Riemann
Gustavo Ernesto Piñeiro
El gran matemático y físico Bernhard Riemann nació en Alemania, en 1826, aunque desde un punto de vista estrictamente histórico sería mucho más correcto decir que nació en el reino de Hannover, un estado independiente que casi medio siglo más tarde formaría parte del imperio alemán. La región de Europa que hoy conocernos como Alemania vivía entonces un período de convulsión política. En 1806 el ejército napoleónico había conquistado, y disuelto, el Sacro Imperio Romano Germánico, una confederación milenaria de Estados casi independientes, cuyos orígenes se remontaban al reinado de Carlomagno (ca. 742-814). Tras la caída de Napoleón, en 1814, los estados que habían formado parte del antiguo imperio, políticamente separados pero unidos por una historia, una cultura y un idioma comunes, se plantearon la necesidad de fusionarse en un país unificado, si bien no existía un acuerdo unánime acerca de la extensión y de la estructura gubernamental que esta nueva nación debía tener. El debate fue largo y turbulento, y la unificación solo se concretaría casi por la fuerza, en 1871, después de dos guerras promovidas por el reino de Prusia, El padre de Riemann había combatido contra el ejército napoleónico, y en 1815, terminada la guerra, contrajo matrimonio y se instaló en la pequeña aldea de Breselenz, en el reino de Hannover, el cual había sido golpeado con dureza durante la ocupación francesa y atravesaba en consecuencia una situación económica muy difícil.Estas circunstancias afectaron gravemente a los Riemann, quienes siempre padecieron serias privaciones, Fue así como la infancia de Bernhard y la de sus cinco hermanos, aunque llena de amor, como el propio matemático siempre reconocería, quedó marcada por la falta de una alimentación suficiente y de cuidados médicos adecuados. Tanto es así que todos los historiadores coinciden en afirmar que fue esta probablemente la causa de que Bernhard falleciera a la temprana edad de treinta y nueve años y de que ninguno de sus hermanos llegara a vivir mucho más allá de esa edad.
Debido a su prematura muerte, la carrera científica de Riemann duró poco más de diez años: se inició en 1849, cuando comenzó a preparar su tesis doctoral bajo la supervisión de Gauss, en la Universidad de Gotinga, y finalizó a principios de la década de 1860, cuando escribió sus últimos artículos. Pero durante ese breve período de tiempo Riemann logró hacer contribuciones esenciales a nada menos que cuatro ramas de las matemáticas: la topología, la geometría diferencial, el cálculo (de variable real y de variable compleja) y la aritmética. También realizó muchas y muy relevantes aportaciones en el ámbito de la física, aportaciones que fueron el germen de la teoría de la relatividad y de la cosmología moderna; tanto es así que no sería exagerado afirmar que la manera en que actualmente se entiende el espacio-tiempo tuvo su origen en las ideas pioneras de Riemann.
Esta primera aproximación, a la carrera de Riemann podría hacer pensar que sus principales trabajos científicos están totalmente desconectados entre sí, ya que algunos de ellos parecen pertenecer a «secciones» diferentes de las matemáticas, mientras que otros se alejan de esta disciplina y se adentran en el ámbito de una ciencia diferente, la física. Pero se trataría de una impresión completamente errónea, puesto que ni la ciencia en general, ni las matemáticas en particular, están divididas en compartimentos estancos. Topología, geometría diferencial, cálculo y aritmética, como veremos más adelante, son materias estrechamente relacionadas. De la misma forma, la matemática y la física, así como la biología, la química y otras ciencias se interconectan, se superponen y se apoyan mutuamente. Para Riemann, la frontera entre las matemáticas y la física prácticamente no existía.
Por lo que concierne a sus trabajos científicos, hay que decir que estos, lejos de estar desconectados entre sí, reflejan diferentes aspectos de lo que podría denominarse el «programa de investigación de Riemann», cuyo objetivo último era nada menos que comprender el «funcionamiento del universo». Para acercarnos a esta conexión, recorreremos algunos de sus trabajos más importantes, sobre los que ahondaremos en el desarrollo de este libro.
Así como el pensamiento de Riemann está guiado por un objetivo global, de manera similar existe un concepto que atraviesa todos sus artículos matemáticos: se trata de la idea de función. Dicho de una manera sintética, para Riemann una función es esencialmente una «deformación» que se le aplica a una superficie o a una curva. Así, por ejemplo, si se tiene una superficie esférica y se la deforma hasta transformarla en la superficie de un cubo, puede decirse que a la superficie esférica se le ha aplicado una función. De manera similar, si se toma una superficie con forma de rosquilla perfectamente circular (superficie que en matemáticas se denomina «toro») y se la estira hasta que su circunferencia exterior tenga la forma de una elipse, también se le habrá aplicado una función. Y puede deformarse asimismo una superficie esférica, aplastándola, hasta transformarla en un círculo, o retorcer un rectángulo hasta que tenga la forma de una escalera de caracol; en realidad, la cantidad y variedad de deformaciones posibles es infinita.
En uno de sus trabajos más importantes, una verdadera obra maestra, su tesis doctoral de 1851, Riemann analiza funciones, es decir, deformaciones, que se aplican a todo el plano euclídeo que, por motivos que veremos en el capítulo 1, podemos llamar plano complejo. Dicho de manera muy general, el «cálculo de variable compleja» citado anteriormente es el estudio de este tipo de funciones.
Ahora bien, una de las dificultades que presenta esta rama de las matemáticas es que resulta muy complicado visualizar la deformación que se le aplica a una superficie infinita de una manera tal vez intrincadísima Pero en su tesis doctoral Riemann creó una «herramienta» que tiene la enorme virtud de permitir «visualizar» muchas de las características de las funciones de variable compleja y que, en consecuencia, facilita el trabajo de compararlas y clasificarlas. La idea del matemático consistió en asociar a cada función una superficie, hoy conocida como superficie de Riemann de esa función. Su tesis también exponía la idea de que al estudiar las superficies que corresponden a las diferentes funciones basta con limitarse a analizar aquellas propiedades que se conservan cuando la superficie es deformada como si fuese de goma, sin hacerle cortes ni ensamblar partes separadas; técnicamente se las llama deformaciones bicontinuas.
A mediados del siglo XIX, la topología era una rama de las matemáticas que estaba todavía en ciernes, una rama prometedora pero carente de un corpus coherente de éxitos. Sin embargo, a partir de la tesis de Riemann, la topología se transforma, precisamente, en el estudio de las propiedades que se conservan (que son invariantes) por la aplicación de las deformaciones bicontinuas. Y Riemann fue el primero que aplicó esta forma de pensar la topología, tal y como a partir de entonces se ha hecho una y otra vez, al estudio de las propiedades esenciales de las funciones y de sus superficies asociadas.
Hemos hablado del cálculo de variable compleja y de la topología como ramas diferentes de las matemáticas, que en realidad lo son, pero Riemann derivó la topología del cálculo, a la vez que usó aquella para profundizar en el estudio de este:
Cálculo de variable compleja ↔ Topología.
En 1854 el matemático alemán escribió otro de sus trabajos más importantes, que no se publicaría hasta 1868, una nueva obra maestra en la que creó los conceptos fundamentales de la geometría diferencial. El problema básico que plantea este trabajo podría formularse de la siguiente manera: ¿cómo sabemos que la Tierra es esférica y no plana? Si se piensa con detenimiento, la mayoría de los experimentos que, históricamente, permitieron determinar la esfericidad de la Tierra o bien implican observaciones que se «separan de su superficie» (como, por ejemplo, cuando vemos desaparecer antes el casco que el mástil de un barco que se aleja de nosotros, o cuando se observa la sombra de la Tierra sobre la Luna durante un eclipse), o bien implican recorrer una larga distancia a lo largo de su superficie (como sucede cuando se la circunnavega). La verdadera pregunta es: ¿sería posible comprobar la esfericidad de la Tierra mediante observaciones «locales», que no impliquen que el observador se aleje mucho de su posición y que a la vez no supongan «despegarse» de la superficie del planeta? Dicho de otro modo, si fuéramos seres bidimensionales que viviéramos confinados en la superficie de la Tierra y ni siquiera comprendiéramos la idea de una tercera dimensión, ¿seríamos capaces de deducir que la Tierra es esférica?Riemann le da sentido a esta pregunta redefiniendo, en primer lugar, la idea de dimensión. ¿Por qué decimos que la parte exterior de una esfera, o la de una rosquilla, o la de un cilindro, por ejemplo, tienen todas dos dimensiones? Debe considerarse en primer lugar que el plano tiene dos dimensiones porque cada posición en él queda determinada por dos coordenadas (como la latitud y la longitud en un mapa). Para Riemann, un «objeto matemático» (variedad diferencial es el término correcto) tiene dos dimensiones si es posible recubrirlo con pequeños recortes del plano, que deben ser previamente deformados para ajustarse al objeto en cuestión. Estos recortes son denominados técnicamente cartas porque, como las cartas de navegación, permiten ubicar la posición de cualquier punto de la superficie.
En su trabajo de 1854 Riemann respondía afirmativamente a la pregunta antes planteada: sí es posible determinar la curvatura de una superficie actuando localmente desde «dentro» de la misma, sin necesidad de hacer observaciones desde fuera ni de realizar largos viajes. Los detalles sobre esta cuestión se verán en el segundo capítulo. Debe observarse que las deformaciones que se aplican a las cartas son del mismo tipo que aquellas que intervienen en la definición de la topología. Vimos antes que hay una vinculación entre el cálculo de variable compleja y la topología, y vemos ahora que existe asimismo una vinculación entre este y la variedad diferencial, que es el objeto de estudio fundamental de La geometría diferencial:
Cálculo de variable compleja ↔ Topología ↔ Geometría diferencial
Pero el aspecto más extraordinario de este trabajo de 1854 es que, en él, Riemann concibió nuestro propio universo como una variedad diferencial de tres dimensiones: así como una esfera puede cubrir con, por ejemplo, cartas circulares deformadas, nuestro universo puede llenarse con esferas macizas tridimensionales, que jugarían en este caso el papel de las cartas. Cobra sentido, entonces, la pregunta de si vivimos en un universo «plano» o curvado (la palabra «plano» solo se usa aquí como opuesta a «curvado»). Es interesante destacar que este problema no era para Riemann una cuestión meramente teórica, ya que la textura, la curvatura y la forma del universo tienen consecuencias directas sobre las leyes de la física. La luz, afirmó Riemann, no se propaga necesariamente en línea recta, sino que viaja por las geodésicas del espacio, que son los caminos más cortos que conectan dos puntos. Estas geodésicas (concepto creado por Riemann) son efectivamente rectas si el universo es plano, pero tomarían otras formas en un universo curvo. Esta concepción, de hecho, cuestiona una de las ideas centrales de la física de Newton, ya que Riemann entendía que el espacio no era meramente el escenario pasivo en el que sucedían los fenómenos físicos, sino que la geometría del universo era parte esencial de la explicación de los fenómenos físicos. Estas ideas de Riemann constituyen una de las bases fundamentales de la teoría de la relatividad general y de la cosmología moderna.De este modo pasamos del análisis de variable compleja a las superficies de Riemann y a la topología, de esta a la geometría diferencial y al problema de la curvatura del universo, y de este, a su vez al problema de las leyes fundamentales de la física:
Cálculo de variable compleja ↔ Topología↔ Geometría diferencial ↔ Física
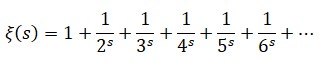
Antes se ha mencionado también la aritmética, esto es, el estudio de los números naturales (0, 1, 2, 3,...), su suma, su producto y todos los conceptos y propiedades asociados a ellos. La aritmética estudia, por ejemplo, propiedades relativas a la divisibilidad, los números cuadrados, y se dedica muy especialmente al estudio de los números primos. Parece una rama de las matemáticas muy alejada de los temas tratados anteriormente, pero en el siglo XVIII el gran matemático suizo Leonhard Euler observó la siguiente igualdad:
Riemann retomó la idea de Euler y la llevó más allá al observar que la expresión de la izquierda puede verse en realidad como una función de variable compleja cuyo comportamiento da mucha información acerca del modo en que se distribuyen los números primos. De hecho, en la última de sus obras maestras, un trabajo de 1859, Riemann planteó una conjetura acerca de esta función, que es conocida como hipótesis de Riemann y que es considerada por los especialistas en aritmética como el problema no resuelto más importante de esa rama de las matemáticas (sobre él hablaremos en et capítulo 5). De este modo, ya tenemos las siguientes vinculaciones:

«Riemann ofrece pruebas convincentes que (...) posee una mente creadora activa, verdaderamente matemática, y que es dueño de una gloriosa y fecunda originalidad».Es imposible ofrecer, en el limitado espacio de este libro, una idea cabal del pensamiento de un hombre tan profundo como Riemann, pero resulta significativo que para todos aquellos que han tomado sus ideas, que han intentado comprender cómo «funciona» el universo, la búsqueda y el trabajo de Riemann todavía perduren.
| Cronología | |
| 1826 | Nace en Breselenz, Alemania, el 17 de septiembre, Georg Friedrich Bernhard Riemann, hijo de un pastor luterano. Desde su infancia muestra una gran habilidad para las matemáticas. Siendo todavía un niño, la familia se trastada a Quickborn, localidad próxima a Hamburgo. |
| 1840 | Ingresa en el Laceo de Hannover y dos años después completa sus estudios secundarios en Luneburgo, donde tiene su primer contacto con las matemáticas superiores, |
| 1846 | Ingresa en la Universidad de Gotinga con la intención de estudiar filosofía y teología, pero su vocación matemática se impone tras asistir a las clases de Gauss. |
| 1847 | Riemann pasa dos años en la Universidad de Berlín, donde coincide con Dirichlet. |
| 1849 | Regresa a Gotinga, donde comienza a preparar su tesis doctoral bajo la dirección de Gauss. |
| 1851 | Completa su tesis doctoral, una de sus obras maestras. En ella define las superficies que hoy llevan su nombre y da forma moderna a la topología. |
| 1854 | Expone su tesis de habilitación, en lo que establece los conceptos fundamentales de la geometría diferencial (una de las bases matemáticas de la teoría de la relatividad). Completa asimismo la investigación en la que define la que hoy se conoce como «integral de Riemann». Estos dos trabajos se publicarán en 1868. |
| 1857 | Publica «Teoría de las funciones abelianas», otra de sus obras maestras, que es elogiada por matemáticos de toda Europa. |
| 1859 | Riemann asume la cátedra de Matemáticas de Gotinga, plaza que antes había estado a cargo de Gauss y Dirichlet, sucesivamente. Es elegido miembro de la Academia de Ciencias de Berlín y de la Royal Society de Londres. |
| 1862 | En junio se casa con Elise Koch. Un mes después cae enfermo de pleuritis, enfermedad pulmonar que al poco tiempo deriva en tuberculosis. En diciembre viaja a Italia en busca de un clima más favorable. |
| 1863 | Vuelve a Gotinga, pero su salud decae nuevamente y regresa a Italia. Allí nace su hija Ida. |
| 1865 | En octubre regresa a Gotinga por última vez. |
| 1866 | Muere el 20 de julio en Italia, en la ciudad de Selasca. |
Capítulo 1
Riemann y la topología
Bernhard Riemann tuvo una infancia pobre, pero feliz. Sus padres y maestros hicieron todo lo posible por cultivar su innato talento para las matemáticas, del que dio muestras a muy temprana edad. En la universidad, fue discípulo de Gauss, quien dirigió su tesis doctoral. En ella Riemann desarrolló un concepto que hoy en día es fundamental en el cálculo de variable compleja, las llamadas «superficies de Riemann».Georg Friedrich Bernhard Riemann nació el 17 de septiembre de 1826 en Breselenz, un pequeño pueblo que entonces pertenecía al reino de Hannover, en Alemania. Su padre, Friedrich Bernhard Riemann, era un pastor luterano que había combatido contra las tropas de Napoleón Bonaparte entre 1806 y 1815, cuando el ejército francés invadió Alemania. Terminada la guerra, se casó con Charlotte Ebell, hija de un modesto abogado, y juntos se instalaron en Breselenz, aunque poco tiempo después se mudaron a Quickborn. Los Riemann tuvieron seis hijos, dos niños y cuatro niñas; Bernhard fue el segundo y el mayor de los varones.
Riemann recordaría su infancia como una etapa muy feliz de su vida, y siempre estuvo muy ligado a sus padres y hermanos, a quienes visitaba cada vez que podía. Sin embargo, la vida de Bernhard en Breselenz y Quickborn no fue fácil, los ingresos de la familia eran escasos y, en consecuencia, los Riemann pasaron muchas privaciones. Bernhard tuvo una salud muy frágil, y sus biógrafos coinciden en seriarla como causa directa de ello la mala alimentación que padeció durante aquellos primeros años.
En un principio, Riemann y sus hermanos no fueron a la escuela, sino que recibieron su primera educación en casa, con su padre como maestro, quien les enseñó a leer y a escribir, así como también aritmética e historia. Pero pronto Bernhard comenzó a dar muestras claras de su gran habilidad para las matemáticas; no solo resolvía perfectamente todos los problemas aritméticos que le planteaba su padre, sino que además él mismo inventaba problemas cada vez más variados y difíciles. Por ese motivo, cuando Bernhard tenía diez años, Riemann padre, seguramente con un gran esfuerzo económico para la familia, contrató a un profesor particular para que enseñara a su hijo geometría y aritmética.
«Su incapacidad [la de Riemann] para darse cuenta de la magnitud de su propio talento era tan característica de él como su casi patológica modestia»En 1840, a los catorce años. Bernhard se fue a vivir con su abuela a la ciudad de Hannover para estudiar en el Liceo, al que ingresó directamente en el tercer curso. Pero en 1842 su abuela falleció, por lo que Riemann tuvo que completar sus estudios secundarios en el Johanneum Gymnasium de Luneburgo, ciudad cercana a Quickborn, donde se alojaba en casa de uno de los profesores. La cercanía entre Luneburgo y Quickborn le permitía viajar a su casa frecuentemente; ello mejoró su ánimo, que había decaído en Hannover, donde extrañaba a sus padres y hermanos. Cabe añadir que, además de muy apegado a su familia, Riemann era tímido y retraído; le era muy difícil hacer nuevos amigos y nunca se encontró totalmente cómodo hablando en público, ni siquiera años después, cuando ya era profesor y algunas de sus conferencias cambiaron el rumbo de las matemáticas.
Eric Temple Bell, Los grandes matemáticos.
El descubrimiento de las matemáticas
Fue en Luneburgo, gracias al director del Johanneum Gymnasium, el profesor Schmalfuss, donde Bernhard tuvo su primer contacto con las matemáticas superiores.
Carl Friedrich Gauss (1777-1855)Gauss, nacido en Brunswick (Alemania), está considerado unánimemente como uno de los tres más grandes matemáticos de todos los tiempos, junto con Arquímedes e Isaac Newton. Un reconocimiento que llegó a recibir en vida. De su precocidad da cuenta una anécdota que protagonizó con tan solo nueve años de edad; el maestro de su escuela, de nombre Büttner, para mantener a sus alumnos ocupados, les mandó calcular la suma de todos los números de 1 al 100. Gauss halló el resultado correcto en pocos segundos gracias a un ingenioso razonamiento: imaginó que escribía la suma buscada dos veces, primero en orden creciente y luego decreciente, y que sumaba los números alineados verticalmente:
En la última línea aparece el 101 sumado 100 veces, es decir, el resultado de la suma «duplicada» es 10100. Por lo tanto, el resultado de sumar cada número solo una vez es 5050.
Los polígonos regulares
Con tan solo diecisiete años Gauss realizó uno de sus descubrimientos más populares, relacionado con los polígonos regulares. Un problema que preocupaba a los geómetras desde la Antigüedad era qué polígonos regulares pueden construirse con una regla no graduada y un compás. Usando solo esos dos instrumentos, desde el siglo III a.C. se conocían métodos para construir polígonos regulares de 3, 4, 5, 6, 8, 10, 12, 15, 16 y 20 lados, pero no para los valores intermedios. 7, 9, 11, 13, 14, 17 y 19. Gauss demostró que, de todos estos últimos polígonos, solo es posible construir con regla y compás el de 17 lados, y además explicó cómo hacerlo, en lo que fue el primer avance en los problemas con regla y compás en más de dos mil años. Estaba tan orgulloso de ese descubrimiento que muchos años más tarde, pidió que en su lápida se grabara un polígono regular de 17 lados inscrito en una circunferencia. Gauss también hizo contribuciones decisivas al cálculo, la aritmética, la geometría clásica, la geometría diferencial, la estadística, la física matemática y la astronomía.
Schmalfuss se percató rápidamente del gran talento de Riemann y le dio libre acceso a su biblioteca personal. El primer libro que Riemann eligió de esa biblioteca fue el Ensayo sobre La teoría de los números, de Adrien-Marie Legendre (1752-1833), un texto de más de ochocientas páginas que Bernhard leyó en tan solo seis días. Otras de las lecturas que realizó en aquella época fueron los textos clásicos de Arquímedes y Apolonio de Pérgamo.
En 1846, a los diecinueve años, Riemann completó brillantemente sus estudios secundarios e ingresó en la Universidad de Gotinga con la intención, por sugerencia de su padre, de estudiar filosofía y teología con el fin de convertirse en pastor luterano. Pero en aquellos tiempos enseñaba en aquella universidad alemana Carl Friedrich Gauss, llamado el príncipe de las matemáticas. Riemann asistió a las clases de Gauss y ya no pudo evitar que su vocación se impusiera. Poco tiempo después de llegar a Gotinga, Bernhard le escribió a su padre pidiéndole permiso para dejar la filosofía y la teología, y dedicarse a las matemáticas; Riemann padre no dudó en dárselo.
Riemann destacó en Gotinga, pero no permaneció allí mucho tiempo, ya que en 1847 acudió a la Universidad de Berlín para completar su formación en algunas áreas para las que Gotinga no tenía docentes del nivel necesario. En Berlín estudió, entre otros, con Gustav Lejeune Dirichlet, también un matemático destacado y una de las figuras fundamentales del cálculo diferencial. Tanto Gauss como Dirichlet tuvieron gran influencia en el desarrollo del pensamiento matemático de Riemann.
En 1849 Bernhard volvió a Gotinga y comenzó a trabajar en su tesis doctoral, bajo la dirección de Gauss. El hecho de que, Gauss, reconocido en vida como el matemático más grande de su tiempo, aceptara dirigir la tesis doctoral de Riemann ya representa por sí solo un tributo a la capacidad de este como matemático. El trabajo, titulado «Grundlagen für eine aügemeine Theorie der Functionen einer veränderlichen complexen Grösse» («Fundamentos para una teoría general de las funciones de una variable compleja»), fue expuesto ante el tribunal examinador en diciembre de 1851 y aprobado por unanimidad. La evaluación previa que Gauss había presentado al tribunal decía:
La disertación presentada por Herr Riemann ofrece pruebas convincentes de que ha realizado detenidas y penetrantes investigaciones en aquellas partes del tema tratadas en la disertación, de que posee una mente creadora activa, verdaderamente matemática, y que es dueño de una gloriosa y fecunda originalidad.En esta tesis Riemann sentó las bases de la topología moderna; en las siguientes secciones de este capítulo veremos cómo lo hizo.
Peter Gustav Lejeune Dirichlet (1805-1859)Dirichlet nadó en Duren (localidad alemana que entonces pertenecía a Francia) y desde muy pequeño mostró gran interés por las matemáticas,una inclinación alentada tanto por sus padres como por sus profesores. Cursó sus primeros estudios, primero en Bonn, y luego en Colonia, donde tuvo entre sus profesores a Georg Simón Ohm (el descubridor de la famosa ley de Ohm de la resistencia eléctrica). A los dieciséis años ya estaba preparado para Ingresar en la universidad, pero en aquella época los estándares de las instituciones alemanas no eran muy altos, por lo que prefirió estudiar en París. Allí conoció, entre otros, a Laplace, Legendre y Fourier. Debe señalarse que no muchos años después Alemania emprendió una serie de reformas educativas que hicieron de sus universidades las mejores de su tiempo, y que el propio Dirichlet jugó un papel muy importante en ese proceso. El matemático regresó a Alemania en 1825 y tres años más tarde se incorporó como profesor a la Universidad de Berlín, donde permaneció hasta 1855, año en que aceptó hacerse cargo de la cátedra de Gauss en la Universidad de Gotinga. Como matemático hizo contribuciones importantes al cálculo y la aritmética. Entre muchos otros, se le debe el teorema que dice que si a y b son números enteros cuyo máximo común divisor es igual a 1, entonces la sucesión a + b, 2a + b, 3a + b, contiene infinitos números primos.
Las colecciones de números y los números complejos
El título de la tesis doctoral de Riemann incluye el concepto de «variable compleja», por lo que comenzaremos su estudio analizando en primer lugar qué son los números complejos. Para llegar a ellos, sin embargo, debemos explicar previamente las diferentes colecciones en las que se agrupan los números, cada una de las cuales contiene a la anterior. La primera de estas colecciones está formada por los números naturales, que son los números que se obtienen a partir del 0 sumando 1 cada vez; es decir, los números naturales son los números 0, l, 2, 3, 4… Si agregamos los negativos, obtenemos la colección de los números enteros, que son, en consecuencia, los números...-3, -2, -1, 0, 1, 2, 3,... (los puntos suspensivos indican que la colección se extiende infinitamente tanto hacia la derecha como hacia la izquierda).
La colección que sigue es la de los números racionales, que son aquellos cuya escritura decimal es finita, como es el caso de 0,24 o de 3,5, o bien es infinita pero periódica, como sucede con 1,3333 o con 0,1234343434 («periódica» significa que hay un bloque de cifras que se repite una y otra vez; en el segundo ejemplo ese bloque es 34). Otra manera de definir los números racionales es diciendo que son aquellos que pueden expresarse como una fracción formada por dos enteros; 0,24 = 6/25; -3,5 = -7/2; 1,333..., = 4/3; 0,1234343434 = 611/4950...

