§1
Algebra de los números y álgebra de los conjuntos
Apenas nos acostumbramos a que puede haber un número fraccionario de objetos, aparecen los números negativos. Claro está que en un estante no puede haber —3 libros; esto sería ya contranatural. Pero un termómetro puede marcar -5º y tú puedes tener -50 kopeks; lo último, desde luego, es muy lamentable, pero sólo para ti y no para las Matemáticas. Y en los grados superiores aparecen números verdaderamente «terribles»: primero los irracionales, como es √2, y después los imaginarios, como es (1 +2i)[1]; los propios nombres explican la actitud del hombre hacia estos números hasta que se acostumbró a ellos. Es posible que tú los ignores por ahora y sólo los conozcas más adelante[2]; esto no es óbice para que leas este libro. Los números irracionales e imaginarios están muy lejos de la idea primaria del número en tanto que característica de la cantidad de objetos; sin embargo, también llevan el nombre de «números».

Figuras 1 y 2
Así, sumar dos números enteros positivos a y b significa hallar el número de objetos comprendidos en la unión de dos colecciones, una de a y otra de b objetos: si en una clase de séptimo grado hay 35 alumnos y en otra clase del mismo grado hay 39 alumnos, en ambas clases de este grado habrá 35 + 39 = 74 alumnos (véase también la figura 1). De modo análogo, multiplicar los números enteros positivos a y b significa hallar el número de objetos del conjunto de a colecciones con b objetos en cada una: si en una escuela hay 3 clases de séptimo grado y en cada una estudian 36 alumnos, en la escuela habrá 3 x 36 = 108 alumnos de séptimo grado (véase también la figura 2). Pero se hace imposible extender en esta forma las definiciones de la adición y de la multiplicación al caso de las fracciones ni al de los números negativos (de los números irracionales e imaginarios preferimos incluso no hablar aquí).
De tal manera, llegamos, al parecer, a la conclusión siguiente: denominamos con la misma palabra «número» distintos tipos de números debido a que todos se pueden sumar y multiplicar; pero las propias operaciones de adición y de multiplicación son absolutamente distintas según los diferentes tipos de números. Sin embargo, aquí nos hemos apresurado un poco: de hecho, la adición de los números enteros y la adición de las fracciones no son operaciones tan absolutamente distintas. Más exactamente, las definiciones de estas operaciones son efectivamente diferentes; ahora bien, sus propiedades son absolutamente idénticas. Así, para números de cualquier índole
| a + b = b + a | y | ab = ba; |
| ley conmutativa de la adición | ley conmutativa de la multiplicación | |
| (a + b) + c = a - (b + c) | y | (ab)c = a(bc) |
| ley asociativa de la adición | ley asociativa de la multiplicación |
en todos los casos existen dos números especiales 0 y 1, tales que
a + 0 = a y a x 1 = a
para todo número a. Y para el Álgebra moderna es típico el siguiente punto de vista acerca del contenido de esta materia: el Álgebra estudia algunos sistemas (distintos) de números para los cuales están definidas las operaciones de adición y de multiplicación que verifican las leyes ya señaladas y otras como, por ejemplo,(a + b) c = ac + be
ley distributiva de la multiplicación respecto a la suma
La existencia en los sistemas de números de dos operaciones —la adición y la multiplicación— origina cierto paralelismo tanto más manifiesto por cuanto las propiedades de la adición se parecen mucho a las de la multiplicación. Este paralelismo se observa, por ejemplo, en que cualquier interrogado sustituirá en la «proporción» extraña
![]()
Sin embargo, no siempre se observa esta semejanza, este paralelismo. Por ejemplo, el número 0 desempeña un papel especial no sólo respecto a la adición sino también respecto a la multiplicación: esto se expresa en que para todo número a
a x 0 = 0
(de aquí resulta, en particular, que no se puede dividir por 0 un número distinto de 0). Ahora bien, si en la última igualdad sustituimos la multiplicación por la adición y el cero por el uno, obtendremos una «igualdad» extrañaa +1 = 1
válida sólo para a = 0[4]. Además, si en la ley distributiva (a + b) x c = ac + bc sustituimos la adición por la multiplicación y viceversa, obtendremos la «igualdad»ab + c = (a + c) (b + c)
con la que nadie, por supuesto, estará de acuerdo. [Como es obvio que (a + c) (b + c) = ab + ac + bc + c2 = ab+c (a + b +c) resulta que (a + c) (b + c) = ab + c sólo si c = 0 o si a + b + c = 1.]Pero el Álgebra conoce también otros sistemas, no numéricos, en los que también se pueden definir las operaciones de adición y de multiplicación más similares entre sí que la adición y la multiplicación de los números. Consideremos, por ejemplo, el «álgebra de los conjuntos» que es muy importante. Se entiende por conjunto una colección cualquiera de objetos arbitrarios denominados elementos del conjunto: se puede hablar del «conjunto de los alumnos de una clase de séptimo grado», del «conjunto de los puntos de un círculo», del «conjunto de los puntos de un cuadrado», del «conjunto de los elementos de la tabla periódica de Mendeleev», del «conjunto de los números pares», del «conjunto de las notas de los alumnos de una clase», del «conjunto de los elefantes de la India», del «conjunto de las faltas gramaticales en tu composición», etc. Resulta bastante claro cómo puede definirse la «suma de dos conjuntos»: entenderemos por suma A + B del conjunto A y del conjunto B simplemente la unión de ambos conjuntos. Por ejemplo, si A es el conjunto de varones y B el conjunto de hembras de tu clase, A + B es el conjunto de todos los alumnos de tu clase; si A es el conjunto de todos los números enteros positivos pares y B es el conjunto de todos los números divisibles por 3, el conjunto A + B
{2, 3, 4, 6, 8, 9, 10, 12, 14, 15, 16, 18, 20, 21, 22, …}
consta de unos y otros números; si A es el conjunto de los puntos del óvalo sombreado en la figura 3 horizontalmente y B es el conjunto de los puntos del óvalo sombreado oblicuamente, el conjunto A + B es toda la región sombreada en la figura 3. Está claro (véase, por ejemplo, la figura 3) que para cualesquiera dos conjuntos A y BA + B = B + A,
o sea, para la adición de conjuntos se cumple la ley conmutativa.
Figura 3.
(A + B) + C = A + (B + C),
o sea, tiene lugar la ley asociativa de la adición de conjuntos. El conjunto (A + B) + C (o A + (B + C)) se puede indicar simplemente por A + B + C omitiendo los paréntesis; representa la unión de los tres conjuntos A, B y C (así, en la figura 4 el conjunto A + B + C coincide con toda la región sombreada).Convengamos ahora en denominar producto AB de los conjuntos A y B la parte común o la intersección de estos conjuntos.

Figuras 4 y 5
AB = BA
(véase la misma figura 5; se comprende también que el «conjunto AB de los ajedrecistas diestros en natación» y el «conjunto BA de los nadadores diestros en el ajedrez» es un mismo conjunto). Además, es igualmente obvio que para la multiplicación de conjuntos es válida también la ley asociativa, o sea, para cualesquiera tres conjuntos A, B y C(AB) C = A (BC).
El conjunto (AB) C o A (BC) se puedo indicar simplemente por ABC omitiendo los paréntesis; representa la parte común o la intersección de los tres conjuntos A, B y C (en la figura 6 el conjunto ABC tiene un triple sombreado[5]).
Figura 6
(A + B) C = AC + BC.
En efecto, si A es, digamos, el conjunto de los ajedrecistas de tu clase, B es el conjunto de los alumnos aficionados al juego de las damas y C es el conjunto de los nadadores, entonces A + B represento la unión de los conjuntos de los ajedrecistas y de los aficionados al juego de las damas, o sea, el conjunto de los alumnos aficionados a uno de estos juegos: al del ajedrez o al de las damas (o, posiblemente, y al del ajedrez y al de las damas). El conjunto (A + B) C se obtiene del conjunto A + B dejando en la unión A + B sólo aquellos alumnos que además saben nadar. Pero está claro que obtendremos exactamente el mismo conjunto formando la unión AC + BC del conjunto AC de los ajedrecistas diestros en natación y del conjunto BC de los aficionados al juego de las damas que saben nadar.Es posible que esta explicación verbal de la ley distributiva te parezca farragosa. Conviene emplear en tal caso la representación gráfica.

Figura 7
No es difícil comprender qué «conjunto» desempeña el papel del cero en nuestra «álgebra de los conjuntos». En efecto, la adición de este conjunto O (designaremos el «conjunto cero» por la letra O. similar por su forma al número 0) no debe alterar ningún conjunto; luego, el conjunto O no contiene ningún elemento, es «vacío». Puedes sentir el deseo de excluir por completo semejante conjunto vacío de la consideración: si el conjunto O no contiene elementos, representa un absurdo, y no un conjunto, y ni siquiera vale la pena hablar de él. Sin embargo, tan infundado sería proceder de esta manera como excluir el O del conjunto de los números por el mero hecho de que la «colección» de cero objetos también es «vacía» y, al parecer, no tiene sentido hablar del «número» de objetos que contiene. Pero, en realidad, sí tiene sentido; y mucho. Si no tuviésemos el número 0, no podríamos restar uno de otro cada dos números (porque en este caso la diferencia 3 - 3 no sería igual a nada), no podríamos representar, digamos, el número 108 (una centena, ocho unidades y ninguna decena) en el sistema decimal de numeración, como tampoco podríamos hacer otras muchas cosas; no es casual que el surgimiento de la idea del cero sea considerado como uno de los acontecimientos más notables en toda la historia de la Aritmética.
Exactamente igual, si no se incluye entre los conjuntos el conjunto vacío O, no podremos señalar el producto (o la intersección) de dos conjuntos cualesquiera: así, es vacía la intersección de los conjuntos A y B representados en la figura 8, como también es vacía la intersección del conjunto de los alumnos de tu clase que estudian en sobresaliente y del conjunto de los elefantes.

