Alrededor del cuanto
L. Ponomariov
Capítulo 1
Átomos; Rayos; Cuantos
Son contados los que pueden contestar de un modo sensato a la pregunta: “¿Qué es la mecánica cuántica?” Los demás están simplemente convencidos de que es una ciencia muy difícil. Quizás no sea así, mas tal seguridad se arraigó no sin razones. La lógica de la mecánica cuántica, de hecho, es simple pero, no obstante, para acostumbrarse a ella es necesario asimilar previamente algunas nociones, a primera vista no relacionadas de ningún modo entre sí, que forman un sistema armonioso no de repente, sino, tras confrontaciones y razonamientos largos.
Esto requiere tiempo y fuerzas.
Si sabemos de la mecánica cuántica sólo que “...resolvió el enigma secular del misterioso país del micromundo” y, además, que “...transformó íntegramente nuestra concepción del mundo”, sabemos de esta ciencia más o menos tanto como los turistas acerca de un país desconocido, viajando por éste sin estudiar previamente su cultura e idioma: ellos ven alrededor suyo a hombres que se apuran, ríen y gesticulan, mas ignoran el objetivo de sus movimientos y no entienden su alegría. Como resultado, la memoria de los viajeros guarda sólo las manchas brillantes de los letreros luminosos en un idioma desconocido.
La mecánica cuántica es un vasto país con una cultura rica y profunda. Sin embargo, para iniciarse en ella se debe estudiar su idioma peculiar, que, de hecho, no difiere en absoluto de cualquier lengua extranjera. Como todo idioma no se puede dominarlo sólo a fuerza de voluntad: se necesita un sistema. Para empezar hay que recordar simplemente unos cuantos conceptos corrientes, tratando de construir de ellos frases simples sin preocuparse mucho de la rigurosidad de las construcciones gramaticales. Solamente después llegarán la facilidad y seguridad del dominio del idioma que traen consigo la sensación de satisfacción y alegría de un conocimiento puro.
Probablemente, casi para todos el estudio de la mecánica cuántica se asocia al proceso de disolución de la sal en al agua: al principio los pequeños cristales desaparecen en el vaso sin dejar huella, pero luego llega el momento en que basta con poner un cristalito iniciador más para que en su lugar en la solución empiece a crecer poco a poco un cristal grande y regular.
Más adelante examinaremos las fuentes, ideas y hallazgos de la mecánica cuántica, explicaremos el sistema de sus conceptos e imágenes y, por último, hablaremos de su aplicación. Pero primeramente debemos disolver en nuestra conciencia varios cristales de conceptos originarios y asimilar aquellas contadas palabras imprescindibles sin las cuales es imposible construir ninguna "frase cuántica" sensata. A veces es un trabajo agotador. Mas también antes de realizar un vuelo al cosmos hay que correr, ponerse en cuclillas y girar en la centrífuga y tampoco ésta es una ocupación de las más románticas. "Para que el músculo se desarrolle debe cansarse", gustaba repetir el famoso fisiólogo Séchenov. Si nos prohibimos de una vez para siempre cansarnos no podremos comprender la emoción de las búsquedas ni la alegría de los descubrimientos, ni el interés abnegado por menudencias que creó, de hecho, no sólo la mecánica cuántica, sino toda la ciencia.
Por supuesto, todo esto se ha dicho aquí no para atemorizar al lector con dificultades al iniciar el camino, pero imagínese: es que no existen pastillas al tragar las cuales el hombre se despierte por la mañana siendo profesor de física. Para comenzar asimilemos tres conceptos en los cuales se pasa la física atómica: átomos, rayos, cuantos.
Átomos
Así pues, ¿qué es la mecánica cuántica?
La mecánica cuántica es la ciencia que trata de la estructura y de las propiedades de los objetos y fenómenos atómicos.
En esta definición todo es justo, no obstante, su inutilidad es evidente mientras no expliquemos los conceptos que la forman. En efecto: ¿qué significan, por ejemplo, las palabras “propiedades de los objetos atómicos”, es decir, de los átomos?
Si se trata, digamos, de una sandía madura, no surge semejante pregunta: sus propiedades se determinan enteramente por nuestros cinco sentidos: es redonda, pesada, jugosa, huele a fresco y se parte crujiendo con un cuchillo. Pero ¿qué hacer con los átomos (de los cuales, dicho sea de paso, se compone la sandía)? Es que no se puede verlos ni tocar directamente. Por supuesto, esto no quiere decir que los átomos no existen en general, sino que testimonia simplemente que sus propiedades son completamente distintas de las de una sandía entera.
Ahora son muy pocas las personas para las cuales la realidad de los átomos es menos evidente que el movimiento de la Tierra alrededor del Sol. Casi todos relacionan con este concepto una idea intuitiva de algo pequeño e indivisible. No obstante, ¿qué sentido atribuye al concepto de “átomo” la física moderna? ¿Cómo surgió este concepto, cómo lo interpretaban los antiguos, cómo se desarrollaba luego y por qué sólo la mecánica cuántica llenó este esquema especulativo de un contenido real?
Se acostumbra considerar que Demócrito fue el primero en enunciar la idea de átomo, aunque la historia menciona también a su maestro Leucipo de Mileto y al filósofo de la India antigua Kanáda, que vivió un poco antes de nuestra era y enseñaba casi lo mismo. (“Kanáda” traducido del sánscrito significa “devorador de átomos”.) Según Kanáda, la divisibilidad infinita de la materia es un absurdo, por cuanto en este caso un grano de mostaza es igual a una montaña, ya que “...lo infinito siempre es igual a lo infinito”. La partícula más pequeña en la naturaleza, enseñaba Kanáda, es la de polvo en el rayo solar; consta de seis átomos, de los cuales cada dos están unidos en pares “por la voluntad de dios o por algo más”.
Acerca del propio Demócrito sabemos poco. Se sabe que nació en colonia jónica, en Abdera, en la costa tracia del Mediterráneo; que además de Leucipo sus profesores eran caldeos y magos persas; que viajaba mucho y era erudito; que vivió unos cien años y fue enterrado en el año 370 antes de nuestra era a cuenta pública por los habitantes de su ciudad natal, que le respetaban profundamente. Las generaciones posteriores de pintores representaban a Demócrito como a un hombre alto de barba corta, vestido con túnica blanca y calzando sandalias.
La leyenda dice que una vez Demócrito estaba sentado en una piedra a orillas del mar con una manzana en la mano y meditaba: “Si parto ahora esta manzana por la mitad me quedará la mitad; si luego vuelvo a cortarla en dos partes, obtendré la cuarta parte; mas si sigo con esta división, ¿me quedará siempre 1/8, 1/16, etc., parte de la manzana?
¿O en cierto momento la siguiente división llevará a que la parte restante ya no posea propiedades de la manzana?” Más tarde resultó que la duda de Demócrito (como casi toda duda desinteresada) contenía parte de verdad.

Después de una profunda reflexión, el filósofo llegó a la conclusión de que existe un límite de semejante división y denominó a esta última partícula, indivisible ya, átomo, exponiendo sus deducciones en el libro “El Pequeño Diacosmos”. ¡Fíjese, esto fue escrito hace más de dos mil años!
“El Universo tiene su origen en los átomos y el vacío, todo lo demás sólo es producto del razonamiento. Hay infinita cantidad de mundos y éstos tienen su principio y fin en el tiempo. Nada surge de la inexistencia ni se resuelve en ésta. También es infinita la cantidad de los átomos y la variedad de sus dimensiones; ellos flotan en el Universo, girando en torbellinos y dando origen a todo lo compuesto: el fuego, el agua, el aire y la tierra. Es que estos últimos son combinaciones de algunos átomos, mientras que los propios átomos no se someten a ninguna influencia y son invariables debido a su dureza”.
Demócrito no pudo demostrar estas afirmaciones, proponiendo creerle de palabra. Mas no le creyeron y, en primer lugar Aristóteles, su gran contemporáneo. Al morir Demócrito, Aristóteles, el futuro maestro de Alejandro Magno, tenía 14 años. En la plenitud de sus fuerzas era delgado, de baja estatura y refinado, y el respeto de que gozaba sobrepasaba a menudo todos los límites sensatos.
Desde luego, para esto había razones: dominaba todos los conocimientos de aquella época.
Aristóteles enseñaba lo contrario: el proceso de división de la manzana se podía continuar infinitamente, por lo menos, en principio. Esta doctrina llegó a ser dominante, Demócrito fue olvidado por muchos siglos y sus obras se destruían con una meticulosidad digna de mejor aplicación.
Por eso la doctrina de Demócrito se conservó sólo en fragmentos y testimonios de sus contemporáneos y Europa la conoció del poema “La naturaleza de las cosas” del poeta Tito Lucrecio Caro (99−55 a. n. e.).
Es absurdo culpar a los antiguos por tal elección, puesto que para ellos ambos sistemas eran igualmente sensatos y admisibles: veían el objetivo de su ciencia no en aplicaciones prácticas (se avergonzaban de ellas), sino en alcanzar mediante la especulación el sentimiento de la armonía del mundo, que comunica al hombre toda filosofía perfecta.
Para librarse de las opiniones erróneas del prestigioso sabio se necesitaron dos mil años. En el siglo XVII surgió la ciencia física que pronto desalojó a la antigua filosofía natural. Esta nueva ciencia no se asentaba en la especulación pura, sino en la experiencia y las matemáticas.
Empezaron a estudiar la naturaleza circundante: no simplemente observarla, sino realizar experimentos conscientes para comprobar las hipótesis y anotar los resultados de esta verificación por medio de números. La idea de Aristóteles no pasó esta prueba, mientras que la hipótesis de Demócrito sí, aunque, como veremos más adelante, de su aspecto inicial no quedó casi nada.
Después de veinte siglos de olvido, el filósofo, erudito y matemático francés Pierre Gassendi (1592−1655) resucitó la idea de los átomos por lo que fue perseguido por la iglesia: las tradiciones del Medievo acosaban no sólo a las hipótesis, sino también a los hechos rigurosos de la ciencia si éstos contradecían los dogmas universalmente reconocidos. No obstante, todos los científicos progresistas de aquel tiempo aceptaron la hipótesis atómica. Incluso Newton, con su célebre lema “Hypothesis non fingo” (No hago hipótesis), creyó en ésta y la formuló a su modo de ver al final del tercer tomo de la “Optica”.
Sin embargo, hasta que la hipótesis sobre los átomos no se comprobara en la práctica, pese a toda su atractividad, seguía siendo sólo una hipótesis.
La primera prueba palmaria de que tenía razón Demócrito y no Aristóteles la encontró el botánico escocés Robert Brown (1773−1858). En 1827, siendo ya no joven, ocupaba el cargo de director de la sección botánica del Museo Británico. En su juventud pasó cuatro años en expediciones por Australia y trajo de allí cerca de 4 mil variedades de plantas. Veinte años más tarde seguía estudiando aún dichas colecciones. En verano de 1827, Brown se dio cuenta de que el finísimo polen de las plantas se movía a su antojo en el agua, sometido a la acción de una fuerza desconocida. Inmediatamente publicó un artículo, cuyo título era muy característico para aquella época calmosa: “Breve informe de las observaciones microscópicas, realizadas en junio, julio y agosto de 1827, sobre partículas contenidas en el polen de las plantas; y de la existencia de moléculas activas en los cuerpos orgánicos e inorgánicos”.
Al principio su experimento provocó una confusión, agravada por el mismo Brown, quien trató de explicar este fenómeno con cierta “fuerza viva”, propia, supuestamente, de las moléculas orgánicas. Lógicamente, semejante rectitud de explicación del “movimiento browniano” no satisfizo a los científicos y éstos emprendieron nuevos intentos de estudiarlo. Entre ellos se destacaron por su labor importante el holandés Carbonnelle (1880) y el francés Gouy (1888), quienes aclararon por medio de experimentos escrupulosos que el movimiento browniano no dependía de los factores externos: las estaciones del año, las horas del día, la adición de sales, el tipo de polen y
“...se observa igualmente bien tanto de noche en una aldea como de día cerca de una calle concurrida, por la que pasan carruajes pesados. No depende siquiera del tipo de partículas, sino únicamente de su tamaño y, lo principal, nunca cesa”.
(Diecinueve siglos antes de Brown estas propiedades del movimiento browniano se había imaginado y descrito detalladamente Lucrecio Caro en su poema).
Es menester señalar que primeramente este movimiento raro no atrajo la atención debida. La mayoría de los físicos lo desconocía en general y los que estaban al tanto consideraban que dicho fenómeno carecía de interés, suponiendo que era análogo al movimiento de las partículas de polvo en el rayo solar. Sólo pasados cuarenta años, probablemente, por primera vez se formó 1.a idea de que los movimientos desordenados del polen, observados en el microscopio, se debían a choques eventuales de pequeñas u articulas de líquido invisibles. Después de los trabajos de Gouy se convencieron de ello casi todos y la hipótesis sobre los átomos se ganó numerosos adeptos.
Desde luego, también antes de Brown muchos creían firmemente que todos los cuerpos estaban compuestos de átomos. Para ellos algunas propiedades de los átomos eran evidentes sin investigaciones ulteriores. En efecto, todos los cuerpos en la naturaleza, a pesar de enormes diferencias entre sí, tienen peso y dimensiones. Por lo visto, sus átomos también deben tener peso y dimensiones. Precisamente en estas propiedades basó sus razonamientos John Dalton (1766−1844), modesto profesor de matemáticas y de filosofía natural en la ciudad de Manchester, gran científico, que determinó el desarrollo de la química para unos cien años.
Los partidarios del atomismo se preguntaron en seguida: ¿no significa la variedad de cuerpos la idéntica variedad de átomos, como afirmaba Demócrito? Resultó que no era así. John Dalton, estudiando detalladamente las reacciones químicas, en 1808 por vez primera formuló claramente el concepto de elemento químico:
el elemento es una sustancia compuesta de átomos de un solo tipo.
Se aclaró que los elementos no eran tan numerosos: a la sazón se conocían unos 40 (actualmente, 104). Todas las demás sustancias están compuestas de moléculas: diferentes combinaciones de átomos. Los propios átomos de los elementos también difieren entre sí. Una de tales diferencias fue hallada bastante rápidamente: la masa del átomo. Tomando por unidad el peso atómico del gas más ligero − el hidrógeno − se logró expresar por medio de éste el peso atómico de los demás elementos. En estas unidades, el peso atómico del oxígeno es igual a 16; del hierro, a 56, etc. Así, en la ciencia que trata del átomo penetraron, por primera vez, los números: acontecimiento de importancia extraordinaria.
Sin embargo, igual que antes, no se sabía nada de las dimensiones y masas absolutas de los átomos.
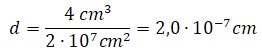
Uno de los primeros intentos científicos de evaluar las dimensiones del átomo le pertenece a Mijaíl Vasílievich Lomonósov (1711−1765). En 1742 notó que los orfebres hábiles sabían extender una chapa de oro hasta el espesor de una diezmilésima de centímetro (10−4 cm) lo que quiere decir, que los átomos de oro en modo alguno podían superar esta magnitud. En 1773 Benjamin Franklin (1706−1790) notó que una cucharilla de aceite (su volumen es igual a unos 4 cm3) derramada sobre la superficie del agua tranquila se extendía por un área de 0,2 hectáreas, es decir, 2 mil metros cuadrados o 2∙107 cm2.
Está claro que el diámetro de la molécula en este caso no puede superar la magnitud

(o sea, dos diezmillonésimas de centímetro).
Sin embargo, como primera tentativa exitosa de evaluar el tamaño y la masa de los átomos se debe considerar el trabajo del profesor de física de la Universidad de Viena Joseph Loschmidt (1821−1895), quien en 1865 descubrió que las dimensiones de todos los átomos eran más o menos idénticas e iguales a 10−8 cm, mientras que el peso del átomo de hidrógeno totalizaba sólo 10−24 g.
Por primera vez nos encontramos aquí con magnitudes tan pequeñas y sencillamente no tenemos práctica necesaria para comprenderlas. En el mejor de los casos podemos decir: liviano como el plumón o fino como la telaraña. Y aunque una onza de telaraña bastaría para extenderla a través del Atlántico, no obstante, es algo ponderable y plenamente real. El grosor de la telaraña supera, con todo, millón de veces el diámetro de los átomos y para llenar de algún modo la laguna entre el sentido común y la pequeñez de estas magnitudes se recurre, generalmente, a la comparación.
Si tomamos “el átomo de la sandía”, mencionada al comienzo de nuestro relato, y una guinda de 1 cm de diámetro y empezamos a aumentarlos simultáneamente, en el preciso momento en que la guinda alcance las dimensiones del globo terráqueo, el “átomo de la sandía” empezará a parecerse − tanto por el peso como por las dimensiones − a una buena sandía.
Sin embargo, el valor relativo de tales comparaciones, por lo visto, es muy bajo, puesto que para objetos tan pequeños el propio concepto de dimensión como de una magnitud que se mide por medio de escala, pierde su sentido inicial. Por eso es mejor de entrada dejar las tentativas de imaginarse palmariamente semejantes números, que a pesar de su extrema pequeñez no son arbitrarios: es importante comprender que a los átomos hay que atribuirles diámetros y masas precisamente tan pequeños para que las propiedades de las sustancias compuestas de estos átomos resulten tales como las observamos en la naturaleza.
Loschmidt obtuvo esos números, estudiando la difusión recíproca de los gases, es decir, su capacidad de mezclarse al entrar en contacto. (Todos nosotros conocemos bien este fenómeno, aunque generalmente no nos acordamos de él, cuando inesperadamente nos detiene el olor de la hierba segada.) Loschmidt en este caso se valió de la hipótesis cinética molecular, la suposición de que los gases no sólo se componen de moléculas, sino de moléculas en movimiento. Con ayuda de las fórmulas de la teoría cinética de los gases él determinó también la distancia media entre las moléculas en el gas: resultó aproximadamente 10 veces mayor que el diámetro de los átomos.
Al licuar un gas su volumen disminuirá unas mil veces, o sea, las distancias entre los átomos se reducirán 10 veces. Esto significa que en el líquido y en el sólido los átomos se hallan apretados uno hacia otro. Al mismo tiempo no dejan de moverse: simplemente su movimiento ahora está limitado y obedece a otras leyes, distintas de las del movimiento de moléculas de gas.
El número de moléculas de gas en el volumen de 1 cm3 a presión atmosférica normal y a temperatura de fusión del hielo
L = 2,688408∙10−19
ahora se conoce con gran exactitud y se llama número de Loschmidt. Su valor supera unas 10 veces el obtenido por éste al principio.
Rayos
El hierro, igual que cualquier sustancia, se compone de átomos. Si colocamos un extremo de una barra de hierro en el horno, ésta, naturalmente, comenzará a calentarse. Desde el punto de vista de la teoría cinética esto significa que los átomos de hierro empezarán a moverse más rápidamente (se puede descubrirlo al tocar con los dedos el extremo opuesto de la barra). Así pues, el calor es la energía de los átomos en movimiento. Pero esto no es todo, ni mucho menos.
Al calentar la barra observamos un fenómeno asombroso: a medida que se eleva la temperatura en el horno, cambia gradualmente el color del hierro calentado: desde el guinda−rojo hasta el blanco deslumbrante. Además, ahora no sólo es imposible tocarlo, sino aproximársele. Esto último ya no está claro si se vale solamente de la idea del movimiento de los átomos; en efecto, no hemos tocado la barra ni los átomos de hierro han chocado contra nuestra mano, ¿por qué entonces sentimos el calor?
Aquí, por vez primera, nos encontramos con la situación que hemos advertido al principio. Nos vemos obligados a introducir un nuevo concepto que, a primera vista, nada tiene que ver con la idea de átomo: la radiación.
Decimos: los rayos del sol alumbraron el claro. Quiere decir que la luz es radiación. Mas decimos también: calentarse al sol. Por consiguiente, también el calor puede difundirse en forma de rayos. En general, con la radiación tenemos que vernos constantemente: al hallarnos junto a una hoguera, al observar la puesta del Sol, al sintonizar el aparato de radio o al hacer la radiografía del tórax.
Todos los tipos de radiaciones: el calor, la luz, las ondas radioeléctricas y los rayos X son diferentes manifestaciones de la misma radiación electromagnética. Sin embargo, pese a todo distinguimos los tipos de radiaciones no sólo cualitativa y subjetivamente, sino también de modo estrictamente cuantitativo. ¿Por qué indicio? La radiación electromagnética los tiene muchos, mas para nosotros es singularmente importante ahora uno solo: su naturaleza ondulatoria.
Probablemente, en los mil y uno manuales, las propiedades de la onda se explican mejor y más detalladamente de lo que haremos ahora. No obstante, las recordaremos por la misma razón que los serios diccionarios académicos de palabras extranjeras incluyen vocablos bien comprensibles de uso corriente.
La “onda” es una de las palabras más necesarias de la física.
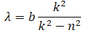
Cada cual se la imagina a su modo: uno ve en seguida las olas que produce una piedra tirada en el lago, otro, una sinusoide. Puesto que es más fácil dibujar una sinusoide, la aprovecharemos. Esta onda esquemática posee cuatro propiedades: la amplitud A, la longitud de onda k, la frecuencia v y la velocidad de propagación v.
La amplitud de onda es su altura máxima. Lo que es la longitud de onda se ve en el dibujo. La velocidad de propagación, por lo visto, no requiere explicaciones especiales. Para aclarar qué es la frecuencia, observemos el movimiento de la onda en el transcurso de un segundo.
En este tiempo la onda recorrerá la distancia de v centímetros (es decir, su velocidad es igual a v cm/s). Al calcular cuántas longitudes de onda caben en este tramo, hallaremos la frecuencia de onda (o de radiación)
ν = v/λ
La propiedad más importante de las ondas es su capacidad de interferir. ¿En qué radica su esencia?
Admitamos la siguiente posibilidad: tiremos con fuerza guisantes secos contra la pared, de modo que reboten bastante lejos. Supongamos que hayamos logrado tirarlos uniformemente, de manera que, digamos, en un centímetro cuadrado de la pared durante un segundo caigan 8 guisantes. Ahora escojamos mentalmente cualquier área de 1 cm2 entre nosotros y la pared y contemos el número de guisantes que pasan por ésta en ambas direcciones. Está claro que siempre será igual a 16.

¿Y qué pasará si la pared refleja la onda?
Examinemos atentamente nuestro dibujo: primero la onda se propaga libremente hacia la derecha (A); luego alcanza la pared y se refleja (B); mas veremos no dos ondas separadas, sino el resultado de la adición de ambas ondas: la directa y la reflejada. El resultado depende de cómo la onda entra en contacto con la pared (B). A veces cae de tal modo que se extingue por completo (C). Precisamente esta capacidad de la onda de extinguirse se llama interferencia. Por este indicio una onda siempre se puede distinguir infaliblemente de un flujo de partículas.
Otra propiedad de la onda que la distingue de las partículas es la difracción, o sea, simplemente, la capacidad de las ondas de contornear el obstáculo si sus dimensiones son conmensurables con la longitud de onda. Además, si el obstáculo es pequeño, la onda, gracias a la difracción, al chocar contra éste, puede desdoblarse, contornearlo por ambos lados y, uniéndose de nuevo, extinguirse igual que en el caso de sumarse las ondas directa y reflejada.
Precisamente de este modo, descubriendo la interferencia y la difracción de las radiaciones X y de otros tipos, se estableció que todas ellas eran ondas, pero de diferente longitud. La longitud de onda de la radiación es precisamente el indicio fundamental por el cual distinguimos cuantitativamente los diferentes tipos de radiación electromagnética.
Las ondas hertzianas son de mayor longitud: de varios kilómetros a unos centímetros.
La longitud de onda de los rayos térmicos es más corta: de 1 cm a 10−2 cm.
Más cortas aún son las ondas de la luz visible: aproximadamente de 4∙10−5 a 8∙10−5 cm.
Las ondas más cortas son las de los rayos X: de 10−7 a 10−9 cm.
Todos estos tipos de radiación se propagan con la misma velocidad: la de la luz c = 3∙1010 cm/s. De aquí, por la fórmula ν = c/λ, muy fácil calcular la frecuencia de cada tipo de radiación. Por lo visto, para los rayos X ésta será la máxima y para las ondas hertzianas, la mínima.
Es muy importante darse cuenta de que, ciertamente, cualquier radiación no es una sinusoide, representada en el dibujo, sino un proceso físico, cuyas características principales (por ejemplo, la periodicidad), por suerte, se pueden expresar por medio de unos modelos tan simples.
Cada tipo de radiación tiene sus particularidades. Concentrémonos, por el momento, en la radiación más importante y acostumbrada para nosotros: radiación solar. Por cuanto ésta obedece a las mismas leyes que cualquier tipo de radiación, nos ayudará en adelante a comprender las leyes de la radiación térmica que ha jugado un papel tan importante en la historia de la mecánica cuántica.
Al tomar el sol, seguramente, no pensamos en las ondas de que se componen sus rayos. A veces, desde luego, nos preguntamos por qué en los montes se sufren quemaduras de sol y por qué es imposible atezarse por la tarde.
Isaac Newton (1643−1727) vivió en Inglaterra, donde, digamos, el sol no abunda, sin embargo, se puso a meditar sobre la composición de la luz solar. Tras Marcus Marci, profesor de medicina de Praga, realizó en 1664 un experimento, que hoy conoce cualquier escolar. Haciendo pasar el rayo del Sol a través de un prisma descubrió en la pared tras éste el arco iris: espectro del rayo solar.
A cada color del arco iris−espectro le corresponde su onda de radiación solar: al color rojo, la más larga, 7∙10−5 cm; al verde, 5∙10−5, y al violeta, 4∙10−5. Además de los rayos visibles, en el espectro solar hay, desde luego, también otros rayos, en particular infrarrojos (sus longitudes de onda son mayores aún que las de los rojos) y ultravioletas (sus ondas son más cortas que las de los violetas). Quiere decir que la frecuencia de los rayos ultravioletas es la máxima y la de los infrarrojos, la mínima.
La luminancia relativa de diferentes colores en el espectro de radiación es distinta y depende de la temperatura del cuerpo radiante: por ejemplo, en la radiación solar predominan los rayos amarillos. De este modo el espectro de cualquier radiación indica, primero, qué rayos hay en ésta y, segundo, cuántos son.
Al atravesar la atmósfera terrestre, el rayo solar cambia su composición espectral porque la atmósfera absorbe distintos rayos del espectro solar de una manera diferente, en particular, los ultravioletas en mayor grado. En los montes, la capa de aire es más delgada y la parte de los rayos ultravioletas en el espectro es mayor, razón por la cual uno se quema allí más rápidamente que en un valle.
Aunque es un hecho bien conocido, no obstante, hemos recordado este detalle importante para lo sucesivo: originan las quemaduras de sol los rayos ultravioletas, precisamente ellos y no los verdes ni rojos. Mas de cualquier modo, para quemar se debe consumir cierta energía. Por consiguiente, portan la máxima energía las ondas de mayor frecuencia −las ultravioletas−, y no las infrarrojas (pese a que precisamente ellas se denominan térmicas). Este resultado es muy importante.
Así pues, todo cuerpo se compone de átomos, que por ahora nos imaginamos como bolitas de 10−8 cm de diámetro y de pesos diferentes: de 10−24 a 20−22 g, que se mueven muy rápidamente, oscilan y chocan entre sí; además, la velocidad de su movimiento crece al elevarse la temperatura del cuerpo. Este movimiento térmico de los átomos conduce a un fenómeno completamente nuevo: la radiación de calor, cuyas propiedades ignoramos todavía.
Para conocerlas volvamos a la barra de hierro que se calienta en el horno. Cuanto más caliente está el horno tanto más calor emite la barra. Desde luego, este hecho se conocía siempre, más sólo Josef Stefan (1835−1893) en 1879 empíricamente y Ludwig Eduard Boltzmann (1844−1906) en 1884 teóricamente establecieron la ley cuantitativa. Resultó que al elevarse la temperatura, la cantidad total de calor radiante crece muy rápidamente: como la cuarta potencia de la temperatura absoluta del cuerpo.
¿Qué pasará si en vez de la barra ponemos en el horno una piedra, como hacían antes en los baños rusos? ¿Se diferenciará su energía de radiación de la de la barra de hierro? En 1859 Gustav Robert Kirchhoff demostró que no, si la temperatura del horno en ambos casos sería igual. Demostró incluso algo más, pero para comprenderlo hay que interrumpir el relato y analizar más atentamente el flujo de radiación que emite un cuerpo calentado.
Igual que la luz solar, este flujo es heterogéneo. Cualquier radiación de calor se compone, primero, de rayos de distinta longitud de onda y, segundo, su aportación al flujo de radiación total es diferente. Conociendo ambas características, podemos afirmar que conocemos, la composición espectral de la radiación.
Para subrayar el hecho de que la parte de radiación con frecuencia ν en el flujo de radiación total depende de la temperatura T se escribe, generalmente, la siguiente fórmula:
U = U(ν, T).
Desde luego, si cambiamos la temperatura del cuerpo, cambiará también la composición espectral de su radiación térmica. Wilhelm Wien (1864−1928) en 1893 formuló las leyes cuantitativas de este cambio.
Pero incluso a temperatura igual, diferentes cuerpos irradian de distinta manera. No es difícil convencerse de esto al calentar en la oscuridad simultáneamente, por ejemplo, bolas de acero y de piedra. Sin embargo, pronto se aclaró que si en vez de bolas macizas se calentaban unas huecas, observando la radiación a través de un pequeño orificio en sus paredes, la composición espectral de esta radiación no dependía ya de la sustancia de la bola.
Tal espectro se denominó el espectro del cuerpo absolutamente negro.

El origen de esta denominación algo insólita es fácil de comprender. Figúrese que en vez de calentar la bola, uno la alumbra desde fuera. Siempre verá un orificio negro, independientemente del material de aquélla, porque todos los rayos que penetran en la cavidad se reflejan allí reiteradamente y casi no salen al exterior.
Un ejemplo real de semejante cuerpo absolutamente negro es un horno corriente, o mejor aún el horno Martin. A propósito, si ha mirado alguna vez en tal horno, habrá notado un fenómeno interesante: de su mirilla emana una luz uniforme que impide ver los detalles de los objetos que se hallan en su interior. Nuestros conocimientos acerca de la radiación nos permiten ahora comprender también este hecho.
Dos bolas de dimensiones iguales, una de piedra y otra de acero, se distinguen muy fácilmente al sol, puesto que su brillo difiere demasiado: la de acero refleja muchos más rayos que la de piedra. Si calentamos ahora estas bolas en la oscuridad, es fácil comprobar que la de piedra irradia más que la de acero. (Dicho sea de paso, es una de las causas por las cuales en los baños es más ventajoso encandecer piedras que lingotes de acero.)
Si colocamos estas bolas en un horno, donde no sólo se caldean e irradian, sino también absorben y reflejan las radiaciones de otros cuerpos, veremos dos bolas absolutamente iguales. ¿Por qué? Porque si la de piedra emite más rayos “propios”, absorbe también más rayos “ajenos”, en cambio, la de acero emite menos rayos “propios”, pero refleja más rayos “ajenos”. Por eso el flujo total de rayos (“propios” y “ajenos”) de ambas bolas es igual, razón por la cual no se puede distinguirlas no sólo una de otra, sino incluso de las paredes del horno en que yacen.
Precisamente esta rigurosa ley la enunció Kirchhoff en 1859: la relación entre la capacidad emisiva de los cuerpos y su capacidad de absorción es una función universal: U = U(ν,T), que no depende de la naturaleza de los cuerpos. La función espectral U=U(ν,T) (también la denominan así) encierra casi toda la información acerca de las propiedades de la radiación térmica. En particular, el color del cuerpo calentado lo determinan las ondas emitidas en mayor cantidad.
La importancia de la función U = U(ν,T) fue comprendida inmediatamente en los tiempos de Kirchhoff, mas en el transcurso de 40 años no se logró hallar para ella una fórmula que describiera de un modo correcto la curva medida experimentalmente. Sin embargo, los intentos de encontrarla nunca cesaban: por lo visto, las búsquedas de lo absoluto atraen siempre a la mente humana.
En nuestro relato hemos llegado al umbral de la revolución hecha en la física por Max Planck (1858−1947). Pero antes de explicar su esencia volvamos a señalar la particularidad de la radiación de calor que hemos mencionado ya: el cambio del color de los cuerpos sometidos al caldeo. .
Mientras la temperatura del cuerpo no es alta, éste irradia pero no brilla, es decir, emite solamente las ondas térmicas e infrarrojas invisibles para el ojo. Al elevarse la temperatura, el cuerpo empieza a brillar: primeramente con un color rojo, luego anaranjado, amarillo, etc. Por ejemplo, a 6 mil ºC se emiten en mayor cantidad los rayos amarillos. A propósito, por este indicio se determinó que precisamente tal es la temperatura de la superficie del Sol.
Presten atención: en el caso de una quemadura solar, la radiación despedía una energía tanto mayor cuanto mayor era su frecuencia. ¿Y en el caso en cuestión? Cuanta más energía hemos consumido para calentar el cuerpo tanto mayor será la frecuencia de las ondas emitidas. Quiere decir que existe cierta dependencia entre la frecuencia y la energía de radiación.
Cuantos
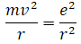
A finales del siglo pasado Max Planck buscaba una fórmula universal para el espectro del cuerpo absolutamente negro. ¿Cómo debía razonar en este caso? La radiación de calor no sólo se engendra por el movimiento de los átomos, sino también influye sobre éstos, puesto que porta energía. Como resultado de tal influencia recíproca dentro de un cuerpo absolutamente negro se establece el equilibrio térmico: cuanto calor reciben los átomos del exterior tanta energía se les lleva la radiación. De la teoría cinética de la materia Planck sabía que la energía media de oscilaciones de los átomos Eosc es proporcional a la temperatura absoluta T:
Eosc = kT,
donde k= 1,38∙10−16 ergio/grado es factor de proporcionalidad que lleva el nombre de constante de Boltzmann.
Ahora recuérdese que la energía de radiación crece con su frecuencia. Desde luego, también Planck lo sabía. ¿Pero cómo crece? Supuso lo más simple: la energía de radiación Erades proporcional a su frecuencia:
Erad = hv,
donde h es otro factor de proporcionalidad. (Esta idea es tan sencilla que no se puede demostrar ni explicarla por medio de unos conceptos más simples. Pero las ideas geniales se destacan precisamente por tal sencillez clásica.)
Al suponerlo, Max Planck adivinó la fórmula para la función espectral U = U(ν,T).Sí, la adivinó. Mas no se debe pensar que todo fue tan fácil: Planck se empeñaba dos años en hallar su fórmula.
El 19 de octubre de 1900 se celebró la sesión ordinaria de la Sociedad Física Alemana, en la cual los experimentadores Rubens y Kurlbaum informaron sobre nuevas mediciones más precisas del espectro del cuerpo absolutamente negro. Después del informe tuvo lugar una discusión durante la cual los experimentadores se lamentaban de que ninguna de las teorías pudiese explicar sus resultados. Planck les propuso utilizar su fórmula. La misma noche Rubens cotejó sus mediciones con la fórmula de Planck y se convenció de que ella describía correctamente, hasta los menores detalles, el espectro del cuerpo absolutamente negro.

Por la mañana se lo comunicó a su colega y amigo íntimo Planck, felicitándolo con el éxito.
Sin embargo, Planck era un teórico y por tanto apreciaba no sólo los resultados finales de las teorías, sino también su perfección interna. Además, ignoraba aún que había descubierto una nueva ley natural y consideraba que ésta se podía deducir de las anteriormente conocidas. Por eso trataba de fundamentar teóricamente la ley de radiación, partiendo de las simples premisas de la teoría cinética de la materia y de la termodinámica. Siguieron dos meses de trabajo continuo y de esfuerzos extremos. Logró hacerlo. ¡Mas a qué precio!
En el curso de cálculos se vio obligado a suponer que la radiación se emite en porciones (o cuantos), cuya magnitud se determina precisamente por la misma fórmula E = hν que él había adivinado un poco antes.
En este caso −y sólo en éste− se lograba obtener una fórmula correcta para el espectro de radiación.
La relación E = hν no se puede demostrar lógicamente, igual que es imposible fundamentar la ley de gravitación universal. Estas existen: así es el mundo. Más aún, sólo aceptándolas y con su ayuda se pueden explicar otros fenómenos de la naturaleza, incluido el espectro del cuerpo absolutamente negro.
Formalmente la suposición de Planck era clara y sencilla al máximo, pero, de hecho, contradecía a toda la experiencia anterior de la física y a la intuición adquirida durante muchos años. Recuérdese, hemos subrayado reiteradamente que la radiación es un proceso ondulatorio. Si es así, la energía en este proceso debe transmitirse continuamente y no en porciones: cuantos.
Planck, mejor que ningún otro, se daba cuenta de esta insuperable contradicción. Al deducir su célebre fórmula, tenía 42 años, mas casi todo el resto de su vida sufría de la imperfección lógica de la teoría que él mismo había creado. Las siguientes generaciones de físicos ya no lo tomaban tan a pecho: conocían el resultado final y aprendieron a pensar de un modo nuevo.
Pero Planck fue educado en las tradiciones de la física clásica y pertenecía enteramente a su mundo riguroso y pausado. Mas ocurrió lo siguiente: al descifrar el enigma de muchos años de la teoría de la radiación, violó con ello la armonía lógica de toda la física clásica. “¿No era un precio excesivamente caro por solucionar este problema, en el fondo muy particular?” Para Max Planck fue una gran conmoción. Más tarde, en el informe que hizo con motivo de entregarle el Premio Nobel, recordó que el reconocimiento de la realidad de los cuantos era para él igual a “...la infracción de la continuidad de todos los nexos causales”.
Sólo mucho más tarde, en 1927, la nueva ciencia −la mecánica cuántica− explicó que en este caso no había contradicción. Pero aquel tiempo estaba todavía lejos.
El 14 de diciembre de 1900, en la sala de reuniones de la Sociedad Física Alemana nació una nueva ciencia: la doctrina de los cuantos. El profesor titular de física Max Karl Ernst Ludwig Planck escueta y detalladamente hizo ante un pequeño auditorio un informe singularmente especial: “Contribución a la teoría de la ley de distribución de energía en el espectro normal”.
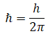
Aquel día fueron contados los que comprendieron la grandeza del momento: el mal tiempo o las contradicciones lógicas de la teoría, probablemente, preocupaban más a los reunidos. El reconocimiento vino después. Y más tarde se comprendió el significado de la constante de Planck h para el mundo atómico. Esta resultó muy pequeña:
h = 6,62∙10−27 ergio∙s,
mas abrió la puerta al mundo de los fenómenos atómicos. Y siempre, cuando queremos pasar del mundo habitual y clásico al mundo insólito y cuántico tenemos que pasar por esta estrecha puerta.
* * * *
Manzana de Demócrito
Sabemos todavía muy poco de los átomos, mas incluso estos conocimientos bastan para resolver el problema de Demócrito: ¿cuánto durará el proceso de división consecutiva de la manzana para llegar a su “átomo”?
Supongamos que Demócrito tenía en la mano una manzana grande: de unos diez centímetros de diámetro. Entonces su volumen es igual, aproximadamente, a V = 103 cm3 y con cada división se reduce dos veces, de modo que después de la división n su volumen Vn es igual a:

Según la evaluación de Loschmidt el volumen del átomo es más o menos igual a (10−8 cm)3= 10−24 cm3. La división terminará cuando el volumen Vn será igual al volumen del átomo, es decir, a condición de que:
103−0,3n = 10−24
De ahí es fácil hallar que n = 90, o sea, en la 90 división Demócrito alcanzaría ya su meta. ¿No es demasiado, verdad?
Teniendo en cuenta incluso que él, además, razonaba y por eso dividía la manzana sin prisa, igual te bastaría una media hora.
Isaac Newton acerca de tos átomos
“Me parece probable que Dios haya creado primero la materia en forma de partículas movibles, compactas, macizas, sólidas e impenetrables, de tales dimensiones y formas, con tales otras propiedades y en tales proporciones respecto al espacio, que sirviesen de la mejor manera al objetivo para el cual él las había creado, y que esta simplísimas partículas, siendo sólidas, son incomparablemente más resistentes que cualesquiera otros cuerpos compuestos de las mismas, incluso a tal punto resistentes que jamás se gastan ni se fraccionan; ningunas fuerzas corrientes pueden separar lo que el mismo Dios hiciera en el primer día de la creación...”
“Me parece evidente que esas partículas no sólo poseen la propiedad de inercia junto con tales leyes pasivas del movimiento que lógicamente dimanan de estas fuerzas, sino que, además, se mueven de acuerdo a determinados principios vigentes, semejantes a la gravitación, que originan la excitación y la adhesión de los cuerpos. Esos principios los considero no como propiedades ocultas, supuestas para sacar resultados, partiendo de las formas específicas de las cosas, sino como leyes generales de la naturaleza a las que se debe la existencia misma de esas cosas: vemos evidentemente su autenticidad a través de los fenómenos, aunque las causas de éstos, por el momento, no están descubiertas. Sólo las propiedades son manifiestas, mientras que sus causas se desconocen”.
Planck acerca del cuanto
El 2 de junio de 1920, en la Academia de Ciencias de Suecia, en la ciudad de Estocolmo, Max Planck al hacerle entrega del Premio Nobel pronunció el discurso “Surgimiento y desarrollo paulatino de la teoría de los cuantos”. He aquí algunos fragmentos del mismo:
“El fracaso de todos los intentos de tender un puente sobre el precipicio que se había formado pronto disipó todas las dudas: bien el cuanto de acción era una magnitud ficticia, entonces la deducción de la ley de radiación era ilusoria en principio y representaba simplemente un juego de fórmulas carente de contenido, o bien la deducción de esta ley se había basado en un pensamiento físico correcto, entonces el cuanto de acción debería jugar en la física el papel fundamental y su aparición presagiaba algo absolutamente nuevo, sin precedentes, lo que, al parecer, exigía la transformación de la misma base de nuestro pensamiento físico que, desde la fundamentación por Newton y Leibniz del análisis de los infinitamente pequeños, descansaba en la suposición sobre la continuidad de todos los nexos causales..,"
“...Lo que hoy nos parece incomprensible, algún día, desde el punto de vista más alto, lo veremos sumamente sencillo y armonioso. Pero antes de que se logre este objetivo, el problema del cuanto de acción seguirá incitando y fecundizando el pensamiento de los investigadores, y cuanto mayores sean las dificultades de su solución tanto más importante resultará para ampliar y profundizar todos nuestros conocimientos físicos”.
Planck comprendía perfectamente el significado de su descubrimiento (dijo a su hijo: “Hoy he hecho un descubrimiento tan importante como el de Newton”) pero jamás hacía alarde de ello. Probablemente, por eso se haya arraigado la opinión errónea de que Planck “por lo visto no sabía lo que hacía, al hacerlo”. Los fragmentos citados de su discurso del Premio Nobel refutan una vez más este error.
Capítulo 2
Rayos; Átomos; Electrones; Átomos, electrones, rayos
En la historia de la humanidad nos interesan no los nombres de los soberanos ni las fechas de su gobernación, aunque sin esto no puede haber historia en general. En la historia queremos seguir el nacimiento, el florecimiento y la decadencia de las civilizaciones, la evolución y la esencia de las ideas, que en el transcurso de siglos orientan la voluntad de los hombres y determinan el carácter de sus relaciones; queremos comprender las causas de la renovación de las ideas y las circunstancias de su extinción.
Del mismo modo, la historia de la física no es un simple conjunto de hechos, sino un cuadro lógico de surgimiento y desarrollo de ideas físicas sin las cuales la ciencia puede parecer un conjunto caótico de fórmulas y conceptos.
Las verdades son fructíferas sólo cuando entre ellas existe un nexo interno, y éste se puede estudiar únicamente en desarrollo.
Incluso los salvajes en la etapa inferior del desarrollo tienen su historia. Al desaparecer la historia, desaparecerá la conexión de los tiempos y los hombres dejarán de serlo, igual que una persona, al perder la memoria, degrada irremisiblemente.
Para un físico la historia de su ciencia es un elemento indispensable de la instrucción, sin el cual seguirá siendo para siempre Un artesano. Para los demás, en la mayoría de los casos, es la historia de los destinos humanos que, en ocasiones, son tan extraordinarios como los de los reyes o jefes militares.
Para comprender la perfección y la belleza de los conceptos de la física moderna, es menester estudiar sus orígenes y su evolución. Solamente en este caso podrán hacerse para uno íntimos y comprensibles, igual que nos es íntima la Patria, cuya historia y cultura habíamos asimilado con la leche materna.
En una ocasión el famoso matemático Félix Klein dijo que el método más rápido y seguro para dominar cualquier ciencia consiste en recorrer uno mismo todo el camino de su desarrollo. No es el camino más sencillo, pero sí el más interesante, y precisamente lo hemos elegido.
En adelante, para nosotros tendrá singular importancia seguir la evolución de los conceptos: rayos, átomos, electrones para poder, al final del camino, sentir la belleza de su síntesis.
Rayos
El rayo solar si lo estudiamos atentamente puede conducir al umbral de la física cuántica. Es muy probable que esta transición, por el momento, no les parezca convincente, mas la sensación de arbitrariedad que uno experimenta al conocer la teoría de Planck de hecho es engañosa. La fórmula de Planck no es el resultado de especulación: apareció sólo después de un largo análisis de experimentos precisos. Desde luego, para inventarla no basta sólo con el análisis: se necesitan, además, la fuerza de pensamiento, el vuelo de fantasía y la audacia para afrontar las inesperadas consecuencias de la teoría.
Los científicos Rayleigh, Jeans y Wien, ya antes de Planck habían propuesto diferentes fórmulas para describir el espectro del cuerpo absolutamente negro. Pero los experimentadores Otto Lummer (1860−1925) y Ernst Pringsheim (1859−1917) después de medir meticulosamente ese espectro, cada vez las rechazaban rotundamente por imperfectas. Sólo la fórmula de Planck les satisfizo: coincidía− sorprendentemente con los resultados de sus experimentos, aunque no por eso se hacía más comprensible.
Sigamos el ejemplo de esos físicos y examinemos la estructura del rayo solar más atentamente aún de lo que hemos hecho hasta ahora. A continuación veremos qué múltiple información trae el rayo consigo, sólo hay que aprender a leerla.
Al hacer pasar el rayo del Sol a través del prisma, en la pantalla detrás del mismo surge el espectro: un fenómeno corriente al que en el transcurso de doscientos años nos acostumbramos. A primera vista, entre las diferentes partes del espectro no hay límites acusados: el rojo pasa gradualmente al anaranjado, éste, al amarillo, etc.
Así pensaban todos hasta que en 1802, William Hyde Wollaston (1766−1828), médico y químico inglés, examinara este espectro más atentamente. Para ello construyó el primer espectrógrafo con rendija y con su ayuda descubrió varias líneas oscuras netamente pronunciadas, que sin orden visible atravesaban en diferentes lugares el espectro del Sol. Wollaston no les prestó singular importancia, suponiendo que su aparición se debía bien a la calidad del prisma, bien al manantial de luz, bien a otros factores secundarios. Además, le interesaban las líneas mismas solamente porque separaban entre sí las rayas de color del espectro. Más tarde, estas líneas oscuras las denominaron rayas de Fraunhofer, por el nombre de su verdadero investigador, y no de su descubridor.
Joseph Fraunhofer (1787−1826) vivió poco, mas su destino era extraordinario. A los 11 años quedó huérfano de padres y comenzó a trabajar de aprendiz con un artífice pulidor. Tenía que trabajar tanto que no le quedaba tiempo para ir a la escuela, razón por la cual hasta los 14 años no sabía leer ni escribir. Pero un buen día, la casa del patrón se vino abajo; la suerte quiso que, mientras a Fraunhofer lo extraían de debajo de los escombros, pasara por allí el príncipe heredero. Este se compadeció del joven y le regaló una considerable suma de dinero, suficiente para que Joseph pudiera comprar una máquina de pulir e, incluso, comenzar a estudiar.
Fue en la época de las guerras napoleónicas y grandes cambios en Europa. Mientras tanto, Fraunhofer estudiaba en la ciudad provincial de Benediktbeuern, pulía vidrios ópticos y examinaba minuciosamente las rayas oscuras en el espectro solar. Llegó a contar allí 574 rayas, denominó las principales y señaló su ubicación exacta en el espectro. Ésta era rigurosamente constante, en particular, en el mismo lugar de la zona amarilla del espectro siempre aparecía una pronunciada raya doble, a la que Fraunhofer denominó raya D.
Además, el científico había establecido otro hecho importante: en el espectro de la llama del infernillo, en el mismo lugar de la raya oscura D del espectro solar, siempre estaba presente una brillante línea amarilla doble. Sólo pasados muchos años apreciaron el significado de este hecho.
En 1819, Fraunhofer se trasladó a Múnich, donde llegó a ser profesor, miembro de la Academia de Ciencias y encargado del gabinete de física. Prosiguiendo los estudios de las rayas oscuras del espectro del Sol, se había convencido de que su origen no se debía a la ilusión óptica, sino a la naturaleza misma de la luz solar. Incitado por el carácter raro de esas rayas a seguir las observaciones, las había descubierto luego en los espectros de Venus y del Sirio.
Joseph Fraunhofer falleció y fue sepultado en Múnich, en 1826. La inscripción en su sepulcro reza: “Approximavit sidera: Aproximó las estrellas”. Mas el mejor monumento al científico son sus descubrimientos.
Entre los descubrimientos de Fraunhofer ahora tienen singular importancia para nosotros sus estudios de la doble raya D. Entonces, en 1814, cuando Fraunhofer publicó sus investigaciones, a estos estudios no les prestaron debida atención. Pero sus trabajos no fueron vanos: transcurridos 43 años, William Swann estableció que la doble raya D amarilla del infernillo surgía en presencia del metal sodio. (Sus huellas en la composición de la sal común casi siempre pueden hallarse en diferentes sustancias, así como en el infernillo.) Igual que muchos científicos antes de él, tampoco Swann comprendió el significado de su descubrimiento y, por tanto, no pronunció las palabras decisivas: “Esta raya pertenece al metal sodio”.
Sólo dos años más tarde (en 1859) llegaron a esta sencilla e importante idea dos profesores: Gustav Robert Kirchhoff (1824−1887) y Robert Wilhelm Bunsen (1811−1899), quienes realizaron un simple experimento en el viejo laboratorio de la Universidad de Heidelberg. Antes de ellos, a través del prisma se hacía pasar bien el rayo del Sol, bien la luz del infernillo. Kirchhoff y Bunsen hicieron pasar ambos a la vez y descubrieron un fenómeno del que vale la pena hablar más explícitamente.

