, y en todos los calculos intermedios se conserva una cifra mas que las estipuladas para el resultado final. Si, por ejemplo, en los datos de un problema se dan algunos números de tres cifras y uno de dos cifras, el resultado final tendra dos cifras exactas, y se toman los resultados intermedios con tres cifras.
De suerte que todas las reglas de los calculos aproximados, al realizar las operaciones, se reducen a estas dos:
- Se establece cual es el dato del problema con menos cifras significativas: se conserva el mismo número de cifras significativas en el resultado final.
- En los resultados de todos los calculos intermedios se conserva una cifra mas que las establecidas para el resultado final.
Las otras cifras, en todos los casos, se substituyen por ceros o se eliminan conforme a las reglas de "redondeo".
Estas reglas no se aplican en aquellos problemas (por cierto muy escasos) en cuya solución solo se requieren operaciones de adición y substracción. En tales casos se siguen otras reglas:
- El resultado final no debera tener cifras significativas en aquellos órdenes que no existan, aunque sólo sea en uno de los datos aproximados.
- En los resultados intermedios es necesario conservar una cifra significativa mas, que lo establecido para el final.
37,5 m 185,69 m, 0,6225 m,
y para la resolución se necesita restar el primer número de la suma de los otros, entonces en la suma
185,69 + 0,6225 = 186,3125,
como resultado intermedio, se elimina la última cifra (es decir, se conserva 186,312), y en la diferencia186,312 - 37,5 = 148,812
En el resultado final, solo se conserva 148,8.
8. Ahorro de trabajo de calculo
¿Cómo evaluar cuanto trabajo de calculo nos ahorramos, empleando los métodos descritos?
Para esto es necesario efectuar dos veces cualquier calculo complicado: una vez, conforme a las reglas aritméticas ordinarias; la otra, de manera aproximada. Y después, se cuenta pacientemente, de forma separada, cuantas veces llegamos, a sumar, restar y multiplicar, en ambos casos. Resulta que el calculo aproximado requiere de estas operaciones elementales 2 1/2 veces menos, que el "exacto".
Los argumentos acerca de su validez carecen de importancia para motivar un error.
De suerte que para efectuar los calculos aproximados se requiere un tiempo cerca de 2 1/2 veces menor que para realizar los calculos conforme a las reglas habituales. Pero el ahorro de tiempo no es la única ventaja. Cada operación complementaria de calculo, cada suma, resta o multiplicación adicional de cifras, resulta una razón mas para motivar un error. La probabilidad de errar en los calculos aproximados es 2 1/2 veces menor que en los "exactos". Y el precio del error consiste en efectuar el calculo de nuevo, sino totalmente, por lo menos en parte. En tal caso, los calculos aproximados nos ahorran trabajo y tiempo en mas de 2 1/2 veces que en el calculo corriente. El tiempo empleado para su aprendizaje, se retribuye rapida y generosamente.
9. Curiosidades aritméticas

1. Gigantes numéricos de nuestra realidad
2. ¿qué tan grande es un millón?
3. Un millón en los engranajes
4. Un millón de segundos
5. Banda de un millón de cabellos
6. Ejercicios con un millón
7. Nombres de los gigantes numéricos
8. El billón
9. El trillón
10. Números supergigantes
11. Devoradores de gigantes numéricos
12. Gigantes del tiempo
13. Curiosidades aritméticas
1. Gigantes numéricos de nuestra realidad
Son de imponente majestuosidad los gigantes numéricos: el millón, el billón, el trillón, etc.[65] Estos números, en otro tiempo inaccesibles a nuestra imaginación, surgen permanentemente en la vida diaria de la realidad socialista.
échese una mirada, por ejemplo, a la comunicación de la Dirección Central de Estadística ante el Consejo de Ministros de la URSS sobre la producción de las formas fundamentales de la industria en el año 1958, y en casi cada renglón se encuentra uno de los gigantes numéricos. En esta comunicación leemos que en el año 1958 se produjeron cerca de:
40 millones de toneladas de hierro
55 millones de toneladas de acero
43 millones de toneladas de laminado en barras
113 millones de toneladas de petróleo
33 millones de toneladas de cemento
356 millones de pares de calzado de piel
303 millones de metros de tejidos de lana
25 millones de relojes de todos los tipos
1,5 millones de camaras fotograficas
1 millón de televisores
3,5 millones de toneladas de carne
1 millón de toneladas de productos de charcutería
3 millones de toneladas de pescado
5,5 millones de toneladas de azúcar
68 millones de metros cuadrados de superficie habitable.
También encontramos en esta comunicación otro gigante numérico: el billón, que es 1000 veces mayor que el millón. Así, por ejemplo, en el mismo año 1958 se extrajeron cerca de:
30 billones de metros cúbicos de gas.
0,5 billones de toneladas de hulla
233 billones de kilowatt-hora de energía eléctrica
6 billones de metros de tejidos de algodón
0,8 billones de metros de tejidos de seda
28 billones de ladrillos
1 billones de latas de conservas
8,5 puds (El pud es una antigua medida rusa de peso, que equivale a 16,28 kilogramos.) de semillas
23,5 billones de huevos
1,1 billones de ejemplares de libros
el volumen de las inversiones de capital alcanzó un total de 235 billones de rublos.
Pero tampoco el billón es el límite. También se encontró lugar en esta comunicación, para otro gigante numérico: el trillón, que es igual a 1000 billones ó 1 millón de millones.
En esta forma, en el año 1958 el movimiento de mercancías en todos los tipos de transporte, constituyó un total de cerca de 1,6 trillones de toneladas por kilómetro, de los cuales 1,3 trillones se transportaron en ferrocarril.
¡Todo esto fue producido en el año 1958 solamente! Y adelante esta un programa mucho mas majestuoso y grandioso de desarrollo de 1a construcción del comunismo en nuestro país, trazado por el XXI congreso histórico del Partido Comunista de la Unión Soviética para el septenio de 1959 a 1965. Sobre este plan septenal de nuestro impetuoso desarrollo económico, hablaremos con detalle mas adelante.
Para aquellos que no tienen un concepto preciso del tamaño del millón, del billón y del trillón, no resultan cabalmente comprensibles los colosales alcances que obtuvimos ya en 1958.
Cuando usted lee los números antes citados, ¿qué imagenes saltan a su mente? Para percibir cuan granes son estos números, vale la pena invertir algo de tiempo en "la gimnasia aritmética" que desarrolla la capacidad para visualizar correctamente las dimensiones reales de los grandes números.
2. ¿Qué tan grande es un millón?
Empecemos con el millón. La palabra "millón" significa un millar de miles. En el siglo XIII, el conocido viajero Marco Polo visitó China y para expresar las inmensas riquezas de este maravilloso país, inventó la palabra "millón".
Si se desea apreciar las dimensiones reales de un millón, pruébese el poner un millón de puntos en un cuaderno limpio. Yo no propongo a los lectores llevar hasta el final dicho trabajo (dudo mucho que tenga suficiente paciencia), pues ya desde el comienzo del mismo, su lento curso hace sentir a los lectores lo que es un millón "real."
El naturalista inglés Alfred Russell Wallace, colaborador del célebre Darwin, dio un valor muy formal al desarrollo de la representación correcta acerca del millón. En el libro "La posición del hombre en el Universo" propuso que "en cada escuela grande se destine un cuarto o una sala, en cuyas paredes se pueda mostrar claramente qué es un millón. Para este objeto son necesarios 100 grandes pliegos cuadrados de papel, de 4 1/4 pies cada uno, para trazar cuadrados de 1/4 de pulgada, dejado igual número de espacios blancos entre las manchas negras. Después de cada 10 manchas es necesario dejar un espacio doble para separar cada cien manchas (10 x 10). De esta manera, en cada pliego habra hasta 10 mil manchas negras, bien diferenciadas a partir del centro de la sala, y todos los cien pliegos contendran un millón de manchas. Tal sala sera, en alto grado, instructiva… Nadie puede valorar los logros de la ciencia contemporanea, que tienen que ver con magnitudes inconcebiblemente grandes o pequeñas, si es incapaz de representarselas claramente y, resumiendo en conjunto, de imaginar en sí qué tan grande es un millón, cuando la astronomía, la física contemporanea llegan a tener que ver con centenas, millares y aún millones de tales millones (Por ejemplo las distancias mutuas entre los planetas se miden con decenas centenas de millones de kilómetros; las distancias hasta las estrellas con millones de millones de kilómetros, y el número de moléculas en un centímetro cúbico de aire que nos rodea con millones de millones de millones). En todo caso, es muy conveniente que en cada ciudad grande se construya una de tales salas, para mostrar claramente en sus paredes el tamaño de un millón".
Yo no sé si el deseo del naturalista fue cumplido en su país, pero yo mismo tuve ocasión de llevar a cabo su proposición en Leningrado, en el Parque Central de cultura y descanso. Aquí, en un pabellón especial de la ciencia recreativa, fueron marcados en el techo, un millón de círculos obscuros.
El inmenso campo de puntos negros produjo una intensa impresión entre los visitantes, y proporcionó, efectivamente, la posibilidad de percibir la grandiosidad de un millón.
La impresión aumentó al comparar este conjunto, con otro conjunto que desde hacía mucho tiempo se tomaba por incalculable: el número de estrellas visibles en el cielo a simple vista. No obstante la creencia general, el ojo normal ve en la semiesfera del cielo nocturno solamente un total de 3 ½ millares de estrellas. Este número es 300 veces menor que un millón. Un pequeño círculo celeste en el techo del pabellón citado, que abarca 3500 puntos obscuros, y que representa el cielo nocturno, recalca con claridad, por sus modestas dimensiones, la grandiosidad del auténtico gigante numérico: el millón.
Quiza interese al lector conocer el método con que fue marcado el millón de puntos sobre el techo, pues cabe hacerse la siguiente pregunta ¿En cuanto tiempo debieron realizar este monótono trabajo los pintores? El pabellón no hubiera sido rapidamente terminado si los pintores se hubiesen ocupado en marcar a mano, todos y cada uno de los puntos del millón. La obra fue realizada con gran facilidad: se encargaron papeles para tapizar, con puntitos distribuidos ordenadamente y se pegaron en el techo.
3. Un millón en los engranajes
En una forma completamente distinta, la inimaginable magnitud del millón se ha representado en la Casa de la Ciencia Recreativa en Leningrado. Esto se logra mediante un pequeño mecanismo cuya imagen se puede ver en la Fig. 52.
Se ha escogido y enlazado una serie de engranajes en este artilugio, de tal forma, que cuando se gira 10 veces la manivela, la aguja del primer cuadrante realiza una vuelta. Cuando la manivela gira 100 veces, la aguja de este cuadrante recorre 10 veces el círculo y simultaneamente la aguja del segundo cuadrante efectúa una vuelta. Para hacer que gire una vez la aguja del tercer cuadrante, es necesario que la manivela del aparato realice 1000 vueltas. Después de 10 000 vueltas de la manivela, la aguja del cuarto cuadrante gira una vez; después de 100 000, gira la quinta aguja y, finalmente, después de 1 000 000 de vueltas de la manivela, gira una vez la sexta y última aguja.

Figura 52. Es necesario girar ininterrumpidamente durante once días la manivela del aparato para que las agujas señalen 1.000.000 de vueltas
Si el millón de círculos sobre el techo sorprende a la vista, este aparato actúa directamente sobre los músculos: Girando la manivela y observando qué tan lentamente se mueven las aguja en los últimos cuadrantes, sentimos directamente en nuestros brazos, el peso de los seis ceros que siguen a la unidad, al representar el millón. En efecto, para alcanzar el sexto cero es necesario girar la manivela del aparato sin descanso y sin interrupción en el transcurso de once días (considerando una vuelta por segundo).
4. Un millón de segundos
Aquí propongo un método para desarrollar la representación mas clara y accesible del millón. Para esto solo es necesario ejercitarse mentalmente en alcanzar el millón, contando pequeñas unidades, bien conocidas para nosotros: pasos, minutos, cerillas, vasos, etc. Con frecuencia se obtienen resultados inesperados y extraordinarios.
Veamos algunos ejemplos.
¿Qué tiempo tomara el trabajo de contar un millón de objetos cualesquiera, a razón de uno por segundo?
Resulta que contando ininterrumpidamente diez horas por día, la cuenta se terminaría en un mes.
No es difícil convencerse de esto mediante un calculo aproximado: en una hora hay 3600 segundos; en 10 horas, 36 000; por consiguiente, en tres días se cuentan cerca de 100 mil objetos; y puesto que un millón es diez veces mayor, para llegar a él se necesitan 30 días. (Señalamos a modo de información, que en un año (astronómico) hay 31 558 150 segundos: un millón de segundos es exactamente igual a 11 días, 13 horas, 46 minutos, 40 segundos).
