Monge
Joaquim Berenguer Claria
Algunos biógrafos de Gaspard Monge citan, como muestra de su precocidad, la construcción de una bomba contra incendios a la edad de catorce años. Efectivamente, esta anécdota anunciaría cuán importante iba a ser su contribución al estudio de las máquinas y de la tecnología en general.Más tarde, cuando el futuro matemático se incorporó a la École Royale du Génie de Mézières, una prestigiosa escuela militar en aquel momento, demostró su habilidad para elaborar planos y resolver sobre ellos la construcción de una fortificación militar. Esta gran capacidad para resolver, mediante la geometría, problemas de carácter militar le abrió las puertas a la enseñanza de las matemáticas y la física en aquella escuela. Probablemente este fue el inicio de su actividad científica y también de su ascenso en la escala social. En la escuela militar había entrado como un simple técnico y saldría de ella, años después, como un reconocido científico. Gracias a Monge, la geometría descriptiva pasó de ser un conjunto de procedimientos gráficos usados por profesionales y técnicos a convertirse en una técnica general uniforme basada en simples y rigurosos razonamientos geométricos.
De esta manera, la geometría descriptiva iba a quedar, a partir de entonces, indisolublemente ligada a su nombre. Sin embargo, muchos hallazgos del matemático permanecieron ocultos durante años al ser considerados materia militar que debía mantenerse en secreto.
Cuando fue profesor de matemáticas en la escuela militar de Mézières, Monge no solo estableció las bases de la geometría descriptiva sino que se interesó por el análisis matemático y la geometría diferencial de curvas y superficies. A partir de este interés, entró en contacto con la obra de diversos matemáticos de su tiempo, como D'Alembert, Euler, Laplace, Lagrange, Clairaut y Bernoulli, y en 1766 empezó a escribir sus primeras memorias sobre curvas y ecuaciones diferenciales, que envió a la Academia de Ciencias de París. La geometría diferencial fue una de las disciplinas favoritas de Monge, cuyas investigaciones se dirigieron especialmente hacia dos temas: las familias de superficies definidas por un determinado modo de generación, que analizó en conexión con las ecuaciones diferenciales correspondientes, y el estudio directo de las propiedades de las superficies curvas. En 1807 Monge publicó Application de l'analyse à la géométrie y que recogía los resultados más importantes de sus años de investigación.
A partir de 1772 la vida profesional y privada de Monge sufrió cambios trascendentales. En abril de 1772 fue elegido corresponsal de la Academia de Ciencias, en 1777 contrajo matrimonio y en 1780 fue elegido geómetra adjunto de aquella institución. Desde este momento compartió su vida de profesor de matemáticas y física entre París y Mézières, aunque, en 1784, al ser nombrado asociado de la clase de física de la Academia de Ciencias, tuvo que dejar la escuela de Mézières y se trasladó definitivamente a París. Entonces el matemático se integró plenamente en el sistema académico parisino y trabó una fuerte amistad con Berthollet y Vandermonde, además de mantener estrechas relaciones con Condorcet, Lavoisier y Lagrange. Esta nueva etapa en la vida profesional de Monge significó la consolidación de su prestigio académico, cada vez mayor entre sus colegas.
Este prestigio iba más allá del campo de las matemáticas. Interesado por cualquier fenómeno científico, presentó varias memorias sobre química, física y meteorología a la Academia de Ciencias. De esta época se han conservado diversos manuscritos sobre los experimentos químicos efectuados por Monge en colaboración con Lavoisier y Vandermonde. Mucho más tarde, cuando participaba en la expedición a Egipto, llegó a presentar una memoria sobre los espejismos observados en el desierto.
Su nombramiento, en 1783, como examinador de cadetes navales representó un ascenso social y su incorporación a las estructuras de Estado, particularmente las militares. En 1774, cuando era profesor de matemáticas en Mézières, Monge había conocido al mariscal de Castries, quien en 1780 se convertiría en ministro de Marina y pocos años después recurriría a él como examinador naval, cargo que mantuvo hasta principios de la Revolución de 1789. A petición del ministro, Monge escribió un manual sobre estática para los alumnos de la Marina, Traité élémentaire de statique (1786), que es un ejemplo de claridad y precisión.
La Revolución fue determinante en la evolución personal y profesional de Monge. Según algunos biógrafos, el recuerdo de las dificultades que encontró inicialmente en la Escuela de Mézières para abrirse camino en un ambiente donde dominaba el elitismo lo llevó a abrazar con entusiasmo la lucha revolucionaria contra los privilegios de la nobleza. Participó en las sociedades revolucionarias e incluso probablemente perteneciera a la francmasonería En cualquier caso, en el momento de estallar la Revolución parecía destinado a desempeñar un papel importante en ella. Por un lado, se trataba de un sincero partidario de la causa republicana, y por otro, era un científico de gran renombre y con un conocimiento profundo de la estructura militar del Estado. De este modo fue propuesto como ministro de Marina, cargo que aceptó posiblemente sin mucho entusiasmo. El hecho de que el rey Luís XVI fuese ajusticiado mientras Monge ostentaba este cargo de ministro fue utilizado años más tarde para intentar desprestigiar su legado. El cese como ministro del Directorio revolucionario no significó el abandono de su colaboración con la Revolución. Al contrario, se convirtió en uno de los hombres que dirigieron el desarrollo de la industria de armas de una Francia revolucionaria que necesitaba defenderse de sus poderosos vecinos europeos. Su experiencia en el campo de la siderurgia y de la burguesía industrial, adquirida cuando tuvo que gestionar la forja que había heredado su esposa, le sirvió para acometer una verdadera revolución en el proceso de fabricación de armas. Otros científicos que se implicaron en este proceso fueron Carnot, Prieur, Vandermonde, Guyton-Morveau y Berthollet, entre otros. Una muestra de la participación de Monge en la industria de guerra es el manual Description de l'art de fabriquer les canons, que escribió en 1794 por encargo del Directorio para facilitar el trabajo a los obreros de esta industria. Evidentemente se trata de un texto muy alejado de sus obras matemáticas, pero muestra la misma mentalidad organizativa y pedagógica. En sus grabados se descubre la mano del gran geómetra.
Como no podía ser de otro modo, el objetivo al que más esfuerzos dedicó Monge desde el principio de la Revolución, fue la reforma del sistema educativo francés. No es casualidad que muchos biógrafos consideren a Monge como el auténtico fundador de la Escuela Politécnica. Efectivamente tuvo un papel relevante tanto en la creación de la École Céntrale des Travaux Publics (1794), poco después rebautizada como École Polytechnique (Escuela Politécnica), como en la de la École Nórmale (Escuela Normal) ese mismo año. Gracias a su actividad docente en estos centros, las investigaciones realizadas años antes por él salieron a la luz. En efecto, en 1795 aparecían publicados los textos donde se recogían las clases de Monge sobre geometría descriptiva, aunque hasta 1799 no se publicó la primera edición completa de estos cursos, con el título de Géométrie descriptive. Leçons données aux Écoles Normales l'an III de la République . Igualmente, el mismo año de 1795 salía a la luz también la primera edición del curso de geometría diferencial de Monge, con el título deFeuilles d'analyse appliquée á la géométrie, á l'usage de l'École impériale polytechnique, que en una posterior edición, en 1807, pasó a llamarse Application d'analyseà la géométrie. Así pues, por un lado, sin la intervención decisiva de Monge, la Escuela Politécnica no se hubiera convertido en ejemplo de escuela preparatoria para futuros ingenieros altamente cualificados del país y, por otro lado, la obra del científico quizás no se hubiese dado a conocer tan rápidamente sin su actividad docente en estos centros.
En 1796 fue enviado a Italia, lo que supuso un alejamiento de las tareas docentes, pero también una mayor implicación directa en la política. Allí conoció a Napoleón Bonaparte, con el que estableció una estrecha amistad y desde entonces su imagen apareció siempre unida al futuro emperador. En 1798 acompañó también a Napoleón en su expedición al país del Nilo, donde llegó a presidir el Instituto de Egipto. Cuando se produjo el golpe de estado propiciado por aquel, Monge siempre se mantuvo a su lado, a pesar de ser un ferviente republicano, y se vio colmado de toda clase de honores por el nuevo emperador: senador vitalicio, miembro de la Legión de Honor y conde de Péluse.
Mientras, los discípulos y seguidores de Monge continuaron su labor en la Escuela Politécnica. Las últimas ediciones de sus obras fueron directamente gestionadas por Jean Nicolás Pierre Hachette, su amigo y discípulo. Este publicó algunos trabajos basados en las ideas de su maestro, como un tratado sobre máquinas. Monge había mostrado interés por la tecnología desde sus inicios como científico y enseñante, y había explicado la teoría de las máquinas en su curso de geometría descriptiva, impartido a finales de 1794 en la misma Escuela Politécnica. Sus ideas fueron utilizadas por Hachette en el Traité élémentaire des machines que publicó en 1811. Este último libro, aunque no es obra de Monge, refleja la inmensa influencia que el matemático estaba ejerciendo entre sus seguidores.
Tras la caída de Napoleón, Monge fue desposeído de todos sus cargos y expulsado del Instituto Nacional de Ciencias y Artes de París. Sin embargo, cuando murió tres años después en la capital francesa, fue homenajeado en su entierro por sus antiguos alumnos a pesar de la oposición del gobierno monárquico. Diversos historiadores y científicos se encargaron de situar la figura de Monge en el lugar que le correspondía y finalmente el mismo Estado francés le quiso devolver el máximo honor que en vida ya había alcanzado trasladando sus restos al Panteón en 1989, junto con los mayores héroes del país.
Resulta difícil resumir en pocas frases la gran aportación de de Monge a las matemáticas y a la ciencia en general. Fue el creador de la geometría descriptiva y el impulsor de la naciente geometría diferencial. Desde el punto de vista científico, uno de sus mayores logros fue elevar a categoría científica algunas disciplinas (geometría descriptiva, teoría de máquinas) que hasta entonces habían sido relegadas como simples técnicas. Destacó también como un gran maestro dedicado a sus alumnos y como fundador de la prestigiosa Escuela Politécnica, Como revolucionario puso su capacidad científica al servicio de la causa republicana, y posteriormente se convirtió en un fiel servidor del Imperio napoleónico, que le recompensó con unos privilegios propios de la nobleza a la que tanto había combatido. La figura de Monge es poliédrica y a menudo contradictoria como la de cualquier persona apasionada que siempre se movió por lo que en cada momento creía que era mejor para su país.
La obra publicada de Monge constituye solo una parte de los muchos manuscritos suyos que se conservan. En todas sus publicaciones se reconoce un mismo hilo conductor: son textos destinados a la enseñanza, dirigidos a alumnos o personas deseosas de aprender. Sus actividades como investigador y profesor se complementaban. Detrás del enseñante había un gran científico que necesitaba comunicar su ciencia.
Cronología | |
| 1746 | El 9 de mayo nace en Beaune Gaspard Monge, del matrimonio formado por Jacques Monge y Jeanne Rousseaux. |
| 1768 | Consigue la cátedra de Matemáticas en la Escuela del Cuerpo de Ingenieros Militares de Mézières. |
| 1771 | Presenta las primeras memorias sobre geometría diferencial de curvas y superficies a la Academia de Ciencias de París. |
| 1772 | Es elegido corresponsal de la Academia de Ciencias de París. |
| 1777 | Contrae matrimonio con Catherine Huart, con la que tendrá tres hijas, Jeanne Charlotte Emilie, Louise Françoise y Adelaida. |
| 1780 | Es elegido miembro de la Academia de Ciencias de París. |
| 1763 | Es nombrado examinador de los guardiamarinas por el mariscal de Castries, ministro de Marina. |
| 1765 | Es nombrado profesor asociado de la clase de Física de la Academia de Ciencia». |
| 1788 | Publica su Traite élémentaire de statique (Tratado elemental de estática). |
| 1792 | El 10 de agosto es nombrado ministro de Marina, al constituirse el Consejo Ejecutivo provisional de Francia. |
| 1794 | Publica Description de l'art de fabriquer les canons (Descripción del arte de fabricar cañones). Gracias a su intervención, abre sus puertas la École Céntrale des Travaux Publics, rebautizada después École Polytechnique (Escuela Politécnica). |
| 1795 | Se publica la primera edición del curso de geometría diferencial de Monge, con el título de Feuilles d'analyse appliqué á la géométrie (Páginas de análisis aplicado a la geometría). |
| 1796-1798 | Como miembro de la Comisión de Ciencias y Artes, viaja a Italia, donde conoce a Napoleón Bonaparte. Se incorpora a la expedición de Napoleón Bonaparte en Egipto. |
| 1799 | Se publica Géométrie descriptive (Geometría descriptiva) que reúne los cursos dados por Monge. Es nombrado senador conservador. |
| 1806 | Es designado presidente del Senado. |
| 1807 | Se publica Application de l'analysis à la géométrie (Aplicación de análisis a la geometría), reedición ampliada de Feuilles d'analyse appliques á la géométrie. |
| 1806 | Es nombrado conde de Péluse. |
| 1818 | El 28 de julio muere en París. |
Capítulo 1
El nacimiento de la geometría descriptiva
Gaspard Monge nació en el seno de una familia de comerciantes y, a pesar de tener vetado el acceso a las escuelas de alto nivel por su condición social, consiguió superar todas las barreras sociales gracias a su gran talento hasta erigirse en el impulsor de una nueva disciplina matemática, la geometría descriptiva, y crear una verdadera escuela que se propagó por toda Europa.Contenido:
§. En la École Royale du Génie de MézièresGaspard Monge nació el 9 de mayo de 1746 en Beaune (Borgoña); era el hijo mayor de un comerciante, Jacques Monge, originarlo de la Alta Saboya y casado con Jeanne Rousseaux. Según algunos historiadores, su padre era un mercader ambulante, según otros, un campesino. En cualquier caso, consiguió ascender en la escala social, ya que terminó como adjudicatario en el mercado central de Beaune en 1751 y quiso asegurar a sus hijos una buena educación, Gaspard tuvo dos hermanos, Louis, clérigo y profesor de filosofía en el seminario de Autun, y Jean, ingresado en el Oratorio de San Felipe Neri y profesor de matemáticas en el colegio de la Congregación del Oratorio de Beaune. La solidaridad entre hermanos se mantuvo durante toda la vida de Gaspard; Louis sustituyó a este en la escuela militar de Mézières y después fue nombrado examinador en la Armada. Y Jean obtuvo, gradas a su hermano Gaspard, una plaza de profesor de hidrografía y matemáticas en Amberes en 1799.
§. Precursores de la geometría descriptiva
§. Los fundamentos de la geometría descriptiva
§. Las superficies en la geometría descriptiva
§. Algunos problemas relativos a una recta y un plano
§. Sobre los planos tangentes a las superficies curvas y sus normales
§. Sobre la intersección de las superficies curvas
§. Otros problemas geométricos
§. La teoría de las sombras
§. La sombra de un cuerpo con caras planas
§. La sombra de un cuerpo limitado por superficies curvas
§. La teoría de la perspectiva
§. La geometría descriptiva después de Monge
Jacques Monge consiguió que su hijo fuese admitido en la escuela de la Congregación del Oratorio de Beaune para estudiar humanidades. Pronto dio signos de precocidad, pues creó una bomba contra incendios cuando solo tenía catorce años. Después de terminar sus estudios de filosofía, física y matemáticas en la escuela de Beaune, se trasladó a Lyon para ampliar sus estudios científicos en la École de la Trinité (1762-1764), también de la Congregación del Oratorio. Allí impartió también un curso de física a la edad de dieciséis años.
§. En la École Royale du Génie de Mézières
La vida de Gaspard Monge cambió radicalmente a partir de unas vacaciones en Beaune. Durante el verano del año 1764 diseñó un plano de su ciudad natal, a pesar de que no disponía de especiales instrumentos para ello. Utilizando aparatos de medida de su propia invención, dibujó un plano a muy gran escala y se lo ofreció a la administración local de Beaune. La alta calidad del plano llamó la atención del coronel Vignau, segundo jefe de la Escuela del Cuerpo de Ingenieros Militares de Mézières (École Royale du Génie), que se encontraba en Beaune.
El oficial consiguió que en 1765 Gaspard Monge ingresara en esta escuela militar de Mézières, aunque, al no ser de noble cuna, no pudo hacerlo en la sección de ingenieros militares sino en la escuela de aparejadores y conductores de los trabajos de fortificaciones como dibujante. Esta escuela práctica, sucursal de la escuela militar, no solo llevaba a cabo tareas para el estamento militar sino también para otros servicios públicos y estaba abierta a todos los jóvenes que demostraban su talento y sus habilidades pero que no procedían de la nobleza. Los alumnos aprendían cálculo algebraico, geometría, dibujo técnico, talla de piedra y carpintería. Ejecutaban con sus propias manos, con yeso amasado, modelos de todos los elementos que formaban las bóvedas en la arquitectura civil y militar. Por este motivo habían dado el nombre de Gácke a la escuela práctica. Los alumnos, que procedían de la burguesía local, podían llegar a lo sumo al grado de subteniente del cuerpo de ingenieros.
Para realizar los planos de fortificaciones que le encargaban en la escuela, muy a menudo Monge tenía que resolverlos problemas de la desenfilada (desenfilar una posición militar significa protegerla del fuego enemigo). Debía establecer el relieve de las diferentes partes de una fortificación de tal manera que resultara lo más económica posible pero también protegida de los ataques del enemigo que podía situarse en cualquier punto del territorio exterior.
Existían ya tratados sobre el problema de la desenfilada tales como el de Sébastien Le Prestre, marqués de Vauban (1633-1707), y de Louis de Cormontaigne (1695-1752), pero solo permitían resolver el tema sobre el terreno, y además los cálculos eran largos y pesados. Monge resolvió el problema de forma teórica: imaginó un cono centrado sobre la recta que pasase por los dos puntos más importantes que había que proteger. Y el cono tenía que ser tangente al terreno de su alrededor. El plano tangente a este cono que contenía justamente la recta era el plano de la desenfilada buscado. Para aplicar en la práctica la definición de este problema, Monge sentó las primeras bases de una nueva técnica que se convertiría en la geometría descriptiva.
Debido al prestigio que le dio la forma de resolver el problema de la desenfilada, Monge fue escogido por Charles Bossut (1730-1814) como profesor de refuerzo de matemáticas. En 1768, cuando este pasó a ser examinador de los candidatos al ingreso en la escuela militar, Monge consiguió la cátedra de Matemáticas.
Durante estos años Monge desarrolló las bases de la geometría descriptiva e introdujo esta nueva disciplina en la enseñanza regular de la escuela. Mostró que el método de las proyecciones, hasta aquel momento reservado a los trazados más o menos empíricos de los talladores de piedra, los carpinteros y los arquitectos, era susceptible de las aplicaciones más diversas y que, precisando sus principios, se podía convertir en una técnica simple y útil. Pero esta progresiva puesta a punto de los principios y de los métodos de la geometría descriptiva no le dio de momento ningún renombre En esta época, la rivalidad entre las distintas escuelas militares francesas conducía a guardar el secreto de los contenidos más originales de la enseñanza, por lo que la geometría descriptiva no se dio a conocer públicamente hasta muchos años más tarde, cuando Monge inició unos cursos en la Escuela Normal y en la Escuela Politécnica de París en 1794 y 1795.
§. Precursores de la geometría descriptiva
En los preliminares del curso que dio en la Escuela Normal, Monge reconoció que la geometría descriptiva había sido practicada desde mucho tiempo antes. Decía que él método de las proyecciones (el uso de dos proyecciones ortogonales), base de la geometría proyectiva, había servido para las cartas geográficas y topográficas, los planos en arquitectura, los relojes solares, en el teatro, etc.
El problema de la desenfiladaEn el problema de la desenfilada resuelto por Monge en la escuela de Mézières, se trataba de proteger dos puntos importantes A y B de una determinada posición militar de los tiros provenientes de la superficie exterior situada delante del segmento AB. Consideremos un haz de semiplanos de eje conteniendo AB. Partiendo de la posición vertical, un primer semiplano P toca el relieve exterior en un punto determinado. Si se sabe proteger los puntos A y B de los tiros provenientes de este punto, se sabrá protegerlos de los tiros provenientes de la región exterior situada delante de la recta que contiene AB. Para proteger estos puntos basta con fortificar por encima del plano P. Para caracterizar este plano, Monge consideraba un cono tangente al relieve que tenía por vértice un punto del segmento AB. El semiplano (superior) tangente a este cono es el plano P.
En efecto, la técnica utilizada en la construcción de edificios se ha valido de diferentes métodos gráficos a lo largo de los siglos para la realización de los proyectos arquitectónicos, entre ellos la noción de proyección, que aparece ya desde la antigüedad. Existen ejemplos del uso de proyecciones ortogonales entre los babilonios, los egipcios y los hindúes. Un diseño de tamaño natural de una bóveda elíptica, fechado en 1.200 a.C. y encontrado en el Valle de los Reyes, muestra los procedimientos utilizados por los egipcios para facilitar la construcción de sus edificios. De todas formas, el único gran tratado de arquitectura antigua que nos ha llegado es el del arquitecto e ingeniero romano Vitrubio (ca. 90-ca. 20 a. C). Su obra De architectura (15 a.C.), considerada como un modelo hasta el siglo XVII, contiene importantes informaciones sobre todas las técnicas de construcción de los romanos pero no da muchos detalles sobre los procedimientos de dibujo arquitectónico. En su libro, Vitrubio señala que la ignografía y la ortografía (planta y alzado) eran utilizadas corrientemente en la representación de los edificios. Esta tradición, heredada de las primeras civilizaciones del Próximo Oriente a través de los griegos, se transmitió a la Europa occidental gracias a la gran difusión del tratado de este célebre arquitecto.
La construcción de las elegantes bóvedas románicas y góticas planteó a los arquitectos de la Edad Media problemas mucho más delicados. Las bóvedas y los arbotantes suscitaron problemas de estática, dibujo y talla de piedra cada vez más complicados. Estos problemas y su solución están en la base de una tradición que se perpetuó entre los arquitectos y los maestros de obra hasta el siglo XVII, formada por reglas complicadas que se adaptaban a los diferentes tipos de bóvedas y estructuras arquitectónicas. De apariencia empírica y una exactitud a menudo aproximativa, estas reglas solo pudieron nacer gracias a una gran intuición de las figuras en el espacio y de las propiedades de las proyecciones.
Algunos tratados sobre técnicas constructivas aparecidos antes del siglo XVII hacen mención del razonamiento geométrico para justificar la talla de piedra y el diseño arquitectónico pero sin dar mucho relieve a la relación entre planta y alzado de una obra arquitectónica. Destaca la aportación del matemático e ingeniero Gérard Desargues (1591-1661), que muy probablemente influyó sobre Monge. Este matemático e ingeniero francés, que se dedicó a la arquitectura después de haber estado al servicio de la Corte de Francia como ingeniero militar, propuso tratar los problemas del diseño arquitectónico por métodos exclusivamente geométricos. Se le considera el iniciador de la geometría proyectiva, ya que fundamentó matemáticamente los métodos de perspectiva que habían desarrollado los artistas del Renacimiento. Aunque su trabajo fue publicado en 1639, se vio ensombrecido por la obra de Descartes y pasó desapercibido durante dos siglos.
La importancia de las aportaciones de Desargues no se entendió hasta el siglo XVIII, con el científico francés Amédée-François Frézier (1682-1773). En su Traite de stéréotomie á l'usage de l'arehitecture, publicado en 1739, expuso la necesidad de establecer las reglas de la arquitectura sobre bases sólidas a partir de estudios teóricos de geometría y mecánica. Frézier había estudiado las obras de sus predecesores y las memorias más recientes de geometría pura y geometría diferencial. Para superar la rutina llena de recetas de los obreros de la construcción y los arquitectos, era necesario estudiar las superficies elementales utilizadas e intentar establecer unos métodos generales. Rechazó el uso de la perspectiva y estudió la proyección ortogonal sobre el plano horizontal (planta, ignografía o proyección horizontal) y sobre el plano vertical (ortografía o alzado). Analizó las relaciones existentes entre una figura y su proyección ortogonal y constató implícitamente que para determinar una figura en el espacio es necesario conocer dos proyecciones. De esta manera Frézier no solo consiguió convertir en rigurosos los métodos del diseño utilizados en arquitectura y en la talla de piedras, sino también sentar las bases de la geometría descriptiva.
Probablemente Monge conocía la obra de Frézier cuando llegó a Mézières, ya que trabajó durante dos años en el taller de dibujo y de talla de piedra de la escuela. Entre los elementos de la obra de Frézier que debieron de influir en la de Monge están la representación de algunas figuras por el método de las dos proyecciones, el empleo muy frecuente de la proyección ortogonal simple, los abatimientos y cambios de plano y la construcción de ciertas curvas a partir del conocimiento de algunos de sus puntos.
La geometría proyectivaSe puede considerar la geometría proyectiva como la que se obtiene cuando nos colocamos en un punto, mirando desde ese punto. De esta forma, la geometría proyectiva equivale a la proyección sobre un plano de un subconjunto del espacio en la geometría euclidiana tridimensional. Las rectas que llegan al ojo del observador se proyectan en puntos. Los planos definidos por cada par de ellas se proyectan en rectas. El teorema que lleva el nombre de Desargues se convertiría en la pieza clave de la geometría proyectiva, Dice que en el plano proyectivo, dos triángulos son proyectivos desde un punto si y solo si son proyectivos desde una recta. Sean los triángulos ABC y DEF.Estos dos triángulos son proyectivos desde un punto si las rectas AD. BE y CF concurren en un mismo punto O, llamado centro de perspectiva. Por otro lado, dos triángulos son proyectivos desde una recta sí los pares de lados (AB y DE) (BC y EF) y (AC y DF) se cortan respectivamente sobre una misma recta r, llamada eje de perspectiva.
También la perspectiva empleada por los artistas en la pintura y en el teatro puede ser considerada como precursora de la geometría descriptiva. En el Renacimiento algunos artistas como Filippo Brunelleschi, León Battista Alberti, Piero de la Francesca y Leonardo da Vinci recuperaron los antiguos estudios de perspectiva. Alberto Durero (1471-1528), uno de los pintones que utilizó los nuevos métodos de la perspectiva, publicó un tratado de geometría, Underweysung der Messung, mit dem Zirckel und Richtscheyt in Linien Ebnen und gantzen Corporen (Los cuatro libros sobre medición. Instrucciones de medición con compás y regla), donde pretendía proporcionar unas reglas para representar curvas, superficies y sólidos con fines artísticos. En el tratado de Durero se puede encontrar la primera noción clara del papel que desempeñaba el método de las proyecciones.
Igualmente pueden considerarse antecedentes de la geometría descriptiva la teoría de las sombras y la gnomónica, es decir, la ciencia encargada de elaborar teorías sobre la trayectoria del Sol en el horizonte mediante el empleo de proyecciones específicas sobre superficies. Esta ciencia es muy útil tanto para el diseño y la construcción de relojes de sol como en cartografía.
§. Los fundamentos de la geometría descriptiva
La geometría descriptiva tiene su origen en la necesidad de representar objetos de tres dimensiones en un plano de dos dimensiones. Una figura plana puede ser representada sobre una superficie plana sin que se alteren las proporciones de sus partes. La representación es, en este caso, como una miniatura de la figura real. Pero cuando se trata de un cuerpo de tres dimensiones, su representación sobre una superficie plana queda totalmente alterada. Dos líneas iguales en el cuerpo pueden ser totalmente desiguales en la representación plana. A pesar de estas dificultades, los dibujantes y los pintores han conseguido representar objetos muy complejos, como obras de arte, construcciones, máquinas, etc., sobre una hoja de papel o una tela, gracias a la aplicación inteligente de los principios de la perspectiva o principios que los artistas han denominado del claroscuro.
De todas maneras, las representaciones artísticas tienen poco valor para la arquitectura si se quiere reproducir los objetos en todas sus dimensiones. Anteriormente, los arquitectos intentaban resolver el problema a partir de dibujos donde descomponían el edificio proyectado en distintas partes, pero los métodos eran básicamente empiristas y no disponían de ninguna base teórica sólida. Monge proporcionó esta base teórica, que consistía en un pequeño número de principios. La geometría descriptiva, fundada sobre el empleo de las proyecciones, no solo es el medio de resolver con rigor múltiples problemas relativos a la construcción, sino también un método para descubrir las propiedades de espacios limitados.
El primer objetivo de la geometría descriptiva es representar todos los cuerpos de la naturaleza que tienen tres dimensiones sobre hojas de dibujo de dos dimensiones. El segundo objetivo es deducir de esta representación todas las relaciones matemáticas que resultan de la forma y posición de estos cuerpos.
¿Cómo representar un punto, una línea o una superficie? Esta es la primera cuestión que Monge se propone en su obra Géométrie descriptive, publicada en 1799. En este libro, muestra cómo las vías que en un primer momento parecen las más elementales realmente resultan ser las más complicadas. Las distancias en el espacio no deben medirse a partir de puntos fijos ni de rectas sino a partir de planos perpendiculares entre sí. Es el método de las proyecciones ortogonales. Según este sistema, para representar un punto cualquiera del espacio se traza desde él una perpendicular a cada uno de los pianos de proyección. El punto del plano donde cae esta perpendicular es la proyección del punto propuesto.
«No hay ninguna construcción de geometría descriptiva que no pueda ser traducida al análisis y, cuando la cuestión no conlleva más de tres incógnitas, cada operación analítica puede ser vista como la escritura de un espectáculo en geometría.»En la figura 1 el punto A del espacio es proyectado sobre el plano horizontal H, siendo a su proyección horizontal, y sobre el plano vertical V, siendo su proyección vertical a'.
Gaspard Monge
Si puntos contiguos forman una línea en el espacio, sus proyecciones igualmente contiguas formarán también una línea; será la proyección de la línea dada. Solo bastan las proyecciones de dos puntos para determinar un punto cualquiera de la recta. Si de todos los puntos de una recta AB se conciben las perpendiculares sobre un plano LMNO, todos los puntos de corte de estas perpendiculares con el plano definirán otra recta ab. Es lo que se llama proyección de la recta AB sobre el plano (figura 2).