Retrato de un joven Riemann, cuya tesis de 1851 sentó las bases de la moderna topología.
La colección que sigue a la de los racionales, y que asimismo la contiene, es la de los números reales; esta colección se obtiene agregando los números irracionales, que son aquellos cuya escritura decimal es infinita y no periódica.

Johann Benedict Listing, quien, al igual que Riemann, fue alumno de Gauss. Fue el primer matemático que usó al término «topología».
Una característica de los números reales es que pueden representarse en una recta, denominada «recta numérica» o «real». A cada punto de la recta le corresponde un número y, recíprocamente, a cada número le corresponde un punto, tal como se muestra en La figura 1.


El auditorio de la Universidad de Gotinga, construido en 1637 con motivo del centenario de la Institución, en una ilustración de Friedrich Besemann. Riemann estudió e impartió clases en este centro.
Ahora bien, ninguna de las aplicaciones de las matemáticas en la vida cotidiana, como por ejemplo en el caso de la medición de longitudes, áreas, volúmenes, pesos, distancias o intervalos de tiempo, requiere de otros números que no sean los reales. Por ese motivo durante siglos se consideró que estos eran los únicos números que existían y que operaciones como o √-2 carecían de todo sentido.
Sin embargo, en la primera mitad del siglo XVI los matemáticos italianos Niccolò Fontana, más conocido como Tartaglia (1499- 1557), y Girolamo Cardano (1501-1576), al desarrollar el método para resolver ecuaciones del tipo de x3 + x -10 = 0 (es decir, ecuaciones en las que la incógnita aparece elevada al cubo), se encontraron con que a veces ese método los «obligaba», en medio del proceso de cómputo, a calcular raíces cuadradas de números negativos, si bien el resultado final del cómputo era un número real. Por ejemplo, el método podía pedirles calcular en cierto momento 1 + √-2, en otro momento 1 - √-2, para finalmente sumar ambos resultados y obtener así (1 + √-2) + (1 - √-2). Tanto Tartaglia como Cardano consideraban que estas raíces cuadradas de números negativos representaban números que en realidad no existían, motivo por el que los llamaron «números imaginarios», y solo los admitían como «ficciones útiles» que les permitían resolver ecuaciones cúbicas.
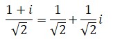
El primero en operar abiertamente con estos números «imaginarios» fue, a mediados del siglo XVIII, Leonhard Euler, quien, quizá para evitar el choque psicológico que implicaba escribir √-1, introdujo la letra i para referirse a esa expresión matemática (nótese que i2 = -1). De este modo, en lugar de 1 + √-1, Euler escribía 1 + i, y en lugar de √-2 ponía 2i (en efecto, (√2i)2 = (√2)2i2, por lo que √-2 = √2 i ).
También fue Euler quien bautizó como «números complejos» a estas expresiones de la forma a + bi, donde a y b son números reales. Tenemos así que son números complejos, por ejemplo,

Nótese que 8 + 0i es en realidad 8.

Los diferentes conjuntos de números
Euler operó y trabajó con los números complejos; por ejemplo, estableció que (2 + 3i)×(2 - 3i) = 2 × 2 - 2 × 3i - 3i × 2 - 3i ×3i = 4 - 6i + 6i + 9 = 13. Euler demostró inclusive teoremas referidos a los números complejos. Así, por ejemplo, fue en este contexto que, en 1748, publicó su famosa fórmula eiπ + 1 = 0.
La fórmula de EulerEuler demostró que si t es un número real entonces ex es siempre un número complejo ubicado en la circunferencia centrada en el O y de radio 1, donde t es el ángulo, medido en radianes, que ese número forma con el eje de los números reales positivos (véase la figura). Cuando el ángulo es de 180º, es decir, cuando t = π, el numero complejo en cuestión es -1. Tenemos en consecuencia que eix = -1 de donde se deduce la famosa fórmula eiπ + 1 = 0.
Sin embargo, Euler nunca explicó claramente qué representaban estos «nuevos» números, y es por ello que la cuestión de si en verdad existían siguió siendo todavía motivo de debate. La existencia de los números complejos fue aceptada finalmente en 1799, año en el que Gauss publicó su tesis doctoral.
Comencemos por decir que, así como cada posición en un mapa puede ser indicada mediante su latitud y su longitud, del mismo modo cada punto del plano queda identificado también mediante dos coordenadas, llamadas su abscisa y su ordenada (figura 3).La idea de Gauss consistió en establecer que cada número complejo representa en realidad un punto del plano; más concretamente, el número complejo a + bi, dijo Gauss, representa el punto de coordenadas (a,b). Fue esta identificación la que finalmente le dio a los números complejos su «carta de ciudadanía» entre los números existentes.

Evidentemente, cuando Riemann comenzó a trabajar en su tesis doctoral bajo la tutela de Gauss, esta identificación entre números complejos y puntos del plano estaba ya madura en el pensamiento matemático y Riemann pudo hacer libre uso de ella. Más aún, como veremos en este capítulo, Riemann no solo usó esta idea, sino que la llevó a mayores niveles de profundidad.
La idea de función
Como en el caso de los números complejos, el primero en hablar de funciones en un sentido relativamente moderno fue Leonhard Euler, quien como ya se ha apuntado desarrolló su trabajo a mediados del siglo XVIII. Para Euler, una función era una regla que a cada número (real o complejo) le asigna, a su vez, un número (también real o complejo); y esa regla debía estar expresada necesariamente por una fórmula. Por ejemplo, la fórmula x2 + 2 define una función, a la que podemos llamar f. ¿Cómo actúa esta fórmula en tanto que regla de asignación? Para calcular, por ejemplo, qué número le asigna f al 3 se reemplaza la letra x (llamada la variable de la función) por ese número 3; y dado que 32 + 2 = 11, entonces f, al número 3, le asigna el 11. Esto también se expresa diciendo que la «imagen de 3 por f es 11», frase que Euler resumía, tal como todavía se hace, como f(3) = 11. Para la expresión general de la función, Euler escribía, como también todavía se hace, f(x) = x2 + 2. De este modo, son ejemplos de esta función f(3) = 32 + 2 = 11, f(-1)2 + 2 = 3 ó f(√2) = (√2)2 + 2 = 2 + 2 = 4.
Pero la variable también puede ser reemplazada por números complejos; tenemos así, por ejemplo, que f(2 - i) = (2 - i)2 + 2 = (2 - i) (2 - i) + 2 = 4- 2i - 2i + (-í2 + 2 = 4 - 4í -1 + 2 = 5 - 4i; es decir, la imagen de 2 - i por f es 5 - 4i.
La tradición matemática indica que se use la letra z para las variables que van a ser reemplazadas por números complejos, mientras que la letra x se reserva para aquellas que serán reemplazadas solo por números reales. De este modo, f(z) = z2 + 2 es una función de variable compleja, que son aquellas funciones de las que habla la tesis de Riemann.
«A Dirichlet le gustaba tener ideas claras sobre una base intuitiva, evitando los cálculos largos tanto como fuera posible.
Riemann adoptó enseguida este método de trabajo.»
Félix Klein, Lecciones sobre el desarrollo de la matemática en el siglo XIX.
Ahora bien, como acaba de señalarse, para Euler una función solo podía estar descrita mediante una fórmula. Sin embargo, más de medio siglo después, en un artículo publicado en 1829 y dedicado a un tema relacionado con las series de Fourier (volveremos a esta cuestión con más detalle en el tercer capítulo), Dirichlet afirmó que era necesario ampliar la clase de las reglas admisibles.
Leonhard Euler (1707-1783)Euler nació en Basilea (Suiza) y a los catorce años ingresó en la Universidad de esta ciudad con la intención de estudiar filosofía para convertirse en ministroprotestante, al igual que su padre. En 1723 se doctoró con una tesis en la que comparaba las filosofías de Descartes y Newton. Pero Johann Bernoulli, famoso matemático de la época y profesor de aquella universidad, se dio cuenta del gran talento de Euler para las matemáticas y convenció al padre de éste para que le permitiera dedicarse a esa ciencia. Es así como inició en la misma universidad sus estudios de matemáticas, que completó en 1726. Euler pasó la mayor parte de su carrera en la Academia de Ciencias de San Petersburgo, donde ocupó la cátedra de Física, con la sola excepción del periodo comprendido entre 1759 y 1766, durante el cual formó parte de la Academia de Ciencias de Berlín, puesto al que renunció por serias discrepancias con algunos de sus colegas. Euler fue sin duda el matemático más importante del siglo XVIII; es también el matemático que más ha escrito en toda la historia de esta ciencia y uno de los científicos más productivos de todos los tiempos en cualquier área del conocimiento. Hizo aportaciones fundamentales a la física, el cálculo, la teoría de ecuaciones diferenciales, la aritmética, la geometría y el álgebra, y fue el iniciador de la topología, la teoría de grafos y la teoría analítica de números. Trece años antes de morir quedó completamente ciego, pero ello no hizo disminuir su ritmo de trabajo, ya que tenía una impresionante capacidad para el cálculo mental, así como una memoria fotográfica, Cincuenta años después de su muerte la Academia de Ciencias de San Petersburgo todavía seguía publicando sus trabajos inéditos.
Según el matemático, la regla de asignación de números podía estar expresada de cualquier manera, siempre que se cumplieran dos condiciones: por un lado, la regla debía indicar de un modo claro y preciso qué imagen se le asigna a cada número, y por el otro, ningún número podía tener dos o más imágenes diferentes.
A modo de ejemplo, Dirichlet propuso una función que no estaba definida mediante una fórmula; esta función, que llamaremos D(x), y que hoy en día es conocida como la función de Dirichlet, le asigna a cada número racional el 1, y a cada número irracional el 0. En otras palabras, D(x) = 1 si x es un número racional y D(x) = 0 si x es un número irracional. De este modo, D(2) = l, D(-2,3) = 1 y D(√2) = 0. Al admitir cualquier tipo de regla, Dirichlet amplió el rango de las funciones admisibles.
Riemann, que había estudiado con Dirichlet en Berlín, estaba, por supuesto, al tanto de estas ideas; más aún, es razonable suponer que reflexionó profundamente sobre el problema de qué era exactamente una función, ya que en su tesis doctoral logró darle a ese concepto (especialmente a las funciones de variable compleja) una interpretación geométrica de tal riqueza que por sí sola creó la topología moderna. Veremos a continuación por qué. Comencemos por decir que en su tesis Riemann escribió que:
Cuando a todo valor de z le corresponde un valor determinado w [...] entonces a todo punto del plano A le corresponde un punto del plano B, a toda línea le corresponde, de forma general, una línea y a toda porción conexa de superficie, una porción de superficie igualmente conexa. En consecuencia, se puede considerar esta dependencia de la magnitud w de z como una representación del plano A sobre el plano B.Debe puntualizarse que «conexa» significa aquí que la superficie está formada por un único sector y no por secciones separadas entre sí.
Para entender la idea que describe Riemann en este párrafo consideremos, a modo de ejemplo, la función de variable compleja f(z) = 2iz, es decir, la función que consiste en multiplicar el número complejo z por el número complejo 2i. De este modo, se obtiene, entre otros valores posibles, que f(1) = 2i y que f(i) = 2i × i = -2.
Riemann afirmaba que una función de variable compleja describía en realidad un desplazamiento de los puntos del plano; entonces, en el ejemplo anterior, el hecho de que f(1) = 2i significa que la función f desplaza al punto (1,0), que es el que corresponde al número complejo 1 = 1 + 0i, a la posición (0,2), que es la que corresponde al número complejo 2i.
De la misma forma, dado que entonces f desplaza al punto A = (0,1) hasta la posición B = (-2,0). Ahora bien, se puede probar que esta función f admite una precisa descripción geométrica. Tal como se vio en las ejemplos previos, si se piensa en el número complejo z como un punto del plano y a continuación se considera el segmento L que conecta ese punto con el punto (0,0), la interpretación geométrica es la siguiente: el hecho de que f(z) = w significa que w se obtiene duplicando la longitud del segmento L y girándolo después 90° en sentido contrario al de las agujas del reloj (figura 5).



Por otra parte, también puede probarse que si z = 0 entonces la distancia de z/|z| es 1; así, por ejemplo, es la distancia de

f(z) = z/|z|
que puede calcularse para cualquier z = 0, si se le aplica esta función al cuadrado C de La figura 7, cuyos vértices son de la forma (±1, ±1), se obtiene como resultado la circunferencia de centro (0,0) y radio 1.Riemann afirma, entonces, que el cuadrado puede ser deformado, tal como si fuera de goma, hasta transformarse en una circunferencia. Para comprender por qué estas ideas reformularon la topología y la llevaron a la forma que tiene actualmente, debe entenderse qué estudia esta rama de las matemáticas.
¿Qué es la topología?
El primero en usar la palabra "topología" fue el matemático alemán Johann Benedict Listing (1808-1882), quien, al igual que Riemann, había sido discípulo de Gauss, Listing utilizó este término en un trabajo publicado en 1861. Sin embargo, la topología nació en realidad años antes, en 1736, en el artículo en el que Leonhard Euler resolvió el problema de los siete puentes de Königsberg. Veamos en qué consiste este problema y cómo se relaciona su solución con las ideas de Riemann.
La ciudad de Königsberg (antigua capital de Prusia Oriental que hoy pertenece a Rusia y que fue rebautizada Kaliningrado tras la Segunda Guerra Mundial) está atravesada por el río Pregel.

Según cuenta Euler, los habitantes de Königsberg solían preguntarse si era posible realizar un paseo (que podía comenzar en una de las márgenes o en una de las islas) que cruzara exactamente una vez por cada puente, es decir, un camino que los atravesara sin repetir y sin omitir ninguno.

Ahora bien, en el problema de los puentes de Königsberg, al igual que en la figura 7, aparecen cuatro regiones: las regiones A, D y B, que son las márgenes del río, y las regiones C y D, que son las islas. El único aspecto relevante de la cuestión es qué regiones están conectadas entre sí y por cuántos puentes, sin importar cuál sea su longitud, su forma o cualquier otro dato relativo a ellos. Por lo tanto, la situación de la figura 8 puede resumirse, sin perder información, en el esquema de la figura 10.
La imagen de dicha figura es un grafo, es decir, un dibujo formado por puntos (que en este caso representan
a las regiones A, B, C y D) conectados mediante líneas (que representan los puentes). El problema se transforma, entonces, en la pregunta de si es posible trazar, en ese grafo, un camino que recorra exactamente una vez cada línea sin repetir ni omitir ninguna de ellas (no importa cuántas veces toque cada punto).En su artículo de 1736 Euler observó que la existencia o no de un recorrido como el que se busca depende solo de la cantidad de líneas que sale de cada punto. Convengamos en decir que un punto es par si de él parte una cantidad par de líneas e impar si la cantidad de líneas que parte de él es impar, en la figura 10 todos los puntos son impares. Euler demostró que existe un recorrido que pase exactamente una vez por cada línea si y solo si la cantidad de puntos impares no es mayor que dos. Ahora bien, como en el grafo de los puentes de Königsberg hay cuatro puntos impares, entonces un paseo como el que querían hacer los habitantes de la ciudad es imposible.
En su artículo, Euler demostró cuál es la condición para que el recorrido sea posible y determinó que en el caso del problema de Königsberg esa condición fallaba. Pero puede irse más allá Así, la figura 11 incluye el grafo de la figura 10 (recuadrado), además de otros; todos ellos resultan de deformarlo como si estuviera hecho de goma, exactamente el mismo tipo de deformación que, según se vio anteriormente, consideró Riemann para las superficies y las curvas.
En todos estos nuevos grafos las cantidades de líneas que salen de cada punto son siempre las mismas y, en consecuencia, tampoco se modifica el hecho de que es imposible hacer un recorrido que pase exactamente una vez por cada línea. Riemann observó en su tesis que existen ciertas propiedades de las curvas y de las superficies que no se alteran cuando se las deforma, como si estuvieran hechas de goma.

Otra manera de expresar esta idea es diciendo que si una superficie (o una curva) se obtiene de otra por una deformación de este estilo, entonces ambas superficies (o curvas) tienen exactamente las mismas propiedades topológicas. Por ejemplo, la figura 7 nos
muestra que el borde de un cuadrado y una circunferencia tienen las mismas propiedades topológicas (son topológicamente equivalentes). Entre las propiedades topológicas que ambas curvas poseen se encuentra el hecho de que son cerradas y que no se cortan a sí misma- La curva de la figura 12, en cambio, sí se corta a sí misma por lo que no es topológicamente equivalente a ellas.Las superficies de Riemann
Riemann, en su tesis de 1851, fue el primero en estudiar sistemáticamente invariantes topológicos, específicamente los invariantes topológicos de las hoy llamadas superficies de Riemann, que son superficies que él asoció a ciertas funciones de variable compleja. Veamos en qué consiste esta idea. Considérese la función de variable real f(x) = 3√x (la raíz cúbica de x). Su dominio, que es como se llama en conjunto a todos los valores que pueden ser reemplazados en la variable, está formado, entonces, por los números reales. Por otra parte, sabemos que, por ejemplo, como 23 = 8, entonces 3√8, es decir, f(8) = 2, y de la misma forma f(-64) = 3√-64 = -4 dado que (-4)3 = -64.
La primera pregunta que debemos hacemos es qué sucede cuando tratamos de extender el dominio a todo el plano complejo; en otras palabras, ¿qué pasa si intentamos calcular f(z), donde z es un número complejo? Por ejemplo, ¿qué es f(i) o f(1 - i)? Este es un problema que también estudió Riemann, tanto en su tesis de 1851 como en un trabajo de 1854 que describiremos en el próximo capítulo, y que consiste en analizar si es posible extender a todo el plano complejo el dominio de una función que, en principio, había sido planteada solamente para los números reales. Esta cuestión, de suma importancia en el cálculo de variable compleja, se conoce como el problema de la extensión analítica.
«Gauss predijo que la topología llegaría a ser uno de los métodos más influyentes de las matemáticas, como en efecto ocurrió.»Ahora bien, como ya se apuntó, cuando se trabaja con números reales, entonces √8 = 2, porque 23 = 8 y, además, 2 es el único número real que elevado al cubo es 8. Esto último asegura, como quería Dirichlet, que cada número real tenga solamente una imagen. Un problema que surge al pasar a trabajar con números complejos es que en este caso cada número complejo (con la única excepción del 0) tiene tres raíces cúbicas. Por ejemplo, dado que (2 + 0i)3 = 8, (-1 + √3i)3 = 8 y (-1 - √3i)3 = 8 entonces hay, dentro de los números complejos, tres raíces cúbicas de 8, que son 2, -1 + √3iy -1 - √3i. El 0, pensado como 0 + 0i,es el único número complejo que tiene solo una raíz cúbica (que es el propio número 0).
Eric Temple Bell, Los grandes matemáticos.
En consecuencia, al definir f(z) = 3√z con z complejo, estamos ante una función ambigua que a casi todos los números le asigna más de una imagen. Riemann llamaba funciones multiformes a aquellas que presentan este tipo de ambigüedad y uniformes a las funciones que, tal como debe ser según la definición de Dirichlet, asignan siempre una sola imagen. En realidad, es muy frecuente que, dada una función uniforme de variable real, esta se transforme, tal como sucedió con la raíz cubica, en multiforme al extenderla al dominio complejo; la motivación de Riemann al definir las superficies que hoy llevan su nombre fue resolver este tipo ambigüedades. En sus propias palabras, citadas de su tesis:
La función multiforme admite en cada punto de una superficie que represente el modo de ramificación, un único valor determinado, y puede ser vista como una función perfectamente determinada sobre esa superficie.La función multiforme admite en cada punto de una superficie que represente el modo de ramificación, un único valor determinado, y puede ser vista como una función perfectamente determinada sobre esa superficie.
Este párrafo expresa la idea de ampliar el dominio de f(x) = 3√x aún más allá del plano complejo; la función se calcula para los puntos de una superficie especialmente definida de tal modo que cada uno de ellos tenga solamente una imagen. De esta manera, dado que el número complejo z = 8 admite tres raíces cúbicas, w1 = 2, w2 = -1 + √3iy w3 =-1 - √3i, se considera una superficie que está formada por tres copias del plano complejo (figura 13) y que es la superficie de Riemann de la función raíz cúbica. Esta función se calcula, entonces, no en los números complejos, sino en los puntos de esta nueva superficie «tripartita», de manera que, por ejemplo, al número 8 de la primera copia se le asigna el número al w1, 8 de la segunda copia, el número w2 y al 8 de la tercera copia, el número w3.
Generalizando esta idea, cada z que no sea 0 tiene tres raíces cúbicas, que se identifican por el ángulo que forman con la parte

A la versión de z que está en la copia 1 se le asigna la raíz w1, a la que está en la copia 2 se le asigna la raíz w2 y a la versión que está en la copia 3 se le asigna la raíz w3.
De este modo, en la definición de la función se incluyen las tres raíces cúbicas que tiene cada número complejo, pero a la vez se logra que a cada punto del dominio (que en este caso es la superficie «tripartita») se le asigne únicamente un valor bien determinado.
Como el 0 tiene solo una raíz cúbica, entonces no hay tres copias de él; es decir, mientras que hay tres copias del 8 o de cualquier otro número distinto de cero hay, en cambio, un único 0, que pertenece entonces a las tres partes de la superficie a la vez; ese es el motivo por el que, como se ve en la figura 13, las tres copias del plano se conectan en ese punto.

En el caso de la raíz cúbica, la posición del 0 como «punto triple» indica que allí la función tiene un comportamiento «anómalo». Para ejemplificar en qué consiste este comportamiento volvamos a la función de variable real f(x) = 3√x. Una función de variable real se puede representar gráficamente mediante una curva que está dibujada en el plano; en cada punto de esta curva la primera coordenada es un valor x del dominio de f, mientras que la segunda coordenada es la imagen de ese número x. A modo de ejemplo, la parte izquierda de la figura 15 muestra el gráfico de la función raíz cúbica de variable real.

Tomemos la recta que pasa por P y X, llamada recta secante a C que pasa por P y X. Imaginemos ahora que X se va aproximado a P, cuando X y P llegan a coincidir exactamente, la recta secante se ha transformado en la recta tangente a la curva C en el punto P.
En la parte derecha de la figura 15 vemos algunas de las rectas tangentes a la curva. La recta tangente da una indicación gráfica de la velocidad de crecimiento de la función: cuanto más vertical es la recta tangente, más rápidamente crece la función en ese punto. En el caso de la función f(x) = 3√x, tal como se ve en la figura 15, en el punto x = 0 la recta tangente es perfectamente vertical; esto significa que en ese punto, por apenas un instante, la función tiene una velocidad de crecimiento infinita En x = 0 la función tiene, entonces, un comportamiento anómalo; matemáticamente se dice que la función no es diferenciable en ese punto. Esta anomalía se extiende a la función de variable compleja: la raíz cúbica de variable compleja no es diferenciable en z = 0, y esto se refleja en la posición especial del 0 en la superficie de Riemann de la función.
Ahora bien, ¿por qué el gráfico de una función de variable real se dibuja en el plano? Como ya se dijo, los números reales se representan en una recta (figura 1), que es un objeto geométrico de una sola dimensión. Por lo tanto, para realizar el gráfico de una función de variable real se necesita una dimensión para representar el dominio y otra más para las imágenes; dos dimensiones en total. Los números complejos, en cambio, se representan en el piano, que tiene dos dimensiones; en consecuencia, el gráfico de una función de variable compleja debería dibujarse en un espacio de cuatro dimensiones: dos dimensiones para el dominio y dos para las imágenes. Pero a nosotros, seres humanos, nos resulta imposible visualizar cuatro dimensiones físicas, por lo que no es posible extender la idea del gráfico de la figura 14 al caso de funciones de variable compleja y es necesario recurrir a ideas alternativas. Las superficies de Riemann nos dan, precisamente, un modo de mostrar gráficamente las características de la función.
De hecho, la superficie de Riemann de la función raíz cúbica de variable compleja es un poco más complicada que como se la muestra en la figura 13; una representación más ajustada a la realidad es la de la figura 16.