De aquí se sigue, a propósito, que el trabajo anteriormente propuesto, representar un millón de puntos en un cuaderno, requeriría algunas semanas de trabajo puntual y continuo.
El error aleccionador del propio Wallace muestra hasta qué grado tienden los hombres a subestimar el millón. Previniendo otros respecto de la subestimación del millón, Wallace termina el fragmento citado arriba, con el consejo:
"Cada uno se puede organizar esto mismo para sí, en pequeñas dimensiones: cuesta sólo obtener cien pliegos de papel grueso, trazar cuadrados sobre ellos y colocar grandes puntos negros. Semejante representación sera muy instructiva, aunque no al grado, naturalmente, de la realizada a gran escala". El honorable autor, al parecer, creyó que un solo hombre podía realizar este trabajo.
5. Banda de un millón de cabellos
La finura de un cabello ha llegado a ser notoria. Cualquiera puede saber qué tan fino es un cabello con sólo mirarlo. El espesor de un cabello humano es de unos 0,07 mm, lo que podemos redondear a 0,1 mm. Imagínese un millón de cabellos puestos en fila, uno al lado del otro. ¿Cual sera el ancho de la banda? ¿Podra pasar a través de una puerta?
Si nunca se ha pensado en este problema, se puede asegurar que, de no efectuar calculo alguno, se dara una respuesta totalmente errónea. Es posible que se discuta la respuesta, aún teniendo el valor correcto, ya que puede parecer absurda. ¿Cual es ésta?
Resulta que el ancho de la banda de un millón de cabellos alcanza casi los cien metros.
Sería difícil que cupiera, ya no a través de una puerta, sino a lo ancho de una calle de una metrópoli. Esto parece improbable, pero tomandonos el trabajo de hacer cuentas, nos convencemos de que es real
0,1 mm x 1.000.000 = 0,1 m x 1000 = 0,1 km = 100 m
(Aca efectuamos la multiplicación por el siguiente procedimiento: en lugar de multiplicar los números, substituimos dos veces la unidad de medida por otra mil veces mayor. Este método es conveniente cuando realizamos mentalmente los cómputos y su empleo resulta útil al efectuar calculos con medidas métricas.).
6. Ejercicios con un millón
Hagase una serie de ejercicios, mucho mejor mentalmente, para familiarizarse convenientemente con el millón.
Problema
El tamaño habitual de un mosquito de habitación, generalmente es de unos 7 mm. ¿Pero cual sería su longitud al aumentarsele un millón de veces?

Figura 53. Mosquito aumentado en un millón de veces.
Solución:
Multiplicamos 7 mm por 1 000 000, y obtenemos 7 km; el ancho aproximado de una gran ciudad. Quiere decir que el mosquito aumentado longitudinalmente un millón de veces, podría cubrir dicha ciudad con su cuerpo. Un mosquito, aumentado en un millón de veces, tendría también un aspecto monumental (ver Fig. 53).
Problema
Aumenten mentalmente un millón de veces (el ancho) de sus relojes de bolsillo y obtendran de nuevo un resultado sorprendente; es poco probable se les ocurra la respuesta anticipada, sin realizar el calculo. ¿Cual es?
Solución:
Los relojes tendrían 50 kilómetros de ancho, y cada cifra se extendería sobre una milla geografica (7 km).
Problema
¿Qué altura alcanzaría un hombre, un millón de veces mas alto que la talla normal?
Solución:
1700 kilómetros. El sería, en total, 8 veces menor que el diametro de la esfera terrestre. Literalmente, podría ir de Leningrado a Moscú dando un solo paso, y si se acostara (Fig. 54), se extendería desde el golfo de Finlandia hasta Crimea.

Figura 54. Un hombre aumentado un millón de veces, se extendería desde el golfo de Finlandia hasta Crimea
Presento algunos calculos mas del mismo tipo, dando al lector la posibilidad de comprobarlos:
- Caminando un millón de pasos en una misma dirección, se avanzan unos 600 kilómetros. De Moscú a Leningrado hay un poco mas de un millón de pasos.[66]
- Un millón de hombres alineados en una sola fila, hombro con hombro, se extendería 250 km
- Un millón de puntos de un caracter tipografico de este libro, colocados muy juntos, formarían una línea de 100 metros de longitud
- Sacando agua con un dedal un millón de veces, se vacía cerca de una tonelada de agua
- Un libro con un millón de paginas tendría un espesor de 50 metros
- Un libro impreso en letra pequeña con un total de 600 a 800 paginas de tamaño medio, contiene un millón de letras
- Un millón de días son mas de 27 siglos. ¡Desde el principio de nuestra era aún no ha transcurrido un millón de días!
Haciendo estos ejercicios con un millón, podemos ahora con mérito, estimar el colosal trayecto que cubrió el tercer satélite artificial soviético de la Tierra, lanzado el 15 de mayo de 1958. Giró alrededor de la Tierra, en solo un año, casi 5100 veces y durante ese tiempo recorrió una trayectoria que supera los 230 millones de kilómetros. Esto constituye mas de una y media veces la distancia hasta el Sol. Si nuestro explorador cósmico circulara entre la Tierra y la Luna, durante este año hubiese volado 300 veces de ida y vuelta a la Luna (La distancia media de la Tierra al Sol es igual a 150 millones de kilómetros; y de la Tierra a la Luna es igual a 389 400 kilómetros).
7. Nombres de los gigantes numéricos
Ya charlamos un poco sobre los millones. Antes de pasar a gigantes numéricos aún mayores, detengamonos en sus nombres, admitidos en una serie importante de países.
Al principio del libro hicimos mención a los órdenes y las clases en nuestro sistema de numeración decimal. Así, a lo indicado anteriormente añadimos ahora, que el millón equivale a mil veces mil, es decir, que es una unidad de tercera clase. Después le siguen las decenas, y las centenas de millones.
Un millar de millones forman la unidad de cuarta clase, denominada billón. De este modo 1 billón es igual a 1000 millones. Se escribe en la forma:
1 000 000 000,
es decir, una unidad con nueve ceros.
En América Latina y en España un billón es igual a un millón de millones. Se escribe de esta forma:
1 000 000 000 000,
es decir, una unidad con doce ceros.
Un millar de billones forman la unidad de quinta clase, que recibe el nombre de trillón. De esta manera, un trillón es igual a un millón de millones y se escribe en forma:
1 000 000 000 000,
es decir, una unidad con doce ceros.
En América Latina y en España un trillón es igual a un billón de millones. Se escribe de esta forma:
1 000 000 000 000 000 000,
es decir, una unidad con dieciocho ceros.
Si les interesan los nombres de los supergigantes que siguen después del trillón, deben estudiar la tabla que aquí se presenta:
| Nombre del gigante numérico | Ceros después de la unidad |
| Cuatrillón | 15 |
| Quintillón | 18 |
| Sextillón | 21 |
| Septillón | 24 |
| Octillón | 27 |
| Nonillón | 30 |
| Decillón | 33 |
| Undecillón | 36 |
| Duodecillón | 39 |
Después de este valor, ya no se tienen nombres. Estos, en esencia, casi no se usan y son muy poco conocidos.[67]
En ciertos países se admite otro orden de los nombres de las clases, de manera que los nombres de las clases que coinciden con los admitidos por nosotros, tienen allí otros valores completamente diferentes. Por billón se entiende allí, no un millar, sino un millón de millones, es decir, la unidad con 12 ceros; por trillón se entiende la unidad con 18 ceros, es decir, un millón de millón de millones, y por la palabra cuadrillón la unidad con 24 ceros, es decir, un millón de millón de millones, etc. En suma, en estos países se asigna un nombre a cada unidad equivalente a un millón de unidades inmediatamente inferiores a ella (y no a un millar de ellas, como entre nosotros). Para evitar malentendidos conviene, por tal razón, siempre se acompaña el nombre con las cifras que representa.
Conviene, sin embargo, observar que en los libros científicos y en la practica se adopta otra notación para los gigantes numéricos, que excluye cualquier posibilidad de una doble interpretación. Este método se basa en el uso de las potencias.
Por ejemplo, un trillón, es decir, la unidad con doce ceros se representa por el número 10, elevado a la potencia 12. Esto se escribe así
1 000 000 000 000 = 1 x 1012
es decir, que un trillón es la unidad, multiplicada por 10 elevado al exponente 12.
Veamos un ejemplo. El número 2 cuadrillones 400 trillones, se escribe brevemente así:
2,4 x 1015
puesto que un cuadrillón es una unidad seguida de 15 ceros (ver la tabla mostrada antes).
Uno se encuentra frecuentemente en la física y la astronomía, con tal procedimiento de notación de números muy grandes, pues así se ahorra espacio y, ademas, se facilita enormemente su lectura y la realización de las diversas operaciones (Ver mas detalles sobre esto en el libro: Yakov I. Perelman "Algebra Recreativa" www.librosmaravillosos.com).
8. El billón
El billón es uno de los nombres jóvenes de los números. Entró en uso al finalizar la guerra franco-prusiana (año 1871), cuando a los franceses se les condenó, debido a su derrota, a pagar a Alemania una contribución de 5 000 000 000 francos.
Para formarse una idea del tamaño del billón, piense en que el libro que ahora esta leyendo encierra algo mas de 300 000 letras. En tres de estos libros se encuentra un millón de letras. Y en una pila de 30.000 ejemplares de este libro habran 10 billones de letras, pila que organizada adecuadamente, formara una columna cuya altura sera dos veces mayor que la Torre Eiffel de París,[68] o sea, aproximadamente de 600 m, si se considera que el grueso del libro es de dos centímetros.
Ya hablamos antes sobre la piramide de Keops, la piramide mas alta del antiguo Egipto, y ¿saben ustedes que con la hulla que se extrajo en 1965, se podrían formar 170 de tales piramides?
Para el año de 1965 se planeó llevar la fundición de hierro entre 65 y 70 millones de toneladas, la fundición de acero entre 86 y 91 millones de toneladas, la producción de laminado entre 65 y 70 millones de toneladas, la extracción de petróleo entre 230 y 240 millones de toneladas.

Figura 55. Un tren con el carbón que se extrajo en el año 1965, se podría rodear la tierra sobre el ecuador, 2 ½ veces.
Intenten calcular cual fue la producción diaria en 1965, y se convenceran de lo ambicioso que fue el plan.
En 1965, en solo 15 días se extrajo mas petróleo y se fundió mas acero, que en la Rusia zarista durante todo el año 1913.
Ejemplos mucho mas sorprendentes representan en sí, las cifras de control conforme a la producción de energía eléctrica y a la extracción de gas.
Todas las estaciones eléctricas de nuestro inmenso país produjeron en 1965 de 500 a 520 billones de kilowatts-hora de energía eléctrica, es decir, cerca de 1,4 billones de kilowatts-hora por día. Para representarse este número gigante, realicemos una comparación. Un kilowatt-hora de energía eléctrica puede realizar tanto trabajo, como el que hacen dos vigorosos obreros al día. De esta manera en 1965 en nuestras fabricas, minas, yacimientos, construcciones, sovjoses, koljoces, trabajaron diariamente 2 billones 800 millones de "obreros electricistas", es decir, tantos, como todos los hombres que había sobre la esfera terrestre en ese entonces. Queda agregar aún, que en 1966, en solo 32 horas se produjo tanta energía eléctrica, como la que se produjo en la Rusia zarista durante todo el año 1913.
Se proyectó para 1965, extraer 150 billones de metros cúbicos de gas. Pero para conservar todo este gas en un balón, se necesitada construir un balón esférico cuyo diametro superase los 6,5 kilómetros.
Ahora hablemos brevemente sobre los cereales, productos y mercancías de amplio consumo. Si nos detuviéramos a charlar detalladamente sobre todos los gigantes numéricos del plan septenal, entonces se tendría, quizas, que escribir un nuevo libro mas al respecto.
En 1966 se estimó recolectar una cosecha de cereales de 10 a 11 billones de puds (en 1958 fueron recolectados 8,5 billones de puds). Tratemos de representar el peso de estos cereales. Al realizar la conversión de unidades, se obtiene un total de 160 a 176 millones de toneladas. Para el transporte de tal cantidad de cereales se necesitaron de 40 a 44 millones de camiones con una capacidad de carga de 4 toneladas; si se colocaran en una sola fila, formarían un tren, cuya longitud superaría enormemente la mitad de la distancia de la Tierra a la Luna.
