
Del prefacio del autor a la tercera edición rusa
El presente libro no es un manual elemental de álgebra para principiantes. Algebra Recreativa, al igual que otras obras mías de la misma serie, es, ante todo, un libro de estudio libre y no un texto. El lector al que destinamos el presente volumen debe poseer ciertos conocimientos de álgebra, aunque los haya asimilado superficialmente o los tenga semiolvidados. Algebra Recreativa se propone refrescar y afianzar estos conocimientos dispersos e inconsistentes, pero en primer lugar, pretende despertar en el lector el interés por los ejercicios de álgebra y el deseo de cubrir, con ayuda de los manuales, las lagunas de que adolezca.A fin de hacer más atrayente el tema y elevar el interés por él, me valgo de métodos diversos: problemas a base de temas originales que despiertan la curiosidad, entretenidas excursiones por la historia de las matemáticas, inesperadas aplicaciones del álgebra a cuestiones de la vida práctica, etc.
Yakov Perelman
Entre las numerosas obras de divulgación científica, escritas por el célebre matemático soviético Yakov Perelman, figura el “Algebra Recreativa”.
Este libro no es un manual elemental de álgebra para principiantes. El lector, al que destinamos la presente obra, debe poseer ciertas nociones de álgebra, aunque las haya asimilado superficialmente o las tenga semiolvidadas. El libro “Algebra Recreativa”, en primer lugar, pretendo despertar en el lector el Interés por los ejercicios de álgebra y el deseo de cubrir, con ayuda de los manuales, las lagunas de que adolezca.
El libro contiene problemas confeccionados basándose en temas originales que despiertan la curiosidad en el lector, permite hacer entretenidas excursiones por la historia de las matemáticas, muestra inesperadas aplicaciones del álgebra a cuestiones de la vida práctica, etc.
El nombre de Yakov Perelman es ampliamente conocido en todo el mundo. De su pluma han salido muchas obras de divulgación científica como: “Física Recreativa”, “Matemáticas Recreativas”, “Astronomía Recreativa”, “Algebra Recreativa”, “Geometría Recreativa” y muchas otras. Perelman ya no vive. Falleció en 1942, durante el sitio de Leningrado.
Pero los libros escritos por él siguen siendo reeditados, habiendo sido, muchos de ellos, traducidos a distintas lenguas extranjeras. En los años pasados fueron introducidos en ellos, solo pequeños cambios a causa del rápido desarrollo de las ciencias y la técnica, considerándose ejemplares en el arte de divulgación científica. Estos libros siguen siendo los predilectos de millones de lectores de diferentes países.
En las páginas de los libros de Perelman se puede encontrar extractos de obras conocidas, leer relatos amenos sobre ilustres personajes y distintos fenómenos de la naturaleza, presentando, el autor, en cada uno de ellos, problemas de diferentes campos de la física, matemáticas, astronomía, que exigen detenida meditación con enseñanzas fructíferas.
Los libros de Perelman son leídos con interés por estudiantes y especialistas, hallando en ellos, todo lector, algo interesante y útil.
Capítulo 1
La quinta operación matemática
- La quinta operación
- Cifras astronómicas
- ¿Cuánto pesa el aire?
- Combustión sin llama ni calor
- Las variaciones del tiempo
- La cerradura secreta
- Ciclista supersticioso
- Resultados de la duplicación consecutiva
- Millones de veces más rápido
- Diez mil operaciones por segundo
- Cantidad posible de partidas de ajedrez
- El secreto de la máquina de jugar al ajedrez
- Los tres doses
- Los tres treses
- Los tres cuatros
- Con tres cifras iguales
- Los cuatro unos
- Los cuatro doses
Con frecuencia se denomina al álgebra la «aritmética de las siete operaciones», queriendo subrayar con ello que a las cuatro operaciones matemáticas conocidas por todos, el álgebra añade tres más: la elevación a potencias y sus dos inversas.
Comencemos nuestras pláticas algebraicas por la «quinta operación»: la elevación a potencias.
¿Responde esta operación a una exigencia de la vida práctica? Indudablemente. Con ella tropezamos a menudo en la vida. Recordemos los innumerables casos en que para calcular superficies y volúmenes se precisa elevar los números a la segunda o tercera potencia. Otro ejemplo: la fuerza de gravitación universal, la acción recíproca electrostática y magnética, la luz y el sonido son inversamente proporcionales al cuadrado de las, distancia. La continuidad de la traslación de los planetas alrededor del Sol (o, de los, satélites alrededor dé los planetas) viene expresada también en forma de una potencia dependiente de la distancia que les separa de su centro de traslación: la relación entre los cuadrados de los tiempos de traslación es igual a la relación entre los cubos de las distancias.
Es un error pensar que en la práctica tropezamos tan sólo con segundas y terceras potencias, y que no existen exponentes de potencias superiores más que en los manuales de álgebra. Cuando un ingeniero busca el grado de solidez de un cuerpo se ve obligado operar a cada instante con cuartas potencias; y en otros cálculos (para hallar el diámetro de tubo conducto de vapor, por ejemplo) llega a operar incluso con la sexta potencia.
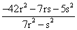
Asimismo los técnicos hidráulicos se valen de las sextas potencias cuando tratan, de averiguar la fuerza con que son arrastradas las piedras por el agua: si la corriente de un río es cuatro veces más rápida que la de otro, el primero es capaz de arrastrar por su lecho piedras 4 pulgadas, es decir, 4.096 veces más pesadas que el segundo río [1].
Al estudiar la relación que existe entre la luminosidad de un cuerpo incandescente, el filamento de una válvula, por ejemplo, y su temperatura, se opera con potencias aún mayores. Cuando la incandescencia es blanca, su luminosidad general aumenta en relación a la decimosegunda potencia de su temperatura; cuando es roja, en relación a la trigésima potencia de su temperatura (siendo ésta «absoluta», es decir, a partir de –273 °C).
Esto significa que si calentamos un cuerpo de 2.000° a 4.000° absolutos por ejemplo, o sea, si elevamos su temperatura al doble, la luminosidad de dicho cuerpo aumentará en 212, es decir, en más de 4.000 veces. En otro lugar nos ocuparemos de la importancia que tienen para la técnica de fabricación de válvulas electrónicas estas proporciones tan singulares.
2. Cifras astronómicas
Es probable que nadie haga tanto uso de la «quinta operación matemática» como los astrónomos. Los exploradores del firmamento manejan sin cesar cantidades formadas por una o dos cifras significativas seguidas de una larga fila de ceros. Sería muy incómodo expresar con los medios ordinarios tales cantidades, llamadas con razón «astronómicas» y, sobre todo, operar con ellas. Los kilómetros que nos separan de la nebulosa de Andrómeda se representan con la siguiente cifra:
95 000 000 000 000 000 000.
Por añadidura, al efectuar cálculos astronómicos, muchas veces hay que operar no con kilómetros u otras unidades aún mayores, sino con centímetros. En este caso, la distancia antes referida lleva cinco ceros más:9 500 000 000 000 000 000 000 000.
La masa de las estrellas viene expresada en cifras todavía más considerables, sobre todo si hemos de registrarla en gramos, como exigen muchos cálculos. La masa del Sol, en gramos, es igual a:1 983 000 000 000 000 000 000 000 000 000 000.
Huelga ocuparse de los inconvenientes que representaría operar con números tan desmesurados y de lo fácil que sería incurrir en error en tales casos. Además, las cantidades referidas están muy lejos de ser las mayores en la astronomía.La quinta operación matemática aligera los cálculos. La unidad seguida de varios ceros se expresa con el número 10 elevado a una determinada potencia
100 = 102; 1.000 = 103; 10.000 = 104; etc.
Los enormes números citados anteriormente pueden representarse como sigue:el primero 950 x 1022
el segundo 1 983 x 1030
950x1022 x 1 983x1030 = 188 385 x 1053.
Es evidente que esto resulta más cómodo que escribir un número seguido de 22 ceros, otro de 30 ceros y, por último, un tercero acompañado de 53 ceros. Y no sólo más sencillo, sino también más seguro, por cuanto al escribir tal fila de ceros puede ser omitido alguno, obteniendo un resultado erróneo.3. ¿Cuánto pesa el aire?
Para comprobar hasta qué punto se facilitan los cálculos al representar lo números en forma de potencias, pongamos el siguiente ejemplo: hallemos cuántas veces la masa del globo terrestre es mayor que la del aire que lo rodea.
El aire presiona sobre cada centímetro cuadrado de superficie terrestre con la fuerza de un kilogramo aproximadamente. Esto quiere decir que el peso de la columna de aire que se apoya en 1 cm2 es igual a 1 kg. La capa atmosférica de la Tierra se forma, por decirlo así, del conjunto de dichas columnas de aire, que son tantas como centímetros cuadrados forman la superficie de nuestro planeta, y como cantidad de kilos, lo que pesa la atmósfera en su conjunto.
Si consultamos los índices correspondientes, averiguaremos que la superficie terrestre mide 510 millones de kilómetros cuadrados, es decir, 51 x 107 km2. Veamos cuántos centímetros cuadrados hay en un kilómetro cuadrado. El kilómetro lineal se forma de 1 000 metros y cada uno de éstos tiene 100 centímetros, o sea, un total de 105 cm, por lo cual, el kilómetro cuadrado lo formarán (105)2 ó sea 1010 cm2. De aquí que la superficie del globo terrestre ser igual a
51 x 107 x 1010 = 51 x 1017 cm2.
Esta cifra representa también la cantidad de kilogramos que pesa la atmósfera de la Tierra.Transformando los kilogramos en toneladas resultarán:
51 x 1017 / 1.000 = 51 x 1017/103 = 51 x 10 17 - 3 = 51 x 1014
mientras que la masa del globo terrestre es de 6 x 1021 toneladas.Para conocer cuántas veces es más pesado nuestro planeta que la capa de aire que lo rodea, efectuemos la siguiente división:
6 x 1021/51 x 1014 ≈ 106
de donde se deduce que la masa atmosférica es, aproximadamente, la millonésima parte de la del globo terrestre [2].4. Combustión sin llama ni calor
Si se pregunta a un químico por qué la leña o el carbón arden únicamente a elevada temperatura, contestará que la combinación del carbono y el oxígeno tiene lugar a cualquier temperatura, pero que cuando ésta es baja, dicho proceso transcurre con excesiva lentitud (es decir, en la reacción toma parte un número insignificante de moléculas), y por ello escapa a nuestra observación.
La ley que rige la velocidad de las reacciones químicas enseña que al descender la temperatura en 10 °C, la velocidad de la reacción (el número de moléculas que toma parte en ella) se reduce a la mitad.
Apliquemos dicha ley a la reacción que se produce al oxigenarse la madera, esto es, al proceso de combustión de la madera.
Supongamos que un gramo de madera sometido a una temperatura de 600 °C se consume en un segundo. ¿Cuánto tardará en consumirse 1 g de leña a la temperatura de 20 °C? Es sabido que con una temperatura 580=58 x 10 grados menor, su reacción será 258 veces más lenta, o lo que es lo mismo, un gramo de leña se consumirá en 258 segundos. ¿A cuántos años equivale este lapso? Podemos calcularlo sin efectuar 57 multiplicaciones consecutivas en las que el multiplicador sea 2, y sin recurrir a la tabla de logaritmos. Es notorio que:
210 = 1.024 ≈ 103,
De lo que se deduce que:258 = 260-2 = 260/22 = (¼) x 260 = (¼) x (210)6 ≈ (¼)) x 1018
es decir, aproximadamente la cuarta parte de un trillón de segundos. El año tiene cerca de 30 millones de segundos, o, lo que es igual, 3 x 107 segundos; por esto:¼ x 1018 / 3 x 107 = (1/12) x 1011 ≈ 1010
¡Diez mil millones de años! Este es aproximadamente el tiempo que tardaría en consumirse un gramo de madera sin llama ni calor.Así, pues, la madera y el carbón arden a la temperatura ordinaria, sin encenderlos. La invención de instrumentos para obtener el fuego aceleró este proceso, de enorme lentitud, en miles de millones de veces.
5. Las variaciones del tiempo
Problema
Fijemos nuestra atención sólo en un elemento: si el tiempo es nublado o despejado; es decir, distinguimos los días por el hecho de si en el cielo hay nubes o no. ¿Qué piensa el lector? En estas condiciones, ¿habrá muchas semanas con diferente combinación de días nublados y despejados?
Puede parecernos que éstas serán pocas y que pasados unos dos meses se agotarán todas las combinaciones de días nublados y despejados, repitiéndose entonces a la fuerza alguna de las combinaciones ya observadas. Más, probemos a calcular exactamente el número posible de combinaciones que pueden darse en estas condiciones. Este es uno de los problemas que nos conducen inesperadamente a la quinta operación matemática. En fin, ¿de cuántas formas diversas pueden combinarse los días nublados y despejados en una misma semana?
Solución
El primer día de la semana puede ser despejado o nublado; lo que quiere decir que por el momento se tienen dos «combinaciones».
En el transcurso de dos días son posibles las siguientes combinaciones de días nublados y despejados:
Despejado y despejado
despejado y nublado
nublado y despejado
nublado y nublado
22 x 2 = 23.
En cuatro días, el número de combinaciones será de:23 x 2 = 24.
Al llegar al quinto día se producirán 25 combinaciones; al sexto, 26, y, por último, en la semana habrá 27 = 128 combinaciones.De todo esto se deduce que hay 128 semanas con diferentes variantes de días despejados y nublados. Al cabo de 128 x 7 = 896 días se repetirá inevitablemente una de las combinaciones anteriores, aunque dicha repetición puede surgir antes, pero 896 días constituyen el período a partir del cual esta repetición es completamente inevitable. Y, por el contrario, pueden transcurrir dos años e incluso más (dos años y 166 días), sin que el estado atmosférico de una semana se parezca al de las otras.
6. La cerradura secreta
Problema
En cierta institución soviética fue hallada una caja fuerte de tiempos anteriores a la revolución. Hallóse la llave de la misma, mas para poder abrirla se precisaba conocer el secreto de la cerradura: ésta se componía de cinco rodillos, en torno a los cuales había un alfabeto con 36 letras; los rodillos debían combinarse de tal manera que formasen una determinada palabra desconocida. Para evitar forzar la caja decidióse probar con dichas letras todas las combinaciones posibles. En cada una de estas combinaciones se invertían tres segundos. ¿Podía abrirse la cerradura en 10 jornadas?
Solución
Calculemos el número total de combinaciones posibles. Cada una de las 36 letras del primer rodillo puede unirse a cada una de las 36 letras del segundo rodillo. Así pues, el número de combinaciones posibles con dos letras de los dos rodillos será:
36 x 36 = 362
A cada una de estas combinaciones podemos añadir cualquiera de las 36 letras del tercer rodillo, con lo cual, el total de variantes con tres letras de los tres rodillos equivaldrá a:362 x 36 = 363.
De esta misma manera hallemos la cantidad de combinaciones posibles con cuatro letras de los cuatro rodillos, que llegarán a 364; y con cinco letras de los cinco rodillos tendremos 365, o sea60 466 176 combinaciones.
Para practicar estas 60 millones y pico de combinaciones, dedicando tres segundos a cada una, se necesitarán3 x 60 466 176 = 181 398 528 segundos,
es decir, más de 50.000 horas, lo que equivale a casi 6.300 jornadas de trabajo de ocho horas, ¡más de 17 años!Esto quiere decir que existen 10 casos favorables entre 6300, ó 1 entre 630, de que la caja sea abierta en 10 jornadas de trabajo. Por lo tanto, la probabilidad es muy reducida.
7. Ciclista supersticioso
Problema
Hasta hace poco cada bicicleta debía tener una matrícula igual que el automóvil. Esta matrícula tenía seis guarismos.
Cierta persona muy supersticiosa adquirió una bicicleta con el propósito de aprender a manejarla. Cuando supo que a cierta avería, propia de estas máquinas, se le denomina “ocho”, se creyó condenado a algún contratiempo si en el número de su matrícula figuraba algún ocho. Al ir por ésta, le tranquilizó la siguiente reflexión: cualquiera que sea el número de la matrícula, debe formarse con guarismos del 0 al 9. De éstos, tan sólo el 8 es “aciago”, por lo cual, de cada 10 casos existe uno en que la matrícula resulte “infausta”. ¿Es acertada esta deducción?
Solución
El número de las matrículas se compone de seis guarismos. Por lo tanto, habrá 999999 diferentes, desde el 000 001, 000 002, etc. hasta el 999 999. Calculemos ahora cuántos números “afortunados” podríamos encontrar. El lugar de las unidades del número puede ser ocupado por alguna de las nueve cifras “felices”: 0, 1, 2, 3, 4, 5, 6, 7, 9.
En el segundo lugar también puede encontrarse una de estas cifras. De ahí que las dos primeras cifras den lugar a 9 • 9 = 92 combinaciones “favorables”. A cada una de estas combinaciones puede agregarse una tercera cifra de las nueve “bienhadadas”; por lo tanto las combinaciones “felices” de tres cifras llegan a 92 x 9 = 93.
De esta misma manera se deduce que el número de combinaciones “satisfactorias”, compuestas de seis cifras, es igual a 96.
No obstante, hay que tener en cuenta que este número comprende la combinación 000 000, que no sirve para matrícula. Por consiguiente, la cantidad de matrículas “afortunadas” es de 96 - 1 = 531 440, lo que constituye algo más del 53% del total de números posibles, y no el 90%, como suponía el ciclista en cuestión.
El lector se convencerá de que en la serie de números con siete cifras, hay más “infaustos” que “bienhadados”.
8. Resultados de la duplicación consecutiva
En la famosa leyenda en la que se habla de la recompensa concedida al inventor del ajedrez puede encontrarse un ejemplo demostrativo del rápido incremento que se obtiene al duplicar repetidamente un número por pequeño que sea. Sin detenerme en este paradigma clásico, me remitiré a otros menos conocidos [3].
Problema
Cada 27 horas, como término medio, el infusorio paramecio se parte en dos. Si todos los infusorios surgidos de esta suerte quedaran vivos, ¿cuánto tiempo sería necesario para que los descendientes de un paramecio llegaran a tener el volumen del Sol?
Los datos necesarios para este cálculo son: la generación Nº 40, si se conservan todas desde la primera, ocupa después de su desdoblamiento, un volumen igual a un metro cúbico. El volumen del Sol es de 1021 m3.
Solución
La tarea consiste en determinar cuántas veces 1 m3 debe multiplicarse por dos para llegar a 1027 m3
1027 = (103)9 ≈ (210)9 =290,
puesto que 210 ≈ 1 000.De esta forma, la cuadragésima generación debe sufrir 90 nuevas divisiones sucesivas para alcanzar el volumen del Sol. El número total de generaciones, incluyendo la primera, es de
40 + 90= 130.
No ofrece dificultad alguna precisar que esto tiene lugar el día 147.El microbiólogo Metalnikov observó 8 061 divisiones sucesivas del paramecio. Que calcule el propio lector el colosal volumen que tendría la última generación si no hubiera muerto ni uno solo de estos infusorios...
La cuestión examinada en este problema puede ser presentada, como si dijéramos, desde el lado opuesto.
Imaginémonos que se ha dividido el Sol en dos mitades, que una de estas mitades también se ha dividido en dos, etc. ¿Cuántas operaciones semejantes serían precisas para que resultara el tamaño de un infusorio?
Aunque el lector conoce ya la respuesta, 130, no por eso deja de asombrar lo reducido de este número.
A mí me fue planteado este problema en la siguiente forma:
Una hoja de papel es dividida en dos, y una de las mitades obtenidas es, a su vez, dividida por la mitad, etc. ¿Cuántas divisiones serían precisas para llegar a la dimensión del átomo?
Supongamos que la hoja de papel pesa 1 gramo y que tomamos 1/(1024) de gramo como peso del átomo. Como quiera que 1024 puede sustituirse por 280, de valor aproximado, se hace evidente que, se necesitan tan sólo unos 80 desdoblamientos, y no millones, como se contesta con frecuencia cuando se da a conocer este problema.
9. Millones de veces más rápido
El aparato eléctrico, llamado basculador, contiene dos válvulas electrónicas [4]. La corriente puede entrar en el basculador sólo a través de una válvula: bien por la de la “izquierda” o por la de la “derecha”. El aparato tiene dos contactos, a los que puede enviarse desde afuera una señal eléctrica instantánea (impulso) y dos contactos a través de los cuales transmite el basculador la señal de respuesta. En el momento en que llega el impulso eléctrico exterior, el basculador cambia el contacto: la válvula por la cual ha pasado la corriente se desconecta y la corriente comienza a pasar por la otra válvula. El basculador envía el impulso de respuesta al desconectar la válvula de la derecha y conectar la de la izquierda.
Veamos ahora cómo funcionará el basculador si le enviamos varios impulsos consecutivos.
Fijemos la situación del basculador basándonos en la válvula de la derecha: si la corriente no pasa por ella convengamos en que el basculador se encuentra en la “posición 0”; y si la corriente pasa por ella (la derecha), el aparato se halla en la “posición 1”.
Supongamos que el basculador se encuentra en la posición 0, es decir, que la corriente pasa por la válvula izquierda (fig. 1). Después del primer impulso la corriente entra por la válvula derecha, es decir, el basculador pasa a la posición 1. Entre tanto, el aparato no emite el impulso de respuesta, por cuanto ésta se produce sólo cuando se desconecta la válvula derecha (no la izquierda).
Después del segundo impulso, la corriente entra ya por la válvula izquierda, es decir, el basculador toma de nuevo la posición 0. Mas en ese instante, el basculador lanza la señal de respuesta (impulso).
A continuación (después de los dos impulsos), el aparato torna de nuevo a su posición inicial. Por eso, después del tercer impulso, el basculador vuelve a la posición 1, como lo hizo después del primero; después del cuarto vuelve (como después del segundo) a la posición 0, enviando al mismo tiempo la señal de respuesta, y así sucesivamente. Cada dos impulsos se repite la situación del basculador.

Figura 1
Supongamos que en el momento inicial, todos los basculadores se hallan en la posición 0.
Por ejemplo, para la serie de cinco basculadores tendremos la combinación 00000. Después del primer impulso el primer basculador (el del extremo de la derecha) toma la posición 1, mas como en este caso no se da el impulso de respuesta, todos los demás aparatos permanecen en la posición 0, es decir, la combinación se caracterizará por la posición 00001. Después del segundo impulso, el primer basculador se desconecta (vuelve a la posición 0), pero éste da la señal de respuesta, en virtud de la cual se conecta el segundo basculador sin producir cambios en el resto de los aparatos, es decir, obtenemos la posición 00010. Después del tercer impulso se conecta el primer basculador; los demás no cambian de posición. Tendremos la combinación 00011. Con el cuarto impulso se desconecta el primer basculador; éste da la señal de respuesta que sirve de impulso interruptor del segundo basculador que también da el impulso de respuesta; finalmente, con este último impulso se conecta el tercer basculador. El resultado de todo esto será la combinación 00100.
Si se continúan estos razonamientos resultará:
| Impulso | Combinación |
| 1° | 00001 |
| 2° | 00010 |
| 3° | 00011 |
| 4° | 00100 |
| 5° | 00101 |
| 6° | 00110 |
| 7° | 00111 |
| 8° | 01000 |
Se aprecia cómo esta serie de basculadores “cuenta” el número de señales recibidas del exterior y lo “anota” a su manera. No es difícil advertir que la anotación del número de impulsos recibidos no se produce de acuerdo con el sistema de base diez, sino con el sistema de base dos.

Figura 2
Por ejemplo, el número 19 = 16 + 2 + 1 se registra en el sistema de base dos en forma de 10011.
Quedamos pues en que la serie de basculadores “cuenta” el número de señales recibidas y las «anota» con el sistema de numeración de base dos. Obsérvese que el cambio de posición del basculador, es decir, el registro de uno de los impulsos llegados, dura en total ¡algunas millonésimas de segundo! Los contadores de basculador modernos pueden “contar” decenas de millones de impulsos por segundo, lo que abrevia la operación unas 100 000 de veces en relación con dicho cálculo hecho por una persona que no disponga de aparato alguno: la vista humana puede distinguir con claridad señales que se sucedan con una frecuencia que no sea superior a 0,1 segundo.
Si se forma una serie de veinte basculadores, es decir, si se registra la cantidad de señales dadas en números que no tengan más de veinte cifras del sistema de base dos, entonces se puede «contar» hasta 220-1 o sea, más de un millón. Y si se forma una serie de 64 basculadores, se puede registrar la famosa «cifra del ajedrez».
La posibilidad de contar centenares de miles de señales en un segundo reviste gran importancia para los trabajos experimentales relacionados con la física nuclear. Puede ser registrado, por ejemplo, el número de partículas de uno u otro tipo que salgan despedidas en la desintegración del átomo.
10. Diez mil operaciones por segundo
Merece destacar que los esquemas de basculadores permiten también realizar operaciones con cifras. Veamos, por ejemplo, cómo se efectúa la adición de dos números.
Supongamos que tres series de basculadores se encuentran unidas como se indica en la fig. 3. La serie superior sirve para registrar el primer sumando; la segunda serie, para el segundo sumando, y la inferior, para la suma. En el momento de conectar el aparato, a los basculadores de la serie inferior llegan impulsos de los basculadores de la serie superior y de la media que se encuentran en la posición 1.

Figura 3
| 1 | 0 | 1 | |
| + | 1 | 1 | 0 |
| 1 | 1 | 0 | 0 |
o, según la suma del sistema decimal, 5 + 7 = 12. Al darse la señal de respuesta en la serie inferior de basculadores parece como si el aparato “llevara una unidad” de la columna anterior y la pasara a la siguiente, es decir, hace lo mismo que cuando sumamos en “columna”.
Si en cada serie hubiera en lugar de cuatro, 20 basculadores, por ejemplo, podríamos realizar sumas de números inferiores a un millón y, si se aumentara todavía más el número de basculadores, sería posible sumar cantidades mayores.
Debemos advertir que en la práctica, el esquema de este mecanismo debe ser mucho más complicado de lo que aparece en la fig. 3. Entre otras cosas, la máquina debe tener un aparato especial que asegure el “retardo” de las señales. En efecto: en la máquina representada en el esquema, las señales de los dos sumandos le llegan simultáneamente (en el instante que se conecta la máquina) al primer basculador de la serie inferior. Por ello ambas señales se fundirán en una sola, siendo registradas por el basculador, no como dos, sino como una señal única. Para evitar esto es preciso que las señales de los sumandos no lleguen a la vez, sino unas más «tarde» que las otras. La presencia de este “retardador” determina que en la suma se emplee más tiempo del necesario para el registro de una señal en el contador de los basculadores.
Si se cambia el esquema de la máquina cabe efectuar la sustracción en lugar de la adición.
Puede emplearse también para la multiplicación (que consiste en la adición consecutiva de sumandos, lo que exige más tiempo), la división y otras operaciones.
Los aparatos a que nos hemos referido se emplean en las máquinas modernas de cálculo.
Estas pueden realizar en un segundo ¡decenas e incluso centenares de miles de operaciones numéricas!
Esta vertiginosa rapidez operativa puede parecernos superflua. ¿Qué diferencia puede haber, por ejemplo, en que la máquina eleve un número de 15 cifras al cuadrado en una diezmilésima de segundo o, supongamos, en un cuarto de segundo? Lo uno y lo otro nos parecerán soluciones “instantáneas” del ejercicio... sin embargo, no hay que apresurarse en las conclusiones.
Tomemos el siguiente ejemplo: Un buen ajedrecista, antes de mover una pieza analiza decenas e incluso centenares de variantes posibles. Si suponemos que el análisis de una variante le ocupa algunos segundos, para el examen de centenares de ellas precisará minutos y decenas de minutos. No es raro que en las partidas complicadas, los jugadores resulten en «zeitnot», es decir, se vean obligados realizar las últimas jugadas apresuradamente porque al meditar los planes anteriores han agotado casi todo el tiempo destinado a la partida. ¿Y si encargamos a la máquina el examen de las variantes de jugada en la partida de ajedrez? La máquina, como sabemos, no puede caer nunca en “zeitnot”, ya que hace miles de operaciones por segundo y puede analizar todas las variantes “instantáneamente”...
Podrá objetarse que una cosa es efectuar operaciones por complicadas que sean y otra, jugar ajedrez: ¡la máquina no puede hacer esto! ¡Al analizar las variantes, el ajedrecista no opera, sino que piensa! Mas no divaguemos ahora; volveremos a esto más adelante.
11. Cantidad posible de partidas de ajedrez
Hagamos el cálculo más o menos exacto del número de partidas de ajedrez posibles. Como carece de sentido la determinación precisa, ofreceremos al lector un intento de determinar aproximadamente el número de partidas de ajedrez posibles. En el libro La matemática de los juegos y distracciones matemáticas, de M. Kraitchik, matemático belga, encontramos el siguiente cálculo:
“Al mover la primera pieza, las blancas tienen 20 jugadas a elegir (16 jugadas con los ocho peones, cada uno de los cuales puede avanzar un escaque o dos; y dos jugadas de cada caballo). A cada jugada de las blancas, las negras pueden contestar con cualquiera de esas variantes. Combinando cada movimiento de las blancas con cada uno de las negras tendremos 20 x 20 = 400 variantes después de la primera jugada por ambas partes.
Después del primer movimiento, el número de jugadas posibles es aún mayor. Si las blancas han movido, por ejemplo, e2 - e4, para la segunda jugada, tienen ya 29 variantes a elegir. En lo sucesivo, el número de jugadas posibles es todavía mayor. Tan sólo la reina, encontrándose, por ejemplo, en el escaque d5, puede hacer 27 movimientos (suponiendo que todas las casillas donde puede ir estén libres). Sin embargo, para simplificar el cálculo, nos atendremos a las siguientes cifras medias: 20 variantes para cada una de las partes en las primeras cinco jugadas; 30 variantes para cada parte en todas las demás jugadas.
Admitamos, además, que el total de jugadas en una partida normal, como término medio, sea 40. Partiendo de este supuesto, las partidas posibles serán:
(20 x 20)5 x (30 x 30)35
Para determinar la magnitud aproximada de esta expresión nos valdremos de las siguientes transformaciones y simplificaciones:(20 x 20)5 x (30 x 30)35 = 2010 x 3070 = 210 x 370 x 1080.
Sustituyamos 210 por 1 000, que es una magnitud parecida, es decir, por 103.Presentamos la potencia 310 en la forma que sigue:
370 = 368 x 32 ≈ 10 x (34)17 ≈ 10 x 8017 = 10 x 817 x 1017 = 251 x 1018 =
= 2 x (210)5 x 1018 ≈ 2 x 1015 x 1018 = 2 x 1033
por consiguiente,(20 x 20)5 x (30 x 30)35 ≈ 103 x 2 x 1033 x 1080 = 2 x 10116.
Este número deja muy atrás a la consabida cantidad de granos de trigo pedida como premio por la invención del ajedrez (264 - 1 ≈ 18 x 1018). Si toda la población del globo terrestre jugara al ajedrez el día entero, moviendo una pieza cada segundo, para agotar todas las posibles partidas de ajedrez, ese juego general y permanente duraría ¡no menos de 10100 siglos!”12. El secreto de la máquina de jugar al ajedrez
Sin duda asombrará al lector enterarse de que en cierta época existían máquinas automáticas de ajedrez. En efecto, ¿cómo concebir semejantes aparatos si el número de combinaciones de las piezas en el tablero de ajedrez es prácticamente infinito?
Su explicación es muy sencilla. No era una máquina lo que existía, sino la fe en ella. Un aparato que gozó de gran popularidad fue el del mecánico húngaro Wolfgang von Kempelen (1734 - 1804), que lo presentó en las cortes austriaca y rusa y después hizo con él exhibiciones públicas en París y Londres.