Si en el prisma caía solamente el rayo del Sol, en la escala del espectroscopio ellos veían el espectro solar con la oscura raya D en su lugar habitual. La raya oscura seguía en su lugar también cuando los investigadores colocaban al paso del rayo el infernillo encendido. Mas, si interceptaban el paso del rayo solar con una pantalla e iluminaban el prisma sólo con la luz del infernillo, entonces en el lugar de la oscura raya D aparecía nítidamente una brillante raya D amarilla del sodio. Cuando Kirchhoff y Bunsen retiraban la pantalla la raya D de nuevo se oscurecía.
Luego remplazaban el rayo del Sol por la luz de un cuerpo incandescente y el resultado era siempre el mismo: en el lugar de la brillante raya amarilla surgía otra oscura. Es decir, la llama del infernillo absorbía siempre aquellos rayos que ella misma emitía.
Para comprender por qué este suceso había emocionado a dos profesores, sigamos sus razonamientos.
La brillante raya D amarilla aparece en el espectro de la llama del infernillo en presencia del sodio.
En el espectro del Sol en este mismo lugar se halla la raya oscura de naturaleza desconocida.
El espectro del rayo de cualquier cuerpo incandescente es continuo y carece de rayas oscuras. Sin embargo, al hacer pasar semejante rayo a través de la llama del infernillo, su espectro no se diferenciará en nada del espectro del Sol: en aquél también hay una raya oscura y, además, en el mismo lugar. Pero la naturaleza de esta raya oscura casi la conocemos ya, en todo caso podemos suponer que pertenece al sodio.
Por consiguiente, según las condiciones de la observación, la raya D del sodio puede ser bien de un amarillo brillante, bien oscura sobre el fondo amarillo. Mas en ambos casos la presencia de esta raya (¡lo mismo da: amarilla u oscura!) significa que en la llama del infernillo hay sodio.
Y por cuanto semejante raya del espectro de la llama del infernillo coincide en la luz pasante con la raya D oscura en el espectro del Sol, quiere decir que también en el Sol hay sodio, con la particularidad de que éste se halla en la nube gaseosa externa iluminada de adentro por el núcleo incandescente del Sol.
La breve nota (apenas dos páginas) que Kirchhoff escribió en 1859 contenía cuatro descubrimientos a la vez: cada elemento tiene su espectro de rayas, es decir, un conjunto de rayas rigurosamente determinado; estas rayas se pueden utilizar para analizar la composición de las sustancias no sólo en la Tierra, sino también en las estrellas; el Sol se compone del núcleo caliente y de la atmósfera relativamente fría de gases incandescentes; en el Sol hay sodio.
Los primeros tres descubrimientos pronto fueron confirmados, incluida la hipótesis de la estructura del Sol; la expedición, encabezada por el astrónomo Janssen, que la Academia de Ciencias de Francia envió en 1868 a la India, descubrió que durante el eclipse total del Sol −en el momento en que su núcleo incandescente se hallaba oculto por la sombra de la Luna y emitía luz solamente la corona−, todas las rayas oscuras en el espectro solar se encendieron con una brillante luz.
Ya el año siguiente los mismos Kirchhoff y Bunsen no solamente confirmaron la segunda hipótesis, sino que la aprovecharon para descubrir dos elementos nuevos: el rubidio y el cesio.
Más tarde, de esa modesta observación de la doble raya D amarilla del sodio nació el análisis espectral, por medio del cual ahora podemos conocer la composición química de galaxias lejanas, medir la temperatura y la velocidad de rotación de las estrellas y otras muchas cosas.
En efecto, todo esto presenta interés, mas en este momento nos importa comprender lo principal: ¿qué aportaron los descubrimientos de Kirchhoff y Bunsen a la ciencia sobre el átomo y cómo se relacionan con nuestros conocimientos anteriores respecto al mismo?
Ahora conocemos dos tipos de espectros: el continuo (o térmico) y el de rayas.
El espectro continuo contiene ondas de todas las longitudes, se emite al calentar los cuerpos sólidos y no depende de la naturaleza de los mismos.
El espectro de rayas se compone de un conjunto de acusadas rayas separadas, surge al calentar los gases y vapores (cuando las interacciones entre átomos son pequeñas) y, lo que es de primordial importancia, este conjunto de rayas es único para cualquier elemento. Más aún, los espectros de rayas de los elementos no dependen del tipo del compuesto químico formado de éstos. Por consiguiente, el origen de los espectros se debe buscar en las propiedades de los átomos.
El hecho de que los elementos se determinan unívoca y plenamente por el tipo del espectro de rayas, pronto lo reconocieron todos: pero que este mismo espectro caracteriza al átomo aislado, lo comprendieron mucho más tarde, tan sólo en 1874, gracias a los trabajos del famoso astrofísico inglés Norman Lockyer (1836−1920). [A propósito, todavía antes expresaban los mismos pensamientos Maxwell (1860) y Boltzmann (1866)]. Y apenas lo habían comprendido llegaron a la inevitable conclusión: por cuanto el espectro de rayas surge dentro de un átomo aislado, éste debe tener estructura, es decir, ¡componentes!
Átomos
En 1865, al salir a la luz los trabajos de Joseph Loschmidt, acerca de los átomos se sabía poco: se los imaginaban en forma de bolitas sólidas con dimensiones de unos 10−8 cm que pesaban de 10−24 a 10−22 g. A cada “bolita” semejante se le puede atribuir un “peso atómico”: número que muestra cuántas veces es más pesada que el átomo de hidrógeno.
Por ejemplo, el peso atómico del oxígeno es igual a 16, y del helio, a 4. De ahí es fácil deducir que 1 g de hidrógeno, 4 g de helio o 16 g de oxígeno (o, como suele decirse en la química, un átomo−gramo de cualquier sustancia) contienen un número idéntico de átomos de hidrógeno, helio y oxígeno. Este número N = 6,02∙1023, el número de Avogadro, está ligado con el número de Loschmidt mediante la relación
N = L ∙ 22413,6
es decir, el número de Avogadro es igual al número de las moléculas de gas en el volumen de 22,4136 litros a temperatura de fusión del hielo y presión atmosférica normal.
El concepto de átomos bolitas sólidas era suficiente para explicar los múltiples hechos de la química, de la teoría del calor y de la estructura de la materia. No obstante, ya hacia 1870 se había formado plenamente la idea de que el átomo se componía de partículas más simples aún, y los físicos emprendieron su búsqueda. En primer lugar comenzaron a estudiar las propiedades eléctricas del átomo.
Todas las sustancias, como regla, son eléctricamente neutras. Sin embargo, ciadas ciertas condiciones, revelan propiedades eléctricas, por ejemplo, al frotar el vidrio con lana, el ámbar con seda, etc., que se manifiestan de una manera singularmente clara en los fenómenos de la electrólisis.
Si en la masa fundida de cualquier sal (digamos, de la sal común: NaCl) introducimos dos electrodos y los conectamos a los polos de la pila eléctrica, en esta masa se operarán cambios: en el cátodo (el electrodo conectado al polo negativo de la pila) comenzará a depositarse sodio metálico puro y en el ánodo, cloro gaseoso. Esto significa que en la masa fundida los átomos de sodio están cargados positivamente, y los de cloro,
negativamente, razón por la cual, sometidos a la acción del campo eléctrico, se mueven en direcciones opuestas.
Michael Faraday (1791−1867) enunció en 1834 las leyes cuantitativas de este fenómeno. Resultó que si a través de soluciones de diferentes sustancias, cuyas moléculas están compuestas de átomos monovalentes, se hace pasar la misma cantidad de electricidad, igual a 96.484,52 culombios, en los electrodos siempre se desprende exactamente un átomo−gramo de sustancia. Por ejemplo, de la masa fundida de sal común se desprenderán 23 g de sodio metálico y 37,5 g de cloro gaseoso.
La ley de la electrólisis de Faraday es fácil de comprender, suponiendo que en NaCl fundido con cada átomo está enlazada una carga determinada y, además, para los iones Na+ y Cl− estas cargas son iguales y opuestas por el signo. El término ion para tales átomos “cargados” (de la palabra griega ion que significa “que va”) lo utilizó Faraday por primera vez en sus trabajos según el consejo de William Whewell (1794−1866), autor de la famosa “Historia de las ciencias inductivas”, quien le propuso también los términos anión y catión, así como ánodo y cátodo, tan acostumbrados hoy en día. La carga que traslada un ion es igual a e = 4,802∙10−10ues (unidades electrostáticas).
Este valor es insignificante, pero ya nos hemos acostumbrado un poco a las magnitudes tan pequeñas. Asombra más otra cosa: no se logró descubrir una carga menor que esta carga e elemental. Con buen comienzo de Johnstone Stoney (1826−1911) en 1891 esta carga mínima fue denominada “electrón”.
Electrones
Al principio con esta palabra no se ligaba el concepto de partícula. Servía sólo para designar la cantidad mínima de carga que podía trasladar un ion de cualquier átomo. No obstante, siempre estaba latente la idea de que el electrón era partícula. En efecto, sigan mentalmente el proceso de la electrólisis: he aquí el ion de sodio (Na+) que, moviéndose en la solución bajo la acción del campo eléctrico, se acerca al cátodo; en éste hay exceso de cargas negativas, debido a lo cual el ion Na+, en el momento en que lo toca, se lleva una carga negativa y, sin cambiar de peso, se desprende en forma de átomo neutro de sodio.
Pruebe ahora imaginarse el propio momento de transición de la carga negativa del cátodo al ion Na+; ¿qué se añade al ion, cuando éste, sin cambiar de peso, se hace neutro?
Es bastante difícil imaginarse ese proceso sin suponer simultáneamente que la carga elemental puede existir también fuera del átomo. Desde luego, todos comprendían esta dificultad, pero era más difícil aún reconocer la estructura atómica de la electricidad, puesto que en este caso se venían abajo las cómodas y acostumbradas nociones de la electricidad como cierto fluido sutil, que penetraba fácilmente en todos los cuerpos. En su famoso tratado “Electricidad y Magnetismo” (1837), Maxwell admite que en el electrólito las moléculas están cargadas con determinada cantidad de electricidad, aunque en seguida reconoce que “...esta hipótesis tentadora conduce a dificultades muy grandes”.
El 5 de abril de 1881, en el Instituto Real, en la reunión conmemorativa de la Sociedad Química en honor de Michael Faraday, Hermann Ludwig Ferdinand von Helmholtz (1821−1894) hizo el informe “Desarrollo contemporáneo del criterio de Faraday sobre la electricidad”, en el cual por vez primera formuló claramente la idea de la “estructura molecular de la electricidad”. Si aceptamos la hipótesis de que las sustancias simples se componen de átomos, no podremos evitar la conclusión de que también la electricidad tanto positiva como negativa se divide en determinadas porciones elementales que se portan como átomos de electricidad.
Por supuesto, incluso en aquel tiempo esta idea de por sí no era nueva. Todavía en 1749, el gran norteamericano Benjamín Franklin sospechaba algo por el estilo, pero entonces su conjetura, de hecho, no tenía base y por tanto no trajo nuevas consecuencias. En 1871 el físico alemán Wilhelm Eduard Weber (1804−1891) volvió a la idea de Franklin, mas no logró interesar a nadie: en su época sabían ya tanto de la electricidad que no creían de palabra en las hipótesis: el saber supone la responsabilidad. Hacían falta pruebas experimentales de la idea del electrón. Comenzaron a buscarlas en los fenómenos de la conductibilidad de los gases.
Imagínese un tubo de vidrio lleno de algún gas (por ejemplo, de neón) cerrado a la lámpara por ambos extremos junto con alambres (generalmente de platino). Si conectamos los dos alambres a diferentes polos de la pila eléctrica, uno al negativo (el cátodo) y −el otro al positivo (el ánodo), por el circuito pasará corriente, igual que en el caso del electrólito. Es probable que precisamente esa analogía con los fenómenos de la electrólisis incitara en su tiempo (1838) a Michael Faraday a construir el prototipo de semejante tubo (el “huevo eléctrico” de Faraday). Como veremos más adelante, la analogía era puramente exterior, mas el fenómeno de la conductibilidad de los gases de por si era tan interesante que muchos investigadores consagraron la vida al estudio de sus propiedades.
Más o menos a mediados del siglo pasado, Julius Plücker (1801−1868) (este nombre lo conoce ahora cualquier matemático) dejó de ocuparse de la geometría, no reconocido por sus contemporáneos, y se entusiasmó con la física experimental. Al mirar el juego de los letreros luminosos, uno ha de saber que debe este espectáculo al profesor de matemáticas en Berlín y Bonn: precisamente Plücker inventó en 1858 estos tubos luminosos (generalmente los llamaban geisslerianos, por el nombre del famoso soplador de vidrio Heinrich Geissler (1814−1879) que era asistente técnico de Plücker y había aprendido a fabricarlos muy hábilmente; y medio siglo más tarde los llamaban por doquier tubos de Crookes).
En primer lugar, Plücker estableció que la conductibilidad del gas dependía de su concentración en el tubo y aumentaba al evacuar del tubo parte del gas. Además, cada gas empieza a emitir su luz característica, de modo que por el color de ésta se puede determinar la composición del gas en el tubo. (A esta conclusión Plücker había llegado incluso antes que Kirchhoff y Bunsen, pero no comprendió su significado). Aumentando la rarefacción en el tubo, junto al cátodo aparece un espacio oscuro (“mancha catódica”) que, al seguir aspirando el gas del tubo, se amplía y, por último, lo llena íntegramente: el tubo deja de brillar. Pero este espacio oscuro vive, lo atraviesan ciertos “rayos”, aunque invisibles para el ojo (igual que no se ve la bala en vuelo, mientras no choque con algún obstáculo en su camino).
El discípulo de Plücker, Eugen Goldstein (1850−1931) en 1876 los llamó rayos catódicos. Antes aún, en 1869, otro discípulo de Plücker, Johann Wilhelm Hittorf (1824−1914) descubrió la desviación de dichos rayos en el campo magnético y, por último, en 1879, Cromwell Varley (1828−1883) demostró que estaban cargados negativamente.
Al principio se intentaba comprender estos fenómenos en el idioma de las ideas ondulatorias (aunque Varley ya en 1871 prefirió el punto de vista corpuscular). Semejante tendencia se explica fácilmente: en la memoria de todos estaba todavía muy fresca la disputa de Newton con Huygens sobre la naturaleza de la luz y por eso cualquier intento de explicar los fenómenos observados mediante la radiación corpuscular se percibía como el regreso al Medievo.
Póngase en el lugar de estos investigadores: corren los años 70 del siglo XIX, uno dispone de numerosos hechos interesantes, pero no se ve relación alguna entre éstos. Por un lado, el fenómeno de la conductibilidad de los gases semeja mucho los procesos de la electrólisis, mas por otro, suceden cosas absolutamente incomprensibles: por ejemplo, la conductibilidad crece al disminuir la concentración del gas en el tubo. Además, fue descubierto solamente el flujo de “rayos” negativos y no se descubrieron los positivos.
Hacía falta una idea rectora.
Tal idea surgió después de que William Crookes, físico y químico inglés realizó brillantes experimentos. Era un hombre interesante que poseía además el raro don de prever los descubrimientos fundamentales. Crookes no tenía empleo alguno y se dedicó por entero a la ciencia (lo que, sin embargo, no le impidió creer en el espiritismo y, en 1913, ocupar el cargo de Presidente de la Sociedad Real).
En primer lugar Crookes logró rarificar mucho más el aire del tubo. Entonces en el cátodo se separó otro espacio, más oscuro aún, que también llenó paulatinamente todo el tubo, después de lo cual el ánodo se encendió con una luz verdosa. El día del año 1878 en que sucedió eso, se puede considerar la fecha de nacimiento del tubo de rayos catódicos: parte fundamental del televisor moderno. Aunque sea sólo por eso, a Crookes le está asegurado el reconocimiento de los descendientes. Pero para el mismo Crookes no era más que el principio: comenzó a estudiar minuciosamente las propiedades de la radiación que él llamó materia radiante (este término también lo introdujo Faraday todavía en 1816). Crookes se dio cuenta de que se hallaba en presencia de un fenómeno de la naturaleza absolutamente nuevo y propuso llamarlo “el cuarto estado de la sustancia”, que “no es líquido ni sólido, ni gaseoso”. Crookes escribió:
“Al estudiar el cuarto estado, radiante, de la materia nosotros, a mi modo de ver, tenemos a mano y en la esfera de nuestras investigaciones, los átomos primarios de la materia, de los cuales, según suposiciones plenamente fundamentadas, se componen todos los cuerpos en la naturaleza. Vemos que la materia radiante por algunas de sus propiedades es tan material como, digamos, esta mesa, en cambio, por otras semeja más bien la energía radiante. Hemos abordado realmente la esfera limítrofe en la cual la materia y la energía se transforman una en otra. Creo que los grandiosos problemas del futuro hallarán su solución precisamente en esta esfera limítrofe; más aún, aquí, a mi juicio, se halla la frontera de todo el mundo real”.
Para apreciar la audacia de Crookes se debe recordar que en aquel tiempo el mundo entero lo dividían en materia y éter, con la particularidad de que ambas partes se consideraban antípodas e incompatibles: con la materia identificaban las partículas y con el éter, el medio ambiente, cuyas oscilaciones percibimos como rayos de luz.
De este modo la materia radiante de Crookes debía reunir propiedades incompatibles: del rayo y de la partícula. Medio siglo más tarde, todos pudieron convencerse cuánta razón tenía el científico, mas en aquella época (según Oliver Lodge, contemporáneo y compatriota de Crookes) “...la conjetura de Crookes compartió la suerte de aquellos destellos de pensamiento, que a veces se les permiten a los autores, mas que son objeto de burlas por parte de la ciencia ortodoxa de su tiempo”.
Independientemente del sentido que Crookes atribuía al concepto de “materia radiante”, por medio de experimentos indiscutibles él había descubierto en ésta las siguientes propiedades: se propaga en línea recta; provoca la luminiscencia de los cuerpos e incluso puede fundirlos; se desvía en los campos eléctrico y magnético; atraviesa los cuerpos sólidos y en el aire recorre el camino de 7 cm, mientras que los átomos, tan sólo el de 0,002 cm.
Apoyándose en estos hechos, William Crookes afirmaba: los rayos catódicos, o la materia radiante, son el flujo de partículas negativas rápidas, cuyas dimensiones son considerablemente menores que las de los átomos.
Es fácil convencerse de que la hipótesis expuesta aclaraba todas las propiedades de los rayos catódicos. En particular, permitió explicar fácilmente el surgimiento del espacio oscuro junto al cátodo: su tamaño se determinaba simplemente por la distancia media que los electrones recorrían sin chocar con los átomos del gas. Por lo visto, esta distancia aumenta a medida de la rarefacción del gas en el tubo. Mas el significado principal de la hipótesis es otro: llegó a ser precisamente la idea rectora que dio la posibilidad de pisar tierra firme en medio del mar de hechos acumulados hasta entonces.
Los físicos sabían ya a dónde ir y qué buscar: era necesario separar el “átomo de electricidad” y determinar sus propiedades: la carga, la masa y las dimensiones.
Para eso eran precisos casi 20 años y los esfuerzos de físicos tan eminentes como Joseph Thomson (1856−1940), John Townsend (1868−1957), Wilhelm Wien (1864−1928), George Fitzgerald (1851−1901), Emil Wiechert (1861−1928), Jean Perrin (1870−1942) y Robert Andrews Millikan (1868−1953). No tenemos posibilidad de hablar ahora de lo ingenioso y sutil que eran los experimentos inventados por estos y otros muchos científicos, por eso veamos simplemente cómo el hipotético “átomo de electricidad” adquiría paulatinamente propiedades reales, hasta que, por fin, llegó a ser la base de la física.
En primer lugar, en 1895 Jean Perrin demostró definitivamente que la carga de los rayos catódicos era negativa. Durante los dos años siguientes se aclaró que su velocidad era igual aproximadamente a una décima parte de la velocidad de la luz, es decir, unas 10 000 veces mayor que la velocidad de la bala de fusil y la del movimiento térmico de los átomos. Además, estas y todas las propiedades restantes de los rayos no dependen de la composición del gas en el tubo. Y eso significaba que las partículas catódicas eran el componente indispensable de todos los átomos.
Y, por último, en 1897 J. J. Thomson logró determinar la carga e y la masa m del “átomo de electricidad” aislado.
Resultó que la masa de esas partículas (≈10−27 g) era unas mil veces menor que la del átomo de hidrógeno y la carga (e ≈ 5∙10−10ues) casi se igualaba a la carga del ion de hidrógeno, que había sido medida al estudiar la electrólisis.
Fue una sorpresa. Juzguen Uds. mismos: los fenómenos de la electrólisis y de la conductibilidad de los gases los estudiaban diferentes ciencias que se desarrollaban independientemente una de otra y en las cuales durante decenios se iban formando sus conceptos. De repente, estas ciencias se vieron estrechamente ligadas. “Semejantes hechos en la historia de la ciencia, dijo Max Laue, Premio Nobel, discípulo de Planck, son la demostración más convincente de su autenticidad”. Para los físicos, tales acontecimientos siempre son una fiesta, y nosotros volveremos todavía a visitar semejantes encrucijadas de la ciencia.
La historia del electrón es un buen método para asimilar la lógica de los descubrimientos de la física moderna: partiendo de las observaciones y a base de éstas, los científicos promueven hipótesis que se vuelven a comprobar con el experimento y, por último, este proceso se corona con la teoría, es decir, con una explicación concisa de los fenómenos particulares a base de pocos principios generales. La hipótesis sobre el electrón surgió de las observaciones de Faraday, Plücker y Crookes, y la fecundidad de la misma fue comprobada y demostrada en los experimentos de J. J. Thomson y de otros físicos.
Y, por último, Hendrik Antoon Lorentz (1853−1928) se convenció a tal punto de la realidad del electrón que a base de esta hipótesis creó una teoría, cuyos efectos podían comprobarse nuevamente.
Este proceso es infinito, pero representa el único medio del avance de la ciencia.
Mas retornemos al año 1897, cuando después de cuatro decenios de esfuerzos obtuvo carta de naturaleza la primera “partícula elemental”. Fue el acontecimiento más importante en la física desde los tiempos del reconocimiento de la realidad del átomo. Aquel año se supo que existían partículas mucho menores que los átomos; que éstas forman parte de la composición de todos los átomos: que no solamente la materia, sino también la electricidad tenía estructura atómica. Todo esto significaba que en la naturaleza existe realmente el portador material de la carga mínima. En 1900 Paul Drude (1863−1906) propuso llamar esta partícula electrón.
Igual que en el caso del átomo, se tardó bastante en reconocer el electrón. Todavía en 1902, Oliver Lodge escribió: “...el electrón es una carga puramente hipotética, aislada del átomo”. Incluso en 1920 el genial Röntgen prohibía a los colaboradores de su instituto pronunciar esta palabra.
En nuestros días cuesta comprender estas dudas.
Los físicos que creyeron en seguida en la realidad de los electrones, medían minuciosamente sus características: la carga a y la masa m. Gracias a sus trabajos (en particular, a los de Robert Millikan, quien desde 1909 hasta 1940 volvía periódicamente a este problema) nosotros conocemos hoy estos valores con gran precisión:
m = 9,109558 ∙ 10−28 g,
e = 4,803250.∙.10 −10ues.
¿Y el tamaño? ¿Cuáles son las dimensiones del electrón? Lamentablemente hasta hoy lo desconocemos. No sabemos siquiera si esta pregunta en general tiene sentido exacto. En efecto, vamos conociendo las propiedades del electrón al estudiar sus interacciones con otras partículas y campos. Mas para comprender los resultados de todos estos experimentos basta con saber sólo la masa y la carga del electrón y no hace falta en absoluto saber sus dimensiones. No está excluido que los electrones realmente no tengan semejante propiedad. En efecto, es imposible señalar el grosor del ecuador, aunque se puede medir su largo. ¿O, tal vez, las dimensiones del electrón dependan de las condiciones del experimento? Esta posibilidad tampoco se puede negar de antemano; es que el cometa cambia sus dimensiones al aproximarse al Sol, aunque su masa sigue siendo constante. Todas estas preguntas no son ociosas y nosotros volveremos a ocuparnos de ellas.
Átomos, electrones, rayos
Acabamos de repetir el difícil trecho del camino que habían recorrido los investigadores a finales del siglo pasado. Fue la época, cuando la abundancia de nuevos fenómenos ocultaba las relaciones simples entre ellos. Cuando hacía falta una gran fe en la armonía de la naturaleza para no perderse en el caos de hechos abigarrados e hipótesis contradictorias.
El descubrimiento verdaderamente grande no sólo responde a viejas preguntas, sino que engendra, además, otras nuevas. El descubrimiento del electrón despertó el entusiasmo de los físicos. No obstante, pronto lo relevaron nuevas preocupaciones. ¿Cómo están enlazados los electrones en el átomo? ¿Cuántos son allí? ¿Están en reposo o se mueven? ¿Qué relación tienen sus movimientos con la radiación de los átomos?
La forma y el carácter de las preguntas iban cambiando, mas poco a poco todas ellas se redujeron a la siguiente tarea: era necesario conocer el número, las dimensiones y la ubicación de los electrones en el átomo, así como su influencia sobre los procesos de la radiación.
Nadie pensó siquiera si semejantes preguntas tenían sentido en general. En aquel tiempo todos tácitamente se imaginaban el electrón en forma de pequeña bolita de 10−13 cm de diámetro, que “de algún modo” estaba fija da en el átomo o volaba allí al igual que una mosca en el templo.
Para empezar querían comprender lo principal: ¿por qué el átomo emite rayas espectrales de una longitud de onda rigurosamente determinada y por qué son tan numerosas? (el átomo de hierro, por ejemplo, tan sólo en la parte visible del espectro tiene más de 3000 rayas). Como siempre, al carecer de ideas profundas, se buscaban analogías. Todos recordaban bien que la frecuencia de oscilaciones del resorte con carga dependía de su elasticidad, por consiguiente, discurría parte de los físicos, también en el átomo los electrones están ligados por “una especie” de resortes de diferente elasticidad. Al excitar el átomo, los electrones comienzan a vibrar, emitiendo luz con la frecuencia de oscilaciones de los resortes. De ahí, según la idea de Lockyer, se deducía inmediatamente que el número de electrones en el átomo era igual al número de rayas en el espectro del elemento. Además, el átomo con semejante estructura preferiría absorber precisamente los rayos que él mismo emite. Pero ¡justamente esto lo habían descubierto Kirchhoff y Bunsen en su famoso experimento con el vapor de sodio!
Pese a los éxitos del modelo del átomo con el electrón ligado elásticamente, muchos comprendían su imperfección lógica o, más exactamente, estética. Y pronto descubrieron también las contradicciones directas entre el modelo y el experimento. J. J. Thomson, al estudiar la dispersión de los rayos X en los átomos de diferentes elementos, llegó a la conclusión de que el número de electrones en el átomo era relativamente pequeño: más o menos igual a la mitad del peso atómico del elemento. En 1904 Thomson propuso su modelo del átomo, desarrollando la hipótesis de su homónimo William Thomson (Lord Kelvin): dentro del átomo−esfera de 10−8 cm de diámetro, cargado uniforme y positivamente flotan electrones negativos ligados a él cuasi elásticamente. El número de electrones es igual a la carga de la esfera, de modo que en su conjunto el átomo resulta neutro, tal como debe ser.
A comienzos de nuestro siglo, casi todos los físicos habían aceptado el modelo de Thomson y sólo algunos proponían otros modelos. Pero, a pesar de ciertas discordancias todos se daban cuenta de que en la ciencia sobre el átomo se iniciaba una nueva época.
* * * *
Análisis espectral
El descubrimiento del análisis espectral despertó un vivo interés incluso entre gente ajena a la ciencia, lo que en aquellos tiempos sucedía bastante raramente. Como siempre en tales casos, los aficionados ociosos sacaron a luz a otros muchos científicos que supuestamente habían descubierto el análisis espectral mucho antes de Kirchhoff y Bunsen. Mencionaban al científico francés León Foucault (1819−1868), que había propuesto un experimento análogo diez años antes que ellos, al famoso astrónomo John Frederick Herschel (1792−1871), al inventor de la fotografía sobre papel William Henry Fox Talbot (1800−1877) y a otros muchos. Todavía mucho más tarde los ingleses afirmaban que había descubierto el análisis espectral su famoso compatriota George Gabriel Stokes (1819−1903), quien en una conversación con William Thomson (1824−1907) sugirió que la raya D en el espectro del Sol surgía al pasar la luz blanca solar a través del vapor de sodio en la capa gaseosa del Sol. Sin embargo, el propio Stokes, que era un hombre magnánimo, renunciaba a semejantes pretensiones, aunque reconocía que en sus conferencias había expuesto a los estudiantes ideas parecidas, considerándolas, no obstante, generalmente conocidas y no muy importantes. (A propósito, precisamente en este tiempo en la mente de Peter Guthrie Tait (1831−1901) nació la idea de resúmenes científicos: reprochaba a Stokes y a William Thomson su negligencia y desconocimiento de la Literatura, que les impidieron publicar una idea evidente.
A diferencia de numerosos predecesores, Kirchhoff y Bunsen en seguida comprendieron la importancia de su descubrimiento. Por primera vez se dieron cuenta claramente (y por eso persuadieron de ello tan fácilmente a los demás) de que las rayas espectrales eran la característica de los átomos de la sustancia y no de las particularidades de la estructura del prisma ni de las propiedades de los rayos solares. Kirchhoff comenzó a redactar inmediatamente un atlas detallado de rayas de Fraunhofer del espectro solar y determinó la composición química del Sol. Durante este trabajo se arruinó la vista y se vio obligado a abandonarlo en 1861.
La historia y la esencia de los descubrimientos del análisis espectral podrían ser objeto de una interesante narración para la que ahora, lamentablemente, no podemos distraernos. Recordaremos tan sólo una historia interesante, que tuvo lugar poco tiempo después del descubrimiento de Kirchhoff y Bunsen.
El 18 de agosto de 1868, el astrónomo francés Janssen (1824−1907) durante el eclipse del Sol en la India observó en el espectro de la corona solar una raya amarilla de naturaleza desconocida. Dos meses más tarde, el físico inglés John Norman Lockyer (1836−1920) aprendió a observar el espectro de la corona sin esperar los eclipses solares, descubriendo en él la misma raya amarilla. Al elemento desconocido que emitía esta raya lo llamó “helio”, esto es, elemento solar. Ambos científicos escribieron acerca de su descubrimiento a la Academia de Ciencias de Francia. Las dos cartas llegaron simultáneamente y fueron leídas en la sesión de la Academia el 26 de octubre de 1868. La coincidencia sorprendió a los académicos y en honor a este acontecimiento ellos decidieron acuñar una medalla conmemorativa de oro: de un lado los perfiles de Janssen y Lockyer y del otro, el dios Apolo en su carroza y la siguiente inscripción: “Análisis de las protuberancias solares”.
En la Tierra el elemento helio fue descubierto en 1895 por William Ramsay.
William Crookes (1832−1919)
W. Crookes nació en la familia de un comerciante de Londres que vivía en Regent Street. Era el primogénito de los 16 hijos de segundas nupcias; además, había otros 5 hijos del primer matrimonio. Según su propia expresión era poco probable que en su familia conocieran la palabra “ciencia”. La instrucción primaria la recibió en casa de su tío, cuya librería se hallaba junto a la tienda de su padre.
A los 19 años se graduó en el Colegio Real de Química, recientemente fundado, y trabajaba en el mismo de auxiliar. Paralelamente asistía a las conferencias de Faraday en el Instituto Real, que le causaron una impresión inolvidable.
En 1861 Crookes descubrió el elemento talio, y en 1869 fue elegido miembro de la Sociedad Real, donde el 30 de noviembre de 1878 hizo el informe ante sus miembros sobre las propiedades de los rayos catódicos.
Corrían insistentes rumores de que estaba a punto de descubrir los rayos X. El caso era que durante los experimentos con los rayos catódicos, Crookes acusaba constantemente a la compañía Ilford de que le suministraba placas fotográficas ya veladas. (Como sabemos ahora, los rayos X, que surgen al chocar los electrones contra las paredes del tubo, podían muy bien velar las placas fotográficas incluso en una caja cerrada.) Los rumores no se confirmaron, en todo caso, el mismo Crookes no hizo mención pública de ello en ninguna parte.
Crookes era una persona de talento extraordinario, siendo al mismo tiempo inventor, editor de la revista “Novedades Químicas” e investigador puro. Era un hombre muy afable, sensato, fiel a su familia y cauto con gente extraña.
“Era un intelecto sumamente independiente, original y audaz, enfocaba los fenómenos a su modo de ver y no temía manifestar opiniones que diferían radicalmente de las afirmaciones de todos los ortodoxos precedentes”,
dijo más tarde J. J. Thomson refiriéndose a Crookes.
Teoría cinética de los gases
Por el momento, junto con los científicos del siglo XIX, deseamos penetrar en el interior del átomo. Mas paralelamente con estos intentos en el mismo siglo XIX se trataba de explicar las propiedades físicas de los cuerpos sin entrar en detalles de la estructura interna de los átomos. La idea en la que se basaban estos intentos era simple al máximo: los átomos de los que se componen todas las sustancias en la naturaleza no están en reposo, sino que se hallan en continuo movimiento.
Resulta que semejante idea conduce a gran número de deducciones si se formula en el idioma matemático. Y tales intentos se emprendían reiteradamente, comenzando por Newton que quería explicar desde el punto de vista matemático la ley de los gases de Boyle−Mariotte. Sin embargo, se debe considerar fundador de la teoría cinética de la materia a Daniel Bernoulli (1700−1782).
Bernoulli nació en una familia procedente de Holanda, que dio al mundo más de 120 destacados y famosos científicos, artistas, literatos y estadistas. Pese a la voluntad de su padre, Daniel estudió las matemáticas tomando clases de su hermano mayor Nikolaus, y luego se graduó en Italia. En 1725 junto con Nikolaus fue a Petersburgo, hacia donde las reformas de Pedro el Grande atrajeron a muchos extranjeros. Ocho meses más tarde Nikolaus falleció; Daniel, a la sazón ya profesor de matemáticas, vivió en Petersburgo siete años más, mientras pudo soportar el clima y el modo de vida rusos. Allí escribió su “Hidrodinámica”, que publicó en Basilea, en 1738, cinco años después de haber regresado.
Más o menos en la misma época, también en Petersburgo, desarrollaba ideas análogas Mijaíl Vasílievich Lomonósov.
La teoría cinética de los gases corrió una suerte rara: la “Hidrodinámica” de Bernoulli pasó desapercibida y la descubrieron sólo en 1859, pasados 120 años. Los trabajos de Lomonósov, escritos en 1742−1747, se conocieron solamente en 1904.
En el siglo XIX tuvo lugar el segundo nacimiento de la teoría cinética de los gases, al principio también desafortunado. En 1821, John Herapath (1790−1868) −apasionado maestro de una escuela de Bristol, amante de discusiones − propuso de nuevo la hipótesis cinética, pero tampoco le prestaron atención. Un cuarto de siglo más tarde, en 1845, John James Waterston (1811−1883), instructor naval de la Compañía Inglesa de las Indias Orientales en Bombay, envió a la Sociedad Real de Londres un extenso tratado referente a la teoría cinética de los gases. Esa obra no vio la luz, por cuanto los críticos la tildaron de “...absurdo que ni siquiera sirve para ser leída ante la Sociedad Real”. Tan sólo en 1892 lord Rayleigh encontró en los archivos el manuscrito de Waterston y lo publicó.
La causa del olvido tan unánime de estos trabajos hay que buscarla en el general estado de ánimos de los físicos de entonces. En parte tenían culpa de ello las doctrinas filosóficas de aquellos tiempos: a mediados del siglo XIX casi todos los filósofos negaban la existencia de los átomos. (Lo que de por sí es muy raro, puesto que para los filósofos del siglo XVIII la realidad de los átomos era no sólo evidente, sino incluso trivial.)
No obstante, las ideas de Herapath y Waterston no desaparecieron: influyeron decisivamente en los trabajos de James Prescott Joule (1818−1889), quien en 1851 por vez primera evaluó la velocidad de las moléculas de gas. Esta resultó inesperadamente grande: por ejemplo, para moléculas de hidrógeno es igual a unos 1800 metros por segundo, es decir, el doble de la velocidad de un proyectil.
Luego la teoría cinética de la materia se desarrolló rápidamente: han vuelto a descubrirla Krönig (1856) y Clausius (1857) y la desarrollaron casi hasta el nivel actual Maxwell (1860) y Boltzmann (1878). Parecía que ahora la hipótesis atómica venció definitivamente.
Mas apenas transcurrido un decenio, de nuevo “pasó de moda”; los trabajos de Boltzmann más bien causaban asombro, que se reconocían, a él lo llamaban “el último sostén del atomismo” y él mismo confesaba tristemente: “Soy el último quien niega la posibilidad de construir cualquier otro cuadro del mundo que no sea el atomístico”. Esta nueva ola de desconfianza penetró en los manuales y artículos científicos. Por ejemplo, en el conocido manual de P. G. Tait (1885) leemos: “El átomo sólido ... vive (en forma de una hipótesis increíble, mas no refutada todavía) hasta el presente ... Sin embargo, es incomparablemente más verosímil la teoría de acuerdo a la cual la materia es continua, o sea, no se compone de partículas con intervalos”. Incluso en 1898 una de las revistas científicas escribió que “...la teoría cinética es tan errónea como la teoría mecánica de la gravitación”.
No obstante, el alud de descubrimientos en los albores del siglo XX arrasó estas dudas tardías sin dejar huellas y desde entonces la teoría cinética de la materia es una de las ciencias fundamentales sobre la estructura de la sustancia, por medio de la cual se explicaron la capacidad calorífica y la conductibilidad térmica de los cuerpos sólidos, la elasticidad, la viscosidad, la difusión de los gases, así como otras muchas propiedades.
Mijaíl Vasílievich Lomonósov
El primer científico ruso Mijaíl Vasílievich Lomonósov nació el 8 de noviembre de 1711 en Denísovka, lejana aldea norteña en una de las islas del Dviná del Norte cerca de la ciudad de Jolmogory. En invierno de 1731, cuando tenía ya veinte años cumplidos, vino con un convoy a Moscú y sólo allí empezó a estudiar. Falleció el 4 de abril de 1765, siendo académico ruso y miembro honorario de las Academias de Estocolmo y de Bolonia.
El vigoroso organismo, la amplitud de intereses, la fuerza del genio creador, todo sorprende en Lomonósov. Fue el primero que empezó a dar conferencias científicas en ruso, creando para ello la terminología científica necesaria. Escribió el primer manual ruso sobre la mineralogía y echó los cimientos de la versificación rusa moderna; dirigió la confección del mapa de Rusia y escribió obras “Sobre la multiplicación y conservación del pueblo ruso”; creó cuadros de mosaico con vidrio de color que él mismo había preparado y organizó una expedición para encontrar la ruta marítima a la India, siguiendo la costa Norte de Rusia; creó aparatos para la navegación y construyó el primer laboratorio químico en Rusia.
En 1755, con la participación activa de Lomonósov fue inaugurada en Moscú la primera Universidad rusa, denominada luego con su nombre.
Las ideas naturales y científicas de Lomonósov estaban al nivel del siglo y, a menudo, lo adelantaban. Era partidario consecuente del atomismo y enemigo irreconciliable del calórico. Cuarenta años antes de Lavoisier había utilizado sistemáticamente la balanza en las investigaciones químicas; el famoso experimento de calcinación de metales en probetas cerradas a la lámpara lo realizó 17 años antes de Lavoisier, y 30 años antes de Herschel descubrió la atmósfera del Venus.
Pasaba grandes apuros: en aquellos tiempos Rusia era un país feudal analfabeto, donde dedicarse a la ciencia no se consideraba tarea digna. Se veía obligado a buscar protectores en la corte y ocuparse de infinidad de cosas ajenas a la ciencia, pero a sus discípulos les inculcaba: “No hay nada más agradable y útil para la descendencia que los experimentos físico−químicos, llevados a cabo en las horas libres de las tareas más importantes”. En 1742 en su tesis “Sobre las pequeñas partículas físicas imperceptibles que componen los cuerpos de la naturaleza y determinan en suficiente medida las propiedades de estas partículas” Lomonósov escribió:
“...§ 87. Axioma. Los cuerpos compuestos constan de cierto número de partes componentes en que se desintegran...
§ 89. Teorema 10. Todos los cuerpos se componen de pequeñas partículas físicas imperceptibles que encierran la base de las propiedades de estas partículas, que al moverse no pueden dividirse en otras menores...
§ 90. Aclaración. Llamamos mónadas físicas las pequeñas partículas físicas imperceptibles que al moverse no se dividen en otras, menores. No refutamos la posibilidad de fraccionar mentalmente la materia hasta lo infinito, mas consideramos posible, sin temor de incurrir en un error, evitarlo en la física. Tampoco nos preocupamos del vacío disperso en la materia (si aquél existe); es sabido que con el vacío no se liga concepto alguno, salvo la extensión y, por tanto, no tiene propiedades algunas ni puede, por la misma razón, dar nada al contenido y a la naturaleza de las cosas, independientemente de si exista o no.
§ 91. Teorema 11. La figura de las mónadas físicas es invariable...”
Lomonósov veía el origen del calor y del frío en “el movimiento recíproco de las pequeñas partículas físicas imperceptibles”. En 1744 presentó a la Academia de Ciencias la disertación “Meditaciones sobre la causa del calor y del frío”. He aquí algunos fragmentos que dan una idea de la misma:
“§ 1. Es bien sabido que el calor se produce por el movimiento: al frotar, las manos se calientan y la madera se enciende; al golpear el pedernal contra el eslabón salen chispas; el hierro se pone candente al forjarlo por medio de golpes frecuentes y fuertes...
De todo esto se hace plenamente evidente que el movimiento es causa suficiente del calor. Y puesto que sin la materia no puede haber movimiento alguno, es necesario que el movimiento de cualquier materia sea la causa suficiente del calor...
§ 6. Se puede imaginar que el movimiento interno transcurre de tres modos: 1) bien las partículas imperceptibles del cuerpo cambian continuamente su lugar; 2) bien giran siempre en el mismo lugar; 3) bien, por último, oscilan constantemente en el espacio y en el tiempo imperceptibles. El primer movimiento lo llamamos de traslación; el segundo, de rotación, y el tercero, oscilatorio...”
En los protocolos de la academia se conserva una referencia sobre este trabajo en la que se dice que “el aspirante Lomonósov comenzó a escribir disertaciones demasiado temprano”. El bajo nivel de la cultura de la academia de aquella época y el progresivo aislamiento ulterior de Rusia, condujeron a que los trabajos científicos de Lomonósov no influenciaran el desarrollo posterior de la ciencia. Sus obras fueron olvidadas y durante ciento cincuenta años los descendientes lo recordaban exclusivamente como poeta. Sólo más tarde, hacia el ducentésimo aniversario del nacimiento de Lomonósov, sus trabajos científicos fueron extraídos poco a poco de los archivos, apreciándose la grandeza de ese auténtico talento ruso.
Capítulo 3
Átomos; Rayos; Cuantos; Victoria definitiva del atomismo
Dicen que la mitad de los conocimientos sobre el mundo exterior el hombre los adquiere hasta la edad de cinco años. En los diez años siguientes sabe del mundo casi todo y completa sus ulteriores conocimientos del mismo (a excepción de los especiales) muy lentamente, tal vez porque hacia ese tiempo contrajera ya la mala costumbre de los adultos: al aprender algo nuevo, pregunta sin falta “¿Y para qué sirve eso?”.
Al tratar por primera vez con la mecánica cuántica, semejante costumbre adulta estorba mucho, porque al principio nunca están claros la esencia de los fenómenos atómicos ni su importancia relativa en el cuadro general, y menos aún, su sentido oculto.
En esta situación hay que proceder como los niños que aprenden a hablar. Primero oyen sonidos incomprensibles, luego hacen memoria y repiten a despropósito las palabras, y, por último, se dan cuenta de que entre éstas existen nexos lógicos. Paulatinamente se van convenciendo de que las palabras por sí solas, a menudo, no significan nada, mas a veces adquieren un sentido inesperado si se pronuncian en determinado orden.
Por supuesto, pasará bastante tiempo hasta que los niños aprendan a captar los matices más sutiles de los pensamientos y estados de ánimo expresados por simples combinaciones de palabras corrientes. En realidad, sólo entonces llegan a ser adultos.
En este capítulo conoceremos muchos hechos nuevos sobre los átomos, rayos y cuantos. Tal vez, la elección de hechos y la seguridad con que vamos a interpretarlos no parezcan al principio muy fundamentados: igual que a un niño, la conducta de los adultos. Mas es inevitable. Al conocer por primera vez la inusitada realidad de la física atómica, todos nosotros sin querer nos asemejamos a los niños que pisan el umbral de un mundo nuevo para ellos. Sin hechos no hay ciencia, y para asimilarlos mejor, convirtámonos por un tiempo en niños, que saben siempre más de lo que comprenden.
Las postrimerías del siglo pasado y los comienzos del nuestro a menudo se llama período heroico de la física. Fue una época en que todos los años traían sorprendentes descubrimientos, cuya significación fundamental es evidente incluso en nuestros días, pasado más de medio siglo. Uno de tales descubrimientos está relacionado con el mismo tubo de Crookes. El 2 de noviembre de 1895, en el laboratorio de la Universidad de Würzburg, Wilhelm Konrad Röntgen (1845−1923), al estudiar los rayos catódicos, descubrió una nueva radiación que surgía en aquel lugar del ánodo, donde caía el haz de electrones.
Las propiedades de esa radiación eran tan extraordinarias que daba miedo: atravesaba fácilmente el cuerpo humano e incluso penetraba a través de las puertas cerradas de las cajas fuertes. Sólo en 1912, los físicos alemanes Walter Friedrich (nació en 1883) y Paul Knipping (1883−1935), a propuesta de Max von Laue (1879−1960) hicieron pasar estos rayos por el cristal y descubrieron en ellos la capacidad de interferencia y difracción. Esto significaba que los rayos X (como los había denominado al principio Röntgen) no eran un flujo de partículas, sino ondas, sólo que muy cortas: apenas de 10−7 a 10−10 cm.
Solamente este descubrimiento sería suficiente para alterar el orden habitual de trabajo de todos los laboratorios del mundo. Mas la época de descubrimientos apenas comenzaba. Unos meses después, en 1896, Antoine Henri Becquerel (1852−1908) descubrió un nuevo tipo de radiación, más raro aún, que surgía espontáneamente en un trozo de mineral de uranio y se componía de partículas cargadas positivamente, las que Rutherford llamó partículas alfa (partículas α). Estas resultaron ser cuatro veces más pesadas que los átomos de hidrógeno, con la particularidad de que su carga era igual a dos cargas del electrón.
Algunas sustancias (por ejemplo, ZnS: sulfuro de zinc) comenzaban a brillar si sobre ellas caía un haz de partículas α. Esto permitió al mismo William Crookes inventar en 1903 el espintariscopio: instrumento que permitía ver las centellas fugaces de partículas α aisladas que caían en la pantalla de sulfuro de zinc.
En la actualidad ambos descubrimientos se conocen bien, mas de todos los modos, los hemos recordado, puesto que sin ellos la historia del átomo sería incompleta.
Átomos
A principios del siglo, en la física existían las ideas más variadas y, a menudo, fantásticas acerca de la estructura del átomo. Por ejemplo, Ferdinand Lindemann, rector de la Universidad de Múnich afirmaba en 1905 que “...el átomo de oxígeno tiene forma de anillo, y el de azufre, de una pastilla”. Seguía subsistiendo la teoría del “átomo vortiginoso” de Lord Kelvin, según la cual la estructura del átomo semeja los anillos de humo que lanza por la boca un fumador experto. (A propósito, precisamente de ésta Kirchhoff dijo: “Es una teoría hermosa porque excluye cualquier otra”.)
Sin embargo, la mayoría de los físicos llegó a la conclusión de que tenía razón J. J. Thomson: el átomo es una esfera positiva de 10−8 cm de diámetro, uniformemente cargada, dentro de la cual flotan electrones negativos (o corpúsculos, como escribían en las ediciones rusas de comienzos del siglo), cuyas dimensiones son iguales a 10−13 cm aproximadamente. El propio JJ., como lo llamaban los discípulos, no estaba entusiasmado con su modelo.. Hubo también físicos que se imaginaban el átomo de un modo absolutamente distinto.
Algunos hablaban de esto en voz alta, entre ellos Johnston Stoney, quien todavía en 1891 había supuesto que “...los electrones se movían alrededor del átomo como los satélites de planetas”; Jean Perrin, que en 1901 trataba de imaginarse la “estructura nuclear planetaria del átomo”; el físico japonés Hantaro Nagaoka, quien en 1903 afirmaba que “...los espacios en el átomo son extraordinariamente enormes en comparación con las dimensiones de los propios núcleos eléctricos diminutos que lo componen: en otras palabras, el átomo es una especie de complejo sistema astronómico, similar al anillo del Saturno”.
Muchos estaban de acuerdo con estas afirmaciones: sir Oliver Lodge, el físico francés Paul Langevin, el científico noruego Karl A. Bjerknes (1825−1903); esta lista se podría prolongar. Basta recordar que ya en 1896 Lorentz y Larmor aprovecharon la idea sobre la estructura planetaria del átomo para explicar el fenómeno de desdoblamiento de rayas espectrales en el campo magnético, descubierto por Zeeman.
Otros, por ejemplo, Piotr Nikoláevich Lebedev, confiaban tales pensamientos sólo a su diario: en 1887 le pareció que la frecuencia de radiación de los átomos se determinaba por la frecuencia de rotación del electrón en la órbita. Y la voz de Nikolái Morózov estaba encerrada en los muros de la Fortaleza de Schlisselburgo.
Mas ningún adepto de la idea del átomo planetario pudo explicar lo principal: la estabilidad del sistema que se compone del núcleo positivo y de los electrones que giran a su alrededor.
En efecto, en la órbita circular el electrón se mueve aceleradamente y, por consiguiente, según la teoría de Maxwell−Lorentz, debe perder energía en radiación. Conociendo las dimensiones del átomo, es fácil evaluar la velocidad del movimiento del electrón en la órbita ν = 2∙108 cm/s y la magnitud de la aceleración centrípeta a ≈ 1025 cm/s2. En el caso de semejante aceleración, la radiación debe ser tan intensa que apenas dentro de 10−8 s el electrón sin falta caerá en el centro positivo de atracción y tal “átomo” dejará de existir.
Nada parecido sucede en la naturaleza: el átomo real no sólo es estable, sino que además restablece su estructura después de las destrucciones, atestando a primera vista a favor del modelo de Thomson. No obstante, hace ya más de doscientos años que en la física rige la regla: sólo el experimento está autorizado a hacer la elección definitiva entre las hipótesis. Semejante experimento realizó en 1909 Ernest Rutherford (1871−1937) con sus “muchachos”.
Imagínese a un hombre corpulento y bullicioso que está obligado a permanecer en un cuarto oscuro y, mirando en el microscopio, contar en la pantalla del espintariscopio las centellas de partículas a (del latín scintilla: chispa). Es un trabajo agotador: a los dos minutos se cansa ya la vista. Ayudan a Rutherford el experimentado investigador Hans Geiger (1882−1945) y el ayudante de laboratorio Ernest Marsden de veinte años de edad. Su aparato es sencillo: una ampolla conteniendo radio−C que emite partículas α, el diafragma que deja pasar un haz estrecho de estas partículas, enfocándolo sobre la pantalla de sulfuro de zinc y el microscopio, por medio del cual se observan en la pantalla las centellas de las partículas α.
Es imposible prever el lugar donde aparecerá una nueva centella: surgen desordenadamente, pero de modo que en suma en la pantalla aparece una imagen bastante nítida de la rendija del diafragma.
Pero si interceptamos el paso de las partículas α con una hoja metálica, en la pantalla, en vez de la acusada imagen de la rendija, surgirá una franja difusa, apenas más ancha que la imagen de la rendija obtenida en el primer caso: las partículas a se desviaban del camino recto sólo 2 grados por término medio. Sin embargo, un simple cálculo mostró que para explicar incluso las desviaciones tan pequeñas se debe admitir que en los átomos de la hoja metálica pueden surgir enormes campos eléctricos con intensidad superior a 200.000 V/cm.
En la esfera positiva del átomo de Thomson no puede haber intensidades semejantes. Los choques con los electrones tampoco se toman en consideración, puesto que comparada con ellos la partícula α, que vuela a velocidad de 20 km/s, es igual a una bala de cañón al lado de un grano de guisante. No obstante, las trayectorias de las partículas α se curvaban. Tratando de descifrar el enigma, Rutherford propuso a Marsden comprobar si las partículas α podían reflejarse por la hoja metálica. Desde el punto de vista del modelo de Thomson, la suposición era absolutamente absurda: una bala de cañón no puede reflejarse por un grano de guisante. El resultado fue inesperado, pero muy convincente, aunque difícil de creer: las partículas α se reflejaban por la hoja metálica.
Pasaron dos años. En este tiempo Geiger y Marsden contaron más de un millón de centellas y demostraron que se reflejaba aproximadamente una partícula a por cada 8 mil.

Solamente el 7 de marzo de 1911, la Sociedad Filosófica de Manchester, la misma, cuyo presidente era en su tiempo John Dalton, escuchó el informe de Rutherford “Dixusión de los rayos α y β y la estructura del átomo”. Ese día los oyentes se enteraron de que el átomo semejaba el sistema solar: se compone del núcleo y electrones que giran alrededor suyo a distancias de ≈10−8 cm. Las dimensiones del núcleo son muy pequeñas, sólo de 10−13 a 10−12 cm, pero éste encierra prácticamente toda la masa del átomo. La carga del núcleo es positiva y por su magnitud equivale aproximadamente a la mitad del peso atómico del elemento. La comparación con el sistema solar no es casual: el diámetro del Sol (1,4∙106 km) es aproximadamente tantas veces menor que las dimensiones del sistema solar (6∙109 km) cuantas veces los diámetros de los núcleos (≈10−12 cm) son menores que las dimensiones del átomo (≈10−8 cm).
Nos acostumbramos tanto a los nuevos conceptos que al explicar la electrónica nos referimos al televisor, y hablando de la mecánica traemos como ejemplo una locomotora. Por eso hoy nos cuesta comprender la perplejidad de entonces de los hombres tan inteligentes como Rutherford. En efecto, ahora vemos todo muy claro: simplemente la partícula a se refleja por los núcleos de los átomos. A este cuadro nos habituamos desde la infancia. No obstante, para dibujarlo por vez primera era necesaria una extraordinaria audacia científica adquirida con grandes esfuerzos y basada en los conocimientos exactos. Antes de que todos conocieron este cuadro hubo que contar no sólo más de un millón de centellas, sino que (como recordaba en el ocaso de su vida Geiger) “...superar tales dificultades, cuyo sentido ahora ni siquiera estamos en condiciones de comprender”; al principio había que demostrar durante diez (¡!) años que las partículas α no eran otra cosa que átomos de helio que habían perdido dos electrones. La demostración no fue fácil, y la Academia de Ciencias de Suecia lo comprendía perfectamente al adjudicar a Rutherford en 1908 el Premio Nobel por los estudios en la química de sustancias radiactivas, cuya desintegración causa la formación de las partículas α. Poco a poco todo eso quedó olvidado: el resultado era más importante y simple que el camino que condujo al mismo.
Los físicos acogieron el informe de Rutherford con reserva y él mismo, durante dos años no insistió mucho en su modelo, aunque creía en la infalibilidad de los experimentos que habían conducido hasta aquél. La causa era siempre la misma: al dar crédito a la electrodinámica, semejante sistema no puede existir, por cuanto según sus leyes el electrón que gira debe caer inevitable y muy rápidamente en el núcleo. Había que elegir entre la electrodinámica y el átomo planetario. Los físicos tácitamente eligieron la primera: tácitamente porque los experimentos de Rutherford no se podían olvidar ni refutar. La física del átomo se vio en un atolladero y para salir de éste hizo falta Niels Bohr.
Rayos
Independientemente de las hipótesis de la estructura del átomo, los científicos pronto se dieron cuenta de que la información acerca de éste se podía obtener estudiando su espectro de rayas (así, un músico por el tono de la cuerda determina su longitud y por el acorde reconoce el instrumento). En la física todo estudio se reduce, en fin de cuentas, a la medición. Por eso antes que nada fue necesario aprender a medir las longitudes de onda con la mayor precisión posible, es decir, investigar la estructura del espectro de rayas más detalladamente que Fraunhofer.
Por medio del espectrógrafo de prisma de Kirchhoff y Bunsen era ya imposible hacerlo. En este aparato al prisma de cristal lo reemplazó la red de difracción, perfeccionada considerablemente por Henry Rowland (1848−1901), representante de la ciencia norteamericana, joven a la sazón.
Por medio de este aparato en el curso de varios decenios, gracias a los trabajos de Carl Runge (1856−1927), Friedrich Kayser (1853−1940) y sobre todo a los experimentos realizados en el laboratorio de Friedrich Paschen (1865−1940) en Tübingen se midieron exactamente decenas de miles de rayas espectrales de distintos elementos y se anotaron escrupulosamente en largas tablas. (Hacia 1913 el número total de trabajos dedicados al análisis espectral superó los 50 mil.) En particular, resultó que la famosa raya D amarilla en el espectro del sodio se componía de dos rayas situadas muy cerca una de otra: D1 = 5895,9236 Å y D2 = 5889,9504 Å. (La longitud de 1 Å = 10−8 cm, o sea, es igual aproximadamente al diámetro del átomo.)
Mas la tarea suprema de cualquier ciencia no consiste en acumular hechos, sino en establecer los vínculos entre los fenómenos y hallar su causa. Para todos estaba claro que las largas tablas contenían una enorme información sobre la estructura del átomo. ¿Pero cómo extraerla de allí? (Probablemente, antes de Champollion sentían lo mismo los egiptólogos, mirando los jeroglíficos.)
El primer paso siempre es difícil e imperceptible. Por eso sabemos muy poco de Johann Jakob Balmer (1825−1898), quien primero descubrió cierto sistema en este caos de números. Es sabido que nació el 1 de mayo de 1825 en la pequeña ciudad de Lausen del cantón de Basilea, donde terminó la escuela media y luego estudió las matemáticas en las universidades de Karlsruhe, Berlín y Basilea. En 1869 se doctoró en filosofía y fue asistente de profesor de la Universidad de Basilea, mas pronto dejó el profesorado, prefiriendo enseñar la física en un gimnasio de mujeres. A la edad de 60 años Balmer notó inesperadamente que cuatro rayas espectrales en la parte visible del espectro del hidrógeno no estaban situadas desordenadamente, sino formando una serie que se podía expresar por la fórmula única:

donde: n = 2; k = 3, 4, 5, 6; b = 3645,6 Å.
Esta simple relación merece la mayor atención, puesto que es exacta, de lo que cualquiera puede cerciorarse.
Mire la tabla que Balmer hizo en 1885:
| Calculado por Balmer | Medido por Angström | n | k |
| 6562,08 | 6562,10 | 2 | 3 |
| 4860,80 | 4860,74 | 2 | 4 |
| 4340,00 | 4340,10 | 2 | 5 |
| 4101,30 | 4101,20 | 2 | 6 |
En la primera columna están anotadas las longitudes de onda de las rayas espectrales mencionadas, calculadas por la fórmula de Balmer; en la segunda, las longitudes de onda medidas cuidadosamente un poco antes por el físico sueco Anders Jonas Ångström (1814−1874). Asombra la coincidencia de valores medidos y calculados. Tales coincidencias no pueden ser casuales y por eso el descubrimiento de Balmer no se perdió en los archivos, sino que condujo a toda una cadena de nuevas investigaciones.
A Balmer lo representan a veces como a un maestro de escuela algo extravagante que por pasatiempo dividía y multiplicaba diferentes números hasta que por casualidad tropezó con simples relaciones entre ellos. Esto no es cierto. Era un hombre muy erudito, escribía artículos sobre diferentes cuestiones de la geometría proyectiva y volvía continuamente a los problemas más complicados de la teoría del conocimiento. Por ejemplo, en 1868 publicó un trabajo en el cual trató de aclarar la relación entre las investigaciones científicas y los sistemas de la filosofía mundial. Balmer desde niño estaba influenciado por los partidarios de Pitágoras con su doctrina de la armonía y del papel místico de los números enteros en la naturaleza. Igual que los antiguos, Balmer estaba convencido de que el misterio de la unidad de todos los fenómenos observados se debía buscar en diferentes combinaciones de números enteros. Por eso, cuando el conjunto de rayas espectrales claramente definidas llamó su atención, enfocó este fenómeno de la naturaleza con una idea preconcebida. Sus esperanzas se hicieron realidad: resultó que las longitudes de onda de las rayas espectrales estaban vinculadas entre sí con relaciones simples y racionales.
El descubrimiento de Balmer inicia toda una época en la ciencia sobre el átomo. En realidad, la teoría del átomo comienza por su fórmula. En aquel tiempo no lo sabían todavía, mas probablemente lo intuyeron. Ya en 1886 Runge notó que la fórmula de Balmer se hacía más clara si en ella la longitud de onda λ se sustituía por la frecuencia ν = c/λ

En 1890 el físico sueco Johannes Robert Rydberg (1854−1919) propuso anotar la fórmula tal como se ha conservado hasta ahora:

Por el momento en tal anotación no se nota un sentido profundo ni ventajas especiales. Sin embargo, en 1908 Walter Ritz (1878−1909), científico suizo que falleció de joven, explicó las ventajas de tal anotación. Prosiguiendo los trabajos de Rydberg, formuló el llamado principio de combinación: la frecuencia v de cualquier raya en el espectro de cualquier átomo se puede presentar como diferencia de dos términos Tn y Tk:

incluso en el caso de que el término aislado Tn no se pueda ya anotar en forma tan simple como para el átomo de hidrógeno.
A primera vista, en esto no hay ninguna ventaja: simplemente de juego de frecuencias hemos pasado al de términos. Mas no es así: trate de leer un libro en el cual no haya espacios entre las palabras y notará en seguida la diferencia. Sobre todo si está escrito en un idioma desconocido. Además, la cantidad de números ha disminuido considerablemente: para determinar las frecuencias de las 50 rayas de hidrógeno que se conocían al principio del siglo, basta con saber una decena de términos.
Inesperadamente en el caos de números se ha descubierto un sistema. El desordenado juego de rayas se desintegró en series. En el libro incomprensible comenzaron a distinguir palabras sueltas. En el caso más simple −en el átomo de hidrógeno− se logró distinguir incluso las letras que las componían. Sin embargo, el sentido de las palabras y el origen de las letras seguían siendo ignotos: los jeroglíficos no empezaron a hablar todavía, aunque no parecían ya tan misteriosos.
En efecto, los deseos de comprender la estructura del espectro recordaban la tentativa de descifrar casi a ciegas un texto desconocido. El trabajo agotador duró más de un cuarto de siglo y la ausencia de una idea general apartaba de éste a muchos hombres de gran inteligencia. Era necesario encontrar la clave del código.
Lo hizo Niels Bohr en 1913.
Cuantos
La radiación surge en el interior del átomo, sin embargo, al abandonarlo existe independientemente. A veces se compone de ondas de igual longitud: semejante radiación se denomina monocromática. El espectro de rayas del átomo se compone de un juego de rayos monocromáticos que para diferentes átomos son distintos.
Hasta ahora nos interesaba principalmente una sola característica de las ondas: su frecuencia ν. Sin embargo, los rayos son un fenómeno complejo y sus propiedades no se pueden reducir únicamente a la frecuencia de radiación. El rayo solar es transparente, pero plenamente material, incluso tiene peso: cada minuto, sobre un centímetro cuadrado de la superficie terrestre caen 2∙10−15 g de luz.A primera vista, es una cantidad despreciable, mas esto significa que en un año sobre nuestro planeta caen 80 mil toneladas de rayos solares que realizan el ciclo de las sustancias en la naturaleza, de modo que, en resumidas cuentas, la vida en la Tierra es posible sólo bajo el Sol.
Lo más fácil es comparar el efecto de la radiación con las olas marítimas que bañan la costa: después de los trabajos de Christian Huygens (1629−1695) y Augustin Jean Fresnel (1788−1827) semejante analogía se hizo indiscutible. Cada año traía nuevas pruebas de ello en los fenómenos de la interferencia y difracción de la luz. En 1873 James Clerk Maxwell (1831−1879) predijo teóricamente que la luz al caer sobre la superficie de los cuerpos debe ejercer una presión sobre los mismos (también concuerda plenamente con nuestra analogía). La presión de la luz es un fenómeno muy sutil, no obstante, en 1899 Piotr Nikoláevich Lebedev (1866−1912) lo descubrió experimentalmente. Al parecer, la naturaleza ondulatoria de la luz estaba demostrada ya tan convincentemente que cualesquiera experimentos posteriores para comprobarlo carecían de sentido.
Por suerte, en la física los experimentos se realizan no sólo para comprobar las teorías. Al mismo tiempo que Lebedev terminaba su célebre experimento, existía ya otro, igualmente escrupuloso, pero más incomprensible. En 1887 Heinrich Rudolf Hertz (1857−1894) (el mismo que demostró la naturaleza ondulatoria de la radiación electromagnética y con eso la validez de la electrodinámica de Maxwell) descubrió el fenómeno denominado más tarde el efecto fotoeléctrico, que consiste en lo siguiente.
Al dirigir la luz de una lámpara de vapor de mercurio (actualmente se llaman lámparas de cuarzo) al sodio metálico, de la superficie de éste se desprenderán electrones.
A finales del siglo, la mayoría de los físicos se daba cuenta claramente de que el átomo era complejo, debido a lo cual este fenómeno de por sí no asombró a nadie. Muy pronto todos llegaron al acuerdo de que los electrones en el experimento de Hertz salían de los átomos de sodio bajo el efecto de la radiación de la lámpara de cuarzo.
Otra cosa era extraña e incomprensible: las leyes de este fenómeno. Las formularon a finales del siglo XIX, Philipp Lenard (1862−1947) y Alexandr Grigórievich Stolétov (1839−1896). Estos científicos midieron el número de los electrones arrancados y su velocidad en función de la intensidad y la frecuencia de la radiación incidente.
Sabemos ya que los rayos que surgen dentro de los átomos difieren no sólo por la longitud de onda λ (o lo que es igual, por la frecuencia ν), sino también por la intensidad. Esto se ve claramente en los espectrogramas: algunas rayas allí son mucho más brillantes que otras, por ejemplo, en el doblete amarillo del sodio la raya D2 es dos veces más brillante que la D1.
Nuestra experiencia anterior y los conocimientos sobre las ondas nos sugieren que la acción de las ondas es tanto más notable cuanto mayor es su amplitud. Para cerciorarse de ello basta salir a la orilla del mar durante una tormenta. Quiere decir que aumentando la amplitud, aumentamos con lo mismo la intensidad de los rayos. La intensidad de la radiación se puede aumentar también de otro modo: multiplicando el número de los átomos radiantes. Por eso, si en vez de una lámpara de vapor de mercurio tomamos dos, tres o diez lámparas, la intensidad de la radiación crecerá el mismo número de veces. Es lógico esperar que también la energía de los electrones arrancados crezca en la misma proporción.
Pero la energía de los electrones permanecía invariable, cambiaba solamente su número.
Tal era la primera incongruencia que esperaba a los científicos al final de los experimentos. En cambio, la energía dependía y, además notoriamente, de la frecuencia de la radiación incidente.
La lámpara de cuarzo emite rayos violetas y ultravioletas. Resultó que si en vez de éstos se dirigía sobre la superficie del sodio un haz de rayos rojos, los electrones no salían en general, por muy grande que sea el número de lámparas.
− Si la radiación es un proceso ondulatorio (y esto estaba demostrado rigurosamente), esto es imposible − afirmaban unos.
− ¡Mas esto ocurre! − replicaban otros.
Si varias rocas del litoral de repente se hubieran venido abajo a ojos vistas, casi seguro que uno se pondría a buscar las causas externas de tal catástrofe. Desde luego, las olas del mar derrubian paulatinamente la costa y de vez en cuando las rocas se derrumban, mas todos conocen cuán raramente ocurre eso. Pero si al volver la cabeza hacia el mar uno descubre allí un barco de guerra que bombardea la costa con artillería pesada, se dará cuenta en seguida que la causa de las destrucciones repentinas no radica en las olas, sino en los proyectiles, pese a que su energía es menor que la energía total de las olas marinas. Pero la energía de las olas está distribuida uniformemente por toda la costa y se necesitan siglos para que podamos ver los resultados de su trabajo cotidiano. En comparación con este trabajo, la energía del proyectil es despreciable, pero está concentrada en un volumen pequeño y se desprende instantáneamente. Si, además, el proyectil es suficientemente grande, destruirá la roca. Lo último es importante: en efecto, todas las propiedades del proyectil, excepto el tamaño, son inherentes también a una bala, sin embargo, ésta es incapaz de destruir la roca.
Más o menos de este modo razonaba Einstein al proponer su explicación del fenómeno del efecto fotoeléctrico. Conocía el descubrimiento de Planck, mas para él con su manera de pensar no preconcebida, la hipótesis de los cuantos de luz no le parecía tan horrible como al propio Planck. Por eso Einstein no sólo fue el primero en darle fe, sino que la aplicó para explicar nuevos experimentos. Einstein afirmaba: la luz no sólo se emite en cuantos, como requería la hipótesis de Planck, sino que también se propaga de la misma manera: en cuantos. Por eso la luz incidente sobre la superficie del metal no se asemeja a las olas del mar, sino a los proyectiles del cañón, con la particularidad de que cada proyectil−cuanto puede arrancar al átomo un solo electrón.
Según Planck (recuérdese el primer capítulo), la energía del proyectil, cuanto es igual a hν. Einstein opina que cierta parte de ésta, denominémosla P, se consume en arrancar el electrón al átomo y el resto, en acelerarlo hasta la velocidad v, es decir, comunicarle una energía cinética mv2/2
Ambas afirmaciones pueden escribirse brevemente en una simple ecuación:

Basta con admitir esta hipótesis para que el fenómeno del efecto fotoeléctrico se aclare. En realidad, mientras las dimensiones de los proyectiles son pequeñas (la luz roja), éstos no pueden arrancar el electrón al átomo (hν < P) por muy grande que sea su número. En cambio, si empezamos a aumentar su tamaño (la luz violeta), en resumidas cuentas, su energía crecerá suficientemente para arrancar electrones (hν > P). Pero la energía de los “proyectiles−cuantos” seguirá dependiendo sólo de su tamaño (es decir, de su frecuencia ν) y no de su número.
Dieciséis años más tarde, La Academia de Ciencias de Suecia destacaría con el Premio Nobel esta profunda sencillez de la ecuación de Einstein. Mas en 1905, año en que fue escrita la ecuación, la atacaron todos, inclusive Planck.
Él amaba a Einstein y por eso, al convencer al Ministerio de Instrucción Pública de Prusia a invitarle a trabajar en Berlín pidió “...no reprocharle demasiado” su hipótesis de los fenómenos del efecto fotoeléctrico.
A Planck se le puede comprender: acabó de introducir en la física, en contra de las tradiciones aceptadas por todo el mundo y pese a su deseo, el cuanto de acción h. Sólo poco a poco se iba convenciendo de la inevitabilidad de este paso. Incluso en 1909 confesó a Einstein: “Todavía no creo del todo en la realidad de los cuantos de luz”. Sin embargo, a lo hecho, pecho: “...Planck les había metido en el oído a los físicos una pulga” −dijo Einstein veinte años después, y ésta no les dejaba en paz, aunque trataban de no prestarle atención. En todo caso Planck trató de introducir el cuanto de acción de modo que no sufriera daño la óptica ondulatoria: el edificio de extraordinaria belleza, construido en el curso de dos siglos. Por eso, según Planck, la luz sólo se emite en cuantos, mas igual que antes se propaga como ondas; sólo en este caso se lograba conservar todos los resultados de la óptica ondulatoria.
Einstein, mientras tanto, se portaba como si antes de él la física no existiera en general o, por lo menos, como un hombre que nada supiera de la verdadera naturaleza, de la luz. En este caso se dejó ver una magnífica particularidad suya: dominando la lógica a la perfección, confiaba más en la intuición y en los hechos. Para él en la física no existían hechos casuales. Por eso los fenómenos del efecto fotoeléctrico no le parecían una excepción enojosa de las reglas de la óptica ondulatoria, sino un indicio dé la naturaleza sobre la existencia de unas leyes desconocidas todavía, pero profundas.
Así fue que históricamente primero se estudiaron las propiedades ondulatorias de la luz. Sólo en los fenómenos del efecto fotoeléctrico, los físicos tropezaron por primera vez con sus propiedades corpusculares. En la mayoría de ellos la inercia del modo de pensar era tan grande que se negaron a creerlo. “¡No puede ser!”: repetían, igual que el granjero que vio por primera vez en su vida a una jirafa.
Desde luego, Einstein conocía la historia de la óptica tan bien como los demás. Pero su mente imparcial se mostraba indiferente ante la sólida autoridad de aquélla. Los méritos anteriores de la óptica no le importaban si no podía explicar un solo, pero indiscutible, experimento. Creía profunda y casi religiosamente en la unidad de la naturaleza y para él un solo experimento semejante significaba tanto como toda la historia de la óptica. Además, su honradez no le permitió pasar por alto un hecho indeseable.
En la ciencia son peligrosos de verdad sólo los experimentos inexactos: se acostumbra creer en los experimentos. Pero cualquier hipótesis, por más atractiva que parezca, siempre se comprueba escrupulosamente. Incluso si resulta falsa, los experimentos que la han refutado conducen a menudo a resultados más valiosos que la propia hipótesis. También la hipótesis de Einstein fue comprobada: resultó ser auténtica.
En 1911, Robert Millikan al comprobar la ecuación de Einstein, dedujo de ella la magnitud de la constante de Planck h. Esta coincidió con el valor que Planck obtuvo de la teoría de la radiación de calor. Poco después se realizó un experimento, cuya idea era exactamente análoga al cuadro de destrucción de rocas en la orilla del mar. De nuevo resultó que tenía razón Einstein y no la autoridad reconocida de la óptica ondulatoria.
Por supuesto, Einstein no negaba que, pese a todo, ésta existía ni discutía los experimentos que demostraban la naturaleza ondulatoria de la luz. Simplemente había llevado la contradicción surgida hasta su fin lógico y dejó que la resolviera la siguiente generación de físicos. Más aún, ya en 1909, al intervenir en la reunión 81 de la Sociedad de naturalistas alemanes en Salzburgo, Einstein predijo que “la siguiente fase de desarrollo de la física teórica proporcionaría la teoría de la luz, que en cierto sentido uniría la teoría ondulatoria de la luz con la teoría de la emisión”. Pasados veinte años su previsión se cumplió.
A pesar de las protestas unánimes, la idea de los cuantos de luz no pereció y ocho años después dio brotes poderosos. Esto ocurrió en 1913, cuando llegó al laboratorio de Rutherford el modesto y pausado danés Niels Bohr.
Victoria definitiva del atomismo
El 20 de mayo de 1904 en la ciudad de Manchester, donde pasó los mejores años de su actividad científica John Dalton, se celebró, con la solemnidad debida a las tradiciones de los ingleses y la importancia del acontecimiento, el centenario de la teoría atómica de la materia.
Su victoria no vino de repente: incluso después de los trabajos de Dalton durante largo tiempo consideraban la teoría atómica simplemente como “...una hipótesis interesante, admisible desde el punto de vista de nuestra facultad cognoscitiva”. La unanimidad con que los filósofos del siglo pasado negaban la existencia de los átomos conminó también la fe de los físicos en su realidad. Por ejemplo, el filósofo y físico Ernst Mach (1838−1916) llamó sin ambages a todos los partidarios de la teoría atómica “la comunidad de creyentes” y a cada uno que intentaba convertirlo a esta fe le interrumpía con la pregunta: “¿Y Ud. ha visto siquiera un átomo?” Sólo en 1910, al ver una vez los destellos de partículas α en la pantalla del espintariscopio reconoció reservada y dignamente: “Ahora creo en la existencia de los átomos”. A Mach se le puede comprender: al hombre le cuesta imaginarse algo que en principio es indivisible ya. No obstante, a comienzos del siglo, la idea del átomo venció definitivamente: el raciocinio fue capaz incluso de comprender lo que no se podía imaginar. Esto ocurrió mucho antes que dentro de 300 años como lo había pronosticado Ludwig Boltzmann (1844−1906), fallecido trágicamente en su soledad sin ser comprendido por los contemporáneos.
Pero esta victoria, no obstante, fue algo tardía: después de los trabajos de Thomson y Rutherford el concepto de “átomo” perdió su sentido inicial. Se puso de manifiesto que el átomo no era la partícula más simple de la materia, aunque no se podía desintegrarlo por los medios químicos. “Lamentablemente, las leyes de la naturaleza se hacen comprensibles del todo sólo cuando no son ya exactas”, dijo Einstein. Esto no significa, desde luego, que al mismo tiempo las leyes pierden también todo su valor. En la historia del átomo, independientemente de los éxitos posteriores de la ciencia, la prueba de su realidad (incluso en el sentido antiguo: ατομος significa indivisible) será para siempre una de las victorias más importantes.
Al igual que seguimos hablando de la salida y puesta del Sol, nos referimos también a los átomos, comprendiendo que es algo distinto de lo que se imaginaban los griegos antiguos.
La consolidación definitiva de la teoría atómica también está relacionada con el nombre de Einstein: en el mismo año 1905, independientemente del físico polaco Marian Smoluchowski (1872−1917), hizo la descripción matemática del movimiento browniano. Su teoría la confirmó experimentalmente Jean Perrin, quien aconsejado por Langevin en 1909 realizó investigaciones sistemáticas y escrupulosas del movimiento browniano. También antes de Perrin, muchos físicos estaban convencidos de que la causa verdadera de estos movimientos eran los choques de las moléculas del líquido, invisibles incluso en el mejor microscopio. Mas los experimentos de Perrin, asombrosos por su elegancia, no simplemente demostraron la certeza de estas afirmaciones, sino que de ellos se dedujo algo más: el movimiento incomprensible de las partículas en el líquido es un modelo exacto del auténtico movimiento de las moléculas invisibles, aumentado varios miles de veces. Por eso el estudio del movimiento browniano de partículas nos proporciona un cuadro palmario de movimientos de las moléculas invisibles. (Del mismo modo los conocimientos de las propiedades de las ondas hertzianas nos dan la noción de las ondas de luz e, incluso, de los rayos X).
Después de estos trabajos, todos reconocieron la hipótesis de los átomos, incluso su célebre enemigo Wilhelm Ostwald (1853−1932). En 1909 el mismo Rutherford que demostró la compleja estructura del átomo, junto con Royds dio las pruebas más convincentes de la estructura atómica de la sustancia. He aquí cómo ocurrió esto.
Desde hace mucho tiempo ya se había notado que en los minerales que contienen sustancias radiactivas, torio, uranio y radio, se acumula helio. Midieron incluso que de 1 g de radio en el estado de equilibrio radiactivo se desprende 0,46 mm3 de helio diariamente, o sea, 5,32∙10−9 cm3/s. Después de establecida la naturaleza de las partículas α este hecho no era ningún milagro. Pero Rutherford fue más lejos aún: contó el número de partículas α que 1 g de radio emite por segundo. El número resultó grande, pero completamente definido: 13,6∙1010 partículas/g∙s. Todas estas partículas α, captando dos electrones cada una, se transforman en átomos de helio y ocupan el volumen de 5,32∙10−9 cm3. Por consiguiente, 1 centímetro cúbico contiene