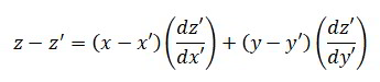
Seguidamente Monge considera que la recta AB está limitada, es decir, considera el segmento AB y explica cómo deducir su longitud. Trata el caso más general en que el segmento AB no sea paralelo a ninguno de los dos planos de proyección, ya que en caso contrario la longitud de AB coincidiría con la longitud de una de sus proyecciones. Traza el segmento AE horizontal en el plano vertical que contiene AB. La longitud AB será la hipotenusa del triángulo rectángulo AEB. El cateto AE es conocido, ya que coincide con la proyección ab. Por otro lado, traza sobre el plano vertical el segmento a'e paralelo a la recta intersección LM desde el punto a' hasta el punto e, que es el de intersección con la perpendicular a LM desde b'. El segmento b'e es igual a BE. Por tanto en el triángulo AEB también conocemos el otro cateto BE = b' que puede ser deducido a partir de la posición de la proyección a'b'. En consecuencia podemos obtener la hipotenusa AB.

Si desde a" se traza la recta a" e paralela a LM hasta el punto e determinado por la perpendicular desde b" a LM, el segmento b" e será igual al b' e. A continuación traslada la distancia ab desde el punto e sobre la recta a" e determinando el punto H, es decir He = ab. La distancia Hb" era la hipotenusa de un triángulo rectángulo cuyos catetos son He-ab y b"e - b'e. Por tanto, Hb" será justamente igual a la longitud del segmento AB en el espacio.
Monge afirmaba que con la geometría descriptiva ocurre lo mismo que con el álgebra, es decir, que no hay una regla general para establecer la relación entre un cuerpo en el espacio y sus proyecciones respectivas. Estas dos ciencias, continúa, están estrechamente relacionadas.

Dentro de la primera sección de la Géométrie descriptive, que trata de los fundamentos de esta disciplina, Monge aborda la forma de tratar las superficies. Afirma que para representar las superficies hay que aplicar otro método distinto al utilizado para un punto y una recta, ya que sería necesario tratar con un número infinito de puntos. EL método empleado por Monge consiste en considerar toda superficie «como generada por el movimiento de una línea curva, o bien constante de forma cuando cambia de posición, o bien variable al mismo tiempo de forma y de posición en el espacio».
Una superficie cilíndrica (figura 5) puede ser así considerada como generada bien por el desplazamiento de una recta que se mantiene siempre paralela a una recta dada mientras se mueve, «apoyándose» en una curva dada, o bien por el movimiento de la curva, que servía de conductora en el primer caso y que se mueve de manera que, «apoyándose» siempre en el mismo punto sobre una recta dada, todos los otros puntos describen líneas paralelas a esta recta. Tanto en un caso como en el otro, la línea generatriz, que es una recta en el primer caso y una curva cualquiera en el segundo, es constante de forma y solo cambia de posición en el espacio.

Según Monge, con estos tres ejemplos cualquier superficie curva puede estar generada por el movimiento de ciertas líneas curvas, y su forma y posición puede quedar determinada por la definición completa de su generación. Para determinar la forma y la posición, habrá que construir la curva generatriz por un punto cualquiera La experiencia ha demostrado que es mejor considerar al mismo tiempo dos generatrices distintas e indicar para cada punto la construcción de dos curvas generatrices. Finalmente, Monge concluía que en la geometría descriptiva, para expresar la forma y la posición de una superficie curva, será suficiente, para un punto cualquiera de esta superficie, dar la manera de construir la proyección horizontal y vertical de dos generatrices diferentes que pasan por este punto. Sin embargo, algunas superficies elementales pueden ser representadas por medios mucho más sencillos. EL plano, por ejemplo, está completamente definido por las rectas según las cuales corta los dos planos de proyección: estas líneas son llamadas las «trazas» de este plano β (figura 8). El plano corta los dos planos de proyección en dos rectas — trazas—, que son las rectas β1 y β 2 en el plano.
§. Algunos problemas relativos a una recta y un plano
La Géométrie descríptive de Monge trata, a continuación, algunos problemas básicos trazar una recta paralela a otra por un punto dado, trazar un plano paralelo a una recta o un plano dado, trazar una recta perpendicular a un plano dado, trazar un plano perpendicular a una recta dada, construir la intersección y el ángulo de dos planos dados, construir el ángulo de dos rectas dadas en el espacio, construir el ángulo de una recta con un plano dado; dado el ángulo de dos rectas y el ángulo de cada una de estas con el plano horizontal, construir la proyección horizontal del primero de estos ángulos. Aparece citada una primera aplicación; la reducción de los ángulos en el horizonte en las operaciones cartográficas de triangulación. Aquí se abordarán los dos primeros problemas que Monge expone en esta parte de su libro.
§. Trazar una recta paralela a otra por un punto dado
Se trata de dibujar las proyecciones de una recta paralela a una dada y que pase por un punto dado. Sean D y d las proyecciones de un punto en el espacio y sean AB y ab las proyecciones de una recta en el espacio (figuras 9 y 10). Las proyecciones de la recta buscada tendrán que ser paralelas a las de la recta dada. Por lo tanto, las proyecciones buscadas serán las de las rectas paralelas a AS y ab que pasen por los puntos D y d, respectivamente.


Dados un plano cuyas trazas son AB y BC y un punto cuyas proyecciones son G y g, construir las trazas de un segundo plano que pase por el punto dado y que sea paralelo al primero (figura 11). Tratemos, en primer lugar, de comprender el problema en el espacio. En la figura podemos observar la situación de partida del problema planteado. Tenemos un plano que determina sobre los planos de proyección la traza horizontal AB y la vertical BC. Y, por otro lado, el punto P (en el original de Monge no se le adjudica letra ninguna) que tiene sus proyecciones G y g, respectivamente. Se trata de trazar un piano paralelo al dado que pase por el punto P.



§. Sobre los planos tangentes a las superficies curvas y sus normales

Aplicaciones arquitectónicasAntes de explicar el método para determinar el piano tangente y la normal a una superficie, Monge ilustra la utilidad de tener en cuenta dicha técnica en algunos aspectos de la actividad humana. El primer ejemplo se refiere a la arquitectura. Monge explica que, en la construcción, una bóveda o un arco están compuestos por distintas partes llamadas dovelas. Las juntas son las caras con las que dos dovelas contiguas se tocan.La posición de las juntas en las bóvedas está sometida a varias condiciones. Así, es muy importan- te que las juntas sean perpendiculares a la superficie de la bóveda. Si no se cumple esta condición no solo no se cumplirían los convenios estéticos establecidos, argumenta Monge, sino que nos expondríamos a que la bóveda sea menos sólida y resistente. Así pues, la descomposición de una bóveda en dovelas exige absolutamente la consideración de planos tangentes y normales a la superficie curva de la bóveda.
Aunque el método general para determinar el plano tangente a una superficie curva consiste en concebir por el punto de contacto las tangentes a dos curvas generatrices diferentes que pasan por este punto y construir el plano que contiene dichas rectas, a veces se puede conseguir el plano de forma más sencilla.

Para resolver el problema, ante todo, supone que dibuja la recta generatriz del cilindro que pasa por el punto dado y que será paralela a la recta dada. Sus proyecciones EF y ec' también serán paralelas a las proyecciones AB y ab de la recta original y para dibujarlas bastará que pasen por C y c', respectivamente (figura 17).

Por consiguiente, para obtener la traza horizontal del plano tangente será suficiente dibujar desde el punto E la tangente a la curvaEPD hasta que corte la línea LM en el punto G.EG será efectivamente la traza horizontal del plano. Para hallar su traza vertical se ha de tener en cuenta que esta se extenderá a partir del punto G. Imaginamos una recta horizontal sobre el plano tangente que pasa por el punto de contacto y que corta al plano vertical en el punto h. Este punto pertenecerá a la traza vertical del plano buscado y, por tanto, con él podremos determinar dicha traza. Para poder hallar el punto h hay que dibujar las proyecciones horizontal CH y vertical c'h de la recta considerada, es decir, dibujar desde C una recta paralela aEG (traza horizontal del plano) que cortará a la línea LM en H. En el plano vertical, hay que levantar una recta vertical desde H y, por otro lado, dibujar la recta horizontal desde c'. EL punto de intersección de estas dos últimas rectas será el punto h. Con ello ya tendremos también la traza Gh del plano tangente.
Monge, por supuesto, plantea el problema y lo resuelve exclusivamente desde el plano proyectivo. De manera que el diseño del anterior problema es aproximadamente el que aparece en la figura 18.

§. Sobre la intersección de las superficies curvas
La tercera sección de la Géométrie descriptive trata sobre la intersección de las superficies curvas que, en general, será una curva de «doble curvatura» o «alabeada», es decir, una curva que no está contenida en un plano. Explica el método general para determinar dicha curva, por puntos, cortando la figura por una familia de planos auxiliares y determinando los puntos comunes a las secciones correspondientes de las dos superficies. Antes de abordar el caso general, en el que se obtienen curvas alabeadas, utiliza su método para estudiar la intersección de algunas superficies curvas con un plano.



§. Otros problemas geométricos
En la cuarta sección de la Géométrie descriptive, Monge plantea distintos ejercicios de aplicación de la geometría descriptiva a la topografía y a la estrategia militar. Uno de ellos trata del levantamiento de un terreno que no es horizontal. En el caso de que se disponga de plomada, el problema se resuelve a partir de la intersección de tres conos de revolución de eje vertical. En el caso de que no se disponga de plomada, el problema se resuelve a partir de un tetraedro conocida su base y las caras del triedro opuesto a esta. También resuelve el problema de determinar la posición de puntos desconocidos de un territorio, con la ayuda de observaciones hechas a partir de puntos de alturas diferentes situados sobre la vertical de un punto dado. En la época de Monge, este problema estaba relacionado con una aplicación militar de los aerostatos. Finalmente, en la quinta y última sección, Monge profundiza sobre las propiedades de las superficies desarrollables y sobre las curvas en el espacio. Esta sección fue sucesivamente ampliada en posteriores ediciones, donde alumnos de Monge añadieron diferentes notas a partir de sus clases.
§. La teoría de las sombras
EL tratado de la Géométrie descriptive está basado en las clases que Monge dio en la Escuela Normal durante los años 1794 y 1795. La primera edición del libro, en 1799, es obra de uno de sus discípulos, el matemático francés Jean Nicolas Pierre Hachette (1769-1834). En 1820, el ingeniero y matemático francés Barnabé Brisson (1777-1828), discípulo que participó en la cuarta edición, añadió al tratado original las clases que su maestro dio en la Escuela Normal y en la Escuela Politécnica sobre la teoría de las sombras y la perspectiva. En la introducción de la parte del libro dedicada a la teoría de las sombras se explica cómo la determinación de las sombras puede resultar un medio auxiliar muy importante para representar los objetos en un plano. En efecto, si admitimos que los cuerpos están iluminados por rayos paralelos, estos cuerpos van a producir sombras sobre el plano horizontal, y a través de la longitud de estas y el estudio de sus formas se podrán conocer sus dimensiones verticales. De manera que, conocida la dirección de los rayos luminosos, propiamente ya no se necesitan las dos proyecciones. Aun así, si tenemos las dos proyecciones, horizontal y vertical, con las sombras construidas, estas proyecciones serán más fáciles de interpretar y mostrarán más fácilmente el objeto. En la teoría de las sombras se parte del principio de que la luz se propaga en línea recta, lo cual es completamente operativo si tratamos con distancias relativamente cortas en un medio de propagación uniforme. En cualquier caso, y en general, habrá que distinguir dos casos: aquel donde el espacio es iluminado por un solo punto luminoso y el que es iluminado por un cuerpo luminoso de dimensiones finitas.
§. La sombra de un cuerpo con caras planas
Supongamos que el cuerpo que provoca la sombra sea el paralelepípedo ABCD abcd (figura 23), que la dirección de los rayos de luz, paralelos entre sí, esté indicada por Ll y que el planoMN sea la superficie que debe recibir la sombra Las carasABCD, CBcb, Abab están iluminadas y las caras ADad, DCdc y abcd no lo están. Por lo tanto, las aristas CD, DA, Aa, ab, bc y cC son los límites entre la parte iluminada y la parte oscura. Las sombras C'D', D'A', A'a', a'b', b'c' y c'C' de sus seis aristas sobre el plano MN forman el contorno o los de la sombra del paralelepípedo. Las sombras de las otras seis aristas caen dentro del interior del área rodeada por este con- torno y quedan confundidas dentro de la sombra total del cuerpo.

Ciertamente se pueden ver estas operaciones como unas simples aplicaciones de la geometría descriptiva, ya que se trata de hacer pasar por cada arista de un cuerpo un plano paralelo a una dirección y construir la intersección de este plano con la superficie que recibe la sombra. Por otra parte, si el punto luminoso se encontrase a una distancia finita, también se trataría de imaginar el plano que contiene los rayos luminosos y la arista de la que se quiere obtener la sombra, pero en este caso el plano, en lugar de ser paralelo a la dirección de la luz, debería contener el punto luminoso.
§. La sombra de un cuerpo limitado por superficies curvas
En el caso del cuerpo limitado por superficies curvas, la línea que para la parte iluminada de la parte oscura sobre la superficie de dicho cuerpo es una curva que deberá ser identificada Los rayos luminosos que recibe la parte iluminada penetrarían en el cuerpo si se prolongaran. La parte oscura no los recibe porque aquellos que podrían llegarle tendrían que atravesar el cuerpo antes de alcanzarla pero es fácil ver que los rayos que llegan a la curva límite entre parte oscura y la iluminada no entran en el cuerpo y son tangentes la superficie. Estos rayos tangentes prolongados hasta encontrar la superficie que recibe la sombra determinarán sobre esta superficie puntos que pertenecerán al contorno de la sombra buscada si imaginamos esta operación para un número suficientemente amplio fie rayos tangentes podremos trazar el contorno de la sombra buscada.
En el caso de un foco luminoso a distancia infinita, para encontrar esta curva límite entre la parte iluminada y la parte oscura sobre la superficie del cuerpo, y, en consecuencia, el contorno de la sombra, se propone imaginar un conjunto de planos paralelos a la dirección de la luz y perpendiculares al plano de proyección vertical. Cada uno de estos planos, que puede ser concebido como compuesto de líneas paralelas a la dirección de la luz, cortará, en general, la superficie del cuerpo según una curva. Algunas de estas líneas situadas en el plano secante cortarán a esta curva, otras serán exteriores y, finalmente, otras serán tangentes a la curva. En general, si el cuerpo es de dimensiones finitas, habrá dos rayos tangentes a la curva-sección que estamos considerando para cada plano. Y estos rayos tangentes a la curva-sección también lo serán a la superficie del cuerpo. Los puntos de contacto pertenecen a la curva límite entre la parte iluminada y la parte oscura y, por tanto, los puntos de intersección de estos rayos con la superficie que recibe la sombra pertenecen al contorno de la sombra. Bastará imaginar esta operación para diferentes paralelos para obtener distintos puntos del contorno de la sombra y así poderlo dibujar.
En la figura 24 se trata de obtener la sombra de una esfera sobre el plano horizontal sabiendo que la dirección de la luz está dada por el vector v. EL planoπ' es paralelo a πy perpendicular al plano de proyección vertical. Si suponemos distintos planos paralelos a π, estos determinarán sobre la superficie esférica distintas secciones circulares.

Estos problemas de sombras se resuelven a partir de las proyecciones vertical y horizontal. Se supone que ya es conocida la proyección horizontal de una sección de la esfera producida por la intersección de uno de los planos paralelos a la dirección de la luz, pues se trata de un ejercicio ya resuelto en la geometría descriptiva Las tangentes a esta proyección paralelas a la proyección horizontal de la dirección de la luz serán efectivamente las proyecciones horizontales de los rayos tangentes en el espacio. La traza del plano se- cante sobre el plano vertical contiene la proyección vertical del rayo luminoso. Será fácil determinar las proyecciones horizontal y vertical de los dos puntos de tangencia sobre la superficie del cuerpo que separa la parte iluminada de la que no lo es. Igualmente será posible determinar los puntos de intersección de los rayos luminosos tan- gentes con la superficie que recibe la sombra a partir de las proyecciones de estos rayos así como de la superficie que recibe la sombra.

§. La teoría de la perspectiva.
Según Monge, el arte de la perspectiva consiste en representar sobre un cuadro cuya forma y posición son conocidas, los objetos conocidas sus formas y posiciones, tal como aparecerían a un ojo cuya posición también es conocida. A continuación Monge transmite un símil que permite entender mejor la anterior definición. Supone que el cuadro es un cristal transparente. Suponemos que al otro lado del cristal parten, de todos los objetos, rayos dirigidos al ojo y que, al atravesar el cristal, estos dejan sus trazas teñidas del color y del tono propios de los puntos de partida. El conjunto de estas trazas formará sobre el cristal la representación completa de los objetos. Es justamente esta representación la que queremos obtener en el arte de la perspectiva. Hay que considerar dos partes en la teoría de la perspectiva. La primera, llamada perspectiva lineal, es puramente geométrica y su objetivo es determinar de una manera precisa, sobre el cuadro, la posición de cada punto representado. La segunda, llamada perspectiva aérea, tiene por objetivo la búsqueda de la intensidad de sombra y de luz que se debe dar a cada parte del cuadro.
Para Monge, la perspectiva lineal se reduce a construir la sección de una superficie determinada dentro de una pirámide cuyo vértice es el ojo, cuya base es la que corresponde al plano de los objetos y cuya superficie secante es el cuadro, con lo cual la geometría descriptiva permitirá tratar los problemas que aparecen en la teoría de la perspectiva. Una perspectiva es como una proyección y solo difiere de la proyección ortogonal en que la primera opera con líneas que concurren en un punto desde donde se toma la perspectiva, mientras que para la segunda estas líneas son perpendiculares a los planos de proyección.
§. La geometría descriptiva después de Monge
La geometría descriptiva nacida con Monge dio unidad y carácter científico a una serie de procedimientos desarrollados desde del siglo XV que estaban utilizando tanto los artistas como los arquitectos sin la necesaria coherencia y sistematización. EL nacimiento de la geometría descriptiva a finales del siglo XVIII representó, de hecho, un cambio en relación con los temas que dominaban las matemáticas en aquel momento, es decir, el análisis. Monge no se limitó a representar curvas y superficies mediante su método de proyección, sino que utilizó los recursos del análisis para estudiar nuevas propiedades de las figuras geométricas e invirtió de esta forma el proceso usual en aquella época, que consistía en utilizar la geometría como ejemplo para el desarrollo del análisis. Frézier, predecesor de Monge, decía que la geometría no estaba de moda y que para pasar por científico había que hacer ostentación del análisis. Pues bien, Monge colocó la geometría pura de nuevo en el centro de su interés. No se podría entender el eco que tuvo esta nueva disciplina si Monge no hubiera desempeñado un papel político decisivo en la Francia revolucionaria y no hubiese sido el impulsor de la Escuela Politécnica y de la Escuela Norma]. Gracias a su influencia como profesor y como defensor de las reformas educativas impulsadas por él, logró que la geometría descriptiva se incorporara en el currículum de las escuelas de los ingenieros y los arquitectos de su país y posteriormente de toda Europa. El carisma del personaje, la calidad de sus cursos orales en la Escuela Normal y sobre todo en la Escuela Politécnica, el aspecto innovador de su enseñanza hicieron que se desarrollara una familia de discípulos, no solo en Francia, sino también en toda Europa al talento del matemático hay que añadir sus cualidades de pedagogo, capaz de guiar y animar a sus alumnos en las vías de las nuevas investigaciones que él había iniciado. Más de setenta matemáticos aparecen citados en L'oeuvre scientifíque de Monge, monografía publicada en 1951 por Gaspard René Taton (1915-2004), conocido historiador de la ciencia francés y editor del Journal of History of Science. A Jean-Baptiste Meusnier (1754-1793) se debe el teorema que hoy lleva su nombre acerca de la relación entre la curvatura de una sección oblicua y la sección normal en un punto de una superficie. Charles Dupin (1784-1873), siguiendo las huellas de su maestro, estableció una nueva teoría de las superficies. Charles Brianchon (1783-1864) se ocupó de las cónicas y estableció sobre ellas un teorema que lleva su nombre. Lazare-Nicola-Marguerite Carnot (1753-1823) inició el estudio de las propiedades generales de las figuras que iba a constituir el nuevo cuerpo de la geometría denominada «geometría proyectiva». Jean-Victor Poncelet (1788 1867), que también puede ser considerado como influenciado por Monge, definió las propiedades proyectivas como aquellas que se conservan cuando la figura se somete a proyecciones y secciones EL libro Géométrie descriptive fue traducido a diversas lenguas entre ellas el castellano. Esta última traducción, realizada en 1803 corrió a cargo de la recién creada Escuela de Puentes y Camino de Madrid, donde la influencia de los ingenieros españoles Agustín Betancourt (1758-1854) y José María Lanz (1764-1839) era evidente. En cualquier caso, más allá de los más inmediatos seguidores de Monge, los fundamentos de la geometría descriptiva siguen totalmente vigentes en nuestros días. A lo largo de la historia, el hombre ha desarrollado diferentes métodos para tratar de dar respuesta, de la manera lo más exacta posible, a las diversas necesidades de medición y construcción. Para ello ha desarrollado diferentes sistemas de proyección, que han quedado reflejados en la pintura, la escultura y la arquitectura. El perfeccionamiento de estas técnicas le ha permitido realizar enormes proyectos que serían virtualmente imposibles sin el estudio y la aplicación de la geometría. Hoy en día se puede efectuar una representación más exacta de la realidad con la ayuda de los computadores más avanzados, pero los principios establecidos por Monge están en la base de las técnicas más sofisticadas del diseño asistido por ordenador. Y, en definitiva, el conocimiento y la práctica de la geometría nos permitirán ir cada vez más lejos en el desarrollo de nuestras capacidades humanas, creatividad e imaginación.
Capítulo 2
La aplicación del análisis a la geometría
Cuando era profesor de matemáticas en la Escuela del Cuerpo de Ingenieros Militares (École Royale du Génie) de Mézières, Gaspard Monge contribuyó activamente al desarrollo de la geometría analítica y diferencial. Envió a la Academia de Ciencias de París diversas memorias sobre estas nuevas ramas de la geometría, lo que le permitió ganarse la admiración de matemáticos como D'Alembert, Lagrange, Euler y, en general, de la prestigiosa comunidad científica francesa.Contenido:
§. La geometría analítica a partir de DescartesEn 1768, Monge, después de su brillante trayectoria en la Escuela del Cuerpo de Ingenieros Militares de Mézières sentando las bases de lo que se convertiría en la geometría descriptiva, había conseguido la cátedra de Matemáticas en este centro. Sin embargo, durante los años siguientes de docencia en Mézières, Monge no se limitó a desarrollar las bases de la geometría descriptiva. Como no podía dar a conocer públicamente sus descubrimientos sobre esta nueva rama de la geometría por razones de competencia entre las distintas escuelas militares, orientó su interés hacia otros campos matemáticos.
§. Los principios básicos de la geometría analítica
§. Cálculo infinitesimal: la revolución en las matemáticas del siglo XVIII
§. La geometría diferencial: el análisis aplicado a la geometría
§. De las superficies en el espacio al cálculo infinitesimal
§. Sobre los planos tangentes v las normales a las superficies curvas
§. Sobre las evolutas de las curvas de doble curvatura
§. Sobre las superficies que tienen el mismo modo de generación
§. La ecuación de una superficie cilíndrica
§. La ampliación de la red social de Monge
En la correspondencia que Monge mantuvo con diversas personas relacionadas con las matemáticas, como el barón de Chaubiy, Charles Bossut, Alexandre-Théophile Vandermonde (1735-1796) y Breuil du Marchais, resulta evidente que ya tenía un conocimiento profundo de la geometría analítica y la geometría diferencial des- de 1768. A esta correspondencia le siguió otra con Jean le Rond D'Alembert (1717-1783), uno de los matemáticos impulsores de la Encyclopédie, y con Marie-Jean-Antoine Nicolas de Caritat, marqués de Condorcet (1743-1794), también matemático, colaborador con la Encyclopédie y miembro de la Academia de Ciencias de París. En algunas de las cartas aparecen sus primeros trabajos sobre ecuaciones en derivadas parciales, cálculo integral y estudio de curvas y superficies en el espacio. En esta época Monge entró en contacto con la obra del suizo Leonhard Euler (1707-1783) y el francés (aunque nacido en Italia) Joseph-Louis Lagrange (1736- 1813) e intentó generalizar el cálculo de variaciones al espacio que estos habían desarrollado en el plano. Animado por D'Alembert, Bossut y Vandermonde, entre los años 1771 y 1772, Monge desarrolló seis memorias sobre distintos tipos de superficies en el espacio y sobre ecuaciones diferenciales y cálculo integral, la mayoría de las cuales las presentó a la Academia de Ciencias de París y a la Academia de las Ciencias de Turín. Podría considerarse que en este período sentó los principios que dirigieron su obra científica sobre la geometría diferencial.
A partir de 1771, Monge también se convirtió en profesor de física de la escuela de Mézières, sustituyendo a Jean-Antoine Nollet, y amplió su actividad y su interés hacia otros campos de la ciencia, como la física, la geología, la meteorología y la química. En abril de 1772 se convirtió en corresponsal de la Academia de Ciencias de París, gracias a los favorables informes de D'Alembert, Bossut y Vandermonde. En sus clases, Monge no se contentaba en explicar las teorías de la ciencia y sus aplicaciones y llevaba a los alumnos allí donde los fenómenos de la naturaleza y las obras de arte podían atraer su atención. Según testimonio de algunos antiguos alumnos suyos, comunicaba su ardor y su entusiasmo a los estudiantes y convertía en pasión por la observación y la investigación lo que en un aula hubiesen sido solo consideraciones abstractas.
§. La geometría analítica a partir de Descartes
Monge no hubiese podido desarrollar su estudio sobre las superficies en el espacio si no hubiese heredado, como todos los matemáticos de su época, la «nueva geometría» de René Descartes (1596- 1650). Este concibió la geometría analítica como una «aplicación del álgebra a la geometría», es decir, como una técnica de estructura algebraica adaptada a la resolución de problemas de esencia geométrica y especialmente de los problemas de Apolonio. De forma que la geometría analítica no apareció como una rama autónoma de la ciencia sino como un instrumento para resolver muchos problemas geométricos que no entraban en el campo normal de aplicación de los Elementos de Euclides. En esta geometría desarrollada por Descartes las curvas no eran estudiadas por ellas mismas sino que aparecían como soluciones de problemas por resolver.
Por otro lado, tanto Descartes como el matemático francés Pierre- de Fermat (1601-1665) desarrollaron básicamente su geometría en el plano de dos dimensiones, aunque vislumbraron su extensión al espacio de tres dimensiones. Algunos matemáticos posteriores, como los franceses Philippe de La Hire (1640-1719) y Antoine Parent (1666-1716), ampliaron el estudio de las figuras geométricas en el espacio. EL matemático francés Alexis-Claude Clairaut (1713- 1765) contribuyó igualmente al estudio de las curvas en el espacio e influenció a Monge cuando este inició sus trabajos de geometría diferencial. Clairaut, además de utilizar los tres planos y los tres ejes coordenados clásicos, expuso de forma clara que toda superficie estaba definida por una ecuación de tres variables y que dos de estas ecuaciones son necesarias para caracterizar una curva en el espacio. En particular, estableció que dos ecuaciones de primer grado definen una recta, y una sola, un plano. Dio las ecuaciones de algunas superficies como la esfera, el cono de revolución, el paraboloide, el elipsoide, el cilindro elíptico, etc. También investigó sobre las llamadas «curvas de doble curvatura», particularmente sobre las tangentes a estas curvas, y trató la aplicación del cálculo infinitesimal a la geometría, en temas tales como la rectificación de las curvas y el cálculo del volumen de diferentes sólidos.
También influyó en Monge Leonhard Euler, que se interesó especialmente por la geometría analítica y la diferencial y expuso sus principios y sus métodos en el tomo II de su libro Introductio in analysin infinitorum (Introducción al análisis de los infinitamente pequeños 1748). Una de las contribuciones de Euler a la geometría analítica fue el estudio del cambio de coordenadas en el espacio y el estudio sistemático de las ecuaciones de segundo grado con tres variables.
Otro gran matemático que se interesó por la geometría analítica antes de Monge fue Joseph-Louis Lagrange. La tendencia profunda por conducir toda la matemática a un esquema analítico se manifiesta perfectamente en su Libro Méchanique analitique de 1788. Rompiendo con la tradición cartesiana, confirió a los elementos de primer grado, las rectas y los planos, el lugar que merecían en el edificio de la geometría analítica y dio a la geometría cartesiana una estructura puramente analítica.
Entre 1768 y 1770, Monge profundizó en las bases de la geometría analítica, tal como se puede ver en una memoria presentada en 1768 sobre la ecuación del cono de revolución utilizando una fórmula de la trigonometría esférica Años más tarde encontró la ecuación del plano normal a una curva en un punto dado. Para resolver la cuestión Monge tuvo que tratar antes dos problemas preliminares de geometría analítica que no habían sido estudiados hasta entonces:
1. Encontrar la ecuación del plano que pasa por un punto perpendicular a una recta dada por dos ecuaciones.
2. Encontrar las ecuaciones de una recta que pasa por un punto dado perpendicular a otra recta dada.
Estos problemas hoy forman parte de los primeros elementos de geometría analítica en el espacio, pero en aquel momento que- daban al margen del campo de esta ciencia. Monge tuvo el gran mérito de comprender que no se podía conseguir un cuerpo de doctrina sencillo y sólido si se excluían tales problemas cuyo uso permite simplificar la resolución de problemas más complejos
En su libro Feuilles d'analyse appliquée á la géométrie, publicado en 1795, Monge tratará de forma más sistemática estos problemas de planos y rectas. Esta obra representa el resumen y la culminación de la obra de Monge sobre geometría analítica y diferencial.
§. Los principios básicos de la geometría analítica
La «aplicación del álgebra a la geometría», es decir, la geometría analítica, es la rama matemática que establece explícitamente la relación entre los elementos geométricos, junto con todos los problemas derivados de sus posiciones relativas, y el álgebra. Todas las figuras en el espacio podrán ser representadas algebraicamente y todas las operaciones geométricas podrán traducirse al lenguaje algebraico. Viceversa una operación analítica podrá interpretarse como una operación geométrica.
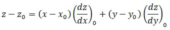
En su geometría analítica, como en su geometría descriptiva Monge tomó como referencia tres planos coordenados. Las tres variables x, y, z representan las distancias de cada punto a los tres planos coordenados perpendiculares entre sí, y por tanto cada punto viene representado por tres variables.
Tal como hoy día se considera, en la geometría de Monge la figura y la posición de una línea curva en el espacio vienen expresadas por dos ecuaciones donde aparecen las variables coordenadas. Cuando en estas dos ecuaciones aparecen las tres variables pero tomadas de dos en dos se trata de curvas planas, donde las ecuaciones representan la proyección de la curva en el espacio sobre los planos coordenados. En cambio, la figura y la posición de una superficie vienen dadas por una ecuación única entre estas tres variables coordenadas.
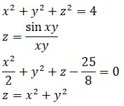
Por ejemplo, ecuaciones como las siguientes representarán superficies:




A menudo, en las operaciones de la geometría analítica se debe pasar de un sistema de referencia a otro. Euler y Lagrange fueron los primeros en resolver este problema. Sin embargo, Monge determinó la transformación que experimentan los valores de las coordenadas y en 1784 presentó una memoria de esta investigación en la Academia de Ciencias de París.
En su geometría analítica Monge siguió un proceso similar al de la geometría descriptiva. Primero consideró la recta y el plano para obtener sus ecuaciones y luego estableció las relaciones analíticas que expresan que las rectas y los planos sean paralelos o perpendiculares y también las que dan la medida del ángulo que forman estas figuras geométricas entre sí.
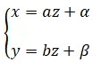
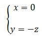
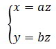
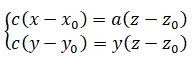
Las ecuaciones de una rectaDel mismo modo que la ecuación general de un plano es Ax + By + Cz + D = 0, para expresar una recta se precisan dos ecuaciones. Una forma de dar la ecuación de una recta es en forma continua:donde (x0, y0, z0) son las coordenadas de un punto por pasa dicha recta y (a, b, c) son unos coeficientes que determinan la dirección de la recta (las componentes del vector director de la recta).
La ecuación de una recta en forma continua se puede reescribir fácilmente como dos ecuaciones lo que conduce directamente a interpretar la recta como la intersección de dos planos:
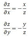
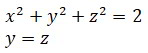
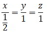
En la figura la recta r aparece como la intersección del plano π, de ecuación x = z/2, y del plano 𝜙, de ecuación y = z. Esta misma recta expresada en forma continua sería:
Por lo tanto uno de los vectores que nos da la dirección de esta recta sería (1/2, 1, 1).
§. Cálculo infinitesimal: la revolución en las matemáticas del siglo XVIII
Desde la Grecia clásica los matemáticos ya conocían los elementos básicos que siglos más tarde configurarían lo que ha venido en llamarse «geometría diferencial». En particular, la noción de tangente a una curva en un punto, los problemas de «cuadratura» de un área (es decir, el cálculo del área que queda por debajo de una curva hasta el eje de abscisas) y los problemas de «cubatura» de sólidos (es decir, el cálculo de su volumen) han sido temas recurrentes en la historia de las matemáticas. En el siglo XVII, Johannes Kepler (1571-1630), Bonaventura Cavalieri (1598-1647), Descartes, Fermat, Blaise Pascal (1623-1662) y Rene François Walther de Sluze (1622-1685) profundizaron en el estudio de diversas nociones relativas al contacto de una curva con su tangente y a la curvatura. Christiaan Huygens (1629-1695) desarrolló la teoría de las envolventes e involutas planas y presentó un primer estudio sistemático de geometría diferencial.
Sin embargo, la aparición de la geometría analítica con Fermat y Descartes y la elaboración, por parte de Isaac Newton (1643-1727) y Gottfried Wilhelm Leibniz (1646-1716), del cuerpo de doctrina del cálculo infinitesimal proporcionaron el material algorítmico esencial para un estudio mucho más desarrollado de la geometría de curvas y superficies. A partir de estos últimos matemáticos, la nueva doctrina progresó con mucha rapidez en pocos años. El matemático suizo Johann Bernoulli (1667-1748) trató la existencia y propiedades del círculo osculador, la búsqueda de la envolvente de una familia de curvas planas, la búsqueda de máximos y mínimos y la resolución de numerosas ecuaciones diferenciales.
En 1696 el matemático francés Guillaume François Antoine, marqués de L'Hôpital (1661-1704), presentó una primera exposición sistemática del cálculo infinitesimal leibniziano, con sus diversas aplicaciones geométricas, en su texto L'analyse des inftniment petits pour intelligence des lignes courbes. Otros matemáticos, como Parent y Clairaut, estudiaron los problemas de tangencia a superficies en el espacio. Euler, por otro lado, emprendió el estudio de la curvatura de las superficies, y Lagrange aplicó su nuevo método del cálculo de variaciones al espacio buscando la ecuación en derivadas parciales de determinadas superficies.
Todos estos avances se basaban en el cálculo diferencial introducido por Newton y Leibniz. Las nociones de fluxión newtoniana, de diferencial leibniziana o de infinitésimo descansaban en la convicción de que, a efectos del cálculo y cuando se trataba con tangentes a una curva, un incremento «suficientemente pequeño» sobre una curva era equivalente a un incremento sobre la tangente a esta curva.
Así, en la figura 2, para una curva determinada y en un punto concreto, a un pequeño incremento de la variable x, Δx, le corresponde un pequeño incremento de la variable y, Δy. Pero si los incrementos son «suficientemente pequeños» al primero se le llama dx y el segundo puede ser sustituido por dy, que, de hecho, es el incremento sobre la tangente.

El problema de cuadrar una curva, es decir, calcular áreas limitadas por curvas, se resolvió, a partir del cálculo diferencial, al descubrir que dicha área era la diferencial de la ordenada de la curva. Es decir, el área era la «integral» de la «función» que definía la curva.
En la figura 3 se resume la principal relación entre el área limitada por una curva y la ordenada de la ecuación que define la curva. Se trata de calcular el área curvilínea ABC representada por F. Un incremento infinitamente pequeño de esta área, dF que corresponde a la superficie BEDC, puede ser sustituido por el rectángulo BE'DC.Es decir, se tendrá: dF = fdx, donde f = BC es la altura del rectángulo infinitamente pequeño y dx = CD es su base. Por lo que para hallar F habrá que efectuar la operación inversa de la diferenciación, operación que Leibniz denominó integral, y se tendrá F = ∫fdx.
Las ecuaciones donde aparecen diferenciales de variables reciben el nombre de ecuaciones diferenciales. Con el desarrollo del nuevo cálculo diferencial, se fueron encontrando diversas técnicas para resolverlas.
La ecuación (2y+ 1)dy = (2 - 2 x)dx podría ser un ejemplo sencillo de ecuación diferencial. Si se integra a cada lado de la ecuación se tendrá: y2+ y + C = 2x - x2+ C' es decir, x2+ y2- 2x + y + K = 0. La solución de la ecuación diferencial será una familia de curvas, al poder variar de parámetro K, que, en este caso, es una familia de circunferencias concéntricas.
§. La geometría diferencial: el análisis aplicado a la geometría
Aunque Monge escribió numerosas memorias sobre geometría diferencial del espacio entre 1771 y 1809, hasta 1795 no se publicó una primera edición del curso que este matemático tenía que dar en la Escuela Politécnica sobre análisis aplicado a la geometría, con el título deFeuilles d'analyse appliquée á la géométrie, á l'usage de l'École Polytechnique. En 1801, con la ayuda de Hachette, Monge publicó una nueva edición de la obra y, finalmente, en 1807 y 1809 aparecieron dos nuevas ediciones ampliadas, con el título deAplication de l'analyse á la géométrie(Aplicación de análisis de la geometría), de las que se ocupó directamente Hachette.
La última edición del libro resume los temas sobre geometría diferencial a los que se había dedicado Monge durante muchos años, a saber, el estudio de las familias de superficies definidas por un determinado modo de generación en conexión con las ecuaciones diferenciales.
§. De las superficies en el espacio al cálculo infinitesimal
Monge presentó, como aplicación de las primeras nociones de la geometría analítica, el estudio general de las superficies de segundo grado, perfeccionando, de este modo, el estudio previo que había realizado Euler en su Introductio in analysin infinitorum. Hay que destacar especialmente, como una propiedad nueva, la descripción de los elipsoides y los hiperboloides a partir de un círculo de radio variable. En sus últimos trabajos, Monge volvió a estudiar las superficies de segundo grado y estableció distintas relaciones relevantes entre estas superficies cuando son concéntricas.
En la época de Monge se sabía que toda ecuación algebraica con tres variables representa una superficie. Si es de primer grado esta superficie es un plano. Si es de segundo grado se puede tener un elipsoide, un paraboloide, un hiperboloide o superficies que son modificaciones o casos particulares de estas últimas. Si la ecuación es de tercer grado hay un gran número de superficies distintas. Y este número aumenta cuando se pasa del tercer al cuarto o quinto grado.
Cuando Descartes inició la aplicación del análisis a la geometría, los matemáticos se dedicaron al estudio de las propiedades de las curvas planas representadas por las ecuaciones de segundo grado con dos variables. Solo había que continuar con el estudio e las curvas de grados superiores. Newton estudió la ecuación de tercer grado. Sus predecesores habían encontrado tres especies de curvas en la ecuación de segundo grado, y él distinguió 72 en la de tercer grado. Euler, que se ocupó de la ecuación de cuarto grado, no se atrevió a entrar en la cuestión de las especies propiamente dichas y encontró 146 géneros de curvas, solo teniendo en cuenta los caracteres más generales.
Este modo de clasificar curvas debía ser abandonado, y Monge, guiado por la visión de la utilidad, consideró que los constructores, cuando han de tratar con superficies para un objetivo determinado, no se preocupan en absoluto del grado de sus ecuaciones. Eligen entre superficies sometidas a un mismo modo de generación, sea el que sea el grado de estas. Estableció así un nuevo modo de clasificación: agrupó las superficies según su modo de generación. Estudió simultáneamente las propiedades de las superficies cilíndricas de todos los órdenes, después las propiedades de las superficies cónicas y después las de revolución.
«¡Con su aplicación del análisis a la representación de las superficies, este demonio de hombre será inmortal!»Para conseguir este objetivo, Monge se vio obligado a recurrir a un tipo particular de cálculo, que había sido desarrollado por D'Alembert a partir del estudio de los movimientos de los fluidos, el cálculo en derivadas parciales. En sus primeras memorias relativas a las ecuaciones de las superficies conocidas por su modo de generación Monge ya mostró la estrecha relación que existía entre estas superficies y el cálculo diferencial.
Joseph-Louis Lagrange
§. Sobre los planos tangentes y las normales a las superficies curvas
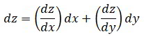
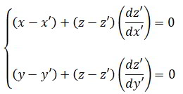
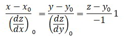
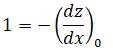
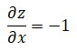
Uno de los primeros ejercicios que aparece en el libro Application de l'analyse á la géométrie de Monge es la obtención de la ecuación general de un plano tangente a una superficie. La noción de tangencia a una superficie será fundamental para el desarrollo de la geometría diferencial. Para hallar un plano tangente a una superficie en un punto dado, Monge, como otros matemáticos contemporáneos suyos, entendió que era preciso entrar en el terreno de la geometría diferencial, es decir, en el terreno donde se estudian las propiedades de las figuras geométricas en entornos «infinitamente pequeños». En un entorno «infinitamente pequeño» de un punto dado, la superficie del plano tangente en dicho punto coincidirá con la superficie curva.
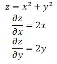
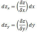
Cuando pensamos en un desplazamiento «infinitamente pequeño» a partir de un punto sobre una superficie curva, hay que estudiar cómo varían Las coordenadas al pasar de este punto a otro, lo que se mide a partir de las derivadas parciales de una variable (z) respecto de las otras (x, y). Por ejemplo, si consideramos la superficie z = x2+ y2que es un paraboloide, y queremos saber cómo cambia dicha superficie en los alrededores de un punto concreto, lo primero que debemos hacer es encontrar la relación que habrá entre los «incrementos infinitamente pequeños», según las direcciones x, y, z del sistema coordenado, llamados, hoy en día, «diferenciales», para un punto cualquiera de esta superficie. Para el caso de la ecuación que nos ocupa el resultado sería: dz = 2xdx + 2ydy,
Esto significa que para un punto concreto de la superficie sabremos cómo hay que desplazarse para ir a otro de la misma superficie, por ejemplo para el punto (1, 1, 2) tendríamos dz = 2dx + 2dy, para el punto (3, 2, 13) tendríamos dz = 6 dx - 4dy. Es decir, para este último caso la dirección 2: será la composición de seis veces sobre la dirección de x y menos cuatro veces sobre la dirección y.
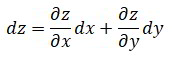
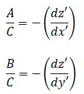
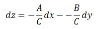
Monge parte de la expresión general de la diferencial de la función z:




Las derivadas parciales de una función de dos variablesEn la figura se observa que Δz (incremento de z) puede ser considerado como la suma de Δz, (incremento de z, donde solo se incrementa la variable x, con Δx, permaneciendo constante la y) y Δz2, (incremento de z, donde solo se incrementa la variable y, con Δy, permaneciendo constante la x).En la época de Monge, el cálculo diferencial ya proporcionaba el método para calcular estos incrementos Δz1, y Δz 2 cuando Δx era «infinitamente pequeño» (en el límite cuando Δx → 0). En este caso, los incrementos pasan a llamarse «diferenciales», donde Δzx y Δzyvienen a sustituir Δz1 y Δz2 y vienen dados por:
δz/δx es lo que hoy día llamamos la derivada parcial de z respecto a x; y δz/δy es la derivada parcial de z respecto a y. En la época de Monge ya se conocía la técnica para obtener dichas derivadas parciales.
Tal como recuerda Monge, alrededor del punto se puede considerar que el plano tangente coincide con la superficie y por lo tanto podremos igualar estas dos expresiones, y se tiene:



Por ejemplo, si queremos encontrar la ecuación del plano tangente a la superficie z = x2 + y2 en el punto (3, -2, 13), tendremos, para este punto, dz = 6dx - 4dy sobre la superficie del paraboloide. Por otro lado, sobre plano se tendrá


Sabemos que la ecuación de un plano que pasa por el punto (3, -2, 13) es A(x - 3) + B(y + 2) + C(z - 13) = 0. Luego la ecuación del plano buscado será, dividiéndola por C,
- 6(x - 3) + 4(y + 2) + (z - 13) = 0,
es decir- 6x + 4y + z + 13 = 0.
La normal a una superficie en un punto dado es la recta perpendicular al plano tangente en este punto y sus ecuaciones serán deducidas a partir de la relación que existe entre los coeficientes de la ecuación del plano y los de la recta:
La normal a un planoEn un plano Ax + By + Cz+ D = 0 los coeficientes (A, B, C) desempeñan también un papel relevante, ya que nos dan la dirección perpendicular del plano (con componentes del valor normal al plano).En la figura el plano 𝜙 tiene por ecuación 2x - y - z - 3 = 0 y un vector normal a este es v = (2, -1, 1). Así pues, si la ecuación de un plano es:
las componentes que nos dan la dirección perpendicular serán:
Si queremos escribir la ecuación de una recta perpendicular a este plano, en forma continua será:
Por ejemplo, la normal a la superficie z = x2+ y2 en el punto (3, -2, 13) será:
(x - 3)/6 = (y -2)/-4 = z - 13)/-1
Es decir:
es decir, en nuestro ejemplo:

Una de las primeras memorias que Monge presentó a la Academia de Ciencias de París, en 1771, versaba sobre las evolutas de las curvas alabeadas. Se basaba en el concepto de curvatura que ya se tenía en aquel momento, a partir de las aportaciones de varios matemáticos de la época, entre ellos Euler.
Para conocer la curvatura de una curva en un punto dado hay que imaginar un círculo que «se aproxima al máximo» a la curva y que pasa por el punto considerado. Se denomina círculo osculador o circunferencia osculatriz, su radio recibe el nombre de radio de curvatura, y su centro, el de centro de curvatura. La expresión moderna del radio de curvatura viene dada por la fórmula:


Euler halló dos teoremas fundamentales sobre la curvatura de las superficies:
1. La curvatura de una superficie cualquiera, a partir de un punto dado, está completamente determinada por el mayor y el menor radio de curvatura de las secciones normales hechas en este punto a la superficie.
2. Las direcciones de dos secciones a las cuales pertenecen el mayor y el menor de los radios son siempre perpendiculares.
Estos teoremas, con el de Meusnier sobre la curvatura de las secciones oblicuas, exponen los elementos esenciales de la curvatura de las superficies.
Monge denominó «líneas de curvatura» a las líneas cuyas normales, infinitamente próximas, se encuentran en un mismo plano y se cortan, y descubrió que dichas líneas son las que corresponden a las secciones de máxima y mínima curvatura descubiertas por Euler (figura 5).
La evoluta de una curva es el lugar geométrico de los centros de curvatura para los distintos puntos de dicha curva, la cual, a su vez, recibe el nombre de «evolvente».

Figura 5. Diversas superficies cortan las líneas de curvaturas dibujadas
Las curvas alabeadas o de doble curvatura, que ya habían sido estudiadas antes, principalmente por Clairaut, son aquellas en las que todos sus puntos no pueden hallarse en un mismo plano y no se pueden describir sino sobre las superficies de sólidos curvos, como, por ejemplo, la que resulta de poner la punta del compás sobre un punto cualquiera de la superficie de un cilindro y de hacer que la otra punta se aplique siempre a la superficie del cilindro, dando la vuelta al compás alrededor de dicho punto.

§. Sobre las superficies que tienen el mismo modo de generación
Después de estudiar las superficies de primer y segundo grado, Monge trató la geometría de las superficies curvas de cualquier grado. Llegó a la conclusión de que las superficies pueden ser divididas en grandes familias, dotadas de ciertas propiedades comunes, con la convicción de que las superficies producidas por movimientos regulares de máquinas y herramientas son ejemplos de este tipo de familias. Fue analizando e incluso dando nuevos nombres a las distintas familias de superficies que estudiaba: desarrollables, torcidas, de revolución, etc.
Monge se planteó el problema de encontrar las expresiones algebraicas que expresasen las características comunes de cada familia. Su principal aportación fue la identificación entre las familias de superficies definidas por un modo de generación y las ecuaciones en derivadas parciales. Ya en 1771, en una carta dirigida al marqués de Condorcet, presentó una clasificación de las superficies curvas a partir de distintas ecuaciones en derivadas parciales. A cada familia le correspondía una ecuación y viceversa.
Es significativo que el libro de Monge Application de l'analyse á la géométrie empiece por el estudio de las mismas superficies que manejó cuando desarrollaba su geometría descriptiva. De hecho, e! desarrollo de la geometría descriptiva fue a la par del de la aplicación del análisis a la geometría, es decir, de la geometría diferencial Los primeros ejercicios de este libro tratan sobre las superficies cilíndricas, las cónicas y las de revolución en general. Monge expone la manera de encontrar la ecuación general de cada una de estas superficies y, en definitiva, estudia, desde el punto de vista analítico, unas superficies que ya habían aparecido en la geometría descriptiva.
§. La ecuación de una superficie cilíndrica
Monge ofreció tres formas para hallar la ecuación general de las superficies cilíndricas.
1. La primera forma es a partir del plano tangente. Efectivamente, una de las características de las superficies cilíndricas es que, para cualquier punto, su plano tangente es paralelo a la recta generatriz,
Monge tomó como ejemplo uno en que la recta r que marca la dirección del eje del cilindro viene dada por las ecuaciones




Por lo tanto, se puede observar que, en este caso, Monge dedujo una expresión general de las superficies cilíndricas utilizando las ecuaciones diferenciales. Y al dar una o dos ecuaciones diferenciales se obtenía toda una familia de superficies.
2. Monge vio la superficie cilíndrica también como una superficie curva generada por el movimiento de una recta que no deja de ser paralela a otra recta dada. De modo que, a continuación, en el mismo texto se propuso hallar la ecuación de una superficie cilíndrica a partir de la curva alrededor de la cual se muévela recta generatriz.
Monge planteó el problema de forma totalmente general. Así, si la recta r es


De forma que se tiene que α = x - z y β = y - bz. Para cada recta, α y β son constantes pero están sometidos a la condición de pertenecer a la curva a partir de la cual se genera el movimiento, de manera que se tendrá β = φ(α), siendo φ la función que justamente relaciona β con α por estar sujetos a que el punto pertenezca a la curva. Finalmente se podrá escribir y - bz- = φ(x -αz), siendo esta la ecuación general de las superficies cilíndricas.
3. Finalmente, Monge halló la ecuación de una superficie cilíndrica como la que envuelve a una superficie curva dada, es decir, que sea tangente e incluya dentro suyo a otra superficie curva dada, conociendo la dirección del eje de la superficie cilíndrica.
Por ejemplo, supongamos una esfera de ecuación x2+ y2+ y2= 2(figura 7).


La cuestión es hallar la curva que será la intersección de la esfera con la superficie cilíndrica, ya que a partir de esta curva la generatriz paralela a r formará la superficie buscada. Cualquier plano tangente a esta curva lo será tanto de la esfera como de la superficie cilíndrica. Ya sabemos que una condición que debe cumplir toda superficie cilíndrica es:


El plano tangente a una superficie cilíndricaSupongamos que la recta r es concretamente:x = -z y y = 0
En este caso a = -1y b = 0, y tendremos:o lo que es lo mismo
es decir, todas superficies cilíndricas cuyo eje es la recta r deberán cumplir esta condición para cualquier punto de dicha superficie. Por ejemplo, sea la superficie cilíndrica de ecuación x2+ y2 + z2 + 2xz = 2 (véase la figura adjunta) que tiene por eje la recta r anterior.
Si expresamos z en función de las otras dos variables obtenemos z = -x ± x√(2 - y2). Las derivadas parciales respectivas serán:
∂z/∂x = -1
∂z/∂y = -/+ (y /√(z-y2)
Comprobamos, así, que dicha superficie cumple con la condición establecida anteriormente. La expresión general de cualquier plano tangente a dicha superficie cilíndrica sería:Por ejemplo, el plano tangente en el punto A(1, 1, -2) sería z + 2 = -(x - 1) + ( y - l), es decir, x - y + z + 2 = 0, paralelo a la recta r.
En este caso, en un punto de la curva coincidirán las diferenciales, tanto las de la esfera como las de la superficie cilíndrica; por lo tanto, a partir de la ecuación de la esfera podremos calcular dichas derivadas parciales. Tendremos:
2xdx + 2ydy + 2zdz = 0
De donde:
-y/z = 1
que equivale a la ecuación y = z.De forma que las ecuaciones que nos dan la curva de intersección serán:

2x2 + y2 + z2 + 2 yz = 4
De forma similar, Monge estudió las ecuaciones de las superficies cónicas y las de revolución. Además, en su libro Application de l'analyse á la géométrie i dedicó varios apartados al estudio de diferentes superficies generadas por rectas que reúnen diversas condiciones, entre ellas las generadas por una recta horizontal, como es el caso de la superficie helicoidal. Dedujo la ecuación que caracteriza estas superficies, que en muchos casos aparecen en diversas formas arquitectónicas, como la comúnmente denominada escalera de caracol.En particular Monge estudió las superficies desarrollables, de las cuales son un caso particular las cilíndricas y las cónicas, y que son aquellas que, suponiendo que fuesen flexibles y extensibles, podrían extenderse sobre un plano sin ninguna ruptura. Una forma sencilla de caracterizar estas superficies es afirmar que son las que se pueden construir a partir de una hoja de papel sin romperla ni arrugarla.
La superficie cilíndrica a partir de una circunferencia generatrizSea la circunferenciala curva sobre la cual se moverá la recta que ha de generar la superficie cilíndrica. Ahora tomemos la recta r
como la que nos da la dirección de la generatriz de la superficie cilíndrica (véase la figura inferior izquierda). La recta generatriz paralela a r se moverá a lo largo de la circunferencia. La ecuación general de una recta paralela a r es
por lo tanto, la circunferencia considerada será:
Esto permite establecer la relación que deben cumplir α y β para que la recta efectivamente sea la generatriz que se mueve a lo largo de nuestra circunferencia, obteniendo como resultado (β + 2) 2 = 4α - α2. Es decir, el conjunto de rectas
con la condición anterior representa todos los puntos de la superficie buscada, Basta, pues, con sustituir α= x + z yβ = y - z en la ecuación que establece la condición (y - z + 2)2 = 4(x + z)-(x + z)2 y esta será la ecuación de la superficie cilíndrica que se buscaba: x2+ y2+ 2z2+ 2xz - 2yz – 4x + 4 y - βz + 4 = 0 (véase la figura inferior derecha).
El genio de Monge destacó especialmente en el estudio de familias de superficies y en lo que denominó su envolvente.
Supongamos que se considera una superficie curva conocida, en cuya generación entra un cierto parámetro que representaremos por α, de forma que la ecuación de esta superficie estará compuesta por x, y, z, α, y de otras tantas constantes como se quiera, independientes de α. La ecuación conocida de esta superficie podría estar representada por F[x, y, z, α ] = 0, o, simplemente, F = 0.
Si se da al parámetro a un valor determinado, la ecuación F = 0 será la de una superficie individual única, cuya forma y posición en el espacio dependerán del valor particular dado a α. Si se supone que el parámetro a adquiere sucesivamente todos los valores, cada una de las ecuaciones (tales como F = 0) que se obtendrá de esta manera será la de una superficie curva individual, y el conjunto infinito de estas superficies curvas estará envuelto por otra superficie única, que Monge denominó «envolvente».




Monge identificó esta curva de retroceso con unas ecuaciones diferenciales:

§. La ampliación de la red social de Monge
Gracias a su actividad matemática, Monge vio como crecía su prestigio en el seno de la comunidad científica francesa Para la mayoría de los científicos franceses de su tiempo, con los que mantenía una relación fluida, era un matemático altamente reconocido. Pero también se había abierto camino a nivel social. Por sus orígenes, Monge pertenecía a La burguesía francesa de provincias. Su padre, Jacques, fue un comerciante proveniente de Faucigny, en la Alta Saboya, que se instaló en Borgoña, protagonizó una rápida ascensión social y se integró en la comunidad comerciante de Beaune a través del matrimonio. El hermano mayor de Jacques siguió un camino parecido y se convirtió en mercader quincallero en Beaune.Durante esta etapa, en la que ejercía como profesor en Méziéres y corresponsal de la Academia de Ciencias de París, Monge se enamoró de una joven de treinta años, Catherine Huart, viuda de Jacques Horbon, propietario de una fundición en Couvin (actualmente, en Bélgica), y le pidió la mano. De este modo, en 1777 madame Horbon se convirtió en madame Monge.
En 1778 nació en Rocroi la primera hija de este matrimonio, Jeanne Charlotte Emilie, en 1779, la segunda, Louise Françoise, en Mézières, y finalmente en 1780, la tercera, Adélaïde, también en Mézières.
El matrimonio de Monge con Catherine, perteneciente a una familia burguesa de las Ardenas, lo introdujo en una nueva red familiar y social. Se convirtió en propietario de una fundición y a partir de aquel momento se interesó por todo lo relacionado con la metalurgia. Su red de familiares y amistades se amplió, lo que explica su rápida ascensión social.
Capítulo 3
Un científico dedicado a la enseñanza
La contribución de Monge a su país, en plena ebullición revolucionaria, fue múltiple. Después de haber alcanzado la excelencia matemática en sus investigaciones sobre geometría descriptiva y diferencial, elaboró un manual de estática con una explícita orientación pedagógica que es un ejemplo de claridad y rigurosidad. Además, fue uno de los fundadores de la Escuela Politécnica de Francia y llegó a ser ministro de Marina.Contenido:
§. Examinador de los alumnos de MarinaEl 14 de enero de 1780 Monge fue elegido miembro de la Academia de Ciencias de París como geómetra adjunto, en sustitución del matemático Alexandre-Théophile Vandermonde. Este nombramiento le obligaba a residir en París al menos cinco meses al año para poder asistir a las sesiones de la Academia. El abad Bossut, el mismo que lo había promocionado a profesor de la Escuela del Cuerpo de Ingenieros Militares de Mézières, consiguió que Monge mantuviera la actividad docente en este centro, siendo sustituido durante los meses de su ausencia por su hermano Louis. Por otro lado, el mismo abad solicitó la ayuda de Monge en sus clases de la cátedra de Hidrodinámica de la Academia de Ciencias, en el Louvre. Durante los años que impartió estas clases, Monge ya empezó a enseñar geometría analítica a algún grupo de alumnos, entre los que figuraban Gaspard de Prony 1755-1839) y Sylvestre-François Lacroix (1766-1843), que posteriormente destacaron como matemáticos. Todavía no era posible enseñar geometría descriptiva, ya que los métodos de esta disciplina eran considerados como secreto militar, pero algunos alumnos de Monge, como Lacroix, imaginaban la existencia de una disciplina con soluciones geométricas a los problemas de la geometría analítica en el espacio.
§. El Tratado Elemental de Estática
§. La composición y descomposición de las fuerzas
§. Los momentos
§. Los centros de gravedad
§. El centro de gravedad de un triángulo
§. El centro de gravedad de un polígono
§. El centro de gravedad de una pirámide
§. El centro de gravedad de un barco
§. El equilibrio de las máquinas
§. El equilibrio de fuerzas por medio de cuerdas
§. Equilibrio de la palanca
§. El equilibrio del plano inclinado
§. Ministro de Marina del gobierno republicano
§. La Escuela Politécnica y la Escuela Normal
§. Examinador de los alumnos de Marina
En octubre de 1783 el mariscal de Castries, ministro de Marina, eligió a Gaspard Monge como examinador de los guardiamarinas para sustituir al recién fallecido Étienne Bézout (1730-1783), matemático que había publicado, entre otros tratados, Cours complet de mathématiques á l'usage de la marine el de l'artillerie , como manual para la enseñanza de los alumnos o aspirantes a oficiales en la Marina. En 1774 Monge había acompañado al mariscal de Castries en un viaje a Bélgica, cuando era profesor en la Escuela de Mézières.
Este nombramiento supuso un importante giro en la vida profesional de Monge. Por un lado, tuvo que renunciar al probable acceso a la cátedra de Hidrodinámica en la Academia de Ciencias y, por otro, también se vio obligado a dejar definitivamente la Escuela de Mézières. De todas maneras, aunque mantuvo el cargo de examinador de los guardiamarinas hasta el principio de la Revolución de 1789, no abandonó en absoluto sus actividades científicas y fue alternando los visajes de inspección a los diferentes puertos del país que albergaban escuelas de la Marina con la elaboración de diversas memorias sobre matemáticas, física o química.
El examen de entrada a la Marina estaba abierto a jóvenes de edades comprendidas entre los trece y los quince años. Los candidatos provenían de colegios especializados en la preparación para el acceso a la Marina, pero también podían ser aspirantes libres que habían recibido del Ministerio una carta de examen, después de haber superado las mismas pruebas de nobleza exigidas a los alumnos de los colegios. Todos ellos tenían que presentarse a las escuelas de la Marina para ser interrogados por el examinador.
Cada ano, en determinadas fechas, Monge visitaba Alés y Vannes, y, más tarde, Brest, Rochefort y Tolón, para organizar los exámenes, a causa de lo cual la gira podía durar más de tres meses, con un promedio anual de 60 alumnos. El examen se desarrollaba en presencia del obispo, el mayor general de la Marina, el director y el subdirector de la escuela y los dos profesores de matemáticas de esta. Una vez terminado el examen, Monge enviaba los resultados al ministro, con sus observaciones.
Para Monge, la manera de plantear los exámenes no era indiferente. A Monge no le interesaba tanto la acumulación memorística de conocimientos como la capacidad de razonamiento de los alumnos y de saber aplicar lo que habían aprendido. Este interés también se reflejaba en su sistema de evaluación, que tenía en cuenta diversos aspectos para llegar a una conclusión final. Ante todo anotaba la manera en que el candidato había respondido a las diferentes partes del examen (aritmética, geometría, trigonometría rectilínea y esférica, navegación). Y a continuación evaluaba tanto su inteligencia como su carácter. Y, por encima de todo, Monge siempre estuvo preocupado por mantener la máxima equidad entre los candidatos y se mostraba totalmente insensible a las cartas de recomendación que le llegaban.
Su misión, tanto en París como en diferentes puertos, le permitió relacionarse y estar en contacto con una administración que más tarde volvería a encontrar a sus órdenes directas cuando fue ministro de Marina. En sus viajes visitó las minas, las fundiciones y todas las fábricas importantes, y profundizó en el conocimiento de los distintos problemas de organización técnica que se agudizaron en los años cruciales de la Revolución.
§. El Tratado Elemental de Estática
Desde el primer momento en que Monge ocupó el cargo de examinador de la Marina, el mariscal de Castries le instaba a reescribir el curso elemental de matemáticas de Bézout, utilizado como manual por los guardiamarinas y considerado anticuado. Sin embargo, él se resistía a escribir este curso, entre otras razones porque no quería privar a la viuda de su predecesor de los ingresos que percibía por él. Finalmente, cedió a las presiones del ministro de Marina y durante el verano de 1786 escribió un tratado de estática que debía ser el primer volumen de un curso completo de matemáticas. Después de presentar el tratado a la Academia de Ciencias, a principios de 1787, lo envió al ministro con el compromiso de acabar el curso completo. Definitivamente, el Traité Élémmtaire de Statique fue publicado en 1788, pero los restantes tratados no se llegaron a editar. El Tratado Elemental de Estática, del que se realizaron ocho ediciones, la última de ellas en 1846, ejerció una gran influencia y fue traducido a diversas lenguas, como el alemán, el inglés y el ruso.
«[El Tratado elemental de estática] constituye un modelo de claridad, de precisión y de sencillez que hace lamentar que Monge no hubiera perseverado en la redacción que había iniciado, de un curso elemental completo de matemáticas,»Es un texto escrito en un estilo auténticamente euclidiana.
Rene Taton
Presentado de forma clara y sistemática, evita el recurso a la geometría diferencial. Justamente Monge se lamentaba de no haber podido utilizar el álgebra y el cálculo infinitesimal que hubiesen permitido demostraciones mucho más rápidas, debido a las instrucciones recibidas del influyente ingeniero naval Jean-Charles de Borda (1733-1799).
La obra se divide en cuatro partes; composición y descomposición de las fuerzas, momentos, centros de gravedad y equilibrio de las máquinas. La última parte está subdividida en tres capítulos: equilibrio de las fuerzas que actúan las unas sobre las otras mediante cuerdas, equilibrio de la palanca y sus aplicaciones, y equilibrio del plano inclinado y sus aplicaciones.
En la introducción del tratado se define la mecánica como -«la ciencia que tiene por objeto conocer el efecto que, en general, debe producir la aplicación de determinadas fuerzas sobre un cuerpo». La mecánica se dividirá en dos ramas; la estática, que considera las relaciones entre las fuerzas que actúan sobre un cuerpo cuando estas se mantienen en equilibrio, y la dinámica, que analiza el movimiento del cuerpo cuando estas fuerzas no se equilibran entre sí.
§. La composición y descomposición de las fuerzas
En el primer capítulo del tratado de estática se exponen los axiomas sobre la composición de las fuerzas que actúan sobre un punto. El primero de ellos afirma que cuando una fuerza aplicada en un punto determinado C de un cuerpo AB tira de este cuerpo o lo empuja siguiendo una dirección CF se puede considerar esta fuerza como si estuviese apilada en cualquier otro punto D de este cuerpo, tomado sobre la dirección de esta fuerza (figura 1).


La resultante de dos fuerzas paralelas desigualesSegún el segundo teorema del tratado de estática de Monge, si en los extremos de un segmento AB se aplican dos fuerzas desiguales P y Q,cuyas direcciones AP y BQ son paralelas, actuando en el mismo sentido, se tendrá que:
-La resultante R de estas fuerzas es igual a su suma, y su dirección es paralela a las de las fuerzas.
- El punto C de aplicación de la resultante divide el segmento AB en dos partes inversamente proporcionales a las dos fuerzas. es decir, se tieneP /Q = BC/AC
En la demostración de este teorema, en primer lugar se divide el segmento AB en dos partes directamente proporcionales a las dos fuerzas P, Q, de manera que se tenga:P /Q = AD/DB
A continuación se prolonga el segmento AB de manera que AE = AD y BF= BO. Entonces se concibe que las dos fuerzas P y Q son uniformemente distribuidas a lo largo del segmento EF, con las direcciones paralelas a las de estas dos fuerzas. La fuerza P se distribuirá sobre el segmento DE, y la fuerza Q sobre el segmento DF, siendo P la resultante de todas las fuerzas infinitamente pequeñas e iguales aplicadas sobre el segmento DE y Q la resultante de todas las fuerzas sobre el segmento DF. Por otro lado, la resultante de todas las fuerzas infinitamente pequeñas e Iguales entre $f, distribuidas sobre el segmento EF, estará aplicada en el punto medio C de este y evidentemente también será la resultante de P y Q, por consiguiente, su suma.
Resulta sencillo demostrar que AC = DB y BC = AD y por lo tantoP /Q = AD/DB = BC/AC
Tal como se quería demostrar.
Este teorema es fundamental para el desarrollo posterior de todo el tratado de estática, y su demostración, particularmente interesante, se basa en la sustitución de las dos fuerzas consideradas por fuerzas infinitamente pequeñas distribuidas uniformemente sobre unos segmentos situados en la recta que une sus puntos de aplicación.
Después de los teoremas sobre fuerzas paralelas del mismo sentido y en un número cualquiera, se plantea el caso de la composición de dos fuerzas y de sentido contario, el cual es estudiado a partir de la figura en equilibrio formada por las dos fuerzas paralelas del mismo sentido y la fuerza opuesta a su resultante. Cuando las dos fuerzas paralelas son iguales y de sentido contrario, Monge hace notar que para conseguir el equilibrio «haría falta aplicara la recta una fuerza nula cuya dirección pasase a una distancia infinita; lo cual no es absurdo pero no se puede ejecutar». En efecto, la noción de «par de fuerzas» no apareció hasta después de la publicación de Éléments de statique (1803) del matemático y físico francés Louis Poinsot (1777-1859), que introdujo este concepto.
Se pasa a continuación al caso de las fuerzas no paralelas y se establece la regla del paralelogramo para hallar la resultante de dos fuerzas concurrentes, con la ayuda de un lema sobre la equivalencia de las acciones de las fuerzas de la misma intensidad tangentes a un mismo círculo en el mismo sentido. Luego se generaliza a los casos de n fuerzas concurrentes, y de n fuerzas coplanarias, dando finalmente la regla del paralelepípedo relativo a la composición de tres fuerzas concurrentes, donde se establece que toda fuerza puede ser descompuesta siguiendo las aristas de un triedro cuyo vértice está sobre el eje de la fuerza.
§. Los momentos
El segundo capítulo del Tratado elemental de estática está dedicado a los momentos de fuerzas y empieza con la definición del momento de una fuerza con respecto a un punto, una recta o un plano, como el producto de esta fuerza por la distancia de su dirección a este punto, a esta recta o a este plano. Inmediatamente se expone una de las primeras conclusiones: cuando dos fuerzas P y Q son paralelas y con el mismo sentido, sus momentos con respecto a un punto C, situado en la dirección de su resultante, serán iguales (figura 3).

P /Q = BC/AC
E igualando el producto de los extremos al de los medios se tendráP × AC = Q × BC
Análogamente, los momentos de estas dos fuerzas con respecto a cualquier recta DE que pase por el punto C serán iguales. Es decir, se cumplirá:P × AD = Q × BE,
donde AD y BE y son perpendiculares a DE.> A continuación se establece una serie de teoremas que establecen las relaciones entre los momentos de fuerzas paralelas con el mismo sentido con respecto a un plano paralelo a estas fuerzas y el momento de su resultante.

Y × Gg = P × Aa + Q × Bb +…-(R × Cc + S × Dd +…)
donde Y = P + Q + R + S…es la resultante, y por consiguiente:
> Todo esto permite determinar la dirección de la resultante, es decir, la distancia de ésta de un plano MN de diversas fuerzas paralelas con el mismo sentido, a partir de los momentos de éstas con respecto a dicho plano, resultado que va a ser utilizado posteriormente para calcular el centro de gravedad de cuerpos en casos concretos.
La regla del paralelogramoUno de los teoremas más conocidos y que está en la base de toda la teoría de composición de fueras es el que permite hallar la resultante de dos fuerzas concurrentes.En el tratado de estática de Monge aparece enunciado del siguiente modo: se suponen las direcciones de dos fuerzas P y Q en un mismo plano, y concurrentes en el punto A. Si se trazan sobre estas direcciones los segmentos AB y AC proporcionales a estas fuerzas, de manera que se tenga P/Q=AB/AC, y se traza el paralelogramo ABCD, la resultante de estas dos fuerzas estará dirigida siguiendo la diagonal AD del paralelogramo. En efecto, si desde el punto D se trazan las perpendiculares DE y DF a las direcciones de las dos fuerzas, los triángulos BED y CFD serán semejantes y se tendrá:
DC /DB = DF/DB
Por lo tanto, se tendrá:P /G = AB/AC = DC/DB = DF/DE
Tomando el punto D como centro y el segmento DF como radio se describe el arco de circunferencia FG terminado en G, donde corta a la prolongación de ED. Se considera la fuerza P aplicada en el punto E y una fuerza M igual a la fuerza Q aplicada en el punto G, que será paralela a AP y tangente al arco FG. Se tendrá, de este modo:P/M = DG /DE
Por consiguiente, la resultante de las dos fuerzas paralelas P y M pasará por el punto fijo D, ya que la proporción anterior cumple con la condición establecida en teoremas ya vistos. Pero la fuerza Q, cuya dirección es tangente al arco FG y que puede verse como aplicada en el punto F de su dirección, tiende a hacer girar este arco de la misma manera que la fuerza M (según el lema que ha precedido este teorema) y puede sustituir a esta última fuerza. Así pues, la dirección de la resultante de las dos fuerzas P y Q pasará por el punto D. Y como ya se había visto que dicha resultante tiene que pasar por el punto de concurrencia A, la dirección de esta seguirá la diagonal AD.
§. Los centros de gravedad
EL tercer capítulo del Tratado Elemental de Estática está dedicado a los centros de gravedad, y las demostraciones que se desarrollan están basadas en la aplicación de las reglas de la composición de las fuerzas paralelas y en el cálculo de momentos de fuerzas con respecto a una recta o a un plano, previamente estudiados. Se considera un cuerpo como formado por partes infinitésimas, que Monge denomina «moléculas», teniendo cada una de estas un peso particular. El peso, por otro lado, es visto como una fuerza dirigida hacia el centro de la Tierra que actúa sobre el cuerpo o sobre cada una de sus partes. No se tiene en cuenta la variación que pueda tener el peso de un cuerpo según su posición en la Tierra debido a que las distancias que aparecen en estática son infinitamente pequeñas en relación con el radio del planeta. Por la misma razón, se considerarán paralelas todas las direcciones de los pesos de distintos cuerpos, siendo dicha dirección justamente la vertical.
Por lo tanto, todas las partes de un cuerpo están sometidas a fuerzas constantes paralelas con el mismo sentido, y se podrá aplicar todo lo que se ha expuesto sobre la composición y equilibrio de fuerzas paralelas. Esto es, la resultante de una serie fuerzas paralelas con el mismo sentido es igual a su suma con la dirección paralela a todas ellas. Existe un «centro de fuerza que es el punto donde se cortan las diferentes resultantes de todas las fuerzas al variar la dirección de estas. El punto por donde siempre pasa la dirección de esta resultante, en este caso el peso del cuerpo, recibe el nombre de «centro de gravedad».
Por consiguiente, se verá el peso de un cuerpo o un sistema de varios cuerpos como una fuerza dirigida verticalmente y aplicada en su centro de gravedad, ya que este peso es la resultante de los pesos particulares de todas las «moléculas» que componen el cuerpo o el sistema. Se conseguirá el equilibrio a la acción que el peso ejerce sobre un cuerpo o sobre un sistema de cuerpos aplicando en el centro de gravedad una fuerza cuya dirección sea vertical, e igual al peso del cuerpo o del sistema, y que actúe en el sentido contrario al del peso.
Los pesos particulares de los cuerpos que componen un sistema pueden ser considerados como de fuerzas paralelas aplicadas a los centros de gravedad particulares de estos cuerpos y, por lo tanto, cuando se conozcan los pesos de estos cuerpos y las posiciones de sus centros de gravedad particulares, se encontrará la posición del centro de gravedad de su sistema por los procedimientos que previamente se han dado pera encontrar tos centros de fuerzas paralelas, sea utilizando el principio de la composición de las fuerzas paralelas, sea utilizando los momentos.
Monge expone, en primer lugar, el método general para encontrar el centro de gravedad de un cuerpo. Se concibe el cuerpo dividido en un cierto número de partes tales que se conozca el peso de cada una de ellas y la posición de su centro de gravedad particular; después, se encuentra el centro de gravedad del sistema de todas estas partes que será el centro de gravedad del cuerpo.
Sin embargo, Monge avanza que seguirá un método más sencillo cuando las partes del cuerpo sean de la misma naturaleza en toda su extensión y cuando la figura del cuerpo no sea muy complicada, es decir, para figuras geométricas elementales.
Efectivamente, si se consideran las rectas, las superficies y los sólidos como compuestos de partes uniformemente pesadas, el centro de gravedad de una línea será su punto medio, el centro de gravedad de una superficie estará en el centro de la figura, y el centro de gravedad de un sólido estará en el centro de este.
§. El centro de gravedad de un triángulo
El primer ejercicio que se resuelve es encontrar el centro de gravedad de un triángulo (figura 5). La superficie del triángulo ABC se concibe dividida en elementos infinitésimos a partir de las rectas paralelas a BC. Se traza la mediana AD (del vértice A al punto medio D del lado BC).


FO = (AG + CH + BI)/3
donde F es el centro de gravedad del triángulo.Este resultado permite deducir otra manera de encontrar el centro de gravedad de un triángulo. Se trazan dos rectas GI y GP y se calculan, a partir del resultado anterior, las distancias FO y FR del centro de gravedad a cada una de estas rectas. Se dibuja una recta RV paralela a Gi a una distancia FO y otra XO paralela a GP a una distancia FR. El centro se encontrará en el punto de intersección F de estas dos rectas (figura 7).

Una vez deducido el centro de gravedad de un triángulo, se aborda el problema de averiguar el centro de gravedad de un polígono cualquiera
Monge presentó dos formas para hallar el centro de gravedad de un polígono cualquiera, aunque nosotros, por simplicidad, vamos a exponer estas soluciones solo para el caso del polígono ABCDE de la figura 8.
Las coordenada cartesianas del centro de gravedad de un triánguloLa conclusión geométrica que Gaspard Monge expuso en el tercer capítulo del Tratado Elemental de Estática acerca del centro de gravedad de un triángulo tiene una inmediata traducción analítica de la que probablemente él mismo era consciente.Si las coordenadas de los vértices del triángulo ABC son (a1,a2), (b1,b2), (c1,c2), las coordenadas del centro de gravedad F del triángulo (baricentro) serán:
La primera se basaba en la composición de fueras paralelas. Se divide la superficie del polígono en triángulos a partir de las diagonales AC, AD... trazadas desde un vértice A y se determinan los centros de gravedad particulares F, G y H de estos triángulos.

Área del cuadrilátero ABCD /Área del cuadrilátero CAD = FG/FI
Por el punto I y por el centro de gravedad K del triángulo siguiente se traza la línea HI, sobre la que se encuentra el centro de gravedad K del sistema de los tres primeros triángulos. Este centro K se halla dividiendo esta línea en dos partes inversamente proporcionales a las áreas del cuadrilátero ABCD y del triángulo DAE mediante la proporción:
La otra manera de hallar el centro de gravedad de un polígono que Monge expuso se basaba en los momentos de fuerzas, método que el matemático utilizó muy a menudo en todo su tratado de estática (figura 9).



Trazando una recta paralela a LM a una distancia de esta igua1 a la primera de estas dos distancias y, a continuación, una paralela
Trazando una recta paralela a LM a una distancia de esta igual a la primera de estas dos distancias y, a continuación, una paralela a LN a una distancia igual a la segunda de estas distancias, la intelección de estas dos rectas será el cendro de gravedad buscado, pe nuevo con este razonamiento, Monge, más que ofrecer una solución geométrica, estaba dando una analítica, ya que equivalía a calcular las coordenadas cartesianas del centro de gravedad del polígono.
§. El centro de gravedad de una pirámide
Monge trató primero el caso de una pirámide triangular y luego dedujo el centro de gravedad O de una pirámide de base poligonal ABCDEF (de nuevo restringimos nuestras consideraciones a un polígono de cinco lados, aunque el método vale para el caso general). Dicho centro se encuentra sobre la línea AG, donde A es el vértice de la pirámide y G el centro de gravedad de la base poligonal, de manera que se cumple 4OG = OA (figura 10).

§. El centro de gravedad de un barco
Monge se reservó los últimos ejercicios de este capítulo a aquellos que hacían referencia directa a barcos, teniendo en cuenta que era un tratado dirigido a alumnos de la Marina. En primer lugar hay que calcular el centro de gravedad de una sección horizontal de la carena de un barco (figura 11).


Monge añadió a este método general una forma más detallada para deducir esta distancia AK, que hoy en día resulta ciertamente engorrosa pero que probablemente en aquel momento era de una gran utilidad:


El momento de una pirámide triangular con respecto a un plano es igual al peso de la pirámide, que se identifica con el volumen, multiplicado por la cuarta parte de la suma de las distancias de los vértices de los cuatro ángulos a este plano. Se trata de obtener el momento de cada pirámide con respecto al plano vertical BB'' por un lado, y al plano horizontal CD, por el otro, ya que las distancias de los vértices a cada uno de estos planos son conocidas; y tomando la suma de todos estos momentos, se tendrá el momento de la parte sumergida de la carena.
La suma de los momentos con respecto al plano vertical BB'" dividida por la suma de los volúmenes será la distancia KX del centro de gravedad a la vertical BB'"; de igual manera, la suma de los momentos con respecto al plano horizontal CD dividida por la suma de los volúmenes será la distancia KY del mismo punto a la quilla. Se tendrán, entonces, las distancias del centro de gravedad a dos rectas de posiciones conocidas en el plano vertical que pasa por la quilla, y, por consiguiente, la posición de este punto quedará determinada.
Como en el caso del centro de gravedad de una sección del barco, Monge añadió una fórmula más detallada para determinar el centro de gravedad del volumen de la parte sumergida de un barco que en principio permitía sistematizar los cálculos.
Al final del ejercicio Monge añadió un comentario sobre el interés en calcular el centro de gravedad de todo el barco con o sin carga. En este caso, afirmaba que haría falta tomar, con respecto a los dos planos de referencia, la suma de los momentos de todas las partes que componen el barco y su carga y dividir cada una de estas sumas por el peso total del barco y su carga. Observó que, en este caso, para obtener los momentos, había que considerar no el volumen, sino el peso de cada parte, y multiplicarlo por la distancia del centro de gravedad particular de esta parte al plano con respecto del que se toman los momentos. Los cocientes de estas divisiones serían las distancias buscadas, finalmente, Monge añadió que se podía encontrar el centro de gravedad particular de cada parte del barco y su carga, al menos de una forma suficientemente aproximada, descomponiendo dicha parte en paralelepípedos, cilindros, pirámides u otros sólidos cuyos centros de gravedad podemos hallar.
Estos ejercicios sobre el barco son los únicos en los que aparece una aplicación práctica de la teoría de los centros de gravedad Monge no dejó de insistir en que cuantas más divisiones se hacían en la parte considerada de la que se quería obtener el centro de gravedad más aproximada sería la solución. Está claro que sabía que el cálculo infinitesimal, que aparece camuflado bajo razonamientos geométricos, habría permitido soluciones más rápidas y eficaces a los problemas planteados, pero las autoridades de la Marina consideraban que en un tratado para los alumnos era más apropiado basarse exclusivamente en la clásica geometría euclidiana.
§. El equilibrio de las máquinas
El cuarto capítulo del Tratado Elemental de Estática empieza con una definición de máquina: «Se denomina máquina a todo instrumento destinado a transmitir la acción de una fuerza determinada sobre un punto que no se encuentra sobre su dirección, de manera que esta fuerza pueda mover un cuerpo al cual no está inmediatamente aplicada, y moverlo siguiendo una dirección diferente de propiamente la suya».
Toda la teoría sobre el equilibrio de las máquinas está basada en que se trata de descomponer una determinada fuerza, denominada «potencia», en dos, una de las cuales es utilizada para equilibrar la fuerza que ejerce el cuerpo, denominada «resistencia», y otra que actuará siguiendo una nueva dirección De manera que, cambiando la dirección y la magnitud de la potencia, se puede, con la ayuda de una maquina, conseguir equilibrar dos tuercas desiguales y que no se encuentran en la misma dirección.
De lo que se tratará es de establecer la relación que hay entre la potencia y la resistencia aplicadas a la misma máquina, para que se equilibren. En cualquier caso, en este estudio se hará abstracción del rozamiento y se supondrá que las cuerdas o hilos que intervienen en el tratado son totalmente flexibles y sin peso alguno.
Monge sabía, y así lo afirmó en este tratado, que el número de máquinas es muy grande pero, según todas ellas podían ser vistas como compuestas de solo tres máquinas simples: las cuerdas o hilos, la palanca y el plano inclinado. Monge estableció las bases teóricas de lo que tenía que ser un tratado más detallado sobre las máquinas. Efectivamente, durante sus clases en la Escuela Politécnica desarrolló un estudio más detallado de las máquinas que posteriormente se plasmó en el libro Traité Elémentaire des Machines (Tratado Elemental de las Máquinas) , escrito en 1809 por su amigo y discípulo Jean Nicolás Pierre Hachette.
§. El equilibrio de fuerzas por medio de cuerdas
Por lo que se refiere al equilibrio de fuerzas por medio de cuerdas, las primeras afirmaciones de Monge recogen las conclusiones desarrolladas en la teoría de la composición de fuerzas (figura 13). Las tres fuerzas P,Q y R deben estar en un mismo piano para poderse equilibrar. Si se representan sobre las direcciones de las fuerzas P y Q los segmentos AC y AD proporcionales a estas y se construye el paralelogramo ABCD, la diagonal AB representará en magnitud y en dirección la resultante de estas dos fuerzas. Si las tres fuerzas están en equilibrio, la fuerza R debe ser igual y opuesta a la resultante de las otras dos, luego la dirección de la fuerza R estará en la prolongación de BA, y su magnitud estará representada j por esta diagonal. Así se tendrá:
P /AC = Q/AD = R/AB




§. Equilibrio de la palanca
Por lo que se refiere al equilibrio de la palanca, Monge da primero la definición de esta: la palanca es una vara inflexible ACB, oCAB; recta o curva, y móvil alrededor de uno de sus puntos C, fijo debido a un obstáculo denominado «punto de apoyo» (figura 14).
Suponiendo que la palanca no tiene peso y que no pueda deslizarse sobre el punto de apoyo C, sean P y Q dos potencias aplicadas directamente o por medio de cuerdas AP y BQ en dos puntos A y B la palanca.

- Que sus direcciones se encuentran en un mismo plano y concurren en un mismo punto D.
- Que las fuerzas P y Q son inversamente proporcionales a las perpendiculares GE y CP trazadas desde el punto de apoyo sobre sus direcciones, es decir, se tiene:
P/Q = CF/CE
- Que si a partir del punto D, se consideran, sobre las direcciones de las fuerzas y Q, los segmentos DL y DM, proporcionales a las magnitudes de estas fuerzas, y se completa el paralelogramo DLMN, la diagonal DN representa en magnitud y dirección la fuerza R y, por consiguiente, la resistencia del punto de apoyo; así se tendrá:
Así como:


CF /CE = Ff/Ee
Por otro lado, debido al equilibrio, se tiene:P /Q = CF/CE
Y por tanto:P /Q = Ff/Ee
De nuevo, en el tratado de Monge, aparece la orientación inevitable hacia la geometría diferencial, sin que, de todos modos, quede explicitado un razonamiento analítico.Después se pasa al estudio de las poleas, los tornos, los gatos y las rueda» dentadas. Cada uno de estos estudios es relevante por la precisión de las descripciones y la elegancia de los cálculos geométricos. Se nota que Monge conocía el sujeto no solo por haberío estudiado desde el punto de vista teórico sino por haber examinado atentamente y manipulado las máquinas que describe. Sus razonamientos transmiten esta clara visión de la realidad y señalan todos los detalles que un simple teórico podría no haber tenido en cuenta y que, sin embargo, para el usuario poseen un interés innegable.
§. El equilibrio del plano inclinado
Estas mismas cualidades se vuelven a encontrar en el estudio del plano inclinado, que empieza con las definiciones básicas. Se dice que un plano ABCD es inclinado cuando forma un ángulo no recto con el plano horizontal ABEF (figura 16).

Si por el punto I se traza una vertical IL, esta recta se encontrará con la recta horizontal HL, a la cual será perpendicular, y formará un triángulo rectangular IHL. La hipotenusa HI de esto triángulo se denomina «longitud del plano inclinado», el lado IL es la altura y el otro lado HL es la base.
Cuando un cuerpo que toca por un solo punto Q a un plano ABCD es empujado por una sola fuerza P, cuya dirección PQ pasa por d punto de contacto Q y, además, es perpendicular al plano, este cuerpo se mantiene en reposo (figura 17). Esta afirmación será la base de la mayoría de las demostraciones que se encuentran en el Tratado Elemental de Estática.



Denominando P la carga o resistencia del plano, que es igual a la resultante de las fuerzas, se tendrá:


En uno de los últimos ejercicios se considera el caso de un cuerpo sostenido por más de un plano inclinado. En particular, se estudia el equilibrio de un cuerpo sostenido por dos planos inclinados. Sea M un cuerpo sometido solamente a la acción de su peso y retenido por los dos planos inclinados ABCD y ABEF, que se cortan en la recta AB (figura 20).

La conclusión final es:

§. Ministro de Marina del gobierno republicano
Por sus estrechas relaciones con los enciclopedistas y los científicos más progresistas de la Academia de Ciencias y por sus orígenes humildes, Monge recibió con simpatía el estallido revolucionaria. Se adhirió, como muchos de sus colegas de la Academia, a la Sociedad Patriótica en 1789, luego a la Sociedad Popular de Luxemburgo, con sus amigos Jean-Nicolas Pache. Alexandre-Théophile Vandermonde, Jean-Baptiste Meusnier y Jean-Henri Hassenfratz, y finalmente al Club de los Jacobinos, y muy probablemente fue miembro de la francmasonería.
Sin embargo, la Revolución no paralizó sus tareas como examinador de los guardiamarinas ni el funcionamiento de la Academia de Ciencias, que había recibido el encargo de establecer las bases de un sistema de medidas unificado de base decimal.
La Academia, para facilitar su universalización, decidió que este nuevo sistema debía estar basado en unidades naturales, tales como la diezmillonésima parte del cuadrante del meridiano terrestre, y distribuyó las tareas entre diferentes comisiones, de una de las cuales se responsabilizó Monge junto con el militar, geómetra e ingeniero Jean-Baptiste Meusnier (1755-1827),
Una vez apartado de sus funciones el rey, en 1792, se hizo con el poder un Consejo Ejecutivo Provisional, formado por ministros elegidos por la Asamblea Nacional Legislativa. Monge fue nombrado ministro de Marina, pues se trataba de un científico reconocido que se había alineado con la causa popular y porque sus funciones como examinador de los alumnos de la Marina le daban cierta competencia para ocupar este puesto.
Una de las primeras decisiones de Monge fue limitar sus privilegios como ministro y, de este modo, compartió la vivienda que tenía reservada para su familia con oficiales de la Marina. Pero se enfrentaba a numerosas dificultades. La Marina francesa estaba totalmente desorganizada por la huida de muchos de sus cuadros, la insubordinación en numerosos arsenales y la dificultad del reclutamiento. Monge hubo de asumir varios fracasos, como la represión de la revuelta en las Antillas de 1791 y en Cerdeña en diciembre de 1792. Además, tuvo que frenar el alud de dimisiones que muchos funcionarios le presentaron a consecuencia de los cambios revolucionarios. Aun así, no pudo evitar la retirada de muchos oficiales de la Armada. Consiguió, sin embargo, que Borda, uno de los hombres más importantes de la Marina, se mantuviera en el cargo.
Monge no solo asistió a la ejecución de Luis XVI, en enero de 1793, sino que fue el que firmó el proceso verbal como presidente del Consejo. En febrero de 1793 afrontó como ministro de Marina la declaración de guerra a Inglaterra.
El 10 de abril de 1793 se retiraba como ministro de Marina, confesando que se veía incapaz de continuar en su cargo. No parece que le afectara en exceso esta dimisión. Su biógrafo François Arago tuvo en sus manos cuatro páginas repletas de fórmulas matemáticas escritas por Monge el mismo día que cesaba como ministro.
§. La escuela politécnica y la escuela normal
Desde 1793 había surgido en Francia la idea de constituir una escuela única destinada a preparar las diversas categorías de ingenieros civiles y militares. Tanto Monge como el ingeniero Jacques-Élie Lamblardie (1747-1797), director de la Escuela de Puentes y Caminos, pensaban que una misma formación en una sola escuela acabaría con las rivalidades entre los ingenieros de distintas especialidades.

Gaspard Monge, en un retrato de François Seraphin Delpech

La Toma de la Bastilla inicio de la Revolución Francesa, representada por Jean-Pierre Houël
Fueron seleccionados alrededor de cuatrocientos alumnos y, de estos, los cincuenta mejor preparados se incorporaron a una escuela preparatoria para convertirse en los monitores de los nuevos alumnos. Después, los alumnos fueron clasificados en tres secciones según sus aptitudes.

Portal de entrada de la Escuela Politécnica de Francia, en París, que Monge contribuyó a fundar
Así pues, la Escuela Politécnica ofreció un modelo de reclutamiento y de formación de la élite científica y técnica, donde tradicionales recomendaciones que caracterizaban la entrada la carrera científica durante el antiguo régimen dejaron paso a un sistema igualitario y anónimo basado solo en la apreciación objetiva de los méritos. Rápidamente la escuela fundada por Monge se convirtió en la base de la tecnocracia francesa destinada a los diferentes servicios técnicos del Estado, la ingeniería militar y la artillería, y a los servicios civiles, como los puentes y caminos y la minería.
La Escuela era percibida como una extensión del espíritu revolucionario, lo cual no dejaba de presentar ciertos peligros, ya que la reacción termidoriana, a partir de 1795, había iniciado una auténtica caza contra los jacobinos, ante la cual el mismo Monge no se sentía totalmente seguro. Muchos de los miembros fundadores de la Escuela pertenecían a la francmasonería, como probablemente era el caso de Monge, y la institución asumió el ideario progresista. Durante algunos años se mantuvieron las tensiones en tomo a la definitiva orientación de la Escuela. Por una parte, había presiones para que no mantuviera el monopolio de aportar profesionales formados a los servicios públicos, y por otra, se disputaban la hegemonía de la institución dos concepciones representadas por los químicos por un lado y por los matemáticos alrededor de Pierre-Simon Laplace (1749-1827), por otro. Monge, junto con este último, siempre defendió la necesidad de fortalecer la enseñanza de las ciencias y de preparar a los alumnos para el servicio público del país.
Los ideales de Monge acerca de la educación siempre fueron los de un hombre de la Revolución. Preocupado por la independencia de su país, consideraba los medios educativos como el instrumento necesario para liberar a la nación de la dependencia de la industria extrajera. Para él era imprescindible orientar la educación de los jóvenes hacia el conocimiento y el dominio de la tecnología. En concreto, mostró el papel que podía desempeñar la geometría descriptiva como base común en todas las áreas de la formación teórica del ingeniero. Y en cualquier caso, creía que la enseñanza, tanto científica como técnica, tenía que dirigirse no solo a los hijos de las capas privilegiadas sino a las más amplias capas populares.
En la Escuela Politécnica, Monge estuvo ayudado por Jean Nicolas Pierre Hachette en la enseñanza de la geometría descriptiva y por Étienne-Marie Barruel (1749-1818) y Joseph Jacotot (1770- 1840) en la de la física. Aun así, pasaba mucho tiempo en contacto directo con los alumnos. Como responsable de la estereotomía, redactó un curso acelerado de esta disciplina. Igualmente se redactaron tres cursos sobre meteorología y acústica Una de las ramas de la ciencia a las que más atención dedicó Monge fue a la aplicación del análisis a la geometría. De este período es la redacción de Feuilles d'analyse appliquée á la géométrie (Páginas de análisis aplicado a la geometría), que constituyó el primer esbozo de lo que fue la Application d'analyse á la géométrie, publicada en 1795.
Al mismo tiempo que empezaba a funcionar la Escuela Politécnica, una comisión nombrada por la Convención ponía en marcha la organización de la Escuela Normal. Se quería crear un centro para formar a todos los profesores de las escuelas secundarias que se estaban organizando. La Escuela Normal Superior del año III (1795) reunió 1400 alumnos, designados por las administraciones de los distintos distritos, que siguieron unos cursos revolucionarios acelerados. También aquí, los profesores fueron escogidos entre los mejores científicos del momento: Joseph-Louis de Lagrange y Pierre-Simon Laplace para las matemáticas, Claude-Louis Berthollet (1748-1822) para la química y Monge para la geometría descriptiva Pero esta escuela duró escasamente cinco meses. Monge solo dio trece clases de geometría descriptiva, cuyos textos fueron recogidos en un periódico de las sesiones de las escuelas normales y posteriormente publicados en la obra Géométrie descriptive. El cierre prematuro de la Escuela Normal le impidió desarrollar las aplicaciones de la geometría descriptiva para la representación y determinación de las máquinas, tal como tenía previsto.
Tanto en la Escuela Normal como en la Politécnica, las clases de Monge tuvieron un inmenso éxito. Hasta el mismo momento de cesar en su actividad docente tuvo cuidado de sus alumnos y luchó para mantener el espíritu liberal de los inicios de la institución, intentando mantenerla independiente de los sucesivos gobiernos.
Capítulo 4
Un científico comprometido con la sociedad
La ciencia para Monge era ante todo la vía que hacía posible el desarrollo tecnológico de la sociedad, y como científico puso sus capacidades al servicio de esta. Implicado directamente en los acontecimientos políticos de su país, intervino en acciones, aparentemente tan alejadas del mundo de la ciencia, como la dirección de la industria de guerra o la colonización de Egipto. En cualquier caso, siempre aportó la visión de un científico, capaz tanto de elaborar un manual para fabricar cañones como de hacer un detallado estudio de las máquinas.Contenido:
§. Participación en la defensa militar de FranciaDesde el principio, Monge manifestó curiosidad por cualquier fenómeno de la naturaleza y por la tecnología como capacidad transformadora del hombre. En la Escuela de Mézières, se interesó primero por la arquitectura y las fortificaciones. Más tarde, cuando tuvo que gestionar la forja que había heredado su esposa, se introdujo en el mundo de la siderurgia, lo cual le permitiría, años más tarde, desempeñar un papel clave en la industria de guerra de la joven República.
§. El estudio de las máquinas
§. Sobre la polea
§. Sobre el tornillo
§. Sobre la cuña
§. El senador vitalicio Gaspard Monge
El amplio abanico de los intereses de Monge y su permanente curiosidad aparecen en diversas memorias presentadas por él sobre la composición del ácido nítrico, la doble refracción y estructura del espato de Islandia, la composición del acero, las causas de determinados fenómenos meteorológicos, etc. Particularmente relevante fue su contribución a la química y, aunque no publicó nada sobre esta disciplina, tenía una reputación muy sólida en este campo entre sus contemporáneos, Realizó importantes aportaciones sobre teoría calórica, acústica, electrostática y óptica.
En 1781 Monge fue elegido editor del Dictionnaire de physique de l'Encyclopédie méthodique, para el que escribió algunos artículos, aunque no llegó a completar su tarea. Su investigación más importante se centró en la composición del agua. En 1781 efectuó la combinación del oxigeno y el hidrógeno y en 1783 la síntesis del agua al mismo tiempo que el químico francés Lavoisier. A pesar de que los aparatos de Monge eran más sencillos, los resultados fueron mucho más precisos. En la memoria que Monge presentó a la Academia de Ciencias sobre sus resultados todavía se habla del flogisto, aunque muy pronto se adhirió a las nuevas teorías de Lavoisier.
«En la época en que Monge entró en la Academia de Ciencias, la química salía, por fin, de su infancia [... ] Monge no permaneció demasiado tiempo ajeno a este gran movimiento, y tuvo el honor de participar en la gloria de uno de los más bellos descubrimientos del siglo, el de la composición del agua.»En 1784 Monge consiguió, en colaboración con el químico francés Jean-François Clouet (1751-1801), la primera licuación de un gas, el dióxido de sulfuro. Entre 1786 y 1788 Investigó, junto con Claude-Louis Berthollet y Alexandre-Théophile Vandermonde, sobre los principios de la metalurgia y de la composición del hierro y del acero, y también sobre los efectos de la capilaridad.
Charles Dupin, alumno de Monge y miembro del Instituto de Francia
También presentó algunas memorias de física en la Academia de Ciencias, como « Sur quelques effets d'attraction ou de repulsión apparente entre les molecules de matiére» (Sobre los efectos de atracción o repulsión aparente entre las moléculas de materia), en 1787, y « Sur quelques phénoménes de la visión» (Sobre algunos fenómenos de la visión), en 1789. El año siguiente publicó la teoría 1 de diversas y sorprendentes observaciones de óptica en los Annales de chimie y un tratado sobre los principales fenómenos de la meteorología. En la época de Monge, la mayoría de los fenómenos atmosféricos habían sido estudiados de una manera muy general y vaga, y no parecía sentirse la necesidad de fundar esta ciencia sobre datos numéricos precisos. Aunque sus teorías meteorológicas tampoco satisfarían hoy el rigor científico exigible, son una muestra de su espíritu ingenioso.
§. Participación en la defensa militar de Francia
Monge no fue un científico encerrado en sus investigaciones al margen de la sociedad. No solo vivió de lleno las convulsiones sociales de su tiempo, sino que asumió responsabilidades políticas como la de ser ministro de Marina, aunque en este caso fuera por pocos meses Y este sentido de la responsabilidad ante una sociedad que precisaba de sus servicios no le abandonó nunca.
Una vez cesó como ministro de Marina, en abril de 1793, Monge se volcó en la defensa militar del país. De todos modos, el matemático, que era miembro del club de los jacobinos, evitó comprometerse con las diferentes facciones políticas que luchaban por hacerse con el poder y su papel político fue reducido, lo que no le impidió colaborar plenamente con el Comité de Salud Pública. Una de las necesidades inmediatas de la Francia revolucionaria era dotarse de medios de defensa ante la amenaza de otros países.
Desde bacía años, Monge estaba interesado en todos los temas relacionados con la metalurgia y la química. No hay que olvidar que había contraído matrimonio con la heredera de una fundición Esta experiencia le permitió desempeñar un papel determinante en el desarrollo de la industria de guerra de Francia. Modernizó la fabricación del acero y aceleró la producción de armas, dando las directrices técnicas adecuadas.
Una de las mayores preocupaciones era conseguir el material básico para fabricar pólvora, como el salitre y el azufre. Monge participó en el esfuerzo por explorar el territorio francés a la búsqueda del salitre necesario para la elaboración de la pólvora. De este modo, la producción anual de este material se multiplicó por quince en poco tiempo y Francia se convirtió en una inmensa fábrica de pólvora.
Igualmente se trataba de obtener el acero necesario para poner en pie una industria de guerra. Monge reorganizó la fabricación |de cañones, con el fin de conseguir las seis mil piezas que el ejército y la Armada necesitaban. Para ello convirtió algunos altos hornos en fundiciones de cañones tanto de bronce como de hierro fundido. Lo mismo se hizo con todo tipo de armas (bombas, obuses fusiles, etc.).
Desde el verano de 1793, Monge permaneció en los despachos de la sección de armas del Comité de Salud Pública, desde donde redactó instrucciones y decretos, designó responsables y dirigió las operaciones, bajo la autoridad nominal de dos ex alumnos suyos en Mézières, Carnot y Prieur. Era, en aquel momento, junto con sus amigos Vandermonde, Louis-Bernard Guyton-Morveau (1737- 1816) y Berthollet, uno de los principales protagonistas de la investigación científica organizada, y controlaba los establecimientos secretos de Meudon, la administración de la pólvora y el salitre y la fábrica de armas de París.
A finales de 1793, Monge fue encargado, junto con Vandermonde y Berthollet, de redactar un pequeño opúsculo, Avis auxouvriers en fer, sur la fabrication de l'acier, que explicaba la fabricación del acero. El Comité de Salud Pública pretendía que este opúsculo ayudara a incrementar la producción de fusiles, lo cual, parece ser, se consiguió realmente.
Por un decreto de principios del año 1794, el Comité convocó a representantes de los artilleros de la Guardia Nacional de cada distrito de la República para que siguieran unos cursos revolucionarios sobre el arte de extraer el salitre, los nuevos procedimientos para refinar esta sustancia, la nueva forma de fabricar la pólvora y la fabricación de los cañones. De estos cursos se encargaron, entre otros, el químico Antoine-François Fourcroy (1755-1809), que enseñó la manera de extraer y refinar el salitre, Guyton-Morveau y Berthollet, que explicaron la forma de fabricar la pólvora, y el físico Jean-Henri Hassenfratz (1755-1827) y Monge, que mostraron cómo fundir, perforar y calibrar los cañones de bronce para el ejército de tierra y los cañones de hierro fundido para la Marina. Durante el día, Monge se dedicaba a visitar los talleres y por la noche escribía las instrucciones dirigidas a los obreros.
Por otro decreto de principios de 1794, se encargó a Monge redactar una descripción de los procedimientos empleados en la fabricación de los cañones, acompañada de grabados. El resultado fue Description de l'art de fabriquer les canons, que es un modelo de exposición teórica y técnica donde se ofrece todo tipo de detalles sobre la técnica de la fabricación de estas armas. Para redactarla, aprovechó su larga preparación teórica y técnica en el campo de la metalurgia. En las explicaciones claras y pedagógicas de esta obra se puede ver de nuevo la huella de Monge, y los dibujos muestran su gran dominio de la geometría.
Berthollet y la revolución químicaEl químico francés Claude-Louis Berthollet (1748-1822) contribuyó, con Lavoisier, a operar una revolución en el campo de la química, al desarrollar un sistema de nomenclatura química que se considera la base del sistema actual de denominación de los compuestos químicos. Miembro de la Academia de Ciencias, fue profesor de la Escuela Normal y de la Escuela Politécnica.Su principal obra fue Essai de statique chimique (Ensayo de estática química), publicada en 1803. La relación entre Monge y Berthollet empezó en 1780, el año en que ambos fueron admitidos como miembros de la Academia de Ciencias. Ambos participaron activamente en la Revolución francesa, particularmente en la reorganización de la industria de guerra, y fueron estrechos colaboradores de Napoleón. Los dos formaron parte de la expedición a Egipto y del Instituto de Ciencias que Bonaparte creó en ese país. Berthollet fue nombrado, como Monge, senador conservador y recibió el título de conde.
Monge dirigió la fabricación de armas y pólvora hasta septiembre de 1794. Tras la caída de Robespierre en el mes de julio, la orientación política que animaba la fabricación de armas cambió sensiblemente, lo que determinaría posteriormente el cese de Monge como organizador de la industria de guerra. Efectivamente, algunas días después del 9 de termidor (julio de 1794), Monge había sido denunciado como partidario de la ley agraria y acusado de comulgar con el terror jacobino. Todo parece indicar que tales acusaciones eran totalmente infundadas, pues era un hombre poco propenso a la violencia. Se le imputaba también, entre otras cosas, haber votado la muerte de Luis XVI y elegir como colega en la Escuela Politécnica a Alexandre-Magnus d'Obenheim, uno de sus antiguos alumnos en Mézières, que había desertado en 1793 del ejército republicano y había tomado partido por los monárquicos.
§. El estudio de las máquinas
Monge siempre estuvo interesado en la estructura y el funcionamiento de las máquinas. Entendió que el progreso tecnológico era un factor clave para la felicidad de la humanidad y que dependía esencialmente de la aplicación de la ciencia teórica. Por lo tanto, su interés por la física, la mecánica y la teoría de las máquinas se derivaba de la visión que tenía sobre el progreso industrial y social. En el Traité élémentaire de statique, publicado en 1788, Monge ya mostró su gran interés por la aplicación de la ciencia pura a la tecnología. Incluso en un tratado teórico como era el de estática, quiso descrito algunas de las máquinas más cercanas al mundo de la construcción o la metalurgia. En el cuarto capítulo, después de analizar el funcionamiento de la palanca y el plano inclinado, pasa a describir distintas máquinas como aplicación de estos. En todo este estudio destacan la explicación de la polea, por ser una de las máquinas más representativas en la construcción, y las del tornillo y la cuña, donde Monge mostró su extraordinaria capacidad analítica.
§. Sobre la polea
Una polea, según el texto, es una rueda GIHD que en su circunferencia está ahuecada en forma de canal (garganta), para recibir una cuerda PGDHQ y atravesada por un eje E alrededor del cual puede girar en una armadura EL (figuras 1 y 2).

La carga que soporta el eje de la polea es igual a la resultante de las dos fuerzas P y Q; y si llamamos R a esta carga, se tendrá:

- La dirección de esta fuerza debe coincidir con la recta EA. Su magnitud debe ser igual a la resultante R de las dos fuerzas P, Q y se tendrá:
P /AB = Q/AC = R/AD
óP/ GE = Q/EH = R/GH
- La conclusión general, por lo tanto, es que cuando dos fuerzas P y Q, aplicadas a una cuerda que rodea una polea, están en equilibrio entre sí, y con una tercera fuerza S aplicada al eje de la polea:
- Las dos fuerzas P y Q son iguales entre sí.
- La dirección de la fuerza S divide en dos partes iguales el ángulo formado por las direcciones de las otras dos.
- Cada una de las dos fuerzas P y Q mantiene la misma razón con respecto al radio de la polea que la tercera fuerza S con respecto a la cuerda del arco rodeado por la cuerda
Como aplicación del plano inclinado, Monge explicó el funcionamiento del tomillo. Si se supone que un cilindro ABCD es envuelto por un hilo AGHIK... dispuesto de forma que los ángulos FLO, FMP, FNQ... formados por la dirección del hilo con las rectas trazadas sobre la superficie del cilindro paralelamente sean iguales entre sí, la curva que describe el hilo sobre la superficie del cilindro se denomina «hélice» (figura 3).

- EL desarrollo ah' o hk' de una revolución de la hélice será una línea recta.
- Este desarrollo ah' de una revolución de hélice será la hipotenusa de un triángulo rectángulo abh' cuya base ab será igual a la circunferencia de la base del cilindro y cuya altura bh' será igual a la distancia entre dos revoluciones.
- Los triángulos rectángulos abh', hh'k'... serán todos iguales y tendrán las alturas iguales. Por lo tanto, los intervalos LM, MN... entre dos revoluciones consecutivas de la hélice considerada sobre la superficie del cilindro son iguales.

El tornillo puede servir para elevar pesos o vencer resistencias, pero, normalmente, se emplea para ejercer grandes presiones. Para ello se aplica una potencia Q en el extremo de una barra que atraviesa la cabeza del tomillo (figura 5) o la tuerca (figura 4) según la pieza que sea móvil. Esta potencia, al hacer girar la pieza a la cual es aplicada, hace avanzar la cabeza del tornillo hada la tuerca o inversamente, y permite comprimir los objetos situados entre ambas.
Monge, haciendo abstracción del frotamiento, se propone aquí encontrar la relación entre la potencia Q y la resistencia P que la equilibra, oponiéndose al movimiento de la pieza móvil y siguiendo una dirección paralela al eje del tomillo; y dado que el efecto es el mismo, tanto si el tornillo gira dentro de su tuerca, como si la tuerca gira sobre el tornillo, se contenta con analizar el último caso.
Siendo el tomillo fijo y en una situación vertical, supóngase que la tuerca está sometida a la acción del peso, e incluso, si se quiere, que está cargada con un peso exterior; está claro que bajará girando, y que recorrerá todos los hilos inferiores de la tuerca, deslizándose sobre ellos como superficies inclinadas (figura 4). Se opondrá a este efecto impidiendo que la tuerca gire alrededor del tomillo, por consiguiente aplicando en el extremo de la barra FV una potencia Q que esté dirigida perpendicularmente a esta barra y en un plano perpendicular al eje del tornillo.
Entonces Monge reduce el problema a un simple punto. Supone que la tuerca solo toca la superficie del hilo por un punto; este punto, durante el movimiento de la tuerca, describirá una hélice cuyo paso es el mismo que el del tomillo y que se podrá concebir trazado sobre la superficie de un cilindro cuyo radio sería igual a la distancia del punto al eje del tomillo.

Una vez establecido esto, el punto M, que se puede ver como cargado de todo el peso F de la tuerca, estará apoyado sobre la hélice como si lo estuviera sobre el plano inclinado XY así, para mantenerlo en equilibrio mediante una fuerza R que le sería aplicada y que estaría dirigida paralelamente a XZ, sería preciso, tal como ya se había visto al analizar el plano inclinado, que se cumpliese.

Q /R = CF/VF
O, dado que las circunferencias son proporcionales a sus radios, se tendrá:Q /R = cir. CF/cir. VF
Multiplicando por orden esta última proporción y la primera se tendrá:Q /P = YZ/cir. VF
Es decir, que la potencia que retendrá la tuerca en equilibrio será al peso de la tuerca como el paso del tomillo es a la circunferencia del círculo que tiende a describir la potencia.Dado que la distancia del punto M al eje del tornillo no entra en esta proporción, se deduce que sea la que sea esta distancia, la razón del peso P de la tuerca respecto a la potencia Q que la equilibra es siempre la misma mientras esta potencia esté aplicada siempre en el mismo punto.
Si el hilo de la tuerca está apoyado sobre el del tomillo a través de varios puntos alejados de forma desigual del eje del tornillo, como ocurre normalmente, el peso total de la tuerca podrá ser visto como dividido en pesos parciales, aplicados cada uno a uno de los puntos de apoyo. La potencia pardal aplicada en el punto Y y que equilibra a uno de estos pesos en particular, es al peso particular en una razón constante como el paso del tornillo lo es con respecto a la circunferencia que tiende a describir la potencia. Así pues, la suma de los pesos particulares, o el peso total de la tuerca, es a la suma de las potencias parciales, o a la potencia total Q, en esta misma razón.
De aquí se deduce:
- Que la fuerza que sería preciso aplicar a la tuerca paralelamente al eje del tomillo para equilibrar la potencia Q que tiende a hacer girar la tuerca debe estar en la misma razón con respecto a esta potencia que la circunferencia del círculo que esta potencia tiende a describir con respecto a la altura.
- Que para un mismo tornillo el efecto de la potencia Q es tanto mayor cuanto más lejos del eje del tornillo está aplicada esta potencia.
- Que para dos tornillos diferentes, siendo aplicada la potencia a la misma distancia del eje, su efecto será tanto más considerable cuanto menor sea la altura del paso; es decir, cuanto más apretados estén los hilos del tomillo más efectiva es la potencia para comprimir en el sentido del eje.
La cuña es un prisma triangular ABCDEF que se introduce por su arista cortante EF en una hendidura para separar las dos partes de un cuerpo. Se utiliza también para ejercer grandes presiones o para tensar cuerdas (figura 7). Los cuchillos, las hachas, los punzones, y en general todos los instrumentos cortantes y penetrantes, pueden ser considerados cuñas.


- La tensión en la cuerda CD.
- La fuerza que hay que aplicar a uno de estos dos puntos C y Z) para impedir que se muevan en el sentido de la cuerda
- La presión que cada uno de estos puntos ejerce sobre el plano que los resiste.







Por lo tanto:
- La tensión de la cuerda CD será igual a la menor de las dos fuerzas CG y DK.
- La cuerda será arrastrada siguiendo su longitud y en el sentido de la mayor de las dos fuerzas CG y DK, de manera que para oponerse a este movimiento, será preciso aplicar a uno de los dos puntos C y D una fuerza igual a la diferencia entre estas dos fuerzas y opuesta a la mayor
- Las presiones ejercidas por los dos puntos C y D sobre el plano que los retiene serán iguales, la primera a la fuerza CI y la segunda a la fuerza DM.
- La cuña no girará, ya que las rectas CE y DE trazadas por los dos puntos de apoyo perpendicularmente a los lados de la cuña se encontrarán en un punto E de la dirección de la potencia
- Las fuerzas CG y DK serán iguales y cada una de ellas será la medida de la tensión de la cuerda CD.
- Trazando desde el punto F la perpendicular FN a la cabeza de la cuña (figura 9), los dos triángulos CGH y BNF serán semejantes y tendremos:
CH /CG = BF/FN
- Trazando desde el punto F la perpendicular FN a la cabeza de la cuña (figura 9), los dos triángulos CGH y BNF serán semejantes y tendremos:
Q /fuerza CG = CH/CG
Y por consiguienteQ /fuerza CG = BF/FN
Además:P /Q = AB/BF
Y multiplicando las dos proporciones se tendrá:P /fuerza CG = AB/FN'

§. El senador vitalicio Gaspard Monge
Desde la caída de Robespierre en julio de 1795, el Directorio que gobernaba Francia se enfrentaba a diversos problemas. Uno de los más graves era el permanente conflicto con el poder legislativo francés representado por el Consejo de los Quinientos y el Consejo de Ancianos. Otro gran problema era mantener una guerra sin cuartel contraías restantes potencias europeas, en Alemania, Austria e Italia. El ejército mandado por Bonaparte en Italia obtuvo resonantes victorias.

La expedición de Egipto bajo las órdenes de Bonaparte en 1790, representada por Leon Cogniet
El científico veía a Bonaparte como el hombre capaz de extender las conquistas revolucionarias más esenciales. Participó progresivamente en las negociaciones de paz y cuando se firmó el Tratado de Campo Formio, en octubre de 1797, Bonaparte le encargó, junto al general Berthier, trasladar el texto a París. Monge fue recibido por el Directorio con un gran ceremonial y, en este momento, se vio obligado a aceptar la dirección de la Escuela Politécnica.
Mientras tanto, Bonaparte preparaba la campaña de Egipto, que respondía al interés del Directorio por conseguir la hegemonía entre las potencias europeas. Se buscaba también resaltar el interés científico de esta expedición y de ahí que Bonaparte se esforzase en convencer a Monge para que formara parte de ella. A pesar de haber sido elegido miembro del Consejo de Ancianos y de ser director de la Escuela Politécnica, este aceptó participar en la expedición a Egipto en mayo de 1798 y se embarcó con la Armada del general Desaix para unirse a las tropas de Napoleón, con quien se encontró en Malta en el mes Junio junto con su amigo Berthollet, que también era miembro de esta expedición.
En agosto, Bonaparte decidió crear el Instituto de Egipto, a imagen y semejanza del Instituto Nacional de Ciencias y Artes de París, y confió su presidencia a Monge, que se encargó de completar la composición de diversas secciones: matemáticas, física, historia natural, economía política, literatura y artes. Además de llevar a cabo diversas tareas prácticas encargadas directamente por Bonaparte, el Instituto recogió valiosos datos sobre la sociedad egipcia. En febrero de 1799, Monge, que se había convertido en uno de los más estrechos hombres de confianza de Bonaparte, lo acompañó, junto con Berthier y Berthollet, en su viaje de regreso a París, donde llegaron después de diversos incidentes a mediados de octubre del mismo año.
El 9 de noviembre de 1799 (18 Brumario del Año VIII se produjo el golpe de estado propiciado por Bonaparte que acabó con el Directorio y con el poder legislativo del Consejo de los Quinientos y el Consejo de Ancianos, e instauró lo que se conoció como el Consulado, donde el poder político recaía inicialmente en tres cónsules. Este golpe de estado, que en principio pretendía acabar con la corrupción del anterior gobierno, finalmente conduciría a la proclamación de Napoleón Bonaparte como emperador de Francia el 2 de diciembre de 1804.
Durante todo este proceso, Monge figuró siempre entre los amigos más íntimos de Bonaparte. Y aunque mantuvo intactas sus convicciones republicanas, aceptó el 18 Brumario y, posteriormente, el establecimiento del Imperio. Poco después de su retomo de Egipto abandonó la dirección de la Escuela Politécnica, manteniendo el puesto de profesor, y en diciembre de 1799 fue nombrado miembro del recién creado Senado conservador.
Mientras Monge estaba en Egipto, Hachette, reuniendo sus lecciones dadas en la Escuela Normal, ya había publicado la Géométrie descriptive en 1799. Gracias también a Hachette, en 1801 se publicóFeuilles d'analyse appliquée á la géométrie, al'usage á l'École Polytechnique, que recogía las clases de geometría diferencial de Monge en la Escuela Politécnica.
Las obligaciones oficiales y administrativas cada vez dejaban menos tiempo libre a Monge para su trabajo de investigación. En 1803 acompañó a Bonaparte a un viaje de inspección en Bélgica y a la vuelta fue nombrado vicepresidente del Senado, recibiendo al mismo tiempo la senaduría de Lieja. En 1806 se convirtió en presidente del Senado y gracias a una donación monetaria del emperador se compró el castillo de Bierre, en Borgoña. Dos años después fue nombrado conde de Péluse y recibió como dotación varías propiedades en Westfalia. Finalmente, en 1809 abandonó la docencia en la Escuela Politécnica.
Después de varías derrotas del ejército francés frente a la coalición europea, Napoleón abdicó y fue desterrado por los británicos a la isla de Santa Elena, en julio de 1815. Monge tuvo que esconderse y no volvió a París hasta el mes de marzo de 1816. En sus últimos años de vida se vio sometido al ostracismo y excluido del Instituto Nacional de Ciencias y Artes de París. Cuando murió, el 28 de julio de 1818, no recibió ningún homenaje oficial, aunque muchos amigos, como Berthollet, Laplace y Chaptal, y numerosos ingenieros que habían sido sus alumnos asistieron a su entierro. En 1819, el matemático e ingeniero Charles Dupin, que había sido uno de sus discípulos más brillantes, se manifestaba en contra del injusto olvido al que el gran matemático había sido sometido desde 1815 por el nuevo gobierno francés.
No obstante, en las dos últimas centurias Monge ha vuelto a ser reconocido como gran matemático e impulsor de la enseñanza técnica superior. Efectivamente, la historia de la Escuela Politécnica ha sido inseparable de su biografía. Dos meses después de su muerte, el ingeniero Prieur de la Cóte-d'Or, cofundador de la Escuela Politécnica, recordó en el Moniteur que Monge había fundado la Escuela, honor que la restauración monárquica había intentado borrar.
La primera generación de biógrafos de Monge estuvo formada por discípulos de la Escuela Politécnica. El matemático e ingeniero Barnabé Brisson (1717-1828), sobrino suyo y editor de la Géométrie descriptive, publicó un primer esbozo biográfico en 1818. Su joven compañero Charles Dupin, miembro de la Academia, publicó al año siguienteEssai historique sur lesServices et les travaux scientifique de Gaspard Monge. Una vez rescatado Monge del ostracismo póstumo, François Arago, secretario de la Academia de Ciencias, leyó su elogio en mayo de 1846.
Un siglo después, correspondió al historiador René Taton la tarea de analizar la obra científica de Monge, en su obra L'oeuvre scientifiquede Monge (1951). Posteriormente, François Pairault (n. 1940) publicó Gaspard Monge. Le fondateur de Polytechnique. Más de ciento cincuenta años después de su fallecimiento, en 1989, con motivo del bicentenario de la Revolución francesa, el presidente de la República, François Mitterrand, restituyó todos los honores al gran matemático con el traslado simbólico de sus cenizas al Panteón de París, junto al marqués de Condorcet y el abad Grégoire.
- Boter, Carl B., Historia de la matemática, Madrid, Alianza Editorial, 2007.
- Carmo, M.P., Geometría diferencial de curvas y superficies, Madrid, Alianza Editorial, 1991.
- González Urbaneja, P.M., Los orígenes de la geometría analítica, La Orotava, Fundación Canaria Orotava, 2003.
- Hernández Hernández, A., Monge; Libertad, igualdad, fraternidad y geometría, Madrid, Nivola, 2002.
- Hormigón, M., Las matemáticas en el siglo XVIII, Madrid, Akal, 1994.
- Lanz, J.M. de y Betancourt, A. de, Ensayo sobre la composición de las máquinas, Madrid, Colegio de Ingenieros de Caminos, Canales y Puertos, 1990.
- Montiel, S. y Ros, A., Curvas y superficies, Granada, Proyecto Sur, 1998.
- Monge, G., Geometría descriptiva, Madrid, Colegio de Ingenieros de Caminos, Canales y Puertos, 1996.
- Pozo Municio, J.M., Geometría para la arquitectura: concepto y práctica, Pamplona, Servicio Publicaciones ETSA, 2002.
- Rey Pastor, J. y Babini, J., Historia de la matemática, Barcelona, Gedisa, 1985.
- Taibo Fernández, A., Geometría descriptiva y sus aplicaciones: curvas y superficies, Madrid, Tebar, 2010.

