Figura 4
La fama de las demás máquinas fue menos ruidosa. No obstante, ni aún en tiempos posteriores se perdió la fe en la existencia de tales aparatos.
En realidad, ni una sola máquina de ajedrez actuaba automáticamente. En su interior se ocultaba un adiestrado ajedrecista que movía las piezas. Este seudo automático lo formaba un voluminoso cajón en cuyo interior había un complejo mecanismo. El cajón tenía también un tablero de ajedrez con sus piezas que movía la mano de un gran muñeco. Antes de empezar el juego se permitía al público que se cerciorara de que en el cajón no había más que las piezas del mecanismo. Sin embargo, en dicho cajón quedaba sitio suficiente para ocultar a un hombre de baja estatura (ese papel fue desempeñado en su tiempo por los célebres ajedrecistas Johann Allgaier y William Lewis). Es probable que mientras se iban mostrando sucesivamente al público diferentes departamentos del cajón, la persona escondida pasara con sigilo de un lugar a otro sin ser vista. El mecanismo de por sí no tomaba parte en el funcionamiento del aparato, sirviendo tan sólo para velar la presencia del jugador de carne y hueso.
De lo dicho puede concluirse lo siguiente: el número de partidas de ajedrez es prácticamente infinito, por lo cual sólo en la imaginación de personas cándidas pueden existir máquinas indicadoras del movimiento más acertado. De ahí que no deba temerse crisis alguna en el juego del ajedrez.
No obstante, en los últimos años se han producido acontecimientos que ponen en duda la veracidad de tal afirmación. Ya existen máquinas que “juegan” al ajedrez. Nos referimos a las complicadas máquinas de cálculo que permiten efectuar miles de operaciones por segundo. De ellas hemos hablado más arriba. Mas, ¿cómo pueden “jugar” al ajedrez estas máquinas? Claro es que ninguna calculadora puede hacer otra cosa que operar con números. Mas el aparato efectúa las operaciones siguiendo un esquema previo y de acuerdo con un programa elaborado de antemano. El “programa” de ajedrez lo confeccionan los matemáticos a base de una determinada táctica de juego; entendiendo por táctica el sistema de reglas que permite elegir, en cada posición, la salida más efectiva (la “mejor” desde el punto de vista de la táctica dada).
Además se fija una determinada valoración a las posiciones más favorables (movilidad de las figuras, colocación de éstas más cerca del centro que de los costados, etc.) que son expresadas en décimas de punto. Del número global de puntos que tienen las blancas, se descuenta la suma de puntos de las negras. La diferencia reflejará, hasta cierto punto, la superioridad material y de posición que tienen las blancas sobre las negras. Si esta diferencia es positiva, la situación de las blancas será más ventajosa que la de las negras; si es negativa, será menos ventajosa. He aquí uno de los ejemplos de la misma. A cada trebejo se le adjudica un determinado número de puntos, que determina su valor.
| El rey | +200 | puntos |
| La reina | +9 | puntos |
| La torre | +5 | puntos |
| El alfil | +3 | puntos |
| El caballo | +3 | puntos |
| El peón | +1 | puntos |
| Un peón atrasado | - 0,5 | puntos |
| Un peón aislado | - 0,5 | puntos |
| Un peón doblado | - 0,5 | puntos |
La calculadora señala cómo puede cambiar en el curso de tres jugadas la diferencia registrada. Indica la combinación de tres lances más ventajosa y la registra en una tarjeta especial; con ello, la “jugada” está hecha [5]. Para ello la máquina emplea muy poco tiempo (dependiendo éste del programa y de la velocidad operativo de la máquina), de forma que no hay motivo para temer el “zeitnot”.
Es cierto que el hecho de “prever” una partida sólo con tres jugadas por anticipado caracteriza a la máquina como “jugador” bastante mediocre [6]. Pero podemos estar seguros de que con el rápido perfeccionamiento actual de las técnicas de cálculo, las máquinas “aprenderán” a “jugar” al ajedrez mucho mejor.
Nos sería difícil exponer con más detalle la composición de programas de ajedrez para la calculadora. En el próximo capítulo se examinarán esquemáticamente algunos programas sencillos.
13. Los tres doses
Con seguridad que todos sabrán cómo deben escribirse tres cifras para que se alcance con ellas su máximo valor. Deben tomarse tres nueves y colocarlos así:
![]()
Este número es tan enormemente grande que es imposible encontrar con qué compararlo.
El número de electrones que forman todo el Universo visible es una insignificancia respecto a este número. En mis Matemáticas Recreativas (capítulo 10) me ocupé del particular. He insistido en este ejemplo porque me propongo ofrecer aquí otro ejercicio del mismo tipo.
Problema
Véase la forma de alcanzar el número más alto con tres doses sin emplear signo alguno.
Solución
El ejemplo anterior inducirá sin duda a colocar los doses del mismo modo, es decir:
![]()
El número mayor, entre los que pueden formar tres doses, no es 222 ni 222 (es decir, 484), sino
222 = 4 194 304.
El ejemplo es muy aleccionador, y enseña que en matemáticas resulta peligroso servirse de analogías: éstas pueden conducirnos fácilmente a conclusiones erróneas.14. Los tres treses
Problema
Después de esto, quizá se proceda con mayor precaución al resolver el siguiente problema: Escríbanse tres treses de forma que adquieran su máximo valor sin emplear ningún signo.
Solución
La potencia de potencia no ofrece aquí el efecto deseado porque
![]()
La última disposición de los treses es la que responde a la pregunta formulada.
15. Los tres cuatros
Problema
Escríbanse tres cuatros de forma que adquieran su máximo valor sin recurrir a signos.
Solución
Si se sigue el ejemplo de los dos ejercicios anteriores, es decir,
444
no se obtiene la solución más favorable, puesto que en este caso, la potencia de potencia,![]()
16. Con tres cifras iguales
Procuremos profundizar en este intrigante fenómeno y aclarar por qué, cuando con las cifras se establece una potencia de potencia, unas veces se obtienen números enormemente altos y otras, no. Examinemos el caso general. Obténgase el número más elevado posible dado por tres cifras iguales prescindiendo de todo signo.
Representemos la cifra con la letra a. A la distribución 222, 333, 444 corresponde la expresión
a(10a + a) = a11a
La potencia de potencia, en su aspecto general, se presenta así:![]()
Dividamos ambos miembros de la desigualdad por a, y tendremos
aa-1 > 11.
Es fácil determinar que aa-1 es mayor que 11 sólo en el caso en que a sea mayor que 3, puesto que44-1 > 11
en tanto que las potencias32 y 21
son menores que 11.Quedan, pues, explicadas las sorpresas con que hemos tropezado al resolver los problemas precedentes: para los doses y los treses había que servirse de potencias con exponentes de dos cifras, para los cuatros y cifras mayores tiene que emplearse la potencia de potencia
17. Los cuatro unos
Problema
Obténgase la cantidad más alta posible con cuatro unos sin emplear ningún signo.
Solución
El número 1.111 no responde a las exigencias del problema, por ser mucho más pequeño que 1111
Sería muy laborioso encontrar este número mediante 11 multiplicaciones consecutivas por 11. Sin embargo, puede hacerse el cálculo con mucha mayor rapidez utilizando las tablas de logaritmos.
Este número rebasa los 285 000 millones y, por lo tanto, es más de 255 millones de veces mayor que 1.111.
18. Los cuatro doses
Problema
Resolvamos este problema tratándose de doses. ¿Cómo deben disponerse cuatro doses para que adquieran su máximo valor?
Solución
Las combinaciones posibles son 8:
2222,
2222,
2222,
2222,
[(22)2]2,
[(2)22]2,
[(2)2]22,
{[(2)2]2}2
Examinemos la primera fila.
El primer número, 2.222, es a todas luces menor que las tres potencias que le siguen. Para establecer una comparación entre las dos siguientes
2222 y 2222,
transformemos la segunda de ellas:2222 = 222 x 11 = (222)11 = 48411.
Esta última es mayor que 2222, ya que tanto la base como el exponente son mayores que los de 2222.Comparemos ahora 2222 con 2222. Sustituyamos 2222 por otra magnitud superior, 3222 y veremos que incluso ésta es menor que 2222.
En efecto,
3222 = (25)22 = 2110
que es menor que 2222.Quedamos, pues, en que el valor más elevado de la primera fila es 2222. Comparemos ahora la mayor potencia de la primera fila y las cuatro de la segunda:
((22)2)2, ((2)22)2, ((2)2)22, (((2)2)2)2
La última potencia es sólo igual a 216, por lo que queda eliminada. Prosigamos. La primera de esta fila equivale a 224 y es menor que 324 o que 220, por cuya razón es inferior a las dos que la siguen. Quedan sólo tres potencias a comparar, todas de base 2. Es evidente que será mayor aquella que tenga mayor exponente. De los tres 222, 484 y 220+2 (= 210 x 2 x 22 ≈106 x 4) el último es el mayor.Por eso, el valor más elevado que pueden tomar los cuatro doses vendrá expresado como sigue:
((2)2)22
Sin recurrir a la tabla de logaritmos podernos imaginarnos aproximadamente la magnitud de esta potencia valiéndonos de un número aproximado:210 ≈ 1 000.
Y así es, en efecto:222=220 x 22 ≈ 4 x 106
((2)2)22 ≈ 24000000 > 101200000.
Este número consta de más de un millón de cifras.Capítulo 2
El idioma del álgebra
- El arte de plantear ecuaciones
- La vida de Diofanto
- El caballo y el mulo
- Los cuatro hermanos
- Las aves de la orilla
- El paseo
- El artel de segadores
- Las vacas en el prado
- El problema de Newton
- El cambio de las manecillas del reloj
- Coincidencia de las saetas
- El arte de adivinar números
- Un supuesto absurdo
- La ecuación piensa por nosotros
- Curiosidades y sorpresas
- En la peluquería
- El tranvía y el peatón
- El barco y la balsa
- Dos botes de café
- Velada
- Exploración marina
- En el velódromo
- Carrera de motocicletas
- Velocidad media
- Máquinas de cálculo rápido
El idioma del álgebra es la ecuación. «Para resolver un problema referente a números o relaciones abstractas de cantidades, basta con traducir dicho problema, del inglés u otra lengua al idioma algebraico», escribió el gran Newton en su manual de álgebra titulado Aritmética Universal. Isaac Newton mostró con ejemplos cómo debía efectuarse la traducción. He aquí uno de ellos:
| En la lengua vernácula: | En el idioma del álgebra: |
| Un comerciante tenía una determinada suma de dinero | x |
| El primer año gastó 100 libras | x - 100 |
| Aumentó el resto con un tercio de éste | |
| Al año siguiente volvió a gastar 100 libras | |
| Y aumentó la suma restante en un tercio de ella | |
| El tercer año gastó de nuevo 100 libras | |
| Después de que hubo agregado su tercera parte | |
| El capital llegó al doble del inicial |
Para determinar cuál es el capital inicial del comerciante no queda más que resolver la última ecuación.
La solución de una ecuación es, con frecuencia, tarea fácil; en cambio, plantear la ecuación a base de los datos de un problema suele ser más difícil. Hemos visto que el arte de plantear ecuaciones consiste, efectivamente, en traducir “la lengua vernáculo a la algebraica”. Pero el idioma del álgebra es lacónico en extremo, por eso no todos los giros del idioma materno son de fácil traducción. Las traducciones pueden ser muy distintas por el grado de su dificultad, como puede convencerse el lector a la vista de los ejemplos de ecuación de primer grado expuestos.
2. La vida de Diofanto
Problema
La historia ha conservado pocos rasgos biográficos de Diofanto, notable matemático de la antigüedad. Todo lo que se conoce acerca de él ha sido tomado de la dedicatoria que figura en su sepulcro, inscripción compuesta en forma de ejercicio matemático. Reproducimos esta inscripción:
| En la lengua vernácula: | En el idioma del álgebra |
| ¡Caminante! Aquí fueron sepultados los restos de Diofanto. Y los números pueden mostrar, ¡Oh milagro!, cuan larga fue su vida, | x |
| Cuya sexta parte constituyó su hermosa infancia. | x/6 |
| Había transcurrido además una duodécima parte de su vida, cuando de vello cubrióse su barbilla | x/12 |
| Y la séptima parte de su existencia transcurrió en un matrimonio estéril. | x/7 |
| Pasó un quinquenio más y le hizo dichoso el nacimiento de su precioso primogénito, | 5 | Que entregó su cuerpo, su hermosa existencia, a la tierra, que duró tan solo la mitad de la de su padre | x/2 |
| Y con profunda pena bajó a la sepultura, habiendo sobrevivido cuatro años al deceso de su hijo | |
| Dime cuantos años había vivido Diofanto cuando le llegó la muerte. |
Solución
Al resolver la ecuación y hallar el valor de la incógnita, 84, conocemos los siguientes datos biográficos de Diofanto: se casó a los 21 años, fue padre a los 38, perdió a su hijo a los 80 y murió a los 84.
3. El caballo y el mulo
Problema
He aquí un antiguo ejercicio muy sencillo y fácil de traducir al idioma del álgebra.
“Un caballo y un mulo caminaban juntos llevando sobre sus lomos pesados sacos.
Lamentábase el jamelgo de su enojosa carga, a lo que el mulo le dijo: “¿De qué te quejas?
Si yo te tomara un saco, mi carga sería el doble que la tuya. En cambio, si te doy un saco, tu carga se igualará a la mía”. ¿Decidme, doctos matemáticos, cuántos sacos llevaba el caballo, y cuántos el mulo?”.
Solución
| Si yo tomara un saco | x - 1 |
| Mi carga | y + 1 |
| Sería el doble que la tuya. | y + 1 = 2(x - 1) |
| Si yo te doy un saco, | y - 1 | Tu carga | x + 1 |
| Se igualaría a la mía | y - 1 = x + 1 |
Hemos planteado el problema mediante un sistema de ecuaciones con dos incógnitas:
y + 1 = 2 * (x - 1)
y - 1 = x + 1
2x – y = 3
y – x = 2
4. Los cuatro hermanos
Problema
Cuatro hermanos tienen 45 rublos. Si el dinero del primero es aumentado en 2 rublos, el del segundo reducido en 2 rublos, se duplica el del tercero y el del cuarto se reduce a la mitad, todos los hermanos tendrán la misma cantidad de rublos. ¿Cuánto dinero tenía cada uno?
Solución
| Los cuatro hermanos tienen 45 rublos | x + y + z + t =45 |
| Si al dinero del primero se le agregan 2 rublos | x + 2 |
| Al segundo se le restan 2 rublos | y - 2 |
| El del tercero se duplica, | 2z |
| Y el del cuarto se divide por dos | t/2 |
| A todos los hermanos les quedará la misma cantidad de rublos | x + 2 = y - 2 = 2z = t/2 |
La última ecuación nos permite plantear tres ecuaciones independientes:
x + 2 = y - 2,
x + 2 = 2z
x + 2 = t/2
y = x + 4
z = (x + 2) / 2
t = 2x + 4.
x + x + 4 + (x + 2)/2 + 2x + 4 = 45
de donde x = 8. A continuación hallamos que y = 12, z = 5, t = 20. Por lo tanto, los hermanos tenían: 8, 12, 5 y 20 rublos.5. Las aves de la orilla
Problema
En las obras de un matemático árabe del siglo XI hallamos el siguiente problema:
A ambas orillas de un río crecen dos palmeras, la una frente a la otra. La altura de una es de 30 codos, y la de la otra, de 20. La distancia entre sus troncos, 50 codos. En la copa de cada palmera hay un pájaro. De súbito los dos pájaros descubren un pez que aparece en la superficie del agua, entre las dos palmeras. Los pájaros se lanzaron y alcanzaron el pez al mismo tiempo. ¿A qué distancia del tronco de la palmera mayor apareció el pez?

Figura 5
Mediante la fig. 5 y aplicando el teorema de Pitágoras, establecemos:
AB2 = 302 + x2, AC2 = 202 + (50 - x)2
Pero AB = AC, por cuanto los pájaros cubren esta distancia en un mismo tiempo. Por eso,302 + x2 = 202 + (50 - x)2.
Al quitar los paréntesis simplificando la fórmula nos encontramos con una ecuación de primer grado:100x = 2 000,
de dondex = 20.
El pez apareció a 20 codos de la palmera que tenía 30 codos de altura.6. El paseo
Problema
- Pase usted mañana por mi casa - dijo el viejo doctor a un conocido.
- Muy agradecido. Saldré mañana a las tres. Quizá desee usted dar también un paseo. En este caso salga a la misma hora y nos encontraremos a la mitad del camino.
- Usted olvida que soy ya viejo y ando tan sólo tres kilómetros por hora, en tanto que usted, jovenzuelo, cuando más despacio va, hace 4 kilómetros por hora. No sería ningún delito que me concediera alguna ventaja.
- Tiene razón - contestó el joven - . Comoquiera que yo recorro un kilómetro a la hora más que usted, le doy este kilómetro de ventaja, es decir, saldré de casa un cuarto de hora antes ¿le será suficiente?
- Es usted muy amable - aprobó al instante el anciano. El joven cumplió lo prometido y salió de su casa a las tres menos cuarto, marchando a 4 kilómetros por hora. El doctor salió a la calle a las tres en punto y anduvo a tres kilómetros por hora. Cuando se encontraron, el anciano dio la vuelta, yendo juntos a su domicilio.
Tan sólo cuando el joven regresó a su casa comprendió que debido a la ventaja concedida tuvo que caminar, no el doble, sino el cuádruplo de lo que anduvo el doctor.
¿A qué distancia de la casa del doctor estaba la de su joven conocido?
Solución
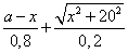
Expresemos la distancia que separa las casas con la x (km). El joven anduvo en total 2x, y el doctor, la cuarta parte, es decir x/2. Desde que salió de casa hasta que se encontraron, el doctor recorrió la mitad de cuanto anduvo en total, es decir, x/4, y el joven hizo el resto, es decir, 3x/4. El anciano caminó x/12 y el joven 3x/16 horas; además, sabemos que éste caminó ¼ de hora más que el doctor.
Establezcamos la siguiente ecuación
![]()
Entre las dos casas mediaba una distancia de 2,4 km.
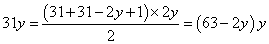
7. El artel de segadores
En los recuerdos acerca de L. Tolstoi, el conocido físico A. Tsinguer refiere el siguiente problema que agradaba en extremo al eminente escritor:
Problema
“Un artel de segadores debía segar dos prados, uno tenía doble superficie que otro. Durante medio día trabajó todo el personal del artel en el prado grande; después de la comida, una mitad de la gente quedó en el prado grande; y la otra mitad trabajó en el pequeño.

Figura 6
Solución
En este ejercicio, además de la incógnita fundamental - número de segadores - que expresamos con la x, es conveniente introducir otra incógnita complementaria: la superficie del sector segado por un trabajador en un solo día, que expresamos con la y.
Aunque el problema no exige que se halle su valor, contribuye a encontrar la raíz de la x.
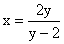
Representemos la superficie del prado grande con x e y. Este prado lo segaron durante medio día x trabajadores, que segaron ½ * (x * y) = x * y/2.
Durante la segunda parte del día trabajó allí la mitad del artel, es decir, x/2 y segaron
x/2 * ½ * y = x*y/4
Comoquiera que al final de la jornada había sido segado todo el prado, su área será:x * y/2 + x * y/4 = 3 * x * y/4
Expresamos ahora la superficie del prado menor mediante x e y. Durante medio día se ocuparon en él x trabajadores y segaron una superficie de½ * x/2 * y = x * y/4
Agreguemos a esto el sector que quedó sin segar, que es igual a y (superficie segada por un trabajador en una jornada), y hallaremos la superficie del prado menor:x * y/4 + y = (x * y + 4 * y)/4
No nos queda más que traducir al idioma del álgebra la frase “el primer prado tiene doble superficie que el segundo”, y la ecuación quedará establecida como sigue:
![]()
3x/(x + 4) = 2, ó 3x = 2x + 8
de donde x = 8. En el artel había 8 segadores.Después de haber sido publicada la primera edición del Algebra Recreativa, el profesor A. Tsinguer me envió una información detallada y muy interesante, relacionada con este problema. El efecto esencial del problema, a su juicio, reside en que “no es algebraico en absoluto sino aritmético, y aunque es muy sencillo se tropieza conciertas dificultades en su resolución debido a que no es de tipo corriente”.
“La historia del presente problema es la siguiente, continúa el profesor A. Tsinguer. En la facultad de matemáticas de la Universidad de Moscú, cuando estudiaban en ella mi padre e I. Raievski, mi tío, (amigo íntimo de L. Tolstoi), entre otras disciplinas se enseñaba algo semejante a la pedagogía. A este fin, los estudiantes debían ir a una escuela pública urbana, puesta a disposición de la universidad, y en colaboración con expertos y venerables maestros, hacían prácticas pedagógicas. Entre los compañeros de estudios de Tsinguer y Raievski había un tal Petrov, que, según cuentan, era persona muy inteligente y original en extremo. Este Petrov (fallecido en su juventud, creo que de tisis) afirmaba que en las clases de aritmética embrutecían a los escolares con problemas y métodos estereotipados. Para poner de evidencia su punto de vista, Petrov ingeniaba problemas que por salirse de las normas corrientes embarazaban a los “expertos y venerables maestros”, pero que los alumnos más lúcidos, todavía no embotados por el estudio rutinario, resolvían con facilidad.
Entre dichos problemas (Petrov discurrió varios) estaba el de los segadores. Los maestros con experiencia, claro, podían resolverlo con facilidad mediante ecuaciones, pero no daban con su sencilla resolución aritmética. Sin embargo, el problema es tan fácil que para resolverlo en absoluto no merece la pena servirse del álgebra.
Si el prado mayor fue segado por todo el personal del artel en medio día, y por la mitad de la gente en el resto de la jornada, es natural que medio artel segó en medio día 1/3 del prado. Por consiguiente, en el prado menor quedaba sin segar
1/2 - 1/3 = 1/6
Si un trabajador siega en un día 1/6 del prado, y si fue segado 6/6 + 2/6 = 8/6, esto quiere decir que había 8 segadores.
Figura 7
Ofrecemos a continuación algunos problemas que, con cierta imaginación, son más fáciles de resolver por medio de la aritmética que valiéndose del álgebra.
8. Las vacas en el prado
Problema
“Al estudiar las ciencias, los ejercicios son más útiles que las reglas”, escribía Newton en su Aritmética Universal, y acompañaba las indicaciones teóricas con una serie de ejemplos.
Entre ellos hallamos el de los toros que pastan en el prado, que generó un tipo específico de problemas semejantes a éste:
“La hierba crece en todo el prado con igual rapidez y espesura. Se sabe que 70 vacas se la comerían en 24 días, y 30, en 60 días. ¿Cuántas vacas se comerían toda la hierba en 96 días?”.
Este problema sirvió de argumento para un cuento humorístico, que recuerda el Maestro particular de Chejov. Dos adultos, familiares del escolar a quien habían encargado resolver este problema, se esforzaban inútilmente por hallar su solución y se asombraban:
- ¡Qué extraño es el resultado! - dijo uno - . Si en 24 días 70 vacas se comen la hierba, entonces, ¿cuántas vacas se la comerán en 96 días? Claro que 1/4 de 70, es decir, 17 1/2 vacas... ¡Este es el primer absurdo! El segundo todavía más extraño, es que si 30 vacas se comen la hierba en 60 días, en 96 se la comerán 18 3/4 vacas. Además, si 70 vacas se comen la hierba en 24 días, 30 vacas emplean en ello 56 días, y no 60, como afirma el problema.
- ¿Pero tiene usted en cuenta que la hierba crece sin cesar? - preguntó otro.
La observación era razonable; la hierba crece incesantemente, circunstancia que no puede echarse en olvido, pues en ese caso no sólo no puede resolverse el problema, sino que sus mismas condiciones parecerán contradictorias.
¿Cómo debe resolverse pues, el problema?
Solución
Introduzcamos también aquí una segunda incógnita, que representará el crecimiento diario de la hierba, expresado en partes de las reservas de la misma en el prado. En una jornada hay un crecimiento de y; en 24 días será 24y. Si tomamos todo el pasto como 1, entonces, en 24 días las vacas se comerán
1 + 24y.
En una jornada las 70 vacas comerán(1 + 24y) / 24
y una vaca (de las 70) comerá(1 + 24y) / (24 * 70)
Siguiendo el mismo razonamiento: si 30 vacas acaban con toda la hierba del prado en 60 días, una vaca comerá en un día1 + 60y / (30 * 60)
Pero la cantidad de hierba comida por una vaca en un solo día es igual para los dos rebaños.Por eso
(1 + 24y) / (24 * 70) = (1 + 60y) / (30 * 60)
de dondey = 1 / 480
Cuando se halla y (medida de crecimiento) es ya fácil determinar qué parte de la reserva inicial se come una vaca al día(1 + 24y) / (24*70) = (1 + 24/480) / (24*70) = 1 / 1600
Por último establecemos la ecuación para la solución definitiva del problema: si el número de vacas es x, entonces,{1 + (96 / 480)} / 96x = 1600
de donde x = 2020 vacas se comerían toda la hierba en 96 días.
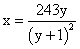
9. El problema de Newton
Examinemos ahora un problema del mismo tipo que el anterior: el problema de Newton acerca de los toros.
El problema, en realidad, no fue ideado por Newton, sino que es de origen popular.
Problema
“Tres prados cubiertos de hierba de una misma espesura y con el mismo grado de crecimiento, tienen un área de 3 1/3 Ha, 10 Ha y 24 Ha. La hierba del primero es comida por 12 toros durante 4 semanas; la del segundo, por 21 toros durante 9 semanas. ¿Cuántos toros comerán la hierba del tercero durante 18 semanas?”
Solución
Introducimos la incógnita auxiliar y, que significa la parte de la reserva inicial de hierba que crece en 1 Ha durante una semana. En el primer prado crece durante la primera semana una cantidad de hierba igual á 3 1/3y; durante 4 semanas, 3 1/3y*4= (40/3) y de la reserva de hierba que había inicialmente en 1 Ha. Esto equivale a un crecimiento del área inicial del prado igual a:
3 1/3 + (40/3) y hectáreas.
En otras palabras: los toros comen tanta hierba como se precisa para cubrir un prado de{3 1/3 + (40/3) y} hectáreas.
En una semana 12 toros se comen un cuarto de esta cantidad, y un toro come en una semana 1/48, es decir, la reserva de hierba que hay en un área de{3 1/3 + (40/3) y} / 48 = (10 + 40y) / 144 hectáreas.
De esa misma manera, con los datos del segundo prado, hallamos el área de éste que alimenta a un solo toro durante una semana:- crecimiento de la hierba en 1 Ha durante 1 semana = y
- crecimiento de la hierba en 1 Ha durante 9 semanas = 9y
- crecimiento de la hierba en 10 Ha durante 9 semanas = 90y
La superficie del sector que contiene hierba suficiente para alimentar 21 toros durante 9 semanas es igual a
10 + 90y.
El área necesaria para mantener un toro durante una semana será:(10 + 90y)/ 9 * 21 = (10 + 90y)/189
hectáreas. Ambas normas de alimentación deben ser idénticas:(10 + 40y)/144 = (10 + 90y)/189
Al despejar la incógnita encontramos que y=1/12. Veamos ahora cuál debe ser el área del prado con hierba suficiente para mantener un toro durante una semana:(10 + 40y)/144 = (10 + 40/12)/144 = 5/54
hectáreas. Ocupémonos, por último, de la pregunta del problema. Si representamos el número desconocido de toros con la x, tendremos:{24 + (24 * 18/12)}/18x = 5/54
de donde x = 36. El tercer prado puede mantener 36 toros durante 18 semanas.10. El cambio de las manecillas del reloj
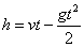
Problema
A. Moshkovski, biógrafo y amigo del famoso físico Albert Einstein, en su deseo de distraer a éste durante su enfermedad, le propuso resolver el problema siguiente (fig. 8):
“Tomemos un reloj - dijo Moshkovski - que tenga las saetas en las 12. Si en esta posición el minutero y el horario cambiaran de función, la hora marcada sería la misma; pero a otras horas, por ejemplo, a las 6 esa permuta de las saetas daría lugar a un absurdo, a una situación que, en un reloj que marchara normalmente no podría producirse; el minutero no puede hallarse en las 6 cuando el horario se encuentra en las 12. De aquí surge la siguiente pregunta: ¿Cuándo y cada cuánto tiempo ocupan las manecillas de un reloj tal posición en la cual al cambiar éstas de función entre sí se producen nuevas situaciones posibles en un reloj normal?

