Napier
Maite Gorriz y Santiago Vilches
Durante los siglos XVI y XVII los eruditos tenían una formación pluridisciplinar. Así, John Napier era amigo de John Craig, astrónomo y médico del rey Jacobo VI de Escocia. Tycho Brahe, el gran astrónomo de Uraniborg, tenía un laboratorio alquímico en el que procesaba productos con los que, entre otras cosas, se medicaba. Hoy nadie consideraría a Kepler un astrólogo, pero se sabe que hizo más de ochocientas predicciones astrológicas a notables de aquella época, gracias a las cuales pudo dar de comer a sus hijos. La formación académica que recibían provenía de universidades de reciente creación, dirigidas totalmente por los estamentos religiosos que ostentaban una enorme parte del poder y controlaban la transmisión de la sabiduría. Dicha formación se impartía en latín, lengua común para la religión y el conocimiento, que resultaba totalmente ininteligible para el pueblo llano, los jóvenes estudiantes, aparte del latín, estudiaban teología, leyes, filosofía, matemáticas, astronomía, astrología, medicina, alquimia, etc., sin una separación clara entre unas y otras disciplinas.Algunos científicos ilustres se dedicaron casi de manera exclusiva a una disciplina concreta y puede tener sentido hablar de un Tycho Brahe astrónomo o de un Leonhard Euler matemático, pero no era así en la mayoría de ellos. Este fue el caso de John Napier. Se sabe que recibió una notable formación académica en Europa y, aunque se ignora dónde estuvo exactamente, no cabe duda de que su formación incluyó todas las ramas del saber. Su personalidad práctica, racional, inquieta y atrevida lo llevó a acometer empresas muy diversas. Así, disfrutó de un contrato firmado por el rey Jacobo VI en 1596 que le otorgaba el monopolio de la construcción de una bomba de agua aplicando una mejora del sistema del tornillo de Arquímedes ideada por él. Asimismo, envió una carta al rey describiendo instrumentos bélicos inventados por él para defenderse de los ataques españoles de la Armada Invencible.
Todas estas iniciativas podían hacer pensar que Napier iba a pasar a la historia como ingeniero, pero él estaba convencido de que aquellas contribuciones no eran nada comparado con su verdadera aportación al conocimiento humano: su reinterpretación de los pasajes bíblicos del Apocalipsis de San Juan. Napier escribió A Plaine Discovery of the Whole Revelation of Saint John (Un descubrimiento preciso de toda la revelación de San Juan), en el contexto de la defensa de Escocia contra la amenaza española. El libro, publicado en 1593, tuvo un profundo impacto en Europa y se tradujo rápidamente al alemán y al francés. En los pasajes originales del Apocalipsis de San Juan aparecen profecías con tablas temporales que incluso Juan Calvino admitió que no entendía. Napier analiza estos pasajes con una estructura matemática y relaciona la derrota de la Armada Invencible española en 1538 con un «calendario preciso» revelado en el Apocalipsis en el que se determinaba que la «séptima y última edad de la historia había comenzado en 1541 y duraría hasta 1786». Además, urge al rey a expulsar del país a los seguidores del Papa, a quien muestra como el Anticristo.
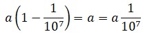
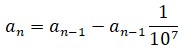
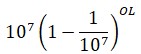
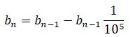
No obstante, el principal legado de John Napier fue su labor matemática. ¿Qué lo llevó a diseñar artilugios para realizar operaciones matemáticas? Es difícil de saber. No parece razonable que hubiera realizado tanto esfuerzo solo para simplificar los cálculos que utilizó en sus predicciones apocalípticas, ni siquiera para diseñar sus inventos ni para ajustar sus máquinas bélicas con precisión. Lo más probable es que sintiera esta necesidad en el contexto de su trabajo como alquímico. Sus estudios en aleaciones de metales estuvieron relacionados muy probablemente con la responsabilidad de su padre, sir Archibald Napier, al frente de la Casa de la Moneda de Escocia. John Napier solo se llevaba dieciséis años con su padre, que pudo ser para él como un hermano mayor. Como, tras la muerte de su madre, sir Archibald contrajo segundas nupcias poco tiempo antes de que lo hiciera su propio hijo, padre e hijo tuvieron entonces descendencia de la misma edad.
Plasmó sus ideas sobre los instrumentos de cálculo en un libro titulado Rabdologiae, publicado en 1617, donde explica la construcción y el funcionamiento de unas regletas conocidas en el mundo anglosajón como Napier bones (huesos de Napier), a causa del material con el que se fabricaban. También explica la construcción y el funcionamiento de un promptuario, una especie de arqueta con cajones en los que se almacenan regletas con unas tablas de multiplicar que se pueden ver a través de los agujeros de otras regletas. El promptuario es un instrumento muy interesante pero poco conocido. Si bien las regletas tuvieron un impacto inmediato y se utilizaron profusamente durante muchos años, con variaciones y mejoras, no ocurrió lo mismo con el promptuario, del que solamente se conserva un ejemplar, que se encuentra, paradójicamente, en el Museo Arqueológico Nacional de Madrid. Finalmente el libro presenta un impactante ábaco binario que revolucionó radicalmente el cálculo y se avanzó más de trescientos años a los sistemas binarios de los computadores modernos. No es de extrañar que este invento de Napier tuviera escaso impacto en una época en que la humanidad no estaba preparada para un avance de esa índole.
Su obra matemática más significativa fue la invención de los logaritmos, presentada en dos libros publicados respectivamente en 1614 y 1619: uno donde describe su funcionamiento,Mirifici logarithmorum canonis descriptio (Descripción de la maravillosa regla de los logaritmos), y otro en el que explica con detalle cómo se calculan, Mirifici logarithmorum canonis constructio (Construcción de la maravillosa regla de los logaritmos).
El impacto del logaritmo en el mundo matemático fue enorme. Nunca un descubrimiento matemático se ha difundido tan rápidamente y ha tenido más aceptación. Con él se reducían drásticamente los tiempos en los cálculos. Pese a ser concebido inicialmente para utilizarse de manera exclusiva sobre razones trigonométricas, su potencial se extendió a todos los contextos de cálculo y se vio la necesidad inmediata de crear nuevas tablas. Los elogios a su obra vinieron de todas partes del mundo. No obstante, algunos se mostraron reticentes a esta innovación. Napier intuyó que algunos científicos desconfiarían de su capacidad de elaborar una obra de esta magnitud, por lo que se sintió obligado a explicar el procedimiento, nada trivial, utilizado para desarrollar sus tablas. Sin embargo, ya no le quedaban energías, y su hijo Robert tuvo que finalizar su obra.
Al final de su vida, cuando le visitaban con admiración grandes matemáticos como Henry Briggs, Napier fue consciente de la importancia del logaritmo. Resulta paradójico constatar como un hombre que dedicó gran parte de su vida a agilizar el trabajo no solo de los matemáticos sino sobre todo de los calculistas profesionales no buscara la ayuda de unos y otros para llevar a cabo su inconmensurable tarea. Afirmaba que fue la obra, de un hombre solo y se lamentaba de los inconvenientes que eso le supuso, al verse obligado a invertir veinte años de su vida con el riesgo de cometer errores de cálculo que inutilizaran todo su trabajo.
No sabemos qué nuevos inventos matemáticos hubiera propuesto Napier de haber dispuesto de más tiempo. El ábaco binario y el logaritmo muestran que tenía una plasticidad imaginativa impropia de la época en la que vivió. La evolución conceptual del logaritmo desarrollada posteriormente por matemáticos como Jakob Bernoulli ha mostrado aspectos de belleza universal. El espíritu de Napier, en su forma de concebir el logaritmo, iba más allá del mero cálculo. La plasticidad de su visión dinámica que expresa su obra Mirifici logarithmorum canonis constructio es impresionante.
Todas las contribuciones matemáticas de Napier están dirigidas a facilitar la vida del resto de los mortales: a reducir el tiempo empleado en los tediosos cálculos, a mejorar los resultados, a minimizar los errores y a aumentar la precisión. El ejemplo más claro está en el logaritmo, del que se beneficiaron los astrónomos y los navegantes, actividades con las que él no tenía ninguna vinculación. Los frutos de su generosidad son abrumadores: cientos de miles de matemáticos, físicos, ingenieros, calculistas, banqueros, economistas, navegantes, estudiantes y científicos en general han visto facilitadas sus vidas gracias a las tablas de logaritmos que se han estado utilizando hasta la década de 1970. Hoy han sido sustituidas por las calculadoras, pero en esencia el logaritmo sigue formando parte de nuestras vidas.
| Cronología | |
| 1550 | Nace en Merchiston John Napier, hijo mayor del barón Archibald Napier, que entonces tenía dieciséis años, y Janet Bothweil. |
| 1563 | Ingresa en el Saint Salvator's College de la Universidad de Saint Andrews. El 20 de diciembre muere su madre. |
| 1566-1571 | Viaja al continente, y aunque no existe ninguna referencia, es muy probable que estudiara en la Universidad de París, pero no se descarta su estancia en Basilea, Ginebra, Jena o Marburgo. |
| 1572 | John se casa con Elizabeth Stirling, hija de James Stirling, con la que vivirá en el castillo de Gartness, junto con sus dos hijos, Archibald y Jane. |
| 1579 | Muere su esposa. Años después (no se sabe con exactitud) se casará en segundas nupcias con Agnes Chisholm, con quien tendrá diez hijos. El segundo hijo de este matrimonio, Robert, será su editor literario. |
| 1580 | Tras el fracaso de la Armada Invencible y dada la situación político-religiosa de Escocia, John Napier toma parte activa en el conflicto religioso como protestante, siendo nombrado Comisionado de la Asamblea General de la Iglesia de Escocia. |
| 1595 | Publica A Plaine discovery of the whole revelation of Saint John (Un descubrimiento preciso de toda la revelación de San Juan), donde reinterpreta matemáticamente el Apocalipsis determinando el día del Juicio Fina. |
| 1596 | Obtiene el monopolio en la fabricación de bombas de agua usando un sistema de su invención. |
| 1606 | Tras la muerte de su padre, Archibald Napier, la familia de John se traslada al castillo de Merchiston, donde vivirá hasta el fallecimiento del matemático. |
| 1614 | Publica Mirifici logarithmorum canonisdescriptio (Descripción de la maravillosa regla de los logaritmos). |
| 1615 | Henry Briggs, profesor de matemáticas del Gresham College de Londres, visita a John Napier en Merchiston. Se plantean construir unas segundas tablas. |
| 1617 | Publica Rabdologiae, en la que describe la construcción y el funcionamiento de varios artilugios pata el cálculo. El 4 de abril muere John Napier y deja incompleta la publicación de la construcción del logaritmo. Es enterrado en la cripta de la iglesia de Saint Cuthbert (anteriormente conocida como la West Kirk) en Edimburgo. |
| 1619 | Su hijo Robert publica póstumamente Mirifici logarithmum canonis constructio (Construcción de la maravillosa regla de los logaritmos ). |
Capítulo 1
Napier: ¿Un brujo loco?
John Napier fue un hombre de un tiempo caracterizado por el cambio histórico. Su personalidad aparentemente extravagante y radical responde a unos parámetros lógicos en el contexto en el que vivió. Escribió textos religiosos contra el papa de Rema y vivió inmerso en las supersticiones propias de una época en la que la predestinación era incuestionable. Pero también fue un hombre práctico y metódico que dedicó veinte años de su vida a confeccionar unas tablas destinadas a facilitar y acelerar los tediosos cálculos matemáticos.«El barón escocés John Napier era considerado por sus vecinos como un brujo que practicaba las ciencias ocultas. Vestido de negro, con un gallo negro como el carbón sobre el hombro, rondaba con aires furtivos por los alrededores de su castillo farfullando lo que parecía su álgebra apocalíptica: que entre 1688 y 1700 tendría lugar el Juicio Universal.» Esta es la sorprendente descripción que Marcus Du Sautoy (n. 1965), catedrático de Matemáticas en la Universidad de Oxford, hace de John Napier en su libro La música de los números primos.
Al leer esta descripción de un matemático que en su época revolucionó por completo las técnicas de cálculo facilitando con ello nuevos e increíbles descubrimientos, podría parecer que quizá Du Sautoy exageraba un poco sobre algunas extravagancias de Napier; pero en el salón de ilustres escoceses del Museo Nacional de Escocia (Edimburgo) puede verse un retrato gigantesco de Napier junto a una vitrina en la que lo más destacable es un enorme gallo negro disecado.
¿Quién fue realmente John Napier? ¿Un brujo loco, un genio incomprendido o simplemente un hombre normal para su época? ¿Qué había de excepcional y de normal en su personalidad? No es fácil desvelar este misterio, pues existen pocas referencias históricas sobre su personalidad.
Algunas etapas de su vida son totalmente desconocidas y la mayor parte de la información sobre el personaje se basa en un libro publicado más de doscientos años después de su muerte por un descendiente suyo, Mark Napier. En cualquier caso, para entender tanto su personalidad como el mérito de sus logros matemáticos hay que conocer su vida, pero no solo las pequeñas anécdotas como la del gallo negro, sino también cómo era la sociedad de su tiempo, qué acontecimientos históricos vivió en primera persona y cómo estos pudieron forjar su personalidad.
§. Hijo de una época de cambios
Desde su emancipación territorial iniciada en 1329, Escocia tuvo que defenderse de los incesantes afanes expansionistas de Inglaterra. La necesidad de hacer frente a sus vecinos del sur obligó a los escoceses a establecer una alianza (Auld Alliance) con Francia, renovada una y otra vez.
Esta alianza ha llevado a algunos autores a afirmar que John Napier viajó a la edad de catorce años a Francia, donde se supone que se formó académicamente. De hecho, los ciudadanos escoceses tenían por derecho propio la posibilidad de adquirir la nacionalidad francesa.
En esta época, el poder de la Iglesia era enorme. A causa del abuso que ejercía de ese poder, la población escocesa mostraba un considerable grado de insatisfacción respecto a la conducta de sus representantes, lo que fue un caldo de cultivo para que las nuevas doctrinas de la Reforma penetraran entre ella con fuerza.
En ese estado de cosas, en 1559 el líder protestante escocés John Knox (1514-1572), apoyado por una incendiaria oratoria, lideró en el país la rebelión protestante que culminó un año después con una nueva «profesión de fe» y la abolición de la autoridad y jurisdicción del Papa. El influjo de la Reforma de Escocia fue enorme hasta cambiar las actitudes de los escoceses. John Napier es un claro ejemplo de ese nuevo espíritu caracterizado por la austeridad, la autosuficiencia y una gran preocupación por la educación y el conocimiento.
Las nuevas afianzas forjadas por afinidades religiosas e intereses expansionistas situaron a España como enemigo común de los protestantes ingleses y escoceses, lo que dio lugar a la guerra anglo-española (1585-1607). El fracaso de la Armada Invencible enviada por el monarca español Felipe II afianzó definitivamente el poder de los protestantes en Escocia cuyo monarca Jacobo VI acabó siendo también rey de Inglaterra tras la muerte de la reina Isabel en 1603.
§. Contexto científico y matemático
Ante las verdades irrefutables transmitidas por Dios, el descubrimiento de nuevos conceptos matemáticos resultaba irrelevante e incluso contraproducente. Esa fue la conclusión a la que negó ya Justiniano cuando en el año 527 se convirtió en emperador cristiano en Constantinopla.
Posteriormente, el rechazo y la persecución por parte de las autoridades eclesiásticas a cualquier avance que pudiera contradecir las verdades absolutas de las Sagradas Escrituras fueron muy pertinaces y alcanzaron a personajes coetáneos a Napier, como la familia Galilei en Italia. Sin embargo, la invención de la imprenta supuso el fin definitivo de la época oscura medieval. Además, a partir de ese momento los nuevos avances en matemáticas pasaron de escribirse mayoritariamente en árabe a publicarse en latín y en Europa.
Los técnicos y científicos del siglo XVI tenían especial formación geométrica y habilidad en cálculos. La ciencia estaba íntimamente unida a la maquinaria del Estado y se relacionaba principalmente con aplicaciones prácticas como la fortificación, la artillería, la construcción naval, la ingeniería y la arquitectura civil y militar, la minería y el «beneficio de los metales» así como con la navegación y la cosmografía.
Estos conocimientos tenían una naturaleza mucho más aplicada que teórica, de manera que podían considerarse técnicas más que ciencias.
Archibald Napier (1534-1608), séptimo barón de Merchiston, era muy joven cuando se casó con Janet Bothwell en 1549 y cuando nació su hijo John en 1550, en el castillo de Merchiston. Poco se sabe de la infancia de John, pero por las cartas intercambiadas entre su tío Adam Bothwell, obispo de Orkney, y su padre, Archibald, en las que aconsejaba dar una buena educación a su sobrino, se deduce que fue educado en la casa familiar por tutores y adquirió un buen nivel de gramática y latín mientras veía nacer a sus dos hermanos, Francis y Janet, y disfrutaba de la vida apacible que el entorno de Merchiston podía ofrecerle en una Escocia agitada.
En aquella época, los jóvenes varones de las familias influyentes eran enviados a la universidad para formarse en leyes. Así, en 1563, cuando John cumplió trece años, ingresó en el Saint Salvator's College de la Universidad de Saint Andrews, la más prestigiosa de la época en Escocia. El 20 de diciembre de ese mismo año murió su madre. John fue acompañado a Saint Salvator's por sirvientes varones y una lotrix, mujer mayor de cincuenta años cuyo trabajo consistía en lavar la ropa. No se han conservado cartas del joven a su padre o a su tío Adam durante sus estudios allí. Gracias al diario del reformador escocés James Melvill (1556-1614), que también estudió en la Universidad de Saint Andrews pocos años más tarde, existen algunas referencias de cómo era la vida de los jóvenes y sus diversiones en aquella época.
Durante el tiempo que pasó en la universidad, John vivió unas circunstancias que le impactaron y determinaron su visión religiosa. Fue discípulo del reformista inglés Christopher Goodman (1520- 1603), que le inculcó su interés por el Apocalipsis y que, junto con John Knox, lideró la reforma protestante. Ambos estuvieron exiliados en Ginebra, donde en 1560 se imprimió la Biblia del mismo nombre, la primera publicada en inglés. No existen registros de la graduación de John en Saint Andrews ni de su actividad en la universidad. Parece que su padre, Archibald, posiblemente aconsejado por su cuñado Adam, conocedor de la situación política y religiosa del país, envió a su hijo al extranjero. Durante este periodo de su vida, y hasta que regresó a Escocia en 1571, no hay constancia de dónde estuvo.
El castillo de MerchistonAlgunos grabados de la época ubican el castillo de Merchiston en una gran extensión de terreno a las afueras de la ciudad de Edimburgo. En la actualidad, ya no hay rastro de la entrada de piedrapresidida por dos leones que daba paso a los campos fértiles de Merchiston, donde se cuenta que la propia reina María de Escocia plantó un peral. El castillo de Merchiston hoy está completamente integrado en la ciudad de Edimburgo, en el barrio del mismo nombre, y forma parte del edificio de la Universidad Napier, que toma nombre de John Napier. El edificio universitario ha respetado la majestuosidad de la torre que albergó el nacimiento del matemático en 1550. En realidad, el castillo es una torre de cuatro plantas en forma de L con un ático. Entrando por la puerta frontal del campus Merchiston de la Universidad Napier se puede observar lo que fue en su tiempo la entrada principal en la cara sur de este edificio construido en el siglo XV. Desde el interior del edificio moderno de la universidad se tiene acceso al interior del castillo, que actualmente alberga despachos y salas de reuniones, después de un importante trabajo de restauración realizado en la década de 1960. En el techo de madera de la sala de entrada ubicada en la segunda planta se puede observar la heráldica de los principales propietarios de la torre durante cinco siglos.
Únicamente se conserva la carta de su tío Adam a su padre aconsejándole enviar a John a Flandes o a Francia.
No se ha conservado registro alguno de ninguna universidad europea en la que pudiera haber estudiado John Napier.