¡Pero éste es precisamente el número que Loschmidt calculó a base de la hipótesis cinética molecular! En efecto, un átomo−gramo de helio (igual que de cualquier gas monoatómico) ocupa un volumen de 22,4 litros y contiene 6,02∙1023 átomos, es decir, en 1 cm3 caben

Es una coincidencia convincente.
Pero al hombre le es propia una necesidad inexplicable: antes de reconocer algo definitivamente debe verlo con sus propios ojos. (Hablando en rigor, para esto no hay ningunas razones: continuamente somos víctimas de espejismos). En 1911 Charles Thomas Rees Wilson (1869−1959) satisfizo en plena medida esta curiosa necesidad de la cognición humana. Tras quince años de esfuerzos creó su célebre cámara que permitía observar el movimiento de aisladas partículas α por las trazas nebulosas que éstas dejaban.
Desde luego el significado de este invento consistió no en tranquilizar los caprichos de la psiquis humana, sino en que dio a los físicos un nuevo instrumento para investigar la estructura del átomo.
En 1912 había 13 métodos para determinar el número de Avogadro y de su valor numérico dependía la explicación de múltiples fenómenos que a primera vista no estaban relacionados entre sí: el movimiento browniano y el color azul del cielo, la viscosidad de los gases y el espectro del cuerpo absolutamente negro, la radiactividad y las leyes de la electrólisis. Este número N resultó muy grande, mas no infinito. Hemos recordado ahora no todos los experimentos, ni mucho menos, que, en fin de cuentas, convencieron a todos: sí, en efecto, el número N de átomos en la molécula−gramo de cualquier sustancia, aunque es muy grande, es finito e, igual que el número de hombres en la Tierra, no puede ser fraccionario. Más aún, el número de Avogadro
N = 6,022169∙1023
lo conocemos ahora mucho más exactamente que el de los habitantes de la Tierra.
“Si como resultado de cataclismo universal repentinamente se hubieran perdido todos los conocimientos científicos acumulados y a las generaciones venideras de seres vivos hubiese llegado una sola frase, ¿qué enunciado, compuesto de un número mínimo de palabras, habría llevado la información máxima? Considero que sería la hipótesis atómica (pueden no llamarla hipótesis, sino hecho: esto no cambia nada).
Todos los cuerpos se componen de átomos: diminutos corpúsculos que se hallan en movimiento continuo, se atraen a pequeñas distancias, pero se repelen si los apretamos más estrechamente.
Estas palabras pertenecen a Richard Feynman, nuestro contemporáneo, Premio Nobel de 1965 en física:
“Tan sólo esta frase contiene una cantidad inverosímil de información sobre el universo, sólo hay que forzar un poco la imaginación y la inteligencia”.
Y aunque repiten casi literalmente lo dicho por Demócrito, los conceptos e imágenes que relacionamos hoy con estas palabras son completamente diferentes: en el transcurso de 25 siglos se ampliaron mucho los conocimientos sobre el átomo..
No fue sencillo hacerlo: sencillos son sólo los resultados de la ciencia, que no dependen de la personalidad del investigador y en ello radica su valor.
* * * *
Átomos indivisibles
Sobre el fondo de los éxitos de los recientes conocimientos, los viejos argumentos a favor de la existencia de los átomos están olvidados del todo y ahora presentan sólo un interés histórico. Sin embargo, vale la pena recordar algunos de ellos.
En primer lugar, los que creían en los átomos hacían a sus adversarios una sencilla pregunta: “¿De qué modo una misma cantidad de sustancia, no siendo construida de átomos, puede ocupar diferentes volúmenes, como lo observamos, por ejemplo, durante la compresión y expansión de los gases?” Luego aducían pruebas de la pequeñez de los átomos y la enormidad de su número, por ejemplo: un pequeño cristal del colorante índigo puede teñir una tonelada de agua. Se acordaban del caso de que el olor de un grano de almizcle (0,062 g) persistía aparentemente inmutable en un cuarto espacioso durante 20 años.
El desarrollo de las ciencias exactas minó la confianza en razonamientos incluso fidedignos: los reemplazaron las evaluaciones cuantitativas.
Ya Newton evaluó el espesor de las películas jabonosas demostrando que eran 50 veces más finas que la longitud de la onda de la luz y constituía 10−6 cm = 100 Å. Tras él, muchos científicos (Lord Kelvin inclusive) estudiaban reiteradamente las pompas de jabón.
Después de que Benjamín Franklin echara una cucharilla de aceite en la superficie del estanque en Clapham Common, cerca de Londres, su experimento fue repetido en diferentes variantes. En particular, Rayleigh preparaba películas oleosas de hasta 16 Å de espesor, y Röntgen en 1890 logró reducirlo hasta 5 Å, lo que supera apenas 5 veces el diámetro del átomo de hidrógeno.
Faraday preparaba hojas de oro de hasta 10−6 cm, y mediante la precipitación a partir de la solución sobre el vidrio obtenía películas áureas de 10−7 cm de grosor, esto es, diez veces más finas que las de las pompas de jabón. Tales películas de oro son transparentes y su espesor supera apenas 10 veces los diámetros de los átomos.
Entre otros intentos de determinar el tamaño de los átomos hay que mencionar el trabajo de Thomas Young (1773−1829), injustamente olvidado: en 1805, al estudiar los fenómenos de la capilaridad y de la tensión superficial de los líquidos, llegó a la conclusión de que las dimensiones de los átomos no superaban 10−8 cm.
Átomos y el vacío
Incluso la gente que dobla fácilmente las herraduras reconoce que los átomos son sólidos: indudablemente, también ellos en su infancia se lastimaban las rodillas contra ángulos salientes. Por eso es muy difícil imaginarse el átomo tan vacío como el espacio entre la Tierra y el Sol y, al mismo tiempo, extraordinariamente estable.
Se sabe, por ejemplo, que el agua seguirá siendo agua incluso bajo la presión de 10 mil atmósferas. Es una presión muy grande: más o menos así presionaría un elefante si lo colocásemos sobre una superficie de 1 cm2. Podemos calcular fácilmente que bajo semejante presión, cada átomo está sometido a la acción de una fuerza de 10−9 g aproximadamente, o sea, que supera 100 billones de veces (1014) el peso del átomo (10−23 g). Es lo mismo que cargar sobre este elefante cien Chomolungmas (Everest).
Todo esto es asombroso, mas no impide que los átomos sean sorprendentemente vacíos: todos los núcleos de los átomos que forman el Chomolungma pueden empaquetarse en un saco.
Red de difracción
Quién sabe cuál sería la historia del átomo, si los físicos no hubieran inventado la red de difracción.
Por vez primera la utilizó Fraunhofer en 1819; Ångström la convirtió en instrumento principal de sus investigaciones y, por último, Rowland le dio una forma casi moderna. El principio de funcionamiento de la red se basa en el fenómeno de difracción, es decir, en la capacidad de las ondas de contornear un obstáculo si su magnitud es comparable con la longitud de la onda. Las ondas de diferente longitud contornean el obstáculo de distinto modo, lo que permite separarlas y medir con precisión.
Gracias a este instrumento, en la espectroscopia fueron logradas precisiones de medición, extraordinarias incluso para la física. Ya a principios del siglo se logró separar dos rayas en el espectro visible, si sus longitudes de onda diferían aunque fuera en 10−3 Å (en la actualidad la precisión se ha elevado hasta 10−4 Å).
Para figurarse palmariamente la precisión de semejantes mediciones, imagínese que Ud. quisiera medir el largo del ecuador con la exactitud hasta un metro. Está claro que no hay necesidad de hacerlo ni tiene sentido especial, simplemente porque el resultado de semejante medición dependería de cada hormiguero en su camino. Mas en la espectroscopia tales esfuerzos presentan no sólo un interés deportivo; la historia ulterior del átomo lo confirmó convincentemente, pese a la desconfianza y burlas de las que a menudo eran objeto estos esfuerzos. Lo evidencia la suerte del patrón del metro.
La famosa barra de platino iridiado con dos trazos, colada por decisión de la Convención Nacional de Francia, que se conserva bajo una campana de vidrio en la Oficina Internacional de Pesas y Medidas de Sevres, en las proximidades de París, resultó no ser igual a la diezmillonésima parte del cuadrante de meridiano terrestre, como lo suponían al principio.
El académico francés Jacques Babinet (1794−1872) fue uno de los primeros en poner en tela de juicio la utilidad de semejante elección del patrón de longitud y propuso tomar por patrón la longitud de onda de alguna raya espectral “...como magnitud absolutamente invariable que no depende siquiera de perturbaciones cósmicas”. Su idea la realizó por vez primera Michelson en 1892, pero sólo en 1958 fue legalizado el nuevo patrón del metro, una longitud en la que caben 1650763,73 veces la longitud de onda, en el vacío, de raya rojo anaranjada del criptón Kr−86.
¿Qué hizo Rutherford?
A comienzos del siglo, las ideas sobre la estructura planetaria del átomo no eran tan raras como se acostumbra pensar ahora, y se exponían abiertamente incluso en los manuales.
A guisa de ejemplo citemos algunos fragmentos del III tomo del curso de electricidad, publicado en 1907 por H. Pellat, profesor de la Universidad de París.
“...el átomo no es partícula indivisible de la materia. La emisión de luz que produce rayas espectrales, características para cada tipo de átomos, indica ya la heterogeneidad de éstos. Se podría suponer que el átomo se compone de un número muy grande de corpúsculos que son atraídos hacia algún centro, igual que los planetas hacia el Sol.
Para que el átomo sea neutro hace falta que la carga eléctrica −positiva que, como hemos supuesto, se halla en el centro del átomo, sea igual por la magnitud absoluta a la suma de cargas−corpúsculos negativas, que giran alrededor de dicho centro.
En una palabra, todos los fenómenos luminosos, eléctricos, térmicos y mecánicos se pueden explicar, admitiendo la existencia de dos materias diferentes: corpúsculo o el electrón negativo y el electrón positivo, del cual no sabemos, casi nada. La carga central positiva del átomo se compone de un conjunto de electrones positivos, cuyo número cambia según el tipo del átomo, mas sigue siendo absolutamente determinado para cada tipo de átomos...
Sería de más hablar de la belleza de esta teoría que permite explicar todos los fenómenos conocidos hasta ahora, así como relacionar muchos fenómenos y leyes que, al parecer, no tienen nada en común”.
Un año más tarde el famoso físico y matemático francés Henri Poincaré (1854−1912) escribió con la misma certidumbre: “Todos los experimentos con la conductibilidad de los gases... nos permiten considerar que el átomo se compone de un centro cargado positivamente, cuya masa es aproximadamente igual al mismo átomo, con la particularidad de que alrededor de este centro giran electrones atrayéndose hacia él”.
Después de estas citas, muchos se desilusionarán: Rutherford no inventó nada nuevo. Este habitual y frecuente error dimana de la incomprensión de diferencias entre la ciencia y la filosofía natural. En la ciencia rige una regla rigurosa: el descubridor es el que ha demostrado, y demostrar sea lo que fuere en la ciencia sólo es posible por medio de experimentos y números.
Todas las opiniones anteriores se basaban en pura especulación y, por consiguiente, sonaban más o menos así: el átomo, probablemente, puede tener tal o cual estructura. Sólo Rutherford tuvo derecho moral de decir:
“Así debe ser. Puedo demostrarlo con números en las manos. Y cualquiera, que lo desee puede comprobarlos, si repite mis experimentos”.
A Mendeléiev gustaba repetir:
“Por supuesto, se puede decir todo, mas vaya a demostrarlo”
Esta diferencia entre la difusa idea y la demostración científica se debe tener en cuenta en las frecuentes disputas sobre la prioridad, que de tanto en tanto estallan en la historia de la ciencia. En tales casos es lógico considerar creadores de las teorías no a los que las habían expuesto por vez primera, sino a aquellos cuyos trabajos −en virtud de profundas causas o circunstancias eventuales− hayan ejercido influencia decisiva en el desarrollo ulterior de la ciencia. En esto hay un elemento de injusticia puramente humana. Mas la historia no razona en categorías de la moral: su tarea− no es reparar los agravios, sino determinar la auténtica secuencia de causas y efectos.
Presión de la luz
La hipótesis sobre la presión de la luz apareció todavía en los tiempos de Kepler, quien la promovió en 1619 para explicar el origen y la forma de las colas de los cometas. Acerca de la magnitud de la presión de la luz no se sabía nada y, como siempre en tales casos, contaban de ello historias fantásticas. Por ejemplo, un tal Hartsoeker (durante un tiempo era maestro de Pedro I el Grande) repetía en 1696 el relato de viajeros, según el cual “la corriente de las aguas del Danubio es considerablemente más lenta por la mañana, cuando los rayos del Sol se oponen a su movimiento, y se acelera después del mediodía, cuando aquéllos estimulan su corriente”.
Hasta las postrimerías del siglo pasado, los múltiples intentos de descubrir la presión de la luz por medio dé experimentos fracasaban rotundamente. La causa de estos fracasos se hizo plenamente clara después de los trabajos teóricos de Maxwell y los experimentos exitosos de Lebedev.
Resultó que la presión de la luz era muy pequeña: por ejemplo, incluso en un día claro y despejado la presión de un rayo solar sobre la superficie de 1 cm2 no supera 0,82∙10−10 g. A título de comparación recordemos que una semilla de amapola pesa millón de veces más.
Capítulo 4
Antes de Bohr; Átomo de Bohr; Después de Bohr; Modelo formal del átomo
En su tiempo casi todos soñábamos con piratas y fragatas. En fogosos ensueños vivíamos batallas y persecuciones, misterios de la isla de los tesoros y nobles hazañas. Veíamos casi tangiblemente cómo por el mar azul, ladeadas suavemente, las silenciosas fragatas se perdían más allá del horizonte, dejando tras la popa una huella espumosa. Para aumentar la velocidad del velero, los piratas tomaban decisiones desesperadas: echaban a la mar el lastre y sólo gracias a ello podían escapar felizmente de la persecución. Se libraban de una buena, pero de vez en cuando eran cruelmente castigados: la fragata sin lastre se volvía inestable, igual que la cáscara de huevo con velas, y la primera ráfaga de viento la volcaba.
Este capítulo, quizás, sea el más difícil del libro. A primera vista puede parecer tan escueto e injustificadamente complejo que algunos lectores lo considerarán como lastre superfluo. Mas es precisamente el lastre que colocan en el fondo de la fragata sin el cual todas las velas de nuestra fantasía no sólo serían ineficaces, sino incluso peligrosas. Con demasiada frecuencia, a la caza de la rapidez y facilidad, despreciamos lo fundamental y profundo. Pero semejante descuido no queda impune: en cierto momento la copa rebosante de conocimientos y privada del apoyo de los hechos precisos, se vuelca y hay que empezar todo de nuevo.
En este capítulo no hay nada que sea superior a la comprensión del lector perspicaz y reposado. Pero exige ciertos hábitos del pensamiento consecuente y lógico. Como regla, estos esfuerzos mínimos se recompensan posteriormente con la plenitud y “voluminosidad” de los conocimientos adquiridos.
Es muy probable que este capítulo al principio plantee más problemas que los que pueda solucionar. Eso no importa. En cambio, permitirá echar aunque sea una ojeada en el interior de la “cocina física”, oculta comúnmente tras los almuerzos de gala y brindis en honor de la mecánica cuántica. Y, lo principal, sólo después de tales excursiones en la profundidad de nuevos conocimientos, surge la sensación psicológica de su armonía y estabilidad.
Antes de Bohr
Hacia el tiempo cuando Niels Bohr apareció en el laboratorio de Rutherford en Manchester, del átomo se sabía ya bastante: tanto que, a veces, esto impedía separar del cúmulo de hechos los principales.
En el esquema de la próxima página, están representados solamente los fenómenos que más tarde efectivamente sirvieron de base para comprender la estructura del átomo.
A base de estos hechos (fáciles de observar) había que adivinar la estructura interna del átomo: objeto que nadie jamás ha visto ni verá. Es sabido que los problemas de este tipo tienen una denominación común: el problema del “cajón negro”. Conocemos el carácter de la influencia sobre el “cajón negro” −el átomo− y el resultado de esta influencia, es decir, sabemos qué ocurre y por qué. Pero queremos saber algo más: cómo ocurre todo, es decir, el mecanismo de los fenómenos que se operan en el cajón negro. Es mucho más difícil lograrlo que restablecer la función en una sala de espectáculos por fragmentos de música y textos.
Incluso si conocemos todas las manifestaciones externas de las propiedades internas del átomo, es necesario todavía generalizar y sintetizarlas, así como poseer intuición, la cual a través de lagunas en las estructuraciones lógicas conduce infaliblemente al único cuadro exacto de los fenómenos.

De nuestro esquema, que dista mucho de ser completo, se ve la complejidad del problema: es necesario (sin caer en contradicciones), desde el punto de vista único, explicar todos estos experimentos, muy diferentes. Niels Bohr halló semejante explicación que además resultó asombrosamente sencilla y perfecta por su forma.
Esto ocurrió cuando Bohr de repente vio claro que las tres ideas físicas, átomos, rayos, electrones, estaban ligadas entre sí por el concepto de cuanto. Hasta entonces dichas ideas se desarrollaban independientemente. La química y la teoría cinética de la materia demostraron la existencia de los átomos. La teoría electromagnética de la luz de Maxwell estudiaba las propiedades de los rayos. La electrodinámica de Maxwell−Lorentz trataba de comprender el concepto de “electrón”.
El cuanto de acción h, incluso después de los trabajos de Einstein y Millikan, en Europa nadie lo tomaba en serio, aunque hubo intentos aislados de aprovecharlo: en 1910, De Haas intentó aplicar la relación de Planck E = hν para determinar los límites y períodos del movimiento de los electrones en el átomo de Thomson; en 1912 John Nicholson trató de utilizar la idea de los cuantos en el análisis de los espectros del Sol y de las nebulosas, y Walther Nernst enunció la hipótesis de la cuantificación de rotaciones.
El enfoque escéptico de la idea de los cuantos la expresó mejor que nadie el propio Planck en el informe que hizo en la Sociedad Química Alemana el 16 de diciembre de 1911, pasados casi exactamente once años después de su famosa comunicación: “La explicación más sencilla y, por así decirlo, más ingenua sería atribuir la estructura atómica a la propia energía... Esto último también lo suponía yo antes, pero ahora he desistido de esta conjetura, puesto que la considero demasiado radical”.
En el libro que escribió un año más tarde Planck repite las mismas ideas:
“Al pensar en la plena confirmación experimental que obtuvo la electrodinámica de Maxwell en los más sutiles fenómenos de interferencia, así como en las increíbles dificultades que para toda la teoría de los fenómenos eléctricos y magnéticos habría acarreado la renuncia a la misma, se siente una especie de repulsión al destruir de golpe estas bases. Debido a ello, a lo largo de toda la exposición ulterior dejaremos aparte la hipótesis de los cuantos de luz, con más razón que su desarrollo se halla aún en estado embrionario”.
Todavía en 1913 Arthur Schuster afirmaba: “Estoy convencido de que esta doctrina es fatal para el desarrollo sano de la ciencia”.
Átomo de Bohr
En 1912 Niels Bohr trabajaba ya con Rutherford en Manchester, ciudad separada de Europa por el Canal de La Mancha. Probablemente, debido a ello en el laboratorio de Rutherford enfocaban la hipótesis de los cuantos aunque con recelo, mas sin la desconfianza continental. Tal vez por eso, cuando Planck escribía su libro, Niels Bohr estaba ya firmemente convencido de que “...la estructura electrónica del átomo de Rutherford se controla por medio del cuanto de acción”. No obstante, transcurrió otro año de tenaces meditaciones antes de que él formulara sus famosos “postulados de Bohr”.
¿Cómo debería razonar Bohr entonces?
Cuando Alejandro Magno vio el nudo gordiano, sencillamente lo cortó con la espada: era jefe de ejército y vencedor. Bohr tuvo más dificultades, pero procedió análogamente. Razonaba más o menos así: según las leyes de la mecánica, para que en el átomo planetario de Rutherford el electrón no caiga sobre el núcleo, debe girar alrededor de éste. Pero según las mismas leyes de la electrodinámica, el electrón debe simultáneamente emitir energía y, en fin de cuentas, pese a todo, caerá sobre el núcleo. Es necesario prohibírselo.
− Un momento −le replicaban−, ¿cómo prohibirle? ¿Acaso no actúan fuerzas eléctricas entre el electrón y el núcleo?
− Sí −respondía Bohr.
− ¿Se describen éstas por las ecuaciones de Maxwell?
− Sí.
− ¿Acaso no están determinadas en mediciones eléctricas incluso la masa m y la carga e del electrón?
− Sí.
− Entonces ¿debe subordinarse a la electrodinámica de Maxwell también el movimiento del electrón en el átomo?
− ¡No!
Reconozcan que semejante manera de discutir puede sacar de quicio incluso a una persona muy tranquila. “¡Pero el átomo, pese a todo, es estable!”,repetía continuamente Bohr en respuesta a todas las objeciones. “Además, no conocemos otra causa más simple de esta estabilidad, que el hecho de que existe”.
En busca de una fundamentación sensata de este hecho indudable, Bohr encontró el libro de Johannes Stark “Principios de la dinámica atómica”, en el cual por vez primera vio las fórmulas de Balmer y de Rydberg.
“En seguida comprendí todo −recuerda Bohr−. Después de reiterados intentos de aprovechar las ideas cuánticas en una forma más rigurosa, en primavera temprana de 1913 se me ocurrió que la clave para resolver el problema de la estabilidad atómica eran leyes extraordinariamente sencillas que determinaban el espectro óptico de los elementos”.
Ahora podía ya formular sus famosos postulados:
1er postulado: sobre los estados estacionarios. En el átomo existen órbitas, girando en las cuales el electrón no emite.
2º postulado: sobre los saltos cuánticos. La radiación tiene lugar sólo durante el paso del electrón de una órbita estacionaria a otra. En este caso, la frecuencia de radiación v se determina por la hipótesis de Einstein sobre los cuantos de luz AE = hv, donde AE es la diferencia de energías de niveles entre los cuales se efectúa la transición.

Para comprender estos postulados algo más a fondo, recurramos a la evidente analogía entre la supuesta rotación del electrón en torno al núcleo y la del satélite alrededor de la Tierra. En su tiempo Newton descubrió la ley de gravitación universal, meditando en la pregunta: “¿Por qué la Luna no cae sobre la Tierra?”
En nuestros días, esta pregunta figura sólo en viejas anécdotas, ya que todos conocen la respuesta: “Porque se mueve y, además, a velocidad rigurosamente determinada que depende de su distancia de la Tierra”. De este modo, pues, para que el satélite no caiga sobre la Tierra y, al mismo tiempo, no vuele al cosmos, entre el radio de su órbita r y la velocidad de movimiento en ella v debe haber una relación determinada.
En el átomo de hidrógeno, al moverse el electrón con la masa m y la carga e en torno al núcleo del átomo, entre la velocidad v del electrón en la órbita y el radio de ésta r existe una relación análoga que se puede anotar por medio de la siguiente ecuación:

Esta ecuación es correcta siempre, independientemente de si el electrón irradia o no: refleja sencillamente cierta igualdad de las fuerzas centrífuga y de atracción.
Si el electrón pierde energía en radiación (según las leyes de la electrodinámica), caerá sobre el núcleo, igual que el satélite al frenar en la atmósfera. Mas si existen órbitas especiales −estacionarias−, en las cuales el electrón no se somete a las leyes de la electrodinámica y por tanto no irradia, entonces deben existir también condiciones complementarias que destaquen estas órbitas de entre todas las posibles.
Al proseguir nuestra analogía con el satélite es muy fácil demostrar cómo surgen estas condiciones.
El movimiento circular, además del radio de la órbita r y la velocidad v del movimiento en la misma, tiene otra característica más: el momento de la cantidad de movimiento l, o, más brevemente, el momento orbital l igual al producto de la masa m por la velocidad v y por el radio de la órbita r, es decir, l = mvr que para el satélite puede adquirir cualesquier valor según la magnitud de r y v.
Bohr afirmaba: el electrón en el átomo difiere del satélite en que su momento orbital l no puede ser arbitrario: éste es igual al múltiplo entero de la magnitud

(esta notación la propuso Paul Dirac, uno de los creadores de la mecánica cuántica)
mvr = nħ.
Esta es, precisamente, la condición complementaria de Bohr, que destaca las órbitas estacionarias (las únicas admisibles en el átomo) del número infinito de las órbitas posibles. Y puesto que en el caso de semejante distinción el cuanto de acción h juega el papel principal, el proceso íntegro se denominó cuantificación.

De las dos condiciones anteriores, Bohr halló fácilmente el valor de la energía En y de los radios rn de las órbitas estacionarias:

Las órbitas estacionarias (y por consiguiente, también los niveles de energía) llevan números enteros n ó k, que toman una serie infinita de valores: 1, 2, 3 ... En el caso de pasar del nivel n al de k, el electrón emite energía ΔE = Ek − En, mientras que la frecuencia de la emisión, que surge en este caso, se determina por la fórmula de Einstein:

Si observamos la radiación que surge durante las transiciones del electrón de cualesquiera niveles k a un nivel n determinado, veremos no simplemente un conjunto de rayas espectrales, sino una serie. Por ejemplo, si n = 2, y k = 3, 4, 5, 6..., veremos la serie de Balmer. De ahí inmediatamente se deduce la famosa fórmula de Bohr para la frecuencia de radiación del átomo de hidrógeno:

¿Qué se deduce de esta fórmula?
En primer lugar se parece mucho a la fórmula de Rydberg para el átomo de hidrógeno, que él encontró de manera empírica mucho antes de Bohr y de la cual hemos hablado detalladamente en el capítulo anterior.

Si la fórmula de Bohr es correcta, de ella se puede calcular la constante de Rydberg R:

La calcularon y, en efecto, su valor coincidió con el que era conocido desde hacía mucho por las mediciones espectroscópicas.
Fue el primer éxito de la teoría de Bohr, que hizo impresión de un milagro.
Mas no es todo. De la teoría de Bohr se deducía que el radio del átomo de hidrógeno en estado fundamental (no excitado) (n = 1) era igual a

Esto significaba que las dimensiones de los átomos (≈10−8 cm), calculadas según su fórmula, coincidían con los pronósticos de la teoría cinética de la materia.
Y, por último, la teoría de Bohr explicó la relación que existe entre las propiedades del espectro de rayas y la estructura interna del átomo. Intuitivamente, esta relación se sentía siempre, pero sólo Bohr logró por primera vez expresarla matemáticamente. Resultó que la constante de Planck h realizaba esta relación incógnita.
Fue una sorpresa. En efecto, el cuanto de acción h surgió en la teoría de radiación de calor y no estaba relacionado en modo evidente alguno con los átomos ni con los rayos que éstos emitían. No obstante, precisamente este cuanto permitió calcular las dimensiones absolutas del átomo y predecir la frecuencia de la luz que éste emitía.
Una fe profunda en la unidad de la naturaleza le ayudó a Bohr, igual que a muchos antes de él, a adivinar esta relación.
Los postulados de Bohr (igual que todos los postulados) no se pueden fundamentar lógicamente o deducir de otros más simples. Siguen siendo creaciones voluntarias del raciocinio humano hasta que la experiencia confirme las consecuencias que de ellos dimanan. Entonces a base de los mismos se desarrollan teorías, y las más acertadas de éstas se denominan leyes naturales.
Nos limitaremos sólo a esas tres consecuencias de la teoría de Bohr: en realidad son mucho más numerosas y todas demuestran uña fuerza incomprensible de unos postulados inexplicables.
Por supuesto, Bohr llegó a estos postulados por un camino algo diferente del que seguimos ahora nosotros: cuando un hombre escala una montaña desconocida es difícil esperar que llegue a la cima por el camino más corto. Sólo al subir ve el modo de ascenso más simple.
Después de Bohr
A pesar del carácter insólito de los postulados de Bohr, su teoría fue reconocida bastante rápidamente y encontró muchos adeptos talentosos y fuertes. Si fuera necesario determinar la actitud de los físicos de aquel tiempo hacia la misma, quizás, habría que mencionar la sensación de alivio y de liberación de una tensión constante en que todos ellos se hallaban hasta entonces, tratando de retener en la memoria hechos aislados y, sea como fuere, atar los cabos. Ahora todos los fenómenos atómicos lógicamente se agruparon alrededor de un modelo incomprensible, pero simple, que explicaba brillantemente una parte de estos fenómenos, mientras que otra parte requería el desarrollo ulterior del modelo.
Ahora, en particular, se podía explicar muy fácilmente el experimento de Kirchhoff y Bunsen con el vapor de sodio.

En efecto, hasta que el rayo de un cuerpo incandescente no atraviese el vapor de sodio, cuyos átomos se hallan en estado fundamental, este rayo contiene ondas de todas las longitudes. Al atravesar el vapor, el rayo hace pasar el átomo de sodio del estado fundamental al de primera excitación. En esto se consume la energía del cuanto E = hν, cuya frecuencia v coincide precisamente con la frecuencia de la raya D del sodio. Por eso la luz que atravesó el vapor no contiene ya rayos de esta frecuencia y en la escala del espectrógrafo vemos un espectro continuo, cortado en su parte amarilla por la raya oscura D.
En el proceso inverso, al pasar los átomos de sodio del estado de excitación al estado fundamental, ellos emiten luz con la misma frecuencia v que antes habían absorbido, es decir, la misma raya D, mas ya de un vivo color amarillo.
A pesar de todos los éxitos de la teoría de Bohr, los físicos al principio la tomaban más bien como un modelo cómodo, sin creer mucho en la realidad de tal escalera energética en el átomo. El mismo año 1913 James Franck (1882−1964) y Gustav Hertz (nació en 1887) (sobrino del célebre Heinrich Hertz) disiparon esta duda. La teoría de Bohr, igual que toda idea clara, no sólo explicaba los hechos antiguos, sino que sugería los caminos para su comprobación.
Arnold Johann Wilhelm Sommerfeld (1868−1951), excelente físico y brillante pedagogo, fue uno de los primeros en Europa quien no sólo creyó en seguida en los postulados de Bohr, sino que los desarrolló, “...ateniéndose, como Kepler en su tiempo al estudiar el sistema planetario, al sentido interno de la armonía”. Razonaba así: si el átomo semeja el sistema solar, el electrón en tal sistema puede girar no sólo en circunferencia, como en el modelo de Bohr, sino también en elipses, con la particularidad de que el núcleo debe hallarse en uno de los focos de éstas.

Las elipses con igual semieje mayor tienen el mismo valor del número cuántico principal n, puesto que las energías del electrón en tales órbitas son equivalentes (Sommerfeld conocía esta demostración, mas nosotros tendremos que creerlo). Sin embargo, las elipses se distinguen por el grado de achatamiento que depende del momento orbital. Sommerfeld, en plena correspondencia con las ideas de Bohr, supuso que en el caso de n dado, las elipses no pueden ser achatadas de cualquier manera, sino sólo de modo que el número cuántico orbital l (que las distingue) adquiriese valores enteros l = 0, 1,2,..., n−1, es decir, el número de elipses admisibles no supera el número cuántico principal n, que numera los estados estacionarios.
Bohr y Sommerfeld demostraron incluso algo más: si se tiene en cuenta la teoría de la relatividad de Einstein, resulta que la energía del electrón es algo diferente en distintas elipses y por eso los niveles de energía en el átomo deben llevar dos números cuánticos: n y l. Por la misma razón, las rayas espectrales que surgen al pasar el electrón entre los niveles con diferentes n deben tener una estructura fina, es decir, desintegrarse en varias componentes. A petición de Sommerfeld, Friedrich Paschen comprobó y confirmó esta consecuencia de la teoría en el ejemplo de la raya del helio λ = 4686 Å que corresponde al paso del nivel n = 4 al nivel n = 3 (del cuarto nivel al tercero). Al examinar atentamente la fotografía del espectro de helio, Paschen descubrió que esta raya, en realidad, se componía de trece rayas que se hallaban muy cerca una de otra.

Fue una coincidencia asombrosa y en aquel tiempo (el año 1916) la comparaban con los cálculos de Leverrier y Adams, quienes habían pronosticado la existencia del planeta Neptuno.
Pero ni siquiera dos números cuánticos, n y l, explicaron todas las particularidades de los espectros. Por ejemplo, si el átomo radiante se coloca en un campo magnético, el desdoblamiento de rayas espectrales se efectúa de un modo completamente diferente.
El desdoblamiento de rayas espectrales en el campo magnético lo intentó encontrar Faraday todavía en 1862 en su último trabajo (no publicado). Pero el imán que utilizó para este fin fue demasiado débil y sólo en 1896 Pieter Zeeman observó el fenómeno que en su tiempo en vano buscaba Faraday.
Después de los trabajos de Bohr y Sommerfeld, el fenómeno de desdoblamiento de rayas espectrales en el campo magnético lo empezaron a explicar del modo siguiente. Imagínese un motor eléctrico. Incluso sin entrar en detalles técnicos de su construcción, uno sabe de la escuela que su rotor se pondrá a girar si por su devanado se hace pasar corriente eléctrica. El electrón, que se desplaza en el átomo en la órbita cerrada, se asemeja a una espira de corriente en el devanado del motor eléctrico. Y lo mismo que aquélla, la órbita del electrón en el campo magnético comenzará a girar.

Mas a diferencia de la espira, la órbita no puede ocupar en el átomo cualesquiera posiciones, puesto que las leyes cuánticas se lo impiden. La esencia de estas leyes cuánticas es más fácil comprender, echando una mirada al dibujo que va adjunto y en el que el campo magnético está dirigido desde abajo hacia arriba, mientras que la órbita del electrón está representada “desde la arista”, con la particularidad de que el radio de la órbita es igual numéricamente al valor del momento orbital l (en el dibujo l = 3).
Resulta que las leyes de la cuantificación admiten sólo tales posiciones del plano de la órbita respecto al campo magnético H en las cuales la proyección del diámetro de la órbita sobre la dirección del campo H es igual a un número entero. Este tercer número −el número cuántico magnético m−, como es fácil de ver, toma los Valores m = l, l − 1, ..., 1, 0, − 1, ..., −(l − 1), −l, es decir, sólo (2l + 1) valores.

De este modo, en el campo magnético cada nivel Enlcon los valores dados de los números cuánticos n y l se desdoblará en (2/+ 1) subniveles más Enlm, a cada uno de los cuales lo determinan unívocamente tres números enteros cuánticos: n, l y m dados. Esto conduce al desdoblamiento complementario de rayas espectrales.
La teoría de Bohr, a medida de que se iba complicando, perdía poco a poco su elegancia y claridad iniciales. La reemplazó el modelo formal de átomo del que se exigía sólo sistematizar correctamente los términos. El término “cuantificación” perdió paulatinamente su sentido inicial, empleándose para designar un proceso formal de confrontación de números enteros (cuánticos) n, l y m con cada nivel de energía en el átomo o, más exactamente, con el tipo de movimiento del electrón. Los números cuánticos n, l y m determinan las órbitas estacionarias en el átomo aislado. Los campos externos (eléctrico y magnético) influyen sobre el movimiento del electrón en el átomo (desdoblamiento de niveles de energía) lo que repercute en seguida en la estructura de la señal luminosa que emite el átomo (desdoblamiento de rayas espectrales).
Modelo formal del átomo
La divulgación científica (como toda ciencia) tiene sus límites. Como regla, éstos se determinan por el hecho de que desde cierto momento se hace imposible utilizar las nociones e imágenes de la vida cotidiana. Para superar este límite hay que pasar al idioma de los conceptos formales de la ciencia (no importa que al principio sea primitivo). Todos los intentos de evitarlo provocan inevitablemente un sordo descontento inconsciente, mientras que la esencia de la ciencia queda oculta. Al contrario, superando las mínimas dificultades, podemos sentir la fuerza de las construcciones lógicas de la ciencia y apreciar la belleza de sus consecuencias. Por regla general, las dificultades técnicas que surgen no superan, ni mucho menos, a las que se plantean ante cualquier escolar al estudiar la química: éste se convence muy rápidamente de que es más fácil (y lo principal, más comprensible) escribir la fórmula H2O que repetir cada vez: “La molécula que se compone de dos átomos de hidrógeno y un átomo de oxígeno”.
Algo parecido a las fórmulas químicas fue aceptado también en la teoría de los espectros, en la que el número cuántico principal n se designa con los números 1, 2, 3,... y el momento orbital l, con letras; además, a la serie de números 0, 1, 2, 3, ... les corresponde la serie de letras s, p, d, f... . Por eso el símbolo 3s, por ejemplo, corresponde al nivel de energía con los números cuánticos n = 3 y l = 0 y el símbolo 3p, al nivel con n = 3 y l = 1.
En el átomo de sodio no excitado, el electrón radiante se halla en el estado 3s. La raya oscura D surge en el caso de que al excitarse el átomo, el electrón pasa al estado 3p. Durante la transición inversa 3p → 3s éste emite energía y aparece una raya D amarilla brillante.
Pero ¿qué ocurre si el sodio radiante se coloca en un campo magnético? Al principio, siguiendo a Sommerfeld, suponían que en este caso el nivel superior 3p debe desdoblarse en 3 componentes 2l + 1 = 2∙1 + 1 = 3 y el nivel inferior quedará invariable. Como resultado cada una de las rayas D1 y D2 debe desdoblarse en 3 componentes.
La práctica contradice tal conclusión. En el dibujo se ve que la raya D1 se desdobla en 4 componentes y la D2, en 6. Este fenómeno es un caso particular del llamado efecto Zeeman anómalo.
Para comprender su causa es necesario retroceder algo y aclarar el problema que antes habíamos evitado conscientemente: ¿por qué incluso en ausencia del campo magnético, la raya D del sodio consta de dos componentes D1 yD2dispuestas muy cerca?

Wolfgang Pauli (1900−1958), discípulo de Sommerfeld, devanándose los sesos al analizar este problema descubrió en 1924 el spin del electrón (de la palabra inglesa spirn ↔ huso). Razonaba más o menos así: ambas rayas D1y D2 corresponden al mismo paso del nivel n = 3 y l = 1 al nivel n = 3 y l = 0. ¡No obstante, son dos!Quiere decir que existen dos niveles superiores 3p y no uno solo y, además, algún número cuántico complementario que los distingue. La propiedad correspondiente a este cuarto numero cuántico S, Pauli la llamó “la propiedad no clásica del electrón de dos valores de signos diferentes” y supuso que puede tomar sólo dos valores: +½ y −½ Pauli consideraba que era imposible imaginarse esta propiedad de un modo palmario.
Mas el año siguiente George Uhlenbeck (nació en 1900) y Samuel Goudsmit (nació en 1902) encontraron un modelo claro para explicar esta propiedad del electrón, admitiendo que éste giraba en torno a su eje. Semejante modelo se desprendía directamente de la analogía entre el átomo y el sistema solar, puesto que la Tierra gira no sólo por una elipse alrededor del Sol, sino también en torno a su eje (esta analogía la señalaron también Compton en 1921 y König en 1923, mas Pauli la rechazó categóricamente).
Uhlenbeck y Goudsmit supusieron que además del momento orbital l, cuyos valores son números enteros y que surge al moverse por la elipse, al electrón le es propio el momento interno de rotación, o sea, el spin S, igual por su valor a S = ½. Al sumarse con el momento orbital l, este momento interno S puede aumentar o disminuirlo. Como resultado surge el momento total j igual bien a j1 = l − ½, bien a j2 = l +½, según la orientación recíproca de los vectores l y S. Si l = 0, el momento total y el spin coinciden (l=S= ½).
Ahora todo está en sus lugares: el nivel 3s en el átomo de sodio quedará invariable, puesto que corresponde al momento l = 0, mas el nivel 3p se desdoblará en dos: 3p½y 3p3/2, cuyas energías son algo diferentes. De acuerdo con esto en vez de una raya D del sodio veremos dos rayas espectrales muy próximas una a otra, con la particularidad de que la raya D1 corresponde al paso del electrón 3p½→ 3s½ y la raya D2, al paso 3p3/2→ 3s3/2.
En el campo magnético cada uno de los niveles con el momento total j (lo mismo que en el caso del momento l) se desdobla en (2j + 1) componentes más que se distinguen por el valor del número cuántico magnético m. De esta manera, cada uno de los niveles 3s½y 3s3/2 se desdoblará en dos subniveles más y el nivel 3p3/2, en cuatro.
Como resultado aparece el esquema de niveles y de pasos entre ellos representado en el dibujo de la página siguiente que explica plenamente la estructura de las rayas D1 y D2.
En el dibujo vemos cómo se iba complicando el modelo inicial de Bohr, en el cual había un solo nivel con n = 3.

Una vez tomada en consideración la teoría de la relatividad, éste se desdobló en dos: 3p (n = 3, l = 1) y 3s (n = 3, l = 0). Teniendo en cuenta el spin del electrón, el nivel 3p se desdobla en dos subniveles más:
3p½(n = 3, l = 1, j = ½) y 3p3/2(n = 3, l = 1, j = 3/2)
Y por último, en el campo magnético obtendremos un sistema de niveles, representado en nuestro dibujo, que conduce al cuadro de rayas espectrales que se observan en la práctica.
La hipótesis del spin del electrón es una de las más profundas en la física. Hasta el presente no se logró aún comprender del todo su significado. Desde luego, Pauli tenía razón previniendo contra las tentativas directas de representar el electrón como un trompo que gira.
La influencia del spin sobre los procesos físicos en el átomo y sobre su estructura se manifiesta a veces de un modo más inesperado. Una de tales particularidades del spin forma el contenido del célebre principio de exclusión de Pauli: en el átomo no pueden existir dos electrones cuyos números cuánticos n, l, m y S sean iguales. A continuación veremos que sólo este principio permitió hallar una explicación racional del sistema periódico de los elementos de Dmitri Ivanovich Mendeléiev.
Incluso por el estilo de la exposición uno, seguramente, habrá notado ya hasta qué punto el modelo formal del átomo es más pobre de imágenes, comparado con el modelo de Bohr, y cuánto más difícil es describirlo por medio de palabras acostumbradas, así como imaginárselo palmariamente. No obstante, uno, probablemente, haya sentido su fuerza: sobre su base se puede explicar y pronosticar particularidades más sutiles de los espectros. Se logró ordenar un número colosal de rayas espectrales. Ahora para determinar unívocamente cualquier raya en el espectro del átomo es suficiente saber ocho números cuánticos: cuatro para el nivel inicial del electrón radiante (ni, li, mi y Si) y cuatro para el nivel final (nk, lk, mk y Sk
Hacia el año 1925, este trabajo titánico fue concluido. Los jeroglíficos fueron descifrados, lo que permitió dibujar el primer cuadro, todavía aproximado, de la estructura interna del átomo.
Por supuesto, descifrar el espectro de algún elemento no es una tarea fácil incluso hoy y sólo los especialistas pueden hacerlo correctamente. Al fin y al cabo cuesta bastante aprender a leer los jeroglíficos incluso descifrados y, además, no es obligatorio que todo el mundo sepa hacerlo. Pero por cuanto la clave del cifrado se conoce, cualquiera puede aprender a usarla. Actualmente a nadie le deprimen ya las largas tablas de rayas espectrales, como tampoco asustan a los zoólogos y botánicos millones de especies de plantas y animales: después de los trabajos de Linnæus, Lamarck y Darwin todas ellas están sistematizadas rigurosamente.
Con las rayas espectrales ocurrió lo mismo que con los auténticos jeroglíficos egipcios: mientras no habían sido leídos atraían únicamente a los egiptólogos y los demás se interesaban, por ellos sólo abstractamente. Mas después de descifrados los jeroglíficos y los espectros, unos lograron leer la historia de todo un pueblo, otros, conocer la estructura del átomo. Esto interesa ya a todos.
A pesar de los éxitos del modelo formal del átomo, éste no respondía ya al criterio de la sencillez lógica que da la impresión de evidencia (y que distinguía tan ventajosamente el modelo de Bohr). Poco a poco llegó a complicarse hasta tal punto que despertó la desconfianza y una sensación de cansancio, muy parecida a la que sentían los físicos antes del esquema de Bohr. Además, todos los intentos de extender el modelo de Bohr a los átomos más complejos fracasaron. En estado de cierta confusión, los físicos empezaron a poner en tela de juicio todo: la validez de la ley de Coulomb, la posibilidad de aplicar la electrodinámica y la mecánica a sistemas atómicos e incluso la ley de conservación de la energía. Todos comprendían más o menos que esta crisis surgió como resultado del choque entre los datos empíricos, los principios de la teoría de los cuantos y las remanencias de las ideas clásicas a las que entonces era imposible renunciar, puesto que no se había propuesto nada definitivo para sustituirlas.
Al estudiar los fenómenos cuánticos, los investigadores igual que antes seguían utilizando los conceptos clásicos. Pero los objetos atómicos no poseían propiedades correspondientes a estos conceptos, por eso a la naturaleza le hacían, de hecho, preguntas ilícitas o, más exactamente, en el idioma que ella no entendía. Entonces empezaron a buscar un principio general del cual se pudiera deducir lógicamente el modelo formal del átomo, así como otras particularidades de los objetos atómicos. “No importa que al empezar, este principio único sea incomprensible, lo esencial es que sea el único”: tal fue el deseo general.
En respuesta a esta aspiración, en el mismo año 1925 surgió la mecánica cuántica: la ciencia que trata sobre el movimiento de electrones en el átomo. La creó la nueva generación de físicos. Por juego del destino todos ellos nacieron casi al mismo tiempo: Werner Heisenberg nació en 1901; Paul Adrien Maurice Dirac, en 1902; Wolfgang Pauli, en 1900. Sólo unos años les llevaban Louis de Broglie y Erwin Schrödinger. Les cayó en suerte traducir las imágenes y conceptos de la mecánica atómica al idioma de las fórmulas. Un poco más tarde sabremos cómo lograron hacerlo.
Niels Henrik David Bohr (1885−1962)
Por los dibujos se puede observar la evolución del concepto de “átomo” desde Demócrito hasta Bohr. Es una historia muy aleccionadora que despierta siempre no sólo el respeto hacia los científicos célebres y desconocidos, sino principalmente el asombro que semejante conocimiento, en general, fuera posible y, además, en una forma tan perfecta y armoniosa.
Como todo descubrimiento verdaderamente grande, el de Bohr fue difícil de hacer, pero fácil de comprender. La fuerza de las ideas de Bohr radica en su sencillez improbable y su accesibilidad. Cualquier persona letrada comprende su esencia. Bohr propuso una imagen que permitió orientarse entre los conceptos insólitos de la mecánica cuántica y se convirtió en símbolo de nuestro siglo. Si se tiene en cuenta, además que esta imagen, siendo tan sencilla, refleja correctamente las principales propiedades de los átomos, en seguida se pondrá de manifiesto su carácter excepcional.
El 3 de marzo de 1972, la estación cósmica “Pioner 10” despegó hacia el Júpiter. Además de los aparatos, a bordo se hallaba una placa en la que estaban grabados las siluetas de hombre y de mujer, la posición del sistema solar y el esquema del átomo de hidrógeno: lo más importante que los hombres de la Tierra decidieron comunicar a otras civilizaciones.
Entre cien físicos escogidos al azar, hoy día, quizás uno o dos habrán leído los célebres artículos de Bohr publicados en 1913. Sin embargo, cualquiera de ellos explicará detalladamente las ideas que encierran. Esto significa que actualmente las ideas de Bohr no son ya el objeto de la ciencia, sino un elemento necesario de la cultura: la cima que puede alcanzar cualquier teoría.
“El hombre al que cayó en suerte obsequiar al mundo una gran idea creadora no necesita elogios de la descendencia. Su creación le concedió un bien más importante”
estas palabras de Einstein sobre Planck se refieren en igual medida a Bohr.
En el declive de su vida Niels Bohr llegó a la Unión Soviética y visitó Georgia. Un día, en el valle Alasani descansaba con un grupo de físicos georgianos. Cerca de ellos se hallaban unos campesinos que, siguiendo la vieja tradición, encabezados por su tamadá (organizador del festín), cantaban y tomaban vino. Niels Bohr, que no sólo era un gran hombre, sino también una persona ávida de saber, se les acercó y fue acogido con la cordialidad tradicional. “Es el famoso científico Niels Bohr...”, empezaron a explicar los físicos. Mas el tamadá los interrumpió con un gesto y, dirigiéndose a los comensales echó un brindis: “¡Amigos! Tenemos de visita al científico más grande, del mundo, el profesor Niels Bohr. El es fundador de la física atómica moderna. Los escolares de todos los países estudian sus obras. Vino a nuestro país desde Dinamarca.
¡Deseémosle a él y a sus acompañantes muchos años de vida, felicidad y buena salud! ¡Que su país viva en paz y prosperidad!” El discurso del tamadá lo traducían en voz baja a Bohr. Terminado el brindis, se levantó un anciano, tomó con ambas manos la mano de Bohr y la besó solícitamente. Luego otro montañés se puso en pie, llenó el cuerno de vino y, haciendo una reverencia a Bohr, lo vació.
Niels Bohr pasó toda su vida entre las paradojas de la mecánica cuántica, mas incluso a él le conmovió la irrealidad del acontecimiento: lágrimas de asombro y gratitud asomaron a sus ojos.
* * * *
Demostración experimental de los postulados de Bohr
El experimento de Franck y Hertz, de hecho, es muy parecido al de Kirchhoff y Bunsen: ellos sustituyeron los átomos de sodio por los de mercurio y en vez de un rayo de luz dirigieron sobre éstos un haz de electrones, cuya energía podían variar. En este caso Franck y Hertz observaron un fenómeno interesante: mientras la energía de los electrones era indeterminada, el número de electrones que atravesaron los átomos de mercurio era igual al de los electrones en el haz inicial. Pero al alcanzar la energía de éstos cierta magnitud (en los experimentos era igual a 4,9 electrón−voltios ó 7,84∙10−12 ergios), el número de electrones que atravesaron el mercurio disminuía bruscamente, puesto que se absorbían por los átomos de mercurio. (A título de comparación recordemos que la energía de movimiento térmico de las moléculas a temperatura ambiente es igual aproximadamente a 0,04 eV). Simultáneamente, en el espectro del vapor de mercurio aparecía una brillante raya violeta con longitud de onda λ = 2536 Å, es decir, con la frecuencia ν = 1,18∙1015 s−1. Es muy fácil calcular la energía del cuanto con tal frecuencia: es igual a E = hν = 6,62∙1027−1,2∙1015 = 7,82∙10−12 ergios, o sea, casi igual a la energía consumida por el electrón.
Por lo visto, esta emisión surge durante el paso inverso del átomo de mercurio del estado de excitación al estado fundamental.

Se nota fácilmente que este cuadro demuestra directa y experimentalmente ambos postulados de Bohr: en el átomo existen realmente estados estacionarios y por eso él no puede absorber cualesquiera porciones de energía. Los pasos del electrón entre los niveles en el átomo son posibles sólo a saltos, mientras que la frecuencia de los cuantos emitidos se determina por la diferencia de energías de los niveles y se calcula por la fórmula de Einstein AE = hv. Desde luego, esto “se nota fácilmente” sólo ahora, pero en 1913 incluso los mismos Franck y Hertz explicaron su experimento de un modo absolutamente distinto.
"Cuantificación” del sistema solar
Reiteradas veces hemos comparado el átomo con el sistema solar, aunque sin atribuir gran significado a esta analogía. Con más razón sorprende el hecho de que el sistema solar, igual que el átomo, también obedece a cierta “regla de cuantificación”. Esta regla no tiene nada que ver con la mecánica cuántica, pero a pesar de eso no es menos curioso el hecho de que las distancias entre los planetas y el Sol (igual que los radios de las órbitas en el átomo) no cambian desordenadamente, sino que están sujetas a una ley bastante rigurosa.
Johannes Kepler conocía este hecho y todavía en su juventud, meditando mucho sobre la “armonía de las esferas”, llegó a la conclusión de que en los espacios entre las esferas trazadas en las órbitas de los planetas se podía inscribir cinco poliedros regulares.
En 1772, el profesor Daniel Titius publicó en Bonn el libro “Contemplación de la Naturaleza" que contenía la tabla de las distancias entre el Sol y los planetas en unidades convencionales (la distancia hasta el Mercurio, el planeta más cercano al Sol, fue tomada por 4)
| Mercurio | 4 = 4 |
| Venus | 7 = 4 + 1∙3 |
| Tierra | 10 = 4 + 2∙3 |
| Marte | 16 = 4 + 4∙3 |
| Júpiter | 52 = 4 + 16∙3 |
| Saturno | 100 = 4 + 32∙3 |
| Más tarde se añadió Urano | 196 = 4 + 64∙3 |
Luego Bode precisó la ley de Titius, tomando la distancia hasta Mercurio por 8 unidades convencionales y anotando la fórmula general para las distancias planetarias en la forma siguiente:
R = 8 + 3 ∙ 2n,
donde n = 0, 1, 2, 3, 4, 6, 7, 8.
Es interesante que en este esquema falta el planeta con el número n = 5, que debería situarse entre Marte y Júpiter. Mas justamente en este lugar se halla la zona de los asteroides: planetas pequeños. Los astrónomos opinan que son fragmentos del gran planeta Faetón, que había existido en un tiempo.
La ley de Titius y Bode todavía no está comprendida del todo, a pesar de que existen varias demostraciones de la misma. Por lo visto, la explicación plena de esta ley se hallará al descifrar el misterio del origen de nuestro sistema solar.
Capítulo 5
Doctrinas de los antiguos; Primeros intentos; Elementos y átomos; Tabla de los elementos; Explicación de la tabla
Imagínese que uno haya decidido estudiar la vida de la célula y, con este fin, realiza con la misma toda clase de experimentos: la calienta, irradia, destruye y examina meticulosamente en el microscopio. Sin embargo, todos sus conocimientos acerca de la célula serán incompletos, mientras no recuerde que es parte del organismo vivo y solamente en él revela sus propiedades en plena medida.
Algo parecido sucedió en la ciencia sobre el átomo. Hasta ahora hemos tratado intencionadamente de aislar el átomo y elegimos sólo los experimentos que podían aclarar las propiedades de un átomo individual. Pero mucho antes de todos los experimentos, que mostraron la compleja estructura del átomo, Dmitri Ivanovich Mendeléiev (1834−1907) había establecido que los átomos de diferentes elementos formaban un organismo único: el sistema natural de los elementos.
Un año después de haber creado el sistema periódico de los elementos, Mendeléiev escribió:
“Es fácil suponer, mas por el momento es imposible demostrar que los átomos de los cuerpos simples son sustancias complejas, compuestas de ciertas partes menores aún (las ultimidades); que lo llamado por nosotros indivisible (el átomo) es indivisible sólo por los medios químicos corrientes..., no obstante, pese a lo vacilante y arbitrario de semejante conjetura, hacia ésta se inclina, sin querer, la mente al conocer la química. Esto explica que tal doctrina se repite en diferentes formas desde hace tiempo ya, y la dependencia periódica entre las propiedades y el peso, que he presentado, por lo visto, confirma tal presentimiento, si se puede decir así, tan propio de los químicos”.
Se debe decir que a los químicos jamás pudo satisfacerles la idea de la multiplicidad independiente de los elementos cualitativamente diferentes. Por eso ellos trataban siempre de reducir la diversidad cualitativa de aquéllos a una idea simple y clara: los átomos de diferentes elementos son distintas aglomeraciones de partículas del mismo tipo. Semejantes intentos se remontan a la antigüedad y posteriormente se iban desarrollando por dos caminos diferentes.
Demócrito creía que todas las sustancias en la naturaleza se estructuraban de átomos y las propiedades de aquéllas dependían de distintas combinaciones de éstos.
Aristóteles afirmaba que todo lo existente se componía de elementos, los cuales de por si eran portadores de determinadas cualidades.
La repercusión de esta remota disputa llegó incluso hasta nuestros días: la palabra “átomo” involuntariamente hace surgir ante nosotros la imagen visual de algo sólido y macizo; las palabras “elemento químico” nos inclinan a imaginarnos cierta cualidad pura, no relacionada en modo alguno con su portador. Tal vez por eso la doctrina sobre los elementos químicos al principio se desarrollaba en forma absolutamente independiente de la idea sobre los átomos. Más tarde, ambas doctrinas se entrelazaron a tal punto que se dejó de distinguirlas. Pero como acabamos de cerciorarnos, hasta ahora no se logró superar la barrera sicológica entre ellas.
Los caminos de la ciencia son incomprensibles y sus fuentes, múltiples. Hasta este momento hemos examinado minuciosamente las “fuentes físicas” de la ciencia sobre el átomo. Ahora ha llegado el tiempo de descubrir sus “fuentes químicas”.
Doctrinas de los antiguos
Los filósofos de la escuela jónica, cuyo famoso representante era Tales de Mileto (640−546 a. n. e.), reconocían un solo elemento: el agua “sobre la cual descansa la Tierra y que es el principio de todas las cosas". Más tarde, Empédocles (490−430 a. n. e) añadió al agua tres elementos más: la tierra, el fuego y el aire. Por último, Aristóteles (384−322 a. n. e.) agregó a estos cuatro elementos la quinta esencia (quinta essentia), recuerdo de la cual se conservó hasta el presente en la palabra “quintaesencia”.
Algo parecido fue creado también en la filosofía india. Mas a diferencia de los griegos, materialistas, que bajo los elementos comprendían sustancias que influían sobre nuestros órganos de los sentidos−, en la India se imaginaban los elementos como ciertas manifestaciones del omnipotente principio espiritual. En la filosofía india había cinco manifestaciones−elementos semejantes, de acuerdo con el número de los sentidos capaces de percibirlas: el éter era el oído; el viento, el tacto; el fuego, la vista; el agua, el gusto, y la tierra, el olfato. El filósofo Kanáda, al que hemos mencionado al comienzo mismo, añadió a éstos cuatro elementos más: el tiempo, el espacio, el alma (atman) y el manas (el medio con ayuda del cual se transmitían al alma las impresiones de los sentidos). Además, él afirmaba que los cuatro elementos, la tierra, el agua, el fuego y el aire, se componían de átomos.
En el Medievo, la doctrina sobre los elementos la resucitaron los alquimistas, entre los cuales comúnmente señalan al egipcio Zosimus, al árabe Geber (Abou−Mousa−Djaber ben Hauuan Eq Coufy) (siglo X) y Alberto Magno (siglo XII).
Bajo los elementos, los alquimistas (siguiendo a Aristóteles) comprendían no las sustancias, sino las cualidades o “principios”. El mercurio servía de “principio” de brillo metálico; el azufre, de combustibilidad; la sal, de solubilidad. Estaban convencidos de que mezclando estos “principios” en proporciones adecuadas, se podía obtener cualquier sustancia en la naturaleza.
Como regla, con la palabra “alquimia” relacionan los cuentos sobre la conversión del mercurio en oro, la obtención del elixir de la vida y otros milagros. Si hurgáramos en los archivos, podríamos encontrar, por ejemplo, la obra de Geber, en la cual examina en serio el problema siguiente: “¿Por qué, como todos conocen, la nube no produce lluvia cuando la mujer sale de casa desnuda y se coloca de cara hacia esa nube?”
Pero, fuera de estos absurdos indiscutibles, los alquimistas descubrieron el alcohol y con este hecho solo ya justificaron su existencia. No obstante, su mérito principal consiste en que la experimentación espontánea, a la que se dedicaban, condujo paulatinamente a la acumulación de hechos sin los cuales la ciencia de la química jamás habría surgido.
Primeros intentos
En el siglo XVII la alquimia junto con la filosofía natural cedieron su lugar a la química y la física. En 1642 apareció la obra de Joachim Jungius (1587−1657) “Disputas sobre los principios de la materia”, que el autor, en plena armonía con el espíritu del siglo, terminaba con las siguientes palabras:
“Solamente a base de observaciones conscientes, circunspectas y perseverantes, y no por medio de conjeturas, se pueden conocer los principios que se deben considerar como primarios para los cuerpos homogéneos”.
En 1661 vio la luz el famoso libro de Robert Boyle “El químico escéptico” en el cual el autor determinó los elementos químicos como “ciertas sustancias primitivas o simples, o absolutamente no mezcladas”.
De hecho, fue la primera y casi moderna definición del elemento: el elemento, en primer lugar, es sustancia y de ningún modo “principio”, substrato o idea. Por el momento no estaba claro cómo separar los elementos de las sustancias naturales y según qué indicio se podía diferenciar los elementos puros de sus mezclas o compuestos. Por ejemplo, el propio Boyle suponía que el agua era casi el único elemento puro, mientras que el oro, el cobre, el mercurio y el azufre los consideraba compuestos químicos y mezclas.
Antoine Laurent Lavoisier (1743−1794) aceptó sin objeciones la doctrina de Boyle sobre los elementos, pero él vivió un siglo más tarde y esto no le satisfacía ya: quiso aprender a separar los elementos de los compuestos químicos. Por lo visto, fue uno de los primeros que utilizó la balanza no para preparar polvos y mezclas, sino para los fines de investigación. Lavoisier partía de la suposición que ahora parece trivial, pero en la época del flogisto requería mucha audacia:
Cada elemento del compuesto pesa menos que éste en su conjunto.
Al aplicar consecuentemente este principio, Lavoisier confeccionó la primera tabla que contenía unos 30 elementos. Sus puntos de vista contradecían tanto los criterios aceptados por todo el mundo en aquella época, que los celosos adeptos de la teoría del flogisto en Alemania quemaron públicamente su retrato.
Lavoisier no terminó sus investigaciones: acusado de alta traición, el 8 de mayo de 1794, después del mediodía fue decapitado en la Plaza de la Revolución en París y sepultado en una fosa común. A la mañana siguiente del ajusticiamiento, Lagrange dijo con amargura:
“Para cortar esta cabeza bastó un instante, mas para crear otra semejante, tal vez no alcancen cien años”.
Durante la centuria posterior, los químicos trabajaron mucho y paulatinamente iban completando la tabla de Lavoisier. Entre ellos despertaba admiración la figura del “rey de los químicos” Jöns Jakob Berzelius (1779−1848), quien en el curso de su vida analizó más de 2 mil sustancias y descubrió varios elementos nuevos. (A propósito, precisamente él introdujo en 1814 los símbolos modernos de los elementos químicos según las primeras letras de sus denominaciones latinas y griegas.)
En aquella época se conocían ya cerca de 60 elementos: no tantos como pensaba Demócrito, pero tampoco tan escasos como para considerarlos todos independientes. Surgió la sospecha de que el conjunto de los elementos formaba un sistema único, y emprendieron las búsquedas del mismo.
En realidad, estas búsquedas jamás se interrumpían ni siquiera cuando a todas luces eran prematuras. Por ejemplo, Marne ya en 1786 estaba seguro de que “todo lo existente en la naturaleza estaba unido en una serie ininterrumpida” y que “...desde la ínfima partícula en el rayo solar hasta el santo serafín se podía erigir toda una escalera de creaciones...”. En 1815, el médico y químico inglés William Prout (1785−1850) desarrolló la idea de Marne sobre la afinidad de los elementos y propuso una simple hipótesis, según la cual todos los elementos habían surgido al condensarse el hidrógeno.
Ahora no es tiempo ni viene al caso estudiar detalladamente todos los intentos de descubrir el sistema de los elementos, que en diferentes años emprendieron Dóbereiner (1817), Pettenkofer (1850), Gladstone (1853), Odling (1857), Beguyer de Chancourtois (1863), Newlands (1865) y otros muchos. Es mucho más importante seguir las ideas y las causas incentivas que movían a todos ellos.
Cualquier ciencia se basa en la facultad humana de asombrarse. La existencia de los elementos siempre despertaba y seguirá despertando el asombro. En efecto, ¿acaso no es extraño que todo este mundo, rebosante de colores, aromas, sonidos y pasiones humanas, esté constituido sólo de unas cuantas decenas de elementos. Además, como regla, los propios elementos tienen un aspecto deslucido y no se parecen en absoluto al mundo pintoresco construido de ellos.
Sin embargo, tras el asombro, en la conciencia de los científicos surge la necesidad de ordenar las impresiones que los han sorprendido. Esta propiedad puramente humana está arraigada profundamente en cada uno de nosotros: el niño se regocija al construir del caos de cubos una figura armoniosa; el escultor, al esculpir de la roca de mármol una estatua.
Todo intento de ordenar algo, en seguida provoca la pregunta: “¿Ateniéndose a qué indicio?” Si tenemos una caja con cubos numerados que están amontonados caóticamente es muy fácil clasificarlos: basta con colocarlos en orden numérico. Ahora imagínese que en vez de cubos uno tiene en las manos probetas con elementos químicos llenas de sustancias de diferente color y aroma, líquidas y sólidas, pesadas y livianas. ¿Cuál de estas cualidades debe servir de base para clasificarlas? Por ejemplo, las probetas se pueden colocar en el estante de manera que sus colores formen el arco iris. Esto será bonito, mas inútil para la ciencia sobre los elementos: toda clasificación tiene sentido sólo en el caso de que permite revelar profundas propiedades o particularidades de la estructura. (Tal es, por ejemplo, la clasificación de la fauna.)
¿Qué utilidad en general tiene la clasificación, fuera de satisfacer nuestra aspiración instintiva a la sencillez? En primer lugar, y esto es lo principal, sin clasificación no puede haber ciencia alguna. El cerebro del científico es sólo una pequeña parte de la naturaleza y él puede tener esperanzas de conocer toda la naturaleza sólo en el caso de aprender a separar en ésta los rasgos principales entre el amontonamiento de detalles.
Precisamente en esto radica la esencia de la clasificación: entre las múltiples propiedades de los objetos o fenómenos hay que elegir sólo una o dos, más tales que permitan descubrir las regularidades de la transformación de todas las propiedades restantes.
Los elementos químicos tienen numerosas propiedades, lo que es plenamente comprensible: de otro modo de ellos no se podría construir el mundo. Su propiedad más importante es la capacidad de entrar en reacciones químicas. Parecería que precisamente en esta propiedad de los elementos se debería basar su clasificación. Sin embargo, no es así: no existe un procedimiento para medir con precisión (ni siquiera determinar rigurosamente) la capacidad de reacción de los elementos. Y sin ello cualquier clasificación es insegura. Para no ser arbitraria, se ha de apoyar en el número, es decir, los elementos se deben clasificar por aquella propiedad suya que puede ser medida exactamente.
Más tampoco aquí todo es tan sencillo: el peso específico de los elementos podemos medirlo con gran precisión, pero no podemos basar sobre el mismo la sistematización de los elementos, por la simple razón de que entre éstos hay gases, líquidos y cuerpos sólidos.
Los numerosos intentos fracasados de descubrir el sistema de los elementos permitieron, por fin, comprender que entre las diferentes propiedades de los elementos, accesibles al estudio directo, falta la única propiedad sobre la que se debe basar su clasificación. La propiedad incógnita − el peso atómico del elemento − se halla fuera de la química y pertenece por entero a la física. El momento en que lo habían comprendido por vez primera, puede considerarse el comienzo de la teoría moderna de los elementos químicos. Este paso decisivo lo dio John Dalton.
Elementos y átomos
Entre los científicos de su tiempo John Dalton era una figura muy original. A principios del siglo XIX todos creyeron ya firmemente en la ciencia y comprendieron el secreto de su poderío: la ciencia opera con números y éstos no engañarán. Por eso en aquella época se apreciaba sobremanera el arte de realizar experimentos precisos. Dalton carecía en absoluto de esta capacidad y por tanto en vida era objeto de ataques por parte de eminentes científicos.
“Sus instrumentos, principalmente de fabricación propia, no estaban adaptados para obtener resultados exactos y su manera de experimentación era negligente, por no decir descuidada” −escribió uno de sus biógrafos.
Por su mentalidad Dalton era un teórico típico, como nos representamos en la actualidad esa profesión. Por eso no se debe juzgar con mucho rigor la inexactitud de las mediciones en sus trabajos: a base de las mismas había expresado ideas claras y fructíferas que determinaron el desarrollo de la química para los próximos cien años. La esencia de su descubrimiento radica en que señaló el camino experimental para comprobar la hipótesis atómica.
Dalton definió el elemento como sustancia que se componía de átomos de un mismo tipo. Los átomos de diferentes sustancias se diferencian por el peso y en el caso de cualesquiera conversiones de la sustancia permanecen invariables: solamente se reagrupan. “Con el mismo éxito podemos tratar de añadir un nuevo planeta al sistema solar que destruir o crear el átomo de hidrógeno”, escribió Dalton.
Dalton echó cimientos de la historia moderna del átomo. Fue el primero que no sólo creyó firmemente en la hipótesis atómica, sino que comenzó a buscar los efectos observables que se desprendían de ella. Razonaba más o menos del siguiente modo.
Supongamos que todos los elementos estén compuestos de átomos. Entonces, digamos, 16 g de oxígeno contienen N átomos de oxígeno. Admitamos luego que en este oxígeno quemamos hidrógeno. Es fácil medir que para quemar 16 g de oxígeno se deben consumir 2 g de hidrógeno, y como resultado obtendremos 18 g de agua.
La primera suposición que se le ocurre a un partidario de la hipótesis atómica consiste en que cada átomo de oxígeno O se une con un átomo de hidrógeno H y como resultado se forma la molécula de agua HO. Precisamente así pensaba también Dalton.
Más tarde Berzelius demostró que Dalton estaba equivocado, o sea: con cada átomo de oxígeno se unen dos átomos de hidrógeno y por tanto la fórmula del agua toma el aspecto a que estamos acostumbrados: H2O. Más aquí lo principal es la idea: con cada átomo de oxígeno se une un número entero de átomos de hidrógeno. Por eso, si 16 g de oxígeno contienen N átomos, 2 g de hidrógeno contendrán 2N átomos. Esto significa que un átomo de oxígeno es 16 veces más pesado que uno de hidrógeno.
De esta manera se presentó la posibilidad de cotejar el peso de los átomos de diferentes elementos. Surgió el concepto de peso atómico, es decir, el número que muestra cuántas veces el peso del átomo de cualquier elemento supera el del átomo de hidrógeno. Por definición el peso atómico del hidrógeno es igual a una unidad, por consiguiente, el peso atómico del oxígeno es igual a 16.
¿Qué utilidad puede tener este simple razonamiento? En primer lugar ahora se puede medir los pesos atómicos de todos los demás elementos, al estudiar sus compuestos con el hidrógeno y el oxígeno. Por ejemplo, podemos cerciorarnos de que en los mismos 16 g de oxígeno se logra quemar tan sólo 16 g de azufre, obteniendo gas sulfuroso. ¿Qué se desprende de aquí? Como siempre, se puede suponer lo más sencillo: con cada átomo de azufre se une un átomo de oxígeno según la fórmula S + O = SO, llegando a la conclusión de que el peso atómico del azufre es igual a 16. Mas si (como sabemos ahora) la combustión transcurre según la fórmula S + O2 = SO2, entonces el peso atómico del azufre debe ser igual a 32.
En este ejemplo vemos que la hipótesis atómica por sí sola no facilita todavía el procedimiento para predecir la composición de los compuestos químicos, en cambio, no permite equivocarse más que en un número entero de veces. Por ejemplo, podemos decir con antelación que con 32 g de azufre (que contienen N átomos) pueden unirse bien N bien 2N, etc., átomos de hidrógeno, es decir, bien 1 g, bien 2 g, mas de ningún modo 1,35 g de hidrógeno. Esta afirmación forma precisamente el contenido de la famosa ley de las proporciones múltiples:
Los pesos de los elementos que forman un compuesto se relacionan como el múltiplo entero de sus pesos atómicos.
Dalton obtuvo estos resultados en 1804−1805 y en 1808 salió a la luz su famoso libro “Nuevo sistema de la filosofía química”, que inauguró toda una época en la ciencia. Sus deducciones las comprobó inmediatamente el médico y químico inglés William Wollaston (el mismo que fue el primero en descubrir las rayas oscuras en el espectro del Sol) y se cercioró de su autenticidad.
Ahora nos cuesta trabajo imaginar la época confusa en que rechazaban no sólo la hipótesis atómica, sino que dudaban en general que los compuestos químicos tuvieran una composición constante. Se conoce la famosa disputa entre Proust y Berthollet que duró ocho años y tan sólo al final de la misma Proust, por fin, demostró que independientemente de cómo y de dónde se haya obtenido el compuesto, su composición siempre será invariable. El agua seguirá siendo siempre agua H2O, independientemente de si cayese del cielo, fuese tomada del río o se obtuviera por medio de la combustión del hidrógeno en el oxígeno.
Había que dar el último paso: aprender a determinar los pesos atómicos de los elementos. Para eso era necesario elegir las sustancias más simples. Primero dedicaron la atención a los gases. Acto seguido, en 1809, el ex asistente de Berthollet, el científico francés Joseph Louis Gay−Lussac (1778−1850) (al que conocemos por la “ley de los gases de Gay−Lussac”) hizo un descubrimiento muy importante: los volúmenes de dos gases que entran en reacción se relacionan siempre como números enteros primos.
¡No los pesos, sino los volúmenes!
Como veremos pronto, esto es muy importante. Por ejemplo, para obtener el agua, se debe quemar en un volumen de oxígeno justamente dos volúmenes de hidrógeno. De suyo se desprende: volúmenes iguales de gases contienen igual número de átomos.
Precisamente a esa conclusión llegó en 1811 el científico italiano Amedeo Avogadro (1776−1856) (Lorenzo Romano Amedeo Cario Avogadro di Quaregna e di Cerreto), sólo que la formuló más exactamente:
Los volúmenes iguales de gases contienen igual número de moléculas.
Como sabemos ahora, las moléculas de la mayoría de los gases, de hidrógeno, oxígeno, nitrógeno, etc., se componen de dos átomos H2, O2, N2. Después de eso es fácil comprender el experimento clásico de combustión del hidrógeno en el oxígeno. Es sabido que en este caso de 1 volumen de oxígeno y 2 volúmenes de hidrógeno se forman 2 volúmenes de vapor de agua. Brevemente este hecho se anota por la ecuación:
2H2 + O2 = 2H2O.
¿Qué significado tienen los descubrimientos de Gay− Lussac y de Avogadro y por qué nos hemos detenido de una manera tan detallada en estos hechos sencillos?
Examinemos de nuevo el hilo de los razonamientos. Los volúmenes iguales de gases contienen un número igual de moléculas. Es sabido que 2 g de hidrógeno ocupan un volumen de 22,4 litros; designemos el número de moléculas que contiene ese volumen con N. Las mismas N moléculas de oxígeno ocupan el mismo volumen de 22.4 litros, con la particularidad de que en vez de 2 g, pesan 32 g. De ahí se desprende que cada átomo de oxígeno es 16 veces más pesado que el de hidrógeno; y esto significa que, una vez medido el peso específico de cualquier gas, en seguida determinaremos su peso atómico.
Hasta ese momento, en ninguna parte se veía tan claramente la realidad de la hipótesis atómica. En efecto, el peso específico es una magnitud fácil de medir y habitual por cuanto influye en nuestros órganos de los sentidos. Es sorprendente que por un procedimiento tan sencillo se pueda medir el peso atómico, es decir, una magnitud que no podemos experimentar directamente y que, no obstante, es indiscutiblemente real.
El número de moléculas N contenidas en 22,4 litros de cualquier gas, se llama ahora el número de Avogadro. Es una de las fundamentales constantes de la física: a semejanza de la velocidad de la luz c o la constante de Planck h. Para determinarla es suficiente conocer el peso absoluto M de un átomo de hidrógeno. Y por cuanto 22.4 litros contienen 2 g de tales átomos, el número
N = 2/M
Por vez primera se logró evaluar el número N después de los cálculos de Joseph Loschmidt, que determinó el peso absoluto y las dimensiones del átomo de hidrógeno. A propósito, de sus cálculos se deducía que las distancias entre las moléculas de gas son unas 10 veces superiores a las dimensiones de las mismas moléculas. Si este resultado se conoce con anticipación, la hipótesis de Avogadro es plenamente evidente: las distancias medias entre los átomos de gas no dependen de sus dimensiones, que en diferentes gases cambian en un grado insignificante.
La hipótesis de Avogadro fue pronto olvidada y tan sólo medio siglo más tarde, en 1853, la resucitó otro científico italiano Stanislao Cannizzaro (1826−1910). Esto fue muy oportuno, ya que entre los químicos de aquella época no había concordancia: casi todos reconocían sólo su propia tabla de pesos atómicos; los representantes de la química orgánica desconfiaban de los especialistas en química inorgánica y el congreso de los químicos más famosos, convocado en 1860 en Carlsruhe, no llegó a ningún acuerdo. (No obstante, en su resolución del 4 de septiembre de 1860 confirmó definitivamente la diferencia entre el átomo y la molécula.)
El químico alemán Lothar Meyer (1830−1895) que contribuyó notablemente a establecer el sistema de los elementos, recordaba que al regresar del congreso en Carlsruhe leía en el tren el folleto de Cannizzaro y que durante esa lectura “se le cayó el velo de los ojos”.
Solamente entonces, por fin, fueron determinados bastante correctamente los pesos atómicos de los elementos, y se pudo comenzar a clasificarlos.
Tabla de los elementos
Al parecer no había nada más fácil que situar todos los elementos por orden creciente de los pesos atómicos, e inmediatamente, de por sí, se descubriría la periodicidad de sus propiedades. Muy a menudo el asunto lo pintan como si Mendeléiev, habiendo anotado al dorso de las tarjetas de visita todos los elementos que se conocían en aquel tiempo, durante largo rato estuvo haciendo solitarios con ellas, hasta que cayó en un ligero sopor diurno. Precisamente durante este sueño se le ocurrió la solución del problema. Tal vez, esta historia no sea muy veraz, mas incluso los que creen en ella sin reservas, deben comprender que al feliz día del 1 de marzo de 1869 habían precedido otros muchos infructuosos días y noches de insomnio cuando el problema parecía insoluble.
¿En qué consistía la dificultad del problema? Recuerden el ejemplo con los cubos numerados que estaban amontonados desordenadamente: era fácil colocarlos en orden. Pero los elementos químicos no llevan etiquetas con números: sencillamente son sustancias de diferente color, sólidas, líquidas o gaseosas. Sabemos sólo que a cada uno de ellos puede corresponderle un número: el peso atómico. Precisamente este número fue tomado al principio por base de la clasificación. Desde luego, se puede situar todos los elementos en orden creciente de los pesos atómicos, muchos procedieron precisamente así, mas sería una ocupación digna de un artesano y no de un maestro. En primer lugar, ¿de dónde se sabe que conocemos ya todos los elementos? Y sin esta seguridad ¿qué objeto tiene ordenarlos de acuerdo con los pesos atómicos crecientes?
El problema efectivamente se parece al conocido juego de niños con cubos, en los cuales están dibujadas partes del cuadro que se deben juntar de modo que resulte el cuadro íntegro. Ahora imagínese que parte de los cubos se haya perdido y en algunos de éstos los fragmentos del cuadro estén deformados. En este caso también se puede restablecer todo el cuadro, aunque, desde luego, con mayor dificultad. Sólo que debemos tratar de imaginarnos precisamente el cuadro íntegro y no confiar en que éste se formaría por sí solo, cambiando los cubos de lugar arbitrariamente y sin pensar.
Dmitri Ivanovich Mendeléiev poseía justamente esa facultad de pensar en forma sintética. Desde el principio mismo se imaginaba los elementos no como un conjunto de sustancias casuales, sino como partes del sistema único. En búsqueda de este sistema de los elementos no se limitó sólo a su propiedad física, el peso atómico (aunque basó sobre esta propiedad la clasificación), sino que tenía presente en la memoria e iba combinando todas sus propiedades restantes, a sea, las químicas.
En los tiempos de Mendeléiev se conocían 63 elementos. En la tabla que hizo en 1869, sólo 36 de éstos obedecían al principio de crecimiento de los pesos atómicos. Para 20 elementos este principio se infringió y para los 7 restantes Mendeléiev corrigió los pesos atómicos a base de su tabla. Creía de tal modo en el sistema que había descubierto que, basándose en éste, predijo las propiedades de los elementos aún no descubiertos y dejó para ellos lugares vacíos en la tabla. Estos elementos, efectivamente, pronto fueron descubiertos: el escandio, Nº 21, en 1875; el galio, Nº 31 en 1879; el germanio, Nº 32, en 1886; el renio, Nº 75, en 1925, y el tecnecio, Nº 43, fue sintetizado sólo en 1937.
Hablando en rigor, hay que reconocer que Mendeléiev descubrió su sistema no a base de los hechos, sino a despecho de los mismos. Parecía que se había figurado la tabla entera y tomaba en consideración únicamente los hechos que no le contradecían. Igual que en el cuadro misterioso “¡Encuentra al cazador!”, Mendeléiev, en el caótico amontonamiento de rayas, de repente vio los contornos claros del cuadro correcto. Habiéndolo distinguido una vez, no era posible ya pasarlo por alto en lo sucesivo, por más que se empeñe uno. (Esta propiedad de la psiquis humana es bien conocida de todos.) En este caso Mendeléiev reveló aquel rasgo de su inteligencia que distingue a un genio de un talento: una gran intuición, o sea, el raro don de la naturaleza que permite ver la verdad a través de la escoria de hechos incorrectos.
En el sistema periódico de los elementos de Mendeléiev halló por fin sosiego la antigua disputa entre las ideas de Aristóteles y Demócrito sobre la naturaleza de los elementos. Por la horizontal de la tabla cambia la propiedad inobservable del átomo de Demócrito: el peso atómico (cantidad); por la vertical, los elementos se agrupan lógicamente en familias con propiedades químicas análogas: la valencia, la reactividad, etc. Dichas propiedades son observables, influyen sobre nuestros órganos de los sentidos y son afines a las antiguas “cualidades” de Aristóteles.
En una ocasión Lagrange dijo: “¡Qué dichoso es Newton ya que el sistema del Universo se puede establecer una sola vez”. Mendeléiev estableció el sistema del mundo químico: también esto se puede hacer una sola vez. Por eso el nombre de Mendeléiev, al igual que el de Newton jamás será olvidado mientras exista la ciencia.
Explicación de la tabla
Al echar un vistazo a la tabla de Mendeléiev surge (y surgía siempre) la pregunta: “¿Qué es: un medio cómodo de recordar los elementos o la ley fundamental de la naturaleza?” A la mirada inteligente del químico la tabla le dice mucho, pero nosotros no tenemos ahora la posibilidad de hablar de todo esto. Trataremos sólo de comprender lo principal: si es la ley de la naturaleza, entonces:
¿Qué determina el orden de disposición de los elementos en la tabla?
¿En qué radica la causa de sus propiedades periódicas?
¿De qué depende la longitud de los períodos?
En el transcurso de medio siglo, desde Mendeléiev hasta Pauli, se intentaba contestar a estas preguntas. La tabla de los elementos se volvía a escribir reiteradamente, se cortaba y de nuevo se pegaba en el plano y en el espacio, por todos los medios posibles e imposibles. Más, como siempre, la causa del fenómeno se hallaba fuera de éste: sólo la física, después de crear la teoría del átomo, pudo explicar la tabla.
Como hemos visto, ya Mendeléiev sabía que el peso atómico determina sólo aproximadamente la disposición de los elementos en la tabla. No obstante, mediante un procedimiento que sólo él conocía, supo disponerlos en la tabla correctamente. Luego ya era fácil numerarlos por orden. Pero, ¿tiene semejante numeración sentido profundo? Es que con el mismo éxito podemos numerar los cubos de nuestro juego−mosaico infantil para que se pueda siempre y rápidamente restablecer el cuadro íntegro. Esto, desde luego, es cómodo pero no tiene sentido profundo, por cuanto los números de los cubos no están relacionados en modo alguno con lo que está representado en éstos.
¿Existe una profunda relación intrínseca entre las propiedades químicas del elemento y su numero ordinal (o sea, número atómico) en la tabla? ¿O es un indicio exterior y arbitrario, a semejanza del número ordinal de las casas en la calle? Si esto fuera realmente así, al descubrir cada elemento nuevo habría que cambiar la numeración de todos los elementos, lo mismo que se cambia la de las casas al construir edificios nuevos en una calle. En una palabra, ¿qué es el número atómico del elemento en la tabla: el medio cómodo de encontrarlo en esta tabla o su característica interna que le es propia independientemente de cualesquiera tablas? La historia se inclina hacia esta última suposición: en 100 años de existencia de la tabla, la numeración de los elementos no fue cambiada ni una sola vez.
Solamente después de los trabajos de Rutherford se logró descifrar esa estabilidad de la tabla. En el mismo año 1911, en que Rutherford publicó su modelo planetario del átomo, el holandés Van den Broek escribió para una revista alemana una nota breve, en la cual sugirió que:
el número atómico del elemento en la tabla de Mendeléiev es igual a la carga del núcleo de sus átomos.
Dos años más tarde, al estudiar los espectros de los rayos X de diferentes elementos, demostró esta hipótesis Henry Gwyn−Jeffreys Moseley (1887−1915), uno de los mejores discípulos de Rutherford. El trabajo de Moseley fue el principal acontecimiento en la física incluso en aquellos años que rebosaban de descubrimientos. Moseley no logró coronar su obra: el día soleado del 10 de agosto de 1915 fue muerto de un tiro en la cabeza en las trincheras de la península de Gallipoli en Grecia. Aquel día en la bahía de Suva en los Dardanelos el gran físico, vestido de uniforme de oficial de la compañía de zapadores, cayó víctima de la demencia universal.
¿En qué consiste la esencia y la importancia de sus descubrimientos?
En primer lugar de ellos se desprende que los elementos en la tabla están alojados correctamente.
Además, demuestran que todos los elementos están descubiertos ya a excepción de aquellos para los cuales en la tabla fueron dejados lugares vacíos.
Las afirmaciones tan categóricas poseen siempre una inexplicable fuerza de atracción, que adquiere valor especial al tratarse del sistema del mundo. Después de los trabajos de Moseley, el sistema de los elementos químicos fue, por fin, establecido definitivamente y quedaba sólo comprender sus particularidades.
La naturaleza se preocupó de ocultar lo más profunda−* mente posible a los ojos de los naturalistas sus propiedades principales: la carga del núcleo atómico está bien abrigada con una pelliza de electrones, siendo inaccesible a la medición por cualesquiera métodos químicos y la mayoría de los métodos físicos. Esta propiedad de los átomos fue sondeada sólo después de que empezaron a bombardearlos con tales proyectiles como las partículas a. Al mismo tiempo, precisamente esta propiedad tan profundamente oculta determina la estructura del átomo y todas las propiedades observadas de los elementos que se componen de estos átomos. Si queremos conocer el átomo como es debido, primero tenemos que llegar hasta su núcleo. (Como en el cuento de Koschéi el inmortal, personaje de los cuentos rusos, que poseía todos los tesoros y el secreto de la juventud eterna: en una alta montaña crece un roble; en el roble hay un arca; en el arca, un conejo; en el conejo, un pato; en el pato, un huevo; en el huevo, una aguja y en la punta de ésta, la vida y la muerte de Koschéi.)
En virtud de ciertas causas profundas que nosotros por el momento no conocemos bien, la carga del núcleo del átomo es unas dos veces menor que su peso atómico. Por eso, al disponer los elementos en orden creciente de sus pesos atómicos, los colocaremos más o menos correctamente también en orden creciente de las cargas de los núcleos de sus átomos. Mendeléiev, por supuesto, no sabía de la existencia de los núcleos, mas sintió que los átomos tenían alguna otra propiedad más profunda que el peso atómico y, por tanto, al alojar los elementos en la tabla, confiaba más en la intuición que en los pesos atómicos. Parecía que Mendeléiev echó un vistazo debajo de la capa electrónica de los átomos, contó allí las cargas positivas en el núcleo y luego atribuyó este número al elemento, llamándolo el número atómico. Por lo visto, este número es la característica intrínseca del elemento que, por supuesto, no depende de nuestra voluntad como, por ejemplo, el número de una casa en la calle. (Si prosiguiéramos nuestra analogía con el juego infantil de mosaico, se podría decir que en realidad todos sus cubos resultaron numerados. Sólo que esos números estaban ocultos en su interior.).
Ahora, por fin, se puede dar una definición exacta del elemento.
El elemento es una sustancia que se compone de átomos con igual carga del núcleo.
Nos falta aclarar lo último: ¿por qué el cambio monótono de la carga del núcleo de los átomos conduce a los cambios periódicos de sus propiedades químicas? En este caso cambian no sólo las propiedades químicas, sino también las físicas: el peso específico, la dureza e incluso el estado de agregación. Por ejemplo, los elementos con números atómicos 2, 10, 18, 36 son gases helio, neón, argón y criptón, denominados nobles por su incapacidad de entrar en reacciones químicas corrientes. Pero si la carga de los núcleos de estos átomos la aumentamos apenas en una unidad, obtendremos los elementos 3, 11, 19 y 37: metales alcalinos litio, sodio, potasio y rubidio, que por sus propiedades físicas y químicas no se parecen en modo alguno a los gases. vecinos. Por ejemplo, el sodio y el potasio entran tan fácilmente en reacciones químicas que no se puede guardarlos al aire libre porque se inflaman espontáneamente.
Por lo visto, la causa del cambio periódico de las propiedades de los elementos se debe buscar no en el núcleo, sino en la capa electrónica que lo rodea. El primer pensamiento que surge en este caso es que los electrones están dispuestos alrededor del átomo no desordenadamente, sino en niveles−capas. El comienzo de llenado de una nueva capa coincide con el comienzo de un nuevo período y precisamente en este instante cambian a salto las propiedades químicas de los elementos. Después de los trabajos de Bohr semejante idea parecía muy lógica y él mismo fue el primero en expresarla.
Sin embargo, las observaciones mencionadas no sugieren el método de calcular la longitud del período. A primera vista, la longitud de los períodos en la tabla cambia muy caprichosamente: en el I período hay dos elementos; en el II y III, ocho; en el IV y el V, dieciocho; en el VI, treinta y dos. Pero todavía en 1906, Johannes Rydberg notó que la serie de números 2, 8, 18 y 32 obedecía a la sencilla fórmula de 2n2. Sólo en 1924, Pauli, después de descubrir su principio de exclusión, logró explicar esta regularidad.
Es fácil comprender el hilo de los razonamientos de Pauli. En efecto, el movimiento del electrón en el átomo se describe con cuatro números cuánticos, de los cuales hemos hablado detalladamente en el capítulo anterior y los que recordaremos ahora una vez más:
- n es el número cuántico principal que puede tener valores 1, 2, 3... ;
- l es el número cuántico orbital que en el caso de n dado toma valores 0, 1,2,..., (n − 1);
- m es el número cuántico magnético; en los casos de n y l dados toma toda una serie de valores −l, − (l − 1), .... −1, 0, 1, ... (l − 1), l: en total 2l + 1 valores:
- S es el spin, que toma valores +½ y −½.
El principio de exclusión de Pauli dice:
En el átomo no pueden existir dos electrones que tengan iguales números cuánticos.
Por eso en la capa con el número atómico n puede caber sólo una cantidad limitada de electrones. Por ejemplo, en la primera capa caben solamente dos electrones. En efecto, si el número cuántico principal n = 1, para el momento orbital es admisible sólo el valor l = 0 y, por consiguiente, también el número cuántico magnético m = 0; el spin del electrón no depende de otros números cuánticos y puede tomar dos valores S = ½ y S = ½. De acuerdo con esto en el primer nivel cuántico pueden caber sólo dos electrones con números cuánticos: (n = 1; l = 0; m = 0; S = ½) y (n = 1; l = 0; m = 0; S = −½). Razonando del mismo modo podemos cerciorarnos de que en la segunda capa caben 8 electrones; en la tercera, 18 y, en general, en la capa con el número cuántico principal n caben 2n2 electrones. Es decir, el número de electrones en las capas completas de los átomos es igual al número de elementos en los períodos de la tabla periódica de Mendeléiev.
Para comprender más concretamente la causa de la aparición de estos números imagínese que debemos poblar un barrio habitable en el cual haya n casas numeradas con el número l = 0, 1, 2, ... (n − 1), con la particularidad de que en la casa con el número l hay solamente (2l + 1) apartamentos. Si en cada apartamento se prohíbe instalar más de dos inquilinos, en todo el barrio no cabrán más de 2n2 personas.
Cada período en la tabla de Mendeléiev comienza por un metal alcalino y termina por un gas inerte. Las propiedades químicas de estos elementos son muy diferentes. Ahora es fácil comprender también la causa de su diferencia. Los gases inertes −el helio, el neón, el argón, etc.− difieren de todos los demás elementos porque sus capas se hallan totalmente completas.
Los átomos de los metales alcalinos −el litio, el sodio, el potasio, etc., que en la tabla están situados tras los gases inertes− contienen un electrón en la capa sucesiva más alta. Estos electrones están ligados con el núcleo mucho más débilmente que los demás, razón por la cual los átomos de los metales alcalinos los pierden fácilmente, convirtiéndose en iones positivos de carga única:
Li+ Na+, K+, etc.
Por el contrario, a los átomos de flúor, cloro, bromo y otros les falta un electrón para completar su capa exterior hasta la de un gas noble. Por eso precisamente los halógenos adicionan tan gustosamente el electrón, formando iones negativos F−, Cl−, Br−, etc. Cuando los átomos de sodio y cloro se encuentran, aquél entrega su electrón exterior a éste y como resultado surgen iones Na+ y Cl− que se atraen formando moléculas NaCl, de las cuales se compone la sal común tan bien conocida.
De paso hemos logrado aclarar el sentido del concepto de valencia, tan difícil de definir por medios químicos: la valencia de un elemento en el compuesto es el número de electrones de su átomo que participan en la formación del enlace químico. Se nota fácilmente que la valencia junto con otras propiedades químicas se debe repetir periódicamente cada 2, 8, 18, 32 elementos al empezar a completarse cada capa sucesiva.
En el siglo pasado, los números 2, 8, 18, 32 provocaban perplejidad y fueron denominados “mágicos”. Intentaban explicarlos de diferentes modos, por ejemplo, recordando que el octaedro es el poliedro más resistente y que en la filosofía budista existe la doctrina de los ocho caminos del bien. Pero difícilmente alguien hubiese supuesto que para estos números existiera una explicación tan simple y racional.
Si Dalton, Lavoisier y Mendeléiev, todos los que en su tiempo consagraron la vida y las fuerzas al estudio del sistema de los elementos químicos, se hubieran visto aunque fuera por un período breve en nuestros tiempos, ellos, sin duda, habrían experimentado la perfecta alegría del saber puro que, por fin, fue logrado en la doctrina de los elementos. En vez de un fortuito juego de sustancias, respecto a las cuales ni siquiera se sabía siempre si eran elementos o mezclas, verían una armoniosa jerarquía de átomos: desde el hidrógeno hasta el kurchatovio.
Esta armonía la debemos a la mecánica cuántica, precisamente a la que ahora pasaremos a conocer.
* * * *
Átomos, núcleos, isótopos
Dios, al quinto día de la creación, al crear a “todos los animales, aves y peces” en su forma completa, probablemente, no sabía nada de los átomos o no quería entrar en tales detalles. Pero si antes quisiera preparar todos los átomos, lo más sencillo sería que fuera por el camino que propuso en su tiempo Prout: construirlos todos del átomo de hidrógeno.
Está claro, no obstante, que dos núcleos de hidrógeno (protones) al aproximarse se repelen, por eso la naturaleza inventó un tipo de partículas más: los neutrones, que junto con los protones pueden formar ya los núcleos estables.
La carga del neutrón es nula y la masa es casi exactamente igual a la del protón. Si se unen dos protones y dos neutrones, éstos forman un núcleo de helio muy estable (precisamente aquellas partículas a que utilizó Rutherford en sus experimentos). Es evidente que el átomo de helio pesa cuatro veces más que el de hidrógeno y por lo tanto su peso atómico es igual a 4. Dos electrones de helio ocupan la capa inferior con números cuánticos n = 1, l = 0, m = 0, S = +½ y −½.
Si al núcleo de helio se añaden un protón y un neutrón más obtendremos el núcleo de litio con el peso atómico 6. El tercer electrón del litio no cabe ya en la primera capa y va a parar a la capa siguiente con el número cuántico n = 2. Este hecho corresponde precisamente a que por el litio comienza el nuevo período de la tabla de Mendeléiev. En la capa con n = 2 caben 2n2= 8 electrones (2 electrones en la órbita n = 2, l = 0 y 6 electrones en las órbitas n = 2, l = 1, m = −1, 0, 1). Añadiendo paulatinamente al núcleo de litio protones y neutrones y a su capa, electrones, podremos construir de este modo consecutivamente todo el segundo período: desde el litio hasta el neón.
Pero aquí, por vez primera, chocaremos con un fenómeno nuevo. En efecto, sabemos con precisión que para obtener un núcleo de oxígeno se debe añadir al núcleo de litio 5 protones, por cuanto la carga del núcleo de litio es igual a tres, mientras que la carga del oxígeno, a ocho. Mas ¿cuántos neutrones se deben añadir en este caso? Resulta que unas veces 5 y otras 7. De acuerdo con esto el peso atómico del oxígeno a veces es igual a 16 y a veces a 18. Pero ¿qué quiere decir entonces la palabra “oxígeno”? ¿El oxígeno que respiramos? Ahora sabemos que es una mezcla natural de isótopos de oxígeno con pesos atómicos 16 y 18 que habiéndose formado una vez en la naturaleza es imposible separar por ningunos medios químicos, puesto que las propiedades químicas de los elementos dependen no de su peso atómico, sino sólo de la carga del núcleo de sus átomos y de las peculiaridades de la estructura de su capa electrónica. (Sólo ahora podemos apreciar como es debido la profundidad de la inteligencia de Mendeléiev, quien respetando el concepto de peso atómico lo trataba con sumo cuidado y, al distribuir los elementos en la tabla, confiaba más en su intuición que en el orden natural de los pesos atómicos.)
El término isótopo lo introdujo Frederick Soddy en 1912. Su traducción literal del griego significa “los que ocupan el mismo lugar” (en la tabla de Mendeléiev). Resultó que en la naturaleza cada elemento tiene varios isótopos y, a veces, muchos; por ejemplo, el hidrógeno tiene cuatro isótopos, y el hierro, diez.
El estaño y el plomo tienen el mayor número de isótopos: veintiséis cada uno. En total en la naturaleza se cuentan cerca de mil quinientos isótopos de diferentes elementos.
Después de descubrir los isótopos comenzaron a distinguir el “elemento puro” y el “mixto”.
“El elemento puro” es una sustancia que se compone sólo de un tipo de átomos: con la carga del núcleo y la masa iguales. Para designar tal elemento se escribe brevemente, por ejemplo: 8O16. Esto significa: oxígeno con carga 8 y peso atómico 16. Un “elemento mixto”, o sea, el elemento químico común y corriente es la mezcla natural de “elementos puros”.
Al descubrir los isótopos surgió un nuevo problema: ¿cómo medir ahora los pesos atómicos? Es decir, ¿con el peso de qué elemento se deben comparar ahora? Resultó que compararlos con el peso del átomo de hidrógeno era ya inconveniente y desde 1961 en el mundo entero se aceptó la escala de carbono, en la cual por unidad de la masa atómica se tomó 1/12 del peso del isótopo de carbono 6C12.
Gracias a los trabajos de Francis William Aston (1877−1945) y de otros muchos ahora sabemos ya medir los pesos atómicos con gran precisión. Por ejemplo, el peso atómico de hidrógeno 1H1 en la escala de carbono es igual a 1,00782522.
En la química un “elemento puro” o “mixto” no se distinguen ni siquiera por medio de los más sutiles métodos de análisis. Con más razón esto es inaccesible para los imperfectos sentidos humanos. Sin embargo, a veces esta diferencia se hace evidente para todos y para muchos, perniciosa. Los habitantes sobrevivientes de Hiroshima y Nagasaki recordarán para siempre la diferencia entre los innocuos isótopos de uranio y el isótopo 92U235, con el cual se había rellenado la primera bomba atómica.
Átomos y hombres
Por casualidad o no, pero es un hecho consumado: entre los científicos que establecieron el sistema de los elementos había muchos hombres interesantes.
Robert Boyle (1627−1691)
Robert Boyle era una persona extraordinaria. La filosofía de Francis Bacon con su doctrina del experimento como criterio fundamental de la verdad ejerció sobre Robert Boyle una influencia decisiva. Tal vez por eso fue él quien estableció una de las primeras leyes cuantitativas en la física, que se conoce ahora como la ley de gases de Boyle−Mariotte. Es curioso que por el estilo de su trabajo Boyle es más cercano a nosotros que a su época: él no escribía artículos, sino que los dictaba al secretario; no hacía experimentos personalmente, sino que los confiaba a su asistente (con el cual, dicho sea de paso, tuvo suerte: era Robert Hooke, que más tarde se hizo famoso).
Boyle era el decimocuarto hijo y el séptimo varón en una familia rica. Desde niño sufría de cálculos renales, enfermedad que, posiblemente, haya determinado su modo de vida. Boyle era soltero, profundamente religioso y, según testimonio de amigos que lo conocían en el transcurso de cuarenta años, jamás pronunciaba la palabra “dios” sin hacer una pausa devota. Durante 16 años (1661−1677) ejerció el cargo de presidente de la famosa Compañía de las Indias Orientales, preocupándose sobre todo de la actividad de los misioneros en las colonias. Una tercera parte aproximadamente de sus obras científicas fue dedicada a la teología.
Boyle en persona costeó las traducciones de la biblia a los idiomas turco, árabe, malayo e incluso al de los indios americanos.
Pero al mismo tiempo, Boyle era uno de los fundadores de la Sociedad Real y figuraba entre sus primeros miembros.
Era un hombre alto y flaco y hacia las postrimerías de su vida, pálido y demacrado. A pesar de su celebridad hacía una vida sencilla, era disciplinado, noble y extremadamente cortés. Cuando en 1680 le confirieron el título de par, rechazó este honor, por cuanto su conciencia no le permitió prestar el juramento que se requería en tales casos. Boyle murió en su cama, corrigiendo las pruebas de sus “Ensayos de la historia general del aire”.
John Dalton (1766−1844)
John Dalton nació el 5 de septiembre de 1766 en la familia de un modesto tejedor en Cumberland, al norte de Inglaterra. Cuando llegó el tiempo lo enviaron a la escuela de un poblado cercano. Al cumplir los 12 años, después de que el maestro de esta escuela se había retirado, el propio Dalton abrió una escuela, primero en su casa y luego en el edificio local de reuniones de la secta de los cuáqueros, donde enseñó durante dos años. El hecho de por sí era poco común, mas los comentarios y memorias del mismo no se conservaron.
Trabajó un año más en la granja y a la edad de 15 años fue a casa de su hermano mayor Jonathan. Junto con éste abrieron una escuela y enseñaban allí durante 12 años, hasta que en 1793 a John lo invitaron al Nuevo Colegio de Manchester, donde en el curso de otros seis años él enseñó las matemáticas y la física. Allí ingresó en la Sociedad Filosófica y Literaria de Manchester en la que presentaba informes científicos. El primero de éstos lo dedicó a la ceguera del color: enfermedad de la vista de la que él mismo padecía y que se conoce ahora bajo el nombre de daltonismo.
En Manchester Dalton vivió hasta el fin de su vida y falleció el 27 de julio de 1844, padeciendo de parálisis los últimos siete años.
Dalton procedía de una familia de cuáqueros, una de las sectas protestantes más severas. Tal vez, precisamente esta circunstancia haya agravado los rasgos naturales de su carácter. Llevaba una vida tranquila, su día jamás variaba: los vecinos, con una exactitud de minutos, sabían el tiempo cuando él por las mañanas salía para tomar lecturas del termómetro y barómetro. El día laboral de Dalton terminaba a las 9 de la noche. Después de la cena permanecía silencioso en el círculo familiar, fumando la pipa y sólo de vez en cuando intercalaba breves observaciones.
Los jueves por la tarde no iba al trabajo, sino a jugar a las bolas en la cancha contigua a la taberna “Perro y perdiz”.
Allí de repente perdía sus modales sobrios y pausados y, para el asombro de los espectadores, agitaba con aire muy excitado los brazos y tiraba las bolas con inesperado entusiasmo. Algunas apuestas moderadas, siempre calculadas exactamente, té y la invariable pipa finalizaban ese día.
Regresaba a casa a tiempo de comenzar las observaciones meteorológicas vespertinas. Los domingos, poniéndose el pantalón hasta las rodillas como usaban los cuáqueros, medias grises y botas con hebillas, asistía dos veces al oficio religioso, aunque en cuestiones de fe jamás manifestaba su opinión.
Casi no leía y a menudo se jactaba de que “podía cargar toda su biblioteca en la espalda y que incluso de estos libros no leyó ni siquiera la mitad”. “Como todos los autodidactas tenía menos desarrollado el deseo de conocer lo que habían hecho otros, que la firme seguridad en la certeza de lo descubierto por él mismo”, escribió de Dalton uno de sus biógrafos.
Sus propiedades humanas deprimían a los contemporáneos. “Su aspecto y modales eran repulsivos... tenía una voz chillona y acre, y el andar, rígido y torpe”: recordaba más tarde el hermano de Humphry Davy.
Más o menos la misma impresión producía Dalton en los miembros de la Sociedad Filosófica de Manchester, los que, no obstante, lo eligieron en 1817 presidente de la misma, gracias a sus méritos científicos. Hacia el final de su vida Dalton fue reconocido por doquier: en 1822 lo eligen miembro de la Sociedad Real y en 1830, uno de los ocho miembros extranjeros de la Academia de París, en sustitución de Humphry Davy que había fallecido un año antes.
Como siempre en tales casos, las generaciones siguientes son absolutamente indiferentes hacia los defectos personales del científico. Recuerdan sólo lo mejor de él: sus ideas. Seguramente en esto radica una de las causas del progreso humano.
Antonius Van den Broek (1870−1926)
Antonius Van den Broek fue jurista de profesión y se ocupaba de la ciencia después del trabajo. En el siglo XX esto ya de por sí era un hecho raro, aunque en general Van den Broek era una personalidad notable: se interesaba profundamente por la ciencia, mas no le gustaban las reuniones ni discusiones científicas; su filosofía de vida lo convirtió en vegetariano, mientras que su vestimenta y, en particular, las sandalias que llevaba pertenecían evidentemente a otra época.
Cuando a Rutherford le contaron de la hipótesis de Van den Broek, él con irritación observó que
“...sólo un aficionado puede permitirse manifestar por puro entretenimiento muchas conjeturas a la vez, sin tener para ello fundamento suficiente”.
Los vestigios de esa aversión se conservaron por largo tiempo y, hasta pasados muchos años, Rutherford expresaba perseverantemente el descontento cuando Bohr en sus trabajos sobre la teoría del átomo se refería a Van den Broek.
Capítulo 6
Teoría de Bohr desde el punto de vista de sus contemporáneos; Fenómeno, imagen, concepto, fórmula; Mecánica atómica de Heisenberg
Dentro de unos años los cosmonautas regresarán de Marte, trayendo consigo toneladas de película cinematográfica y probetas. Pero no en esto radicará el valor principal de su vuelo: también los robots podrían hacerlo. Los cosmonautas traerán impresiones. Les costará mucho exteriorizarlas, en primer lugar porque en el idioma terrestre no hay palabras que correspondan plenamente a todo lo que les sorprenderá.
Mas los cosmonautas superarán esta dificultad mancomunadamente ya durante el largo viaje de regreso: al hacer memoria de las recientes impresiones, se verán obligados a inventar para ellas nuevas palabras o combinaciones insólitas de palabras, puesto que de otro modo, sencillamente no podrán llegar a común acuerdo.
Las verdaderas dificultades comenzarán después de volver a la Tierra, cuando quieran compartir sus impresiones con los demás. Es que todos los que no hayan volado con ellos, interpretarán sus palabras en el sentido antiguo, a lo terrestre. Pasará mucho tiempo antes de que los oyentes asimilen las palabras nuevas y empiecen a atribuirles el mismo sentido que los cosmonautas.
Así sucede siempre tanto en la ciencia y el arte como en la técnica y la política. El significado de las palabras se determina por la tradición y la costumbre, mas su verdadero sentido se aclara sólo en el contexto. Al conocer fenómenos nuevos, el hombre los denomina con palabras viejas, pero da a éstas otro sentido, imposible de comprender si se desconoce el origen de los conceptos nuevos y sus nexos con los precedentes.
Esta tendencia a separar aunque sea de algún modo el significado necesario de las palabras del acostumbrado lleva a que en la ciencia aparezca la jerga, que provoca el descontento comprensible de los redactores literarios. Los diletantes en ciencia llegan a otro extremo: interpretan todas las afirmaciones de ésta al pie de la letra, ignorando el complejo sistema de convencionalismos que la rodea. Debido a ello, a cada paso se dan situaciones equívocas, graciosas para los físicos y enojosas para los diletantes.
A finales del siglo pasado y *a principios del actual los físicos descubrieron un mundo nuevo: el del átomo. Los había pasmado el caudal de los fenómenos, formas y regularidades nuevos. A toda prisa inventaron nombres para ellos, sin comprender en plena medida el sentido que se debía atribuirles. En busca de comprensión unívoca muchos físicos en general dejaron de confiar en palabras y creían sólo en ecuaciones. Eran “tiempos turbios” para la física, aunque precisamente entonces fueron descubiertos los principales hechos, en los cuales se basa hasta hoy día la ciencia sobre el átomo. Hasta ahora deseábamos conocer el mayor número de tales hechos. Llegó el momento en que trataremos de encontrar palabras para exponerlos correctamente.
Hemos comenzado el relato sobre la mecánica cuántica por la definición: la mecánica cuántica es la ciencia sobre la estructura y las propiedades de los objetos y fenómenos atómicos. En seguida resultó que no estábamos en condiciones de definir el concepto de “átomo”. Tampoco ahora podemos hacerlo unívocamente, aunque sabemos de este último mucho más que al principio. En la primera parte hemos examinado detalladamente cómo bajo la influencia de los experimentos, las imágenes especulativas se reemplazaban por el cuadro del átomo aunque más complejo y real, pero menos evidente.
A principios del siglo nadie creía ya en los átomos− bolitas sólidas, y de las ideas iniciales de Demócrito se conservaba sólo una: en la naturaleza existe el límite de divisibilidad de la materia, después del cual ésta se transforma, adquiriendo nuevas cualidades.
Los científicos demostraron paulatinamente que el átomo realmente existe, mas que no se parece en absoluto al átomo de Demócrito. Descubrieron que se compone del núcleo y electrones. Aclararon que puede emitir rayos. Establecieron que esta radiación está ligada al movimiento de los electrones en el átomo. Era necesario encontrar las leyes de este movimiento. Entonces inventaron la mecánica cuántica.
Niels Bohr fue el primero que comenzó a crearla y comprendió claramente que la constante de Planck h no era una hipótesis entretenida que ayudaba a explicar el espectro del cuerpo absolutamente negro, sino la realidad física que era necesario tener en cuenta al explicar todos los fenómenos atómicos. A base de esta idea Bohr formuló sus famosos postulados sobre el estado estacionario y el salto cuántico. Los postulados de Bohr contradecían toda la física anterior, sin embargo, implantaron un orden inesperado en el caos prístino de los nuevos hechos experimentales.
Mas la ciencia no cree en nada de buena fe, ni siquiera si son los postulados de Bohr. Había que rechazarlos o eliminar sus contradicciones. A continuación relataremos cómo se logró resolver este problema y construir la teoría consecuente de los fenómenos atómicos.
Teoría de Bohr desde el punto de vista de sus contemporáneos
En 1949 Albert Einstein recordaba la época de la creación de la mecánica cuántica con estas palabras:
“Todos mis intentos de adaptar las nociones teóricas de la física a los resultados nuevos sufrieron un fracaso completo. Tenía la sensación de estar ante un abismo y por ninguna parte veía terreno firme donde se pudiera edificar.
Siempre me parecía un milagro que esa base oscilante y llena de contradicciones fuera suficiente para permitir a Bohr, hombre de genial intuición y fino instinto, descubrir las principales leyes de las rayas espectrales y de las capas electrónicas de los átomos, incluyendo su importancia para la química. También ahora esto me parece un milagro. Es la suprema musicalidad en la esfera del pensamiento”.
Desde lejos siempre es mucho más fácil y seguro evaluar la importancia de los descubrimientos. Para los contemporáneos es un problema mucho más difícil: saben todavía muy poco para distinguir los méritos de la teoría de sus defectos. Los contemporáneos de Bohr, pese a todos los éxitos de su teoría, estaban profundamente insatisfechos.
Lo que ellos escribieron y dijeron en aquellos tiempos, para nosotros es raro y aleccionador.
“Si esto es justo, significa el fin de la física como ciencia” (A. Einstein, 1913).
“El átomo existe eternamente, nosotros sin duda alguna lo sabemos. Más ¿lo comprendemos? No, no lo comprendemos. Nuestra incomprensión la ocultamos bajo las condiciones cuánticas igualmente incomprensibles. El proceso de emisión de rayos es el acto de renacimiento del átomo destruido. Su mecanismo no lo comprendemos. Nuestra incomprensión la ocultamos de nuevo bajo la condición cuántica incomprensible: segunda hipótesis de Bohr... Todo este método de Bohr se basa en la cuantificación −proceso del pensamiento absolutamente ciego y poco lógico−, en la intuición formal”, por así decirlo (D. S. Rozhdéstvenski, 1919).
“La teoría de los cuantos se parece a otras victorias en la ciencia: durante meses les sonreímos, y luego años enteros lloramos” (H. Kramers, 1920).
“Las leyes de la cuantificación en su formulación actual, hasta cierto grado revisten carácter teológico, absolutamente inadmisible para un naturalista, de modo que muchos científicos se indignan con plena razón de esas Bauern−Regeln (leyes campesinas)” (P. Epstein, 1922).
“Estamos infinitamente distanciados de tal descripción del mecanismo atómico que permita seguir, por ejemplo, todos los movimientos del electrón en el átomo o comprender el papel de los estados estacionarios...
...La teoría de los cuantos se puede comparar con un medicamento que cura la enfermedad, pero mata al enfermo” (H. Kramers, H. Holst, 1923).
“¡Ahora la física de nuevo se metió en un callejón sin salida, en todo caso para mí es demasiado difícil, y yo preferiría ser cómico en el cine o algo por el estilo y no oír nada de la física!” (W. Pauli, 21, de mayo de 1925).
Incluso a Bohr “le entristecía y desesperaba” el estado de la teoría en aquellos tiempos.
El que no conoce en absoluto la estructura y los métodos de la física moderna difícilmente comprenderá este descontento unánime. Para darse cuenta de la causa de semejante descontento, es necesario aunque sea en rasgos generales imaginarse la lógica intrínseca de las ciencias naturales. Es una ocupación desacostumbrada y, quizás, poco fácil, mas absolutamente indispensable para llegar a comprender la mecánica cuántica.
En un manual de mecánica cuántica a una persona no ducha en la materia la asombra en primer lugar la abundancia de fórmulas y ecuaciones. Sin embargo, pronto se da cuenta de que es parte indispensable, aunque no la más difícil, de la ciencia sobre el átomo. Es mucho más difícil comprender qué se oculta tras las fórmulas o, como suele decirse en la física, “comprender el significado físico de las fórmulas”.
Estas dificultades no se deben exagerar, mas ya que realmente existen, es útil recordarlas. Su esencia radica en que muchas palabras a las que estamos acostumbrados desde la infancia, en la mecánica cuántica debemos emplearlas en un sentido insólito.
Fenómeno, imagen, concepto, formula
Todo conocimiento de la naturaleza comienza por sensaciones: el niño toca con la mano un caballo de madera,oye la voz de la madre, chupa el biberón, en una palabra, desde los primeros días de su vida entra en el mundo de los fenómenos que le hacen concebir imágenes propias. Para esos fenómenos e imágenes el niño por el momento no tiene siquiera nombres y sólo poco a poco va conociendo las palabras que les corresponden, así como empieza a comprender qué imágenes se ocultan tras las palabras de otras personas. Bastante pronto se da cuenta de que las mismas palabras engendran en diferentes personas distintas imágenes y, por último, descubre que existen palabras (o grupos de palabras) que no están ligadas directamente con las imágenes, aunque han surgido gracias a éstas. Son conceptos.
Los conceptos generalizan la experiencia colectiva, están privados intencionadamente de detalles inherentes a imágenes concretas y, por tanto, pueden servir de medio de comunicación entre diferentes personas.
Al desarrollarse, el niño comienza a pensar por medio de conceptos, comprende de repente que el “caballo de madera” es sólo uno de los “juguetes”, y el “agua” no es obligatoriamente el agua marítima, fluvial o la que sale de un grifo, sino simplemente agua. La facultad de abstraerse es el primer indicio del adulto y la condición indispensable de toda ciencia. De lo contrario la ciencia como tal se habría convertido en un conjunto desordenado de hechos.
Sin embargo, tampoco los conceptos son plenamente unívocos, aunque sea porque hacen concebir a distintas personas imágenes diferentes, lo que incluso en la vida cotidiana puede dar lugar a equívocos. En la ciencia esto es más peligroso todavía: se sabe que sus resultados pretenden al sentido objetivo y no deben depender de los caprichos de la imaginación u opiniones particulares. Por eso en la ciencia a cada concepto le corresponde un conjunto de símbolos y números, así como se dan reglas rigurosamente determinadas para operar con los mismos. Con esto se logra la comprensión unívoca de la ciencia que permite comunicarse a científicos de diferentes países y generaciones.
La relación:
fenómeno → imagen → concepto → fórmula
se puede representar esquemáticamente y explicar con el ejemplo del surgimiento del concepto de onda.
La gente que había observado diferentes fenómenos, olas en el mar y círculos que surgen al lanzar una piedra al estanque, la propagación de la luz y la vibración de la cuerda, concebía imágenes muy concretas. Poco a poco se dieron cuenta de que estos fenómenos diferentes tenían algo en común: todos están relacionados con cierto proceso periódico, cuyos rasgos característicos son los fenómenos de interferencia y difracción (de éstos hemos hablado detalladamente anteriormente). Así surgió el nuevo concepto de onda. Para que éste sea plenamente unívoco, le atribuyeron cuatro características: la amplitud A, la velocidad de la propagación v, la longitud de onda λ y la frecuencia ν.
Del mismo modo el concepto de partícula no presupone que uno en este caso conciba la imagen concreta de una bola de billar, perdigones o un grano de polvo. El físico se conforma con saber que una partícula es cierto objeto, cuya estructura interna no le interesa, pero que tiene la masa m, la velocidad v, el impulso p = mv y la trayectoria de movimiento que él puede observar.
La trayectoria es otro concepto nuevo que se debe aprovechar al definir el concepto de “movimiento de la partícula”. A primera vista, este proceso es infinito: para definir un concepto hay que aprovechar otro concepto, que también es necesario definir, etc. Sin embargo, no es así. En la física existen varias nociones fundamentales que se pueden definir sin alegar otros conceptos, o sea: señalando recetas exactas para medir las magnitudes que les corresponden. Tales son los conceptos: el tiempo t, la coordenada x, la carga e, etc.
La trayectoria de movimiento de la partícula está dada si en cada momento de tiempo t podemos señalar la posición de la partícula en el espacio, esto es, sus coordenadas x. Para esto es necesario medir o calcular las coordenadas x en los momentos de tiempo t. El primer problema lo resuelve la física experimental; el segundo, la física teórica. Pero este último se puede resolver sólo en el caso de que se conozcan las leyes físicas a las que obedece el movimiento de la partícula.
¿Qué es la ley física? Es la relación constante de fenómenos y magnitudes, anotada por medio de símbolos matemáticos en forma de ecuaciones. Para cada grupo de fenómenos existen sus leyes de movimiento: en la mecánica rigen unas leyes (las ecuaciones de Newton); en la electrodinámica, otras (las ecuaciones de Maxwell). Y todo ello tomado en su conjunto − conceptos, leyes físicas, fórmulas que los expresan y sus corolarios − se suele llamar ciencia exacta.

Toda ciencia perfecta no debe ser contradictoria desde el punto de vista lógico. Esto quiere decir, en particular, que cada concepto en los límites de la ciencia dada se puede emplear únicamente en un solo sentido rigurosamente determinado. Es difícil lograrlo, mas es necesario, por cuanto los científicos, al igual que todos los hombres, se comunican entre sí no por medio de fórmulas, sino por medio de palabras. Las fórmulas les hacen falta sólo para anotar unívocamente los resultados de las investigaciones.
Como ejemplo de una ciencia lógicamente perfecta, durante mucho tiempo servía la mecánica, que por su perfección fue llamada clásica. La mecánica es la ciencia sobre el movimiento de los cuerpos. Están sujetos a sus leyes casi todos los movimientos visibles en la naturaleza, ya sea el revoloteo de la mariposa o el vuelo de los planetas. Durante mucho tiempo, la perfección clásica de la mecánica hipnotizaba a los científicos y ellos intentaban explicar con su ayuda no sólo los movimientos mecánicos, sino incluso todos los demás movimientos en la naturaleza.
“Todos reconocen unánimemente que la tarea de la física es incluir todos los fenómenos de la naturaleza en el campo de acción de las sencillas leyes de la mecánica”
escribió Heinrich Hertz todavía en 1894, en el umbral de la revolución en la física.
El movimiento es uno de los conceptos más complejos en la física. La imaginación puede relacionar con él cualesquier imagen: desde el susurro de las hojas hasta el rinoceronte que corre. Pero incluso los cuadros más fantásticos de movimiento, accesibles a nuestra imaginación, contienen algo en común: la traslación de unos objetos respecto a otros al correr del tiempo. Después de introducir el concepto de trayectoria, la idea de movimiento se hace más determinada, probablemente porque en este caso de nuevo adquiera rasgos evidentes. Sólo que ahora esta evidencia es especial: la imagen emergente de ningún modo semeja una mariposa o un rinoceronte. Y, pese a todo, la evidencia relacionada con la idea de trayectoria es peligrosa. En efecto, el reiterado uso de la combinación de las palabras “la trayectoria de movimiento” conduce a que ambos conceptos sencillamente se dejen de distinguir, aunque coinciden sólo para un tipo de movimientos: los mecánicos. Mas debido a sus condiciones de desarrollo y educación, al hombre le cuesta trabajo imaginarse otro movimiento salvo el mecánico y trata de interpretar todos los demás tipos de movimiento también por medio del concepto de trayectoria. Lógicamente, no lo logra, por ejemplo, intentando comprender los movimientos eléctricos. Desde luego, se puede imaginar la línea de transmisión de alta tensión o el teléfono interurbano y suponer que los cables son precisamente las “trayectorias” de las señales eléctricas, pero semejantes imágenes carecen de sentido real: las ondas de las señales eléctricas no son un líquido que fluye por los cables.
Es más difícil todavía definir el concepto de movimiento en la mecánica cuántica. Más aún: precisamente el día en que se logró definir este concepto de un modo no contradictorio puede considerarse la fecha de nacimiento de la mecánica cuántica moderna.
Mecánica atómica de Heisenberg
Cuando pasó el entusiasmo de los primeros éxitos de la teoría de Bohr, todos de súbito comprendieron claramente la sencilla verdad: el esquema de Bohr es contradictorio. Era un hecho consumado que explicaba el pesimismo de Einstein, lo mismo que la desesperación de Pauli.
Los físicos se iban convenciendo cada vez más de que el electrón al moverse en el átomo no obedecía a las leyes de la electrodinámica: no cae en el núcleo y ni siquiera emite si el átomo no está excitado. Todo esto era tan insólito que no cabía en la cabeza: el electrón que “debía su origen” a la electrodinámica, de repente desobedecía el control de sus leyes. Al emprender cualquier intento de hallar una salida lógica de semejante círculo vicioso, los científicos llegaban siempre a la conclusión: el átomo de Bohr no puede existir.
Sin embargo, a la naturaleza la tienen sin cuidado nuestras teorías lógicas: los átomos son estables, pese a toda lógica y, como sabemos, existen eternamente. Si las leyes de la electrodinámica no pueden garantizar la estabilidad del átomo, tanto peor para ellas: esto significa que el movimiento del electrón en el átomo obedece a algunas leyes diferentes.
Posteriormente resultó que los postulados de Bohr eran una feliz suposición sobre las leyes desconocidas a la sazón, pero fundamentales, que algo más tarde se llamarían leyes de la mecánica cuántica.
La mecánica cuántica es la ciencia sobre el movimiento de los electrones en el átomo. Al principio se llamaba precisamente la mecánica atómica. Werner Karl Heisenberg fue el primero a quien le cayó en suerte crear esta ciencia.
En primavera de 1925, a invitación de Bohr, Heisenberg vino a Copenhague desde Múnich, donde recientemente se había graduado en la Universidad bajo la dirección de Sommerfeld. En Dinamarca se vio en seguida en el ambiente de disputas científicas, entre gente para quienes la física llegó a ser lo esencial en su vida. Medio año transcurrió en trabajos e infinitas discusiones siempre sobre el mismo tema: ¿Por qué el electrón −objeto de la electrodinámica− no obedece a sus leyes en el átomo, y en qué radica la causa de la asombrosa fuerza de los postulados ilógicos de Bohr? Y, por último, ¿qué significa en este caso el concepto mismo de “movimiento”?
Llegó el verano. En junio, Heisenberg se enfermó y fue a descansar a la isla de Helgoland en el Mar del Norte. No logró su propósito porque allí de súbito comprendió la sorprendente verdad: el movimiento del electrón en el átomo no se puede imaginar como el movimiento de una bolita en la trayectoria porque el electrón no es bolita, sino algo más complejo, y es imposible seguir el movimiento de este “algo” con la misma facilidad que el de una bola de billar. Si esta conjetura es correcta, intentando seguir la trayectoria del electrón en el átomo, hacemos a la naturaleza preguntas ilícitas a semejanza de las que hacían en la antigüedad: “¿Sobre qué se sostiene la Tierra?”, “¿Dónde se halla su límite?” Y algo más tarde: “¿Dónde están las partes superior e inferior de la Tierra?”
Heisenberg afirmaba: las ecuaciones por medio de las cuales queremos describir el movimiento en el átomo no deben contener magnitudes algunas, salvo las que se pueden medir en la práctica. Y de los experimentos se desprendía: el átomo es estable, se compone del núcleo y electrones y puede emitir rayos al sacarlo del estado estacionario. Estos rayos tienen la longitud de onda rigurosamente definida y, dando crédito a Bohr, surgen durante el salto del electrón de una órbita estacionaria a otra. En este caso el esquema de Bohr no aclaraba qué le pasaba al electrón en el momento del salto, por así decirlo, “en vuelo” entre dos estados estacionarios. Pero todos, inclusive el propio Heisenberg, por costumbre trataban de obtener respuesta precisamente a esta pregunta. Mas en cierto momento Heisenberg vio claramente: el electrón nunca se halla “entre” los estados estacionarios, ¡sencillamente no tiene tal propiedad!
¿Y qué propiedad tiene, pues? Por el momento Heisenberg no sabía siquiera cómo llamarla, mas estaba convencido: era algo que debía depender solamente de a dónde pasó el electrón y de dónde.
Hasta el presente, partiendo de las ecuaciones de la electrodinámica, todos intentaban hallar la trayectoria hipotética del electrón en el átomo, que depende continuamente del tiempo y que se puede indicar por una serie dé números x1, x2,x3, ..., que marcan la posición del electrón en los momentos de tiempo t1, t2,t3, ... Heisenberg afirmaba: en el átomo no existe semejante trayectoria, y en vez de la curva continua X(t) existe una serie de números discontinuos Xnk, cuyos valores dependen de los números n y k de los estados inicial y final del electrón.
Esta afirmación importante y bastante compleja se puede explicar mediante una sencilla analogía: imagínese que ante usted se halla un tablero de ajedrez por el cual se arrastra una mosca. Si se quiere, se puede seguir muy detalladamente su camino, marcando en cada momento de tiempo t su posición x. Guiándose por estas mediciones, luego se podrá trazar fácilmente la curva X(t), es decir, la trayectoria de movimiento de la mosca. Si uno no tiene tal deseo, puede limitarse a señalar las casillas que recorrió la mosca en su camino. Esto también proporcionará alguna información acerca de su desplazamiento, mas se sobreentiende que desde el punto de vista de la mecánica clásica tal descripción será incompleta.
Ahora imagínese que usted juega ajedrez en el mismo tablero y ha decidido, por ejemplo, hacer la jugada tradicional e2 − e4. En este caso el resultado de su jugada no depende en absoluto del camino por el que haya movido el peón. Eso está claro: las reglas de ajedrez no dependen de las leyes de la mecánica y por lo tanto no necesitan el concepto de trayectoria.
Heisenberg se dio cuenta de que las “reglas del juego atómico” tampoco requerían conocer la trayectoria. De acuerdo con ello presentó el estado del átomo como un infinito tablero de ajedrez, en cada casilla del cual estaban escritos los números Xnk. Es lógico que los valores de estos números dependen de la posición de la casilla en el “tablero atómico”, o sea, del número n de la línea (estado inicial) y del número de la columna k (estado final), en la intersección de las cuales se halla el número Xnk.