Figura 8
Se incorporó en el lecho y con unos cuantos trazos dibujó en un papel un esquema que reflejaba las condiciones del problema. Einstein no necesitó para resolverlo más tiempo que el que he empleado yo en formularlo...” ¿Cómo se resuelve?
Solución
Midamos la distancia que recorren las manecillas, valiéndonos de 60 divisiones de la esfera, a partir de las 12. Supongamos que en una de las posiciones buscadas, el horario se encuentra a x fracciones a partir del número 12, y el minutero, a y divisiones.
Como las 60 fracciones son recorridas por el horario en 12 horas, es decir, a 5 divisiones por hora, entonces, x partes de la esfera serán recorridas por el horario en x/5 horas. Dicho con otras palabras, habrán pasado x/5 horas desde que el reloj dio las 12. El minutero recorre y fracciones en y minutos, es decir, en y/60 horas. Expresado de otro modo: el minutero ha pasado la cifra 12 hace y/60 o al cabo de
x/5 – y/60
horas después de que ambas saetas se encontraban en las doce. Este número es entero (desde el cero al 11), ya que muestra cuántas horas completas han pasado desde las doce.Al cambiar las manecillas defunción encontraremos por analogía que a partir de las doce habrán pasado
y/5 – x/60
horas completas. Este número también es entero (desde el cero hasta el 11).Planteamos el siguiente sistema de ecuaciones:

x = {60 * (12m + n)}/143
y = {60 * (12n + m)/143
Cuando m = 11, n = 11 tenemos: x = 60, = 60, es decir, las manecillas están en las 12, como en el caso de m = 0, n = 0.
No nos detendremos a examinar todas las posiciones posibles; ocupémonos de dos casos:
Primer caso:
m = 1, n = 1; x = 60 * 13/143 = 5 5/11
es decir, señala 1 hora 5/11 minutos; en este momento las manecillas están en el mismo sitio por lo que pueden cambiar de función (como siempre que coincidan).Segundo caso:
m = 8, n = 5;
x = {60 * (5 + 12 * 8)}/143 ≈ 42.38
y = {90 * (8 + 12 * 5)}/143 ≈ 28.53
El número de soluciones, como se indicó ya, es de 143. Para llegar a los puntos de la esfera donde se encuentran las posiciones requeridas de las saetas, hay que dividir la circunferencia de la esfera en 143 partes iguales, obteniendo 143 puntos que son los que buscamos. En los espacios intermedios no hay otras posiciones semejantes de las manecillas.
11. Coincidencia de las saetas
Problema
¿En cuántas posiciones pueden coincidir el horario y el minutero de un reloj que marche normalmente?
Solución
Podemos valernos de las ecuaciones del problema anterior, ya que si las dos manecillas coinciden, pueden cambiar entre sí de función sin que se produzca alteración alguna. En este caso, ambas saetas habrán recorrido el mismo número de divisiones, a partir del número 12; es decir, x = y. Por esta causa, los razonamientos del problema precedente nos brindan la siguiente expresión:
x/5 - x/60 = m
donde m es un entero comprendido entre 0 y 11. Aquí podemos despejar la incógnita:x = 60 * m/11
De los doce valores de m (del 0 al 11) obtenemos en lugar de 12, sólo 11 posiciones diversas de las manecillas, toda vez que siendo m = 11 vemos que x = 60; es decir, ambas saetas han recorrido 60 divisiones y se hallan en la cifra 12; esto mismo sucede cuando m = 0.12. El arte de adivinar números
Cada uno de ustedes se encontraba indudablemente con “prestidigitadores” que pueden adivinar números. Como regla un prestidigitador propone realizar operaciones del siguiente carácter: pensar un número cualquiera, adicionar 2, multiplicar el resultado por 3, restar 5, restar el número pensado etc., en total cinco a una decena de operaciones. Luego el prestidigitador pide que le comuniquen el resultado y, al obtener la respuesta, en seguida comunica el número pensado.
Claro está que el secreto de la “prestidigitación” es muy fácil y se basa en las mismas ecuaciones.
Supongamos que el prestidigitador le haya propuesto a usted realizar un programa de operaciones indicado en la columna izquierda de la tabla siguiente:
| piense un número | x |
| adicione 2 | x + 2 |
| el resultado multiplíquelo por 3 | 3x + 6 |
| reste 7 | 3x - 1 |
| reste el número pensado | 2x + 1 |
| multiplique por 2 | 4x + 2 |
| reste 1 | 4x + 1 |
Luego el prestidigitador pide que le comuniquen el resultado final y, al obtenerlo, dice al instante el número pensado. ¿Cómo lo hace?
Para comprender esto, hay que mirar la columna derecha de la tabla, donde las indicaciones del prestidigitador están traducidas al idioma del álgebra. Mirando esta columna se puede comprender, que si usted ha pensado cualquier número x, entonces realizadas todas las operaciones se obtendrá 4x + 1. Conociendo este resultado no es difícil “adivinar” el número.
Supongamos, por ejemplo, que usted haya dicho al prestidigitador que el resultado es 33.
Entonces el prestidigitador resuelve mentalmente muy rápido la ecuación 4x + 1 = 33 y obtiene la respuesta: x = 8. Es decir, hace falta restar 1 del resultado final (33 - 1 = 32) y luego el número obtenido se divide entre 4 (32: 4 = 8), El resultado de esta división es el número pensado (8). Si el resultado final es 25, entonces el prestidigitador hace mentalmente las siguientes operaciones 25 – 1 = 24, 24 / 4 = 6 y le comunica que usted ha pensado el número 6.
Como se ve todo es muy fácil. El prestidigitador sabe de antemano qué hace falta hacer con el resultado para obtener el número pensado.
Después de comprender esto usted puede asombrar y desconcertar aún más a sus amigos proponiéndoles a ellos mismos escoger según su propio parecer, el carácter de operaciones sobre un número pensado. Usted propone a su amigo pensar un número y realizar en cualquier orden operaciones del carácter siguiente: sumar o restar un número conocido (por ejemplo: sumar 2, restar 5, etc.), multiplicar [7] por un número conocido (por 2, por 3, etc.), sumar o restar el número pensado. Su amigo, para embrollarle, va a amontonar una serie de operaciones. Por ejemplo, él ha pensado el número 5 (el número pensado no se le comunica a usted) y realizando operaciones le dice:
- he pensado un número, lo he multiplicado por 2, al resultado he sumado 3, luego he sumado el número pensado, al resultado he sumado 1, todo lo he multiplicado por 2, he restado el número pensado, luego he restado 3, una vez más he restado el número pensado, he restado 2. Por fin, el resultado lo he multiplicado por 2 y he sumado 3.
Al decidir que él le ha embrollado por completo él comunica a usted con el aspecto triunfante:
- el resultado final es 49.
Para su asombro usted le comunica inmediatamente que él ha pensado el número 5.
¿Cómo lo hace usted? Ahora todo eso es bastante claro. Cuando su amigo le comunica las operaciones que él está realizando con el número pensado, usted a la vez actúa mentalmente con la incógnita x. El le dice: “He pensado un número...”, usted repite mentalmente:
“entonces tenemos x”. El dice: “...lo he multiplicado por 2...” (él de veras realiza la multiplicación de números), usted prosigue mentalmente; “...ahora tenemos 2x”. El dice: “...al resultado he sumado 3...”, usted le sigue inmediatamente: 2x + 3 etc. Cuando él le “ha embrollado” completamente y ha realizado todas las operaciones mencionadas arriba, usted ha llegado al resultado indicado en la tabla siguiente (en la columna izquierda está escrito todo lo dicho en voz alta por su amigo y en la derecha - las operaciones que usted ha hecho mentalmente):
| He pensado un número | x |
| lo he multiplicado por 2 | 2x |
| al resultado he sumado 3 | 2x + 3 |
| luego he sumado el número pensado | 3x + 3 |
| ahora he sumado 1 | 3x + 4 |
| el resultado lo he multiplicado por 2 | 6x + 8 |
| he restado el número pensado | 5x + 8 |
| he restado 3 | 5x + 5 |
| más he restado el número pensado | 4x + 5 |
| he restado 2 | 4x + 3 |
| por fin, el resultado lo he multiplicado por 2 | 8x + 6 |
| y he sumado 3 | 8x + 9 |
Usted ha pensado por último: el resultado final es 8x + 9. Ahora él dice: “El resultado final es 49”. Usted tiene ya la ecuación hecha: 8x + 9 = 49. Resolverla es una futilidad y usted le comunica en el acto que él ha pensado el número 5. Esta prestidigitación es particularmente impresionante porque las operaciones que hace falta realizar con el número pensado no las propone usted, sino su amigo las “inventa”.
Sin embargo, hay un caso cuando la prestidigitación no tiene éxito. Si usted después de realizar (contando mentalmente) una serie de operaciones ha obtenido, por ejemplo, x + 14, y su amigo dice luego: “...ahora he restado el número pensado y el resultado final es 14”.
Usted le sigue (x + 14) – x = 14, de verdad resulta 14, pero no hay ninguna ecuación y por eso usted no puede adivinar el número pensado. ¿Qué es necesario hacer en este caso? Obre así: tan pronto usted tenga el resultado que no contiene la incógnita x, interrumpa a su amigo, diciéndole: “¡Para! Ahora puedo sin preguntar nada comunicarte el resultado que tienes. Es 14”. Esto de veras va a desconcertar a su amigo, pues él no le ha dicho completamente nada. A pesar de que usted no supo adivinar el número pensado, la prestidigitación ha resultado espléndida.
He aquí un ejemplo más (como antes en la columna izquierda se encuentra lo dicho por su amigo):
| He pensado un número | x |
| a este número he sumado 2 | x + 2 |
| el resultado lo he multiplicado por 2 | 2x + 4 |
| ahora he sumado 3 | 2x + 7 |
| he restado el número pensado | x + 7 |
| he sumado 5 | x + 12 |
| luego he restado el número pensado | 12 |
En el momento cuando el resultado ha sido 12, es decir, es una fórmula que no tiene más la incógnita x, usted interrumpe al amigo comunicándole que ahora el resultado es 12.
Después de practicar un poco usted podrá fácilmente mostrar a sus amigos semejantes “prestidigitaciones”.
13. Un supuesto absurdo
Problema
He aquí un problema que puede parecer incongruente: ¿Cuál es la equivalencia de 84 si 8 * 8=54?
Esta insólita pregunta está muy lejos de carecer de sentido, y puede ser resuelta mediante ecuaciones.
Intente descifrarla.
Solución
Probablemente habrán comprendido que los datos del problema no pertenecen al sistema decimal, pues en caso contrario, la pregunta “¿Cuál es la equivalencia de 84?” sería un absurdo. Supongamos que la base del sistema desconocido de numeración es x. El número “84” equivale entonces a 8 unidades de segundo orden y 4 unidades del primero, es decir
“84” = 8x + 4.
El número “54” equivale a 5x + 4. Tenemos, por lo tanto, la ecuación8*8 = 5x + 4,
es decir, en el sistema de numeración decimal sería 64 = 5x + 4, de donde x = 12.Este número está expresado en el sistema de base 12, y “84” = 8 * 12 + 4 = 100. Por lo tanto, si 8 * 8 = “54”, “84” será igual a 100.
De esta misma manera se resuelve otro de los problemas de este tipo: ¿Cuál es el equivalente de 100, si 5 * 6 = 33?
Respuesta: 81 (sistema de base 9).
14. La ecuación piensa por nosotros
Si no cree que las ecuaciones son a veces más previsoras que nosotros mismos resuelva este problema:
El padre tiene 32 años; el hijo, 5. ¿Al cabo de cuántos años será la edad del padre diez veces mayor que la del hijo?
Expresemos el tiempo buscado con x. Al cabo de x años el padre tendrá 32 + x años; y el hijo, 5 + x años. Y como el padre debe tener 10 veces más años que el hijo, se establece la ecuación
32 + x = 10 * (5 + x).
Al resolverla hallamos que x = - 2.“Al cabo de menos 2 años” significa “hace dos años”. Al plantear la ecuación no pensábamos que en el futuro la edad del padre no sería nunca 10 veces superior a la del hijo; esa correlación pudo tener lugar sólo en el pasado. La ecuación ha sido más reflexiva que nosotros, y nos ha recordado nuestro descuido.
15. Curiosidades y sorpresas
Hay ocasiones en las que al resolver las ecuaciones tropezamos con soluciones que pueden desconcertar a un matemático poco ducho. Veamos algunos ejemplos:
I. Hallar un número de dos cifras que tenga las siguientes propiedades:
La cifra de las decenas debe ser 4 unidades inferior a la cifra de las unidades. Si ese mismo número se escribe invirtiendo el lugar de sus cifras y se le sustrae el número buscado, se obtiene 27. Expresando el guarismo de las decenas con la x, y el de las unidades con la y, formaremos fácilmente el siguiente sistema de ecuaciones para este problema:
x = y - 4
(10y + x) - (10x + y)
10y + y – 4(10(y - 4) + y) = 27
al operar tendremos que36 = 27.
No se ha hallado el valor de las incógnitas, pero se ha visto que 36 = 27... ¿Qué quiere decir esto? Esto significa que no existe ningún número compuesto de dos cifras que responda a las condiciones del problema, y que las ecuaciones planteadas se contradicen mutuamente.En efecto, multipliquemos ambos miembros de la primera igualdad por 9 y tendremos: 9y - 9x = 36, y de la segunda ecuación (después de abrir los paréntesis y reducir los términos semejantes) resulta:
9y - 9x = 27.
Según la primera ecuación 9y - 9x es igual a 36 y de acuerdo con la segunda equivale a 27.Esto es a todas luces imposible, por cuanto 36 ≠ 27. Una confusión análoga espera a quien resuelva el siguiente sistema de ecuaciones:
x2 * y2 = 8,
x * y = 4.
x * y = 2
y si confrontamos la ecuación obtenida con la segunda del sistema veremos quex * y = 4, x * y = 2,
es decir, que 4 = 2. No hay cifras que satisfagan las condiciones de este sistema.(Sistemas de ecuaciones, semejantes a los que acabamos de examinar que no pueden ser resueltos, se llaman no combinados.)
II. Si cambiamos un tanto las condiciones del problema anterior recibiremos otra sorpresa.
Supongamos que la cifra de las decenas es menor en 3 unidades que la cifra de las unidades. Las demás condiciones del problema permanecen invariables ¿Cuál será este número? Planteemos la ecuación. Si expresamos la cifra de las decenas con la x, la de las unidades será x + 3. Traduzcamos el problema al idioma del álgebra:
10 * (x + 3) + x - [10x + (x + 3)] = 27.
Al reducir se obtiene 27 = 27.Esta igualdad es incuestionable, pero nada nos dice de la raíz de x ¿Significa esto que no existe ningún valor que responda a las condiciones del problema?
Por el contrario. Esto se debe a que la igualdad dada es una identidad, es decir, que es cierta cualquiera que sea la magnitud de la incógnita x. En efecto, las condiciones del problema son válidas para todo número compuesto de dos cifras siempre que el guarismo de las unidades sea mayor en 3 unidades que el de las decenas:
14 + 27=41
47 + 27=74
25 + 27 = 52
58 + 27 = 85
36 + 27 = 63
69 + 27 = 96
III. Hallar un número de tres cifras que responda a las siguientes condiciones:1. La cifra de las decenas sea 7;
2. La cifra de las centenas sea inferior en 4 unidades a la cifra de las unidades;
3. Si las cifras del mismo se colocan en orden inverso, el nuevo número será 396 unidades mayor que el buscado.
Formemos la ecuación sustituyendo la cifra de las unidades con la x:
100x + 70 + x - 4 - [100(x - 4) + 70 + x] = 396.
Después de reducida esta ecuación se llega a la igualdad 396 = 396.Los lectores conocen ya cómo hay que interpretar los resultados de este tipo. Esto significa que un número de tres cifras, en el que la primera es menor que la tercera[8] en 4 unidades, aumenta en 396, si se le coloca en orden inverso.
Hasta ahora hemos examinado problemas que tienen un carácter más o menos artificioso y teórico; su misión consiste en contribuir a que se adquiera hábito en el planteamiento y la solución de ecuaciones. Ahora, pertrechados teóricamente, ofreceremos algunos ejemplos relacionados con la producción, la vida cotidiana, y la actividad militar y deportiva.
16. En la peluquería
Problema
¿Puede el álgebra tener alguna aplicación en la peluquería? Resulta que puede darse esa circunstancia. Me convencí de ello en cierta ocasión, cuando encontrándome en un establecimiento de esa clase, se dirigió a mí un oficial con una inesperada petición:
- ¿No podrá resolvernos usted un problema que no sabemos cómo hacerlo? - ¡No se imagina cuánta agua oxigenada hemos echado a perder por esa causa! - agregó otro.
- ¿De qué se trata? - pregunté.
- Tenemos dos soluciones de agua oxigenada: al 30% una, y al 3% la otra. Debemos mezclarlas de tal forma que obtengamos una solución al 12%. Pero no podemos hallar las proporciones correspondientes...
Me dieron un papel y encontré la proporción que buscaban. Resultó ser un problema muy fácil.
Solución
El problema puede ser resuelto también por vía aritmética, pero mediante el álgebra se obtiene el resultado con más sencillez y prontitud. Supongamos que para formar la mezcla al 12% hay que tomar x gramos de solución al 3% e y gramos al 30%. Siendo así, la primera porción contendrá 0,03 x gramos de agua oxigenada pura y, la segunda, 0,3 y; en total habrá
0,03x + 0,3y
Con esto resultará (x + y) gramos de solución, en la que el agua oxigenada pura será 0,12 (x + y). Tenemos la ecuación0,03x + 0,3y = 0,12 (x + y)
De esta ecuación hallamos: x = 2y, es decir, que deberá tomarse doble cantidad de solución al 3% que la empleada del 30%.17. El tranvía y el peatón
Problema
Cuando marchaba a lo largo de la línea del tranvía observé que cada 12 minutos me alcanzaba uno de esos vehículos, y cada 4 minutos otro de ellos pasaba en dirección contraria. Tanto los vehículos como yo nos desplazábamos con velocidad constante ¿Cada cuántos minutos salían los tranvías de las estaciones terminales?
Solución
Si los tranvías salían cada x minutos, eso quiere decir que por aquel lugar donde yo me encontraba con un tranvía tenía que pasar el siguiente después de x minutos. Si el vehículo iba en mi dirección, entonces en 12 – x minutos debía recorrer el camino que yo hacía en 12 minutos. Eso significa que el camino que yo andaba en un minuto el tranvía lo hacía en
(12 – x)/12 minutos.
Si el tranvía iba en dirección contraria nos cruzaríamos 4 minutos después de haberme encontrado con el anterior, y en el tiempo restante (x – 4) minutos debía recorrer el camino hecho por mí en esos 4 minutos. Por lo tanto, el camino que yo andaba en 1 minuto lo hacía el tranvía en (x – 4) / 4 minutos. Tenemos pues la ecuación(12 – x)/12 = (x – 4)/4
De donde se deduce que x = 6. Cada 6 minutos iniciaban los tranvías su itinerario.Puede proponerse la siguiente resolución (en esencia es una solución aritmética).
Expresemos la distancia que separaba a los tranvías entre sí con la letra a. Entonces la distancia que mediaba entre el tranvía que iba a mi encuentro y yo, disminuía en a/4 cada minuto (por cuanto la distancia entre el tranvía que acababa de pasar y el siguiente, igual a a, la recorríamos en 4 minutos). Si el tranvía iba en mi dirección, la distancia entre nosotros se reducía cada minuto en a/12. Supongamos que yo marchara hacia delante durante un minuto y, después, anduviera otro minuto hacia atrás (es decir, regresara al punto de partida). En este caso la distancia que mediaba entre el tranvía - que iba a mi encuentro - disminuía durante el primer minuto en a/4, y en el segundo minuto, en a/12. En consecuencia, en el lapso de 2 minutos, la distancia entre nosotros se reducía en a/4 + a/12= a/3. Lo mismo habría ocurrido si yo hubiera permanecido inmóvil en el sitio, ya, que, en fin de cuentas, volvería hacia atrás. De esta manera, si yo no hubiera avanzado, en un minuto (no en dos) el tranvía se hubiese acercado hacia mí a/3: 2 = a/6, y toda la distancia a la habría recorrido en 6 minutos. Por ello, para un observador inmóvil, los tranvías pasaban con intervalos de 6 minutos.
18. El barco y la balsa
Problema
Un barco se desplaza 5 horas sin interrupción río abajo desde la ciudad A a la ciudad B. De vuelta avanza contra la corriente (con su marcha ordinaria y sin detenerse) durante 7 horas. ¿Cuántas horas necesitará una balsa para desplazarse de la ciudad A a la B, yendo a la misma velocidad de la corriente?
Solución
Expresemos con x el tiempo (en horas) que necesita el barco para recorrer la distancia que separa A de B en el agua estancada (es decir, con la velocidad del barco) y con y, el tiempo que se desliza la balsa. Siendo así, en una hora el barco recorre 1/x de la distancia AB, y la balsa (al igual que la corriente) 1/y de esta distancia. Por esta razón, el barco, marchando impulsado por la corriente, en una hora recorre 1/x + 1/y de la distancia AB, y hacia arriba (contra la corriente) 1/x – 1/y. Por las condiciones del problema se deduce que hacia abajo el barco hace en una hora 1/5 de la distancia, y, hacia arriba, 1/7. De aquí el sistema:
1/x + 1/y = 1/5
1/x – 1/y = 1/7
Observamos que para solucionar este sistema no debemos hacer desaparecer los denominadores: es suficiente con restar la segunda ecuación de la primera. Operando resultará:2/y = 2/35
de donde y = 35. La balsa se deslizará desde A hasta B en 35 horas.19. Dos botes de café
Problema
Dos botes llenos de café tienen la misma forma y están hechos de la misma hojalata. El primero pesa 2 kg y tiene 12 cm de altura; el segundo pesa 1 kg y mide 9,5 cm de altura. ¿Cuál es el peso neto del café en los dos botes?
Solución
Expresemos el peso del contenido del bote grande con x, y el del pequeño con y. El peso de los botes lo expresaremos con z y t respectivamente. De donde se obtienen las siguientes ecuaciones:
x + z = 2
y + t = 1
Teniendo en cuenta que los pesos del contenido de ambos botes repletos se relacionan entre sí como sus propios volúmenes es decir, como el cubo de sus alturas [9], resulta quex / y = 123 / 9,53 ≈ 2,02 ó x = 2,02 y
El peso de los botes vacíos se relaciona entre sí como se relacionan sus superficies completas, es decir, como los cuadrados de sus alturas. Por elloz / t = 122 / 9,52 ≈ 1,6 ó z = 1,60 t
Sustituyendo los valores de x y de z en la primera ecuación resultará el sistema2,02 y + 1,60 t = 2
y + t = 1
Al resolverlo tendremos:y = 20/21 = 0.95, t = 0,05
Por lo tanto, x = 1,92, z = 0,08.El peso del café sin el envase será: el del bote grande, 1,92 kg; el del pequeño, 0,94 kg.
20. Velada
Problema
A una velada asistieron 20 personas. María bailó con siete muchachos; Olga, con ocho; Vera, con nueve, y así hasta llegar a Nina, que bailó con todos ellos. ¿Cuántos muchachos había en la velada?
Solución
La solución del problema es muy sencilla si se elige con acierto la incógnita. Busquemos el número de las jóvenes, que expresaremos con la x:
| 1ª | María bailó con | 6 + 1 | muchachos |
| 2ª | Olga bailó con | 6 + 2 | muchachos |
| 3ª | Vera bailó con | 6 + 3 | muchachos |
| ... | ... | ... | ... |
| xª | Nina bailó con | 6 + x | muchachos |
Establezcamos la siguiente ecuación: x + (6 + x) = 20, de donde x = 7, por lo tanto, el número de muchachos era 20 - 7 = 13.
21. Exploración marina
Primer problema
El explorador (la nave de reconocimiento), que marchaba con el resto de la escuadra, recibió la tarea de explorar el mar en una zona de 70 millas en la dirección en que marchaba la escuadra. La velocidad de ésta era de 35 millas por hora; la del barco explorador, de 70 millas por hora. ¿Cuánto tiempo tardará éste en incorporarse de nuevo a la escuadra?
Solución
Designemos el número de horas buscadas con la x. Durante este tiempo la escuadra recorrió 35x millas; y la nave de reconocimiento, 70x. Esta navegó 70 millas hacia adelante y una parte de esta ruta al regreso; la otra parte fue hecha por el resto de la escuadra. Todos juntos recorrieron 70x + 35x, lo que es iguala 2 * 70 millas. De aquí la ecuación
70x + 35x = 140,
de dondex = 140/105 horas.
La embarcación exploradora se incorporó a la escuadra, aproximadamente, al cabo de hora 20 minutos.Segundo problema
El barco explorador recibió la orden de hacer el reconocimiento en la dirección que llevaba la escuadra. Tres horas después, la nave debía incorporarse a la escuadra. ¿Al cabo de cuánto tiempo, a partir del momento en que sé distancia de la escuadra, debe iniciar el barco explorador el regreso, si su velocidad es de 60 nudos, y la de la escuadra de 40 nudos?
Solución
Supongamos que la nave de reconocimiento debía volver al cabo de x horas; eso significa que se alejó de la escuadra x horas, y marchó de vuelta, a su encuentro, 3 - x horas.
Mientras todos los barcos marchaban en una misma dirección, en x horas pudo la embarcación exploradora alejarse a una distancia igual a la diferencia entre las distancias recorridas por cada uno, es decir, en
60 x - 40 x = 20 x.
Cuando regresó el explorador había cubierto, en dirección a la escuadra, una distancia de 60*(3 - x), en tanto que la escuadra había recorrido 40*(3 - x). Uno y otra recorrieron juntos 10x. Por lo tanto60 * (3 - x) + 40 * (3 - x) = 20x,
de dondex = 2 1/2.
El explorador tuvo que modificar el rumbo, iniciando el regreso, al cabo de 2 horas y 30 minutos a partir del momento en que abandonó la escuadra.22. En el velódromo
Problema
Dos ciclistas corren por el velódromo a velocidades constantes. Al llevar direcciones opuestas se encuentran cada 10 segundos; cuando van en la misma dirección, un ciclista alcanza al otro cada 170 segundos, ¿Cuál es la velocidad que desarrolla cada ciclista si la longitud de la pista es de 170 m?
Solución
Si la velocidad del primer ciclista es x, en 10 segundos habrá recorrido 10x metros. El segundo (yendo al encuentro) recorre el resto de la vuelta en el intervalo que media entre dos cruces, es decir, 170 - 10x metros. Si la velocidad del segundo es y, esto constituye 10y metros; por lo tanto
170 - 10 x = 10 y.
Si los ciclistas marchan uno tras otro, en 170 segundos el primero recorre 170x metros, y el segundo, 170y metros. Si el primero marcha más de prisa que el segundo, de un encuentro al otro corre una vuelta más que el segundo, es decir,170x - 170y = 170.
Al simplificar éstas ecuaciones, tenemos:x + y = 17, x – y = 1
de donde x = 9, y = 8 (metros por segundo).23. Carrera de motocicletas
Problemas
En una carrera de motocicletas, tres máquinas salieron simultáneamente. La segunda hace 15 km por hora menos que la primera, y 3 km más que la tercera y llega a la meta 12 minutos después que la primera y 3 minutos antes que la tercera. Durante el recorrido no se registraron paradas.
Hay que determinar:
- La distancia de la carrera,
- La velocidad de cada motocicleta y
- El tiempo empleado por cada máquina.
Aunque las incógnitas llegan a siete, se emplean sólo dos para resolver el problema.
Formemos un sistema de dos ecuaciones con dos incógnitas.
Expresando la velocidad de la segunda moto con la x, la velocidad de la primera será x + 15, y la de la tercera x - 3. La distancia se expresa con la y. En este caso la duración de la carrera fue:
- para la primera motocicleta y / (x + 15)
- para la segunda motocicleta y /x
- para la tercera motocicleta y /(x – 3)
y/x – y/(x + 15) = 1/5
y/(x - 3) – y/x = 1/20
Multiplicando por 4 esta ecuación y restándola de la anterior, se obtiene:y/x – y/(x + 15) –4[y/(x - 3) – y/x] = 0
Dividimos todos los términos por y (y ≠ 0) y quitamos los denominadores, con lo que se obtiene:(x - 15) * (x - 3) - x * (x - 3) - 4x * (x + 15) + 4 * (x + 15) * (x - 3) = 0
y al abrir paréntesis y reducir los términos semejantes, resultará:3x - 225 = 0
de donde x = 75. Conociendo la x se obtiene el valor de la y en la primera ecuación.y/75 – y/90 = 1/5
de donde y = 90.De aquí que la velocidad de las motocicletas sea: 90, 75 y 72 km por hora. La distancia será de 90 km.
Dividiendo la distancia por la velocidad de cada motocicleta se obtiene el tiempo invertido por cada máquina:
- la primera 1 hora
- la segunda 1 hora y 12 minutos
- la tercera 1 hora y 15 minutos
24. Velocidad media
Problema
Un automóvil cubrió la distancia entre dos ciudades a 60 km por hora e hizo el viaje de regreso a 40 km por hora. ¿Cuál fue la velocidad media de su recorrido?
Solución
La aparente sencillez del problema confunde a muchos. Sin pensar detenidamente en él, hallan la media aritmética de 60 y 40, es decir, la semisuma
(60 + 40) / 2 = 50
Esta “simple” solución sería cierta si la ida y la vuelta hubieran durado el mismo tiempo.Pero es evidente que el recorrido de vuelta (a menos velocidad) requiere más tiempo que la ida. Si tenemos esto en cuenta, veremos que la respuesta de 50 km es errónea.
Y así es, en efecto. La ecuación nos da otra solución. No resulta difícil establecer la ecuación si introducimos una incógnita auxiliar: la magnitud s, distancia entre las dos ciudades.
Expresemos con x la velocidad media buscada y formemos la ecuación
2 * s/x = s/60 + s/40
Comoquiera que s ≠ 0, podemos dividir la ecuación por s, obteniendo,2/x = 1/60 + 1/40
de dondex = 2 / (1/60 + 1/40) = 48
De esta forma vemos que la respuesta acertada no es 50, sino 48 km por hora. Si resolviéramos este mismo problema con letras (en la ida, el automóvil marchaba a una velocidad de a por hora, y de vuelta, a b por hora y obtendríamos la ecuación2s/x = s/a + s/b
de donde al despejar la x resultará2/(1/a + 1/b)
Esto se denomina media armónica de las magnitudes a y b.Por lo tanto, la velocidad media del recorrido se expresa, no con la media aritmética, sino con la media harmónica de las velocidades. Para a y b; positivas, la media harmónica será siempre menor que la media aritmética a + b/2, como se ha visto en el ejemplo numérico (48 < 50).
25. Máquinas de cálculo rápido
Al tratar de las ecuaciones, Algebra Recreativa no puede desentenderse de la solución de ecuaciones en máquinas de calcular. Ya se ha dicho que las calculadoras pueden “jugar” al ajedrez (ó a las damas). Además pueden realizar también otras funciones; por ejemplo, la traducción, la orquestación de melodías, etc. Basta con elaborar el “programa” correspondiente, con arreglo al cual debe actuar la máquina.
Claro que no vamos a examinar aquí “programas” para el ajedrez, o para la traducción, que son difíciles en extremo. Examinaremos tan sólo dos “programas” sencillos. Más en principio hay que decir algunas palabras sobre la construcción de la máquina de cálculo.
En el capítulo primero se ha tratado de dispositivos que permiten hacer miles y decenas de miles de operaciones por segundo. La parte de la máquina que sirve para la ejecución directa de operaciones se llama aritmómetro. Además, la máquina tiene un dispositivo de dirección (que regula el trabajo de toda la máquina) y el dispositivo de memoria. La “memoria”, es un depósito de números y signos convencionales. Por último, la máquina está equipada con dispositivos de entrada y de salida destinados a introducir nuevos datos numéricos y ofrecer los resultados definitivos. La máquina registra estos resultados (ahora ya en el sistema decimal) en tarjetas especiales.
Es notorio que el sonido puede ser registrado en discos o en cinta, y después reproducido.

