Ramanujan
Juan José Rue Perna
Este libro trata de ese tipo de sucesos que, aun siendo altamente improbables, acaban ocurriendo. ¿Cómo se podría calificar de otro modo que una persona de origen muy humilde, procedente de la India rural y sin educación formal más allá de la escuela secundaria, llegase a ser uno de los matemáticos más geniales e influyentes del siglo XX? ¿Cómo podemos entender que sus trabajos continúen siendo motivo de estudio y desarrollo en las más avanzadas áreas de la matemática actual? ¿Qué casualidades del destino podrían llevar a que el matemático británico más sobresaliente de la primera mitad del siglo XX mostrase interés y sorpresa por unas cartas manuscritas procedentes de la lejana India, llenas de fórmulas nunca vistas, y escritas por un matemático aficionado, afirmando grandes proezas matemáticas?Estas son las premisas de la fascinante vida de Svirinasa Aiyangar Ramanujan y de las matemáticas que vislumbró a principios del siglo XX, y que continúan maravillando hoy en día a las nuevas generaciones de matemáticos, tanto por su profundidad como por su genialidad. Hijo de una familia humilde, el apetito matemático de Ramanujan empezó a una temprana edad cuando descubrió la belleza matemática del razonamiento abstracto. Esta pasión creadora, que duró toda su vida, se vio dificultada por su falta de recursos materiales y por una salud extremadamente delicada. A pesar de ello, el talento y la genialidad de Ramanujan triunfaron y pasó de ser un anónimo investigador autodidacta a uno de los matemáticos más laureados de su época. Como ya había ocurrido antes en la historia con personales como Évariste Galois, Niels Hendrik Abel o Alan Turing, el talento desmesurado de Ramanujan se vio truncado por una muerte temprana, en medio de una vorágine creadora sin igual.
En buena parte de su vida, sobre todo en su formación inicial, cuando aún no mantenía contacto con las matemáticas modernas), Ramanujan creó un estilo propio de trabajar las matemáticas. Con una intuición fuera de lo normal para la teoría de números y las identidades que involucraban sumas infinitas, el joven Ramanujan coleccionó identidades matemáticas y fórmulas con una profundidad y ramificaciones que no se entenderían hasta décadas después. Esta virtud lo llevó a conjeturar algunos de los resultados que han sido centrales en las matemáticas del siglo pasado y del presente.
Ramanujan fue un diamante en bruto, con unas cualidades fuera de lo normal para el pensamiento abstracto, pero durante gran parte de su investigación se mantuvo absolutamente aislado de la comunidad científica El talento del genio indio fue exportado a Occidente gracias a la perseverancia y la fe ciega de otro gran matemático, esta vez sí profesional, que lo apoyó desde el mismo momento que tuvo noticias de él; este fue Godfrey Harold Hardy. Un día, Hardy (en esa época catedrático de la Universidad de Cambridge, y máximo exponente en la renovación de las matemáticas en la Inglaterra de principios del siglo XX) recibió sin aviso correspondencia de la lejana India. Descubrió en el remitente una fuerza de la naturaleza que no podía pasar desapercibida Entonces, no dudó en invitarlo y acogerlo en Cambridge como estudiante especial; en aquel momento, comenzó a fraguarse una de las colaboraciones científicas más célebres de la historia de las matemáticas. Además de su legado matemático y de su moderna visión de las matemáticas, a Hardy también se le debe el descubrimiento de una de las mentes matemáticas más brillantes de la historia.
El objetivo de la presente obra es doble. Por un lado, se intenta cubrir con el mayor detalle posible la trayectoria vital de Ramanujan, desde su nacimiento en la India, pasando por sus primeros descubrimientos matemáticos paralelos a su solitaria búsqueda del infinito, hasta llegar al viaje a la lejana Inglaterra que lo cambiarla todo, y que transformaría aun modesto y desconocido joven hindú en el más célebre matemático indio contemporáneo. Este hecho es más importante si cabe si se tiene en cuenta la situación de la India colonial, totalmente dominada por la regla y el control de la Corona desde Londres.
Eli contenido biográfico de los capítulos se complementa con algunas de sus mayores contribuciones matemáticas, así como con los resultados más recientes y el estado del arte de cada una de las materias tratadas. El trabajo matemático de Ramanujan es muy amplio, pues abarca una gran variedad de temas matemáticos; aquí se ha intentado cubrir algunos de ellos. De este modo, el capítulo 1 sirve como introducción a los objetos preferidos de Ramanujan: las series infinitas y las fracciones continuas. Si bien realizó contribuciones en muchas otras áreas, sus mayores logros y los más influyentes se dieron en el estudio de estos objetos, e incluso décadas después de su muerte, existen diversas áreas matemáticas extremadamente activas que estudian estos objetos y sus conexiones con otras áreas, como el análisis y la geometría.
En el capítulo 2 se va a tratar otro tema recurrente en la obra del matemático indio: el estudio de los números primos, objetos centrales en la teoría de números. De nuevo, Ramanujan fue precursor de algunos de los resultados más importantes en la comprensión de estos números fundamentales en la aritmética e intuyó problemas de gran profundidad por sus ramificaciones con otras subdisciplinas. En particular, sus resultados junto a Hardy sobre el comportamiento del número de factores primos, de un número escogido uniformemente al azar, iniciaría el área de la teoría probabilística de los números.
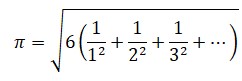
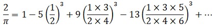
El estudio del número π ha fascinado a generaciones de matemáticos a través de la historia. Este será el contenido del capítulo 3. Aunque existen múltiples formas de encontrar dígitos de este número, Ramanujan halló fórmulas que los calculan de manera extremadamente rápida. De hecho, sus ideas para encontrar dichas fórmulas son las que utilizan en la actualidad la gran mayoría de programas de cálculo para generar los primeros miles de dígitos del número. Este hecho no es casualidad, y se basa en la comprensión profunda de sus fórmulas y de la conexión existente de estas con ciertos objetos algebraicos, de los que se hablará más adelante: las formas modulares.
El capítulo 4, centrado en la memorable estancia de Ramanujan en el Trinity College de Cambridge, abarca uno de sus problemas más famosos: el estudio de la función de partición. El genio de Ramanujan y el talento de Hardy se unieron para resolver un problema inocentemente sencillo, pero que había resistido a diversos intentos de ataque: ¿de cuántas maneras puede escribirse un número entero n como suma de enteros más pequeños, donde el orden de los sumandos no importa? No solo resolvieron el problema (de modo asintótico, es decir, para valores suficientemente grandes), sino que con ello inventaron técnicas que son referencia hoy en día en la teoría de números. Como consecuencia de la resolución del problema de las particiones, conocido como el Partitione numerorum, el célebre matemático abrió (de nuevo) toda una nueva área de exploración matemática: las congruencias de Ramanujan.
Eli libro concluye en el capítulo 6, que versa sobre el legado matemático de Ramanujan, quien si bien demostró multitud de resultados en vida, dejó también muchas conjeturas abiertas que resultarían centrales en el desarrollo de las matemáticas actuales. Con su trabajo, no solo se iniciaron nuevas investigaciones, sino que su legado influyó en algunos de los resultados matemáticos más importantes del siglo XX, como la resolución de las conjeturas de Weil o el último teorema de Fermat.
Todos estos avances pertenecen al siglo XX. En el siglo XXI, en la actualidad, sus trabajos y sus conjeturas han abierto, más aún, conexiones impensables con áreas como la teoría de cuerdas o la cosmología. Su trabajo y su herencia son, más que nunca, centrales en la investigación matemática actual.
| Cronología | |
| 1887 | Nace el 22 de diciembre en Erode (India). |
| 1889 | Enferma de viruela. La enfermedad será un problema recurrente durante toda su vida. |
| 1892 | Inicia su educación en la escuela local de Kanchipuram. Muestra indicios de poseer una mente matemática privilegiada (por ejemplo, hace cálculos mentales con una rapidez asombrosa), |
| 1898 | Entra en la escuela secundaria y descubre las matemáticas formales y los argumentos abstractos. Despierta su pasión por las matemáticas. |
| 1903 | Descubre el libro de G. S. Carr, A sinopsis of elementary results in pure mathematics (1886), que le servirá de referencia fundamental para su formación autodidacta. |
| 1904 | Con 17 años, termina la escuela secundaría y recibe una beca para estudiar en la universidad. La investigación autodidacta en matemáticas lo absorbe, mientras empieza sus estudios universitarios. |
| 1906 | Abandona la universidad, en medio de una febril creación matemática en solitario. Subsiste inmerso en la pobreza y al borde de la inanición. |
| 1909 | Se casa con Srimathi Janaki el 14 de julio, cuando ella tenía tan solo 10 años. |
| 1911 | Empieza a ganar reputación por sus contribuciones en The Journal of the Indian mathematical Society. Encuentra ocupación como contable en el puerto de Madrás un año después. |
| 1913 | Intenta ponerse en contacto con matemáticos británicos para mostrarles sus descubrimientos. Después de varios intentos fallidos, Godfrey Harold Hardy, catedrático en la Universidad de Cambridge, queda maravillado con sus hallazgos. |
| 1914 | Viaja a Inglaterra para trabajar con Hardy. |
| 1916 | Consigue el doctorado en la Universidad de Cambridge sin tener estudios universitarios previos y, como «estudiante excepcional», publica sus primeros resultados en revistas matemáticas británicas. |
| 1917 | Enferma gravemente de tuberculosis, por lo que permanece durante semanas en un sanatorio cerca de Londres. |
| 1918 | Recibe los máximos reconocimientos. Es elegido miembro de la Cambridge Philosophical Society y de la Royal Society de Londres, así como miembro del Trinity College de Cambridge. |
| 1919 | Retorna a la India como matemático consagrado y con todos los honores posibles de un gran matemático. |
| 1920 | A los 32 años, fallece a causa de sus persistentes problemas de salud |
Capítulo 1
Una carta inesperada
La llegada al Trinity College de Cambridge de una carta procedente de la lejana India colonial supuso para Godfrey Harold Hardy, uno de los matemáticos británicos más brillantes e influyentes de la primera mitad del siglo XX, su descubrimiento matemático más importante. En este caso, el hallazgo no fue de un resultado matemático, sino de una mente extraordinaria que años más tarde maravillaría a la comunidad matemática internacional.Debía de ser un día cualquiera de una semana cualquiera del año 1913, cuando Godfrey Harold Hardy, durante la lectura del correo matutino en la hora del desayuno, sostuvo entre sus manos una enigmática carta procedente de Madrás (la actual Chennai). El exótico origen del mensaje lo llevó a abrirla de inmediato. Empezaba con el siguiente texto:
Estimado señor,Se trataba de la carta de un matemático aficionado, pensó Hardy. Su primera reacción no pudo ser otra que la de incredulidad, incluso de irritación, pues mucho antes ya había recibido escritos afirmando soluciones a problemas centrales en matemáticas, tanto por sus implicaciones como por el hecho de haber resistido al paso del tiempo y al intento de resolución por parte de generaciones de investigadores.
Me permito presentarme a usted como empleado del Departamento de la Oficina de Cuentas Portuarias en Madrás con un salario de solo ₤ 20 por año. Ahora tengo cerca de 23 años de edad. No he tenido ninguna educación universitaria, aunque he cursado los cursos ordinarios. Después de dejar la escuela, he empleado mi tiempo libre en trabajar en matemáticas. No he asistido a ningún curso de la universidad, aunque estoy desarrollando mis propias investigaciones. He estado estudiando especialmente la teoría de las series divergentes en general y los resultados que obtengo son considerados por los matemáticos locales como «sorprendentes».

El matemático británico Godfrey Harold Hardy alrededor de 1890
Hardy continuó leyendo la carta, llena de afirmaciones matemáticas como la siguiente:
De igual modo que en las matemáticas elementales damos significado a expresiones como an cuando n es negativo, o a una fracción, parte de mis investigaciones proceden de dar sentido a ciertas integrales para todos los valares de n. Mis amigos de Madrás que han asistido a cursos regulares en la universidad me explican que la integralInteresante, así que cree haber encontrado una manera de dar significado a evaluaciones de la función gamma en valores negativos, pensó Hardy, y continuó con la lectura de la carta:es cierta únicamente cuando n es positiva, y que no tiene sentido cuando n es negativa. Asumiendo esta relación integral para todo valor de n positivo junto con la propiedad clásica Γ(n + 1) = Γ r(n), he conseguido dar significado a esta integral incluso cuando n es negativa. Parte de mis investigaciones se basan en este hecho, y últimamente he desarrollado parte de mi investigación basándome en este descubrimiento. Desgraciadamente, los matemáticos locales no son capaces de entender mis investigaciones.
Hace muy poco me encontré con una de sus publicaciones en la que se explica que no existe expresión conocida para el número de números primos menores que cualquier número dado. He encontrado una expresión que casi se aproxima al resultado real, siendo insignificante el error cometido. Le pediría que mire mis resultados en los documentos adjuntos... Siendo inexperto en este ámbito, le agradecería mucho cualquier consejo que me pudiera dar. En cualquier caso, le pido disculpas por cualquier problema o malestar que le pueda ocasionar.¿Una fórmula exacta para el número de primos menores que un número dado? Imposible. Ese debió de ser el primer pensamiento que le vino a la cabeza a Hardy. El estudio de los números primos era (y continúa siendo) un tema fundamental y sumamente difícil; y el teorema del número primo, que da el número aproximado (con un cierto término de error controlable) de números primos más pequeños que un número dado, había sido demostrado pocos años antes, en 1896, tanto por Jacques Hadamard (1865-1963) como por Charles-Jean de la Vallée Poussin (1866-1962). Así pues, afirmar una fórmula exacta para la función contadora de primos era una afirmación más que atrevida, casi desvergonzada.
Pero esta falta de fe en el remitente de la carta se transformó inmediatamente en sorpresa y asombro, o más bien en curiosidad, al vislumbrar las primeras fórmulas matemáticas escritas en las notas adjuntas. Identidades como


Este capítulo teatralizado iniciaba lo que Hardy consideraría el único incidente romántico de su vida. Un hindú desconocido, con escasa formación matemática, había entrado en su vida de manera fulminante con resultados matemáticos nunca vistos. Esta carta marcaría de manera decisiva su carrera profesional como matemático en los años sucesivos. Hardy no era un matemático cualquiera; el lector de la carta fue uno de los matemáticos más sobresalientes, influyentes e importantes de su tiempo y profesor en una de las universidades más prestigiosas y antiguas del mundo.
§. El miembro díscolo del Trinity College
Godfrey Harold Hardy nació el 7 de febrero de 1877 en Cranleigh (Surrey, Inglaterra). Hijo de Isaac y Sofía, ambos dedicados a la enseñanza, el joven Hardy demostró grandes dotes para el estudio durante la etapa primaria en la escuela local de Cranleigh, en la que su madre era maestra. Este hecho se ilustra con los diversos premios académicos que recibió a lo largo de sus primeros años de escuela. Hardy no solo era bueno para las matemáticas, sino también para el resto de disciplinas. De hecho, al joven Hardy no le interesaban más las matemáticas que otras materias, y consideraba que con buenas calificaciones en esta asignatura, lo que conseguía era demostrar su superioridad intelectual al resto de compañeros. Dicho de otro modo, entendía las matemáticas solo en términos de calificaciones y exámenes. No es extraño que fuera así, pues esa visión de la materia estaba generalizada en la Inglaterra de la época. Afortunadamente, años más tarde Hardy cambiaría de manera radical su relación con las matemáticas.
Entre los múltiples premios y reconocimientos recibidos durante sus estudios de secundaria, tal vez el más importante fue la concesión de una beca de estudio en el Winchester College, donde ingresó en el año 1889. El Winchester College era una de las mejores escuelas de matemáticas de Inglaterra y había educado durante años a gran parte de la élite intelectual británica. Hardy asistió como alumno durante un tiempo, hasta que en 1896 consiguió una beca de estudio en la Universidad de Cambridge. En esa época, el adolescente Hardy no imaginaba que toda su vida, tanto académica como personal, estarla inevitablemente ligada a esta institución.
En la época de Hardy, la Universidad de Cambridge era, y continúa siendo, una de las instituciones de enseñanza superior más importantes del mundo, tanto en el área de las humanidades como en las disciplinas científicas. Es la segunda universidad más antigua de los países anglosajones (fue fundada en el año 1209), y de hecho, es la cuarta institución de enseñanza superior en activo más antigua del mundo. Se podría decir que la historia del conocimiento y la ciencia occidental no puede entenderse sin la actividad intelectual de esta universidad.
Ya desde su creación, la universidad se estructuró alrededor de sus colegios y residencias, donde se hospedan tanto los estudiantes como los profesores de Cambridge. Es tal su importancia en la vida académica, que en muchas ocasiones los profesores y miembros del colegio (los denominados fellows) tienen el derecho de continuar viviendo en la residencia aun habiéndose retirado de la vida académica. En cierto modo, conseguir ser fellow de uno de los colegios es un honor.
Fue en ese contexto que Hardy ingresó en la Universidad de Cambridge, y más en concreto en la residencia, posiblemente, más prestigiosa y aristocrática de todas las del campus universitario, el Trinity College. Su nombre completo es un poco más extenso: El Maestro, los Miembros y los Estudiantes del Colegio de la más Sagrada e Indivisible Trinidad en la Ciudad y Universidad de Cambridge. El Trinity fue fundado en 1546 por Enrique VIII como resultado de la fusión de dos colegios (el Michelhouse, fundado en 1324, y el King’s Hall, establecido por Eduardo II en 1317 y refundado en 1337 por Eduardo III) y de múltiples hostales. Desde entonces, el Trinity ha sido uno de los centros mundiales del desarrollo del conocimiento.
La fundación de la universidad de CambridgeEl nacimiento de la Universidad de Cambridge va ligado a otra Institución académica inglesa, no menos célebre, y rival natural: la Universidad de Oxford. Tan fuerte es su relación, que al conjunto de las dos universidades siempre se lo ha conocido como Oxbridge. Es más, el origen de Cambridge refleja un episodio convulso de la Inglaterra de la Edad Media. En el año 1209, dos estudiantes de la Universidad de Oxford, acusados de violación, fueron asesinados por las autoridades locales sin consultar a las autoridades eclesiásticas de la zona. En una situación como la descrita, los eclesiásticos hubieran perdonado a los estudiantes, por lo que surgió un grave problema entre las dos instituciones claves de la época, la Iglesia y la monarquía.
La razón de fondo que explica este conflicto eran los problemas ya existentes entre el rey Juan I de Inglaterra y el papa Inocencio III. Dichos conflictos empezaron en el año 1205 cuando, al morir el arzobispo de Canterbury, el rey quiso proponer al obispo de Norwich para este cargo. Debido a la gran importancia, tanto eclesiástica como política, de la figura del arzobispo de Canterbury, se creó un conflicto diplomático que llevó, incluso, a que el rey Juan fuera excomulgado años más tarde (de hecho, en 1209).
Volviendo al asesinato de los dos estudiantes, a raíz de este suceso la Universidad de Oxford empezó una huelga indefinida en señal de protesta, que llevó a que muchos de sus alumnos la abandonaran y se dirigiesen a otros destinos. En uno de ellos, Cambridge, agrupó a un buen número de estudiantes, que formaron una masa crítica suficiente como para crear una nueva universidad. Así, en 1231 el rey Enrique III concedió derechos administrativos a la institución, y en 1233, el papa Gregorio IX dio a los graduados la facultad da enseñar en cualquier sitio del imperio cristiano. Desde entonces, la Universidad de Cambridge se transformó en un centro de peregrinación de científicos y humanistas de toda Europa.
La creación de los colegios es posterior a la fundación de la universidad.El primer colegio de Cambridge (el Peterhouse) fue fundado en 1284. Inicialmente, y de manera complementaria a la universidad, se fueron creando una serie de residencias universitarias que acogían tanto a estudiantes como a profesores, así como hostales que no obligaban a sus huéspedes a afiliarse a ninguna universidad. Con el paso de los años, estos hostales fueron absorbidos por los distintos colegios.
Mapa del campus de la Universidad de Cambridge a finales del siglo XVII.
Pasando por sir Francis Bacon, Isaac Newton o lord Byron, hasta la fecha ha contado con 32 premios Nobel (de un total de 91 en toda la universidad), 5 medallas Fields (de un total de 6 para instituciones de Inglaterra) y un premio Abel. Esta historia avala la tradición científica de la institución, así como su excelencia. De hecho, el Trinity trasciende a las artes y las ciencias; sin ir más lejos, en 1848 fue en esta institución donde se diseñaron por primera vez las reglas del balompié moderno.

El patio del Trinity College de Cambridge, en el que han estudiado grandes personajes de la comunidad científica.
Antiguos miembros y estudiantes prestigiosos del Trinity CollegeLa lista de alumnos prestigiosos del Trinity College es larga y se extiende a lo largo de los siglos. Empezando por algunos de los Físicos más importantes de la historia, como Isaac Newton, James Clerk Maxwell, lord Rayleigh o Niels Bohr, y pasando por algunos de los filósofos más influyentes de la historia como Bertrand Russell o Ludwig Wittgenstein, los alumnos del Trinity han realizado contribuciones fundamentales al desarrollo del conocimiento humano. En matemáticas también cuenta con una representación extensa, que incluye a los medallistas Fields Michael Atiyah (1966), Alan Baker (1970), Richard Borcherds (1998) y Timothy Gowers (1998). De hecho, Michael Atiyah, además de haber conseguido este galardón y de haber sido el director de la Institución (master en el período 1990-97), fue también galardonado, junto con Isadore Singer, con el Premio Abel en 2004.
El Trinity College no solo ha formado durante siglos a la élite científica e intelectual, sino también a un gran número de políticos y estadistas, como, por ejemplo, Stanley Baldwin, primer ministro de Inglaterra en los periodos 1923-24, 1924-29 y 1935-37, o Jawaharlal Nehru, quien fue primer ministro de la India independiente en el periodo 1949-64, además de diversos miembros de la monarquía británica.
La historia de Trinity Collage a través de algunos de sus miembros más prestigiosos. De izquierda a derecha: James Clerk Maxwell, Ludwig Wittgenstein y Michael Atiyah.
Los tripos eran todo un tour de force para los ambiciosos estudiantes de Cambridge. Desde sus inicios, los resultados de los tripos se anunciaban públicamente. Según la puntuación, los estudiantes se dividían en tres categorías: wranglers (primera categoría, traducido literalmente por «jinete» o «vaquero»), senior optimes (segunda categoría) y junior optimes (tercera categoría). Los dos o tres wranglers mejor clasificados se consideraban senior wranglers , posición que trascendía a la Universidad de Cambridge y que daba fama y honores a los estudiantes que conseguían esta mención. Es claro entonces que el colegio donde residía el correspondiente senior wrangler ganaba fama y popularidad, así como también su entrenador, quien de inmediato veía aumentada la cantidad de estudiantes interesados en ser entrenados por él.
«Me recomendaron que leyera el Cours d’analyse de Jordán, y nunca olvidaré la fuerte impresión con la que leí esta obra tan resaltable, la primera inspiración para muchos matemáticos de mi generación. Aprendí por primera vez al mismo tiempo que lo leía, qué significaban las matemáticas.»Con estas premisas, Hardy empezó su entrenamiento bajo la batuta del famoso entrenador Robert Rumsey Webb (1850-1936) en el Trinity College.
Godfrey Harold Hardy.

El matemático francés Camilla Jordán, autor de Cours d'analyse, la obra que fascinó a Hardy.
A raíz de esta experiencia, Hardy se desilusionó mucho e incluso consideró abandonar las matemáticas. Por fortuna, cambió a tiempo de entrenador y se puso en manos de A. E. H. Love (1863-1940), quien lo motivó a continuar sus estudios. Más todavía, le enseñó que las matemáticas no eran una secuencia de estrategias para realizar exámenes correctamente.
«Wranglers» y otras tradiciones alrededor de los triposLa historia de los tripos y de los wranglers está inevitablemente ligada a la Universidad de Cambridge. Muchos de los más grandes científicos que he albergado han logrado esta mención. Así, por ejemplo, los matemáticos Edward Waring, Arthur Cayley y George Airy consiguieron, en sus correspondientes promociones, la más alta puntuación en las pruebas.Llegaron a ser senior wranglers y más tarde ocuparon cátedras en la universidad. Otros científicos destacados también llegaron a wranglers, como es el caso de James Maxwell (segundo wrangler en 1854) y J. J. Thomson (segundo wrangler en 1880). Si bien una de las primeras posiciones en las pruebas era un honor reservado a las mentes más lúcidas y preparadas de la universidad, también se daba una cuchara de madera como premio al junior optimas con peor puntuación. Esta tradición, que empezó posiblemente a principios del siglo XV, terminó en el año 1809 con la reforma de los tripos.
Última cuchara de madera entregada en 1909 al último junior optime.
De hecho, fue Love quien inició a Hardy en el análisis moderno mediante la lectura de textos procedentes de Francia, como el Cours d’analyse de Camille Jordán.
Estos acontecimientos ejemplifican con exactitud la situación de Inglaterra respecto al desarrollo de las matemáticas, en comparación con las grandes potencias matemáticas de ese momento histórico: Francia y Alemania. Mientras que en ciudades como París o Berlín se estaban desarrollando los avances más importantes en el área, Inglaterra estaba quedando relegada a un segundo plano. En cierto modo, la alargada sombra de Isaac Newton sobre la matemática aplicada hacía que esta fuera la disciplina estrella en Inglaterra, en detrimento de las matemáticas más puras y formales que se estaban desarrollando a lo largo y a lo ancho del Viejo Continente. En particular, la matemática inglesa necesitaba renovarse con aires más formales y rigurosos y volver a desarrollar las áreas más puras que durante muchos años habían quedado olvidadas.
Hardy consiguió la cuarta posición de wrangler en 1898. Aun siendo una posición magnífica, no quedó convencido del sistema de memorización que comportaban esos exámenes, pues consideraba que era un método de evaluación estúpido y que de otro modo podría haber sido el primer wrangler de su año. Con esta posición sobresaliente, en 1900 fue elegido miembro del Trinity College y un año después ganó, junto con J. H. Jeans, el Smith Prize. Comenzaba para Hardy una carrera científica de importante calado en el seno de la Universidad de Cambridge.
De hecho, desde su privilegiada posición en el Trinity College; se esforzó por cambiar la estructura de la enseñanza de las matemáticas en Inglaterra y adaptarlas a la manera de trabajar en países más avanzados, como Alemania, que había llevado el timón en el desarrollo de las mismas durante gran parte del siglo XIX. Uno de los ejemplos más claros de esta voluntad de cambio y de modernidad fue la reforma de los tripos. Gracias, en buena parte, al esfuerzo y la dedicación de Hardy, en 1909 se consiguió una reforma profunda de los antiguos exámenes para que la matemática pura y los argumentos abstractos tuvieran mucho más peso en las pruebas. Estos exámenes eran más acordes a las cualidades que necesita demostrar un joven estudiante decidido a empezar una carrera investigadora en matemáticas.
Se aprecia, pues, que Hardy era un matemático avanzado para su tiempo y con una visión muy personal del oficio de investigador. Especialista reconocido mundialmente en teoría de números, análisis, y en muchas otras subdisciplinas matemáticas, puede ser considerado uno de los matemáticos británicos más importantes de principios del siglo XX, con una visión global de las matemáticas muy privilegiada.
Volviendo al momento en que Hardy recibió la carta de Ramanujan, resulta sorprendente que un nuevo resultado matemático lo pudiese desconcertar. Pero, ¿qué novedad había en la carta? ¿Qué resultados se afirmaba haber demostrado?
Volvamos a la enigmática carta, y en especial a sus matemáticas.
En ella, el remitente afirmaba haber obtenido resultados relativos a sumas divergentes. ¿A qué se refería con ello? Para explicarlo, primero es necesario hablar de qué son las sumas infinitas.
«Algunas de las fórmulas de Ramanujan me desbordan, pero forzoso es que fueran verdaderas, porque de no serlo, nadie habría tenido la imaginación necesaria para inventarías.»La primera operación aritmética que se aprende es la suma de números. Ya en la más tierna infancia, aprendemos a sumar números naturales, cada vez más grandes, y así obtenemos un nuevo número natural. Un poco más adelante, aprendemos a sumar números enteros (es decir, números naturales que también pueden ser negativos) usando las propiedades que ya conocemos de los números naturales. Dicho de otro modo, sumar 1 y -6 es equivalente a restarle a 1 el número 6, que es igual a -5. El siguiente paso es el de sumar fracciones, que son aquellos números cuyo desarrollo decimal es periódico (como 1/7, que es igual a 0,142857142857..., y así repetidamente). En este caso, tenemos una serie de reglas sencillas para sumar directamente las fracciones, con lo que, por ejemplo, 2/7 + 3/10 es igual a (2×10 + 3×7)/70 = 41/70.
Godfrey Harold Hardy, acerca de los resultados de Ramanujan en sus cartas.
O sea, para sumar dos fracciones es necesario hallar el denominador común y, manteniendo dicho denominador, sumar los numeradores correspondientes. Finalmente, si los números que se suman no son racionales (como el número π, del que se hablará más adelante), hay que conformarse con sumar, dígito a dígito, sus expresiones decimales, y satisfacerse muchas veces con aproximaciones (es decir, hasta un cierto dígito dado) al resultado real.
En cualquiera de los casos, se puede dar la suma de dos números de manera muy sencilla. Y de ahí can la misma sencillez, es posible ofrecer la suma de tres números, de cuatro, y así de manera sucesiva, siempre que se quiera sumar un número finito de sumandos. ¿Tiene sentido entonces sumar infinitos términos? La respuesta es que sí, pero a diferencia de las sumas finitas, las sumas infinitas requieren más explicaciones. Por un lado, si los infinitos términos que estamos intentando sumar son cada vez más grandes, está claro que de la suma no obtendremos ningún número. Este es el caso de la siguiente suma
1 + 2 + 3 + 4 + ...
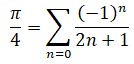
A medida que vamos sumando más y más términos, el resultado se hace más y más grande. Este es un caso de lo que se denomina una suma infinita divergente (o serie divergente). La suma, a medida que se toman más y más términos, no converge (o no se aproxima) a un valor determinado. Otro tipo de suma divergente de naturaleza un poco distinta, es la suma1 - 1 + 1 -1 + 1 - l ...,
pues, en este caso, las sumas sucesivas al tomar los primeros términos son 1, 0, 1, 0 y así sucesivamente, sin dirigirse a un valor concreto. En una primera aproximación, las sumas divergentes pueden parecer carentes de interés. Más adelante se verá que esto no es así y que muchas de ellas encierran más significado de lo que a primera vista pudiera parecer. Pero ocupémonos primero de las sumas infinitas que se acercan cada vez más a un número dado, las sumas convergentes.Esta cuestión (la de sumar infinitos números y obtener un cierto número finito) es clásica y ya fue meditada por los antiguos griegos. Posiblemente, el primer problema de esta índole es la denominada paradoja de Aquiles y la tortuga, planteada por Zenón de Elea (490 a.C.-430 a.C.). La cuestión es la siguiente: Aquiles, héroe de la guerra de Troya y personaje central de la Ilíada de Homero, compite en una carrera a pie con una tortuga. Seguro de sus posibilidades, le da al animal una ventaja inicial de media unidad de distancia. Después de empezar la carrera, Aquiles recorre en poco tiempo dicha distancia, que los separaba inicialmente.
Pero al llegar a dicho punto descubre que la tortuga ya no está, y que ésta ha recorrido un cuarto de unidad de distancia (en el tiempo que Aquiles ha recorrido esta media unidad de distancia inicial). De nuevo, Aquiles sigue corriendo y recorre este cuarto de unidad de distancia, pero, por desgracia, la tortuga ya ha avanzado un octavo de unidad de distancia más. Y así sucesivamente. De este modo, parece que Aquiles no ganará la carrera, ya que la tortuga estará siempre por delante de él (figura 1).



Este ejemplo podría llevar a pensar que las sumas infinitas de términos que cada vez son más pequeños convergen siempre a un número fijo. Aquí la intuición falla, y para ello se va a tratar el ejemplo clásico de la denominada «serie armónica». Su nombre proviene de la física matemática: la longitud de onda de los armónicos de una cuerda vibrante es proporcional a la longitud según las distintas fracciones unitarias 1, 1/2, 1/3, etc. Dicha suma es la siguiente:



En general, mostrar que una determinada serie es divergente o convergente no es un problema muy complicado. De hecho, existen multitud de criterios que deciden si una serie dada es convergente (o no) únicamente en términos de cómo es el término general que se está sumando. Ahora bien, una vez sabido que una determinada serie es convergente, conocer su valor exacto es un problema mucho más complicado. Para dar un ejemplo de este principio, veamos una situación similar al problema de Aquiles y la tortuga, pero con una solución mucho más complicada: la de la suma de los inversos de los cuadrados.
Desde tiempos antiguos se conoce que la serie amónica no es convergente (tal y como se ha demostrado) y que la suma de los cuadrados sí que lo son. A pesar de ello, el valor exacto de esta segunda suma fue una cuestión abierta durante muchos años. Este problema fue planteado por primera vez por Pietro Mengoli en 1644, pero no fue hasta el siglo XVIII cuando fue popularizado par el gran matemático suizo Jakob Bernoulli (1654-1706). Desde ese momento, la cuestión pasó a conocerse como el problema de Basilea, a razón de que Bernoulli residía en esa ciudad suiza. El problema resistió a diversos intentos de resolución hasta que en 1735, el genio matemático también basiliense Leonhard Euler (1707- 1783) lo resolvió, mostrando que


En cualquiera de los casos, es un hecho matemáticamente heroico demostrar que una cierta suma infinita, que involucre expresiones sencillas de números enteros, es igual a una cierta fórmula sencilla que es posible que involucre el número π, el número e y otros números con pedigrí del universo matemático.
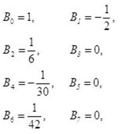
Los números de Bernoulli, la suma de los inversos de las potencias paresEl argumento utilizado por Euler puede generalizarse y demostrar que, fijado un número par 2n, la suma de los inversos de las potencias 2n- ésimas es un múltiplo racional de π 2n. Más en concreto, se tiene la igualdaddonde (2n)! denota el factorial de 2n (es decir, el producto de todos los enteros positivos entre 1 y 2n) y B2n es el denominado número de Bernoulli de orden 2, en honor a uno de sus descubridores, Jakob Bernoulli (también fueron descubiertos, independientemente por el matemático japonés Seki Kowa [ca. 1642-1708]). Estos números toman los valores siguientes:
mientras que los números de Bernoulli de orden impar mayor o igual que 3, son todos iguales a 0. De hecho, estos pueden definirse de múltiples formas, pero en cualquiera de los casos es fácil ver que los números de Bernoulli son números racionales. En particular, se sigue que las sumas de los inversos de los cuadrados, cuartas, sextas y octavas potencias son, respectivamente
Desde un punto de vista más computacional, Ada Lovelace (1815-1852) fue la primera en describir un algoritmo para el cálculo de números de Bernoulli, en 1842. Como consecuencia, se puede considerar que estos números son el motivo principal del primer programa de ordenador publicado de la historia.
Más allá de la belleza de expresar números altamente irregulares en términos de los números más sencillos, estas fórmulas encierran razonamientos abstractos, profundos y complejos, como en el caso del problema de Basilea.
§. Dando sentido a las sumas divergentes
Ya se ha visto, pues, que el problema de encontrar el valor exacto de sumas infinitas convergentes es central en matemáticas, y que las técnicas que es necesario desarrollar para tal efecto están lejos de ser elementales. Pero volvamos ahora a la cuestión de las series divergentes, que son aquellas que no se aproximan a ningún número real. Aun sabiendo que dichas sumas no tienen significado en el sentido estricto de la palabra, ¿podemos darles alguna explicación? La respuesta es sí, y en este caso, incluso las matemáticas que hay detrás son mucho más profundas. Para explicar esta noción, volvamos a las sumas de potencias de enteros. Obsérvese que todas las sumas discutidas anteriormente se pueden escribir como evaluaciones en valores muy especiales de la siguiente expresión:

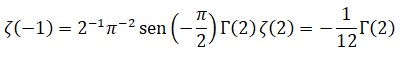
La función descrita, en matemáticas, es considerada por muchos (por no decir todos) como la función más importante de todas; es la denominada «función zeta de Riemann». Si bien Euler ya había trabajado con dicha función, la persona que la introdujo con nombre propio fue Bernhard Riemann (1826-1866) en 1859. Riemann, en un artículo de investigación muy breve titulado «Sobre el número de números primos menores que una magnitud dada», inició toda una área de las matemáticas: la teoría analítica de los números, que es el área que utiliza técnicas procedentes del análisis para estudiar problemas aritméticos. A día de hoy, su trabajo continúa siendo una referencia esencial para los investigadores de esta área, tanto por las ideas que introdujo como por los problemas que planteó (algunos de ellos todavía no resueltos, como la célebre hipótesis de Riemann).
Uno de los resultados fundamentales de Riemann fue el estudio de la función zeta para valores de s que en principio estarían prohibidos: la evaluación de la función zeta tiene sentido para valores de s iguales a 2, 3, 4, etc., y no tiene sentido, por ejemplo, cuando s es igual a 1. Menos aún lo tiene cuando s es igual a 0, o s es igual a -1, por ejemplo, pues en ambos casos se están evaluando las sumas 1 + 1 + 1 + ... y 1 + 2 + 3 + 4 + ..., respectivamente, que son divergentes. De hecho, la suma que define la función zeta tiene sentido solo si s es mayor estricto que 1 y, si s es menor o igual que 1, la suma es divergente. Dicho de otro modo, existe una barrera numérica que impide evaluar la fundón zeta, tal y como la escribimos, para valores más pequeños que 1.
Una de las contribuciones más importantes de Riemann al estudio de la función zeta fue demostrar que existía otra manera de escribir dicha función para valores menores que 1, de tal manera que dicha expresión era compatible con los valores de s mayores que 1. Es decir, que a la función zeta se le podía dar significado para valores de s menores que 1, aun perdiendo la expresión explícita dada por la suma escrita anteriormente. Para valores menores que 1 no tenemos una expresión explícita como la que hemos escrito, pero lo que sí tenemos es la denominada ecuación funcional de la función zeta de Riemann, que es la siguiente relación:

Veamos un ejemplo de aplicación de esta fórmula. Si se observa cada uno de los términos que aparece en la ecuación funciona], por un lado tenemos la función zeta evaluada en s, y, por otro, diversos factores: una potencia de 2, una potencia del número π, la evaluación del seno de un ángulo, la función gamma Γ(x) (de la que se hablará en breve) y, de nuevo, la función zeta evaluada ahora en 1 - s. En particular, si se evalúa dicha expresión en s igual a -1, se obtiene que

Finalmente, la función gamma es una función últimamente ligada a la función factorial de un número entero. Recuérdese que el factorial de un entero positivo n es el producto de todos los enteros comprendidos entre n y 1, ambos incluidos. Así, el factorial de 4 (que se escribe 4!) es 4 × 3 × 2 × 1, que es igual a 24. Por convenio, también se dice que el factorial de 0 es igual a 1. Dicho esto, si s es un entero positivo, entonces se cumple que Γ(s) = (s - 1)!, por lo que Γ(2) = 1! = 1. De esta manera, se ha demostrado que


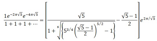
Lo más interesante de este asunto es la siguiente observación Obtener este resultado sin el uso de la ecuación funcional y usando argumentos indirectos es, sin duda, un descubrimiento que muestra que algo profundo se escande detrás de esta ecuación. Aun sabiendo que la suma 1 + 2 + 3 + ... no es igual a -1/12, llegar de manera indirecta a este resultado muestra que el investigador ha dado con algo interesante y que requiere explicaciones más profundas. Esto es de hecho lo que ocurrió con este problema, dicha identidad ya fue escrita por Euler casi un siglo antes del descubrimiento de la ecuación funcional por parte de Riemann. Viniendo de un genio como Euler, considerado el matemático más prolífico de la historia, no sorprende que se adelantara a su tiempo, desarrollando algunas ideas que no se llegarían a entender por completo hasta pasados unos años.
La gran conjetura de RiemannSin lugar a dudas, el trabajo de Georg Friedrich Bernhard Riemann (1826-1866) en teoría analítica de números no solo inició el uso del análisis en el estudio de problemas de la teoría de los números, sino que también introdujo, posiblemente, la conjetura más importante de las matemáticas.
La ecuación funcional de la funciónzeta da acceso a los valores que esta toma para s mayor que 1 y s menor que 0, pero no da información directa de lo que ocurre para valores de s entre 0 y 1. Asimismo, todas las ecuaciones descritas con anterioridad pueden entenderse no solo para s como un valor real sino también para s siendo un número complejo. Cabe recordar que un número complejo es una expresión de la forma a + bi. donde a y b son números reales y el término i denota la unidad imaginaria, que cumple la propiedad de que su cuadrado es igual a -1
La gran conjetura que formuló Riemann en su trabajo de la función zeta fue la de afirmar que todos los ceros de su función zeta, salvo los denominados ceros triviales (un cero de una función dada es un valor s tal que al evaluar la función en s se obtiene e! valor 0), están dentro de esta banda y, en realidad, sobre una línea recta, la denominada «banda critica», correspondiente a los números complejos que escriben de la forma 1/2 + bi.
Dicha conjetura ha resistido desde su formulación a los intentos de prueba de los más grandes matemáticos de la historia, y de hecho se considera el problema matemático no resuelto más importante, tanto por su dificultad como por sus implicaciones profundas en múltiples áreas de las matemáticas.
Este fenómeno descrito para la función zeta, de Riemann explica lo que ocurre en el manuscrito que Hardy tenía entre sus manos mediante geniales y oscuros argumentos indirectos, el autor de la carta afirmaba haber conseguido prolongar la definición de la función gamma. Como ya se ha comentado, la función gamma es equivalente a la función factorial siempre que se tomen enteros positivos. Si se estudian números positivos no enteros, entonces el factorial no tiene sentido. Aun así, la función factorial se puede extender definiendo algo más general, a saber, la integral ya encontrada por Euler.

«Un matemático, como un pintor o un poeta, es un fabricante de modelos. Si sus modelos son más duraderos que los de estos últimos, es debido a que están hechos de ideas. Los modelos del matemático, como los del pintor o los del poeta, deben ser hermosos. La belleza es la primera prueba; no hay lugar permanente en el mundo para unas matemáticas feas.»El enigmático autor hindú que había escrito a Hardy contaba con un conocimiento muy fino de las propiedades más elevadas de las sumas infinitas, así como de las propiedades analíticas más profundas de las prolongaciones analíticas de las funciones que ocupaban el centro en matemáticas. En resumen, la carta vislumbraba un toque de genialidad que seguía la estela de los más grandes matemáticos de la historia, Bernoulli, Euler, Riemann. Las sumas infinitas y el poder dar significado a sumas divergentes mostraban que el autor de las misteriosas expresiones tenía un conocimiento penetrante de la naturaleza de los números. Pero no se quedaba ahí, había mucho más.
Godfrey Harold Hardy.
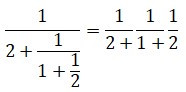
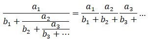
§. Quebrados que nunca se terminan: las fracciones continuas
Volviendo a la carta, los resultados no terminaban en sumas infinitas. De hecho, la noción de infinitud puede darse de múltiples maneras y, en particular, de manera muy vinculada a lo que se conoce como «fracción continua». El origen de las denominadas fracciones continuas no está muy claro, pues han ido apareciendo sin una conexión muy evidente a lo largo de la historia. Posiblemente fue Euclides, ya en el año 300 a.C., quien usó esta noción en su célebre algoritmo por primera vez, aunque no fue hasta los siglos XVI y XVII cuando dicho concepto se empezó a estudiar de manera sistemática.
La noción de fracción continua es simple, y para darla, empezaremos con un ejemplo sencillo. Consideremos la fracción 3/8. Si se utiliza sucesivamente la propiedad de las fracciones que
dice que


El problema surge cuando se aplica este algoritmo a números que no son fracciones. Si se está interesado en expresar un número no racional como se ha hecho para 3/8, entonces el proceso es indefinido, puesto que de no serlo, como se ha argumentado, el resultado final sería una fracción, A dicho anidamiento infinito de fracciones se le denomina fracción continua, y de nuevo el problema central de la teoría es: dada una fracción continua, ¿qué número real define? El caso más sencillo de fracciones continuas es el de aquellas en las que todos los numeradores que aparecen son iguales a 1. En esta situación, la notación que se usa habitualmente es la de obviar las distintas fracciones anidadas. Así, en el caso de 3/8 usaremos la notación




A = (1 + √5)/2
denominado habitualmente como el «número de oro» o «razón dorada». Este argumento puede generalizarse fácilmente si ahora, en lugar de tener todo unos, tenemos una secuencia periódica, como por ejemplo si repetimos unos y doses:


Volviendo a Inglaterra y al Trinity College, la lectura de la carta y la belleza de las fórmulas que contenía trastornaron a Hardy. Dejó la correspondencia y prosiguió con su rutina diaria no sin dejar de pensar en la enigmática carta.
Fue a la hora de cenar, después de meditar y de discutir con otros colegas matemáticos, cuando el contenido de la carta y sus «fantasmas» se esfumaron. Algunas de las oscuras fórmulas procedían de resultados clásicos demostrados años antes por el genio matemático Carl Gustav Jakob Jacobi (1804-1851). Otras se podían demostrar con técnicas avanzadas, relacionadas con la teoría de la multiplicación compleja en el contexto de las integrales elípticas, pero la gran mayoría eran un completo misterio para él. Nadie podía tener tanta imaginación para inventar esas fórmulas. El autor estaba navegando, sin duda, a través de reinos matemáticos inexplorados, fórmulas completamente nuevas que abrían terreno a matemáticas desconocidas hasta la fecha. Había topado con un auténtico genio, un nuevo Euler de las matemáticas, con una visión profunda y que llegaba más allá que la de muchos investigadores coetáneos.
Así empieza la historia matemática de una de las mentes más visionarias y avanzadas de la historia de las matemáticas, la de Srinivasa Aiyangar Ramanujan.
Capítulo 2
La solitaria búsqueda de los números primos
Con el nacimiento de Ramanujan se inició una de las biografías matemáticas más memorables de la historia. Criado en el seno de una familia de la casta hindú más alta, el joven empezó a demostrar sus dotes innatas para las matemáticas a una corta edad. Sus primeros resultados matemáticos, avanzados a su tiempo, no fueron asimilados por la comunidad científica india, que no entendía sus hallazgos.Srinivasa Aiyangar Ramanujan nació el día 22 de diciembre del año 1887 en Erode, situada en el sur de la India, a unos 400 km de Madrás (hoy Chennai). Su padre era empleado en una tienda de saris y su madre era ama de casa.
Es importante resaltar el contexto en el que nació, y más concretamente, la estructura de la sociedad india, basada en el sistema de castas. Dicho modelo estratifica a la población en cuatro grandes castas (más otras no clasificadas, como la de los intocables). Nacer en una casta dada conlleva que todo el desarrollo social del individuo, sobre todo el matrimonio, debe darse en el seno de la misma. Así pues, la única forma de ascender en el sistema de castas es mediante reencarnación en individuos de castas de orden superior. En el caso de nuestro protagonista, pertenecía a la casta más alta del sistema, la de los brahmanes, tradicionalmente vinculada a la actividad sacerdotal e intelectual. Aun así, su familia no era rica y, como se verá, el joven Ramanujan sufrió problemas económicos y laborales a lo largo de su corta vida.
Después de permanecer alrededor de un año en casa de sus abuelos (donde nació) en Erode, el pequeño Ramanujan se trasladó junto a sus padres a una casa de la calle Sarangapani, en Kumbakonam (a unos 160 km más cerca de Chennai), que en la actualidad acoge el museo en su honor. Su estancia en Kumbakonam sería corta, puesto que el distrito de Thanjavur, donde vivían, sufrió a finales de 1889 una epidemia de viruela que lo afectó y que le dejaría secuelas de por vida. Afortunadamente, Ramanujan sobrevivió a la enfermedad, a diferencia de una gran parte de sus vecinos. Esta desdicha fue la razón fundamental para que la familia decidiera mudarse, en esta ocasión a Kanchipuram. Como se verá más adelante, la enfermedad marcó de manera dramática la vida de Ramanujan, desde la más tierna infancia, y la de su familia. En esa época no solo se vieron expuestos a esta epidemia sumamente letal, sino que los tres hermanos que su madre dio a luz después de él, murieron a una corta edad.
Estos no fueron los únicos traslados de nuestro pequeño protagonista. En 1892, con casi 5 años, Ramanujan empezó el colegio en la escuela local de Kanchipuram. Por desgracia, su abuelo perdió su trabajo como oficial en la corte de Kanchipuram. A raíz de este problema laboral, la familia hubo de volver a mudarse de localidad, de nuevo a Kumbakonam, donde el joven Ramanujan fue inscrito en la escuela primaria de Kangayan. Sin embargo, cuando su abuelo paterno falleció, fue enviado a vivir con sus abuelos matemos, residentes por aquel entonces en Madrás.
Fue posiblemente en ese momento cuando se empezó a forjar el carácter autodidacta de Ramanujan. Si bien desde pequeño no tuvo ningún problema con las asignaturas que cursaba en la escuela, a medida que se hacía mayor empezó a mostrar desinterés por algunas de ellas. En particular, durante su etapa en Madrás, empezó a evitar clases siempre que podía. Fue tal su absentismo escolar, que su familia contrató a un agente de la policía local para controlarlo y asegurarse de que asistía a la escuela. Es probable que, a raíz de esta situación tan forzada y de que Madrás fuera una gran ciudad comparada con todas las localidades donde había vivido antes, la familia decidiera que el muchacho regresara a Kumbakonam, al cabo de un año. Después de este cambio de residencia, Ramanujan empezó a rendir de manera excelente en la escuela primaria De este modo, antes de cumplir los 10 años, pasó sus exámenes de primaria en inglés, tamil, geografía y aritmética con las mejores calificaciones de la región.
En ese punto de su vida, Ramanujan descubrió las matemáticas. Al iniciar sus estudios en la escuela secundarla, aprendió las primeras demostraciones matemáticas y el correspondiente rigor que ello contrae. En particular, con menos de 11 años empezó el estudio del libro Trigonometría avanzada, escrito por S. L. Loney (1860-1939), asimilándolo con facilidad.
Fue en ese período cuando el genio matemático de Ramanujan empezó a emerger. El ejemplo posiblemente más claro de su creación matemática a tan corta edad es su solución, en 1902, del problema de encontrar una expresión por radicales de los ceros de un polinomio de grado 4. El problema ya había sido resuelto por completo en el siglo XVI, pero Ramanujan desconocía la teoría relativa a este resultado. Conocía la solución para polinomios de grado 3 (problema también resuelto siglos antes), y con ello encontró un argumento propio para extender el resultado a grado 4, tal y como los autores clásicos habían hecho años antes.
Seguidamente, también intentó resolver el problema para polinomios de grado 5, y no fue su incapacidad intelectual la que le impidió llegar al resultado, sino su imposibilidad práctica. Años antes, el también genio matemático noruego Niels Henrik Abel (1802-1829) había demostrado que tal fórmula no podía existir para polinomios de grado 6. En cualquiera de los casos, Ramanujan, con menos de 14 años, había sido capaz de encontrar una solución del todo independiente a problemas que habían ocupado gran parte del tiempo de algunos de los más grandes matemáticos del pasado.
Parecía que la carrera matemática de Ramanujan iba viento en popa, pues con tan solo 14 años estaba recibiendo certificados de mérito y premios académicos que continuaron durante toda su carrera escolar. Además, también asesoraba a la dirección de su escuela en la logística y en la optimización de recursos. Completaba las evaluaciones en matemáticas en la mitad del tiempo dado para ello. En cierto modo, estaba agotando el conocimiento que la escuela normal, e incluso la universidad, en India le podían aportar.
El trabajo autodidacta de Ramanujan se vio complementado con la lectura de un libro que sirvió, sin duda, como hilo argumental de su aprendizaje, así como de su particular manera de escribir matemáticas; se trata de Asynopsis of elementary results in pure mathematics, de G. S. Carr (1837-1914). Dicho libro, con un estilo muy conciso y apenas alguna demostración, comprendía alrededor de cinco mil resultados matemáticos diversos y le sirvió como referencia básica y modelo de cómo se debían presentar los resultados matemáticos. Su falta de detalles y sus demostraciones cortas, omitiendo muchas veces los detalles importantes, no fueron problema para el entusiasta y joven investigador, quien asimiló el material científico sin problemas. Por desgracia, esta referencia bibliográfica no era una influencia del todo positiva, puesto que no le enseñaría a ser riguroso, como es debido en esta disciplina. Más aún, el libro había sido editado a mediados del siglo XIX, por lo que no contenía muchos de los avances matemáticos que ya se habían logrado.
Estos ejemplos reflejan los problemas básicos que Ramanujan se encontraría en el futuro en relación con su creación matemática. Sin embargo, su aislamiento mental y su falta de comprensión por el resto de la comunidad matemática local, su escasa cultura matemática básica y su falta de rigor, todo ello lo compensaría con su talento innato para la materia. Esta carencia de lenguaje matemático básico se combinaría con una educación fuertemente vinculada a la tradición brahmánica, que daba un toque místico a sus resultados. Su padre pasaba la mayor parte del día en el trabajo, de matera que fue su madre la máxima encargada de su cuidado cuando era niño. Tan es así que la relación entre ambos fue muy estrecha. Ella fue la que lo instruyó en la tradición y la literatura hinduista, así como en las canciones religiosas y en las actividades litúrgicas, y también en mantener determinados hábitos alimenticios propios de la cultura de los brahmanes, incluyendo el vegetarianismo estricto. Esta mezcla de intuición matemática y mística religiosa lo llevó a afirmar, en más de una ocasión que sus hallazgos matemáticos, muchas veces conjeturales, no eran más que susurros de los dioses.
En este punto de la biografía de Ramanujan es cuando se inicia su investigación autodidacta, y a la par, también es posiblemente cuando empieza a descubrir la auténtica soledad del investigador aislado de la comunidad científica Con menos de 16 años ya había realizado investigaciones originales relativas a diversos temas de la teoría de números, de manera que sus compañeros de estudios estaban varios escalones científicos por debajo de él. Por lo tanto, sus logros matemáticos no podían ser contrastados ni comparados con el estado del arte, pues muchas de sus ideas se adelantaban, a su tiempo.
A hombros de gigantes: la odisea de la resolución de la quínticaLa historia de la resolución por radicales de los polinomios es una de las más célebres de la historia de las matemáticas e inicia el estudio sistemático de la teoría algebraica de números. Desde la escuela primaria sabemos resolver ecuaciones polinómicas de grado 2. Dado un polinomio de la formaax2 + bx + c = 0
sabemos que los valores de x que cumplen la ecuación sonEsta es una expresión por radicales de las soluciones del polinomio de grado 2. Estas fórmulas expresan las soluciones únicamente utilizándolos coeficientes del polinomio y operaciones elementales (incluidas las raíces). Si bien este resultado era conocido desde la Antigüedad, el mismo problema para polinomios de grado 3 no fue resuelto hasta el siglo XVI por Niccolò Fontana (conocido como Tartaglia) y por su coetáneo Girolamo Cardano. Técnicas similares a las utilizadas para resolver las ecuaciones de grado 3 dan una expresión por radicales de las soluciones de un polinomio degrado 4.
Bajo estas premisas, nadie podía esperar que un fenómeno del todo distinto ocurriría para los polinomios de grado 5: inaugurando toda una nueva área de las matemáticas (la teoría de grupos), primero Abel y al poco tiempo y de forma independiente, Évariste Galois, demostraron que era imposible ofrecer una expresión como las anteriores en el caso de polinomios de grado 5. El argumento dado por ambos es completamente indirecto, y en el caso de Galois es tan profundo que permite caracterizar qué ecuaciones (de grado arbitrario) se pueden resolver de esa forma, algo que Abel, aunque también lo persiguió, no alcanzó a formular.
Ramanujan acabó la escuela secundada con la máxima nota y con una beca de estudio para el Goverment Arts College de Kumbakonam, pero estaba tan absorbido por su investigación y por sus avances matemáticos que perdió esta ayuda económica por defectos administrativos en la gestión de la documentación de la misma.
Esta espiral descendente continuó cuando se matriculó, posteriormente, en el Pachaiyappa's College de Madrás. De nuevo, sobresalía en matemáticas, pero dejaba de lado el resto de las materias. Así que en dos ocasiones suspendió sus exámenes finales, con lo que no consiguió su título universitario. Más aún, todos sus descubrimientos matemáticos, de notable interés, eran del todo enigmáticos para los profesores, que vislumbraban el genio, pero no sabían cómo encarrilarlo.
Aislado de la comunidad matemática por la altura de sus vuelos y sin un sustento económico, el joven Ramanujan seguía trabajando febrilmente en nuevas e inexploradas áreas de las matemáticas. Llegando a vivir en la pobreza extrema en algunos periodos de su adolescencia y edad adulta temprana, estaba obteniendo, día tras otro, nuevos y fascinantes resultados que inspirarían años después a gran cantidad de investigadores. Pero esos tiempos todavía estaban por llegar.
§. Los bloques fundamentales de la aritmética
Los primeros trabajos de Ramanujan cubrían una amplia variedad de temas matemáticos, empezando por los números de Bernoulli y pasando por el estudio de la serie armónica (de los que se ha hablado en el capítulo 1). En este capítulo nos centraremos en uno de sus intereses recurrentes: el estudio de la teoría de los números primos. Estos resultados ocuparon también buena parte de sus investigaciones más tempranas, y como se verá, sus aportaciones a esta área central en matemáticas abarcarán toda su biografía.
Es importante resaltar que su trabajo en este campo ilustra de manera nítida la idiosincrasia principal del personaje, un maten» tico con una intuición sumamente desarrollada pero con escasa preparación formal. Precisamente por este motivo, algunos de los primeros resultados que intuyó (y que más tarde comunicaría a Hardy en su famosa correspondencia de 1913) eran en realidad falsos. Aun así, sus teoremas fallidos encierran algunas ideas brillantes y muestran su genio creativo.
Para explicar todos los conceptos necesarios, recuérdese primero que un número natural se dice que es primo si tiene exactamente dos divisores: el número 1 y él mismo. En el caso de tener más de dos divisores, se dice que el número es compuesto. Así, por templo, 2 es un número primo, 3 también lo es, pero no el 6 (pues tiene como divisores el número 2 y el 3) o el 9 (que tiene además 3 como divisor), que son números compuestos. Cabe observar con esta definición que el número 1 no es ni primo ni compuesto, pues tiene exactamente un divisor (el 1) y no dos (o más de dos) como se requiere en las anteriores definiciones.
¿Por qué son importantes los números primos? La respuesta es clara, teniendo en cuenta que todo número puede partirse en números más pequeños (sus divisores) y que este proceso (el de escoger divisores cada vez más pequeños) termina cuando se encuentran números primos. Así, por ejemplo, 189 es divisible por 9, pues 189 = 9 × 21. Si se repite el proceso de buscar divisores propios con el número 9 y el 21, se llega a que
189 = 9 × 21 = 3 × 3 × 3 × 7 = 33 × 7,
donde tanto 3 como 7 son números primos, y, por lo tanto, detenemos la búsqueda de divisores propios. La primera cuestión natural aquí es si la descomposición de un número entero mediante números primos es única (excepto ordenación de los factores). Observando el ejemplo anterior, se puede llegar a la conclusión de que en la descomposición de 189 en factores primos no se pueden obtener otros factores primos que no sean ni 3 ni 7, puesto que, por ejemplo, 5 no divide a 189, y, por lo tanto, 5 nunca aparecerá en su descomposición. Estas observaciones, de hecho, aplican para cualquier número entero. De este modo, la respuesta a la pregunta anterior es que sí: todo número entero se escribe (excepto reordenación de los factores) como producto de potencias de números primos. Este teorema, denominado teorema fundamental de la aritmética, es el primer resultado importante de la teoría de números y fue demostrado por primera vez por Euclides en sus célebres Elementos.Todo número, pues, se escribe como producto de números primos de manera única y, por lo tanto, los números primos se pueden entender como los átomos de los números. De hecho, el teorema fundamental de la aritmética permite, por ejemplo, definir sin ambigüedad qué es el máximo común divisor de una pareja de números (o el número más grande que divide a la vez a dos números dados). En el supuesto de que dicho máximo común divisor sea simplemente el número 1, diremos que los números que se estudian son primos entre sí o coprimos.
«Los matemáticos han intentado en vano, hasta la actualidad, descubrir algún orden en la secuencia de números primos, y tenemos razones para creer que se trata de un misterio que la mente humana nunca resolverá.»
Leonhard Euler
Una prueba alternativa: números de Fermat y el principio de inducciónAunque posiblemente la prueba de Euclides de la infinitud de los números primos as la demostración más conocida de este resultado, existan múltiples pruebas basadas en argumentos distintos. Ofrecemos aquí otra prueba usando los denominados números de Fermat: el n -ésimo número de Fermat fn se define comoEntonces, los primeros números de Fermat son 3, 5, 17 y 257 (para n igual a 0, 1, 2 y 3), y en particular, todos son impares, es más, son primos. Veremos que dos números de Fermat son coprimos, por lo que es imposible entonces que el número de primos sea finito: de serlo, se llegaría a una contradicción porque el número de números de Fermat es infinito.
Para comprobar que dos números de Fermat distintos son coprimos, cabe observar que para todo n se cumple la identidadf0f1 …fn-1 = fn- 2
De este modo, dado un n,fn es coprimo con todos los números fi ; con i menor que n: de no serlo, estos dos números tienen un divisor común d distinto de 1.
De la relación anterior se deduce que se debe dividir también a 2, con lo que d debe ser 2. Pero esto es imposible, puesto que 2 no puede ser divisor de ningún número de Fermat, ya que todos ellos son impares.
Falta, entonces, demostrar la relación recursiva de los números de Fermat. Para ello usaremos el principio de inducción, basado en la siguiente idea: si conseguimos demostrar que una igualdad es cierta para un caso base (por ejemplo, n igual a 0) y luego demostramos que si la igualdad es cierta para el caso n - l, también lo es para el caso n, lo que se esté demostrando es que la igualdad es siempre cierta. Este es el principio de inducción, que se basa en la idea de que en una concatenación de fichas de dominó todas caerán siempre que caiga la primera y que haya caído la anterior.
Así pues, la igualdad es cierta para n igual a l (este es el caso base de la inducción). Veamos ahora que si la relación es cierta paran - 1. entonces continúa siendo cierta para n, Para ello, obsérvese quedonde en la segunda igualdad se ha aplicado la hipótesis de inducción. Aplicando ahora la relación de suma por diferencia, este valor es igual
que es lo que quedamos demostrar.
Pero volvamos a la sucesión de números primos. Dicha secuencia empieza por 2, 3, 5, 7, 11, 13, y la siguiente pregunta natural que hay que hacerse en este punto es si esta secuencia continúa indefinidamente o no. Esta cuestión la respondió de manera afirmativa Euclides en sus Elementos, usando por primera vez la técnica de reducción a lo absurdo. Para ello, supongamos que no es así, y que solo existe un número finito de números primos. Denotémoslos por p1, p2, ..., pN. Construyamos ahora el número que se obtiene de multiplicar estos números primos y sumar al final una unidad:
A = p1p2…pN + 1
¿Qué ocurre si el conjunto de primos es finito? Por un lado, el teorema fundamental de la aritmética dice que A se puede escribir como producto de factores primos. Por otro, ninguno de los números primos p1, p2,...,pNpuede dividir a A, puesto que A se obtiene de sumar una unidad a un múltiplo de cada primo considerado. Se llega pues a la conclusión de que A debe ser primo, cosa que es una contradicción con el hecho de suponer que en la lista p1, p2,..., pN, ya teníamos todos los primos. Por lo tanto, el error en el argumento ha surgido de suponer en un principio que teníamos un número finito de primos, con lo que se concluye que, necesariamente, la secuencia de los números primos debe ser infinita.Una vez comprobado que la cantidad de números primos es infinita, la siguiente cuestión es dar una información más precisa de ellos; por ejemplo, cómo encontrar el número primo en la posición n. Se ha observado que, a diferencia de demostrar que existen infinitos primos, estudiar su estructura es un problema mucho más difícil. De hecho, mediante argumentos complicados, se sabe que no existe una fórmula general para el primo en la posición n-ésima. Es por esta dificultad (o más bien por esta imposibilidad) por 1 o que muchas veces nos conformamos con encontrar una expresión aproximada cuando el valor de n es grande.
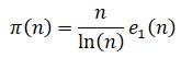
Este paradigma se refleja muy claramente en el problema de encontrar el número de números primos menores que una cantidad n dada. Dicho de otro modo, dado un número n, sea π(n) el número de números primos menores que n. Como el número de primos es infinito, la función π(n) será una función que crecerá a medida que crezca n. Por otro lado, la cantidad de números primos menores que n es, como mucho, n, cota que se daría cuando todos los números más pequeños que n fueran primos. De aquí se deduce que se cumple que π(n) < n. ¿Es posible ofrecer resultados más precisos y mejores?
La cuestión anterior no es una pregunta baladí, ya que los números primos se distribuyen de manera muy caprichosa, casi como si fuesen escogidos al azar. De hecho, entender la función π( n) fue (y continúa siendo) caballo de batalla de muchos matemáticos a lo largo de siglos. Este ejemplo ilustra muy bien un paradigma típico en matemáticas: debido a la dificultad del problema, muchas veces no estamos interesados en encontrar una fórmula exacta (puesto que igual no existe), sino en encontrar una expresión que aproxime bien la función que se estudia cuando el parámetro es grande. Por ejemplo, si se toma el polinomio P(n) = n3 + n + 1, a medida que n crece, el término que domina es n3, mientras que n + 1 introduce solo una pequeña perturbación despreciable siempre y cuandon sea muy grande. En definitiva, en este ejemplo se puede decir que P(n) es, para n muy grande, igual a n3 (el término dominante de la expresión) más un pequeño error que es despreciable respecto al primero. Así, el objetivo es obtener un resultado similar para π(n).
Este problema ya había llamado la atención de matemáticos tan reconocidos como Adrien-Marie Legendre (1752-1833), Pafnuti Chebyshov (1821-1894) y del prodigio matemático Carl Friedrich Gauss (1777-1855). Fue este último quien conjeturó por primera vez en 1792 el término dominante correcto después de observar contadoras de la función π(n) para distintos valores de n. De la observación numérica, Gauss conjeturó que la función π(n) debía crecer igual de rápido que la función
n /ln (n)
donde ln (n) denota el logaritmo neperiano de un número naturaln (recordar que ln (n) es el único número real A que cumple que eA= n. En este contexto, «crecer igual de rápido que» significa que
Si bien este resultado fue conjeturado a finales del siglo XVIII, fueron necesarios el paso de los años y el desarrollo de nuevas técnicas para su resolución; se necesitó la brillante contribución de Riemann, quien introdujo los primeros resultados de su función zeta (como se ha expuesto en el capítulo 1) para atacar el problema con técnicas modernas. Con este lenguaje, en 1896 el belga Charles-Jean de la Vallée Poussin y el francés Jacques Hadamard demostraron el teorema. Es importante recordar que, en este punto, Ramanujan tenía solo 9 años, y que, por lo tanto, este descubrimiento, así como sus técnicas, eran absolutamente punteros, cosa que choca de frente con los conocimientos basados en obras ya obsoletas que Ramanujan adquiriría años más tarde.
§. Las contribuciones de Ramanujan: primos en progresiones aritméticas y carreras de números primos
Para darle sentido a algunas de las contribuciones de Ramanujan en esta área es necesario refinar un poco más las explicaciones respecto a cómo contar números primos. El teorema del número primo se puede hacer todavía más preciso, cosa que lleva a otro de los problemas en los que el matemático indio hizo aportaciones esenciales. Se ha visto que el teorema del número primo, cuando n es suficientemente grande, da una estimación de la cantidad de números primos menores que n. La siguiente cuestión es ver cómo se distribuyen estos primos según clases de residuos. Es el momento de abordar este concepto.
Empecemos con el número 3. Obsérvese que es posible repartir los números naturales en tres grupos distintos: los números que son múltiplos de 3, los que son de la forma 1 + 3m y los que son de la forma 2 + 3m. Lo importante aquí es ver que el primer conjunto (los múltiplos de 3) solo contiene un número primo, el 3. Por lo tanto, el resto de números primos se distribuyen en las dos clases restantes: la de los números de la forma 1 + 3m (llamados clase residual de valor 1 con módulo 3) y los de la forma 2 + 3m (llamadas clase residual de residuo 2 con módulo 3). Cada una de las clases será una clase residual módulo 3.
Tomemos un número un poco más complicado, por ejemplo el 6. De nuevo es posible partir los números naturales en seis clases distintas, pero ahora las únicas clases que contendrán la mayoría de los números primos (excepto algunas pocas excepciones: el 2 y el 3) son las clases l + 6m y 5 + 6m.
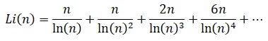
Una versión más precisa del teorema del número primoGauss conjeturó algo más que el término dominante en el teorema del número primo. De hecho, su conjetura original era la siguiente; si escribimosentonces la conjetura inicial de Gauss era que la función π(n) crecía igual de rápido que Li(n). La función Li(n) definida a partir de una integral, no admite una primitiva (es decir, una función tal que derivada dé lugar a 1/ln(t)), por lo que, de nuevo, no se tiene una expresión exacta para π(n) sino solo una estimación de cómo crece dicha función.
La expresión integral antes mencionada se puede manipular mediante el uso de la integración por partes y obtener la suma infinitadonde se observa que el término dominante es el mismo que el del teorema del número primo, mientras que al resto son de orden inferior, puesto que el logaritmo es una función creciente. Dicho de otro modo, el término n/ln (n) es mucho mayor que los términos de la forma n /ln (n)k.
Obsérvese que, por ejemplo, en el conjunto de los números de la forma 2 + 6m todos los números son pares, y por lo tanto, a excepción del 2, no contiene más números primos. De forma similar, los números de la forma 3 + 6m y 4 + 6m contienen números que son múltiplos de 3 y de 2, respectivamente, y, por lo tanto, contienen o bien solo un número primo o ninguno.
El argumento anterior se generaliza del siguiente modo. Dado un número k, las únicas clases residuales módulo k que pueden contener infinitos números primos son las de la forma a + km, donde a es un número entre 1 y k - 1 que es además coprimo con k. Así, si k es 4, la única posible elección de a es el 1 y el 2, mientras que si k es igual a 9, por ejemplo, entonces los posibles valores de a son 1, 2, 4, 5, 7, 8. El número posible de valores para o es un valor bien conocido que se denota por φ(k), donde φ es la denominada «fundón de Euler». Así, por ejemplo, se ha visto que φ(3) = 2, φ(6) = 2 y φ(9) = 6. Más en general, si p es un número primo, entonces φ(p) = p - 1, puesto que todo número positivo menor que p es primo con p. Resumiendo, se ha mostrado que dado un número k, hay exactamente φ(k) clases residuales donde todos los primos (excepto un número finito) se distribuyen. Se dice que cada uno de estos conjuntos es una clase primitiva de residuos.
De esta manera, se ha justificado que las posibles clases de residuos que contienen infinitos primos deben ser clases primitivas, pero no se ha justificado el recíproco. Dicho de otro modo, ¿es cierto que toda clase primitiva de residuos contiene infinitos primos? Esta cuestión es mucho más complicada Si bien es sencillo, por ejemplo, demostrar que existen infinitos números primas de la forma l + 3m, o de la forma 3 + 4m, no hay un argumento elemental para demostrar si esta afirmación es cierta, por ejemplo, en una clase residual de la forma 3 + 7m.
Aun así, este resultado es cierto y fue demostrado por Peter Gustav Lejeune Dirichlet (1805-1859) en 1837. Usando técnicas procedentes del análisis, Dirichlet probó que toda clase primitiva de residuos contiene infinitos números primos. Este célebre teorema, el teorema de la progresión aritmética de Dirichlet, es una de las primeras aplicaciones del análisis complejo en la teoría de números. No es momento de entrar en los detalles de la prueba, pero digamos que el método de ataque se basa en la siguiente idea, que, a su vez, se fundamenta en lo expuesto en el capítulo 1; supongamos que tenemos un conjunto de números enteros A y queremos probar que es infinito. Si se observa que la suma de los inversos de los elementos deA es una suma divergente, entonces, necesariamente, el conjunto A debe ser Infinito: el conjunto A no podría ser finito porque la suma de un número finito de términos es convergente. Esto es justo lo que ocurre cuando se toma A como el conjunto de primos en una clase primitiva de residuos dada. Entonces, todo el juego consiste en demostrar que dicha suma de inversos es infinita.
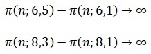
Ahora que sabemos que toda clase primitiva de residuos contiene infinitos números primos, la siguiente cuestión es previsible: ¿se puede refinar el teorema del número primo para contar la cantidad de números primos menores que un número dado, y que además estén en una clase primitiva de residuos dada? La respuesta es que sí, y de hecho los números primos se distribuyen de manera igual entre las clases primitivas; este es el teorema del número primo para progresiones aritméticas. En particular, se defineπ(n;k,a) como la cantidad de números primos menores que n, que son de la forma a + km, siendo a y k números coprimos. Entonces, el teorema del número primo para progresiones aritméticas asegura que

En este punto de La teoría entra la contribución de Ramanujan en el área de la teoría analítica de los números primos. Su primera afirmación (de hecho escrita en la primera correspondencia mantenida con Hardy) era la de tener una expresión exacta para la función π(n) en forma de una integral complicada. Esta afirmación fue negada por un error técnico en el argumento de Ramanujan. Ahora bien, este es uno de los pocos episodios aislados en los que el genio erró en sus afirmaciones. Aunque su primera afirmación no fuera del todo cierta, lo que sí es patente es la sutileza en el error técnico que cometió. Es más, no está muy claro qué sabía Ramanujan en aquel entonces sobre la teoría de los números primos y qué no, puesto que algunos de sus argumentos se basan con fuerza en propiedades de la función zeta de Riemann, que posiblemente él desconocía.
Si bien su expresión para el teorema del número primo no era cierta, sí que afirmó resultados que años más tarde se demostrarían con total rigor. Como se ha visto, la distribución de los números primos en clases primitivas distintas (con el mismo módulo) es similar. Ahora bien, ¿cuál es su discrepancia exacta? Ramanujan afirmó que, por ejemplo, se cumple que
![]()

Sus afirmaciones respecto a estas discrepancias no son del todo ciertas, pero tampoco son del todo falsas. En este sentido, y volviendo a la falta de formación del matemático, su conjetura era totalmente correcta. El primer resultado importante en el estudio de la discrepancia de secuencias de números primos está ligados John Edensor Littlewood (1885-1977, de quien se hablará en capítulos posteriores). En 1914, este matemático británico demostró que para infinitos valores de n se cumple que

Si bien el resultado de Littlewood indica que la afirmación de Ramanujan no es del todo cierta, lo que veremos es que tampoco es falsa del todo. Para ello, obsérvese que en la carrera de números primos de la forma l + 4m contra los números de la forma 3 + 4m, cada secuencia está ganando en una infinidad de casos. La siguiente pregunta es todavía más complicada ¿con qué frecuencia una de las secuencias gana a la otra? Veamos una tabla numérica por si podemos conjeturar algún resultado. Para ello, calculemos los números primos menores que n (para algunos, n) en cada una de las clases. En la siguiente tabla están los cálculos realizados hasta n igual a 100000.

Este fenómeno fue observado por primera vez por Chebychov, quien se lo comunicó a P. M. Fuss (1798-1859) mediante correspondencia en 1853. A raíz del resultado de Littlewood, Stanislav Knapowski (1931-1967) y Paul Turán (1910-1976) conjeturaron en 1962 que la mayoría de números n la cumplen, en el sentido de que el conjunto de números n para los que π(n; 4, 3) es menor que ( n, 4, 1) es despreciable. La versión precisa de la solución de esta conjetura fue dada por Rubinstein y Sarnak en 1994, demostrando en el 99,6% de los casos que π(n; 4, 3) es mayor que π(n; 4, 1)
Esto demuestra que el valor π(n; 4, 3) - π(n; 4, 1) es la mayoría de las veces positivo, pero que en algunas y muy raras ocasiones (y esto ocurre una infinidad de veces) el signo se cambia y el término anterior resulta ser negativo. De hecho, el resultado de Rubinstein y Sarnak recoge familias de progresiones aritméticas más generales y conjuntos de primos mucho más complicados.
§. Más sobre los números primos: el postulado de Bertrand y los números de Ramanujan
No todos los resultados de Ramanujan fueron por el camino equivocado. De hecho, el único resultado obtenido por él que se ha comprobado que era falso es, precisamente, su expresión exacta del teorema del número primo. El resto de sus conjeturas, afirmaciones y teoremas han ido demostrándose uno por uno a lo largo de los años. Si bien hasta ahora se ha hablado de resultados falsos, es momento de tratar algunos de sus resultados más influyentes (y correctos) en la teoría de los números primos.
Un problema muy relacionado con los bloques de la aritmética y que interesó profundamente a Ramanujan fue el estudio de los números primos que dividen a un número dado. Como ejemplo de esta problemática tenemos el estudio de los denominados «números redondos»: son aquellos números cuyos factores primos son muy pequeños en relación con el tamaño del número original. Así, por ejemplo, 1024, que es una potencia de 2, solo tiene como divisor primo el 2, así que es sumamente redondo. El estudio de los divisores primos de un número dado centró gran parte de la contribución de Ramanujan a la teoría analítica de los números primos.
«En la simplicidad de una cadena de dígitos, Ramanujan era capaz de detectar propiedades increíbles: congruencias, simetrías y relaciones que han sido esquivas a los mejores y más dotados matemáticos.»Una cuestión natural que surge en este contexto es la siguiente: tomemos primero un valor de n grande, y escojamos al azar y de manera uniforme uno de los números entre 1 y m. ¿Qué aspecto tendrá el número aleatorio en cuanto al número de factores primos que va a tener? ¿Estará cerca o lejos de ser un número redondo?
James Roy Newman
Para dar respuesta a esta pregunta es necesario introducir un poco de notación. Sea N un número entero. Según sabemos, el teorema fundamental de la aritmética dice que N admite una factorización única como producto de números primos p1, p2..., pr con unos ciertos exponentes a1, a2..., ar. Es decir,
![]()
Esta cuestión fue resuelta por Ramanujan (junto con Hardy) de manera muy elegante. Con toda certeza, el valor de F(N) debe ser del orden de magnitud de ln (ln (N)). Este resultado debe leerse del siguiente modo: si se toma uniformemente al azar un número N entre 1 yn, la probabilidad de que F(N) no sea del orden de ln (ln ( N) es despreciable, o dicho de otro modo, la gran mayoría de los maneras cumplen esta propiedad. Obsérvese que dicha afirmación es de tipo probabilístico, puesto que se está aseverando que con una cierta probabilidad, una determinada afirmación aritmética es cierta. Lo interesante de este resultado, de gran importancia en sí mismo, es que inició toda un área nueva; la teoría probabilística de los números.
Dicho resultado fue tan influyente que, años más tarde, en 1940, el también genial matemático Paul Erdös, junto con su coautor Mark Kac, demostraron una versión más fuerte del resultado de Ramanujan y Hardy: el teorema de Erdös-Kac. Este resultado refina el anterior dando una distribución de probabilidad de tipo normal, mucho más precisa que el resultado original de Ramanujan. ¡Es de este modo que, esencialmente, la función F(N), convenientemente normalizada, se comporta como una campana de Gauss!
Para finalizar este capítulo dedicado a la aritmética de los números primos, se plantea otro problema clásico de la teoría, en la que Ramanujan hizo una aportación original un año antes de fallecer. Este hecho demuestra su gusto y su trabajo constante en el estudio de los números primos. Más aún, como se comentará, no solo encontró una prueba corta de un resultado conocido, sino que también abrió toda una nueva área de investigación en la que todavía hoy en día se realizan contribuciones novedosas.
El resultado en cuestión se pregunta por lo siguiente: ¿es cierto que entre un número entero y su doble siempre exista un número primo? Esta pregunta, conocida como el postulado de Bertrand, fue enunciada por primera vez por el matemático parisino Joseph Bertrand en 1845 y resuelta por el matemático Chebyshov en 1850 (como ya se ha dicho, Chebyshov ha sido otro de los grandes protagonistas en el desarrollo del estudio de los números primos). De hecho, la conjetura de Bertrand se basó en una verificación numérica realizada por el propio Joseph hasta los enteros del orden del millón.
Si se quiere resolver esta conjetura con los resultados que se han desarrollado hasta ahora, cabe observar que el teorema del número primo demuestra el postulado siempre que n sea muy grande. Para ello, veamos el número de primos que son mayores que n pero inferiores a 2n. Dicho número es precisamente el número de primos menores que 2n menos el número de primos menores que n. Es decir, esta cantidad es igual a
π(2n) - π(n)
Ahora se puede usar el teorema del número primo si n es suficientemente grande: en esta situación, dicho valor es igual a

¿Esto demuestra el postulado de Bertrand en su generalidad? La respuesta es, obviamente, no. Usando el teorema del número primo se está suponiendo que n es muy grande, y nada dice el resultado para n pequeño, mientras que el postulado de Bertrand es una afirmación que debe cumplir todo número entero. De esta manera, aunque la potencia del teorema del número primo indica que el resultado es cierto de un valor n muy grande en adelante, no dice nada respecto a lo que ocurre con valores más pequeños.
Usando su conocimiento profundo de las series infinitas, un año antes de morir, Ramanujan ofreció una demostración extremadamente corta de este resultado, pero no se quedó ahí. Además de encontrar una prueba alternativa del postulado de Bertrand, Ramanujan extendió el argumento presentado mediante la función contadora de primos del siguiente modo: puesto que ahora sabemos que π(2n) - π( n) > 0 para todo valor de n, nos podemos preguntar para qué valores de n dicha diferencia aumenta Con más precisión.
π(2n) - π(n) > 0 si n es mayor o igual que 1
π(2n) - π(n) > 1 si n es mayor o igual que 11
π(2n) - π(n) > 2 si n es mayor o igual que 17
π(2n) - π(n) > 3 si n es mayor o igual que 29
por lo que se observa que las variaciones en las diferencias ocurren en números primos. La existencia e infinitud de estos números primos fue demostrada por él mismo, y en su honor pasaron a llamarse «números primos de Ramanujan». De manera más rigurosa, el n-ésimo número primo de Ramanujan Rn es aquel número primo para el que π(2n) - π(n) ≥ n siempre que n ≥ Rn.En la actualidad se tiene un conocimiento bastante profundo del comportamiento de los números primos de Ramanujan; en particular, se sabe que el n-ésimo número primo de Ramanujan Rn cumple que
![]()
Ramanujan llegó a la edad adulta en plena creación matemática, llenando libretas con resultados nunca vistos.Habíamos dejado a nuestro protagonista en plena efervescencia creadora en el marco de una situación personal desfavorable, sin recursos económicos y con problemas recurrentes de salud, En este contexto, Ramanujan llegó a la edad adulta, se casó el 14 de julio de 1909 en una boda preparada por su madre con Srimathi Janaki (Janakiammal), nacida el 21 de mareo de 1899. Haciendo las cuentas, Srimathi había cumplido 10 años pocos meses antes, mientras que Ramanujan ya tenía casi 22 en el momento del enlace. Aun habiéndose casado, la pareja no vivió bajo el mismo techo hasta, aproximadamente, dos años después.
Su investigación, cada vez más solitaria pero al mismo tiempo más reconocida en Madrás, recibió una bocanada de oxígeno desde Inglaterra, donde Hardy había descubierto en él un talento inigualable. Con el propósito de que su investigación fuera publicada, Ramanujan preparó entonces su viaje en barco rumbo a Inglaterra.
Después de la boda, Ramanujan enfermó de nuevo a finales de 1909. En esa ocasión, sufrió un grave hidrocele testicular (hinchazón anormal de las membranas internas de los testículos). Dicha enfermedad se podía tratar mediante una sencilla operación quirúrgica pero, por desgracia, ni él ni su familia tenían los medios económicos para costearla. La situación cambió de manera drástica cuando un cirujano local se ofreció a realizar la operación sin coste. Aun así, el posoperatorio le llevaría un tiempo y sufrió molestias a lo largo de todo el año 1910.
Recién casado y con problemas derivados de la cirugía, Ramanujan empezó a buscar trabajo en Madrás. Cualquier trabajo de oficina le servía, y mientras tanto se hospedaba en casa de amigos, compaginando la búsqueda con clases de matemáticas que impartía a los estudiantes que iban a ingresar en la universidad. Junto con todo esto, continuaba su creación matemática de manera enérgica, inició la publicación de sus resultados en revistas locales y empezó a ganar reputación por sus profundos teoremas. Todos sus logros y descubrimientos los iba recogiendo en unas libretas, con apenas alguna demostración. Se cree que existen dos razones fundamentales para la inexistencia de argumentos en sus anotaciones. La primera (y posiblemente, la principal) es su formación, basada en la lectura del libro de Carr, A synopsis of elementary results in pure mathematics, en el cual no había aprendido la manera habitual de escribir matemáticas, a saber, usando la estructura de afirmación y prueba. La segunda razón, más práctica, es que el papel era muy caro y escaso en esa región y época, de manera que debía economizar en su uso.
«Una fórmula matemática no tiene para mí ningún significado a menos que exprese un pensamiento de Dios.»En cualquiera de los casos, su investigación continuó desarrollándose de manera vertiginosa De hecho, la utilizó para encontrar trabajo, dado que usó sus resultados matemáticos como carta de presentación y concertó una entrevista con V. Ramaswamy Aiyer, un alto funcionario y fundador de la Sociedad Matemática de la India, con la Idea de obtener una ocupación en la administración. Como no podía ser de otra manera, Aiyer quedó sumamente impresionado por los resultados de Ramanujan, lo que le llevó a enviar varias cartas de recomendación a sus amigos matemáticos en Madrás. Fue así como estos conocidos redirigieron a Ramanujan hacia R. Ramachandra Rao, recaudador del distrito de Nellorey secretario de la Sociedad Matemática de la India. De nuevo, la impresión de Rao ante los resultados de Ramanujan fue del todo positiva, tanto por la profundidad de las matemáticas que Ramanujan estaba desarrollando como por su talento, aunque es importante resaltar que Rao sospechó, inicialmente, que el joven «genio» era un farsante y que los resultados no los había obtenido él
Srinivasa Aiyangar Ramanujan.
Sin embargo, Rao le ofreció apoyo para que encontrara un trabajo estable, y al mismo tiempo continuará desarrollando su talento matemático. Las cosas estaban mejorando poco a poco para el brillante matemático. Con la ayuda de gente con cierta influencia, Ramanujan empezó a publicar sus primeros resultados en el diario de la Sociedad Matemática de la India. Además de publicar resultados originales, también propuso problemas recreativos a manera de desafío matemático para los lectores. Cabe decir que, en los segundos, era habitual que no recibiera ninguna respuesta, puesto que los problemas que proponía eran demasiado difíciles y requerían ideas muy avanzadas que Ramanujan había desarrollado de manera independiente. Por poner un ejemplo, propuso el siguiente problema, que se mantuvo durante tres ediciones de la revista sin solución. El problema pedía calcular el valor del número

Volviendo a la búsqueda de un trabajo estable, Rao recomendó a Ramanujan intentarlo en Madrás; allí la idea era conseguirle una beca de estudio, pero desafortunadamente no la consiguió. De manera paralela, y para no cerrar puertas, Ramanujan solicitó incorporarse como contable en la administración del puerto de la ciudad. Aunque no contaba con un título universitario, su fama como buen matemático y las referencias que aportaba le ayudaron a conseguir el puesto. Por ejemplo, el profesor E. W. Middlemast, docente de matemáticas en el Presidency College de Madrás y antiguo estudiante del St. John’s College (en Cambridge), escribía:
Puedo recomendar vivamente al solicitante. Es un chico joven de talento excepcional para las matemáticas y para todo trabajo relativo a los números. Tiene un talento innato para la computación y para el trabajo de cálculo.
Algunos problemas de Ramanujan en las revistas indiasRamanujan fue un ávido propulsor de problemas de tipo recreativo para la comunidad matemática India, mediante The Journal of Indian mathematical Society. Por desgracia, muchos de los problemas que propuso eran demasiado difíciles, incluso para los matemáticos de oficio, y en contadas ocasiones conseguía soluciones originales además de la suya propia. Se muestran aquí algunos de los problemas que propuso. Como se aprecia en este pequeño ejemplo, su gusto y conocimiento por las construcciones infinitas era un motivo recurrente
Problema 1. Demostrar, sin utilizar herramientas del análisis, queProblema 2. Demostrar la igualdad
Problema 3. Demostrar que
Problema 4. Demostrar que se cumplen las siguientes igualdades:
Su fama y sus recomendaciones surtieron efecto, y finalmente Ramanujan empezó en la administración el 1 de marzo de 1912, en un ambiente propicio para las matemáticas. No solo el trabajo era sencillo para sus aptitudes (cosa que le permitía dedicar tiempo a sus investigaciones); además, su jefe, sir Francis Spring, y uno de sus colegas en el trabajo, S. Narayana Aiyar (quien además era el tesorero de la Sociedad Matemática de la India) lo animaban constantemente en sus progresos.
Ramanujan había encontrado un poco de estabilidad (al menos económica) para continuar descubriendo los misterios de las matemáticas. Era el momento adecuado para abrir sus alas y que su talento se reconociera fuera del país; la India se estaba quedando demasiado pequeña para una mente tan prodigiosa.
§. Primeras cartas al otro lado del mundo
Llegados a ese punto, el talento de Ramanujan debía ser exportado y tanto Rao como Aiyar lo ayudaron en este cometido. Para ello, lo pusieron en contacto con el profesor C. L. T. Griffith, docente de Ingeniería Civil en la Escuela de Ingeniería de Madrás que había estudiado en Londres. Griffith quedó impresionado por los resultados de Ramanujan y por ello escribió a un colega suyo en el University College London, el profesor M. J. M. Hill. Griffith escribió a Hill el 12 de noviembre de 1912 con una copia de los primeros trabajos publicados por Ramanujan. La respuesta fue positiva y negativa a la vez. Por un lado, Hill animaba a Ramanujan a continuar su investigación, puesto que parecía muy prometedora. Por el lado negativo, también confesaba que no había entendido gran parte de las matemáticas contenidas en sus trabajos, y lo animaba a continuar su aprendizaje leyendo bibliografía seleccionada. Esta respuesta no agradó a Ramanujan, quien no quería aprender nuevas matemáticas ni refinar su escritura, sino simplemente que su trabajo fuese reconocido y apreciado por sus colegas matemáticos. Viendo que Inglaterra era el país natural de contacto, Ramanujan tomó la iniciativa de escribir tanto a Henry Frederick Baker (del St John’s College de Cambridge) como a Ernest William Hobson (del St John’s College y del Christ College, en Cambridge, senior wrangler en 1878), En ninguno de los dos casos recibió respuesta.
Y en este punto del relato, nos trasladamos justo a unas semanas antes de lo expuesto en el capítulo 1 de este libro, después de que Ramanujan viera por casualidad el libro Órdenes del infinito, escrito por Hardy en 1910.

Ernest Wilhelm Hobson, matemático inglés a quien Ramanujan escribió, pero no dio respuesta al genio indio.
La sorpresa de Ramanujan debió de ser mayúscula cuando recibió noticias muy alentadoras por parte de Hardy. No solo había quedado impresionado por sus resultados, sino que también los había mostrado a otro colega matemático y colaborador científico habitual, John Edensor Littlewood. Nacido en 1885 en Rochester, Littlewood también era un miembro del Trinity College y experto en análisis y en sus aplicaciones en distintas áreas de las matemáticas, como la teoría de números. Fue, por ejemplo, quien demostró los primeros resultados de carreras de primos (como se ha visto en el capítulo 2, mediante el uso de técnicas procedentes del análisis de Fourier. El interés despertado por Hardy también se avivó en Littlewood, que vio en los resultados de Ramanujan nuevas áreas matemáticas por explorar.
Hardy, junto con Littlewood, estudió la lista de resultados (sin prueba) incluidos en la carta de Ramanujan. Luego, Hardy le escribió a Ramanujan una carta encabezada por el siguiente texto:
Estuve extremadamente interesado en su carta y en los teoremas que afirma. Entenderá que antes de poder juzgar con propiedad el valor de sus resultados es fundamental que pueda ver las pruebas de algunos de sus teoremas. Mi sensación es que estos se pueden clasificar en tres tipos:Ramanujan había encontrado, por fin, un poco de comprensión y era, casualmente, en uno de los especialistas en matemáticas más importantes de la época. Así, le volvió a escribir con nuevos resultados y con un agradecimiento explícito por sus palabras. En la segunda carta a Hardy, Ramanujan dice:
1. Hay resultados que ya se conocen, o que son fácilmente deducibles de teoremas ya conocidos.
2. Hay resultados que, tan lejos como sé, son nuevos e interesantes pero más interesantes en el sentido de su dificultad aparente y su curiosidad intrínseca que en el hecho de que sean resultados importantes.
3. Hay resultados que parecen ser nuevos y muy importantes.
He encontrado a un amigo en usted que además aprecia mi trabajo y mis hallazgos. Debo confesarle que tengo problemas de nutrición y para que mi cerebro funcione con lucidez necesito comer. Este es mi problema fundamental. Una carta de recomendación escrita por usted sería sumamente útil para conseguir una beca de la Universidad de Madrás o del gobierno.En vista de la situación, la primera idea de Hardy fue invitar a Ramanujan a una estancia larga en Cambridge, lo que permitiría al joven genio dedicar todo su tiempo y esfuerzo a las matemáticas. Esta propuesta chocó inicialmente con la cultura brahmánica de Ramanujan, que le impedía salir de la India para visitar a países extranjeros. Aun así, después de asimilar la idea, de reflexionarla junto a su familia (quienes también cambiaron de opinión) y de entender todos los beneficios que comportaría este viaje, aceptó la propuesta. Una figura importante en el cambio de opinión de Ramanujan fue la de Eric Harold Neville (1889-1961), colega de Hardy, que estaba en esos meses impartiendo un curso en Madrás y que tomó parte en las negociaciones con Ramanujan. Al respecto, Neville comentó:
Ramanujan no necesitaba ser convencido, y la oposición inicial de sus padres acabó cediendo: su madre tuvo un sueño vivido en el que la diosa de la familia, Namagiri Thayar, le ordenó que no prolongase por más tiempo la separación entre su hijo y el cumplimiento de su propósito en la vida.Este respaldo desde Cambridge era precisamente lo que Ramanujan necesitaba para empezar a despegar, de manera que Hardy se puso en contacto con las autoridades académicas indias para empezar a planificar el viaje de Ramanujan a Cambridge.
Además de esto, Rao intercedió por el muchacho en la Universidad de Madrás, con lo que esta le concedió una beca en mayo de 1913 con una duración de dos años. Todas las piezas estaban colocadas sobre el tablero. Por fin Ramanujan podría mostrar sus matemáticas al mundo. Empezaba un largo viaje al otro lado del mundo.
§. Cálculos rápidos y exóticos del número «π»
Gran parte de los primeros resultados de Ramanujan, así como los descritos a Hardy en su correspondencia, abarcaban identidades inéditas relativas a sumas infinitas, fracciones continuas y relacionadas con las denominadas series hipergeométricas. Y en muchas de ellas, el famoso número π desempeñaba un papel fundamental.
La importancia del papiro de Rhind: La conjetura de Erdös-GrahamTambién conocido como «papiro de Ahmes», el papiro de Rhind es un documento de carácter didáctico que contiene diversos problemas matemáticos clásicos.Escrito por un escriba egipcio, Ahmes, a mediados del siglo XIX a.C, recopilando material científico de textos anteriores, el papiro fue encontrado en el siglo XIX entre las ruinas de un templo funerario construido bajo el reinado de Ramsés II, situado en la necrópolis de Tebas.
El papiro de Rhind
El nombre del papiro se debe el egiptólogo que lo adquirió en 1858, Henry Rhind.
El papiro de Rhind contiene diversos resultados de matemática general y alguno de ellos ha inspirado investigaciones recientes en matemáticas. Es el caso del problema de las denominadas «fracciones egipcias», también conocido como conjetura de Erdös-Graham. Se dice que una fracción es egipcia si su numerador es igual a 1 y su denominador es un número entero positivo.
La conjetura de Erdös-Graham (llamada «conjetura de las fracciones egipcias») dice lo siguiente: partamos el conjunto de las fracciones egipcias en un número finito de clases (obsérvese que es posible que alguna de las clases sea finita pero, en general, cada una de las clases contendrá un número infinito de elementos). Entonces, la conjetura afirma que se cumple que existe una clase que contiene un subconjunto de elementos cuya suma es exactamente igual a 1.
Esta conjetura, realizada por Paul Erdös y Ron Graham en 1980, fue resuelta en sentido positivo por el joven estudiante de doctorado Ernest S. Croot III, quien dio una solución al problema en el año 2000 como resultado de su trabajo doctoral. Dicho resultado fue publicado en la prestigiosa revista especializada Annals of Mathematics de la Universidad de Princeton.
Como se verá más adelante, las contribuciones de Ramanujan al entendimiento de este número, así como a las aplicaciones más computacionales, fueron de vital importancia y marcaron, como ya se ha tratado en los capítulos anteriores, puntos de inicio para la investigación matemática futura.
El número π es, posiblemente, uno de los números más célebres de las matemáticas. Como es bien sabido, el cociente entre el cuadrado del radio de un círculo y su área es una constante independiente del radio del círculo. Este hecho ya era conocido desde tiempo antiguo; las primeras referencias a dicho cálculo provienen del papiro de Rhind, escrito en el antiguo Egipto alrededor del año 1800 a.C. En dicho papiro (que incluye además un pequeño tratado relativo a las célebres fracciones egipcias) se realízala primera estimación del número π, afirmando que el área de un círculo es parecida a la de un cuadrado cuyo lado es igual al diámetro del círculo disminuido en 1/9. Esta primera aproximación da lugar a una aproximación para π de 256/81, cuyo valores aproximadamente 3,16049.
El valor exacto del número π no era claro para las civilizaciones clásicas. Por ejemplo, en el antiguo Egipto se obtuvo la primera aproximación del valor, pero a medida que la humanidad y el conocimiento avanzaban se iban encontrando consecuentes mejoras a su cálculo. Sucesivamente, el pueblo mesopotámico, el griego, así como las civilizaciones india, china y árabe, fueron capaces de refinar el análisis para encontrar aproximaciones cada vez mejores del valor exacto del número en cuestión. Sin embargo, el asunto no se empezaría a aclarar hasta la llegada del Renacimiento. Fueron los grandes matemáticos de la época, como Leonardo de Pisa (conocido como Fibonacci) en Italia o François Viéte en Francia, quienes refinaron todo el conocimiento procedente de los clásicos para obtener aproximaciones del importante número con más de dieciséis cifras significativas. La pregunta era la natural en esas circunstancias: ¿en qué punto la aproximación obtenida era ya la definitiva?
A hombros de toda la civilización humana, en el siglo XVI se descubrieron las primeras expresiones exactas del número π . Fueron las grandes mentes de la época como Newton o Leibniz quienes descubrieron que ciertas sumas infinitas expresan el número π en términos sencillos. Así, Isaac Newton (1463-1727) descubrió que al evaluar la suma infinita


En este punto de la historia, y vistas las distintas (y complejas) expresiones descubiertas del número π, una pregunta natural era: ¿no existen expresiones más sencillas de este número? Por ejemplo, la raíz cuadrada de 2 admite una expresión complicada como

x2 - 1 = 0.
¿Existe un análogo para el caso del número π? Esta cuestión (en un contexto más general) es una de las preguntas centrales en teoría algebraica de números y ha motivado gran parte del desarrollo del área. Para explicar un poco más los conceptos, es necesario introducir un poco de nomenclatura. Diremos que un cierto número es algebraico si es solución de una ecuación polinómica comoarxr + ar-1xr-1 + ar-2xr-2 +…+ a1x + a0 = 0
donde los coeficientes del polinomio solo pueden ser números enteros. Diremos entonces que si un número es algebraico, entonces existe un polinomio de coeficientes enteros que lo anula. Algunos ejemplos sencillos de números algebraicos son los siguientes: todo número entero m es algebraico, puesto que m es anulado por el polinomiox - m = 0,
que cumple la definición que se acaba de dar. Una fracción (es decir, un cociente de números enteros) también lo es: un número de este tipo se escribe como a/b, donde a y b son números enteros, por lo que satisface la relaciónbx - a = 0.
Como se ha visto, antes de definir un número algebraico, la raíz de 2 también cumple la definición, y de hecho, cualquier raíz (de cualquier orden) de un número entero también es algebraico. De hecho, la algebricidad es una propiedad muy rígida y se puede demostrar sin demasiada dificultad que si tenemos dos números algebraicos A y B, entonces su suma y diferencia, su producto y cociente y sus raíces también son números algebraicos. Combinando estas operaciones, se puede afirmar que números tan complicados como son también números algebraicos (aunque en este caso encontrar el polinomio correspondiente que los anula ya es más complicado). En resumen, se pueden construir infinidad de números algebraicos a partir de los números enteros mediante la concatenación de las operaciones suma, diferencia, producto, cociente y raíz de cualquier orden. En este sentido, los números algebraicos son muy dóciles, puesto que tienen una estructura muy bien definida y computacionalmente hablando se comportan muy bien. De hecho, si se conoce el polinomio correspondiente es posible hallar, por ejemplo, los primeros dígitos decimales del número con muchísima facilidad.Una cuestión central en este contexto es la siguiente: dado un número cualquiera, ¿cómo podemos saber si es algebraico o no? La respuesta afirmativa es sencilla: si se consigue dar un polinomio con coeficientes enteros, tal que al sustituir la variable correspondiente por el número bajo estudio se obtiene 0, entonces el número debe ser algebraico. Ahora bien, el problema es más interesante si lo que se quiere demostrar es que un cierto número no es algebraico: lo que esto nos dice es que no existe ningún polinomio con coeficientes enteros que anule el número considerado. Como

En este contexto, fue el matemático alemán Ferdinand von Lindemann (1852-1939) quien demostró en 1882 por primera vez que el número uno es algebraico. Su prueba se basa en la demostración desarrollada por el francés Charles Hermite en 1873 para demostrar la misma afirmación para el número e. Es así que ninguno de estos números es algebraico: son los llamados números trascendentes.
«No arriesgaré nada en un intento de probar la trascendencia de n. Si otros emprenden esta empresa, nadie será más feliz que yo por su éxito. Pero créanme, no dejará de costarles muchos esfuerzos.»El resultado de Lindemann, además de ser importante de por sí, cierra otro problema de gran magnitud en la historia de las matemáticas, el de la cuadratura del círculo.
Charles Hermite, después de demostrar la trascendencia del número e

El matemático francés Charles Hermite, en cuya demostración de que el número e, no es algebraico se basó Lindemann para demostrar lo mismo en lo que respecta a π.
1. Dados dos puntos, siempre se puede trazar la recta que pasa por ellos (uso de la regla).
2. Dados dos puntos, siempre se puede trazar el círculo con centro en uno de ellos, y radio la distancia entre los dos (uso del compás).
3. Dadas dos curvas (rectas o círculos), podemos considerar la intersección (si existe) de ellas.
Obsérvense los detalles importantes en los puntos 1 y 2. El uso de la regla se limita a una regla «sin escalas», no se pueden transportar distancias, únicamente se pueden trazar líneas rectas. De manera similar, cuando se utiliza el compás no es posible transportar distancias, únicamente trazar círculos.
Resultados conocidos sobre la algebricidad y trascendencia de númerosDemostrar que un número es algebraico es una tarea sencilla, basta con encontrar un polinomio con coeficientes enteros que lo anule. El problema más complicado es demostrar que un número dado no es algebraico.
En la actualidad, se conocen algunos resultados muy potentes sobre la trascendencia de algunos números, que afirman de manera automática que ciertos números son trascendentes. Es posible que el resultado más importante y más general en esta área sea el teorema de Gelfond-Schneider, demostrado independientemente en 1934 por Aleksandr Gelfond y Theodor Schneider. Para formular el resultado es necesario recordar la noción de número irracional. Un número es racional si se puede escribir como r/s, con r y s números enteros. De no ser así, se dice que el número es irracional.
El teorema de Gelfond-Schneider afirma que si se tienen dos números algebraicos a y b con a distinto de 0 y 1, y b no es un número racional, entonces el número a es trascendente. Este teorema tiene múltiples aplicaciones. Por ejemplo, demuestra que números como 2√2, eπ o √2√3 son todos números trascendentes.
Este resultado, además de ser importante en sí mismo, dio respuesta a uno de los 23 problemas propuestos por David Hilbert (el séptimo) en su célebre lista de problemas de 1900, formulada durante el Congreso internacional de Matemáticos celebrado en París. Dicha lista de problemas marcaría profundamente el desarrollo de las matemáticas del siglo XX
Volvamos al problema en cuestión; si tomamos un círculo de radio normalizado igual a 1, su área es igual a π, y por lo tanto, la hipotética construcción de un cuadrado de la misma área es equivalente a poder construir, mediante el uso de las operaciones anteriores, un segmento de longitud igual a la raíz cuadrada del número π. Según el resultado de Lindemann, el número π es trascendente, de manera que también lo es su raíz cuadrada. Con esto ya están listos casi todos los ingredientes para demostrar que la cuadratura del círculo es imposible.
Pero, ¿cuál es el argumento? La idea fundamental detrás de la prueba se basa en la geometría analítica. Recordemos que en el plano (que es donde se están realizando todas estas construcciones) se pueden dar coordenadas a los puntos mediante la variable x (eje de abscisas) y la variable y (eje de ordenadas). Usando estas coordenadas, la ecuación de una recta toma la forma
ax + by - c = 0
para ciertos valores a, b y c fijos, mientras que la ecuación de una circunferencia toma la forma(x - p)2 + (y - q)2 = R2
donde el punto (p, q) es el centro de la circunferencia y R su radio. En ambos casos, la recta y la circunferencia descritas son los puntos (x, y) del plano que satisfacen cada una de las ecuaciones. En la figura 1 se muestran la recta con ecuación y =x + 2 y el círculo con centro en el punto de coordenadas (2,-1) y radio igual a 1.La idea del argumento ahora es la siguiente: cada vez que intersecamos dos de estas curvas, se están intersecando dos curvas que vienen dadas por ecuaciones de, como mucho, grado 2. Por lo tanto, para su resolución es necesario usar raíces cuadradas.

Ya tenemos todos los ingredientes. Si concatenamos un número finito de operaciones elementales con regla y compás, lo que se está haciendo (en cada paso) es resolver una ecuación de grado 1 (si se está usando una recta) o bien de grado 2 (si se está utilizando un círculo), y por lo tanto, toda magnitud que se obtiene mediante este proceso resultará ser un número algebraico. Esto contradice el resultado de Lindemann, por lo que se llega a la conclusión de que es imposible construir la raíz cuadrada del número π mediante regla y compás.
El mismo argumento utilizado aquí sirvió para resolver adicionalmente un par de problemas clásicos de construcciones mediante regla y compás: la trisección del ángulo y la duplicación del cubo. Para estos dos casos, la demostración es un poco más complicada, pero se basa en la misma idea de que al realizar una secuencia de operaciones mediante regla y compás, solo se está permitiendo obtener raíces cuadradas, cuartas, etc. (que aparecen al concatenar varias raíces cuadradas) y nunca raíces de orden distinto de una potencia de 2, como la raíz cúbica. En todo caso, toda la teoría viene abarcada por un área de las matemáticas iniciada por otro genio matemático a una muy corta edad, Évariste Galois. Su teoría matemática, la denominada «teoría de Galois», es una herramienta fundamental en teoría algebraica de números, combina el álgebra con la teoría de grupos y permite desarrollar en su seno todos los argumentos indirectos que se han evitado.
Una vez visto que no es para nada evidente el cálculo del número π, la siguiente cuestión que se puede formular es de tipo computacional: siempre que se tiene una suma infinita que define el número π (como, por ejemplo, las vistas hasta el momento) es posible hallar una aproximación de π truncando dicha suma. Así que, cuantos más términos se tomen en la suma, mejor será la aproximación obtenida. Dada entonces una suma concreta, ¿cuántos términos es necesario tomar para hallar una aproximación suficientemente buena?
Como se va a mostrar, no solo Ramanujan encontró expresiones nuevas para escribir el número π, sino que, además, algunas de ellas tenían una convergencia rápida en extremo. Para ello, empecemos viendo este fenómeno con una suma que ya se ha tratado en el capítulo 1, a saber, la suma de los inversos de los cuadrados; según la solución dada por Euler, se cumple que



De nuevo, Ramanujan pudo ir más allá. Una de las fórmulas obtenidas por él, tratada en el capítulo 1 de este libro, a saber:



¿Existe algún argumento de fondo de que esta suma converja tan rápidamente? Como no podría ser de otra manera, este comportamiento no es casualidad y se basa de nuevo en propiedades muy profundas de la teoría algebraica de los números y de esos objetos algebraicos de gran interés que son las formas modulares, que se tratarán con más detalle en el capítulo 5.
§. Volviendo al círculo; contando puntos de coordenadas enteras
Recuperando el problema con el que se empezaba en este libro el estudio del número π, este número se define como el cociente entre el área de cualquier círculo y el cuadrado de su radio. Para nuestro propósito también es necesario observar que todos los puntos de un círculo se hallan a la misma distancia del centro, y que dicha distancia es igual que el radio (de hecho, esta es la definición de círculo: es el conjunto de puntos del plano que equidistan de un punto prefijado).
Considérese ahora el siguiente problema, y para ello vamos a utilizar coordenadas cartesianas: tomemos el círculo en el plano cuyo centro es el punto (0,0) y cuyo radio es igual a R. Todo círculo divide el plano en dos regiones conexas, una acotada (el interior del círculo) y otra que no lo está. El problema que se quiere estudiar ahora es el siguiente: ¿cuántos puntos de coordenadas enteras existen dentro del círculo centrado en el origen y de radio R, cuando el valor de R es un número muy grande? Lo que nos están pidiendo es mirar cuántos puntos (x, y) existen, donde tanto x como y son números enteros, y que además se cumpla la ecuación
x2 + y2 ≤ R2
Llamaremos a este número P(R), el número de puntos de coordenadas enteras dentro del círculo. Entonces, la pregunta es: ¿cómo es la función P(R) en términos de R ? De nuevo, el estudio de este problema ha ocupado a algunos de los más grandes matemáticos de todos los tiempos y, a fecha de hoy, continúa siendo un problema abierto. El primero que se ocupó de estudiarlo fue el mismo Gauss, que lo bautizó con el nombre del problema del círculo. Pero antes de pasar a explicar qué se sabe, qué no se sabe y cómo contribuyó Ramanujan a su comprensión, planteemos un problema equivalente, relativo a las denominadas funciones de representación, y que será muy útil para explicar la contribución de Ramanujan al problema.Tomemos ahora un número n positivo y contemos el número de soluciones de la ecuación
x2 + y2 = n
con x e y números enteros positivos. A dicho número lo denotaremos r2(n). Por ejemplo, se cumple quer2 (1) = 2, r2(2) = 1, r2(3) = 0
ya que 1 se puede escribir como 1 + 0 ó 0 + 1, 2 puede escribirse únicamente como 1 + 1 y no hay forma de escribir 3 como suma de dos cuadrados. De esta manera, estudiar el número de soluciones de la ecuaciónx2 + y2 ≤ R2
es equivalente a estudiar la suma
Finalmente, el factor 4 aparece porque es necesario considerar todos los todos los posibles signos. Puesto que en el cálculo de r2(n) únicamente se toman x e y enteros positivos, entonces hay que considerar sus posibles cambios de signo. Hay dos posibles cambios de signo para x (es decir, tomar x positiva o negativa) y de manera similar para y, por lo que se obtienen 4 posibilidades.
Ya se han visto, pues, dos maneras distintas de plantear el problema. ¿Cómo se estudia? ha primera aproximación al valor de P(R) se obtiene del siguiente modo: tomemos un círculo centrado de radio R y consideremos los cuadrados de área unidad en los que se subdivide el plano (figura 2). Obsérvese que, por cada punto de coordenadas enteras del plano, se le puede asignar el cuadrado de área unidad cuya esquina inferior izquierda es el punto en cuestión. De este modo, se puede considerar que P(R) puede obtenerse como contribución de los siguientes términos: 1. los cuadrados de área unidad contenidos completamente en el círculo contribuyen a la suma total en una unidad.
2. los cuadrados de área unidad cuya esquina inferior izquierda está contenida en el círculo contribuyen a la suma en una unidad.
3. Los cuadrados de área unidad cuya esquina inferior izquierda no está contenida en el círculo no contribuyen a la suma.
En la figura se muestran, mediante un círculo, los cuadrados que contribuyen a la suma.
Por lo tanto, cuando el radio es muy grande, de manera heurística se aprecia que el número de puntos de coordenadas enteras «aproximadamente igual al área del círculo, es decir,
P(R) = πR2 + e(R)
donde e(R) denota el error cometido al aproximar P(R) por el área del círculo. El problema fundamental aquí es estudiar cuán grande es el orden de e(R). En este tipo de problemas existen dos tipos de resultados igualmente importantes: ver que él error es más pequeño que un cierto orden, y por otro lado, ver que el error no puede ser más pequeño que un cierto orden. Es lo que se denomina encontrar cotas superiores e inferiores para el error.Como ya se ha comentado, la primera persona que contribuyó en el estudio del problema de puntos de coordenadas enteras dentro de círculos fue Carl Friedrich Gauss, quien demostró que el error era, como mucho, lineal en R. Ese fue el primer avance en el problema. El siguiente avance significativo después de Gauss fue realizado años más tarde, en 1913, por el matemático polaco Waclaw Sierpinski (1882-1969), quien demostró que el error era más pequeño que lineal, de hecho, como mucho de orden R2/3.
¿Qué es lo que se sabe en la actualidad? El mejor resultado conocido hoy en día data de 2003 y se debe a Martin Neil Huxley, (n. 1944), quien ese año demostró que el exponente de R en el término de error puede ser como mucho 131/208, que es aproximadamente igual a 0,62981.
¿Cuál fue la contribución de Ramanujan a este problema? Si bien en sus notas se ve que reflexionó sobre el asunto, de hecho no realizó ninguna contribución directa al problema. Ahora bien, utilizando su talento y su magia para las identidades exactas, logró afirmar que para toda pareja de números positivos a, b > 0 se cumple la igualdad

Actualmente, el resultado de Hardy basado en las ideas de Ramanujan se ha podido refinar un poco, aunque se cree que el término de error debe de tener un orden de magnitud muy cercano a la raíz cuadrada de R. Pero esto todavía es un problema abierto por descubrir y solo el desarrollo de las matemáticas en los años venideros podrá darle respuesta.
Capítulo 4
Un brahmán en el Trinity College
Después de un largo viaje, Ramanujan llegó a Cambridge con el propósito de que sus descubrimientos fueran publicados. Inició entonces su fecunda y estrecha colaboración científica con Hardy, juntos desarrollaron algunas de las matemáticas más importantes e influyentes del siglo XX. En este contexto, estalló la Primera Guerra Mundial y golpeó de lleno la apacible vida en Cambridgeshire.Después de casi un mes de viaje procedente de la lejana Madrás (y con algunos leves episodios de mareos), Ramanujan llegó al puerto de Londres el 14 de abril de 1914. Neville, quien ya le había conocido en la India, se encargó de todos los preparativos para actuar como cicerone del joven genio. Se trasladaron juntos a Cambridge (después de pasar unos días en Londres) y lo acogió inicialmente en su propia casa. Días más tarde, Ramanujan se mudó a Whewell Court, en el Trinity College.
Por fin, se pudo llevar a cabo el encuentro entre Hardy, Littlewood y Ramanujan. Si bien los dos británicos ya habían intuido el talento y el genio creador del matemático indio, era improbable que estuviesen preparados para la situación que acontecería. Como se ha dicho, Hardy había recibido dos cartas de Ramanujan con un conjunto de resultados sumamente rico, que abarcaba una serie de igualdades matemáticas muy complejas. Algunas de ellas ya eran conocidas y procedían de los clásicos (Gauss, Jacobi, Kummer...), otras eran del todo falsas (como la afirmación de tener una prueba del teorema del número primo, tal y como se ha expuesto en el capítulo 2) y la gran mayoría eran fórmulas nuevas por completo. Todas ellas, eso sí, carecían de una demostración formal en el sentido estricto de prueba matemática La sorpresa de los dos matemáticos debió de ser mayúscula cuando, en su primer encuentro, Ramanujan les mostró sus libretas con una lista interminable de resultados anotados: los teoremas de las cartas (alrededor de ciento veinte identidades matemáticas y teoremas) no eran más que una gota en un océano de resultados nuevos que abrirían (como se verá más adelante en este capítulo y en el siguiente) nuevas y profundas sendas de investigación matemática. Con sus conjeturas e ideas, Ramanujan había labrado el trabajo futuro de generaciones de matemáticos. En definitiva, la lectura de sus libros de notas y las primeras impresiones sentidas debieran de ser toda una experiencia para los distinguidos profesores de Cambridge. Y puesto que la gran mayoría de los hallazgos no contaban con una demostración formal escrita, la tarea de descodificación parecía inmensa
«La verdadera crisis en mi carrera vino en el año 1911, cuando empecé mi larga colaboración con Littlewood, y en 1913 cuando descubrí a Ramanujan. Mis mejores trabajos desde entonces se han entrelazado a los suyos.»§. Choque de lenguaje y de culturas en Cambridgeshire
Godfrey Harold, al hablar sobre su colaboración con Littlewood y Ramanujan.
Las primeras jomadas de trabajo conjuntas de Hardy, Ramanujan y Littlewood fueron, sin lugar a dudas, muy interesantes, tanto desde un punto de vista matemático como sociológico, debido a sus diferencias de carácter y de estilo. Hardy y Littlewood partían de una formación clásica en matemáticas, basada en el método de conjeturar y demostrar. La manera de trabajar de Ramanujan era radicalmente diferente y se basaba en la intuición; carecía de formación, rigor y lenguaje matemático. Más aún, como ya se ha comentado, Hardy era un flamante seguidor del rigor matemático y de las pruebas formales, lo que chocaba frontalmente con la intuición y el halo místico de las geniales ideas de Ramanujan. En este aspecto, se dio un primer problema de base para Hardy. Por un lado, el genio indio era una persona con unas matemáticas avanzadas a su tiempo, pero por otro, presentaba una carencia fundamental para expresarse matemáticamente hablando.
En este punto, Hardy se encontró con un gran dilema respecto a nuestro personaje: ¿cómo conseguir avanzar en la investigación, si no usaban la metodología estándar y el mismo lenguaje? Tal y como mencionó el propio Hardy:
¿Cómo proceder para enseñarle la matemática moderna? Las limitaciones de su conocimiento eran tan brillantes como la profundidad de sus identidades.Decidieron pues que, además de trabajar en problemas de investigación, era fundamental que Ramanujan tomase cursos en Cambridge con el propósito de cubrir las lagunas matemáticas que presentaba. Littlewood también se encargó en persona de intentar cubrir esas carencias. Aun así, Littlewood comentaría:
[...] enseñarle matemáticas fue extremadamente difícil porque cada vez que algún resultado que Ramanujan debía conocer era mencionado, su respuesta era una avalancha de nuevas y originales ideas que no permitían saber con exactitud qué es lo que sabía y qué es lo que no.Dicha dificultad se juntó, además, con una primera negativa de Ramanujan ante la idea de tomar los cursos usuales, puesto que consideraba que el objetivo fundamental de su viaje desde India y su estancia en Cambridge era publicar sus resultados y mostrar a la comunidad matemática sus sorprendentes hallazgos. En cualquiera de los casos, acabó entendiendo la necesidad de aprender un lenguaje que permitiese tal acto de intercambio comunicativo y tomó los cursos regulares en la universidad en condición de «visitante extraordinario».
El incesante trabajo en matemáticas de los tres se vio violentamente alterado al estallar la Primera Guerra Mundial, el 28 de julio de 1914, con el asesinato en Sarajevo del archiduque Francisco Femando de Austria. En este conflicto bélico, Reino Unido tomó un papel clave y muchas de las mentes pensantes de Cambridge ejercieron algunos de los roles fundamentales en la gestión del conflicto.
El «affaire» Russell en el TrinityEn el contexto de la Gran Guerra, el Trinity College se vio envuelto en una agria polémica en relación con uno de sus miembros más distinguidos, Bertrand Russell, el matemático, filósofo y futuro premio Nobel de Literatura en 1950.Russell, que era profesor del Trinity College desde 1910 y estrecho amigo de Hardy, fue uno de los filósofos anglosajones más influyentes del siglo XX. Cabe destacar, por ejemplo, sus contribuciones a la denominada filosofía analítica, así como al desarrollo de la lógica formal en su célebre Principia mathematica, junto a Alfred Whitehead, también matemático de Cambridge.
Bertrand Russell en 1916.
Desde el principio de la contienda, y a contracorriente de la mayoría de los miembros de la institución. Russell optó por una militancia pacifista, en contra del conflicto bélico. En particular, su actividad pacifista abarcó la publicación de artículos y panfletos en contra de la guerra, así como la ayuda a diversos jóvenes que querían evitar ir al frente. Estos hechos no gustaron a sus compañeros y altos cargos del Trinity College, por lo que fue expulsado (y, de hecho, también encarcelado) por tales hechos. Después de este periodo, en 1919 volvió a ser aceptado en el Trinity College, aunque renunció un año después.
Hardy escribiría en 1941 el libro Bertrand Russell y el Trinity, en el cual explicó con detalles todo el proceso que llevó a la expulsión de Russell del Trinity, y su posterior reincorporación, además de las razones que lo llevaron a abandonar de nuevo la institución en 1920: problemas personales a raíz del divorcio de su primera esposa y de su siguiente matrimonio, con la escritora feminista Dora Russell (nacida Dora Black).
Littlewood se alistó en el cuerpo de artillería del ejército y sirvió como ingeniero balístico, realizando cálculos de trayectorias, todos ellos a mano (recuérdese que la Primera Guerra Mundial se desarrolló en el periodo preelectrónico, y que, por lo tanto, no existían ordenadores). Por ese motivo, Littlewood dejó parcialmente su actividad matemática central en Cambridge para servir a su país y no continuó, al menos de manera totalmente activa, sus discusiones matemáticas con Hardy y Ramanujan.
«Ramanujan siguió, con una severidad muy inusual en los indios residentes en Inglaterra, las tradiciones religiosas de su casta. Aun así, su religión era una cuestión de observancia y no de convicción intelectual: recuerdo bien que me dijo (para mi sorpresa) que todas las religiones le parecían más o menos igualmente verdaderas.»En este contexto de conflicto bélico se unieron diversos factores que dificultaron mucho la vida cotidiana de Ramanujan. Por un lado, el incansable trabajo matemático junto con Hardy lo traía absorbido por completo. Por otro, la guerra arrastró al país a problemas de abastecimiento de alimentos, lo que dificultó sobremanera su dieta alimentaria. Cabe recordar que Ramanujan mantenía desde su infancia estrictas costumbres brahmánicas y, en especial, en cuestiones relativas a la alimentación, que, como ya se ha comentado, era vegetariano. Esta alimentación chocaba con la dieta tradicional británica, así que en ese tiempo se alimentaba a base de una dieta muy escasa en nutrientes y vitaminas. Finalmente, el frío y húmedo clima de Inglaterra fue el tercer factor de discordia y provocó un empeoramiento de la salud del matemático, prácticamente desde los primeros meses de su estancia en Inglaterra.
Godfrey Harold Hardy, acerca de los problemas de adaptación de Ramanujan
Por fortuna, su talento y fortaleza se impusieron a las dificultades ambientales y el 16 de marzo de 1916 consiguió el equivalente a un doctorado por sus trabajos sobre los números redondos y sobre los números con muchos factores (ver capítulo 2 para algunos de estos resultados). De hecho, la memoria de su tesis contenía siete trabajos sobre la materia, resultados que publicó en revistas especializadas británicas.
Después de conseguir el doctorado y de continuar su intensa investigación con el fin de entender sus propias matemáticas y poderlas explicar al mundo, en 1917 cayó muy enfermo. Le diagnosticaron tuberculosis y una falta de vitaminas muy grave, por lo que fue internado para su recuperación. La gravedad de su enfermedad era tal, que muchos de los médicos que lo trataban creían que iba a fallecer.
Este período de severa enfermedad se vio brevemente interrumpido por uno de buenas noticias, que favoreció el estado de ánimo de Ramanujan. El 18 de febrero de 1918, fue elegido miembro de la Cambridge Philosophical Society y tres días después fue incluido en la lista de posibles candidatos a miembro de la Roya! Society de Londres. Esta nominación había sido realizada por un impresionante elenco de matemáticos británicos, que incluía a Hardy y Littlewood, pero también a muchos otros como Whitehead y MacMahon. Su elección como miembro se confirmó el 2 de mayo de 1918 y algo más tarde, el 10 de octubre de ese mismo año, fue elegido miembro del Trinity College.
1729, un número muy especialUna de las anécdotas más conocidas en relación con la figura de Ramanujan y que muestra su profundo conocimiento de la aritmética es la referente al número 1729. Hardy visitó a Ramanujan durante su convalecencia en Londres de la tuberculosis que sufría. Para contarle algún detalle de su viaje, Hardy le explicó que había llegado en taxi, y que su número era el 1729, un número sin ninguna propiedad especial. Ramanujan negó rotundamente esta afirmación: 1729 era un número muy interesante, puesto que es el número natural más pequeño que puede escribirse como suma de dos cubos de dos maneras distintas, a saber 1729 = 93 + 10 3 = 13 + 123. Dicha observación aparece ya en sus libros de notas escritos años antes, así que Ramanujan tenía en mente ese resultado. Lo interesante es que esta observación inició una nueva serie de problemas con diversas ramificaciones. Cabe observar que la ecuaciónx3 + y3 = 1729
tiene como mínimo las cuatro soluciones ( x, y) = (9, 10), (10, 9), (1, 12) y (12, 1). De hecho no es difícil demostrar que estas cuatro son las únicas soluciones de la ecuación cuando ambos valores, x e y, son números enteros positivos. Esta observación se puede generalizar del siguiente modo: dado un número entero K ¿existe un valor m (que depende de K) para el que la ecuaciónx3 + y3 = m
tenga exactamente K soluciones con x e y estrictamente positivas, y donde el orden de la solución no importe?
Para K igual a 1, el valor de m es igual a 2, y para K igual a 2, la afirmación de Ramanujan es que m es igual a 1729. Para valores más grandes de K el problema es mucho más difícil: para K iguala 3 y 4 se sabe que el valor de m debe ser igual a 87539319 y 6963472309248. respectivamente, obteniendo las representaciones siguientes87 539 319 = 1673 + 4363 = 2283 + 4233.2553 + 414 3
6963472309248 = 24213 + 190833 = 54363 + 189483 = 10200 3, + 1807233 = 13 3223 + 166303.
Años después de la anécdota, en 1938. Hardy, junto con su colaborador E. M. Wright, demostró que, de hecho, para cada valor K existe un valor m para el que el número de soluciones (de nuevo, con x, y estrictamente positivas y sin importar el orden) de la ecuación generalx3 + y3 = m
es igual a K. Por desgracia, la prueba no da el número mínimo con esta propiedad y es por ello por lo que hoy en día todavía es un problema abierto conocer cómo encontrar de manera eficiente (es decir, sin utilizar una búsqueda exhaustiva) el menor número que cumple la propiedad fijado un valor K.
Ramanujan, procedente de la lejana India y habiendo vivido algunos episodios de su vida en la más absoluta pobreza, había conseguido encumbrarse en el olimpo del conocimiento humano.
Estas distinciones multiplican su valor si se tiene en cuenta su origen humilde e hindú. Se convirtió en el segundo investigador hindú, uno de los más jóvenes, que formó parte de la Royal Society. Asimismo, en cuanto a su membrecía en el Trinity College, era la primera vez que se le otorgaba a un investigador indio.
Se había obrado un verdadero milagro: un investigador autodidacta, sin estudios oficiales y sin recursos, había conseguido llegar a lo más alto de las matemáticas. La misión de Ramanujan en Inglaterra se había cumplido y ahora tocaba volver a la Madrás, para reunirse con su familia y continuar con sus hallazgos matemáticos, pero esta vez recibiendo los honores de un gran matemático. La vuelta a casa estaba cerca.
§. «Partitione numerorum»
Uno de los mejores ejemplos que ilustran el trabajo científico de Hardy y Ramanujan en el período de colaboración en Inglaterra posiblemente sea el estudio del problema de las particiones de números enteros. Si bien el trabajo conjunto de ambos matemáticos fue muy fructífero y cubrió muchas otras áreas de la teoría de números (por ejemplo, los resultados relativos a los números redondos explicados en el capítulo 1), el ejemplo del estudio de particiones de enteros es suficientemente significativo y rico para mostrar de qué manera se combinó la fina intuición matemática de Ramanujan con la potencia y el conocimiento profundo de Hardy para resolver problemas que habían sido inatacables durante años.
El en apariencia sencillo e inocente problema matemático considerado es el siguiente: ¿de cuántas formas puede escribirse un número natural n como suma (ordenada, en orden creciente) de números naturales? Diremos entonces que dicho número (el número de representaciones distintas) es el número de particiones de n, y lo denotaremos p(n). Obsérvense los primeros términos 1 solo puede escribirse de una manera. El número 2 puede escribirse de dos maneras distintas: 1 + 1 y 2. Para el número 3 tenemos 1 + 1 + 1, 1 + 2 y 3; por lo tanto, el número de particiones de 3 es igual a 3. Finalmente, para 4 el número de casos aumenta l + l + l + l, 1 + 1 + 2, 2 + 2, 1 + 3 y 4, con lo que el número de particiones de 4 es igual a 5, o equivalentemente, p(4) = 5. Diremos también que cada una de estas cinco sumas es una partición o representación distinta de 4.
La primera cuestión natural es preguntarse si existe una fórmula o expresión general para p(n), es decir, una fórmula matemática sencilla escrita en términos de n que, para cada valor de s dado, dé el valor de p(n). Como se acaba de exponer, el cálculo del número de particiones para valores de n pequeños no es muy complicado y solo requiere un análisis de casos posibles. Ahora bien, si se está interesado en el cálculo del número de particiones de, por ejemplo, 20, el número de casos que se tratarán es muchísimo mayor y las cuentas llevarían bastante tiempo. Y si lo que se pretende es calcular el número de particiones de 200, el cálculo se vuelve todavía muchísimo más arduo. De esta manea, encontrar una fórmula general para p(n) resulta todo un desafío. Está claro que, incluso usando la gran potencia de cálculo de un ordenador, este conteo sería complejo por el hecho de que p( n) crece muy rápidamente a medida que n crece.
«Los límites de sus conocimientos eran sorprendentes, como su profundidad. Era un hombre capaz de resolver ecuaciones modulares y teoremas... de un modo jamás visto antes; su dominio de las fracciones continuas era superior al de cualquier otro matemático del mundo.»Este problema, de fácil enunciado, resultó ser de una dificultad diabólica Algunas de las mentes más poderosas de la historia de la ciencia han dedicado tiempo a intentar resolverlo. Las primeras referencias a este problema se encuentran en la correspondencia de Gottfried Leibniz con Johann Bernoulli en 1669, donde la cuestión del número de particiones aparece de manera expedita. Incluso de manera más explícita si cabe, en palabras del propio Leibniz:
Godfrey Harold Hardy.
El problema de contar el número de particiones de un número n parece un problema difícil pero importante.Más de ochenta años después, Philippe Naudé (1654-1729), profesor de la Universidad de San Petersburgo, formuló la pregunta al suizo Leonhard Euler, la estrella matemática del momento.
Euler inició la teoría de particiones en el capítulo XVI de su Introductio in analysin infinitorum, demostrando algunas de las propiedades de estos números, aun siendo incapaz de resolverla cuestión fundamental. Aquí se van a tratar algunos de sus resulta dos en breve.
El equipo Hardy-Ramanujan desarrolló una técnica analítica del todo novedosa que serviría para resolver el problema de manera asintótica (esto es, cuando n es suficientemente grande); más tarde, se explotaría con éxito para resolver el problema de manera exacta. Pero antes de ello, es necesario hablar un poco sobre la teoría de particiones y las técnicas combinatorias y algebraicas que se usan para su estudia. Para ello, empezaremos estudiando algunas de las propiedades de la función de partición para familiarizamos con la matemática del problema. Lo primero es dar una definición precisa de p(n): es el número de maneras de escribir n como suma de elementos (posiblemente repetidos) mayores que cero y menores o iguales que n, y donde el orden no importa. Por lo tanto, el número de particiones de n es el número de soluciones de la ecuación
x1 + 2x2 + 3x3 + …+ nxn = n
donde las variables x1, x2,... cuentan el número de apariciones del número 1, 2..., respectivamente, en la partición considerada. En particular, cada una de las variables consideradas puede tomar valores 0,1, 2... Se dirá que esta ecuación es la ecuación fundamental de las particiones. Se dirá también (como se ha expuesto al tratar las particiones de 4) que cada una de las soluciones distintas de esta ecuación es una partición distinta de n.Cada una de las particiones de un determinado número n se puede traducir gráficamente de manera sencilla, usando los denominados «tableros de Young». Esta representación gráfica fue introducida por el matemático de Cambridge Alfred Young alrededor de 1900. Su claridad y sencillez fue utilizada pocos años después por Georg Frobenius en su estudio del grupo de permutaciones y en el desarrollo de su teoría de representaciones del grupo simétrico.
Los tableros de Young se definen del siguiente modo: supongamos que se está estudiando el número de particiones de un número n concreto. Consideremos una partición particular, a saber, una solución de la ecuación de las particiones de n. Para cada una de las soluciones de la ecuación fundamental, vamos a asociarle un diagrama de n cajas cuadrangulares apiladas, donde en cada nivel haya un número de cajas menor o igual que en la anterior. Cada caja contribuye en una unidad (y, por lo tanto, hay n cajas) y el hecho de apilarlas de manera distinta define directamente particiones distintas. Un ejemplo, posiblemente, clarificará esta definición: se ha visto que las particiones de 4 (un total de 5) son l + l + 1 + l, 1 + 1 + 2, 2 + 2, 1 + 3 y 4. Se representan entonces cada una de las particiones obtenidas (figura 1).

Además de ser una manera muy visual de representar las distintas particiones de un número n, ofrece un método geométrico para deducir algunos de los primeros resultados de la teoría.
El primer resultado fundamental es el que se obtiene si, en un determinado tablero de Young, se transforman filas por columnas (las cajas de la primera fila se apilan en la primera columna del nuevo tablero de Young, y así sucesivamente). Un ejemplo de esta transformación para dos particiones distintas de 17 es el mostrado en la figura 2.

Como aplicación directa de esta técnica de conjugación, lo que se observa es que dicha operación establece una correspondencia biyectiva entre dos subfamilias de particiones; a saber, se cumple que el número de particiones de n, con la restricción de que el sumando mayor tiene tamaño k, es igual al número de particiones de n usando exactamente k sumandos. La correspondencia es evidente, puesto que la partición conjugada de una partición de n con valor mayor igual a k; es una partición de n con k sumandos. Esto se puede verificar que se cumple en el ejemplo que se ha dibujado con n igual a 17, donde el valor de k es igual a 6 (en la partición de la izquierda, el sumando más grande es igual a 6, y en la partición de la derecha se tienen exactamente 6 sumandos).
Además de dar una versión muy geométrica de cada una de las particiones de un número entero n, los tableros de Young son muy utilizados en combinatoria algebraica y en su conexión con la teoría combinatoria de representación, puesto que ofrecen, de manera muy sencilla, información algebraica importante de ciertos grupos, como por ejemplo el grupo de las permutaciones.
§. Un método algebraico para estudiar las particiones: las funciones generatrices
Es momento ahora de ir redescubriendo algunos de los resultados que el propio Euler encontró relacionados con su estudio de las particiones de números enteros. Para entender cómo estudiar el problema de contar particiones es necesario introducir una técnica algebraica muy clásica usada ya por el mismo Euler. Se basa en el siguiente principio básico: si se quiere estudiar una secuencia de números dada, lo primero que se puede intentar es codificar esta secuencia mediante un objeto algebraico que denominarnos «función generatriz», y estudiar sus propiedades algebraicas más tarde. La información algebraica que se pueda extraer indicará cómo es la secuencia que se está estudiando. Esencialmente, la función generatriz asociada a la secuencia de números a(0), a(l), a(2) ... es una expresión formal de
A (x) = a(0) + a(1)x + a(2)x2 + a(3)x3 +…
que se puede escribir de manera amplificada como
Se pueden definir con facilidad operaciones combinando funciones generatrices. Por ejemplo, si se quieren sumar dos fundones generatricesA(x) y B(x) asociadas a dos secuencias de númerosa(0), a(l), a(2)... y b(0), b(l),b(2)..., simplemente se obtiene la fundón generatriz S(x) si se suman término a término las dos secuencias de números, a saber
S (x) =A(x) + B(x) =
= (a(0) + b(0)) + (a(l) + b(l))x + ( a(2)x2 + b(2)) + (a(3) + b (3))x3 + …
El producto es un poco más complicado. De nuevo, si se consideran dos funciones generatrices A(x) y B(x) asociadas a dos secuencias de números a(0), a(l), a(2)… y b(0), b(1), b(2)..,el producto de A(x) y B(x) es la función generatrizP (x) =A(x)×B(x) =
= (a(0)×b(0)) + (a(l)×b(0)) + (a(0)×b(1))x + (a(2)×b(0)) + (a(l)×b(1)) + (a(0)×b(2))x2 …
En cierto modo, este producto generaliza el producto de polinomios (hay que multiplicar término a término, y sumar todas las contribuciones al final). Para nuestro propósito, el estudio de particiones, vamos a ver un par de aplicaciones directas de las dos operaciones descritas. Empecemos considerando la secuencia de números más sencilla, correspondiente a que todos los números a(i) sean iguales a 1. En esta situación se tiene queA (x) = 1 + x + x2 + x3 +…
Puesto que esta suma es infinita, se cumple queA (x) = 1 + x + x2 + x3 +…= 1 + x(1 + x + x2 + x3 +…) =
= 1 + xA(x)
de donde se obtiene que A(x) debe cumplir la igualdadA (x) = 1/(1-x)
Lo que dice esta expresión es que la fundón generatriz A( x)es la inversa multiplicativa de la función generatriz 1-x, o dicho de otro modo, que se cumple que(1-x)A(x) = )1-x)(1 + x + x2 + x3 +…) =
= 1 + x + x2 + x3 +…- ( x + x2 + x3 +…) = 1
Este primer resultado permite derivar muchos otros. Por ejemplo, si ahora la secuencia de números son las potencias de 2, entonces se tiene queB (x) = 20 + 21x + 22x2 + 23x3+…= 1 + (2x) + (2x)2 + (2x)3 +…=
=A(2x) = 1/(1-2x)
Este ejemplo puede generalizarse, de hecho, a cualquier potencia de un número k fijado.Otro ejemplo muy útil en el estudio de las particiones es el de la función generatriz asociada a los múltiples de un número dado k. Esa secuencia es igual a 0 en todos los valores que no son múltiplos de k, mientras que es igual a 1 en los valores múltiplos de k. Si se toma k igual a 4, por ejemplo, la función generatriz que se obtiene es
C4 (x) = 1 + x4 + x8 + x12+…= 1 + (x4) + (x4) 2 + (x4)3 +…=
=A(x4) = 1/(1-x4)
En general, este argumento puede generalizarse a todo valor k obteniendo queCk (x) = 1 + xk + x2k + x3k+…= 1/(1-xk)
La última observación que necesitaremos hacer para llegar a nuestro objetivo es la propiedad multiplicativa de las funciones generatrices, que es precisamente la propiedad fundamental que permitirá codificar toda la información aritmética de las particiones mediante estas expresiones algebraicas. Para ello, simplemente se cumple quexaxb = xa+b
Funciones generatrices y sucesiones recurrentes: los números de FibonacciEl uso de funciones generatrices es especialmente potente cuando se estudian secuencias de números definidas mediante una ecuación recurrente. En los comentarios anteriores se ha visto cuál es la función generatriz asociada a las potencias de 2. Obsérvase que dicha secuencia puede obtenerse mediante una ecuación recurrente segúnan = 2an, a0 = 1
La técnica de las funciones generatrices es muy útil cuando se estudian sucesiones recurrentes más generales, como por ejemplo, la relativa a los números de Fibonacci. Recuérdese que los números de Fibonacci vienen dados por la recurrenciaFn = Fn-1 + Fn-2, F0 = F1 =1
Veamos cómo obtener la función generatriz asociada, es decir.Para ello, se escriben todas las relaciones de la recurrencia, ponderadas cada una por un valor de x distinto (para infinitas igualdades):
F2x2 = F1x2 + F0x2
F3x3 = F2x3 + F1x3
F4x4 = F3x4 + F2x4
Ahora se procede a sumar los términos de la izquierda y de la derecha de la igualdad. El primer término, el de la izquierda, es igual aF2x2 + F3x3 + F4x4 + …= F(x) - F0 +F1x = F(x) - 1 - x
mientras que la suma de los términos de la derecha es Igual a(F1x2 + F2x3 + F3x4) + (F0x2 + F1x3 + F3x4) =
= x(F(x)2 - F0) + x2F(x) = (x2 + x)F(x) - x
Por lo tanto, se cumple la igualdadF (x) - 1 - x = (x2 + x)F(x) - x
con lo que finalmente, aislando F(x) se cumple queF (x) = 1/(1 - x - x3)
El argumento aquí utilizado puede generalizarse de manera inmediata al caso de tener una secuencia lineal con coeficientes constantes. En esta situación, lo que siempre se puede afirmar es que la función generatriz resultante es una función racional (es decir, un cociente de dos polinomios). Este hecho tiene implicaciones importantes en el estudio del crecimiento de la secuencia bajo estudio, puesto que los puntos donde el denominador se anula marcan el crecimiento exponencial de los coeficientes.
Esta propiedad, que se ha utilizado al escribir cómo se multiplican las funciones generatrices, se puede generalizar trivialmente a productos de más de dos términos.
Con todas estas observaciones en la bolsa de herramientas, ya estamos en condiciones de abordar el problema de codificar las particiones mediante el uso de funciones generatrices, como hizo Eider. Con tal fin, es necesario definir su función generatriz asociada a la secuencia de números correspondientes a p(n). Escribimos
P (x) = p(0) + p(1)x + p(1)x2 + p(3)x3 + …
Para hallar una expresión para P(x) hay que ir a la definición combinatoria de partición de un entero más el número de maneras de obtener n como suma de enteros en orden creciente. Para ello, estudiemos el producto infinitoQ (x) = C1(x)C2(x) C3(x)…=
= (1 + x + x2 + x3+…)(1 + x2 + x4 + x6 +…)(1 + x3 + x6 + x8+…)
Lo que se va a comprobar ahora es que Q(x), que viene dada por un producto infinito, se puede interpretar también como una función generatriz que será idénticamente igual a P(x). ¿Cómo hay que proceder para la demostración? La idea es sencilla: para ver que dos funciones generatrices son iguales, basta que la secuencia que definen (es decir, sus coeficientes) sea igual. Para ello, hay que considerar el término xn en Q(x), ver cómo se origina, y concluir que es igual a p(n).La primera observación importante es cómo calculamos la función generatriz asociada Q(x) a partir del producto infinito que se ha escrito. El proceso es el siguiente: como tenemos un producto infinito, en el primer paréntesis hay que escoger uno de los sumandos, luego se elige otro sumando en el segundo paréntesis y así sucesivamente. Si al final se suman todas las posibles combinaciones, se obtiene la función generatriz. La siguiente observación clave es cómo se calcula el coeficiente de xn mediante este proceso. Por la propiedad multiplicativa de las funciones generatrices, no es posible obtener el término xn si en cada uno de los paréntesis se escoge una potencia de x que sea mayor estrictamente que 0. Dicho de otro modo, las únicas posibles contribuciones a xn van a proceder de los primeros n paréntesis, y de los siguientes, la única manera posible es escoger el 1.
Veamos un ejemplo para aclarar estas dos ideas. Imaginemos que se quiere calcular el coeficiente x4 en Q(x). Obsérvese que del producto infinito
(1 + x + x2 + x3+ x4 + x5+…)(1 + x2 +x4+ x6 +…)(1 + x3+ x6 +…)(1 + x4 +x8 + …)(1 + x5 + x10+…)
las únicas contribuciones que hay que considerar son(1 + x + x2 + x3+ x4)(1 + x2 + x4)(1 + x3)(1 + x4)(1)(1)…
ya que los términos dentro de cada paréntesis de grado mayor estricto que 4 no pueden contribuir al coeficiente que se está estudiando, porque, entonces, el grado que se obtendría sería mayor que 4.Volvamos al argumento general. Para estudiar cada una de las particiones den, hay que interpretar el número p(n) como la suma de p(n) veces el número 1. Cada 1 en la suma corresponde a una partición distinta. Y ahora, lo que se va a ver es cómo se obtiene cada una de estas distintas particiones. Para obtener una potencia del tipo xn hay que escoger en cada uno de los paréntesis una potencia de x de exponente menor que n, y de un lugar en adelante, en los paréntesis siguientes, un 1. La observación clave ahora es la siguiente: la suma de los exponentes de las x debe ser igual a n, y esto se puede hacer de un número finito de maneras. Al multiplicar un conjunto de x con distinto exponente, el coeficiente multiplicativo será un 1, y este dará lugar a una de las p(n) particiones.
¿Cómo se acaba de interpretar aritméticamente el producto? Un sencillo: el exponente de la x escogido en el primer paréntesis será el número de unos en la partición (si se toma el término 1 significa que no hay unos en la partición correspondiente), el exponente de la x (dividido entre 2), escogido en el segundo paréntesis como el número de doses en la partición (y si es un 1, no tenemos unos en la partición), y así sucesivamente.
Para aclarar este argumento, volvamos a las particiones del número 4. Se había visto que, únicamente, los potenciales candidatos a partición debían emerger del producto
(1 + x + x2 + x3+ x4)(1 + x2 + x4)(1 + x3)(1 + x4)(1)(1)…
puesto que el resto de términos contribuirían con un exponente de valor superior a 4. Anteriormente, mediante el uso de tableros de Young habíamos encontrado todas la particiones de 4; es momento de recuperarlas usando la función generatriz. Por ejemplo, la partición l + l + l + l se corresponde a escoger en el primer paréntesis el término x4, y 1 en el resto de paréntesis (se indica, por lo tanto, que tenemos 4 unos). Otro ejemplo: la partición 1 + 1 + 2 se obtiene de escoger dos unos y un dos, por lo tanto, se obtiene escogiendo el término x2 en el primer paréntesis y x2 en el segundo. El resto de particiones de 4 se obtendría del siguiente modo:1 + 3 →x×1×x3×1…
2 + 2 →1×x4×1×1…
1 + 3 →1×1×1×x4×1…
donde se ha procurado escribir en orden los correspondientes factores según emergen de un paréntesis o de otro. Además, no hay posibilidad para otros productos distintos que den lugar a una partición de 4.En resumen, lo que se obtiene es la relación fundamental

![]()
Si bien se ha visto antes que el uso de los diagramas de Young es el punto de partida del estudio combinatorio de las particiones, esta fórmula es el inicio de su estudio desde un punto de vista enumerativo. Veamos algunas de las consecuencias más inmediatas de esta expresión en forma de un producto infinito antes de pasar a la fundamental contribución de Hardy y Ramanujan.
Una aplicación inmediata de los argumentos que usamos aquí para deducir la fórmula de Euler permite también encontrar la función generatriz de las particiones cuando se acota que los sumandos sean, por ejemplo, impares. En este caso, los mismos razonamientos utilizados antes dicen que la correspondiente función generatriz, que llamaremos PI(x), será

Usando esta expresión para la función generatriz, es posible incluso encontrar resultados suplementarios, que serian muy difíciles de demostrar sin el uso de estas técnicas algebraicas. Veamos, por ejemplo, que el número de particiones de n en las que los sumandos que se utilizan son diferentes dos a dos es precisamente igual al número de particiones de n usando solo números impares. Por ejemplo, para n igual a 6, se puede comprobar que, del primer tipo de particiones (es decir, todos los términos que se suman son distintos) se tiene 6, 1 + 5, 2 + 4 ó 1 + 2 + 3, mientras que del segundo tipo de particiones (todos los términos son impares) «tiene l + l + l + l + l + l, 1 + 1 + 1 + 3, 1 + 5 y 3 + 3, y el número total en ambos casos es 4.
Para ello, empecemos interpretando el producto

Lo que se va a demostrar ahora es que se cumple la igualdad algebraica

(1-xk)(1+xk) = 1-x2k
que es una simple consecuencia del hecho de que una diferencia de cuadrados se puede escribir como una suma por una diferencia Utilicemos ahora esta propiedad del siguiente modo: en el producto infinito que define la función P(x), distingamos los términos con k par de los términos con k impar, es decir,

Resumiendo, se cumple que


Existe una amplia variedad de resultados relativos a las particiones que se obtienen combinando propiedades de los tableros de Young con propiedades algebraicas de las funciones generatrices asociadas. Es posible que el primer resultado altamente no trivial de esta teoría sea el denominado «teorema pentagonal de Euler», demostrado por el propio Euler en 1750, y que representa el primer resultado importante de la teoría de particiones. Años más tarde, Legendre y Jacobi obtuvieron pruebas distintas, en 1830 y 1846, respectivamente, y usando diferentes técnicas. Veamos qué demuestra. Si bien hemos visto que la función generatriz


El cuadrado de Durfee y el índice «h»Un resultado que ejemplifica con claridad la conexión entre el uso geométrico de los tableros de Young y las propiedades algebraicas de las funciones generatrices es el teorema de los cuadrados de Durfee, demostrado inicialmente por el matemático estadounidense William Durfee (1855-1941) hacia finales del siglo XIX. Dicho resultado afirma que la función generatriz de las particiones P(x) puede expresarse del siguiente modo:Esta fórmula es sencilla de explicar si se utiliza la interpretación geométrica procedente de los tableros de Young: vamos a clasificar todas las particiones posibles según el cuadrado más grande contenido en ellas, que toca la esquina inferior izquierda. Este cuadrado es el denominado «cuadrado de Durfee». En la figura se muestra una partición de 15, con un cuadrado de Durfee de temario 3.
Si el tamaño del cuadrado de Durfee es igual a n, entonces se inducen dos nuevos tableros de Young (encima del cuadrado y a la derecha) con la propiedad de que el elemento máximo tiene tamaño n (ver figura). Usando el mismo argumento utilizado para deducir la expresión de P(x), se concluye que la función generatriz de las particiones con un cuadrado de Durfee de tamaño n es
Sumando ahora sobre todos los valores de n se obtiene la igualdad antes mencionada.
El cálculo del tamaño cuadrado de Durfee tiene una aplicación interesante en el contexto de la bibliometria, y en particular, en la definición del denominado índice h. Considérese que cada investigador tiene un cierto número de publicaciones. Cada una está citada un cierto número de veces. Construyamos el Tablero de Young, tomando en la primera fila de cajas el número de citas de la publicación más citada, y así, de manera decreciente (en citas). Supongamos entonces que el tamaño del cuadrado de Durfee correspondiente es igual a h. Este valor dice que hay h trabajos que han sido citados (como minino) h veces cada uno, y que este es el número entero más grande que cumple esa propiedad.
En la actualidad, el índice h es un parámetro de gran importancia en la producción científica de los investigadores, y como se aprecia, ¡se define en términos puramente combinatorios!


w (n) = (3n2 - n)/2
Ahora ya se pueden definir los números pentagonales: se dice que un número es pentagonal si es un número pentagonal primitivo o bien se puede escribir de la formaw (-n) = (3n2 + n)/2
Los primeros números pentagonales son por lo tanto 1, 2, 5, 7, 12, 15. Con estas definiciones, el teorema pentagonal de Euler asegura que se cumple la identidad formal
Todos estos resultados mostrados (usando tableros de Young y propiedades de las funciones generatrices) inician la teoría clásica de las particiones, y muchos resultados obtenidos usando estas técnicas se podían considerar, a principios del siglo XX, clásicos. Pero el problema fundamental de la teoría de particiones (encontrar estimaciones precisas de cómo crece la secuencia de números p(n) a medida que n crece) continuaba siendo un problema abierto.
El mejor resultado que se sabía antes del logro de Hardy y Ramanujan estaba basado en una aplicación del teorema pentagonal de Euler. Este resultado es sumamente importante en esta teoría por diversas razones; es posible que la más notable sea porque ofrece un método para calcular p(n) de manera recursiva En particular, usando la relación


En este punto del estudio de las particiones es donde entra en juego la combinación del talento de Hardy con el de Ramanujan. Inventaron un método completamente novedoso y técnico, el más tarde llamado «método del círculo». El equipo encontró una estimación de p(n) cuando n es suficientemente grande:


El hecho de que el error de la fórmula de Hardy y Ramanujan fuese tan pequeño los llevó a pensar que su método podía refinarse para encontrar todavía una fórmula más precisa si cabe. Así años más tarde, en 1937 y mientras Hans Rademacher (1882-1959) preparaba un curso sobre los métodos analíticos desarrollados por Hardy y Ramanujan, observaron que una pequeña variación del argumento original llevaba a una expresión convergente y exacta para p(n). De esta manera, explotando las ideas iniciales de la estimación para el número de particiones de n para valores de n grandes, se había conseguido cerrar el problema de contar particiones de enteros.
Además, el método del círculo no solo sirvió para resolver este problema que se había escurrido de algunas de las mentes matemáticas más lúcidas de la historia En la actualidad, esta técnica, basada en la combinación del análisis de Fourier y análisis complejo, y refinada por Hardy, Littlewood, Ivan Matveyevich Vinogradov (1891-1983) y Harold Davenport (1907-1969), entre otros, es una de las piedras angulares de la teoría analítica de los números. El método fue tan fructífero que, después del retomo de Ramanujan a la India, el equipo Hardy-Littlewood desarrolló el método en una serie de trabajos titulados Partitio numerorum, donde se aplicó el método del círculo a diversos problemas de la teoría combinatoria de números. De las múltiples aplicaciones de esta tecnología, posiblemente la más reciente ha sido la demostración de la conjetura ternaria de Goldbach por parte del matemático peruano Harald Helfgott (n. 1977).
Entonces, ¿está la teoría de las particiones cerrada con el trabajo de Hardy y Ramanujan? La respuesta es un rotundo no. Como acostumbra a suceder, la resolución de este problema hizo más que abrir todo un nuevo mundo de nuevos problemas, y conjeturas profundas, que como se explicará más adelante, tienen conexiones con objetos de simetría fundamentales en matemáticas. Las llamadas formas modulares se tratarán con más detalle en el siguiente capítulo, pero antes es necesario hablar de congruencias, en particular de las descubiertas por Ramanujan.
§. Congruencias de Ramanujan
La combinación del talento de Ramanujan y de Hardy no solo dio lugar a su resultado sobre la estimación del número de particiones de n cuando n es suficientemente grande, sino que abrió la puerta de todo un nuevo mundo matemático, el de las congruencias de Ramanujan.
Como se acaba de explicar, los resultados asintóticos obtenidos por el equipo Hardy-Ramanujan habían sido comparados con las tablas obtenidas por MacMahon. Se observaba la gran precisión de las estimaciones obtenidas por los primeros, en comparación con los resultados exactos obtenidos por el segundo, para valores de n de como mucho 200. Más allá, a raíz de observar las tablas de MacMahon, Ramanujan explica;
Un artículo reciente del Sr. Hardy y de mí mismo contiene una tabla calculada por MacMahon de los valores de p(n), el número de particiones de n, hasta 200. Estudiando los valores numéricos de esta tabla observé un número variado de curiosas propiedades congruentes aparentemente satisfechas por los números p(n).De nuevo, la extrema intuición de Ramanujan entraba en juego para ofrecer a la comunidad matemática una serie de problemas nuevos y fascinantes. Para introducir las congruencias de Ramanujan, cabe hablar primero de una notación sencilla que ayuda a simplificar las fórmulas que nos encontraremos. Supongamos que un número a , al ser dividido entre q, da lugar a un resto igual a r. Dicho resto es un valor perteneciente al conjunto 0, 1... q - 1. En esta situación, se dice que a es congruente con r módulo q, y este hecho se denota por
a ≡ r(mod q)
Dicho de otro modo, un número a es congruente con el residuo que se obtiene al dividirlo por otro número q.
Imagen de entre 1914 y 1919. Ramanujan, en el centro, junto a algunos de sus colegas en el Trinity Collage. Hardy es el primero por la derecha.
p (5n + 4) ≡ 0 (mod 5)
p (7n + 5) ≡ 0 (mod 7)
p (11n + 6) ≡ 0 (mod 11)
Este resultado dice, por ejemplo, que p(5004) es múltiplo de 5, o que p(11006) es múltiplo de 11, y todo ello sin tener que realizar el cálculo de los valores p(6004) y p(11006), cuenta que sería imposible de realizar en un tiempo razonable con las técnicas de computación del primer cuarto del siglo XX.Con este resultado, se iniciaba la teoría de congruencias de Ramanujan. Estos eran los primeros resultados, pero el propio Ramanujan continuó la teoría mediante la conjetura de nuevas congruencias mágicas ¡usando solo de nuevo la tabla de 200 términos de MacMahon! Consideremos q con únicos divisores primos 7 y 11 (por lo tanto, q es el producto de una potencia de 5, 7 y 11) Consideremos además un valor r que cumpla la congruencia
24r ≡ 1 (mod q)
Bajo estas hipótesis, la conjetura de Ramanujan afirmaba que para todo valor de n entero, la congruenciap(qn + r= ≡ 0(mod q)
era cierta siempre.Veamos alguno de los ejemplos de esta conjetura. Si se toma, por ejemplo, q igual a 35 (que cumple las hipótesis de la conjetura), hay que ver primero si existe algún valor de r que cumpla
24r ≡ 1(mod 35).
Probando para los valores de r, empezando en 0 hasta 34, se observa que tomando r igual a 19 se obtiene que el producto de 19 y 24 es igual a 456, que deja de residuo 1 al ser divido entre 35.Por lo tanto, en particular, la conjetura de Ramanujan dice que con infinitos valores de n se cumple la congruencia
p(35n + 19) ≡ 0(mod 35).
Por desgracia, de nuevo la fina intuición de Ramanujan falló en este caso. En 1935, S. Chow observó una tabla extendida de p(n) realizada por H. Gupta y descubrió que tomando r igualad (n igual a 0) se cumple quep( 243) ≡ 0(mod 73), 24 x 243 ≡ l(mod 73).
Por lo tanto, la conjetura de Ramanujan, tal y como la formuló, no era cierta, al menos, para las potencias de 7. Ahora bien, como se ha abordado en el capítulo 2 al estudiar las carreras de primos, aunque la conjetura era falsa, años más tarde se vería que no lo era del todo. Revisando cuidadosamente la extensa cantidad de material que Ramanujan legó después de fallecer, en 1988 el matemático británico George Neville Watson observó que, completando los detalles de las notas, era sencillo, de hecho, corregir y demostrar una conjetura cierta: si q únicamente tiene divisores primos iguales a 5 o 7, y se cumple la congruencia24r ≡ l(mod 5a7b),
entonces, la congruencia de Ramanujan correcta dice que para cualquier valor de n se cumple la igualdadp (5a7bn + r) ≡ 0(mod 5 a7[b/2]+1)
donde [b/ 2] indica el número entero más cercano y más pequeño que b/2.La pregunta natural una vez visto este resultado es: ¿existen congruencias de Ramanujan que no involucren otros números que el 5 y el 7? Tuvieron que pasar unos años para desarrollar las técnicas que requería ese estudio. Para el caso de las potencias de 11, A. O. L. Atkin pudo adaptar la conjetura original en 1967. El mismo Atkin había demostrado en 1957 las congruencias
p (17303n + 237) ≡ 0(mod 13)
p (206839n + 2623) ≡ 0(mod l7).
Como se puede apreciar, el salto de magnitud de estas en relación con las congruencias originales de Ramanujan es considerable, pues incluso para valores de n muy pequeños (incluso para n igual a 1) resulta un reto computacional importante saber calcular con exactitud el número de particiones de, por ejemplo, 17303 + 237.En este punto, seguía siendo un misterio el problema de entender la existencia de las congruencias de Ramanujan y de por qué para algunos valores estas existían y para otros no. Es más, durante más de treinta años, después de los descubrimientos de Atkin, no hubo un desarrollo sustancial de la materia. El primer intento de entender este problema fue aportado por Newman en 1960, quien realizó la siguiente conjetura: si q es un entero positivo, entonces, para todo valor r entre l y q existen infinitos valores de n para los que se cumple la congruencia
p(n) ≡ r(mod q)
Pocos fueron los progresos en este sentido hasta que en el año 2000, en un brillante trabajo publicado en la prestigiosa revista Annals of Mathematics, Ken Ono demostró un resultado sumamente general y profundo: para cada número primo q, existen infinitas parejas A y B para los que la congruenciap(An+B)m ≡ 0(mod q)
es cierta para todo número n entero positivo. Por ejemplo, si fijamos q igual a 5, el resultado de Ono no solo demuestra el resultado original de Ramanujan, sino que no solo los números de la forma p(5n + 4) son múltiplos de 5, hay muchísimas más congruencias (una infinidad) de este tipo.
El matemático estadounidense Ken Ono en la presentación de la película El hombre que conocía el infinito, centrada en la vida de Ramanujan, en el Festival Internacional de Cine de Toronto, en 2015. Ono desempeñó el papel de asesor científico del filme.
Este resultado estaba basado en el profundo conocimiento de Ono de las más avanzadas técnicas matemáticas. De nuevo, como en otros contextos que ya se han mencionado, Ramanujan vislumbró todo un universo matemático que sería desarrollado en las décadas sucesivas.
Para acabar este capítulo, cabe mencionar que Ken Ono es en la actualidad uno de los herederos matemáticos naturales de Ramanujan y una de las instituciones científicas en el campo de teoría de particiones. Ono ejerció de asesor científico para la película El hombre que conocía el infinito, dirigida por Matthew Brownen 2015, donde se narraba la vida de Ramanujan, y en especial el contenido de este capítulo (viaje y estancia de Ramanujan en Cambridge).
Ramanujan retomó a la India con la salud muy deteriorada debido a sus recurrentes problemas médicos, agravados durante su estancia en Inglaterra. Por desgracia, poco después falleció. Aun habiendo vivido poco tiempo, su legado matemático ha llegado intacto hasta la actualidad y ha marcado algunos de los desarrollos más destacables de la matemática contemporánea.El regreso de Ramanujan a la India, ya como un aclamado matemático y miembro de los más selectos clubes matemáticos británicos, se truncó tristemente con su fallecimiento, el 26 de abril de 1920, con tan solo 32 años de edad. Hasta el último momento estuvo creando matemáticas y acompañado de su esposa, Srimathi Janaki. Como ya ocurrió con otros genios matemáticos (como Évariste Galois o Niels Henrik Abel), la muerte había segado, en plena explosión creativa y a muy corta edad, la vida del genio indio.
La enfermedad había sido una constante en su vida y los problemas de salud que habían emergido durante su estancia en Inglaterra pudieron con su organismo. Estudios médicos realizados aposteriori (en la década de 1990) concluyeron que los recurrentes problemas médicos de Ramanujan tenían origen en una amebiasis hepática, una infección parasitaria del hígado que fue generalizada en gran parte de la población de Madrás. Se trata de una afección que puede permanecer latente durante años y es de difícil diagnóstico, aunque una vez detectada es curable con tratamiento adecuado. Todo ello explicaría parte del historial médico del genio, lleno de penurias y calamidades.

Estrada de la casa situada en la calle Sarangapani, en Kumbakonam, en la que Ramanujan vivió junto a sus padres. A pesar de las continuas mudanzas, que el matemático indio experimentó, siempre volvió a esta casa como referencia. A ella regresó por última vez en 1919, un año antes de su fallecimiento a los 32 años de edad. En la actualidad el edificio funciona como casa-museo.
Existe una revista matemática internacional de gran prestigio, el Ramanujan Journal, que publica trabajos de investigación punteros en las áreas de las matemáticas en las que realizó contribuciones notables. Paralelamente, la Sociedad Matemática Ramanujan (creada en el año 1985 en la India) recoge también su legado, fomenta las matemáticas a todos los niveles y publica su revista de investigación Journal of the Ramanujan Mathematical Society, así como diversas publicaciones asociadas.
Hardy y sus matemáticas después de RamanujanNo se podría terminar esta exposición sobre el legado de Ramanujan sin retomar la figura de Hardy, descubridor del talento indio. A raíz de su muerte; dio:
Pueden existir diversas opiniones tanto respecto la importancia del trabajo matemático de Ramanujan como a la influencia que es probable que tenga sobre las matemáticas en el futuro. Probablemente, hubiera sido mejor matemático si cabe si hubiera recibido una educación mejor durante su infancia Por Otro lado, esto hubiera comportado ser menos Ramanujan y mis un Investigador europeo, y la pérdida hubiera sido mayor que la ganancia .
Las matemáticas continuaron para Hardy después de la muerte de Ramanujan. Además de su propia línea de investigación, la fructífera colaboración de Hardy con Littlewood se desarrolló a lo largo de más de treinta y cinco años, cubriendo un amplio abanico de temas, entre ellos el estudio de la función zeta de Riemann y la secuencia de trabajos titulados Partitio numerorum, basados en la aplicación del método del círculo en problemas aritméticos. Su colaboración fue tan estrecha que, incluso en la época, existían bromas acerca de la existencia de Littlewood: durante muchos años este apenas abandonó Cambridge, por lo que algunos matemáticos llegaron a pensar que el nombre de Littlewood era solo una invención de Hardy.
Aun siendo un auténtico miembro de Cambridge, Hardy ocupó la cátedra Savillan de Geometría, en la Universidad de Oxford, a principios de 1920, cargo que desempeñaría hasta 1931. Este cambio de institución se debió a un cierto desencanto por su alma mater, así como por el aumento de los trabajos administrativos que debía realizar. De hecho, según comentaría él mismo, sus años en Oxford fueron de los más felices de su vida. Estos once años de trabajo en Oxford llenos de viajes por todo el mundo, colaboraciones y reconocimientos, se cerrarían con la vuelta a Cambridge. Aunque el ambiente de Oxford le agradaba mucho más, existían dos razones fundamentales para el retorno a su institución Inicial. Hardy todavía consideraba que Cambridge era el centro matemático más relevante de Reino Unido y su nueva cátedra, la Sadleirian (que ocuparía en 1931), era la más importante de las matemáticas británicas. La segunda razón era que Hardy no tenia familia, y en Cambridge podría permanecer en las residencias universitarias, mientras que en Oxford no.
La salud de Hardy empezó a ser delicada a partir de 1939, con 62 años de edad, a causa de un ataque al corazón. Este dramático suceso empezó a deteriorar gravemente su mente y su cuerpo. A partir de 1945, las penurias de la Segunda Guerra Mundial acrecentaron este deterioro y lo sumieron en una depresión. Después de sobrevivir a un intento de suicidio en el verano de 1947, Hardy falleció en Cambridge el 1 de diciembre de este mismo año.
Además de su historia de gran Interés con Ramanujan, su legado no matemático más importante es el libro Apología de un matemático, escrito en 1940 en el cual relata, desde su visión personal, el proceso artístico de la creación matemática.
Asimismo, en la actualidad existen dos premios matemáticos con el nombre de Ramanujan: el SASTRA Ramanujan y el ICTP Ramanujan. El primero de ellos, financiado por la Universidad SASTRA de Kumbakonam, es otorgado a un matemático joven (menor de 32 años) que haya contribuido con un resultado sobresaliente en alguna de las áreas matemáticas de interés de Ramanujan. Medallistas Fields como Manjul Bhargava y Terence Tao han recibido este galardón, entre otros célebres matemáticos actuales. Por otro lado, el premio ICTP Ramanujan es otorgado por el Centro Internacional de Física Teórica (ubicado en Italia y cuyas siglas son ICTP) y es adjudicado a un investigador en matemáticas de menos de 46 años que haya desarrollado resultados matemáticos punteros trabajando en un país en vías de desarrollo.
«Ramanujan ha sido el hombre más extraño de todas las matemáticas, probablemente en toda la historia de las ciencias. Ha sido comparado con una supernova explosiva iluminando los más profundos rincones de las matemáticas.»
Palabras del físico estadounidense Michio Kaku acerca de Ramanujan.
Ramanujan ha pasado a la historia como uno de los grandes matemáticos de la primera mitad del siglo XX, sobre todo por su origen humilde, por su formación autodidacta y por la profundidad de los resultados que obtuvo en vida y que maravillaron a los más grandes matemáticos de principios de siglo. Aun así, sus matemáticas han llegado intactas hasta nuestra época, y al día de hoy continúan inspirando de manera casi mágica nuevas sendas de investigación matemática. Veamos cómo y por qué.
§. La simetría detrás de las fórmulas de Ramanujan: las formas modulares
Como se ha visto a lo largo de esta obra, la genialidad de Ramanujan estaba basada en una intuición matemática fuera de lo normal y por una comprensión casi mística de las sumas infinitas, entre otros muchos objetos matemáticos. Parte de la gran variedad de las identidades matemáticas que formuló a lo largo de su vida se han podido entender, más tarde, mediante la introducción de un concepto matemático sumamente moderno, que ha marcado de manera dramática el desarrollo de esta área en la segunda mitad del siglo XX y que ha desempeñado un papel fundamental en algunos de los hallazgos matemáticos más sobresalientes de las últimas décadas. Estamos hablando de las formas modulares.

Retrato de Ramanujan, un verdadero referente del mundo matemático. Sus análisis estuvieron muy por encima de los de la mayoría de los matemáticos de su época.
La definición de forma modular es técnica y se basa primero en dos ingredientes importantes que vamos a recordar: la aritmética de los números complejos y las propiedades de las matrices. Empecemos por los números complejos. Ya se ha expuesto en capítulos anteriores que los números que se obtienen como solución de un polinomio con coeficientes enteros se denominan algebraicos. Así, por ejemplo, 3, -3, 2/3 o la raíz de 2 son números algebraicos porque todos anulan a polinomios con coeficientes enteros, a saber
x - 3, x + 3, 3x - 2, x - 2,
respectivamente. La observación importante ahora es la siguiente: existen polinomios, con coeficientes enteros, que no son anulados por ningún número real. Posiblemente, el ejemplo más sencillo esel polinomio
x2 + 1
(pe no tiene solución para ningún número real, ya que el cuadrado de cualquiera de estos números es siempre un número positivo, y por lo tanto, al sumarlo con 1 no se obtendrá nunca el valor 0.Una de las grandes invenciones de las matemáticas del Renacimiento fue dar sentido a una hipotética raíz de este polinomio. Para ello, se consideró una unidad nueva, llamada «unidad imaginaria», que usualmente se denota por la letra i, y que cumple que su cuadrado es igual a -1. En particular, el número i, también es un número algebraico, puesto que anula una ecuación polinómica con coeficientes enteros.
De este modo, los números reales (que son todos los números conocidos) se pueden extender a un conjunto mucho más general, el conjunto de los números complejos. En este contexto, un número complejo se escribe de la forma
z = a + bi,
donde tanto a como b son números reales. En particular, se dice que a y b son la parte real y la parte imaginaria de z, respectivamente. Además, diremos que un número sin parte real (respectivamente imaginaria) es un número imaginario puro (real, respectivamente).En el conjunto de los números complejos, la suma y el producto se pueden definir del siguiente modo, que extiende las operaciones de suma y producto de los números reales. Supongamos que
z = a + bi, w = c + di,
entonces se puede definir la suma y el producto de z y w comoz + w = (a + c) + (b + d)i,
z ×w(a + bi)×(c + di) = (ac - bd) + (ad + bc)i.
En especial, en el caso del producto la fórmula anterior se obtiene aplicando la propiedad distributiva, teniendo en cuenta que el cuadrado de la unidad imaginaria i es igual a-1, y reagrupando finalmente los términos que obtenemos. De hecho, si z es un número complejo que se escribe como a + bi, entonces al multiplicarlo por a - bi se obtiene según la fórmula del producto(a + bi)×(a- bi) - (a2 +b2) + (ab - ab)i = a2 + b2
que siempre es un número real positivo.Con estas operaciones de suma y producto, no es difícil ver que todo número complejo z tiene un inverso multiplicativo (es decir, otro número complejo w que cumple que su producto con z es igual a 1) si y solo si z es distinto de 0. En este sentido, los números complejos se comportan aritméticamente de forma muy parecida a los números reales; se dice que tienen estructura algebraica de cuerpo.
Gauss también demostró la gran importancia de los números complejos mediante un teorema central en matemáticas, el denominado «teorema fundamental del álgebra». Si bien se ha visto aquí que un polinomio con coeficientes enteros puede ser que no tenga ninguna raíz perteneciente a los números reales (como pasaba con el polinomio que define el número i), esto no ocurre cuando nos movemos en el mundo complejo. Consideremos un polinomio de la forma
arxr + ar-1xr-1... + a1x + a0 = 0
donde sus coeficientes ahora son números reales cualesquiera. Recuérdese que en el capítulo 3 se ha hablado solo de polinomios cuyos coeficientes eran números enteros, así es que ahora estamos tratando familias de polinomios mucho más generales. Diremos además que r es el grado del polinomio en cuestión. El gran resultado de Gauss dice que existen exactamente r (ni más ni menos) números complejos que son raíces de este polinomio. Aquí hay que entender que las raíces pueden ser repetidas y que cada raíz se cuenta con una cierta multiplicidad. En cualquier caso, lo importante es que todo polinomio, mirado con los ojos de los números complejos, tiene alguna raíz compleja, y de hecho no hay más raíces que el grado del polinomio. Este resultado es fundamental, puesto que se trata de una propiedad que no ocurre en los números reales: existen polinomios con coeficientes reales sin ninguna raíz real.En este sentido, trabajar en el conjunto de los números complejos es estructuralmente más conveniente y sencillo que sobre los números reales. De hecho, gran parte de las matemáticas (tanto desde el punto de vista del análisis como del álgebra) se intenta desarrollar más sobre los números complejos que sobre los reales.
Lo que veremos ahora es que se pueden considerar unas transformaciones muy naturales sobre los números complejos que permitía definir las formas modulares. Para ello, es necesario recordar un poco las propiedades básicas del cálculo matricial, así como las de la teoría de grupos. Para nuestro cometido, vamos a centrarnos únicamente en matrices de tamaño 2 por 2, cuyas entradas son números enteros cualesquiera. Es decir, consideraremos matrices de la forma
![]()
La geometría de los números complejosLos números complejos, que extienden el concepto de número real tienen también una interpretación geométrica muy importante y permiten definir operaciones matemáticas entre puntos del plano que, de otro modo, no serian posibles.
Como sabemos, un número complejo viene dado por una suma dé la forma a + bi donde tanto a como b son números reales. Este número se puede representar gráficamente del siguiente modo: dibujamos dos ejes perpendiculares, siendo el eje horizontal el eje real, y el eje vertical, el eje imaginario. La representación gráfica mostrada da lugar a una longitud (el módulo del número complejo) y al ángulo que forman con el eje horizontal (el argumento del módulo complejo), teniendo en cuenta que el ángulo debe contarse como valor entre 0º y 360º. En la figura se muestra la representación gráfica de los números 1 + 2i y 2 - i.Con estas premisas, la suma de dos números complejos puede realizarse utilizando la regla del paralelogramo: la suma de dos números complejos se obtiene como diagonal del paralelogramo que tiene como lados no paralelos los números complejos que se desea sumar. El producto, además, se convierte en una operación geométrica todavía más sencilla. Basta multiplicar sus longitudes y sumar sus ángulos. De igual manera, se pueden dividir dos números complejos, dividiendo sus módulos y restando sus argumentos.
Representación geométrica de dos números complejos.
Suma y producto de números complejos. En la figura de la derecha, el argumento del número complejo producto es la suma de los argumentos de los números z y w
Lo importante del producto de números complejos es que dota al conjunto de los puntos del plano (o vectores del plano) de propiedades que antes no tenían: es posible multiplicar y dividir puntos. Esto es especialmente importante cuando se estudian funciones de variable compleja (es decir, funciones definidas sobre los números complejos), lo que da lugar a que muchas propiedades de las funciones de variable compleja no sean ciertas en las funciones de variable real.
Recordemos que las matrices se pueden sumar y multiplicar, a saber;


![]()


Con todo esto, ya se puede definir el conjunto que desempeñará el papel clave en la definición de forma modular. Las matrices cuadradas de tamaño 2 invertibles y determinante igual a 1 conforman una familia muy especial y que tiene nombre: grupo especial lineal, y se denota como SL(2,Z).
¿Qué propiedades tiene este conjunto? La primera, y quizá más importante, es que si tomamos dos matrices del grupo especial lineal y las multiplicamos, la matriz resultante también es un elemento del conjunto. Esto es cierto porque al multiplicar matrices cuyas entradas son números enteros, necesariamente las entradas de la matriz resultante también lo son. Además de esto, por la propiedad del determinante, el producto de dos matrices con determinante igual a 1 tiene determinante igual a 1. Finalmente, la matriz inversa tiene como determinante el inverso del determinante, que sigue siendo 1.
Todas estas propiedades que cumple el grupo especial lineal son, de hecho, las propiedades que definen de manera abstracta un grupo, es una estructura matemática definida como una pareja, un conjunto (en nuestro caso las matrices de tamaño dos con entradas números enteros y determinante 1) y una operación binaria entre dos elementos del conjunto (aquí tenemos el producto) de tal modo que al operarlos se obtiene un nuevo elemento del mismo conjunto la operación no tiene por qué ser conmutativa, que es de nuevo algo que ocurre con las matrices: el cambio de orden en el producto de matrices cambia el resultado que se obtiene. Además de esta propiedad de cierre por la operación, un grupo debe cumplir las siguientes propiedades: si (G,·) es el candidato a grupo (G es el conjunto y · es la operación), se debe cumplir que:
1. (Propiedad de cierre) para toda pareja de elementos u, v deG, se cumple que u·v también es un elemento de G. Esta es la propiedad que hemos estado discutiendo.
2. (Propiedad asociativa) para u, v y w elementos de G, se cumple que (u·v)·w es igual a u·(v·w). De este modo podemos escribirlas anteriores expresiones sin el paréntesis: u·v·w.
3. (Existencia de elemento neutro) Existe un elemento I (el elemento neutro o identidad) en G que cumple que para todo elemento u de G se tiene que I·u = u·I = u.
4. (Existencia de elemento inverso) Todo elemento de G tiene un elemento inverso: para todo u de G existe un elemento v de G que cumple que u·v «= v·u = I.
El grupo especial lineal, además de cumplir todas estas propiedades, cumple una propiedad extremadamente importante: todos los elementos se pueden escribir de manera muy sencilla a partir de, únicamente, dos de ellos. En efecto: definamos las matrices S y T como

El resultado, de gran importancia (que se utilizará más adelante), es que cualquier otra matriz de SL(2,Z) se puede escribir como una concatenación de productos de S y T.
La interpretación geométrica de los grupos: el cubo de RubikAun siendo construcciones puramente abstractas, muchos grupos se pueden interpretar con facilidad en términos geométricos. Para explicar este concepto, consideremos el cubo de Rubik, rompecabezas creado en 1974 por el escultor y profesor de arte húngaro Ernö Rubik (n. 1944).
El cubo de Rubik es un cubo con las seis caras de distintos colores (tradicional mente blanco, rojo, azul, naranja, verde y amarillo) que mediante un mecanismo de ejes interno permite girar cada cara mezclándolos colores. El objetivo del puzle es conseguir volver al estado inicial.Los cubos de Rubik pueden adquirir una estructura de grupo de manera sencilla utilizando la geometría. Primero, se definen las operaciones fundamentales como todos los movimientos de 90 grados (hacia un sentido dado) de las secciones de cada cara, obsérvese que al aplicar cuatro veces la misma operación fundamental, se vuelve al estado inicial del cubo. Definiremos entonces el grupo asociado al cubo de Rubik como el conjunto de todas las posibles concatenaciones de estas operaciones fundamentales. Oiremos que un elemento del grupo es un movimiento y que las operaciones fundamentales son los generadores del grupo. La operación en el grupo es la concatenación: dados dos movimientos, estos se operan concatenando el primero con el segundo, que da lugar a un nuevo movimiento.
Está claro que el conjunto de movimientos con la concatenación tiene estructura de grupo: en particular, todo movimiento tiene un elemento inverso, que consiste en deshacer en orden inverso las operaciones fundamentales que lo definen.
El número de posibles movimientos, y, en consecuencia, de elementos dentro del grupo) es enorme: ¡tiene 45252005274489856000 elementos distintos!
Lo sorprendente es que, a pesar de tener tantos elementos, se puede llegar desde cualquier movimiento al estado original del cubo, ¡y con menos de veinte movimientos elementales! Se dice que, aunque el grupo sea muy grande, tiene un diámetro muy pequeño.
Dicho de otra forma, dada una matriz A del grupo especial lineal o SL(2,Z), entonces A se puede escribir como
![]()
Ya tenemos, prácticamente, todos los ingredientes para definir qué es una forma modular. Para ello, tomemos un número complejo z y una matriz A del grupo especial lineal. Definimos entonces la transformación de z según A como
![]()
Con todos los conceptos introducidos hasta ahora, ya es posible definir qué es una forma modular: se dice que una función f definida sobre los números complejos (que cumple además ciertas condiciones técnicas) es una forma modular de peso k si se verifica que para cualquier matriz A de SL(2,Z) y para todo número complejo z (con parte imaginaria positiva) se cumple que
![]()
![]()
![]()
Como se puede imaginar, efectivamente existen formas modulares, y de hecho muchas de ellas tienen que ver con construcciones aritméticas mediante sumas infinitas. La teoría de formas modulares se inicia con el estudio de las denominadas «series de Eisenstein», que pasamos a definir. Fijemos un valor entero positivo para que sea mayor estricto que 2, y consideremos la suma infinita

Empecemos por T. El cálculo de T·z da lugar a z + 1, con lo que


El estudio, construcción y comprensión de la conexión de las formas modulares con otras áreas de las matemáticas ha sido uno de los temas más candentes de la matemática contemporánea. Posiblemente, el ejemplo que más ejemplifica la importancia de estos objetos reside en la solución de uno de los grandes problemas matemáticos de la historia: el último teorema de Fermat. El matemático francés Pierre de Fermat (1601-1665), gran estudioso y referente en la teoría clásica de números, dejó formulado en el margen de su copia de la. Aritmética de Diofanto:
Es imposible encontrar la forma de convertir un cubo en la suma de dos cubos, una potencia cuarta en la suma de dos potencias cuartas, o, en general, cualquier potencia más alta que el cuadrado, en la suma de dos potencias de la misma clase. He descubierto para el hecho una demostración excelente. Pero este margen es demasiado pequeño para que quepa en él
En lenguaje moderno, el resultado dice que si n es mayor que 3, entonces la ecuación
xn + yn = zn
no tiene soluciones con números enteros x, y, z, excepto la solución trivial donde todas las variables son iguales a 0. Dicho problema, conocido como «el último teorema de Fermat», fue durante siglos uno de los problemas más codiciados por la comunidad matemática, tanto por la sencillez de su enunciado como por la dificultad en su resolución. No fue hasta 1905 (después de una prueba parcialmente errónea) que el matemático británico Andrew Wiles aportó la demostración completa del resultado. Esta prueba le valdría una placa conmemorativa en el Congreso Internacional de Matemáticas de Berlín (1998) y años más tarde, en 2016, el premio Abel. De hecho, su resultado bien valía una medalla Fields: el problema es que dicho galardón solo se puede otorgar a investigadores con menos de 40 años, y Wiles ya sobrepasaba esa edad.A grandes rasgos, ¿cómo se relaciona el teorema de Fermat con las formas modulares? Como ocurre muchas veces en ciencia, la resolución de un problema tan inocente como el del último teorema de Fermat ha llevado al desarrollo de ciertas técnicas que fueron más allá de la resolución del problema original. La genial idea es, de nuevo, la de conectar distintas áreas de las matemáticas, y en este contexto trabajaban los matemáticos japoneses Goto Shimuray Yutaka Taniyama, así como el matemático francés André Weil. Ellos propusieron la validez de un resultado extremadamente técnico que, desde entonces, se denomina «conjetura de Taniyama-Shimura- Weil» o «conjetura de modularidad». En honor a la verdad, fue formulada (de forma incorrecta) por primera vez por Taniyama en 1954 y refinada en 1957, junto con Shimura. Más tarde, en 1967, fue redescubierta por Weil, quien la popularizó en Europa y Estados Unidos.
Dicha conjetura afirmaba que existía una relación profunda entre las formas modulares que se han definido aquí y unos objetos aritméticos clásicos denominados «curvas elípticas». Dicho de otro modo, para cada curva elíptica se podía construir una forma modular, codificando alguna de sus propiedades más íntimas. Además de ello, esta conjetura es uno de los primeros casos del denominado «programa de Langlands»: un conjunto de conjeturas de largo alcance formuladas por el matemático canadiense Richard Langlands a finales de la década de 1960, con el propósito de relacionar objetos matemáticos muy distantes (como lo eran en su momento las formas modulares y las curvas elípticas).
El gran impacto se dio en 1986, cuando Gerhard Frey mostró que toda hipotética solución de la ecuación de Fermat daría lugar a una curva elíptica (la denominada «curva de Frey») con unas propiedades nunca vistas, y que sugerían que tal curva elíptica no podría existir. Fue así como el matemático francés Jean-Pierre Serré conjeturó en 1985 que tal curva elíptica no podría ser modular. Dicho resultado fue demostrado por Kenneth Ribet en 1986.
La gran contribución de Andrew Wiles fue demostrar que para un cierto conjunto de curvas elípticas la conjetura de modularidad era cierta, y que, por lo tanto, era imposible que la curva de Frey existiese.

Andrew Wiles, verdugo del último teorema de Fermat.
§. La función favorita de Ramanujan y las conjeturas de Weil
El papel de las formas modulares en las matemáticas de los últimos cien años es, sin ningún tipo de duda, central. Y, como no podía ser de otra manera, las matemáticas visionarias de Ramanujan solo se podrían entender en su totalidad años después de su fallecimiento. Como se ha visto aquí, Ramanujan fue un maestro en entender tanto las sumas como los productos infinitos. Algunos de sus resultados y conjeturas sirvieron de caballo de batalla para algunos de los logros matemáticos más importantes de la última mitad del siglo XX. Uno de ellos concluyó parcialmente con una medalla Fields en 1978. No es momento de entrar en los detalles más técnicos de este asunto, pero se va a intentar dar una aproximación histórica al problema. Empecemos por Ramanujan. Una de las funciones preferidas y recurrentes en su trabajo es el producto infinito


Busto de Ramanujan en la Universidad SASTRA, cerca de Kumbakonam,

τ(1) = 1, τ(2) = -24; τ(3= 252
A esta función se la conoce como «función tau de Ramanujan». En 1916 y a lo largo del estudio de esta función, él realizó conjeturas sobre el comportamiento de dicha función, a saber:1. Si m y n son números enteros sin factores primos en común,
entonces
τ(mn) = τ(m) - τ(n)
2. Para todo número primo p y valores de r estrictamente mayores que 0 se cumple queτ(pr+1) = τ(p)τ(p)r - p11τ(pr-1)
3. Para todo número primo p se cumple que|τ(p)| ≤ 2p11/2
donde |*| denota el valor absoluto (es decir, el número que se obtiene al quitar su signo).El estudio de estas conjeturas mantiene una relación muy íntima con el estudio de las formas modulares: la magia en este contexto es que la función Δ es, de hecho, una forma modular de peso 12, con una relación muy profunda (mediante la llamada «transformada de Fourier») con las funciones de Eisenstein que se acaban de presentar. Es así que, por ejemplo, se cumple (de manera no trivial) que
Δ(-1/q) = q12Δ(q)
Por lo tanto, la función de Ramanujan tiene unas propiedades de asimetría interna muy interesantes. En 1917, el matemático estadounidense nacionalizado británico Louis Mordell, especialista en teoría de números, usó propiedades de las formas modulares y el lenguaje desarrollado por Hecke en este ámbito y consiguió demostrar las dos primeras conjeturas.La tercera conjetura resultó ser mucho más esquiva y requeriría del desarrollo de matemáticas muchísimo más profundas si cabe. Fue así como la resolución de la tercera conjetura se dio como consecuencia de la resolución de una serie de problemas mucho más generales (y en cierto modo, importantes) en el contexto de la geometría algebraica: las denominadas «conjeturas de Weil». Dichas conjeturas, formuladas por André Weil en 1949, son un cúmulo de resultados que relacionan el número de soluciones de ecuaciones polinómicas sobre los denominados cuerpos finitos y el comportamiento de las funciones generatrices asociadas.
Las cuatro conjeturas de Weil fueron resueltas por distintos autores. La denominada «racionalidad de las funciones contadoras» fue demostrada por Bernard Dwork en 1960 y posteriormente, el problema de la denominada «ecuación funcional» fue resuelto por Alexander Grothendieck en 1966. Cabe resaltar que el problema de la ecuación funcional tiene que ver con la digresión realizada sobre la función zeta de Riemann en el capítulo 1. Por este, y por su contribución a la geometría y la topología, Grothendieck recibiría la medalla Fields en 1966 en el Congreso Internacional de Matemáticas celebrado en Moscú, Grothendieck no acudió a recoger la medalla en señal de protesta por las acciones' militares del ejército soviético en la Europa del Este.
Las dos últimas conjeturas de Weil, las relativas al análogo a la hipótesis de Riemann y a los llamados números de Betti, fueron finalmente demostradas por el matemático belga Pierre Deligne en 1974. Como consecuencia de este resultado, la conjetura de Ramanujan (de manera indirecta) también era cierta, y no solo eso: los trabajos de Deligne demostraban la denominada «conjetura de Ramanujan-Petersson», que generaliza y extiende la conjetura original de Ramanujan en el contexto de formas modulares más generales y de formas automorfas.
El padre de algunas de las conjeturas más importantes del siglo XXAndré Weil, nacido en París el 6 de mayo da 1906, fue uno de los matemáticos franceses más influyentes del siglo XX, tanto por sus resultados en geometría algebraica y teoría de números, como por haber participado en la fundación del respetado grupo francés Bourbaki.
Weil, de origen judío, sufrió en sus carnes la locura de la Segunda Guerra Mundial.Con el fin de escapar de la guerra, desertó y se dirigió a Finlandia, donde fue apresado por sospecha de espionaje. Su fama como matemático lo salvó gracias a la intervención del también matemático Rolf Nevalinna, que intercedió por él. Aun así, al regresar a Francia fue condenado por un tribunal militar a cinco años de cárcel. Durante ese período de prisión, Weil consiguió demostrar uno de sus resultados más célebres, la hipótesis de Riemann para funciones zeta locales.
André Weil.
Después del periodo en prisión. Weil abandonó Europa para instalarse en Estados Unidos y ser primero profesor en la Universidad de Chicago y luego miembro del Instituto de Estudios Avanzados, en Princeton.
Además de haber sido un primera línea en el estudio de la teoría algebraica de números, Weil siempre tuvo una conexión muy fuerte con el humanismo. Colaboró con el etnólogo estructuralista Claude Levy-Strauss en su obra cumbreLas estructuras elementales del parentesco, en la que presentó un modelo matemático basado en la teoría de grupos que conseguía explicar algunas de las complicadas reglas en la selección de parejas en tribus primitivas.
Todo este monumental trabajo le valió a Deligne la medalla Fields en 1978, que le fue entregada en el Congreso Internacional de Matemáticas celebrado en Helsinki.
§. Las notas perdidas: un legado para la humanidad
Como se ha tratado a lo largo de este libro, Ramanujan realizó conjeturas matemáticas de hondo calado y que únicamente con el desarrollo de la técnica posterior pudieron ser resueltas. Además de estos resultados, su legado llegó mucho más allá, debido a la pérdida y posterior recuperación de material matemático inédito.
El descubrimiento de todos estos resultados, que comprendían alrededor de 90 páginas con más de 600 fórmulas novedosas, se remonta a mediados de la década de 1980 y abrió nuevas áreas de investigación matemática que continúan a día de hoy.
El trabajo de Ramanujan queda reflejado, por un lado, en sus problemas y publicación es en revistas, y por otro —y posiblemente su material más influyente—, en los resultados matemáticos incluidos en sus cuatro cuadernos de notas. Como ya se ha comentado, Ramanujan recopiló todos sus resultados en libretas donde se sucedía resultado tras resultado sin demostraciones formales. Este material se distribuía en cuatro libretas distintas. Tres de ellas estaban repletas de las fórmulas obtenidas antes y durante su viaje a Inglaterra, y una cuarta contenía los resultados de su último año de vida.
Una concatenación de envíos de toda esta documentación explica la pérdida del cuarto cuaderno. Después de la muerte de Ramanujan, su mujer donó todo el material a la Universidad de Madrás, y tres años después, en 1923, la documentación fue enviada a Hardy. Posteriormente, en algún momento entre 1934 y 1937, Hardy cedió toda la documentación al matemático G. N. Watson, que trabajaba por entonces en la Universidad de Birmingham. Watson, durante su vida, mostró especial interés en el trabajo de Ramanujan, y de hecho publicó catorce trabajos con el título genérico Theorems stated by Ramanujan y otros treinta de investigación inspirados directamente en las matemáticas del ilustre indio.
Después de la muerte de Watson, acaecida en 1965, el matemático R. A. Rankin recogió toda la documentación que Watson guardaba (que contenía en particular las joyas manuscritas de Ramanujan). Este material fue enviado al Trinity College de Cambridge sin saber que contenía una documentación tan importante como resultados inéditos del genio. No fue hasta 1976 que el matemático estadounidense George Andrews descubrió, durante una visita al Trinity College, el cuaderno perdido, y como se puede imaginar, la sorpresa fue mayúscula, puesto que se creía que el material del último cuaderno se había extraviado para siempre. Finalmente, el último cuaderno fue publicado el 22 de diciembre de 1987.
¿Y qué contenía el cuaderno perdido? El cuaderno extraviado contenía, entre otros muchos resultados, todo un nuevo mundo que iba más allá de las formas modulares. Esto ya se vaticinó en la última carta que Ramanujan escribió a Hardy, en la que explicaba un nuevo y sorprendente hallazgo de un nuevo tipo de fórmulas relacionadas con las formas modulares que se denominarían posteriormente «formas modulares mock». Ramanujan encontró 17 objetos que cumplían unas propiedades muy particulares, de manera similar a las características de las formas modulares que hemos descrito anteriormente.
Comprender estos 17 objetos ha sido (y continúa siendo motivo de investigación puntera en matemáticas. De hecho, no fue hasta 2002 cuando Sander Zwegers demostró que los 17 ejemplos de Ramanujan eran todos los ejemplos posibles que existían cumpliendo las propiedades de las formas modulares mock.
Estos logros no se quedan aquí, pues muy recientemente se ha comprobado que estos objetos especiales desempeñan un papel fundamental en la comprensión de las simetrías internas de las denominadas «teorías de cuerdas», una rama de la física matemática en la que se intenta explicar el comportamiento de las partículas utilizando unos objetos abstractos denominados cuerdas, así como en modelos cosmológicos de, por ejemplo, los agujeros negros. Y la lista no deja de crecer con los nuevos descubrimientos que se realizan día tras día en el contexto de la física teórica.
Terminamos aquí con las últimas contribuciones al legado matemático de Ramanujan. Nadie, ni siquiera él mismo, podría haber imaginado que sus ideas y sus mágicas fórmulas tendrían una importancia tan profunda en la concepción y el entendimiento del mundo, y que marcarían de manera tan dramática la manera de entenderlas matemáticas del siglo XXI. - Akker, M. y Ziegler, G. M., El libro de las demostraciones, Madrid, Nívola, 2005.
- Apóstol, T,, Introducción a la teoría analítica de los números, Barcelona, Reverte, 1984.
- Cilleruelo, J. y Córdoba, A., Los números, Madrid, la Catarata, 2010.
- Fresan, J. y Rué, J., Loa números trascendentes, Madrid, La Catarata, 2013.
- García Soto, X. R., El contable hindú, Barcelona, Anagrama, 2011.
- Gracián, E., Los números primos: un largo camino al infinito, Barcelona, RBA, 2010.
- Hardy, G. H., Apología de un matemático, Madrid, Nívola, 1999.
- Navarro, J., Los secretos del número π, Barcelona, RBA, 2011.
- Santiago Zaragoza, A. C., Teoría de números, Madrid, Visión libros, 2009.
- Sautoy, M. du, La música de los números primos, Barcelona, Acantilado, 2007.
F I N






















Los cubos de Rubik pueden adquirir una estructura de grupo de manera sencilla utilizando la geometría. Primero, se definen las operaciones fundamentales como todos los movimientos de 90 grados (hacia un sentido dado) de las secciones de cada cara, obsérvese que al aplicar cuatro veces la misma operación fundamental, se vuelve al estado inicial del cubo. Definiremos entonces el grupo asociado al cubo de Rubik como el conjunto de todas las posibles concatenaciones de estas operaciones fundamentales. Oiremos que un elemento del grupo es un movimiento y que las operaciones fundamentales son los generadores del grupo. La operación en el grupo es la concatenación: dados dos movimientos, estos se operan concatenando el primero con el segundo, que da lugar a un nuevo movimiento. 