A nadie le asombra el hecho de que la anotación de una partida de ajedrez permita repetirla incluso muchos años más tarde. Por supuesto, en este caso no llegaríamos a saber cuánto tiempo había durado realmente, qué sentían entonces los ajedrecistas y cómo precisamente movían los peones y las figuras. Mas esto no tiene importancia, puesto que nos interesa sólo el juego de por sí.
Del mismo modo, si conocemos los números Xnk, esa anotación peculiar del “juego atómico”, conocemos del átomo todo lo necesario para predecir sus propiedades observables: el espectro del átomo, la intensidad de sus rayas espectrales, el número y la velocidad de los electrones arrancados al átomo por los rayos ultravioletas, así como muchas otras cosas.
Los números Xnk no pueden llamarse coordenadas del electrón en el átomo, porque las reemplazan o, como empezaron a decir más tarde, las representan. Mas al principio ni siquiera el mismo Heisenberg comprendía el significado de estas palabras.
Efectivamente, en vez de la tabla de los números {Xnk} con el mismo éxito se puede dibujar todo lo que se quiera, digamos, una flor, y decir que precisamente ésta representa el movimiento del electrón en el átomo. Pero muy pronto, con la ayuda de Max Born (1882−1970) y Pascual Jordán, se logró comprender que la tabla de los números no era simplemente una tabla, sino una matriz.
¿Qué significa esta palabra? Las matemáticas operan con magnitudes y símbolos, y cada uno de estos últimos obedece a sus propias reglas de operación. Por ejemplo, los números simples se pueden sumar y restar, multiplicar y dividir sin que el resultado de estas operaciones dependa del orden en que las realicemos: 5 + 3 = 3 + 5 y 5 − 3 = 3 − 5.
Pero en las matemáticas hay objetos más complicados: números negativos y complejos, matrices, etc. Las matrices son tablas de magnitudes de tipo para las cuales existen operaciones de adición y multiplicación propias, rigurosamente determinadas.
En particular, el producto de dos matrices depende del orden de multiplicación, y
{Xnk} ∙ {Pnk} ≠ {Pnk} {Xnk}
Esta regla puede parecer rara y sospechosa, mas no es nada arbitraria. En realidad, precisamente es la que distingue las matrices de otras magnitudes, y no tenemos derecho de cambiarla a nuestro antojo, porque en las matemáticas también existen sus leyes inmutables, que no dependen de la física ni de cualesquiera otras ciencias y en el idioma de los símbolos fijan todas las posibles relaciones lógicas en la naturaleza. Además, no se sabe con antelación si todas estas relaciones se realizan efectivamente.
Desde luego, los matemáticos conocían las matrices mucho antes de Heisenberg y sabían operar con ellas. Sin embargo, para todos resultó una gran sorpresa que estos objetos raros con propiedades extrañas correspondían a algo real en el mundo de los fenómenos atómicos. El mérito de Heisenberg y de Born consiste precisamente en que ellos superaron la barrera sicológica y descubrieron la correspondencia entre las propiedades de las matrices y las particularidades del movimiento de los electrones en el átomo, fundando con ello la nueva mecánica atómica, cuántica, matricial.
Es atómica, porque describe el movimiento de los electrones en el átomo.
Es cuántica, puesto que el papel principal en esta descripción lo juega el concepto de cuanto de acción h.
Es matricial, porque el aparato matemático necesario para ello son las matrices.
En la nueva mecánica a cada característica del electrón, la coordenada x, el impulso p y la energía E, les correspondían las respectivas matrices {Xnh}, {Pnk} y {Enk} y para estas últimas (y no para los números) se anotaban las ecuaciones de movimiento, conocidas de la mecánica clásica. A continuación sólo había que procurar que todas las operaciones con las magnitudes {Xnh}, {Pnk}, {Enk} no infringieran las reglas matemáticas.
Heisenberg estableció incluso algo más: aclaró que las matrices mecanocuánticas de la coordenada {Xkn} y del impulso {Pnk} no eran cualesquiera matrices, sino solamente aquellas que obedecían a la relación conmutativa (o de permutación):
{Xnh} ∙ {Pnk} − {Pnk} ∙ {Xnh} = iħ
donde i = √-1, ħ = h/2π
En la nueva mecánica esa relación de permutación desempeñaba el mismo papel que la condición de cuantificación de Bohr en la mecánica vieja. Y lo mismo que las condiciones de Bohr destacaban las órbitas estacionarias entre la serie de todas las posibles, la relación conmutativa de Heisenberg escogía entre el conjunto de todas las matrices sólo las mecanocuánticas.
No es casual que en ambos casos, tanto en las condiciones de cuantificación de Bohr como en las ecuaciones de Heisenberg, necesariamente esté presente la constante de Planck h. Como veremos más adelante, ésta sin falta forma parte de todas las ecuaciones de la mecánica cuántica, y por ese indicio se puede distinguirlas infaliblemente de todas las demás ecuaciones.
Las nuevas ecuaciones que descubrió Heisenberg no se parecían a las de la mecánica ni a las de la electrodinámica y por eso de ningún modo podían infringirlas.
Partiendo de esas ecuaciones el estado del átomo está plenamente dado si se conocen todos los números Xnk o Pnk, es decir, si se conocen las matrices {Xnh} o {Prh}. Además, la estructura de estas matrices es tal que el átomo en estado no excitado no irradia.
Fíjense: en nuestros razonamientos ni una sola vez hemos aprovechado el concepto de «movimiento del electrón en el átomo». Es que ahora sencillamente no es necesario.
En opinión de Heisenberg el movimiento no es traslación del electrón−bolita en alguna trayectoria alrededor del núcleo.
El movimiento es el cambio del estado del sistema en el tiempo, que se describe por medio de las matrices {Xnk} y {Pnk}.
Junto con los problemas acerca del carácter del movimiento del electrón en el átomo desapareció también por sí solo el problema de la estabilidad del átomo. Desde el nuevo punto de vista, en un átomo no excitado el electrón está en reposo y, por tanto, no debe irradiar.
La teoría de Heisenberg estaba exenta de contradicciones intrínsecas, lo que tanta falta le hacía al esquema de Bohr. Al mismo tiempo, llevaba a iguales resultados que las reglas de cuantificación de Bohr. Además, con su ayuda se logró por fin demostrar que la hipótesis de Planck sobre los cuantos de radiación E = hν era el resultado simple y natural de la nueva mecánica.
Se puede seguir tratando de exponer sin fórmulas los efectos de la mecánica de Heisenberg. Mas esto sería tan antinatural como el intento de transmitir la música por medio de palabras.
Para comprender a fondo la mecánica cuántica es necesario estudiar las matemáticas, aprender a operar con las matrices, en una palabra, se debe dominar el oficio de físico.
Las matrices no tienen nada de místico o inconcebible: es considerablemente más fácil estudiarlas que, digamos, aprender el latín. Pero, tal vez, no valga la pena hacerlo en un autobús. Las matrices, al igual que la música, se deben estudiar intencionadamente. De otro modo, un desagradable dejo de conocimientos mal asimilados puede amargar incluso el placer que está al alcance de todos: sin fórmulas ni cálculos sentir la belleza de las imágenes y la perfección de los conceptos de cualquier ciencia profunda.
Los físicos acogieron con gran alivio la aparición de la mecánica matricial de Heisenberg: «La mecánica de Heisenberg me ha devuelto la alegría de vivir y la esperanza. Aunque ella tampoco dé la solución del enigma, creo que ahora de nuevo se puede avanzar», escribió Pauli el 9 de octubre de 1925.
El mismo Pauli pronto justificó su fe. Al aplicar la nueva mecánica al átomo de hidrógeno, obtuvo las mismas fórmulas que Niels Bohr a base de sus postulados. Por supuesto, en este caso surgieron nuevas dificultades, mas eran ya contrariedades de crecimiento y no la desesperación de hallarse en un atolladero.
* * * *
Fundamento de la física
Los conceptos básicos de la física, la longitud, el tiempo, la masa, la carga, etc., no se pueden definir unívocamente por medio de palabras debido a dos razones: primero, esos conceptos son primarios y no se reducen a nada más simple; segundo, la física es una ciencia cuantitativa, y por tanto los conceptos es necesario relacionarlos inmediatamente con los números. Existe un solo método para que esos conceptos sean unívocos: dar la receta exacta para medir las magnitudes que les corresponden.
Habíamos definido ya el concepto de «longitud»: 1 m es la longitud en la que caben 1650763,73 ondas de la raya anaranjada del espectro del Kr−86 (el isótopo de criptón con el número de masa 86) en el vacío. La raya espectral tomada por el patrón corresponde al paso del electrón en el átomo de criptón entre sus niveles 5d y 2p. El metro determinado de este modo es igual aproximadamente a 1/40000000parte del meridiano de París, aceptada al principio, en 1799, por el patrón de la longitud.
La unidad de la masa de 1 kg se determina como la masa del cilindro de platino e iridio de forma especial (su altura de 39 mm es igual al diámetro de su base), que fue hecho en 1789. Esta masa coincide aproximadamente con la de un litro de agua destilada a la temperatura de 4 ºC.
Para determinar la unidad de tiempo se debe aprovechar algún proceso cíclico estable, por ejemplo, la revolución de la Tierra alrededor del Sol. 1 segundo es 1/31556925,9747 parte del año tropical, equivalente al intervalo de tiempo entre dos posiciones iguales de la Tierra respecto a las estrellas. No obstante, debido a la precesión del eje terrestre y a otras perturbaciones, la duración del año tropical cambia paulatinamente (0,5 s en un siglo), por lo tanto se tomó por el patrón la duración del año 1900, o más exactamente, el que comenzó el 31 de diciembre de 1899, a las 12 del día.
En el curso del tiempo, sin embargo, se convencieron de que la unidad de tiempo, igual que la de longitud, era mejor determinarla a base de mediciones espectroscópicas, puesto que hasta ahora es la esfera más exacta de la física. En 1967, la XIII Conferencia General de Pesas y Medidas dio una nueva definición del segundo, de acuerdo con la cual 1 s equivale a 9.192.631.770 períodos de radiación correspondiente al paso del electrón entre dos niveles superfinos del estado fundamental del isótopo de cesio con el número de masa 133 (Cs−133).
El paso a los patrones de longitud y de tiempo atómicos era inevitable no sólo porque la espectroscopía es la rama más exacta de la física. Se trata de que los patrones atómicos son extraordinariamente estables: no dependen de la temperatura ni de la presión, ni siquiera de las catástrofes cósmicas, lo que no se puede decir de los patrones aceptados originariamente. (Por ejemplo, «el metro patrón» se guarda bajo una campana de vidrio a tempera− tara constante en una caja fuerte, en un profundo sótano, cuyas tres llaves guardan tres funcionarios distintos, así como con otras precauciones.) Peor todavía están las cosas en cuanto al segundo. En efecto, si al sistema solar lo atraviesa de repente algún cuerpo celeste, el período de revolución de la Tierra alrededor del Sol cambiará irreversiblemente con lo cual cambiará también la duración del segundo. Nada por el estilo le amenaza a los patrones atómicos: son estables e invariables, al igual que el átomo en cuyas propiedades se basan.
Las tres magnitudes, el metro (m), el kilogramo (kg) y el segundo (s), forman parte del sistema de unidades SI y bastan para describir todos los movimientos mecánicos. La teoría electromagnética exige la medición de otras dos magnitudes fundaméntales: la carga e y la velocidad de la luz c. Y para describir los fenómenos atómicos es necesario conocer también la magnitud de la constante de Planck h.
Para determinar con exactitud las constantes físicas fundamentales, en 1875 fue creada la Oficina Internacional de Pesas y Medidas que una vez cada seis años convoca conferencias generales. En éstas se estipulan cuidadosamente todos los pormenores de las condiciones en que transcurren las mediciones: la temperatura, la presión, la altura sobre el nivel del mar, etc. No menos escrupulosamente se enumeran todas las piezas de los instrumentos para medir las magnitudes patrón.
Señalemos una importante particularidad de semejantes mediciones: sólo en casos raros se logra determinar una magnitud aislada independientemente de otras. Para medir las demás magnitudes es necesario utilizar las leyes de la física. Por ejemplo, si la velocidad v de la partícula es constante, se puede determinarla midiendo la distancia ∆x, que ella recorre en el tiempo ∆t:
v = ∆x/∆t
Es un simple ejemplo de que todas las constantes fundamentales en cierto sentido están relacionadas. En la física existe una parte especial y bastante complicada, que tiene por objeto determinar de manera no contradictoria todo el conjunto de estas constantes, teniendo en cuenta al mismo tiempo todos los datos de sus mediciones.
Pero el problema más difícil es el de los límites de la aplicación de los conceptos definidos de tal modo.
Es fácil darse cuenta de que las unidades de medida− el metro, el kilogramo y el segundo − fueron elegidas de modo que el hombre pueda imaginárselas fácilmente puesto que son conmensurables con sus dimensiones. En efecto, 1 m es la altura de un niño de 5 años; 1 kg es el peso de una hogaza de pan; 1 s es un latido del corazón. ¿Conservan esos conceptos su sentido antiguo al aplicarlos a distancias, masas e intervalos de tiempo muy grandes o muy pequeños?
Por el momento no existe una respuesta general a esta pregunta. Sin embargo, hemos tenido la oportunidad de cerciorarnos de que al electrón ya no se puede aplicar el concepto de dimensión. En la teoría del átomo (en la cual el concepto de “movimiento” hubo que reemplazarlo por otro nuevo) los antiguos conceptos de “longitud”, “masa” y “tiempo” conservan todavía su fuerza. Esto significa que, por lo menos, las distancias de 1010 m, las masas de 10−27 kg y los intervalos de tiempo de 10−17 s se pueden interpretar todavía en su sentido corriente.
Un problema análogo surge también en la astronomía al tratar de comprender las enormes distancias hasta las galaxias, así como sus masas. Quizás más difícil que en la teoría de las partículas elementales. En efecto, nadie puede afirmar despreocupadamente que comprende en plena medida las palabras “mil millones de años luz”. Formalmente, todo es al máximo sencillo: la distancia que el rayo de luz recorre en 109 años, es decir, la distancia de 109∙3,15∙107s 3∙108 m/s = 1025 m. Pero ¿cómo comprender o, por lo menos, percibir qué se oculta en realidad iras este símbolo? A guisa de comparación recordemos que el rayo de luz recorre la distancia desde la Tierra hasta el Sol de 1,5∙1011 m en “tan sólo” 8 minutos; hasta la estrella próxima, α de Centauro, en 4,35 años y hasta el centro de nuestra Galaxia, en 30.000 años. En verdad Pascal tiene razón: “El hombre está en suspenso entre dos infinidades”.
Historia del primer metro
En los años 1788 y 1789, muchas ciudades de Francia se dirigieron al gobierno solicitando introducir el sistema único de medidas a fin de acabar con los abusos. Talleyrand (entonces obispo de Autun) planteó esta cuestión ante la Asamblea Nacional. Fue creada una comisión de la Academia Francesa, integrada por Borda, Lagrange, Laplace, Monge y Condorcet, que recomendó tomar por unidad de longitud alguna parte del ecuador o del meridiano terrestres, según la propuesta del ingeniero geógrafo Bonne. El 30 de marzo de 1791, la Asamblea Nacional dio el nombre de metro a la diezmillonésima parte del cuadrante del meridiano terrestre. Poco tiempo después, Méchain en España y Delambre en Francia, iniciaron la medición del arco del meridiano comprendido entre Dunkerque y Barcelona. Eran tiempos intranquilos: la Gran Revolución Francesa estaba en desarrollo, hacía poco que habían ejecutado al rey. En las tierras de los sansculottes (los sin calzones o culotes), donde tenía que trabajar Delambre, muchos campanarios estaban destruidos y había que construir pirámides de tablas y revestirlas con lienzo blanco. En contra de ello se sublevaron los campesinos de los alrededores: el color blanco era el símbolo de poder real. Hubo que ribetear el lienzo con franjas azul−celeste y rojo.
En la España devota, donde trabajaba Méchain, había campanarios a discreción, pero en ellos sencillamente no dejaban entrar, acusando a los científicos de sacrilegio. Además, todos en la vecindad estaban asustados por la peste y por eso prohibían a Méchain desplazarse libremente de un lugar a otro, obligándolo a humedecer todos sus papeles con vinagre y creándole un sinnúmero de otras pequeñas obstrucciones. Quebrantado y enfermo Méchain presentó la dimisión, mas falleció antes de retirarse...
Arago y Biot, miembros de Academia que prosiguieron sus trabajos, fueron más afortunados: les ayudaba el gobierno, los protegían grandes obispos e incluso un famoso caudillo de bandidos. Al terminar los trabajos, Biot se marchó a Francia, justamente en vísperas de la invasión de las tropas francesas en España. Arago inmediatamente fue apresado; no cabían dudas, él fue quien dejó señales en las cimas para luego, guiándose por las mismas, hacer pasar el ejército francés. En el cautiverio Arago, leyendo revistas españolas, se enteró de que él fue ejecutado y recibió la muerte valientemente, como le correspondía a un cristiano.
Sin embargo, poco después Arago se escapa a Argelia, donde se embarca con rumbo a Marsella. Mas por el camino del barco se apoderan los corsarios españoles y de nuevo lo trasladan de una cárcel española a otra junto con toda clase de gentuza. Pero Arago tuvo suerte: en el mismo barco, un soberano de África enviaba de regalo a Napoleón dos tigres africanos. El soberano amenazó a España con guerra, el barco fue rescatado y los cautivos, puestos en libertad, en la misma embarcación se dirigieron a Marsella. Pero el barco se había extraviado y fue a parar a Bougie. De allí Arago volvió de nuevo a Argelia, después de numerosas aventuras atravesó a pie Kabilia, donde lo arrestaron otra vez amenazando con encarcelarle, pero, al fin, le permitieron regresar a Francia. Lo más asombroso es que después de todas esas malandanzas interminables, los apuntes cosidos entre la ropa e incluso los instrumentos quedaron intactos.
A base de las mediciones de Méchain y Delambre, el hábil mecánico Étienne Lenoir hizo el patrón del metro, ahora bien conocido de todos, y por la ley del 25 de junio de 1800 la nueva unidad de longitud fue introducida en uso común. “De todas las buenas obras que guardaremos en la memoria sobre la Revolución Francesa, ésta es la que menos nos ha costado...” − escribió más tarde Delambre en su informe de 1806.
Capítulo 7
Louis de Broglie; Ondas de materia; Analogía óptica y mecánica; Mecánica ondulatoria de Schrödinger
A la edad de 23 años, el oficial húngaro János Bolyai descubrió la geometría no euclidiana y gozaba de ello hasta que supo que en cierto lugar, en la frontera entre Asia y Europa, Nikolai Ivanovich Lobachevski había publicado un trabajo sobre la misma geometría unos años antes. Entonces su vida se convirtió en una pesadilla: por doquier veía a espías y echadizos, se volvió brusco y desconfiado e inculpaba a todo el mundo, incluso a su padre que había consagrado la vida al mismo problema. Seguramente, Farkas Bolyai no era tan genial, pero sí, más humano y sabio que su hijo. A la hora de morir le dijo: “No te desesperes: al llegar la primavera todas las violetas florecen a la vez”.
En la ciencia sobre el átomo, semejante primavera llegó en 1925. Tan sólo en tres años surgió, floreció e incluso dio los primeros frutos la nueva ciencia: la mecánica cuántica. Desde aquel tiempo muy poco ha cambiado en ella: así inesperadamente aparece en el océano una isla volcánica y luego durante siglos permanece invariable. Por supuesto, tanto la isla en el océano como la primavera son una sorpresa sólo para quienes no habían seguido las sacudidas subterráneas y pasado indiferentes ante los jugosos brotes. En la primera parte del libro hemos intentado precisamente captar estas sacudidas sordas y distinguir el movimiento imperceptible de los jugos que fueron el inicio de la primavera de la mecánica cuántica.
De hecho la primavera llegó cuando Werner Heisenberg, rompiendo el hielo de los prejuicios que habían sepultado los fundamentos petrificados de la física, dio una nueva vida al concepto de movimiento y fundó la nueva mecánica matricial. Fue la primera teoría consecuente del átomo que explicaba su estabilidad y que habían buscado durante tanto tiempo. Pero (¡en plena correspondencia con las leyes de la primavera!) sólo cuatro meses más tarde, Erwin Schrödinger creó una mecánica más, la ondulatoria, que explicaba igualmente bien la estructura del átomo, pero no se parecía en absoluto a la mecánica matricial.
Luego sabremos que tanto la mecánica matricial como la ondulatoria son sencillamente diferentes formas de anotación de la única mecánica cuántica: la ciencia que trata de la estructura de los átomos. Pero antes tenemos que comprender en qué radica la esencia de la mecánica ondulatoria y asimilar las sencillas ideas que le dieron origen.
Louis de Broglie
Heisenberg nació en 1901. Cuando estaba por terminar el colegio, su patria Alemania estaba en guerra con todo el mundo: con Rusia, patria de Mendeléiev; con Inglaterra, patria de Rutherford y también con Francia, donde en 1892 nació el príncipe Louis Víctor de Broglie, descendiente de reyes y futuro laureado del Premio Nobel. En aquel tiempo De Broglie no se ocupaba dé la física, sino peleaba y sólo después de la guerra empezó a trabajar en el laboratorio de su hermano mayor Maurice de Broglie, quien estudiaba los espectros de los rayos X de los elementos, debido a lo cual en su laboratorio conocían bien los trabajos de Bohr.
A Louis de Broglie, igual que a muchos en aquella época, le interesaba la misma cuestión: “¿Por qué son estables los átomos? ¿Por qué el electrón no irradia en las órbitas estacionarias?”

El primer postulado de Bohr distinguía estas órbitas de todas las posibles por la condición cuántica que relacionaba el radio de la órbita r, la velocidad v y la masa m del electrón con el número entero de los cuantos de acción h:

De Broglie quería encontrar unos fundamentos racionales para esta condición, es decir, trataba de explicarla mediante otros conceptos más acostumbrados. (O, como se suele decir ahora, intentaba comprender su sentido físico.)
Al buscar la explicación de los hechos incomprensibles, como regla, se recurre a las analogías. De Broglie también procedió exactamente igual, buscando la salida del atascadero de las ideas contradictorias sobre el átomo. Comprendió que estas dificultades eran similares a las que surgieron al tratar de comprender las propiedades contradictorias de la luz.
El asunto de la luz se embrolló definitivamente en 1923, cuando Arthur Compton realizó su célebre experimento y demostró que la dispersión de los rayos X por los electrones no se parecía en absoluto a la dispersión de las olas del mar, en cambio, semejaba exactamente el choque de dos bolas de billar, una de las cuales era el electrón con la masa m y la otra, el cuanto de luz con la energía E = hv. Después del experimento de Compton era imposible ya dudar que en la naturaleza realmente existieran los cuantos de luz y su energía E = hν se relacionaba de un modo unívoco con la longitud de onda luminosa λ = c/ν correspondiente a estos cuantos. En 1926, a propuesta de G. Lewis los denominaron fotones.
Tanto De Broglie como sus contemporáneos no pudieron explicar el significado de las palabras: “Los cuantos de luz corresponden a la onda luminosa”. Sin embargo, ellos no tenían razones para poner en tela de juicio los experimentos de los cuales se desprendía que en unas condiciones el rayo luminoso se portaba como onda con la longitud λ y la frecuencia ν = c/λ, y en otras, como flujo de partículas, fotones, con la energía E = hν y el impulso p =hν/c.
Tres o cuatro años más tarde todos comprenderían que este fenómeno era sólo un caso particular de la dualidad corpuscular ondulatoria universal en la naturaleza, mas a la sazón De Broglie tuvo que buscar el camino seguro a tientas.
Ondas de materia
De Broglie, igual que todos los grandes científicos antes de él, creía sincera y profundamente en la unidad de la naturaleza. Por eso no podía admitir que el rayo de luz era algo excepcional que no se parecía a ninguna otra cosa en la naturaleza. De Broglie supuso: no sólo el rayo de luz, sino todos los cuerpos en la naturaleza deben poseer simultáneamente tanto propiedades ondulatorias como corpusculares. Por eso además de las ondas luminosas y las partículas de materia en la naturaleza deben existir realmente los cuantos de luz y las ondas de materia.
Una afirmación tan sencilla y contundente no es fácil de enunciar: para eso se necesitan valentía y fe. Más difícil aún es comprenderla: sólo una mente imparcial y acostumbrada a razonar abstractamente es capaz de ello. Además, cuesta mucho trabajo imaginárselo: la naturaleza al alcance de la percepción de nuestros cinco sentidos no creó imágenes visibles que podrían ayudarnos en estos esfuerzos. En efecto, la palabra “partícula” podrá recordarle lo que sea −un grano de arena, una bola de billar, una piedra en vuelo, pero jamás se le ocurrirá pensar en las olas del mar o en una cuerda vibrante. Para un hombre normal estas imágenes son tan contradictorias que unirlas parece antinatural.
Cualquier relato del origen de una nueva teoría física es a todas luces impreciso incluso en la boca de su creador: tal relato, como regla, utiliza los conceptos que al crearse la teoría no existían. Para los físicos de nuestros días el concepto de “onda de materia” engendra en la mente cierta imagen compleja que no se puede comparar con algo acostumbrado en el mundo circundante. Esta imagen se crea paulatinamente al operar con las fórmulas de la mecánica cuántica y resolver los problemas atómicos, siendo bastante difícil describirla por medio de palabras. Está claro que en 1922 De Broglie no pudo utilizar una imagen tan complicada y perfecta y por eso en los razonamientos de entonces era posible encontrar una especie de sustituto: la imagen de la onda que surge al vibrar la cuerda.
Se sabe bien que al golpear una cuerda tensa, ésta empieza a sonar y el sonido depende de la longitud de dicha cuerda. El mecanismo del surgimiento del sonido también se conoce bien: las vibraciones de la cuerda se transmiten al aire y nosotros percibimos ya las vibraciones del aire y no las de la cuerda que las engendraron. Sin embargo, entre ellas existe una relación rigurosa. Por ejemplo, si oímos la nota la de la primera octava, quiere decir que la cuerda vibra con la frecuencia ν = 440 Hz, o sea, 440 oscilaciones por segundo. Puesto que la velocidad del sonido en el aire es igual a v = 334 m/s, la longitud de estas ondas sonoras es igual a
λ = v/ν = 76 cm
Al vibrar una cuerda oímos el tono principal, o sea, la vibración de la cuerda como un todo único. Pero al excitarla surgen, además, vibraciones adicionales: los modos mayores. El cuadro de vibraciones se complica y en la cuerda aparecen “nodos”, es decir, puntos que permanecen inmóviles en el proceso de vibración. Mas siempre se observa rigurosamente una condición: en la longitud de la cuerda cabe un número entero de semiondas λ/2. Para el tono principal en la longitud de la cuerda cabe exactamente una mitad de la onda λ/2. Para el primer modo mayor, dos semiondas entre las cuales se halla el “nodo" inmóvil, etcétera.
Todo esto De Broglie lo recordó al pensar en la cuerda vibrante. Lo que sigue es relativamente fácil.
Arrollemos nuestras cuerdas en anillos e imaginemos que son las órbitas del electrón en el átomo.
Sustituyamos ahora el movimiento orbital del electrón por vibraciones de ondas que “corresponden al electrón”: De Broglie estaba convencido de que esto era racional. Es fácil ver que al arrollar las cuerdas en anillos en ellas aparece un nodo adicional, es decir, el tono principal de la cuerda tensada se transforma en el primer modo mayor de la cuerda anular.

Esto, a su vez, significa que en la cuerda anular puede caber por lo menos una onda entera λ y no una semionda λ/2 (como antes, en la cuerda plana). De este modo, el movimiento del electrón será estable en el caso, ¡y sólo en tal caso!, de que en la longitud de la órbita quepa un número entero n de “ondas electrónicas” λ. De aquí se desprende una condición simple:
2nr = nλ.
De Broglie comparó esta condición con el primer postulado de Bohr:

y de aquí halló la “longitud de onda electrónica”:
λ = h/mv

Y nada más. Es realmente sencillo. Tan sencillo como la fórmula de Planck E = hv, los postulados de Bohr y la ley de la gravitación universal de Newton: genialmente sencillo. Semejantes descubrimientos son sencillos puesto que requieren los conceptos más simples. Sin embargo, no abundan en la historia de desarrollo del espíritu humano, ya que cambian las propias bases de nuestro modo de pensar. Nunca se puede comprender del todo cómo fueron logrados. Siempre es un milagro y ni siquiera los mismos creadores son capaces de explicarlo. Sólo pueden repetir rigurosa y simplemente tras Newton: “Todo el tiempo pensaba en esto”.
Al encontrar su fórmula De Broglie tenía 30 años. Mas empezó a buscarla once años antes, desde que su hermano Maurice vino de Bruselas, donde desempeñaba el cargo de secretario del primer Congreso de Solvay, celebrado en 1911, aquel mismo Congreso en el que Planck habló del desarrollo dé la “hipótesis sobre los cuantos”. La importancia de los descubrimientos y las vivas impresiones que el hermano mayor había sacado del contacto con los eminentes físicos sorprendieron tanto la imaginación de Louis que éste no pudo olvidarlas ni siquiera durante la guerra. Como resultado de la constante tensión del pensamiento, en 1922 apareció, por fin, la hipótesis de las ondas de materia. Entonces De Broglie pudo dar la nueva definición al concepto de “órbita estacionaria”: es una órbita en la cual cabe un número entero de "ondas electrónicas" λ.
Si efectivamente es así, el problema de la estabilidad del átomo no existe, ya que el electrón en estado estacionario semeja la cuerda que vibra en el vacío sin rozamiento. Tales oscilaciones no se amortiguan y por eso sin una influencia externa el electrón quedará para siempre en el estado estacionario.
Lo más difícil es enunciar una hipótesis. Siempre es un proceso ilógico. Pero tan pronto ésta se formula, las rigurosas leyes de la lógica permiten sacar de ella todas las consecuencias. La principal es evidente: si las “ondas de materia” existen se puede descubrir y medirlas. En efecto, las descubrieron y demostraron que son reales con tal grado de autenticidad que en general es posible en la física. Pero esto ocurrió cuatro años más tarde y hablaremos de ello después.
De Broglie escribió sus fórmulas en 1923: dos años antes de los trabajos de Heisenberg y Schrödinger. La sencillez de estas fórmulas y la claridad de la idea fundamental se parecían mucho a los postulados de Bohr. Y del mismo modo que estos últimos, las ideas de De Broglie todavía no eran la teoría del átomo: para eso era necesario anotarlas en el idioma de las ecuaciones. Werner Heisenberg al crear la mecánica matricial convirtió las ideas de Bohr en fórmulas exactas y ecuaciones rigurosas.
Las ideas de De Broglie dieron principio a la mecánica ondulatoria creada por Erwin Schrödinger.
Analogía óptico−mecánica
Ahora debemos asimilar unos hechos nuevos. Aunque éstos al principio no parezcan muy simples, de todas maneras es imprescindible comprenderlos si no queremos repetir continuamente frases fluidas y triviales sobre el “misterioso país del micromundo” que sólo embotan la mente por cuanto, de hecho, no significan nada real.
Indistintamente de si hablamos de los átomos o de los cuantos, volvemos siempre a las propiedades del rayo luminoso. No es por casualidad. De hecho, engloba casi toda la física moderna. Ahora examinemos una vez más con mayor atención sus propiedades. Para eso debemos recurrir de nuevo a Isaac Newton y recordar la esencia de su discusión con Christian Huygens sobre la naturaleza del rayo luminoso.
Siempre, en todos los tiempos era universalmente conocido que en el vacío el rayo luminoso se propagaba en línea recta: este conocimiento el hombre lo adquiere en la infancia sin ninguna ciencia ni aparatos físicos, después de lastimarse unas cuantas veces contra el ángulo saliente de la mesa.

Posteriormente esta experiencia le ayuda a evitar otros muchos peligros y poco a poco se convence de su autenticidad. Para hacer más evidente el fenómeno de propagación del rayo, en los manuales generalmente unen la fuente de luz y el ojo del observador con una línea recta, es decir trazan la imaginaria trayectoria del rayo luminoso.
Tanto por su sentido como por las imágenes que surgen, la trayectoria del rayo luminoso no se distingue en nada de la de movimiento de la partícula, a base de lo cual en los tiempos de Newton el rayo luminoso se lo imaginaban como flujo de corpúsculos muy pequeños. Por supuesto, el camino de estos “corpúsculos luminosos” (igual que el de las partículas corrientes) puede encorvarse, digamos, al pasar del aire al agua, mas el concepto de trayectoria se conserva también en este caso. En la vida cotidiana este concepto es muy útil y no induce a errores: ayuda a evitar a los automóviles en la calle, determinar la posición de las estrellas en el cielo y diseñar cámaras fotográficas.
Con el desarrollo de la física experimental, los hombres ampliaron los límites estrechos de la experiencia cotidiana y descubrieron nuevas propiedades del rayo luminoso: resulta que al contornear un “obstáculo muy pequeño” pierde completamente sus propiedades corrientes. La física es una ciencia cuantitativa y en ella semejante afirmación indefinida carece de sentido. ¿Pequeño en comparación con qué?

Christian Huygens se imaginaba la propagación de la luz como oscilaciones de cierto “éter luminoso”. La imagen que surge en este caso en la mente recuerda los círculos que produce una piedra lanzada al lago, o la sucesión infinita de olas marítimas. Los trabajos de Maxwell y Hertz disiparon en absoluto las dudas en cuanto a la autenticidad de estas imágenes. Ellos demostraron que la luz era simplemente un caso particular de oscilaciones electromagnéticas.
Recuérdese (hemos hablado de esto en el primer capítulo) que la característica principal de todo proceso ondulatorio es su frecuencia o la longitud de onda. Ahora nuestra afirmación adquiere un sentido riguroso: “El rayo de luz pierde sus propiedades habituales si las dimensiones del obstáculo son conmensurables con la longitud de su onda”. En este caso el rayo de luz no se propaga ya en línea recta, sino que se produce el fenómeno de difracción. Además, algunas ondas del rayo empiezan a ejercer influencia recíproca, aumentando o amortiguando unas a otras o, como suelen decir en la física, empiezan a interferir.

Ambos fenómenos, la difracción y la interferencia, en fin de cuentas, proyectan en la pantalla un cuadro de difracción, muy difícil de comprender desde el punto de vista de Newton. Mientras tanto, la teoría ondulatoria de la luz lo explica de un modo muy natural, lo que determinó su victoria.
Con el tiempo se acostumbraron tanto a las propiedades de la luz que éstas se convirtieron en una especie de patrón para todos los procesos ondulatorios en general. Al notar de repente en algún proceso los fenómenos de interferencia o de difracción no dudaban ya de su naturaleza ondulatoria. Por eso precisamente, al observar las primeras fotografías de la difracción de electrones, todos reconocieron en seguida la hipótesis de De Broglie sobre las ondas de materia.
Miren tres fotografías casi iguales en la pág. 167: a la izquierda se ilustra la difracción de la luz visible; a la derecha, la difracción de electrones, y abajo, las olas en el agua. Mirándolas es muy difícil no creer en la naturaleza ondulatoria del electrón. Para la generación actual de físicos no es ya cuestión de fe, sino el hecho que se conoce exactamente e incluso el medio para las aplicaciones técnicas.

En la armoniosa teoría de la óptica ondulatoria quedaba una sola incoherencia: pese a todo, percibimos el rayo de luz como tal y no como onda. ¿Cómo explicar este hecho desde el punto de vista de la óptica ondulatoria? Augustin Jean Fresnel solucionó este problema y su explicación figura hoy en cualquier manual de física.
Resulta que en el caso de interferencia todas las ondas de una fuente de luz se amortiguan mutuamente, salvo las que se hallan dentro de un estrecho canal, cuyo espesor es igual a la mitad de la longitud de onda de luz. (Para la luz visible el espesor del canal λ/2 ≈ 3∙10−5 cm.) Si despreciamos el espesor del “canal luminoso” obtendremos la misma trayectoria del rayo luminoso a la que estamos acostumbrados en la vida cotidiana.
Es sabido incluso cómo se construye esta trayectoria: al principio hay que trazar líneas a través de todas las crestas de ondas, o, como se dice en la física, marcar el frente de onda; luego desde la fuente de luz trazar una línea perpendicular al frente de onda. Esta será precisamente la trayectoria del rayo luminoso. Si junto al obstáculo el frente de onda se altera, simultáneamente se encorva también la trayectoria del rayo: éste contornea el obstáculo y se produce la difracción.
En 1834 William Rowan Hamilton (1805−1865), célebre profesor de astronomía en la Universidad de Dublín, se ocupaba de un problema incomprensible para sus contemporáneos. Quería demostrar que la analogía formal entre la trayectoria del movimiento de la partícula y la del rayo luminoso tenía un riguroso sentido matemático.
Sabemos ya que en la física al concepto de la ley de movimiento corresponden las fórmulas: ecuaciones de movimiento. Para las ondas y para las partículas son completamente diferentes: resolviendo unas, calculamos la trayectoria de la partícula; resolviendo otras, hallamos la forma y la velocidad del frente de onda. Pero sabemos, al mismo tiempo, que en la óptica se puede dibujar la trayectoria del rayo luminoso si se conoce el movimiento del frente de su onda.
Hamilton demostró que en la mecánica se podía hacer algo opuesto: sustituir la trayectoria de la partícula por el movimiento del frente de cierta onda. O, más exactamente: las ecuaciones de movimiento de la mecánica se pueden anotar de modo que coincidan enteramente con la ecuaciones de la óptica geométrica que describen la propagación del rayo de luz sin tener en cuenta sus propiedades ondulatorias. Con este hecho Hamilton demostró la analogía óptico−mecánica: el movimiento de la partícula en la trayectoria se puede representar como la propagación del rayo luminoso sin tener en cuenta sus propiedades ondulatorias.
Mecánica ondulatoria de Schrödinger
Erwin Schrödinger (1887−1961) se graduó en 1911, en la Universidad de Viena, donde todavía perduraban las tradiciones de Doppler, Fizeau y Boltzmann y en general el espíritu de los tiempos clásicos de la física: el estudio fundamental de los fenómenos y el interés circunstanciado hacia éstos. En 1925, Schrödinger, siendo profesor no joven ya de la Universidad de Zúrich, había conservado, no obstante, el ímpetu juvenil para comprender lo principal en la física de aquel tiempo: “¿Cuál es la estructura del átomo? ¿Cómo se mueven dentro de éste los electrones?”
A fines de 1925 Schrödinger leyó en uno de los artículos de Einstein unas cuantas palabras de elogio dedicadas a De Broglie y a su hipótesis. Estos datos escasos le resultaron suficientes para creer en la hipótesis de De Broglie sobre las ondas de materia y para desarrollarla hasta su fin lógico (lo que siempre es difícil, y no sólo en la ciencia).
El curso de sus razonamientos es fácil de comprender, por lo menos hoy, pasado casi medio siglo. En primer lugar recordó la analogía óptico−mecánica de Hamilton. Sabía que ésta había sido demostrada sólo dentro de los límites de la óptica geométrica, es decir, en el caso de que fuera posible despreciar las propiedades ondulatorias de la luz. Schrödinger fue más lejos, suponiendo que la analogía óptico−mecánica seguía siendo correcta también en el caso de la óptica ondulatoria. Esto significa que cualquier movimiento de las partículas semeja siempre el fenómeno de la propagación de ondas.
Como todo descubrimiento importante, la hipótesis de Schrödinger de nada se desprendía lógicamente.

Mas, como todo descubrimiento, tenía consecuencias lógicas.
En primer lugar, si Schrödinger tiene razón, el movimiento de las partículas debe manifestar propiedades ondulatorias en las zonas del espacio, cuyas dimensiones sean comparables con la longitud de onda de estas partículas. Esto se refiere en gran medida también al movimiento del electrón en el átomo: al cotejar las fórmulas de De Broglie
y de Bohr
es fácil notar que el diámetro del átomo d = λ/π es aproximadamente tres veces menor que la longitud de onda del electrón λ. Mas esta longitud es la única que recordamos al hablar de las dimensiones del electrón en el átomo.
Ahora se hace evidente que no podemos imaginar el electrón en el átomo como partícula, puesto que en este caso sería necesario admitir que el átomo está formado de partículas más grandes que él.

De ahí inmediata y algo inesperadamente se desprende el postulado de Heisenberg que conocemos ya del capítulo anterior: no existe el concepto de trayectoria del electrón en el átomo.
En efecto, algo mayor no puede moverse dentro de algo menor y, además, en cierta trayectoria. Pero entonces tampoco existe el problema de la estabilidad del átomo, puesto que la electrodinámica prohíbe al electrón moverse en el átomo sólo en trayectorias y no responde por fenómenos que transcurren en el caso de los movimientos de otros tipos. Todo esto significa que en el átomo los electrones existen no en forma de partículas, sino como una especie de ondas, cuyo sentido comprenderemos un poco más tarde. Por el momento está clara una sola cosa: sea cual fuere la naturaleza de estas ondas electrónicas, su movimiento debe obedecer a la ecuación de la onda. Schrödinger encontró esta ecuación. Hela aquí:

Para quienes la ven por primera vez es absolutamente incomprensible y sólo puede despertar curiosidad o un instintivo sentimiento de protesta, además, este último sin fundamentos serios.
En realidad, el dibujo representado en la página siguiente es tan incomprensible como la ecuación de Schrödinger, pero lo admitimos sin objeciones internas. Nos tranquilizaremos del todo al saber que es simplemente el escudo de la ciudad de París, donde nunca habíamos estado y, quizás, jamás estaremos.

Sólo los más reparones intentarán averiguar por qué tiene tal aspecto precisamente y no otro. Igual que en la ecuación de Schrödinger en este escudo cada línea y cada símbolo tienen su sentido. Arriba están representadas las flores de lis que aparecieron en los signos heráldicos de Francia ya a fines del siglo V, después de la victoria de Clodoveo sobre los hunos a orillas del río Lys. (Según la leyenda, los guerreros de Clodoveo, al regresar a su casa, adornaron sus cascos y escudos con flores de lis). En la parte inferior del escudo se halla el barco, cuyos contornos semejan Cité, la isla en el Sena donde en la antigüedad habitaba la tribu parisii que dio el nombre a Paris. La forma del escudo recuerda una vela, en memoria de la ocupación principal de los antiguos habitantes de París. Como se ve no es difícil descifrar el escudo, aunque es verdaderamente íntimo sólo a los moradores de la ciudad.
Enfoquemos del mismo modo la ecuación de Schrödinger. Tomémosla al principio simplemente, como símbolo de la mecánica cuántica, como cierto escudo del país cuántico, por el cual ahora estamos viajando, y tratemos de comprender por qué es precisamente así. Algunos símbolos suyos comprendemos ya: m es la masa del electrón: ħ, la constante de Planck h dividida por 2π; E, la energía total del electrón en el átomo; U(x), su energía potencial; x, la distancia entre el núcleo y el electrón. Cuesta algo más comprender el símbolo de la segunda derivada pero con esto de momento no se puede hacer nada, al principio habrá que recordar simplemente que es el símbolo del cálculo diferencial d2/dx2, debido a lo que la ecuación de Schrödinger no es simple, sino diferencial.
Lo más difícil es comprender qué representa la función Ψ (se lee: función psi). Esto, en efecto, no es fácil y al principio el propio Schrödinger interpretó incorrectamente su sentido. Nosotros también lo comprenderemos un poco más tarde, mientras que ahora importa comprender lo siguiente: la función psi, pese a su carácter insólito, de algún modo representa el movimiento del electrón en el átomo. Si bien de manera distinta que las matrices de Heisenberg {Xnk} y {Pnk}, no obstante, representa y, además, bien. Tan bien que con su ayuda se pueden resolver muchos problemas de la mecánica cuántica más fácil y rápidamente que por medio de las matrices de Heisenberg.
Los físicos apreciaron bastante pronto las ventajas de la mecánica ondulatoria: su universalidad, elegancia y sencillez y desde entonces casi abandonaron la mecánica matricial.
Mas esta victoria no llegó de repente.
* * * *
Experimento de Compton
Figúrese que Ud. vestido de suéter verde, se halla ante un espejo y, de repente, nota que su imagen lleva un suéter rojo. En primer lugar Ud. probablemente, se restriegue los ojos y si esto no ayuda, se dirija al médico. Porque esto “no puede ser”. En efecto, los rayos verdes son ondas cuya longitud λ = 5500 Å. Al encontrar en su camino un obstáculo, el espejo, se reflejan, pero de ningún modo pueden cambiar su longitud, transformándose, por ejemplo, en rojos (λ = 7500 Å). Mas Compton observó precisamente este fenómeno. Al dirigir contra el blanco un haz de rayos X con la longitud de onda λ, descubrió que la longitud de onda de los rayos dispersos λ’ era mayor que la longitud de onda de los rayos incidentes, es decir, ¡los rayos dispersos, en efecto, eran “más rojos” que los originarios!
Este milagro se puede comprender al recordar la hipótesis de Einstein sobre los cuantos de luz, que él propuso para explicar los fenómenos del efecto fotoeléctrico. Efectivamente, en este caso en vez de las ondas de los rayos X con la longitud λ y la frecuencia ν = c/λ hay que imaginarse un flujo de partículas: cuantos con la energía E = = hv. Estos al chocar con los electrones de los átomos del blanco los arrancan de allí (consumiendo la energía P), los aceleran hasta la velocidad v (consumiendo adicionalmente la energía mv2/2 y se dispersan con una energía menor E = hv. Está claro que

Si el átomo absorbe totalmente el cuanto de luz (E = 0), veremos el fenómeno corriente del efecto fotoeléctrico, y la ecuación de Compton se convertirá en la ecuación de Einstein:

Ambos experimentos se pueden realizar en la cámara de Wilson observando el camino de cada electrón arrancado y dándose una idea clara del proceso de choque del cuanto de luz con el electrón.
Pero, ¿qué impide entonces vernos en un suéter rojo? Resulta que las mismas leyes cuánticas que prohíben al electrón absorber cualesquiera porciones de energía. El electrón en la órbita estacionaria en el átomo puede absorber sólo tal cuanto que bien lo hará pasar de un estado estacionario a otro, bien lo expulsará del átomo (recuérdese el experimento de Franck y Hertz). La energía de los “cuantos verdes” (la longitud de su onda λ = 5,5∙10−5 cm = 5500 Å) es igual a

Y esto es demasiado poco para arrancar el electrón al átomo (se necesita cinco veces más, P ≈ 10 eV). Por eso los cuantos se reflejarán elásticamente (sin pérdidas de energía) por los átomos del espejo y, además, no “se enrojecerán” en absoluto.
Los rayos X (λ ≈1 Å) representan un cuadro completamente distinto. Su energía es unas 5 ó 10 mil veces mayor y por tanto los fenómenos que se operan en este caso son diferentes. Por ejemplo, no se reflejan de ninguna manera por el espejo, sino que lo atraviesan libremente, arrancando de paso electrones a sus átomos.
Desde luego, incluso el simple proceso de reflexión de la luz verde por el espejo es algo más complejo de lo que acabamos de presentar. Pero existe una dificultad más, la principal: en nuestro cuadro armonioso donde en vez de las ondas de luz figuran tan sólo cuantos de luz no hay lugar para los experimentos de Friedrich, Knipping y Laue, que habían descubierto la difracción de los rayos X, demostrando con este hecho su naturaleza ondulatoria.
¿Cómo conciliar estos dos conceptos incompatibles: rayos−ondas y rayos−cuantos?
En el capítulo siguiente veremos que la mecánica cuántica resolvió también este problema.
¿Qué es el electrón: partícula u onda?
No pensamos en esto diariamente, como tampoco en la construcción del teléfono. Simplemente utilizamos los aparatos en los cuales “trabaja” el electrón: televisor, aparato de rayos X, microscopio electrónico. Mas si uno se pone a pensar en la construcción de estos aparatos, el problema de la naturaleza del electrón perderá de inmediato su carácter académico.
En el tubo catódico la imagen se obtiene mediante los electrones que se aceleran por la tensión V ≈ 10.000 V. Los electrones adquieren una velocidad v ≈ 5∙109 cm/s, sólo seis veces menor que la velocidad de la luz. La longitud de su onda es fácil calcular por la fórmula de De Broglie: λ = h/mv ésta es igual a λ ≈ 0,1 A, es decir, 10 veces menor que las dimensiones del átomo. Y puesto que en el televisor los electrones se propagan en línea recta, los percibimos como flujo de partículas.
En el microscopio electrónico el mismo electrón trabaja como onda: el haz de electrones se acelera por medio de una tensión de 100.000 voltios hasta la velocidad de 1010 cm/s, lo que corresponde a la longitud de onda de 0,05 Å.
Además, este haz atraviesa un sistema de lentes magnéticas, igual que en un microscopio corriente el rayo luminoso pasa a través de lentes ópticas. En la óptica ondulatoria es bien sabido que a causa de los fenómenos de difracción incluso en el mejor microscopio no se puede ver un objeto si sus dimensiones son menores que la mitad de la longitud de onda de luz que lo alumbra. La longitud de onda de la luz visible es igual a 5000 Å, por eso en un microscopio corriente se puede distinguir sólo los objetos cuyas dimensiones superan 2500 Å. Las dimensiones de las bacterias superan 10−4 cm = 10 000 Å, por eso es fácil observarlas en un microscopio común. Pero los virus no se ven ya en semejante microscopio porque sus dimensiones son menores que 1000 Å (por ejemplo, el virus de la gripe tiene sólo 800 Å de diámetro).
Teóricamente, el microscopio electrónico permite ver los objetos con dimensiones hasta de 0,02 Å, es decir 50 veces menores que el átomo. ¿Quiere decir que de este modo podemos ver un átomo aislado? No, por supuesto. La energía de enlace del electrón en el átomo (P) es igual aproximadamente a 10 eV (la energía que adquiere el electrón al aplicarle la diferencia de potencial de 10 V), mientras que en el microscopio electrónico los electrones adquieren la energía de unos 100 mil electrón−voltios. Tales “rayos” en seguida, al primer contacto con el átomo, lo destruirán. (En efecto, es fácil comprender que si queremos obtener en la pared la sombra de una partícula de polvo disparándola con la escopeta, nada bueno sacaremos de ello.) De hecho, hasta ahora en el microscopio electrónico se ha logrado ver objetos con dimensiones de 5 a 10 Å, es decir 5 ó 10 veces mayores que el átomo.
Difracción de electrones
Lo mismo que muchos descubrimientos en la física, la difracción de electrones fue descubierta en gran medida “por casualidad”, aunque como gustaba repetir Pasteur “la casualidad habla sólo con una mente preparada”,
En 1922 por encargo de la firma norteamericana “Bell Telephone”, Clinton Joseph Davisson (1881−1958) y su asistente estudiaban la reflexión de los haces electrónicos por la superficie de los metales y de súbito notaron algunas anomalías. En 1925 después de los trabajos de De Broglie, Walter Elsasser, discípulo de Max Born, supuso que éstas se debían a las ondas electrónicas. Davisson leyó esta nota pero no le dio importancia. En 1926 llegó a Europa y mostró sus gráficos a Max Born y a James Franck en Göttingen, así como a Douglas Hartree, en Oxford. Todos reconocieron unánimemente en estas anomalías las ondas de De Broglie. Durante la travesía del Atlántico Davisson estudió los trabajos de Schrödinger y poco después de regresar a Norteamérica, junto con Lester Halbert Germer (nació en 1896), confirmó la hipótesis de De Broglie experimentalmente.
G. P. Thomson abordó el problema por otro lado. Desde el principio simpatizaba con la hipótesis de De Broglie y poco después de la visita de Davisson a Inglaterra se puso a pensar en el modo de demostrarla por medio del experimento. En Inglaterra, después de los trabajos de Crookes y J. J. Thomson, los experimentos con rayos catódicos llegaron a ser un elemento indispensable y acostumbrado de la instrucción. Tal vez por eso G. P. Thomson pensó primero en la posibilidad de adaptarlos para nuevos experimentos. Casi en seguida se halló en Aberdeen una instalación adecuada, en la cual trabajaba el estudiante Alexandr Reid. (Este falleció poco tiempo después, en un accidente automovilístico a la edad de 22 años). Pasados sólo dos meses ellos obtuvieron en esta instalación magníficas fotografías de difracción de electrones que recordaban exactamente la difracción de rayos X. Era lógico, ya que en sus experimentos los electrones se aceleraban por el potencial de 150 V (la tensión corriente de la red urbana). La longitud de onda de tales electrones es igual aproximadamente a 1 Å = 108 cm, o sea, es comparable con la longitud de onda de los rayos X y con las dimensiones de los átomos.
Una pequeña información: George Paget Thomson era el hijo de J. J. Joseph John Thomson, que a finales del siglo demostró que el electrón era partícula. Por la ironía del destino, pasados treinta años, su hijo demostró que el electrón era onda. Ambos tenían razón y ambos fueron galardonados por sus descubrimientos con el Premio Nobel.
Misteriosa letra
Para designar la función de onda, Schrödinger escogió la letra griega ψ (“psi”). Sin embargo, para muchos esta letra llegó a ser una especie de símbolo de lo incomprensible de la mecánica cuántica. Pero al igual que otras muchas letras de diversos alfabetos antiguos que en su evolución sufrieron notables cambios, también la letra psi perdió su aureola mística.
Capítulo 8
Dualidad corpuscular−ondulatoria; Relación de incertidumbre de Heisenberg; Principio de complementaridad
A comienzos de los años 20, los físicos Max Born y James Franck, así como el matemático David Hilbert, organizaron en Göttingen el “seminario sobre la materia”. Precisamente aquí en 1924, mucho antes de los trabajos de Heisenberg y Schrödinger, por primera vez comenzaron a usar el término “mecánica cuántica”. A este seminario asistían científicos de renombre y jóvenes que más tarde se hicieron famosos. Casi cada reunión Hilbert la empezaba con la siguiente pregunta: “De modo, señores, yo, igual que ustedes, quisiera que me digan con exactitud: ¿qué es el átomo?”
En la actualidad sabemos del átomo más que todos los participantes del seminario de aquellos años, sin embargo, no estamos aún en condiciones de contestar a Hilbert. Resulta que hasta ahora hemos conocido bastantes hechos, pero todavía nos faltan conceptos para explicarlos correctamente.
Gracias a Niels Bohr incluso ahora, pasados muchos años, a la palabra “átomo” involuntariamente asociamos la idea de un pequeño sistema planetario compuesto del núcleo y electrones. Sólo luego, haciendo un esfuerzo de voluntad, nos obligamos a recordar que Le son inherentes también propiedades ondulatorias. Ahora, lo mismo que antes, ambas ideas, “electrón−onda” y “electrón−partícula”, existen en nuestra conciencia independientemente y, sin querer, tratamos de deshacernos de una de ellas. “¿El electrón o la onda?”: los físicos de los años 20 volvían constantemente a esta pregunta deseando, como todos los hombres, lograr una certidumbre.
Hacia los principios de 1926 en la física atómica se creó una situación curiosa: por separado e independientemente surgieron a la vez dos mecánicas cuánticas, cuyas premisas de partida diferían bruscamente. Heisenberg, siguiendo a Bohr, estaba persuadido de que el electrón era partícula, y basándose en ello escribió sus ecuaciones matriciales. En cambio, Schrödinger pudo deducir su ecuación diferencial sólo creyendo, junto con De Broglie, en las propiedades ondulatorias del electrón.
Heisenberg exigía que formasen parte de las ecuaciones sólo las magnitudes que podían ser medidas directamente en el experimento: las frecuencias de las rayas espectrales y sus intensidades. A base de ello excluyó de la teoría el concepto de “trayectoria de los electrones en el átomo”, como magnitud que en principio no se observaba. Schrödinger tampoco utilizó el concepto de trayectoria, pero anotó su ecuación para la función ψ que tampoco se podía medir y cuyo sentido todavía no estaba claro para él mismo.
El experimento, el último juez en todas las disputas, al principio apoyaba firmemente la mecánica matricial. En efecto, de los experimentos de Faraday se desprendía la indivisibilidad de la carga eléctrica, y los experimentos ulteriores de Crookes y Thomson lo demostraron rigurosamente. Sólo la partícula puede poseer semejante propiedad. Los experimentos de Millikan y las fotografías de las trazas del electrón en la cámara de Wilson disiparon las últimas dudas al respecto.
Sin embargo, las ideas del electrón−partícula contradecían cardinalmente el hecho de la asombrosa estabilidad del átomo. Hemos subrayado reiteradamente que el átomo planetario es inestable. Precisamente para explicar la estabilidad del átomo y, al mismo tiempo, conservar la idea del electrón−partícula, Bohr había inventado sus postulados.
De Broglie y Schrödinger fueron por otro camino y demostraron que la estabilidad del átomo se podía explicar del modo más natural si se admitía que el electrón era onda y no partícula. Esta hipótesis pronto la confirmaron con experimentos directos Davisson, Germer y G. P. Thomson al descubrir la capacidad de difracción del electrón.
Se suele creer en los experimentos. Mas ¿cómo creer simultáneamente en dos experimentos si éstos se excluyen uno a otro? La situación creada tenía precedentes en la historia de la física mas, no obstante, era tan insólita que al principio nadie sospechaba siquiera la unidad de las dos mecánicas, tratando por eso de demostrar la validez de una de ellas y la falsedad de la otra. Entre los adeptos de ambas teorías tenían lugar cruentas disputas: unos defendían el derecho de primacía de la mecánica matricial, otros preferían la sencillez matemática de la mecánica ondulatoria. A principios de 1927, el propio Schrödinger puso fin a estas disputas, demostrando que ambas mecánicas eran equivalentes matemáticamente. Para todo físico esto significaba que eran equivalentes también desde el punto de vista de la física, o sea, que existía una sola mecánica, la mecánica del átomo, pero anotada en diferentes formas. Esto significaba asimismo que las premisas iniciales de ambas mecánicas eran correctas: tanto las ideas de la mecánica matricial sobre el electrón−partícula, como las de la mecánica ondulatoria acerca del electrón−onda.
Dualidad corpuscular−ondulatoria
Cuanto más llegaban a saber los científicos acerca del átomo tanto menos categóricas se hacían las preguntas que dirigían a la naturaleza. En los tiempos de Planck y Einstein querían saber: “¿Qué es el rayo de luz: onda o flujo de partículas−cuantos?” Después de los trabajos de De Broglie igualmente intentaban aclarar: “¿Qué es el electrón: onda o partícula?” Sólo paulatinamente y a costa de grandes esfuerzos, había cristalizado la sencilla idea: “¿Y por qué o? ¿Por qué estas propiedades, las de onda y las de partícula, deben excluir una a otra?” Al meditar sensatamente sobre ello, resultó que no había fundamentos lógicos para la alternativa “o − o”. La única causa debido a la cual no se renunciaba a esta alternativa era la misma inercia del pensamiento: siempre intentamos comprender los hechos nuevos por medio de conceptos e imágenes viejos.
Existe una dificultad más: la sicológica. En la vida cotidiana estamos acostumbrados a que los objetos sean tanto más sencillos cuanto más pequeños son. Por ejemplo, de las 33 matrioshkas (muñeca de madera con traje nacional ruso que contiene otras de menor tamaño) la más pequeña es la más sencilla; la bola de billar es muchísimo más sencilla que el globo terráqueo, y lo entero siempre se compone de partes más simples. Cuando Demócrito, hallándose a la orilla del mar partía la manzana, podía imaginarse el átomo de cualquier modo, pero difícilmente se le habría ocurrido que su estructura era más complicada que la de la manzana entera. Esto realmente no es así. Mas suele ocurrir que las mismas propiedades son visibles en objetos pequeños y absolutamente imperceptibles en los grandes. Del mismo modo resulta que al fraccionar la sustancia (que por tradición nos la imaginamos compuesta de partículas) ella no adquiere nuevas propiedades, ondulatorias, sino que éstas se revelan. Siempre las tenía, sólo que no las notábamos.
Con los fenómenos de semejante tipo chocamos mucho más a menudo de lo que nos parece. La bola de billar y el globo terráqueo de todos modos son esferas y en esto se asemejan. Sin embargo, qué caro pagaron muchos esa verdad, antes de que la Tierra haya llegado a ser para todos una esfera. En cambio, la curvatura de la bola de billar era evidente incluso a los padres de la inquisición. Todo depende de la relación entre el fenómeno y el observador. La Tierra, al igual que cada electrón suyo, posee propiedades de onda. Pero si intentáramos describir su movimiento por medio de la ecuación de Schrödinger siendo la masa de la Tierra 5∙1027 g y la velocidad a que se mueve alrededor del Sol 3∙106 cm/s, habría que atribuir a esta “partícula” la onda de De Broglie de 4∙10−61 cm de longitud: número tan pequeño que ni siquiera se sabe cómo interpretarlo.
Sin embargo, basándonos sólo en esto no podemos afirmar que la Tierra carece de propiedades ondulatorias. En efecto, por medio del compás y la regla no podemos medir su curvatura, mas la Tierra, pese a todo, es redonda.
El número de tales ejemplos es fácil de multiplicar y cada uno de ellos ayuda a comprender a su modo el resultado final de las meditaciones acerca del problema “onda− corpúsculo”.
El problema “onda o partícula” no existe; el objeto atómico es “tanto onda como partícula” a la vez. Más aún, todos los cuerpos en la naturaleza poseen simultáneamente propiedades ondulatorias y corpusculares, siendo éstas sólo diferentes manifestaciones de la dualidad corpuscular−ondulatoria única.
A esta idea llegaron todavía en 1924 Bohr, Kramers y Slater, quienes en su trabajo conjunto hicieron constar con determinación que el carácter ondulatorio de la propagación de la luz, de un lado, y su absorción y emisión en forma de cuantos, de otro, eran hechos experimentales en los que se debía basar cualquier teoría atómica sin que hubiera necesidad de buscar para estos hechos explicaciones algunas.
La inusitada unidad de las propiedades “onda−corpúsculo” está reflejada en las fórmulas de Planck (E = hv) y de De Broglie
.
La energía E y la masa m son las características de la partícula; la frecuencia v y la longitud de onda λ son indicios del proceso ondulatorio. La única razón que nos impide ver esta dualidad en la vida cotidiana es la pequeñez de la constante de Planck
h = 6,626189∙10-27 ergios∙s.
Incluso si es una circunstancia eventual se debe tenerla en cuenta.
Si viviéramos en un mundo donde la constante de Planck fuera comparable con sus dimensiones habituales, nuestras ideas sobre este mundo habrían diferido considerablemente de las actuales. Por ejemplo, nos costaría trabajo imaginarnos casas de contornos acusados o una locomotora en reposo. Más aún, en este mundo en general no podría haber horario de trenes: allí sería imposible tender vías−trayectorias, sólo se podría señalar las estaciones de salida y terminales de trenes. Por supuesto, es un mundo hipotético, ya que no estamos en condiciones de cambiar a nuestro antojo la magnitud de la constante de Planck: es siempre invariable y muy pequeña. Pero también los átomos son tan diminutos que la constante de Planck se puede comparar con sus dimensiones. “Para ellos” este mundo raro existe realmente y ahora nosotros debemos comprender su lógica insólita, igual que Gulliver tuvo que habituarse a las costumbres de los liliputienses.
Relación de incertidumbre de Heisenberg
Supongamos que nos hayamos compenetrado de tal modo de la idea de la indivisibilidad de las propiedades “onda−partícula” que quisiéramos anotar nuestro logro en el idioma exacto de las fórmulas. Estas fórmulas deben establecer la relación entre los números que corresponden a los conceptos de “onda” y “corpúsculo”. En la mecánica clásica estos conceptos están rigurosamente separados y se refieren a los fenómenos naturales absolutamente diferentes. En la mecánica cuántica la dualidad corpuscular−ondulatoria nos obliga a utilizar ambos conceptos a la vez y aplicarlos al mismo objeto. Este paso indispensable no se da como si tal cosa: debemos pagarlo y, por cierto, bastante caro.
Esto se aclaró del todo en 1927, cuando Werner Heisenberg se dio cuenta de que a pesar de que al objeto atómico son igualmente bien aplicables ambos conceptos, tanto el de “corpúsculo” como de “onda”, no obstante sólo por separado se puede definirlos rigurosamente.
En la física las palabras “definir un concepto” significan “señalar el modo de medir la magnitud que le corresponde”.
Heisenberg afirmaba: no se puede simultáneamente y, además, con precisión, medir la coordenada x y el impulso p del objeto atómico. Teniendo en cuenta la fórmula de De Broglie λ = h/p esto significa: no se puede simultáneamente y a la vez con precisión determinar la posición x del objeto atómico y la longitud de su onda λ. Por consiguiente, los conceptos de “onda” y “partícula”, al usarlos simultáneamente en la física atómica tienen un sentido limitado. Más aún, Heisenberg halló la medida numérica de esta limitación. Demostró que si conocemos la posición x y el impulso p de la partícula atómica con los errores 𝛿h o 𝛿p, no podemos precisar estas magnitudes infinitamente, sino únicamente hasta el momento mientras se cumpla la desigualdad, es decir, la relación de incertidumbre:
𝛿x ∙ 𝛿p ≥ ½h
Este límite es pequeño, mas lo fundamental es que existe.

La relación de incertidumbre es una rigurosa ley natural que no tiene nada que ver con la imperfección de nuestros aparatos. Esta relación afirma:
en principio no se pueden determinar simultáneamente la coordenada y el impulso de la partícula más exactamente que lo admite la desigualdad citada.
Lo mismo que no se puede superar la velocidad de la luz o alcanzar el cero absoluto de la temperatura. Igual que uno no puede levantarse a sí mismo por la cabellera, o hacer volver el día de ayer. En este caso es inoportuno alegar la omnipotencia de la ciencia: su fuerza no radica en infringir las leyes de la naturaleza, sino en que es capaz de descubrir, comprender y aprovecharlas.
Esto nos parece algo raro; nos acostumbramos a que la ciencia es todopoderosa y hemos excluido de su léxico la afirmación “imposible”. Es notable, sin embargo, que el triunfo supremo de cualquier ciencia se alcanza precisamente al establecer semejantes prohibiciones con la participación de la palabra “imposible”. Cuando dijeron “Es imposible construir el móvil perpetuo”, surgió la termodinámica. Apenas se dieron cuenta de que “no se puede superar la velocidad de la luz", nació la teoría de la relatividad. Sólo después de haber comprendido que diferentes propiedades de los objetos atómicos no se podían medir paralelamente con la exactitud cualquiera, se formó definitivamente la mecánica cuántica.
Al tomar conocimiento de la relación de incertidumbre surge una oposición instintiva: “¡Esto no puede ser!” Heisenberg explicó su causa, eliminando una idealización más de la física clásica: el concepto de observación. Demostró que en la mecánica atómica este concepto había que revisarlo, lo mismo que el de movimiento.
La mayor parte de sus conocimientos sobre el mundo el hombre los adquiere por medio de la vista. Esta peculiaridad de la percepción humana determinó su sistema de cognición: casi todos asociamos la palabra “observación” con la imagen de una persona de mirada atenta.