Aportemos algunos de los gigantes numéricos del plan de promoción de las industrias de alimentos y la industria ligera[69] en el último año del septenio. En 1965, se proyectó producir
- Mas de 6 millones de toneladas de carne,
- 1 millón de toneladas de manteca animal,
- 13,5 millones de toneladas de productos lacteos,
- 9,2 a 10 millones de toneladas de azúcar refinada,
- cerca de 8 billones de metros de tejidos de algodón,
- ½ billón de metros de tejidos de lana,
- cerca de 1 1/2 billones de metros de tejidos de seda, y mas de ½ billón de pares de calzado de piel.
Proporcionemos algunas comparaciones. Si alguien deseara medir otra vez toda la producción de tejidos de algodón en 1565, a razón de un metro por segundo, debería medirla durante mas de 800 años, a razón de 10 horas diarias. Y si se presentan todas las piezas de este tejido, desplegadas y unidas en una sola banda de un metro de ancho, dicha banda podría rodear la Tierra, sobre el ecuador, 200 veces. Dicha banda cabría 20 veces entre la Tierra y la Luna (fig. 56).

Figura 56. La banda de todos los tejidos de algodón que se produjeron en 1965, cabría 20 veces entre la Tierra y la Luna
En 1965 se editaron 2 billones de ejemplares de libros. La biblioteca mas grande del mundo, la Biblioteca V. I. Lenin de Moscú, contaba con 12 millones de de libros. De esta forma, con todos los libros que se publicaron en 1965, se podrían completar 166 bibliotecas tan inmensas como ésta. Si se considera el espesor medio de un libro inferior a 1 centímetro, para colocar todos estos libros se necesitaría un estante con una longitud total de 20 mil kilómetros.
9. El trillón
Resulta difícil apreciar el gran tamaño de este gigante numérico, inclusive para un hombre habituado a tratar con millones. El gigante-millón, es tan enano junto al super-gigante-trillón, como la unidad frente al millón. Habitualmente nos olvidamos de esta relación y en la propia imaginación no hacemos gran diferencia entre el millón y el trillón. Nos asemejamos aquí a aquellos pueblos primitivos que saben contar sólo hasta el 2 ó hasta el 3, y designan por la palabra "muchos" a todos los números mayores que ellos.
En forma semejante a los botocudo (Botocudo: tribu indígena del Brasil, casi completamente exterminada, llamada así por su deformación del labio inferior de la boca. Es interesante anotar que su sistema de numeración es binario (N. del T.)) que les parece insignificante la diferencia entre el dos y el tres, así también a algunas personas de culturas contemporaneas, les parece trivial la diferencia entre un millón y un trillón. Cuando menos, no piensan en que uno de estos números es un millón de veces mayor que el otro y que, vale decir, el primero se relaciona al segundo, como 1a distancia de Moscú a San Francisco se relaciona al ancho de una calle.
Si se aumentara el grueso de un cabello un trillón de veces, tendría 8 veces el espesor de la esfera terrestre, y una mosca con igual aumento, tendría 70 veces el espesor del Sol.
En 1958 se publicaron 1,1 billones de libros; si se considera que cada libro contiene 160 000 letras en promedio (estas letras caben en unas 80 paginas de tamaño similar al de este libro), entonces la cantidad de letras de todos estos libros sería igual, en números redondos, a 150 trillones. Colocadas en hilera, muy cerca una de otra, formarían un hilo que se extendería de la Tierra al Sol.
El movimiento de mercancías en todos los medios de transporte, fue de 2,5 trillones de toneladas kilómetros, en 1965. Esto quiere decir que, en todos los medios de transporte se transportaron, en 1965, 16,5 mil toneladas de carga una distancia igual a la que hay de la Tierra al Sol.
Finalmente, el gigante mas grande de todos los números del plan septenal, fue el volumen de las inversiones estatales de capital para 1959-1965, fijado en la suma de dos trillones de rublos. Este gigantesco número equivale a lo que valían miles de fabricas, estaciones eléctricas, pozos de petróleo y gas, minas, nuevas carreteras, ciudades con casas totalmente nuevas.
10. Números supergigantes
En la antigua "Aritmética" de Magnitski (siglo XVIII), sobre la cual ya hicimos mención mas de una vez, se proporciona la tabla de nombres de las clases de los números hasta el cuadrillón, es decir, la unidad con 24 ceros (Magnitski emplea la clasificación de los números que asigna un nombre a cada unidad equivalente a un millón de unidades inmediatamente inferiores a ella (el billón es un millón de millones, etc.)
En nuestra clasificación, la unidad con 24 ceros se llama septillón. En lo sucesivo, se tendran en cuenta los nombres que se muestran en la tabla).
Este fue un gran avance en comparación con la mas antigua clasificación numérica de nuestros antecesores. La antigua escalera eslava de los grandes números, fue hasta el siglo XV, excesivamente modesta, y solo llegó hasta los cien millones. He aquí esta antigua numeración
| "tysiascha" | 1 000 |
| "tma" | 10 000 |
| "legion" | 100 000 |
| "leodr" | 1 000 000 |
| "vran" | 10 000 000 |
| "koloda" | 100 000 000 |
Magnitski en su tabla, amplió generosamente los antiguos límites de los grandes números. Pero consideraba practicamente inútil prolongar demasiado el sistema de nombres de los gigantes numéricos. Después de la tabla, el antiguo matematico señala (En honor a la verdad, aquí Magnitski coloca unos versos alusivos al tema, pero tornando en cuenta que estan en ruso antiguo y son, por tanto, casi intraducibles, los hemos omitido para evitar que una traducción incorrecta a ellos, falsee los pensamientos allí contenidos. (N. del T.)) que puesto que la mente humana no puede abarcar una serie infinita de números, entonces es inútil definir números mayores que los representados en su tabla. Los números que se contienen en ella (desde la unidad hasta el septillón, es decir, desde 1 hasta 1 x 1024 inclusive) son suficientes, de acuerdo a su opinión, para efectuar calculos con todos los objetos del mundo visible.
Es interesante que, aún en nuestros días, la mencionada tabla de Magnitski resulte adecuada para los investigadores de la naturaleza que se ocupan de los fenómenos de caracter estelar.
En la medición de las distancias hasta los mas lejanos astros, apenas perceptibles con ayuda de los mas potentes telescopios y radiotelescopios, los astrónomos no llegan a utilizar nombres por encima del billón.
Los cuerpos celestes mas alejados, conocidos por nosotros estan a una distancia de la Tierra superior a un billón de "años luz" (El "año luz" es una unidad de longitud empleada en astronomía, equivale al espacio recorrido por la luz en el transcurso de un año (la luz en un segundo cubre aproximadamente, 300 000 kilómetros (N. del T.)). Si desearamos expresar esta distancia en centímetros, obtendríamos alrededor de 10 000 septillones; en ese caso, tampoco saldríamos de los límites de la tabla de Magnitski.
Por otro parte, al viajar al mundo de las magnitudes mas pequeñas, no sentimos la necesidad de utilizar números superiores al septillón. El número de moléculas en un centímetro cúbico de gas, uno de los mas grandes conjuntos realmente calculados, se expresa en decenas de quintillón.
El número de oscilaciones por segundo, de las ondas electromagnéticas mas cortas conocidas hasta ahora, no supera un sextillón, es decir a 1 x 1021. Si intentaramos contar cuantas gotas hay en el océano (igualando el volumen de una gota a 1 mm cúbico, lo que es exiguo), tampoco llegaríamos a emplear los nombres superiores al septillón, porque este número se calcula sólo por millares de septillón.
Y solo en caso de querer expresar cuantos gramos de materia contiene todo nuestro sistema solar, se necesitara un nombre por encima del septillón, puesto que este número tiene 34 cifras (el 2 y 33 ceros): 2 x 1033.
11. Devoradores de gigantes numéricos
Finalmente, detengamonos en un gigante numérico (mas exactamente, geométrico) de un tipo especial: la milla cúbica; tenemos en cuenta que la milla geografica constituye una quinceava parte de un grado ecuatorial y mide 7420 metros. Nuestra imaginación es débil cuando de apreciar las medidas cúbicas se trata; de ordinario subestimamos en gran medida su magnitud, particularmente cuando se trata de las grandes unidades con las que se llega a tener contacto en astronomía. Pero si nos representamos erróneamente la milla cúbica, la mas grande de nuestras medidas volumétricas, entonces, seran erróneas nuestras representaciones del volumen de la esfera terrestre, del volumen de los otros planetas y del volumen del Sol. Por esta razón, vale la pena dedicar un poco de tiempo y atención, para tratar de conseguir una representación mas apropiada de la milla cúbica.
En lo que sigue, haremos uso de una exposición de cuadros de un libro semiolvidado "Un viaje fantastico a través del universo" (que se publicó hace mas de 100).
"Supongamos que en una carretera recta tenemos un alcance visual de una milla (7 ½ km.). Fabriquemos un mastil con una longitud de una milla y coloquémoslo en un extremo de la carretera. Ahora miremos hacia arriba y observemos qué tan alto es nuestro mastil.
Supongamos que al lado de este mastil se halla una estatua humana con la misma altura, la estatua tiene una altura de mas de siete kilómetros de altura. En tal estatua la rodilla se encontrara a una altura de 1800 metros; sera necesario apilar 25 piramides egipcias, una sobre otra, para alcanzar la cintura de la estatua.
Imaginémonos ahora, que hemos colocado dos de estos mastiles de una milla de altura, separados una milla uno del otro, y unidos por planchas; obtendríamos una pared de una milla de longitud y una de altura. Esto es una milla cuadrada.
Tenemos una pared vertical de madera. Imaginemos cuatro paredes iguales, elevadas formando un cajón (fig. 57). Cubrimos dicho cajón por encima, con una tapa de una milla de longitud y una milla de ancho. Este cajón ocupa el volumen de una milla cúbica. Observemos ahora qué tan grande es, o sea, qué tanto se puede colocar en él.

Figura 57. El cajón con un volumen de una milla cúbica geografica, podría contener los edificios de todo el mundo, las flotas de todos los estados, todas las maquinas y construcciones de los cinco continentes, todos los habitantes del mundo, incluidos los animales, y con eso, aún no se llenaría
Quitando la tapa, empecemos lanzando en el cajón todos los edificios de Leningrado. Estos ocupan allí muy poco lugar.
Se parte hacia Moscú, y en el camino cogemos todas las grandes y las pequeñas ciudades. Pero como todo esto solo cubrió el fondo del cajón, debemos buscar materiales en otro lugar, para llenarlo. Tomemos a París con su arco del triunfo y su torre Eiffel y lancémosle allí. Como en el principio, el aumento apenas es manifiesto. Agreguemos a Londres, Viena y Berlín. Puesto que todo esto resulta muy pequeño para llenar el vacío del cajón, empezamos a lanzar allí, indistintamente, todas las ciudades, las fortalezas, los castillos, las aldeas, los diversos edificios. Sin embargo, es poco. Lancemos allí, todo lo hecho por las manos del hombre en Europa; pero aún con todo esto, el cajón apenas se llena hasta una cuarta parte. Lancemos al cajón todas las piramides egipcias, todos los rieles de los Viejo y Nuevo Mundos, todas las maquinas y fabricas del mundo, todo lo que esta hecho por los hombres en Asia, africa, América, y Australia. El cajón se llena apenas hasta la mitad. Sacudamosle para se acomode todo de mejor forma, y probemos, si es posible, completarlo con hombres.
Reunamos toda la paja y todo el algodón que existen en el mundo, y extendamoslos en el cajón; obtenemos así una capa que protege a los hombres de las contusiones inherentes a la realización de esta experiencia. Toda la población de Alemania se acuesta en la primera capa. Cubramosla con una suave capa de un pie de espesor y acostemos otra tanda. Cubramos también esta capa y colocando después capa sobre capa, coloquemos en el cajón toda la población, de Europa, Asia y africa, América, Australia... Todo esto ocupa no mas de 50 capas, es decir, considerando una capa de un espesor de 1 metro, en total son 50 metros. Se necesitarían decenas de veces mas hombres que los que existen sobre la Tierra para llenar 1a segunda mitad del cajón…
¿Qué hacemos? Si deseamos colocar en el cajón todas las especies vivientes del mundo, todos los caballos, toros, burros, mulos, carneros, etc., y sobre ellos poner todas los pajaros, peces y serpientes, todo lo que vuela y se arrastra- ni aún así llenaríamos el cajón hasta los bordes sin ayuda de arena y rocas.