Figuras 8 y 9
Está claro que si O es el conjunto vacío, entonces para cualquier conjunto A
A + O = A.
No menos claro está que cualquiera que sea el conjunto A siempreA O = O,
ya que es necesariamente vacía la intersección de cualquier conjunto A y del conjunto O carente de elementos (digamos, la intersección del conjunto de las alumnas de tu clase y del conjunto de todos los alumnos de estatura superior a 2,5 m).En cuanto al «conjunto unidad», la situación es algo más complicada. Este conjunto I (lo designaremos por la letra I, similar por su forma al número 1) debe ser tal que su producto (o sea, intersección) con cualquier conjunto A tiene que coincidir con A. Pero de aquí se deduce que nuestro conjunto I debe contener todos los elementos de todos los conjuntos A. Está claro que semejante conjunto puede existir sólo si nos limitamos a aquellos conjuntos A cuyos elementos se toman de una determinada colección de «objetos»: a los conjuntos de los alumnos de una escuela o clase determinadas (por ejemplo, A puede ser el conjunto de los alumnos que estudian en sobresaliente y B el conjunto de los ajedrecistas); a los conjuntos formados por números enteros positivos ( A puede ser el conjunto de los números pares y B el conjunto de los números primos que no admiten más divisores que ellos mismos y la unidad); a los conjuntos compuestos por puntos que forman figuras pertenecientes a un determinado cuadrado como las representadas en las figura 3, 4, 5, 6, 7 y 8. En este caso entenderemos por I el «conjunto más grande» que contiene todos los «objetos considerados: el conjunto de todos los alumnos de la escuela o la clase consideradas, el conjunto de todos los números enteros positivos o bien el conjunto de todos los puntos del cuadrado (figura 9).
En el «álgebra de los conjuntos» este conjunto I lleva el nombre de unitario o universo. Es obvio que para cualquier conjunto «menor» A (e incluso para el conjunto A que coincide con I) tendremos
AI = A
en plena correspondencia con la condición que define la unidad.De este modo vemos que en el «álgebra de los conjuntos» construida las leyes de las operaciones se asemejan mucho a las leyes del álgebra, referentes a los números, que conocemos del curso escolar de Matemáticas; sin embargo, esta semejanza con las leyes numéricas no es total. Es verdad que en el álgebra de los conjuntos tienen lugar, como hemos comprobado, casi todas las leyes principales válidas para los números; pero en ella también se cumplen otras leyes que, posiblemente, te parecerán extrañas. Por ejemplo, hemos señalado ya que para los números no tiene lugar, como regla, la ley que resulta de la igualdad a 0 = 0 si sustituimos en ella la multiplicación por la adición y el cero por la unidad ya que para casi todos los números a tenemos a + 1 ≠ 1. En cambio, en el álgebra de los conjuntos la situación es distinta: aquí siempre
A + I = I.
En efecto, el conjunto I es, por definición, el «más grande» y, por eso, es imposible aumentarlo más: cualquiera que sea al conjunto A (tomado entre los conjuntos considerados) que agreguemos al conjunto unitario I, siempre obtendremos el mismo conjunto I.Además, al sustituir en la ley distributiva (a + b) c = ac + bc la adición por la multiplicación y viceversa, hemos obtenido la «igualdad» absurda
ab + c = (a + c) x (b + c)
que para los números resulta casi siempre falsa. En el álgebra de los conjuntos la situación es otra: aquí siempre (o sea, para cualesquiera conjuntos A, B y C) tiene lugar la igualdadAB + C = (A + C) (B + C)
que expresa la segunda ley distributiva (la ley distributiva de la adición respecto a la multiplicación) del álgebra de los conjuntos. En efecto, sean de nuevo A el conjunto de los ajedrecistas, B el conjunto de los aficionados al juego de las damas y C el conjunto de los nadadores de tu clase. En tal caso es evidente que la intersección AB de los conjuntos A y B comprende a todos los alumnos diestros tanto en el ajedrez como en el juego de las damas y que la unión AB + C de los conjuntos AB y C consta de todos los alumnos que son aficionados y al ajedrez y al juego de las damas o que saben nadar (es posible que son aficionados al ajedrez, al juego de las damas y a la natación).De otro lado, las uniones A + C y B + C de los conjuntos A y C y de los conjuntos B y C so componen, respectivamente, de los alumnos aficionados al ajedrez o diestros en natación (o, posiblemente, aficionados y al ajedrez y a la natación) y de los alumnos aficionados al juego de las damas o a la natación.
Está claro que la intersección (A + C) (B + C) de estos dos últimos conjuntos comprende a todos los alumnos diestros en natación y a todos los alumnos que no saben nadar pero son aficionados tanto al ajedrez como al juego de las damas, o sea, esta intersección coincide con el conjunto AB + C.
Puesto que esta explicación verbal te puede parecer enrevesada, daremos además una interpretación gráfica de la segunda ley distributiva.

Figura 10
Señalemos, para terminar, otras dos leyes del álgebra de los conjuntos que contradicen los conocimientos algebraicos adquiridos en la escuela. Es fácil comprender que cualquiera que sea el conjunto A, su unión con otro igual y su intersección con sí mismo coinciden con el conjunto inicial A:
A + A = A
yAA = A.
Estas dos igualdades se denominan a veces leyes idempotentes.Es muy ventajoso el hecho de que las leyes generales del Algebra conservan una misma forma para todos los tipos de números: gracias a ello, al pasar de los números enteros a los fraccionarios o relativos (tomados con el signo «más» o «menos»), podemos utilizar plenamente los hábitos adquiridos con anterioridad y sólo necesitamos añadir otros (de acuerdo a la reserva más rica de números considerados), pero no adquirir nuevos. La situación es enteramente distinta cuando pasamos de los números a los conjuntos: aquí parcialmente necesitamos también hábitos nuevos, ya que una serie de leyes del álgebra de los conjuntos no tiene lugar para los números[6].
Enumeremos estas leyes nuevas. Entre ellas figura la relación
A + I = I
que determina la profunda diferencia existente entre el conjunto unitario I y el número 1. La segunda ley distributiva del álgebra de los conjuntos ofrece una forma muy peculiar de «abrir los paréntesis»:(A + C)(B + C) = AB + C
por ejemplo, aquí (A + D)(B + D) (C + D) = [(A + D) (B + D)] (C + D) =
= (AB + D)(C + D) = (AB)C + D = ABC + D
A + A = A
yA A = A
que a veces se expresan en la forma siguiente: en el álgebra de los conjuntos no existen exponentes ni coeficientes.En efecto, tenemos para cualesquiera A y n,
![]()
(A +B)(B + C) (C + A) = ABC + AAB + ACC + BBC + ABB + BCC + ABC =
= (ABC + ABC) + (AB + AB) + (AC + AC) + (BC + BC)=
= ABC + AB + AC + BC
Ejercicios
Demuestra las igualdades siguientes en las que las letras mayúsculas representan conjuntos (con la particularidad de que las letras O e I representan siempre los conjuntos vacío y unitario, respectivamente):
- (A + B) (A + C) (B + D) (C + D) = AD + BC
- A (A + B) = A
- AB + A = A
- A (A + C) (B + C) = AB + AC
- A(A + I) (B + O) = AB
- (A + B) (B + C) (C + A) = AB + BC + CA
- (A + B) (B + C) (C + D) = AC + BC + BD
- (A + B) (A + I) + (A + B) (B + O) = A + B
- (A + B) (B + I) (A + O) = A
- (A + B + O) (B + C + D) (C + D + A) = AB + AD + BD + C
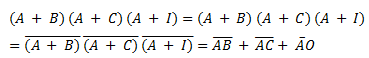
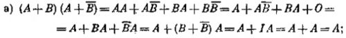
A(A + C)(B + C) = A[(A+C) (B + C)] =
- 2ª ley distributiva y ley conmutativa de la multiplicación= A(AB + C) — (AB + C) A =
- 1ª ley distributiva y ley conmutativa de la multiplicación= (AB)A + CA =
- ley idempotente de la multiplicación= (AA)B + AC = AB + AC
Reunamos todas las leyes del álgebra de los conjuntos que conocemos hasta el momento| leyes conmutativas | A + B = B + A y AB = BA |
| leyes asociativas | (A + B) + C = A + (B + C) y (AB) C = A (BC) |
| leyes distributivas | (A + B) C = AC + BC y AB + C = (A + C) (B + C) |
| leyes idempotentes | A + A = A y A A = A |
Además, en el álgebra de los conjuntos existen dos elementos (conjuntos) especiales O e I tales que
A A- O = A y AI = A
A I = I y AO = O
Pero tampoco el álgebra corriente de los números es un álgebra única, sino muchas «álgebras»: podemos hablar del «álgebra de los números enteros positivos», del «álgebra de los números racionales (o sea, enteros y fraccionarios)», del «álgebra de los números relativos (o sea, positivos y no positivos)»; existe además el «álgebra de los números reales (o sea, racionales e irracionales)», el «álgebra de los números complejos (reales e imaginarios)», etc.
Todas estas «álgebras» difieren una de otra tanto en los números con los que se opera, como en la definición de estas operaciones (o sea, de la adición y la multiplicación); sin embargo, las propiedades principales de las operaciones son las mismas en todos los casos. Es natural preguntarse entonces cuál es la situación en el álgebra específica de los conjuntos: ¿aparece ésta en una forma único, o también aquí existe una serie de «álgebras» similares que difieren una de otra tanto en los elementos con los que se opera como en la definición de estas operaciones (que continuaremos denominando adición y multiplicación) pero que son idénticas en cuanto a los propiedades de estas operaciones?
Probablemente, tú presientes ya que existen muchas álgebras semejantes al álgebra de los conjuntos (o sea, álgebras en las que rigen las mismas reglas que en el álgebra de los conjuntos). Y esto efectivamente es así. En primer lugar, las propias álgebras de los conjuntos pueden ser muy variadas: podemos hablar del «álgebra de los conjuntos de alumnos de tu clase», del «álgebra de los conjuntos de animales del parque zoológico de Moscú» (que, por supuesto, es un álgebra totalmente distinta), del «álgebra de los conjuntos formados por unos u otros números», del «álgebra de los conjuntos formados por puntos de un cuadrado» (véanse las figuras de la 3 a la 10), del «álgebra de los conjuntos de libros de una biblioteca escolar» o del «álgebra de los conjuntos de estrellas». Pero existen también otros ejemplos, muy distintos, de álgebras que tienen propiedades semejantes; ahora daremos algunos.
Un minuto de atención antes de pasar a estos ejemplos. Al analizar los ejemplos que vienen a continuación, debes recordar con seguridad que definir en un conjunto de objetos (elementos) a, b,... las operaciones de adición y multiplicación significa exponer las reglas que a cada par de objetos a y b ponen en correspondencia otros dos objetos c y d llamados suma y producto de a y b:
c = a + b
yd = ab
Escogeremos estas reglas de modo que se cumplan todas las leyes de operaciones que caracterizan el álgebra de los conjuntos. Pero no tienes derecho a preguntar por qué la suma de a y b es igual a c; pues definimos la suma a + b precisamente como c y las definiciones, como se sabe, no son objeto de discusión.Puede suceder que en algunos casos nuestras definiciones te parezcan extrañas; y es natural, porque estas definiciones serán nuevas para ti y todo lo nuevo, lo insólito, siempre parece extraño. En la vida no te sorprenden objetos tan asombrosos como son el televisor y el teléfono; pero esto se debe sólo a que estás acostumbrado a ellos. En cambio, si tomamos un alumno de segundo o tercer grado —que está firmemente convencido de que la suma de dos números a y b es el número de objetos de la unión de una colección de a objetos y de una colección de b objetos (véase la figura 1) y de que el producto ab es el número de objetos de la unión de a colecciones con b objetos en cada una (véase la figura 2)—, le explicamos qué es una fracción y después le decimos que la suma y el producto de las fracciones a/c y b/d se definen así
![]()
Pues bien, he aquí nuestros ejemplos.
Ejemplo 1.
Algebra de los dos números. Aceptemos que nuestra álgebra tiene dos elementos solamente que, por razones de comodidad, denominaremos números e indicaremos con los símbolos habituales 0 y 1 (aunque aquí estos símbolos tienen un sentido completamente nuevo). Definiremos la multiplicación de nuestros números exactamente igual que en la Aritmética habitual, o sea, mediante la siguiente «tabla de multiplicar»;
| ∙ | 0 | 1 |
| 0 | 0 | 0 |
| 1 | 0 | 1 |
mientras que la adición la definiremos «casi de la forma corriente», o sea, con la única diferencia de la Aritmética habitual consistente en que la suma 1 + 1 será ahora de nuevo igual a 1 y no a 2 (pues este número simplemente no existe en nuestra «álgebra de los dos números»). De este modo, la «tabla de sumar» tiene en nuestra álgebra la forma
| + | 0 | 1 |
| 0 | 0 | 1 |
| 1 | 1 | 1 |
Es obvio, que en el álgebra así definida tienen lugar ambas leyes conmutativas:
a + b = b + a y ab = ba para cualesquiera a y b.
Es fácil comprobar que también se cumplen en ella las leyes asociativas(a + b) + c = a + (b + c) y (ab) c — a (bc) para cualesquiera a, b y c,
con la particularidad que ni siquiera hace falta comprobar la ley asociativa para la multiplicación, pues nuestra multiplicación nueva coincide íntegramente con la multiplicación de los números y para ésta la ley asociativa es válida. También es fácil ver que tienen lugar aquí las leyes idempotentes:a + a = a y aa = a
para cualquier a, o sea, para a = 0 y para a = 1 (¡he aquí el porqué hemos tomado 1 + 1 = 1!). Algo más difícil resulta comprobar las leyes distributivas(a + b) c = ac + bc y ab + c = (a + c) (b + c) para cualesquiera a, b y c.
Por ejemplo, en nuestra álgebra(1 + 1)∙1 = 1∙1 = 1 y (1∙1)+ (1∙1) = 1 + 1 = 1;
(1∙1) + 1 = 1+ 1 = 1 y (1 + 1)∙(1 + 1) = 1∙1 = 1
Finalmente, si convenimos en asignar al número 0 el papel del elemento O de nuestra álgebra y al número 1 el papel del elemento I, tendrán lugar también las reglas referentes a los elementos especiales O e I: siempre (o sea, para a = 1 y para a + 0a + 0 = a
a∙1 = a
a + 1 = 1
a∙0 = 0.
Ejemplo 2.Algebra de los cuatro números. He aquí un ejemplo algo más complejo aunque del mismo género. Supongamos que los elementos del álgebra son cuatro «números» que indicaremos con las cifras 0 y 1 y con las letras p y 7. Definiremos la adición y la multiplicación en el álgebra considerada con las tablas siguientes:
| + | 0 | p | q | 1 | ∙ | 0 | p | q | 1 | |
| 0 | 0 | p | q | 1 | 0 | 0 | 0 | 0 | 0 | |
| p | p | p | 1 | 1 | p | 0 | p | 0 | p | |
| q | q | 1 | q | 1 | q | 0 | 0 | q | q | |
| 1 | 1 | 1 | 1 | 1 | 1 | 0 | p | q | 1 |
También aquí, como es fácil persuadirse mediante la comprobación directa,
a + b = b + a y ab = ba para cualesquiera a y b;
(a + b) + c = a + (b + c) y (ab) c = a (bc) para cualesquiera a, b y c;
(a + b) c = ac + bc y ab + c = (a + c) (b + c) para cualesquiera a, b y c
a + a = a y aa = a para cualquier a (o sea, para a = 0, p, q y 1).
a + 0 = a y a∙1 = a; a + 1 = 1 y a∙0 = 0
Ejemplo 3.Algebra de los máximos y los mínimos. Tomemos como los elementos de nuestra álgebra un conjunto (acotado) de números, por ejemplo, aceptemos que estos elementos son algunos números x (o, posiblemente, todos ellos) tales que 0 ≤ x ≤ 1, o sea, los números comprendidos entre 0 y 1 incluyendo los propios números 0 y 1. En cuanto a las operaciones de adición y multiplicación, las definiremos de un modo enteramente nuevo y, para no confundirlas con la adición y la multiplicación corrientes, emplearemos incluso signos nuevos: ⊕ (adición) y ⊗ (multiplicación). A saber, aceptaremos que la suma x ⊕ y de dos números x e y es igual al mayor de éstos (o a cualquiera de ellos si x = y); entenderemos por producto x ⊗ y de los números x e y el menor de éstos (o cualquiera de ellos si x = y). Por ejemplo, si los elementos de nuestra álgebra son los números 0, 1/3, 1/2, 2/3 y 1, la «tabla de sumar» y la «tabla de multiplicar» de nuestros números tienen la forma
| ⊕ | 0 | 1/3 | 1/2 | 2/3 | 1 | ⊗ | 0 | 1/3 | 1/2 | 2/3 | 1 | |
| 0 | 0 | 1/3 | 1/2 | 2/3 | 1 | 0 | 0 | 0 | 0 | 0 | 0 | |
| 1/3 | 1/3 | 1/3 | 1/2 | 2/3 | 1 | 1/3 | 0 | 1/3 | 1/3 | 1/3 | 1/3 | |
| 1/2 | 1/2 | 1/2 | 1/2 | 2/3 | 1 | 1/2 | 0 | 1/3 | 1/2 | 1/2 | 1/2 | |
| 2/3 | 2/3 | 2/3 | 2/3 | 2/3 | 1 | 2/3 | 0 | 1/3 | 1/2 | 2/3 | 2/3 | |
| 1 | 1 | 1 | 1 | 1 | 1 | 1 | 0 | 1/3 | 1/2 | 2/3 | 1 |
En las Matemáticas, el mayor de dos o varios números u, v, … z suele designarse así: máx [ u, y, …, z] y el menor de estos números, por el símbolo min [ u, y, …, z][7]. De esta forma, en nuestra «álgebra de los máximos y los mínimos», por definición
x ⊕ y = máx [ x, y]
yx ⊗ y = mín [ x, y].
Podemos también convenir en representar los números por medio de puntos de la recta numérica; entonces, los números x, donde 1 ≤ x ≤ 1, quedarán representados por los puntos del segmento horizontal de longitud 1, la suma x ⊕ y de dos números x e y por aquél de los puntos x o y que se halla a la derecha y el producto x ⊗ y por el punto situado a la izquierda (figura 11).
Figura 11
x ⊕ y = y ⊕ x y x ⊗ y = y ⊗ x
También se cumplen obviamente las leyes asociativas( x ⊕ y) ⊕ z = x ⊕ ( y ⊕ z) y ( x ⊗ y) ⊗ z = x ⊗ ( y ⊕ z);
así, el número ( x ⊕ y) ⊕ z ó x ⊕ ( y ⊕ z) —que se puede indicar simplemente por x ⊕ y ⊕ z omitiéndolos paréntesis es el máx [ x, y, z] (figura 12) y el número (x ⊗ y) ⊗ z ó x ⊗ (y ⊗ z) —o simplemente x ⊗ y ⊗ z, sin los paréntesis, es el mín [ x, y, z] (véase de nuevo la figura 12).
Figura 12
x ⊕ x = máx [ x, x] = x y
x ⊗ x = mín [ x, xl = x.
Comprobemos, finalmente, la validez de las leyes distributivas( x ⊕ y) ⊗ z = ( x ⊗ z) ⊕ ( y ⊗ z)
( x ⊗ y) ⊕ z = ( x ⊕ z) ⊗ ( y ⊕ z) Está claro que el número
( x ⊕ y) ⊗ z = mín {máx [ x, y, z)}
es igual a z si al menos uno de los números x o y es mayor que z y es igual al mayor de estos números si ambos son menores que z (figura 13, a y b).
Figura 13
( x ⊗ z) ⊕ ( y ⊗ z) = máx {mín [ x, z], mín [ y, z]}
(véase de nuevo la figura 13). De un modo análogo, el número( x ⊗ y) ⊕ z = máx {mín [ x, y, z]}
es igual a 2 si al menos uno de los números x o y es menor que z y es igual al menor de estos números si ambos son mayores que z (figura 14 a y b). Pero a esto mismo es igual también el( x ⊕ z) ⊗ ( y ⊕ z) = mín (máx [ x, z], máx [ y, z])
(véase de nuevo la figura 14).
Figura 14
x ⊕ 0 = máx [ x, 0] = x y x ⊗ 1 = mín [ x, 1] = x;
x ⊕ 1 = máx [ x, 1] = 1 y x ⊗ 0 = mín [ x, 1] = 0.
Ejemplo 4.Algebra de los mínimos múltiples y los máximos divisores. Sea N un número entero positivo cualquiera; tomemos como elementos de nuestra álgebra nueva todos los posibles divisores del número N; por ejemplo, si N = 210 = 2∙3∙5∙7, los elementos del álgebra considerada son los números 1, 2, 3, 5, 6, 7, 10, 14, 15, 21, 30, 35, 42, 70, 105 y 210. La adición y la multiplicación de nuestros números las definiremos ahora de una forma completamente nueva: entenderemos por suma m ⊕ n de los números m y n el mínimo común múltiplo de los mismos, o sea, el menor número entero (positivo) que es divisible por ambos números m y n; tomaremos como producto m ⊗ n de los números m y n el máximo común divisor de estos números, o sea, el mayor número entero que divide a m y a n. Por ejemplo, si N = 6 y nuestra álgebra contiene solamente cuatro números 1, 2, 3 y 6, la adición y la multiplicación de los números vienen dadas por las tablas siguientes:
| ⊕ | 1 | 2 | 3 | 6 | ⊗ | 1 | 2 | 3 | 6 | |
| 1 | 1 | 2 | 3 | 6 | 1 | 1 | 1 | 1 | 1 | |
| 2 | 2 | 2 | 6 | 6 | 2 | 1 | 2 | 1 | 2 | |
| 3 | 3 | 6 | 3 | 6 | 3 | 1 | 1 | 3 | 3 | |
| 6 | 6 | 6 | 6 | 6 | 6 | 1 | 2 | 3 | 6 |
En la «Aritmética superior» (teoría de los números), el mínimo común múltiplo de dos o varios números m, n,… s se designa frecuentemente por [ m, n,… s] y el máximo común divisor de estos mismo números, por ( m, n,… s).
De esta forma, en nuestra álgebra por definición
m ⊕ n = [ m, n] y m ⊗ n = ( m, n).
Por ejemplo, si el álgebra contiene los números 10 y 15, entonces10 ⊕ 15 = [10,15] = 30 y 10 ⊗ 15 = (10, 15) = 5.
Es evidente que en nuestra álgebra siemprem ⊕ n = n ⊕ m y m ⊗ n = n ⊗ m.
Además, aquí( m ⊕ n) ⊕ p = m ⊗ ( n ⊕ p) (= [ m, n, p])
(podemos convenir en indicar este número simplemente por m ⊕ n ⊕ p omitiendo los paréntesis) y( m ⊗ n) ⊗ p = m ⊗ ( n ⊗ p) (= [ m, n, p])
(este número se puede indicar simplemente por m ⊗ n ⊗ p). No menos evidentes son las leyes idempotentes:m ⊕ m = [ m, m] = m y m ⊗ m = [ m, m] = m.
Algo más difícil (como siempre) resulta comprobar las leyes distributivas. El número( m ⊕ n) ⊗ p = ([ m, n], p)
no es otra cosa que el máximo común divisor del número p y del mínimo común múltiplo de los números m y n (¡reflexiona bien en el sentido de esta frase!); contiene aquellos, y sólo aquellos, factores primos que figuran en la descomposición de p y al mismo tiempo en la descomposición de uno de los números m o n por lo menos. Pero está claro que estos factores primos (y sólo estos) figuran también en la descomposición del número( m ⊗ p) ⊕ ( n ⊗ p) = [( m, p), ( n, p)];
por eso, siempre( m ⊕ n) ⊗ p = ( m ⊗ p) ⊕ ( n ⊗ p).
Por ejemplo, si los números se toman del conjunto de los divisores del número 210, tenemos(10 ⊕ 14) ⊗ 105 = ([10, 14], 105) = (70, 105) = 35
y(10 ⊗ 105) ⊕ (14 ⊗ 105) = [(10, 105), (14, 105)] = [5, 71 = 35
Análogamente, el número( m ⊗ n) ⊕ p = [( m, n), p]
es el mínimo común múltiplo del número p y del máximo común divisor de los números m y n; contiene aquellos factores primos (y sólo aquellos) que figuran en la descomposición de p o bien en la descomposición de ambos números m y n (o, posiblemente, en la descomposición de p y en la descomposición de ambos números m y n). Pero estos mismos factores exactamente contienen también el número( m ⊕ p) ⊗ ( n ⊕ p) = ([ m, p], [ n, p])
y, por eso, siempre( m ⊗ n) ⊕ p = ( m ⊕ p) ⊗ ( n ⊕ p).
Por ejemplo,(10 ⊗ 14) ⊕ 105 = [(10, 14), 105] = [2,105] = 210
y(10 ⊕ 105) ⊗ (14 ⊕ 105) = ([10, 105], [14, 105]) = (210, 210) = 210.
Finalmente, el papel de los elementos O e I del álgebra de los conjuntos lo desempeñan aquí el menor de los números de la colección considerada, el número 1, y el mayor de ellos, el número N. En efecto, es evidente quem ⊕ 1 = [ m, 1] = m y m ⊗ N = ( m, N) = m;
m ⊕ N = [ m, N] = N y m ⊗ 1 = ( m, 1) = m
(no olvides que en nuestra álgebra figuran los divisores del número N solamente). De esta forma, también aquí se cumplen todas las leyes del álgebra de los conjuntos.Vemos, pues, que existe una cantidad suficientemente amplia de diversos sistemas de «objetos» (elementos del álgebra considerada) en los cuales se pueden definir las operaciones de adición y multiplicación que satisfacen todas las reglas que sabemos se cumplen en el álgebra de los conjuntos: dos leyes conmutativas, dos leyes asociativas, dos leyes distributivas, dos leyes idempotentes y cuatro reglas determinantes de las propiedades de los elementos «especiales» que en nuestras álgebras desempeñan un papel próximo al que desempeñan el cero y la unidad. Más tarde veremos otros dos ejemplos, muy importantes e interesantes, de tales álgebras.

George Boole (1815-1864)
La obra de G. Boole, consagrada al examen minucioso del álgebra extraordinaria al que está dedicado este folleto apareció por primera voz en 1854, o sea, hace más de 100 años, bajo el título de « Investigación de las leyes del pensamiento» (« lnvestigation of the laws of thought»).
Posiblemente este título te parece por ahora extraño; pero después de leer este folleto, comprenderás qué relación existe entre las leyes de nuestro pensamiento y las álgebras extraordinarias que aquí se analizan. Notemos sólo que precisamente esta conexión entre las álgebras de Boole y las «leyes del pensamiento» explica por qué la obra de Boole, que inicialmente pasó desapercibida para los matemáticos, despierta hoy tan gran interés. Durante los últimos años esta obra ha sido varias veces reeditada y traducida a distintos idiomas; en muchos países el concepto de álgebra de Boole ya figura, de una u otra forma, en el curso escolar de las Matemáticas; en otros países, entre ellos la URSS, la idea de incluir este concepto en el curso de la enseñanza media se está debatiendo activamente y tiene ardientes adictos entre los matemáticos y los pedagogos.
Ejercicios
1. Comprueba directamente que para todas las ternas de elementos del «álgebra de Boole de los dos números» (ejemplo 1) son válidas ambas leyes distributivas.
2. Comprueba ambas leyes distributivas para algunas ternas de elementos del «álgebra de Boole de los cuatro elementos» (ejemplo 2).
3. a) Si en tu apartamento no hay más escolares que tu, los «conjuntos de escolares de tu apartamento» son:
- el conjunto I que consta de un escolar y
- el conjunto O que no contiene escolares (conjunto vacio).
b) Supongamos que en un apartamento viven dos escolares, Pedro y Catalina. Entonces el «álgebra de los conjuntos de escolares que residen en este apartamento» contiene cuatro elementos: el conjunto I que comprende dos escolares; dos conjuntos P (Pedro) y C (Catalina) formado cada uno por un escolar; el conjunto vacío O. Forma la «tabla de sumar» y la «tabla de multiplicar» para esta álgebra de los conjuntos y compáralas con las tablas anteriores; deduce de aquí que para el «álgebra de los cuatro números» considerada en el ejemplo 2 de este parágrafo se cumplen todas las leyes del álgebra de Boole.
4. Comprueba que
a)
![]()
![]()
5. a) Forma la «tabla de sumar» y la «tabla de multiplicar» para el álgebra de Boole de los tres números 0, 1/2, 1, donde x ⊕ y = máx [ x, y] y x ⊗ y = mín [ x, y] comprueba que en esta álgebra se cumplen las leyes del álgebra de Boole.
b) Forma la «tabla de sumar» y la «tabla de multiplicar» para el álgebra formada por los divisores del número 12, donde m ⊕ n = [ m, n] y m ⊗ n — ( m, n); comprueba que en esta álgebra se cumplen algunas de las leyes del álgebra de Boole.
6. Supongamos que la descomposición en factores primos de un número N (entero positivo) es de la forma
![]()
![]()
0 ≤ a1 ≤ A1, 0 ≤ a2 ≤ A2, …, 0 ≤ ak ≤ Ak,
y0 ≤ b1 ≤ A1, 0 ≤ b2 ≤ A2,…, 0 ≤ bk ≤ Ak,
(algunos de los números a1, a2,… ak, b1, b2, bk, pueden resultar iguales a cero). ¿Qué forma tienen en este caso las descomposiciones en factores primos de los números [ m, n] (mínimo común múltiplo de los números m y n) y (m, n) (máximo común divisor de los números m y n)? Emplea estas descomposiciones para demostrar que constituye un algebra de Boole el conjunto de todos los divisores del número N con las operaciones m ⊗ n = [ m, n] y m ⊗ n = ( m, n).* * * *
§3
Otras propiedades de las álgebras de Boole: principio de dualidad; igualdades y desigualdades booleanas
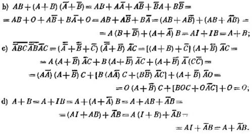
A (A + C) (B + C) = AB + AC
como lo hemos demostrado anteriormente (véase el ejemplo considerado al filial de los ejercicios del § 1, pág. 22). Sustituyendo en esta igualdad la adición por la multiplicación, y viceversa, obtenemos la igualdadA + AC + BC = (A + B) (A + C)
que también es válida (véase el ejemplo siguiente). Sólo debe tenerse en cuenta que si en una igualdad del álgebra de Boole figuran los elementos especiales O e I, al sustituir la adición booleana por la multiplicación booleana, y viceversa, deberemos sustituir el elemento O por I y el elemento I por O. Por ejemplo, es válida la igualdad(A + B) (A + I) + (A + B) (B + O) = A + B
(véase el ejercicio 8); de aquí resulta que también tiene lugar la igualdad(AB + AO) (AB + BI) = AB.
Esta propiedad de las álgebras de Boole que permite «gratuitamente» (o sea, sin demostración) obtener de cada igualdad otra nueva[10] lleva el nombre de principio de dualidad y las igualdades, que resultan una de otra por medio de este principio, se denominan duales unas respecto a otras. El principio de dualidad se deduce de que la lista de las leyes principales del álgebra de Boole —que son las únicas que podemos emplear al demostrar una u otra fórmula booleana— es perfectamente «simétrica»: con cada ley contiene otra, dual de la primera, es decir, que se obtiene de aquélla sustituyendo(A + B) (B + C) (C + A) = AB + BC + CA
se transforma en la igualdadAB + BC + CA = (A + B) (B + C) (C + A)
que coincide con la inicial; la igualdad (ejercicio 7)(A + B) (B + C) (C + D) = AC + BC + BD
se transforma, ni sustituir la multiplicación por la adición, y viceversa, en la igualdadAB + BC + CD = (A + C) (B + C) (B + D)
que sólo insubstancialmente difiere de la inicial (se transforma en la inicial al sustituir la letra B por la letra C y la letra C por la letra B) la adición por la multiplicación, y viceversa, y el elemento O por el elemento I, y viceversa. Así, la ley conmutativa de la adición es dual de la ley conmutativa de la multiplicación; la ley asociativa de la adición es dual de la ley asociativa de la multiplicación: la ley idempotente de la adición es dual de la ley idempotente de la multiplicación; la primera ley distributiva es dual de la segunda ley distributiva; por último, las igualdades A + O = O y A + I = I son duales de las igualdades AI = A y AO = O, respectivamente. Por eso, si para demostrar una igualdad hemos empleado unas u otras leyes principales del álgebra de Boole, podemos demostrar de la misma forma exactamente, recurriendo a las leyes duales, también la igualdad dual de la inicial.Ejemplo. Demostremos la igualdad
A + AC+ BC = (A + B) (A + C)
dual de la igualdadA (A + C) (B + C) = AB + AC
En efecto,ley asociativa de la adición y 1ª ley distributiva
A + AC + BC = A + (AC + BC) = A + (A + B) C=
ley conmutativa de la adición y 1ª ley distributiva= (A + B) C + A = [(A + B) + A] (C + A) =
leyes conmutativa y asociativa de la adición[(A + A) + B] (A + C) =
ley idempotente de la adición= (A+ B) (A + C)
(compara con la demostración de la igualdad A (A + C) (B+C)+ = AB+ AC dada anteriormente).Otra demostración del principio de dualidad está ligada a que en el álgebra de Boole existe una operación especial por cuyo efecto todo elemento A de esta álgebra se transforma en un elemento nuevo Ā a la vez que la adición se transforma en la multiplicación, y viceversa. En otras palabras, esta operación (que denominaremos operación «raya») es tal que
![]()
Ō = I e Ī = O
Finalmente, por efecto de la operación «raya» el elemento Ā se transforma en el elemento inicial o sea, para todo elemento A del álgebra de Boole![]()

Figura 15
De la definición misma del complemento Ā del conjunto A se deduce que
![]()
A + Ā = I y AĀ = 0
(véase la misma figura 15; las dos últimas igualdades pueden servir incluso de definición del conjunto Ā). Es evidente también queŌ = I e Ī = O
Demostremos finalmente que en el álgebra de los conjuntos se cumplen las propiedades más importantes de la operación «raya»:En la figura 16a, aparece sombreado, con líneas oblicuadas hacia la izquierda, el óvalo (el conjunto) A y en la figura 16b, con líneas oblicuadas hacia la derecha, su complemento Ā hasta el cuadrado completo I;

Figura 16
![]()
![]()
![]()
![]()
Además, comparando la «tabla de sumar» y la «tabla de multiplicar» formada para los números
| + | 0 | 1 | • | |||
| 0 | 0 | 1 | 1 | 0 | ||
| 1 | 1 | 1 | 0 | 0 |
se deduce que en todos los casos
![]()
![]()
![]()
![]()
![]()
| + | 0 | p | q | 1 | ||||||
| 0 | 0 | p | q | 1 | 1 | q | p | 0 | ||
| p | p | p | 1 | 1 | q | q | 0 | 0 | ||
| q | q | 1 | q | 1 | p | 0 | p | 0 | ||
| 1 | 1 | 1 | 1 | 1 | 0 | 0 | 0 | 0 |
Análogamente se comprueba también la relación
Pasemos ahora al álgebra de los máximos y los mínimos cuyos elementos son los números x tales que 0 ≤ x ≤ 1, mientras que la adición booleana ⊕ y la multiplicación booleana ⊗ se definen así:
x ⊕ y = máx [ x, y] y x ⊗ y = mín [ x, y].
Para que en esta álgebra tengan lugar las reglas de Morgan![]()
![]()
![]()
![]()

Figura 17
y
![]()
![]()

Figura 18
m ⊕ n = máx [ m, n] y m ⊗ n = mín [ m, n]
donde [m, n] es el mínimo común múltiplo de los números m y n y ( m, n) es el máximo común divisor de éstos. Pongamos aquí![]()
Está claro que
![]()
![]()

![]()
![]()
![]()
![]()
![]()
![]()
![]()
Supongamos ahora que tenemos una igualdad que se cumple en cualquier álgebra de Boole; por ejemplo, la igualdad ya conocida
A (A + C) (B + C) = AB+ AC.
Aplicando a ambos miembros de esta igualdad la operación «raya», obtenemos![]()

![]()
![]()
A + AC + BC = (A + B) (A + C)
dual de la igualdad inicial.Es así como de las propiedades de la operación «raya» (y, en primer lugar, de las reglas de Morgan) resulta el principio de dualidad. Sólo no debemos olvidar que si la igualdad inicial comprende los elementos «especiales» O e I, entonces, debido a las igualdades,
![]()
![]()
Por ejemplo, aplicando la operación «raya» a ambos miembros de la igualdad
A (A + I) (B + O) = AB
(véase el ejercicio 5 anterior), obtenemos![]()

,
![]()
A + AO + BI = A + B
que se obtiene de la igualdad inicial al sustituir la suma por el producto, y viceversa, así como el elemento O por el elemento I, y viceversa.Es notorio que el principio de dualidad tiene un campo de aplicación incluso más amplio que el señalado: aparte de las igualdades booleanas se puedo aplicar también en las «desigualdades booleanas». Pero para explicar esto deberemos, ante todo, estudiar un concepto más que desempeña un papel importantísimo en la teoría de las álgebras de Boole.
En toda álgebra de Boole, además del concepto de igualdad de elementos de este álgebra (la igualdad A = B significa que A y B vienen a ser simplemente un mismo elemento del álgebra de Boole), existe otra relación importante entre los elementos que desempeña aproximadamente el mismo papel que desempeña en el álgebra de los números la relación «mayor que» (o «menor que»). Esta relación se indica con el símbolo ⊃ (o ⊂ ) y se escribe
A ⊃ B o B ⊂ A
(las dos últimas relaciones tienen el mismo sentido; fíjate en que se asemejan a las fórmulas a > b y b < a); en el álgebra de los conjuntos, la relación A ⊃ B significa que el conjunto A contiene, en tanto que una parte suya, el conjunto B (figura 19).
Figura 19.
Debe sólo tenerse cuenta que también escribiremos A ⊃ B si los conjuntos A y B coinciden, pues también en esto caso el conjunto B está contenido íntegramente en el conjunto A. De este modo, la relación ⊃ para elementos del álgebra de Boole se asemeja más a la relación ≥ («mayor o igual que») para los números que a la relación > («mayor que»).

Figuras 20 y 21.
si A ⊃ B, entonces A ⊂ B
(figura 21). Así, el conjunto de los alumnos avanzados es mayor que el conjunto de los alumnos que estudian en sobresaliente y de ello resulta que el conjunto de los alumnos atrasados está contenido en el conjunto de los alumnos que no estudian en sobresaliente.Hasta aquí hemos venido subrayando la semejanza existente entre la relación para los conjuntos ⊃ y la relación ≥ para los números. Señalemos ahora una diferencia substancial entre estas relaciones. Dos números (reales) a y b cualesquiera siempre pueden ser comparados, es decir, necesariamente tiene lugar una de las relaciones a ≥ b o b ≥ a[11]).

Figura 22.

Figura 23.
I ⊃ A y A ⊃ 0
cualquiera que sea el elemento A del álgebra de los conjuntos y que siempre (o sea, para cualesquiera A y B)A + B ⊃ A y AB ⊂ A
(figura 23).Señalemos el significado de la relación ⊃ en las demás álgebras de Boole que conocemos. En el «álgebra de los dos números» (ejemplo 1) esta relación se establece mediante la condición
1 ⊃ 0
y en el «álgebra de los cuatro números» (ejemplo 2) mediante las condicionesI ⊃ 0, 1 ⊃ p, 1 ⊃ q y q ⊃ 0
(los elementos p y q de esta álgebra son incomparables, o sea, no tiene lugar ninguna de las relaciones p ⊃ q y q ⊃ p). En el «álgebra de los máximos y los mínimos» (ejemplo 3) la relación ⊃ coincide con la relación ≥; consideramos que los elementos x e y están vinculados por la relación ⊃ y si el número x no es menor que el número y (por ejemplo, aquí ½ ⊃ 1/3 )[12].Por último, en el «álgebra de los mínimos múltiples y los máximos divisores» (ejemplo 4) la relación m ⊃ n significa que el número n es divisor del número m; por ejemplo, aquí 42 ⊃ 6, mientras que los números 42 y 35 de esta álgebra son incomparables (o sea, no tiene lugar ninguna de las relaciones 42 ⊃ 35 y 42 ⊂ 35). Proponemos al lector demostrar que la relación ⊃ , definida de esta forma en cada una de las álgebras de Boole enumeradas, posee todas las propiedades que hemos señalado para la relación ⊃ en el álgebra de los conjuntos.
Es natural denominar desigualdad booleana toda fórmula cuyos primer y segundo términos están vinculados por la relación ⊃ (o ⊂ ). Trataremos sólo de las desigualdades válidas para todos los valores de los elementos A, B, C, … del álgebra de Boole que figuran en la desigualdad, como son las desigualdades I ⊃ A, A ⊃ O, A + B ⊃ A o A ⊃ AB mencionadas anteriormente. El principio de dualidad afirma que si en una desigualdad de este tipo sustituimos la adición por la multiplicación, y viceversa, el elemento O (si es que figura en nuestra desigualdad) por el elemento I, y viceversa, y si cambiamos el signo de la desigualdad por el signo contrario (o sea, si sustituimos la relación ⊃ por la relación ⊂ , obtendremos de nuevo una desigualdad válida (es decir, una desigualdad que se cumple para todos los valores de los elementos del álgebra de Boole que en ella figuran). Por ejemplo, de
(A + B) (A + C) (A + I) ⊃ ABC
(véase el ejercicio 8, b) se deduce que siempreAB + AC + AO ⊂ A + B + C
Para demostrar el principio de dualidad, basta aplicar la operación «raya» a ambos miembros de la desigualdad inicial. Así, de La validez de la desigualdad(A + B) (A + C) (A + I) ⊃ ABC
y de la regla «si A ⊃ B, entonces![]()

![]()
.
son arbitrarios, so pueden designar simplemente por A , B y C. De esto modo llegamos precisamente a la desigualdad
AB + AC + AO ⊂ A + B + C
dual, en el sentido explicado anteriormente, de la inicial.Ejercicios
1. Escribe las igualdades duales de todas las igualdades que se propone demostrar en los ejercicios del 1 al 10, capítulo 1.
2. Demuestra las siguientes identidades del álgebra de los conjuntos:
a) ![]()
b) ![]()
c)
;
d)
,
![]()
4. ¿Qué igualdades se obtienen, por medio del principio de dualidad descrito en el ejercicio 3, de las igualdades de los ejercicios 2, a, b y d?
5. Comprueba que en el «álgebra de los cuatro números» (ejemplo 2, Capitulo 1) se cumple la segunda regla de Morgan:
![]()
b) Sea N = pA donde p es un número primo y A es un entero positivo. Demuestra que en este caso el «álgebra de los mínimos múltiples y los máximos divisores», cuyos elementos son los divisores del número N, se convierte en el «álgebra de los máximos y los mínimos» definida en el conjunto de los números 0, 1, 2, A. Deduce de aquí que para esta «álgebra de loa mínimos múltiples y los máximos divisores» se cumplen todas las leyes del álgebra de Boole incluyendo también las reglas de Morgan.
c) Sea
![]()
0 ≤ a1 ≤ A1, 0 ≤ a2 ≤ A2,… 0 ≤ ak ≤ Ak,
(véase el ejercicio 6 anterior). ¿Qué forma tendrá la descomposición en factores primos del número
?
7. Entre las álgebras de Boole que conoces, ¿en cuáles se cumplen y en cuáles no se cumplen las igualdades
![]()
9. Escribe las desigualdades que se obtienen de las desigualdades a, b y c del ejercicio 8 aplicando el principio de dualidad; demuéstralas directamente, sin recurrir al principio de dualidad.
10. Demuestra que si una desigualdad booleana comprende la operación «raya», también es válida la desigualdad que se obtiene de la inicial sustituyendo la adición booleana por la multiplicación booleana, y viceversa, el elemento O por el elemento I, y viceversa, conservando la operación «raya» en su sitio cada vez que aparezca en la desigualdad inicial y sustituyendo el signo de la desigualdad por el signo opuesto. Aplica este principio para obtener una desigualdad nueva a partir de la desigualdad del ejercicio 8.
11. Comprueba todas las propiedades de la relación ⊃ para
a. el «álgebra de los máximos y los mínimos»;
b. el «álgebra de los mínimos múltiples y los máximos divisores».
12. Sean A y B unos conjuntos tales que A ⊃ B. Simplifica las expresionesa. A + B
b. AB
c. A + ![]()
d.
B.
* * * *
§4
Conjuntos y proposiciones; álgebra de las proposiciones
A = {Alejandro, Simeón, Miguel, Catalina},
B = (1, 2, 3, 4, 5} o
C = {+, - , x , :}
(en en último caso, los signos de las operaciones representan las operaciones mismas)[13].Sin embargo, este modo de definir un conjunto resulta muy incómodo si el conjunto tiene muchos elementos y no puede servir en absoluto para definir conjuntos infinitos (ya que no podemos enumerar una cantidad infinita de elementos de un conjunto). Además, incluso en los casos en los que es factible y sencilla la definición explícita de un conjunto, ella difumina a veces la esencia misma del conjunto considerado, las razones que nos conducen a unir en un conjunto precisamente estos elementos y no otros.
Está mucho más difundido otro modo de definición de los conjuntos, llamado implícito o descriptivo, cuando señalamos una propiedad que caracteriza todos los elementos del conjunto considerado: así, puede hablarse del «conjunto de todos los alumnos de tu clase que estudian en sobresaliente» (es posible que sea precisamente el conjunto A que figura más arriba), del «conjunto de todos los números enteros x tales que 0 < x ≤ 5» (éste es precisamente el conjunto B) o del «conjunto de todos los animales del parque zoológico de Moscú».
El modo descriptivo de definición de un conjunto es totalmente aplicable a los conjuntos infinitos como el «conjunto de todos los números enteros» o el «conjunto de todos los triángulos de área 1»; es más, según hemos señalado anteriormente, los conjuntos infinitos pueden definirse sólo aplicando el modo descriptivo.
El modo implícito (descriptivo) de definición de los conjuntos vincula éstos con las proposiciones que se estudian en la Lógica Matemática. A saber, este modo de definición de un conjunto consiste en que fijamos un conjunto de objetos, que son los únicos que nos interesan (por ejemplo, el conjunto de los alumnos de tu clase o el conjunto de los números enteros) y enunciamos después una proposición que cumplen todos los elementos del conjunto considerado, y sólo estos elementos; si nos interesan sólo los conjuntos de alumnos de tu clase, estas proposiciones pueden ser: «estudia en sobresaliente», «es ajedrecista», «está sentado en la primera fila», «se llama Andrés», etc. El conjunto A de todos los elementos del conjunto universo I (conjunto de los alumnos, conjunto de los números, etc.) que cumplen la propiedad que es el contenido de la proposición dada a se denomina conjunto de verdad de la proposición dada (véase por ejemplo la figura 24)[14].

Figura 24.
Sin embargo —y esto es de suma importancia— entenderemos por proposición sólo una afirmación de la cual podemos decir si es verdadera o falsa (respecto a un elemento determinado del conjunto universo considerado). De esta forma, son proposiciones las frases «tiene dos cabezas y dieciséis brazos» o «2 x 3 = 6» (la segunda de estas frases no depende siquiera de cómo se escoja el conjunto universo I), mientras que la consigna «¡Viva el Primero de Mayo!» o la interjección «¡Ah!» no representan, por supuesto, proposiciones.
Por cuanto las proposiciones nos interesan únicamente desde el punto de vista de los conjuntos que describen, no haremos diferencia y consideraremos idénticas dos proposiciones a y b a las que corresponde un misino conjunto de verdad. Si dos proposiciones a y b (por ejemplo, «estudia en sobresaliente» y «tiene sólo notas sobresalientes» o «el número x es impar» y «el número x dividido por 2 da 1 como resto») son iguales, escribiremos
a = b.
Habrá que considerar iguales entonces todas las proposiciones idénticamente verdaderas (o carentes de contenido), o sea, las proposiciones que son verdaderas siempre, independientemente del elemento del conjunto I que se considere; así, son idénticamente verdaderas las proposiciones «2 x 3 = 6», «el alumno de tu clase es un varón o una hembra», «la estatura del alumno no pasa de 3 metros», etc. Designaremos todas las proposiciones idénticamente verdaderas por la letra i. También consideraremos iguales todas las proposiciones idénticamente falsas (o contradictorias) que no tienen nunca lugar, o sea, las proposiciones cuyo conjunto de verdad es vacío. Como ejemplos de tales proposiciones, que designaremos por la letra o, pueden servir las siguientes: «2 x 2 = 6», «el alumno de tu clase sabe volar», «su estatura pasa de los 4 metros», «el número es mayor que 3 y menor que 2».La relación existente entre los conjuntos y las proposiciones permite definir para las proposiciones unas operaciones algebraicas específicas similares a las introducidas anteriormente para el álgebra de los conjuntos. A saber, denominaremos suma de dos proposiciones a y b la proposición cuyo conjunto de verdad coincide con la suma del conjunto de verdad A de la proposición a y del conjunto de verdad B de la proposición b; designaremos esta proposición por el símbolo a + b[15].
Pero sabido es que la suma de dos conjuntos es sencillamente la unión de todos los elementos pertenecientes a anillos conjuntos; por eso, la suma de las proposiciones a y b es la proposición « a o b», donde la conjunción «o» significa que es verdadera la proposición a o la proposición b o bien ambas a la vez. Por ejemplo, si la proposición a reza «es aficionado al ajedrez» y en tu clase a esta proposición le corresponde el conjunto de verdad
A = {Alejandro, Simeón, Miguel, Andrés, Catalina, Alejandra, Elena}
mientras que la proposición b reza «es aficionado al juego de las damas» y tiene el conjunto de verdadB = {Alejandro, Miguel, Pedro, Igor, Catalina, Luz},
entonces a + b es la proposición «es aficionado al ajedrez o al juego de las damas» y a esta proposición le corresponde el conjunto de verdadA + B = {Alejandro, Simeón, Miguel, Andrés, Pedro, Igor, Catalina, Alejandra, Elena, Luz}. Si el conjunto universo es el conjunto de las figuras representadas en la figura 24 y las proposiciones c y d significan «la figura es redonda» y «la figura está sombreada», entonces la proposición c + d reza «la figura es redonda o está sombreada» (figura 25).

Figura 25.
AB = {Alejandro, Miguel, Catalina}.
Si las proposiciones c y d, referentes al conjunto de figuras representadas en la figura 24, significan «la figura es redonda» y «la figura está sombreada», entonces la proposición cd significa «la figura es redonda y está sombreada» (figura 25).La relación existente entre los conjuntos y las proposiciones permite traspasar a las proposiciones todas las reglas del álgebra de los conjuntos:
leyes conmutativas del álgebra de las proposiciones:
a + b = b + a,
ab = ba;
leyes asociativas del álgebra de las proposiciones:
( a + b)+ c = a + ( b +c),
( ab) c = a(bc)
leyes distributivas del álgebra de las proposiciones:
( a + b) c = ac + bc
ab + c = (a + c) (b + c);
leyes idempotentes del álgebra de las proposiciones
a + a = a,
aa = a
Además, si i es una proposición idénticamente verdadera y o es una proposición idénticamente falsa, entonces siempre (o sea, para cualquier proposición a)a + o = a, ai = a; a + i = i, ao = o
Por ejemplo, la proposición «estudia en sobresaliente o tiene dos cabezas» es equivalente a la proposición «estudia en sobresaliente», mientras que la proposición «es aficionado a la natación y tiene menos de 200 años» es equivalente a la proposición «es aficionado a la natación»[17].Para comprender cómo las leyes del álgebra de las proposiciones se deducen de las leyes del álgebra de los conjuntos, consideremos, por ejemplo, la segunda ley distributiva. Puesto que el conjunto de verdad de la suma de dos proposiciones representa la suma de los conjuntos de verdad de estas proposiciones y el conjunto de verdad del producto de proposiciones es el producto de sus conjuntos de verdad, resulta que el conjunto de verdad de la proposición compleja ab + c (o sea, de la proposición «tiene lugar « a y b» o c») es AB + C, donde A, B y C son los conjuntos de verdad de las respectivas proposiciones a, b y c. Análogamente, el conjunto de verdad de la proposición compleja ( a + c) ( b + a) es el conjunto ( A + C)( B + C).
Pero, en virtud de la segunda ley distributiva del algebra de los conjuntos,
AB + C = ( A + C) ( B + C)
Por consiguiente, los conjuntos de verdad de las proposiciones ab + c y ( a + c)( b + c) coinciden; pero esto significa precisamente que las proposiciones ab + c y ( a + c)( b + c) son iguales. (Véase también donde hemos señalado que las proposiciones «es aficionado al ajedrez y al juego de las damas o a la natación» y «es aficionado al ajedrez o a la natación y también es aficionado al juego de las damas o a la natación» tienen el mismo sentido, o sea,ab + c = ( a + c)( b + c)
donde las proposiciones a, b y c significan, respectivamente, «es aficionado al ajedrez», «es aficionado al juego de las damas» y «es aficionado a la natación».)Aparte de las operaciones de adición y de multiplicación de los conjuntos, también se puede traspasar al álgebra de las proposiciones la operación «raya». En este caso debe entenderse por
En otras palabras, deben cumplir la condición

Figura 26.
Enumeremos ahora las leyes del álgebra de las proposiciones relacionadas con la operación de la negación;

Ejercicios 1.
Cita tres ejemplos de proposiciones idénticamente verdaderas y dos ejemplos de proposiciones idénticamente falsas.
2. Supongamos que la proposición a significa:
| a) «2 x 2 = 4»; | b) «es varón»; |
| c) «el elefante es un insecto»; | d) «sabe volar» |
¿Qué significado tiene en todos estos casos la proposición a? ¿Es idénticamente verdadera? ¿Es ¡idénticamente falsa?
3. Supongamos que la proposición a significa «es aficionado al ajedrez», mientras que la proposición b significa «es aficionado al juego de las damas». ¿Qué significado tienen las proposiciones?
| a) a + b; | b) ab; | c) |
| d) a + |
e) |
f) |
| g) |
h) a |
| a) | (a + b) c y ac + bc; |
| b) | ab + c y ( a + c) ( b + c) |
5. Supongamos que las proposiciones a y b significan: «el número entero positivo es par» y «el número entero positivo es primo». ¿Qué significado tienen las proposiciones?
| a) ab | b) |
| c) |
d) a |
| e) |
¿Qué representan los conjuntos de verdad de estas proposiciones?
6. Supongamos que las proposiciones a y b significan, respectivamente, «el alumno es miembro del círculo matemático» y «el alumno participa en el coro». ¿Qué significado tienen las proposiciones?
| a) | y | ||
| b) | y |
* * * *
§5
«Leyes del pensamiento» y reglas de la deducción
Ahora podemos explicar las razones que han motivado, en nuestros días, tan acrecentado interés hacia los estudios de George Boole, hacia la interpretación matemática de las leyes de la lógica en forma de específicas «reglas del álgebra». Mientras el campo del pensamiento ha constituido una prerrogativa absoluta del raciocinio humano, podíamos desentendemos de la descripción formalizada de las «leyes del pensamiento»: pues las personas siempre se han regido por estas leyes sin darse cuenta siquiera del contenido de las mismas. Poro en los últimos decenios la situación ha cambiado vertiginosamente y hoy tratamos de encomendar a nuestros «colaboradores electrónicos», las máquinas computadora electrónicas, funciones que antes cumplían sólo seres consciente»: dirección de la producción y elaboración de horarios del transporte, solución de problemas matemáticos y traducción de libros, planificación de la economía y búsqueda de datos que nos interesan en la vasta bibliografía científica; hoy día las máquinas electrónicas juegan incluso al ajedrez. Pero, para «enseñar» todo esto a las máquinas, nos hemos visto obligados, naturalmente, a enunciar con claridad las «reglas del juego», las «leyes del pensamiento», que deben seguir las «inteligentes» máquinas creadas por el hombre: mientras el hombre sigue instintivamente las reglas de la lógica, para la máquina es preciso formularlas con claridad y, además, formularlas en el único «idioma» que sólo puede «comprender» la máquina matemática, en el idioma de las matemáticas[19].
Pero volvamos a las «leyes del pensamiento». Las de mayor interés son las relacionadas con la operación lógica de la negación; muchas de éstas tienen nombre especial en la Lógica. Por ejemplo, la regla
= i
![]()
![]()
No es menor la importancia que tienen las reglas de Morgan
![]()
( a + b) c = ac + be y
ab + c = (a + c) (b + c)
o las leyes ídem potentesa + a = a y aa = a,
representan determinadas «leyes del pensamiento», determinadas reglas de la lógica que rigen la obtención de nuevas conclusiones de otras que ya se conocen.Un lugar peculiar ocupan las reglas referentes a la relación lógicas ⊃ . Hasta el momento no hemos considerado esta relación; sin embargo la «conexión bilateral» entre los conjuntos y las proposiciones, que hemos establecido anteriormente, permite traspasar sin dificultad la relación ⊃ del álgebra de los conjuntos (relación de inclusión) al campo del álgebra de las proposiciones. A saber, escribiremos
a ⊃ b
y diremos que la proposición a se deduce de la proposición b (o que a es un corolario de b) siempre que el conjunto de verdad A de la proposición a comprenda el conjunto de verdad B de la proposición b, o sea, siempre queA ⊃ B
Por ejemplo, puesto que el conjunto B de los alumnos de tu clase que estudian en sobresaliente está contenido obviamente en el conjunto A de todos los alumnos que tienen buenas notas, resulta que la proposición a: «el alumno de tu clase tiene buenas notas en todas las asignaturas» es corolario de la proposición b: «el alumno estudia en sobresaliente». De un modo análogo, el conjuntoA = {6, 12, 18, …}
de los números (enteros positivos) divisibles por 6 está contenido en el conjuntoA= {2, 4, 6, 8, 10, 12, 14, 16, 18, 20 ,…}
de los números pares; por esto, la proposición «el número es par» resulta corolario de la proposición «el número es divisible por 6»[20].A menudo se denomina deducción a la comprobación de que dos proposiciones a y b están vinculadas por la relación a ⊃ b; en este caso la proposición b se denomina hipótesis y la proposición a, que se deduce de esta hipótesis, se denomina tesis. Con las deducciones nos encontramos muy frecuentemente en la ciencia y en la vida cotidiana; por ejemplo, tienen como regla carácter de deducción las demostraciones de teoremas matemáticos: se exige demostrar que la hipótesis b del teorema (por ejemplo, «el ángulo P del triángulo MNP es recto», figura 27) implica la tesis a («MP2 + NP2 = MN2» en este caso la fórmula a ⊃ b equivale al teorema de Pitágoras).

Figura 27
a ⊃ a;
si a ⊃ b y b ⊃ a, entonces a = b
si a ⊃ b y b ⊃ c, entonces a ⊃ c;
i ⊃ a y a ⊃ o cualquiera que sea a;
a + b ⊃ a y a ⊃ ab para cualesquiera a y b
si a ⊃ b, entonces
.
De este modo, tenemos
a ⊃ b y c ⊃ a;
por esoc ⊃ b
o en otras palabras: si las diagonales de un cuadrilátero se cortan en el punto medio de ambas, sus ángulos opuestos son iguales.Detengámonos finalmente en el empleo de la regla si a ⊃ b, entonces
![]()
He aquí un ejemplo de este modo de razonar: demostremos que si el número (entero) n mayor que 3 es primo (proposición b), entonces n es de la forma 6 k ± 1 (donde k es un entero), o sea, que al dividir n por 6 se obtiene el resto +1 o el resto —1 (proposición a). Es bastante difícil demostrarlo directamente, sin basarse en la regla «si a ⊃ b, entonces
Al dividir por 6 cualquier número entero n se obtiene o bien el resto 0 (en este caso el número n es divisible por 6), o bien el resto 1, o bien el resto 2, o bien el resto 3, o bien el resto 4, o bien el resto 5 (o el resto —1 que viene a ser lo mismo); por eso, la hipótesis
Ejercicios
1. Enuncia verbalmente las reglas de Morgan
2. Cita un ejemplo que ilustre
a) la ley del tercero excluido;
b) la ley de la contradicción;
c) la ley de La negación doble.
3. Propón un ejemplo para ilustrar cada una de las propiedades de la relación (relación de secuencia) de las proposiciones ya enumeradas.4. Recuerda algún ejemplo que tú conozcas de la demostración por el absurdo y escríbelo en forma simbólica.
5. Sea a ⊃ b. Simplifica la suma a + b de las proposiciones a y b y el producto ab de estas proposiciones.
* * * *
§ 6
Proposiones. Circuitos de contactos

Figura 28
Por cuanto la única misión de una sección de un circuito eléctrico consiste en conducir la corriente eléctrica, no haremos diferencia y consideraremos «guales» dos secciones idénticas en este aspecto, o sea, dos secciones que contienen los misinos interruptores y que simultáneamente conducen o no conducen la corriente cuando la posición («cerrado», «abierto») de todos los interruptores es la misma.

Figura 29
A + B = B + A y AB = BA
y asociativas

Figura 30
![]()
![]()

Figura 31 (arriba) y Figura 32 (abajo)

Figura 33
(figura 34) y que
![]()

Figura 34 (arriba) y Figura 35 (abajo)
está necesariamente abierto, es fácil desde el punto de vista técnico realizar semejante par de contactos (figura 36).

Figura 36.
![]()
![]()

Figura 37 (arriba) y Figura 38 (abajo).
![]()
La semejanza que existe entre el «álgebra de los circuitos de contactos» y el «álgebra de las proposiciones» es muy valiosa en dos aspectos. En primer lugar, permite simular proposiciones complejas mediante circuitos eléctricos. Consideremos, por ejemplo, la proposición compleja
![]()
![]()
.

Figura 39.

Figura 40.
Lo segunda ventaja, que se obtiene de la semejanza existente entre el álgebra de los circuitos de contactos y el álgebra de las proposiciones, consiste en que permite construir, basándose en las reglas de la Lógica, circuitos de contactos que satisfacen condiciones dadas de antemano (y que pueden ser bastante complejas). Lo mostraremos con dos ejemplos.
Ejemplo 1.
Es preciso construir un circuito eléctrico para un dormitorio con un bombillo eléctrico siendo deseable tener dos Interruptores: uno junto a la puerta y otro sobre la cabecera; el giro de cualquier Interruptor, independientemente de la posición que ocupe el otro, debe desconectar el circuito si anteriormente estaba conectado y conectarlo, sí estaba desconectado.
Solución. Designemos por
y
.
![]()
Volviendo ahora de las proposiciones a los circuitos de contactos, deducimos que el circuito eléctrico

Figura 41.
Hay que construir un circuito eléctrico para el mando de un elevador; suponemos, para simplificar que el número de pisos es igual a dos. El circuito debe contener dos contactos que se manipulan oprimiendo botones instalados en la cabina del elevador (botón de descenso) y en el primer piso, junto a la puerta del elevador (botón de llamada); los contactos adicionales están relacionados con las puertas del elevador en el primero y segundo pisos, con la puerta interior de la cabina, así como con el piso del elevador sobre el cual ejerce presión el pasajero que se encuentra en la cabina. El circuito eléctrico que permite manejar el descenso[25] del elevador, debe conectarse sólo si la cabina se encuentra en el segundo piso y si, además, se cumplen las condiciones siguientes:
1. están cerradas ambas puertas del elevador y la puerta de la cabina; el pasajero se encuentra en el elevador y oprime el botón de descenso o
2. están cerradas ambas puertas del elevador (mientras que la puerta de la cabina está cerrada o abierta); en la cabina no hay nadie; una persona oprime en el primer piso el botón de llamada.
Solución.Designemos los interruptores de contacto que regulan la conexión del circuito de la forma siguiente:
1. el contacto
está cerrado, y el contacto
está cerrado, y el contacto
, está cerrado, y el contacto ![]()
2. el contacto
está cerrado, y oí contacto
está cerrado, y el contacto
, está cerrado, y el contacto ![]()
está abierto.
Teniendo en cuenta que la operación lógica «y» corresponde al producto de proposiciones (de contactos), mientras que la operación lógica «o» corresponde a la suma de las mismas, obtenemos fácilmente
![]()
![]()
![]()

Figura 42
Representa los circuitos de contactos que corresponden a las proposiciones complejas

(a + c) (b + c) (a + d) (b + d) y
ab + cd
y comprueba la «igualdad» de estos circuitos.3. Construye el circuito eléctrico
a. el circuito
, se cierre sólo si están cerrados todos los contactos
,
,
y
o si no está cerrado ninguno de estos contactos;
b. el circuito se cierra sólo si están cerrados algunos de los contactos
,
,
y
pero no todos estos contactos.
b. Construye un circuito análogo para un comité compuesto del presidente y cinco vocales; el bombillo debe encenderse ahora sólo si la proposición reúne la mayoría de votos o si los votos se han repartido por igual pero el presidente ha votado a favor de la proposición.
5. Construye un circuito eléctrico que permita encender y apagar el bombillo empleando
a. tres interruptores independientes (compara con el ejemplo 1 recién anterior);
b. n interruptores independientes.
6. En las condiciones del ejemplo 2 recién anterior, construye un circuito que permita desplazar el elevador hacia arriba.* * * *
Apéndice
Definición del Algebra de Boole


La definición del álgebra de Boole dada más arriba es poco «económica»: muchas de las propiedades enumeradas pueden ser deducidas de las otras, de modo que no es indispensable exigir que se cumplan. Esta definición tampoco es la única aceptada en la literatura: en varios libros y artículos, a las «reglas principales» (o axiomas) del álgebra de Boole se agregan además las siguientes:

En el caso de tal definición, el ejemplo 3 (álgebra de los máximos y los mínimos) considerado en el § 2 no representa ya un álgebra de Boole y el ejemplo 4 (álgebra de los mínimos múltiplos y los máximos divisores) ofrece un álgebra de Boole sólo en el caso en el que el número inicial N se descompone en el producto de factores primos distintos dos a dos (tal es el número 210 = 2 x 3 x 5 x 7 que figura en el texto, pero no será éste el caso, digamos, del número 72 = 23 x 32 = 2 x 2 x 2 x 3 x 3). A este respecto pueden verse, por ejemplo, los libros [2] y [4] o el artículo [8] de la lista bibliográfica que viene a continuación.
* * * *
Respuestas y sugerencias a ejercicios
§1
1.
(A + B) (A + C) (B + D)(C + D) = [(B + A) (C + A)] [(B+D)(C + D)] =
= (BC + A) (BC + D) = (A + BC) (D + BC) = AD + BC
2.
A (A + B) = AA + AB = A +AB = AI + AB = A (I + B) = AI = A.
5.A(A + I)(B + O) = A∙I∙B =AB
6. (A + B) (B + C) (C + A) = ABC + AB + AC + BC =
= ABC + ABI + AC + BC = AB (C + I) + AC + BC =
= ABI + AC + BC = AB + BC + CA
7.
[(A + B)(B+ C)] (C + D) = (AC + B) (C + D) =
= AC + ACD + BC + BD = AC + BC + BD.
[(A + B + C) (B + C + D)] (C + D + A) = [AD + (B + C) (C + D + A) =
[(AD + B) + C] [(A + D) + C] = (AD + B) (A + D + C] =
= AD + AD + AB + BD + C = AB + AD + BD + C.
3.

1.
AB + AC + BD + CD = (A + D) (B + C) (véase el ejercicio 1 del §1);
A + AB = A (véase el ejercicio 2 del § 1);
AB + BO + AI = A (véase el ejercicio 9 del § 1);
A BC + BCD + CDA = (A + B) (A + D) (B + D) C
2.

4.

a) A cada divisor m del número N le corresponde un subconjunto determinado del conjunto I = { p1, p2, … pk} de divisores primos del número N; a saber, el conjunto de aquellos de estos divisores que a la vez son también divisores de m; además, si a los números m y n les corresponden los subconjuntos A y B del conjunto I, entonces a los números m ⊕ n = [m, n], m ⊗ n = ( m, n) y
les corresponden los conjuntos A + B, AB y

8. a)
(A + B) (A + C) = A + AC + AB + BC =
AI + AC + AB + BC = A (I + C + B) + BC =
= AI + BC = A + BC ⊂ A + B ⊂ A + B + C
(A + B) (A + C) (A + I) = (A + B) (A + C) I =
= (A + B) (A+ C) = A + BC ⊃ A ⊃ ABC
c)
(A + B) (B + C) (C + A) = AB + BC + CA ⊃ AB ⊃ ABC
(véase el ejercicio 6 del §1);d) Puesto que
9.
ABC ⊂ AB + AC (véase el ejercicio 8a);
AB + AC + AO ⊂ A + B + C (véase el ejercicio 8b);
AB + BC + CA ⊂ A + B + C (véase el ejercicio 8c).
10.12. a) A; b) B; c) I; d) O.
§4
5. a) «el número entero positivo es par y es primo»; el conjunto de verdad es {2}; b) «el número entero positivo es impar o es primo»; el conjunto de verdad {1, 2, 3, 5, 7, 9, 11, 13, 15, 17, …} difiere del conjunto de los números impares en que se ha agregado el número 2;
c) «el número entero positivo es impar y es primo»); el conjunto de verdad {3, 5, 7, 11, 13, 17, 19,…} difiere del conjunto de todos los números primos en que se ha excluido el número 2;
d) «el número entero positivo es par y no es primo»; el conjunto de verdad {4, 6, 8, 10,12, 14,16,…} difiere del conjunto de todos los números pares en que se ha excluido el número 2;
e) «el número entero positivo es impar o no es primo»; el conjunto de verdad {1, 8, 4, 5, 6, 7, 8, 9, 10, 11,…} es el conjunto de todos los números enteros positivos a excepción del número 2.
§5
a + b = a; ab = b.
§6 1. a) Véase la figura 43, a) véase la figura 44;3. a) Véase la figura 45, a; b) véase la figura 45, b.
4. a)
b)

5.a)

Figura 43 (arriba), Figura 44 (centro) y Figura 45 (abajo)
- James T. Culbertson, Mathematics and logic for digital devices. Prinston (N.J.) 1958, Van Nostrand. En este libro, que no presupone del lector ningún conocimiento previo que rebase los márgenes del programa de la enseñanza media, pero que requiere cierta insistencia y determinados hábitos de lectura de literatura matemática, se toca de forma muy amplia todo el abanico de problemas que constituyen el contenido del folleto presente. Contiene numerosos problemas destinados al trabajo individual.
- E. Berkeley, Symbollc Logic and Intelligent Machines, New York, 1959. En muchos aspectos este libro es próximo al anterior, pero dedica menos espacio a las álgebras de Boole a cuenta de un enfoque más amplio de los problemas relacionados con las máquinas matemáticas.
- J. Kemeny a.o., Introduction to Finite Mathematics, 1957. Un amplio libro de texto destinado a los estudiantes de primer grado de especialidades no matemáticas; comienza por una detallada discusión de las cuestiones examinadas en el folleto presente. Contiene numerosos problemas.
- R. Courant y H. Robbins, What Is mathematics?, Oxford Univ. Press, 1941 (traducción castellana ¿Qué es la matemática?, Alda, Buenos Aires, 1954). En este extenso libro, destinado en primer lugar a los alumnos de los grados superiores de la enseñanza media, también se tratan las álgebras de Boole.
- A. Kaufmann, R. Faure, Invitation a la recherche operattonnelle, Paris, 1963. Uno de los capítulos de este libro de sumo interés, escrito para lectores poco preparados, está dedicado a las álgebras de Boole.
- R. R. Stoll, Sets. Logic and Axiomatlc Theories, W. H. Freeman and Co., San Francisco-London, 1961 (Conjuntos, lógica y teorías axiomáticas). Este libro es de un contenido más profundo que los anteriores, pero será de gran interés para un lector más experto.
- L. A. Kaluzhnin, ¿Qué es la lógica matemática?), 1984. Un pequeño folleto de contenido próximo al libro [6].
- I. M. Yaglom, Algebras de Boole, en el libro Sobre algunas cuestiones de la Matemática moderna y de la Cibernética, paginas, de 230 a 324).
Notas:
leyes conmutativas: A ∩ B = B ∩ A y A ∩ B = B ∩ A;
leyes asociativas (A ∪ B) ∪ C = A ∪ (B ∪ C) y (A ∩ B) ∩ C = A ∩ (B ∩ C)
propiedades del conjunto vacio O y del conjunto unitario I: A ∪ O = A, A ∩ I = A, A ∪ I = I y A ∩ O = O
leyes distributivas: ( A B) ∩ C = ( A ∩ C) ∪ ( B ∩ C) y ( A ∩ B) ∪ C = ( A ∪ C) ∩ ( B C)
leyes idempotentes: A ∪ A = A y A ∩ A = A