Al mirar a su interlocutor, uno está plenamente convencido de que su mirada no provocará la caída de ningún pelo de la cabeza de aquél, incluso si lo mira fijamente y tiene “una mirada dura”. En realidad, precisamente en este convencimiento se basa el concepto de la observación en la mecánica clásica. La mecánica clásica se desarrolló a base de la astronomía y puesto que nadie dudaba que al observar a la estrella no podíamos ejercer sobre la misma influencia alguna, esto fue aceptado tácitamente también para todas las demás observaciones.
Los conceptos “fenómeno”, “medición” y “observación” están estrechamente relacionados entre sí, aunque no coinciden. Los antiguos observaban los fenómenos: en esto consistía su método de estudio de la naturaleza. Luego, partiendo de sus observaciones llegaban a las consecuencias por medio de pura especulación. Por lo visto, desde entonces se arraigó la seguridad: un fenómeno existe independientemente de la observación.
Hemos subrayado reiteradamente la diferencia principal entre la física moderna y la antigua: la física moderna reemplazó la especulación por el experimento. Ella no niega que los fenómenos existen independientemente de la observación (y, por supuesto, de nuestra conciencia), pero afirma: estos fenómenos llegan a ser objeto de observación sólo en el caso de que señalemos el método exacto para medir sus propiedades. En la física los conceptos de “medición” y “observación” son inseparables.
Toda medición es la interacción del aparato con el objeto que estudiamos. Y toda interacción infringe el estado originario de ambos, de modo que como resultado de la medición obtenemos respecto al fenómeno datos alterados por la intervención del aparato. La física clásica suponía que todas estas alteraciones se podían tener en cuenta y que por los resultados de las mediciones era posible establecer el “verdadero” estado del objeto, que no dependa de las mediciones. Heisenberg demostró que tal suposición era errónea: en la física atómica el “fenómeno” y la “observación” no se pueden separar uno de la otra. En esencia, la “observación” también es un fenómeno qué dista mucho de ser el más simple.
Semejante afirmación, igual que muchas cosas en la mecánica cuántica, es desacostumbrada y provoca una protesta inconsciente. Pero de todos modos tratemos de comprenderla o, por lo menos, sentida.
La experiencia diaria nos persuade: cuanto menor es el objeto que estudiamos tanto más fácil es alterar su estado. En la naturaleza no conocemos nada más pequeño que los objetos atómicos: el átomo y el electrón. No podemos determinar sus propiedades haciendo un esfuerzo de voluntad. Al fin y al cabo nos vemos obligados a medir las propiedades de los objetos atómicos con ayuda de los propios objetos. En tales condiciones, el aparato es indistinguible del objeto.
Pero ¿por qué no se puede conseguir que en el proceso de medición un objeto atómico influya lo menos posible en el otro?
Resulta que ambos, tanto el aparato como el objeto, se hallan en el mismo mundo cuántico y por eso su interacción obedece a las leyes cuánticas. La principal particularidad de los fenómenos cuánticos es su discontinuidad. En el mundo cuántico nada suele ser apenas: las interacciones se operan allí sólo por cuantos: o todo, o nada. No podemos accionar tan débilmente como queremos sobre el sistema cuántico: hasta cierto momento éste en general no sentirá esa acción. Pero tan pronto la magnitud de la acción ha crecido a tal punto que el sistema sea capaz de percibirla, esto, como regla, conduce a la transición del sistema anterior al nuevo estado (también cuántico) y a menudo incluso a su destrucción.
En la mecánica cuántica el proceso de observación hace recordar más bien el gusto que la vista. “Para conocer las propiedades del pudding hace falta comerlo”, gustaban repetir los creadores de la mecánica cuántica, Y lo mismo que, una vez comido el pudding, no estamos en condiciones de comprobar de nuevo nuestra impresión de sus méritos, tampoco podemos precisar infinitamente nuestra información sobre el sistema cuántico: como regla, ya la primera medición lo destruirá. Heisenberg no sólo fue el primero en comprender este hecho severo, sino que supo anotarlo en el idioma de las fórmulas.
La relación de incertidumbre, por más incomprensible que parezca, es la sencilla consecuencia de la dualidad corpuscular−ondulatoria de los objetos atómicos. Al mismo tiempo esta relación es la clave hacia la comprensión de toda la mecánica cuántica, puesto que en ella se han concentrado sus principales particularidades. Después de ese descubrimiento de Heisenberg hubo que revisar no sólo la física atómica, sino también toda la teoría del conocimiento.
Otra vez sólo Niels Bohr fue capaz de dar semejante paso, puesto que combinaba felizmente el poderoso intelecto de un auténtico científico con el espíritu filosófico de un pensador verdadero. En su tiempo Bohr había creado el sistema de imágenes de la mecánica cuántica; y ahora, catorce años más tarde, perfeccionaba minuciosamente el sistema de sus conceptos.
Después de Bohr se hizo claro que tanto la relación de incertidumbre como la dualidad corpuscular−ondulatoria eran sólo manifestaciones particulares del principio más general: el principio de complementaridad.
Principio de complementaridad
El principio que Bohr llamó complementaridad es una de las más profundas ideas filosóficas, naturales y científicas de nuestra época comparable tan sólo con tales ideas como el principio de relatividad o el concepto de campo físico. Su carácter general impide reducirlo a un solo enunciado: se debe dominarlo paulatinamente a base de ejemplos concretos. Lo más sencillo (así procedió en su tiempo también Bohr) es comenzar por el análisis del proceso de medición del impulso p y de la coordenada x del objeto atómico.
Niels Bohr notó algo muy sencillo: la coordenada y el impulso de la partícula atómica no sólo es imposible medirlos simultáneamente, sino que en general por medio de un mismo aparato. En efecto, para medir el impulso p de la partícula, atómica y, además, sin alterarlo sustancialmente, hace falta un “aparato” extraordinariamente liviano y movible. Pero precisamente debido a su movilidad, la posición del mismo es muy incierta. Por lo tanto, para medir la coordenada x debemos tomar otro “aparato”, muy macizo que no se mueva al caer en él la partícula. Sin embargo, por mucho que se cambie en este caso el impulso de la partícula, nosotros ni siquiera lo notaremos.

Al hablar ante el micrófono, las ondas acústicas de nuestra voz se transforman allí en oscilaciones de la membrana. Cuanto más liviana y movible es la membrana, tanto más exactamente sigue ella las oscilaciones del aire, y tanto más difícil es determinar su posición en cada momento de tiempo. Esta simplísima instalación experimental ilustra la relación de incertidumbre de Heisenberg: en un mismo experimento no se puede determinar ambas características del objeto atómico: la coordenada x y el impulso p. Se necesitan dos mediciones y dos aparatos diferentes en principio, cuyas propiedades sean recíprocamente complementarias.
La complementaridad, he aquí la palabra y el viraje del pensamiento que gracias a Bohr se hicieron accesibles a todos. Hasta Bohr todos estaban convencidos de que la incompatibilidad de dos tipos de aparatos infaliblemente trae consigo la contradicción de las propiedades que se miden con éstos. Bohr negaba semejante rectitud de juicio y aclaraba: sí, en efecto, estas propiedades son incompatibles, mas para la descripción completa del objeto atómico ambas son igualmente indispensables y, por lo tanto, no se contradicen, sino que se complementan recíprocamente.
El razonamiento citado sobre la complementaridad de dos mediciones incompatibles se puede explicar con una analogía simple.

Supongamos que quisiéramos conocer el contenido del “cajón negro” construido de un modo especial, o sea a semejanza de la cámara oscura representada en el dibujo. Esta a diferencia de una cámara corriente tiene dos orificios y respectivamente dos placas fotográficas en las paredes de la caja opuestas a los orificios. Mientras ambos orificios estén cerrados, no sabemos nada del objeto que se halla en el cajón, sencillamente no existe para nosotros. Al abrir por turno los orificios, obtendremos en las placas fotográficas dos proyecciones planas del objeto que examinamos. Cada una de las proyecciones por separado es insuficiente, mas ambas son igualmente necesarias para reproducir el cuadro volumétrico del objeto que examinamos.
Dos proyecciones diferentes de un objeto corresponden a dos distintos, complementarios tipos de mediciones en la mecánica cuántica. Es evidente que no podemos llevar a cabo ambas mediciones al mismo tiempo, por cuanto al abrir simultáneamente los orificios en nuestra cámara oscura, además de la sombra del objeto producida por el orificio necesario, sobre cada una de las placas fotográficas caerá la luz del otro orificio “el complementario”, y las dos imágenes se estropearán. Está claro asimismo que durante la primera medición−observación alteraremos el estado inicial del objeto, es decir, desplazaremos y giraremos el objeto que observamos en el “cajón negro”. Esto significa que al abrir el segundo orificio obtendremos en otra placa fotográfica una proyección del objeto no verdadera, sino deformada. En estas condiciones el cuadro volumétrico se puede restablecer sólo con cierta inexactitud, lo que, no obstante, es mejor que un cuadro aunque exacto, pero plano.
La mecánica cuántica afirma que para reproducir el “cuadro volumétrico” de un objeto atómico son suficientes dos “proyecciones planas” de éste, es decir, dos mediciones complementarias: por ejemplo, de la coordenada y del impulso.
Vertidos al lenguaje de los conceptos abstractos, los razonamientos anteriores suenan aproximadamente del siguiente modo.
Un objeto atómico es “una cosa en sí” mientras no indiquemos el método para observarlo. Las diferentes propiedades del objeto requieren distintos métodos de observación, a veces incompatibles entre sí. En realidad los conceptos el “objeto” y la “observación” son sólo cómodas abstracciones necesarias para describir el concepto más general de la “situación experimental”. La ciencia física no estudia los objetos de por sí, sino las realizaciones concretas de la situación experimental que llamamos “fenómenos”. Desde el punto de vista del experimento cualquier fenómeno es un conjunto ordenado de números, que son resultados de las mediciones de la reacción del objeto a la acción del aparato de tipo dado. Al elegir diferentes aparatos complementarios, cambiamos la situación experimental; plasmándola, influimos sobre diferentes características del objeto; por último, observando los efectos de esta influencia, obtenemos diferentes conjuntos de números, es decir, estudiamos diversos fenómenos. Aunque es imposible estudiar los fenómenos complementarios simultáneamente, en un experimento, no obstante, éstos caracterizan el objeto atómico único y son necesarios en igual medida para su característica plena.
Siempre tenía importancia qué preguntas le hacemos a la naturaleza. Al dirigirlas a la naturaleza cuántica debemos estar especialmente atentos, puesto que de la elección de estas preguntas depende el método de desintegración de la naturaleza única en dos partes: sistema + observador. El principio de complementaridad enuncia que existen por lo menos dos métodos cualitativamente diferentes de desintegración de un fenómeno atómico en sistema y observador.
Estos razonamientos sobre la complementaridad de las propiedades de dos aparatos incompatibles explican el sentido del principio de complementaridad, mas de ningún modo lo agotan. En efecto, los aparatos nos hacen falta no por sí mismos, sino sólo para medir las propiedades de los objetos atómicos. La coordenada x y el impulso p son los conceptos que corresponden a dos propiedades que se miden por medio de dos aparatos. En la cadena de cognición ya familiar
fenómeno → imagen → concepto → fórmula
el principio de complementaridad se pone de manifiesto en primer lugar en el sistema de conceptos de la mecánica cuántica y en la lógica de sus deducciones.
Resulta que entre las rigurosas proposiciones de la lógica formal existe la “regla del tercero excluido” que dice: de dos opiniones opuestas una es verídica, otra es falsa y lo tercero no puede existir. En la física clásica no hubo casos que hicieran dudar de esta regla por cuanto allí los conceptos de “onda” y de “partícula” eran efectivamente opuestos e incompatibles en su esencia. Resultó, sin embargo, que en la física atómica para describir las propiedades de unos mismos objetos, ambos conceptos son igualmente bien aplicables con la particularidad de que para la descripción completa es necesario utilizarlos simultáneamente.
Las personas formadas en las tradiciones de la física clásica, percibieron estas exigencias como cierta violación del sentido común y hubo quien habló incluso de la infracción de las leyes de la lógica en la física atómica. Bohr explicó que no se trataba, ni mucho menos, de las leyes de la lógica, sino de la despreocupación con que a veces sin reservas algunas se usaban los conceptos clásicos para explicar los fenómenos atómicos. Mas semejantes reservas son necesarias, y la relación de incertidumbre de Heisenberg
𝛿x ∙ 𝛿p ≥ ½h
es la anotación exacta de esta exigencia en el riguroso idioma de las fórmulas.
La causa de la incompatibilidad de los conceptos complementarios en nuestra conciencia es profunda pero explicable. Resulta que no podemos conocer directamente el objeto atómico por medio de nuestros cinco sentidos. En vez de éstos utilizamos complejos aparatos de precisión que fueron inventados relativamente hace poco. Para explicar los resultados de los experimentos necesitamos palabras y conceptos, que habían aparecido mucho antes de la mecánica cuántica y de ningún modo se adaptaban a la misma. Sin embargo, nos vemos obligados a usarlos puesto que no tenemos otra salida: el idioma y todos los conceptos fundamentales los asimilamos con la leche materna y, de todos modos, mucho antes de conocer la existencia de la física.
El principio de complementaridad de Bohr es un feliz intento de reconciliar los defectos del sistema de conceptos asentado con el progreso de nuestros conocimientos sobre el mundo. Este principio amplió las posibilidades de nuestro pensamiento, explicando que en la física atómica se cambian no sólo los conceptos, sino también el planteamiento de los problemas sobre la esencia de los fenómenos ¡físicos.
Pero el significado del principio de complementaridad se extiende mucho más allá de los límites de la mecánica cuántica que le dio origen. Sólo más tarde, al intentar extenderlo a otras esferas de la ciencia, se aclaró su verdadero significado para todo el sistema de conocimientos humanos. Se puede discutir la legitimidad de semejante paso, mas es imposible negar su efecto benéfico en todos los casos, incluso distantes de la física.
A Bohr le gustaba citar el ejemplo de la biología, relacionado con la vida de la célula, cuyo papel es plenamente similar al significado del átomo en la física. Si el átomo es el último representante de la sustancia que conserva aún sus propiedades, la célula es la ínfima parte de cualquier organismo que todavía sigue representando la vida en su complejidad e inimitabilidad. Estudiar la vida de la célula significa conocer todos los procesos elementales que se operan en ella y, al mismo tiempo, comprender cómo la interacción de estos procesos conduce al estado absolutamente especial de la materia: a la vida.
Al intentar cumplir ese programa, resulta que la combinación simultánea de tal análisis y síntesis es irrealizable. En efecto, para penetrar en los detalles de los mecanismos de la célula, la examinamos en el microscopio −al principio corriente y luego, electrónico−, la calentamos, hacemos pasar a través de ella corriente eléctrica, la irradiamos, la descomponemos en sus partes integrantes...
Pero cuanto más atentamente estudiemos la vida de la célula tanto más intensamente nos inmiscuiremos en sus funciones y en el desarrollo de los procesos naturales que se operan en la misma. Al fin y al cabo la destruiremos y, por lo tanto, no llegaremos a saber nada de ella como de un organismo íntegro vivo.
Mas, no obstante, la respuesta a la pregunta “¿Qué es la vida?” exige tanto el análisis como la síntesis a la vez. Estos procesos son incompatibles pero no contradictorios, son solamente complementarios según Bohr. La necesidad de tenerlos en cuenta simultáneamente es sólo una de las causas debido a las cuales hasta hoy día no existe la respuesta cabal a la pregunta sobre la esencia de la vida.
Lo mismo que en un organismo vivo, en el átomo tiene importancia la integridad de sus propiedades “onda−partícula”. La divisibilidad finita de la materia engendró no sólo la divisibilidad finita de los fenómenos atómicos, sino que condujo además al límite de la divisibilidad de los conceptos, por medio de los cuales describimos esos fenómenos.
A menudo se dice que el correcto planteamiento de una pregunta supone ya la mitad de la respuesta. Estas no son simplemente palabras bellas.
La pregunta planteada correctamente se refiere a aquellas propiedades del fenómeno que éste efectivamente posee. Por eso tal pregunta encierra ya en sí todos los conceptos que es necesario utilizar en la respuesta. A una pregunta planteada de manera ideal se puede responder en forma concisa: “sí” o “no”. Bohr demostró que la pregunta “¿Onda o partícula?”, aplicada al objeto atómico fue planteada incorrectamente. El átomo no tiene semejantes propiedades separadas y, por lo tanto, la pregunta no admite una respuesta unívoca “sí” o “no”. Del mismo modo carece de respuesta la pregunta: “¿Qué es mayor: el metro o el kilogramo?”, y cualesquiera otras preguntas de tal índole.
Dos propiedades complementarias de la realidad atómica no se pueden separar sin destruir al mismo tiempo la plenitud y la unidad del fenómeno de la naturaleza que llamamos el átomo. En la mitología tales casos son bien conocidos: es imposible partir en dos un centauro, conservando la vida del caballo y del hombre.
El objeto atómico no es partícula ni onda, y ni siquiera ambas a la vez. El objeto atómico es algo tercero, que no equivale a la simple suma de las propiedades de la onda y de la partícula. Este “algo” atómico es inaccesible a la percepción de nuestros cinco sentidos y, no obstante, es indudablemente real. No poseemos imágenes ni órganos de los sentidos para imaginarnos plenamente las propiedades de esta realidad. Mas la fuerza de nuestro intelecto, apoyándose en la experiencia, nos permite conocerla. Al fin y al cabo (hay que reconocer que Born tiene razón), “...el físico atomista de nuestros días está muy lejos de las ideas idílicas del naturalista anticuado que esperaba penetrar en los misterios de la naturaleza, cazando mariposas en el prado”.
Cuando Heisenberg desistió de la idealización de la física clásica, el concepto de “estado del sistema físico, independiente de la observación”, con lo mismo anticipó una de las consecuencias del principio de complementaridad, por cuanto los conceptos de “estado” y “observación”, según Bohr, son complementarios. Tomados por separado son incompletos y por eso sólo pueden ser definidos en conjunto, uno a través de otro. Hablando en rigor, estos conceptos en general no existen por separado: siempre observamos no algo en general, sino obligatoriamente algún estado. Y por el contrario: todo “estado” es una cosa en sí, mientras no encontremos el método para “observarlo”.
Tomados por separado los conceptos de onda, partícula, estado del sistema y observación del sistema, son ciertas abstracciones que no tienen nada que ver con el mundo atómico, mas hacen falta para comprenderlo. Los sencillos cuadros clásicos son complementarios en el sentido de que para la plena descripción de la naturaleza de los fenómenos atómicos es indispensable la unión armoniosa de estos dos extremos. Sin embargo, dentro de los límites de la lógica corriente ellos pueden coexistir sin contradicciones sólo en el caso de que la esfera de su aplicación fuese recíprocamente limitada.
Meditando mucho sobre estos y otros problemas análogos, Bohr llegó a la conclusión de que no era una excepción, sino una regla general:
todo fenómeno de la naturaleza verdaderamente profundo no puede ser definido de una manera unívoca por medio de palabras de nuestro idioma, exigiendo para su definición por lo menos dos conceptos complementarios que se excluyen recíprocamente.
Esto significa que a condición de que se conserven nuestro idioma y la lógica acostumbrada, el modo de pensar, en forma de complementaridad, pone límites a la formulación exacta de los conceptos que corresponden a los fenómenos de la naturaleza verdaderamente profundos.

Semejantes definiciones bien son unívocas, mas entonces incompletas; bien completas, pero entonces no unívocas, puesto que incluyen conceptos complementarios incompatibles dentro de los límites de la lógica corriente. Entre tales conceptos figuran: “vida”, “objeto atómico”, “sistema físico” e incluso el de “conocimiento de la naturaleza”.
Desde los tiempos remotos se sabe que la ciencia es sólo uno de los medios de estudiar el mundo circundante. El otro medio −el complementario− está encarnado en el arte. El propio hecho de existencia común del arte y de la ciencia sirve de buena ilustración del principio de complementaridad. Uno se puede dedicar íntegramente a la ciencia o consagrar la vida al arte: ambos enfoques de la vida son igualmente lícitos, aunque tomados por separado son incompletos. El eje de la ciencia son la lógica y la experiencia. La base del arte son la intuición y la clarividencia. Sin embargo, el arte del ballet requiere la exactitud matemática, mientras que “...en la geometría la inspiración es tan necesaria como en la poesía”. El arte y la ciencia no se contradicen, sino que se complementan: la ciencia verdadera es afín al arte, lo mismo que el verdadero arte siempre incluye en sí elementos de la ciencia. En sus supremas manifestaciones son indistinguibles e inseparables como las propiedades “onda−corpúsculo” en el átomo. El arte y la ciencia reflejan diferentes aspectos complementarios de la experiencia humana y sólo tomados en su conjunto nos dan la plena idea acerca del mundo. Se desconoce, lamentablemente, “la relación de incertidumbre” del par conjugado de los conceptos “la ciencia−el arte” y debido a ello tampoco el grado de perjuicio que sufrimos al percibir la vida unilateralmente.
Por supuesto, la analogía citada, igual que toda analogía, no es completa ni rigurosa. Sólo nos ayuda a sentir la unidad y el carácter contradictorio de todo el sistema de conocimientos humanos.
* * * *
Dualidad e incertidumbre
En la óptica ondulatoria desde hace mucho sabían que en ningún microscopio se podía distinguir una partícula si sus dimensiones eran menores que la. mitad de la longitud de onda de luz que la alumbraba. En esto no veían nada de extraño: las ondas de luz y las partículas existen independientemente. Pero cuando se aclaró que también a la partícula se le podía atribuir la longitud de onda, esa afirmación de la óptica ondulatoria se convirtió en relación de incertidumbre:
la partícula no se puede localizar a sí misma más exactamente que a la mitad, de la longitud de su propia onda.
En la época de formación de la mecánica cuántica incluso los buenos físicos bromeaban amargamente que los lunes, miércoles y viernes tenían que imaginarse el electrón como partícula, y los días restantes, como onda. “Esto es paradójico al extremo y capaz de confundir a uno” −escribió Davisson en 1928, en su famoso artículo con el título característico de “¿Existen o no las ondas electrónicas?”−. “Debemos creer no sólo en que en cierto sentido los conejos son gatos, sino también que en algún sentido los gatos son conejos”.

Semejante modo de pensar llevaba a numerosas paradojas, de las cuales podremos librarnos si desde el principio nos obligamos a no separar en el electrón las pro−piedades “onda−partícula”. Sólo después de eso la relación de incertidumbre de Heisenberg dejará de ser algo raro y se convertirá en simple consecuencia de la dualidad corpuscular−ondulatoria.
Para cerciorarse de ello realicemos el imaginario experimento de medición del impulso p de una partícula en vuelo con la masa m. Como se sabe, p = mv, por tanto nos basta con medir la velocidad v. Para eso hay que señalar sus posiciones x1 y x2 en los momentos de tiempo t1 y t2 y luego calcular la velocidad según la fórmula:

Como siempre, durante la medición accionamos sobre la partícula y con lo mismo cambiamos su velocidad. Por eso, si queremos medir la velocidad v con la mayor exactitud posible, debemos elegir los puntos x1y x2lo más cerca posible, o sea, pasar al límite ∆x → 0. En la física clásica se procede justamente así.
Pero en la mecánica cuántica no podemos elegir la distancia entre los puntos x1 y x2 tan cerca como se quiera, y todo el tiempo debemos tener presente que la partícula en vuelo no es un punto, sino cierto proceso ondulatorio y no se puede imaginarla menor que la mitad de la longitud de onda de este proceso. Por eso el error δx de determinación de cada una de las coordenadas x1 y x2 siempre será mayor o, por lo menos, igual a λ/2.
Por la misma razón no tiene sentido tomar la distancia Δx = x1 − x2 entre dos mediciones seguidas menor que λ/2. El valor más exacto de la velocidad v se obtiene siendo el valor Δx = λ/2, entonces será igual a

Se comprende que incluso este valor contiene el error insuperable δv, que depende de la exactitud de la determinación de las coordenadas x1 y x2 y es igual a

Al comparar las dos últimas fórmulas para v y 𝛿v, llegamos a un resultado inesperado, pero riguroso: 𝛿v ≥ v. Es decir, el error de la determinación del impulso siempre es mayor o, por lo menos, igual a su valor medido del modo más exacto: 𝛿p ≥ p.
La magnitud absoluta del error 𝛿p se determina por la longitud de onda λ. En efecto, la fórmula de De Broglie λ = h/p se puede transformar: p = h/λ. Y puesto que 𝛿p ≥ p, tendremos 𝛿p ≥ h/λ. La magnitud de ambos errores
δx ≥ λ/2 y δp ≥ λ/2
depende de la longitud de onda de la partícula λ. Cuanto más despacio se mueve la partícula tanto mayor es la longitud de su onda λ = h/mvY tanto menor el error δp.
Pero precisamente para tal partícula, la incertidumbre de la coordenada δx es muy grande. Al cambiar la velocidad de la partícula, podemos disminuir bien δx, bien δp, mas nunca podremos disminuir su producto: δx∙δp ≥ ½h.
Experimentos e ideas de Perrin
De nuestro análisis se desprende otra deducción inesperada que, dicho sea de paso, conocemos ya: los objetos atómicos carecen de trayectoria, por cuanto al calcular la velocidad de la partícula v = dx/dt no se puede pasar al límite Δx → 0, Δt → 0 ni calcular la derivada

Son consideraciones teóricas. En la práctica, por vez primera chocó con esta circunstancia Jean Perrin al estudiar el movimiento browniano. A este respecto escribió:
“Los zigzags de la trayectoria son tan numerosos y se recorren a tal velocidad que es imposible seguirlos... La velocidad media aparente de la partícula en el transcurso de un intervalo determinado sufre enormes cambios de magnitud y dirección y de ninguna manera tiende al límite alguno al disminuir este intervalo. Es fácil convencerse de ello si se señala la posición del granito en la pantalla cada minuto, luego cada 5 s y, por último, fotografiándolos con intervalos de 1/20 s. ...En ningún punto de la trayectoria se puede obtener una tangente de dirección determinada. Es difícil en este caso abstenerse de pensar en funciones sin derivada, en las cuales injustamente ven sólo una curiosidad matemática. De hecho, la naturaleza sugiere la noción de éstas al igual que la de las funciones con derivada”.
Quince años más tarde, la suposición de Perrin la confirmó el creador de la cibernética Norbert Wiener, quien fundó la teoría del movimiento browniano a base de “funciones continuas sin derivadas”.
Desde luego, el movimiento browniano no es todavía la mecánica cuántica, pero sí una buena ilustración de algunas de sus particularidades.
El poeta y el principio de complementaridad
El principio de complementaridad por sí solo, fuera de la física, es un invento antiguo. En realidad, es una categoría bastante conocida de la lógica dialéctica, y diferentes filósofos en todos los tiempos lo habían expresado reiteradamente. Aristóteles dijo, por ejemplo, que “la armonía es una mezcla y combinación de contrastes”, mientras que las tríadas de Hegel se pueden adaptar con éxito para analizar los conceptos de la mecánica cuántica.
A este respecto es curioso recordar cómo los poetas han redescubierto para sí el principio de complementaridad. En 1901, Valeri Briúsov escribió un artículo titulado "Verdades” en el cual leemos literalmente lo que sigue:
“Sea cual fuere nuestra concepción del mundo, existen fundamentos que, sin duda alguna, son obligatorios para el pensamiento... Cuando me pongo a pensar, debo... creer que a mí, al hombre, en general, por medio del pensamiento es posible comprender la verdad. Tal vez, y probablemente, existan otros caminos para comprender el mundo: sueños, presentimientos y revelaciones, pero si por algo elegí el pensamiento lógico, debo confiar en él. De lo contrario, cualquier razonamiento será inútil...”
“Para el pensamiento se necesita pluralidad, independientemente de si ésta será el fraccionamiento del yo, o tendrá el aspecto de algo externo. El pensamiento y, más ampliamente, la vida, surge de la confrontación de dos principios, por lo menos. El principio único es el no ser, la unidad de la verdad es el no pensar. Si no existiese la derecha y la izquierda, no habría espacio; si no existiese el bien y el mal, no habría moralidad...”
“En la verdad vale únicamente aquello que se puede dudar. ‘El Sol existe’, de esto no caben dudas... Es una verdad, pero carece de valor independiente. Nadie necesita tal verdad. Por ella nadie irá a la hoguera. Incluso, hablando más claro, no es una verdad, sino una definición. ‘El Sol existe’, es nada más que una expresión particular en vez de: tal objeto lo llamo Sol”.
“La verdad adquiere valor sólo al hacerse parte de la posible concepción del mundo. Mas al mismo tiempo se vuelve discutible, por lo menos se puede discutir sobre ella... Más aún, una verdad valiosa infaliblemente tiene derecho a otra verdad opuesta que le corresponde; con otras palabras: una proposición directamente opuesta a la verdad, a su vez, es verídica...”
Aquí, seguramente, es oportuno recordar también a Pascal quien escribió:
“Todos los principios de los pirronianos, estoicos, ateos, etc., son verídicos, pero sus conclusiones son falsas porque los principios opuestos también son verídicos”.
Es significativo que muchas de estas afirmaciones casi literalmente anticipan las formulaciones de Bohr. No todos saben que también Bohr llegó a su principio de complementaridad no “desde la física”, sino “desde la filosofía”. La idea de complementaridad maduró en Bohr todavía en sus años juveniles bajo la influencia del filósofo Kierkegaard. Ulteriormente, esa idea se iba consolidando y precisando hasta que obtuvo, por fin, una digna aplicación en la física atómica.
El mismo Valeri Briúsov, veinte años más tarde, en 1922, todavía antes de la creación de la mecánica cuántica, escribió una poesía que habla por sí misma:
El mundo del electrón
¡Quién sabe, si los electrones
Son mundos con sus continentes.
Con arte, ciencia, guerras, trones
Y la memoria de los siglos!
Y átomos, ¿son Universos
Poblados por planetas chicos
Que en volumen reducido
Nuestro mundo asemejan?
Aunque algo peculiares
Son igualmente infinitos
Y conmovidos por pasiones,
Dolor y presunción mundana.
Para sus sabios, en su mundo
La existencia se centró
Y tratan de penetrar sus enigmas
Filosofando, como yo ...
Capítulo 9
Ecuación de Schrödinger; ¿Qué forma representa la función ψ; Átomo; Verdad cuántica
“Tal vez, a un naturalista que abandona la esfera de la percepción sensitiva directa con el fin de descubrir las correlaciones más generales, se le puede comparar con el alpinista que quiere subir a la cima de la montaña más alta para observar el terreno que se halla ante él en toda su diversidad. El alpinista también se ve obligado a abandonar los fértiles valles poblados. A medida que sube, ante él cada vez más ampliamente se abren los alrededores, pero al mismo tiempo nota en torno suyo cada vez menos indicios de vida. Al fin, alcanza la zona de hielo y nieve de un brillo deslumbrador donde no hay ya vida alguna y es casi imposible respirar. Sólo al atravesarla podrá alcanzar la cima. Pero al subir a la cumbre, llegará el momento en que con absoluta claridad verá todo el paisaje que se extiende ante él y, posiblemente entonces la zona de la vida no esté demasiado lejos de él... En épocas anteriores estas regiones inanimadas se percibían tan sólo como desiertos rígidos, irrumpir en los cuales parecía un sacrilegio respecto a ciertas fuerzas superiores que castigaban cruelmente a todos los que se atrevían acercarse a ellos”.
Estas palabras de Heisenberg explican bien el salto cualitativo que se operó en la conciencia de la gente cuando pasaron de la observación de los fenómenos, que influían directamente sobre sus órganos de los sentidos, al estudio de los fenómenos atómicos. Dicho viraje tuvo lugar al principio del siglo XX y era tan importante que lo explicaremos una vez más en un ejemplo concreto.
Imagínese que ante Ud. suena una cuerda tensa. Ud. oye el sonido, ve la cuerda vibrante, puede tocarla con la mano y a base de estos datos en su conciencia se forma la imagen del fenómeno físico que tiene lugar ante sus ojos. El concepto de “proceso ondulatorio” surge más tarde, al observar otros fenómenos parecidos. Para que este concepto sea unívoco lo fijan por medio de una fórmula, es decir, una ecuación que permite pronosticar todo el proceso de vibración de la cuerda. Este pronóstico lo podemos comprobar filmando, por ejemplo, las vibraciones de la cuerda en la película cinematográfica...
Hemos analizado conscientemente una vez más la cadena:
fenómeno → imagen → concepto → fórmula → experimento
que constituye la base de todo conocimiento físico. El último eslabón de esta cadena, el experimento, comprueba hasta qué punto es correcta nuestra representación del fenómeno en su integridad a base de conocimientos parciales acerca del mismo.
Mas este sencillo esquema no nos ayudará a responder a la pregunta “¿Qué es el átomo?” simplemente porque el fenómeno “el átomo” no influye sobre nuestros órganos de los sentidos y éstos no pueden darnos ninguna “imagen del átomo” ni siquiera aproximada. Por eso, al principio el concepto de “átomo” surgió de un modo puramente especulativo sin referencias a los órganos de los sentidos, y en el transcurso de veinte siglos seguía siendo sólo una hipótesis curiosa, que no tenía ventaja alguna ante otras hipótesis sobre la estructura de la materia.
La verdadera historia del átomo comenzó al aparecer la ciencia, cuando los hombres empezaron a fiarse no sólo de sus órganos de los sentidos, sino aprendieron, además, a confiar en las indicaciones de los aparatos. Mediante éstos observaron el comportamiento de los cuerpos al disolverse, al hacer pasar la corriente eléctrica la solución, al calentarlos, al alumbrarlos y en caso de otras muchas influencias. Los científicos no simplemente observaban estos fenómenos, sino que los estudiaban, es decir, medían la temperatura de los cuerpos, la longitud de onda de la luz que emitían éstos y otras muchas cosas que conocemos ya. Los resultados de sus mediciones los anotaban en forma de números. Precisamente estos números remplazaron para los físicos las sensaciones directas, que les proporcionaban antes los órganos de los sentidos. Los números: he aquí lo único en que empezaron a confiar, cuando emprendieron el estudio de los fenómenos que no estaban al alcance directo de la percepción sensitiva. Operando con los números, los físicos empezaron a hallar relaciones entre ellos, anotándolas por medio de fórmulas.
Pero los hombres no se comunican mediante fórmulas, sino con ayuda de palabras y para hablar de los nuevos nexos en la naturaleza, inventan conceptos que corresponden a las fórmulas. A veces estos conceptos son muy poco comunes, mas la gente se acostumbra a ellos con rapidez, aprende a utilizarlos correctamente e incluso crea para sí ciertas imágenes que relaciona con los conceptos nuevos.
La cadena de conocimiento se invierte:

En la historia del átomo es fácil observar esta cadena: Fraunhofer, Kirchhoff y Bunsen descubrieron que cada átomo emitía una serie rigurosamente determinada de rayas espectrales (el fenómeno) y que a cada raya espectral le correspondía un número: la longitud de onda λ (el experimento). Balmer, Rydberg y Ritz encontraron simples relaciones entre estos números (la fórmula) y Bohr mostró que las fórmulas de ellos se desprendían de un principio único que se denominó cuantificación (el concepto). Por último, a base de estos experimentos, fórmulas y conceptos surgió la imagen: el átomo de Bohr.
No obstante, los experimentos proseguían, trayendo números y hechos nuevos que no cabían ya en los marcos de las fórmulas, conceptos e imágenes anteriores. Entonces nació la mecánica cuántica: el principio único, del que se desprendían todas las fórmulas empíricas y conjeturas acertadas anteriores.
Hasta ahora hemos conocido bastante sobre los experimentos de la física atómica y los conceptos que era necesario utilizar para explicar estos experimentos. Pero queremos algo más: en este nivel de conocimientos nuevo y más elevado queremos crear la imagen del átomo.

Para esto debemos referirnos, aunque sea superficialmente, a las fórmulas de la mecánica cuántica. Esto es imprescindible: al fin y al cabo, la belleza de las construcciones lógicas en la ciencia es mucho más importante que los efectos de las asociaciones inesperadas.
Ecuación de Schrödinger
Lo que dijimos anteriormente sobre la mecánica cuántica casi nos ha convencido de que el electrón en el átomo no tiene una posición determinada o, por lo menos, alguna órbita en la que se mueve. En cambio, hasta ahora hemos asimilado una idea bastante vaga de que el electrón al moverse en el átomo “se esparce”.
Esta idea indeterminada Schrödinger logró expresarla con bastante precisión mediante el idioma unívoco de las fórmulas. La ecuación de Schrödinger, igual que toda ley profunda natural, no se puede deducir rigurosamente de las leyes más simples. Se puede sólo adivinarla. Así lo hizo Schrödinger, reconociendo luego que él mismo no acababa de comprender cómo lo había logrado. Mas una vez adivinada la ecuación, se debe aprender todavía a utilizarla: es necesario saber qué significan todos los símbolos de la ecuación y qué fenómenos reflejan en el átomo.
La ecuación de Schrödinger

la hemos citado ya en cierta ocasión, explicando el significado de los símbolos que contiene: ħ es la constante de Planck h dividida por 2π; m, la masa del electrón; E, la energía total del electrón en el átomo, y U(x), su energía potencial que muestra con qué fuerza se atraería el electrón al núcleo si fuese partícula y se hallase a la distancia x del núcleo. Pero igual que antes no vemos claramente el significado de la función de onda psi (ψ). Para comprenderlo volvamos otra vez a la analogía con la cuerda vibrante.
Su ecuación

es muy parecida a la de Schrödinger. Varias soluciones de la ecuación de la cuerda y de la función U = Uk(x), están representadas en el dibujo.
Son sinusoides corrientes que todos conocen y cuyo significado es evidente: representan la forma de la cuerda en algún momento de tiempo, es decir una fotografía instantánea del proceso de su vibración. La forma de las vibraciones de la cuerda depende del número de nodos k: puntos que permanecen inmóviles en el proceso de vibración. Por eso existe infinidad de soluciones U = Uk(x) que difieren por el número de nodos k.

Ahora vean el dibujo en el que junto a las sinusoides de la cuerda Uk(x) están representadas las soluciones ψ = ψn(x) de la ecuación de Schrödinger para el átomo de hidrógeno. Son muy parecidas. Incluso si en el átomo no se producen ningunas vibraciones reales, semejantes a los movimientos de la cuerda, no por eso la analogía será menos útil.
La analogía señalada permite numerar las soluciones ψn(x) con un número entero n, lo mismo que las soluciones Uk(x) se numeran con el número entero k. Más aún, resultó que el número entero n era precisamente aquel número cuántico incomprensible con el cual Bohr numeraba las órbitas del electrón en el átomo. Ahora ha perdido su matiz místico: n no es otra cosa que el número de nodos de la función de onda más una unidad (n = k + 1).
El primer postulado de Bohr con cierto “esfuerzo de voluntad” ordenaba a los electrones a moverse en el átomo sólo en las órbitas que correspondían a la condición cuántica:

Fue un principio fructífero, pero impropio de la física y por eso provocó entre los contemporáneos una compleja mezcla de admiración y descontento. La exigencia de Schrödinger era mucho más lógica: por más ingenioso que fuese el movimiento del electrón en el átomo debe, no obstante, hallarse dentro del átomo. Por eso la función que “representa” este movimiento, independientemente de su naturaleza, debe concentrarse junto al núcleo. Esta única condición límite permitió deducir de la ecuación de Schrödinger todo: las condiciones de cuantificación de Bohr, la energía del electrón en las órbitas estacionarias y el sentido de los números cuánticos.
En su tiempo, estas consecuencias de la teoría de Schrödinger cautivaron a muchos por su sencillez. A la ecuación de Schrödinger le dieron crédito y se pusieron a aclarar lo último: que es la función ψ.
Si bien la función Uk(x) representa la forma de la cuerda vibrante, ¿qué representa la función ψ?
¿Qué forma representa la función ψ?
Es una de las preguntas más complejas de la mecánica cuántica a la que el mismo Schrödinger al principio había contestado erróneamente. Mas su respuesta es tan cómoda y se aproxima tanto a la verdad que para comenzar la utilizaremos.

Hela aquí.
El electrón en el átomo no existe como partícula. Se esparce allí en una especie de nube, cuya forma y densidad se determinan por la función de onda ψ(x), con la particularidad que a la distancia x del núcleo la densidad ρ(x) de la nube electrónica es igual al cuadrado de esta función:
ρn(x) = |ψn(x)|2
Para explicar esta idea recordemos aquella sandía por la que hemos empezado nuestro relato sobre la mecánica cuántica y tratemos de representar en un dibujo su densidad ρ(x), en función de la distancia x hasta el centro de la sandía. Por lo visto, la función ρ(x) para una sandía en cualquier parte es aproximadamente constante y sólo aumenta algo hacia los bordes, debido a las semillas y la cáscara y, al fin, se interrumpe bruscamente en el límite de la sandía. Echando una mirada a nuestro dibujo, incluso el que jamás ha visto una sandía puede imaginarse esquemáticamente su estructura interna. Es cierto, que en este caso no tendrá ni la menor idea de su sabor, color ni aroma, así como de los mil indicios pequeños que distinguen una sandía de otra.
Tratando de penetrar en el interior del átomo nos vemos en la situación del hombre que nunca en su vida había visto una sandía, mas quiere imaginársela a través de la función p(x). Para el átomo la función ρ(x) la calculan de la ecuación de Schrödinger y luego por medio de esta función se presenta la distribución de la nube electrónica en el átomo. Estos cuadros reemplazan la imagen visual del átomo, hacia la cual todos tendemos inconscientemente.
En las páginas siguientes están representadas las imágenes volumétricas del átomo de hidrógeno, construidas según las funciones ρ(x), calculadas de la ecuación de Schrödinger. Es precisamente la nueva imagen del átomo hacia la cual tardamos tanto en llegar y a la que ahora debemos acostumbrarnos. En adelante dicha imagen casi no sufrirá cambios: más exactamente, no la misma imagen, sino nuestro modo de enfocarla.
Ahora lo más difícil ha quedado atrás y podemos hacer el balance sin darnos prisa. En primer lugar, pero ya en otro nivel, volvamos de nuevo a la pregunta “¿Qué es el átomo?”
Átomo
Recuérdese el modelo de Thomson: una gran esfera positiva en la que flotan pequeños electrones negativos.
En realidad todo resultó al revés: en el centro del átomo se halla el diminuto núcleo positivo rodeado por la nube electrónica negativa. La forma de ésta no es espontánea: se determina por leyes exactas de la mecánica cuántica. Por supuesto, no es una bolita con límites nítidos, mas en su conjunto el átomo de hidrógeno no excitado se parece mucho a una esfera (Demócrito lo adivinó correctamente).
Sin embargo, la forma de los átomos excitados difiere ya de la esférica y tanto más cuanto más excitado está el átomo.
Al excitar el átomo consumimos energía precisamente para reconstruir su nube electrónica. A cada forma de la nube Je corresponde su energía bien determinada. Por eso, para hacer pasar el átomo de una ¡forma a otra, debemos gastar una cantidad de energía rigurosamente determinada, el cuanto hv, como lo exige el segundo postulado de Bohr.
Hasta ahora hemos hablado intencionadamente sólo del átomo de hidrógeno. De hecho, es el único átomo que el físico conoce actualmente en todos los detalles y puede figurarse su imagen verosímil. Hoy en día esto es más o menos evidente para todos. Pero en los primeros años después de la creación de la mecánica cuántica, el entusiasmo de los vencedores era tan grande que se olvidaron absolutamente de la química, procreadora del átomo. “Desde el punto de vista del físico, la química no existe −declaraban los más apasionados−. Dadnos la carga del núcleo y lo vestiremos con una pelliza de electrones de modo que este átomo construido por nosotros no se diferenciará de uno verdadero”.
Empezaron a construir y resultó que no lograban prescindir de la química. Ya en el litio dieron un traspié: en vez de situar dos electrones en la primera capa y el tercero, en la segunda, colocaron sus tres electrones en la misma capa. Mas en los años de auge semejantes dificultades particulares se superan rápidamente.
La salida se encontró casi en seguida, tan pronto se dirigieron a la tabla periódica de los elementos de Mendeléiev, que también antes más de una vez había sacado de apuros tanto a los físicos como a los químicos. En efecto, si las propiedades químicas de las sustancias dependen de los electrones que rodean el núcleo, la periodicidad de las propiedades químicas de los elementos indica directamente que los electrones en los átomos están dispuestos no de cualquier modo, sino en grupos: capas. Era muy lógico suponer que el número de electrones en cada una de las capas coincidía con la longitud de los períodos de la tabla de Mendeléiev. Fue precisamente lo que hizo Wolfgang Pauli.
Sólo después de eso se logró crear la imagen no únicamente del átomo de hidrógeno, sino también de los átomos más complejos. En general, la forma de la nube electrónica en los átomos pesados no se distingue mucho de nuestros dibujos. Mas se logró calcularla exactamente sólo después de los trabajos del científico inglés Douglas Hartree y el físico soviético Vladimir Alexándrovich Fok. Es un problema muy difícil que no siempre pueden resolver incluso las computadoras modernas.
Hablando de la forma de los cuerpos, como regla, suponemos que tienen también dimensiones.
Sin embargo, no siempre es así: la bola de billar tiene forma y dimensiones, pero hablar de las dimensiones de una nube ya es difícil, aunque su forma, generalmente, no suscita dudas.

La consecuencia más inesperada del nuevo modelo del átomo consiste en que el átomo no tiene dimensiones geométricas determinadas.

Con otras palabras, el límite del átomo se puede marcar sólo convencionalmente: igual que los contornos de una nube. Nos vemos obligados a aceptar estas consecuencias del nuevo modelo del átomo para explicar las propiedades observadas de los cuerpos, por ejemplo, la diversidad de las formas geométricas de los cristales. Esto no debe asombrarnos sobremanera, puesto que también los edificios están construidos de ladrillos, mas no nos extraña que éstos no sean la casa en miniatura, sino simplemente ladrillos. Los cuerpos que nos rodean tienen color, olor y dimensiones, mas los átomos
que forman estos cuerpos no poseen ninguna de estas cualidades. Les quedó una sola propiedad invariable: la masa. Pero carecen de forma invariable. Solamente las leyes de la mecánica cuántica, que dirigen esta ¡forma, son invariables.

¿Pero por qué el átomo que ni siquiera tiene dimensiones es tan estable? Tampoco esto debe extrañarnos: al fin y al cabo la Tierra tampoco se apoya en tres ballenas y, no obstante, suspendida en el vacío, durante millones de años conserva su órbita invariable. El secreto de su estabilidad radica en el movimiento y en la invariabilidad de las leyes dinámicas que dirigen este movimiento. Esta es también la causa de la estabilidad de los átomos, aunque las leyes que gobiernan el movimiento de los electrones no se parecen en nada a las de la mecánica celeste. (Para ser justos es necesario señalar que la estabilidad cuántica es mucho más segura que la estabilidad dinámica de la mecánica clásica: el átomo destruido restablece su estructura, mas la órbita de la Tierra nunca volverá a ser como antes, una vez desviada por la intromisión súbita de un cuerpo cósmico ajeno.)
Los átomos de diferentes elementos difieren por la masa y la carga del núcleo. ¿Mas qué indicio diferencia a dos átomos de un mismo elemento? Para las sandías semejante pregunta no es actual: nadie había visto nunca dos sandías absolutamente iguales. Mucho más difícil es distinguir un ladrillo de otro y sólo en caso de que estén rotos la tarea se simplifica algo.
Con los átomos pasa lo mismo. Si sus masas y cargas de los núcleos son iguales, se puede distinguirlos sólo por la forma de la nube electrónica, que depende del grado de excitación de los átomos. Todos los átomos no excitados de un mismo elemento son indistinguibles, igual que los ladrillos de la misma gradilla. El papel de tal gradilla para los átomos juegan las leyes dinámicas de la mecánica cuántica, inmutables e iguales para todos los átomos.
En el dibujo los retratos del átomo reflejan nuestro nivel actual de conocimientos acerca de éste. Es precisamente la imagen moderna del átomo que reemplazó los modelos de Demócrito, Thomson y Bohr. Desde luego, tampoco los “retratos” modernos se deben tomar muy literalmente: no son, ni mucho menos, “fotografías de los átomos”, análogas a las de la cuerda vibrante. No podemos medir directamente la distribución de la densidad electrónica dentro del átomo por medio de los instrumentos simples ni complejos, ya que esto lo destruirá inevitablemente (incluso para comprobar la calidad de una sandía hay que cortarla previamente). No obstante, tenemos muchas razones para creer en el cuadro encontrado: con su ayuda podemos explicar consecuentemente todos los experimentos que nos llevaron a la imagen moderna del átomo.
Ahora no nos debe extrañar el hecho de que las partículas a en los experimentos de Rutherford atravesaban libremente miles de millones de átomos, como si fuera el vacío. Es que tampoco la Tierra al atravesar las colas de los cometas, nunca se desvía de su órbita. Debe ser claro para nosotros también el mecanismo de la aparición de las rayas espectrales: el átomo simplemente cambia de un salto la forma de distribución de la nube electrónica, emitiendo en este caso un cuanto de energía. Debemos comprender ahora también el desdoblamiento de frecuencia de rayas espectrales en el campo eléctrico (el efecto de Stark) y en el campo magnético (el efecto de Zeeman): la nube electrónica está cargada y sus diferentes formas cambian algo sometidas a la acción de los campos y, junto con ellas, cambian tanto la energía del cuanto que es necesario consumir para modificar la forma de la nube como la frecuencia v de la raya espectral que corresponde a este cuanto. Aplicando ecuaciones de la mecánica cuántica estos simples razonamientos cualitativos se pueden comprobar con cálculos exactos para persuadirse de que coinciden con los hechos experimentales.
Mas por el momento para nosotros es más importante comprender otra cosa: ¿por qué estamos seguros de que la imagen del átomo, creada por nosotros, corresponde a la verdad?
Verdad cuántica
Ante todo, ¿de qué verdad se tratará? ¿Qué se entiende por verdad en la mecánica cuántica? Si se tratase de una sandía todo estaría claro. Por ejemplo, diríamos en seguida que el sólo conocer la distribución de la densidad dentro de la sandía no nos satisface: no es toda la verdad ni mucho menos, acerca de ésta. Sólo después de haberla visto, tocado y comido, al fin, podremos decir qué es en realidad. Pero incluso tal conocimiento pleno, desde el punto de vista de la mayoría de la gente, para los científicos es muy preliminar. Ellos empezarán a examinar la sandía en el microscopio y dirán que está compuesta de células. A continuación declararán que las células están formadas de moléculas, luego, que las moléculas, de átomos... El círculo se cerró. Para conocer a fondo la sandía, de nuevo tenemos que contestar a la pregunta: “¿Qué es el átomo?”
En realidad las cosas no marchan tan mal: el concepto de “sandía” se había formado muchos siglos antes de que apareciera la ciencia en−general y no depende mucho de sus logros pasados o futuros, puesto que se apoya sólo en nuestras sensaciones. Este concepto puede cambiar sólo
en el caso de que todos los hombres, repentina y simultáneamente, adquieran un sentido más: el sexto. Suponiendo que esto es irreal decimos tranquilamente que conocemos la plena verdad acerca de la sandía si la hemos sometido a prueba de todos nuestros cinco sentidos. (Recuerde cómo compramos una sandía: primero ponemos los ojos en alguna, luego la tomamos en las manos, a veces la acercamos al oído paira sentir un leve crujido y, al fin, cortándola, la probamos.)
¿Se puede enfocar del mismo modo el concepto de “átomo”? Es que el número de experimentos a base de los cuales construimos la imagen y el concepto de “átomo” es infinito y, en principio, cada uno de ellos añade a nuestros conocimientos algo nuevo. No podemos pararnos en este camino y decir: “Basta con experimentos, hemos construido ya la imagen del átomo y las pruebas ulteriores sólo podrán estropearla”. Al contrario, nos regocija cada experimento nuevo y, sobre todo, aquellos que están al margen de las imágenes inventadas por nosotros. Precisamente tales experimentos nos ayudaron a renunciar a los átomos − bolitas sólidas y a construir un modelo más perfecto. ¿Por qué entonces ahora estamos seguros de que la imagen actual del átomo corresponde a la verdad?
Hay que reconocer que los físicos no están nada seguros de esto, pero pueden decir honrada y dignamente: “En los últimos cien años no se ha hecho ni un solo experimento que contradijera el cuadro creado por nosotros. Por eso hablemos mejor no de su autenticidad, sino de lo fructífero que es, de cómo nos ayuda a explicar y predecir las particularidades de los fenómenos atómicos”.
Aquí se pone de manifiesto algo sorprendente: no es tan necesario que sepamos “qué aspecto tiene el átomo en realidad”. Basta con aprender las ecuaciones de la mecánica cuántica y las reglas para manipularlas. Hecho esto, podemos pronosticar todo: cómo cambiará el color del cuerpo al calentarlo, qué rayas espectrales emitirá en este caso y cómo cambiará la longitud de su onda si el cuerpo se coloca en los campos eléctrico o magnético. Podemos predecir la forma de los cristales, su capacidad calorífica y su conductibilidad. Podemos, al fin, construir una central eléctrica atómica o un rompehielos atómico que funcionen sin fallos. Todo esto sin la menor referencia a la forma “verdadera” del átomo.
A base de ello muchos (con el buen comienzo de Heisenberg) proponen en la mecánica cuántica prescindir del todo de imágenes palmarias. Se puede discutir hasta qué punto es racional tal proposición extrema, mas no se puede negar rotundamente su posibilidad. A la pregunta “¿qué es el átomo?” los partidarios de las medidas extremas contestan lacónicamente: “El átomo es un sistema de ecuaciones diferenciales”. Lamentablemente esta broma contiene mucha verdad. El “átomo de la sandía” es muy pobre de propiedades en comparación con la sandía entera. Pero estas propiedades son contradictorias y por el momento se puede reunirlas sin violar la lógica y el sencido común sólo en las ecuaciones de la mecánica cuántica.
La mecánica cuántica es un esquema matemático que permite calcular las características de los fenómenos atómicos, que pueden medirse físicamente: los niveles de energía de los átomos, la intensidad y la frecuencia de las rayas espectrales, su desdoblamiento en los campos eléctrico y magnético y muchas otras características.
Si la tarea de la física radicase sólo en esto, la construcción de la mecánica del átomo se podría considerar concluida. Pero la física está destinada a darnos algo mayor: el cuadro racional del mundo. Un programa tan amplio no se puede cumplir sólo con fórmulas y números: es necesario hallar imágenes y formular conceptos que les correspondan. Esto presenta un interés especial para todos los que no son físicos y no conocen ni comprenden las fórmulas de la mecánica cuántica. Para ellos el idioma de las imágenes y conceptos es el único medio de penetrar en las entrañas del átomo. Desde la época de Demócrito hemos avanzado bastante en este camino y ahora nos hemos formado el cuadro del átomo más o menos satisfactorio. Sin embargo, éste para ser perfecto carece todavía de unos cuantos rasgos.
En efecto, sabemos hoy que la dualidad “onda−corpúsculo” es la propiedad principal de todos los fenómenos atómicos. Pero ¿acaso el mismo electrón no es, pese a todo, partícula? En cambio nosotros ahora hemos llegado a otro extremo y afirmamos que el electrón en el átomo es una especie de nube cargada. Para comprender la mayoría de los experimentos tal cuadro es cómodo, mas con su ayuda no se puede comprender, por ejemplo, el fenómeno
del efecto fotoeléctrico. En efecto, nadie ha visto nunca que de un átomo saliese un trozo de nube electrónica: siempre sale un electrón único e indivisible. ¿Cómo se realiza entonces la reunión instantánea de nubes atómicas de diferente forma siempre en una misma partícula indivisible?
Para contestar a estas preguntas tendremos que introducir un nuevo concepto: , la probabilidad. Es tan fundamental que sin él la mecánica cuántica moderna no existe en general. Ahora precisamente pasaremos a ocuparnos de este concepto.
* * * *
La vida...
Roger Joseph Boscovich (1711−1787) es conocido hoy sólo en el círculo estrecho de especialistas, mas a principios del siglo pasado fue célebre y su teoría del átomo ejerció influencia incluso en la concepción del mundo de tales personalidades como Faraday y Maxwell.
Boscovich nació y pasó su infancia en Dalmacia, en Dubrovnik (a la sazón Ragusa). Era el octavo niño de los nueve y el menor varón de los seis, en la familia de grandes comerciantes. Era la época en que cualquier actividad humana sólo obtenía sentido y reconocimiento si estaba consagrada por la iglesia o relacionada con ésta. A la edad de 8 años Boscovich estudiaba ya en un colegio jesuita local, al cumplir los 14 partió a Roma, patria de su madre, donde después de dos años de prueba fue admitido en el Collegium Romanum. Allí se destacó en las matemáticas, física y astronomía y en 1736 publicó su primer trabajo científico sobre el ecuador solar y el período de la revolución del Sol. A la edad de 29 años llegó a ser profesor y a los 33, sacerdote y miembro de la Compañía de Jesús, durante 14 años trabajó de profesor de física y matemáticas, estudió la aberración de la luz, la forme de la Tierra y trazó el mapa de Vaticano, Boscovich no sólo era científico, sino también poeta. (En 1779 dedicó un poema a Luis XVI, en el que le presagiaba un reinado sin eclipses de Sol.) Las brillantes cualidades de su rica personalidad en combinación con el magnífico intelecto le abrieron acceso a los círculos superiores eclesiásticos, académicos y diplomáticos de Europa.
En 1757 fue a Viena como miembro de la embajada y allí en once meses escribió el libro “Teoría de la Filosofía Natural” sobre el que había meditado en el transcurso de doce años. Después de haber regresado de Viena fue de viaje, que duró cuatro años, por París, Londres y Constantinopla, luego daba conferencias y trabajaba en el observatorio de Milán, ganándose el odio de los colegas por la independencia de sus opiniones y en 1772 se vio en Venecia sin medios de existencia. Los amigos le procuraron un cargo en París, donde vivió diez años y sólo en 1783 regresó a Italia para publicar sus obras. A finales de 1786 sintió síntomas de desequilibrio mental, que se convirtió en melancolía patológica. Después de intentar suicidarse perdió el juicio y el 13 de febrero de 1787 se libró, por fin, de todas las penurias de su vida.
...y el átomo de Boscovich
Entre los pocos quienes en el siglo XVIII creían en los átomos, Boscovich fue el único que no creía en los átomos − bolitas sólidas. Por eso sus concepciones se aproximan más a las nuestras que todas las teorías atómicas del siglo XIX.
Boscovich basaba su desconfianza en los átomos − bolitas incompresibles en el hecho de que mediante tales átomos no se podía explicar la estructura cristalina de los cuerpos ni su elasticidad, la fusión de sustancias sólidas, la evaporación de líquidos ni menos aún, las reacciones químicas entre las sustancias compuestas de tales esferas redondas, sólidas e impenetrables.
Boscovich se imaginaba el átomo como el centro de fuerzas que cambiaban según la distancia hasta este último. Cerca del centro las fuerzas son de repulsión, lo que corresponde a la repulsión de los átomos al aproximarse demasiado o al chocar. A medida de alejarse del centro, la fuerza de repulsión empieza a debilitarse, luego se anula y, por último, se convierte en fuerza de atracción: precisamente en este momento, decía Boscovich, se forman todos los cuerpos líquidos y sólidos.
Pero al alejarse más todavía del centro de las fuerzas, éstas de nuevo se transforman en las de repulsión y en este momento los cuerpos líquidos se evaporan.

Y muy lejos del átomo las fuerzas siempre son de atracción, según lo exige la ley de la gravitación universal de Newton.
De esta manera, cada átomo de Boscovich “se extiende incluso hasta los límites del sistema solar” y puesto que los centros de las fuerzas no se pueden destruir ni crear, sus átomos son eternos, igual que los de Demócrito. Precisamente esta parte de la doctrina de Boscovich era singularmente próxima a Faraday: no es difícil notar la analogía con las ideas de Faraday sobre las líneas de fuerza del campo electromagnético.
El átomo de Boscovich es mucho más parecido al átomo actual que el de Demócrito. Por ejemplo, igual que el átomo actual, carece de dimensiones geométricas determinadas. En cambio, con su ayuda se puede comprender la diversidad de formas de los cristales y toda clase de transformaciones químicas en las cuales estos átomos participan.
Mírese el dibujo sacado del libro de Boscovich. Representa la ley de cambió de las fuerzas tal como se la imaginaba el autor. Por supuesto, el átomo de Boscovich es un esquema especulativo que no se basa en el experimento ni en las matemáticas, sino sólo en el sentido común y las observaciones atentas de la naturaleza. El propio Boscovich escribió: “Sin embargo, existen ciertas cosas relacionadas con la ley de las fuerzas, respecto a las cuales todos nosotros somos ignorantes. Se trata de los arcos situados entre éstas y otras cosas del mismo género. Todo esto, no obstante, supera en mucho el entendimiento humano y únicamente El solo, el que creó el Universo, tenía ante sus ojos el cuadro entero”.
El dibujo contiguo representa la ley de cambio de las fuerzas que actúan entre dos átomos de hidrógeno. Sólo cabe asombrarse cuán parecido es al dibujo de Boscovich. Mas esta ley fue calculada a base de las ecuaciones de la mecánica cuántica sin arbitrariedad alguna ni referencias a la Divina Providencia. Por medio de esta ley de las fuerzas podemos predecir el espectro de la molécula de hidrógeno, calcular de antemano la energía a consumir para arrancar un átomo de hidrógeno al otro; podemos prever qué ocurrirá al mezclar el hidrógeno, por ejemplo, con el cloro y qué cambiará si irradiamos esta mezcla con rayos ultravioletas.
La mecánica cuántica permite calcular la ley de cambio de las fuerzas entre dos átomos cualesquiera. En principio es capaz de calcular la forma de los cristales. Puede incluso predecir el color de los compuestos químicos. Ciertamente, todo esto está al alcance sólo de los que dominan la matemática bastante complicada de la física atómica. Sin embargo, cualquiera que conoce aunque sea superficialmente las imágenes de esta última, puede comprender muchas peculiaridades de la estructura y propiedades de las sustancias.
Paul Ehrenfest (1880−1933)
Además de profetas la ciencia necesita apóstoles. Además de genios individuales que cambian su cauce, a la ciencia le son imprescindibles hombres que mantienen su fuego y son capaces de encenderlo en las almas de los neófitos. Semejantes hombres orean en torno suyo una atmósfera de alegría intelectual y auge espiritual, en la que florecen impetuosamente los talentos y se afianzan las aptitudes. Los científicos tan extraordinarios eran Arnold Sommerfeld, en Alemania; Paul Langevin, en Francia y Leonid Isaákovich Mandelshtam, en Rusia.
Así era Paul Ehrenfest. Nació y creció en Viena. Cursó estudios en las Universidades de Viena y Göttingen, bajo la dirección de Ludwig Boltzmann y Félix Klein, respectivamente. Después de terminar los estudios, vivió cinco años en Rusia y en 1912, a petición de Lorentz, lo sustituyó en la cátedra de la física teórica en la Universidad de Leiden. Allí, durante veinte años, cada martes, abría seminarios en los cuales hablaban de sus trabajos todos los grandes y famosos científicos, que en. el transcurso de un cuarto de siglo transformaron por completo los fundamentos de la física.
En este seminario nació y se consolidó la hipótesis sobre el spin del electrón, siendo Ehrenfest su comadrona y padrino. Fue el iniciador y organizador de la famosa polémica entre Bohr y Einstein. Vivió en el centro de “los acontecimientos físicos” de aquellos tiempos y contribuyó sumamente a su coronación feliz..
Ehrenfest era un hombre de extraordinarias cualidades morales. Todos le querían. Bohr, Planck, Heisenberg, Pauli y Schrödinger frecuentaban su casa. Einstein le escribió: “La naturaleza nos creó uno para el otro. Yo necesito de tu amistad más aún que tú de la mía”. Pero algo se quebrantó en su alma y el 25 de septiembre de 1933 se suicidó.
Las ideas físicas que dejó Paul Ehrenfest sobrevivieron la memoria viva de sus discípulos y amigos. El tendió un puente sobre el precipicio, que en la conciencia de sus contemporáneos separaba los fenómenos cuánticos de los clásicos. La esencia del teorema que demostró consiste en lo siguiente.
Hemos repetido reiteradamente que las ecuaciones de la mecánica cuántica son absolutamente diferentes de las de la mecánica clásica. Por eso los movimientos de los objetos cuánticos no pueden describirse ni figurarse por medio de términos e imágenes clásicos. Más o menos del mismo modo como es imposible señalar en un globo todos los movimientos de un pasajero durante la travesía del Atlántico en un barco. Sin embargo, por más que las olas agiten el barco y haga lo que haga mientras tanto el pasajero, se desplaza, por término medio, de acuerdo con el rumbo fijado.
Algo parecido es justo también en el mundo cuántico. No importa que no podemos imaginarnos los movimientos cuánticos. No importa que no está claro cómo se deben comprender la coordenada y el impulso del electrón. Mas se sabe a ciencia cierta que los valores medios de las magnitudes cuánticas obedecen a las ecuaciones de la mecánica clásica. En esto radica la esencia del principio de correspondencia que formuló Niels Bohr y que en 1927 demostró Paul Ehrenfest.
Capítulo 10
Juego de cara o cruz; Tiro al blanco; Difracción de electrones; Ondas de probabilidad; ¿De qué se compone la onda electrónica?; Átomo; Probabilidad y espectros de los átomos; Causalidad y casualidad, probabilidad y certeza
Imagínese que en cierto tren, entre Novosibirsk y Krasnoyarsk, Ud. haya conocido a una buena persona. Ahora figúrese que un año más tarde la encuentra casualmente en Moscú, al lado del cine “Rossía”. Por más alegría que le cause este encuentro, en primer lugar se extrañará, porque sabe por experiencia cuán poco probable es tal suceso.
Nosotros continuamente usamos las palabras “es probable”, “lo más probable”, “con toda probabilidad”, “es improbable” sin darnos cuenta de cuán rigurosamente están definidos los conceptos que les corresponden. En la ciencia semejante situación es inadmisible, por eso ahí el concepto de “probabilidad” tiene sentido sólo en el caso de que podamos calcularla.
Esto no siempre es posible. Por ejemplo, no se puede predecir la probabilidad de un encuentro eventual con su conocido casual a las 6 de la tarde del 23 de octubre de 1975 en las Oficinas del Correo Central de la ciudad de Lípetsk, aunque se sabe a ciencia cierta que tal probabilidad no es nula. Mas la conducta de los hombres no es casual y no se puede aplicarle el cálculo de probabilidades. Por eso en todos los manuales con una envidiable constancia se explican las leyes del azar citando el ejemplo de lanzamiento de la moneda.
Juego de cara o cruz
En primer lugar señalemos: si una prueba tiene varios desenlaces, la plena probabilidad de que ocurra cualquier suceso es igual a una unidad. Por eso las palabras “el suceso ocurrirá con la probabilidad igual a una unidad”, significan que tendrá lugar seguramente.
De ello se desprende también que la probabilidad de un solo desenlace es siempre menor que una unidad. En el ejemplo con la moneda, cada prueba, el lanzamiento de la moneda, tiene sólo dos desenlaces: puede caer bien de cara para arriba, bien de cara para abajo. (Excluimos los casos casi inverosímiles cuando la moneda cae de costado.) Si la moneda está perfectamente equilibrada, es lógico suponer que ambos resultados del lanzamiento son igualmente probables. De ahí se desprende que la probabilidad de que salga, digamos, la cara es igual a ½.
Igualmente fácil es calcular la probabilidad de que al tirar los dados salgan, digamos, 3 puntos: por lo visto, es igual a 1/6.
Cualquiera multiplicará el número de ejemplos análogos, pero todos son muy similares.
Primero, cada nueva prueba (el lanzamiento de la moneda) no depende de la anterior.
Segundo, el resultado de cada prueba es un suceso aleatorio, es decir, no sabemos (o no podemos tomar en consideración) todas las causas que conducen a tal o cual resultado de la prueba.
Esto último es muy importante. En efecto, la moneda no es un átomo, y su movimiento obedece a las leyes de la mecánica clásica, bien conocidas. Al utilizarlas, podríamos prever con anticipación todos los detalles del movimiento de la moneda y predecir cómo caerá: de cara para arriba o para abajo. Podemos incluso dibujar su trayectoria de movimiento. Por supuesto, esto es muy difícil: es necesario tener en cuenta la resistencia del aire, la forma de la moneda, la elasticidad del suelo sobre el que ésta caerá y otras muchas menudencias importantes. Y lo principal, es indispensable determinar exactamente la posición inicial y el impulso de la moneda.
Sin embargo, no siempre es posible tener en cuenta todos los factores posibles que influyen sobre el desenlace de los sucesos. Por ejemplo, en el caso de la moneda nunca sabemos de manera suficientemente exacta su posición inicial ni su velocidad. Mientras tanto, cualquier alteración de éstas, incluso muy pequeña, puede cambiar el resultado del lanzamiento por opuesto. Entonces no se puede ya estar seguro de que en este caso la moneda caerá de cara para arriba. Sólo se puede decir que la probabilidad de que salga la cara, tirando de cualquier modo, es igual a ½.
Los sencillos ejemplos que hemos citado, por el momento, no explican el porqué en la mecánica cuántica tiene tanta importancia el concepto de probabilidad. Pero antes de explicarlo, conozcamos aunque sea superficialmente las leyes fundamentales del cálculo de probabilidades. Las leyes del azar (pese a la rara combinación de estas dos palabras) son tan rigurosas como cualesquiera otras leyes de las matemáticas, pero poseen algunas peculiaridades poco comunes y una esfera de aplicación bien determinada.
Por ejemplo, aunque sepamos que al lanzar la moneda, la probabilidad de que salga la cara es igual a ½,sin embargo, no somos capaces de predecir el resultado de un lanzamiento aislado. A pesar de ello, podemos comprobar fácilmente que en caso de un número grande de lanzamientos la cara saldrá más o menos en la mitad de los casos; esta ley se cumple tanto más exactamente cuanto más pruebas hacemos. En esto, precisamente, radica la principal peculiaridad de la ley de los sucesos aleatorios: el concepto de probabilidad es aplicable a un suceso aislado, y podemos calcular previamente el número que corresponde a este concepto. Sin embargo, podemos medir este número sólo en el caso de múltiple repetición de pruebas del mismo tipo.
Es muy importante que las pruebas sean del mismo tipo, es decir, absolutamente indistinguibles, por cuanto sólo en tal caso el número medido −la probabilidad− se puede utilizar para evaluar cada suceso aleatorio aislado, que es uno de los posibles desenlaces de la prueba.
Las particularidades poco comunes de las leyes del azar tienen su explicación lógica. En efecto, el lanzamiento de moneda es un proceso nada sencillo. No queremos o no sabemos estudiarlo en toda su complejidad. Por eso cerramos intencionadamente los ojos ante ésta, nos negamos a seguir la trayectoria de la moneda y sólo queremos saber el resultado final de la prueba. Semejante menosprecio de los pormenores del proceso no queda impune: ahora podemos hacer pronóstico fidedigno sólo del resultado promediado de múltiples pruebas del mismo tipo, mientras que para cada suceso aleatorio aislado estamos en condiciones de señalar únicamente su desenlace probable.
Se ha arraigado ampliamente el error de que la descripción probabilística del movimiento es menos plena que la rigurosamente causal, clásica, con su concepto de trayectoria. Desde el punto de vista de la mecánica clásica esto efectivamente es así. Pero si renunciamos a una parte de sus rígidas exigencias (por ejemplo, el conocimiento de las coordenadas e impulsos iniciales), entonces la descripción clásica será inútil. La reemplaza la descripción probabilística, que en las condiciones nuevas será completa, ya que nos proporcionará todos los datos sobre el sistema, qué podemos conocer en general acerca del mismo por medio del experimento.
Tiro al blanco
Al jugar a cara o cruz ignoramos intencionadamente la posición inicial y la velocidad de la moneda y confiamos íntegramente en la suerte. En el tiro, nuestros deseos son algo distintos: allí siempre tratamos de dar en el centro del blanco. Pero pese a este deseo (bastante grande), nunca sabemos de antemano en qué lugar del blanco caerá cada una de las balas. Los impactos se agrupan en un óvalo bastante regular, que se suele llamar “la elipse de dispersión”. ¿De qué depende ésta?
Por lo visto, para que todas las balas que salen del fusil caigan siempre en el mismo punto del blanco es necesario que en el momento de salida todas ellas tengan las mismas coordenadas x y las velocidades v (o impulsos p) iniciales. Y esto es posible sólo en el caso de tener una puntería infalible y, además, siendo siempre exactamente igual la carga de pólvora en todos los cartuchos.
Como regla, ambas cosas son irreales. Por eso la distribución de impactos en el blanco obedece siempre a las leyes del azar, y sólo se puede hablar de la probabilidad de dar en el “diez” o en el “nueve” del blanco, mas nunca estar seguro de esto previamente.

Igual que en el juego de cara o cruz, esta probabilidad se puede medir. Supongamos que hayamos hecho 100 disparos y dado 40 veces en el “diez”; 30 veces, en el “nueve”; 15, en el “ocho”, etc., hasta llegar a cero. Entonces las probabilidades del impacto en el “diez”, “nueve”, “ocho”, etc., son iguales respectivamente a:
W (10) = 20/100 = 0,4
W (9) = 0,3
W (8) = 1,5 etc.
Incluso se puede trazar un diagrama que parece mostrar la estructura interna de la elipse de dispersión.
Si tomamos ahora un blanco exactamente igual y de nuevo disparamos 100 veces, la distribución de impactos será absolutamente diferente de la en el primer blanco. Pero el número de impactos en el “diez”, “nueve”, etc., seguirá siendo aproximadamente igual, por consiguiente, el diagrama de la elipse de dispersión tampoco cambiará.
Por supuesto, para diferentes tiradores los diagramas son distintos: para un tirador experto son más estrechos, para un novicio, más anchos. Pero para cada tirador individual seguirá siendo invariable, de modo que un entrenador ducho en la materia con sólo ver el blanco puede determinar a cuál de sus discípulos pertenece.
De los sencillos ejemplos citados se desprende que “las leyes del azar" no son un mero juego de palabras. Por supuesto, cada bala aislada dará en un punto casual del blanco que no se puede predecir de antemano. Sin embargo, dado un número grande de disparos, los impactos forman un cuadro tan regular que lo percibimos como fidedigno y nos olvidamos en absoluto de la probabilidad en que se basa.
Difracción de electrones
El sencillo ejemplo con el tiro semeja los experimentos de la mecánica cuántica mucho más de lo que puede parecer a primera vista. A fin de persuadirse de ello, reemplacemos el fusil por el “cañón electrónico”; el blanco, por la placa fotográfica y coloquemos entre ellos una fina hoja metálica.
El “cañón electrónico” no es una broma, sino un término científico que designa el dispositivo para obtener el haz electrónico, más o menos igual que en el tubo catódico (o el tubo de Crookes). De este haz, por medio de diafragmas y lentes enfocadoras, podemos separar un rayo electrónico muy estrecho, en el cual todos los electrones se mueven a igual velocidad.
Ahora dirijamos este rayo a través de una hoja metálica a la placa fotográfica, revelándola luego. ¿Qué imagen veremos en ésta? ¿Un punto? ¿Una elipse de dispersión, igual que en el caso del tiro al blanco? ¿O alguna otra cosa? La respuesta la conocemos desde hace mucho: en la placa fotográfica veremos anillos de difracción parecidos a los que están representados en la página siguiente. Incluso podemos explicar ahora la causa de su aparición.
En efecto, hemos repetido en más de una ocasión que un electrón no es sólo partícula, sino también onda. Si no nos hemos acostumbrado aún a este hecho, de todos modos debíamos retenerlo en la memoria. Por eso, la difracción de electrones por sí sola no debe asombrarnos ya: el fenómeno de difracción surge siempre si a través de la sustancia pasa una onda. No se trata de esto. ¿La onda de qué atraviesa junto con el electrón la hoja metálica?
Se alzan en el mar olas; éstas se componen de agua. Atraviesan el cosmos ondas electromagnéticas: oscilaciones de los campos eléctrico y magnético. ¿De qué se compone la onda del electrón si éste es indivisible y no tiene estructura interna?

Antes de contestar a estas preguntas, realicemos el experimento con el haz de electrones de un modo algo distinto. Dejemos salir a los electrones de a uno (como las balas del fusil) cambiando cada vez la placa fotográfica detrás de la hoja metálica. Una vez reveladas todas las placas fotográficas, en cada una de éstas veremos un punto: la huella del electrón caído. (Incluso si no existieran otras pruebas, este sólo hecho nos convence fácilmente de que el electrón, pese a todo, es partícula.) A primera vista, los puntos negros en la placa están distribuidos caóticamente y, desde luego, ninguno de ellos hace recordar en modo alguno el cuadro de difracción. Mas si juntamos todas las placas en una pila y la miramos a trasluz, veremos con asombro los mismos anillos de difracción. Quiere decir que las huellas negras de los electrones no están distribuidas en las placas tan desordenadamente como puede parecer al principio.
Este sencillo experimento es tan simple que incluso puede ofender a algunos lectores por su trivialidad. Sin embargo, en su tiempo fue precisamente el que había convencido a los últimos adversarios de la mecánica cuántica. Por supuesto, no es obligatorio, ni mucho menos, tomar para cada electrón una placa nueva, basta con una placa− blanco, sólo que igual que antes los electrones−balas hay que dejarlos salir de a uno. Lo mismo que en el caso anterior no podemos predecir con antelación en qué punto de la placa caerá cada electrón siguiente. Es un suceso aleatorio. No obstante, si dejamos salir muchos electrones, obtendremos el cuadro de difracción regular.
Con estos fenómenos nos hemos encontrado ya al jugar a cara o cruz, al tirar los dados, al disparar en el tiro. La analogía señalada conduce a una suposición lógica: el proceso de dispersión de electrones obedece a las leyes del cálculo de probabilidades. Al seguir meditando y después de conocer las ideas de Max Born, esta conjetura se torna en seguridad.
Ondas de probabilidad
Max Born (1882−1970) enseñaba física en Göttingen, reconocido centro de la ciencia alemana. Seguía atentamente el desarrollo de la teoría del átomo y fue uno de los primeros en dar a las ideas cuánticas de Heisenberg una rigurosa forma matemática. A principios de 1927 se había interesado por los experimentos de difracción de electrones.
Este fenómeno por sí solo después de los trabajos de De Broglie no parecía ya asombroso. Cualquier físico, echando una ojeada al cuadro de difracción, podría explicar ahora su aparición, valiéndose de la hipótesis de las “ondas de materia”. Mas aún, por la fórmula de De Broglie λ = h/mv podría calcular la longitud de esas “ondas de materia” y cerciorarse en la práctica de lo correcto de sus cálculos. Sin embargo, igual que antes, nadie podía explicar qué entendía bajo las palabras “ondas de materia”. ¿La pulsación del electrón−bolita? ¿Las oscilaciones de cierto éter? ¿O la vibración de algo más hipotético aún?. Es decir, hasta qué punto son materiales las mismas “ondas de materia”.
En verano de 1927, Max Born supuso: "ondas de materia" son sencillamente "ondas de probabilidad” que describen el comportamiento probable de un electrón individual, por ejemplo, la probabilidad de su impacto en un punto determinado de la placa fotográfica.
Toda idea nueva y profunda carece de fundamentos lógicos, aunque las analogías no rigurosas que han conducido a la misma se pueden seguir casi siempre. Por eso, en vez de demostrar lógicamente que Born tenía razón (esto es imposible), tratemos de darnos cuenta de lo natural de su hipótesis. Recurramos de nuevo al juego de cara o cruz y recordemos las causas que nos obligaron a aplicar entonces el cálculo de probabilidades. Estas son tres:
- la absoluta independencia de lanzamientos de moneda aislados;
- la absoluta indistinguibilidad de lanzamientos aislados;
- el carácter aleatorio del desenlace de cada lanzamiento aislado, que dimana del desconocimiento total de las condiciones iniciales de cada prueba, es decir, de la indeterminación de la coordenada y del impulso iniciales de la moneda.
Las tres condiciones mencionadas se cumplen en los fenómenos atómicos y, en particular, en los experimentos de dispersión de electrones. En efecto:
- los electrones, pese a todo, son partículas y, por lo tanto, cada cual se dispersa independientemente de otros;
- además, los electrones son tan pobres de propiedades (la carga, la masa, el spin y nada más), que en la mecánica cuántica son indistinguibles y por tanto tampoco se distinguen los actos de dispersión aislados; y, por último,
- los valores iniciales de las coordenadas e impulsos de los electrones no se pueden determinar ni siquiera en principio; lo prohíbe la relación de incertidumbre de Heisenberg δx∙δp ≥ ½h.
En semejantes condiciones es absurdo buscar la trayectoria de cada electrón. En lugar de ello debemos aprender a calcular la probabilidad ρ(x) del impacto de los electrones en el lugar determinado x de la placa fotográfica (o, como es costumbre decir en la física, calcular la función de la distribución ρ(x)).
En el juego de cara o cruz esto es muy fácil: incluso sin cálculos está claro que la probabilidad de que salga la “cara” es igual a 1/2. En la mecánica cuántica la cosa se complica algo. Para encontrar la función ρ(x), que describe la distribución de los electrones en la placa fotográfica, es necesario resolver la ecuación de Schrödinger.
Max Born afirmaba: la probabilidad ρ(x) de encontrar el electrón en el punto x es igual al cuadrado de la función de onda ψ(x):
ρ(x) = |ψ(x)|2
La afirmación de Born es fácil de comprobar. En efecto, dividamos el cuadro de difracción en círculos concéntricos y numerémoslos como el blanco en el tiro. Luego contemos el número de electrones Nk que cayeron en cada anillo con radio xk, y dividamos esos números por el número total de electrones N caídos en la placa. Entonces, igual que en el caso del blanco del tiro, obtendremos un juego de números ρ(xk) = Nk/N, que son iguales a la probabilidad de descubrir el electrón a distancia xkdel centro del blanco. Ahora no cuesta trabajo dibujar la distribución de los electrones por la placa y observar cómo cambia su número al alejarse del centro del cuadro de difracción.
El gráfico de la función ρ(x) parece más complejo que el diagrama de la elipse de dispersión en el tiro al blanco. Pero si bien no podemos predecir el aspecto de la elipse, en cambio, estamos en condiciones de calcular previamente la función ρ(x). Su aspecto se determina unívocamente por las leyes de la mecánica cuántica: pese a su carácter insólito, estas leyes, no obstante, existen, lo que no se puede decir con seguridad de las leyes del comportamiento del hombre, del cual depende la elipse de dispersión.
¿De qué se compone la onda electrónica?
Cuando nos hallamos a la orilla del mar no nos caben dudas de que son las olas las que bañan las costas y no cualquier otra cosa. Tampoco nos asombra el hecho fidedigno de que todas las olas se componen de un enorme número de partículas: moléculas.
Las ondas de probabilidad son tan reales como las olas marítimas. No debe turbarnos la circunstancia de que estas ondas estén compuestas de múltiples sucesos aislados, independientes y aleatorios.
Al agua marítima le son inherentes simultáneamente tanto las propiedades de ondas como de partículas. Esto nos parece natural. Y si nos asombramos al descubrir propiedades análogas en la probabilidad, nuestra perplejidad es, por lo menos, ilógica.
Al soplar el viento, en el mar de la desordenada aglomeración de moléculas aisladas surgen filas regulares de olas. Del mismo modo, si dispersamos un haz de electrones, entonces sucesos aleatorios aislados, las trazas de los electrones, se agrupan regularmente en la única onda de probabilidad.
Para cerciorarse de la realidad de las olas marítimas no es obligatorio caer víctima de un naufragio, mas es deseable por lo menos ver el mar. Para descubrir las ondas de probabilidad es necesario disponer de complejos aparatos y realizar experimentos especiales. Desde luego, estos últimos son más complejos que una simple mirada desde una roca del litoral al horizonte, pero es que basándose únicamente en esto no se puede negar la existencia de las ondas de probabilidad.
Al hojear los extensos manuales de hidrodinámica, podemos convencernos de que las trayectorias de las moléculas que componen la ola marítima en nada hacen recordar los movimientos ondulatorios: las moléculas se desplazan en círculos y elipses, hacia arriba y abajo, sin participar en absoluto en el movimiento de traslación de la ola. Ellas componen la ola, mas no siguen su movimiento. La forma de esa ola la determinan las leyes de la hidrodinámica.
Del mismo modo, el movimiento de electrones aislados en el átomo no se parece, ni mucho menos, a aquellas oscilaciones a las que lo hemos asemejado antes. Pero en su conjunto los caminos inobservables de los electrones pertenecen al conjunto observable único: a la onda de probabilidad. La forma de ésta la imponen las leyes de la mecánica cuántica.
Las analogías de tal género se podrían proseguir, pero por el momento es más importante aclarar otra cosa: ¿cómo se deben comprender ahora las palabras “el electrón es onda?” Porque si no es onda material, sino la de probabilidad, es imposible descubrirla ni siquiera en experimentos con un electrón aislado.
A veces el carácter ondulatorio de los fenómenos de la mecánica cuántica se interpreta como el resultado de cierta interacción mística de un gran número de partículas. Esta explicación se motiva precisamente por el hecho de que las regularidades ondulatorias de los fenómenos atómicos no se pueden descubrir en general al realizar experimentos con una partícula atómica aislada. El error de tales razonamientos se explica por la elemental incomprensión de la naturaleza de las leyes probabilísticas:
la función de onda ψ(x) y la distribución de las probabilidades ρ(x) se pueden calcular para una partícula aislada. Mas medir la distribución ρ(x) se puede sólo realizando múltiples pruebas del mismo tipo con partículas iguales.
Mas, pese a todo, la probabilidad es la característica de un suceso aislado. Por eso a cada electrón le son inherentes propiedades ondulatorias, aunque nosotros podemos descubrirlas sólo en el haz de electrones. (Lo mismo en el caso del juego de cara o cruz la probabilidad ½ de que salga la “cara” es la propiedad de cada suceso, mas se puede medirla sólo realizando un gran número de pruebas.)
Sin el concepto de probabilidad es muy difícil imaginarse la mecánica cuántica moderna. Quizás, esto sea lo principal que la distingue de la mecánica clásica. Por supuesto, también la física clásica utiliza constantemente el cálculo de probabilidades. Por ejemplo, en la teoría cinética de los gases. Sin embargo, allí uno todavía se puede tranquilizar con la esperanza de prescindir del cálculo de probabilidades si logra aprender a resolver simultáneamente un gran número de ecuaciones de movimiento de las moléculas de gas. La mecánica cuántica no deja tal esperanza, sus ecuaciones en principio permiten calcular sólo las probabilidades de los sucesos. No obstante, para los fenómenos atómicos esta descripción será tan cabal como es completa la descripción del movimiento clásico por medio del concepto de trayectoria.
Todos los ejemplos y razonamientos precedentes nos ayudan a comprender qué es el electrón fuera del átomo y por qué esta partícula posee también propiedades de onda. ¿De qué modo, pues, esas propiedades, de onda y de partícula, pueden unirse en el interior del átomo sin contradicciones lógicas?
Átomo
Tal vez, el lector haya notado que en ninguna parte hemos tratado de determinar la forma del átomo directamente en el experimento: la hemos calculado por la ecuación de onda de Schrödinger. Hemos creído en ella porque la misma ecuación permite predecir correctamente las más sutiles peculiaridades de los espectros observables de los átomos. Hoy, esta forma de átomos ha sido reconocida por todos y en el capítulo anterior incluso hemos dibujado unas cuantas formas semejantes.

No obstante, en el caso de percibir literalmente los citados dibujos del átomo, debemos imaginarnos el electrón como cierta nube cargada, cuya forma depende del grado de excitación del átomo. Tal cuadro, por muchas razones, es insatisfactorio.
En primer lugar, el electrón, pese a todo, es partícula, de lo que es muy fácil persuadirse observando, por ejemplo, sus trazas en la cámara de Wilson.

Además, ahora sabemos bastante bien que en el átomo no existen oscilaciones reales ni ondas materiales algunas. Sólo las ondas de probabilidad son reales. ¿En qué forma cambiará este nuevo conocimiento nuestras ideas anteriores acerca del átomo?
Para determinar la forma del átomo de hidrógeno realicemos un experimento mental. Tomemos, igual que antes, el “cañón electrónico”, pero ahora vamos a bombardear con él no la hoja metálica, sino un átomo individual de hidrógeno. ¿Qué debemos ver en este caso?
La mayoría de los electrones “acribillarán” al átomo de hidrógeno, igual que un proyectil a una nube porosa, sin−desviarse de su camino. Pero al fin, uno de éstos, al chocar con el electrón del átomo, lo captará, cambiando simultáneamente él mismo la dirección de su movimiento. Ahora, detrás del átomo en vez de un electrón veremos dos: uno del “cañón” y el otro, del átomo. Supongamos que hemos medido sus caminos tan exactamente que podemos restablecer el punto de su encuentro en el átomo. ¿Podemos afirmar, a base de ello, que el electrón en el átomo de hidrógeno se hallaba precisamente en este punto?
No, no podemos. No estamos siquiera en condiciones de comprobar nuestra suposición, por cuanto el átomo de hidrógeno no existe más: nuestra medición lo ha destruido.
Sin embargo, esta desgracia tiene fácil remedio: todos los átomos de hidrógeno son indistinguibles y para repetir el experimento se puede tomar cualquiera de ellos. El nuevo experimento nos desilusionará: descubriremos que el electrón se halla en el átomo en un punto completamente distinto al que esperábamos verlo basándonos en el primer experimento.
La tercera, la quinta y la décima mediciones sólo afirmarán nuestra seguridad de que el electrón en el átomo no tiene una posición determinada: lo hallaremos siempre en un lugar nuevo. Pero si tomamos un gran número de átomos y realizamos muchas mediciones, marcando cada vez con un punto el lugar en que se encuentra el electrón en el átomo en cada experimento aislado, al fin y al cabo descubriremos con asombro que estos puntos no están situados desordenadamente, sino que se agrupan en figuras que conocemos ya y que antes hemos calculado por la ecuación de Schrödinger.
De los experimentos sobre la difracción de electrones sabemos ya cómo explicar este hecho. En efecto, en aquel momento no sabíamos en qué lugar de la placa fotográfica iba a caer el electrón, y ahora no sabemos en qué lugar del átomo lo encontraremos. Igual que antes, podemos señalar sólo la probabilidad de descubrir el electrón en un lugar determinado del átomo.
En un punto del átomo esta probabilidad es mayor, en otro, menor, mas en su conjunto la distribución de probabilidades forma una silueta regular, que precisamente tomamos por la forma del átomo.
No nos queda otro remedio. Desde luego, se puede replicar que no se trata de un átomo individual, sino que es cierta imagen generalizada de muchos átomos. Mas éste será un argumento flojo: se sabe que todos los átomos en el mismo estado cuántico no difieren en nada entre sí. Por eso los cuadros punteados, obtenidos en el experimento de dispersión de electrones en muchos pero iguales átomos, determinan simultáneamente la forma tanto del átomo generalizado como de un átomo individual.
En este caso, igual que siempre cuando rigen las leyes del azar, es necesario tener en cuenta sus peculiaridades. Para cada átomo aislado la función ρ(x) indica sólo la distribución de las probabilidades de hallar el electrón en el punto x del átomo. Precisamente en este sentido se puede hablar de la “forma probable de un átomo aislado”.
Pero este cuadro es fidedigno por cuanto es absolutamente unívoco para cualquier conjunto de átomos iguales.
Nuestro cuadro actual del átomo dista infinitamente de las ideas de Demócrito. En realidad, de éstas no ha quedado casi nada. Mas los errores fructíferos son siempre preferibles a la impecabilidad infructuosa. Si aquéllos no hubiesen existido, Colón jamás habría descubierto la América.
Ahora hemos llegado al límite que en general está al alcance de quienes intentan penetrar en el interior del átomo sin recurrir a fórmulas ni ecuaciones. No obstante, la imagen que nos hemos formado es auténtica en todos los detalles. Prescindiendo de la “cocina matemática” de la mecánica cuántica no podremos vaticinar ni un solo fenómeno atómico, mas en cambio, ya estamos en condiciones de explicar algo si utilizamos correctamente la nueva imagen del átomo y recordamos su origen.
Probabilidad y espectros de los átomos
No sólo la forma del átomo, sino también todos los procesos que en él se operan obedecen a las leyes del cálculo de probabilidades. Al tratarse de un átomo individual, nunca se puede decir con seguridad dónde está su electrón, a dónde irá a parar en el instante siguiente y qué pasará en este caso con el propio átomo.
Sin embargo, las ecuaciones de la mecánica cuántica permiten siempre calcular las probabilidades de todos estos procesos. Los pronósticos probabilísticos luego se pueden comprobar y cerciorarse de que son ¡fidedignos, realizando un gran número de pruebas iguales. Incluso personas como Rutherford tardaron mucho en comprender esa particularidad de los procesos atómicos.
Rutherford fue el primer lector del artículo de Bohr sobre la estructura de los átomos, a la sazón manuscrito aún. Al enterarse de su contenido, Rutherford, con la franqueza y brusquedad propias de él, preguntó a Bohr: “¿Y cómo sabe el electrón que se halla en la órbita n a dónde tiene que saltar: a la órbita j o a la órbita k?” En aquel tiempo, en 1913, Bohr nada supo contestarle. Sólo hoy, después de los trabajos de tres generaciones de físicos, el problema se aclaró a tal grado qué incluso nosotros estamos en condiciones de comprenderlo.
El electrón “no sabe” nada, ni mucho menos, de antemano: sólo obedece a las leyes de la mecánica cuántica. De acuerdo con estas leyes, para un electrón en cualquier estado cuántico (por ejemplo, en el estado con el número cuántico n) existe siempre una probabilidad rigurosamente determinada de pasar a cualquier otro estado (por ejemplo, al estado k). Como siempre, la probabilidad Wnh del paso n → k es un número cuyo valor depende de la elección del par de estados cuánticos n y k. Si examinamos todas las posibles combinaciones de los números n y k, obtendremos la tabla cuadrada de los números Wnk. Sabemos ya que semejante tabla se llama matriz. Precisamente ésta representa el estado interno del átomo.
Solamente ahora podemos apreciar la intuición de Heisenberg quien, ignorando las leyes de la probabilidad que dirigen los procesos cuánticos en el átomo, no obstante, sintió correctamente sus peculiaridades e introdujo sus matrices {Xnk} y {Pnk}.Como se aclaró algo más tarde, a través de esas matrices, la matriz de probabilidad se expresa de una manera bastante sencilla. Las matrices de Heisenberg, a su vez, es fácil de calcular, resolviendo la ecuación de Schrödinger.
Los razonamientos que hemos examinado recientemente, pese a su sencillez, son muy fructíferos. Por ejemplo, con su ayuda se puede explicar bastante fácilmente por qué en el doblete amarillo de la raya D del sodio, la raya D2 es dos veces más intensiva que la raya D1.
Más aún, utilizando consecuentemente las ecuaciones de la mecánica cuántica, se puede aclarar también las peculiaridades más sutiles de la estructura de esas rayas, por ejemplo, las leyes de variación de la intensidad en las mismas. Mas todas estas alegrías son accesibles sólo a los especialistas.
Causalidad y casualidad, probabilidad y certeza
La interpretación probabilística de la mecánica cuántica desagradó a muchos y provocó reiterados intentos de volver al esquema de descripción anterior, el clásico. Este deseo de aprovechar, cueste lo que cueste, los conocimientos viejos en las condiciones nuevas, desde el punto de vista humano es comprensible, mas absolutamente injustificado. Hace recordar el deseo de un soldado en retiro de comprender toda la diversidad de la vida desde las posiciones del reglamento militar. Sin duda le indignará el desorden en la pista de baile, y costará bastante hacerle comprender que allí rigen leyes algo distintas que en el campo de instrucción del ejército.
No hace mucho relativamente, los interpretadores poco escrupulosos de la mecánica cuántica, con un celo sospechoso intentaban anularla basándose sólo en el hecho de que quedaba al margen de los esquemas que ellos mismos habían inventado. Se indignaban por el “libre albedrío” que supuestamente fue concedido al electrón, difamaban la relación de incertidumbre y demostraban en serio que la mecánica cuántica era una ciencia inútil, ya que no trataba de sucesos reales, sino de sus probabilidades. Los que han seguido atentamente los razonamientos anteriores, comprenden lo absurdo de semejantes acusaciones. Pero incluso los que respetan la teoría del átomo, no siempre entienden claramente cómo se ha de comprender la causalidad de los fenómenos atómicos si cada uno de ellos es aleatorio; y hasta qué punto son ciertos sus pronósticos si todos ellos se basan en el concepto de probabilidad.
El concepto habitual de causalidad: “Todo fenómeno tiene su causa”, no exige explicaciones, mas para la ciencia es inútil. En la ciencia la causalidad requiere una ley rigurosa, por medio de la cual se puede observar la secuencia de los sucesos en el tiempo. En el idioma de las fórmulas esta ley toma el aspecto de ecuación diferencial, que se llama la ecuación de movimiento. En la mecánica clásica semejantes ecuaciones, las ecuaciones de movimiento de Newton, permiten predecir la trayectoria de movimiento de la partícula.
Precisamente tal esquema, esbozado por nosotros a grandes rasgos para explicar y pronosticar los fenómenos de la naturaleza, era siempre el ideal de la descripción causal en la física clásica. No deja lugar a dudas ni a tergiversaciones y para subrayar en adelante esta propiedad suya, la causalidad de la física clásica la llamaron determinismo.
La física atómica no tiene tal causalidad. En cambio, tiene una causalidad propia, la de la mecánica cuántica, y su ley: la ecuación de Schrödinger. Esta ley es más poderosa incluso que las ecuaciones de Newton, ya que en el caos de los sucesos aleatorios atómicos capta y separa las regularidades. Igual que el caleidoscopio, que en la combinación fortuita de trocitos de vidrio permite distinguir figuras que poseen sentido y belleza.
Las combinaciones de las palabras “causalidad estadística” y “regularidad probabilística” por falta de costumbre hieren el oído con su incompatibilidad. (“La manteca mantecosa”, está mal, pero, pese a todo es sensato, mas la “manteca no mantecosa”, es ya demasiado.) Realmente son incompatibles. Pero en la física atómica estamos obligados a utilizarlas simultáneamente a fin de explicar en toda su plenitud las peculiaridades de los fenómenos cuánticos. De hecho, en este caso no hay ninguna paradoja lógica: los conceptos “casualidad” y “regularidad” son complementarios. De acuerdo con el principio de complementaridad de Bohr ambos son simultánea e igualmente necesarios para definir el nuevo concepto de “causalidad mecanocuántica”, que es algo más que la simple suma de los conceptos “regularidad” y “casualidad”, del mismo modo que el “objeto atómico” siempre es algo más complejo que la sencilla suma de las propiedades de “onda” y “partícula”.
A pesar de toda la belleza lógica de semejantes construcciones, cuesta bastante acostumbrarse a ellas y reconocerlas naturales. En la física cuántica, como siempre, esas dificultades lógicas se explican por las particularidades de nuestro idioma y educación. Los conceptos “regularidad” y “casualidad”, “certeza” y “probabilidad” habían surgido mucho antes que la mecánica cuántica y el sentido que generalmente se les imparte no depende del deseo de los físicos cuánticos.
De hecho, el problema de la probabilidad es siempre el problema de la observación: ¿qué pasará si hacemos esto o aquello? En la física clásica dos pruebas iguales, dadas las condiciones iniciales análogas, deben conducir siempre al mismo resultado final. En esto radica la esencia de la causalidad clásica o del determinismo. La peculiaridad de la causalidad mecanocuántica consiste en que, incluso dadas las condiciones invariables, sólo puede señalar la probabilidad del desenlace de una prueba aislada, mas en cambio predice con absoluta certeza la distribución de los desenlaces al efectuar un gran número de pruebas iguales.
Con las paradojas “casualidad regular” y “probabilidad cierta” se podría hacer juegos malabares sin fin, pero esto nada agregará a nuestros conocimientos sobre el átomo. La esencia no está en ello. Sencillamente hay .que comprender aunque sea una vez que la descripción probabilística del átomo no es resultado de promediatización de modelos atómicos por el momento desconocidos (como pasó en el caso del lanzamiento de la moneda). Aquí hemos llegado al límite de las posibilidades de la ciencia moderna: mientras quede en vigor la relación de incertidumbre de Heisenberg, en principio no podemos precisar nuestros datos sobre los sistemas atómicos. En realidad, tampoco lo necesitamos: en la naturaleza, todos los cuerpos se componen de un enorme número de átomos y la mecánica cuántica predice las propiedades de semejantes sistemas de una manera unívoca sin arbitrariedad alguna.
El concepto de probabilidad coronó el esquema lógico de la mecánica cuántica. Sólo con su ayuda se logró plasmar sin contradicciones lógicas la síntesis suprema de los pares de conceptos complementarios: onda −corpúsculo; continuidad − discontinuidad; causalidad − casualidad; fenómeno − observación. Solamente después de testo se logró, por fin, establecer que todos estos conceptos forman un sistema indivisible y cada uno de ellos depende del contexto de los demás. Y la forma de las respuestas que la mecánica cuántica da a nuestras preguntas depende de qué aspecto del fenómeno atómico queremos estudiar más detalladamente que otro, complementario.
Al estudiar la naturaleza, la dividimos siempre, consciente o inconscientemente, en dos partes: sistema + observador. Esta división no es unívoca y depende de qué fenómeno estudiamos y qué deseamos saber del mismo.
Si bajo el fenómeno comprendemos el movimiento de una partícula aislada, tal suceso es discreto, aleatorio y, mayormente, inobservable. Mas, si llamamos fenómeno el resultado de la observación del movimiento de múltiples objetos atómicos iguales, tal suceso es continuo, regular y se describe por medio de la función de onda.
La mecánica cuántica estudia sólo tales sucesos y da para ellos pronósticos ciertos y unívocos, que hasta ahora no fueron refutados en la práctica ni una sola vez.
* * * *
Hombres, sucesos, cuantos
Los resultados de la ciencia no dependen de la sicología o deseos individuales, y precisamente en esta objetividad radican su fuerza y valor. Mas, pese a todo, la ciencia es obra humana y, por tanto, su historia no es sólo el desarrollo de los conceptos físicos y métodos matemáticos, sino también la historia de los destinos humanos. Al lado de los descubrimientos, cualquier detalle de la vida de los científicos parece importante: siempre deseamos comprender cómo tal o cual menudencia, de las que se va formando también la vida cotidiana de los grandes hombres, ha influido en las obras que los inmortalizaron.
La historia de la creación de la mecánica cuántica ha conservado para nosotros varios recuerdos vivos que ayudan a dar una idea del ambiente de emoción y auge en que los hombres de distintas nacionalidades, edad y temperamento, tan sólo en tres años, han construido el edificio moderno de la mecánica cuántica.
Tal vez, todo haya comenzado el día en que Sommerfeld entrara en el cuarto donde trabajaba el estudiante de segundo año Heisenberg, le diera la placa fotográfica con rayas espectrales y le propusiera hallar las regularidades en su disposición. O, quizás, todo haya comenzado a finales de mayo de 1925 cuando el postgraduado Werner Heisenberg se enfermó de asma del heno y por recomendación de Max Born, a la sazón dirigente suyo, se marchó a descansar a la isla de Helgoland en el Mar del Norte. Allí hizo sus famosos cálculos y vivió momentos de extraordinaria animación espiritual, refiriéndose a la cual contaba después:
“Por fin llegó la tarde cuando pude abordar el cálculo de energías de miembros aislados en la tabla energética o, como se suele decir ahora, en la matriz de energía. Estaba tan excitado ... que no podía concentrarme y comencé a hacer en los cálculos un error tras otro. Sólo hacia las tres de la madrugada logré obtener el resultado final. En el primer instante me asusté... Al pensar que llegué a ser el dueño de todos estos tesoros −elegantes estructuras matemáticas que la naturaleza había abierto ante mí− me faltó la respiración. Ni pensar podía en dormir. Comenzaba a despuntar el alba. Salí de casa y me dirigí al extremo sur de la isla, donde se adentraba en el mar una roca solitaria... Sin grandes esfuerzos vencí la altura y en su cima esperé la salida del Sol”.
Ya el 5 de junio, al regresar de vacaciones, escribió sobre sus cálculos a Krönig, y el 24 de junio envió una extensa carta a Pauli, que contenía el comienzo de la futura mecánica matricial. Es cierto que la cultura matemática de Heisenberg cedía ante la profundidad de sus ideas físicas: él ni siquiera sabía que las magnitudes que había introducido entonces, desde hacía mucho tiempo que se conocían en las matemáticas bajo el nombre de matrices. Por eso, la teoría de Heisenberg se logró formularla con rigurosidad matemática sólo con ayuda de Max Born y Pascual Jordán, a la sazón muy joven. Ya en julio, apenas en tres semanas, en Göttingen ellos consumaron la construcción de la mecánica matricial.
Independientemente de ellos, en Cambridge resolvió el mismo problema Paul Dirac, quien en verano de 1925, en el seminario de Piotr Leonídovich Kapitsa había asistido al informe de Heisenberg, que poco después de restablecerse visitó Inglaterra.
Por medio de esta nueva matemática, en otoño del mismo año, Wolfgang Pauli encontró los niveles de energía del átomo de hidrógeno y demostró que coincidían con los niveles del átomo de Bohr.
El mismo verano, Goudsmit y Uhlenbeck enunciaron la hipótesis del spin del electrón, Louis de Broglie elaboró definitivamente la idea de las ondas de materia, y Elsasser y Einstein aconsejaron explicar con ayuda de estas teorías los experimentos de Davisson y su asistente acerca de la reflexión de los haces electrónicos por superficies de metales.
La mecánica ondulatoria nació en 1923, después de que De Broglie escribió su tesis doctoral. Paul Langevin, a quien se dirigió, no apoyaba mucho sus ideas, mas pese a ello envió la tesis a Einstein para que éste emitiera su opinión. Einstein, a su vez, la recomendó acaloradamente a Max Born: “¡Léala! Aunque parece que la ha escrito un loco, es una obra seria”.
Más aún, citaba la tesis con simpatía en sus trabajos ulteriores y más tarde Schrödinger agradeció a Einstein por “haberle bajado los humos a tiempo, señalándole la importancia de las ideas de De Broglie”.
La mecánica ondulatoria de Schrödinger nació para la fiesta de pascuas de 1926. Lamentablemente, Schrödinger a diferencia de Heisenberg, no dejó recuerdos vivos de la época de “Sturm und Drang” de la mecánica cuántica. Tal vez, porque sus descubrimientos principales los hiciera ya en la edad madura, cuando el ardor juvenil de la acción se disuelve en la clara sabiduría de los conocimientos y la alegría inmediata del descubrimiento se apacigua por la comprensión del valor relativo de todo existente.
Los teóricos acogieron la mecánica ondulatoria con desconfianza, puesto que ella a todas luces carecía de los saltos cuánticos, característica a la que recientemente y con grandes esfuerzos se habían acostumbrado y que se consideraba peculiaridad principal de los fenómenos atómicos.
En junio de 1926, Heisenberg vino a Múnich para visitar a sus padres y “...se desesperó por completo” al oír en uno de los seminarios el informe de Erwin Schrödinger y su interpretación de la mecánica cuántica.
En cambio, los experimentadores (Wilhelm Wien y otros) que calificaban la teoría de Heisenberg de “atomística” (es decir, la mística del átomo) acogieron la teoría de Schrödinger con entusiasmo.
Las disputas sobre la mecánica ondulatoria duraban horas y días enteros y llegaron al colmo en septiembre de 1926, cuando a invitación de Bohr, Schrödinger llegó a Copenhague.
Schrödinger estaba tan cansado de las discusiones que hasta se enfermó y pasó unos días en casa de Bohr, que durante la enfermedad del huésped casi no se apartaba de su cama.
De vez en cuando, Niels Bohr con gesto característico levantando un dedo decía:
− Pero, Schrödinger, pese a todo usted debe consentir...
Una vez, a punto de desesperarse, Schrödinger exclamó:
− ¡Si pensamos conservar estos malditos saltos cuánticos, lamento en general haberme ocupado de la teoría atómica!
− En cambio, los demás se lo agradecen mucho, le replicó Bohr.
Con el tiempo los puntos de vista de los partidarios de las mecánicas matricial y ondulatoria iban acercándose. Schrödinger en persona demostró su equivalencia matemática, y Max Born, en verano de 1926, se dio cuenta de qué sentido físico se debía atribuir a la función ψ de Schrödinger.
Los experimentos de difracción de electrones, que se dieron a conocer en otoño de 1926, reforzaron en sumo grado la fe en las teorías de De Broglie y de Schrödinger. Paulatinamente los ¡físicos comprendieron qué la dualidad “onda − corpúsculo” era un hecho experimental que se debía aceptar indiscutiblemente y basar en él todas las construcciones teóricas.
Ahora los científicos trataban de comprender a qué consecuencias llevaba este hecho y qué limitaciones imponía a las ideas sobre los procesos atómicos. Además, chocaban con decenas de paradojas cuyo sentido a menudo no lograban comprender.
Aquel otoño de 1926 Heisenberg vivía en el desván del Instituto Físico en Copenhague. Por las tardes subía a verlo Bohr y comenzaban las disputas que frecuentemente se prolongaban más allá de la media noche.
“A veces, recordaba Heisenberg, debido a lo incomprensible de la teoría cuántica, éstas acababan en plena desolación ya en el apartamento de Bohr, tomando una copa de vino de Oporto. Una vez, después de semejante discusión yo, profundamente alarmado, bajé al parque situado detrás del Instituto, para dar una vuelta al aire libre y tranquilizarme algo antes de acostarme. Durante este paseo bajo el estrellado cielo nocturno se me ocurrió la idea de que a lo mejor habría que postular que la naturaleza admitía la existencia sólo de tales situaciones experimentales en las cuales... no se podía determinar simultáneamente el lugar y la velocidad de la partícula”.
En esta idea se hallaba el germen de la futura relación de incertidumbre.
Posiblemente, a fin de mitigar la tensión de estos días, a finales de febrero de 1927, Niels Bohr se marchó a Noruega para descansar y esquiar. Al quedar solo Heisenberg prosiguió pensando intensamente. En particular, le preocupaba mucho el antiguo problema de su compañero de estudios, hijo del famoso físico Drude: “¿Por qué no se puede observar la órbita del electrón en el átomo mediante rayos con longitud de onda muy corta, por ejemplo, los rayos gamma?”
El estudio de este experimento lo condujo bastante pronto a la relación de incertidumbre y ya el 23 de febrero escribió de eso a Pauli una carta de 14 páginas.
Unos días más tarde volvió de vacaciones Bohr, trayendo la idea de la complementaridad, que había acabado de pensar en Noruega.
Transcurridas varias semanas más de intensas disputas con la participación de Oskar Klein todos llegaron a la conclusión de que la relación de incertidumbre era el caso particular del principio de complementaridad, que se podía anotar cuantitativamente en el lenguaje de las fórmulas.
En los meses subsiguientes, la interpretación del formalismo matemático de la mecánica cuántica se iba completando y puntualizando y se afirmó definitivamente en Bruselas, en el Congreso de Solvay en otoño de 1927, al que asistieron Planck, Einstein, Lorentz, Bohr, De Broglie, Born y Schrödinger; y de los jóvenes: Heisenberg, Pauli, Dirac y Kramers. Fue la más severa comprobación de todos los principios de la mecánica cuántica. Pasó con honor la prueba y desde entonces casi no sufrió cambios algunos.
En aquella época, en Copenhague, en el Instituto de Bohr se creó no sólo la ciencia sobre el átomo, sino que se formó la familia internacional de jóvenes físicos. Entre ellos figuraban H. Kramers, P. Ehrenfest y L. Rosenfeld de Holanda; O. Klein de Suecia; P. Dirac de Inglaterra; W. Heisenberg de Alemania; L. Brillouin de Francia; W. Pauli de Austria; G. Gamov y L. Landau de la URSS, y otros muchos. La confraternidad de los científicos, sin precedentes en la historia de la ciencia, la distinguía la aspiración sin compromiso a la verdad, la sincera admiración ante la grandeza de los problemas a resolver y el inextinguible sentido de humor que armonizaba tan bien con el espíritu general de la nobleza intelectual. “Hay cosas tan serias que de ellas se puede hablar sólo bromeando”, gustaba repetir Niels Bohr, que llegó a ser su maestro y padre espiritual.
En todos ellos ardía la chispa de sentimiento cósmico, afín a la religiosidad, que distingue a los hombres geniales de una persona corriente. Ellos conservaron este sentimiento de lo eterno incluso en los disturbios civiles, cuyos contemporáneos eran y en los cuales tuvieron que tomar parte.
Muchos años más tarde, las tormentas políticas los dispersarían por el mundo entero: Heisenberg llegaría a ser jefe del “proyecto de uranio” alemán; Niels Bohr, escapando de los nazis, se vería en el centro norteamericano de investigaciones atómicas en Los Alamos, y a Goudsmit lo nombrarían dirigente de la misión “Alsos”, cuyo fin sería averiguar qué logró hacer Heisenberg en la construcción de la bomba atómica alemana.
En la actualidad quedan muy pocos de estos hombres, y junto con ellos desaparece de la vida toda una época en la física, que se puede comparar sólo con las épocas de Galileo y de Newton.
extrayendo de este alud sólo los conocimientos superficiales, que son ahora tan accesibles y, además, están bellamente presentados.
Pero la mayoría de la gente trata, no obstante, de separar de esta avalancha de información aquellos conocimientos que les son absolutamente imprescindibles o les complacen de una manera inexplicable: por supuesto, cada uno a su modo y a medida de las fuerzas que le concedió la naturaleza. Este proceso es rigurosamente individual, en muchos aspectos espontáneo y no se somete al irreprochable análisis lógico. En la cuna de un recién nacido no se puede poner la receta exacta de cuándo, en qué orden y qué libros tendrá que leer durante su vida.
No obstante, algunas reglas existen, igual que se conocen métodos de prolongar la vida, aunque no había ni hay recetas de inmortalidad. Es imposible saberlo todo. Es bueno saber mucho. Mas por lo menos una cosa es necesario saber a fondo. Sólo tal conocimiento da al hombre la seguridad y la facultad de pensar de un modo independiente, así como le permite crear nuevos valores.
No se ha encontrado todavía la “relación de incertidumbre” para el proceso de conocimiento que indique el equilibrio entre la “cantidad” y la “cualidad” de los conocimientos necesarios para un hombre y determine rigurosamente los límites de lo posible al elegir el objeto y el método de su estudio. Pero una cosa es indiscutible: la superficialidad no es útil ni causa placer. Todos, de un modo u otro, admiramos la belleza lógica y el poderío de la ciencia, pero las conversaciones de salón sobre esta última llevan el sello de un vacío especial si no se basan en el conocimiento de los hechos exactos y conceptos precisos.
A lo largo de nuestro relato sobre la mecánica cuántica hemos tratado de utilizar sólo los hechos y conceptos semejantes. Por supuesto, incluso asimilándolos, no podremos construir un láser ni calcular una caldera atómica. Pero tampoco vamos al centro de conferencias sobre música para aprender a tocar el violín.
Hemos llegado al fin de nuestro relato. ¿Podemos ahora contestar conscientemente a las dos preguntas fundamentales que hemos hecho al principio?
¿Qué es la mecánica cuántica? ¿Qué es el átomo?
Resulta que estas preguntas tienen respuesta, aunque un poco original.
Hemos empezado nuestro relato sobre la mecánica cuántica por la definición: “La mecánica cuántica es la ciencia que trata de la estructura y de las propiedades de los objetos y fenómenos atómicos”. La hemos dejado en seguida, por cuanto su inutilidad era evidente mientras no estaba definido el mismo concepto de “objeto atómico”. Hemos recurrido al análisis de los experimentos, en los cuales se manifiestan las propiedades del átomo, así como de las fórmulas, que permiten predecir los resultados de estos experimentos.
Poco a poco se ha aclarado una cosa sorprendente: todas las fórmulas que describen las propiedades de los objetos atómicos, contienen indispensablemente la constante de Planck, h. Hoy día si un físico ve la ecuación en que entra el cuanto de acción h, este hecho lo hace deducir infaliblemente que se trata de una ecuación de la mecánica cuántica.
Al parecer esto nos da fundamento para definir la mecánica cuántica como un sistema de ecuaciones en las cuales sin falta figura la constante de Planck h. Sin embargo, semejante definición puede sólo tranquilizar nuestra aspiración a la comprensión unívoca y rigurosidad formal sin darnos nada en realidad: la definición de la ciencia debe indicar el objeto de su estudio y no sólo el método para lograr este propósito.
Después de numerosos intentos de contestar a las preguntas sobre la esencia del átomo podríamos decir simplemente: “El átomo es todo lo que sabemos ahora de él”. Mas, desde luego, tampoco éste es una definición, sino un pretexto plausible para evitarla.
¿Con qué palabras se puede definir concisa y concretamente el concepto de “átomo”?
Nos hemos cerciorado reiteradamente de que una sola palabra de nuestro lenguaje no puede abarcar toda la diversidad y complejidad de este concepto. Entonces hemos recurrido a las ecuaciones de la mecánica cuántica y con la ayuda de fórmulas, prescindiendo de palabras y definiciones rigurosas, hemos construido la imagen del átomo.
En este caso hemos seguido conscientemente el método de la física moderna.
¿En qué radica la esencia de este método? En primer lugar, prohíbe hablar de los fenómenos como tales, independientemente del método de su observación. Los conceptos “fenómeno” y “observación” existen independientemente sólo en nuestra conciencia y, además, con una precisión limitada. Para un físico ambos conceptos son dos aspectos de la misma realidad física que él estudia y en cuya existencia objetiva cree sin reservas.
Desde el punto de vista de Bohr los conceptos “fenómeno” y “observación” son complementarios. Son incompatibles: la observación destruye el fenómeno prístino. Pero ambos son igualmente necesarios: sin la observación en general no sabemos nada acerca del fenómeno. Su unidad y la interacción complicadas nos impiden comprender la esencia del fenómeno en sí, pero nos ayudan a descubrir las relaciones entre los fenómenos.
Podemos anotar estas relaciones por medio de fórmulas y describirlas con palabras. Sin embargo, estas últimas quedan en vilo si no van acompañadas de fórmulas. Y las fórmulas son inertes hasta que no hayamos encontrado el método de explicar su significado real. Para una explicación completa del “fenómeno − observación” es necesaria una combinación armoniosa de conceptos y fórmulas. Sólo después de eso podemos crear una imagen satisfactoria del fenómeno físico.
En esta etapa la cadena del conocimiento de la nueva física

se modifica una vez más, se complica y adquiere el siguiente aspecto:

Durante todos los intentos de definir el concepto de “átomo” deseábamos inconscientemente obtener este esquema.
Los físicos contemporáneos empiezan su instrucción por fórmulas. Seguramente, es racional: al estudiar cualquier idioma extranjero es mejor aprender a hablar en seguida que aclarar cada vez por qué tal o cual palabra se escribe así y no de otra forma.
Tras las fórmulas, los físicos asimilan las palabras, que es necesario pronunciar y sin las cuales es imposible en general la comunicación entre la gente. Pero las fórmulas carecen de equivalentes verbales exactos. Por eso la enseñanza de la física moderna consiste en expresar cosas insólitas con palabras corrientes, mas cada vez desde un punto de vista algo distinto. Con esto se logra la inmersión de los conceptos −nuevos de la esfera lógica y consciente a la esfera intuitiva y subconsciente: condición imprescindible para toda creación.
Tal método de enseñanza de los físicos deforma imperceptiblemente el sistema de sus imágenes y conceptos e incluso el sistema de asociaciones. A los físicos, como a toda persona que domina bien el idioma, les hieren el oído las construcciones verbales irreprochablemente correctas de la mayoría de los libros de divulgación científica, en las cuales distinguen infaliblemente un acento extraño apenas perceptible. Es imposible transmitir el sentido de una frase extranjera sin destruir al mismo tiempo su estructura inicial. El idioma que sirve de medio de comunicación a los físicos, frecuentemente sólo por su denominación y algunas .palabras sueltas es ruso, inglés u otro cualquiera. En realidad es un idioma especial, cuyo vocabulario y construcciones gramaticales desesperan a los redactores literarios. Pero todo intento de “peinar” una frase física torpe de acuerdo con las normas del −lenguaje literario la hace perder algo: igual que los versos extranjeros, incluso bien traducidos.
La verdad física sin “peinar” consiste en que:
el objeto atómico es una realidad física, cuyas propiedades se pueden describir mediante ecuaciones de la mecánica cuántica, la mecánica cuántica es un sistema de formulas, conceptos e imágenes que permite figurarse, explicar y predecir propiedades observadas de los objetos atómicos.
Las dos definiciones arriba citadas, puestas una al lado de otra, parecen una bu.rla del sentido común. Mas en el mareta del principio de complementaridad son absolutamente naturales. Es que, según Bohr, los conceptos “objeto atómico” y “mecánica cuántica” son complementarios. Igual que los conceptos “coordenada” e “impulso”, “onda” y “corpúsculo”, “fenómeno” y “observación”, “probabilidad” y “certeza”, “causalidad” y “casualidad”. Estos conceptos no pueden sustituir uno a otro, y ninguno de ellos puede ser definido por completo sin tener en cuenta el otro, que lo complementa. Es necesario acostumbrarse y familiarizarse con esto: tal es el destino de todos los conceptos verdaderamente profundos.
Niels Bohr no se cansaba de repetirlo hasta el fin de su vida. Propuso incluso un método de distinguir un enunciado profundo de uno trivial: hay que construir una proposición contraria y si resulta que ésta es absurda, entonces la inicial es trivial. Bohr aducía ejemplos. La proposición “dios existe” es profunda, puesto que la contraria “dios no existe” es igualmente profunda. En cambio, la afirmación “todos los hombres son mortales” es trivial porque la contraria “todos los hombres son inmortales” es absurda.
Uno tiene que desarrollar su habilidad de pensar de acuerdo con el principio de complementaridad de Bohr, igual que cualquier otra facultad que la naturaleza nos da sólo en embrión. Para esto no basta asimilar las reglas formales de construcción de los conceptos. Hay que imaginarse, además, su origen. Por eso hemos estudiado tan larga y detalladamente los experimentos de los cuales cristalizó luego el concepto “objeto atómico”. De por sí, sin estos experimentos no significa nada; sólo fija en el idioma de la lógica formal la imagen intuitiva que se iba formando poco a poco en nuestra conciencia, en muchos casos a pesar de nuestra voluntad.
Nuestra definición actual de la mecánica cuántica coincide casi literalmente con la citada al principio del libro. Si ahora les suena de un modo absolutamente diferente, quiere decir que todo lo demás no lo han leído en vano.
Aquí se podría concluir el relato acerca de la mecánica cuántica, si no «fuera por una circunstancia importante. Es que al decir “El átomo es una realidad física ...” involuntariamente hemos tocado una vasta zona limítrofe entre la «física y la filosofía.
El concepto “realidad física” es el último al que se llega inevitablemente al hacer cualquier intento serio de explicar algo en la física. Debido a su universalidad es tan amplio y omnímodo que resulta imposible definirlo sólo con los medios de la física. Para eso es necesario recurrir a la filosofía con su concepto de realidad objetiva.
Según se sabe, la realidad objetiva supone todo lo que existe y existió, independientemente de nuestra conciencia. (Dicho sea de paso, tanto nuestra conciencia como nuestras sensaciones también son una realidad objetiva). Mas para la ciencia semejante definición es insuficientemente concreta puesto que no obliga a nada, excepto a la fe en la esencia objetiva del mundo cognoscible. En esto creen todos los científicos: de lo contrario no consagrarían toda su vida a la cognición de esta realidad. Las opiniones divergen sólo en lo referente a la naturaleza de la realidad, física, su certeza y su unicidad. La mayoría de los físicos admite que
la realidad física es aquella parte de la realidad objetiva que conocemos mediante el experimento y nuestra conciencia,
es decir, todos aquellos hechos y números que obtenemos con la ayuda de los instrumentos, así como todo lo que pensamos de esto.
Las opiniones son algo muy inestable. ¿Por qué, entonces, estamos seguros de que el cuadro de la realidad física, obtenido por este medio, es verdadero? O más suavemente (puesto que nadie sabe “qué es la verdad”): ¿por qué estamos convencidos de que este cuadro es el único posible?
Realidad física
La precisión de los conceptos es una ocupación difícil y no siempre inofensiva. En su tiempo Sócrates pagó con la vida los perseverantes intentos de poner en claro el sentido de los fundamentales conceptos éticos y morales: el bien y el mal, la verdad y el error, la justicia y la ley ... Sócrates vivió en Grecia antigua, en la época de su mayor prosperidad. Como un verdadero sabio pasaba los días en soleadas plazas de Atenas, poniendo a prueba a sus conciudadanos con las preguntas por el estilo de la que sigue:
“Dime, sapientísimo Hipias, ¿qué es lo bello?” El interlocutor sabio se ponía a explicarlo con entusiasmo, pero pronto se daba cuenta de que no podía pasar de la raya de los ejemplos: interpretaba más o menos claramente qué era una mujer bella, una magnífica olla con papilla o un caballo hermoso, pero cada vez se veía incapaz de explicar qué era lo bello de por sí.
En todos los tiempos comprendían lo trágico de esta situación de pensamiento. Comprendían, mas se resignaban.
“La verdad se halla fuera de los límites de la conciencia y por eso no puede expresarse con palabras”, decían en la India Antigua. “Lo que no se puede expresar con palabras, debe callarse”, escriben los filósofos contemporáneos.
En nuestros deseos de contestar a la pregunta “¿Qué es el átomo?” nos encontramos inevitablemente ante las mismas dificultades. A nosotros, como a los filósofos antiguos, nos cuesta trabajo superarlas por medio de palabras, aunque nuestra situación es mejor: con el desarrollo de la ciencia aparecieron fórmulas, que permiten eludir muchas dificultades.
Los ejemplos particulares nos han convencido poco a poco de que el átomo no son las rayas espectrales que él emite ni la diversidad de cristales, formados por los átomos, ni el calor del hierro incandescente, ni los electrones, que salen de los átomos. Igual que los interlocutores de Sócrates ahora nos vemos obligados a, reconocer que el átomo es algo indefinible de por sí, es cierta causa común de los fenómenos atómicos, que no se puede conocer independientemente de éstos.
Entremos en cualquier laboratorio físico y tratemos de entrada determinar qué fenómeno de la naturaleza se estudia allí. Veremos un amontonamiento de aparatos y un enredo de cables, detrás de los cuales no sólo será imposible ver el «fenómeno, sino ni siquiera a los «físicos llamados a estudiarlo. En semejante ambiente, por ejemplo, las palabras: “Aquí estudiamos el desdoblamiento de rayas espectrales en el campo magnético” pueden suscitar una amable atención, mas en ningún caso la confianza.
Incluso cuando pongan en sus manos la placa «fotográfica y Ud. vea en ella unas finas «rayas negras, no se le ocurrirá ninguna asociación con los átomos, de cuyas entrañas (según tratarán de convencerlo los físicos) han sido emitidos esos rayos que, luego, transformados por el espectroscopio, han dejado en la placa fotográfica huellas ostensibles.
Para una persona ajena a la física, todas estas explicaciones parecen, muy poco convincentes. Comprende más o menos cómo el mecánico determina el defecto dé un motor por su ruido, o cómo el médico puede diagnosticar correctamente, partiendo de las quejas del enfermo. Por cuanto sabe: el motor siempre se puede desarmar y sus piezas no cambiarán; y, en el peor de los casos, se puede hacer la autopsia y comprobar lo correcto del diagnóstico. En ambos casos se conocen todas las partes que forman el conjunto. Incluso no siendo relojero, al desarmar un reloj se puede comprender cómo funciona y por qué el movimiento visible de sus agujas difiere del movimiento generalmente invisible de sus resortes y rueditas.
Tratándose de los átomos todo es mucho más complicado. Observamos las manifestaciones externas de sus propiedades: los espectros, el color de los cuerpos, su capacidad calorífica y la estructura cristalina, mas no podemos a continuación abrir “la tapa del reloj” para ver la estructura del átomo “en realidad”. A base del conjunto de hechos, conceptos y fórmulas hemos creado cierta imagen del átomo. Mas por cuanto no existe ningún método independiente para comprobar esta imagen, surge la pregunta lógica: ¿no se podría inventar otra imagen del átomo que, no obstante, condujese a las mismas consecuencias observadas?
No es una pregunta ociosa. Casi todos los grandes «físicos se ocuparon de ella. Una mente escéptica y trivial la formula de una manera algo diferente: “¡Todo lo que ustedes han inventado no es verdad, en realidad todo no es así!”
Es difícil refutar tal objeción puesto que el concepto de “en realidad” realmente no está definido. En el sentido cotidiano “en realidad” existe sólo aquello que podemos comprobar mediante nuestros cinco sentidos, o de lo que podemos cerciorarnos con ayuda de los aparatos: continuación de nuestros sentidos.
Incluso la última afirmación no fue aceptada de inmediato, ni mucho menos: los contemporáneos de Galileo le reprocharon de que sus descubrimientos de las manchas salares y de los satélites del Júpiter, en realidad, no eran descubrimientos, sino errores del anteojo óptico que él utilizaba.
Supongamos que hemos dejado atrás la época de Galileo y creemos en la autenticidad de las indicaciones de los aparatos. Entonces queda todavía la libertad de interpretar estas indicaciones. La cuestión “en realidad” significa ahora: “¿Hasta qué punto es unívoca la interpretación de los experimentos respecto a los fenómenos inaccesibles a la percepción sensitiva inmediata?”.
El sentido común del hombre ajeno a la ciencia debe reconocer que tal interpretación no es unívoca. Después de una visita corta a un laboratorio físico esta convicción “a priori” puede sólo afirmarse. Únicamente los físicos saben que los hechos y conceptos de su ciencia admiten la libertad de interpretaciones sólo en el proceso de su descubrimiento y formación. Pero una vez incluidos en el sistema general de los conocimientos físicos y coordinados con éstos, es casi imposible cambiarlos sin pasar las límites de su aplicación.
A medida de profundizar y precisar el sistema de los conocimientos científicos nos vemos obligados a apartarnos cada vez más de las percepciones sensitivas inmediatas, así como de los conceptos que surgieron en su base. Tal proceso de abstracción es irreversible, mas esto no debe ser motivo de aflicción, por cuanto nuestra mente es capaz de comprender incluso aquello que no podemos imaginarnos.
La abstracción de los conceptos científicos es tan necesaria como la invención de la escritura alfabética, que reemplazó los dibujos antiguos y los jeroglíficos. Ni una sola letra en la palabra “rinoceronte” recuerda al animal y, no obstante, la palabra entera evoca infaliblemente en la memoria la imagen necesaria. Para todos está claro que la cultura moderna es inconcebible sin la imprenta. Mas no todos, ni mucho menos, comprenden que sin la abstracción ulterior de los conceptos científicos, el desarrollo de la ciencia es imposible. El sentido común corriente debe resignarse con este hecho y no exigir explicaciones. La ciencia abstracta, igual que la música, no requiere justificación, sino comprensión profunda: sólo con su ayuda es factible conocer la insólita realidad atómica, aunque ésta es de una índole absolutamente distinta a la de las piedras y árboles ponderables y visibles.
Pero incluso esta “realidad abstracta” el hombre trata siempre de imaginársela palmariamente, es decir reducirla a un pequeño número de imágenes comprobadas. Tal deseo está profundamente arraigado en el hombre y por eso entre los físicos, poco a poco, se ha desarrollado su propio sistema raro de imágenes, que casi seguro no corresponde a nada real en la naturaleza y que no se puede describir con palabras, mas que, no obstante, les ayuda a encontrar relaciones entre los fenómenos en los momentos de supremo esfuerzo mental.
Las cadenas del conocimiento que hemos dibujado, del fenómeno a través de los conceptos y fórmulas a las imágenes, no son más que esquemas que dan una idea sólo aproximada de los complicados procesos que se operan en la conciencia del científico cuando en un conjunto desordenado de hechos intenta ver relaciones simples, definirlas con palabras y ubicarlas en el cuadro general de la naturaleza.
Una palabra suelta no forma todavía el idioma: se necesitan un conjunto de palabras y reglas gramaticales de acuerdo con las cuales aquéllas se combinan. Igualmente un hecho científico aislado, por más importante que parezca, de por sí todavía no significa nada si se ignora su fugar en el sistema general de conocimientos, y sólo junto con su interpretación adquiere sentido y valor.
Recuérdese la historia de la raya D del sodio. La había observado ya Fraunhofer. Pero ¿acaso él podía sospechar que tenía en las manos la clave de toda la mecánica cuántica? Veía que esta raya se desdoblaba en dos componentes. Pero ¿acaso sabía que era la influencia del spin del electrón? Los conceptos “electrón”, “mecánica cuántica” y “spin” en la época de Fraunhofer todavía no estaban inventados. Y sin ellos la «raya D del sodio es simplemente un hecho curioso que no conduce a ningunas consecuencias profundas. Sólo después de los experimentos de Crookes, Rutherford y Thomson, y una vez creado el sistema de conceptos y fórmulas que fue denominado la mecánica cuántica, se puso de manifiesto que la raya D del sodio era uno de los hechos que cambiaban las propias bases de nuestro modo de pensar.
Sólo gracias a la teoría podemos apreciar la armonía de los fenómenos del mundo atómico: toda descripción únicamente de la instalación experimental será irremediablemente aburrida y carente de interés. La teoría es una penetración intuitiva en la esencia de los fenómenos observados. Permite adivinar aquellas propiedades suyas que se hallan más allá de nuestra práctica y conciencia, así como explicar con su ayuda la complejidad visible mediante la sencillez invisible. Precisamente esta forma genial de pensamiento de los hombres como Dalton y Bohr creó la teoría atómica moderna. Únicamente la teoría hizo que el cuadro del átomo fuera no sólo satisfactorio lógicamente, sino también aceptable desde el punto de vista estético. Y no en vano (aunque, tal vez, no sea muy correcto etimológicamente) semejantes momentos de penetración en la esencia de las cosas se llaman a veces copia: contemplación divina.
Es evidente para todos que los conceptos surgen a base de los hechos nuevos. Sin embargo, no todos se dan cuenta hasta qué punto el sentido de los hechos nuevos depende de los conceptos que se utilizan para su interpretación. A medida que se desarrollan y profundizan los conocimientos científicos, esta influencia recíproca de hechos y conceptos se fortalece paulatinamente y la cadena del conocimiento se modifica una vez más:

En nuestros días esta interacción se ha hecho tan fuerte que a veces es difícil separar los hechos de su interpretación. El resultado de tal interacción lo llaman a menudo la explosión informativa: tan rápidamente la influencia recíproca incontrolada de hechos y conceptos nuevos conduce a consecuencias prácticas reales.
El entrelazamiento complicado de hechos, conceptos, fórmulas e imágenes de la ciencia es muy difícil y, quizás, imposible de desenredar. Todos los intentos semejantes nos llevarán inevitablemente a la pregunta sacramental: “¿Qué apareció antes: el huevo o la gallina?”
Emmanuel Kant intentó abrir este círculo lógico: los conceptos dependen de los resultados del experimento y la interpretación de los experimentos, del sistema de los conceptos. Kant suponía que varios de estos conceptos “vienen dados al hombre por el Dios” y el hombre nacía con ellos, mientras que todas las verdades ulteriores podía encontrarlas, combinando los conceptos iniciales, desde luego, en caso de que no cometiese errores lógicos. Al aceptar esta conjetura, Kant construyó una filosofía del conocimiento armoniosa y perfecta. Sin embargo, el desarrollo de la física demostró muy pronto que muchas de las “verdades a priori” de Kant −tales como el espacio, el tiempo y otras−, en realidad tenían un origen empírico y de lo más terrenal, por supuesto, reapreciado y exento de las particularidades concretas de aquellas imágenes a base de las cuales habían surgido.
Nadie jamás conocerá el primer hecho y el primer concepto científicos que dieron comienzo a la evolución de la ciencia moderna. Por eso, cada vez más a menudo, en lugar de la “explicación de la naturaleza” los naturalistas hablan de la “descripción de la naturaleza”.
“Ahora, mejor que las ciencias naturales antiguas, nos damos cuenta de que no existe un punto de partida tan seguro del que diverjan los caminos hacia todas las esferas de nuestro conocimiento, pero que todo el conocimiento, en cierta medida, se ve obligado a flotar sobre un precipicio sin fondo. Tenemos que empezar siempre desde el centro aproximadamente, y al analizar la realidad, utilizar los conceptos que sólo paulatinamente adquieren un sentido determinado, gracias a su aplicación...” Estas palabras de Heisenberg son familiares y comprensibles para todo físico. En la vida de cada uno de ellos hay momentos cuando se asombran de que en tales condiciones el conocimiento de la naturaleza, no obstante, sea posible. “El único misterio del mundo es su cognoscibilidad”−solía repetir Einstein.
La realidad física es un concepto muy profundo y, como todos los conceptos profundos de nuestro idioma, no tiene sentido unívoco. Es primario y no se puede definirlo con suficiente rigurosidad lógica a través de otros conceptos más simples. Se debe aceptarlo, atribuyéndole previamente el significado que nos dictan toda nuestra vida anterior y los conocimientos adquiridos. Es evidente que con el desarrollo de la ciencia este significado cambia igual que el del concepto “átomo”.
Nuestros antepasados creían que los cinco sentidos les daban el cuadro correcto de la realidad, por cuanto con su ayuda lograban evitar los peligros reales y sobrevivir. En aquella etapa de desarrollo la conciencia sólo agrupaba y analizaba los datos de los sentidos.
Llegaron otros tiempos y la conciencia misma empezó a crear la realidad: dibujaba cuadros detallados del infierno y paraíso y trataba de representar claramente la esencia de la trinidad divina.
Luego vino la época de dudas purificadoras: no se puede confiar sin reserva en nuestras percepciones (no sentimos el movimiento de la Tierra, ¡pero ésta gira!), mas las conclusiones de la conciencia también es necesario comprobar con experimentos (las estrellas, en las cuales antes veían tanto las almas de los difuntos como los candiles de los ángeles, resultaron ser simplemente soles lejanos).
Con la aparición de la ciencia, el concepto de realidad cobró un aspecto completamente distinto y la realidad del hombre del siglo XX dista tanto de la de los griegos como el átomo moderno del de Demócrito.
Los rasgos definitivos en el nuevo cuadro de la realidad física los acabó de trazar la mecánica cuántica. Tal vez sea la razón principal que despierta en la gente el deseo de comprender: “¿Qué es la mecánica cuántica?” Principal pero no la única. Es más profunda incluso que el interés profesional lógico. Al estudiar la mecánica cuántica, el hombre adquiere no sólo hábitos especiales que le permiten calcular el láser o la caldera atómica. El conocimiento de la mecánica cuántica es en cierto sentido un proceso emocional que hace revivir de nuevo toda su historia. Como todo proceso ilógico, es estrictamente individual y deja huellas indelebles en la conciencia del hombre. Este conocimiento abstracto, una vez adquirido, influye irreversiblemente en toda la vida ulterior del hombre: en su enfoque de la física y de otras ciencias, así como en sus criterios morales. Probablemente, el estudio de la música cambia al hombre del mismo modo.
Desde luego, no se puede llegar a ser músico ni siquiera visitando conciertos diariamente. Para eso es necesario antes tocar gamas larga e insistentemente. Al tomar conocimiento de cualquier ciencia llega el momento cuando uno debe elegir: ¿seguir siendo aficionado o hacerse profesional? En el primer caso le es suficiente asimilar los conceptos e imágenes de la ciencia y, si puede, sentir su hermosura. En el segundo caso debe aprender el oficio: estudiar la interacción entre los conceptos y medios de su expresión en él idioma de las matemáticas. Si no lo hace, la alegría de maestro y músico no estará a su alcance.
Al leer este libro hemos conocido sólo las primeras notas de la mecánica cuántica y, quizás, hayamos aprendido a tocar algunos acordes sonoros. Por supuesto, sólo el músico apreciará en plena medida la profundidad de la idea musical y sólo el físico será capaz de sentir satisfacción estética ante la belleza de las «fórmulas. Los que se dediquen a la ciencia lo comprenderán, posiblemente, con el tiempo. Pero si Ud., lector, sin adentrarse en las “leyes de la armonía” de la mecánica cuántica, ha sentido, pese a todo, la belleza de su “melodía”, la tarea de nuestro relato está cumplida.
* * * *
Olimpo cuántico
El científico e industrial sueco Alfred Nobel, que se enriqueció con él invento de piroxilina, legó a la Academia de Ciencias de Suecia una cuantiosa suma de dinero para que anualmente los intereses de este capital se invirtieran en premios−? los científicos por destacados logros en la ciencia y en el arte.
El primer Premio Nobel fue adjudicado en 1901 a Röntgen, y desde entonces el título de laureado del Premio Nobel llegó a ser el supremo reconocimiento de los méritos científicos. Es notable que casi todos los años, a lo largo de tres decenios, el Premio Nobel se adjudicaba por descubrimientos en la «física atómica. Semejante reconocimiento de una rama de física bastante estrecha no es casual: ella «realmente cambió nuestra concepción del mundo.
Entre los laureados con el Premio Nobel figuran los nombres de todos los grandes físicos que construyeron el edificio moderno de la mecánica cuántica y, al repasar su lista, repetimos mentalmente una vez más su rica historia.
| Año | Acontecimientos |
| 1901 | Wilhelm Konrad Röntgen (1845−1923): “En señal del reconocimiento de su relevante aportación: el descubrimiento de los rayos maravillosos, a los que más tarde se dio su nombre”. |
| 1902 | Hendrik Antoine Lorentz (1853−1928), Pieter Zeeman (1865−1943); "... por sus investigaciones acerca de la influencia del magnetismo sobre los fenómenos de radiación”. |
| 1903 | Antoine Henry Becquerel (1852−1908): "... por su descubrimiento de la radiactividad espontánea”. |
| 1904 | Sir William Ramsay (1852−1916): "... por el descubrimiento de los elementos gaseosos inertes en el aire y su ubicación en la tabla periódica”. |
| 1905 | Philipp Eduard Antoine von Lenard (1862−1947): .. por sus investigaciones de los rayos catódicos”. |
| 1906 | Joseph John Thomson (1856−1940): “en señal de reconocimiento de gran importancia de sus investigaciones teóricas y experimentales acerca de la conductibilidad eléctrica de los gases”. |
| 1908 | Ernest Rutherford (1871−1937): "... por sus investigaciones sobre la desintegración de los elementos y la química de las sustancias radiactivas”. |
| 1911 | María Sklodovska Curie (1867−1934): “... por el descubrimiento de los elementos radio y polonio, la separación del radio y el estudio de la naturaleza y de los compuestos de este remarcable elemento”. Wilhelm Wien (1864−1928): "... por el descubrimiento de las leyes de radiación de calor”. |
| 1914 | Max von Laue (1879−1960): “... por el descubrimiento de la difracción de los rayos X por cristales”. |
| 1918 | Max Karl Ernst Ludwig Planck (1858−1947): "... por el descubrimiento del cuanto de energía”. |
| 1919 | Johannes Stark (1874−1957): "... por el descubrimiento del efecto Doppler en los rayos canales y el desdoblamiento de las rayas espectrales en los campos eléctricos”. |
| 1921 | Frederick Soddy (1877−1956): “... por su aportación a nuestros conocimientos sobre la química de las sustancias radiactivas y las investigaciones del origen y la naturaleza de los isótopos”. |
| 1922 | Niels Henrik David Bohr (1885−1962): "... por sus investigaciones sobre la estructura y la radiación de los átomos”. Francis William Aston (1877−1945): "... por el descubrimiento de los isótopos de gran número de elementos no radiactivos (principalmente con la ayuda de su espectrógrafo de masas) y por la demostración de la regla de los números enteros”. |
| 1923 | Robert Andrews Millikan (1868−1953): “por sus trabajos referentes al estudio de la carga elemental de la electricidad y el efecto fotoeléctrico”. |
| 1925 | James Franck (1882−1964), Gustav Ludwig Hertz (nació en 1887): "... por el descubrimiento de las leyes que dirigen el choque de los electrones con los átomos”. |
| 1927 | Arthur Holly Compton (1892−1962): “por la investigación del efecto que lleva su nombre”. Charles Thomas Rees Wilson (1869−1959): "... por su método de hacer visibles las trayectorias de las partículas cargadas al condensarse el vapor”. |
| 1929 | El príncipe Louis Víctor de Broglie (nació en 1892): “... por el descubrimiento de la naturaleza ondulatoria de los electrones”. |
| 1932 | Werner Karl Heisenberg (nació en 1901): "... por la creación de la mecánica cuántica y, en particular, por su aplicación al descubrimiento de los estados alotrópicos del hidrógeno”. |
| 1933 | Erwin Schrödinger (1887−1961); Paul Adrien Maurice Dirac (nació en 1902): "... por el descubrimiento de la nueva forma fructífera de la teoría atómica”. |
| 1934 | Harold Clayton Urey (nació en 1893): "... por el descubrimiento del hidrógeno pesado”. |
| 1935 | Jean Frédéric Joliot (1900−1958); Irene Joliot Curie (1897−1956): "... por las síntesis de nuevos elementos radiactivos”. |
| 1937 | Clinton Joseph Davisson (1881−1958); George Paget Thomson (nació en 1892): "... por sus descubrimientos experimentales de difracción de electrones por cristales.” |
| 1945 | Wolfgang Pauli (1900−1958): "... por el descubrimiento del principio de exclusión, llamado también principio de Pauli”. |
| 1951 | Edwin Mattison McMillan (nació en 1907); Glenn Theodor Seaborg (nació en 1912): "... por sus descubrimientos en la química de los elementos transuránicos”. |
| 1954 | Max Born (1882−1970): "... por las investigaciones fundamentales en la mecánica cuántica, en particular, por su interpretación estadística de la función de onda”. Linus Carl Pauling (nació en 1901): “...por las investigaciones de la naturaleza del enlace químico y su aplicación para explicar la estructura de sustancias compuestas”. |
| 1955 | Polykarp Kusch (nació en 1911): "... por la determinación precisa del momento magnético del electrón”. |
| 1958 | Igor Evguénievich Tamm (1895−1971); Pável Alexándrovich Cherenkov (nació en 1904); Iliá Mijáilovich Frank (nació en 1908): “por el descubrimiento y la explicación del efecto Vaviíov − Cherenkov”. |
| 1964 | Nikolái Guennádievich Básov (nació en 1922); Alexandr Mijáilovich Prójorov (nació en 1916): Charles Townes (nació en 1915): “por sus investigaciones en la radiofísica cuántica, que llevaron a la creación de generadores cuánticos y amplificadores de radiación electromagnética: los máseres y los láseres”. |
Capítulo 11
Orígenes del método científico; Esencia y desarrollo del método científico; Veracidad y plenitud del cuadro científico del mundo; Ciencia y humanidad; Límites del método científico; Ciencia y arte; El futuro de la ciencia
Hace poco, en el ardor de la disputa, un físico declaró: “En principio, incluso para describir un sistema tan complejo como el hombre basta conocer la ley de Coulomb y las ecuaciones de la mecánica cuántica”.
En la ciencia semejantes afirmaciones no son una novedad. Para levantar la Tierra, Arquímedes se arreglaría con una palanca y Laplace se comprometió a predecir el futuro del mundo si le proporcionarían las coordenadas e impulsos iniciales de todas las partículas del Universo. Aunque tal fe en la perfección y omnipotencia de la ciencia es siempre atrayente, no obstante, es útil recordar la advertencia de Roger Bacon, que hoy es tan justa como hace setecientos años. “Si el sino mortal del hombre le diese incluso miles de siglos de vida, ni siquiera en este caso lograría la perfección en el saber; no llega a comprender la naturaleza de la mosca, y algunos doctores presumidos creen que ¡el desarrollo de la filosofía está consumado!”
Roger Bacon (1214−1294) era monje franciscano que estudió y luego enseñó en Oxford, una de las primeras universidades del mundo, fundada poco antes de su nacimiento.
“Existen cuatro obstáculos supremos para comprender la verdad −escribió−. Estorban a todos y a cada hombre sabio y apenas permiten alcanzar la sabiduría verdadera. Son a saber: el ejemplo de una autoridad mísera e indigna; la constancia de la costumbre; la opinión de la multitud profana y el encubrimiento de la ignorancia propia con sabiduría pretenciosa”.
La doctrina de Roger Bacon no fue de agrado de los padres de la Iglesia y éstos lo encerraron en una cárcel por 17 años.
Fue la época de las cruzadas, los años de florecimiento de los dogmas religiosos y su unión con la filosofía y la mística cristiana. La teología se convirtió en base de la instrucción; la vida de los santos, en ejemplo de la moral y la ética, mientras que la importancia de la Iglesia creció a tal punto que los Papas disputaban a los reyes el derecho al poder laico. Al parecer, nada presagiaba el derrumbamiento de todo el sistema de valores medievales, no obstante, la creencia religiosa cedió pronto su lugar al conocimiento científico, y la clarividencia mística, a la experiencia racional.
Somos testigos del florecimiento del nuevo sistema de valores que nada toma a fe y que se asienta en la ciencia. El poderío de la ciencia pasma incluso a una mente experta: la ciencia fisionó el núcleo atómico, llegó a la Luna y descubrió las leyes de la herencia...
Pero en el ambiente de admiración general, no siempre se comprende la esencia del método científico, las causas de su poderío y menos aún se imaginan sus límites. Todavía no se ha creado la ciencia que trata de la ciencia ni se sabe siquiera si existe en general. Mas incluso ignorando las leyes de desarrollo de la ciencia, presenta siempre interés seguir sus orígenes y peculiaridades características. Esto nos ayudará a comprender mejor e! lugar y el papel de la mecánica cuántica en el sistema general de conocimientos humanos.
Orígenes del método científico
Hemos perdido los conocimientos de los tiempos remotos, llegando a nosotros sólo sus fragmentos. Pero éstos no están sistematizados, nos son ajenos por su espíritu y parecen ingenuos. La ciencia moderna lleva su origen de los griegos antiguos: son nuestros antecesores no sólo en el tiempo, sino también lo que es más importante, por el espíritu. Los griegos inventaron la demostración. Tal idea no surgió en Egipto ni en Mesopotamia, ni en China,
quizás, porque todos estos Estados se basaran en la tiranía y supeditación incondicional a las autoridades. En semejantes condiciones incluso el sólo pensar en la posibilidad de demostraciones racionales parece sedicioso.
En Atenas, por vez primera en la historia universal, nació una república. No se debe idealizarla sobremanera, puesto que floreció a base del trabajo de esclavos No obstante, en la Grecia Antigua se crearon condiciones bajo las cuales se hizo posible el intercambio libre de opiniones, lo que condujo al inusitado florecimiento de las ciencias. Aparecieron gérmenes del método científico, por cuyo medio los griegos intentaron construir el cuadro íntegro del mundo.
En la Edad Media, que era el período de intentos de comprender el lugar que el hombre ocupaba en el mundo dentro de los marcos de diferentes dogmas religiosos, la necesidad de la cognición racional de la naturaleza se extinguió completamente. En el transcurso de casi diez siglos, la religión daba respuestas cabales a todas las preguntas de la existencia. Dichas respuestas no sólo no estaban sujetas a la crítica, sino ni siquiera a la deliberación, y el raciocinio se hallaba sometido incondicionalmente a la religión.
Las obras de Euclides fueron traducidas al latín y en el siglo XII se dieron a conocer en Europa. Sin embargo, en aquella época las percibían simplemente como un conjunto de reglas ingeniosas que se debían aprender de memoria: tan extrañas eran al espíritu de la Europa medieval, acostumbrada a confiar y no a buscar las raíces de la verdad. Pero el volumen de los conocimientos crecía impetuosamente y no se lograba ya concordarlos con la orientación de las mentes medievales.
Las postrimerías del Medievo se relacionan generalmente con el descubrimiento de América en 1492. Algunos señalan otra fecha incluso más exacta: el 13 de diciembre de 1250, el día en que en su castillo en las proximidades de Lucera falleció el rey Federico II Hohenstaufen. Por supuesto, estas fechas no hay que tomarlas en serio, pero varias fechas semejantes tomadas en su conjunto orean una sensación evidente de la autenticidad del viraje que se operó en la conciencia de la gente en el límite de los siglos XIII y XIV. En la historia este período fue llamado Renacimiento.
Obedeciendo a las leyes internas de desarrollo y sin causas aparentes para ello, Europa tan sólo en el curso de dos siglos hizo renacer los gérmenes de los conocimientos antiguos que hasta entonces, durante más de diez siglos, se hallaban en menosprecio y fueron denominados posteriormente científicos.
En la época del Renacimiento, en las mentes de la gente se operó un viraje: los deseos de comprender su lugar en el mundo fueron sustituidos por los intentos de concebir la estructura racional del mismo sin alegar milagros ni la revelación divina. Al comienzo, este viraje revestía un carácter aristocrático, mas con la invención de la imprenta, “invento más bien divino que humano”, se propagó a todas las capas de la población.
La esencia del viraje consistía en liberarse de la presión de las autoridades y pasar de la creencia medieval al conocimiento del tiempo nuevo. La iglesia se oponía por todos los medios a las nuevas tendencias, perseguía severamente a los filósofos que reconocían que había cosas auténticas desde el punto de vista de la filosofía, mas falsas, según el criterio de la religión “como si en contrapeso a la verdad que encierran las Escrituras Sagradas, la verdad pudiera hallarse en los libros de los paganos”.
Al abstraerse de las pasiones políticas de la época en que vivió Galileo, se hace claro que lo juzgaron no sólo por simpatizar con el sistema de Copérnico. Unas ideas análogas defendía hace un siglo el cardenal Nikolás de Cusa (1401−1464), quedando impune. Pero, mientras que el sabio cardenal afirmaba esta idea apoyándose en las autoridades, como correspondía a un creyente, Galileo demostraba la misma idea, como lo exigía la ciencia, es decir, proponía a todos comprobarla, basándose sólo en la experiencia y el sentido común. Esto, precisamente, no pudieron perdonarle los servidores del culto.
Mas la presa derrumbada de la fe no se podía restablecer ya, y el espíritu liberado comenzó a buscar nuevos caminos para su desarrollo.
Después de un largo encierro bajo el yugo de las autoridades se pasó a otro extremo: comenzó el período de duda general. Todo se ponía en tela de juicio: que los sentidos dan una idea correcta del mundo; que la conciencia es capaz de protegerse contra los errores de las opiniones y sensaciones; se dudaba incluso de la realidad de su propia existencia.
Fueron tiempos, en que se perdió ya el apoyo en la fe, mas no se adquirió aún la seguridad en la razón. Más aún, parecía que la imperfección del «raciocinio alejara las esperanzas de alcanzar algún día la verdad en el camino de la cognición: Sólo paulatinamente la razón cobraba fuerza y paso a paso creó el método que pudo protegerla contra sus propios errores.
Los principios del saber científico y el método que permitiera realizarlos se había comenzado a buscar mucho antes de surgir la ciencia moderna. Ya en el siglo XIII Roger Bacon en su tratado “Opus tertium” escribió:
“Existe una experiencia natural e imperfecta que no comprende su poderío ni se da cuenta de sus métodos: la utilizan los artesanos y no los científicos... Por encima de todos los conocimientos y artes especulativos se halla la habilidad de hacer experimentos y esta ciencia precisamente es la reina de las ciencias ...
Los filósofos han de saber que su ciencia es impotente si no le aplican las poderosas matemáticas ... Es imposible distinguir un sofisma de una demostración sin comprobar la conclusión por medio del experimento y la aplicación.”
En 1440, Nikolás de Cusa escribió el libro “De docta ignorantia” en el que insistía que todos los conocimientos acerca de la naturaleza era necesario anotarlos en cifras y todos los experimentos sobre la misma llevarlos a cabo con la balanza en las manos.
La afirmación de los nuevos puntos de vista se operaba lentamente. Por ejemplo, aunque las cifras árabes ya en el siglo X entraron en uso común, incluso en el siglo XVI por doquier hacían cálculos no en el papel, sino con la ayuda de fichas especiales, más imperfectas aún que nuestro ábaco.
Es práctica corriente comenzar la auténtica historia del método científico por Galileo y Newton. De acuerdo con la misma tradición Galileo Galilei (1564−1642) se considera padre de la física experimental, e Isaac Newton (1643−1727), «fundador de la física teórica. Por supuesto, en sus tiempos no existía tal división de la única ciencia física en dos partes, ni siquiera existía la misma física que entonces se llamaba filosofía natural. Mas semejante división tiene un sentido profundo: ayuda a comprender las particularidades del método científico y, de hecho, equivale a la división de la ciencia en el experimento y las matemáticas enunciada por Roger Bacon.
Esencia y desarrollo del método científico
Nos hemos acostumbrado tanto a identificar los conceptos “conocimiento” y “ciencia” que no podemos imaginarnos otro conocimiento fuera del científico. ¿En qué radican su esencia y peculiaridades?
La esencia del método científico se puede explicar fácilmente: dicho método permite conseguir tales conocimientos acerca de los fenómenos que se pueden comprobar, conservar y transmitir a otros.
De aquí se desprende en seguida que la ciencia no estudia todos los fenómenos en general, sino sólo aquellos que se repiten. Su tarea principal es encontrar leyes de acuerdo con las cuales estos fenómenos transcurren. En diferentes períodos, la ciencia lograba este fin de una manera distinta.
Los griegos antiguos observaban atentamente los fenómenos y luego por medio de especulación intentaban penetrar en la armonía de la naturaleza con la fuerza del intelecto, basándose sólo en los datos de los sentidos, acumulados en la memoria.
En la época del Renacimiento se hizo evidente que el objetivo planteado no podía lograrse sólo mediante los cinco sentidos: hacía falta inventar instrumentos, que no eran otra cosa, que la continuación y profundización de nuestros órganos de los sentidos. Simultáneamente surgieron dos problemas: hasta qué punto se puede confiar en las indicaciones de los instrumentos y cómo conservar la información, obtenida por medio de los mismos.
El segundo problema fue resuelto poco después con la invención de la imprenta y la aplicación consecuente de las matemáticas en las ciencias naturales. Mucho más difícil resultó solucionar el primer problema; hasta qué grado son fidedignos los conocimientos obtenidos por medio de los instrumentos. En realidad, este problema no ha sido resuelto definitivamente hasta hoy día, y toda la historia del método científico es la historia de la profundización y modificación constantes de este problema.
Muy pronto se comprendió que, como regla, se podía confiar en las indicaciones de los instrumentos, o sea, que ellos reflejaban algo real en la naturaleza que existía independientemente de estos instrumentos. (En fin de cuentas, se convencieron, por ejemplo, de que las manchas solares se hallaban precisamente en el Sol y no eran defectos del anteojo de larga vista por medio del cual fueron descubiertas.) En este período de florecimiento de la física experimental fueron acumulados todos los conocimientos a base de los cuales a fines del siglo pasado tuvo lugar el poderoso salto de la técnica.
Sin embargo, el volumen de los conocimientos crecía impetuosamente y a principios de nuestro siglo condujo a la crisis en la física. La esencia de esta crisis radicaba en que en cierto momento los hombres dejaron de comprender cómo relacionar los números, obtenidos por medio de los aparatos, con los fenómenos reales en la naturaleza. Precisamente en este momento adquirió importancia decisiva la física teórica.
Las causas de la crisis eran dos: por un lado los aparatos habían dejado muy a la zaga las sensaciones directas del hombre y por tanto la intuición orientándose por sus indicaciones no proporcionaba ningún cuadro sencillo de los fenómenos que se estudiaban. Con lo mismo fueron agotadas las posibilidades de la interpretación palmaria de los datos del experimento.
Por otro lado, no existía un esquema lógico que ayudara a ordenar los hechos científicos y, sin alegar la intuición, condujera a tales consecuencias observadas que no podría objetar ni siquiera el sentido común.
La crisis fue superada^ en el segundo camino: confiando igual que antes en las indicaciones de los instrumentos, fueron inventados conceptos y esquemas lógicos nuevos que enseñaron enfocar esas indicaciones de una manera nueva. El papel decisivo en esta destrucción de los conceptos asentados lo desempeñó la mecánica cuántica. Esta no sólo nos proporcionó el poder sobre el mundo absolutamente nuevo de los fenómenos atómicos, sino que además nos convenció de que las indicaciones de los aparatos no eran una simple fotografía de los fenómenos de la naturaleza: no se refieren directamente a la naturaleza, sino que reflejan y fijan en números uno de sus aspectos junto con nuestras ideas acerca de la misma.
En el curso del tiempo estos conocimientos se perfeccionan y nos permiten predecir correctamente los fenómenos de la naturaleza cada vez más sutiles. El hecho de por sí es asombroso y, probablemente, jamás llegaremos a comprenderlo, pero ya que se dio a conocer, lo aprovechamos.
Ahora casi todos los físicos están de acuerdo con ello. Sin embargo, igual que todos los hombres, quieren comprender más: ¿hasta qué punto es completo el cuadro del mundo que dibujó la física? Esta pregunta no es física, sino más bien filosófica. Surgía en todos los tiempos, pero por vez primera fue nítidamente formulada en los diálogos de Platón.
Platón comparó a los científicos con presos encadenados en una cueva de espalda a la entrada, de modo que no ven la luz, sino sólo las sombras que se mueven en la pared opuesta. El reconocía que incluso en tales condiciones, observando atentamente el movimiento de las sombras, se podía aprender a adivinar el comportamiento de aquellos cuerpos, cuyas sombras se veían en la pared de la cueva. Pero el conocimiento adquirido de ese modo dista infinitamente del conocimiento pleno que adquiere el preso liberado al salir de la cueva.
Nada se puede objetar a Platón. El mundo circundante realmente es más rico del que podemos figurarnos basándonos sólo en los datos de la física. Un ciego de nacimiento puede estudiar a perfección la óptica, mas al mismo tiempo no tendrá ni la menor idea de qué es la luz, ni menos aún, qué aspecto tienen los riquísimos colores primaverales. Al entrar en el mundo de los fenómenos atómicos, nos asemejamos todos a los ciegos de nacimiento. Carecemos en absoluto de la “vista atómica” y estamos obligados a movernos en el mundo extraño sólo a tientas.
El número de semejantes analogías es fácil de multiplicar y cada una de ellas enseña a los físicos a ser más modestos. En el siglo XIX soñaban con explicar la naturaleza: en el XX aspiran sólo a describirla. Ahora comprendemos que los problemas sobre la plenitud de los conocimientos físicos y la esencia de los fenómenos se hallan fuera de la física y no pueden ser resueltos por sus medios. La física estudia solamente las leyes que rigen esos fenómenos. En este sentido sigue exactamente la “teoría de las sombras”.
Pero incluso tal conocimiento limitado de la naturaleza, ¿hasta qué punto es auténtico?
Veracidad y plenitud del cuadro científico del mundo
Este problema no puede ser resuelto lógicamente: creemos en la ciencia por cuanto ésta nos permite predecir correctamente los fenómenos de la naturaleza y no depende de la arbitrariedad del individuo que aprende. Podemos dudar de la estructura de sus imágenes ya que éstas dependen del medio de comunicación. Pero ahora sabemos con certeza que todos los cuerpos terrestres y celestes están construidos de unos mismos elementos y aproximadamente en proporciones iguales. Estamos seguros incluso de que las leyes de la naturaleza son iguales en todo el Universo y, por consiguiente, el átomo de sodio emite siempre la misma raya D, indistintamente de si se halla en la Tierra o en el Sirio. Ahora casi todos lo reconocen y nadie duda de la veracidad de estos conocimientos. Las dudas surgen sólo cuando nosotros, a base de los hechos firmemente establecidos, pero particulares, intentamos crear el cuadro general y no contradictorio del mundo, que concuerde con todo el conjunto de los datos experimentales y la naturaleza general de la conciencia humana. Con mayor frecuencia surge la pregunta: ¿hasta qué punto es unívoca la forma de las leyes físicas?
Para esta pregunta no hay respuesta categórica. Los que conocen la historia de la ciencia saben que en algunos períodos de su desarrollo existían realmente una al lado de otra dos teorías, cada una de las cuales se consideraba auténtica, y ambas explicaban igualmente bien los fenómenos conocidos en aquella época. Sin embargo, la misma historia refiere que en el curso del tiempo nuevos experimentos optaban por una sola de las dos teorías, o bien en la nueva etapa ambas se unían en una sola a base de principios nuevos, más elevados, como sucedió en la teoría corpuscular y ondulatoria de la luz.
Los hechos y conceptos de la ciencia pueden parecer fortuitos aunque sea porque fueron establecidos en un tiempo imprevisto y por personas casuales y a menudo en condiciones accidentales. Mas tomados en su conjunto, forman un sistema único regular, en el cual el número de relaciones es tan grande que no se puede reemplazar en él ni un eslabón sin afectar al mismo tiempo todos los demás. Bajo la presión de hechos nuevos, este sistema cambia constantemente y se hace más exacto, pero nunca pierde su integridad ni su carácter consumado en cierta medida peculiar. En suma, el sistema de los conceptos científicos es producto de una evolución duradera: en el curso de muchos años sus eslabones viejos se sustituían por otros nuevos, más perfectos, y los conceptos más modernos surgían siempre teniendo en cuenta los anteriores y a su base. En una palabra, la ciencia no es un esquema petrificado inerte, sino un organismo vivo en desarrollo. Y aunque todos los conceptos de la ciencia son creaciones del raciocinio humano, no obstante, son tan casuales como lo es la propia vida racional en la naturaleza.
En uno de los relatos de ciencia ficción de Ray Bradbury el protagonista se marchó en la máquina de tiempo al remoto pasado y durante su breve visita aplastó allí sin querer a una pequeña mariposa. Al regresar, no reconoció el mundo que había dejado al partir: resultó que su injerencia involuntaria y a primera vista despreciable en el curso de la evolución biológica cambió por completo todos sus resultados finales.
Por lo visto, este ejemplo no es más que una exageración impresionante, perdonable a un escritor de novelas de ciencia ficción. Sin duda alguna, en la naturaleza todo está entrelazado. Pero no con la causalidad tan rígida que limita con el determinismo, sino más ingeniosa y flexiblemente, a la manera de la causalidad estadística de la mecánica cuántica. (No obstante, este ejemplo previene una vez más contra cualquier irrupción en la naturaleza, puesto que nadie puede prever las lejanas consecuencias de tales acciones.)
La evolución del sistema de conceptos científicos es un proceso tan incontrolado y al mismo tiempo regular como la evolución del mundo animal. Uno puede imaginárselo parcialmente cambiado a asombrarse ante sus caprichos raros, mas es imposible figurárselo absolutamente distinto. No sabemos cómo surgieron el primer concepto y el primer organismo y qué aspecto tendría todo lo que nos rodea si fuesen distintos. Mas sabemos que cada nuevo paso de la evolución dependía de todos los precedentes. Por eso podemos imaginarnos fácilmente un caballo con patas dé tigre o un átomo en forma de rosca, pero es superior a nuestras fuerzas concebir de otro modo toda la fauna y todo el sistema de los conceptos científicos: tanto el proceso de la evolución biológica como el de la formación de los conocimientos científicos están sujetos a sus leyes intrínsecas, que no podemos cambiar y que todavía no hemos logrado comprender hasta el fin.
Nacemos en el mundo de especies formadas y conceptos asentados. Podemos criar una nueva raza de caballos o reemplazar un concepto por otro que corresponda mejor a la verdad científica. Pero la cuestión de la certeza o falsedad de todo el sistema de los conocimientos humanos se halla fuera de la esfera de la conciencia y no puede solucionarse con sus fuerzas. Más aún, dicha cuestión carece de sentido. La ciencia fue creada por el hombre y para el hombre, y todo el sistema de sus conceptos fue inventado de modo que correspondiese a la naturaleza de la conciencia humana. Y el objetivo final de los conceptos radica en predecir y explicar los fenómenos que influyen en nuestros órganos de los sentidos o en la continuación de éstos: los aparatos.
Es casi seguro que en algún lugar del Universo existen seres racionales con órganos de los sentidos y la estructura de la conciencia diferentes a los nuestros. Tal vez, su sistema de conceptos difiera radicalmente del nuestro. Pero incluso si fuésemos capaces de comprender este sistema a tal punto como para compararlo con el nuestro, no podríamos deducir de esta comparación que es falso. Por el contrario, dicho sistema es siempre auténtico si da a sus órganos de los sentidos predicciones correctas. Nuestros conocimientos científicos acerca del mundo son sombras reales de los fenómenos reales de la naturaleza, es decir, sombras que éstos proyectan iluminados por la luz de nuestra conciencia. Al igual que un mismo objeto arroja sombras diferentes en dependencia del ángulo bajo el cual está alumbrado, del mismo modo el sistema de los conocimientos científicos, creado por la vida racional de otro planeta, puede diferenciarse del nuestro. Tal vez algún día lejano podamos comparar entre sí estas “sombras conscientes” y como el cautivo de Platón, liberado de la cueva, restablecer con ayuda de ellas la verdad en toda su plenitud y brillo, del mismo modo que un maestro experto puede fabricar una pieza guiándose por varias proyecciones planas de ésta. Pero mientras eso no haya sucedido debemos profundizar nuestra ciencia actual: pese a toda su imperfección es hasta ahora el único medio para penetrar en lo hondo de los fenómenos que observamos.
El mundo es objetivo y existe independientemente de nuestra conciencia. No le importa cómo nosotros, parte de este mundo, nos imaginamos el mecanismo interno de sus manifestaciones externas. Esto tiene importancia sólo para nosotros mismos. La cuestión es otra: hasta dónde podremos avanzar en este camino y hasta qué punto podremos precisar nuestras ideas sobre las causas de los fenómenos que observamos. En vez del problema de la realidad física debemos resolver el de los límites del método científico: d problema que después de orearse la mecánica cuántica cobró extraordinaria actualidad.
Ciencia y humanidad
Se suele considerar que la ciencia (en la acepción moderna de esta palabra) existe no más de unos 300−400 años. Durante un lapso tan insignificante ella cambió totalmente el modo de vida de los pueblos civilizados, su actitud hacia el mundo, el modo de pensar e incluso las categorías de la moral.
El rasgo principal de la nueva filosofía de la vida es la sensación de que todo alrededor se modifica continuamente y, como resultado, el deseo de conocer y comprender el mundo circundante a fin de responder de la manera debida a sus cambios. El hombre contemporáneo se muestra escéptico respecto a los principios establecidos de una vez y para siempre, no cree en el carácter consumado de cualquier conocimiento y en cada instante de su vida busca soluciones óptimas. La insaciable sed de saber, que se había despertado por vez primera en la época del Renacimiento, no se ha extinguido hasta el presente. El método científico transformó el mundo en que vivimos: lo pobló de máquinas, a las que a menudo tratamos como a seres vivos; por vez primera sació el hambre de las gentes y las protegió contra enfermedades, lo que condujo al inusitado desarrollo de la humanidad.
A base de los éxitos del método científico surgió y se consolidó una fe nueva, la fe en la ciencia, que a veces hace recordar la fe medieval en la revelación divina. La revolución que la ciencia produjo en las mentes sólo se puede comparar con grandes cambios «religiosos: el budismo, el cristianismo y el islamismo. La ciencia tanto formal como realmente reemplazó a la religión: de la ciencia esperan soluciones a todos los problemas de la vida, sus sentencias las consideran infalibles, entre sus adictos buscan ejemplos para la imitación, y el número de sus adeptos crece más rápidamente que el ejército de los monjes budistas en el Oriente en los tiempos antiguos. Pero a diferencia de las religiones que sometían unos hombres a otros, la ciencia da al hombre el poder sobre la naturaleza.
Los países del Occidente, que asimilaron esta nueva religión, se adelantaron mucho a los países del Oriente, antes prósperos. Todo esto fue posible gracias a un sencillo descubrimiento: la esencia de muchos fenómenos de la naturaleza se puede anotar con números o ecuaciones que establecen relaciones entre los números. Igual que todo método consecuente, el método científico tiene sus expendios, su esfera de actividad y sus límites de aplicación.
Hallarse a la orilla del mar y contemplar cómo el Sol se desplaza por el firmamento, en la antigüedad no se consideraba ocupación indigna de un varón. Desde entonces hubo muchos cambios. Las ciencias inductivas reemplazaron a la especulación pura y comenzaron a “comprobar la armonía por medio de álgebra”. La ciencia se colocó sobre la firme base del experimento, mas perdió los rasgos de sabiduría tranquila y contemplación pausada. Se puede lamentarlo, pero es imposible ya cambiar la situación.
En el proceso de formación de la ciencia se ocupaban de ésta por su cuenta y riesgo individuos fieles a ella. Durante mucho tiempo sus resultados no se consideraban obligatorios para todos: incluso a mediados del siglo pasado, Faraday abogaba por el reconocimiento de la ciencia como elemento de instrucción general. En nuestros días la ciencia es masiva y la labor científica, una ocupación de lo más corriente y a menudo, prosaica. De instrumento de cognición la ciencia se transformó en fuerza «real, mas al mismo tiempo entró en contacto con pasiones humanas muy lejos de ser tan nobles como aquellas a que debía su surgimiento.
Todo esto es justo, todo esto es cierto, pero en la era de la ciencia es inconcebible renunciar a sus resultados sólo por consideraciones éticas: aspirando a la pureza no se debe pasar los límites de la esterilidad. Lo principal es que los músicos toquen bien, y si beben al mismo tiempo o no, eso ya es cuestión de suerte. La ciencia por el momento cumple puntualmente sus obligaciones: construye máquinas, alimenta a la humanidad, le suministra energía y la protege contra enfermedades. Por supuesto, esto no libra a los científicos de la responsabilidad moral por sus descubrimientos, a veces mortíferos.
Como es sabido, en el proceso de la evolución biológica siempre surgen mutaciones, parte de las cuales se consolida rápidamente y desaloja a las que se adaptan peor, mientras que otra parte se conserva con vistas al futuro y sólo se manifiesta cuando las condiciones externas modificadas amenazan con destruir la especie biológica. Precisamente estas mutaciones, ocultas hasta el momento oportuno, en su tiempo salvaron de la ruina también al género humano. Mas la evolución no cesó, sólo cambió sus formas: en el transcurso de milenios el cuerpo humano casi no sufrió cambios, mientras que su conciencia se transformó irreconocible e irreversiblemente. En estas condiciones la ciencia sirve de fuente de nuevas ideas que, tal vez, salven a la humanidad en las catástrofes venideras.
El método científico es un acuerdo entre hombres, bastante fructífero para llegar a ser general. A base de este acuerdo ha crecido y se desarrolla una especie de intelecto colectivo si bien no inmortal, en todo caso relativamente duradero. Cuánto tiempo existirá y dónde están los límites del método científico, por el momento no está claro, aunque es indudable que existen.
Límites del método científico
Al hombre le preocupaban siempre los “problemas eternos”: de la vida y la muerte, del bien y del mal, del Dios y de la eternidad, del objetivo final del ser y de nuestro lugar en el Universo. La religión no supo resolver estos problemas, sólo mitigó por cierto tiempo el afán de resolverlos y proporcionó un fugaz consuelo en el olvido de las complejidades humanas de la existencia terrenal.
La ciencia tampoco está adaptada a dar respuestas acerca del sentido de la vida: tiene tareas más modestas. Ofuscados por los éxitos de las ciencias exactas, a menudo lo olvidamos y dejamos de tener en cuenta la simple posibilidad de que nuestro racionalismo y la fe en la ciencia les parecerán a las futuras generaciones tan ridículos e incomprensibles como a nosotros los ritos de los sacerdotes egipcios: sólo el conocimiento es ilimitado, pero no sus formas históricas.
La ciencia es capaz de conocer sólo los fenómenos, cuyas propiedades se pueden evaluar por medio de números. El trabajo de un hipnotizador no se puede describir mediante fórmulas matemáticas, no obstante, sus resultados son indudables y reproducibles. Los logros de los yoghi hindúes son un hecho experimental comprobado reiteradamente. Sin embargo, estos fenómenos no pueden convertirse en objetos de la ciencia exacta, puesto que es imposible describirlos cuantitativamente por medio de números y fórmulas, igual que los fenómenos de la telepatía no serán fidedignos hasta que no se confirmen por experimentos científicos. Nuestra época reconoce únicamente tales pruebas; lo mismo que en el Medievo tomaban en consideración sólo las pruebas con alegación a autoridades.
No debemos afligirnos con este motivo: ello significa simplemente que el mundo es más rico y complejo que su imagen proporcionada por la ciencia. Una sonrisa no cuesta nada, mas por suerte, es insustituible. Es útil recordarlo siempre para no atascarse en la ignorancia científica. Aquellos hombres de ciencia que intentan imaginarse el mundo como infinitas tablas de números y niegan la realidad de muchos fenómenos de la naturaleza basándose sólo en el hecho de que éstos no se pueden explicar por medios científicos, no difieren notoriamente de los curas que al ver una locomotora cerraban los ojos, pataleaban y murmuraban: “¡Esfúmate, Satanás!” Semejantes científicos no ven la diferencia entre una persona genial y un asesino, puesto que se puede demostrar con rigurosidad científica que ambos están formados de moléculas absolutamente idénticas.
Sobre el fondo de tajes razonamientos, la mecánica cuántica, acerca de la cual ahora hemos conocido tantas cosas, debe parecer una ciencia muy simple. En efecto, del átomo de hidrógeno sabemos tanto que podemos predecir todas sus propiedades observables. Mucho más difícil, aunque posible, es calcular las propiedades de la molécula de hidrógeno. En cambio, ya no podemos predecir las propiedades de las moléculas de proteína. Las proteínas no son muy abundantes, pero éstas estructuran a cada hombre en toda su individualidad.
En una palabra, la ciencia es útil e incluso indispensable, mas no se debe convertir la necesidad en virtud y subordinarle todo, sólo porque de momento no podemos prescindir de ella.
Ciencia y arte
En ninguna parte se nota tan nítidamente el carácter limitado de la ciencia como en los intentos de comprender con sus métodos el secreto del arte. La ciencia “sabe todo” acerca del piano: el número, la calidad y la longitud de las cuerdas, la clase de madera, la composición de la cola y las ínfimas particularidades de la estructura. No obstante, es incapaz de explicar qué ocurre a esta caja lustrada cuando se le acerca un gran artista. Tal vez, esto ni haga falta: a la persona que llora sobre un libro, las más de las veces le importa poco de qué medios se valió el autor para lograr este efecto. Por supuesto, puede leer luego una obra crítica, doble de extensa que el libro que le había impresionado, pero todo esto se parece a la anatomía de cadáveres: para los especialistas es indispensable, mientras que para la mayoría de los diletantes, desagradable. (He aquí la receta de Marco Aurelio: “Para despreciar el canto y los bailes es suficiente descomponerlos en elementos integrantes”). Mas el arte es sabio: siempre protegía la naturalidad de las percepciones sensitivas contra las insistentes intrusiones de la ciencia. En todos los tiempos el arte se apreciaba siempre precisamente por “la facultad de recordarnos las armonías, que no se pueden analizar sistemáticamente”.
Cualquiera que desee puede comprender la estructura de una caldera atómica, incluso sin verla. Pero no hay fuerzas capaces de explicar al hombre qué es el encanto si él mismo jamás lo había experimentado.
La causa del poderío de la ciencia radica en su universalidad: sus leyes no obedecen a la voluntad de personas aisladas y soto «reflejan su experiencia colectiva, que no depende de la edad, nacionalidad ni estado de ánimo. El secreto del arte es su originalidad: la fuerza de su acción depende de toda la experiencia anterior del hombre, de la riqueza de sus asociaciones, de imperceptibles matices del estado de ánimo, de una mirada, palabra o contacto fortuitos: de todo lo que forma la fuerza de la individualidad, la belleza de lo transitorio y el poder de lo único.
Un científico alcanza la cima si los resultados de su labor se confirman, es decir, si alguien más los repite en el futuro. En el arte, la repetición equivale a la perdición, y un auténtico artista muere en el escenario cada vez de una manera diferente.
Se conocen casos de que se componían sinfonías sin conocer los rudimentos de la música. Podían ser raras, pero tenían derecho a la existencia si gustaban aunque fuese a alguien. En la ciencia semejante situación es inconcebible: allí rige el criterio de la certeza y la palabra “gustar” está excluida de su léxico.
En la ciencia las verdades se demuestran y los fenómenos se explican. En el arte éstos se interpretan: le son ajenos los razonamientos lógicos, puesto que reemplaza las pruebas rigurosas por la persuasión directa de las imágenes.
Como regla, la ciencia puede explicar siempre por qué esta fórmula es buena o aquella teoría es mala. El arte sólo permite sentir el encanto de la música y la brillantez del soneto, pero nunca explica nada hasta el fin.
La ciencia comenzó cuando del caos de hechos casuales aprendieron a separar regularidades sencillas. Pero el arte comienza sólo cuando de la suma de cosas simples y comprensibles nace de repente la sensación de milagro.
La ciencia es fundamental y pausada: durante años enteros resuelve sus problemas, muchos de los cuales a menudo pasan de generación a generación. Puede darse ese lujo: en la ciencia fue inventado el método unívoco para anotar y guardar los datos conseguidos. En el arte, el mundo intuitivamente exacto de imágenes vive un instante. (“Los héroes del instante”: así llaman a veces a los grandes actores.) Sin embargo, este instante despierta en el corazón de las personas un eco que no se extingue durante años y, a veces, cambia radicalmente toda su vida ulterior. “¡Detente, instante, eres bello!": sólo la magia del arte es capaz de cumplir ese deseo de Fausto. Gracias al arte incluso pasados muchos años la memoria humana puede restablecer con una claridad asustadora los matices de los pensamientos y estados de ánimo remotos, imposibles de expresar con palabras.
Pese a la aparente fragilidad y ambigüedad de las imágenes del arte, éste es más duradero y antiguo que la ciencia. La épica de Guilgamesh y los poemas de Homero nos emocionan hasta el presente porque tratan de algo sustancial en el hombre, que no cambió en él durante milenios. En cambio, la ciencia apenas alcanza fijar a tiempo las nuevas posibilidades del pensamiento recientemente descubiertas. Hoy es casi imposible leer los libros físicos del siglo pasado, tan anticuados son y a tal punto cambió desde entonces todo el estilo del pensamiento científico. El significado de los trabajos científicos no se determina por su duración, sino por lo fructífero que son: si en su tiempo coadyuvaron al desarrollo de la ciencia, quiere decir que cumplieron su misión.
Se podría seguir buscando y encontrando un sinnúmero de matices que distinguen el arte de la ciencia: es un tema inagotable. Pero el provecho de tal ocupación es dudoso: de hecho difieren entre sí no en esencia, sino por los métodos de cognición del mundo circundante y de la naturaleza humana. En la Grecia Antigua no los distinguían y denominaban con una sola palabra: τεχνη, lo que significaba “habilidad”, “experiencia”, “ingenio” (de ahí precisamente proviene la “técnica”).
Hace tiempo ya que los poetas sueñan no simplemente con la poesía, sino con la “poesía del pensamiento”. Los científicos, por su parte, se comprometen a explicar a los interesados la “poesía en la ciencia”. Tanto unos como otros salieron, por fin, de sus refugios para destruir las fronteras artificiales de los clanes y olvidar las viejas disputas respecto a la antigüedad del linaje. Carece de sentido discutir acerca de qué mano es más importante: la izquierda o la derecha, pese a que se desarrollan y trabajan de un modo diferente.
El actor comprende que no alcanzará las cimas de la maestría si no domina previamente la ciencia de la dicción, de la mímica y del gesto. Sólo después (¡en caso de tener talento!), de estos elementos sencillos y comprensibles, empleando el método que él mismo desconoce, podrá crear algo original y asombroso.
De la misma manera un científico, incluso habiendo dominado el oficio de físico, no lo es todavía si confía solamente en las fórmulas y la lógica. Todas las verdades profundas de la ciencia son paradójicas al nacer y es imposible lograrlas, apoyándose sólo en la lógica y la experiencia.
En una palabra, el auténtico arte no puede existir sin la ciencia más rigurosa. Del mismo modo el método de descubrimiento de las profundas verdades científicas se halla al margen de la ciencia y pertenece por entero a la esfera del arte. Mas a la vez existen siempre fronteras del análisis científico del arte y el límite que impide percibir la ciencia en un solo ímpetu de inspiración.
En el proceso de cognición del mundo circundante existe una evidente complementaridad de métodos de la ciencia y del arte. El método de trabajo cotidiano de la ciencia es el análisis de los hechos y la aclaración de sus causas, la aspiración a “... encontrar la ley eterna en las maravillosas transformaciones del azar”, los intentos de “... hallar el polo inmóvil en la infinita hilera de fenómenos”. En el arte predomina la síntesis inconsciente, que en las mismas “transformaciones del azar” descubre las únicas y sin par, y de la misma “infinita hilera de fenómenos” elige infaliblemente sólo los que permiten sentir la armonía del conjunto.
Hace poco aún han acallado las inútiles discusiones acerca de “los físicos” y “los líricos”, cuya vehemencia incomprensible sólo se puede explicar con la insuficiente preparación de los discutidores. El proceso de la creación (¡mas no del oficio!) es análogo tanto en la física como en la poesía. El poeta siente al principio una vaga sensación de ritmo y de movimiento del verso y sólo después encuentra (ya conscientemente) las formas y palabras adecuadas para expresarla. El físico se imagina primero un confuso cuadro general del fenómeno, que a menudo ni siquiera puede describir con palabras. Sólo más tarde somete esta imagen, amorfa y especulativa, mas en cierta medida íntegra y sintética, al análisis lógico, la descompone en conceptos, la fija en el lenguaje de las fórmulas y, por último, la comprueba con el experimento.
Cada científico estructura la cadena “imagen − concepto − fórmula” a su modo y la distingue por la fuerza, rapidez y resistencia. En esta cadena influye todo: el camino de desarrollo del científico, sus conjeturas y errores anteriores, los conocimientos acumulados, el sentido del idioma e incluso su temperamento. Algunos acortan esta cadena. Por ejemplo, hay muchos científicos a quienes las imágenes los visitan muy raramente. Pero los que dominan toda la cadena de correlaciones, en cierta etapa adquieren la capacidad de evaluar estéticamente los resultados finales de la ciencia. Para ellos los conceptos: fórmula hermosa, cálculos elegantes e hipótesis ingeniosa suenan de un modo natural y están llenos de sentido. E! arte para tales científicos no es sólo el impulso inicial en la ciencia, sino simultáneamente también el resultado en sus manifestaciones supremas. Esto no significa, por supuesto, que en vez de la integral ellos escriben la clave de sol, y sólo en malas novelas los científicos protagonistas al escuchar la música recuerdan que la octava se basa en logaritmos.
El mundo de percepciones humanas es infinitamente variado, aunque caótico e impregnado de emociones personales. El hombre tiende a ordenar sus impresiones y concordarlas con las de otros. Para eso inventó la ciencia y creó el arte. Precisamente esta tendencia desempeñó el papel de incentivo general para su surgimiento. Los une el sentimiento de asombro que causan: cómo surgió esa fórmula, o ese poema, o esa teoría y esa música. (“El asombro es el principio del saber”, decían en la antigüedad.)
La percepción estética de la belleza lógica de la ciencia es inherente, en tal o cual forma, a cada verdadero científico. Precisamente esta propiedad les permite percibir la naturaleza “al igual que un pintor que entre innumerables líneas del modelo elige sólo aquellas que le comunican vida y belleza”.
La naturaleza de la creación es única en todas las artes y ciencias. Se determina por la facultad intuitiva de agrupar los hechos e impresiones del mundo circundante de modo que satisfagan nuestra necesidad emocional de sentimiento de armonía que el hombre experimenta al destacar del caos de impresiones externas algo sencillo y perfecto: una estatua de mármol, un poema compuesto de palabras o una fórmula compuesta de números. Esta satisfacción emocional es al mismo tiempo también el primer criterio de La validez de lo creado que, por supuesto, luego se comprueba: en la ciencia, con el experimento; en el arte, con el tiempo.
El futuro de la ciencia
Al pensar en el futuro de la ciencia, como regla, nos imaginamos el mundo de las máquinas, botones y cúpulas− transparentes: en una palabra, el mundo de las cosas, al mando del hombre que viste un guardapolvo níveo. Con ello incurrimos en el mismo error que comete la mayoría de la gente después de conocer superficialmente la mecánica cuántica. Por regla general, les sorprenden en ésta los hechos concretos “tangibles y evidentes”: la bomba, el rompehielos o la central eléctrica atómicos. Sólo muy pocos se dan cuenta de que todos estos logros son efectos bastante simples de la mecánica cuántica. No son éstos los que deben asombrarnos, sino el sistema maravillosamente sencillo y armonioso de ideas científicas de la física atómica, gracias a las cuales se han hecho posibles el rompehielos, la central eléctrica y, lamentablemente, la bomba.
Nadie puede hablar del futuro de la ciencia sin correr el riesgo de pasar por ingenuo o exagerado. Es fácil demostrar el carácter limitado del método científico en una esfera en que éste es inaplicable, pero no se puede predecir sus posibilidades.
Sin duda alguna, el método científico de pensar es sólo una de las facultades de la conciencia humana que hasta el presente no está agotado. Es muy probable que en adelante el hombre descubra en sí nuevas posibilidades para conocer el mundo circundante y sobre esta base comprenda mejor su lugar en él. Pero es casi seguro que ese conocimiento nuevo, más perfecto, incluirá como parte integrante todos los principales logros de la ciencia.
Únicamente se puede hacer conjeturas de cómo será ese nuevo conocimiento: el hombre siempre puede más de lo que sabe. Tal vez, con el tiempo en el hombre se desarrolle con nuevos bríos la facultad de cognición sintética, que distinguía a los sabios de la antigüedad y que ahora casi ha desaparecido sobre el fondo de los éxitos del análisis científico. Quizás, en el futuro la intuición, de instrumento de clarividencia científica se convierta en arma de demostración científica. En esto no hay nada de inverosímil, pues confiamos al ojo del clasificador de diamantes y su vista se diferencia de la corriente sólo por el entrenamiento prolongado. Tal vez, con el tiempo del mismo modo aprendan a cultivar la intuición y logren reproducirla en diferentes individuos. Si esto efectivamente se consiguiera, desaparecerían por sí solo los problemas debidos a que los conceptos científicos no son unívocos y, en general, todo el voluminoso aparato de la lógica. Es imposible predecir las consecuencias de semejante revolución en el modo de pensar.
Las hipótesis acerca del futuro de la ciencia no faltan. Existe su espectro completo: desde el entusiasmo incontenible hasta el pesimismo más sombrío. Unos presagian la ruina próxima de toda nuestra civilización debido a la incapacidad de utilizar las fuerzas que ella misma había despertado. Otros creen que la humanidad seguirá viviendo incluso cuando se apague nuestro lucero.
Mas indistintamente de cómo se desarrolle la humanidad, si sobrevive dirigirá siempre con asombro su pensamiento hacia nuestro agitado e impetuoso siglo de la ciencia, igual que nosotros hoy recordamos la época del Renacimiento y los tiempos de los sabios de la Antigüedad.
En mi juventud siempre me sorprendía de qué modo la lectura de buenos libros, un proceso inmaterial, cambiaba el aspecto del hombre hasta tal punto que no se le podía reconocer: su lenguaje, la sonrisa, la expresión del rostro y de los ojos e incluso el andar y los gestos. Sólo poco a poco fui comprendiendo que era uno de los principales enigmas de la conciencia humana no descifrados aún.
En la época en que los nómadas salvajes marcaban con hierro incandescente las manadas, ellos no sabían que el espectro de radiación de este metal obedecía a la fórmula de Planck. Al bañar en el río a los caballos no se imaginaban las moléculas de agua en forma de un pequeño ángulo de 109 grados 30 minutos. Y al salir del río no se les ocurría pensar siquiera que debían el color bronceado de su cuerpo a los fotones.
En la actualidad, pasados muchos milenios, en la ,naturaleza todo sigue como antes: el Sol se levanta diariamente en el Oriente; el agua de los ríos se hiela a temperatura cero grados Celsio; el metal candente se enfría conforme a las leyes eternas de la termodinámica.
Sólo que ahora sabemos todo esto. Tal vez, nuestro saber no nos haya hecho más felices (pues dicho está: “En gran sabiduría hay mucha tristeza”), pero este conocimiento es irreversible; es el elemento de la cultura, la única que nos distingue de los pastores primitivos, y a cuyos bienes y peso en nuestros días es casi imposible renunciar. El conjunto de conocimientos que nosotros llamamos cultura, ha cambiado a tal punto el modo de vida y el sistema de valores de los pueblos, civilizados, que muchos incluso se inclinan a referirlos a la especie biológica diferente que la de sus antepasados salvajes,, de los cuales descendimos todos nosotros.
Ahora toda esa masa colosal de conocimientos amenaza con aplastar a la humanidad que le ha dado vida. A menudo se pueden oír sentencias de que la ciencia se ha metido en un callejón sin salida; que se desarrolla más rápidamente de lo que es posible comprenderla; que se atascó en bagatelas y perdió sus grandes ideales. Son demasiados los que repiten las sensacionales palabras de Eliot: “Hemos perdido la sabiduría en aras de los conocimientos; hemos perdido los conocimientos en el torrente de información”.
Semejantes razonamientos gustan mucho a personas agotadas o desilusionadas. Mas, pese a esa desesperación, aunque muy raras veces, de repente se enciende una chispa de talento, iluminando en el caos de hechos y opiniones algo muy simple y principal. Entonces, todos olvidan sus lamentaciones y disputas insustanciales y juntos admiran silenciosamente la nueva verdad: al igual que toda belleza perfecta es rara, asombrosa y desarma por su fuerza improbable.
Yo quisiera que todos los que hayan leído este libro hasta el fin, compartan conmigo la alegría y el asombro que yo mismo he experimentado un día al conocer por vez primera el extraordinario mundo de la mecánica cuántica.