Figura 9
El funcionamiento de la “memoria” se basa en un principio análogo. Los números y signos convencionales se registran eléctrica, magnética o mecánicamente en un tambor, una cinta u otro dispositivo. El número grabado puede ser “leído” en el momento oportuno; si no se necesita más puede ser borrado, grabándose otro en su lugar. La “extracción” y la “lectura” del número o el signo convencional dura sólo algunas millonésimas de segundo. La “memoria” puede constar de algunos miles de celdas y, cada celda, de varias decenas de elementos magnéticos, por ejemplo. Convengamos en que para registrar los números por medio del sistema de base dos, cada elemento imantado expresa el 1, y los no imantados, el 0. Supongamos, por ejemplo, que cada celda retentiva contiene 25 elementos (o como dicen 25 órdenes del sistema de base dos) y, además, el primer elemento de la celda sirve para expresar el signo del número ( + ó - ), los siguientes 14 elementos sirven para imprimir la parte entera del número y, los últimos 10, para registrar la parte decimal.
En la fig. 9 se presentan esquemáticamente dos celdas de memoria, con 25 elementos en cada una, los imantados se expresan con el signo + ; los desimantados, con el - . Examinemos la celda superior (la coma indica el lugar donde empieza la parte decimal, y la línea punteada separa el primer elemento - que sirve para fijar el signo - de los demás). En esa celda hay escrito (en el sistema de base dos) el número + 1011,01, equivalente en el sistema decimal, al que estamos acostumbrados, al 11,25.
Además de los números, en las celdas retentivas se conservan las órdenes que componen el “programa”. Veamos en qué consiste el sistema de órdenes a tres direcciones. En este caso, al escribir la orden, la celda retentiva se divide en 4 partes (las líneas de puntos en la celda inferior, fig. 9). La primera parte sirve para indicar el signo de operación, que va cifrado. Por ejemplo:
suma = operación I
sustracción = operación II
multiplicación = operación III, etc
En lo sucesivo inscribiremos números y órdenes, no con signos convencionales, como en la fig. 9, sino directamente en el sistema decimal. Por ejemplo; la orden expuesta en la serie inferior de la fig. 9, se escribe así: multiplicación 3 7 11
Examinemos ahora dos sencillos ejemplos de programa.
Programa I
1. Suma 4 5 4
2. Multiplicación 4 4 →
3. OD 1 [10]
4. 0
5. 1
Veamos cómo funciona una máquina en cuyas cinco primeras celdas están almacenados los siguientes datos:
1ª orden: sumar los números de las celdas 4 y 5 y enviar el resultado a la celda 4 (en sustitución de lo que figuraba anteriormente). Por consiguiente, la máquina escribe el número 0 + 1=1 en la celda 4. Después de cumplida la orden, en las celdas 4 y 5 se encontrarán los siguientes números:
4. 1
5. 1
3ª orden: operación de dirección a la celda 1. En otras palabras la orden OD significa la repetición de todas las órdenes, empezando desde la primera. De forma que se ejecuta la primera orden.
1ª orden: sumar los números de las celdas 4 y 5, y fijar la suma de nuevo en la celda 4. En consecuencia, en la celda 4 estará el número 1 + 1 = 2:
4. 2
5. 1
3ª orden: operación de dirección a la celda 1 (es decir, volver de nuevo a la primera orden).
1ª orden: el número 2 + 1 = 3 enviarlo a la celda 4:
4. 3
5. 1
3ª orden: operación de dirección a la celda 1, etc.
Hemos visto cómo la máquina calcula sucesivamente los cuadrados de números enteros y los registra en la tarjeta. Obsérvese que no es preciso elegir cada vez el nuevo número: la máquina misma escoge uno tras otro los números enteros y los eleva al cuadrado. Actuando de acuerdo con este programa la máquina obtiene el cuadrado de todos los números enteros desde 1 hasta el 10 000, en algunos segundos (o en partes de segundo). Debe hacerse notar que, en realidad, el programa para el cálculo de los cuadrados de números enteros debe ser algo más complejo que el mencionado más arriba. Esto se refiere, en particular, a la 2ª orden. Para registrar el resultado en tarjeta se requiere mucho más tiempo que el que precisa la máquina para ejecutar una operación. Por eso, los resultados se almacenan primero en las celdas libres de la “memoria”, y sólo después (“sin precipitarse”) se registran en las tarjetas. De esta suerte, el primer resultado definitivo se almacena en la celda la de la “memoria” que se encuentra libre; el segundo en la celda 2ª; el tercero, en la 3ª, etc. En el programa simplificado expuesto anteriormente, todo ello había sido omitido.
Por añadidura, la máquina no puede dedicarse durante largo tiempo al cálculo de cuadrados pues no bastan las celdas de la “memoria”, y es imposible “adivinar” cuándo ha obtenido la máquina los cuadrados que necesitamos, a fin de desconectarla, (ya que la máquina ejecuta miles de operaciones por segundo). Por esa razón se prevén órdenes especiales para detener la máquina en el momento oportuno. Por ejemplo, el programa puede ser compuesto de tal manera que la máquina calcule los cuadrados de todos los números enteros, del 1 al 10 000, y después se pare automáticamente.
Hay también otra clase de órdenes más complicadas, de las cuales no nos ocuparemos.
He aquí qué aspecto tiene el programa para el cálculo de cuadrados del 1 al 10 000:
Programa Ia
- suma 8 9 8
- multiplicación 8 8 10
- suma 2 6 2
- OC 8 7 1 [11]
- stop
- 0 0 1
- 10 000
- 0
- 1
- 0
- 0
- 0
8. 1
9. 1
10. 12
La tercera orden es muy interesante: hay que sumar el contenido de las celdas 2 y 6, registrar otra vez el resultado en la celda 2, después de lo cual, ofrecerá el siguiente aspecto:
2. multiplicación 8 8 11.
De aquí que, después de cumplida la 3ª orden, cambia la segunda orden, mejor dicho, cambia una de las direcciones de la 2ª orden. A continuación aclararemos las razones a que obedece esto.
La cuarta es la operación de comparación (en sustitución de la tercera orden del programa examinado anteriormente). Esta se cumple así: si el número almacenado en la celda 8 es menor que el de la 7, la operación de dirección la transmite a la celda l; en caso contrario, se efectúa la orden siguiente, (la 5). En nuestro caso como 1 < 10 000, la operación de dirección se le encarga a la celda 1.
Por consiguiente, volvemos otra vez a la orden primera. Una vez cumplida ésta en la celda 8 se encontrará el número 2. La segunda orden, que se presentará como
2. multiplicación 8 8 11, consiste en que 22 se envía a la celda 11. Ahora queda claro para qué fue cumplida anteriormente la 3ª orden: el nuevo 22 no puede ir a parar a la celda 10 que ya está ocupada, sino a la siguiente. Una vez cumplidas las órdenes lª y 2ª, tendremos los siguientes números:
8. 2
9. 1
10. 12
11. 22
Después de ejecutada la orden 3ª, la celda 2, aparecerá así:
2. multiplicación 8 8 12
es decir, la máquina “se preparó” para anotar el nuevo resultado en la celda 12. Y como en la celda 8 sigue habiendo un número menor que en la 9, la 4ª orden significa que se encarga a la celda 1 la operación de dirección.
Ahora, cumplidas ya las órdenes lª y 2ª, obtendremos:
8. 3
9. 1
10. 12
11. 2
12. 3
¿Hasta cuándo continuará la máquina calculando los cuadrados según el programa? Hasta que en la celda 8 aparezca el número 10 000, es decir, mientras no hayan sido obtenidos los cuadrados de los números comprendidos entre el 1 y el 10 000. Después, la 4ª orden ya no transmite la operación de dirección a la celda 1 (por cuanto en la celda 8 habrá un número no menor, sino igual al almacenado en la celda 7), es decir, después de la 4ª orden, la máquina cumple la 5ª orden: cesa de funcionar (se desconecta).

Figura 10
Supongamos el siguiente sistema de ecuaciones:
ax + by=c
dx + ey=f
Este sistema es fácil de resolver:x = (ce - bf)/(ae - bd)
y = (af - cd)/(ae - bd)
Este sistema (con los valores numéricos de los coeficientes a, b, c, d, e, f) podría resolverse en menos de un minuto. La máquina, en cambio, puede dar en un segundo la solución de miles de tales sistemas de ecuaciones. Examinemos el programa correspondiente.Consideremos que han sido dados simultáneamente varios sistemas: con valores numéricos para los coeficientes a, b, c, d, e, f, a', b',...
He aquí el correspondiente programa:
Programa II
| 1) | *28 | 30 | 20 | 14) | + 3 | 19 | 3 | 26) | a |
| 2) | *27 | 31 | 21 | 15) | + 4 | 19 | 4 | 27) | b |
| 3) | *26 | 30 | 22 | 16) | + 5 | 19 | 5 | 28) | c |
| 4) | *27 | 29 | 23 | 17) | + 6 | 19 | 6 | 29) | d |
| 5) | *26 | 31 | 24 | 18) | OD | 1 | 30) | e | |
| 6) | *28 | 29 | 25 | 19) | 6 | 6 | 0 | 31) | f |
| 7) | - 20 | 21 | 20 | 20) | 0 | 32) | a’ | ||
| 8) | - 22 | 23 | 21 | 21) | 0 | 33) | b’ | ||
| 9) | - 24 | 25 | 22 | 22) | 0 | 34) | c’ | ||
| 10) | /20 | 21 | → | 23) | 0 | 35) | d’ | ||
| 11) | /22 | 21 | → | 24) | 0 | 36) | e’ | ||
| 12) | + 1 | 19 | 1 | 25) | 0 | 37) | f’ | ||
| 13) | + 2 | 19 | 2 | 38) | A” |
1ª orden: plantear la multiplicación de los números almacenados en las celdas 28 y 30, y enviar el resultado a la celda 20. Dicho en otras palabras: en la celda 20 se almacenará el número ce.
De manera análoga serán realizadas las órdenes desde la 2ª hasta la 6ª. Después de ejecutarlas, desde la celda 20 hasta la 25 encontraremos los siguientes números:
20. ce
21. bf
22. ae
23. bd
24. af
25. cd
7ª orden: del número de la celda 20, restar el de la 21, y el resultado, (es decir, ce - bf), volver a almacenarlo en la celda 20.
De la misma forma se cumplen las órdenes 8ª y 9ª. En consecuencia, en las celdas 20, 21 y 22 aparecerán los siguientes números:
20. ce - bf
21. ae - bd
22. af - cd
Ordenes 10ª y 11ª: se forman los siguientes quebrados:
(ce - bf)/(ae - bd)
(af - cd)/(ae - bd)
que se registran en la tarjeta (es decir, se presentan como resultados definitivos). Estos son los valores de las incógnitas obtenidas del primer sistema de ecuaciones.
Como vemos, el primer sistema ha sido resuelto. ¿Para qué hacen falta nuevas órdenes? La parte siguiente del programa (desde la celda 12 hasta la 19) está destinada a obligar a la máquina a “pasar” al segundo sistema de ecuaciones. Veamos su proceso.
Las órdenes desde la 10 hasta 17 consisten en agregar al contenido desde la celda 1 hasta la 6 lo almacenado en la celda 19, y los resultados vuelven otra vez a las celdas desde la 1 hasta la 6. De tal manera, después de cumplir la orden 17ª, las primeras seis celdas tendrán el siguiente contenido:
1. *34 36 20
2. *33 37 21
3. *32 36 22
4. *33 35 23
5. *32 37 24
6. *34 35 25
Orden 18ª: operación de dirección a la primera celda.
¿En qué se diferencian las nuevas anotaciones de las primeras seis celdas de las anteriores?
En que las dos direcciones primeras tienen en estas celdas los números que van del 32 al 37 y no del 26 al 31, como antes. En otras palabras, la máquina realizará de nuevo las mismas operaciones, pero las cifras no serán tomadas, de las celdas 26 a la 31, sino de la 32 a la 37 donde están los coeficientes del segundo sistema de ecuaciones. Después de resolver éste, la máquina pasa al tercero, etc.
Lo dicho hasta aquí patentiza la importancia de “programar” con acierto. La máquina, “de por sí”, no “sabe” hacer nada. Sólo puede cumplir el programa que se la encomiende. Hay programas para calcular raíces, logaritmos y senos, para resolver ecuaciones de grados superiores, etc. Se ha indicado ya que existen programas para jugar al ajedrez, para la traducción de un idioma a otro, etc. Es claro que cuanto más difícil sea el problema a resolver, tanto más complejo será el programa correspondiente.
Añadamos, como conclusión, que existe la programación de programas, es decir, aquélla con ayuda de la cual la misma máquina puede componer el programa para resolver el problema.
Esto facilita en gran medida la programación, que con frecuencia es bastante laboriosa.
Capítulo 3
En ayuda de la aritmética
- Multiplicación abreviada
- Las cifras 1, 5 y 6
- Los números 25 y 76
- “Números” infinitos
- Compensación
- Divisibilidad por 11
- El número del automóvil
- Divisibilidad por 19
- Teorema de Sofía Germain
- Números compuestos
- Acerca de los números primos
- El mayor número primo conocido
- Un cálculo muy laborioso
- En ocasiones es preferible no recurrir al álgebra
1. Multiplicación abreviada
Las personas con grandes hábitos calculatorios facilitan con frecuencia las operaciones mediante transformaciones algebraicas poco complejas. Por ejemplo, la operación 9882 se efectúa como sigue:
988 x 988 = (988 + 12) x (988 - 12) + 122 =
= 1.000 x 976 + 144 = 976 144
a2 = a2 – b2 + b2 = (a + b)(a - b) + b2
En la práctica podemos aplicar esta fórmula para los cálculos mentales. Por ejemplo:272 = (27 + 3) x (27 - 3) + 32 = 729
632 = 66 x 60 + 32 = 3.969
182 = 20 – 16 + 22 = 324
372 = 40 x 34 + 32 = 1.369
482 = 50 - 46 + 22 = 2.304
542 = 58 x 50 + 42 = 2.916
986 * 997 = (986 - 3) * 1.000 + 3 * 14 = 983.042.
¿En qué se basa este método? Supongamos a los factores en forma de:(1.000 - 14) * (1.000 - 3)
y multipliquemos estos factores según las reglas del álgebra:1.000 x 1.000 – 1.000 x 14 – 1.000 x 3 + 14 x 3.
A continuación siguen las transformaciones:1.000 x (1.000 - 14) –1.000 x 3 + 14 x 3 =
= 1.000 x 986 – 1.000 x 3 + 14 x 3 =
= 1.000 (986 - 3) + 14 * 3
783 * 787
se efectuará de esta manera:78 * 79 = 6.162; 3 * 7 = 21
y su resultado es616.221.
Este método se deduce de las siguientes transformaciones:(780 - 1 - 3) * (780 - 1 - 7) =
= 780 * 780 - 1 - 7803 + 780 * 7 + 3 * 7 =
= 780 * 780 + 780 * 10 + 3 * 7 =
= 780 * (780 + 10) + 3 * 7 = 780 * 790 + 21 =
= 616.200 + 21
783 * 787 = (785 - 2) * (785 + 2) = 7852 - 22 =
= 616.225 - 4 = 616.221
352; 3 * 4 = 12; resultado 1.225
652; 6 * 7 = 42; resultado 4.225
752; 7 * 8 = 56; resultado 5.625
10a + 5.
El cuadrado de este número, como cuadrado de un binomio será igual a:100a2 + 100a + 25 = 100a * (a + 1) + 25
La expresión a x (a + 1) es el resultado de multiplicar la cifra de las decenas por ella misma aumentada en una unidad. Multiplicar el número por 100 y añadirle 25 es lo mismo que colocar 25 a la derecha del producto. De este mismo método se desprende el sencillo medio de elevar al cuadrado los números mi x tos en los que la parte fraccionaria es ½.Por ejemplo:(3 ½)2 = 3,52 = 12,25 = 12 ¼
(7 ½)2 = 7,52 = 56,25 = 56 ¼
(8 ½)2 = 8,52 = 72,25 = 72 ¼
¿Quién no ha advertido que al multiplicar por sí misma una serie de números terminados en uno o cinco, el producto acaba en la misma cifra? Sin duda será menos conocido que lo expresado se refiere también al 6. Por esta razón, entre otras, la potencia de todo número terminado en seis, termina asimismo en seis.Por ejemplo:
462 = 2116; 463 = 97.336.
Esta curiosa propiedad de las cifras 1, 5 y 6 puede ser fundamentada por vía algebraica.Examinémosla en el caso del seis.Todo número terminado en seis se descompone de esta forma:10a + 6; 10b + 6, etc;
donde a y b son números enteros. La multiplicación de dos enteros como éstos es igual a100ab + 60b + 60a + 36 =
= 10(10ab + 6b + 6a) + 30 + 6 =
= 10(10ab + 6b + 6a + 3) + 6
3862567 termina en 6
815723 termina en 5
4911732 termina en 1, etc.
Hay números de dos cifras que también tienen la misma propiedad que las cifras 1, 5 y 6: nos referimos a los números 25 y - lo más sorprendente al 76 - . El producto de dos números terminados en 76 acaba también en 76. Demostrémoslo. La expresión común para tales números es como sigue:
100a + 76, 100b + 76, etc.
Multipliquemos dos números de este tipo entre sí y obtendremos:10.000ab + 7.600b + 7.600a + 5.776 =
= 10.000ab + 7.600b + 7.600a + 5.700 + 76 =
= 100 x (100ab + 76b + 76a + 57) + 76
3762 = 141.376, 5763 = 191.102.976, etc.
4. “Números” infinitosExisten también grupos de números con mayor cantidad de cifras que, al figurar al final de los mismos, se conservan también en su multiplicación. El número de tales grupos de cifras es infinitamente grande.Conocemos ya dos grupos compuestos de dos cifras, que poseen propiedad análoga: el 25 y el 76. Para encontrar grupos semejantes con tres cifras hay que colocar delante del 25 o del 76 una cifra tal que nos dé un grupo de tres guarismos con la misma propiedad.¿Qué cifra se debe colocar ante el 76? E x presémosla con k. En este caso, el número buscado de tres cifras será:
100k + 76
La expresión común para todo número que termine en este grupo de cifras deberá ser:1.000a + 100k + 76, 1.000b + 100k + 76, etc.
Multipliquemos dos números de este tipo entre sí y tendremos:1.000.000ab + 100.000ak + 100.000bk + 76.000a +
+ 76.000b + 10.000k2. + 15.200k + 5.776
15.200k + 5.776 - (100k + 76) = 15.100k + 5.700 =
= 15.000k + 5.000 + 100 (k + 7)
3762 = 141.376.
Si nos interesa hallar un grupo de cuatro cifras que tenga la misma propiedad, debemos colocar delante de 376 una cifra más. Si e x presamos esta cifra con L, se nos planteará el siguiente problema: ¿cuál debe ser la cifra L para que la multiplicación(10.000a + 1000L + 376) x (10.000b + 1.000L + 376)
termine en 1.000L + 376? Si abrimos los paréntesis de esta multiplicación y prescindimos de todos los factores que terminan en cuatro ceros o más, nos quedará752.000L + 141.376
La multiplicación termina con 1.000L + 376 si la diferencia752.000L + 141.376 - (1.000L + 376) =
= 751.000L + 141.000 =
= (750.000L + 140.000) + 1.000 x (L + 1)
...7.109.376.
Tales “cifras” pueden ser sumadas y multiplicadas de acuerdo con las reglas comunes: como se sabe, escríbense de derecha a izquierda, y en este mismo sentido se suman y multiplican los números “en columna”; por lo cual en la suma y en la multiplicación de dos de estos números se puede operar sucesivamente con todas las cifras que se quieran.Y lo más interesante, por muy raro que parezca, es que ese número infinito satisface la ecuación:x2 = x
Y así es, en efecto; el cuadrado de este “número” (es decir, el resultado de multiplicarse por sí mismo) termina en 76 ya que cada uno de los factores termina en 76; por esa misma causa, el cuadrado del “número” escrito acaba en 376, en 9.376, etc.Es decir, operando sucesivamente con cada una de las cifras del “número” x 2, donde x = ... 7. 109.376, obtendremos las mismas cifras que teníamos con el número x , por lo cual, x 2 = x .Hemos e x aminado grupos de cifras que terminan en 76[12]. Si se aplica el mismo razonamiento para grupos de cifras terminados en 5 obtendremos los siguientes grupos de cifras:5, 25, 625, 0 625, 90 625, 890 625, 2 890 625, etc.
Por ello podemos escribir otro “número” infinito:2.890.625,
que también satisface la ecuación x 2 = x . Podríamos demostrar que este “número” infinito es “igual” a(((52)2)2)2)...
El interesante resultado obtenido en el idioma de los “números” infinitos se formula de esta manera: la ecuación x 2 = x tiene (además de x = 0, x = 1), otras dos raíces “infinitas”x = ... 7.109.376
yx = ... 2.890.625;sin ninguna otra solución (en el sistema de base diez)[13]
5. Compensación
Antiguo problemaEn tiempos remotos ocurrió el siguiente hecho. Dos mercaderes vendieron una partida de toros, recibiendo por cada animal tantos rublos como toros había en la partida. Con el dinero recibido compraron un rebaño de ovejas, pagando 10 rublos por cada oveja, y un corderito.Al repartirse el rebaño en dos mitades, uno recibió una oveja más, y otro, el corderito. El que recibió éste fue compensado por su socio con una suma complementaria correspondiente. Siendo dicho pago complementario una cantidad entera de rublos, ¿de cuántos rublos constará?SoluciónEste problema no se presta a la traducción directa al “idioma algebraico”, pues no puede construirse la ecuación necesaria. Es preciso resolverlo mediante un procedimiento especial, el llamado razonamiento matemático libre. Más también aquí el álgebra presta a la aritmética una buena ayuda. El valor en rublos de todo el rebaño es un cuadrado e x acto, por cuanto dicho rebaño ha sido adquirido con el dinero recibido por la venta de n toros, a n rublos por cabeza. Uno de los socios recibió una oveja más, por lo tanto, el número de ovejas es impar. También es impar, por lo mismo, el número de decenas en la cantidad n2.¿Cuál es la cifra de las unidades? Podemos demostrar que si en un cuadrado exacto, la cifra de las decenas es impar, la de las unidades debe ser sólo 6.Efectivamente. El cuadrado de todo número compuesto de a decenas y b unidades, es decir, (10a + b)2, será igual a
100a2 + 20ab + b2 = 10 * (10a2 + 2ab) + b2
El número de decenas en esta cantidad es 10a2 + 2ab más algunas decenas comprendidas en b2. Pero 10a2 + 2ab es divisible por dos, luego es un número par. Por eso, el número de decenas comprendidas en (10a + b)2 resultará impar sólo cuando en el número b2 haya un número impar de decenas. Recordemos lo que representa b2. Este número es el cuadrado de la cifra de las unidades, es decir, una de las cifras siguientes:0, 1, 4, 9, 16, 25, 36, 49, 64, 81
Entre ellas, sólo 16 y 36, tienen decenas impares, y ambos terminan en 6. Esto quiere decir que el cuadrado e x acto100a2 + 20ab + b2
puede tener un número impar de decenas sólo en el caso en que termine en 6. Ahora es ya fácil hallar la respuesta a la pregunta formulada en el problema.Es evidente que el corderito costó 6 rublos. El socio a quien correspondió éste, recibió 4 rublos menos que el compañero. Para que el reparto sea equitativo, el poseedor del cordero debe ser compensado por su socio con 2 rublos. La compensación es igual a 2 rublos.6. Divisibilidad por 11
El álgebra facilita en gran medida la búsqueda de indicios que permiten prever, sin recurrir a la división, si determinado número es divisible por uno u otro divisor. La divisibilidad por 2, 3, 4, 5, 6, 8, 9 y 10 es ampliamente conocida. El caso del 11 es muy sencillo y práctico.Supongamos que en un número de varias cifras, N, la cifra de las unidades es a, la de las decenas, b; la de las centenas, c; la de las unidades de millar d, etc., es decir
N = a + 10b + 100c + 1000d + ... = a + 10 * (b + 10c + 100d + ...)
donde los puntos suspensivos representan la suma de las cifras siguientes. Restemos de N el número 11(b + 10c + 100d + ...), múltiplo de 11. La diferencia es igual aa - b - 10 * (c + 10d + ...)
que dará el mismo residuo que N al dividirla por 11. Si a esta diferencia le agregamos 11 * (b + 10c + 100d + ...), múltiplo de 11, obtendremosa - b - 10 * (c + 10d + ...)
que dividido por 11, da el mismo residuo que el número N. Al sustraer 11 * (d + ...), múltiplo de 11, resultaráa - b + c - d + ... = (a + c + ...) - (b + d + ...)
que, dividido por 11 da el mismo resto que el número N. De aquí se desprende la siguiente regla de divisibilidad por 11: de la suma de las cifras que ocupan los lugares impares se resta la suma de las cifras que ocupan los lugares pares; si la diferencia es cero o múltiplo de 11 (negativo o positivo), el número que probamos será múltiplo de 11. En caso contrario no será divisible por 11. Probemos, por ejemplo, el número 87.635.064:8 + 6 + 5 + 6 = 25,
7 + 3 + 0 + 4 = 14
25 - 14 = 11
5 + 28 = 33
Como 33 se divide exactamente por 11, el número 528 es múltiplo de 11:528/11 = 48
Demostremos este criterio de divisibilidad. Dividamos en grupos el número N, que tiene varias cifras. Obtendremos grupo de dos (o de una cifra[14] que designaremos de derecha a izquierda con a, b, c, etc., de forma que el número N puede ser e x presado de la forma siguiente:N = a + 100b + 10.000c + ... = a + 100 * (b + 100c + ...)
Restemos de N el número 99 x (b + 100c + ...), múltiplo de 11. El número obtenidoa + (b + 100c + ...) = a + b + 100 * (c + ...)
dará, al dividirlo por 11, el mismo residuo que el número N. De este número descontemos el número 99 * (c + ...), múltiplo de 11, etc.a + b + c + ...
7. El número del automóvilProblemaCuando paseaban por la ciudad tres estudiantes de matemáticas, observaron que el conductor de un automóvil infringió el reglamento de tráfico. Ninguno de los estudiantes recordaba el número (de cuatro cifras) de la matrícula, pero como los tres eran matemáticos, cada uno de ellos advirtió alguna particularidad de dicho número. Uno de ellos advirtió que las dos primeras cifras eran iguales. El segundo se dio cuenta de que también coincidían las dos últimas cifras. Y, por último, el tercero aseguraba que todo el número de cuatro cifras era un cuadrado e x acto. ¿Puede determinarse el número de la matrícula del automóvil valiéndose tan sólo de estos datos?SoluciónExpresemos la primera y la segunda cifra del número buscado con la a, y la tercera y la cuarta con la b. Entonces el número será igual a
1000a + 100a + 10b + b = 1100a + 11b = 11 * (100a + b)
Este número es divisible por 11 y, por eso, (siendo un cuadrado e x acto) se divide también por 112. En otras palabras, el número 100a + b se divide por 11. Al emplear cualquier de los criterios de divisibilidad e x puestos, deduciremos que el número a + b es divisible por 11.Pero esto significa quea + b = 11
por cuanto cada una de las cifras a, b es menor que diez.La última cifra b que es un cuadrado e x acto, puede tomar los siguientes valores:0, 1, 4, 5, 6, 9
Por eso, para la cifra a, que es igual a 11 - b, se encuentran los siguientes valores posibles:11, 10, 7, 6, 5, 2
Los dos primeros valores son inaceptables, quedando, pues, los siguientes:B = 4 a = 7
B = 5 a = 6
B = 6 a = 5
B = 9 a = 2
7744, 6655, 5566, 2299
Pero como los tres últimos no son cuadrados - el número 6655 es divisible por 5, pero no por 25; el 5566 se divide por 2, pero no por 4, y 2299 (producto de 12 * 19) tampoco es cuadrado - no queda más que 7744, segunda potencia de 88, que nos ofrece la solución del problema.8. Divisibilidad por 19
ProblemaOcupémonos del siguiente criterio de divisibilidad por 19.Un número es múltiplo de 19 sólo en el caso en que sus decenas más el doble de sus unidades forme un múltiplo de 19.SoluciónTodo número N puede ser presentado como
N = 10 x + y
donde x es el número de decenas (no la cifra que ocupa las decenas, sino la cantidad de decenas del número); y es la cifra de las unidades. Tenemos que demostrar que N es múltiplo de 19 tan sólo cuandoN' = x + 2y
es múltiplo de 19. Para esto multipliquemos N' por 10, y del producto restemos N de donde10N' - N = 10 x ( x + 2y) - (10 x + y) - 19y
Con esto se demuestra que si N' es múltiplo de 19, entonces, N = 10N' - 19y se dividirá exactamente por 19 y al contrario, si N se divide por 19, entonces10N' = N + 19y
será múltiplo de 19, y en ese caso también N' será múltiplo de 19. Supongamos que se precisa saber si el número 47.045.881 se divide por 19. Apliquemos sucesivamente nuestro criterio de divisibilidad| 4 | 7 | 0 | 4 | 5 | 8 | 8 | 1 | ||
| + | 2 | ||||||||
| 4 | 7 | 0 | 4 | 5 | 9 | 0 | |||
| + | 1 | 8 | |||||||
| 4 | 7 | 0 | 6 | 3 | |||||
| + | 6 | ||||||||
| 4 | 7 | 1 | 2 | ||||||
| + | 4 | ||||||||
| 4 | 7 | 5 | |||||||
| + | 1 | 0 | |||||||
| 5 | 7 | ||||||||
| + | 1 | 4 | |||||||
| 1 | 9 |
Como 19 se divide exactamente por 19, los números 57, 475, 4.712, 47.063, 470.459, 4.704.590, 47.045.881 son múltiplos de 19. Por lo tanto, también se divide el número propuesto por 19.
9. Teorema de Sofía Germain
ProblemaHe aquí un problema propuesto por Sofía Germain, conocida matemática francesa:Demuéstrese que los números del tipo a4 + 4 son compuestos, (con la condición de que a no sea igual a 1).SoluciónLa demostración se desprende de las siguientes transformaciones:
a4 + 4 = a4 + 4a2 + 4 - 4a2 = (a2 + 2)2 - 4a2 =
= (a2 + 2)2 - (2a)2 = (a2 + 2 - 2a) x (a2 + 2 + 2a)
De aquí se desprende que, el número a4 + 4 puede ser expresado en forma de dos factores que no sean iguales a él ni a la unidad[15], es decir, es un número compuesto.10. Números compuestos
Los números primos, es decir, aquellos que son mayores que 1 y no se dividen exactamente más que por sí mismo y la unidad, son infinitos.A partir de 2, 3, 5, 7, 11, 13, 17, 19, 23, 29, 31..., su serie es interminable. Intercalados entre los números compuestos, dividen la serie de números naturales en series más o menos prolongadas de números compuestos.¿Cuál es la continuidad de estas series? ¿Puede encontrarse alguna que abarque, por ejemplo, hasta mil números compuestos sucesivos?Puede demostrarse, aunque parezca inverosímil, que las series de números compuestos, situadas entre los primos, pueden ser de cualquier e x tensión. No hay límites para la prolongación de tales grupos, ya que pueden estar formados por miles, millones, trillones, etc., de números compuestos.Para mayor facilidad no serviremos del signo convencional n! (factorial de n), que representará el producto de todos los números consecutivos, del 1 á n inclusive. Por ejemplo, 5! = 1 x 2 x 3 x 4 x 5.Demostremos como la serie
[(n + 1)! + 2], [(n + 1)! + 3], [(n + 1)! + 4],..., [(n + 1)! + n + 1]
inclusive, está formada por n números compuestos consecutivos.Estos números van sucediéndose uno tras otro en serie natural, por cuanto cada uno es superior en una unidad al que le antecede. Queda tan solo por demostrar que todos ellos son compuestos.El primero[(n + 1)! + 2] = 1 * 2 * 3 * 4 * 5 * 6 * 7 * ... * [(n + 1) + 2],
es par, ya que en sus dos sumandos contiene el factor 2. Y todo número par mayor que 2 es compuesto.El segundo[(n + 1)! + 3] = 1 * 2 * 3 * 4 * 5 * 6 * 7 * ... * [(n + 1) + 3],
consta de dos sumandos, cada uno de los cuales es múltiplo de 3. Por lo tanto, este número también es compuesto.El tercero[(n + 1)! + 4] = 1 * 2 * 3 * 4 * 5 * 6 * 7 * ... * [(n + 1) + 4]
es divisible por 4, ya que se compone de sumandos múltiplos de 4. De manera análoga establecemos que el número (n + 1)! + 5 es múltiplo de 5, etc. En otras palabras, cada uno de estos números contiene un factor, además del mismo número y de la unidad, por lo tanto será compuesto. Si se desea obtener 5 números compuestos consecutivos basta sustituir la n por el 5 en la serie anterior. De este modo resultará722, 723, 724, 725, 726
Por ésta no es la única serie de cinco números compuestos consecutivos. Existen también, como por ejemplo:62, 63, 64, 65, 66
O números todavía menores:24, 25, 26, 27, 28
Intentemos resolver ahora un problema: Escribir diez números compuestos consecutivos.SoluciónEn virtud de lo expuesto, el primero de los diez números buscados puede ser1 * 2 * 3 * 4 x ... * 10 * 11 + 2 = 39.816.802
Por consiguiente, para la serie de números buscada, nos sirve39.816.802, 39.816.803, 39.816.804, etc.
Sin embargo, existen series de diez números compuestos consecutivos considerablemente más pequeños. Incluso puede señalarse una serie no de diez, sino de trece números, comprendidos entre la primera y la segunda centena:114, 115, 116, 117, etc. hasta el 126, inclusive.
11. Acerca de los números primosEl hecho de que existan infinitas series muy prolongadas de números compuestos consecutivos puede inducir a la creencia de que las series de números primos son limitadas.Por ello, no será de más demostrar que la cantidad de dichas series de números primos es infinita.Esta demostración se debe al matemático Euclides, de la antigua Grecia, figura en sus célebres Principios. Pertenece a la categoría de demostraciones por reducción al absurdo.Supongamos que la serie de números primos es limitada y que representamos con la N el último número de ella. Desarrollemos la factorial de N:
1 * 2 * 3 * 4 * 5 * 6 * 7 * ... * N = N!
Al sumarle la unidad, resultará N! + 1Este número, al ser entero, debe contener por lo menos un factor primo, es decir, debe ser divisible, aunque no sea más que por un número primo. Pero todos los números primos, de acuerdo con el supuesto no superan el número N; mientras que el número N! + 1 no es múltiplo de ninguno de los números menores o iguales a N, pues su división siempre da un resto equivalente a la unidad.Por lo tanto, no puede aceptarse que la serie de números primos sea limitada: tal suposición conduce al absurdo. Por consiguiente, por muy considerable que sea el grupo de números consecutivos compuestos que nos encontremos en la serie de números naturales, puede tenerse la seguridad de que al remontarse por ella se encontrarán infinitos números primos.12. El mayor número primo conocido
Una cosa es estar convencido de que existen números primos tan grandes como se quiera, y otra saber cuáles son esos números. Cuanto mayor sea el número natural, tantas más operaciones hay que realizar para conocer si es primo o no. He aquí el número primo más grande de cuantos se conocen:
22281 – 1
Este número tiene cerca de setecientas cifras del sistema decimal. Los cálculos que sirvieron para demostrar que este número es primo fueron realizados en las máquinas modernas de calcular. (Véanse los capítulos 1 y 2).13. Un cálculo muy laborioso
En la práctica del cálculo se encuentran operaciones matemáticas cuya realización sería extraordinariamente difícil si para ello no se aplicaran los métodos simplificadores del álgebra. Supongamos que sea necesario efectuar las siguientes operaciones:





1/(1 + a) ≈ 1 - a
donde el signo ≈ significa “aproximadamente igual a”.Es muy fácil convencerse de la veracidad de este aserto: comparemos el dividendo 1 con el producto del divisor por el cociente:
1 = (1 + a) * (1 - a)
es decir, 1 = 1 - a2.Como a es una fracción muy pequeña (por ejemplo 0,001), el valor de a2 será todavía inferior (0,000001), pudiendo ser despreciado.Apliquemos lo expuesto a nuestro cálculo[16]:
2 - 0.0000000000222… = 1.999999999777…
Se llega, pues, al mismo resultado, pero el procedimiento es mucho más corto. (Quizás tenga interés el lector en conocer la importancia que reviste el resultado del problema. Por él se deduce que en virtud de la escasa magnitud de las velocidades examinadas - en comparación con la de la luz - , no se observa en la práctica ninguna desviación de la antigua ley de la suma de velocidades: esa desviación se pone de manifiesto sólo en la cifra undécima del número hallado, en tanto que las mediciones de longitud más e x actas no rebasan la novena cifra, y en la práctica, la técnica se limita a 4 ó 6 cifras. En consecuencia, podemos afirmar sin ninguna reserva que la nueva mecánica, la de Einstein, no altera los cálculos técnicos relativos al movimiento “lento” de los cuerpos en el espacio (en comparación con la velocidad de difusión lumínica).Pero existe una rama de la vida actual, donde esta conclusión incondicional hace falta tomarla con cuidado. Se trata de la cosmonáutica. Ahora hemos alcanzado ya las velocidades de 10 km por segundo (durante los vuelos de Sputniks y cohetes). En este caso la divergencia de la mecánica clásica y de la de Einstein se pone de manifiesto ya en la cifra novena. Hay que tener en cuenta qué velocidades mayores no están tan lejos.14. En ocasiones es preferible no recurrir al álgebra
Junto a los casos en los que el álgebra presta un gran servicio a la aritmética, hay otros en que su aplicación da lugar a complicaciones innecesarias. El verdadero conocimiento de las matemáticas consiste en saber emplear los recursos matemáticos de tal suerte que sirvan para encontrar el camino más corto y seguro, sin reparar en que el método de solución pertenezca a la aritmética, al álgebra, a la geometría, etc. Por eso será útil e x aminar un caso en que el empleo del álgebra tan solo embaraza la solución. Como ejemplo aleccionador puede servirnos el siguiente problema:Problema. Encontrar el número más pequeño entre los que divididos
por 2 dan de residuo 1
por 3 dan de residuo 2
por 4 dan de residuo 3
por 5 dan de residuo 4
por 6 dan de residuo 5
por 7 dan de residuo 6
por 8 dan de residuo 7
por 9 dan de residuo 8
Propusiéronme este problema acompañándolo con las siguientes palabras: “¿Cómo lo resolvería usted? Aquí hay demasiadas ecuaciones y resulta muy lioso”La cosa es sencilla. Para la solución del problema no hacen falta ni ecuaciones ni álgebra. Se resuelve con un sencillo razonamiento aritmético.Agreguemos una unidad al número buscado. ¿Cuál será el residuo de este número si lo dividimos por dos? Será 1 + 1 = 2; es decir, el número se divide por 2 sin residuo. De esta misma manera se divide sin residuo por 3, 4, 5, 6, 7, 8 y 9. El menor de estos números será 9 * 8 * 7 * 5 = 2.520, y el número buscado, 2.519, lo que es fácil comprobar.
Capítulo 4
Las ecuaciones de Diofanto
- Compra de una bufanda
- Una revisión en la tienda
- Compra de sellos de correos
- Compra de frutas
- Adivinar el día de nacimiento.
- Venta de pollos
- Dos números y cuatro operaciones
- Cómo será el rectángulo
- Dos números de dos cifras
- Los números de Pitágoras
- Ecuación indeterminada de tercer grado
- Cien mil marcos por la demostración de un teorema
Problema
Una bufanda cuesta 19 rublos, pero el comprador no tiene más que billetes de tres rublos; y la cajera, sólo de cinco. ¿Puede en estas condiciones abonarse el importe de la compra, y cómo hacerlo?
La misión de este problema se reduce a saber cuántos billetes de tres rublos deben entregarse a la cajera para que ella dé las vueltas con billetes de cinco, cobrando los 19 rublos. Las incógnitas del problema son dos: el número de billetes de tres rublos (x) y el número de billetes de cinco (y). Sólo puede plantearse una ecuación:
3x - 5y = 19
Aunque una ecuación con dos incógnitas tiene infinidad de soluciones, esto no quiere decir que entre ellas haya alguna en las que x e y sean números enteros y positivos (recordemos que se trata del número de billetes de banco). He aquí por qué el álgebra ha elaborado el método de solución de estas ecuaciones “indeterminadas”. El mérito de haberlas introducido en el álgebra pertenece al primer sabio europeo que cultivó esta ciencia, a Diofanto, célebre matemático de la antigüedad, por lo que estas ecuaciones se llaman con frecuencia “ecuaciones de Diofanto”.Solución
En el ejemplo citado mostremos cómo deben resolverse tales ecuaciones. Hay que hallar el valor de x y de y en la ecuación
3x - 5y = 19
sin olvidar que tanto x cómo y son números enteros y positivos. Despejando la incógnita cuyo coeficiente es menor, es decir, 3x tendremos:3x = 19 + 5y
de dondex = (19 + 5y) / 3 = 6 + y + (1 + 2y) / 3
Como x e y son números enteros, la ecuación puede ser acertada sólo en el caso de que (1 + 2y)/3 sea también un número entero. Expresémosle con la letra t. Entoncesx = 6 + y + t,
dondet = (1 + 2y)/3
y, por tanto,3t = 1 + 2y, 2y = 3t - 1
De la última ecuación despejaremos la yy = (3t -1)/2 = t + (t - 1)/2
Comoquiera que y y t son números enteros, (t - 1)/2 debe ser un número entero t1. Por consiguiente,y = t + t1
y, además,t1 = (t - 1)/2
de donde2t1 = t – 1
t = 2t1 + 1
Sustituyamos el valor de t = 2t1 + 1 en las igualdades anteriores:y = t + t1 = 2t1 + 1 + t1 = 3t1 + 1
x = 6 + y + t = 6 + (3t1 + 1) + (2t1 + 1) = 8 + 5t1
De esta forma hemos encontrado la expresión para x y para yx = 8 + 5t1
y = 1 + 3t1
Es sabido que x e y son enteros y además positivos, es decir, mayores que 0; por lo tanto,8 + 5t1 > 0
1 + 3t1 > 0
De estas desigualdades resulta que5t1 > -8 y t1 > -8/5
3t1 > -1 y t1 > -1/3
Con esto el valor t1 está acotado. De aquí que la magnitud t1 es mayor que -1/3, (y claro, mucho mayor que -8/5). Mas, como t1 es un número entero, se deduce que puede tener tan sólo los siguientes valores:t1 = 0, 1, 2, 3, 4,...
Los valores correspondientes de x y de y son:x = 8 + 5t1 = 8, 13, 18, 23, 28...
y = 1 + 3t1 = 1, 4, 7, 10, 13...
Veamos ahora de qué manera puede efectuarse el pago: o bien se entregan 8 billetes de 3 rublos, recibiendo de vuelta uno de cinco:8 - 3 - 5 = 19
o se entregan 13 billetes de 3 rublos, recibiendo de vuelta 4 billetes de 5 rublos:13 x 3 - 4 x 5 = 19
Teóricamente, este problema tiene infinidad de soluciones, pero en la práctica su número es limitado, por cuanto ni el comprador, ni la cajera tienen una cantidad ilimitada de billetes de banco. Si cada uno dispone, por ejemplo, de 10 billetes, el pago puede efectuarse sólo de una forma: entregando 8 billetes de 3 y recibiendo uno de 5. Como vemos, en la práctica las ecuaciones indeterminadas pueden dar soluciones determinadas. Volviendo a nuestro problema, proponemos al lector que, en calidad de ejercicio, resuelva por su cuenta una de las variantes: concretamente, examinar el caso en que el comprador no tenga más que billetes de 5 rublos, y la cajera, sólo de 3. En este caso aparecen las siguientes soluciones:x = 5, 8, 11,...
y = 2, 7, 12,...
En efecto,5 x 5 - 2 x 3 = 19
8 x 5 - 7 x 3 = 19
11 x 5 - 12 x 3 = 19
Podríamos obtener también estos resultados al tomar las soluciones del problema central mediante un sencillo procedimiento algebraico. Puesto que entregar billetes de cinco rublos y recibir de tres rublos equivale a “recibir billetes negativos de cinco rublos” y “dar billetes negativos de 3 rublos”, la nueva variante del problema se resuelve con la ecuación planteada en el problema central:3x - 5y = 19
pero con la condición de que x e y sean números negativos. Por eso, de las igualdadesx = 8 + 5t1
y = 1 + 3t1
sabiendo que x < 0 e y < 0, deducimos:8 + 5t1 < 0
1 + 3t1 < 0
y, por consiguiente,t1 < -8/5
Tomando t1 =-2, -3, -4, etc., obtenemos de las fórmulas anteriores, los siguientes valores para x e yt1 = -2, -3, -4,…
x = -2, -7, -12,…
y = -5, -8, -11,…
El primer par de soluciones, x = -2, y = -5, significa que el comprador “paga menos dos billetes de tres rublos" y "recibe menos cinco billetes de cinco”, es decir, traducido al idioma común, quiere decir que paga con cinco billetes de a cinco, recibiendo como vuelta 2 billetes de a tres. De esta misma manera interpretaremos también las demás soluciones.2. Una revisión en la tienda
Problema Al revisar los libros de contabilidad de la tienda, uno de ellos apareció con borrones de tinta, presentando este aspecto:

Figura 11
1.000y + 728.
Tenemos la ecuación 4.936x = 1.000y + 728. Después de dividir los dos miembros de la igualdad por 8, resulta617x - 125y = 91
En esta ecuación, los números x e y son enteros y, además, y no es superior a 999, por cuanto no puede tener más de tres cifras. Resolvamos la ecuación como indicamos antes:125y = 617x - 91
y = 5x - 1 + (34 - 8x)/125 = 5x - 1 + 2(17 - 4x)/125 = 5x -1 + 2t
(Aquí hemos tomado 617/125 = 5 - 8/125, ya que nos conviene que haya el menor residuo posible). El quebrado2(17- 4x)/125
es un número entero, y como 2 no se divide por 125, (17 - 4x)/125, debe ser un número entero, que representaremos con la t. Después, de la ecuación(17 - 4x)/125 = t
se obtiene17 - 4x = 125t
x = 4 - 31t + (1 - t)/4 = 4 - 31t + t1
dondet1 = (1 - t)/4
por lo tanto4t1 = 1 – t
t = 1 - 4t1
x = 125t1 – 27
y = 617t1 - 134[17].
Se sabe que100 ≤ y < 1000
Por consiguiente100 ≤ 617t1 - 134 < 1000,
de dondet1 ≥ 234 / 617 y t1 < 1134 / 617
Es evidente que para t1 existe solamente un valor entero: t1 = 1, de donde x = 98, y = 483; es decir, fueron vendidos 98 metros por una suma total de 4.837 rublos 28 kopeks. El libro auxiliar, pues, ha sido restablecido.3. Compra de sellos de correos
Problema
Se dispone de 1 rublo para comprar 40 sellos de correos: de 1, 4 y 12 kopeks. ¿Cuántos sellos de cada uno de estos precios deberán comprarse? Solución En este caso tenemos dos ecuaciones con tres incógnitas:
x + 4y + 12z =100,
x + y + z = 40,
donde x es el número de sellos de 1 kopek; y, el de 4 kopeks, y z, el de 12 kopeks. Restando de la primera ecuación la segunda, obtendremos una ecuación con dos incógnitas:3y + 11z = 60
Despejemos la y:y = 20 - 11 x z/3
Es evidente que 3 es un número entero. Indiquémosle con la t. Tenemos:y = 20 - 11t
z = 3t
Sustituyamos la y y la z en la segunda de las ecuaciones iniciales:x + 20 – 11t + 3t = 40;
de aquí quex = 20 + 8t
Como x ≥ 0, y ≥ 0 y z ≥ 0, no es difícil establecer los límites de t:0 ≤ t ≤ 19/11
de donde se deduce que para t son posibles sólo dos valores enteros: t = 0 y t = 1. Los valores correspondientes de x, y y z son:| t = | 0 | 1 |
| x = | 20 | 28 |
| y = | 20 | 9 |
| z = | 0 | 3 |
Prueba:
y = 20 x 1 + 20 x 4 + 0 x 12 = 100
z = 28 x 1 + 9 x 4 + 3 x 12 = 100
En la compra de sellos, como vemos, son posibles dos variantes (si van a exigir que se compre aunque sea un solo sello de cada valor, es posible una sola variante). Pasemos al segundo problema de este mismo tipo.4. Compra de frutas
Problema
Por 5 rublos se compraron 100 unidades de diferentes frutas. Sus precios son los siguientes:
| sandía | 50 kopeks cada una |
| manzanas | 10 kopeks cada una |
| ciruelas | 1 kopek cada una |
¿Cuánta fruta de cada clase fue comprada? Solución Indicando el número de sandías con la x, el de las manzanas con la y y el de las ciruelas con la z, establezcamos dos ecuaciones:
![]()
49x + 9y= 400
El ulterior desarrollo del problema será el siguiente:![]()
![]()
![]()
1 - 9t ≥ 0 y 39 + 49 t ≥ 0
se deduce que1/9 ≥ t ≥ -39 / 49
por consiguiente, t = 0. Por eso.x=1, y=39.
Sustituyendo los valores de x y de y en la segunda ecuación, deduciremos que z = 60. Se compraron 1 sandía, 39 manzanas y 60 ciruelas. Sólo cabe esta combinación.5. Adivinar el día de nacimiento
Problema
Las ecuaciones indeterminadas permiten efectuar el siguiente truco matemático. Se propone a una persona que multiplique la fecha del día de su nacimiento por 12, y el número del mes, por 31. Con la suma de los productos de esos datos puede calcularse la fecha del nacimiento de la persona dada. Si por ejemplo nació el 9 de febrero, se efectuarán las siguientes operaciones:
9 x 12 = 108, 2 x 31= 62, 108 + 62 = 170.
¿Cómo se deducirá el día del nacimiento conociendo esa suma? Solución La tarea se reduce a resolver la ecuación indeterminada12x + 31y = 170
en la que los valores de las incógnitas deben ser enteros y positivos; además, la fecha del mes, x, no es superior a 31, y el número del mes, y, no pasa de 12x = 14 – 3 x (2 – 12t1) + 1 – 5t1 = 9 + 31t1
Se sabe que 31 ≥ x > 0 y 12 ≥ y > 0, por lo que los límites para t1:-9 / 31 < t1 < 1/ 6
Por lo tanto,t1 = 0, x = 9, y = 2
La fecha de nacimiento es el día 9 del segundo mes, es decir, el 9 de febrero. Se puede proponer otra solución que no exige el empleo de ecuaciones. Nos han dicho la cifra a = 12x + 31y. Puesto que 12x + 24y se divide entre 12, en este caso los números 7y y a, después de ser divididos entre 12, tienen residuos iguales. Al multiplicar por 7 resulta que 49y y 7a, después de ser divididos entre 12, tienen residuos iguales. Pero 49y = 48y + y, y 48y se divide entre 12. Resulta que y y 7a al ser divididos entre 12 tienen residuos iguales. En otras palabras, si a no se divide entre 12, en este caso y es igual al residuo de la división del número 7a entre 12; pero si a se divide entre 12, entonces y = 12. Este número y (número del mes) se determina enteramente. Sabiendo y ya es muy fácil determinar x. Un pequeño consejo: antes de determinar el residuo de la división del número 7a entre 12, cambie el mismo número a por su residuo de la división entre 12 -será más fácil calcular-. Por ejemplo, si a = 170, usted tiene que efectuar mentalmente los siguientes cálculos:170 ÷ 12 = 14 sobran 2 (entonces el residuo es 2)
2 x 7 = 14; 14 = 12 x 1 + 2 (entonces y = 2)
![]()
x = 9
Ahora usted puede comunicar que la fecha del nacimiento es el 9 de febrero. Demostremos que el truco nunca falla, es decir, que la ecuación tiene siempre una sola solución, siendo sus valores enteros y positivos. Representemos por a el número que se nos comunica. En este caso, la fecha del nacimiento vendrá expresada por la ecuación12x + 31y = a.
Razonemos “por reducción al absurdo”. Supongamos que esta ecuación tiene dos soluciones diferentes enteras y positivas, concretamente: la solución x1, y1 y la solución x2, y2; además, tanto x1 como x2 no son superiores a 31; y1 y y2 tampoco son mayores que 12. Tenemos:12x1 + 31y1 = a
12x2 + 31y2 = a
Restando la segunda ecuación de la primera, tendremos:12 (x1 - x2) + 31 (y1 -y2) = 0.
De esta igualdad se desprende que el número 12(x1 - x2) es divisible por 31. Como x1 y x2, son números positivos que no superan 31, su diferencia, x1 - x2 es una magnitud menor que 31. Por eso, el número 12(x1 - x2) puede dividirse por 31 sólo cuando x1 = x2, es decir, si la primera solución coincide con la segunda. De esta manera, la suposición de que existen dos soluciones diferentes conduce a una contradicción6. Venta de pollos
Antiguo problema
Tres hermanas fueron a vender pollos al mercado. Una llevó 10 pollos; otra, 16, y la tercera, 26. Hasta el mediodía, las tres habían vendido al mismo precio una parte de los pollos. Después del mediodía, temiendo que no pudieran desprenderse de todos los pollos, bajaron el precio vendiendo los que les quedaban al mismo precio. Las tres hermanas regresaron a casa con igual cantidad de dinero, obtenida de la venta de las aves, con 35 rublos cada una. ¿A qué precio vendieron los pollos antes y después del mediodía? Solución Representemos el número de pollos vendidos por cada una de las hermanas hasta el mediodía con x, y y z. Después del mediodía vendieron 10 - x, 16 - y y 26 - z pollos. El precio que rigió por la mañana lo expresamos con m, y el de la tarde, con n. Para mayor claridad confrontemos estas expresiones:
| Número de pollos vendidos | Precio | |||
| Hasta el mediodía | x | y | z | m |
| Después del mediodía | 10 - x | 16 - y | 26 - z | n |
La primera hermana obtuvo:
mx + n (10 - x); por consiguiente, mx + n (10 – x)= 35
la segunda:my + n (16 - y); por lo tanto, my – r - n (16 – y)= 35
la tercera:mz + n (26 - z); de aquí que, mz + n (26 - z) = 35.
Transformemos estas tres ecuaciones:


![]()
![]()
![]()
x = z + 8t
y = z + 5t
Observemos que el número t, además de entero, es también positivo, por cuanto x > z (en caso contrario, la primera hermana no hubiera podido conseguir tanto dinero como la tercera).Como x < 10, z + 8t < 10.
Al ser z y t números enteros y positivos, la última desigualdad puede ser satisfecha sólo en el caso en que z = 1 y t = 1. Sustituyendo estos valores enx = z + 8t
y = z + 5t
resulta que x = 9, y = 6. Si en las ecuacionesmx + n (10 - x) = 35,
my + n (16 - y) = 35,
mz + n (26 - z) = 35
sustituimos los valores de x, y, y z, ya conocidos, tendremos el precio por el que han sido vendidos los polluelos:m = 3 ¾ rublos y n = 1 ¼ rublos
Hasta el mediodía, los polluelos fueron vendidos, como hemos visto, a 3 rublos 75 kopeks; después del mediodía, a 1 rublo 25 kopeks.7. Dos números y cuatro operaciones
Problema
El problema anterior, resuelto mediante un sistema de tres ecuaciones con cinco incógnitas, no se ha desarrollado por los procedimientos ordinarios, sino por un razonamiento matemático libre. De esta misma forma resolveremos los siguientes problemas, y se reducen a ecuaciones indeterminadas de segundo grado. He aquí el primero de ellos. Con dos números enteros y positivos fueron realizadas las cuatro operaciones siguientes:
- los sumaron
- restaron el menor del mayor,
- los multiplicaron
- dividieron el mayor por el menor.
(x + y) + (x – y) + xy + x/y = 243
Si se multiplica esta ecuación por y, se abren los paréntesis y se reducen los términos semejantes, tendremos:x(2y + y2 + 1) = 243y
Pero2y + y2 + 1 = (y + 1)2
Por eso![]()
1, 32 92.
Así pues, (y + 1)2 debe ser igual a 1, 32 ó 91. Puesto que y debe ser un número positivo, resulta que y es 8 ó 2. Entonces x será igual a243 * 8 / 81 ó 243 * 2 / 9
Los números buscados, por lo tanto, serán 24 y 8 ó 54 y 2.8. Cómo será el rectángulo
Problema
Los lados de un rectángulo vienen dados por números enteros. ¿Cuál será la longitud de dichos lados para que el perímetro y la superficie de esta figura se expresen con los mismos números?
Solución Representando los lados del rectángulo con x e y tendremos la ecuación
2x + 2y = xy
de donde:![]()
![]()
![]()
9. Dos números de dos cifras
Problema
Los números 46 y 96 tienen una curiosa propiedad: su producto no se altera aunque las cifras que los componen cambien de lugar. En efecto,
46 * 96 = 4416 = 64 * 69
¿Cómo podrá averiguarse si existen otros números de dos cifras con idéntica propiedad? Solución Representando las cifras de los números buscados con x, y, z, t, tendremos la ecuación(10x + y)(10z + t) = (10y + x)(10t + z)
Abriendo los paréntesis y reduciendo los términos semejantes, se obtienexz = yt
donde x, y, z, y t son números enteros menores que 10. Para buscar la solución se forman con las nueve cifras significativas todas las parejas que dan un mismo resultado:1 * 4 = 2 * 21 * 9 = 3 * 32 * 9 = 3 * 6
1 * 6 = 2 * 31 * 4 = 2 * 23 * 8 = 4 * 6
1 * 8 = 2 * 42 * 6 = 3 * 44 * 9 = 6 * 6
Las igualdades son en total 9. De cada una de ellas puede formarse uno o dos grupos de las cifras buscadas. Por ejemplo, de la igualdad 1 x 4 = 2 x 2 se obtiene12 * 42 = 21 * 24
De la igualdad 1 x 6 = 2 x 3 hallarnos dos soluciones:12 * 63 = 21 * 36, 13 * 62 = 31 * 26
Siguiendo el mismo procedimiento encontraremos las siguientes 14, soluciones:12 * 42 = 21 * 24 23 * 96 = 32 * 69
12 * 63 = 21 * 36 24 * 63 = 42 * 36
12 * 84 = 21 * 48 24 * 84 = 42 * 48
13 * 62 = 31 * 26 26 * 93 = 62 * 39
13 * 93 = 31 * 39 34 * 86 = 43 * 68
14 * 82 = 41 * 28 36 ·84 = 63 * 48
23 * 64 = 32 * 46 46 * 96 = 64 * 69
10. Los números de PitágorasEl fácil y exacto método que los agrimensores emplean para trazar líneas perpendiculares sobre el terreno consiste en lo siguiente. Supongamos que por el punto A hay que trazar una perpendicular a MN (fig. 12). En dirección AM, desde el punto A se señala tres veces la distancia cualquiera (a). Después, en una cuerda se hacen tres nudos separados por una distancia igual a 4a y 5a. Colocando los nudos extremos en los puntos A y B, se tira del nudo del medio. Con ello se forma un triángulo en el que el ángulo A es recto.

Figura 12
32 + 42 = 52.
Además de los números 3, 4 y 5 existe, como se sabe, infinidad de números enteros y positivos a, b, c que satisfacen la correlación:a2 + b2 = c2
y reciben la denominación de números de Pitágoras. De acuerdo con el teorema de Pitágoras, estos números pueden expresar la longitud de los lados de un triángulo rectángulo. Los lados a y b serán dos “catetos” y c la “hipotenusa”. Es evidente que si a, b, c son un trío de números de Pitágoras, los números pa, pb, pc (donde p es un factor entero) serán también números de Pitágoras. Y al contrario, si los números de Pitágoras tienen un factor común, pueden ser simplificados por éste, obteniéndose de nuevo el grupo de números de Pitágoras. Por eso, para empezar analicemos tres números pitagóricos que sean primos entre sí (los demás se hallan multiplicándolos por el factor entero p). Mostremos que uno de los “catetos” de los números a, b, c debe ser número par, y el otro, impar. Razonemos partiendo de la reducción al “absurdo”. Si los dos “catetos” a y b son pares, también lo será la suma a2 + b2 y, por lo tanto, lo mismo sucederá con la “hipotenusa”. Sin embargo, esto contradice el hecho de que los números a, b, c no tienen un factor común ya que 2 divide exactamente a tres números pares. Por consiguiente, por lo menos uno de los “catetos”, a, b tiene que ser impar. Puede ofrecerse otra variante, que ambos “catetos” sean impares y la “hipotenusa”, par. No es difícil demostrar que esto es imposible. En efecto. Si los “catetos” tienen la forma:2x + 1 y 2y + 1
la suma de sus cuadrados será igual a:4x2 + 4x + 1 + 4y2 + 4y + 1 = 4(x2 + x + y2 + y) + 2
es decir, se trata de un número que al ser divido por 4 da de residuo 2. En tanto que el cuadrado de cualquier número par debe dividirse por 4 sin residuo. Por consiguiente, la suma de los cuadrados de dos números impares no puede ser el cuadrado de un número par; en otras palabras: nuestros tres números no son pitagóricos. Así, pues, de los “catetos” a, b uno es par y otro impar. Por eso, el número a2 + b2 es impar y, en consecuencia, también lo será la “hipotenusa” c. Supongamos, para mayor precisión, que a es el “cateto” impar y b el par. De la igualdada2 + b2 = c2
obtenemos fácilmente:a2 = c2 - b2 = (c + b)(c - b)
Los factores c + b y c - b son primos entre sí. Efectivamente. Si estos números tuvieran algún factor común primo, excepción hecha de la unidad, entonces también se dividiría por dicho factor su suma(c + b) + (c - b) = 2c,
su diferencia(c + b) - (c - b) = 2b,
y su producto(c + b).(c - b) = a2,
es decir, los números 2c, 2b y a tendrían un factor común. Como a es impar este factor no puede ser 2, y por eso, los números a, b y c tienen este factor común, lo que, sin embargo, es imposible. La contradicción obtenida demuestra que los números c + b y c - b son primos entre sí. Pero si el producto de dos números primos entre sí es un cuadrado, entonces, cada uno de ellos será un cuadrado, es decir,
![]()
a2 = (c + b)(c – b) = m2 * n2, a = mn
De aquí que los números de Pitágoras examinados se representen así:![]()
| cuando | m=3 | n=1 | 32 + 42 = 52 |
| cuando | m=5 | n=1 | 52 + 122 = 132 |
| cuando | m=7 | n=1 | 72 + 242 = 252 |
| cuando | m=9 | n=1 | 92 + 402 = 412 |
| cuando | m=11 | n=1 | 112 + 602 = 612 |
| cuando | m=13 | n=1 | 132 + 842 = 852 |
| cuando | m=5 | n=3 | 152 + 82 = 172 |
| cuando | m=7 | n=3 | 212 + 202 = 292 |
| cuando | m=11 | n=3 | 332 + 562 = 652 |
| cuando | m=13 | n=3 | 392 + 802 = 892 |
| cuando | m=7 | n=5 | 352 + 122 = 372 |
| cuando | m=9 | n=5 | 452 + 282 = 532 |
| cuando | m=11 | n=5 | 552 + 482 = 732 |
| cuando | m=13 | n=5 | 652 + 722 = 972 |
| cuando | m=9 | n=7 | 632 + 162 = 652 |
| cuando | m=11 | n=7 | 772 + 362 = 852 |
(Todos los demás grupos de tres números pitagóricos, o tienen factores comunes, o contienen números mayores de 100). Los números de Pitágoras tienen, en general, propiedades curiosas que enumeraremos a continuación sin demostraciones:
- Uno de los “catetos” debe ser múltiplo de tres.
- Uno de los “catetos” debe ser múltiplo de cuatro.
- Uno de los números de Pitágoras debe ser múltiplo de cinco.
11. Ecuación indeterminada de tercer grado
La suma de los cubos de tres números enteros puede ser el cubo de un cuarto número. Por ejemplo,
33 + 43 + 53 = 63.
Esto significa, entre otras cosas, que el cubo, cuya arista es igual a 6 cm equivale a la suma de los volúmenes de tres cubos, en los que sus aristas sean 3, 4 y 5 cm (fig. 13). Según cuentan, esta correlación interesó vivamente a Platón.Intentemos hallar otras correlaciones del mismo género, es decir, resolvamos la siguiente tarea: encontrar soluciones a la ecuación
x3 + y3 + z3 = u3.
Es más cómodo, sin embargo, expresar la incógnita u con -t. Entonces la ecuación ofrecerá una forma más sencilla:x3 + y3 + z3 + t2 = 0
Veamos un método que nos permita hallar multitud de soluciones a esta ecuación, en números enteros (positivos y negativos). Supongamos que a, b, c, d y α, β, γ, δ son dos grupos de cuatro números que satisfacen la ecuación. Sumemos a los números del primer grupo de cuatro los del segundo multiplicados por un cierto número k, y busquemos éste de forma que los números obtenidosa + kα, b + kβ, c + kγ, d + kδ,
satisfagan también la ecuación. En otras palabras: elijamos k de tal forma que sea satisfecha la igualdad(a + kα)3 + (b + kβ)3 + (c + kγ)3 + (d + kδ)3 = 0.
Al abrir los paréntesis, sin olvidar que a, b, c, d y α, β, γ, δ satisfacen las exigencias de nuestra ecuación, es decir, que tienen lugar las igualdadesa3 + b3 + c3 + d3 = 0,
α3 + β3 + γ3 + δ3 = 0
obtenemos:3a2kα + 3ak2α2 + 3b2kβ + 3bk2β2 + 3c2kγ + 3ck2γ2 + 3d2kδ + 3dk2δ2 = 0,
ó3k[(a2α + b2β + c2γ + d2δ) + k(aα2 + bβ2 + cγ2 + dδ2)]= 0
El producto será cero sólo en el caso en que lo sea uno de sus factores. Equiparando cada uno de los factores a cero obtenemos dos valores para k. El primero de ellos k = 0, no nos satisface; ello significa que si a los números a, b, c y d no se les agrega nada, los números obtenidos satisfacen nuestra ecuación. Por eso tomaremos solamente el segundo valor de k:![]()
Para aplicar este método es preciso encontrar dos grupos de cuatro números que satisfagan las condiciones de la ecuación inicial. Uno de ellos (3, 4, 5, -6) es ya conocido. ¿De dónde sacar otro? No es difícil encontrar salida a esta situación; el grupo pueden formarlo los números r, - r, s, -s, que responden, sin duda, a las condiciones de la ecuación inicial. En otras palabras, supongamos que
a = 3, b = 4, c = 5, d = -6,
α = r, β = -r, γ = s, δ = -s.
Entonces k, tomará la siguiente forma:![]()
![]()
![]()
![]()
![]()
x3 + y3 + z3 + t2 = 0
Comoquiera que esos quebrados tienen el mismo denominador, puede prescindirse de éste. (En consecuencia, los numeradores de estos quebrados también satisfacen las exigencias de la ecuación examinada.) Se ha visto, pues, que la ecuación indicada es satisfecha (cualquiera que sea el significado de r y s) por los siguientes números:x = 28r2 + 11 rs – 3s2
y = 21r2 - 11rs – 4s2
z = 35r2 + 7rs + 6s2
t = - 42r2 - 7rs – 5s2,
lo cual puede comprobarse elevando estas expresiones al cubo y sumándolas. Atribuyendo a r y s diversos valores enteros podemos obtener toda una serie de soluciones a la ecuación expresadas en números enteros. Si en estas circunstancias los números obtenidos tienen un factor común, podemos dividir por él todos estos números. Por ejemplo, cuando r = l, s = l, las incógnitas x, y, z, t equivaldrán a 36, 6, 48, -54, o, que al dividirlos por 6, darán 6, 1, 8, -9. Por consiguiente,63 + 13 + 83 = 93.
He aquí una serie más de igualdades del mismo tipo (obtenidas después de simplificadas al ser divididas por un divisor común):| cuando | r = 1 | s = 2 | 383 + 733 = 173 + 763 |
| cuando | r = 1 | s = 3 | 173 + 553 = 243 + 543 |
| cuando | r = 1 | s = 5 | 43 + 1103 = 673 + 1013 |
| cuando | r = 1 | s = 4 | 83 + 533 = 293 + 503 |
| cuando | r = 1 | s = -1 | 73 + 143 +173 = 203 |
| cuando | r = 1 | s = -2 | 23 + 163 = 93 + 153 |
| cuando | r = 2 | s = -1 | 293 + 343 + 443 = 533 |
Observemos que si en el grupo inicial 3, 4, 5, -6, o en alguno de los obtenidos después, se cambian de sitio los números y se aplica el mismo método, obtendremos una nueva serie de soluciones. Por ejemplo, tomando decir, suponiendo que a = 3, b = 5, c = 4, d = -6) z, t, los valores
x = 20r2 + 10rs – 3s2
y = 12r2 – 10rs –5s2
z = 16r2 + 8rs + 6s2
t = -24r2 – 8rs – 4s2
De aquí que al variar los valores de r y s obtengamos una serie de nuevas correlaciones:| cuando | r = 1 | s = 1 | 93 + 103 = 13 + 123 |
| cuando | r = 1 | s = 3 | 233 + 943 = 633 + 843 |
| cuando | r = 1 | s = 5 | 53 + 1633 + 1643 = 2063 |
| cuando | r = 1 | s = 6 | 73 + 543 + 573 = 703 |
| cuando | r = 2 | s = 1 | 233 + 973 + 863 = 1163 |
| cuando | r = 1 | s = -3 | 33 + 363 + 373 = 463 |
| etc. |
11. Cien mil marcos por la demostración de un teorema
Cierto problema de ecuaciones indeterminadas adquirió en sus tiempos enorme popularidad debido a que al afortunado que lo resolviera con acierto se le ofrecía todo un capital ¡100 000 marcos alemanes! El ejercicio consiste en demostrar la siguiente tesis llamada teorema o “gran proposición” de Fermat. La suma de potencias de idéntico grado de dos números enteros no puede ser potencia de un tercer número entero. Se excluye sólo la segunda potencia, para la que es posible. En otras palabras, hay que demostrar que la ecuación
xn + yn = zn
no tiene solución, tratándose de base entera, para n > 2. Aclaremos lo dicho. Hemos visto que las ecuacionesx2 + y2 = z2,
x3 + y3 + z3 = t3
tienen, tratándose de números enteros, cuantas soluciones se deseen. Sin embargo será imposible encontrar tres números enteros positivos que satisfagan la igualdadx3 + y3 = z3.
Idéntico fracaso acompaña cuando se trata de las potencias de cuarto, quinto, sexto grados, etc. Esto es lo que afirma la “gran proposición de Fermat”. ¿Qué se exige de los aspirantes al premio? Deben demostrar esta tesis para todas las potencias que cumplen las condiciones dadas. El caso es que el teorema de Fermat no está aún demostrado y pende, por decirlo así, en el aire. Han transcurrido tres siglos desde que fue formulado, sin embargo, los matemáticos no han logrado hasta ahora hallar su demostración. Las figuras más eximias de esta ciencia se han ocupado del problema, mas, en el mejor de los casos, [18]consiguieron demostrar el teorema para algunos exponentes o para ciertos grupos de ellos; pero de lo que se trata es de hallar la demostración general, para todo exponente entero. Lo interesante del caso es que esta inaccesible demostración del teorema de Fermat, por lo visto, fue descubierta en cierta ocasión, y después se extravió. El autor del teorema, el genial matemático del siglo XVII, Pierre de Fermat, afirmaba que conocía la demostración. Su “gran proposición”, fue escrita por él (lo mismo que toda una serie de teoremas acerca de la teoría de los números) en forma de observación en los márgenes de una obra de Diofanto, acompañándola de las siguientes palabras: “He encontrado una demostración verdaderamente asombrosa para esta proposición, pero aquí hay poco sitio para desarrollarla”. En ningún sitio, ni en los documentos del gran matemático ni en su correspondencia, ha sido posible hallar huellas de esta demostración. Los discípulos de Fermat han tenido que marchar por su propio camino. He aquí los resultados de estos esfuerzos: Euler (1797) demostrar; el teorema de Fermat para potencias de tercero y cuarto grados, para las de quinto fue demostrado por Legendre (1823); para las de séptimo[19], por Lamé y Lebesgue (1840). En 1849, Kummer demostró el teorema para una serie muy amplia de potencias y, entre otras, para todos los exponentes menores de ciento. Estos últimos trabajos rebasan con mucho la esfera de las matemáticas conocidas por Fermat, y empieza a ser problemático el hecho de que este último pudiera hallar la demostración general de su “gran proposición”. Además es posible que él se equivocara. Quien sienta curiosidad por la historia y el estado actual del problema de Fermat, puede leer el folleto de A. Jinchin El gran teorema de Fermat. Esta publicación, obra de un especialista, está dedicada a lectores que sólo tienen conocimientos elementales de matemáticas.Capítulo 5
La sexta operación matemática
- Sexta operación
- ¿Qué raíz es mayor?
- Resuélvase al primer golpe de vista
- Comedias algebraicas
La suma y la multiplicación tiene cada una su operación inversa, la sustracción y la división.
La quinta operación aritmética, la potenciación o elevación a potencias, tiene dos operaciones inversas: la que tiene por objeto encontrar la base y la dedicada a hallar el exponente. Cuando la incógnita es la base, tenemos la sexta operación matemática, denominada radicación; si se trata del exponente, efectuamos la séptima operación, llamada cálculo logarítmico. Es fácil comprender por qué la potenciación tiene dos operaciones inversas, en tanto que la suma y la multiplicación no tienen más que una. Los sumandos (el primero y el segundo) pueden alterar su orden entre sí. Otro tanto sucede con la multiplicación. En cambio, los elementos de la potenciación, es decir, la base y el exponente, no gozan de esa propiedad por lo que no pueden invertirse sus funciones (por ejemplo, 35 ≠ 53). De ahí que para hallar cada uno de los términos de la suma o la multiplicación se empleen los mismos procedimientos en tanto que la base de la potencia se halla por un procedimiento distinto al utilizado para encontrar su exponente.La sexta operación, la radicación, se expresa con el signo
R.c. ëR.q.4352p. 16û m.R.c. ëR.q.4352m. 16û
Lo que nosotros escribiríamos como sigue:![]()
2. ¿Qué raíz es mayor?
Primer problema: ¿Qué es mayor
Resuélvase éste y los problemas que le siguen a condición de que no se hallen las raíces.
Solución
Elevando ambas expresiones a la décima potencia, obtendremos:
![]()
< ![]()
![]()
< ![]()
![]()
![]()
280 y 253 + ![]()
27 y 20![]()
> ![]()
Problema
Obsérvese la ecuación atentamente y dígase cuál es el valor de x.
![]()
Todo el que esté familiarizado con los símbolos algebraicos deducirá que
![]()
![]()
![]()
Aquellos a quienes esta solución “al primer golpe de vista” les resulte difícil, pueden valerse, para despejar con más sencillez la incógnita, del siguiente razonamiento:Admitimos que x3 = y, entonces
![]()
![]()
![]()
La sexta operación aritmética permite representar auténticas comedias y farsas algebraicas con los siguientes argumentos: 2 x 2 = 5; 2 = 3, etc. La gracia de tales representaciones algebraicas reside en un error, harto elemental, pero que, por hallarse muy oculto, tarda en ser descubierto.Mostremos dos piezas de este repertorio cómico del álgebra.Primer problema:
2 = 3En primer lugar aparece en escena una igualdad indiscutible:
4 - 10 = 9 - 15
En el siguiente “cuadro” se suma a ambos miembros de esta igualdad una misma cantidad, 6 ¼4 – 10 + 6 ¼=9 – 15 + 6 ¼
El ulterior desarrollo de la comedia se reduce a transformaciones:22 - 2 * 2* (5 / 2) + (5 / 2)2 = 32 - 2 * 3* (5 / 2) + (5 / 2)2
(2 – 5/2)2 = (3 – 5/2)2
Extraída la raíz cuadrada de ambos miembros de la igualdad, resulta:2 – 5/2 = 3 – 5/2
Sumando 5/2 a uno y otro miembro, llegamos a la igualdad absurda:2 = 3
¿En qué consiste el error?SoluciónEl error consiste en que de la expresión:
(2 – 5/2)2 = (3 – 5/2)2
se dedujo que:2 – 5/2 = 3 – 5/2Aunque los cuadrados sean iguales, no por eso son idénticas las primeras potencias, pues
(-5)2 = 52
pero -5 no es igual a 5. Los cuadrados pueden ser iguales cuando las primeras potencias tienen distinto signo. En nuestro ejemplo se ofrece precisamente este caso:(-1/2)2 = (1/2)2
pero ½ no es igual a –½Segundo problema:Nueva farsa algebraica:2 * 2 = 5
La acción se desarrolla en forma semejante al caso anterior y se basa en el mismo truco.
Figura 15. Una farsa matemática
16 - 36 = 25 - 45.
Se suma a cada miembro una misma cantidad:16 – 36 + 20 ¼ = 25 – 45 + 20 ¼
A continuación se hacen las transformaciones siguientes:42 – 2 * 4 * 9/2 + (9/2)2 = 52 – 2 * 5 * 9/2 + (9/2)2
Después, mediante el absurdo razonamiento anterior se llega a4 – 9/2 = 5 – 9/2
4 = 5
2 * 2 = 5
Estos divertidos ejemplos deben prevenir a los matemáticos con poca experiencia contra toda actitud descuidada hacia las ecuaciones que tengan su incógnita en el radical.Capítulo 6
Ecuaciones de segundo grado
- El apretón de manos
- El enjambre de abejas
- La manada de monos
- Previsión de las ecuaciones
- El problema de Euler
- Los altavoces
- El álgebra del vuelo a la Luna
- “Ejercicio complicado”
- ¿Qué números son?
Problema
Las personas que asistieron a una reunión se estrecharon la mano. Uno de ellos advirtió que los apretones de mano fueron 66. ¿Cuántas personas concurrieron a la reunión?
Solución
La cuestión se resuelve con facilidad si recurrimos al álgebra. Cada una de las x personas dio la mano a las otras x - 1. Por tanto, el total de apretones de manos debe ser x (x - 1). Además hay que tener en cuenta que cuando Ivanov da la mano a Petrov, Petrov estrecha la mano de Ivanov; estos dos apretones de manos deben ser considerados como uno solo. Por eso, el número de apretones de manos contados es la mitad de x (x - 1). En consecuencia surge la ecuación
x (x- 1) / 2 = 66
o sea, que después de las correspondientes transformaciones se tendráx2 - x - 132 = 0,
de donde![]()
x1 = -11, x2 = 12
como quiera que la raíz negativa (-11 personas) carece de todo sentido, la rechazamos, conservando únicamente la primera: en la reunión estuvieron 12 personas.2. El enjambre de abejas
Problema
En la antigüedad estaba muy extendida en la India una diversión singular: la solución de rompecabezas en competiciones públicas. Los manuales de matemáticas de ese país contribuían a la celebración de tales campeonatos de cálculo mental. “Aplicando las reglas aquí expuestas -escribía el autor de uno de dichos libros -, un hombre inteligente puede idear miles de problemas semejantes. Así como el Sol hace palidecer las estrellas con sus destellos, un hombre discreto eclipsa la gloria de otro hombre en los concursos populares, proponiendo y resolviendo problemas algebraicos”. En el original, estas palabras presentan un aspecto más poético, por cuanto el libro está escrito en verso. Los problemas también aparecen versificados. Enunciemos en prosa uno de estos rompecabezas. Un grupo de abejas, cuyo número era igual a la raíz cuadrada de la mitad de todo su enjambre, se posó sobre un jazmín, habiendo dejado muy atrás otros 8 del enjambre; sólo una abeja del mismo enjambre revoloteaba en torno a un loto, atraída por el zumbido de una de sus amigas que cayó imprudentemente en la trampa de la florcilla, de dulce fragancia. ¿Cuántas abejas formaban el enjambre? Solución Si expresamos el número buscado de abejas del enjambre con la letra x, tendremos la ecuación
![]()
![]()
![]()
y1, = 6, y2 = -3/2,
y otras dos parax1 = 72, x2 = 4,5.
Mas, como el número de abejas debe ser entero y positivo, es válida sólo la primera raíz: el enjambre constaba, pues, de 72 abejas. Comprobémoslo:![]()
3. La manada de monos

Figura 15.
Regocíjanse los monos
divididos en dos bandos:
su octava parte al cuadrado
en el bosque se solaza.
Con alegres gritos, doce
atronando el campo están.
¿Sabes cuántos monos hay
en la manada, en total?
![]()
4. Previsión de las ecuaciones
En los casos examinados y en dependencia de las condiciones del problema, hemos hecho diferente uso de las dos raíces obtenidas. En el primer caso hemos desechado la raíz negativa por no responder al contenido del problema; en el segundo, hemos renunciado a la raíz fraccionaría y negativa y, en el tercero, por el contrario, hemos aceptado las dos raíces. La presencia de una segunda solución es, a veces, completamente inesperada no sólo para quien resuelve el problema, sino también para su autor; pongamos un ejemplo de cómo la ecuación resulta más previsora que el mismo que la establece. Una pelota ha sido lanzada al aire a una velocidad de 25 m por segundo. ¿Al cabo de cuántos segundos se encontrará la pelota a 20 m de altura? Solución Para los cuerpos lanzados al alto, y libres en su ascensión de toda resistencia, la mecánica establece las siguientes proporciones entre la altura a la que sube el cuerpo sobre la tierra (h), su velocidad inicial (v), el aceleramiento de la fuerza de gravedad (g) y el tiempo (t):
![]()
20 = 25 t – 10 t2 / 2
y después de quitar denominadores y simplificart2 - 5 t + 4 = 0.
Resultan las raíces t1 =1 y t2 = 4. La pelota estará dos veces a la altura de 20 m: al primer segundo y después de cuatro segundos de haber sido lanzada. Acaso parezca inverosímil y, al no reflexionar, puede rechazarse el segundo resultado. Sin embargo, esto sería erróneo. El segundo resultado es completamente lógico: la pelota puede encontrarse dos veces a la altura de 20 m: una, al ascender, y otra, al descender. Se deduce con facilidad que la pelota puede ascender durante 2,5 segundos con la velocidad inicial de 25 m, llegando a una altura de 31,25 m. Después de alcanzar la altura de 20 m, (al segundo de ascenso) la pelota seguirá elevándose durante 1,5 segundos más, al cabo de lo cual descenderá durante 1,5 segundos hasta la altura de 20 m, llegando al suelo un segundo después.5. El problema de Euler
Al referirse Stendhal en su Autobiografía a sus años de estudiante, escribe lo siguiente: “En su casa (la de su maestro de matemáticas) encontré a Euler con su problema acerca de los huevos que la campesina llevaba al mercado... Esto fue para mí un descubrimiento. Comprendí lo que significaba valerse de un arma como el álgebra. Pero ¡demonios!, nadie me lo había explicado antes...” He aquí el problema de la Introducción al álgebra, de Euler que tan fuerte impresión produjera en Stendhal. Problema Dos campesinas llevaron en total 100 huevos al mercado. Una de ellas tenía más mercancía que la otra, pero recibió por ella la misma cantidad de dinero que la otra. Una vez vendidos todos, la primera campesina dijo a la segunda: “si yo hubiera llevado la misma cantidad de huevos que tú, habría recibido 15 cruceros”. La segundo contestó: “Y si yo hubiera vendido los huevos que tenías tú habría sacado de ellos 6 2/3, cruceros”. ¿Cuántos huevos llevaron cada una? Solución Supongamos que la primera campesina tenía x huevos. La segunda tendría 100 - x. Si la primera hubiera tenido 100 - x habría sacado de ellos 15 cruceros. Eso quiere decir que la primera campesina vendió los huevos
![]()

![]()
![]()
![]()
x2 + 160x – 8000 = 0,
de dondex1 = 40, x2 = -200.
La raíz negativa carece de sentido en el presente caso. El problema no tiene más que un resultado: la primera campesina llevó al mercado 40 huevos y la segunda 60. El problema puede resolverse con más brevedad. El procedimiento es más ingenioso, aunque más difícil. Supongamos que la segunda campesina llevó al mercado k huevos más que la primera. Ambas recibieron por su mercancía la misma suma de dinero. Esto significa que la primera vendió los huevos k veces más caros que la segunda. Si hubieran cambiado la mercancía, la primera campesina hubiera tenido k veces más huevos que la segunda y los habría vendido k' veces más caros, recibiendo k2 más dinero que aquélla. Por lo tanto tendremos:k2 = 15 / 6 2/3 = 45 /20 = 9/4
de donde resulta quek = 3 / 2
Ahora no nos queda más que dividir los 100 huevos proporcionalmente a 3 y a 2. La primera campesina llevó 40 huevos y la segunda, 60.6. Los altavoces
Problema
En la plaza hay instalados 5 altavoces distribuidos en dos grupos: uno de ellos consta de 2 altavoces, y el otro, de 3. La distancia que separa los dos grupos es de 50 m. ¿Dónde habrá que colocarse para que el sonido de ambos grupos se oiga con la misma intensidad? Solución Si designamos con x la distancia que separa el punto buscado del grupo de dos altavoces, entonces, la distancia entre este punto y el otro grupo será 50 - x (véase la fig. 16).