Tal es el volumen de una milla cúbica. Y de la esfera terrestre pueden hacerse 660 millones de cajones semejantes a este. Con todo respeto para la milla cúbica, a la esfera terrestre se le llega a alimentar aún con mucho mas consideración".
A lo indicado agreguemos, que la milla cúbica de granos de trigo contaría con algunos quintillones de ellos. Como se ve, este gigante cúbico es un moderno devorador de otros gigantes (Y toda la grandiosidad de este gigante cúbico disminuye significativamente si so considera que el peso del gas que se ha determinado extraer en 1965, ocuparía mas de la tercera parte del volumen de este devorador de gigantes numéricos).
12. Gigantes del tiempo
Solemos representar los inmensos intervalos de tiempo, de forma mucho mas confusa que los enormes volúmenes y distancias. La geología enseña que a partir del tiempo de sedimentación de las mas antiguas capas de la corteza terrestre, han transcurrido cientos de millones de años.
¿Cómo percibir la inconmensurable grandiosidad de tales períodos de tiempo? Un científico propone para ello, un método:
"Representamos por una línea recta de 500 km, todo el transcurso de la historia de la Tierra.
Asumamos que esta distancia represente los 500 millones de años que transcurrieron desde el principio de la época Cambriana (una de las épocas mas antiguas de la historia de la certeza terrestre).
Puesto que un kilómetro representa una duración de un millón de años, entonces los últimos 500 a 1000 m. representan la duración del período glacial, y los 6000 años de la historia del mundo se reducen a 6 m.; en esta escala, 70 años de vida del hombre se representan por una línea de 7 cm.
Si se obliga a un caracol a arrastrarse toda la distancia antes mencionada, con su velocidad normal, que es de 3,1 mm por segundo, tardaría 5 años en recorrerla; y toda la extensión desde el comienzo de la primera guerra mundial hasta nuestros días, la superaría en 40 segundos... Así vemos cuan insignificantes son, en la escala de la historia de la Tierra, esos breves lapsos de tiempo que el hombre puede abarcar con su propia inteligencia".
13. Curiosidades aritméticas

Capítulo 10
Liliputienses numéricos
1. De gigantes a enanos
2. Liliputienses del tiempo
3. Liliputienses del espacio
4. Supergigante y superliliputiense
5. Curiosidades aritméticas
1. De gigantes a enanos
Gulliver en sus viajes, habiendo abandonado a los liliputienses, se encontró entre gigantes.
Nosotros viajamos en sentido inverso: una vez entabladas las relaciones con los gigantes numéricos, pasamos al mundo de los liliputienses, a los números que son tantas veces menores que la unidad, como la unidad es menor respecto a un gigante numérico.
Hallar representantes de este mundo no constituye ningún trabajo. Para esto es suficiente escribir una serie de números recíprocos del millón, del billón, del trillón, etc., es decir, dividir la unidad entre estos números. Las fracciones resultantes,
son típicos liliputienses numéricos, igualmente pigmeos en comparación a la unidad, como ésta lo es en comparación con el millón, el billón, el trillón y con otros gigantes numéricos.
Como vemos, a cada número gigante le corresponde un número liliputiense y, por consiguiente, existen no menos liliputienses numéricos, que gigantes. Ya hicimos mención a que los números muy grandes en las obras científicas (en astronomía, en física) se denotan así:
1 000 000 = 106
10 000 000 = 107
400 000 000 = 4 x 108
6 cuadrillones = 6 x 1015, etc.
En correspondencia con estos, los liliputienses numéricos se denotan en la siguiente forma:
1/1 000 000 = 10-6
1/100 000 000 = 10-8
3/1 000 000 000 = 3 x 10-9
¿Realmente son necesarias tales fracciones? ¿Se llega alguna vez, en efecto, a tener que ver con tan pequeñas fracciones de la unidad?
Resulta muy interesante charlar sobre esto detalladamente.
2. Liliputienses del Tiempo
El segundo, conforme a la creencia general, es un intervalo de tiempo tan breve, que sus fracciones son tan pequeñas, que no son útiles bajo ninguna circunstancia. Es facil escribir 1/1000 de segundo, pero ésta magnitud solo figura en el papel, porque nada puede ocurrir en tan insignificante intervalo de tiempo.
Así piensan algunas personas, pero se equivocan, porque en una milésima parte de un segundo hay tiempo suficiente para que sucedan numerosos fenómenos.
Un tren que recorre 36 km en una hora, recorre 10 m. en un segundo y, por lo tanto, en el transcurso de una milésima parte del segundo avanza un centímetro. El sonido en el aire se traslada 33 cm en el curso de un milésimo de segundo; en el mismo lapso se traslada 70 cm una bala que dispara un cañón de fusil con una velocidad de 700 a 800 m por segundo. La esfera terrestre, en su rotación alrededor del Sol, se desplaza 30 m cada milésimo de segundo. Una cuerda que emite un tono alto completa en un milésimo de segundo, entre 2 y 9 oscilaciones o mas; inclusive un mosquito avanza en este tiempo, al batir hacia arriba o hacia abajo sus alitas. Un relampago dura mucho menos que una milésima de segundo; se produce en este breve intervalo de tiempo y se convierte en un importante fenómeno de la naturaleza (el relampago se extiende kilómetros enteros).
Pero algunos pueden objetar que no se puede reconocer como un liliputiense a una milésima parte de un segundo aún, puesto que nadie llama gigante numérico al millar. Si se toma la millonésima parte de un segundo, entonces ya no se puede afirmar a ciencia cierta que se tenga una magnitud real, un intervalo de tiempo en el curso del cual pueda ocurrir algún evento. ¡Se equivocan! Aún una millonésima de segundo, para la física contemporanea, por ejemplo, no es un intervalo excesivamente pequeño.
En el campo de los fenómenos luminosos (y eléctricos), el científico tiene que vérselas con fracciones de segundo mucho mas pequeñas. Recordemos ante todo, que los rayos luminosos recorren (en el vacío) 300 000 km por segundo; por consiguiente, en una millonésima de segundo la luz recorre una distancia de 300 m; casi tanto como lo que se desplaza el sonido en el aire, en el transcurso de un segundo completo.
Ademas, la luz es un fenómeno ondulatorio, y el número de ondas luminosas que pasan por cada punto del espacio, en un segundo, se calculan por cientos de trillones. Las ondas luminosas que al actuar sobre nuestro ojo provocan la sensación de luz roja, tienen una frecuencia de 400 trillones de oscilaciones por segundo; esto quiere decir que en el transcurso de un millonésimo de segundo entran en nuestro ojo 400 000 000 de ondas, y una onda entra en el ojo en el transcurso de una 400 000 000 000 000 parte (1/400 000 000 000 000) de segundo. ¡Este número es un auténtico liliputiense!
Sin embargo, este liliputiense resulta un verdadero gigante en comparación con fracciones de segundo, aún mas pequeñas, con las cuales el físico se encuentra en la investigación de los rayos Röntgen[70]. Estos extraordinarios rayos. que poseen la propiedad de pasar a través de algunos cuerpos opacos, representan en sí, como los rayos visibles, un fenómeno ondulatorio, pero su frecuencia oscilatoria es significativamente mayor que en los visibles: alcanza 2500 trillones en un segundo. Las ondas se siguen una después de otra, mas frecuentemente que en los rayos de la luz roja visible; y como si esto fuera poco, los rayos "gamma" poseen una frecuencia todavía mayor que los rayos de Röntgen.
Así que también en el mundo de los liliputienses existen tanto gigantes como enanos. Gulliver era doce veces mas alto que los liliputienses, y a estos les parecía gigante. Aquí mismo, existen liliputienses hasta cinco docenas de veces mayores que otros, y por consiguiente, tienen todo el derecho a llamarse gigantes a estos últimos, con relación a los primeros.
3. Liliputienses del Espacio
Es interesante considerar ahora, cuales son las mínimas distancias que llegan a medir y evaluar los modernos investigadores de la naturaleza.
En el sistema métrico de medidas, la mínima unidad de longitud que se emplea generalmente es el milímetro, que es unas dos veces menor que el espesor de una cerilla. Para medir objetos visibles a simple vista, es suficiente esta unidad de longitud. Pero para medir bacterias y otros objetos minúsculos que sólo son visibles con potentes microscopios, el milímetro resulta excesivamente grande. Para efectuar tales mediciones, los científicos emplean una unidad mas pequeña: el micrón, que es 1000 veces menor que el milímetro. Así, los llamados glóbulos rojos, que se calculan por decenas de millones en cada gota de nuestra sangre, tienen una longitud de 7 micrones, y un espesor de 2 micrones. Una pila de 1000 glóbulos mide lo mismo que el espesor de una cerilla.
A pesar de que nos parece pequeño el micrón, resulta excesivamente grande para las distancias que se llegan a medir en la física contemporanea. Las mas pequeñas partículas, las moléculas, de las cuales se componen todas las sustancias de los cuerpos de la naturaleza, son inaccesibles inclusive al microscopio, y los atomos que forman las moléculas, son aún mas pequeños que éstas y tienen dimensiones que van desde una centésima hasta una milésima parte del micrón (La mas pequeña unidad de longitud empleada en la física contemporanea, es la equis: ella es igual a una diezmillonésima parte del micrón). Si tomamos un millón de granitos cuyo tamaño es el de esta última medida y los colocamos en línea recta, muy juntos el uno al otro, (ya sabemos qué tan grande es un millón) ¡ocuparían en total, un milímetro![71]
Para representar con mas claridad la extraordinaria pequeñez de los atomos, veamos el siguiente cuadro: imagínese que todos los objetos en la esfera terrestre se aumenten un millón de veces.
Entonces la cúspide de la torre Eiffel (de 300 m. de altura) se hallaría a 300.000 km en el espacio sideral, o sea, en las vecindades de la órbita de la Luna. Los hombres tendrían una altura de 1.700 km, es decir, 1/4 del radio terrestre. Al dar un paso uno de estos hombres gigantes, avanzaría entre 600 y 700 km. Los pequeños glóbulos rojos, billones de los cuales flotan en la sangre, tendrían, cada uno, mas de 7 m. de diametro. Un cabello tendría 100 m. de espesor. Un ratón alcanzaría 100 km de longitud y una mosca 7 km.
¿Qué dimensiones tendra un atomo de la materia, con tan enorme aumento?
Parece increíble: sus dimensiones se presentan ante nosotros en forma de tamaño de... ¡un punto tipografico de los caracteres de este libro!
¿Ya hemos alcanzado los últimos límites de la pequeñez espacial, mas alla de los cuales no llega a pasar inclusive la física, con sus métodos refinados de medición? Hasta hace poco tiempo se pensaba así, pero ahora se ha demostrado que el atomo es un mundo completo formado por partes mucho mas pequeñas, y resulta ser el marco de la acción de poderosas fuerzas. Por ejemplo, el atomo de hidrógeno consiste de un "núcleo" central y de un "electrón" que gira rapidamente alrededor de aquel. Sin entrar en pormenores, digamos solamente que el diametro del electrón se mide por trillonésimas partes de milímetro. En otras palabras, el diametro del electrón es casi un millón de veces menor que el diametro del atomo. Si se desea comparar las dimensiones del atomo con las dimensiones de una partícula de polvo, el calculo mostrara que el electrón, es menor que la partícula de polvo, tantas veces como la partícula de polvo es menor que, ¿adivinaron?, ¡la esfera terrestre!
Ven ustedes que el atomo, un liliputiense entre los liliputienses, resulta simultaneamente, un gigante real en comparación con el electrón que entra en su composición; el atomo es al electrón como todo el sistema solar es a la esfera terrestre.
Se puede formar la siguiente escalera ilustrativa, en la que cada escalón resulta un gigante en relación al escalón anterior, y, un liliputiense con relación al posterior:
electrón
atomo
polvillo
casa
globo terrestre
sistema solar
distancia a la estrella Polar
Vía Lactea
Cada miembro de esta serie es aproximadamente un cuarto de millón de veces mayor que el precedente, y otras tantas veces menor que el posterior (Se hace referencia a las dimensiones lineales y no a los volúmenes), o sea, al diametro del atomo, al diametro del sistema solar, a la altura o la longitud de la casa, etc. (Para ampliar los detalles sobre este tipo de comparaciones remito al lector a mi libro "¿Sabe Usted Física?" (www.librosmaravillosos.com). Nada mejor que esta tabla, para demostrar de forma elocuente, la relatividad de los conceptos "grande" y "pequeño". En la naturaleza no existen objetos absolutamente grandes o absolutamente pequeños. Todo objeto puede ser llamado excesivamente grande o inmensamente pequeño, según cómo se mire, en relación con lo que se le compare.
4. Supergigante y Superliliputiense
Nuestras charlas sobre los gigantes y los enanos del mundo de los números serían incompletas, si no hablasemos al lector sobre una maravilla sorprendente, no nueva, pero que vale por una docena de maravillas. Para llegar a ella, empecemos con lo un problema muy sencillo: ¿Cual es el número mas grande que se puede escribir con tres cifras, sin emplear ningún signo de operación?
Quizas quieran responder: 999, pero probablemente ustedes ya sospechen que la respuesta es otra; en efecto, la respuesta correcta se escribe así:
![]()
9 x 9 x 9 x 9 x 9 x 9 x 9 x 9 x 9
Basta con principiar el calculo, para apreciar el colosal resultado esperado. Si poseen la paciencia suficiente para efectuar la multiplicación de los nueve nueves, obtendran el número 387 420 489.
Apenas comienza el trabajo principal: ahora es necesario hallar
9387 420 489
es decir, el producto de 387 420 489 nueves.
Hay que darse animo para efectuar, en números redondos, 400 millones de multiplicaciones…
Ustedes, naturalmente, no tendran tiempo de llevar hasta el final semejante calculo. Yo estoy privado de la posibilidad de comunicarles el resultado final, debido a tres causas que no puedo dejar de mencionar. En primer lugar, este número nunca ha sido calculado (sólo se conoce su valor aproximado). En segundo lugar, si se hubiera calculado, se necesitarían no menos de mil libros como éste para imprimirlo, debido a que nuestro número consta de
369 693 061 cifras,
escrito en caracteres ordinarios, tendría una longitud de 1000 km: ¡desde Leningrado hasta Gorki! (Fig. 58).
Finalmente, si yo tuviera suficiente cantidad de papel y tinta, tampoco podría satisfacer su curiosidad. Ustedes pueden imaginar facilmente por qué: si yo estuviera capacitado para escribir en un segundo, sin interrupción, digamos que dos cifras, en una hora escribiría 7200 cifras, y en un día, trabajando sin interrupción día y noche, no mas de 172800 cifras. De aquí se deduce que, si no separara ni un segundo de la pluma, trabajando 24 horas diarias sin reposo, yo permanecería sentado en mi puesto de trabajo, no menos de 7 años, antes de terminar de escribir este número...
Sobre este número, sólo puedo comunicarles a ustedes lo siguiente: empieza con las cifras
428 124 773 175 747 048 036 987 118
y termina en
89.

Figura 58. El número expresado por la potencia
, consta de 370 millones de cifras. Si se escriben todas estas cifras en apretada hilera, se extenderían a lo largo de 1000 km, que es la distancia entre Leningrado (arriba) y Gorki (abajo)
Se desconoce lo que haya entre estas cifras del comienzo y del final (se calcularon las primeras cifras del número con ayuda de logaritmos, se determinaron las últimas cifras por razonamiento). ¡El número consta de 369 693 061 cifras!
Vemos que el número de cifras de nuestro resultado es inconcebiblemente grande. Ahora bien, ¿Qué tan grande es el número expresado por esta inmensa serie de cifras? Es difícil dar al menos una representación aproximada de su magnitud, porque tal conjunto de objetos, considerando inclusive cada electrón en calidad de un objeto por separado, ¡no existe en el Universo!
Arquímedes, antiguamente, calculó cuantos granos de arena contenía el Universo, si estuviera lleno de una finísima arena hasta las estrellas fijas. Obtuvo un resultado que no supera a la unidad con 63 ceros. Nuestro número no consta de 64, sino de 370 millones de cifras; por consiguiente, supera desmesuradamente al colosal número de Arquímedes.
Habiéndonos puesto en relación con este gigante enmascarado
El correspondiente liliputiense numérico se obtiene si dividimos la unidad entre este número.
Tendremos
91/387420489
Aquí tenemos, en el denominador, un número colosal ya conocido por nosotros. El supergigante ha sido convertido en un superliliputiense.
Es necesario hacer una importante observación sobre el gigante de los tres nueves. Yo recibí cartas de los lectores afirmando que esta expresión no resulta difícil de calcular; varios lectores, inclusive realizaron el calculo requerido, empleando en él un tiempo relativamente corto. El resultado se mostraba incomparablemente mas sencillo que aquel sobre el cual yo había hablado. En efecto, ellos escribieron
99 = 387 420 489;
elevando 387 420 489 a la novena potencia, obtenemos un número se solo 72 cifras. Aunque no es un valor pequeño, alcanzar 370 millones de cifras a partir de él, aún resulta muy difícil…
Los lectores se confunden, su error consiste en que asimilan de forma incorrecta el sentido de la expresión "de tres niveles" de nueves. Ellos lo entienden así:
![]()
![]()
Ambas interpretaciones conducen a idéntico resultado en un solo caso: cuando tenemos la expresión
Sin importar cómo se efectúe el calculo, en ambos casos se obtiene el mismo resultado: 16.
Es curioso que la expresión ahora citada, no indica en absoluto cual es mayor número que se puede representar con tres doses. Se puede obtener un número mucho mayor que el anterior, si se disponen los doses así
222
Esta expresión es igual a4 194 304
es decir, que es mucho mayor que dieciséis.
Como se ve, una disposición "de tres niveles" de cifras, no siempre expresa el mayor número que se pueda representar con tres cifras iguales. (Sobre esto se habla en detalle en "algebra Recreativa", Capítulo 1: "La quinta operación matematica", (www.librosmaravillosos.com).
5. Curiosidades Aritméticas
2 x 2 = 2 + 2
11 x 1,1 = 11 + 1,1
3 x 1 ½ = 3 + 1 ½
21 x 1 1/20 = 21 + 1 1/20
1. Viajando alrededor del mundo
2. Escalando el Monte Blanco
3. Viaje imperceptible al fondo del océano
4. Un tractor alrededor del mundo
5. La infatigable ruedecita
6. Viajeros que permanecen en un sitio
7. Curiosidades aritméticas
En la juventud trabajé como secretario en la redacción de una revista de Leningrado, de gran circulación. En una ocasión, me presentaron una tarjeta de visita en la que leí un apellido desconocido, y el nombre de su profesión bastante singular: "el primer viajero a pie, ruso, alrededor del mundo". Por las obligaciones del servicio, mas de una vez tuve ocasión de conversar con viajeros de todas partes del mundo, e inclusive con trotamundos; pero nunca había tenido noticias acerca de un "viajero a pie alrededor del mundo". Con curiosidad me apresuré a la recepción, para entablar relación con este hombre infatigable.
El notable viajero era joven y tenía un aspecto muy sencillo. A la pregunta de cuando pensaba realizar su extraordinario viaje, "el primer viajero a pie, ruso...", me explicó que en ese momento lo estaba realizando. ¿Qué itinerario?: Shuvalovo - Leningrado (Shuvalovo es una pequeña estación a 10 kilómetros de Leningrado) él deseaba consultar conmigo acerca de la continuación…
De la conversación se aclaró que los planes del "primer viajero a pie, ruso..." eran demasiado vagos, pero una idea clara era, la decisión de no abandonar los límites de Rusia.
-¿En este caso, cómo realiza usted el viaje alrededor del mundo? - le pregunté con asombro.
- Lo esencial es recorrer la longitud de la circunferencia terrestre, se puede hacer también en Rusia, resolvió mi duda. Ya he recorridos diez kilómetros, y quedan…
- En total 39 990. ¡Feliz viaje!
No sé cómo viajó "el primer viajero a pie, ruso...", durante el resto de su trayecto, pero no dudo en absoluto, que haya alcanzado felizmente su meta. Inclusive de haber suspendido su viaje inicial regresando a Shuvalovo, para quedarse a vivir allí de forma permanente, también debió recorrer no menos de 40 mil kilómetros. Sólo que, infortunadamente, no es el primero ni el único hombre que ha realizado tal hazaña. Usted y yo, y la mayoría de los habitantes del mundo tenemos el mismo derecho a llamarnos "viajeros a pie alrededor del mundo" conforme a la concepción del caminante de Shuvalovo. Porque cada uno de nosotros, por casero que sea, ha tenido tiempo a lo largo de su vida, sin sospecharlo, de recorrer una trayectoria a pie aún mas larga que la circunferencia de la esfera terrestre. Un pequeño calculo les convencera.
Cada día permanecen ustedes caminando no menos de 5 horas en la habitación, en el patio, en la calle; en una palabra, caminan de una u otra forma. Si tuvieran en el bolsillo un "podómetro" (aparato para contar el número de pasos que se dan), indicaría que ustedes caminan no menos de 30.000 pasos diariamente. Aún sin "podómetro", resulta considerable la distancia que ustedes recorren diariamente. A paso lento, un hombre recorre de 4 a 5 km en una hora. Esto equivale, durante las cinco horas que camina al día, a un total de 20 a 25 km. Ahora falta multiplicar la marcha diaria por 360, y sabremos qué trayectoria recorre cada uno de nosotros en el curso de un año completo:
20 x 360 = 7.200 ó 25 x 360 = 9.000.
Así, incluso un hombre pesado que nunca abandone su ciudad natal, recorre cada año, a pie, alrededor de 8.000 km. Puesto que la circunferencia de la esfera terrestre tiene 40.000 km, entonces no resulta difícil calcular en cuantos años realizarnos el viaje a pie, alrededor del mundo:
40.000 ÷ 8.000 = 5.
En este caso, en el transcurso de 5 años se recorre una trayectoria cuya longitud es igual a la circunferencia de la esfera terrestre. Si se considera que todo muchacho empieza a caminar a los dos años de edad, a los 13 años, ha realizado ya dos veces "el viaje a pié, alrededor del mundo". Todo hombre de 25 años, ha efectuado no menos de cuatro viajes. Y si vive hasta los 60 años, dara diez veces la vuelta alrededor del globo terrestre, es decir, que recorrera una trayectoria mas larga que la que hay de la Tierra a la Luna (380.000 km).
Este es el resultado insospechado del calculo de un fenómeno tan ordinario como nuestra marcha diaria en la habitación y fuera de la casa.
2. Escalando el Monte Blanco
Veamos otro interesante calculo: Si ustedes preguntan a un cartero, que diariamente reparte cartas a diversos destinatarios, o a un médico a domicilio, que tiene el día ocupado con las visitas a los pacientes, si han realizado una ascensión al Monte Blanco, naturalmente se sorprenderan por tal pregunta.
Facilmente se les podra demostrar que, sin ser alpinistas, probablemente han efectuado ya una ascensión a una altura que, inclusive, supera la cumbre mas elevada de los Alpes. Basta contar cuantos escalones sube el cartero diariamente, ascendiendo por las escaleras en la repartición de cartas, o el médico visitando enfermos. Resulta que el modesto cartero y el ocupado médico que, inclusive, nunca mostraron inclinación hacia las competencias deportivas, rompen los récords mundiales de las ascensiones a las montañas.

Figura 59. Un cartero, en el transcurso de un año, asciende ocho veces a la cumbre de la montaña mas alta de Europa
Tomemos cifras medias muy discretas para el calculo; admitamos que el cartero visite diariamente sólo a diez personas que viven en el segundo piso, en el tercero, en el cuarto, en el quinto, y tomemos como promedio el tercer piso. Consideramos la altura del tercer piso, en números redondos, de unos 10 m.; por consiguiente, nuestro cartero lleva a cabo una trayectoria diaria, por las escaleras, a una altura de 10 x 10 = 100 m. La altura del Monte Blanco es de 4.800 m.
Dividiéndola entre 100, encontramos que nuestro modesto cartero efectúa la ascensión al Monte Blanco en 48 días…
Así que, cada 48 días, ó unas 8 veces al año, el cartero asciende por las escaleras, una altura igual a 1a de la cumbre mas alta de Europa. Digan: ¿Qué deportista escala 8 veces, cada año, el Monte Blanco?
Para el médico no tengo cifras supuestas, sino reales. Los médicos de asistencia domiciliaria en Leningrado contaban que, en promedio, cada uno de ellos, durante un día de trabajo, subía 2.500 escalones a las casas de los enfermos.
Considerando la altura de un escalón de 15 cm, y 300 días de trabajo al año, obtenemos que durante un año un médico asciende 112 km, es decir, que realiza mas de 20 veces la ascensión al Monte Blanco.
No es, indispensable ser cartero o médico para llevar a cabo semejantes hazañas. Yo vivo en un segundo piso, en un departamento a donde conduce una escalera con 20 escalones, un número que parece muy discreto. Cada día llego a subir corriendo esta escalera 5 veces, ademas de mis visitas a dos departamentos situados, digamos que, a la misma altura. Se puede considerar que diariamente asciendo, en promedio, 7 veces la escalera de 20 escalones, es decir, que subo diariamente 140 escalones. ¿Cuanto asciendo durante un año?