Superficie de Riemann de la función raíz cúbica, con más detalle
Otro ejemplo de superficie de Riemann aparece en la figura 17; en este caso se trata de la superficie que corresponde a la función raíz cuadrada.

Imagen detallada correspondiente a la superficie de Riemann de la función raíz cuadrada.
Ahora bien, el tema que estamos tratando es tan rico y profundo que Riemann, en su tesis, apenas llegó a rozar algunas de sus muchas complejidades y ramificaciones. Es así que tres años después, en 1854, Riemann retomó la cuestión, aunque desde un punto de vista muy diferente. Este trabajo de 1854 es el que abrió el camino matemático que, a la larga, condujo a Einstein hasta la teoría de la relatividad.
Capítulo 2
La forma del universo
Terminada su tesis doctoral en 1851, Riemann tuvo que realizar una nueva investigación matemática por exigencias de la Universidad de Gotinga.A principios de la década de 1850, el mayor deseo de Riemann era convertirse en profesor de Matemáticas, o de Física, de la Universidad de Gotinga En ese sentido, la aprobación de su tesis doctoral en diciembre de 1851 había sido un gran paso adelante, ya que el doctorado era una exigencia indispensable para poder acceder a un puesto académico en Gotinga; existía, sin embargo, un importante requisito adicional. Según las reglas vigentes en aquella época (y que, de hecho, rigen todavía en Alemania, así como en otros países europeos), para poder aspirar a un puesto de profesor en una universidad alemana, el candidato, además de ser doctor, debía realizar una investigación original diferente de aquella que había presentado en su tesis doctoral.
Presentó tres propuestas a Gauss y este eligió la que suponía una revisión de diversos principios de la física de Newton. En este trabajo, Riemann creó un nuevo concepto matemático, la variedad diferencial. Años después, esta noción se transformó en la base matemática de la teoría de la relatividad de Einstein y es asimismo el fundamento esencial de muchas teorías físicas actualmente en desarrollo.
Este trabajo adicional, conocido como Habilitationsschrift, o «trabajo de habilitación», tenía un nivel de dificultad equivalente al de una tesis doctoral, aunque presentaba con respecto a ésta dos diferencias fundamentales. En primer lugar, mientras que la tesis doctoral se presentaba ineludiblemente por escrito, en el caso de la Habilitationsschrift, en cambio, la presentación escrita era opcional. La única obligación del postulante consistía en exponer oralmente, ante un tribunal nombrado por la universidad, los resultados de su investigación.

Riemann fotografiado hacia 1850, la época en la que desarrolló su trabajo de habilitación.
Ahora bien, aunque esta primera diferencia constituía un verdadero respiro para el candidato, la segunda diferencia traía consigo una importante complicación, ya que mientras que en la tesis doctoral el candidato acordaba con su director (que en el caso de Riemann, recuérdese, había sido Gauss) cuál era el tema de la investigación a realizar, en la Habilitationsschrift, por el contrario, el candidato dedicaba varios meses a realizar tres investigaciones preliminares diferentes, cada una de ellas sobre un tema distinto que elegía él mismo.
Cuando, a juicio del candidato, las tres investigaciones estaban bastante avanzadas, se las presentaba al director, quien era el encargado de seleccionar cuál de ellas debía ser completada y expuesta ante el tribunal de la universidad.
Los tres temas de Riemann
Riemann comenzó a preparar su trabajo de habilitación a principios de 1852, y a medida que pasaban los meses, y las ideas encajaban entre sí, lentamente fue sintiendo cómo aumentaba su optimismo, así como la certidumbre de poseer la capacidad necesaria para las matemáticas, pero también para la física, una ciencia por la que también estaba muy interesado. Tanta era su confianza en el futuro durante esos meses que, para no quitarle tiempo a sus investigaciones, y a pesar de sus permanentes problemas económicos, rechazó un puesto de ayudante en el Observatorio Astronómico de Gotinga. Mientras avanzaba en su trabajo le escribió a su padre:
Creo que mi disertación (se refiere a la exposición de su tesis doctoral) ha mejorado mis perspectivas; espero también aprender a escribir más rápidamente y con mayor fluidez, especialmente si frecuento los ámbitos académicos y tengo posibilidades de pronunciar conferencias. Por eso tengo un buen ánimo.Finalmente, en los primeros meses de 1854, después de casi dos años de esfuerzo, estuvo en condiciones de comunicarle a Gauss sus tres temas para el trabajo de habilitación, los cuales, como era costumbre, Riemann presentó en orden de preferencia. Como primera opción, Riemann propuso exponer un nuevo concepto matemático desarrollado por él, concepto (hoy conocido como la integral de Riemann) que permitía atacar de un modo novedoso un problema relacionado con las series de Fourier. Riemann había tenido conocimiento de este problema a través de Dirichlet durante el tiempo que había pasado en Berlín entre 1847 y 1849. El segundo tema consistía en un análisis físico-matemático de la distribución de las cargas eléctricas en cuerpos que no son absolutamente conductores ni absolutamente no conductores. Finalmente, el tercer tema, muy especulativo, proponía una reformulación de los principios de la geometría, así como una revisión profunda de algunos de los conceptos centrales de la física de Isaac Newton (1643-1727).
Riemann sabía perfectamente que por una «ley no escrita» el director nunca seleccionaba el tercero de los temas propuestos, el cual, se suponía, solo era presentado para completar el número de tres que exigía el reglamento. Por ese motivo, como tercer punto Riemann había decidido incluir un tema que, en realidad, no tenía intención de analizar en un futuro próximo y que, de hecho, creía que le demandaría algunos años antes de poder desarrollarlo en profundidad.
Pero Gauss vio claramente que esta tercera propuesta contenía el germen de una idea potente y novedosa; más aún, el propio Gauss había reflexionado alguna vez sobre cuestiones similares, aunque nunca había llegado a publicar nada al respecto. Por otra parte, Gauss confiaba plenamente en la capacidad matemática de Riemann. Por estos motivos, para sorpresa de todos, y de Riemann antes que nadie, Gauss le indicó que expusiera como tema de habilitación la tercera propuesta, la que se refería a la reformulación de la geometría Durante las semanas de intenso trabajo que siguieron, Riemann le escribió a su padre:
Estoy sumido en la perplejidad porque tengo que ocuparme de esta cuestión [...] Estoy cada vez más convencido de que Gauss ha trabajado en este tema durante años, y que ha hablado de él con algunos amigos (Weber, entre otros). Secretamente te escribo, pues no quiero parecer arrogante, pero espero que aún no sea demasiado tarde para mí y que obtendré el reconocimiento como investigador.Pero la confianza de Gauss estaba justificada, porque Riemann logró completar el trabajo en unos pocos meses. La Habilitationsschrift estuvo lista a principios de mayo, aunque la exposición oral se postergó hasta junio, porque Gauss se encontraba muy enfermo, tanto que hasta llegó a temerse por su vida (de hecho, falleció en febrero del año siguiente).
«Nuestra intención es abandonar la anterior concepción de los fenómenos cuya base estableció Newton [...] y reformularla gradualmente merced a los hechos que no permite explicar.»Finalmente, la exposición tuvo lugar el 10 de junio de 1854, y el trabajo fue aprobado inmediatamente. El matemático e historiador Michael Monastyrsky escribió que «de entre quienes escucharon a Riemann, solo Gauss estaba en condiciones de apreciar la profundidad de su pensamiento. La exposición excedió las expectativas de Gauss y lo sorprendió gratamente. De regreso del encuentro, hablando con Wilhelm Weber, alabó mucho las ideas que Riemann había presentado y habló de ellas con un entusiasmo que era muy raro en él».
Bernhard Riemann, en su trabajo de habilitación.
El trabajo que Riemann expuso en 1854 (y que se publicaría años más tarde, en 1868) se titula «Über die hiypothesen weiche der Geometrie zu Grunde liegen» («Sobre las hipótesis que sirven de fundamento a la geometría») y, como el gran Gauss había previsto, contiene ideas poderosas que llevaron a la reformulación de la geometría y de la física; tanto que llegó a ser, con el correr de los años, uno de los pilares matemáticos fundamentales de la teoría de la relatividad.
El problema de la curvatura
Para comenzar a entender el contenido del revolucionario trabajo de habilitación de Riemann, acerquémonos en primer lugar al universo creado por el escritor inglés Edwin Abbott (1838-1926) en su novela Flatland («Planilandia»), de 1884.

Planilandia es, pues, bidimensional y, en consecuencia, así como nosotros, seres humanos de tres dimensiones, somos incapaces siquiera de visualizar mentalmente una cuarta dimensión (o de imaginar una dirección que sea perpendicular simultáneamente a las tres direcciones adelante-atrás, derecha-izquierda y arriba-abajo), de la misma forma, los habitantes de Planilandia son incapaces de imaginar una tercera dimensión. Los planitandeses tienen palabras para decir «adelante o atrás», o para decir «derecha o izquierda», pero la idea de «arriba o abajo» les resulta totalmente inconcebible (figura 1).


Portada de Flatland, novela de Edwin Abbott escrita en 1884, publicada en español con el título de Planilandia. Esta sátira social permite abordar el problema de las diversas dimensiones.

Albert Einstein fotografiado en 1921 durante el desfile organizado en Nueva York a raíz de su primera visita a la ciudad. Él científico supo aprovechar la variedad diferencial desarrollada por Riemann.
Coordenadas cartesianasEl primero en proponer que la posición de los puntos del plano podía caracterizarse usando una pareja de coordenadas fue el matemático y filósofo francés René Descartes (1596-1650) en un trabajo publicado en 1637 bajo el título de La Géométrie.Poco tiempo antes el también matemático, y abogado, francés Pierre de Fermat (1601-1665) había hecho la misma propuesta, pero su trabajo se publicó unos años después que el de Descartes. En aquella época, los trabajos científicos solían escribirse casi exclusivamente en latín, pero Descartes quería que sus ideas llegaran al mayor número posible de sus conciudadanos, y no solo a los eruditos; por ese motivo, aunque conocía perfectamente el latín, escribía en francés. De todos modos, sus obras fueron traducidas al latín y en ellas su nombre, latinizado, se transformó en Renato Cartesio. Por ese motivo al sistema de coordenadas que él propuso se lo conoce como sistema de coordenadas cartesianas.
Retrato de Rene Descartes pintado hacia 1649.
La pregunta, entonces, es si los planilandeses podrían llegar a distinguir si su mundo es «perfectamente horizontal» o si es «curvado» usando solo procedimientos locales, es decir, mediante métodos que no los obliguen a alejarse mucho de la posición en la que se encuentren. De nuevo trasladamos esta pregunta al caso de la Tierra: ¿cómo podemos comprobar que la Tierra es esférica mediante procedimientos locales? En realidad, hay una gran cantidad de experimentos que permiten comprobar que la Tierra es esférica. Vale la pena destacar que todos ellos implican, de un modo u otro, observar «por arriba» de la superficie de la Tierra y, por lo tanto, no se restringen estrictamente a la superficie del planeta, sino que conllevan la idea de una tercera dimensión.
Un experimento clásico para verificar la curvatura de la Tierra consiste en observar que cuando un barco de vela se va alejando de la costa, las personas que se quedan en el puerto dejan de ver primero el casco del barco y solo posteriormente dejan de ver el mistó]. Esta observación permite comprobar que la superficie de la Tierra es curva, ya que de ser perfectamente horizontal el casco y el mástil se verían ambos a la vez todo el tiempo, aunque, por supuesto, cada vez más pequeños (figura 3).

Cuando un barco se aleja de la costa la curvatura de la Tierra oculta primero el casco y más tarde, el mástil

En un universo curvo, la trayectoria de la luz respeta su curvatura.
La redondez de la tierraVarios pensadores griegos de la Antigüedad sostuvieron que la Tierra es esférica; sin embargo, Aristóteles (384-322 a.C.) parece haber sido el primero en dar argumentos empíricos a favor de esa idea. Uno de ellos se basaba en el hecho de que, al viajar hacia el sur, las constelaciones visibles alcanzaban, en el cielo nocturno, alturas diferentes de las observadas en Grecia. Pero el primero en medir la circunferencia terrestre fue Eratóstenes de Cirene (276-194 a.C.). Mientras trabajaba en Alejandría, donde llegó a ser director de la Biblioteca, Eratóstenes recibió informes desde Siena (hoy Asuán), una ciudad ubicada unos 800 km al sur de Alejandría, exactamente sobre el Trópico de Cáncer, que decían que al mediodía del 21 de junio el sol se reflejaba en el agua de los pozos y que una vara colocada verticalmente sobre el suelo no producía sombra alguna.Eratóstenes verificó que un palo colocado verticalmente en Alejandría, en ese mismo momento, sí proyectaba una sombra bien definida. Midiendo esta sombra. Eratóstenes calculó que los radios terrestres correspondientes a Alejandría y a Siena formaban un ángulo de unos 7º. Conocido este ángulo y la distancia a Siena, Eratóstenes dedujo que la circunferencia terrestre era de unos 40.000 km, el valor más exacto conocido en la Antigüedad.
La pregunta, por lo tanto, es: ¿sería posible para un planilandés comprobar si su universo es «horizontal» o si es «curvado» mediante algún experimento local que no implique una tercera dimensión? Trasladando el problema a la Tierra, ¿podríamos comprobar que la superficie de la Tierra es curva sin mirar por encima o por debajo de ella? Estas son, esencialmente, las cuestiones que se formuló Riemann en su famoso trabajo de habilitación y la respuesta, dijo Riemann, pasa por la noción de distancia y por las desviaciones que puedan existir con respecto al teorema de Pitágoras. Explicaremos estas ideas en las próximas secciones.
Variedades diferenciales
Ya se ha señalado antes que el plano tiene dos dimensiones; intuitivamente esto puede ser obvio, pero ¿cómo se define rigurosamente en matemáticas la idea de dimensión? Los matemáticos dicen que el plano tiene dos dimensiones porque en él, tal como vimos en el capítulo anterior, la posición de cada punto queda determinada por dos coordenadas. A su vez, que las coordenadas necesarias sean dos es consecuencia del hecho de que en el plano hay dos direcciones perpendiculares a lo largo de las cuales un punto puede moverse (adelante-atrás o derecha-izquierda). Cada coordenada indica la posición del punto con respecto a una de esas dos direcciones: la primera coordenada indica en qué medida se movió hacia la derecha o hacia la izquierda y la segunda coordenada indica en qué medida se movió hacia delante o hada atrás (figura 5).
En el mismo sentido, una recta tiene solo una dimensión porque la posición de un punto queda determinada por un único número; el espacio, por su parte, tiene tres dimensiones porque, como también se ve en la figura 5, la posición de un punto queda definida por tres coordenadas, ya que en el espacio un punto puede moverse en tres direcciones: adelante-atrás, derecha-izquierda y arriba-abajo.

Pero, además, solemos decir, y de hecho se ha afirmado en el apartado anterior, que la superficie de una esfera también tiene dos dimensiones, y lo mismo suele decirse de la «cáscara» de una rosquilla (superficie que en matemáticas es conocida como toro).
De la misma forma, también tiene dos dimensiones una cinta de Möbius, tal y como se observa en las diversas fases de su construcción (figura 6).

Para construir una cinta de Möbius se toma una tira de papel con forma de rectángulo, cuyos vértices llamaremos A , B , C y D . A continuación se pegan los bordes más cortos, pero antes se gira uno de ellos de modo tal que el vértice A se pega con el C, y el B con el D.
Imaginemos que «recortamos» una parte circular del plano (la forma exacta del recorte en realidad no es importante, porque vamos a deformarlo como si estuviera hecho de goma, es decir, vamos a aplicarle una deformación topológica como las estudiadas en el capítulo anterior).
Un toro, dice Riemann, puede cubrirse completamente usando una cantidad adecuada de copias de ese recorte, copias que han sido convenientemente deformadas para «encajar» perfectamente con el toro.
August Ferdinand Möbius (1790-1668)Möbius nació en Schulpforta (Alemania) y, siguiendo los deseos de su familia, en 1809 ingresó en la Universidad de Leipzig con la intención de estudiar leyes. Pero pronto descubrió que no era esa su verdadera vocación y que prefería las ciencias. Por ese motivo en 1813 se matriculó en la Universidad de Gotinga, donde estudió astronomía con Gauss y matemáticas con Johann Pfaff (quien había sido el mentor de Gauss). En Gotinga, en 1815, se doctoró con un trabajo sobre astronomía; ese mismo año completó su trabajo de habilitación, con una investigación sobre matemáticas.
Fue en una memoria enviada a la Academia de Ciencias de París, la cual solo fue descubierta después de su muerte, donde Möbius discutía las propiedades de varias superficies, entre ellas la cinta que hoy lleva su nombre. Aunque la mayoría de sus trabajos trataron sobre geometría analítica o sobre topología, también hizo aportes muy relevantes a la astronomía.
En la figura 7 puede verse que para cubrir al toro es suficiente con cuatro de esos recortes deformados (en la imagen se ha destacado uno de ellos).



Cada una de estas copias que cubren el toro o la superficie de la esfera se denomina carta (en el mismo sentido en el que, en otro contexto, se habla de cartas de navegación) y a la colección de todas las cartas se la conoce como el atlas del toro (o de la superficie esférica): un conjunto de mapas que permiten ubicar, en cada región, la posición de cada punto.
Para Riemann, un toro tiene dos dimensiones porque gracias a su atlas, que define sistemas de coordenadas locales, la posición de cualquiera de sus puntos puede determinarse usando solo dos números; y lo mismo sucede con la superficie esférica y con la cinta de Möbius. En realidad, todo objeto matemático que pueda cubrirse totalmente con círculos convenientemente deformados tiene dos dimensiones. En matemáticas a estos objetos se los llama variedades diferenciales de dos dimensiones. De la misma forma, una circunferencia es una variedad diferencial de una sola dimensión, ya que puede cubrirse con dos copias de un segmento, es decir, con dos recortes tomados de la recta (figura 10).


Por otra parte, y nuevamente por razones técnicas, al transformar las cartas para adaptarlas a las superficies no es válido que la deformación genere «picos» o «dobleces»; las deformaciones, se dice, deben ser «suaves». Concretamente, por ejemplo, mientras que una superficie esférica o la superficie de un elipsoide (es decir, la superficie de una pelota de rugby) son variedades diferenciales, por el contrario, la superficie de un cubo no es una variedad diferencial, ya que a lo largo de sus aristas tiene dobleces «no permitidas». A la superficie de un cubo, o a la de cualquier otro poliedro, se la llama una variedad topológica y su estudio no forma parte de la geometría diferencial, sino de la topología.
De todos modos, dado que aquí estamos hablando solo de las ideas generales del trabajo de Riemann, todos estos detalles técnicos, aunque sean importantes desde un punto de vista teórico, no tendrán mayor relevancia para nosotros y no volveremos a referimos a ellos.
La distancia según Pitágoras
Volvamos a la pregunta que habíamos planteado inicialmente; ¿cómo podrían los planilandeses distinguir si la variedad diferencial de dimensión dos que constituye su universo es «plana» o «curvada»? Dijimos antes que la respuesta de Riemann se relaciona con las «desviaciones con respecto al teorema de Pitágoras»; veamos a continuación en qué consiste esta idea.
La distancia entre dos puntos A y B del plano es, por definición, la longitud del camino rectilíneo que conecta A con B (figura 12).

En su trabajo de habilitación Riemann logró extender esta idea de «distancia entre dos puntos» a una variedad diferencial cualquiera, y para ello introdujo el concepto de geodésica. Así como en el plano la recta es el camino más corto entre dos puntos, de la misma forma, en el caso de una variedad diferencial cualquiera, Riemann llamó «geodésica» al camino más corto de todos los que conectan dos puntos de esa variedad (el camino, por supuesto, no puede salir en ningún momento de la variedad); de este modo, las rectas son las geodésicas del plano.
Tomemos ahora, a modo de otro ejemplo, una superficie esférica. Puede demostrarse que en este caso las geodésicas son los círculos máximos, es decir, las circunferencias cuyo centro coincide con el centro de la esfera (figura 13).

En el globo terrestre los círculos máximos más conocidos son el ecuador y los meridianos; de este modo, por ejemplo, el camino más corto entre el polo norte y un punto cualquiera del ecuador es aquel que sigue la línea del meridiano que los conecta. (En realidad, estrictamente hablando, cada meridiano equivale a «medio círculo máximo» y solo forma un círculo máximo completo con su meridiano opuesto; así, por ejemplo, un círculo máximo está formado por el meridiano de Greenwich y el de 180º juntos.)
En resumen, la distancia más corta entre dos puntos de una superficie esférica es la longitud del arco de círculo máximo que los conecta. Generalizando esta idea, Riemann dijo que la distancia entre dos puntos de una variedad diferencial cualquiera es la longitud del arco de geodésica que los conecta.
Pero ¿cómo calculamos la distancia entredós puntos? En el caso del plano, la respuesta está estrechamente relacionada con el teorema de Pitágoras. Este teorema, uno de los más famosos de las matemáticas, dice que en un triángulo rectángulo el cuadrado de la hipotenusa es igual a la suma de los cuadrados de los catetos (figura 14).


El teorema de PitágorasEl teorema de Pitágoras ya era conocido por egipcios y sumerios mucho antes del nacimiento del sabio griego.
Se cree, inclusive, que el propio Pitágoras (ca. 569-475 a.C.) aprendió el teorema de ellos durante sus viajes por Egipto y Mesopotamia Sin embargo, el mérito de Pitágoras consistió en haber sido el primero en hallar una demostración, aunque esta no ha llegado hasta nosotros. Tampoco esté claro si la demostración fue realizada por Pitágoras en persona o por alguno de sus discípulos).Si es un hecho cierto que a lo largo de los siglos que siguieron a Pitágoras, los matemáticos han ido descubriendo cientos de demostraciones diferentes de ese teorema. Tanto es así que en 1927 el estadounidense Elisha S. Loomis publicó una recopilación con 370 de ellas, una cantidad de demostraciones que no ha sido igualada por ningún otro teorema matemático.
Pitágoras representado por Rafael en La escuela de Atenas.
Es fácil ver que la distancia recorrida en el primer tramo es 2, y que la del segundo es 3. Por otra parte, como se ve en la misma figura 15, los tres puntos en cuestión son los vértices de un triángulo rectángulo y la línea recta que va del punto inicial al final es su hipotenusa; por lo tanto, por el teorema de Pitágoras, la distancia entre el punto (1,3) y el (4,1) es √(22 + 32) = √13 = 3,606.
Marco Polo en Planilandia
Imaginemos ahora que los planilandeses fueran unos seres muy pequeños (de unos pocos centímetros cuadrados de área), mientras que todo su universo es la superficie de una esfera similar en tamaño a la Tierra; más exactamente, digamos que en Planilandia cada círculo máximo mide en total 40 000 km. En realidad, somos nosotros, seres tridimensionales que vemos Planilandia desde «afuera», quienes sabemos que se trata de una gran superficie esférica; como ya se dijo, los propios planilandeses tendrán la sensación de vivir en un plano, ya que localmente la superficie de una esfera se parece a una parte del plano (de hecho, a escala humana, la superficie de la Tierra parece plana a simple vista). Cada meridiano de ese universo, y en general cada círculo máximo (es decir, cada geodésica) será percibida por los planilandeses como una línea recta.
Imaginemos ahora que un explorador planilandés viajara a lo largo de uno de los meridianos de su universo desde el polo norte hasta un punto A situado en el ecuador, que luego gira «perpendicularmente» hacia el este y que, a continuación, viaja otros 2000 km a lo largo del ecuador de Planilandia hasta otro punto B situado también en el ecuador.
Como ya se apuntó, dado que el planilandés se ha movido todo el tiempo por las geodésicas de su universo, su percepción será que entre los puntos N y A ha viajado en línea recta, y que asimismo ha ido en línea recta al ir desde A hasta B.Además, dado que en el primer tramo el explorador se movió directamente hacia el sur y luego giró hacia el este, su percepción será que, entre un tramo y otro del viaje ha girado 90°. En definitiva, el explorador verá los puntos N, A y B como los vértices de un triángulo rectángulo (figura 16).

Esta discrepancia está motivada porque el teorema de Pitágoras solo vale en el plano y falla en cualquier superficie curvada. En consecuencia, al hacer los cálculos y mediciones antes descritos, el explorador planilandés habrá demostrado, usando medios existentes dentro de su propio universo, que éste es curvo y no plano.

De hecho, haciendo las mediciones adecuadas, así como un análisis más fino de las discrepancias con el teorema de Pitágoras y de los ángulos que forman los lados de los triángulos determinados por las geodésicas, el explorador podría inclusive determinar si la forma real de su universo es esférica, o si tiene la forma de un toro, la de una cinta de Möbius o la de cualquier otra superficie.
En teoría, para saber si Planilandia es un universo plano o curvo, un científico planilandés solo necesitaría medir los lados de un triángulo rectángulo trazado dentro de su universo y comprobar si es as medidas se corresponden, o no, con las que predice el teorema de Pitágoras; en caso afirmativo el universo será plano y, en caso contrario, no lo será. En la práctica, sin embargo, esta determinación puede ser difícil, ya que cuando la superficie es curvada, la discrepancia entre la medida real de la hipotenusa y el valor pre dicho por el teorema de Pitágoras es, en general, proporcional al tamaño del triángulo considerado. Si el triángulo no es muy grande, entonces la discrepancia puede ser tan pequeña que podría negar a confundirse con simples errores de medición. En el caso del explorador planilandés de nuestro ejemplo la discrepancia es tan grande porque el explorador recorrió nada menos que la cuarta parte de la longitud total de su universo. En triángulos mucho más pequeños la discrepancia podría ser mucho más difícil de detectar; volveremos a esta cuestión más adelante.
Esferas e hiperesferas
Las reflexiones acerca de cómo determinar «desde adentro» si un universo bidimensional es plano o curvado son muy interesantes, pero aun es más interesante observar que, en su trabajo de habilitación, Riemann postuló que nuestro universo, el universo en el que verdaderamente vivimos, es en realidad una variedad diferencial de tres dimensiones y que, en consecuencia, es perfectamente lícito preguntarse si se trata de un universo «no curvado» o de un universo «curvado». Analicemos esta extraordinaria idea de Riemann.
La geometría del espacio que se estudia en la escuela es la llamada geometría euclídea, que lleva ese nombre porque sus propiedades básicas fueron postuladas, en el siglo III a.C., por Euclides de Alejandría. Dijimos antes que, así como la posición de un punto del plano queda determinada por dos coordenadas, de manera similar la posición de un punto en el espacio euclídeo queda determinada por tres coordenadas (figura 5). Un símil geográfico de esta última situación sería el siguiente: para determinar con toda precisión dónde está ubicado un escalador que va subiendo una montaña se necesita conocer, no solo su latitud y su longitud, sino también a qué altura se encuentra con respecto al suelo.
Nuestro universo es una variedad diferencial de dimensión tres porque localmente se parece a una sección esférica del espacio euclídeo. Por ejemplo, si tomamos al Sol como centro de un sistema de coordenadas, entonces la posición de cualquier punto del sistema solar (o del universo cercano) quedará perfectamente determinada por sus coordenadas con respecto a esos ejes, los cuales forman un sistema local de coordenadas (figura 18).
Esa gran esfera centrada en el Sol sería por lo tanto una carta local de nuestro universo, similar a cada una de las cartas circulares que cubren los universos planos de las figuras 7 y 9. Ahora bien, diremos que si Planilandia fuese una enorme superficie esférica, entonces sus habitantes no percibirían a simple vista su curvatura, pero sí podrían determinarla midiendo las desviaciones locales con respecto al teorema de Pitágoras. Nuestra propia situación, como seres tridimensionales, es similar; de este modo, cabe la posibilidad de que nuestro universo sea en realidad una enorme hiperesfera, una enorme variedad diferencial tridimensional curvada, pero de cuya curvatura no somos conscientes a simple vista.El teseractoAsí como una hiperesfera es la versión tetradimensional de una esfera, un teseracto es la versión tetradimensional de un cubo.Si unimos dos segmentos mediante otros dos que sean perpendiculares a ellos obtenemos un cuadrado; si unimos dos cuadrados iguales mediante cuatro segmentos, también iguales, que sean perpendiculares a los cuatro lados del cuadrado, obtenemos un cubo. Pe manera similar, si unimos dos cubos iguales mediante ocho segmentos, también iguales, que sean perpendiculares a todas las aristas del cubo obtenemos un hipercubo, o teseracto. Esa dirección que es perpendicular simultáneamente a todas las aristas del cubo es completamente inimaginable para nosotros. (En la imagen del teseracto. el cubo interior y el exterior son iguales; el del interior se ve más pequeño porque está «más lejos» en la cuarta dimensión.)
Así como una superficie esférica es la «cáscara» de un cuerpo tridimensional perfectamente simétrico, una hiperesfera es la «cáscara tridimensional» de un objeto de cuatro dimensiones también perfectamente simétrico; y aunque es verdad que nos resulta imposible visualizar cómo es un objeto de cuatro dimensiones, sí podemos hacemos una idea de cómo es realmente una hiperesfera gracias a la noción riemanniana de carta local.
La figura 9, y también la figura 19, muestran que una superficie esférica puede visualizarse como dos círculos «pegados por sus bordes», es decir, dos círculos cuyas circunferencias han sido empalmadas formando una sola curva, la cual, a su vez, es el ecuador de la superficie esférica.

Siguiendo esta misma idea, para visualizar un universo hiperesférico debemos imaginar que dos esferas tridimensionales, digamos E1 y E2 son «pegadas» por sus cáscaras. Esto quiere decir que el polo norte de la superficie de E1 será, para cualquier habitante de ese universo hiperesférico, exactamente el mismo punto que el polo norte de la superficie de E2 (véase más adelante la figura 20). La superficie de E1 pegada a la de E2, juega el mismo papel que juega el ecuador en las figuras 9 y 19. Observemos que para que sea posible pegar las esferas del modo que estamos postulando debe suponerse que E1 y E2 han sido «curvadas» en una dirección que es inimaginable gráficamente para nosotros, ya que es simultáneamente perpendicular a los ejes adelante-atrás, arriba-abajo y derecha-izquierda.
Suponemos, pues, que las dos esferas E1 y E2 han sido pegadas por sus cáscaras, pero sin que se peguen entre sí los puntos interiores, de la misma manera que en la figura 19 los círculos se pegan por sus bordes sin que se peguen sus puntos interiores. Un universo hiperesférico no es otra cosa que la unión de las dos esferas así pegadas, que constituyen las dos cartas locales de ese universo.Ahora bien, dijimos antes que si Planilandia fuese una superficie esférica entonces un explorador planilandés que viajara «en línea recta» terminaría por volver al punto de partida. Lo mismo le sucedería a un explorador humano en un universo que fuese una hiperesfera. En efecto, llamemos P al centro de la esfera E1, y Q al centro de E2 (figura 20), y supongamos que un explorador parte desde el punto P y viaja en línea recta hacia el norte; cuando el explorador llegue al punto N entrará inmediatamente en la esfera E2 (recuérdese que el punto N de E1 y el punto N de E2 son exactamente el mismo punto). El explorador no tendrá ninguna sensación en especial al pasar de E1 a E2, de la misma forma que nosotros no sentimos nada en especial al pasar del hemisferio norte al hemisferio sur de la Tierra. Siempre viajando en línea recta, el explorador atravesará E2 hasta el punto S, y en el camino pasará por Q, que es el punto del universo más alejado de P. Al llegar a S volverá a entrar E1, y finalmente llegará al punto de partida. La percepción del explorador será que ha vuelto al punto inicial tras viajar todo el tiempo en línea recta.
¿Nuestro universo es un espacio tridimensional euclidiano «no curvado»? ¿O, por el contrario, es una variedad diferencial curvada, ya sea que se trata de una hiperesfera, o de una variedad con alguna otra forma? En realidad, es imposible responder estas preguntas mediante el procedimiento de enviar a un explorador en un viaje en línea recta y esperar a ver si alguna vez regresa al punto de partida. Por un lado, es imposible en la práctica porque implicaría recorrer miles de millones de años luz, pero, además, sobre todo es imposible porque hoy sabemos (aunque en la época de Riemann esto era inimaginable) que el universo está en expansión, y que, de hecho, hay regiones del mismo que se alejan de nosotros a velocidades tales que son inalcanzables ni siquiera en teoría.
Expansión del universoHasta principios del siglo XX prácticamente todos los científicos sostenían la idea de que el universo era, a gran escala, esencialmente estático. Esta idea cambió a finales de la década de 1920 con el descubrimiento de la expansión del universo, ya que si este está en expansión entonces debió haber necesariamente en el pasado un momento en que fue mucho más pequeño. Normal* mente suele atribuirse el hallazgo de la expansión del universo al astrónomo norteamericano Edwin Hubble (1889-1953).Sin embargo, investigaciones recientes sugieren que el descubrimiento deberla atribuirse en realidad a) astrónomo francés, y también sacerdote católico, Georges Lemaître (1894-1966).
Georges Lemaître fotografiado en la Universidad Católica de Lovaina hacia 1953.
El trabajo de este último fue publicado en francés dos años antes que el de Hubble, pero no tuvo mucha difusión y Lemaître, tal vez por su modestia innata, prefirió no redamar la prioridad del hallazgo.
Esto significa que las dos esferas de la figura 20 se están «inflando» a una velocidad tan grande que es imposible, incluso en teoría, que el viajero alcance alguna vez el punto Q porque este se aleja de P a una velocidad mayor de la que el viajero es capaz de desarrollar. Cabe la posibilidad de que alguna vez la expansión se detenga, o inclusive que se revierta y que el universo entre en una fase de contracción, en cuyo caso el viaje pasaría a ser realizable al menos en teoría; pero tales posibilidades son cuestiones sobre las cuales los cosmólogos aún no se han puesto de acuerdo.
Pero, tal y como ya se apuntó, existe también otro modo de determinar si una variedad diferencial es «curvada» o no: el teorema de Pitágoras. De manera similar a lo que antes se comentó para las superficies, el teorema de Pitágoras es válido en el espacio euclídeo de tres dimensiones, pero falla en espacios con curvatura. De modo que, en teoría, deberíamos ser capaces de determinar si nuestro universo es plano o curvo analizando las desviaciones con respecto a ese teorema en triángulos trazados entre tres puntos del espacio, mejor todavía si se trata de triángulos de gran tamaño.
«El de Riemann parece ser uno de esos casos en los que las ideas más originales y características de un pensador aparecen muy pronto.»Recientemente se han hecho mediciones de ese estilo, tomando triángulos cuyos lados son los rayos de luz emitidos por objetos situados a enormes distancias (del orden de los miles de millones de años luz). Sin embargo, aun trabajando con triángulos de un orden de magnitud tan descomunal, las mediciones no han sido concluyentes; en principio, los valores registrados difieren de los que se obtendrían en un universo «plano», pero esa diferencia es tan pequeña que no queda claro si se debe al hecho de que el universo es realmente curvo, o si está causada por los inevitables errores de medición. Por otra parte, esta situación, esta imposibilidad (por el momento) de distinguir entre un universo «plano» y uno curvo es tomada por algunos cosmólogos como un resultado positivo, ya que las teorías sobre el origen del universo actualmente vigentes, concretamente la llamada «teoría inflacionaria», predicen precisamente que nuestro universo tiene una curvatura prácticamente nula. La cuestión todavía está abierta y su investigación seguramente aportará resultados muy interesantes en los próximos años.
José Ferreirós, Riemaneana selecta.
Riemann y Einstein
Además del problema que acabamos de describir, la geometría global del universo, Riemann estaba también muy interesado en la cuestión de la posible existencia de «curvaturas locales», es decir, de pequeñas arrugas en la textura del espacio.
Para Riemann esta era una cuestión fundamental, ya que él entendía que las leyes de la física no debían expresarse, como hacía Newton, en términos de fuerzas que actúan instantáneamente entre objetos materiales que pueden estar ubicados a enormes distancias, sino que estas leyes debían formularse en términos de la geometría local del universo. Es decir, para Riemann el espacio tenía un papel activo en las interacciones físicas, mientras que para Newton era solo el escenario pasivo en el que ocurrían los fenómenos.
Más allá de las insinuaciones en ese sentido que hizo en su trabajo de habilitación, Riemann no llegó a desarrollar estas ideas; pero hoy se sabe que su modo de pensar la física era esencialmente correcto. Sus ideas fueron retomadas a principios del siglo XX por Albert Einstein (1879-1955) y constituyeron una de las bases fundamentales de la teoría de la relatividad.
Gracias a Einstein, hoy sabemos que la materia curva localmente el espacio y que la «fuerza de gravedad» no es otra cosa que una consecuencia de esta curvatura.
Así, en 1919, en una famosa observación astronómica, el astrofísico británico Arthur Eddington (1882-1944) comprobó que la trayectoria de la luz se curva al pasar cerca del Sol (en realidad se curva al pasar cerca de cualquier objeto físico, pero la enorme masa del Sol hace que en ese caso el efecto sea más visible).
Esta desviación se produce porque la luz se mueve siempre siguiendo las geodésicas del universo, y como el Sol curva el espacio a su alrededor entonces modifica localmente la forma de esas.

La luz que pasa por las proximidades del Sol sufre una curvatura debido a la gran masa del astro, fenómeno que hace que cambie la posición aparente de algunas estrellas.
Así, en 1919, en una famosa observación astronómica, el astrofísico británico Arthur Eddington (1882-1944) comprobó que la trayectoria de la luz se curva al pasar cerca del Sol (en realidad se curva al pasar cerca de cualquier objeto físico, pero la enorme masa del Sol hace que en ese caso el efecto sea más visible).
Un ejemplo todavía más dramático se da en las cercanías de un agujero negro, una estrella «muerta» cuya materia se ha concentrado casi en un punto matemático; en este caso la curvatura del espacio es tan grande que la luz no puede escapar de él.
Para Einstein, por otra parte, el universo no era una variedad diferencial tridimensional, como suponía Riemann, sino una variedad tetradimensional; la cuarta dimensión es el tiempo. En otras palabras, en el espacio-tiempo einsteniano cada «punto» está determinado por cuatro coordenadas, tres espaciales y una temporal Por ejemplo, si un escalador va subiendo por una montaña, las primeras tres coordenadas nos dirían su latitud, longitud y su altura con respecto al suelo, y la cuarta nos diría en qué momento se encuentra en esa posición.
Más aún, actualmente la teoría de cuerdas, una teoría cuya validez está todavía en discusión, postula que nuestro universo es en realidad una variedad diferencial de diez dimensiones: una temporal, como en la teoría de la relatividad, y nueve espaciales. Ahora bien, si esto fuese cierto, ¿por qué solo percibimos tres dimensiones espaciales? La respuesta que esta teoría propone es que, así como una hoja de papel muy delgada tiene tres dimensiones pero parece tener solo dos porque su tercera dimensión es muy pequeña, de la misma manera, únicamente percibimos tres de las nueve dimensiones espaciales porque las otras seis son demasiado pequeñas como para ser percibidas «a simple vista».
Estos ejemplos, y muchos otros que también podríamos dar, muestran que el concepto de variedad diferencial sigue siendo central en la matemática y en la física. No es exagerado decir que la teoría de la relatividad de Einstein, la cosmología moderna, la teoría de cuerdas y muchas otras teorías físicas existen en su forma actual gracias a aquellas ideas que, por indicación de Gauss, Riemann creó, desarrolló e investigó durante los primeros meses de 1854. Gauss estaba convencido de que esas ideas eran brillantes y potencialmente muy poderosas y, por supuesto, como solía sucederle, no se equivocaba ni siquiera en lo más mínimo.
Capítulo 3
La integral de Riemann
Cuando Riemann le presentó a Gauss los tres temas propuestos para su trabajo de habilitación, el ya anciano profesor, contrariamente a la costumbre establecida, eligió el que su antiguo alumno había colocado en tercer lugar. Pero ¿cuál era el primero de los temas seleccionados por Riemann? En él planteaba la solución para un problema propuesto por Dirichlet en 1829, relacionado con series trigonométricas, y que llevó a la definición de la hoy llamada integral de Riemann.Hacia la segunda mitad del siglo XIX los matemáticos alemanes se dividían, a grandes rasgos, en dos escuelas. Una de ellas sostenía que en toda investigación matemática se debía dar prioridad al rigor lógico y que era erróneo dar cualquier paso, o emplear cualquier método, cuya validez no estuviera firmemente establecida de antemano. Esta escuela era particularmente dominante en la Universidad de Berlín y dos de sus miembros más representativos fueron Leopold Kronecker (1823-1891) y Karl Weierstrass (1815-1897). La otra escuela, por el contrario, ponía el rigor lógico en un segundo plano y destacaba el valor de la creatividad y de la intuición. Sus seguidores sostenían que el trabajo de los matemáticos consistía sobre todo en plantear nuevos problemas y crear nuevos conceptos que permitieran resolver, no solo esos mismos problemas, sino también aquellos que hubieran sido planteados por las generaciones anteriores; sin que les preocupara excesivamente si esos nuevos desarrollos los aleaban del mis estricto rigor lógico. La siguiente frase, que Georg Cantor (1845-1918) incluyó en su tesis doctoral, resume parte del pensamiento de esta corriente: «In re mathematica ars proponendi pluris facienda est quam sol vendi», que significa «En matemáticas el arte de hacer preguntas es más valioso que el de resolver problemas» (por «resolver problemas» Cantor entendía «aplicar métodos ya conocidos»).
Esta segunda escuela, que fue la dominante en Gotinga, tuvo entre sus representantes al propio Georg Cantor, si bien este se había formado en Berlín con Kronecker y Weierstrass, y a Richard Dedekind (1831-1916), quien fue amigo de Riemann y, como él, discípulo de Gauss. En cuanto a Gauss, el más grande de todos, fue probablemente el único matemático con la capacidad suficiente como para satisfacer al mismo tiempo las exigencias de una y otra escuela, no solo planteó problemas nuevos y creó conceptos originales, sino que supo dotarlos de un rigor lógico irreprochable.
«El método de Weierstrass era aritmético; el de Riemann, geométrico e intuitivo. Decir que uno es mejor que otro carece de sentido, pues ambos no pueden ser examinados desde un punto de vista común.»Los trabajos de Riemann comentados en los dos capítulos previos muestran que su pensamiento estaba claramente orientado hacia la segunda escuela. Tanto en su tesis doctoral como en su Habilitationsschrift creó conceptos y planteó problemas que eran completamente nuevos para su tiempo. Hay que decir, por otra parte, que en todos sus artículos siempre optó por dar explicaciones que estuvieran basadas en la intuición, o incluso en experimentos de la física, más que en algún encadenamiento de ideas puntillosamente riguroso. Este estilo informal le atrajo las críticas de diversos matemáticos de la primera escuela, especialmente de Weierstrass, quien incluso llegó a cuestionar la validez de algunos de los teoremas demostrados por Riemann. Muchos años más tarde, sin embargo, el también matemático alemán David Hilbert (1862-1943) reformuló los razonamientos de Riemann de modo que satisficieran las exigencias de rigor de Weierstrass, y logró de ese modo justificar, más allá de toda duda, que los teoremas demostrados por Riemann eran realmente correctos.
Eric Temple Bell, Los grandes matemáticos.
La investigación que Riemann expuso en su trabajo de habilitación (que, recordemos, era el tercero de los temas que él le había propuesto a Gauss) lo ubica en la misma escuela de Dedekind y Cantor, pero ¿puede decirse lo mismo del primero de los temas que Riemann había elegido, aquel que era su favorito? La respuesta, una vez más, es afirmativa, ya que la primera propuesta de Riemann consistía en crear un nuevo método, el cual ampliaba enormemente los alcances de otro creado, a fines del siglo XVII, por Isaac Newton (1643-1727) y Gottfried Wilhelm von Leibniz (1646-1716), con el propósito de resolver un problema planteado por Dirichlet, y del que Riemann tomó conocimiento cuando ambos coincidieron en Berlín entre 1847 y 1849. Así pues, Riemann proponía crear un nuevo concepto con la intención de resolver un problema recientemente planteado, una intención claramente guiada por los postulados de la segunda escuela
El tema favorito de Riemann
Durante el tiempo que dedicó a la preparación de su Habilitationsschrift, entre 1852 y 1854, Riemann tenía la absoluta convicción de que Gauss iba a elegir el primero de los temas que él pensaba proponerle. Como consecuencia de ello, fue a este tema al que dedicó la mayor parte de su tiempo. En ese sentido, además, contó con una inesperada ayuda, ya que durante el otoño de 1852 Dirichlet, la persona que había planteado el problema que Riemann intentaba resolver, visitó Gotinga durante algunas semanas. Por esa época Riemann le escribió a su padre:
A la mañana siguiente [después de una fiesta] Dirichlet estuvo conmigo durante dos horas. Me facilitó las notas que necesitaba para mi trabajo de habilitación, que de otro modo me hubieran consumido muchas horas de estudio laborioso en la biblioteca. Leyó también mi disertación y se mostró muy amigable, mucho más de lo que yo podía esperar si considero la gran distancia que existe entre nosotros. Espero que me recordará más adelante.Nótese que Riemann dice que «Me facilitó las notas que necesitaba para mi trabajo de habilitación», y no «mi posible trabajo de habilitación». Sin embargo, tal y como se vio en el capítulo anterior, Gauss, contra todo pronóstico, eligió la tercera propuesta, por lo que Riemann no tuvo la oportunidad de exponer su solución para el problema de Dirichlet.

Gottfried Wilhelm Leibniz, que al mismo tiempo que Isaac Newton desarrolló al concepto de integral.
Esta memoria fue presentada por su autor, en 1854, a la Facultad de Filosofía, para obtener su Habilitación en la Universidad de Gotinga, Aunque el autor no parece haber tenido intención de publicarla, la impresión de este trabajo sin cambio alguno nos parece más que justificada, tanto por el considerable interés del tema en sí, cuanto por la forma en la que son tratados los principios más importantes del cálculo.Seno y coseno
Tal y como se dijo en el primer capítulo, una función es una regla que a cada número le hace corresponder, a su vez, otro número (aclaremos que, a diferencia de lo que hicimos antes, en este capítulo solo consideraremos números reales y no números complejos).

Richard Dedekind, amigo de Riemann publicó su artículo sobre la representación de una función mediante una serie trigonométrica.
Existen, desde luego, infinitas funciones distintas, pero de todas ellas hay una familia en particular relacionada con el artículo de Riemann; se trata de las llamadas funciones trigonométricas, de las cuales las dos más importantes son el seno y el coseno.

La Universidad de Berlín a mediados del siglo XIX. Riemann estudió dos años en ese centro, el cual defendía el rigor lógico de las investigaciones matemáticas

Por ejemplo, supongamos que el punto P ha recorrido la cuarta parte de la circunferencia y que se encuentra, por lo tanto, en la posición (0,1). Dado que la longitud recorrida por P en ese caso es
2π/4 = π/2
(ya que la longitud total de la circunferencia es 2π), entonces![]()
Cada una de estas dos curvas tiene la forma de una onda, es decir, una forma que es similar esencialmente a la que tienen las olas que se forman en la superficie de un estanque. Dos de las características fundamentales de una onda son su período y su amplitud. O periodo es el tiempo que tarda la onda en repetirse, que en el caso de las olas es el tiempo que estas tardan en volver una y otra vez a la misma altura; la amplitud, por su parte, es la distancia que hay entre el nivel del agua tranquila y la altura del pico más alto de la ola.

Representación gráfica de la función seno y coseno.
Historia de las palabrasLa palabra «trigonometría» fue usada por primera vez en la obra Trigonometría: sive de solutione triangulorum tractatus brevis et perspicuus,un tratado publicado en 1595 por el matemático, astrónomo y teólogo polaco Bartolomé Pitiscus (1561-1613). En cuanto al nombre de la función seno; a la cuerda correspondiente al arco de una circunferencia se la llamaba, en latín, inscripta corda o, simplemente, inscripta. A la mitad de esa cuerda (que, como se ve en la imagen, es el seno) se la llamaba semis inscriptas que se abreviaba s. ins., abreviatura que se unificaba como sins y se latinizaba como sinus, que en español se transforma en «seno». La palabra «coseno», por su parte, proviene de la abreviatura de complemento sinus, es decir, «seno del complemento»; ya que, efectivamente, sí α es un ángulo entre 0 y π/2 su complemento es el ángulo que mide π/2 – α y se tiene que cos(α) = sen(π/2 - α); es decir, el coseno de un ángulo es, efectivamente, el seno de su complemento.
Bajo esta suposición el período del seno y del coseno sería 2π. En cuanto a la amplitud, la figura 3 muestra que esta es igual a 1, que es la distancia entre el eje horizontal y la mayor altura que alcanza la onda, que es 1.
Pero tanto el período como la amplitud pueden alterarse: las aguas se pueden agitar de modo que las olas sean más altas o más bajas, o para que se sucedan más lenta o más rápidamente. En cuanto al seno o al coseno, si el punto P se desplazara al doble de velocidad, el período de las ondas de la figura 3 se reduciría a la mitad (porque el punto tardaría la mitad del tiempo en completar un giro). Por otra parte, si el punto P se moviera a lo largo de una circunferencia de radio 2, en lugar de una de radio 1, La amplitud se duplicaría. La figura 4 es un ejemplo de una de estas «ondas modificadas» y muestra la onda resultante de duplicar su amplitud y al mismo tiempo dividir por 3 el período del coseno.

Sumas infinitas
Dijimos antes que Euler consideraba que una función debía estar expresada necesariamente por una fórmula. ¿Puede afirmarse que las funciones seno y coseno, tal como las hemos descrito, están definidas de ese modo? A. primera vista parece que la respuesta debería ser negativa, ya que ambas definiciones se refieren atas posiciones que va ocupando un punto que se desplaza por una circunferencia, y no parecen involucrar ninguna dase de fórmula. Sin embargo, Euler demostró que, a pesar de las apariencias, los valores del seno y del coseno sí pueden ser calculados mediante una fórmula, aunque hay que decir que esta involucra una suma infinita. Concretamente, Euler demostró que los valores que toman las funciones seno y coseno pueden calcularse de esta manera:

En matemáticas, a una suma formada por infinitos términos se la llama «serie»; pero ¿qué significa realmente sumar infinitos números? En el siglo XVIII las operaciones relacionadas con el infinito todavía no estaban claramente definidas y para Euler, así como para todos sus contemporáneos, sumar infinitos números no era muy diferente de simplemente sumar muchos números: sumar dos, cien, mil o infinitos números no eran operaciones esencialmente diferentes en sus propiedades (solo se diferenciaban en la dificultad del cálculo). Sin embargo, como el propio Euler no tardó en percibir, tratar a las series de una manera tan «ingenua», es decir, operar con ellas de la misma manera que como se opera con las sumas habituales (que involucran siempre finitos sumandos), conduce en realidad a extrañas paradojas. Mostremos un ejemplo, debido al propio Euler.
Consideremos, dijo Euler, la suma infinita 1 + x + x2 + x3 + x4 + ... y multipliquémosla por 1 - x; es decir, calculemos el resultado de (1 – x)( 1 + x + x2 + x3 + x4 + ...). Este resultado se obtiene multiplicando cada término del primer paréntesis por cada uno de los infinitos términos del segundo:
(1-x) (1+x+x2+x3+x4+ ...) =
1+x+x2+x3+x4+...-x-x2-x3-x4-… = 1.
Tenemos así que (1–x)(1+x+x2+x3+x4+...) es, sorprendentemente, igual a 1; y de ello se deduce que:(1–x)(1+x+x2+x3+x4+...) = 1
(1+x+x2+x3+x4+...) = 1/(1–x)
En esta última expresión, dijo Euler, tomemos x = 2. Obtenemos así que:1 + 2 + 22 + 23 + 24 + = 1/(1-2) = -1.
La conclusión es que 1 + 2 + 4 + 8 + 16 +... = -1, en otras palabras, la suma de una cantidad infinita de números positivos daría como resultado el número negativo -1. Sin embargo, la intuición y el sentido común nos dicen que el verdadero resultado de la suma 1 + 2 + 4 + 8 + 16 +... tiene que ser, simplemente, infinito. Euler trató de justificar este resultado paradójico defendiendo que, bajo ciertas circunstancias, un número negativo puede tener un valor infinito, aunque, desde luego, no llegó a ninguna conclusión satisfactoria.Con el correr del tiempo, la aparición de otras paradojas similares hizo que los matemáticos llegaran gradualmente a la conclusión de que las series no pueden ser tratadas simplemente como «sumas muy largas», sino que se rigen por reglas que son diferentes de las sumas que solo involucran una cantidad finita de sumandos. Por este motivo, a lo largo del siglo XIX, las investigaciones de diversos matemáticos estuvieron dedicadas a establecer cuáles son, exactamente, las «leyes» que rigen el comportamiento de las series.
Por ejemplo, el matemático noruego Niels Henrik Abel estudió las llamadas series de potencias, es decir, las sumas infinitas de potencias de x, tal como es el caso de (1+x+x2+x3+x4+...) o también de las sumas que definen al seno y al coseno. Concretamente, Abel estableció que en estas sumas la x no puede ser reemplazada, en principio, por cualquier número, sino que para cada serie existe un rango muy específico de números que pueden ser reemplazados por la x. En el caso de 1+x+x2+x3+x4+..., por ejemplo, este rango abarca todos los números entre -1 y el 1 (ambos no incluidos), de modo que, si bien en esa serie tiene sentido reemplazar x por 0,5, en cambio no tiene sentido reemplazarla por 2, dado que este número se encuentra fuera del rango establecido.
Esta reflexión resuelve la paradoja mostrada anteriormente; la respuesta es que en la igualdad
1+x+x2+x3+x4+... = 1/(1 - x)
simplemente no tiene sentido tomar x = 2. En el caso de las series que calculan el seno y el coseno puede demostrarse que sus rangos abarcan todos los números reales, por lo que en estas series la variable x sí puede ser reemplazada por cualquier número Ahora bien, el trabajo de Riemann demuestra una propiedad muy extraña de las sumas infinitas.Como es bien sabido, sumar 1 + 2 + 3 + 4 + .,. + 100 da el mismo resultado que sumar 2* 1 + 4 + 3 + ... + 100 + 99, o 100 + 97 + 99 + 98 + ... + 3 + 1; en otras palabras, d resultado de la suma es siempre el mismo, no importa en qué orden se escriban los sumandos. Sin embargo, Riemann demostró que esta propiedad no se extiende a las sumas infinitas, al menos no a todas ellas, puesto que algunas series dan resultados diferentes según en qué orden se escriban sus términos. Veamos un ejemplo.
Niels Henrik Abel (1802-1829)La infancia del matemático noruego Abel estuvo marcada por la pobreza, situación que se vio agravada por las malas circunstancias políticas y económicas que atravesaba entonces su país (en esa época Noruega estaba bajo el control político de Dinamarca).La falta de recursos le habría impedido cursar estudios universitarios, pero Abel contó con la ayuda del matemático Bernt Michael Holmboë (1795-1850), quien fue su profesor en el colegio y reconoció su talento para las matemáticas, Holmboë recomendó a Abel y, gracias a ello, este obtuvo una beca para estudiar en la Universidad de Christiania, en Copenhague, donde ingresó en 1821. A pesar de que vivió solamente veintiséis años, Abel logró hacer contribuciones esenciales al álgebra y al cálculo. Así, por ejemplo, demostró, al mismo tiempo que Évariste Galois (1811-1832), la imposibilidad de resolver las ecuaciones de grado cinco; estudió las llamadas «integrales elípticas» y también contribuyó a la fundamentación lógica del cálculo. Abel falleció de tuberculosis en 1829.
Puede probarse que la suma




Destaquemos que, como ya se dijo antes, esta rara propiedad no vale para todas las series; hay muchas de ellas cuyo resultado no cambia aun cuando se reordenen sus términos. Esto sucede, por ejemplo, si todos los números sumados son positivos, o si todos son negativos. En el caso de que hubiera términos positivos y términos negativos «mezclados», el resultado tampoco cambia si la serie cumple esta propiedad: al transformar todos los signos «negativos» en «positivos» se obtiene una serie cuya suma total es un número finito.
Por ejemplo, la serie

Fourier y los fenómenos ondulatorios
¿Qué significa entonces «serie trigonométrica»? Una «serie» es una suma con infinitos términos; «trigonométricas» son las funciones seno y coseno, y también, por extensión, todas las ondas básicas. Una serie trigonométrica es así una suma formada por infinitas ondas básicas; por ejemplo:

El primero en observar la relación entre los fenómenos ondulatorios y las ondas básicas fue el físico y matemático francés Joseph Fourier. En un trabajo publicado en 1808, Fourier demostró que cualquier función periódica f(x), es decir, cualquier función cuyos valores se repiten cíclicamente una y otra vez, puede escribirse como la suma de una cantidad, finita o infinita, de ondas básicas. Esta escritura actualmente se conoce como la descomposición de f(x) en serie de Fourier; o, también, la descomposición de f(x) en una serie trigonométrica.
En cierto sentido, la idea de Fourier no era completamente nueva En el siglo IV a.C. Aristóteles había afirmado que los planetas (que para él eran el Sol, la Luna, Mercurio, Venus, Marte, Júpiter y Saturno) giraban alrededor de la Tierra en órbitas de forma circular. Aristóteles justificaba este hecho mediante el siguiente argumento filosófico: como en aquella época se creía que los objetos celestes estaban constituidos por una materia pura e impoluta, su movimiento tenía que ser necesariamente circular, porque el círculo es la «curva perfecta».
Recíprocos de los cuadradosEuler demostró muchos resultados relacionados con sumas de series; uno de ellos es la representación del seno y del coseno como series de potencias, tal y como se muestra en el texto. Otro resultado muy famoso, también demostrado por Euler, se relaciona con la suma de los recíprocos de los números cuadrados; en ese sentido Euler probó que:

Para Ptolomeo los movimientos planetarios son el resultado de combinar movimientos circulares.
Cuando, siglos más tarde, Nicolás Copérnico (1473-1543) postuló que todos los planetas, incluida la Tierra, giraban alrededor del Sol, conservó igualmente la idea de que los movimientos planetarios resultaban de la combinación de varios movimientos circulares (aunque eran necesarios menos círculos que en el caso de Ptolomeo). Dado que las ondas básicas describen en realidad movimientos circulares (el movimiento del punto P alrededor de una circunferencia), puede decirse que tanto Ptolomeo como Copérnico sostenían que el movimiento periódico de los planetas era, como diría más adelante Fourier, el resultado de combinar una cantidad finita de ondas básicas.
La innovación de Fourier consistió en demostrar, por un lado, que cualquier fenómeno periódico (no solo los movimientos planetarios) es la suma de ondas básicas, y por el otro, que esta suma podía involucrar eventualmente una cantidad infinita de sumandos.

Jean Baptiste Joseph Fourier (1768-1830)Nacido en Auxerre (Francia), el primer interés cíe Fourier fue la literatura, pero a los catorce años descubrió el tratado de matemáticas de Étienne Bézout (1730-1783), cuyos seis volúmenes estudió en poco tiempo, y desde entonces hizo de las matemáticas su gran vocación.Fourier fue uno de los muchos científicos de los que se rodeó Napoleón Bonaparte durante su carrera; y como consecuencia de este vinculo ocupó diversos cargos políticos, además de científicos. Como prefecto del departamento de Isére, Fourier descubrió el interés de Jean-François Champollion (1790-1832) por los jeroglíficos egipcios y lo alentó a intentar descifrarlos, objetivo que Champollion efectivamente alcanzó. Fourier hizo importantes aportes a la física y a las matemáticas, tanto puras como aplicadas, dentro del área del cálculo y el álgebra.
El punto sube hasta la altura l, luego baja hasta la altura O, luego vuelve a subir y a bajar, y así sucesivamente una y otra vez.
Puede probarse que la descomposición en serie de Fourier de esta función, es decir, su escritura como suma de ondas básicas, es:


La integral de Cauchy
Cualquier función periódica, dijo Fourier, puede escribirse como la suma (de una cantidad finita o infinita) de ondas básicas; pero ¿cómo puede saberse exactamente cuáles son las ondas básicas que hay que sumar? El procedimiento para responder a esta pregunta es demasiado técnico para el propósito de este libro, pero sí puede decirse, y ese es el punto que nos interesa aquí, que el procedimiento involucra el cálculo de varias integrales.
El concepto de integral, uno de los más importantes del cálculo, fue desarrollado a finales del siglo XVIII simultánea e independientemente por Isaac Newton y Gottfried Wilhelm von Leibniz. Planteado en términos modernos, el problema que motiva la definición de la integral es el de calcular cuál es el área de la región comprendida entre el eje horizontal y el gráfico de una cierta función f(x). Por ejemplo, ¿cuál es el área de la región sombreada en cada uno de los dos gráficos mostrados en la figura 7?

Para resolver este problema, Newton y Leibniz imaginaron que la región cuya área se quiere calcular estaba formada por infinitos rectángulos colocados uno al lado del otro. Según esta idea, cada uno de esos rectángulos tenía como base un segmento infinitamente pequeño, pero con una longitud distinta de cero; la altura de cadarectángulo, por su parte, estaba dada por la propia función (en realidad, ni Newton ni Leibniz hablaban de «funciones», sino simplemente de curvas, pero traducimos aquí sus ideas a conceptos modernos); este planteamiento se ilustra en la figura 8, donde f(x) es una función cualquiera.


Pero ¿qué es realidad un número positivo «infinitamente pequeño pero distinto de cero»? Se trata de un concepto muy difícil de entender; peor aún, es un concepto que, cuando se intenta definir con precisión, acaba siendo contradictorio consigo mismo, Una definición razonable sería que se trata de «número positivo menor que cualquier número positivo», pero esto llevaría a decir que es menor que sí mismo, o menor que su mitad.
Newton y Leibniz eran perfectamente conscientes de que su integral estaba sustentada en una base lógica muy endeble; sin embargo, si se aceptaba la existencia de esos rectángulos de base «infinitamente pequeña», las fórmulas que se deducían de esa idea permitían calcular correctamente áreas que de otro modo resultaban imposibles de hallar. Más aún, con el correr de las décadas, se fueron encontrando otras aplicaciones para las integrales; entre ellas, el cálculo de volúmenes y de longitudes de curvas, la resolución de ecuaciones diferenciales y, como ya se apuntó, la determinación de qué ondas básicas son las que deben aparecer en las series de Fourier.
Ahora bien, a medida que se hallaban más y más aplicaciones para la integral, fue creciendo paralelamente la necesidad de dotarla de una fundamentación lógica rigurosa; y el primero en logrado, el primero en dar una definición clara y concreta de la integral, fue el matemático francés Augustin Louis Cauchy en su libro Cours d’Analyse («Curso de análisis»), de 1817.
La idea de Cauchy para eludir los números «infinitamente pequeños» fue calcular el área bajo una curva mediante aproximaciones sucesivas. De este modo, modificó la idea de Newton y Leibniz cambiando los rectángulos de base dx por rectángulos que tuvieran una base pequeña (pero no infinitamente pequeña) para luego imaginar que esas bases se van reduciendo cada vez más (figura 9).

A medida que sus bases se hacen más pequeñas, la suma de las áreas de los rectángulos se parecen cada vez más al área bajo la curva.
Las fórmulas para calcular áreas que se deducen de la definición de Cauchy son, en realidad, exactamente las mismas que las que se deducen de la definición de Newton y Leibniz, por lo que en la práctica no hay ninguna diferencia entre una y otra.
Augustin Louis Cauchy (1789-1857)Cauchy nació en París con la buena estrella de que los famosos matemáticos franceses Pierre-Simon Laplace (1749- 1827) y Joseph-Louis Lagrange (1736- 1813) fueran amigos de su padre y visitantes frecuentes de su casa.Ambos matemáticos descubrieron tempranamente el talento de Cauchy, cuya vocación quedó así marcada desde sus primeros años. En 1805 ingresó en la École Polytechnique, donde se graduó en 1807, y ese mismo año ingresó en la escuela de ingeniería, donde destacó tanto por sus conocimientos teóricos como prácticos. Cauchy fue pionero en la búsqueda de una fundamentación rigurosa para el cálculo; por ejemplo, fue el primero en hacer un estudio sistemático de las condiciones bajo las cuales una serie da como resultado una suma finita, y asimismo, fue el primero en dar una definición rigurosa de la integral. Fue también uno de los precursores del análisis complejo.
Sin embargo, la definición de Cauchy omite hablar de «números infinitamente pequeños», y en consecuencia, desde un punto de vista lógico, resulta ser mucho mejor. A pesar de esta superioridad, la idea de Cauchy comparte con la de Newton y Leibniz un importante «punto débil», ya que ninguno de los tres consideraba que pudieran existir funciones, discontinuas, y es por este motivo que cuando Dirichlet las introdujo en 1829, la integral de Cauchy quedó, en gran medida, obsoleta.
El problema
¿Qué es una función discontinua? Es una función cuyo gráfico presenta, al ser trazado, «saltos abruptos» o «discontinuidades». A modo de ejemplo obsérvese el gráfico de la figura 10, el cual está formado por una sucesión de segmentos desconectados entre sí. Evidentemente, si intentamos dibujarlo comenzando desde el punto (0,0), nos encontraremos con que al llegar al (1,0) el lápiz debe «saltar bruscamente» hacia arriba hasta el punto (1,2); es decir, en el (1,0) encontramos una interrupción, una discontinuidad.
Ahora bien, la imagen que aparece en la figura 10 ¿es realmente el gráfico de una función?

«Dedekind solía referirse a Riemann como su modelo en cuanto a metodología matemática.»De hecho, hoy en día funciones como las de la figura 10 son muy usadas en muchas ramas de la ingeniería. Para los ingenieros actuales, el gráfico de la figura 10 podría representar una sucesión de señales: durante el primer segundo hay silencio, luego una señal de intensidad constante que dura un segundo, luego otra vez silencio, luego otra señal de un segundo y así sucesivamente. La descomposición en serie trigonométrica de las señales tiene numerosísimas aplicaciones prácticas, que abarcan desde las transmisiones de radio hasta el diseño de los tomógrafos usados en medicina.
José Ferreirós, Theoria, de Teoría, historia y fundamentos de la ciencia.
Sin embargo, el hecho de que una función como la de la figura 10 pudiera descomponerse en serie trigonométrica colocó a Dirichlet frente al problema de cómo determinar cuáles son las ondas básicas que deben intervenir en esa serie. La respuesta, como ya se dijo, es que la descomposición en serie de Fourier de una función periódica se obtiene mediante el cálculo de varías integrales. Pero en 1829 la única integral bien definida era la de Cauchy, y esta no es válida cuando se trabaja con funciones discontinuas. Cuando se intenta aplicar la definición de Cauchy a funciones como las de la figura 10 el resultado que se obtiene para la integral no siempre representa el valor correcto del área. Dirichlet planteó entonces el problema de modificar la definición de la integral de tal modo que pudiera aplicarse aun en los casos en que hubiera discontinuidades. Este es el problema que Riemann tomó como primer tema de investigación en 1852.
La solución de Riemann
Riemann se enfrentó al problema planteado por Dirichlet y halló una definición de integral que tenía sentido aun cuando la función presentara «saltos» o «discontinuidades». Para ello, retomó la idea de las aproximaciones sucesivas pero, a diferencia de Cauchy, propuso tomar dos aproximaciones para el área, una aproximación por exceso y otra por defecto (figura 11).

Hay que precisar que, al dar su definición de integral, Riemann estaba retomando una idea que ya había sido empleada en el siglo IV a.C. por el geómetra griego Eudoxo de Cnido para calcular el área del círculo. Para hacer ese cálculo Eudoxo había usado polígonos regulares inscritos y circunscritos a la circunferencia; los polígonos inscritos dan una aproximación por defecto del área, mientras que los otros dan una aproximación por exceso (figura 12).

En el trabajo de Riemann publicado por Dedekind, el matemático dio esta nueva definición para la integral, estudió las propiedades resultantes de este nuevo concepto y demostró que poseía un alcance mayor que la integral que había definido Cauchy. Porque, tal como Dirichlet pedía, la definición de Riemann, que es, de hecho, la que hoy en día se usa en todas las aplicaciones prácticas, tanto en física como en ingeniería, tiene sentido y da el valor correcto del área aun cuando la función tenga «saltos» (figura 13).

Es verdad que décadas más tarde se encontraron, a su vez, limitaciones para la integral de Riemann, ya que, así como la integral de Cauchy «falla» en las funciones discontinuas, la de Riemann «falla» asimismo, cuando la cantidad de saltos es «demasiado grande. Y si bien funciones de este último tipo nunca aparecen en las aplicaciones prácticas, el francés Henri Lebesgue (1875-1941) amplió en 1901 la definición de Riemann con el fin de abarcar una clase aún mayor de funciones.
Bernhard Riemann se consideraba a sí mismo tanto físico como matemático. De hecho, más allá de que muchos de sus trabajos matemáticos tengan fuertes implicaciones físicas, hay además una parte muy significativa de su obra que está dedicada exclusivamente al análisis de fenómenos físicos, en especial los fenómenos asociados al flujo de corrientes eléctricas o a la propagación de la luz.Después de exponer su trabajo de habilitación y tras pasar una temporada de descanso en Quickborn, donde seguían viviendo sus padres y algunos de sus hermanos, en septiembre de 1854 Riemann comenzó a trabajar en la Universidad de Gotinga como docente remunerado. De este modo, no solo lograba alcanzar un objetivo largamente perseguido, sino que además, aunque el dinero que ganaba no era mucho, le fue posible ayudar económicamente a su familia. Hay que decir que, debido a su natural timidez, inicialmente el ejercicio de la docencia no le resultó fácil; sin embargo, en poco tiempo logró adaptarse, tanto es así que a finales de 1854 le escribía a su hermana Ida:
He sido capaz de mantener regularmente mis clases. Mi primera desconfianza ha ido disminuyendo cada vez más, y me he habituado a pensar más en los oyentes que en mí mismo y a leer en sus expresiones si debo pasar a otros puntos o explicar más detenidamente la cuestión.En esa misma carta se congratulaba además por el éxito de su primer curso académico y por el inesperado gran número de oyentes: ocho personas, cuando él no esperaba más que dos. Poco tiempo después, el 23 de febrero de 1855, falleció Gauss, y es muestra del respeto que Riemann se había ganado en Gotinga el que hubiera quienes lo propusieran como candidato para suceder a Gauss en su cátedra.
Wilhelm Weber (1804-1891)Weber nació en Wittenberg (Alemania) e ingresó en la Universidad de Halle en 1822, donde cuatro años más tarde se doctoró en física con una tesis sobre los mecanismos por los que se produce la voz humana. Al año siguiente expuso su Habilitationsschrift con una investigación relacionada con el mismo tema; la cual amplió en una serie de artículos publicados entre 1828 y 1830 en la revista Annalen der Physik und Chemie («Anales de física y química»). A partir de 1828 su prestigio académico comenzó a crecer rápidamente, sobre todo después de que ese mismo año Gauss asistiera a una de sus conferencias y manifestara la gran capacidad de aquel joven físico. En ese momento Gauss estaba muy interesado en el estudio del magnetismo terrestre y le ofreció a Weber un puesto en Gotinga para trabajar con él en esa investigación; ambos científicos colaboraron estrechamente entre 1831 y 1837. Aparte de su capacidad científica, Weber tenía una gran reputación como expositor. Durante sus conferencias, que eran muy apreciadas, solía realizar experimentos para ilustrar los temas tratados, una práctica muy novedosa para la época. También sostenía, y asimismo fue pionero en esta idea, que para aprender mejor, los estudiantes debían realizar los experimentos físicos por sí mismos en lugar de solo observar al profesor hacerlos. A lo largo de su vida Weber recibió muchos premios y honores; por ejemplo, en 1850 fue elegido miembro de la Real Sociedad de Londres; en 1874., miembro de la Real Sociedad de Edimburgo, y en 1879, miembro de la Academia Norteamericana de Artes y Ciencias. En 1935 se le dio el nombre de «weber» a la unidad de flujo magnético.
Sin embargo, las autoridades de la universidad consideraron que era demasiado joven para un puesto de esa importancia y finalmente la cátedra fue ofrecida a Dirichlet, quien la aceptó y se trasladó desde Berlín para hacerse cargo de ella.
Pero ahora volvamos un poco atrás en el tiempo, hasta 1849. En ese año, recordemos, Riemann regresó a Gotinga después de haber pasado dos años en Berlín y comenzaba a preparar su tesis doctoral.
James Clerk Maxwell (1831-1879)La capacidad del escocés James Clerk Maxwell para las matemáticas se manifestó muy pronto; así, por ejemplo, en 1846 escribió un artículo sobre curvas ovales, que él definía como el lugar geométrico de todos los puntos para los cuales la suma de m veces la distancia a un foco F1 mas n veces la distancia a un foco F2 es constante (véase la figura). En ese artículo, además, estudiaba curvas con tres o más focos, Maxwell expuso este trabajo, titulado «Sobre la descripción de las curvas ovales y de aquellas con una pluralidad de focos», ante la Real Sociedad de Edimburgo el 6 de abril de 1846;
y aunque muchas de las ideas contenidas en el artículo no eran completamente originales, ya que Descartes había estudiado temas similares casi dos siglos antes, no deja de ser notable que al escribirlo, y al exponerlo, Maxwell tuviera solo catorce años de edad. Maxwell se doctoró en matemáticas en 1854 en la Universidad de Cambridge, donde además trabajó como docente e investigador durante toda su carrera. Como científico, sus trabajos más importantes giraron en torno de la teoría de la electricidad y el magnetismo. Estas investigaciones llegaron a su punto culminante en 1873 con la publicación de sus famosas ecuaciones sobre la relación entre et campo magnético y el campo eléctrico, uno de los pilares fundamentales de la física moderna, y que hoy son conocidas como ecuaciones de Maxwell.
A la vez que preparaba su tesis, Riemann asistía al seminario de física que dictaba, también en la Universidad de Gotinga, Wilhelm Weber, quien había trabajado en estrecha colaboración con Gauss (ya mencionamos a Weber en e! segundo capítulo a propósito de la exposición de Riemann de su trabajo de habilitación, en junio de 1854).
Hay que decir que el seminario de Weber no consistía solamente en una serie de clases avanzadas, sino que era un verdadero laboratorio de investigación en el que se formulaban nuevas teorías, especialmente sobre electromagnetismo, y se realizaban los experimentos necesarios para ponerlas a prueba.
En este último sentido puede mencionarse, a modo de ejemplo, que en 1856 Weber y su colaborador Rudolf Kohlrausch midieron la razón entre la carga electrostática y la carga electrodinámica de una partícula y encontraron que era de 3,1074×108 m/seg. Fue Riemann, que estaba presente al realizar esas mediciones, quien observó que este valor se aproxima al de la velocidad de la luz y dedujo de ello que debía de haber una relación muy estrecha entre la propagación de la luz y los fenómenos electrodinámicos y electrostáticos, conexión que sería confirmada en 1905 por Einstein en su artículo «Sobre la electrodinámica de los cuerpos en movimiento», en el que presentó por primera vez la teoría de la relatividad.
Por otra parte, el dato experimental obtenido por Weber y Kohlrausch fue crucial para que James Clerk Maxwell desarrollara, en 1873, la teoría que explica la relación entre !a electricidad, el magnetismo y la propagación de la luz. Es asimismo interesante notar que fue en e! artículo que da cuenta de ese experimento donde se usó por primera vez la letra «c» para referirse a la velocidad de la luz, tal como se hace todavía en la actualidad.
El campo unificado
En realidad, Riemann siempre estuvo muy interesado en la física, tanto es así que de los catorce artículos científicos que escribió (cuatro de los cuales se publicaron póstumamente), cinco están dedicados exclusivamente a la explicación de fenómenos físicos, mientras que casi todos los demás, aun cuando en principio hablan de temas matemáticos, tienen asimismo importantes consecuencias dentro del terreno de la física (entre estos últimos se cuenta, por ejemplo, el trabajo sobre geometría diferencial del que hablamos en el segundo capítulo).
Cuando en 1852 Riemann empezó a realizar las investigaciones preliminares para su trabajo de habilitación, seguía todavía asistiendo regularmente al seminario de Weber, aunque ahora en calidad de ayudante no remunerado. Pero además, en paralelo, se planteaba a sí mismo una serie de cuestiones relacionadas con d problema de hallar una teoría que permitiera explicar simultáneamente todas las fuerzas de la naturaleza, que por entonces se creía que eran la gravedad, la electricidad, el magnetismo y el calor, Tal intensidad de trabajo acabó por perjudicar su salud, que en verdad nunca fue muy sólida, y es por eso que a principios de 1854 le escribía a su hermana Ida:
He estado tan absorbido en mi investigación sobre la unidad de todas las leyes físicas, que cuando me fue entregado el tema para mi conferencia [su Habilitationsschrift], no pude abandonar la investigación. Luego, en parte como resultado de las meditaciones, en parte por mi permanencia constante en lugares cerrados durante esta mala estación, caí enfermo; mis viejos males se repitieron con gran frecuencia y no pude continuar mi labor. Varias semanas más tarde, al mejorar el tiempo, comencé a sentirme mejor.Hasta donde se conoce, Riemann fue el primero en plantear el problema de reunir la descripción de todas las fuerzas de la naturaleza bajo una misma teoría, cuestión que más tarde Einstein denominaría «el problema de! campo unificado»; y aunque Riemann nunca llegó a una conclusión definitiva sobre esta materia, las reflexiones, tanto físicas como filosóficas, que hizo al respecto entre 1852 y 1866 fueron recopiladas y publicadas en el Annalen der Physik und Chemie en 1867 bajo el título de Una contribución a la electrodinámica.
Además de la observación, ya mencionada, de que una teoría de la electricidad y el magnetismo tiene que ser muy cercana a una teoría de la propagación de la luz, el artículo presenta la idea de Riemann de que cualquier fuerza que actúe entre dos partículas debe propagarse necesariamente a una velocidad finita, concepción que contradecía la teoría newtoniana dominante en aquella época según la cual existía una acción instantánea, no importa cuál fuese la distancia, Riemann, además, identifica esa velocidad de propagación con la de la luz, predicción que sería corroborada décadas más tarde por Einstein y que es uno de los pilares de la teoría de la relatividad.
«En cualquier región matemática donde comenzara a investigar [Riemann], el cosmos matemático comenzaba a lucir con un brillo jamás visto.»En cuanto al problema del campo unificado en sí, hoy se sabe que las fuerzas fundamentales de la naturaleza son efectivamente cuatro, pero no las que se creía a mediados del siglo XIX, sino la fuerza electromagnética, la gravedad y otras dos fuerzas que actúan a nivel subatómico conocidas como la fuerza nuclear fuerte y la fuerza nuclear débil. Sin embargo, aunque se han hecho muchos avances parciales en el problema de unificarlas bajo una misma teoría (por ejemplo, se ha logrado unificar a la fuerza electromagnética con la nuclear débil) al momento de escribir estas líneas el problema del campo unificado permanece todavía sin solución.
Egmont Colerus, Breve historia de la matemática.
El segundo tema
El capítulo anterior estuvo dedicado a la primera opción que Riemann le propuso a Gauss como tema para desarrollar en su trabajo de habilitación. Se trataba, recordemos, de la solución de un problema planteado por Dirichlet sobre series de Fourier; solución que, a su vez, condujo a Riemann a la definición de la integral que hoy lleva su nombre. En el segundo capítulo, por su parte, se explicó el contenido de la tercera opción de Riemann, aquella que Gauss finalmente le pidió que expusiera ante el tribunal examinador, este tema contenía nada menos que las definiciones de los conceptos fundamentales de la geometría diferencial. Queda, por tanto, analizar la segunda opción que Riemann le propuso a Gauss como tema para su Habilitationsschrift.
Comencemos por decir que se le atribuye al gran matemático y astrónomo Tales de Mileto el descubrimiento de la electricidad, o más exactamente, de la electrostática. Tales habría sido el primero en observar que al frotar una varilla de ámbar con un paño de lana se lograba que aquel atrajera objetos pequeños, y que si se frotaba con más energía durante el tiempo suficiente entonces se producía una chispa. De hecho, la palabra «electricidad» proviene de la palabra electrón, que en griego significa «ámbar».
Sin embargo, a pesar de este descubrimiento tan prematuro, durante muchos siglos no se hicieron investigaciones relativas a los fenómenos eléctricos más allá de algunas observaciones aisladas, y solo fue a principios del siglo XVIII que empezaron a ser estudiados sistemáticamente. En este contexto, en octubre de 1745 el holandés Pieter van Musschenbroek (1692-1761), de la Universidad de Leiden, y el alemán Ewald Georg van Kleist (1700-1748), desarrollaron simultánea e independientemente el dispositivo al que más adelante (debido a la mayor fama de la que gozaba Van Musschenbroek) se le dio el nombre de botella de Leiden
Esta botella es un mecanismo capaz de almacenar cargas eléctricas. Su diseño original consistía en un recipiente de vidrio cerrado, parcialmente lleno de agua, y con un clavo que sobresalía de la tapa a la vez que estaba en contacto con el líquido. La botella era cargada poniendo en contacto el extremo exterior del clavo con una fuente de electricidad electrostática (normalmente generada por fricción). El dispositivo era capaz de retener las cargas durante varias horas y producía un fuerte shock al entrar en contacto con un cuerpo humano (el propio experimentador, normalmente).
Tales de Mileto (ca. 624-547 a.c.)Hay muy pocas certezas acerca de la vida de Tales de Mileto dado que las referencias escritas más antiguas que hablan de su vida o de su obra provienen de autores que vivieron siglos más tarde. Tales nació y murió en Mileto, Asia Menor, actualmente Turquía, ciudad que en aquella época era una colonia griega. Hasta donde se sabe.Tales fue político, filósofo, matemático y astrónomo, y uno de los siete sabios de la Grecia antigua. Se le atribuye la idea de que los fenómenos naturales no eran provocados por seres divinos, sino que tenían explicaciones racionales que podían ser deducidas por la observación y el pensamiento. Asimismo, se le atribuye la idea de que la verdad de las afirmaciones matemáticas debía ser demostrada mediante razonamientos generales. Gracias a sus conocimientos astronómicos pudo predecir el eclipse total de sol que fue observado en Grecia en el año 585 a.C. Tales también habría calculado la altura de la gran pirámide de Keops usando solamente una varilla vertical y sus conocimientos de geometría. El planteamiento para resolver esta cuestión era el siguiente: tenemos que a/h = A/H donde a y h son conocidos, y A puede calcularse conociendo L y la longitud de la sombra de la pirámide (véase la figura). Con estos datos puede calcularse H, la altura de la pirámide.
En diseños posteriores, el agua fue reemplazada por placas metálicas (figura 1) que revestían tanto el interior como el exterior del recipiente.

El funcionamiento de una botella de Leiden es muy sencillo. Para cargar el dispositivo se frota el extremo exterior de la varilla con un paño. Para descargarlo, tal como se muestra en la figura 2, se emplea una pieza metálica que ponga en contacto el extremo de la varilla con el revestimiento exterior de la botella.
El punto que nos interesa aquí es que si, después de ser descargada, se deja reposar la botella durante unos minutos, esta recupera espontáneamente parte de su carga anterior y de este modo es posible obtener (sin recargar la botella} una segunda chispa. Muy frecuentemente este fenómeno de «recarga espontánea» puede repetirse hasta cuatro o cinco veces consecutivas. ¿Por qué la botella, se recarga de esta manera? Este es el problema que Riemann se planteó como segunda investigación para su Habilitationsschrift.
En ese sentido en 1854 le escribía a su hermana Ida:
Weber y algunos de sus colaboradores han hecho mediciones muy exactas de un fenómeno que hasta ahora no había sido explicada, la carga residual en una botella de Leiden. Les comuniqué mi teoría sobre este fenómeno que he elaborado especialmente para este fin.Riemann tituló el trabajo en el que analiza este fenómeno «Sobre las leyes de distribución de las tensiones eléctricas en cuerpos ponderables, cuando estos no pueden ser considerados como absolutamente conductores o no conductores» y lo expuso ante la Real Sociedad de Ciencias de Gotinga en septiembre de 1864.
He encontrado la explicación mediante mis investigaciones acerca de la relación entre electricidad, luz y magnetismo [se refiere a la investigación sobre el campo unificado]. Esta cuestión era muy importante para mí, pues es la primera vez que he podido aplicar mí trabajo a un fenómeno aún desconocido, y espero que la publicación contribuya a que mi obra sea recibida favorablemente.

Isaac Newton, quien, entre otros muchos logros, resolvió el problema de la braquistócrona
En este trabajo Riemann rechaza la teoría dualista de la carga, que era sostenida por Weber y que afirma que la electricidad es el flujo de dos tipos de partículas, unas positivas y otras negativas. Por el contrario, Riemann adopta la hipótesis unitaria, propuesta por Benjamin Franklin (1706-1790), según la cual hay un único tipo de partícula eléctrica, cuya carga es negativa. Hoy sabemos, de hecho, que esta última es la hipótesis correcta. Para la explicación del fenómeno en sí, Riemann postuló la existencia de una tendencia de los cuerpos a persistir en su estado eléctrico, una suerte de «inercia eléctrica de la materia».
Debe decirse finalmente que, a pesar de que el artículo de Riemann contiene muchas ideas correctas (como la ya mencionada defensa de la hipótesis unitaria de Franklin), la explicación que actualmente se acepta para la carga residual de una botella de Leiden, es bastante diferente de la que Riemann propuso. Cuando la botella se carga, las moléculas de las láminas de metal (moléculas que actúan a estos efectos como pequeños imanes) orientan sus polos en la misma dirección; pero al descargarse la botella, no todas las moléculas «pierden» esa alineación, sino que un número significativo de ellas permanece orientado de la misma manera; son estas moléculas que «persisten en estar alineadas» las que producen la carga residual.
Más allá de la habilitación
En el período posterior a la exposición de su Habilitationsschrift Riemann continuó con sus investigaciones físicas, y en 1855 publicó en el Annalen der Physik und Chemie el artículo titulado «Sobre la teoría de los anillos de color de Nobili». Leopoldo Nobili fue un físico italiano que nació en 1784 en Trassilico, Toscana, y falleció en 1835 en Florencia. Entre otros logros, inventó una serie de instrumentos que fueron de gran utilidad para la investigación de la termodinámica y la electroquímica, entre ellos un galvanómetro que lleva su nombre (un galvanómetro es un instrumento que sirve para detectar y medir la corriente eléctrica). También se le atribuye el descubrimiento de los anillos que llevan su nombre y que son los que aparecen en el título del trabajo de Riemann. Para obtener los anillos, se conecta una placa de oro, o de plata, al polo negativo de una pila mediante un alambre de platino; a continuación, la placa es colocada perpendicularmente en una solución de sulfato de cobre (o de acetato de plomo), y finalmente el circuito se cierra. Se observa entonces que en la placa se forman varios anillos concéntricos de diversos colores, todos muy intensos, que varían según sea la composición de la solución o de la placa.
En su trabajo, Riemann ofrece una explicación para el fenómeno fundada en un estudio teórico desarrollado por él sobre la propagación y la distribución de una corriente eléctrica en un conductor. Para ello se basó, a su vez, en los trabajos previos del físico francés Emil du Bois-Reymond (1818-1896), mejorando sus cálculos y discutiendo las hipótesis consideradas por este autor. En referencia a este estudio, el 9 de octubre de 1854 Riemann le escribía a su hermana Ida:
«Este tema es importante porque se pueden hacer mediciones muy exactas en relación con él y comprobar las leyes de acuerdo a las cuales la electricidad se mueve».A la larga, sin embargo, el trabajo no produjo mayor impacto en las teorías sobre la propagación de las corrientes eléctricas.

Leopoldo Nobili, el físico italiano que planteó la teoría de los anillos de color que lleva su nombre.
Pasado este período de descanso, Riemann se reincorporó a la universidad en 1857 y al año siguiente realizó un trabajo sobre electrodinámica En referencia al mismo le escribió a su hermana Ida:
Mi descubrimiento está relacionado con la íntima conexión que existe entre la electricidad y la luz. Lo he enviado a la Real Sociedad [de Gotinga]. Por lo que he oído, Gauss ideó otra teoría, respecto a esta íntima relación, diferente de la mía, pero solo la comunicó a sus amigos más íntimos. Sin embargo, estoy plenamente convencido de que mi teoría es la exacta, y que en pocos años será reconocida como tal.No obstante, a pesar del optimismo que muestra en su carta, la teoría de Riemann fue desechada. Más adelante, en 1859, expuso, otra vez ante la Real Sociedad de Ciencias de Gotinga, el trabajo titulado «Sobre la propagación de ondas de aire planas con amplitudes de oscilación finitas», que fue publicado en 1860. Se trata de un artículo de 22 páginas, uno de los más extensos de los que escribió, en el que resolvía las ecuaciones que describen los movimientos de los gases bajo diferentes condiciones de presión y temperatura.

El fisiólogo alemán Emil du Bois-Reymond. Sus trabajos fueron empleados por Riemann en su artículo sobre los anillos de Nobili.

Una fotografía de Riemann tomada en 1865 cuando ya había publicado sus principales trabajos matemáticos
En su artículo Riemann analizó elipsoides hechos de un gas homogéneo (el «fluido uniforme» del título), el cual a su vez consideró como formado por partículas puntuales aisladas sujetas a la fuerza de gravedad. En particular, Riemann estudió la evolución de los ejes del elipsoide, es decir, la variación de sus longitudes a lo largo del tiempo, así como la rotación alrededor de ellos de los diferentes componentes del cuerpo. La idea de considerar a los gases como formados por partículas puntuales anticipa la que, muchos años más tarde, sería una de las hipótesis fundamentales de la mecánica estadística de Ludwig Boltzmann.Ahora bien, toda nube de gas o de polvo que gira sobre sí misma en el espacio, y que en reposo tendría forma esférica, adopta, por efecto de la mal llamada fuerza centrífuga (que no es otra cosa que la inercia «en acción»), la forma de un elipsoide, y es por eso que las estrellas son, de hecho, elipsoides en rotación. Pero también sucede que los planetas se han formado por la condensación de nubes de gas y polvo de forma elipsoidal, y que, de hecho, los cúmulos estelares tienen la misma forma (a ese nivel puede considerarse que cada estrella actúa como una partícula aislada). No es sorprendente, pues, que este trabajo de Riemann tuviera importantes aplicaciones a la hora de analizar la forma de los cuerpos celestes y de los cúmulos estelares.
Ludwig Boltzmann (1844-1906)Boltzmann nació en Viena y se doctoró en física en te universidad de esta ciudad en 1866. Boltzmann es recordado principalmente por su invención, en la década de 1870, de la mecánica estadística, cuya hipótesis central es que los gases, y otras sustancias, se componen de partículas que se mueven aleatoriamente, y que el comportamiento azaroso de estas partículas es el que determina las propiedades de la materia. Estas ideas fueron rechazadas por la comunidad científica en general, ya que implicaban la reversibilidad de ciertos fenómenos que se consideraban como completamente irreversibles. Por ejemplo, sí dejamos un fresco de perfume sin tapa en una habitación cerrada y dejamos que el perfume se evapore, la mecánica estadística deBoltzmann dice que existe la posibilidad (aun cuando la probabilidad de que esto ocurra sea pequeña) de que las moléculas de perfume, en su movimiento aleatorio, regresen espontáneamente a la botella y esta vuelva a llenarse. Conclusiones de este tipo se consideraban absurdas, por lo que los ataques a su teoría continuaron durante muchos años. Finalmente, el 5 de octubre de 1906 Boltzmann, quien siempre había sido propenso a la depresión, se suicidó. Aparentemente nunca llegó a saber que pocos meses antes Albert Einstein había publicado un artículo sobre el movimiento browniano que demostraba matemáticamente la consistencia de sus hipótesis, las cuales, además, fueron verificadas experimentalmente en la década siguiente gracias el desarrollo de la teoría atómica.
La curva braquistócrona
Además de los citados anteriormente, en el periodo posterior a su Habilitationsschrift Riemann escribió dos trabajos que destacan por la gran trascendencia que tuvieron a lo largo de las décadas posteriores. El primero, publicado en 1857, es un artículo sobre funciones abelianas; el segundo, de 1859, plantea un problema relativo a la que hoy se conoce como la función zeta de Riemann.
Johann Bernoulli (1667-1748)Bernoulli nació en Basilea, Suiza, y en 1683 ingresó en la universidad de esa ciudad con la intención de estudiar medicina: sin embargo, por influencia de su hermano, mayor Jacob (también matemático de renombre) fue interesándose cada vez más por las matemáticas hasta que finalmente estas se transformaron en su profesión. De todos modos, su tesis doctoral y sus primeros trabajos lograron combinar ambos intereses, ya que trataron de aplicaciones matemáticas en la medicina. .
A lo largo de su vida hizo notables avances en el desarrollo del cálculo diferencial, que en aquella época era un descubrimiento reciente; amplió sus métodos y los aplicó a la resolución de problemas físicos y astronómicos de modo tan brillante que llegó a ser conocido internacionalmente como «El Arquímedes de la era», expresión que aparece en su epitafio.
Hablaremos a continuación del primero de ellos y dejaremos segundo para el próximo capítulo.
El trabajo sobre funciones abelianas se titula, precisamente «Teoría de las funciones abelianas» («Theorie der Abelschen Funktionen», en el original), y fue publicado en las páginas 101-155 del volumen 54 (año 1857), del muy prestigioso Journal fidie reine und angewandte Mathematik («Revista de matemáticas puras y aplicadas», más conocida como Journal de Crelle, por» su fundador el matemático alemán August Leopold Crelle).
Aunque las funciones abelianas reciben su nombre de Niels Henrik Abel, de quien hemos hablado en el capítulo anterior, su historia, sin embargo, empieza más de un siglo antes del nacimiento de este matemático noruego. Su origen se remonta a fines del siglo XVII, época en la que Newton formuló la ley de la gravedad y las leyes fundamentales del movimiento, y en la que creó, al mismo tiempo que Leibniz, el cálculo diferencial, «herramienta matemática que rápidamente se transformó en esencial para describir las leyes físicas de Newton, así como sus consecuencias, a partir de estos descubrimientos muchos matemáticos se abocaron a la tarea de plantear y resolver diversos problemas físicos relacionados con el movimiento, tanto de objetos terrestres astronómicos. De este modo, se calcularon las órbitas de los cometas con una precisión nunca antes soñada, se resolvieron flemas de balística y muchísimos otros.
Fue en ese contexto que en 1696 el matemático suizo Johann Bernoulli formuló el problema de la braquistócrona (palabra que proviene del griego brachistos, que significa «breve», y cronos, «tiempo»). Este problema plantea determinar qué forma debe tener una pendiente para que el tiempo que tarda en caer un objeto a lo largo de ella sea el mínimo posible (sin tomar en cuenta el rozamiento que pueda existir). En otras palabras, ¿qué trayectoria debe seguir un cuerpo para llegar desde A hasta B (figura 4) en el menor tiempo posible si solamente actúa sobre él la fuerza de gravedad?En realidad, el problema ya había sido planteado siglos antes por varios matemáticos y físicos, entre ellos por ejemplo Galileo Galilei (1564-1642), quienes no habían podido encontrar una respuesta; sin embargo, Bernoulli consideraba que, tras los descubrimientos de Newton y Leibniz, la física y la matemática ya habían «madurado» lo suficiente como para que el problema pudiera ser, finalmente, resuelto.
A primera vista podría creerse que el camino entre A y B debería ser rectilíneo, ya que, después de todo, es el camino más corto; y, esta sería la respuesta si, al caer, el objeto lo hiciera siempre a la misma velocidad. Sin embargo, la realidad es que en la caída la velocidad va aumentando y que lo hace más rápidamente cuanto más pronunciada es la pendiente. Por lo tanto, la mejor estrategia es tener una curva que sea «más empinada» al comienzo, con el objeto de ganar rápidamente velocidad, y que solo gradualmente, se vaya dirigiendo hacia el punto final. Esta es la idea general de la solución, pero el problema pedía en realidad la descripción matemática exacta de la curva en cuestión (de hecho, Galileo creía erróneamente, que la solución era un arco de circunferencia), Cuando Bernoulli, en 1696, lanzó esta cuestión a modo de desafío abierto a todos los matemáticos europeos no esperaba obtener una respuesta rápida; sin embargo, para sorpresa de todos, el problema fue resuelto en muy poco tiempo por Isaac Newton. En realidad, el inglés Newton estaba resentido con los matemáticos del resto de Europa porque estos habían apoyado a Leibniz en la controversia que ambos sostuvieron por la prioridad del descubrimiento del cálculo diferencial (hoy en día, como ya se dijo, se acepta que ambos hicieron el descubrimiento de manera independiente). A causa de ello Newton optó por presentar su solución de manera anónima, pero Bernoulli identificó sin dificultades al autor del brillante razonamiento; «se reconoce al león por sus garras» fue la famosa frase que Bernoulli dijo al respecto.
La respuesta al problema es que la curva que hace que la caída tarde el menor tiempo posible es un arco de cicloide, que es la curva que dibuja un punto fijado en el borde de una rueda cuando esta gira sobre un camino plano sin deslizarse (figura 5).

La cicloide, y debajo la solución del problema de la braquistócrona
Las funciones abelianas
¿Cómo se relaciona el problema de la braquistócrona con las funciones abelianas? Tal y como se dijo en el capítulo anterior, los matemáticos del siglo XIX, entre ellos Niels Abel, hicieron una profunda revisión de los métodos del cálculo diferencial, estableciendo de manera rigurosa sus alcances y sus aplicaciones reales. Es así que Abel en 1826 reformuló el razonamiento que usó Newton para resolver el problema de la braquistócrona con el fin de ajustarlo mejor a los nuevos estándares de rigor de la época, y para ello planteó el problema a través de una ecuación integral.
En el capítulo anterior hemos hablado del concepto de integral. Recordemos que si f(x) es una función de variable real cuyo gráfico está por arriba del eje horizontal, entonces la integral de f(x) calcula el área de la región limitada entre ese eje horizontal y el gráfico de la función.
Imaginemos ahora que f(x) es una función que es desconocida, pero de la que sí sabernos de qué manera va cambiando el área bajo su gráfico a medida que aumenta el valor de x (figura 6).Al problema de hallar una función desconocida f(x) conocido el modo en que varía su integral se lo conoce como el problema de resolver una ecuación integral. Ahora bien, como ya se dijo antes, Abel reformuló la solución del problema d« la braquistócrona y lo hizo mediante el planteamiento de una ecuación integral. Más tarde, a integrales similares a las que planteó Abel, y que resultaron tener otras importantes aplicaciones, tanto en física como en matemáticas puras, se las llamó integrales abelianas y a sus soluciones, funciones abelianas.
«Parece muy probable que de haber vivido veinte o treinta año más Riemann hubiera llegado a ser el Newton o el Einstein del siglo XIX.»Hay que decir que el problema de la braquistócrona se enmarca, en realidad, dentro de una familia mucho más amplia problemas, en todos los cuales se busca la curva, o la superficie que logre que cierta cantidad sea mínima; en el caso de la braquistócrona, por ejemplo, se busca que sea mínima la cantidad tiempo que tarda en caer el objeto entre el punto A y el punto B de la figura 4.
Eric Temple Bell, Los grandes matemáticos.
Otro famoso problema de este tipo, por ejemplo, pide hallar de todas las superficies que encierran un volumen dado, aquel cuya área sea mínima. En términos más concretos, la pregunta podría formularse así: si quisiéramos diseñar una botella de 1 litro de capacidad, ¿qué forma debería tener para que la cantidad de material sea la mínima posible? La respuesta a esta pregunta es que para lograr ese objetivo la botella debe tener forma esférica: la superficie de menor área capaz de encerrar un volumen fijado de antemano es siempre la superficie de una esfera. Es importante decir que esta solución explica por qué las pompas de jabón tienen forma de esfera. Esto se debe a que la pompa tiende a minimizar la tensión superficial, y esto se logra, precisamente minimizando el área de la película de jabón.
En su trabajo de 1857, Riemann retomó las ecuaciones de Abel y las utilizó para plantear nuevos problemas de minimización, los cuales resolvió mediante una hábil combinación de racionamientos físicos y matemáticos. Riemann hizo uso en sus razonamientos de lo que él denominó el principio de Dirichlet, y que dice, básicamente, que todos los fenómenos físicos siempre evolucionan en la dirección de «hacer el menor esfuerzo posible» (por ejemplo, las pompas de jabón minimizan la tensión superficial, la luz viaja por el camino más corto, etc.). Hay que decir, para evitar confusiones, que solo Riemann usó el nombre de «principio de Dirichlet»para referirse a esta afirmación y que, de hecho, jamás se le ha vuelto a poner ese nombre.

La placa conmemorativa de Riemann en el cementerio de Biganzoli, en Salasca.
Es importante remarcar en que hemos dado una versión extremadamente simplificada de las ideas contenidas en el trabajo de Riemann, las cuales, además, sacaban partido de las ideas topológicas que él mismo había desarrollado en su tesis doctoral. Por otra parte, los fenómenos físicos con los que Riemann trabajó en su artículo estaban, en la misma línea que muchos de sus otros trabaos, relacionados con la distribución de cargas eléctricas. De hecho, Riemann descubrió muchos de los teoremas de la teoría de funciones abelianas pensando en experimentos simples sobre el flujo de comentes eléctricas en placas delgadas.
Riemann logró desplegar en su trabajo toda la originalidad y la profundidad de su pensamiento, tanto es así que en su libro Desarrollos matemáticos en el siglo XIX, el matemático Félix Klein (1849-1925) escribió:
Cuando Weierstrass envió a la Academia de Berlín en 1857 un primer estudio general de las funciones abelianas, el artículo de Riemann sobre el mismo tema ya había sido publicado en el Journal de Crelle, volumen 54. Este contenía tantos conceptos nuevos e inesperados que Weierstrass retiró su artículo y, de hecho, no publicó ningún otro sobre el mismo tema
Capítulo 5
La hipótesis de Riemann
En 1900, en la conferencia inaugural del Segundo Congreso Internacional de Matemáticas, David Hilbert planteó los 23 problemas que a su juicio iban a guiar la investigación matemática a lo largo del siglo XX. Uno de ellos es conocido como la hipótesis de Riemann, ya que fue planteado por Bernhard Riemann al 1859. Este problema, que aún hoy no ha sido resuelto, es una de las claves fundamentales para demostrar muchas conjeturas relacionadas con los números primos.Gustav Lejeune Dirichlet falleció el 5 de mayo de 1859 y su cátedra en Gotinga, la misma que hasta 1855 había sido ocupada por Gauss, volvió a quedar vacante. Recordemos que en 1855 las autoridades de la universidad habían considerado que Riemann no tenía la madurez suficiente como para hacerse cargo de ese puesto. Sin embargo, en 1859 la situación había cambiado radicalmente, porque con la publicación, dos años antes, de su trabajo sobre funciones abelianas, Riemann había saltado a la fama dentro del mundo de las matemáticas europeas. Las autoridades de Gotinga cambiaron, en consecuencia, la opinión que tenían acerca de Riemann y finalmente este, el 30 de julio de 1859, se convirtió en profesor titular de matemáticas de la Universidad de Gotinga.
Pero este nuevo cargo en la universidad no fue el único logro académico de Riemann en aquel año, porque poco después fue elegido miembro de la Academia de Ciencias de Berlín. Entre quienes lo habían recomendado para recibir ese honor se encontraba Karl Weierstrass, quien en su propuesta escribió:
Antes de la aparición de su más reciente obra [la «Teoría de funciones abelianas»], Riemann era casi desconocido para los matemáticos. De alguna manera, esta circunstancia excusa de la necesidad de un examen más detallado de sus obras como base de esta presentación. Consideramos nuestro deber llamar la atención de la Academia hacia nuestro colega, a quien recomendamos no como un joven talento con grandes esperanzas, sino como un investigador completamente maduro e independiente en nuestra área de la ciencia, cuyo progreso ha sido en gran medida promovido por élPuede parecer extraño que Weierstrass dijera que Riemann era «casi un desconocido» y que no hiciera referencia a su trabajo sobre geometría diferencial ni a aquel en el que definió la integral de Riemann, pero hay que recordar que, aunque ambos artículos fueron completados en 1854, solo serían publicados en 1868.
Karl Weierstrass (1815-1897)Weierstrass nadó en Ostenfelde (Alemania) y mientras cursaba sus estudios secundarios ya dio muestras de una capacidad extraordinaria para las matemáticas; leía regularmente el Journal de Crelle (la prestigiosa revista de matemáticas superiores) y daba clases complementarias a todos sus hermanos. Sin embargo, su padre deseaba que estudiara economía y fue por eso que en 1834 ingresó en la Universidad de Bonn pare estudiar leyes,finanzas y economía. Sin embargo, su vocación por las matemáticas era más fuerte y Weierstrass abandonó la universidad y se dedicó a estudiar esta materia de modo autodidacta, leyendo las obras de Laplace, Jacobi y otros matemáticos de renombre. Finalmente, tras conseguir el permiso paterno, en 1839 Ingresó en la Academia de Teología y Filosofía de Münster para convertirse en profesor de nivel secundario de matemáticas. Weierstrass comenzó a trabajar como maestro en 1842, a la vez que iniciaba su carrera como investigador enviando una serie de artículos al Journal de Crelle. El éxito de sus trabajos fue tal que, a pesar de no poseer un doctorado, en 1856 se le ofreció un puesto de profesor en la Universidad de Berlín, cargo que Weierstrass aceptó inmediatamente. Sus trabajos, en los que hizo contribuciones esenciales a la fundamentación del cálculo, siempre se destacaron por sus altas exigencias de rigor lógico.
Al año siguiente de este nombramiento, en 1860, Riemann viajó a París, donde conoció a diversos matemáticos franceses de renombre, entre ellos a Charles Hermite (1822-1901), quien elogió sus trabajos. En aquella época, además, fue nombrado miembro de la Academia Francesa de Ciencias, así como de la Real Sociedad de Londres.
De este modo, Riemann finalmente comenzaba a obtener el reconocimiento que merecía. En el plano personal, por otra parte, el futuro también se mostraba prometedor. Por un lado, el aumento de salario que implicaba su nuevo cargo le permitió incrementar la ayuda económica que enviaba a su familia. Por otro, en junio de 1862 contrajo matrimonio con Elise Koch, una amiga de sus hermanas, y un año después nació su hija, a la que llamaron Ida en homenaje a la hermana mayor de Bernhard.

Elise Koch quien se casó con el matemático en 1862
Sus últimos años
Tanto Riemann como todos sus hermanos tuvieron siempre una salud muy frágil; como ya se apuntó, los historiadores suelen atribuir esta circunstancia a la mala alimentación y a la falta de cuidados médicos que todos ellos padecieron durante la infancia. Pero fuese cual fuese el motivo, la verdad es que ninguno de los cinco hermanos de Riemann logró alcanzar una edad avanzada. De hecho, la única hermana que lo sobrevivió fue Ida. Su hermana Clara murió en 1855, su hermana María y su único hermano varón (que era empleado de correos en Bremen y, por tanto, constituía otro de los sostenes económicos de la familia) fallecieron ambos en 1857, y su hermana Elena, en 1864; todos ellos alrededor de los cuarenta años de edad.
En cuanto a Bernhard, un mes después de haberse casado, en julio de 1862, cayó enfermo de pleuritis (una inflamación de los pulmones), que poco tiempo después se transformó en tuberculosis. Y como los meses pasaban y la situación no mejoraba, en diciembre, al acercarse el invierno, los médicos le aconsejaron que viajara a Italia, con la esperanza de que el clima más benigno de ese país lo ayudara a recuperarse. La situación económica de Riemann, aunque mucho mejor que la de años anteriores, no le permitía concederse lujos semejantes y el viaje solo fue posible gracias a la ayuda de algunos amigos que le prestaron el dinero necesario.
«La hipótesis de Riemann no es un simple problema, es “el" problema, el más importante de los problemas de las matemáticas puras.»El clima más cálido logró que Riemann se sintiera mejor y, en consecuencia, en marzo de 1863 regresó a Gotinga con la intención de reintegrarse a sus deberes académicos; pero a los pocos meses sufrió una recaída y en agosto tuvo que volver a Italia, donde nació su hija Ida. Su situación económica volvía a ser complicada y, a modo de ayuda, la Universidad de Pisa le ofreció una cátedra, pero le fue imposible aceptarla debido a su lastimoso estado de salud. Afortunadamente, gracias a la intervención de sus amigos alemanes, la Universidad de Gotinga aceptó enviarle una importante suma de dinero, ayuda que le permitió alquilar una casa en el campo.
Enrico Bombieri, matemático del Instituto de estudios avanzados de Princeton.
Dos años más tarde, en octubre de 1865, Riemann regresó por última vez a Gotinga. Allí se reunió con algunos colegas y puso en orden sus papeles; poco después volvió a Italia. Por ese tiempo Dedekind escribió: «Sus fuerzas declinaban rápidamente y comprendía que el final estaba próximo». En esta nueva estadía italiana Riemann se instaló en la ciudad de Selasca, al norte del país. Allí murió, acompañado por su esposa, el 20 de julio de 1866, a la edad de treinta y nueve años. Su epitafio, redactadlo por sus amigos italianos, destaca el aspecto religioso de la vida de Riemann por encima del aspecto científico (Riemann siempre fue creyente). El texto del epitafio es:
«Todas las cosas trabajan para el bien de los que aman al Señor».Hoy en día Riemann sigue vivo en sus escritos, en las ideas que concibió y en todo lo que estas produjeron, y también en los problemas que planteó, muy especialmente en uno de ellos, una conjetura tan trascendente que para, muchos de los matemáticos de los últimos 150 años ha sido, y es todavía, el más importante de todos los problemas matemáticos aún no resueltos. Se trata de la cuestión conocida como la hipótesis de Riemann, que resulta ser la clave para desentrañar el misterio de la distribución de los números primos.
Los números primos
Como ya se apuntó, en 1859 Riemann fue elegido miembro de la Academia de Ciencias de Berlín. En aquella época era costumbre que cada nuevo miembro de la Academia expusiera ante sus colegas el resultado de alguna investigación propia y original, y, obviamente, Riemann cumplió con este requisito. Su exposición, que quedó registrada en el informe mensual de la Academia correspondiente a noviembre de aquel año, lleva por título «Ueber die Anzahl der Primzahlen unter einter gegebenen Grösse» («Sobre el número de primos por debajo de un determinado valor») y en él planteó la famosa hipótesis de Riemann. Para entender de qué trata este problema, comencemos hablando de los números primos.
Se llaman primos a todos los números naturales que solo son divisibles por 1 y por sí mismos. Por ejemplo, 3 es primo porque solo es divisible por l y por 3, mientras que 9 no lo es porque, además de por 1 y por 9, también es divisible por 3. Los primeros números primos son 2, 3, 5, 7, 11, 13, 17, 19, 23,... Debido a razones técnicas ni el 1 ni el 0 son considerados primos. Por otra parte, existen también primos negativos, que son los números -2, -3, -6, -7, -11, -13, -17, -19, -23,..., pero no nos ocuparemos de ellos debido a que, como puede verse, solo son el «reflejo» de los primos positivos.
Una primera pregunta que puede hacerse es si terminan alguna vez; en otras palabras, ¿existe un último número primo, o por el contrario, estos siguen indefinidamente? El primero en dar una respuesta rigurosa a esta pregunta fue, hasta donde se sabe, Euclides de Alejandría en el siglo III a.C. En el teorema 20 del Libro IX de su obra más famosa, los Elementos, Euclides demuestra que existe una cantidad infinita de números primos, es decir, que los primos nunca terminan. Por otra parte, una de las características más importantes de los primos consiste en que son los «ladrillos básicos» de los números naturales, en el sentido de que todo número natural mayor que 1, o bien es primo, o bien se escribe de manera única como producto de primos; por ejemplo, 6 = 2 × 3 y esa es la única forma de escribirlo como producto de primos (dejando de lado el hecho obvio de que también puede escribirse como 6 = 3 × 2). Otros ejemplos son 8 = 2 × 2 × 2; 15 = 3 × 5 y 21 = 3 × 7.
La propiedad de los números primos que más ha atraído el interés de los matemáticos durante siglos es su comportamiento aparentemente «caótico» y «aleatorio».
Existen infinitos primosDada cualquier cantidad finita de números primos, siempre existe un primo más (lo cual implica, por supuesto, que no existe un último número primo). Tomemos una cantidad finita de primos, digamos, p1, p2, p3,…pn, y definamos a continuación el número N como el resultado de sumar 1 al producto de todos ellos; N = p1×p2×p3× … ×pn + 1. Observemos que si dividimos a N por p1, el resto es 1, y que lo mismo sucede si lo dividimos por cualquiera de los otros números p2, p3, …, pn. Ahora bien, el número N como todo número natural, tiene algún divisor primo (si N es primo, el divisor es el propio número N). Llamemos q a un divisor primo de N. ¿Puede ser q = p1? No, porque q es divisor de N mientras que p1 no lo es, porque N dividido por q, da resto 1). Por la misma razón, q no puede ser ninguno de los números, es decir, q es un primo diferente de todos los que teníamos al principio. De este modo, queda probado que, dados los primos p1, p2, p3,…, pn existe un primo q que es distinto de todos ellos.
¿Qué significa esto exactamente? Comencemos por decir que se llama laguna de primos a cualquier secuencia formada por números naturales consecutivos, en los que no aparece ningún primo (figura 1); es decir, secuencias que implican, precisamente, una «laguna» o una interrupción en la sucesión de los números primos.

Ahora bien, puede probarse que, dado cualquier número N, no importa lo grande que sea, siempre existe una laguna cuya longitud es al menos igual que N. En otras palabras, hay pares de primos consecutivos tan alejados entre sí como se quiera. La distancia entre 89 y 97 es 8, pero hay primos consecutivos cuya distancia es mayor a un millón, o a mil millones, o a un trillón.
Al mismo tiempo, sin embargo, se cree que existe una cantidad infinita de parejas de primos gemelos; es decir, infinitas parejas de primos cuya diferencia es exactamente igual a 2. Son pares de primos gemelos, por ejemplo, (3,5), (5,7), (11,13), (71,73) y también (2003663613×219500 - 1; 2 003663613×2195000 + 1), estos dos últimos son números de más de 58000 cifras cada uno. Los primeros 16 pares de primos gemelos son los siguientes: (3,6), (5,7), (11,13), (17,19), (29,31), (41,43), (59,61), (71,73), (101,103), (107,109), (137,139), (149,151), (179,181), (191,193), (197,199).
Estos dos hechos reunidos ejemplifican lo que hemos llamado «el comportamiento caótico» de los números primos. Por un lado, a la secuencia de los primos existen términos consecutivos tan alejados entre sí como se quiera (a millones y millones de números de distancia, por ejemplo), a la vez que, según se cree, existen infinitas parejas de primos cuya distancia es solamente 2. Más aún, no existe, en principio, ningún modo de saber si un primo dado marca el inicio de una laguna larguísima de cientos de miles de números, o una muy breve de solo unos pocos.
Conjeturas
Como ya se apuntó, este comportamiento «extraño» de los números primos ha fascinado durante siglos a los matemáticos, quienes han formulado decenas de problemas relacionados con ellos, muchos de los cuales permanecen todavía sin resolver. En general estos problemas están enunciados en la forma de una conjetura, que es una afirmación matemática de la que se cree que es verdad pero que nadie ha podido aún demostrar ni refutar.
Por ejemplo, antes se ha mencionado la conjetura de los primos gemelos, que dice que existen infinitas parejas de primos cuya diferencia es 2. Es interesante señalar que, aunque el problema no ha sido resuelto, se han hecho algunos avances en esa dirección.
Lagunas de primosDado cualquier N, es siempre posible encontrar N números consecutivos ninguno de los cuales es primo (es decir, existe una laguna de primos de longitud N). Para ello recordemos que si M es un número entero mayor que 1 se define como M! (se lee «factorial de M») al producto de todos los números naturales entre 1 y M, es decir. M! = 1×2×3×…×M. Dado N, consideremos la secuencia formada por los N números consecutivos que se obtienen sumando al factorial de N + 1 los números 2, 3, 4,…, N + 1. Es decir, tomamos la secuencia: (N + l)! + 2, (N + 1)! + 3, (N + l)! + 4… (N + 1) + N + 1.La secuencia está formada, como ya se dijo, por N números y además ninguno de ellos es primo: (N + l)! + 2 no es primo porque es divisible por 2. (N + 1)! + 3 no es primo porque es divisible por 3 y así sucesivamente. Aunque acabamos de mostrar el modo de hallar una laguna de longitud N, la que hemos hallado no es la única laguna posible. Por ejemplo, si buscáramos una laguna de longitud 7 el método nos diría que es la que va desde 8! + 2 = 40 322 hasta 8! + 8 = 40328; sin embargo, otra laguna de la misma longitud es la que va desde el número 90 hasta el 96,
En 1973 el matemático chino Chen Jingrun (1933-1996) mostró que existen infinitos números primos p tales que p + 2 es, o bien primo, o bien es el producto de dos números primos. Es existen infinitas parejas en las que uno de los dos «gemelos» es un número primo mientras que el otro es, o bien un primo, o bien, tan «parecido» a un primo como es posible.
En otro sentido, en mayo de 2013 el también matemático chino Yitang Zhang (n, 1955) demostró que existen infinitos pares de primos que están separados por una distancia menor a 70.000.000; en otras palabras, que existen infinitas lagunas cuya longitud es menor que esa cantidad. Poco tiempo después, este resultado fue mejorado cuando se demostró que existen infinitos pares de primos separados por una distancia menor a 10206.
Dado que el problema pide demostrar que existen infinitos pares de primos cuya distancia es igual a 2, tal vez parezca un logro muy inferior el haber probado que hay infinitos pares de primos cuya distancia es menor a 10206. Pero la verdad es que se trata de un avance enorme, ya que antes de que Yitang Zhang demostrara su teorema no se sabía si había infinitos pares de primos a una distancia finita, no importa cuál fuera esta. Bien podría haber sucedido que a partir de algún momento las distancias entre primos consecutivos crecieran indefinidamente, pero ahora sabemos que hay infinitos pares de primos a una distancia fija y finita, y no es imposible imaginar que en algún momento esa distancia pueda ser reducida de 10206 a 2 (aunque no necesariamente usando los misinos métodos que Yitang Zhang).
Otro problema famoso relativo a los números primos es la conjetura de Goldbach, llamada así porque fue formulada por primera vez por el matemático alemán Christian Goldbach (1690-1764) en una carta enviada a Leonhard Euler el 7 de junio de 1742. Esta conjetura dice, simplemente, que todo número par mayor que 2 es la suma de dos números primos; por ejemplo: 4 = 2 + 2, 6 = 3 + 3, 8 = 3 + 5, 10 = 3 + 7, 12 = 5 + 7...
Se ha comprobado que todo número par menor que 1018 (un 1 seguido de 18 ceros) es la suma de dos números primos, pero todavía no se ha podido demostrar que esto sea cierto para todos los infinitos números pares que existen, así como tampoco se ha encontrado un número par para el cual la afirmación falle. Sí se han podido demostrar algunas afirmaciones relacionadas con esta conjetura; así, por ejemplo, en 1937 el matemático ruso Iván Vinogradov (1891-1983) probó que «casi todos» los números impares mayores que 5 son suma de tres números primos. Este «casi todos» significa que si la afirmación falla para algunos números impares, entonces solo puede fallar para una cantidad finita de ellos.
La «otra» conjetura de GoldbachGoldbach hizo diversas aportaciones a la aritmética, la mayoría de las cuales aparecen expuestas por primera vez en la correspondencia que sostuvo con su amigo Leonhard Euler entre 1729 y 1764 (entre ambos escribieron más de 150 cartas). Fue en una de esas cartas, fechada en junio de 1742, donde Goldbach formuló la conjetura que lleva su nombre, pero no fue la única. En una carta posterior, fechada el 18 de noviembre de 1752, Goldbach afirmaba que todo número impar mayor que 3 puede escribirse como la suma del doble de un cuadrado más un primo; por ejemplo:5 = 2 × 12 + 3
7 = 2 ×12 + 5
9 = 2 ×12 + 7
11 = 2 ×22 + 3
17 = 2 ×20 + 17
Tanto Euler como Goldbach estaban convencidos de que esta conjetura era cierta, sin embargo, resulta que es falsa.
En 1856 Moritz Abraham Stern (1807-1894), profesor de matemáticas de Gotinga, comprobó que la conjetura falla para los números 5777 y 5993, ya que ninguno de los dos puede escribirse como la suma del doble de un cuadrado más un primo.Hasta el día de hoy son los dos únicos números que se conocen para los cuales la conjetura no se cumple.
Fragmento de la carta de Goldbach a Euler en la que formuló su famosa conjetura.
El último problema no resuelto que vamos a comentar se relaciona con los primos de Mersenne, así llamados en homenaje al matemático y monje francés Marín Mersenne, quien los estudió a principios del siglo XVII. Se llama «primo de Mersenne» a cualquier número primo que sea de la forma 2n -1; es decir, cualquier primo que se obtenga restando 1 a una potencia de 2. Por ejemplo, son primos de Mersenne: 3 = 22 - 1; 7 = 23 - 1; 31 = 25 -1...
En este caso La conjetura dice que la cantidad de primos de Mersenne es infinita; es decir, que nunca se terminan. Al momento de escribir estas líneas se conocen 48 números que son primos de Mersenne, el mayor de los cuáles tiene más de 17 millones de cifras. Sin embargo, todavía no se sabe si hay, o no, una cantidad infinita de ellos.
Muchos de los problemas que hemos mencionado, así como muchos otros relacionados con los números primos, podrían resolverse si se conociera con precisión cómo es la distribución de los números primos, ¿Qué significa esto? Dicho brevemente, dados dos números naturales n y m, el problema de la distribución de los números primos pide determinar cuántos primos hay en el intervalo que va entre n y m. Esta cantidad, obviamente, depende de cuáles sean exactamente los números n y m; dado el comportamiento «errático» de los números primos, esa cantidad va variando de una manera muy compleja.
Nótese, por ejemplo, que tener un conocimiento preciso de cómo es la distribución de los números primos nos daría una información muy valiosa para resolver el problema de los primos gemelos, ya que este puede reformularse de esta manera: ¿existen infinitos números impares n tales que en el intervalo que va entre n y n + 2 (inclusive) hay exactamente dos primos?
La función pi
Si n es un número natural, suele llamarse π(n) a la cantidad de primos que hay entre 1 y n inclusive; por ejemplo, π(9) = 4, ya que entre 1 y 9 hay cuatro primos: 2, 3, 5 y 7, mientras que π(11) = 5, ya que a los cuatro anteriores se agrega el 11.
Marin Mersenne (1588-1648)Mersenne nació en Olzé (Francia) y estudió en la escuela Jesuítica de La Flèche, que recibía niños independientemente del nivel económico de sus padres, que en su caso eran muy pobres. En esa escuela conoció a René Descartes, que también estudiaba allí, y con quien mantuvo una larga amistad. Mersenne completó su educación en el Collège Royale de París, donde se graduó en filosofía y teología; inmediatamente después, en 1611, ingresó en un monasterio de la Orden de los Mínimos, orden cuyos miembros se dedican al estudio y la enseñanza. En 1616 fue designado superior de uno de los monasterios de París, donde permaneció, excepto por algunos viajes muy breves, hasta su muerte en 1648. En 1623 comenzó a relacionarse con una larga serie de sabios de toda Europa, con quienes mantuvo una intensa correspondencia y también algunos encuentros en París. Entre ellos estaban René Descartes. Gilles de Roberval, Pierre de Fermat, Christiaan Huygens. Galileo Galilei. Thomas Hobbes, Étienne Pascal y su hijo Blaise Pascal. Mersenne actuó como nexo entre ellos para la discusión de cuestiones científicas y filosóficas, y especialmente matemáticas, ya que esta última ciencia jugó un papel muy importante en su vida desde el principio de su estadía en París.En este último terreno, publicó estudios, entre otros temas, sobre las propiedades de la cicloide y sobre los primos que llevan su nombre. También estaba muy interesado en la música y dedicó mucho tiempo a hacer investigaciones sobre la generación y la medición de la velocidad del sonido. En este sentido, en 1627 publicó uno de sus trabajos más famosos, La armonía universal, siendo el primero en publicar las leyes que rigen el comportamiento de las cuerdas vibrantes. Mersenne envió este trabajo a Christiaan Huygens, quien lo tomó como base para su teoría de la música y su teoría ondulatoria de la luz. En octubre de 1644 viajó a Italia donde conoció a Evangelista Torricelli y supo de sus investigaciones con el barómetro. De regreso en París, Mersenne difundió el experimento por toda Francia y alentó a los investigadores franceses a reproducirlo. En su testamento legó su cuerpo para que fuera usado en experimentos biológicos.
Como se muestra en la figura 2, si para cada natural n se conoce el valor exacto de π(n) entonces puede saberse la cantidad de primos que hay entre n y m.

Es necesario, por lo tanto, un modo más «inteligente» de calcular el valor de π(n).

Riemann en una de las fotografías tomadas en Florencia en 1863
La tabla siguiente nos muestra algunos valores de π(n) con las aproximaciones que da la fórmula n/ln(n). Sin embargo, la aproximación que proporciona esta fórmula, aunque muy buena, no es la única ni necesariamente la mejor.





Ahora bien, mientras que Euler solo consideraba a s como un número real mayor que 1, Riemann, en cambio, extendió la idea a todo el plano complejo; y de este modo definió la que hoy es conocida como la función zeta de Riemann («zeta» es aquí el nombre de la letra griega ζ). En efecto, si s es un número real mayor que 1 (el caso que consideraba Euler), entonces ζ(s), que se lee «zeta de s» y se define como el resultado de la suma infinita que antes escribimos:


Ahora bien, sucede que el comportamiento de una función de variable compleja quedaría muy determinado por el valor de sus raíces, que es el nombre que se les da a los números donde la función vale 0. Por ejemplo, las raíces de la función f(z) = 1 + x2 son i y –i ya que f(i) = 1 + i2 = 1 + (-1) = 0 y f (-i) = 1 + (-13) = 1 + (-1) = 0.
¿Qué sucede con las raíces de la función zeta? Se puede probar que esta función vale 0 en todos los números enteros negativos pares; en otras palabras, ocurre que ζ(-2) = 0, ζ(-4) = 0, ζ(-6) = 0, etc. Los números pares
negativos son las raíces triviales de la función zeta, ya que son todos bien conocidos. Pero existe también una cantidad infinita de raíces no triviales; es decir, otros infinitos números complejos en los que la función vale cero y cuyos valores no son completamente conocidos.Como dijimos antes, el comportamiento de la función zeta está determinado por sus raíces; por otra parte, la función zeta, como también vimos, se relaciona estrechamente con los números primos. Por lo tanto, conocer exactamente cuáles son todas las raíces de la función zeta nos daría mucha información acerca de la distribución de los números primos. Por ejemplo, según demostró Riemann, π(n) puede calcularse de manera exacta como
R(n) - (R(nr1) + R(nr2) + R(nr3) + ...),
donde R es una función conocida y r1, r2, r3, son las raíces de la función zeta.En su trabajo de 1859 Riemann demostró que todas las raíces no triviales están ubicadas en la franja vertical del plano complejo comprendida entre 0 y 1 (figura3).
Sin embargo, la mayoría de las aplicaciones de la función zeta a los problemas relacionados con los números primos requieren una información más precisa; de hecho, requieren que todas esas raíces no triviales estén en la recta vertical que hace de eje de simetría de la franja.

Página del informe de la Academia de Ciencias de Berlín dedicado a la exposición de Riemann en la que planteó su famosa hipótesis.
Hipótesis de Riemann (problema aún no resuelto): todas Las raíces no triviales de la función zeta están en la recta vertical que corresponde al valor 1/2.
En la actualidad no se sabe todavía si la hipótesis es verdadera o falsa. Mediante el uso de computadoras se han encontrado más de 150 millones de raíces no triviales de la función zeta, todas ellas ubicadas en la recta vertical «correcta»; sin embargo, no se ha podido demostrar que todas ellas estén allí, ni tampoco se ha encontrado ninguna raíz no trivial fuera de esa recta.
¿Por qué la hipótesis de Riemann es un problema tan relevante? Como ya se apuntó anteriormente, ello se debe a que muchos de los problemas relacionados con la distribución de los números primos están asociados con ella. Por ejemplo, puede probarse que hay una relación directa entre el tamaño de las regiones del plano complejo «libres de raíces» y las lagunas de primos; más concretamente, conocer la distancia entre dos raíces no triviales que sean consecutivas en la recta «crítica» da información directa sobre los tamaños posibles de Las lagunas de primos.
Otro ejemplo de la importancia de la hipótesis de Riemann es el hecho de que en 1997 se probó que si una versión de la hipótesis de Riemann es cierta (versión conocida como la hipótesis de Riemann generalizada) entonces todo número impar mayor que 5 sería suma de tres primos (y no solo «casi todos», tal como demostró Vinogradov).
Hay otros ejemplos, pero la mayoría de ellos son muy técnicos. Agregaremos solamente que se ha demostrado que si p y q son primos consecutivos, y la hipótesis de Riemann es cierta, entonces la diferencia q - p (que es la distancia entre p y q) es siempre menor a √p ×ln(p); resultado que, una vez más, da información sobre las longitudes posibles de las lagunas de primos.
Por todo lo dicho, la hipótesis de Riemann es el más importante de todos los problemas no resueltos relacionados con la aritmética, y es, de hecho, uno de los problemas no resueltos más importantes de todas las matemáticas. En este sentido, es importante mencionar dos hechos. En el año 1900 se desarrolló en París el Segundo Congreso Internacional de Matemáticas; la conferencia inaugural de ese congreso estuvo a cargo de David Hilbert, quien planteó en ella los 23 problemas que, a su juicio, iban a guiar la investigación matemática a lo largo del siglo XX. El octavo problema de la lista de Hilbert era la hipótesis de Riemann.
«Un periodista le preguntó a David Hilbert cuál sería su primera pregunta si pudiera resucitar 500 años después de su muerte, a lo que este respondió sin titubeos: “¿Ha demostrado alguien la hipótesis de Riemann?”».Un siglo más tarde, en el año 2000, el instituto Clay de Matemáticas de Cambridge, Massachusetts, siguiendo el ejemplo de Hilbert, planteó los que llamó los siete problemas del milenio, los siete problemas no resueltos más importantes de las matemáticas, y ofreció además un premio de un millón de dólares a quien resolviese uno de ellos. La hipótesis de Riemann es el cuarto de esos problemas.
José Manuel Sánchez Muñoz, Historias de matemáticos. Riemann y los números primos.
El problema lleva 150 años sin respuesta, pero en este mismo instante hay investigadores que están trabajando en su búsqueda. Porque, si hay algo que puede decirse de los matemáticos, es que son tenaces y que nunca se dan por vencidos.
Reflexiones finales
Durante su carrera científica, Riemann, entre otros logros, le dio un impulso hasta entonces desconocido a la topología (actualmente una de las ramas más fecundas de las matemáticas), sentó una de las bases matemáticas de la teoría de la relatividad y de la cosmología moderna, formuló el concepto de integral que se usa actualmente en las actividades prácticas (en física e ingeniería, por ejemplo), anticipó muchos de los conceptos centrales vinculados a la luz, la electricidad y el magnetismo, y planteó uno de los «problemas del milenio», el cual, de ser resuelto, daría una clave fundamental para comprender cómo se distribuyen los números primos. Esta serie de éxitos serían notables en el caso de cualquier científico, pero lo son muchísimo más si tenemos en cuenta la brevedad de la carrera de Riemann.
Es imposible especular sobre qué otros triunfos podría haber alcanzado Riemann de haber gozado de una vida más larga. No solo imposible, sino además completamente innecesario, porque en lugar de lamentamos por lo que no llegó a hacer, debemos, con toda justicia, celebrar todo aquello que Riemann nos legó, las ideas que desarrolló y los conceptos que creó, en todas aquellas que fueron sus victorias intelectuales y en las que Riemann todavía vive.
- Bell, E.T., Los grandes matemáticos, Buenos Aires, Losada, 2010.
- Boyer, C.B., Historia de la matemática, Madrid, Alianza, 2007.
- Brockman,. J. (editor), Universo, Barcelona, Crítica, 2012.
- Collette, J.P., Historia de las matemáticas, México, Siglo XXI, 2007.
- Grattan-Guiness, I. (compilador), Del cálculo a la teoría de conjuntos 1630-1910, Madrid, Alianza, 1980.
- O’Shea, D., La conjetura de Poincaré (En busca de la forma del universo), Barcelona, Tusquets, 2007.
- Riemann, B., Riemanniana selecta (Selección, traducción y comentarios de José Ferreirós), Madrid, CS1C,200Q.
- Stewart, I., Historia de las matemáticas, Barcelona, Crítica, 2008.
Gauss, nacido en Brunswick (Alemania), está considerado unánimemente como uno de los tres más grandes matemáticos de todos los tiempos, junto con Arquímedes e Isaac Newton. Un reconocimiento que llegó a recibir en vida. De su precocidad da cuenta una anécdota que protagonizó con tan solo nueve años de edad; el maestro de su escuela, de nombre Büttner, para mantener a sus alumnos ocupados, les mandó calcular la suma de todos los números de 1 al 100. Gauss halló el resultado correcto en pocos segundos gracias a un ingenioso razonamiento: imaginó que escribía la suma buscada dos veces, primero en orden creciente y luego decreciente, y que sumaba los números alineados verticalmente:
una inclinación alentada tanto por sus padres como por sus profesores. Cursó sus primeros estudios, primero en Bonn, y luego en Colonia, donde tuvo entre sus profesores a Georg Simón Ohm (el descubridor de la famosa ley de Ohm de la resistencia eléctrica). A los dieciséis años ya estaba preparado para Ingresar en la universidad, pero en aquella época los estándares de las instituciones alemanas no eran muy altos, por lo que prefirió estudiar en París. Allí conoció, entre otros, a Laplace, Legendre y Fourier. Debe señalarse que no muchos años después Alemania emprendió una serie de reformas educativas que hicieron de sus universidades las mejores de su tiempo, y que el propio Dirichlet jugó un papel muy importante en ese proceso. El matemático regresó a Alemania en 1825 y tres años más tarde se incorporó como profesor a la Universidad de Berlín, donde permaneció hasta 1855, año en que aceptó hacerse cargo de la cátedra de Gauss en la Universidad de Gotinga. Como matemático hizo contribuciones importantes al cálculo y la aritmética. Entre muchos otros, se le debe el teorema que dice que si a y b son números enteros cuyo máximo común divisor es igual a 1, entonces la sucesión a + b, 2a + b, 3a + b, contiene infinitos números primos.
Euler demostró que si t es un número real entonces ex es siempre un número complejo ubicado en la circunferencia centrada en el O y de radio 1, donde t es el ángulo, medido en radianes, que ese número forma con el eje de los números reales positivos (véase la figura). Cuando el ángulo es de 180º, es decir, cuando t = π, el numero complejo en cuestión es -1. Tenemos en consecuencia que eix = -1 de donde se deduce la famosa fórmula eiπ + 1 = 0.
protestante, al igual que su padre. En 1723 se doctoró con una tesis en la que comparaba las filosofías de Descartes y Newton. Pero Johann Bernoulli, famoso matemático de la época y profesor de aquella universidad, se dio cuenta del gran talento de Euler para las matemáticas y convenció al padre de éste para que le permitiera dedicarse a esa ciencia. Es así como inició en la misma universidad sus estudios de matemáticas, que completó en 1726. Euler pasó la mayor parte de su carrera en la Academia de Ciencias de San Petersburgo, donde ocupó la cátedra de Física, con la sola excepción del periodo comprendido entre 1759 y 1766, durante el cual formó parte de la Academia de Ciencias de Berlín, puesto al que renunció por serias discrepancias con algunos de sus colegas. Euler fue sin duda el matemático más importante del siglo XVIII; es también el matemático que más ha escrito en toda la historia de esta ciencia y uno de los científicos más productivos de todos los tiempos en cualquier área del conocimiento. Hizo aportaciones fundamentales a la física, el cálculo, la teoría de ecuaciones diferenciales, la aritmética, la geometría y el álgebra, y fue el iniciador de la topología, la teoría de grafos y la teoría analítica de números. Trece años antes de morir quedó completamente ciego, pero ello no hizo disminuir su ritmo de trabajo, ya que tenía una impresionante capacidad para el cálculo mental, así como una memoria fotográfica, Cincuenta años después de su muerte la Academia de Ciencias de San Petersburgo todavía seguía publicando sus trabajos inéditos.

Möbius nació en Schulpforta (Alemania) y, siguiendo los deseos de su familia, en 1809 ingresó en la Universidad de Leipzig con la intención de estudiar leyes. Pero pronto descubrió que no era esa su verdadera vocación y que prefería las ciencias. Por ese motivo en 1813 se matriculó en la Universidad de Gotinga, donde estudió astronomía con Gauss y matemáticas con Johann Pfaff (quien había sido el mentor de Gauss). En Gotinga, en 1815, se doctoró con un trabajo sobre astronomía; ese mismo año completó su trabajo de habilitación, con una investigación sobre matemáticas.


un tratado publicado en 1595 por el matemático, astrónomo y teólogo polaco Bartolomé Pitiscus (1561-1613). En cuanto al nombre de la función seno; a la cuerda correspondiente al arco de una circunferencia se la llamaba, en latín, inscripta corda o, simplemente, inscripta. A la mitad de esa cuerda (que, como se ve en la imagen, es el seno) se la llamaba semis inscriptas que se abreviaba s. ins., abreviatura que se unificaba como sins y se latinizaba como sinus, que en español se transforma en «seno». La palabra «coseno», por su parte, proviene de la abreviatura de complemento sinus, es decir, «seno del complemento»; ya que, efectivamente, sí α es un ángulo entre 0 y π/2 su complemento es el ángulo que mide π/2 – α y se tiene que cos(α) = sen(π/2 - α); es decir, el coseno de un ángulo es, efectivamente, el seno de su complemento.
La falta de recursos le habría impedido cursar estudios universitarios, pero Abel contó con la ayuda del matemático Bernt Michael Holmboë (1795-1850), quien fue su profesor en el colegio y reconoció su talento para las matemáticas, Holmboë recomendó a Abel y, gracias a ello, este obtuvo una beca para estudiar en la Universidad de Christiania, en Copenhague, donde ingresó en 1821. A pesar de que vivió solamente veintiséis años, Abel logró hacer contribuciones esenciales al álgebra y al cálculo. Así, por ejemplo, demostró, al mismo tiempo que Évariste Galois (1811-1832), la imposibilidad de resolver las ecuaciones de grado cinco; estudió las llamadas «integrales elípticas» y también contribuyó a la fundamentación lógica del cálculo. Abel falleció de tuberculosis en 1829.
Fourier fue uno de los muchos científicos de los que se rodeó Napoleón Bonaparte durante su carrera; y como consecuencia de este vinculo ocupó diversos cargos políticos, además de científicos. Como prefecto del departamento de Isére, Fourier descubrió el interés de Jean-François Champollion (1790-1832) por los jeroglíficos egipcios y lo alentó a intentar descifrarlos, objetivo que Champollion efectivamente alcanzó. Fourier hizo importantes aportes a la física y a las matemáticas, tanto puras como aplicadas, dentro del área del cálculo y el álgebra.
Ambos matemáticos descubrieron tempranamente el talento de Cauchy, cuya vocación quedó así marcada desde sus primeros años. En 1805 ingresó en la École Polytechnique, donde se graduó en 1807, y ese mismo año ingresó en la escuela de ingeniería, donde destacó tanto por sus conocimientos teóricos como prácticos. Cauchy fue pionero en la búsqueda de una fundamentación rigurosa para el cálculo; por ejemplo, fue el primero en hacer un estudio sistemático de las condiciones bajo las cuales una serie da como resultado una suma finita, y asimismo, fue el primero en dar una definición rigurosa de la integral. Fue también uno de los precursores del análisis complejo.
Weber nació en Wittenberg (Alemania) e ingresó en la Universidad de Halle en 1822, donde cuatro años más tarde se doctoró en física con una tesis sobre los mecanismos por los que se produce la voz humana. Al año siguiente expuso su Habilitationsschrift con una investigación relacionada con el mismo tema; la cual amplió en una serie de artículos publicados entre 1828 y 1830 en la revista Annalen der Physik und Chemie («Anales de física y química»). A partir de 1828 su prestigio académico comenzó a crecer rápidamente, sobre todo después de que ese mismo año Gauss asistiera a una de sus conferencias y manifestara la gran capacidad de aquel joven físico. En ese momento Gauss estaba muy interesado en el estudio del magnetismo terrestre y le ofreció a Weber un puesto en Gotinga para trabajar con él en esa investigación; ambos científicos colaboraron estrechamente entre 1831 y 1837. Aparte de su capacidad científica, Weber tenía una gran reputación como expositor. Durante sus conferencias, que eran muy apreciadas, solía realizar experimentos para ilustrar los temas tratados, una práctica muy novedosa para la época. También sostenía, y asimismo fue pionero en esta idea, que para aprender mejor, los estudiantes debían realizar los experimentos físicos por sí mismos en lugar de solo observar al profesor hacerlos. A lo largo de su vida Weber recibió muchos premios y honores; por ejemplo, en 1850 fue elegido miembro de la Real Sociedad de Londres; en 1874., miembro de la Real Sociedad de Edimburgo, y en 1879, miembro de la Academia Norteamericana de Artes y Ciencias. En 1935 se le dio el nombre de «weber» a la unidad de flujo magnético.
La capacidad del escocés James Clerk Maxwell para las matemáticas se manifestó muy pronto; así, por ejemplo, en 1846 escribió un artículo sobre curvas ovales, que él definía como el lugar geométrico de todos los puntos para los cuales la suma de m veces la distancia a un foco F1 mas n veces la distancia a un foco F2 es constante (véase la figura). En ese artículo, además, estudiaba curvas con tres o más focos, Maxwell expuso este trabajo, titulado «Sobre la descripción de las curvas ovales y de aquellas con una pluralidad de focos», ante la Real Sociedad de Edimburgo el 6 de abril de 1846;
y aunque muchas de las ideas contenidas en el artículo no eran completamente originales, ya que Descartes había estudiado temas similares casi dos siglos antes, no deja de ser notable que al escribirlo, y al exponerlo, Maxwell tuviera solo catorce años de edad. Maxwell se doctoró en matemáticas en 1854 en la Universidad de Cambridge, donde además trabajó como docente e investigador durante toda su carrera. Como científico, sus trabajos más importantes giraron en torno de la teoría de la electricidad y el magnetismo. Estas investigaciones llegaron a su punto culminante en 1873 con la publicación de sus famosas ecuaciones sobre la relación entre et campo magnético y el campo eléctrico, uno de los pilares fundamentales de la física moderna, y que hoy son conocidas como ecuaciones de Maxwell.
Boltzmann dice que existe la posibilidad (aun cuando la probabilidad de que esto ocurra sea pequeña) de que las moléculas de perfume, en su movimiento aleatorio, regresen espontáneamente a la botella y esta vuelva a llenarse. Conclusiones de este tipo se consideraban absurdas, por lo que los ataques a su teoría continuaron durante muchos años. Finalmente, el 5 de octubre de 1906 Boltzmann, quien siempre había sido propenso a la depresión, se suicidó. Aparentemente nunca llegó a saber que pocos meses antes Albert Einstein había publicado un artículo sobre el movimiento browniano que demostraba matemáticamente la consistencia de sus hipótesis, las cuales, además, fueron verificadas experimentalmente en la década siguiente gracias el desarrollo de la teoría atómica.
Bernoulli nació en Basilea, Suiza, y en 1683 ingresó en la universidad de esa ciudad con la intención de estudiar medicina: sin embargo, por influencia de su hermano, mayor Jacob (también matemático de renombre) fue interesándose cada vez más por las matemáticas hasta que finalmente estas se transformaron en su profesión. De todos modos, su tesis doctoral y sus primeros trabajos lograron combinar ambos intereses, ya que trataron de aplicaciones matemáticas en la medicina. .
finanzas y economía. Sin embargo, su vocación por las matemáticas era más fuerte y Weierstrass abandonó la universidad y se dedicó a estudiar esta materia de modo autodidacta, leyendo las obras de Laplace, Jacobi y otros matemáticos de renombre. Finalmente, tras conseguir el permiso paterno, en 1839 Ingresó en la Academia de Teología y Filosofía de Münster para convertirse en profesor de nivel secundario de matemáticas. Weierstrass comenzó a trabajar como maestro en 1842, a la vez que iniciaba su carrera como investigador enviando una serie de artículos al Journal de Crelle. El éxito de sus trabajos fue tal que, a pesar de no poseer un doctorado, en 1856 se le ofreció un puesto de profesor en la Universidad de Berlín, cargo que Weierstrass aceptó inmediatamente. Sus trabajos, en los que hizo contribuciones esenciales a la fundamentación del cálculo, siempre se destacaron por sus altas exigencias de rigor lógico.
En este último terreno, publicó estudios, entre otros temas, sobre las propiedades de la cicloide y sobre los primos que llevan su nombre. También estaba muy interesado en la música y dedicó mucho tiempo a hacer investigaciones sobre la generación y la medición de la velocidad del sonido. En este sentido, en 1627 publicó uno de sus trabajos más famosos, La armonía universal, siendo el primero en publicar las leyes que rigen el comportamiento de las cuerdas vibrantes. Mersenne envió este trabajo a Christiaan Huygens, quien lo tomó como base para su teoría de la música y su teoría ondulatoria de la luz. En octubre de 1644 viajó a Italia donde conoció a Evangelista Torricelli y supo de sus investigaciones con el barómetro. De regreso en París, Mersenne difundió el experimento por toda Francia y alentó a los investigadores franceses a reproducirlo. En su testamento legó su cuerpo para que fuera usado en experimentos biológicos.