Figura 16

x2 + 200x - 5000 = 0.
La ecuación tiene dos raíces: x1 = 22,5 y x2 = - 222,5. La raíz positiva corresponde a la pregunta formulada en el problema: el punto citado se encuentra a 22,5 m de distancia del grupo de dos altavoces, y, en consecuencia, a 27,5 m del grupo de tres. Pero ¿qué significa la raíz negativa? ¿Tiene algún sentido? Indudablemente. El signo menos significa que el segundo punto de idéntica audición se encuentra en dirección opuesta al punto positivo que se tomó al establecer la ecuación. Partiendo del lugar ocupado por los dos reproductores y en la dirección conveniente llegamos a los 222,5 m, punto en el que el sonido de ambos grupos de altavoces se oye con la misma intensidad. Este punto dista222,5 + 50 = 272,5 m
del grupo de tres aparatos. Así pues se han encontrado dos puntos de igual audición colocados en la línea formada por las fuentes de sonido. En esta línea no hay más puntos donde coincida la intensidad de sonidos, pero fuera de ella, sí. Puede demostrarse que el lugar geométrico de los puntos que responden a las condiciones del problema es la circunferencia que pasa por los dos puntos hallados, cual si fueran los extremos de su diámetro. Esta circunferencia, como vernos, limita un espacio bastante extenso (la parte rayada en la figura) dentro del cual la intensidad auditiva del grupo formado por dos altavoces supera la audición del grupo de tres aparatos; fuera del espacio indicado se observa el fenómeno opuesto.7. El álgebra del vuelo a la Luna
Del mismo modo como se han encontrado los puntos de igual audición de dos tipos de altavoces, se puede encontrar también puntos de igual atracción del cohete cósmico por dos cuerpos celestes, la Tierra y la Luna. Busquemos estos puntos. De acuerdo con la ley de Newton, la fuerza de atracción recíproca de dos cuerpos es directamente proporcional al producto de las masas que se atraen, e inversamente proporcional al cuadrado de la distancia entre ellos. Si designamos con M la masa de la Tierra y con x la distancia entre ella y el cohete, la fuerza con que la Tierra atrae cada gramo de masa de la nave aérea se expresará mediante
![]()
![]()
![]()
![]()
![]()
80,5 x2 – 163 lx + 81,5 l2=0
Al despejar la incógnita x resulta:x1 = 0,9 l , x2 = 1,12 l.
Al igual que en el problema de los altavoces, se llega a la conclusión de que en la línea que une la Tierra y la Luna existen dos puntos buscados donde la atracción de ambos planetas actúa sobre el cohete con idéntica intensidad: uno a 0,9 de la distancia que separa los planetas partiendo del centro de la Tierra; el otro, a 1,12 de esta misma distancia. Como quiera que la distancia l entre los centros de la Tierra y la Luna >> 384.000 km, uno de los puntos buscados se encuentra a 346.000 km de la Tierra; el otro, a 430.000 km. Sabemos ya por el problema anterior que esa misma propiedad caracteriza a todos los puntos de la circunferencia que pasa por los dos puntos hallados, tomados como los dos extremos del diámetro. Si hacemos girar esa circunferencia tomando como eje la línea que une los centros de la Tierra y la Luna describirá una esfera cuyos puntos responden a las exigencias del problema.
Figura 17
1,12 l - 0,9 l = 0, 22 l >> 84.000 km
Mucha gente piensa erróneamente que para acertar con un cohete en la Luna basta con hacerle alcanzar la esfera de atracción de ésta. A primera vista parece que si el cohete se halla dentro de la esfera de atracción (y su velocidad no es muy grande) él debe caer forzosamente en la superficie de la Luna, por cuanto la fuerza de atracción de la Luna “supera” a la de la Tierra. Si fuera así entonces la tarea del vuelo a la Luna sería mucho más fácil, pues no haría falta acertar a la Luna cuyo diámetro se ve en el cielo bajo un ángulo de ½’, sino a un globo de 84.000 km de diámetro, la dimensión del cual equivale a 12’. Pero no es difícil demostrar el error con un sencillo razonamiento. Supongamos que un cohete lanzado desde la Tierra hacia la Luna, al perder su velocidad a causa de la atracción terrestre, llegue a la esfera de la atracción lunar teniendo la velocidad cero. ¿Va a caer éste en la Luna? ¡De ningún modo! En primer lugar, dentro de la esfera de atracción lunar hay también la atracción terrestre. Por eso fuera de la línea de Tierra - Luna aunque la fuerza de atracción de lunar “supera” a la terrestre, éstas fuerzas se suman de acuerdo con la regla del paralelogramo y obtendremos una fuerza resultante que no se dirige directamente al centro de la Luna (esta fuerza resultante sólo se dirige directamente al centro de la Luna en la línea de Tierra - Luna). En segundo lugar (y esto es lo más importante), la Luna misma es un blanco móvil y si nosotros queremos saber cómo se va a mover el cohete con relación a ésta (si éste va a “caer” en ella), hace falta tener en cuenta la velocidad del cohete respecto a la Luna. Mas esta velocidad no equivale a cero, pues la misma Luna se mueve alrededor de la Tierra con una velocidad de 1 km/seg. Por eso la velocidad del movimiento del cohete con relación a la Luna es demasiado grande para que ésta pueda atraer el cohete o por lo menos detenerlo en su esfera de atracción como un satélite artificial. En realidad la atracción de la Luna empieza a ejercer influencia considerable en el movimiento del cohete antes de acercarse éste a la esfera de atracción de lunar. En la balística celeste hay que tener en cuenta la atracción lunar desde el momento en que el cohete llega a la esfera de influencia de la Luna que tiene el radio de 66.000 km. En este caso ya se puede considerar el movimiento del cohete con relación a la Luna al olvidar por completo la atracción terrestre, pero hace falta tener en cuenta la velocidad exacta (respecto a la Luna) con que el cohete entra en la esfera de influencia lunar. Por eso es natural que el cohete deba ser lanzado a la Luna siguiendo una trayectoria que pueda asegurar que la velocidad (con relación a la Luna) de entrada en la esfera de influencia lunar esté dirigida directamente a la Luna. Para eso la esfera de influencia de la Luna debe chocar con el cohete que se mueve a su encuentro. Como se ve no es tan fácil acertar a la Luna como se haría a un globo de 84.000 km de diámetro.8. “Ejercicio complicado”
Problema Son muchos los que conocen el cuadro Ejercicio complicado, (año 1895) de Bogdanov – Belski, pero muy pocos se percatan del contenido del “ejercicio complicado” al contemplar dicho cuadro. Trátase de resolver rápida y mentalmente el siguiente ejercicio:
![]()

Figura 18
102 + 112 + 122 = 132 + 142
Comoquiera que100 + 121 + 144 = 365,
es fácil hallar mentalmente que la expresión reproducida en el cuadro es igual a 2. El álgebra nos ofrece los medios necesarios para plantear con más amplitud la cuestión de esta interesante particularidad de las series de números. ¿Es acaso ésta la única serie de cinco números consecutivos, en la que la suma de los cuadrados de los tres primeros es igual a la suma de los cuadrados de los otros dos? Solución Si expresamos el primero de los números buscados con x, tendremos la siguiente ecuación:x2 +(x + 1)2 + (x + 2)2 = (x + 3)2 + (x+ 4)2
Sin embargo, es más cómodo expresar con x, no el primer número de los buscados, sino el segundo. Entonces la ecuación tendrá un aspecto más sencillo:(x – 1)2 + x2 + (x + 1)2 = (x + 2)2 + (x+ 3)2
Al abrir los paréntesis y reducir los términos semejantes, resultará:x2 -10x - 11 = 0,
de donde![]()
x1 = 11, y x2 = -1
Existen por consiguiente, dos series de números que tienen las propiedades exigidas: la serie de Rachinski 10, 11, 12, 13, 14 y la serie -2, -1, 0, 1, 2. Así es, en efecto,(-2)2 + (-1)2 + 02 = 12 + 22.
9. ¿Qué números son?Problema Hállense tres números consecutivos en los que el cuadrado del número del medio sea mayor en una unidad al producto de los dos restantes. Solución Si la primera cifra es x, tendremos la ecuación:
( x + 1)2 = x ( x + 2) + 1.
Abriendo los paréntesis resultará la siguiente ecuación:x2 + 2x + 1 = x2 + 2x + 1,
de la cual no puede deducirse la magnitud de x . Esto muestra que la igualdad formulada por nosotros es una identidad; y la identidad es efectiva, no sólo cuando sus letras encierran un valor determinado, como ocurre en la ecuación, sino para cualquier valor de las mismas. Por ello, tres números consecutivos, sean los que fueren, poseen dicha propiedad. En efecto, tomemos tres cifras al azar:17, 18, 19
y nos convenceremos de que182 –17 *19 = 324 – 323 = 1.
Lo inevitable de esta correlación salta más a la vista si expresamos la segunda cifra con la letra x, con lo quex2 - 1 = (x + 1) * (x - l).
Es decir, se trata de una identidad evidente.Capítulo 7
La magnitud mayor y la menor
- Dos trenes
- ¿Dónde construir el apeadero?
- ¿Cómo trazar la carretera al embarcadero?
- ¿Cuándo alcanza el producto su máximo valor?
- ¿Qué suma será la menor?
- El tronco de mayor volumen
- Dos parcelas de tierra
- La cometa
- La construcción de una casa
- La parcela
- El canalón de sección máxima
- El embudo de mayor capacidad
- La iluminación más intensa
1. Dos trenes
Problema
Dos líneas férreas se cruzan formando un ángulo recto. Los trenes se acercan a gran velocidad hacia el cruce. Uno parte de cierta estación situada a 40 km del cruce; el otro, de una estación que dista 50 km del cruce. El primero marcha a una velocidad de 800 m por minuto, el segundo a 600 m ¿Cuántos minutos transcurrirán desde el momento de la partida para que las locomotoras se hallen a la menor distancia entre sí, y cuál será esa distancia? Solución Dibujemos el esquema de la marcha de los trenes. Supongamos que las líneas rectas AB y CD son dos líneas férreas que se cruzan (fig. 19) La estación B se encuentra a 40 km del cruce O, y la estación, D a 50 km. Admitamos que al cabo de x minutos los trenes se encuentran a la distancia más próxima entre sí: (MN = m). El tren que sale de B hace el recorrido BM = 0,8 x, ya que en un minuto recorre 800 m = 0,8 km. Por consiguiente, OM = 40 - 0,8 x. Del mismo modo hallaremos que ON = 50 - 0,6 x. Según el teorema de Pitágoras:
![]()
![]()

Figura 19
x2 – 124 + 4100 – m2 = 0
Resolviendo la ecuación para hallar el valor de x, resultará![]()
m2 = 256, o sea, m = 16.
Es evidente que m no puede ser menor que 16, de lo contrario x se convertiría en una raíz imaginaria. Y si m2 – 256 = 0, entonces x = 62. De esta forma las locomotoras llegan a su punto de mayor aproximación al cabo de 62 minutos, y la distancia que las separa será de 16 km. Determinemos dónde se encontrará cada una en el momento de mayor aproximación. Al buscar la distancia OM, tendremos que es igual a40 – 62 * 0,8 = -9,6.
El signo negativo indica que la primera locomotora habrá rebasado el cruce en 9,6 km. La distancia ON será:50 – 62 * 0,6 = 12,8.
Es decir, que a la segunda locomotora le faltarán 12,8 km para llegar al cruce. En la fig. 20 se ve la posición que ocupan las locomotoras en el momento dado. Se puede apreciar que ésta no es tal y como nos la imaginábamos al principio.
Figura 20
2. ¿Dónde construir el apeadero?
Problema
A 20 km del ferrocarril, cuya línea es recta, se encuentra el punto poblado B (fig. 21):

Figura 21
AC = AD - CD = a -x
![]()
![]()
![]()
![]()
![]()
![]()
![]()
15 x2 – 2 kx + 6.400 – k2 = 0
de donde:![]()
![]()
![]()
3. ¿Cómo trazar la carretera al embarcadero?
Problema
Desde la ciudad ribereña A hay que trasladar cargamento al punto B, situado a a km más abajo, y a d km de la orilla del río (fig. 22). ¿Cómo debe trazarse la carretera desde B al río para que el transporte de cargas desde A hasta B resulte lo más barato posible, considerando que el transporte de una tonelada-kilómetro por río cuesta la mitad que por carretera?

Figura 22
Expresaremos la distancia AD con la x, y la longitud de la carretera DB con la y. Como hemos supuesto, la longitud AC = a, y la BC = d. Puesto que el transporte por carretera cuesta el doble que por río, la suma x + 2y debe ser, respondiendo a las exigencias del problema, la más pequeña. Expresémosla con la m. De aquí la ecuación
x + 2y = m.
Perox = a – DC
y![]()
![]()
3y2 - 4 (m - a) y + (m - a)2 + d2 = 0.
Resolvamos ahora la ecuación:
![]()
![]()
![]()

4. ¿Cuándo alcanza el producto su máximo valor? Problema Para resolver muchos problemas relacionados con “el máximo y el mínimo”, es decir, para buscar el valor mayor y el menor de una magnitud variable, puede emplearse un teorema algebraico que examinaremos a continuación. Veamos el problema siguiente: Si se divide un número en dos partes ¿En qué partes debe dividirse éste para que su producto alcance el máximo valor? Solución Supongamos que el número dado sea a. Las partes en que se divide a son:
![]()
![]()
(a /3) + x
También habrá otra parte menor que a/3 que representaremos con:(a /3) – y
Los números x e y son positivos. La parte tercera será indudable-mente igual a:(a /3) + y - x
Los números (a/3) y (a/3) + x - y representan una suma igual a la de las dos primeras partes del número a, pero la diferencia entre ellas (es decir, x - y) es menor que la diferencia entre las dos primeras partes, que era equivalente a x + y. Como hemos visto en el problema anterior, el producto de![]()
(a/3) y (a/3) + x - y
dejando la tercera intacta, el producto aumentará. Supongamos ahora que una de las partes es igual a a/3. Entonces las otras dos partes se presentarán asía /3 + z y a/3 - z
Si hacemos que estas dos partes sean iguales a a/3 (cuya suma, por ello, no se altera), veremos que su producto aumenta, siendo igual a:![]()
xp * (a – x)q
alcance su máxima magnitud. Multipliquemos esta expresión por 1/xp * yq y obtendremos la siguiente:

![]()

![]()
x / y = p / q
De esta forma, el producto de xp*yq alcanza su máximo valor, si la suma x + y es constante, cuandox : y = p : q
Siguiendo semejante razonamiento puede demostrarse que los productosx p ·y q * z r, x p * y q * z r * t u, etc.
llegan a su valor máximo, si las sumas x + y + z, x + y + z + t, etc. son constantes, cuando:x : y : z = p : q : r, x : y : z : t = p : q : r: u, etc.
5. ¿Qué suma será la menor?El lector que desee abordar la demostración de teoremas algebraicos de valor práctico, puede demostrar por sí mismo el siguiente principio: a. La suma de dos números, cuyo producto es constante, alcanza el valor mínimo cuando dichos números son iguales. Por ejemplo, para el producto 36: 4 + 9 = 13, 3 + 12 = 15, 2 + 18 = 20, 1 + 36 = 37 y, por último, 6 + 6 = 12. b. La suma de varios números, cuyo producto es constante, alcanza el valor mínimo cuando dichos números dados son iguales. Por ejemplo, para 216: 3 + 12 + 6 = 21, 2 + 18 + 6 = 26, 9 + 6 + 4 = 19, mientras que 6 + 6 + 6 = 18. Mostremos en una serie de ejemplos cómo se aplican en la práctica estos teoremas.
6. El tronco de mayor volumen
Problema De un tronco cilíndrico debe sacarse una viga rectangular del máximo volumen. ¿Qué forma ha de tener su sección? (fig. 23)

Figura 23
x2 + y2 = d2
Donde d es el diámetro del tronco. El volumen de la viga será el máximo cuando la superficie de su sección sea también máxima, es decir, cuando xy alcance el mayor valor. Más si xy tiene su máximo valor, también lo tendrá x2y2. Y como la suma x2 + y2 es constante, el producto x2 y2 será máximo, como demostramos antes, cuandox2 = y2 ó x = y
Por lo tanto, la sección de la viga debe ser cuadrada.7. Dos parcelas de tierra
Problemas
- ¿Qué forma ha de tener una parcela rectangular de un área dada, para que la longitud de su cerca sea la menor posible?
- ¿Qué forma debe tener una parcela rectangular para que, con una longitud fija de su cercado, tenga aquélla la mayor área posible?
8. La cometa
Problema Búsquese la forma de una cometa con un sector circular que tenga la mayor superficie, partiendo de un perímetro previamente dado. Solución Precisadas las condiciones del problema, debemos hallar la relación entre la longitud del arco del sector y su radio que nos dé la mayor superficie posible, sin alterar el perímetro dado.

Figura 24
l = 2x + y,
S = xy/2 = x (l-2 x) /2
La magnitud de S llega a su máximo valor, con los valores de x que lo proporcionen también a la expresión 2x(1 - 2x), o sea, el cuádruplo de la superficie, Y como la suma 2x + (1 - 2x) = l es una magnitud constante, su producto será el mayor cuando 2x = l - 2x, de donde:x = l/ 4, y = l – 2 * l /4 = l /2
De esta forma, un sector con perímetro dado tiene la mayor superficie cuando su radio representa la mitad del arco (es decir, la longitud de su arco es igual a la suma de los radios; o la longitud de la línea curva de su perímetro es igual a la longitud de la quebrada). El ángulo del sector es aproximadamente de 115°, o sea, dos radianes. Las cualidades de vuelo de tal cometa ya es una cuestión ajena a este problema.9. La construcción de una casa
Problema
En el solar de una casa derruida, donde queda en pie tan sólo una pared de 12 m de largo, se proyecta la construcción de un nuevo edificio aprovechando el muro existente.

Figura 25
- La reparación de un metro lineal de pared vieja equivale al 25% de lo que cuesta levantar una nueva.
- El derribo de un metro lineal de la pared vieja y la construcción de una nueva con ladrillo recobrado alcanza el 50% de lo que costaría levantarla con material de fábrica.
![]()
7x * 8y = 56 * 112.
Si el producto es constante, la suma 7x * 8y tomará el menor valor cuando:7x = 8y
de donde:y = (7/8) * x
Sustituyendo el valor de y en la ecuación xy = 112, tendremos:![]()
![]()
10. La parcela
Problema
Con el fin de construir una casa de campo se precisaba cercar la pared destinada a este fin. Contábase con material para l metros lineales de valla. Además, en uno de los lados de la parcela podía emplearse una cerca construida con anterioridad.

Figura 26
x + 2 y = l.
El área de la parcela será S = xy = y(l - 2 y), que alcanzará un valor máximo simultáneamente con el valor 2 y (l - 2 y) (doble del área), producto de dos factores, siendo l constante. Por eso, para conseguir la mayor área de la parcela, debe tener lugar la siguiente igualdad2 y = l - 2 y,
de dondey = l /4, x = l - 2 y
En otras palabras: x = 2 y, es decir, la longitud de la parcela debe ser el doble de la anchura.11. El canalón de sección máxima
Problema Hemos de doblar en forma de canalón una hoja de lámina rectangular (fig. 27).

Figura 27

Figura 28

Figura 29

Figura 30
![]()
![]()
(y + z) (y + z) (x + z) (3 x - 3 z).
La suma de estos factores será:y + z + y + z + x + z + 3 x - 3 z = 2 y + 4 x = 2l,
es decir, es invariable. Por eso, el producto de nuestros cuatro factores llega al máximo cuando éstos son iguales entre sí, es decir:y + z = x + z
x + z = 3 x - 3 z.
Por la primera ecuación sabemos que:y = x
y como.y + 2 x = l
entoncesx = y = l / 3
De la segunda ecuación, resultaz = x /2 = l / 6
Como el cateto z es igual a la mitad de la hipotenusa x (fig. 30), el ángulo opuesto a este cateto será igual a 30°, y el ángulo de inclinación de los costados equivaldrá a 90° + 30° =120°. En fin, el canalón alcanzará la mayor sección cuando sus dobleces tengan la forma de 3 lados contiguos de un hexágono regular.12. El embudo de mayor capacidad
Problema
Debemos construir la parte cónica de un embudo valiéndonos de un círculo de hojalata. Para ello se corta un sector en dicho círculo y, con el resto, se construye el cono (fig. 31).

Figura 31
2 π r = x,
de donde:r = x/ 2 π
La altura del cono, según el teorema de Pitágoras, será (fig. 31).![]()
![]()
![]()




![]()

Problema
¿A qué altura de la mesa debe hallarse la llama de una vela para que ilumine con la mayor intensidad a una moneda colocada sobre dicha mesa? Solución Puede parecer que para conseguir el objetivo propuesto deba colocarse la llama lo más baja posible. Esto es falso. En esas condiciones, los rayos de luz caen muy oblicuos. Más si se eleva la vela para que los rayos caigan más verticales, el foco de luz se aleja. Por eso, la iluminación más ventajosa es, sin duda, la que se realiza desde una altura media.

Figura 32

![]()






a2 = 2x2 + 2a2 -2a2
que al resolverla resultará:![]()
- La progresión más antigua
- Algebra en papel cuadriculado
- El riego de la huerta
- La comida para las gallinas
- Brigada de cavadores
- Las manzanas
- La compra del caballo
- La recompensa del soldado
Problema
El problema de progresiones más antiguo no es el de la recompensa al inventor del ajedrez, que tiene ya más de dos mil años, sino otro mucho más viejo, repartición del pan, registrado en el célebre papiro egipcio de Rind. Este papiro, hallado por Rind a fines del siglo pasado, fue escrito unos 2.000 años antes de nuestra era y constituye una copia de otra obra matemática aún más remota que data seguramente del tercer milenio antes de nuestra era. Entre los problemas aritméticos, algebraicos y geométricos que figuran en dicho documento aparece el que transmitimos en traducción libre. Entre cinco personas se repartieron cien medidas de trigo, de tal suerte que la segunda recibió más que la primera tanto como le correspondió a la tercera más que a la segunda, a la cuarta más que a la tercera y a la quinta más que a la cuarta. Además, las dos primeras obtuvieron siete veces menos que las tres restantes. ¿Cuánto correspondió a cada una? Solución Es evidente que las cantidades de trigo distribuidas entre los cinco participantes en el reparto constituyen una progresión aritmética creciente. Supongamos que el primer miembro sea x, y la diferencia, y.

Figura 33
| Parte de la 1ª | x |
| Parte de la 2ª | x + y |
| Parte de la 3ª | x + 2 y |
| Parte de la 4ª | x + 3 y |
| Parte de la 5ª | x + 4 y |
De acuerdo con las premisas del problema establecemos estas dos ecuaciones:
x + (x + y) + (x + 2y) + (x + 3y) + (x + 4y) = 100,
7[x + (x + y)] = (x + 2y) + (x + 3y) + (x + 4y)
Después de su simplificación, la primera ecuación seráx + 2 y = 20,
y la segunda:11 x = 2y.
Al resolver este sistema resultaráx = 1 2/3, y = 9 1/6
Por consiguiente, el trigo debe ser repartido en las siguientes proporciones:1 2/3, 10 5/6, 29 1/6, 38 1/3
2. Algebra en papel cuadriculadoA pesar de que este problema de progresiones tiene ya 50 siglos de antigüedad, en la práctica escolar, la progresión apareció hace relativamente poco tiempo. Aunque en el manual de Magnitski, publicado hace doscientos años y empleado en Rusia durante medio siglo como texto en las escuelas, se tratan las progresiones, no se dan fórmulas generales que relacionen las magnitudes que figuran en las mismas.

Figura 34
2; 5; 8; 11; 14.
Para determinar la suma de los miembros completamos el diseño hasta formar el rectángulo ABGE y obtendremos dos figuras iguales: ABDC y DGEC. La superficie de cada una representa la suma de los miembros de nuestra progresión. De ahí que la doble suma de los miembros es igual a la superficie del rectángulo ABGE, es decir:(AC+CE) * AB.
Pero AC + CE expresa la suma de los miembros 1° y 5° de la progresión; AB representa el número de miembros de la progresión, por eso, el doble de la suma.2S = (suma del primero y el último) x (número de términos)
ó:S = (suma del primero y el último) x (número de términos)/2
3. El riego de la huertaProblema
En una huerta hay 30 caballones; cada uno de ellos tiene 16 m de largo y 2,5 m de ancho. Durante el riego, el hortelano lleva los cubos de agua desde el pozo situado a 14 metros del extremo de la huerta (fig. 35) y da la vuelta al caballón por el surco. El agua que carga cada vez le sirve para regar un solo caballón. ¿Cuál es la longitud del camino que recorre el hortelano para regar toda la huerta? El camino comienza y termina junto al pozo.