140 x 360 = 50.400
En esta forma, cada año subo mas de 50.000 escalones. En 60 años tengo tiempo para ascender a la cumbre de una escalera, inmensamente alta, ¡de tres millones de escalones (450 km)! Cómo me hubiese sorprendido si siendo niño me hubieran conducido a la base de esta escalera e me dijeran que mas tarde podría alcanzar la cumbre del Monte Blanco… ¿A qué gigantescas alturas ascienden aquellos hombres que, por su profesión se dedican basicamente a ascender alturas, como por ejemplo, los ascensoristas?
Con orgullo informamos que entre nuestros pilotos hay quienes han tenido tiempo de alcanzar, no solo la distancia de la Tierra a la Luna, sino que también han sobrepasado esta distancia muchas veces.
3. Viaje imperceptible al fondo del océano
Los habitantes de los sótanos, los empleados de depósitos, etc., realizan viajes muy considerables. Bajando deprisa, muchas veces al día, por los escalones de una escalera pequeña que conduce al sótano, en el transcurso de varios meses recorren una distancia de muchos kilómetros.

Figura 60. Un trabajador de un depósito en el sótano, desciende anualmente hasta el fondo del océano.
No es difícil calcular en cuanto tiempo, los empleados del depósito del sótano, bajan una distancia igual a la profundidad del océano. Si la escalera desciende 2 m por ejemplo, y un hombre baja por ella corriendo sólo diez veces diarias, al mes recorre hacia abajo una distancia de 30 x 20 = 600 m, y en un año 600 x 12= 7.204 m, es decir, mas de 7 km. Recordemos que la mina mas profunda se extiende hacia las entrañas de la tierra, en total, ¡dos kilómetros y pico!
Así que, si desde la superficie del océano condujera una escalera a su fondo, cualquier trabajador de un local comercial en un sótano, alcanzaría el fondo del océano en el transcurso de un solo año.
4. Un tractor alrededor del mundo
Cada tractor trabaja en los campos socialistas de nuestros koljoces y sovjoses cerca de 2.500 horas anualmente. En números cerrados, recorre 5 km en una hora. Anualmente recorrera, entonces,
5 x 2.500 = 12.500 km
Es facil calcular en cuantos años, un tractor corre una trayectoria igual o la circunferencia de la esfera terrestre:
40.000 ÷ 12.500 = 3,2
En el transcurso de sólo cinco años, cualquier tractor que trabaje hoy en la URSS puede realizar uno y medio "viajes alrededor del mundo".

Figura 61. Un tractor, durante diez años de trabajo, da tres veces la vuelta alrededor de la esfera terrestre
En esta relación, él sobrepasa a los caminantes, que realizamos imperceptiblemente en 5 años, sólo un "viaje alrededor del mundo"; pero en cambio cede ante la locomotora recolectora (de mercancía), la cual sobre las vías férreas de nuestra Unión, hace el recorrido "alrededor del mundo" en sólo 8 meses (la de pasajeros, inclusive, en 6 meses).
5. La infatigable ruedecita
También existen viajeros alrededor del mundo junto a nosotros: en el interior de los relojes de pulso o de bolsillo. Abran la tapa posterior de los relojes y examinen el mecanismo. Todos sus engranajes giran tan lentamente, que a primera vista parecen completamente inmóviles. Es necesario observar las ruedecillas, atentamente, durante largo tiempo, para observar su movimiento.
Una excepción la constituye el minúsculo volante, llamado balancín o péndulo, que incansablemente se balancea hacia atras y hacia adelante. Su movimiento es tan agil, que es muy complicado contar cuantas oscilaciones realiza en un solo segundo. Durante un segundo, gira cinco veces alternativamente, en un sentido y en otro. Ademas la ruedecita da 1 1/5 vueltas, cada vez.
Calculemos cuantas vueltas da este volante en un año, desde luego, en las manos de un hombre cuidadoso, que nunca se olvida de darle cuerda oportunamente. Cada minuto la ruedecita da 5 x 60 = 300 oscilaciones, y cada hora 300 x 60 = 18.000. En un día esto constituye 18.000 x 24 = 432000 oscilaciones. Considerando que el año, en números redondos, tiene 360 días, tenemos que cada año el balancín realiza
432.000 x 360 = 155.520.000 oscilaciones.
Pero como se indicó antes, el balancín gira en cada oscilación, 1 1/5 vueltas. En ese caso, en el transcurso de un año gira alrededor de su eje155.520.000 x 1 1/5 = 186.624.000 veces,
en números redondos ¡187 millones de veces!
Este colosal número resulta poco sorprendente, si se efectúa otro calculo: calculen cual es la trayectoria que recorrería un automóvil, si su rueda girase 187 millones de veces. El diametro de la rueda del automóvil es de 80 cm, es decir, que su circunferencia es de unos 250 cm., ó 2½ m. Multiplicando 2½ por 187 millones, obtenemos la longitud de la trayectoria que deseamos conocer: cerca de 470.000 km.
Por consiguiente, si la rueda del automóvil fuera incansable, igual que el balancín del reloj de bolsillo, anualmente daría mas de 10 vueltas a la esfera terrestre, o si se prefiere, recorrería una trayectoria mayor que la de la Tierra a la Luna. No resulta difícil imaginar cuantas veces durante este viaje, se necesitaría efectuar reparaciones de la maquina y cambiar las llantas del automóvil oportunamente. Y mientras tanto la pequeña ruedecita del reloj de bolsillo, se mueve infatigablemente años enteros, sin reparaciones, sin requerir lubricación, sin cambios, y trabaja ademas, con sorprendente exactitud…
6. Viajeros que permanecen en un sitio
Quiero dedicar las últimas líneas del libro a sus primeros lectores, sin cuya colaboración activa no habría salido a la luz. Me refiero, naturalmente, a los cajistas[72]. Ellos también realizan lejanos viajes aritméticos sin salir de los límites del taller de composición, mas aún, sin moverse del sitio en que estan las cajas. La mano diestra del trabajador del "ejército de plomo" desplazandose cada segundo entre la caja de los caracteres tipograficos en plomo y el banco de trabajo, recorre durante un año una distancia inmensa.
Hagan la cuenta: el cajista toma, en el transcurso de un día de trabajo, 12.000 letras, y para cada letra debera desplazar el brazo, primero para tomar, y enseguida para colocar la letra, una distancia promedio de alrededor de medio metro. Consideren 300 días de trabajo al año. Por lo tanto tenemos
2 x 0,5 x 12 000 x 300 = 3.600.000 m, es decir, 3.600 km.
En ese caso, inclusive el cajista sin separarse de la caja de caracteres tipograficos, realiza en 11 años de trabajo, un viaje alrededor del mundo. Dicho en otras palabras, es un ¡"viajero inmóvil alrededor del mundo"! Esto resulta mucho mas curioso que el "viajero a pie alrededor del mundo".
No se encuentra hombre alguno, que de una u otra manera, no hubiese realizado en este sentido, un viaje alrededor del mundo. Se puede decir que un hombre destacado no es aquel que ha hecho un viaje alrededor del mundo, sino aquel que no lo ha efectuado. Y si cualquiera les llega a asegurar que él no lo ha realizado, espero que ustedes puedan demostrarle "matematicamente" que él no constituye una excepción de la regla general.
7. Curiosidades aritméticas
1 x 1/2 = 1 - ½
1/2 x 1/3 = 1/2 - 1/3
6 x 6/7 = 6 - 6/7
1/3 x 1/4 = 1/3 - 1/4
Apéndice
Un breve esbozo sobre la aritmética
Al principio los hombres no poseían el concepto de número, aunque podían, a su manera, opinar sobre las dimensiones de uno u otro conjunto de objetos que encontraban en su práctica. Es necesario considerar que el número era percibido por ellos directamente como una propiedad inalienable de un conjunto de objetos, propiedad que sin embargo, aún no descubrían claramente. Nosotros estamos a tal grado habituados a contar, que es poco probable que nos podamos representar esto; sin, embargo, lo comprendemos.
En un grado más alto, el número se muestra ya como una propiedad de un conjunto de objetos, pero aún no se separa de él como "número abstracto", como el número en general, no relacionado con objetos concretos. Esto es evidente en virtud de la existencia en ciertos pueblos, de nombres de números tales como "mano" para el cinco, "todo el hombre" para el veinte, etc. Aquí el cinco se entiende no abstractamente, sino en el sentido de "tanto, como dedos haya en la mano"; el veinte "tanto, como todos los dedos del hombre", etc. En forma completamente análoga, en ciertos pueblos no existían, por ejemplo, los conceptos "negro", "sólido", "redondo". Para indicar que un objeto era negro, lo comparaban, supongamos, con un cuervo, y para indicar que se tenían cinco objetos, comparaban directamente dichos objetos con la mano. Ocurrió precisamente de manera que diferentes nombres de números se empleaban para diversos géneros de objetos: unos números para contar hombres, otros para contar barcas y así sucesivamente hasta diez clases diferentes de números. Aquí no hay números abstractos, puesto que se presentan como "concretos" que se relacionan a un determinado género de objetos. En otros pueblos, en general, no existen nombres especiales para los números; por ejemplo, no existe la palabra "tres" aunque ellos pueden decir:"tres hombres", "en tres lugares", etc.
Análogamente a esto, con facilidad decirnos que este u otro objeto son negros, pero muy raramente hablamos sobre 1a "negrura" en sí, ya que éste es un concepto que se muestra más abstracto.
En relación con lo anterior conviene observar que, en la formación de los conceptos sobre las propiedades de los objetos, sea el color o la numerabilidad de un conjunto, se pueden distinguir tres grados, los cuales además, no es posible delimitar estrictamente. En el primer grado la propiedad se determina por una comparación directa de objetos: igual como el cuervo; tanto, como en la mano. En el segundo grado aparece el adjetivo: la piedra negra, y análogamente el numeral cinco árboles, etc. En el tercer grado la propiedad se abstrae de los objetos y puede figurar "como tal", como "negrura", como el número abstracto "cinco", etcétera.
Para poder descubrir y separar claramente esta propiedad general, es decir, para formar el concepto sobre uno u otro número y darle el nombre "seis", "diez", etc., fue necesario comparar entre sí muchos conjuntos de objetos. Los hombres contaron en el transcurso de largas generaciones repitiendo millones de veces una y la misma operación. De ese modo, en la práctica, descubrieron los números y las relaciones entre ellos.
Las operaciones con los números surgieron, a su vez, como la reflexión de las operaciones reales con los objetos concretos. Esto es patente también en los nombres de los números. Así, por ejemplo, entre ciertos indígenas el número "veintiséis" se pronuncia como "encima de dos decenas yo coloco un seis". Es claro que aquí se refleja el método concreto de contar los objetos. Tanto más claro es, que la adición de números corresponde a la suma, a la unión de dos o varios conjuntos en uno. Igualmente, es fácil ver el significado concreto de la sustracción, de la multiplicación y de la división (1a multiplicación en particular, parece tener su origen principalmente en la necesidad de contar conjuntos iguales: 2 veces, 2 veces, etc.)
Los hombres descubrieron y asimilaron, en el proceso de contar, no solamente relaciones entre números particulares, como por ejemplo, que dos y tres son cinco, sino establecieron también gradualmente, leyes generales. En la práctica descubrieron que la suma no depende del orden de los sumandos, o que el resultado de contar objetos dados no depende del orden en que se efectúe dicha cuenta. (Esta última circunstancia encuentra expresión en 1a coincidencia de los números "ordinales" y "cardinales": primero, segundo, etc., y uno, dos, etc.). En esta forma, los números aparecieron, no como aislados e independientes, sino en relación unos con otros.
Unos números se expresan por medio de otros, tanto en los nombres como en la escritura. Así 32 denota "treinta y dos", en francés 90 representa "cuatro veintes y diez (quatre-vingt-dix)" y, por ejemplo, las cifras romanas VIII, IX denotan que 8 = 5 + 3, 9 = 10 - 1.
En general, surgieron no simplemente números particulares, sino un sistema de números con sus relaciones y leyes.
El objeto de la aritmética lo constituye, precisamente, el sistema de números con sus relaciones y leyes. (Históricamente la palabra "aritmética" procede del griego "arte del contar" de "aritmos": número y "texne": arte). Un número abstracto aislado, no tiene en sí propiedades ricas en contenido, y es poco lo que puede decirse acerca de él, si nos preguntamos, por ejemplo, acerca de las propiedades del número 6, observamos que 6 = 5 + 1, que 6 = 3 x 2, que 6 es un divisor de 30, etc. Pero en todos los casos el número 6 se relaciona con otros números, de suerte que las propiedades de un número dado se manifiestan precisamente, en su relación con otros números. Tanto más claro es, quo toda operación aritmética determina una liga, o en otras palabras, una relación entre números.
En esta forma, la aritmética tiene que ver con las relaciones entre números. Pero las relaciones entre números son formas abstractas de las relaciones cuantitativas reales entre los conjuntos de objetos, razón por la cual se puede decir que: La Aritmética es la ciencia que trata sobre las relaciones cuantitativas reales, consideradas sin embargo, abstractamente o, como se dice, en forma pura.
Como vemos, la aritmética no procede del pensamiento puro, según pretenden hacer creer los idealistas, sino quo refleja determinadas propiedades de las cosas reales: ella ha surgido como resultado de una larga experiencia práctica de numerosas generaciones.
Cuanto más vasta y compleja se hace la práctica social, tanto más amplios son los problemas que se, plantea. Ha sido necesario, no sólo registrar la cantidad de objetos y cambiarla por el pensamiento de su número, lo que ya requería de la formación del concepto de número y de los nombres de los números, sino además, aprender a contar todos los grandes conjuntos (sean animales en manadas, objetos en el trueque, días hasta un plazo señalado, etc.), fijar, y transmitir otros resultados del contar, lo que justamente requirió también el perfeccionamiento de los nombres, y posteriormente el de las notaciones de los números.
La introducción de las notaciones para los números, que principia aparentemente desde el propio nacimiento de la lengua escrita, ha jugado un inmenso papel en el desarrollo de la aritmética. Además, éste fue el primer paso hacía los signos y las fórmulas matemáticas en general. El siguiente paso, que consistió en la introducción de los signos para las operaciones aritméticas y la notación literal (x) para la incógnita, fue efectuado mucho después.
El concepto de número, como todo concepto abstracto, no tiene una imagen directa, no es posible representarle, y sólo se puede pensar. Pero el pensamiento se formula en el lenguaje, por lo que sin nombres no existen conceptos. La notación es el mismo nombre, sólo que no sonoro, sino escrito, y reproduce al pensamiento en forma de una imagen visual. Por ejemplo, si yo digo "siete" ¿qué se representa Ud.? Probablemente no siete objetos cualesquiera, sino ante todo la cifra "7"; ésta sirve, precisamente, de cubierta material para el número abstracto "siete". Y un número como por ejemplo, 18273, es visiblemente más difícil de pronunciar que de escribir, y es ya completamente imposible representarlo, con total exactitud, en forma de un conjunto de objetos. De esta manera, las notaciones ayudaron a crear el concepto sobre aquellos números que ya no es posible descubrir en la simple observación y en el acto directo de contar. En esto estaba la necesidad práctica: con la aparición del estado fue necesario recaudar impuestos, reunir y suministrar tropas, etc., lo que requería operaciones con números muy grandes.
Así, en primer lugar, el papel de las notaciones para los números consiste en que ellas dan una encarnación sencilla del concepto de número abstracto. (Vale la pena observar que el concepto sobre los números, que como hemos visto se elaboró con tan gran trabajo durante un tiempo excesivamente largo, es comprendido ahora por un niño de una manera comparativamente fácil. ¿Por qué? En primer lugar, naturalmente, porque el niño oye y ve cómo los adultos utilizan constantemente los números e inclusive le enseñan eso. Y en segundo lugar, porque -y precisamente sobre esto deseamos llamar la atención, el niño tiene palabras y notaciones hechas para los números. El, al principio, estudia estas formas exteriores del número, y después estudia ya su significado. ) Tal papel de las notaciones matemáticas es general: suministran una personificación de los conceptos matemáticos abstractos. En esta forma, + significa adición, a un número desconocido, a cualquier número dado, etc. En segundo lugar, las notaciones de los números dan la posibilidad de efectuar, en una forma particularmente sencilla, las operaciones con ellos. Todos saben hasta qué punto es más fácil "calcular sobre el papel" que "en la mente". Igual valor tienen los sitos y fórmulas matemáticas en general: permiten substituir parte de los razonamientos de los cálculos haciéndolos casi mecánicos. Con respecto a eso mismo, si el cálculo está escrito, posee ya una determinada seguridad. Allí todo es evidente, todo se puede comprobar, todo se determina por reglas exactas. Como ejemplo puede recordarse la adición "por columnas" o cualquier transformación algebraica como por ejemplo, "el traslado al otro miembro de la igualdad se efectúa por el cambio de signo".
De lo señalado es claro que sin notaciones convenientes para los números, la aritmética no habría podido avanzar mucho en su desarrollo. Tanto más que la matemática moderna sería sencillamente imposible sin los signos y fórmulas especiales.
Por sí mismo es comprensible la imposibilidad de que los hombres hayan podido producir, en un momento dado, el tan conveniente método moderno de escritura de los números. Desde los tiempos antiguos, en los diversos pueblos con rudimentos de cultura, aparecieron diferentes notaciones numéricas poco parecidas, a nuestras notaciones modernas, no sólo por lo que al trazado de los signos se refiere, sino también en cuanto a los principios; por ejemplo, no en todas partes se empleaba el sistema decimal (entre los antiguos babilonios existía un sistema decimal y sexagesimal mixto). En la tabla adjunta se muestran, en calidad de ejemplo, algunas de las notaciones de los números en diversos pueblos. En particular, vemos que los antiguos griegos, y posteriormente también los rusos, utilizaron notaciones alfabéticas. Nuestras cifras "arábigas" modernas, y en general el método de escritura de las números, procede de la India, de donde fue llevado por los árabes a Europa en el siglo X, en donde finalmente arraigó en el, transcurso de varios siglos.
La primera particularidad de nuestro sistema consiste en que es decimal. Pero dicha particularidad no es esencial, porque puede ser empleado con éxito digamos, un sistema duodecimal, introduciendo notaciones especiales para el diez y el once.
La principal particularidad de nuestro sistema de notaciones consiste en que es "posicional", es decir, en él una misma cifra tiene diferente valor en función del lugar que ocupa. Así, por ejemplo, en la notición 372 la cifra 3 representa el número de las centenas, y el 7 el número de las decenas. Tal procedimiento de escritura no sólo es breve y sencillo, sino que también facilita al extremo los cálculos. Las notaciones romanas son mucho menos convenientes el mismo número 372 en romano se escribe así: CCCLXXII, y el multiplicar grandes números escritos en romano, es totalmente inconveniente.
La escritura posicional de los números requiere que se distinga el orden vacío, pues de no ser así, entonces confundiríamos, por ejemplo, el trescientos uno y el treinta y uno. En el lugar del orden vacío se coloca un cero; en esta forma diferenciamos 301 y 31. El cero aparece ya en forma rudimentaria, en las tardías escrituras cuneiformes babilónicas. La introducción sistemática del cero fue un logro de los hindúes. (El primer manuscrito hindú en donde se halla el cero, se remonta al final del siglo IX; en él, la escritura del numero 270 corresponde exactamente a la de nuestras notaciones. Sin embargo, probablemente el cero se introdujo en la India ya, anteriormente, en el siglo VI): esto permitió conducir hasta el final el sistema posicional de escritura de los números, el cual empleamos en la actualidad.
Pero aún hay más: el cero se hizo también un número, al penetrar en el sistema de los números. Por sí mismo, el cero es la nada, en lengua sánscrita (antiguo hindú) llama precisamente cunga "(vacio)", pero en relación con otros números, el cero adquiere contenido, gana propiedades conocidas, como aquella de que cualquier número más cero da el mismo número, y multiplicado por cero es cero.
En lo referente a la aritmética de los antiguos, se puede decir que los textos matemáticos más ancestrales de Babilonia y Egipto que han llegado hasta nosotros, se remontan al segundo milenio anterior a nuestra era. Ellos y los textos más tardíos, contienen diversos problemas aritméticos con resoluciones, inclusive algunos que hoy pertenecen al álgebra, como son las resoluciones de ciertas ecuaciones cuadráticas y aún cúbicas o de progresiones (todo esto, naturalmente, sobre problemas concretas y ejemplos numéricos). De Babilonia han llegado también hasta nosotros, tabla de cuadrados, cubos, y números inversos. Existe la suposición de que allí ya se habían formado intereses matemáticos que no estiban relacionados directamente con problemas prácticos particulares.
En todo caso, en la Babilonia y el Egipto antiguos la aritmética estaba muy desarrollada. Pero no tenía aún el carácter de una teoría matemática de los números, sino más bien era un conjunto de reglas para el cálculo y la resolución de diferentes problemas. Por otra parte, así se enseña la aritmética en la escuela primaria actual, y así la conciben todos aquellos que no se dedican, en especial, a la matemática. Esto es completamente legitimo, pero sin embargo, en esto forma la aritmética aún no es una teoría matemática: en ella no existen teoremas generales sobre los números.
El paso a la aritmética teórica se efectuó en una forma gradual.
Las notaciones, como ya se dijo, dan la posibilidad de operar con los números grandes que ya no es posible representar claramente en forma de conjuntos de objetos, y hasta los cuales no es factible llegar contando de uno en uno a partir de la unidad. Si entre las tribus salvajes los números se interrumpen en el 3, 10, 100, etc., y después sigue el indeterminado "muchos", las notaciones posibilitaron en China, Babilonia y Egipto, el avanzar más allá de las decenas de millares, e inclusive después del millón. Aquí ya se manifiesta la posibilidad de una prolongación ilimitada de la serie de números. Pero no fue comprendida con claridad inmediata, y no se sabe con certeza cuándo ocurrió ello. Ya el gran matemático, físico e ingeniero griego Arquímedes (287 - 212 a.n.e.) quien anticipó genialmente algunas ideas y métodos de la matemática superior, en su célebre obra "Sobre el cálculo de la arena" indicó un método, para denominar a un número mayor que el número de granos de arena que podría caber en la "esfera de las estrellas fijas". La posibilidad de nombrar y escribir tal número, vale decir, aún requirió en ese tiempo una explicación detallada.
Hacia el siglo III antes de nuestra era, los griegos tenían ya plena conciencia de dos importantes ideas: en primer lugar, que la serie de los números se puede prolongar ilimitadamente, y en segundo lugar, que se puede operar, no sólo con cualesquiera números dados, sino también razonar sobre los números en general, formulando y demostrando teoremas generales sobre los mismos. Esto era una generalización de la enorme experiencia anterior en la operación con los números concretos. Con motivo de esta experiencia, aparecieron leyes generales y métodos de los razonamientos generales sobre los números. En estas condiciones se produjo el paso a un grado más alto de la abstracción: de números particulares dados (aunque también abstractos) al número en general, a cualquier posible número.
Del sencillo proceso de contar los objetos uno por uno, pasamos a la noción acerca del proceso ilimitado de formación de los números, por medio de la adición de la unidad a un número construido anteriormente. La serie de los números se piensa ya como prolongación ilimitada, y con ello entra el infinito a la matemática. Naturalmente, de hecho, no podemos penetrar tan lejos como fuera deseable en la serie de los números por medio de la adición de unidades: ¿quién puede contar hasta un millón de millones, si inclusive cien años contienen casi 40 veces menos segundos? Pero esta no es la cuestión. El proceso de acumulamiento de unidades, el proceso de formación de cuantos grandes conjuntos de objetos fueran deseables, no está fundamentalmente limitado y, vale decir, es una posibilidad potencial de la prolongación ilimitada de la serie numérica. Los teoremas generales sobre los números tocan ya esta serie mencionada.
Los teoremas generales sobre cualquier propiedad de todo número, ya contienen en forma implícita afirmaciones sobre las propiedades de los números particulares, y son ricos en aseveraciones específicas que pueden verificarse para los números aislados. Por tal motivo, los teoremas generales deben demostrarse por medio de razonamientos generales que partan de la propia ley de formación de la serie numérica. Aquí se revela una profunda particularidad de la matemática: ella tiene como objetivo, no sólo relaciones cuantitativas dadas, sino en general, las relaciones cuantitativas posibles y, vale decir, el infinito.
En esta forma la aritmética se convierte en la teoría de los números. Esta se abstrae ya de los problemas particulares concretos, y se enfoca hacia el dominio de los conceptos y razonamientos abstractos, convirtiéndose con ello, en rama de la matemática "pura". Más exactamente este fue también el momento del nacimiento de la matemática pura con todas sus particularidades (su carácter abstracto, su gran rigorismo, su amplia aplicación en otras ciencias y en la técnica, etc.). Es necesario observar, por cierto, que la matemática pura nació simultáneamente, a partir de la aritmética y de la geometría. Además, en las reglas generales de la aritmética se tienen ya gérmenes del álgebra, la cual se separó posteriormente de aquella.
En la actualidad, el desenvolvimiento de la matemática en conjunto tiene gran influencia sobre el desarrollo de la aritmética y de las ciencias contiguas a ella, lo que se ha manifestado, por ejemplo, en la construcción axiomática de la aritmética, es decir, en la sistematización de la misma sobre la base de un cierto número de axiomas.
Por otra harte, los procedimientos y métodos de cálculo utilizados en la aritmética, han obtenido un amplio desarrollo y aplicación en las técnicas matemáticas modernas de cálculo, lo cual queda evidenciado en las bases aritméticas de la forma de representación de los números, lo que involucra el estudio de los diversos sistemas de numeración, en las máquinas calculadoras numéricas electrónicas modernas.
Finalmente, por medio de una tabla cronológica trataremos de presentar un esquema histórico del desarrollo, en especial, de la aritmética, así como de algunas ramas contiguas a la misma y de diversos aspectos del desenvolvimiento de la técnica que, en forma directa o indirecta, contribuyeron a la aparición de los números, de las relaciones entre ellos y como resultado de esto, a la creación de la aritmética ya con los rasgos característicos de una ciencia matemática.
Debe mencionarse que la formación de "la tabla cronológica debe, en gran medida a la labor ingente de recopilación y ordenamiento del Sr. Alfonso Linares F., que es Egresado (egresado, -da. m., f. Amér. Persona que sale de un establecimiento docente después de haber terminado sus estudios) de la Escuela Superior de Ingeniería Mecánica y Eléctrica del Instituto Politécnico Nacional (nota del traductor y autor del Breve Esbozo...)

Tabla 1. Notaciones de los números en los diversos pueblos. Tabla tomada del artículo de I. G. Bashmakov y A. P. Iushkievich "Origen de los Sistemas de Numeración (Enciclopedia de la Matemática Fundamental)Tomo I, Moscú, 1951
| Fecha | Pueblos | Matemáticos | Aportaciones |
| Primitivos edad de piedra) | Primeras representaciones del mundo real: tallado, grabados y técnicas de construcción: desde las armas sencillas hasta las complejas, utensilios. Sistemas de numeración rudimentarios (sin simbolismo). | ||
| ¿? -2500 a.n.e. | Egipto | Sistema numérico simbólico. | |
| 2500-1800 a.n.e. | Babilonia, Sumeria, Egipto, Creta | Contactos de babilonios y sumerios. Tablas matemáticas babilónicas que contienen: cuadrados, cubos, inversos y tablas de multiplicación de números. Origen del contenido del papiro de Rhind. Uso del número pi por los babilonios (pi = 3). Sistemas de medidas, longitudes, peso, capacidad, sistemas de numeración más desarrollados. | |
| 1800-2400 a.n.e. | Egipto, Grecia, Creta, Sumeria | Ahmes (sacerdote egipcio), en el texto de Perelman: Ajmes | Papiro de Rhind de Egipto. Primera época de contacto de los pueblos egipcio, griego, sumerio. |
| 1400-1200 a.n.e. | Egipto, Grecia | Período guerrero y predominio griego. | |
| 1200-1000 a.n.e. | Grecia, Egipto | Formación de los estados griegos y decadencia de Egipto. | |
| 1000-550 a.n.e. | Grecia | Tales de Mileto | Teorema de Tales, desarrollo de problemas geométricos con aplicaciones (predicción de un eclipse). Contacto con las culturas griega y oriental. |
| 550-000 a.n.e. | Grecia | Pitágoras de Samos y la Escuela Trotona | Se adquiere en toda su pureza el concepto de número y se descubren los irracionales por medio de un caso particular del célebre Teorema de Pitágoras. |
| Parménides de Elea y la Escuela de Elea | Introduce el razonamiento e un primer intento de rigorismo lógico. | ||
| 550-000 a.n.e. | Grecia | Zenón de Elea (Eleatas) | Critica a Pitágoras y como resultado se elimina el infinito de la matemática griega. |
| Jenófanes de Colofón (Eleata) | Introduce la crítica en la elaboración científica. | ||
| Platón (La Academia) | Estudios en todos los campos del pensamiento (Filosofía). | ||
| Eudoxio de Cnidos | Teoría general de las proporciones (conmensurables o no) hoy llamada "Método de exhaución". | ||
| Aristóteles (Liceo) | Continúa el estudio en todos los campos del pensamiento (creación de la Lógica). | ||
| Eudemo de Rodas | Historiador de las Matemáticas. | ||
| Euclides de Alejandría | Reunión de los conocimientos matemáticos griegos ("Elementos"): Libro V: Teoría de las Proporciones: Libros VII, VIII y IX: Teoría de los Números o Aritmética: divisibilidad, descomposición en factores. | ||
| Arquímedes de Siracusa | Se desliga a la Matemática de la Filosofía para aplicarla a problemas prácticos variados. Intento de representación simbólica de los grandes números. | ||
| Eratóstenes de Cirene | Solución del problema de los determinantes. Procedimiento para construir una tabla de números primos (Criba de Eratóstenes), hasta un número natural dado. Medición de la circunferencia de la Tierra con gran exactitud, aplicando conceptos de geometría. | ||
| 550-000 a.n.e. | Apolonio de Perga | Tratamiento de las secciones cónicas en forma exhaustiva e su obra "Cónicas". | |
| Herón de Alejandría | Agregados y perfeccionamientos de los "Elementos" de Euclides. | ||
| 000-1500 n.e. | China | Obra sobre Aritmética, "Chin-Chang": invención del ábaco para calcular; solución de problemas aritméticos; cuadrados mágicos. | |
| Grecia | Nicomaco de Gerasa | Glosa y comentario en su obra "Introducción a la Aritmética", que sirvió par a la enseñanza en la Edad Media. | |
| Menelao de Alejandría | Culminación de la Geometría griega y aparición del triángulo esférico. | ||
| Pappus de Alejandría | Resumen de los conocimientos matemáticos anteriores en su obra "Colección Matemática". Tiene gran valor por sus informaciones históricas y bibliográficas de la Matemática griega. | ||
| Diofanto de Alejandría | Primeros esbozos de Álgebra en su obra "Aritmética", estudio de una gran variedad de problemas vinculados algunos con el "Análisis Indeterminado"; simbolización de operaciones, incógnitas y exponentes. Un problema famoso en la Teoría de los Números: Xn + Yn = Zn) | ||
| Aryabhata | Funciones circulares y Análisis Indeterminado aproximado al actual. | ||
| Brahmagupta | Análisis indeterminado | ||
| Bashkara | Simbolismo algebraico y Representación de los números en un sistema posicional de base decimal. | ||
| Arabia | Al-Khwarismi | Su obra "Aritmética" trata de difundir las cifras hindúes y el 0; su obra "Sobre el Cálculo mediante la Restauración y la Reducción" es el primer tratado sobre el Álgebra. | |
| Thabit ben Qurra | Traducciones y métodos para encontrar números amigos. | ||
| Al-Mahani y Abu Kamil | Tratamiento de los problemas geométricos por medio del Álgebra. | ||
| Italianos y Españoles | Trabajos de traducción de las obras griegas y árabes: se fundan escuelas de traducción (Toledo). | ||
| Francia | Nicolás Oresme | Primeras manifestaciones de la representación gráfica de funciones. | |
| Italia | Leonardo Pisano | Introducción del símbolo: − (División fraccionaria) (1202) | |
| Alemania | Johann Widmann | Introducción de los símbolos + y – (1489) | |
| Gutenberg | Su invención de la imprenta con tipos móviles da lugar a una divulgación en gran escala, del pensamiento humano. | ||
| 1500-1600 | Italia | Scipiene del Ferro, Niccolo Tartaglia, Gerolamo Cardano, Ludovico Ferrari, Rafael Bombelli | Contribuciones al Álgebra propiamente dicha. Invención de los números imaginarios (Bombelli) |
| Escocia, Suiza, Inglaterra | John Napier, Jobst Bürgi, Henry Briggs | Invención de los logaritmos naturales (Napier y Bürgi); logaritmos decimales (Briggs) | |
| Francia e Italia | Francois Viète, George Rheticus, Francesco Maurolyco, Guidubaldo del Monte | Llevan al Álgebra, a la Geometría y a la Trigonometría a un estado de madurez. Se estudian las series y se investiga la naturaleza del número "pi". | |
| Alemania | J. Rudolf | Introducción del símbolo √) (1525). | |
| Inglaterra | Robert Recorde | Introducción del símbolo de la igualdad (=) (1557) |
Notas:
Se usaban 3 tipos de nudos:
- Simples, en la parte media y superior de la cuerda, simbolizan las cifras altas (decenas, centenas y millares).
- Flamencos, en la parte inferior de las cuerdas, representan las cifras bajas (unidades)
- Compuestos. (N. del E.)
Problema 3.- "1304".
Problema 4.- "1144".
Problema 5.- "2402".
Problema 6.- "1102".
Problema 7.- "10210".
Problema 8.- "110".
Problema 9.- "10" residuo "11"
Problema 10.- base 8.
Problema 11.- base 6.
Problema 12.- base 2: 11000010, base 3: 11211, base 4: 2002, base 5: 1010, base 6: 334, base 7: 244, base 8: 202, base 9: 154, base 10: 130.
Problema 13.- base 2: 1111011, base 3: 11120, base 4: 1323, base 5: 443, base 6: 323, base 7: 234, base 8: 173, base 9: 146. Es posible escribirlo en binario; se recomienda transferirlo a decimal y luego de decimal llevarlo a binario. Es posible escribirlo en ternario; se recomienda transferirlo a decimal y luego de decimal llevarlo a ternario. Si está en quinario, como es una base impar, basta sumar los dígitos del número: 123 es "443", en quinario, por tanto: 4+4+3=11, y como este valor es impar, el número en quinario no es divisible por 2. En base 9 no es divisible entre 4, pues "1223" en base 9 es 123 en decimal y "4" en base 9, es 4 en decimal y 123 entre 4 no da un valor entero.
- En muchos países occidentales, se ve el 13 como número de la mala suerte.
- Se consideran de mal agüero los días martes 13, en España y América Latina, y viernes 13, en los países anglosajones.
- En las competencias automovilísticas de Fórmula 1, hoy en día, se omite el número 13.
- En algunas calles se omite el portal 13.
- En Madrid -España— no existe la línea de autobús 13.
- A Series of Unfortunate Events escrita por Lemony Snicket, es una serie de 13 libros, y cada libro consta de 13 capítulos.
- En España no se ha asignado a nadie el Documento Nacional de Identidad, número 13.
- En algunos hoteles se evita utilizar el piso 13 para clientes y se utiliza para servicios.
- En los aviones se omite el número 13, al asignar los asientos -se suele sustituir por "12 bis".
- En la mayoría de edificios en América Latina no se cuenta el piso 13, así que los ascensores lo evitan si existe.
- Por ejemplo, en un edificio de quince pisos, el piso 13 se omite para usar el 14. (N. del E.)
En síntesis, el proceso descrito se realiza así: Siendo C el cociente, R el residuo, se obtiene el resultado de la multiplicación efectuando esta operación: 142 857 000 000 x C x R – C. (N. del E.)
Vasili Andreyevich Zhukovski (1783-1852), fue el mas importante poeta ruso de los años 1810. Se le atribuye haber introducido el Romanticismo en la literatura rusa. El cuerpo principal de su producción literaria consiste en traducciones libres que cubren una amplia selección de poetas. Algunas de estas traducciones suyas resultaron mejor escritas y mas perdurables que los originales. (N. del E.)
{{[(100m + d) x 2 + 8] x 5 + 4} x 10 + 4} x 10 + e - 4440 = 10000m + 1000d + e (N. del E.)
Este oficio se remonta a los inicios de la imprenta. Los cajistas, como transcriptores de sermones, podían trabajar en festivo, algo no reservado a los impresores. Los cajistas siempre han sido considerados personas cultas, pues requieren de una buena formación gramatical y técnica.
Esta profesión evolucionó con el tiempo, conforme fueron evolucionando las técnicas tipograficas. Los primeros cajistas se dedicaban basicamente a componer líneas de texto para periódicos y libros. Posteriormente se especializaron la realización de trabajos de composición compleja (trabajos comerciales y publicitarios). Actualmente, su función principal es la de ajustadores o compaginadores. (N. del E.)