Retrato de John Napier, un hombre aparentemente extravagante, pero metódico y práctico.
El historiador escocés Mark Napier (1798-1879), biógrafo de John Napier, defiende la hipótesis de que John habría estudiado en la Universidad de París.

Retrato del sacerdote John Knox, que lideró la rebelión protestante en Escocia en el siglo XVI.

Saint Salvator's College, en la Universidad de Saint Andrews, donde estudió Napier.
John y Elizabeth se instalaron en el castillo de Gartness en Stirlingshire, en la ribera del río Endrick, cerca de Drymen, donde había dos molinos en una fértil extensión de tierra. La situación de la casa familiar de la joven pareja, lejos de los riesgos de la peste que asolaba la ciudad, garantizaba más seguridad a una nueva familia Allí nacieron sus hijos, Archibald, en 1576, que sería el noveno barón de Merchiston, y más tarde Jane. Tras la muerte de su esposa, Elizabeth, en 1579, John se casó con Agnes Chilsholm, prima segunda de aquella, con la que tendría cinco hijos y cinco hijas. Durante ese período, John difícilmente podría haber vivido
La fama de NapierMuchas de las anécdotas que dieron fama de loco o de brujo a John Napier corresponden al periodo en el que vivía en el castillo de Gartness, en Stirlingshire. Por ejemplo, la que relaciona su personaje con el gallo negro.Entre los sirvientes de la familia había un ladrón que causaba perjuicios a la hacienda familiar, y Napier urdió la manera de descubrir al farsante utilizando sus supuestas artes mágicas. Explicó a todos los sirvientes que deberían acceder a una sala en penumbra y acariciar a su gallo negro, que le revelaría la identidad del traidor. Se cuenta que John untó las plumas del gallo negro con carbón antes de que fuera acariciado por aquellos. Cuando todos habían pasado sus manos por encima del lomo del gallo, les pidió que las mostraran. Todos los sirvientes tenían las manos sucias excepto uno, que, atenazado por el miedo a ser descubierto, no llegó a tocar el gallo. De esta manera. John pudo identificar fácilmente al ladrón. Esta anécdota confirmar la personalidad racional de John Napier y no su supuesta tendencia a la superstición.
Los registros que narran las anécdotas sobre John Napier no fueron escritos durante su vida, con lo que no existe la certeza absoluta de que sean verdaderas. Es verosímil que en una zona rural y lejana de la moderna Edimburgo un personaje como John Napier sorprendiera a los habitantes de Gartness, sin estudios y habituados a su vida campestre. Los lugareños, cuando conocieron a John, ensimismado en sus escritos y libros, con su negro atuendo, propio de las personas influyentes en aquella época, y con sus idas y venidas a Merchiston, seguramente le atribuyeron conductas propias de las artes negras por desconocimiento de su actividad. Según la biografía escrita por Mark Napier, doscientos años después la tradición oral en Gartness transmitía aún historias del brujo Napier, según las cuales caminaba de noche con camisón y gorro y su gallo negro en el hombro porque el sonido constante del molino no lo dejaba dormir y aprovechaba para hacer actos de brujería cuando nadie podía observarlo.
§. Ingeniero
Sin embargo, los documentos de esta época nos presentan a un John Napier ingeniero. Existe, por ejemplo, una carta suya del 7 de junio de 1596 dirigida a Anthony Bacon, hermano del filósofo y científico Francis Bacon (1561-1626) y secretario del conde de Essex, en la que se mencionan sus «invenciones secretas» junto con un contrato manuscrito de 1594 entre Robert Logane de Restalrige y John Napier, barón de Merchiston. Estos documentos nos muestran sus capacidades como ingeniero, incluidos conocimientos de física y química, que en aquel entonces podían ser interpretados como alquimia y magia negra o como grandes inventos.
En la guerra anglo-española (1685-1604), la reina Isabel I de Inglaterra simbolizaba la defensa de la Reforma religiosa, y Napier, muy comprometido con ella, contribuyó en su defensa contra el monarca católico. Su referente era Arquímedes, que había utilizado su ingenio para defender Siracusa del ataque romano durante tres años. Emulando al matemático griego, Napier diseñó algunas máquinas de guerra para defender el país de la amenaza de los papistas. En la lista de sus «invenciones secretas», incluidas en la carta dirigida a Anthony Bacon, figuraban un espejo abrasador, un tanque, un submarino y una pieza de artillería de largo alcance. Además, mejoró el tornillo de Arquímedes para construir bombas de agua.
Finalmente, tras la muerte de la reina Isabel en 1603, Jacobo I de Inglaterra y VI de Escocia firmó un tratado de paz con España en 1604, favorable a esta última. Según sus descendientes, John Napier temió que sus invenciones secretas pudieran llegar a conocimiento de los papistas españoles y, para preservar al mundo del daño que esto pudiera ocasionar, decidió quemar todos sus inventos así como la documentación relativa a su construcción poco antes de la muerte de su padre en 1608.
«Estas invenciones, además de los dispositivos de navegación bajo el agua y estrategias para dañar al enemigo, por la gracia de Dios y obra de expertos artesanos espero realizar.»Protestante convencido, Napier contribuyó a la defensa de la Reforma frente a la España católica de Felipe II no solo desarrollando ingenios bélicos sino también profundizando en conceptos teológicos que reforzaran las teorías protestantes. La obra A Plaine Discovery of the Whole Revelation of Saint John, publicada en 1593, presenta a un John Napier teólogo.
John Napier, Barón de Merchiston.
TEÓLOGO
Muy influido por los sermones del reformista Christopher Goodman (1520-1603) sobre el Apocalipsis en Saint Andrews, se propuso desvelar los secretos implícitos en la revelación de San Juan. Estos textos eran tan ambiguos que incluso el teólogo protestante francés Juan Calvino (1509-1564) había admitido que no los entendía. El impacto del ataque de la Armada Invencible española en 1588 llevó a Napier a tomar aquella fecha como referencia inicial en el devenir apocalíptico descrito en la revelación de San Juan. A partir de ella, Napier matematizó totalmente los escritos del Apocalipsis y puso una fecha precisa al fin del mundo. Concluyó, además, con gran determinación que el Papa era el Anticristo. A Plaine Discovery of the Whole Revelation of Saint John, que presenta todas estas disertaciones de Napier, tuvo un gran impacto entre los reformistas de toda Europa En pocos años el original, escrito en latín, fue traducido a varios idiomas, comenzando por el inglés el mismo año de su publicación. En 1645 existían ya cinco ediciones en este idioma, en 1607 había tres en neerlandés y nueve en francés, y entre 1611 y 1627 se realizaron tres en alemán.
Capítulo 2
Abacistas versus algoristas
Los calculistas del tiempo de John Napier tenían un gran dominio del cálculo. Su labor era imprescindible en los medios comerciales y bancarios. Para sir Archibald Napier, maestro de la Casa de la Moneda de Escocia y padre de John, debieron de trabajar los mejores de Escoda. John Napier observó que los calculistas, para realizar todas las operaciones, tenían una dependencia absoluta del ábaco, que, si bien les dotaba de gran habilidad y precisión en los cálculos básicos, constituía un hándicap para realizar otros mucho más complejos.En 1576, sir Archibald Napier fue nombrado General of the Cunzie House (Maestro de la Casa de la Moneda.), el cargo más importante del organismo que se ocupaba de la acuñación de moneda en Escocia. Para desempeñar esta función se necesitaba contar con calculistas muy fiables, así que no es de extrañar que su hijo John estuviera familiarizado con el trabajo de estos.
Las técnicas utilizadas por los calculistas profesionales de entonces no habían cambiado nada en miles de años. Los ábacos romanos basados en mesas de cálculo donde se desplazaban piedras o discos metálicos seguían siendo sus herramientas favoritas. Las ventajas de la nueva numeración posicional de origen indio no calaban entre los profesionales del cálculo. John Napier debió de ser testigo de las competiciones entre defensores del ábaco (abscisas) y los partidarios de las técnicas algorítmicas de lápiz y papel (algoristas). Es posible que incluso participara en alguna de ellas. Siempre ganaba el ábaco, lo que constituyó el peor enemigo del desarrollo de la matemática algorítmica durante cientos de años.
§. El invencible ábaco
Los duelos de cálculo para retar al invencible ábaco se han prolongado casi hasta nuestros días. El último conocido y quizás uno de los más famosos fue el que protagonizó el ábaco contra una máquina de calcular.

Calculadora Burroughs similar a la que compitió con un ábaco japonés en 1946.
Se eligieron con esmero los dos púgiles calculistas. En el bando estadounidense, Thomas Nathan Wood, de la 20th Finance Disbursing Section del cuartel general del general MacArthur, que había sido seleccionado en un concurso de aritmética como el operador más experto de la calculadora eléctrica en Japón. En el bando japonés, Kiyoshi Matsuzaki, un campeón del ábaco que trabajaba en la Oficina de Ahorros del Ministerio de Administración Postal.
«Las herramientas de la edad de la máquina dieron ayer un paso atrás en el Teatro Emil Pyle cuando el ábaco, de siglos de antigüedad, derrotó a la máquina eléctrica de calcular más moderna que existe actualmente y que está siendo utilizada por el Gobierno de Estados Unidos. La victoria del ábaco fue contundente.»El resultado fue apabullante. El japonés encontró las soluciones con mucha más rapidez y con menos errores que el estadounidense. De las cinco pruebas, Kiyoshi venció en cuatro. Por ejemplo, Kiyoshi efectuó una suma de 50 números de entre 3 y 6 dígitos en un minuto y catorce segundos, mientras que Thomas tardó más de dos minutos. El resultado fue tan demoledor y humillante para los estadounidenses y para los defensores de la tecnología a ultranza que desde entonces ya no se ha repetido un acontecimiento similar y ha quedado el ábaco como vencedor absoluto en las competiciones entre calculistas.
Stars and Stripes, 13 de noviembre de 1946.
Existe un pequeño ejercicio neurocognitivo que consiste en cerrar los ojos, abrirlos, mirar una lámina de puntos por un período de tiempo no superior a un segundo y finalmente cerrar los ojos e intentar determinar cuántos puntos había en la lámina (figura 1). Pues bien, difícilmente se acertará la cantidad de puntos. Ha de quedar claro que el tiempo transcurrido con los ojos abiertos no debe permitir de ningún modo contar los puntos uno a uno
. Si se realiza un test con treinta láminas que presentan una cantidad arbitraria de entre 10 y 20 puntos distribuidos de manera aleatoria, y se anota el número de puntos que se piensa que hay en cada lámina, se podrá identificar la percepción numérica instantánea. Al efectuar este test, se puede comprobar que la percepción numérica humana es muy escasa. De hecho, el ser humano tiene una capacidad de percepción numérica inferior a cinco objetos. Cuando se realizan actividades de juego heurístico con niños de dos años y se les pide que elijan agrupaciones distintas de objetos con el fin de emparejarlos, aquellos acertarán las agrupaciones a emparejar si la cantidad de objetos es inferior a cinco. Por lo tanto, la escasa capacidad de percepción numérica es intrínseca al ser humano independientemente de su edad.
El concepto intuitivo de cantidad es mucho más primitivo que el de número, es decir, podemos encontrar estrategias para saber si tenemos la misma cantidad de manzanas que de personas sin tener la más remota idea de cuántas personas y manzanas hay, ni siquiera hace falta que conozcamos la idea de número. A principios del siglo XX todavía había tribus aisladas en el mundo cuya evolución cultural les había permitido subsistir sin haber desarrollado de manera clara el concepto de número. Así por ejemplo, la lengua de los botocudos del Brasil solo disponía de dos nombres de números, el 1 y el 2. Combinándolos llegaban a expresar los números 3 y 4. Los botocudos mostraban dificultades para expresar y comprender cantidades superiores a 4, pero esto no les impediría realizar trueques y repartos.
Podemos imaginar a un hombre primitivo presentar un montón de piedras en su mano para mostrar la cantidad de animales o de individuos que ha visto al otro lado de la ladera, e incluso realizar pequeñas operaciones aritméticas en trueques a base de acumular diferentes montones. Uno de los primeros testimonios arqueológicos de formas de contar existentes hasta la fecha es un hueso de babuino con 29 muescas que data del hombre de Cromañón, hace 35000 años. Fue encontrado en una excavación realizada en 1973 en la cordillera de Lebombo, en Suazilandia (África). Su aspecto es muy parecido al de los bastones que aún hoy en día utilizan los bosquimanos de Namibia para realizar sus recuentos.
El emparejamiento de objetos para determinar cantidades es muy primitivo e independiente del conocimiento del concepto de número. Para corroborar esta afirmación no es necesario recurrir a complejos estudios arqueológicos. Basta con observar a un niño que aún no sepa contar y con el que se acuerde que tome tantas cucharadas de sopa como ratoncitos dibujados haya en un cuento determinado. Difícilmente lograremos que tome una cucharada de sopa más que el número de ratoncitos del cuento. El emparejamiento es el principio básico del trueque. Para aplicarlo solo hace falta tener una idea abstracta del concepto de cantidad, aunque no se hayan adquirido el concepto concreto de número ni la capacidad de contar. Incluso se puede aplicar la aritmética básica sin tener conocimiento alguno del concepto de número.
La capacidad de percepción numérica del cuervoLa capacidad de percepción numérica del ser humano no difiere mucho de la de algunos animales. Por ejemplo, el historiador de las matemáticas francés Georges Ifrah (n. 1947), en su libro Historia universal de las cifras (1985), cuenta la anécdota de un hombre que decidió matar a un cuervo que había hecho su nido en la atalaya de su castillo.
Había intentado varias veces sorprender a aquella ave, pero cuando entraba en el castillo el animal se iba volando a un árbol cercano y no volvía al nido hasta que el hombre salía del castillo. Para sorprender al cuervo,decidió invitar a un amigo, y así cuando este se fuera el ave volverla al castillo y podría matarla El cuervo vio entrar a dos hombres en el castillo y se fue volando al árbol. Al poco rato salió uno de los hombres, pero el cuervo siguió esperando en el árbol hasta que saliera el segundo. Entonces el hombre lo volvió a intentar con dos amigos, pero el cuervo no volvió al nido si las tres personas no habían abandonado antes el castillo. Finalmente, el hombre solo pudo engañar al cuervo cuando la cantidad de hombres que entraron en el castillo fue superior a cuatro; esa cantidad superaba la capacidad de percepción numérica del ave.
Para que coma la papilla de frutas, se puede pactar con el niño que tome tantas cucharadas como ratoncitos + conejos + patos. Luego podemos darle al pequeño una bolsa de caramelos a repartir entre sus tres hermanos y comprobaremos su capacidad para dividir el montón en montones menores aunque no sea capaz de saber cuántos caramelos hay en cada montón.
El ejemplo más claro de la aritmética de los «analfabetos» es el recuento con guijarros o con muescas en un bastón. En un contexto de trueque comercial, cualquier persona sin ningún tipo de formación académica puede realizar hábilmente operaciones aritméticas básicas de acumulación y sustracción, multiplicación y reparto de cantidades pequeñas, aunque no conozca los algoritmos aritméticos y ni siquiera tenga claro el concepto de número.
Los calculistas prodigioEn el siglo XIX empezaran a proliferar calculistas prodigio que ofrecían espectáculos en los escenarios de los teatros de Europa y América, a los que acudía puntualmente un público devoto de tan increíblesproezas mentales. Estos prodigios fueron ampliamente estudiados y referenciados. Así, el ingeniero George Parker Bidder (1806-1878), nacido en Devonshire, Inglaterra, empezó sus giras, de la mano de su padre, cuando tenía tan solo diez años. A esa edad era capaz de calcular mentalmente la raíz cuadrada de 119550669121 en 30 segundos. Al parecer le enseñó a contar un picapedrero jugando con piedrecillas. En cierta ocasión Parker se enfrentó a otro calculista prodigio de la época, el estadounidense Zerah Colburn (1804-1839), nacido en Cabot, Vermont.
Colburn era hijo de una familia de granjeros, la mayoría de los cuales tenían seis dedos, tanto en las manos como en los pies. Su padre vio rápidamente que las extraordinarias cualidades de su hijo podían suponer una fuente de ingresos que paliara la precaria situación económica en que se encontraba su familia y, con ocho años, lo llevó de feria en feria para que exhibiera sus extraordinarias dotes.
Un grupo de filántropos, pensando que no se podía perder un cerebro como aquel en pequeñas ferias, lo envió a Europa para que aprendiera en las mejores universidades, pero Zerah no destacó en cuanto intentó utilizar su cerebro en procesos abstractos complejos.
En el dibujo, el calculista Zerah Colburn a los ocho años de edad.
Una persona puede mostrarse hábil con un ábaco y, sin embargo, ser analfabeta. Cuando se ejercita con un ábaco, el cerebro humano está utilizando unos procesos mentales muy primitivos y; por lo tanto, muy poderosos.
Actualmente estamos tan habituados a realizar operaciones, con lápiz y papel siguiendo una estrategia abstracta o algoritmo que nos resulta difícil entender la enorme dificultad que ha supuesto para el hombre desarrollar y asimilar dichos algoritmos. El cómputo numérico y el cálculo propiamente dicho están profundamente enraizados sobre unas estrategias de guijarro y muesca, por lo que el tránsito al cálculo algorítmico ha sido enormemente complejo, pues va en contra de la pura intuición ancestral.
La enorme ventaja del algoritmo es la abstracción, que permite desarrollar estructuras superiores y resolver problemas mucho más complejos.
§. El funcionamiento del ábaco romano
Para aumentar la percepción de la capacidad numérica, el ser humano recurre a agrupar los objetos, normalmente de 5 en 5. El cómputo por muescas representa el paso previo a la capacidad de contar, para la cual se necesita disponer de una palabra que represente cada una de las cantidades y ser capaz de verbalizarlas correlativamente. Esa palabra es el número y representa una abstracción conceptual que ha sido trascendental para el hombre. Para representar dicho número gráficamente lo más sencillo es desarrollar la técnica de las muescas. De hecho, en todas las civilizaciones la representación del número es previa a la propia escritura.

Réplica de ábaco romano, con su numeración característica.
La evolución de dichas estrategias ya dentro de un sistema de escritura ha hecho incorporar símbolos específicos para el 5, 10, 50, 100, etc., manteniendo la idea de muesca para el 1, 2 y 3. Ese es el caso de la numeración romana, vigente todavía en la época de Napier, en la que V = 5, X = 10, L = 50, C = 100, D = 500, M = 1000, etc.
Si se efectúa una simple suma utilizando la numeración romana, por ejemplo 534 + 789, es decir, DXXXIV más DCCLXXXIX, y se intentan escribir los números uno encima de otro para aplicar el algoritmo moderno de la suma

1. Clasificación de las cifras del DXXXHII:







No existe constancia alguna de que los romanos utilizaran esta estrategia para realizar una suma, lo cual no significa que no la conocieran e incluso la utilizaran en ocasiones. En cualquier caso es fácil observar que en realidad no se ha utilizado ningún algoritmo, simplemente se ha representado gráficamente la operación tal como se haría con un ábaco, con la única diferencia de que sería muchísimo más sencillo con este último.
El ábaco romano de mano contenía, empezando por la izquierda, una serie de surcos largos (inferiores) y cortos (superiores), alineados y utilizados para contar números enteros desde las unidades de millón hasta las unidades. En los surcos largos había cuatro bolas, y en los pequeños, una única bola. La de los surcos anteriores valía como 5 de las de los inferiores. A continuación, a la derecha había otras dos columnas con surcos para el cálculo fraccionario monetario. El ábaco estaba hecho de una placa de metal donde piezas móviles o bolas corrían en surcos. Debido a su pequeño tamaño, podría caber en un bolsillo de camisa moderna.
Esquemáticamente, los números enteros quedarían representados por las siguientes siete columnas:

Se puede mejorar el cálculo con el ábaco siguiendo el orden natural en que se leen los números, o sea, de izquierda a derecha. De este modo un buen abacista puede sumar números de muchas cifras dictadas, ya que no tiene la necesidad de invertir el orden para introducirlas. Así, en el ejemplo 534 + 789, en primer lugar se introduce el valor 534, empezando con el 5 en la columna C, luego el 3 en la X y finalmente el 4:




De esta manera, se puede hacer una sucesión muy larga de sumas directamente con el ábaco a partir de un dictado, es decir, mientras el algorista escribe en su papel los números a sumar, el abacista simplemente puede ir introduciendo nuevas bolas en su ábaco. Si el abacista es un poco hábil, podrá hacerlo a la misma velocidad que se tarda en escribir un número. Por lo tanto, habrá terminado su suma antes de que el algorista ni siquiera haya empezado a hacerla.
§. La utilidad de la notación polinómica
Para hacer una multiplicación escrita directamente con numeración romana se debería ir acumulando letras en unas tablas para luego hacer laboriosos recuentos. Si bien es posible, no resulta operativamente razonable, y mucho menos si los números a multiplicar son grandes.
Napier pensó que la ventaja del ábaco sobre el cálculo algorítmico se basaba principalmente en el hecho trivial de calcular manipulando piedras en una mesa y se concentró en crear un ábaco multiplicativo. Tuvo que reflexionar muy profundamente sobre el algoritmo de la multiplicación y darse cuenta de cuál era su esencia. El paso de gigante que dio fue entender que el algoritmo era independiente del sistema de numeración utilizado y de que se podía multiplicar en cualquier base. Esta visión le permitió finalmente construir un verdadero ábaco multiplicativo con el que como se verá en próximos capítulos, se anticipó a los actuales ordenadores.
Un producto no es más que una suma reiterada, es decir, a × b es sumar b veces el número a. Así, 7 × 5 es lo mismo que 7 + 7 + 7 + 7 + 7. Hacer esto con una herramienta diseñada para la suma no supone ninguna dificultad. El problema se plantea cuando las cifras a multiplicar son muy grandes, ya que no resultaría razonable sumar, por ejemplo, 203 veces el número 132. Es aquí donde se necesita darse cuenta de que en realidad 203 es lo mismo que 200 + 3 y que, por lo tanto, el producto se puede resolver sumando primero 200 veces y luego 3 veces 132, o mejor aún, podemos sumar 200 veces 100, más 200 veces 30, más 200 veces 2, más 3 veces 100, más 3 veces 30, más 3 veces 2. La moderna notación polinómica resulta muy útil para entender que 203 = 200 + 3 = 2 × 100 + 3 = 2 × 102 + 3. Si se utiliza la notación romana X = 10, se obtiene la expresión polinómica 203 = 2 × X2 + 3. Del mismo modo se puede escribir 132 = X2 + 3X + 2.
En el siglo XVI toda la matemática se hacía todavía de un modo literal, es decir, describiendo palabra por palabra todos los elementos algorítmicos que sustentaban cada cálculo. El álgebra, tal como la concebimos hoy, no existía aún. Pese a ello, Napier se aproximó a los fundamentos intrínsecos de las operaciones con una perspectiva polinómica, es decir, exentos de una base de numeración decimal. Si bien es cierto que la notación polinómica es moderna, las operaciones en esta notación nos permiten acercamos mejor a la visión del cómputo tal y como lo vivían Napier y sus contemporáneos en dos hechos fundamentales. Uno es que con la notación polinómica no se necesita el cero, es decir, no hace falta incluir un 0 × X entre el 2X2 y el 3 para expresar el 203. El otro es el hecho de que la notación polinómica no es posicional: el número 2 en 203 tiene el valor 200 simplemente por la posición en la que está. Sin embargo, el número 2 en 2 × X2 + 3, tiene el valor de 2, ni más ni menos, siendo la posición totalmente irrelevante; de hecho se puede escribir perfectamente el número 203 = 3 + 2 × X 2.
Para multiplicar hay que multiplicar todo por todo y luego sumar. Es decir;
203 × 132 =
= (2 × X2 + 3)(X2 + 3X + 2) =
= 2×X2×X2 + 2×X2×3X + 2×X2×2 + 3× X2 + 3×3X + 3×2 =
= 2×X4 + 6×X3 + 4×X2 + 3×X2 + 9×X + 6 =
= 2×X4 + 6×X3 + 7×X2+ 9×X + 6 = 26796.
Esto se puede visualizar muy bien con una tabla de doble entrada:

2×X4 + 6×X3 + 4×X2 + 3×X2 + 9×X + 6 =
= 2×X4 + 6×X3 + 7×X2+ 9×X + 6 = 26796.
El orden en el que se ponen los valores en la tabla es totalmente irrelevante, pero seguir un orden natural facilita el recuento. Del mismo modo, si se deja un espacio vacío para las decenas del número 203, la tabla quedaría
2×X4 + 6X3 + 7X2 + 9×X + 6 = 26796
con lo cual la operación resulta muy práctica.Cuando se intenta trasladar este proceso al ábaco sin utilizar para nada un papel, se observa un problema de espacio, ya que si se ocupan las columnas de bolas para introducir los números a multiplicar, no hay sitio para los productos parciales. Así, se toma un ábaco con numerosas columnas y se introducen los valores a multiplicar en los dos extremos derecho e izquierdo. En el centro del ábaco se marca el valor de la columna como potencias de 10 utilizando como valor 10 el símbolo romano X. Para multiplicar 203 × 132 = (2×X1 + 3) × (X2 + 3X + 2):







El ejemplo que se ha mostrado tiene truco, ya que ninguno de los productos de los coeficientes daba más de 10 y, por lo tanto, todo el proceso ha resultado muy sencillo. Si alguno de los productos da más de 10 el modelo polinómico se complica Efectivamente:
57×39 = (5X + 7)×(3X + 9) = 15X2 + 45X + 21X+ 63
Pero si X = 10 entonces: 15X = (X + 5)X = X2 + 5X.Con lo que se debería desglosar cada coeficiente en dos coeficientes más.
Desarrollar este algoritmo para realizar una multiplicación resulta muy complicado, pero hacer el cálculo con el ábaco no implica complicación alguna porque para introducir un 15 solo hace falta introducir cinco bolas en la columna correspondiente, más una bola en la columna contigua de la izquierda. Efectivamente





§. El sistema de numeración posicional
Todas las operaciones descritas se han hecho sin utilizar un sistema de numeración posicional y se sustentan sobre razonamientos de cálculo primarios que pueden ser realizados por calculistas expertos, aunque sean analfabetos y carezcan de procedimientos lógicos y algorítmicos. El producto requiere un mayor grado de abstracción, al igual que ocurre con la división, pero, aun así los calculistas profesionales se desenvolvieron magníficamente con sus ábacos durante siglos, usando sistemas de numeración no posicional. Para hacer el tránsito a una metodología algorítmica hacía falta cambiar el sistema de numeración, pero el proceso duró muchos siglos y no fue fácil.
Es imposible conocer el origen exacto de nuestro sistema de numeración y, sobre todo, del invento del cero, que es probablemente uno de los más importantes de la historia de las matemáticas. Aunque existen numerosas teorías sobre el origen de nuestro sistema de numeración, hoy en día ya nadie pone en duda su origen indio. El texto indio conocido más antiguo que da fe del cero como «vado» y de la numeración posicional decimal data del año 458. Es un tratado de cosmología titulado Lokavibhaga (Las partes del universo).
§. El Abaco de arena
El sistema de numeración posicional permitió desarrollar algoritmos, que, supuestamente, deberían superar al ábaco, pero no era sencillo hacerlo. Además, incluso con el sistema posicional, la incorporación de un símbolo para el cero no era un asunto trivial. Los árabes, por ejemplo, utilizaron un sistema antiguo indio, llamado hisab al-ghubar (cálculo sobre polvo) o ábaco de arena, para realizar operaciones. Se hacía directamente sobre el suelo o en pequeñas bandejas en las que se esparcía algún material arenoso fino sobre el que se escribía con el dedo o con un pequeño bastoncillo. Se trazaba una cuadricula en la que se escribían los números y no se pone nada en el lugar del cero. Para sumar o multiplicar no variaba demasiado respecto al sistema utilizado con el ábaco. Es decir, para realizar multiplicaciones se iban borrando los números que ya no hacían falta y se iban incorporando las soluciones; por ejemplo, si se calcula el producto 57×39, en un ábaco de arena se verían escritos sucesivamente los siguientes números:

§. La celosía
Una vez introducido el sistema de numeración posicional en el mundo árabe y posteriormente en Europa, el desarrollo de sistemas algorítmicos para las operaciones siguió viéndose frenado por el potencial del ábaco así como por la dificultad conceptual de interiorizar la necesidad de incorporar y utilizar el cero para realizar operaciones usando la numeración posicional Dentro de ese contexto, en el siglo XIII los árabes se dieron cuenta de la utilidad del uso de una tabla de doble entrada para la realización de multiplicaciones.
Así, en ejemplos donde incluso se superen las decenas y utilizando la moderna notación polinómica, 362×541 = (3X2 + 6X + 2)×(5X2 + 4X + 1) quedaría de la siguiente manera:





Detalle de la portada del libro Rechnung auff der Linihen und Fedem, de 1533 de Adam Ries.

La figura del calculista o del abacista (en realidad un calculista era un abacista) fue tomando cada vez más importancia las técnicas de cálculo no eran sencillas, con lo que existía un número considerable de personas dedicadas profesionalmente al cálculo. Disponían de mesas con cuerdas (ábacos) para realizar sus operaciones.
Cuando apareció la imprenta, el primer libro de contenido matetemático impreso en el mundo fue un tratado de aritmética comercial anónimo titulado Larte de labbacho, conocido también como Aritmética de Treviso, por haber sido publicado en 1478 en la ciudad italiana del mismo nombre. Se trata de un texto práctico para la enseñanza de la aritmética comercial, destinado a todos aquellos que quisieran iniciarse en la actividad mercantil. Es un libro de aprendizaje profesional, redactado en segunda persona, como si estuviera hablando al lector. El estilo de redacción es llano, con un lenguaje deliberadamente coloquial, sencillo y comprensible. Por el contexto se deduce que el autor era maestro de aritmética comercial y que se decidió a escribir el libro a petición de sus alumnos, con el objeto de facilitarles el aprendizaje de la asignatura. Este es uno de los primeros libros europeos en los que aparece el método de la celosía para efectuar multiplicaciones
Otro texto en el que aparece la suma por celosía es la Summa de arithmética geometria proportiní et proportionalita (Suma de aritmética, geometría, proporciones y proporcionalidad ), publicado en 1494 por el matemático italiano Luca Pacioli (1445-1517).
Impreso en Venecia, se considera la primera enciclopedia de matemática pura y aplicada. Es una recopilación de las matemáticas de su tiempo, estructurada en cinco partes. La primera, dedicada a la aritmética, se inicia con la clasificación pitagórica de los números y utiliza la nueva numeración indo-arábiga.
A continuación se exponen las reglas para las operaciones aritméticas fundamentales; suma, resta, multiplicación y división, raíces cuadradas y cúbicas, cálculo de progresiones aritméticas y el estudio de las fracciones.

Portada de Summa de arithmetica geometría: proportioni et proportionalita, 1494 de Luca Pacioli
3. ce. co. m. 2. co.p. 6. ae. 216,
que representa3x2 - 2x + 6 = 216
donde ce. representa census o zensus, que significa cuadrada; co., la incógnita, cosa (italiano) o res (latín), la actual x; primera letra de minus , el signo (-) menos, primera letra de piú, el signo (+) más; y ae, igualdad, de aequalis.Las siguientes partes del libro de Pacioli tratan de métodos de contabilidad e incluyen un manual sobre cálculo de monedas, medidas y pesos. En definitiva, la Summa de arithmetica constituyó una notable recopilación de saberes matemáticos como los relacionados con el ábaco, y fue muy utilizada, también, para instruir a los futuros comerciantes y artesanos. En los siglos XV y XVI proliferaron los tratados de aritmética para los estudiantes de escuelas de aritmética mercantil por toda Europa. Los textos se debatían entre exponer las maravillas del ábaco o las del cálculo algorítmico. Numerosas portadas e imágenes de libros lo muestran, como la del tratado de aritmética del matemático alemán Adam Ríes (1492-1555), Rechnung auff der Linihen und Federa, publicado en 1533.
Napier, por su parte, adoptó el método de la celosía para la multiplicación, pero era muy consciente de que los calculistas eran personas dependientes de sus mesas de calcular y que ese era el principal motivo por el cual el método no acababa de cuajar entre ellos, por lo que diseñó un artilugio que permitía usar el método de la celosía en la mesa de calcular.
«[...] con ello situamos deliberadamente a la aritmética en el lugar que le corresponde, que es la mesa de calcular.»En el siglo XX todavía existía la profesión de calculista en un contexto comercial. Se les llamaba «contables» y su importancia para las empresas era enorme. Hoy en día la figura del contable parece que se ha desvanecido y se habla más de cajero, gestor o tesorero. Se le pide que sea ordenado y escrupuloso, que tenga un amplio dominio de las hojas de cálculo informáticas En cualquier caso, el ábaco ha sobrevivido a todas las épocas, ha coexistido con la calculadora y todavía hoy se utiliza frecuentemente en países orientales.
John Napier, Rabdologiae, 1617.
Capítulo 3
Los huesos de Napier
En la época de Napier, los algoritmos en sistemas de numeración posicionales no encajaban con unos calculistas habituados a mover fichas sobre su mesa de contar. Las nuevas necesidades comerciales y bancadas no podían asumir los numerosos errores contables. Napier supo inventar los artilugios perfectos para facilitar el cálculo y minimizar sus errores. Su ingenio lo llevó incluso a inventar una mesa de contar que funcionaba con los algoritmos propios de un ordenador moderno.Saint Cuthbert fue la parroquia de John Napier durante los últimos años de su vida en Edimburgo y en ella se depositaron los restos del matemático tras su muerte en 1617, tal como era costumbre en la tradición escocesa. Sin embargo, el edificio de la parroquia fue reconstruido después de su muerte. En el templo actual podemos contemplar una lápida conmemorativa de 1842 que hace honor a su memoria pero nada se sabe de dónde pueden estar sus huesos. No obstante, en el Museo Nacional de Escocia, muy cerca de la impresionante escultura de la lápida de la hermosa reina María Estuardo, hay una vitrina con un rótulo inquietante; «Napier's bones » («Los huesos de Napier»). ¿De quién son los huesos que allí se exponen?
En realidad, el rótulo de la vitrina del Museo Nacional de Escocia no hace referencia a los restos de Napier sino al material utilizado en la construcción de las regletas de su invención. Estas regletas aparecen descritas en su libro Rabdologiae, publicado en 1617 pocos meses antes de su muerte.
Napier, con una visión del mundo muy práctica, buscó un título simple que describiera exactamente lo que estaba haciendo, es decir, un conjunto de regletas. El libro debía estar escrito en latín, como todos los libros científicos de la época, pero puso el título en griego rhab'dos = varilla, regleta, logiae = colección, es decir, Rabdologiae (Colección de regletas).
La lectura de este libro permite comprender los avances paulatinos de las investigaciones de John Napier. De hecho, su autor debió de reflexionar mucho sobre el poder del ábaco, hablando y discutiendo con los calculistas profesionales, que posiblemente fueran contadores de la Casa de la Moneda (dirigida por su padre Archibald) y que desarrollaban sus habilidades con ábacos de tablero deslizando sobre ellos gitones (fichas) fabricados especial mente para cantar dinero.
«A la publicación de este pequeño trabajo, relativo al mecanismo y uso de las varillas, fui especialmente impulsado, no solo por el hecho de que están tan aprobados de un uso ya casi común, sino que también llegó a mis oídos un delicado consejo de que lo hiciera, para que no fueran publicados en nombre de otro.»§. Las regletas de Napier
John Napier, Rabdologiae .
La mente prodigiosa de John Napier captó la diferencia entre el concepto de cantidad y el de número. Entendía las ventajas y los inconvenientes del ábaco y las operaciones algorítmicas en notación posicional. Reflexionó profundamente sobre las estructuras algorítmicas polinómicas de las operaciones e investigó con distintos sistemas de numeración. La primera conclusión a la que llegó fue la imposibilidad de convencer a los contadores profesionales de que renunciaran al ábaco. Con cierto grado de ingenuidad, se propuso construir un ábaco algorítmico, es decir, un ábaco cuyo funcionamiento intrínseco estuviera basado en los algoritmos propios de la notación posicional en vez de los apilamientos irreflexivos del cálculo con ábaco. De este modo conseguiría dotar a los calculistas de una herramienta muy poderosa.
La suma no constituía un problema preocupante, pues el ábaco se basa en el propio concepto de «añadir». Así que Napier empezó por construir un ábaco para multiplicar. Tomó como base la multiplicación por celosía (explicada en el capitulo anterior) y construyó unas regletas en las que simplemente escribió «los múltiplos de los números del 1 al 9», es decir, las tablas de multiplicar separando las cifras de cada producto por una línea diagonal.
Para utilizarlas solo hace falta reproducir la técnica de la multiplicación por celosía. Si, por ejemplo, se quiere multiplicar 7×425928, solo hace falta colocar las regletas correspondientes en el orden numérico indicado y sumar las diagonales de la fila 7 (figura 1):

En el libro Rabdologiae Napier sugiere cómo fabricar las regletas, poniendo de manifiesto, una vez más, su visión práctica de su actividad científica. Por ejemplo, propone construir las regletas en plata o madera con una longitud de unos tres dedos, un tamaño francamente pequeño para facilitar su transporte en un bolsillo. Su vinculación con los metales, a través de la relación y la posición de su padre, hace suponer que los prototipos se hicieron de plata. Desde un punto de vista práctico, este no es un buen material, pues resulta caro y se ennegrece con facilidad. La madera también se oscurece con el manoseo. El material ideal era el hueso, por su ligereza, resistencia y color. Así que pronto se empezaron a fabricar regletas de hueso. En el mundo anglosajón se popularizó el invento con el nombre de Napier's bones («los huesas de Napier») frente al nombre regletas o varillas de Napier, mucho más acorde con el verdadero significado del título del libro.
Uno de los primeros problemas que se planteaban con este sistema es que no se disponía de regletas suficientes para hacer multiplicaciones con números de cifras repetidas, por ejemplo, la multiplicación 7×5555, ya que en la descripción se incluía una regleta para cada número. Una solución a este problema hubiera sido construir regletas en forma de prisma decaédrico o, lo que es prácticamente lo mismo, en forma de cilindro, incluyendo en cada cilindro las diez tablas. En cambio, Napier, en la Rabdologiae, optó por resolver el problema de la repetición de cifras diseñando diez regletas ortoédricas de base cuadrada con una tabla en cada cara De manera que invertía caras opuestas y las tablas de estas caras opuestas eran de valores que sumaban nueve. De este modo, cada tabla se repetía cuatro veces, manteniendo un diseño portátil y garantizando su uso para números en que se repitiera alguna de las cifras. Las diez regletas se podían guardar en su caja, que se parecía mucho a una sencilla caja de tizas ortoédricas para encerados escolares. Pese a no aparecer en el libro Rabdologiae, las regletas de Napier en forma de cilíndrica no tardaron en construirse. En el Museo Nacional de Edimburgo se conserva una de ellas datada hacia 1650.
Otro gran problema era la multiplicación por números de más de una cifra. Ciertamente el uso de las regletas era poco menos que circunstancial a no ser que las cifras fueran consecutivas. En caso contrario el producto se conseguía directamente por el método de la celosía. Las regletas servían únicamente de soporte de referencia. Es decir, si se deseaba por ejemplo multiplicar 365×1615, se usaban las regletas para multiplicar 3×1615 = 4845, 6×1615 = 9690 y 5×1615 = 8075. Finalmente se sumaba respetando el orden posicional.
Para realizar la división entre dos números, Napier proponía utilizar las regletas combinadas con el algoritmo de la división usado actualmente, ligeramente modificado. Por ejemplo, para dividir 589475 entre 365, en primer lugar se tomaban las regletas del 3, el 6 y el 5. Se puede observar como usando estas regletas se dispone de una imagen visual instantánea de todos los posibles productos de 365 por 1, 2, 3, 4, 5, 6, 7, 8 y 9 (figura 2).

Así, por ejemplo, empezando con las tres primeras cifras del dividendo 589, el valor inmediatamente inferior es 365 fruto de multiplicar 366×1, se escribe el 1 en el cociente y se realiza la resta.
El resultado de la resta es 224, se añade el 4 (entre paréntesis) y ahora se busca un valor inferior a 2 244 en las regletas, es decir, el 2190 de la fila del 6. Se realiza nuevamente la resta, 54, y se añade el 7. De manera sucesiva se realiza toda la división.
Se puede observar que, pese a estar haciendo aparentemente la resta algorítmica habitual, el soporte de las regletas permite que la operación sea mucho más rápida y efectiva, ya que al multiplicar el cociente por el divisor se realiza de golpe y sin esfuerzo (por ejemplo 6×365 = 2190).
Cuando la división no es exacta, como por ejemplo
861094/432
utiliza, en primer término, la notación mixta para expresar la solución;1993 118/432
pero luego propone seguir dividiendo con el fin de obtener decimales. En este caso la solución que muestra Napier es1993 273/1000
pero menciona las virtudes de la nueva notación introducida por el matemático militar flamenco Simón Stevin (1548-1620), en la que propone expresar el valor 1993,273 de la siguiente manera1993 12 27 33
También propone la notación 19932'7"3"', e incluso de manera combinada con la coma actual: 1993,2'7"3"'.Simon Stevin y la notación decimalSimón Stevin 0548-1620), nacido en Brujas, ciudad de Flandes que más tarde formó parte de Bélgica, ocupó diversos cargos de contable en su ciudad natal y en Amberes hasta que en 1571 viajó por Polonia. Prusia y Noruega. Al regresar, en 1577, abandonó Brujas, probablemente por los conflictos religiosos, y en 1581 se estableció en Leiden, donde pudo encontrar un ambientemás abierto e inició sus estudios en la universidad de esta ciudad, donde se graduó en 1583. Desde entonces participó en distintos proyectos tanto de escritos matemáticos como de innovaciones en la ingeniería. En 1585 publicó De Thiende ( El arte de las décimas), sobre las fracciones decimales, donde exponía la notación decimal. Concretamente escribía 31 ,2 ,5,7, para indicar 31,257 en la notación actual. Usando la notación fraccionaria
31 257/1000
Stevin lo identificaba con31 2/105/ 1007/1000
nombrando al 2 «el primero», al 5 «el segundo», al 7 «el tercero», refiriéndose a «decimal». En este libro también explicó cómo realizar la suma, la resta, le multiplicación y la división con esta notación.
Para calcular raíces cuadradas y cúbicas, Napier propuso la construcción de dos nuevas regletas (figura 3).

La segunda regleta, encabezada por la inscripción pro cubica, también está dividida en tres columnas, la de la derecha contiene igualmente los números del 1 al 9, la central, los cuadrados, y la de la izquierda, los cubos escritos en cuadrados divididos por una diagonal, con las unidades y decenas en el triángulo inferior y las centenas en el superior.
Para obtener una raíz cuadrada, por ejemplo, la de 120419, se separan de dos en dos las cifras del número, empezando por la derecha: 12.04.19. A continuación se crea una cuadrícula con tantas columnas como pares de números y el doble de filas. En el ejemplo, serán tres columnas y seis filas. Se colocan las cifras de dos en dos, de izquierda a derecha las dos primeras cifras en la primera columna y la primera fila, las dos siguientes en la siguiente columna y la tercera fila, las dos siguientes en la tercera columna y la quinta fila, y así sucesivamente, dejando siempre una fila entre cada par de cifras (figura 4). Se empieza con las dos primeras cifras (o bien una cifra si el número al que queremos calcular la raíz cuadrada tiene un número impar de cifras) y se busca en la regleta el número cuadrado inferior.
En el ejemplo, el número cuadrado inferior a 12 es 9 (el siguiente es 16, que es mayor que 12). El cuadrado obtenido, 9, se escribe en la misma columna pero en la fila inferior, debajo del 12. Se anota fuera de la cuadrícula, el número cuyo cuadrado se acaba de escribir, el 3. Este será el primer dígito de la raíz cuadrada que se está calculando (figura 5).
En la misma fila de la regleta pro quadrata, en la columna central, se encuentra el doble del número que se acaba de anotar, el 6. Entonces se toma la regleta 6 de Napier y se coloca a la izquierda de la regleta pro quadrata. En la cuadrícula, se restan los números de la primera columna y el resultado se escribe es la tercera fila de la primera columna, así 12×9 = 3. En la segunda columna de esta misma fila se encuentran las dos siguientes cifras del número inicial, 04. Juntando las dos celdas se obtiene el número 304.
Ahora se repite el proceso de buscar el número inferior a 304 en la regleta construida (la regleta 6 con la pro quadrata), pero se tiene que leer de manera que los números de la misma diagonal deben sumarse. En el ejemplo los números que se obtienen son; 61, 124, 189, 256, 325... Por lo tanto, el número será 256 (figura 6), que corresponde a la cuarta fila de la regleta.
Se escribe el número 4 fuera de la cuadricula, ya que corresponderá al nuevo dígito del resultado de la raíz cuadrada.
Se procede de igual manera: se añade una nueva regleta de Napier correspondiente al doble del dígito resultado, en este caso, el 8, y se coloca en la de la regleta pro quadrata. Seguidamente en la cuadrícula se restan los números de las dos últimas filas que se ha trabajado, 304 - 256 = 48, y se escribe el resultado en la siguiente fila. Juntando el resultado de la resta con las dos cifras correspondientes al número inicial se obtiene 4819. Repitiendo el proceso, se busca en la nueva regleta (formada por las regletas de Napier 8 y 6 y la pro quadrata) el número inferior a 4819, los números de la nueva regleta, sumando las diagonales, son 681, 1364, 2049, 2736, 3425, 4116, 4 809, 4504... Por lo tanto, el número será 4809, que corresponde a la séptima fila, porque el siguiente número, 4 504, está por encima de 4 819.
De esta manera se procede a escribir fuera de la cuadrícula el número 7, siendo el tercer dígito del resultado de la raíz cuadrada (figura 7).

Para extraer raíces cúbicas, el procedimiento es muy similar al de la raíz cuadrada, pero se usará la regleta pro cubica y se dividirá el número en grupos de tres cifras empezando per la derecha. El resto del proceso es idéntico al de la raíz cuadrada Para terminar la primera parte de la Rabdologiae, Napier mostró diversos ejemplos de la utilización de sus regletas en problemas de la regla de tres, directa e inversa. Por ejemplo, presentó el siguiente problema: «Si 27 trabajadores construyen una torre en 365 días, entonces ¿cuánto tiempo estarán 12 trabajadores para hacer el mismo trabajo?».
§. Tablas sobre figuras geométricas
En el entorno en el que se movía habitualmente John Napier, rodeado de calculistas e ingenieros relacionadas con los metales y muy concretamente con la fabricación de moneda, debió de encontrarse a menudo con un problema geométrico muy determinado: «Si deseamos fabricar dos monedas de diferente forma pero de idéntico peso ¿cómo puedo calcular las dimensiones de las monedas?».
Limitando el problema a monedas en forma de polígono regular, se reduce al siguiente enunciado genérico: «Partiendo de una figura geométrica concreta con un lado unidad (Napier usaba el valor unidad 1.000) ¿cuál será el lado de otra figura geométrica para que la superficie sea la misma que la figura inicial?».

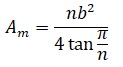
Para resolver analíticamente este problema, de un modo general se debe empezar por calcular el área de un polígono regular arbitrario de lado 6. El área de un polígono regular de n lados es perímetro (n × 6) por apotema (a) dividido por 2:
área = n×b×a/2
Por lo tanto, es necesario calcular la apotema (figura 9).

α = π/n
La apotema, en función del lado, es:





Napier realizó estos cálculos, muy útiles para la fabricación de moneda, y los tabuló en la segunda parte del libro, que se planteaba publicar como una obra independiente («Libro segundo: El uso de las regletas en geometría y problemas numéricos»). Aquí aparece una tabla que toma como unidad el valor 1000.

§. El Promptuario
Las regletas, los ábacos y las tablas sobre figuras geométricas probablemente permitirían a un calculista de la Casa de la Moneda de Edimburgo resolver cualquier problema de cálculo de manera rápida y eficaz, por lo que el libro Rabdologiae podría darse por terminado.
Las regletas eran muy útiles, sobre todo por su versatilidad, pero Napier era consciente de que sus evidentes deficiencias ponían en entredicho su capacidad para resolver el problema de un modo definitivo. Es decir, las regletas debían permitir multiplicar cualquier número por cualquier número sin importar la repetición de dígitos ni que los números de varias cifras tuvieran o no las cifras consecutivas. La dependencia del lápiz y el papel para resolver muchas de las operaciones convertía a su «ábaco» en una pequeña «estafa», aunque no dejaba de ser una palanca para promocionar técnicas algorítmicas en numeración posicional, Napier era consciente de ello y no descansó hasta encontrar la solución definitiva.
Napier presentó la solución definitiva en un apéndice de la segunda parte de la Rabdologiae, donde proponía un nuevo instrumento de cálculo al que denominó promtuario -en latín promptuarium significa «despensa»-, en alusión a cómo se debe construir la caja en la que se guardará todo el conjunto de regletas. Para Napier, esta caja no era más que una «despensa» de regletas (figura 10). En la cara frontal de la caja se deben guardar las varillas con los múltiplos de los números, mientras que en la parte lateral se colocan otras varillas consistentes en máscaras planas agujereadas. Dependiendo de la máscara elegida, se verán unos u otros números de las varillas principales. Para multiplicar se deben extraer las varillas necesarias de los cajones correspondientes y colocarlos en la parte superior del promtuario.
Para disponer de todos los múltiplos en una sola regleta se recurre al ingenioso procedimiento de sustituir cada varilla vertical por una regleta plana, y cada cuadrado por otro de 3×3, de forma que contenga los nueve productos cifra a cifra. Luego, con la regleta horizontal agujereada de la forma apropiada (máscara), se consigue que se vean exactamente los valores apropiados para efectuar la multiplicación de manera semejante a la utilizada en las regletas sencillas. Las regletas contienen tantos cuadrados 3×3 se desee, todos iguales para cada cifra, y de su número dependerá el tamaño de la multiplicación que podemos hacer.
El esquema básico es el siguiente (figura 11): en la regleta vertical Napier puso las multiplicaciones cifra a cifra respetando la idea de escribir las decenas a la izquierda y las unidades a la derecha de la diagonal de cada cuadrado. El orden de los valores es creciente, para que después coincida con los huecos de la máscara lateral.



El promtuario del museo arqueológico nacional de MadridEl promtuario es una arqueta de sobremesa en madera de palosanto, hueso, marfil y cantos de latón construida seguramente en el siglo XVII.
El armario consta de un cuerpo superior con una pequeña tapa que contiene las regletas de Napier, incluidas las de la raíz cuadrada y cúbica. En el cuerpo central se encuentra el promtuario propiamente dicho, custodiado por dos puertas decoradas en marfil, con tablas de potencias (puerta izquierda) y el triángulo de Pascal (puerta derecha). Dentro de los cajones se encuentran ordenadas tanto las nuevas regletas multiplicativas como las máscaras necesarias para su uso.El promtuario de Madrid permite multiplicar números de diez cifras significativas. Toda la construcción revela que no se trataba de un modesto objeto de calculista, sino de una obra hecha con finura destinada a ser obsequiada como objeto excepcional. Su estructura no sigue estrictamente las indicaciones de la Rabdologiae. No respeta la ubicación de las regletas en la parte central y las máscaras en la parte lateral derecha, pues todos los cajones se encuentran en la parte frontal. La única firma que lleva es el sello de la Orden de los Jerónimos, lo que hace pensar que pudo ser fabricado para el monasterio de San Lorenzo de El Escorial, Madrid. Sea cual sea el camino que haya seguido para terminar en Madrid, no deja de ser una curiosa paradoja que el único promtuario neperiano que se haya localizado en el mundo sea propiedad de la católica monarquía española. Napier como teólogo dedicó sus esfuerzos a combatir a los papistas. Para los reformistas como él, la monarquía española era, junto con el Papa de Roma, la misma encamación del Anticristo.
Sumando en diagonal se obtiene el resultado 325×47 = 15 275.
El resultado es realmente sorprendente, se pueden hacer multiplicaciones de dos valores de hasta siete cifras con gran velocidad y precisión.
«Usando el promtuario, cualquier multiplicación se puede realizar sin ninguna dificultad a máxima velocidad.»Su manejo es tan impactante que sorprende que este invento neperiano no se popularizara y sea prácticamente desconocida.
— William F. Hawkins, Promtuary papers, 1988

Un juego de huesos de Napier realizado hacia 1650, expuesto en el Museo Nacional de Escocia en Edimburgo.
§. Multiplicación abacista
Napier era muy consciente de la obstinación de los calculistas, fervientes siervos del ábaco invencible. Actualmente muchos autores llaman «ábaco neperiano» a las regletas o al promtuario de Napier, ya que consideran que el objetivo de este era construir un ábaco multiplicador, o al menos, construir un invento que fuera aceptado por los fanáticos del ábaco. Pero Napier nunca etiquetó sus regletas con el nombre de ábaco. Utilizó los nombres de «rabdología» (conjunto de regletas) y «promtuario» (despensa). Posiblemente pensara que sus inventos no eran ábacos, es decir, no eran artilugios con cuentas móviles para efectuar operaciones numéricas, por lo que podían no ser aceptados por los calculistas, o quizá pensara que realmente no eran suficientemente buenos porque valorara el ábaco por encima de todo. Aun así, continuó investigando para construir un auténtico ábaco multiplicador.
Napier quiso hacer una multiplicación abacista, con el método de la celosía. Para ello no había más remedio que sustituir los números por cuentas (guijarros, garbanzos, bolitas de madera, etc.). Si se utiliza la notación polinómica actual entendiendo que X = 10, y, por ejemplo, se quiere multiplicar:
362×541 = (3X2 + 6X + 2)×(5X2 + 4X + 1)
o sea:362×541 = (3×102 + 6×10 + 2) - (5×10 2 + 4×10 + 1),
se deben multiplicar todas las cifras por todas las cifras. Por lo tanto, se puede realizar el producto en una tabla de doble entrada



En realidad este método es estructuralmente muy práctico, pero tiene un gravísimo inconveniente: la gran cantidad de cuentas ordenadas que se deberían incluir en un tablero. Por ejemplo, para multiplicar 897×969 todas las casillas contendrían más de 60 bolas, ¡una locura!
Esta gran cantidad de bolas se debe a la base del sistema de numeración. Sin embargo, si utilizáramos sistemas de numeración en base 5, el máximo de bolas en un cuadrado serian 4×4 = 16 bolas.
§. El tablero multiplicador binario
Algunos autores han dudado de la capacidad matemática de John Napier tildándolo de mero calculista, pero es el momento de reivindicar la capacidad visionaria de un genio que no solo dominaba las operaciones en distintos sistemas de numeración (algo inaudito en su época), sino que se percató de que la solución óptima al problema era utilizar la base binaria, exactamente igual que en los modernos ordenadores. De esta manera, el número máximo de bolas que podría tener una casilla en un tablero de un ábaco multiplicador binario sería el de una sola.
En el título del capítulo VI de la tercera parte de la Rabdologiae, Aritmética local, aparece por fin la palabra ábaco: «De descriptione abaci, vel alvei pro locatione areali», es decir, « la descripción del ábaco, o mesa de contar, para la distribución de la superficie ». La expresión «la distribución de la superficie» hace referencia al movimiento de las bolas en dos dimensiones. A continuación hay un dibujo fascinante del tablero multiplicador binario. Las páginas siguientes del libro describen su funcionamiento.

Una caja con las tablas de cálculo matemático de Napier construida hacia 1680, que se expone en el Museo Nacional de Escocia en Edimburgo.
En primer lugar, para usar este ábaco binario se tienen que descomponer los números a multiplicar en sumas de potencias de 2, es decir pasar el número a base 2. Para hacerlo existen varios métodos. El utilizado actualmente como método general de conversión de números en distintas bases consiste en realizar sucesivas divisiones del número entre la nueva base (en este caso el 2) hasta que el cociente sea cero y luego tomar todos los restos de las divisiones en orden inverso. Por ejemplo, si queremos pasar el 11 a base 2 se obtiene 11 = 1011(2. Sin embargo, proponer previamente numerosas divisiones para que luego resulte más sencillo multiplicar podría resultar incluso absurdo. Napier utilizó un método más intuitivo para pasar a base 2 en el que en todo caso hay que hacer varias restas. Consiste en tomar la potencia mayor posible de 2 (e inferior al número) y restarla al número inicial. Seguidamente, se busca la potencia mayor posible al resto obtenido y se resta de nuevo y así sucesivamente Por ejemplo, para obtener 362 en base 2, se busca la potencia de 2 mayor posible 2 8 = 256 y se restan: 362 - 266 = 106. Ahora» necesita encontrar otra potencia de 2 inmediatamente inferior a 106, en este caso 2 6= 64 y se resta: 106 - 64 = 42. Se repite el proceso y se obtiene 25 = 32; 42 -32 = 10. Otra vez, 23 = 8; 10 - 8 = 2. Y finalmente 21 = 2. De esta manera se puede escribir:
362 = 256 + 64 + 32 + 8 + 2 = 1×28 + 0×27 + 1×26 + 1×25 + 0×24 + 1×23 + 0×22 + 1×21 + 0×20 = 101101010(2.
En modo de tabla y de derecha a izquierda, se representaría así:
Así, para representar un número en el ábaco binario, bastaba con colocar, de una manera rápida, las bolas necesarias sin tener la menor consciencia del uso de la potencia de 2.
Para multiplicar dos números con el ábaco binario, en primer lugar se determinan y localizan las potencias de 2 para componer los números en el tablero.
Por ejemplo, si se desea multiplicar los números 362 y 29; 362 = 101101010(2 y 29 = 11101(2






Es decir: 8192 + 2048 + 256 + 2 = 10.498. Efectivamente 362×29 = 10.498.
La plasticidad y sencillez de este ábaco es muy sorprendente. Napier muestra una visión técnica de las matemáticas cercana a una concepción computacional moderna. Si este ábaco no tuvo éxito no fue porque fuera poco eficaz, sino porque las regletas del mismo Napier lo superaban en rapidez y eficacia, pero el reto de construir un ábaco multiplicador solo ha sido logrado por Napier en toda la historia de las matemáticas. Él lo sabía y, pese a ser consciente de su escasa eficacia práctica, no se arriesgó a ver publicadas sus ideas por otros autores. De ahí que escribiera en la dedicatoria de su Rabdologiae que no quería que se viera cumplida la frase de Virgilio: «Hos ego versículos feci, tulit alter honores» («Yo escribí estos versos, otro se llevó los honores»).
Muchos matemáticos se han quejado a menudo de la gran cantidad de horas que les roban los tediosos cálculos en detrimento del tiempo que deberían dedicar a investigar y hacer progresar las matemáticas. John Napier inventó el logaritmo y construyó unas tablas logarítmicas que permitieron a los matemáticos aprovechar mejor su tiempo. Solo los ordenadores inventados en el siglo XX han superado al escocés ilustre en esta aportación.En la isla sueca de Ven (Hven), entonces bajo dominio de Dinamarca, se encontraba el mejor observatorio astronómico jamás visto, instalado en el castillo de Uraniborg, disponía de los mejores instrumentos, entre los que destacaba un cuadrante mural de 13 metros de radio con una precisión de 5 segundos de arco. El castillo contaba, por ejemplo, con un sistema de intercomunicación entre las distintas habitaciones, una imprenta con su propia fábrica de papel para publicar los descubrimientos que allí se hacían, un completo laboratorio alquímico situado en el sótano y un extenso jardín que suministraba plantas para los experimentos de química medicinal. Uraniborg era un proyecto extremadamente caro. Se calcula que suponía alrededor del 1% del presupuesto total del Estado de Dinamarca A la cabeza de aquel proyecto estaba Tycho Brahe (1546-1601), uno de los científicos más destacados y controvertidos de la historia.

Introducción del libro Astronomía Instauratae mechanicae (1598), de Tycho Brahe, muestra el castillo de Uraniborg con el observatorio y los jardines.
Fascinado por la astronomíaTycho Brahe (1546-1601) nació en el castillo de Knudstrup, en la provincia de Escania que entonces pertenecía a Dinamarca y hoy forma parte de Suecia, y fue criado por su tío Joergen Brahe en el castillo de Tosterup. Este pretendía que siguiera una carrera al servicio del rey, por lo que le proporcionó una sólida formación humanística en latín y en 1559 lo envió a la Universidad de Copenhague. Durante su estancia allí, en 1560 se produjo un eclipse de Sol, cuya predicción le causó una enorme impresión, A partir de ese momento, el joven Tycho se dedicó a estudiar matemáticas y astronomía. En 1562 ingresó en la Universidad de Leipzig para estudiar leyes, aunque la mayor parte del tiempo la dedicaba a sus observaciones astronómicas, A raíz de una conjunción entre Júpiter y Saturno el 24 de agosto de 1563 se dio cuenta de los errores en que incurrían las previsiones astronómicas. En 1566 emprendió un viaje por Alemania y visitó las universidades efe Wittenberg, Rostock y Basilea, donde cursó estudios de astronomía, astrología, alquimia y medicina.
El mayor observatorio de la historia
En 1570 Tycho Brahe regresó a Dinamarca y trabajó durante un corto periodo en la Universidad de Copenhague hasta que en 1575, el rey Federico II le ofreció la isla de Ven para que construyera el mayor y mejor observatorio sin telescopios dé la historia de la humanidad.
Grabado que representa a Tycho Brahe en el observatorio de Uraniborg.
En el observatorio de Uraniborg recopiló el conjunto de datos astronómicos más preciso y sistemático del mundo. Además, hizo un mapa de estrellas y trazó sus posiciones. Como experto astrólogo realizó numerosas y precisas predicciones, aportando pruebas fehacientes que cuestionaban el modelo aristotélico del universo. Pese a poseer todos los datos necesarios para establecer una nueva teoría cosmológica, se aferró al concepto geocentrista del universo en que el Sol únicamente era el centro del movimiento del resto de planetas. En 1597 cerró el observatorio de Uraniborg y se trasladó a Praga, donde trabajó como matemático imperial a las órdenes del emperador Rodolfo II y donde se le asignó como ayudante al joven Johannes Kepler (1571-1628). Tras su muerte, este utilizó los datos astronómicos de Brahe para sus investigaciones.
El monarca estaba acompañado por John Craig (?-1621), su médico personal y amigo de Napier. Ambos habían tenido una formación muy similar en latín, leyes, matemáticas, alquimia y otras materias, y ambos habían viajado por Europa como era habitual en la época Esa formación alentó una amistad que iba más allá de una simple relación humana. Craig era, para Napier, un amigo con el que compartía los últimos avances matemáticos, astronómicos, astrológicos y alquímicos. Vivió durante mucho tiempo en Alemania, donde estudió astronomía con Paul Wittich (ca 1546-1586), lo que le permitió estar en contacto con los astrónomos alemanes de la época, y enseñó matemática y lógica. También estudió medicina en Basilea. A su regreso a Escocia se convirtió en médico de Jacobo VI de Escocia, a quien acompañó a Dinamarca para casase con la princesa Ana y luego a Inglaterra tras su entronización como Jacobo I de Inglaterra.
Antes de encontrarse con Tycho, John Craig había dirigido al científico un manuscrito en latín tituladoCapnuraniae seu comet, in aethera sublimatio ( El cometa, de Urania en la inmensidad del cielo), que fue referenciado y valorado por diversos astrónomos pero no llegó a publicarse. Es posible que, durante el encuentro, ambos hablaran de la experiencia sublime de la contemplación del cometa y de cómo Tycho pudo calcular con gran exactitud su trayectoria a partir de observaciones de enorme precisión. A menudo Brahe se quejaba de las largas horas que se perdían haciendo operaciones rutinarias. Craig, médico y astrónomo, debió de quedar muy impresionado por todos sus comentarios.
§. La confección de tablas
John Napier recibió a John Craig en su castillo de Gartness tras regresar este de su viaje a Uraniborg y haber asistido a la coronación de Ana de Dinamarca como reina de Escocia en Edimburgo el 17 de mayo de 1590. El relato de la visita de Craig a Uraniborg entusiasmó a Napier, el rey de las multiplicaciones, quien, animado por su amigo, decidió iniciar una ardua tarea: confeccionar unas nuevas tablas trigonométricas que incorporaran procesos prostaferéticos, es decir, que permitieran sustituir, de un modo automático, las multiplicaciones y divisiones por sumas y restas.
La tabulación o confección de tablas era una práctica muy utilizada para simplificar los cálculos matemáticos. La idea era sencilla si se han de repetir de una manera reiterada unas operaciones determinadas, se pueden anotar sus resultados sistemáticos para posteriormente consultarlas en vez de repetirlas. Por ejemplo, si se establecen relaciones numéricas entre las longitudes de arco, y el ángulo que lo define y el radio de una circunferencia, dichas relaciones, debidamente anotadas, pueden resultar de gran utilidad para resolver problemas en los que intervengan los mismos ángulos.
De hecho, los antiguos egipcios y babilónicos ya se planteaban y resolvían problemas relativos a las razones entre los lados de triángulos semejantes, pero hasta la época helénica no encontramos por primera vez un estudio sistemático de las relaciones entre los ángulos centrales en un círculo (o sus arcos correspondientes) y las longitudes de las cuerdas que los subtienden formalizándose la que se llama «trigonometría»-, del griego trigono, triángulo, y metron, medida, o sea, medición de los triángulos.
La prostaféresisEn Uraniborg utilizaban a menudo las fórmulas trigonométricas de la prostaféresis (palabra de origen griego formado por prosthesis, que significa suma y aphearesis, resta), que permitían efectuar una multiplicación simplemente con una suma o una resta, con lo que podían realizar las operaciones matemáticas con mayor rapidez, como la conocida fórmula2×sen α × sen β = cos(α - β)- cos(α + β)
Algunos textos atribuyen su origen al matemático y astrónomo egipcio Ibn Yunus (ca. 950-1009), pero según estudios recientes su autor fue el matemático y astrónomo alemán Johannes Werner (1468-1522).
Todo parece indicar que la primera tabla trigonométrica fue realizada durante la segunda mitad del siglo II a.C. por el astrónomo griego Hiparco de Nicea (ca. 180-ca. 125 aC.), que se ganó el derecho a ser conocido como el padre de la trigonometría
La nariz de Tycho BraheManderup Parsberg, primo lejano de Tycho Brahe, se burló de él en público por sus ingenuas predicciones astrológicas sobre la muerte de Solimán el Magnífico. Tycho, lleno de ira, cometió la imprudencia de retar a duelo a Manderup, un experto espadachín que, con un arte exquisito, le rebanó la nariz.
A partir de ese día y hasta el final de su vida Tycho Brahe hizo gala de un sentido del humor sardónico presumiendo de poseer una nariz mucho mejor que la del resto de los mortales, puesto que la suya estaba hecha de metales nobles. Pegaba su nariz metálica en su cara con una pasta hecha de resinas, de modo que, si así lo necesitaba, podía prescindir del molesto apéndice para efectuar determinadas observaciones astronómicas con sus fantásticos instrumentos.
Disponer de una tabla trigonométrica permitió a los matemáticos y astrónomos resolver gran cantidad de problemas. A lo largo de la historia se han ido mejorando las tablas, aplicando una y otra vez la fórmula del ángulo mitad y el ángulo doble. El astrónomo y matemático alemán Johann Müller Regiomontano (1436-1476) extendió las tablas a cada minuto de arco aumentando la precisión a siete cifras decimales.
La proliferación de nuevas tablas en la época de Napier demuestra la enorme importancia que tenían para las matemáticas. Napier utilizó dos tipos de tablas distintas, las del matemático y físico danés Thomas Fincke (1561-1656) y las del astrónomo y matemático irlandés Philip Lansberge (1561-1632), basadas ambas en las de Regiomontano, que tenían una precisión de 1 minuto de arco, con el cual disponía de 90×60 = 5400 entradas para las razones trigonométricas.

El matemático y astrónomo alemán Johannes Werner, autor de la fórmula de la prostaféresis.
Ciertamente, Napier estaba rodeado de los calculistas de la Casa de la Moneda que no necesitaban resolver problemas trigonométricos. No se dedicó a la astronomía, pero no cabe duda de que su formación incluía esta disciplina, en una época en la que no se compartimentaba el conocimiento, de modo que latín, matemáticas, astronomía, astrología, alquimia y medicina iban cogidas de la mano. Las aplicaciones matemáticas se centraban en disciplinas como la agrimensura, la astronomía, la astrología, la cartografía, el piloteo de barcos y la artillería. Los trabajos de Napier en su Rabdologiae ya habían simplificado todos los cálculos no trigonométricos. El reto que ahora se planteaba era simplificar los cálculos trigonométricos.
§. Las tablas de Napier: el logaritmo
Esta restricción autoimpuesta fue un golpe de genialidad ingenuidad al mismo tiempo, porque permitió desarrollar unas técnicas que simplificarían cualquier cálculo. No obstante, su planteamiento se reducía únicamente a los cálculos trigonométricos y se alejaba de otros contextos. El invento que estaba gestando permitiría realizar en un suspiro una operación tan compleja como

Napier se dispuso, por tanto, a retabular las tablas trigonométricas usando la «prostaféresis», con el deseo de simplificar los cálculos de multiplicaciones y divisiones en sumas y restas. A partir de las tablas trigonométricas de Thomas Fincke publicadas en 1683, que coincidirían con las creadas por Philip Lansberge en 1591, ambas con una precisión de siete cifras, aplicó su invento directamente sobre los valores del seno de los 5400 ángulos comprendidos entre 0 y 90 grados divididos en 1 minuto de arco, aunque este no tuviera nada que ver con la trigonometría.

Portada del libro in quadrantem tum astronomicum, nec non ín astrolabium introductio, del astrónomo y matemático holandés Philip Lansberge, cuya tablas utilizó Napier.
La idea de Napier era emparejar dos progresiones, una aritmética y otra geométrica, de modo que para realizar las operaciones en la progresión geométrica (multiplicaciones y divisiones) se pudiera utilizar en su lugar la progresión aritmética (sumas y restas).
Así, en las progresiones siguientes:

Sin embargo, Napier no quería multiplicar dos números cualesquiera, sino solo razones trigonométricas entre 0 y 90 grados. Observó sus tablas trigonométricas y vio que el coseno de 0º es 1 y que el valor del coseno va disminuyendo paulatinamente a medida que vamos aumentando los grados. Si deseamos construir una progresión geométrica con esa característica, bastará con ir multiplicando el valor 1 sucesivas veces por una razón muy próxima a 1, como por ejemplo 0,9999999. Lo sorprendente de este hecho es que los términos de esta progresión geométrica no se alejan sino que se mantienen muy pegados unos a otros, por lo que es perfectamente viable aplicar las estratégicas prostafairéticas sobre ellas.
Napier se planteó construir la progresión geométrica

«Puesto que nada es más tedioso, compañeros matemáticos, que los grandes retrasos sufridos en el tedio de las multiplicaciones, divisiones, raíces cuadradas y cúbicas [...] he reflexionado por qué arte seguro y expeditivo podría ser capaz de mejorar estas dificultades.»
John Napier, Mirifici Logarithmorum canonis descriptio.
La tabla de los 5400 cosenos redondeada a 7 decimales empezaba con loe siguientes valores:



Después de realizar 42 multiplicaciones, Napier habría construido los diez primeros valores de una tabla que permitiría relacionar los cosenos de los primeros minutos con una progresión geométrica de razón 0,9999999 y con la progresión aritmética de las potencias que la generan. La tabla de estos primeros términos podría tener el siguiente aspecto:




Para calcular los valores del seno de los ángulos, basta con tomar los valores del coseno en orden inverso, puesto que por definición, sen α = cos (90 - α). Como el orden natural de las razones trigonométricas empieza siempre con el seno, Napier tuvo que invertir el orden de los valores que obtuvo para publicar sus tablas.
Así, el primer valor que aparece en sus tablas para sen(0º 1') = 0,0002909 es 81425681, Se pueden observar pequeñas variaciones en los valores de la tabla de Napier con respecto a los calculados, fruto de los errores que generaban los sucesivos redondeos en las técnicas de interpolación en el cálculo de las tablas trigonométricas así como en las técnicas usadas por el propio Napier en el cálculo de sus logaritmos.
Napier era uno de los mejores (si no el mejor) «multiplicador» del mundo, pero para realizar 81 millones de multiplicaciones para construir una tabla de 5400 valores hacía falta algo más que disponer de unas buenas regletas multiplicativas. Napier desarrolló las distintas estrategias para ahorrarse trabajo y conseguir su reto dignamente.
En el centro de la tabla de Napier se puede observar una columna con las diferencias entre el logaritmo del seno y del coseno. Para calcular el logaritmo de la tangente (es decir, el logaritmo del cociente entre el seno y el coseno) bastará con restar los logaritmos respectivos del seno y el coseno.
Por ejemplo:


La página izquierda correspondiente a las razones trigonométricas y sus logaritmos del ángulo 40° debería ser:




Efectivamente, 0,2848520 es una buena aproximación de 0,4409837×0,6461239 = 0,28493010808.
Si se hubiese deseado multiplicar directamente los valores 4409837×6461239, deberíamos tener en cuenta que Napier hizo todos sus cálculos ajustándose a una progresión geométrica descendiente a partir de 1, es decir, solo funciona para valores entre 0 y 1, con lo que habría que hacer la conversión dividiendo siempre el valor por 107. Así, en el caso anterior la operación se realizaría del siguiente modo.
4409837×6461239 = 107×0,4409837×107 ×0,6461239 =
= 1014×0,4409837×0,6461239×1014
= 0,28493020 = 2849302000000»
Como se ve en el ejemplo, el logaritmo de Napier permite hacer un cálculo aproximado con siete cifras significativas dentro de los márgenes de error admisible en los cálculos trigonométricos.Capítulo 5
Los números de la razón
Para crear la tabla de logaritmos de Napier desarrollando completamente la progresión geométrica que la define haría falta realizar más de 80 millones de multiplicaciones de números de catorce cifras. Invirtiendo un minuto por multiplicación, un solo hombre necesitaría 157 años trabajando las 24 horas del día. Para explicar cómo había logrado construir su tabla de logaritmos, Napier escribió el libro Mirifici logarithmorum canonis constructio.A la muerte de su padre en 1608, John Napier se convirtió en barón de Merchiston y, como tal, heredó todas sus propiedades. Junto con su familia, volvió al castillo de Merchiston, donde todavía vivían todos sus hermanastros, que se resistieron a abandonar lo que consideraban su legítimo hogar. Algunos textos tratan de subrayar su fuerte personalidad y narran auténticas batallas campales con ellos. También cuentan que en 1613 Thomas Graham acusó a John Napier de negarse a entregar documentos profesionales de su padre que contenían secretos de sus conocimientos sobre metales por su condición de maestro de la Casa de la Moneda que le atribuía responsabilidades de minas y metales, aspectos sobre los que John Napier había aprendido de su padre pata sus invenciones.
Los últimos nueve años en el castillo de Merchiston, hasta la fecha de su muerte, el 4 de abril de 1617, fueron muy fructíferos para John Napier, que desarrolló una intensa actividad culminada con la publicación de sus trabajos matemáticos. En 1614 publicó Mirifici logarithmorum canonis descriptio (Descripción de la maravillosa regla de los logaritmos) y en 1617, antes de su muerte, Rabdologiae. En 1615 recibió la visita de Henry Briggs (1561- 1630), matemático académico del Gresham College de Londres, quien continuaría su trabajo. En 1619, dos años después de su fallecimiento, su hijo Robert, que le había ayudado durante los últimos años en sus estudios, publicó póstumamenteMirifici logarithmorum canonis descriptio ( Descripción de la maravillosa regla de los logaritmos).
Durante los años anteriores, Napier había ido madurando también sus tablas logarítmicas. La instalación en Merchiston supuso para él la posibilidad de alcanzar el sosiego necesario para terminarlas. Pudo darse cuenta de que no eran un simple «número artificial», como había llamado en principio a su invento numérico. Eran los números de la razón.
§. Descripción de la maravillosa regla de los logaritmos
En cuanto tuvo construidas las tablas, ya en Merchiston, Napier fue redactando ejemplos de su aplicación para incluirlos en su libro Mirifici logarithmorum canonis descriptio. Uno de los primeros ejemplos se basaba en el uso de sus tablas sobre el teorema de los senos:
![]()
Napier fue muy descriptivo a la hora de expresar razonamientos que actualmente se expresan mediante el lenguaje de funciones. Con el objetivo de facilitar la comprensión de estos razonamientos, se introduce la abreviatura Nap(), una notación escrita en expresión decimal (sin multiplicarla por 107) no utilizada por Napier para expresar el logaritmo de una razón trigonométrica. Es decir, para expresar la frase de su libro «el logaritmo de 2909», se escribirá Nap(0,0002909). Este criterio obliga a dividir por 107 cualquier valor (no vinculado a una razón trigonométrica). Por lo tanto, si se desea calcular «el logaritmo de 217», se escribirá Nap(0,0000217). Cabe recordar que el logaritmo de Napier no corresponde al logaritmo decimal ni al logaritmo neperiano que se usan actualmente.
«Al hacer más cortos los cálculos, los logaritmos doblaron la vida de los astrónomos.»Si se desea calcular el logaritmo de 217, que no aparece en la tabla, se busca en la tabla un valor para el seno que empiece por 217 o que lo haga de manera muy aproximada, en este caso el sen (12º 32') = 2170076.
Pierre Simon de Laplace.


Napier procede del siguiente modo;
10 = 1/0,1
Por lo tanto,Nap (10) = Nap(1/0,1) = Nap(1) - Nap(0,1)
Buscando en la tabla la razón trigonométrica más próxima a 0,1, es decir, el valor más próximo a 1000000, se encuentra:

Nap( 0,0000217) = 15278230 - 4Nap(10) ≈
≈ 15278230 - 4×(-23035992) = 15278230 + 4×23035992 =
= 107522198
Napier, consciente de la importancia de disponer del valor exacto de Nap(10), ajustó su cálculo hasta darle el valor-23025850, muy próximo a su valor exacto, que, calculado con técnicas atoles, sería 23025850.Este valor y todos sus múltiplos se utilizaban constantemente en los cálculos con las tablas de Napier. Para no tener que escribido constantemente Napier inventó una curiosa notación en la que escribió:
0 = -23025842
00 = -23025842×2
000 = -23025842×3
0...n0 = -23025842×n
Esta notación puede resultar confusa en el contexto actual, por lo que se usará a partir de este momento la letra D para expresar el valor Nap (10) = -23025850.Así pues, el logaritmo de 217 sería igual al logaritmo de 2170000 + 0000, o sea, el logaritmo de 2170000 - 4D. Calculando se obtiene:
15278230 - 4×(-23025850) = 107381630.
Efectivamente, se puede comprobar que:0,9999999107381630 = 0,0000217.
De esta manera, Napier logra hacer extensiva su tabla actual a cualquier valor numérico pese a estar concebida sobre las razones trigonométricas.Para poder usar el logaritmo de manara generalizada, la conversión de cualquier número a uno que esté dentro del rango de razones trigonométricas del seno (coseno) se logra multiplicando (o dividiendo) por una potencia de 10. Luego, usando las propiedades del logaritmo se obtiene que:
Nap(N) = Nap(N10k/10k) = Nap(N10 k) - Nap(10k) =
= Nap(N10k) - kNap(10) = Nap(N10 k)-kD
Siendo D = Nap(10) = -23025850.
En su libro Mirifici logarithmorum canonis descriptio, después de mostrar cómo ampliar el uso de las tablas, Napier expone con detalle varios ejemplos de ello. Así, presenta un problema en el que hay que encontrar el ángulo A del triángulo siguiente (figura 1); Para resolver este problema basta con utilizar el teorema de los senos:
sen A/57955 =sen 26/26302
de dondesen A = 57955×sin 26/57955
Utilizando la notación Nap(x) en la que tomamos los valores divididos por 107, obtenemos:
Nap( 0,0057955) = Nap (0,5795500) - 2D
Nap( 0,0026302) = Nap (0,2630200) - 2D
De este modoNap (sen A) = Nap (0,0057955) + Nap (sen 26) - Nap (0,0057955)=
= Nap (0,5795500) - 2D + Nap (sen 26) - (Nap (0,2630300)-2D)=
= Nap (0,5795500) - 2D + Nap(sen 26) - Nap (0,2630200) + 2D =
= Nap (0,5795500) + Nap (sen 26) - Nap (0,2630300).
finalmente, buscando en las tablas los valores de las razones trigonométricas más aproximados posibles, obtendremos que:Nap (sen A) = Nap(0,5795500) + Nap (sen 26) - Nap (0,2630200) ≈
≈ Nap (0,5795183) + Nap (sen 26) - Nap (0,2630287) =
= 5454707 + 8246889 -13354921 = 345675.
Que corresponde a un ángulo de 75º que resulta ser la respuesta al problema planteado siempre y cuando el ángulo sea agudo. En el caso en que el ángulo sea obtuso la respuesta debería ser 105°, Napier expone gran cantidad de ejemplos en su libro Mirifici logarithmorum canonis descriptio, muchos de ellos de trigonometría esférica, que entonces facilitaban enormemente los cálculos de los astrónomos. Por ejemplo, cómo podía hallar un navegante en pocos minutos su posición.Para resolver este problema de astronomía de posición, se seguía considerando la Tierra como el centro del universo, que se concebía como una bóveda rígida girando alrededor de nuestro planeta. La posición sobre la Tierra determinaba justo encima un punto al que se llamaba cenit. El punto opuesto diametralmente al otro lado de la Tierra se denominaba nadir. La prolongación del horizonte terrestre hacia la bóveda determinaría el horizonte celeste, una circunferencia en el plano perpendicular al eje zenit-nadir. Como se creía que la bóveda celeste giraba alrededor de la Tierra, el observador, desde esta, podía ver cómo una estrella aparecía por el horizonte en el este y horas después desaparecía por el horizonte en el oeste. Si la estrella se encontraba próxima al polo (estrella circumpolar) se podía gozar de su presencia las 24 horas del día (figura 2).


El problema sobre un triángulo esférico de navegación que se plantea Napier es encontrar la elevación de la polar y, por tanto, la latitud del lugar a partir de la observación del ocaso de una estrella conocida (figura 4).

Dado el acimut de 70°, un ángulo horario SPN = 73º 35' 33" y su complementario (90º - 73º 35' 33" = 16º 24' 27"), se desea calcular la elevación de la polar y, por tanto, la latitud del observador, las fórmulas de trigonometría esférica nos determinan que;
sen NP = tan 70º cot 73º 35' 33" = tan 70º tan l6º 24' 27"
De donde, aplicando logaritmos de Napier, obtenemosNap (senNP) = Nap (tan70º tan 16º 24' 27") =
= Nap (tan 70º) + + Nap (tan 16º 24' 27") =
= -10106827 + 12226180 = 2119358.
De lo que se deduce que el ángulo NP es de 54º.La manipulación de los logaritmos estrictamente sobre las razones trigonométricas del coseno (seno) era muy eficaz cuando se aplicaba sobre la trigonometría esférica, puesto que en este contexto las fórmulas carecen de valores no trigonométricos. Ahora bien, cuando se usaban sobre triángulos en trigonometría plana, en las fórmulas aparecían valores numéricos de longitudes de lados que no tienen ninguna relación con las razones trigonométricas de lado alguno. En estos casos, el ajuste de dichos valores a una razón trigonométrica multiplicando por potencias de 10 y añadiendo la confusa notación de Napier de +000, ó -000 resultaba difícil para los usuarios del logaritmo de Napier. Pese a que Napier fue elogiado de manera entusiasta por los mejores matemáticos de la época
El impacto de su Mirifici logarithmorum canonis constructio fue enorme. La East India Company, por ejemplo, percibió rápidamente el impresionante potencial del logaritmo para facilitar la navegación y encargó al matemático Edward Wright (1-561-1615) su traducción al inglés. Desafortunadamente, este murió antes de terminar la traducción, que reemprendió su hijo Samuel, que también murió antes de efectuar la impresión, que tuvo que finalizar Henry Briggs, A través de las ediciones latinas (1614, 1619, 1620, 1658, 1807, 1857 y 1899) y las traducciones inglesas (1616, 1618, 1857) el mundo científico aceptó con entusiasmo el nuevo logaritmo, que es, probablemente, el invento que ha causado un mayor y rápido impacto en la comunidad matemática en toda su historia.
§. Construcción de la maravillosa regla de los logaritmos
La construcción de las tablas de logaritmos requirió un gran esfuerzo y tenacidad. Napier era consciente de que en ese largo proceso podía haber cometido errores que, a la postre, podrían causar fatales consecuencias para, por ejemplo, un navegante en alta mar Era necesario explicar cómo se habían construido las tablas para facilitar posibles correcciones o ampliaciones.
Por ello se embarcó en la redacción del libioMirifici logarithmorum canonis constructio (Construcción de la maravillosa regla de los logaritmos). Para comprender la hazaña de Napier se puede empezar por imaginar una construcción que desarrolle una procesión geométrica pura a base de reiterar sucesivas multiplicaciones. Las tablas logarítmicas de Napier consisten en escoger los valores más próximos a las 5400 razones trigonométricas del coseno (seno) de entre más de 80 millones de valores de la progresión geométrica 0,9999999 n.
El primer término de dicha progresión geométrica es 1, el segundo sería 1×0,9999999 = 0,9999999, pero el tercer término debería ser 0,9999999×0,9999999 = 0,99999080000001.
Napier se dio cuenta de que podía cambiar las multiplicaciones por restas:
0.9999999×0,9999999 = 0,9999999×(1 - 0,0000001) =
= 0,9999999 - 0,00000009999999 = 0,99999980000001
Es decir, dado que la razón a multiplicar era:0,9999999 = 1 - 1/107
aplicando la propiedad distributiva obtenemos que
Realmente los cálculos que realizaba Napier eran siempre multiplicados por 107 para ajustarlos a las tablas trigonométricas existentes en su época. Además, usaba la notación decimal defendida por el matemático neerlandés Simón Stevin. Por consiguiente, el resultado de la operación anterior debería tener el siguiente aspecto.
![]()
§. Primera tabla
A base de restas consecutivas, Napier empezó a completar los cien primeros términos de la progresión geométrica


Para determinar el valor del logaritmo, es decir, el exponente n de la progresión 0,9999999n, estableció un sistema de cotas superior e inferior determinando la mejor aproximación posible y asumiendo los errores de redondeo razonables.
Para calcular el logaritmo de 9999999 consideró un segmento AB de longitud 107 y un punto C entre A y B (figura 5).

Con este curioso contador de pasos neperiano, el punto C es una partícula que se mueve hacia B en un número discreto de pasos de manera que la distancia para llegar a B después de OL pasos es:

![]()
![]()
Se considera otro punto E a la izquierda de A de manera que el tiempo para ir de E a A es el mismo que el tiempo para ir de A a C. De este modo, se cumple la condición
CB /AB = AB/EB
Como la velocidad de la partícula C decrece, AC <OL. Por el mismo motivo EA > OL, con lo que se obtiene: AC < OL < EA, es decir,

AC = AB - CB = 107 - CB,
ya que la distancia entre AB se ha considerado de 10 7.Por otro lado,





§. Segunda tabla
Para completar la primera tabla, construyó dos tablas más. En la segunda desarrolló la progresión de razón
(1-1/105)n
en vez de(1-1/107)n
que evidentemente hizo a base de restas sucesivas:
Pero Napier no se conforma con asignar al logaritmo de 9999900 el valor obtenido y usa criterios de cotas inferiores ysuperiores para la diferencia entre Nap (b1) y Nap (a100). Para eso, en primer lugar observa que si
α/β = γ/δ
entoncesNap (α) - Nap (β) = Nap (γ) - Nap (δ)
como consecuencia de la definición de sus logaritmos.

Nap (DB/107) - Nap (CB/107)
Y considera dos partículas más, E y F, de manera que se cumplan las condiciones y
EA /AB = CD/DB
AF /CD = AB/CB
Se observa que
Por otro lado,

EB/AB = CB/DB
yFB/AB = DB/CB '
Consecuentemente,FB /AB = AB/EB
por lo que se pueden obtener las cotasAF < Nap (FB/107) < EA.
Pero deFB /AB=DB/CB
se tiene que y como AS = 107,
Nap (AB/107) = 0
con lo que finalmente se obtieneAF < Nap (FB) = Nap (DB) - Nap (CB) < EA
por definición de E y F.

0,0004950 < Nap (0,9999900) - 100,0000100 < 0,0006050, siendo el valor exacto real de
0,00049500333301... < Nap (0,9999900) - 100,0000100 < 0,00049500333303...
De esta manera asigna a Nap (0,9999900) = 100,0005, aproximándose de una manera extraordinaria al valor exacto real 100,00050000333...El resto de logaritmos de esta segunda tabla se obtienen simplemente sumando este valor 100,0005.







Nap (c1,0) = Nap (0,9995000) y
Nap (c0,1) =Nap (0,9900000).
Igual que en el caso de la segunda tabla, en esta tercera se observa que c1,0 = 0,9995000 se aproxima al último valor de la segunda tabla b50 = 0,9995001224804, y, por lo tanto, Napier hubiera podido calcular Nap (c1,0) buscando las cotas de la diferencia de los logaritmos Nap (c1,0) - Nap (b60), con lo que hubiera obtenido un resultado aceptable. Pero su ingenio va más allá y utilizará la primera tabla, que es más densa que la segunda, considerando un valor de manera que
y obtiene x = 0,99999987764614 (siendo el valor exacto 0,9999998774583418771...).
De esta manera Nap (c1,0) - Nap (b50)= Nap (x).
A su vez, el valor más cercano a x = 0,999999987764614 de la tabla primera es a1 = 0,9999999, y aplicando las cotas a estos dos valores se obtiene

1,2235386... < Nap (x) < 1,2235387...
Napier cometió un error de 0,002 en el cálculo de x. Las cotas reales de Nap (x) son 1,2235387... < Nap ( x) < 1,2254167088...Sin embargo, este error no le impedirá conseguir una precisión aceptable en sus cálculos posteriores.
Recuperando la igualdad Nap (c1,0) - Nap ( b50)= Nap (x) y utilizando el valor de la segunda tabla Nap (b50) = 5000,025, se obtiene;
1,2235386 + 50000,025 < Nap (c1,0) < 1,2235387 + 5000,025.
Así, Napier asigna Nap (c1,0) = Nap (0,9995000) = 5001,2435387, siendo el valor exacto 5001,25041682... Este es el error que se propaga en la construcción de la tercera tabla. No obstante, por ejemplo, Napier calcula Nap (c20,0) = 100024,9707740, siendo el valor exacto 100025,008..., que si se redondea a un decimal da el mismo valor.De manera análoga, Napier calcula Nap (c0,1) tras observar que


Recuperando la igualdad
Nap (c1,0) - Nap (c20,0)= Nap (x)
y utilizando el valor de la tercera tabla Nap ( c20,0) = 100024,9707740, se obtiene:478,3502290 + 100024,9707740 < Nap (c1,0) <
< 478,3502812 + 100024,9707740
donde Napier asigna Nap (c0,1) = 100503,3210291, siendo el valor exacto 100503,35853501..., y donde el error sigue siendo consecuencia del cálculo de b50.Finalmente, Napier, para completar la tercera tabla, simplemente tiene que sumar los dos valores obtenidos, que en nuestra notación actual podemos resumir como
![]()
Caso 1. Si en sus tablas encuentra un valor n ≥ 2 9996700, entonces, aplicando una vez más la propiedad de las cotas




ci+1,j < n/107 < ci,j
o bienc0,j+1 < n/107 < c20,j
Errores en las tablas de logaritmos de NapierPara calcular los logaritmos de 9996724 y de 9996798, que corresponden« los ángulos 88º 32' y 88º 33', la aproximación de Napier resulta errónea, ya que son los únicos casos en que no se cumpleDe hecho, para 9 996 724,
con lo que la aproximación que da Napier es
Nep (0,9996724) ≈ 107 - 9996724 = 3276.
pero debería de ser 3276,5366088 y por lo tanto. Nap (0,9996724) = 3277. Se puede comprobar por la definición de logaritmo de Napier que, efectivamente, 107×(0,9999999)3277 = 9996723537 aproxima mejor que 10 7×(0.9999999)3277 = 9996724,536.
De la misma manera, para 9996798,
Con lo que la aproximación que da Napier esNap (0,9996798) ≈107 - 9996798 = 3202
pero debería de ser 3202.5126402 y, por lo tanto. Nap (0,9996798) ≈ 3203. Se puede comprobar por la definición de logaritmo de Napier que efectivamente 107×(0.9999999)3203 - 9996797,513 aproxima mejor que 10 7×(0.9999999)3203 = 9996798,512.
En definitiva, si se rehacen los cálculos para obtener las tablas de Napier de la misma manera que los describe en su libro Mirifici logarithmorum ca nonis constructio, obtendríamos que tres de siete resultados discrepan con los de su tabla, lo que demuestra que realmente hacía sus cálculos con más decimales y que construyó sus tablas redondeando los resultados.
De esta manera conseguimos dos valores de la tercera tabla que llamaremos x e y con x < n < y, y que conocemos:
Nap (x/107) y Nap (y/107)
Aplicando la propiedad de las cotasNap (x/107) - Nap (n/107)
o bien aNap (n/107) - Nap (y/107)
se obtiene



Como y se aproxima mejor a n que x, se toman las cotas


Caso 3. Si n < 5000000 Napier utiliza la fórmula trigonométrica
![]()


ya que sen 90° = 1. Por lo tanto,

Si 45º < α < 90° se utiliza la tercera tabla.
Si 22º 30' ≤ α < 45° se utiliza la fórmula anterior. Por ejemplo α = 40º se calcula Nap (sen 40º) = Nap (0,5000000] + Nap (sen 80º) - Nap (sen 50º).
Si 11º 15' ≤ α < 22°30' se utiliza dos veces la fórmula trigonométrica anterior, Por ejemplo, α = 20° se calcula Nap (sen 20º) = Nap (0,5000000) + Nap (sen 40º) - Nap (sen 70º), donde se volvería a aplicar la fórmula trigonométrica para calcular Nap (sen 40º).
Si 5º 38' ≤ α < 11º 15' se utiliza tres veces la fórmula trigonométrica anterior, y así sucesivamente.
§. Las aportaciones de Henry Briggs
John Napier y el matemático inglés Henry Briggs mantuvieron varios encuentros. Las conversaciones entre ellos discurrieron en torno al invento del logaritmo pero también de los inconvenientes de tu concepción. El verdadero potencial del logaritmo de Napier reside en su utilidad para la resolución de problemas de trigonometría esférica, pero también permitía simplificar mucho operaciones como las raíces de cualquier índice. Sin embargo, las tablas de Napier no eran fáciles de usar por la necesidad de añadir o atraer múltiplos del logaritmo de 10 con la farragosa notación de los 0 sucesivos«+000, -000». Briggs, con una visión más amplia de las matemáticas, proponía unas nuevas tablas, aplicables a cualquier número (no únicamente a las razones trigonométricas), que solucionaran este problema y que obviasen la necesidad de añadir o sustraer potencias del logaritmo de 10. Lamentablemente, Briggs encontró a un Napier ya enfermo que no se sintió con las energías suficientes para abordar este reto.

Retrato de John Napier, el inventor de los logaritmos, fechado en 1616 un año antes de su fallecimiento y donado a la Universidad de Edimburgo por su bisnieta Margaret, Baronesa Napier, en 1886. Los últimos años del matemático fueron muy fructíferos ya que publicó sus principales trabajos.
Napier fallecería el 4 de abril de 1617 a los sesenta y siete años de edad en su casa natal de Merchiston. Su hijo Robert compartió el entusiasmo que mostraron Briggs y el resto de matemáticos en el mundo y ayudó a su padre enfermo en los últimos años de su vida. Recopiló su legado y finalizó su obra inacabada, Mirifici logarithmorum canonis constructio, que aún tardó dos años en ser publicada.
A la vista del estado de salud de Napier y con su beneplácito, Henry Briggs había iniciado por su cuenta el desarrollo de la poderosa idea del logaritmo y en 1617 publicó su primera tabla de logaritmos decimales, con el titulo Logarithmorum chilias prima, (Introducción a los logaritmos). Se trataba de un pequeño folleto de dieciséis páginas, con una introducción y quince tablas.
Para calcular los logaritmos decimales, Briggs consideró varios métodos, cada uno de los cuales le permitió hacer un nuevo avance, una forma sencilla de calcular nuevos logaritmos a partir de otros logaritmos existentes consiste en utilizar las raíces cuadradas. Por ejemplo, si se conocen log n = a y log m = b, entonces
log √(m×n) = (a + b)/2
Napier ya aludía a la utilización de las raíces cuadradas en su Mirifici logarithmorum canonis constructio. Briggs empezó calculando las sucesivas raíces del 10:

![]()
dichos valores resultan sencillos de obtener:



1/ln 10 = 0,43429448190325182765...
Como
![]()

«Napier, lord de Merchiston, ha puesto en mis manos un trabajo con sus nuevos y admirables logaritmos. Espero verlo este verano, si me lo permite Dios, porque nunca vi un libro que me haya complacido y maravillado más».
Henry Briggs, Buces, 1615.
Después de la primera serie de extracciones de raíces cuadradas, Briggs continuó con el cálculo de log 2 pero introdujo un método más rápido. En lugar de comenzar con el cálculo de la raíz de 2, prefirió utilizar una potencia de 2 cercana a una potencia de 10, por lo que usó 210 = 1024, que dividido por 1000 permitía obtener 1,024. Ahora bastaba con calcular el logaritmo de 1,024 aplicando la técnica anterior. Extrajo la raíz 47 veces y obtuvo 1,00000000000000016851605705394977, siendo el valor exacto 1,0000000000000001685160570539497663...
La cuadragésima séptima raíz cuadrada está dentro del margen en el que Briggs consideraba que log (1 + x) ≈ ax. Si hubiera, empezado con 2, tendría que haber extraído la raíz cuadrada 52 veces. En cuanto obtuvo la última raíz cuadrada, pudo calcular el valor del logaritmo usando α y la «regla de oro». Encontró así 0,0000000000000000731855936006239368, donde el valor exacto es 0,000000000000000073185593690623933137.
De donde Briggs obtuvo que
log 1,024 ≈ 0,0102999566398119526527744
y, por lo tantolog 1024 ≈ 3,0102999566398119526527744
que no es más que 10 log 2.Así, finalmente obtuvo :
log 2 = 0,30102999566398119526527744
Este valor tiene 19 decimales correctos.A continuación pasó a calcular el logaritmo de 5 y obtuvo log 5 = log 10 - log 2 = 0,698970004336018805. Luego, hizo lo mismo con el logaritmo de 6 repitiendo el proceso pero extrayendo raíces a 6 9 = 10077696, que dividido por 10000000 quedaría 1,0077696, con lo que se obtendría log 6 ≈ 0,77815125038364363.
Y, finalmente, para lograr el logaritmo de 3, simplemente restó los logaritmos de 6 y 2:
log 3 ≈ log 6 - log 2 ≈ 0,47712125471966244
Disponiendo de los logaritmos de 2, 3, 5 y 10 se puede obtener el logaritmo de cualquier número compuesto por alguno de ellos, como 24 = 2 3×3, así como de cualquiera de estos números multiplicado o dividido por cualquier potencia de 10, por ejemplo, 0,24 = 2 3×3×10-2.La siguiente tarea de Briggs seria encontrar los logaritmos de los restantes números primos utilizando valores alternativos ligeramente por encima de 1. Para lograrlo, tomaba tres números consecutivos entre los que estuviera el número primo en cuestión y en los que ya fueran conocidos los logaritmos de los otros dos.
Por ejemplo, para encontrar el logaritmo de 19 tomaba la terna 18, 19, 20. Los logaritmos de 18 y 20 eran conocidos por ser descomposiciones de números primos previamente calculados, 18 = 2×32 y 20 = 5×42. Utilizando la expresión a2 - b2 = (a + b)×(a - b), podía establecer que
192 - 1 = 18×20
así192/18×20 = 1 + 1/18×20
que resulta ser un valor cercano a 1 y puede, nuevamente, aplicar la técnica de las sucesivas raíces para encontrar su logaritmo. Luego, aplicando las propiedades propias de los logaritmos, lograba finalmente encontrar el logaritmo de 19. Para el 7, por ejemplo, pedía tomar 6, 7 y 8. Para el 11 tomaría 10, 11 y 12, etc.El método era aplicable incluso usando números compuestos que se diferenciaban en una unidad y con los que se podían encontrar los logaritmos de algún primo que formara parte de su descomposición factorial.
Por ejemplo, para el valor 79 consideró:
a = 79×18 = 1422
b - 49×19 = 1421
c = 71×20 = 1420
Los logaritmos de 18, 49, 19, 71 y 20 eran ya conocidos a partir los cálculos previos. Como a, b y c son consecutivos, usando la fórmula de la suma por diferencia de cuadrados se obtiene queb2 - 1 = (b + 1)(b - 1) = a×c,
de donde:b2 /ac = 1 + 1/ac
Como este número es próximo a 1, podía reproducir la técnica de extraer sucesivas raíces cuadradas para, finalmente, obtener el logaritmo de 79 usando las propiedades propias del logaritmo.Para obtener el logaritmo de fracciones o valores decimales, bastaba con aplicar la propiedad
log a/b = log a - log b
finalmente, para intercalar nuevos logaritmos entre logaritmos de valores obtenidos utilizó técnicas de interpolación lineal con las que añadía 10 valores nuevos entre dos valores existentes. Repitió dicha técnica y consiguió tablas suficientemente densas.Las tablas de Jobst BürgiEl matemático suizo Jobst Bürgi (1552-1632), nacido en la ciudad de Lichtensteig, trabajó como relojero y mecánico en el observatorio del duque Guillermo IV de Hesse-Kassel y con la familia de relojeros Habrechten la ciudad suiza de Schaffhausen. La fama de Bürgi como constructor de instrumentos de precisión para la geometría y la astronomía llevó al emperador Rodolfo II a invitarlo a la corte de Praga en 1592. Unos años después, en 1604, lo nombró relojero real. En 1603, el propio Kepler, que coincidió con Bürgi en Praga, hizo públicas las técnicas de cálculo utilizadas por el matemático suizo. Para la construcción de sus tablas, publicadas en 1620, Bürgi empleó los mismos principios fundamentales que Napier, aunque con diferentes valores y terminología, pero su trabajo no incluía una base teórica de los logaritmos. Consideraba la progresión geométrica de razón 1.0001 = (1 + 10 4) y la tablas contenían 9 cifras decimales. Estas tablas se publicaron en circunstancias muy desfavorables, pues el 8 de noviembre de 1620, durante la guerra de los Treinta años, Praga fue tomada en la batalla de la Montaña Blanca, lo que constituyó un obstáculo para su difusión.
En el proceso de cálculo fue incorporando importantes estrategias matemáticas que le permitieran simplificar los cálculos, como por ejemplo un embrión del binomio de Newton (aún no descubierto) con el que calculaba √(1 + x) a partir de la suma de una serie.
En 1624, siete años después deLogarithmorum chilias prima, Briggs publicó Arithmetica logarithmica, con una introducción de 88 páginas, seguida de las tablas con los logaritmos de todos los enteros de 1 a 20000 y de 90001 a 100000 con 14 decimales.
Los historiadores creen que la idea de la reiteración de raíces cuadradas fue originarla de Napier, quien expuso a su amigo Briggs la estrategia a seguir en sus encuentros en Merchiston. Napier afirmaba que sus tablas fueron «labor de un hombre solo». Parece que dedicó veinte años a ese entretenimiento con la única ayuda de sus ábacos. Es razonable pensar que su hijo Robert contribuyó a desarrollar dicho «entretenimiento», al menos al final de su vida, cuando Napier tomó conciencia de la enorme importancia de lo que había hecho y de que su estado de salud le impedía una mayor dedicación.
Briggs no pudo hacer él solo una labor tan colosal en siete años. Se sabe que fue ayudado por calculistas a los cuales preparó plantillas para que las rellenaran. Estos calculistas aprovecharon, sin duda, las ventajas que ofrecían las regletas de Napier, que se habían popularizado rápidamente, proporcionando mayor rapidez y efectividad en los cálculos. Según el matemático inglés John Speidell (1600-1634), Briggs estuvo ayudado por ocho calculistas. Uno de ellos fue Edmund Gunter (1581-1626), matemático inglés conocido por la construcción de instrumentos para facilitar medidas y cálculos matemáticos, y que publicó los primeros logaritmos decimales trigonométricos. También se sabe, por una carta dirigida a Briggs con fecha 6 de enero de 1621, que participó en los cálculos J. Wells (?-1639).
En 1628, el matemático y editor neerlandés Adriaan Vlacq(1600- 1667) publicó una tabla que proporcionaba los logaritmos de los números 1 a 100000 con solo 10 cifras significativas y a la que denominó «una segunda edición de la tabla de Briggs». Si bien la introducción era prácticamente una traducción de la obra de Briggs, en realidad no contaba con su beneplácito ni suponía, de hecho, una continuación de su obra.
Briggs había planeado rellenar el intervalo de los valores 20000 a 99000 con 14 cifras, e incluso el proyecto debía de hallarse en un estado avanzado, pero la publicación de Vlacq lo truncó. Los amigos de Briggs se molestaron por ella. Sin lugar a dudas, las tablas logarítmicas de Briggs fueron la fuente de inspiración de las de Vlacq y, a partir de ese momento, de todas las tablas logarítmicas publicadas hasta el siglo XX.
Durante trescientos años, el plan de Briggs quedó incompleto. Hubo algún intento de finalizar su trabajo pero este no se completó totalmente hasta que, con motivo del tricentenario de la publicación de la Antiemética logarithmica, el matemático y estadístico británico Alexander John Thompson (1885-1968) publicó la Logarithmetica britannica (1924-1952), donde aparecían los logaritmos de todos los enteros hasta 100000 con 20 cifras.
Capítulo 6
Así suena el logaritmo
No resulta fácil sintetizar el legado de Napier. Al fin y al cabo, fue el primer matemático en intentar encontrar un artilugio de cálculo que fuera más allá de mover unas piedras en un tablero. Y también fue de los primeros en intuir el concepto de función continua al construir su logaritmo. Sin embargo, de toda la colosal herencia de Napier hay que hacer hincapié también en la parte menos conocida: la búsqueda de la belleza.La escala musical prelogarítmica de Vincenzo Galilei
En 1581 Vincenzo Galilei publicó Diálogo de la música antigua y moderna, una discusión entre el compositor italiano Gioseffo Zartino (1517-1590) y el autor sobre la naturaleza de la escala musical. Vincenzo era partidario de abandonar las viejas escalas musicales pitagóricas, en las que prevalecían las perfectas armonías y proporciones, en favor de una estructura más práctica y revolucionaria, fruto de la lógica y la razón. Desde este punto de vista puede verse un paralelismo entre esta inquietud de cambio y la que se produjo en el modelo del sistema cosmológico.
Enunciar el problema de la escala musical no es difícil, pero resolverlo es más complejo de lo que parece, puesto que no existe una solución plenamente satisfactoria, y la controversia Zartino- Galilei sigue vigente hoy. Establecer una escala musical consiste en determinar una serie de frecuencias sonoras fijas para usarlas con el fin de interpretar música. Existe un fenómeno natural que no se puede obviar a la hora de resolver este problema. Cuando una frecuencia dada f se emite simultáneamente con el doble de dicha frecuencia, 2f, el cerebro humano muestra enormes dificultades para diferenciarlas.
«Por qué se cantan textos con cuatro o cinco voces, si resulta imposible distinguirlas, cuando los antiguos consiguieron expresar las más fuertes pasiones por medio de una sola voz acompañada por el sonido de una lira?»Este fenómeno hace que el cerebro humano identifique como «la misma nota» las producidas por una frecuencia f y su doble, 2 f. De ahí que en la notación de las escalas musicales existentes se empiece por nombrar una nota, por ejemplo do, y después de una serie de notas (re, mi, fa, sol, la, si) se vuelva a utilizar el mismo nombre, do. Ambas notas do tienen frecuencias distintas, una el doble de la otra, pero nuestro cerebro las percibe como elementos sonoros equivalentes. La escala musical se limita, entonces, a determinar distintas frecuencias sonoras entre ambas frecuencias equivalentes f y 2f.
Vincenzo Galilei, Diálogo de la música antigua y moderna, 1581.
Los pitagóricos estudiaron el problema de la escala sobre un monocordio, es decir, un instrumento de una sola cuerda cuya longitud se puede modificar. Observaron que al pulsar la cuerda del instrumento, además de emitir la frecuencia propia que genera su oscilación, emite simultáneamente, también de manera natural, otras frecuencias proporcionales a la frecuencia original, como por ejemplo 3/2f (es decir, 1,5f, que se encuentra entre f y 2 f). La superposición sucesiva de estas frecuencias proporcionales permitió a los pitagóricos proponer una escala que consideraban de gran perfección y belleza y en la que todas las notas se pueden expresar como fracciones. Esta solución de los pitagóricos implicaba la incorporación de siete notas principales cuyas frecuencias serían:

La quinta del loboLa solución de los pitagóricos al problema de la escala musical tiene un defecto muy grave: la razón entre las dos últimas notes, 3 5/27 y 2f no coincide con ninguna de las razones usadas en la construcción de la escala, lo que genera una disonancia desagradable llamada históricamente la «quinta del lobo», por ulular como el aullido de un lobo. Etiquetar esta escala como perfecta y armoniosa solo puede ser propio de mentes místicas, románticas y creativas como las de los pitagóricos y la de Kepler. En realidad esta escala no era apta para una mente práctica como las de Vincenzo Galilei o Napier.
Y en este caso, resolvieron el problema de un modo muy poco elegante: entre dos notas podemos intercalar una nueva nota de dos maneras diferentes, o bien multiplicando la nota anterior por 37/211, o bien dividiendo la nota siguiente por el mismo valor. Esta solución da dos valores distintos para una misma nota y de ahí proviene la nomenclatura «sostenido» y «bemol., que pueden hacer referencia a una misma nota pero que originalmente eran notas ligeramente distintas, aptas únicamente para violinistas experimentados y melómanos obsesivos.
Vincenzo sabía que, por mucho que así lo afirmaran los estudios teóricos, ningún músico podía tocar el laúd diferenciando entre un la sostenido o un sol bemol. La incorporación de dos trastes para cada nota intermedia no era técnicamente posible y los músicos, en realidad, tocaban con escalas temperadas, es decir, la razón entre dos notas consecutivas era siempre la misma. Pero eso era imposible porque no existía solución racional a ese problema y la música siempre se hacía con proporciones. De hecho, a los números irracionales se les denominaba «números sordos», porque no permitían emitir sonido alguno. Zartino defendía que en la naturaleza se encuentra una perfección que jamás puede surgir de l la creatividad humana y la razón, por eso no creía posible hacer música con los números de la razón. Pero ni Zartino ni Vincenzo estaban preparados todavía para entender y aceptar los números de la razón. Solo Napier, a muchos kilómetros de distancia, entendía verdaderamente el valor de los números de la razón.
El problema a resolver era de logaritmos, es decir, correlacionar una progresión aritmética determinada por los intervalos musicales con una progresión geométrica determinada por las frecuencias musicales de sus notas.


En cualquier caso la resolución de este problema no era trivial en un mundo en el que las matemáticas tenían una base geométrica, el álgebra se estaba iniciando y en la aritmética seguía predominando el cálculo con ábaco. Zartino trató de encontrar la solución al problema y verificar el error de Vincenzo. Para lograrlo, utilizó hasta tres métodos distintos. En primer lugar usó un mesolabio, un ingenioso instrumento ideado por Eratóstenes para resolver el problema de la duplicidad del cubo y que, por lo tanto, permitía resolver mecánicamente raíces cúbicas. Si bien no ofrecería la posibilidad de encontrar soluciones precisas, resultaría útil para un lutier que únicamente buscara calcular una distancia física para construir su instrumento. El mesolabio también permite encontrar raíces de orden superior encajando unas piezas sobre otras a base de tanteo con un alto grado de imprecisión. Con estos métodos Zartino consiguió llegar a un margen de error que mejorara significativamente los valores aproximados de Vincenzo. Finalmente resolvió el problema descomponiendo la raíz doceava de 2 en tres raíces; dos cuadradas y una cúbica. Resulta paradójico el hecho de que el detractor de la escala de intervalos iguales fuera capaz de encontrar la «escala musical sorda» mientras que su defensor no. O quizá sí, ya que en un laúd, el instrumento de los Galilei, cuando se empuja una cuerda hacia el traste correspondiente se prolongan ligeramente tanto la longitud de la cuerda como la tensión, y ese margen diferencial elimina perfectamente el «error» cometido por Vincenzo Galilei, por lo que su propuesta era idónea para su instrumento. Los números de la razón quizá no fueran tan sordos al fin y al cabo.
En la fascinante controversia entre Zartino y Vincenzo subyace un problema doble de maduración. Por una parte está la capacidad de aceptar «proporciones» sonoras irracionales, es decir, interpretar música usando «desproporciones» sonoras, lo cual, como decía el músico alemán Johann Philipp Kirnberger (1721-1783), discípulo de Bach, es una «monstruosidad musical». Por otra parte está la capacidad de entender en toda su profundidad el concepto de logaritmo.
Napier, sin duda, tenía en su cabeza todo lo necesario para desarrollar ese concepto en su más profunda esencia, ya que vislumbraba con una lucidez prodigiosa la continuidad de un concepto estructuralmente discreto; es decir, para Napier el logaritmo era una función continua. Pero se enfrascó en concebir el logaritmo en un contexto exclusivamente trigonométrico y, cuando se dio cuenta de la importancia de su invento, le faltó una buena dosis de su propia medicina: alargar la vida del matemático. Si bien Briggs asumió el desarrollo de la idea de su predecesor, aún tuvieron que pasar unos cuantos años para que el logaritmo traspasara barreras conceptuales.
§. Bernoulli y la línea loxodrómica
La incorporación de la función exponencial y logarítmica en el universo de las funciones en el siglo XVIII permitió un gran desarrollo del cálculo diferencial e integral en determinados aspectos. Por una parte la función y = ex tiene la propiedad de ser la derivada de ella misma, y por otra parte y = 1/x
es la derivada de y = ln x. El hecho notable de definir formalmente el logaritmo como función permitió representarlo gráficamente, lo cual no solo lo dotaba de una presencia mucho más significativa sino que permitía especular objetivamente sobre su belleza intrínseca (figura 1). La fundón exponencial y = ex tiene la particularidad de crecer de una manera abrumadora. Para valores negativos de x, en cambio, el valor de la función se acerca rápidamente a cero. Se trata de una función relacionada con el crecimiento poblacional de los seres vivos, los cuales en unas condiciones óptimas se reproducen aceleradamente. La función logarítmica y = ln x es la inversa de la exponencial, con lo que, visualmente, es simétrica a la exponencial respecto a la diagonal principal de los ejes de coordenadas. Contrariamente a la función exponencial, su crecimiento, aun siendo infinito, es muy lento. El contexto natural en el que aparece con más frecuencia es el relacionado con los intereses bancarios. Los bancos ganan dinero de manera exponencial, lo cual obliga a los clientes a determinar los plazos para finalizar sus hipotecas de manera logarítmica.
Si bien es cierto que puede resultar paradójico hablar de la belleza intrínseca de una función que sirve para facilitar las transacciones hipotecarias, la función logarítmica y la exponencial tienen una presencia activa en los elementos en los que la naturaleza muestra su belleza más universal
Jakob Bernoulli (1654-1705) se interesó en un problema de gran interés para la navegación y la confección de mapas. Se trataba de encontrar estrategias matemáticas que permitieran trazar la línea de rumbo o línea loxodrómica. El objetivo era navegar «en línea recta» por la esfera terrestre. Si se toma un rumbo fijo a 90º del polo, no es difícil deducir que el barco se desplazaría por un paralelo hasta dar la vuelta completa a la Tierra. Pero ¿qué ocurriría si navega tomando un ángulo fijo de 70º con el polo? Podría pensarse que el barco también daría una vuelta a la Tierra siguiendo un círculo máximo, pero no es así. Los matemáticos antiguos pensaron que el problema era irresoluble pero Jakob no creyó lo mismo. Desde una perspectiva matemática, se observa que si el barco siempre mantiene el mismo ángulo con respecto al polo, cruzará cada uno de los meridianos manteniendo exactamente el mismo ángulo. Jakob tomó una proyección ortogonal plana de la esfera sobre un plano perpendicular a la esfera en el polo, el problema, en esa representación, se reduce a tomar un punto arbitrario del plano y trazar la curva que define su movimiento tomando invariante el ángulo sobre los radios vectores. Dicha representación supone, de hecho, una de las primeras representaciones del mundo en coordenadas polares, es decir, un punto del plano se determina a partir de la distancia al centro r y el ángulo α con el eje horizontal (figura 2).
Jakob encontró una solución geométrica a dicho problema, es decir, la línea quedaba geométricamente definida y era posible tratarla, pero no pudo escribir la expresión de la función que la define porque esa función aún no existía. Resolviendo el problema con la notación actual, si considerarnos r la distancia del punto al centro, α el ángulo del punto respecto a la horizontal y β el ángulo constante entre la tangente a la curva y el radio vector, la curva tiene que cumplir que


Efectivamente la espiral logarítmica conserva los ángulos con los radios vectores (figura 3).
Teniendo en cuenta que un mapa nunca puede ser una representación a escala exacta de la realidad, puesto que requiere la transformación de una esfera en un plano, existen muchas
alternativas distintas para confeccionar mapas. Una opción sería generar una transformación en la que las líneas de rumbo queden rectas. Esta fue la opción que eligió Gerardus Mercator (1512-1594), revolucionando la navegación. Por lo tanto, el mapa de Mercator es un mapa logarítmico.
La espiral logarítmica cumple una propiedad maravillosa relacionada con la naturaleza: si la variable independiente, es decir, el ángulo, crece de manera lineal, por ejemplo proporcional al tiempo, la variable dependiente, es decir, el radio vector, crece multiplicando su tamaño, efectivamente: e α+β = e αe β. De este modo, muchos seres vivos crecen siguiendo la espiral logarítmica, como por ejemplo el Nautilos (figura 4). Lo más sorprendente es que justamente esta propiedad de autorreplicación es la que se requiere para elaborar una escala musical sin intervalos discordantes, en la que partiendo de una frecuencia f hasta llegar a una frecuencia 2f se pueda volver a empezar con el mismo criterio matemático para pasar de nuevo f generando una escala una octava superior estructuralmente idéntica a la anterior (figura 5).


Cuando los matemáticos hablan de la belleza de las matemáticas, suelen referirse a la elegancia de determinadas demostraciones, en las que pequeñas genialidades producen resultados sorprendentes, pero no suelen referirse a un concepto de belleza genérico en el que una imagen o un sonido producen una sensación visual o sonora agradable en su conjunto. El logaritmo de Napier traspasa el concepto de belleza puramente matemático. Cuantió alguien escucha su música favorita está gozando do la belleza del logaritmo.
- Arbonés, J. y Milrud, P., La armonía es numérica. Música y matemáticas, Barcelona, RBA, 2011.
- Boyer, C., Historia de la matemática, Madrid, Alianza Editorial, 2007.
- DuSautoy, M., La música de los números primos, Barcelona, Acantilado, 2007.
- Gladstone-Millar, L., John Napier, Logarithm John, Edimburgo, National Museums of Scotland, 2003.
- Ifrah, G., Historia universal de las cifras. La inteligencia de la humanidad contada por los números y el cálculo, Madrid, Espasa Fórum, 1998.
- Maor, E., Historia de un número, México, Conaculta, 2006.
- Moreno, L., Escocia, nación y razón (Dos milenios de política y sociedad), Madrid, Consejo Superior de Investigaciones Científicas, 1996.
- Napier, M., Memoris of John Napier of Merchiston: His Lineage, Life and Times, with a History of the Invention of Logarithms, Edimburgo, William Blackwood, 1834.
- Stewart, I., Números increíbles, Barcelona, Crítica, 2016
- Torra, V., Del ábaco a la revolución digital Algoritmos y computación, Barcelona, RBA, 2010.
presidida por dos leones que daba paso a los campos fértiles de Merchiston, donde se cuenta que la propia reina María de Escocia plantó un peral. El castillo de Merchiston hoy está completamente integrado en la ciudad de Edimburgo, en el barrio del mismo nombre, y forma parte del edificio de la Universidad Napier, que toma nombre de John Napier. El edificio universitario ha respetado la majestuosidad de la torre que albergó el nacimiento del matemático en 1550. En realidad, el castillo es una torre de cuatro plantas en forma de L con un ático. Entrando por la puerta frontal del campus Merchiston de la Universidad Napier se puede observar lo que fue en su tiempo la entrada principal en la cara sur de este edificio construido en el siglo XV. Desde el interior del edificio moderno de la universidad se tiene acceso al interior del castillo, que actualmente alberga despachos y salas de reuniones, después de un importante trabajo de restauración realizado en la década de 1960. En el techo de madera de la sala de entrada ubicada en la segunda planta se puede observar la heráldica de los principales propietarios de la torre durante cinco siglos.
Entre los sirvientes de la familia había un ladrón que causaba perjuicios a la hacienda familiar, y Napier urdió la manera de descubrir al farsante utilizando sus supuestas artes mágicas. Explicó a todos los sirvientes que deberían acceder a una sala en penumbra y acariciar a su gallo negro, que le revelaría la identidad del traidor. Se cuenta que John untó las plumas del gallo negro con carbón antes de que fuera acariciado por aquellos. Cuando todos habían pasado sus manos por encima del lomo del gallo, les pidió que las mostraran. Todos los sirvientes tenían las manos sucias excepto uno, que, atenazado por el miedo a ser descubierto, no llegó a tocar el gallo. De esta manera. John pudo identificar fácilmente al ladrón. Esta anécdota confirmar la personalidad racional de John Napier y no su supuesta tendencia a la superstición.
decidió invitar a un amigo, y así cuando este se fuera el ave volverla al castillo y podría matarla El cuervo vio entrar a dos hombres en el castillo y se fue volando al árbol. Al poco rato salió uno de los hombres, pero el cuervo siguió esperando en el árbol hasta que saliera el segundo. Entonces el hombre lo volvió a intentar con dos amigos, pero el cuervo no volvió al nido si las tres personas no habían abandonado antes el castillo. Finalmente, el hombre solo pudo engañar al cuervo cuando la cantidad de hombres que entraron en el castillo fue superior a cuatro; esa cantidad superaba la capacidad de percepción numérica del ave.
proezas mentales. Estos prodigios fueron ampliamente estudiados y referenciados. Así, el ingeniero George Parker Bidder (1806-1878), nacido en Devonshire, Inglaterra, empezó sus giras, de la mano de su padre, cuando tenía tan solo diez años. A esa edad era capaz de calcular mentalmente la raíz cuadrada de 119550669121 en 30 segundos. Al parecer le enseñó a contar un picapedrero jugando con piedrecillas. En cierta ocasión Parker se enfrentó a otro calculista prodigio de la época, el estadounidense Zerah Colburn (1804-1839), nacido en Cabot, Vermont.
más abierto e inició sus estudios en la universidad de esta ciudad, donde se graduó en 1583. Desde entonces participó en distintos proyectos tanto de escritos matemáticos como de innovaciones en la ingeniería. En 1585 publicó De Thiende ( El arte de las décimas), sobre las fracciones decimales, donde exponía la notación decimal. Concretamente escribía 31 ,2 ,5,7, para indicar 31,257 en la notación actual. Usando la notación fraccionaria 

Manderup Parsberg, primo lejano de Tycho Brahe, se burló de él en público por sus ingenuas predicciones astrológicas sobre la muerte de Solimán el Magnífico. Tycho, lleno de ira, cometió la imprudencia de retar a duelo a Manderup, un experto espadachín que, con un arte exquisito, le rebanó la nariz. 

en la ciudad suiza de Schaffhausen. La fama de Bürgi como constructor de instrumentos de precisión para la geometría y la astronomía llevó al emperador Rodolfo II a invitarlo a la corte de Praga en 1592. Unos años después, en 1604, lo nombró relojero real. En 1603, el propio Kepler, que coincidió con Bürgi en Praga, hizo públicas las técnicas de cálculo utilizadas por el matemático suizo. Para la construcción de sus tablas, publicadas en 1620, Bürgi empleó los mismos principios fundamentales que Napier, aunque con diferentes valores y terminología, pero su trabajo no incluía una base teórica de los logaritmos. Consideraba la progresión geométrica de razón 1.0001 = (1 + 10 4) y la tablas contenían 9 cifras decimales. Estas tablas se publicaron en circunstancias muy desfavorables, pues el 8 de noviembre de 1620, durante la guerra de los Treinta años, Praga fue tomada en la batalla de la Montaña Blanca, lo que constituyó un obstáculo para su difusión.
La solución de los pitagóricos al problema de la escala musical tiene un defecto muy grave: la razón entre las dos últimas notes, 3 5/27 y 2f no coincide con ninguna de las razones usadas en la construcción de la escala, lo que genera una disonancia desagradable llamada históricamente la «quinta del lobo», por ulular como el aullido de un lobo. Etiquetar esta escala como perfecta y armoniosa solo puede ser propio de mentes místicas, románticas y creativas como las de los pitagóricos y la de Kepler. En realidad esta escala no era apta para una mente práctica como las de Vincenzo Galilei o Napier.