Figura 35
Para regar el primer caballón, el hortelano ha de recorrer un camino igual a:
14 + 16 + 2,5 + 16 + 2,5 + 14 = 65 m.
Para regar el segundo recorre:14 + 2,5 + 16 + 2,5 + 16 + 2,5 + 2,5 +14 = 65 + 5 = 70 m.
Cada nuevo caballón exige andar 5 metros más que para ir al anterior. Por ello tendremos la siguiente progresión:65; 70; 75;...; 65 + 5 * 29.
La suma de sus miembros será(65+ 65 + 29 * 5) * 30 / 2 = 4 125 m
Para regar toda la huerta, el hortelano necesita recorrer 4,125 km,4. La comida para las gallinas
Problema
Para 31 gallinas se ha preparado una cantidad de reservas de comida a base de un decalitro semanal para cada una. Esto se hacía en el supuesto de que el número de gallinas permaneciera invariable. Pero, debido a que cada semana disminuía en una el número de aves, la comida preparada duró el doble tiempo del proyectado. ¿Qué cantidad de comida prepararon como reserva y para cuánto tiempo fue calculada? Solución Supongamos que la reserva fue de x decalitros de comida para y semanas. Como el alimento se calculó para 31 gallinas a razón de 1 decalitro por cabeza a la semana, resulta que:
x = 31 y
En la primera semana fueron consumidos el 31 Dl; en la segunda, 30; en la tercera, 29, y así sucesivamente hasta la última semana del doble de plazo, cuando se consumió:(31- 2y + 1) Dl.
La reserva, por consiguiente, sería de:x = 31y = 31 + 30 + 29 +...+ (31 - 2 y + 1).
La suma de 2y miembros de la progresión, el primero de la cual es 31, y el último 31-2 y + l, será igual a:![]()
31 = 63 - 2y
y = 16
de donde:x = 31y = 496.
Fueron preparados 496 Dl de comida para 16 semanas.5. Brigada de cavadores
Problema
Un grupo de alumnos de la secundaria se hizo cargo de construir una zanja en la huerta de la escuela y para eso formaron una brigada. Si hubiera trabajado toda la brigada, la zanja habría sido cavada en 24 horas. Mas el trabajo fue comenzado por un solo miembro de la brigada. Poco después se le unió otro y más tarde un tercero, al cabo del mismo tiempo se incorporó un cuarto, y así sucesivamente, hasta el último. Cuando se hizo el balance del trabajo efectuado, resultó que el primero había invertido en el trabajo 11 veces más de tiempo que el último. ¿Cuánto trabajó el último? Solución Supongamos que el último miembro de la brigada trabajó x horas; siendo así, el primero habrá trabajado 11x horas. Prosigamos. Si el número de miembros de la brigada es y, el número global de horas de trabajo se determina corno la suma de y miembros de una progresión decreciente, cuyo primer término es 11x, y el último, x, es decir:
![]()
6xy = 24 y.
Como y no es igual a 0, la ecuación puede ser simplificada por ese factor, después de lo cual obtendremos:6 x = 24 y x = 4.
Por lo tanto, el último miembro de la brigada trabajó 4 horas. Hemos contestado a la pregunta del problema, mas si quisiéramos saber el número de obreros con que cuenta la brigada no podríamos determinarlo, aunque en la ecuación figuraba este último con la y. Para resolver esta cuestión no se cuenta con datos suficientes.6. Las manzanas
Problema
Un hortelano vendió al primero de sus compradores la mitad de las manzanas de su jardín más media manzana; al segundo, la mitad de las restantes más media; al tercero, la mitad de cuantas quedaron más media, etc. El séptimo comprador adquirió la mitad de las manzanas que quedaban más media, agotando con ello la mercancía ¿Cuántas manzanas tenía el jardinero? Solución Si el número inicial de manzanas era x, el primer comprador adquirió:
![]()
![]()
![]()
![]()
![]()
![]()
![]()
x = 27 -1 = 127
El hortelano tenía 127 manzanas.7. La compra del caballo
Problema
En la aritmética de Magnitski encontramos un divertido problema que damos a conocer sin sujetarnos al lenguaje del original: Cierta persona vendió su caballo por 156 rublos. Mas el comprador se arrepintió de haberlo adquirido y devolvió el caballo diciendo: - No me interesa comprar el caballo por ese precio, pues no lo merece. El vendedor le propuso nuevas condiciones: - Si te parece elevado ese precio, compra sólo los clavos de las herraduras y conseguirás gratis el caballo. En cada herradura hay 6 clavos; por el primer clavo me pagas tan sólo ¼ de kopek; por el segundo, ½; por el tercero, 1 kopek, etc. El comprador, deslumbrado por las nuevas condiciones, en su afán de tener gratis un caballo, aceptó la propuesta, creyendo que tendría que pagar por los clavos no más de 10 rublos. ¿Cuál fue el importe de la compra? Solución Por los 24 clavos hubo de pagar:
¼ + ½ + 1 + 2 + 22 + 23 +... + 221 kopeks
cuya suma será igual a:
8. La recompensa del soldado
Problema
De otro antiguo manual ruso de matemáticas, que lleva el ampuloso título de Curso completo de matemáticas puras elaborado por Efim Voitiajovski, cadete de artillería y profesor particular, para uso y provecho de la juventud y cuantos se ejercitan en matemáticas (1795), copio el siguiente problema. “Un soldado veterano recibe como recompensa 1 kopek por la primera herida sufrida; 2, por la segunda; 4, por la tercera, etc. Cuando se hizo el recuento, el soldado resultó recompensado con 655 rublos 35 kopeks. Deséase saber el número de heridas”. Solución Planteamos la ecuación
65.535 = 1 + 2 + 22 + 23 +... + 2x–1
ó![]()
65.536 = 2x y x = 16
resultado que obtenemos fácilmente por tanteo. Con este generoso sistema de recompensa, el soldado debía ser herido 16 veces, quedando además vivo, para obtener 655 rublos y 35 kopeks.Capítulo 9
La séptima operación matemática
- La séptima operación
- Los rivales de los logaritmos
- Evolución de las tablas de logaritmos
- Curiosidades logarítmicas
- Los logaritmos en escena
- Los logaritmos en el corral
- Los logaritmos en la música
- Las estrellas, el ruido y los logaritmos
- Los logaritmos y el alumbrado eléctrico
- Legados a largo plazo
- Interés continuo
- El número “e”
- Comedia logarítmica
- Expresar cualquier número tan sólo con tres doses
Hemos recordado que la quinta operación -elevación a potencias- tiene dos operaciones inversas. Si ab = c, la búsqueda de a será una de las operaciones inversas: la extracción de raíz. Para hallar la b se recurre a la otra: la logaritmación. Supongo que el lector conoce las nociones de logaritmos correspondientes a un curso escolar. Para él no representará ninguna dificultad encontrar, por ejemplo, a qué es igual a log ab. Es fácil comprender que si la base del logaritmo a se eleva a la potencia del logaritmo del número b se obtendrá el número b. Los logaritmos fueron descubiertos para acelerar y simplificar el cálculo. Neper, inventor de las primeras tablas de logaritmos, refiere así el propósito que le animaba: “En la medida de mis capacidades, me proponía evitar las difíciles y aburridas operaciones de cálculo, cuyo fastidio constituye una pesadilla para muchos que se dedican al estudio de las matemáticas”. En efecto, los logaritmos facilitan y aceleran en grado sumo los cálculos, sin hablar ya de que permiten realizar operaciones que serían en extremo complejas si no los aplicáramos (extracción de raíces de cualquier índice). Laplace escribió con todo fundamento que “con la reducción del trabajo de varios meses de cálculo a unos pocos días, el invento de los logaritmos parece haber duplicado la vida de los astrónomos”. El famoso matemático se refería a los astrónomos por cuanto se ven obligados a hacer cálculos agotadores y de singular complejidad. Mas sus palabras pueden ser aplicadas con pleno derecho a todos aquellos que operan con números. A nosotros, acostumbrados al empleo de logaritmos y al alivio que proporcionan, nos es difícil comprender el asombro y la admiración que ocasionó su aparición. Briggs, contemporáneo de Neper, célebre más tarde por su invención de los logaritmos decimales, escribió al recibir la obra de aquél: “Con sus nuevos y asombrosos logaritmos, Neper, me ha obligado a trabajar intensamente con la cabeza y las manos. Confío verle este verano, pues jamás he leído un libro que tanto me agradara y asombrara como éste”. Briggs realizó su deseo, dirigiéndose a Escocia para visitar al inventor de los logaritmos. Cuando se encontraron, Briggs le dijo: “He emprendido este prolongado viaje con el fin exclusivo de verle a usted y conocer con ayuda de qué ingenioso procedimiento y de qué arte se ha valido para concebir ese admirable recurso para los astrónomos: los logaritmos. Y, por cierto, que lo que ahora más me asombra es que nadie los hallara antes; hasta tal punto parecen sencillos después de conocerlos”.
2. Los rivales de los logaritmos
Antes de haberse inventado los logaritmos, la necesidad de acelerar las operaciones determinó la aparición de unas tablas de otro género, mediante las cuales la multiplicación se suplía por la resta y no por la suma. Dichas tablas se basaban en la identidad:
![]()
3. Evolución de las tablas de logaritmos
Hasta hace poco tiempo, en nuestras escuelas se empleaban tablas de logaritmos de cinco cifras. Actualmente se ha pasado a las de cuatro, por cuanto cubren las necesidades de los cálculos técnicos. Más para la mayoría de las necesidades prácticas son más que suficientes las mantisas de 3 cifras, ya que las mediciones comunes raramente se realizan con más de tres cifras. El empleo de mantisas con pocas cifras es bastante reciente. Recuerdo los tiempos en los que en nuestras escuelas se empleaban voluminosas tablas de logaritmos de 7 cifras, que fueron sustituidos por los de 5 sólo después de duro forcejeo. Al aparecer en 1794 las tablas de logaritmos de 7 cifras fueron tachadas de novedad inadmisible. Las primeras tablas de logaritmos decimales, confeccionadas por el matemático inglés Henri Briggs, en 1624, tenían 14 cifras. Unos años después Andrian Vlacq, matemático holandés, redujo sus tablas a 10 cifras. Como vemos, la evolución de las tablas corrientes de logaritmos ha sido en sentido restrictivo, pasando de las mantisas de cifras numerosas a otras más cortas, proceso que no ha terminado aún en nuestros días, porque todavía hay quien no comprende que la precisión en los cálculos no puede superar la exactitud de las mediciones. La reducción de las mantisas acarrea dos importantes consecuencias prácticas: La sensible disminución del volumen de las tablas y la correspondiente simplificación de su empleo, y, por lo tanto, la aceleración de los cálculos que se efectúan con ellas. Las tablas de siete cifras ocupan cerca de 200 páginas de gran formato; las de 5, 30 páginas, la mitad de formato que las anteriores; las de 4 decimales ocupan un espacio diez veces menor, reduciéndose a dos páginas cuando se imprimen en formato grande, y, las de 3 pueden limitarse a una sola página. En cuanto a rapidez en las operaciones, los cálculos con las tablas de 5 cifras requieren la tercera parte de tiempo que al operar con las de 7.
4. Curiosidades logarítmicas
Si las tablas de 3 ó 4 cifras satisfacen completamente las necesidades logarítmicas de la vida práctica y los cálculos técnicos, en cambio los investigadores teóricos se ven obligados a manejar tablas mayores incluso que las de 14 cifras de Briggs. En realidad, los logaritmos son, en la mayoría de los casos, un número irracional que no puede ser expresado exactamente por muchos guarismos que lo formen: los logaritmos de la mayoría de los números, por muchas cifras que tengan se expresan sólo aproximadamente, aumentando su exactitud a medida que se toman más cifras para la mantisa. En los cálculos científicos, hay ocasiones en que resultan insuficientes las tablas de 14 cifras, pero entre los 500 tipos de tablas logarítmicas, publicadas desde que éstas fueron inventadas, el investigador puede encontrar siempre aquellas que le satisfacen. Recordemos, por ejemplo, las tablas de 20 cifras para números del 2 al 1.200, publicadas en Francia por Callet (1795). Para un grupo de números todavía más limitado hay tablas con enorme cantidad de cifras, es un verdadero milagro logarítmico cuya existencia, como he podido comprobar, era desconocida por muchos matemáticos. He aquí estas tablas gigantes, todas ellas de logaritmos neperianos.
- Las tablas de 48 cifras de Wolfram, para números inferiores á 10.000;
- las tablas de 61 cifras, de Sharp;
- las tablas de 102 cifras, de Parkhurst, y por último, la ultra curiosidad logarítmica:
- las tablas de 260 cifras, de Adams.
5. Los logaritmos en escena
El truco más sorprendente de cuantos han sido presentados ante el público por calculadores profesionales es, sin duda, el siguiente: Enterado por las carteleras de que un notable calculador se disponía a extraer de memoria las raíces de elevados índices de números muy grandes, prepara usted en casa, pacientemente, la 31ª potencia de un número cualquiera y se dispone a hacer fracasar al calculista con su gran número de 35 cifras. En el momento oportuno se dirige al calculador con las siguientes palabras: - Eso está bien, ¡pero pruebe a extraer la raíz, cuyo índice es 31, del siguiente número de 35 cifras! Tome nota, se las voy a dictar. El calculador toma la tiza, pero antes de que pronuncie usted la primera cifra, él ya ha encontrado el resultado: 13. El calculador sin saber el número, ha extraído su raíz, siendo, además, de grado 31; lo ha hecho de memoria y, por añadidura, ¡con rapidez de relámpago! ... Usted se maravilla y descorazona, aunque no ha sucedido nada extraordinario. El secreto reside en que no existe más que un número, precisamente el 13, que elevado a una potencia cuyo exponente sea 31, dé un resultado de 35 cifras. Los números menores a 13 dan menos de 35 cifras, y los mayores, más. ¿De dónde sabía eso el calculador? ¿Cómo halló la cifra 13? Se sirvió de los logaritmos, de logaritmos con dos cifras de mantisa, que recuerda de memoria, para los primeros 15 ó 20 números. Aprendérselos no es tan difícil como parece, sobre todo si se tiene en cuenta que el logaritmo de un número compuesto es igual a la suma de los logaritmos de sus factores primos. Recordando bien los logaritmos de 2, 3 y 7 se conocen ya los logaritmos correspondientes a los 10 primeros números; para saber los de la 2ª decena (del 10 al 20) hay que acordarse de los logaritmos de otros cuatro números. A cualquier calculador profesional le es fácil conservar en la memoria la siguiente tabla de logaritmos de dos cifras:
| Cifras | Log. | Cifras | Log. | |
| 2 | 0,30 | 11 | 1,04 | |
| 3 | 0,48 | 12 | 1,08 | |
| 4 | 0,60 | 13 | 1,11 | |
| 5 | 0,70 | 14 | 1,15 | |
| 6 | 0,78 | 15 | 1,18 | |
| 7 | 0,85 | 16 | 1,20 | |
| 8 | 0,90 | 17 | 1,23 | |
| 9 | 0,95 | 18 | 1,26 | |
| 19 | 1,28 |
El truco matemático que los ha llenado de asombro consiste en lo siguiente:
![]()
34/31 y 34,99/31 o entre 1,09 y 1,13.
En este intervalo sólo se encuentra el logaritmo de un número entero 1,11, que es el logaritmo de 13. De esa manera es como se halla el resultado que los ha dejado perplejos. Claro que para hacer todo esto mental y rápidamente hay que disponer del ingenio y la destreza de un profesional, pero en esencia, la cuestión es bastante sencilla. Cualquiera puede realizar trucos análogos, si no de memoria, al menos, por escrito. Supongamos que le proponen resolver el siguiente problema: extraer la raíz de índice 64 de un número de 20 cifras. Sin indagar de qué número se trata puede usted ofrecer el resultado: la raíz es igual a 2. En efecto:![]()
264 = 18 446 744 073 709 551 616.
6. Los logaritmos en el corralProblema
La llamada ración alimenticia de «sostén», (es decir, el alimento mínimo que cubre exclusivamente las calorías, que consume el funcionamiento de los órganos internos, el restablecimiento de las células que perecen, etc.) es proporcional a la superficie externa del cuerpo animal. Conociendo esto hallar las calorías necesarias para la ración alimenticia de sostén de un buey que pesa 420 kg. Se sabe que en esas condiciones, un buey que pesa 630 kg necesita 13.500 calorías. Solución Para resolver este problema práctico de la esfera de la ganadería, además de recurrir al álgebra debe utilizarse la geometría. De acuerdo con las condiciones del problema, las calorías buscadas (x) son proporcionales a la superficie externa (s) del cuerpo del animal, es decir,
![]()
![]()
![]()
![]()

![]()
7. Los logaritmos en la música
A los músicos raramente les atraen las matemáticas. Aunque en su mayoría, sienten respeto por esa ciencia, prefieren mantenerse alejados de ella. Sin embargo, los músicos, incluso los que como el Salleri de Pushkin menosprecian el álgebra en la armonía, se las tienen que ver con las matemáticas más a menudo de lo que ellos mismos suponen y, por añadidura, con cosas tan terribles como los logaritmos. A este propósito me permito transcribir el fragmento de un artículo de nuestro difunto profesor de física, A. Eihenvald. «A mi compañero de gimnasio le gustaba tocar el piano, pero no le agradaban las matemáticas; incluso manifestaba en tono despectivo que la música y las matemáticas no tienen nada en común: “Es cierto que Pitágoras halló ciertas correlaciones entre las vibraciones del sonido; pero precisamente la gama de Pitágoras resultó inaplicable para nuestra música”». Imagínense lo desagradable de la sorpresa de mi compañero al demostrarle que al tocar sobre las teclas del piano moderno, se toca, hablando con rigor, sobre logaritmos... Efectivamente: los llamados «grados» de tonalidad de la escala cromática no son equidistantes ni por el número de vibraciones ni por la longitud de las ondas de los sonidos respectivos, sino que representan los logaritmos de estas magnitudes. La base de estos logaritmos es 2, y no 10, como se admite en otros casos. Supongamos que la nota do de la octava más baja - la representamos con el cero - está determinada por n vibraciones por segundo. En este caso, el do de la primera octava producirá al segundo 2n vibraciones; el do de la m octava producirá n*2m vibraciones, etc. Expresemos todas las notas de la escala cromático del piano con los números p, tomando el do de cada octava como nota cero; entonces, la nota sol será la nota 7ª, el la, la 9ª, etc.; la 12ª será de nuevo el do, aunque de una octava más alta. Y como en la escala cromática, cada nota siguiente tiene
![]()
![]()
![]()
![]()
8. Las estrellas, el ruido y los logaritmos
Este título, que trata de cosas a primera vista tan heterogéneas, no parece ser el más indicado para una parodia de las obras de Kuzmá Prutkov, mas, en realidad, se ocupa de las estrellas y del ruido en estrecha conexión con los logaritmos. El ruido y las estrellas aparecen aquí juntos porque tanto la intensidad del sonido como la luminosidad de las estrellas se calculan de la misma manera: mediante la escala logarítmica. Los astrónomos dividen las estrellas, según el grado de luminosidad visible, en astros de primera magnitud, de segunda, tercera, etc. Las magnitudes consecutivas de las estrellas son representadas como miembros de una progresión aritmética. Mas la luminosidad física de las estrellas varía de acuerdo con otra ley, la luminosidad objetiva constituye una progresión geométrica, con una razón igual a 2,5. Es fácil comprender que la “magnitud” de una estrella no es otra cosa que el logaritmo de su luminosidad física. Por ejemplo, una estrella de tercera es 2,5(3-1) (es decir, 6,25) veces más luminosa que una estrella de primera magnitud. En pocas palabras: al establecer la luminosidad visible de una estrella, el astrónomo opera con las tablas de logaritmos de base 2,5. No me detengo con más detalle en estas interesantes correlaciones por cuanto en otro de mis libros, Astronomía Recreativa, se dedican a ello suficientes páginas. De la misma forma se calcula intensidad del sonido. La influencia nociva de los ruidos industriales en la salud del obrero y en su productividad incitó a elaborar un método para precisar exactamente la intensidad numérica del ruido. La unidad de esa intensidad es el bel (prácticamente se emplea el decibel, décima parte del bel). Los siguientes escalones de sonoridad: 1 bel, 2 beles, etc., (en la práctica, 10 decibeles, 20 decibeles, etc.), constituyen para nuestro oído una progresión aritmética. La “fuerza” física de estos sonidos (energía, más exactamente) constituye una progresión geométrica cuya razón es 10. A la diferencia de intensidad de un bel corresponde la relación de fuerza de sonido 10. Por lo tanto, la intensidad del sonido expresada en beles será igual al logaritmo decimal de su intensidad física. Esto aparecerá más claro si examinamos algunos ejemplos. El tenue rumor de las hojas se considera como de 1 bel; la conversación en voz alta, 6,5 beles; el rugido del león, 8,7 beles. De aquí se deduce que, por la fuerza del sonido, la conversación supera al susurro de las hojas en
106,5-1 = 105,5 = 316.000 veces.
El rugido del león es superior a la conversación en voz alta en108,7 - 6,5 = 102,2 = 158 veces.
El ruido cuya intensidad es superior a 8 beles se considera perjudicial para el organismo humano. Este margen es rebasado en muchas fábricas, donde se producen ruidos de 10 beles y más; el golpe de martillo sobre láminas de acero ocasiona un ruido de 11 beles. Estos ruidos son 100 y 1.000 veces más fuertes que la norma permitida y de 10 a 100 veces más intensos que los más estrepitosos de las cataratas del Niágara (9 beles). ¿Es fortuito que al calcular la luminosidad visible de las estrellas y al medir la intensidad del sonido nos refiramos a la dependencia logarítmica existente entre la magnitud de las sensaciones y la irritación que éstas ocasionan? No. Tanto lo uno como lo otro son efectos de una misma ley (llamada “ley psicofísica de Fechner”) que dice así: la magnitud de la sensación es proporcional al logaritmo de la intensidad de irritación. Vemos, pues, cómo los logaritmos van invadiendo el campo de la psicología.9. Los logaritmos y el alumbrado eléctrico
Problema
La causa de que las lámparas de gas (con frecuencia se les llama erróneamente “de medio vatio”) alumbren más que las de vacío, aun teniendo filamento metálico del mismo material, consiste en la diferente temperatura del filamento. Según una regla de física, la cantidad general de luz proyectada con la incandescencia blanca aumenta en proporción a la potencia de exponente 12 de la temperatura absoluta. En consecuencia hagamos el siguiente cálculo: determinar cuántas veces una lámpara, “de medio vatio”, cuya temperatura de filamento es de 2.500° por la escala absoluta (a partir de –273°) despide más luz que otra de vacío, cuyo filamento llega hasta 2.200° de temperatura. Solución Representando con la x la relación buscada, tenemos la siguiente ecuación:
![]()
log x =12*(log 25 – log 22); x = 4,6
La lámpara de gas despide 4,6 veces más luz que la de vacío. De ahí que si esta última equivale a 50 bujías, la primera, en las mismas condiciones, produce 230 bujías. Problema Hagamos otro cálculo: ¿Cuál será la elevación de temperatura absoluta (en tanto por ciento) necesaria para duplicar la luminosidad de la lámpara? Solución Planteemos la ecuación:![]()
![]()
x = 6%
Problema Veamos ahora en qué proporción (en tanto por ciento) aumentará la luminosidad de una lámpara si la temperatura absoluta de su filamento se eleva en el i%. Solución Si resolvemos la ecuación por medio de logaritmos, tendremos:x = 1,0112,
de donde:x = 1,13.
La luminosidad crece en el 13%. Al calcular la elevación de la temperatura en el 2% veremos que el aumento de la luminosidad es del 27%, y con una elevación de temperatura en un 3%, aumentará la luminosidad en el 43%. Esto explica por qué la industria de lámparas eléctricas se preocupa tanto de la elevación de la temperatura del filamento, siéndole de gran valor cada grado que logra superar.10. Legados a largo plazo
¿Quién no ha oído hablar del consabido número de granos de trigo que, según las leyendas, pidió como recompensa el inventor del ajedrez? Esta cantidad se forma duplicando sucesivamente cada uno de los números obtenidos; primer escaque del tablero, el inventor pidió un grano; para el segundo, dos; etc. A cada uno de los escaques le corresponde el doble que al anterior, hasta llegar al 64 escaque. Mas crecimiento tan vertiginoso se da, no sólo duplicando sin cesar la cifra anterior, sino con una norma de crecimiento notablemente más moderada. Un capital que produce el 5% anual a interés compuesto, aumenta cada año 1,05 veces. Parece éste un crecimiento de poca consideración, más al cabo de cierto tiempo el capital llega a alcanzar grandes proporciones. Esto explica que después de transcurridos muchos años de ser legada una herencia crezca de forma insólita. Parece extraño que dejando el finado una suma harto modesta se convierta ésta en un enorme capital. Es bien conocido el testamento de Franklin, famoso estadista norteamericano. Fue publicado en Recopilación de diversas obras de Benjamín Franklin. He aquí un fragmento de él: “Dono mil libras esterlinas a los habitantes de Boston. Si las aceptan, estas mil libras, deben ser administradas por los vecinos más distinguidos de la ciudad, que las concederán en préstamo al 5%, a los artesanos jóvenes. Al cabo de cien años esta suma se elevará a 131.000 libras esterlinas. Deseo que entonces sean empleadas, 100.000 libras en la construcción de edificios públicos, y las 31.000 restantes concedidas en crédito por un plazo de 100 años. Al cabo de este tiempo la suma habrá llegado a 4.061.000 libras esterlinas, de las cuales 1.060.000 dejo a disposición de los vecinos de Boston y 3.000.000, al municipio de Massachusetts. En lo sucesivo no me atrevo a seguir extendiéndome con más disposiciones”. Franklin, que dejó una herencia de 1.000 libras, distribuyó millones de ellas. Y no se trata de ningún malentendido. El cálculo matemático confirma que las disposiciones del testador son ciertas. Las 1.000 libras aumentaron cada año en 1,05 veces y, al cabo de 100 años se convirtieron en
x = 1.000 * 1,05100 libras.
Esta expresión puede calcularse mediante los logaritmos:log x = log 1.000 + 100 log 1,05 = 5,11893,
de dondex= 131.000
de acuerdo con el testamento. En el segundo siglo las 31.000 llegarán ay = 31 000·1,05100,
de donde, al aplicar los logaritmos resultará:y = 4.076.500
suma que se diferencia muy poco de la señalada en el testamento. Dejemos a juicio del lector fa solución del siguiente problema, que aparece en la obra Los señores Golovliov, de Saltikov-Schedrín: “Porfiri Vladimirovich está en su despacho escribiendo cantidades en hojas de papel. Trata de saber cuánto dinero tendría si los cien rublos que le regaló su abuelo al nacer, en lugar de ser gastados por su madre, hubieran sido depositados en la caja de Ahorros. Sin embargo, el resultado no es muy elevado: ochocientos rublos”. Si suponemos que Porfiri tiene a la sazón 50 años y, admitiendo que hubiera hecho bien el cálculo (poco probable, pues sin duda alguna desconocía los logaritmos, por lo que no podría resolver problemas de interés compuesto) hay que establecer qué tanto por ciento concedía en aquellos tiempos la Caja de Ahorros.11. Interés continuo
En las Cajas de Ahorro, el interés del capital se suma al depósito. Si la adición se hace con más frecuencia, el capital crece más de prisa por cuanto forma el rédito una suma mayor. Tomemos un sencillo ejemplo puramente teórico. Admitamos que se depositan 100 rublos en la Caja de Ahorros al 100% anual. Si se acumula el interés al depósito, al cabo del año sumarán 200 rublos. Veamos ahora qué ocurre si el porcentaje se va sumando al capital inicial cada medio año. Al finalizar el primer semestre llegará a
100 rublos * 1,5 = 150 rublos.
Al segundo semestre:150 rublos * 1,5 = 225 rublos.
Si la adición se realiza cada 1/3 de año, serán:100 rublos * (1 1/3)3 » 237 rublos 3 kopeks.
Hagamos más frecuentes los plazos de acumulación del 'rédito al capital depositado: a 0,1 de año; 0,01 de año; 0,001 de año, etc., y veremos que los 100 rublos, al cabo del año se transforman en| 100 rublos * 1,110 | » 259 rublos y 37 kopeks |
| 100 rublos * 1.01100 | » 270 rublos y 48 kopeks |
| 100 rublos * 1.0011000 | » 271 rublos y 69 kopeks |
Las matemáticas superiores demuestran que reduciendo indefinidamente los plazos de acumulación del rédito devengado al depósito, éste no crece infinitamente, sino que se aproxima a un cierto límite, que equivale más o menos a 271 rublos 83 kopeks. Un capital depositado al 100% no puede crecer en un año más allá de 2,7183 veces, aunque fuera acumulándose el interés al capital cada segundo.
12. El número “e”
El 2,718... obtenido, número que desempeña en las matemáticas superiores un papel trascendental (quizás tan importante como el famoso π) tiene un signo especial de expresión: la e. Es un número irracional que no puede ser expresado con ninguna cifra exacta, pero se calcula con la aproximación deseada, mediante la siguiente serie:
![]()
![]()
10/2,718... = 3,678...
Mas, como no es posible dividir en 3,678... partes iguales hay que hacerlo por la cifra entera más próxima, por 4, y obtendremos el producto mayor los sumandos de 10, si éstos son iguales a 10/4 es decir, 2,5. Quiere decirse que:(2,5)4 = 39,0625
es el máximo producto que puede obtenerse multiplicando los sumandos iguales del número 10. En efecto, dividiendo 10 en 3 ó en 5 partes iguales, los productos de éstas son menores:(10/3)3 = 37
(10/5)5 = 32
Para conseguir el máximo producto de las partes iguales del número 20, éste debe dividirse en 7 partes, puesto que20/2,718... = 7,36 >> 7.
Para obtener el máximo producto de las partes iguales del número 50, éste debe dividirse en 18 partes, y 100 en 37, puesto que50/2,718... = 18,4,
100/2,718... = 36, 8.
El número e desempeña un enorme papel en las matemáticas, la física, la astronomía y en otras ciencias. Veamos algunos casos en cuyo análisis matemático hay que valerse de este número (la cantidad de casos se puede ampliar indefinidamente):- la fórmula barométrica (la disminución de la presión con la altura);
- la fórmula de Euler;
- la ley del enfriamiento de los cuerpos;
- la desintegración radiactiva y la edad de la Tierra;
- las oscilaciones libres del péndulo;
- la fórmula de Tsiolkovski para la velocidad del cohete;
- los fenómenos oscilatorios en un circuito radiofónico;
- el crecimiento de las células.
Problema
Como complemento a las comedias matemáticas, que el lector tuvo ocasión de conocer en el capítulo V, presentamos un caso más del mismo género: la “demostración” de la desigualdad 2 > 3. Esta vez interviene la logaritmación. La “comedia” empieza con la desigualdad
1 / 4 > 1 / 8
que es completamente cierta. Después siguen las transformaciones(1 / 2)2 > (1 / 2)3
que tampoco inspira desconfianza. A un número mayor le corresponde un logaritmo también mayor; por lo tanto![]()
14. Expresar cualquier número tan sólo con tres doses
Terminemos el libro con un ingenioso rompecabezas algebraico que distrajo a los delegados de un congreso físico celebrado en Odessa. Problema Proponemos el siguiente problema: expresar cualquier número, entero y positivo, mediante tres doses y signos matemáticos. Solución Mostremos en un ejemplo la solución de este problema. Supongamos que el número dado es el 3. En este caso el problema se resuelve así:
![]()

![]()
![]()
![]()
![]()
Notas: