Laplace, el matemático de los cielos
Javier Bergasa Liberal
A la memoria de Salvador y de Pedro, que Supieron de este libro, pero que no podrán leerlo.
Y para Beatriz, Carmen y Pedro, que lo harán por ellos.
La ciencia ha protagonizado a lo largo de los siglos una gran evolución a fin de hacer de sí misma una herramienta potente y útil para conocer e investigar. Sin embargo, ha mantenido desde sus más remotos albores una intención que permanece invariable: explicar el universo que nos rodea. Laplace es, sin duda, un destacado exponente de la búsqueda e interpretación de datos como método de observar el mundo físico, y esto, en consecuencia, lo convierte en una de las más prestigiosas personalidades que ha dado la ciencia. Además, perteneció a una generación extraordinaria que desarrolló y modernizó las diferentes disciplinas de las que se ocupó, modeló su lenguaje y su terminología y, sobre todo, marcó con un sesgo muy vigoroso el método científico: experimentación, modelización y revisión, haciendo del razonamiento y del rigor los pilares de sus investigaciones y resultados.
Conviene recordar, además, que ésa fue la generación que dio un enorme impulso al trabajo en colaboración y a su difusión fuera de los reducidos círculos en los que se realizaban la mayoría de sus actividades cotidianas. El debate en diferentes foros y el intercambio de experiencias y conclusiones fueron habituales en una comunidad científica cuyos integrantes eran conscientes de que no se hallaban solos y de que debían estar al día acerca de las investigaciones de sus colegas, tanto próximos como lejanos, así como de la necesidad de que sus producciones fueran respaldadas por otros especialistas, independientemente de su procedencia o de las relaciones políticas entre los estados.
Si bien es cierto que Laplace, Lagrange, Legendre, Monge, Gay-Lussac, Fourier, por citar algunos nombres, son referencias imprescindibles en la evolución de las disciplinas científicas, el hecho de que trabajaran juntos y de que analizaran y debatieran al instante los progresos de cada uno de los otros, constituyó una de las palancas para el gran avance que protagonizaron, como también lo fue para la renovación y mejora de las instituciones docentes donde iban a formarse los hombres de ciencia de las siguientes generaciones, esto es, la universidad, l’École Nórmale y l’École Polytechnique.
Todo esto, junto con el devenir social y político de una sociedad marcada por la Revolución Francesa, es lo que he pretendido plasmar en este libro, sin descuidar, claro está, las abundantes aportaciones personales de Laplace a varios campos de las matemáticas, la física y la química. La obra de este científico se caracterizó especialmente por la búsqueda de modelos que explicaran la realidad física que nos rodea, siendo la necesidad de buscar solución a problemas reales lo que le indujo a investigar en matemáticas. Éstas constituían, a su modo de ver, un ámbito privilegiado para mostrar la utilidad de la ciencia y demostrar que la complejidad del mundo es reducible a fórmulas que explican lo que la experiencia nos muestra. De ahí que sus trabajos matemáticos estuvieran al servicio de una aplicación práctica inmediata, por ejemplo sus estudios sobre la estabilidad del sistema solar, el calor, la velocidad del sonido, el concepto de fuerza, o sobre la probabilidad como instrumento para discernir la certeza de las situaciones y experiencias, por citar sólo algunos temas. Ésta es también la causa de que no se preocupara, por ejemplo, de la teoría de números o del álgebra, especialidades que en ese momento no permitían resultados concretos y útiles.
El lector encontrará en las páginas de este libro un trabajo organizado cronológicamente y no según las diferentes especialidades que abordó Laplace; esto permite conocer la visión de conjunto que él tenía de la ciencia, ayuda a apreciar la monumentalidad de su aportación, tanto por la importancia de sus trabajos como por la variedad de los temas tratados y facilita una mejor penetración en su pensamiento científico y en su evolución. La distribución temporal, por otra parte, favorece no sólo el acercamiento al científico prestigioso, sino también a la persona que forjó con gran tesón su propia carrera, a las dificultades que superó para progresar en ella y a los medios, no siempre éticos, de los que se sirvió para alcanzar sus metas. Sin olvidar que la época que le tocó vivir se vio marcada por el proceso revolucionario y que él mismo tuvo un papel relevante en la sociedad que resultó de aquellos acontecimientos, por lo que ese hito señala un antes y un después en su vida y en su obra.
Afrontar la biografía científica de una personalidad como la de Laplace conlleva muchas horas de lectura y escritura en soledad, pero sería injusto por mi parte no reconocer las muestras de confianza y los apoyos recibidos que me han ayudado a no desmayar en la empresa. Por tal razón creo inevitable hacer aquí mención expresa de algunas personas como reconocimiento a esas aportaciones. Comenzaré por quienes revisaron el borrador y me mostraron errores e imprecisiones, como Ana Martínez, Fernando Jáuregui, Antonio Pérez y, en especial, Miguel Barreras, que abandonó por unos días su locus amoenus y se adentró en el texto como si fuera suyo. Igualmente, Francisco Martín y Pedro Miguel G. Urbaneja, que pusieron su tiempo y su saber a mi disposición. Y por supuesto Ana, cuyo tiempo es el mío, y lo ha cedido a manos llenas.
Quisiera tener un recuerdo para mis compañeros del seminario de historia de la ciencia de la Universidad de Zaragoza, donde inicié mis estudios y realicé las primeras investigaciones en estos temas, y a su director, Mariano Hormigón.
He dedicado este libro a Salvador y Pedro, dos seres queridos que no podrán tenerlo en sus manos, pero querría hacer extensiva la dedicatoria a otras personas en cuya curiosidad y espíritu crítico me he apoyado durante años y en los que reconozco a mi generación. Sin que nadie se sienta olvidado, quiero citar a Beatriz, Ana, Blas, Barigús, Joseí, Mariló, Fernando, Ma Victoria, Franchi, Sergio, Patxi, Antonio, Carlos, Emilio, Mar, Lupio, Elena, Josemari, Manolo, Pili, los Valles, Jesusmari, Carmen, Paco, Pilaja, Manolo, Pilar, Merche, Patxi, Ana Mar, Fernando y un largo etcétera cuya presencia, aliento y cariño tengo bien presentes.
Terminaré citando al editor, Jesús Fernández, que ha dado muestras de una enorme paciencia y que en ningún momento me ha urgido a terminar un trabajo que se ha alargado bastante más de lo previsto. Así que los errores y carencias no son achacables a la prisa, sino que caen exclusivamente bajo mi responsabilidad.
Confío en que el lector encuentre en estas páginas no sólo información sobre la vida y la obra de Laplace, sino también una reflexión sobre el pensamiento y la evolución de una comunidad científica y de una generación que rompió con muchos prejuicios y dio un paso definitivo hacia una sociedad más moderna y más justa.
Capítulo 1
El inicio de la carrera de un científico
Pierre-Simon de Laplace nació el 23 de marzo de 1749 en Beaumont-en-Auge, un pueblecito próximo a Pont-l’Évéque en la baja Normandía, muy cerca de la costa y a pocos kilómetros de la desembocadura del río Sena. Con mayor precisión, se afirma que vino al mundo en la propiedad familiar, llamada Mérisier, situada a poco más de dos kilómetros de Beaumont.
Su padre, Pierre Laplace, se dedicaba al negocio de la sidra y debía de tener una posición acomodada puesto que hacia 1750 era síndico de Beaumont, cargo equivalente al de alcalde. Su madre, Marie Anne Sochon, pertenecía a una familia de granjeros de Tourgéville. La familia se completaba con una niña, Marie Anne, cuatro años mayor que Pierre-Simon.
La escasez de datos conservados acerca de la infancia de Laplace provoca la existencia de fuertes contradicciones entre sus biógrafos. Efectivamente, durante mucho tiempo se creó y difundió una visión de su infancia, destinada seguramente a engrandecer al personaje hasta extremos legendarios, según la cual su familia habría vivido en una pobreza extrema y sólo gracias a la caridad de algunas personas allegadas, pudo aquel niño salir de su casa para realizar los primeros estudios. Frente a esta imagen, hoy se impone otra más acreditada y veraz por la que su familia pertenecería a la desahogada clase de hacendados rurales que, aunque sin abundancia, dispondría de los suficientes medios económicos y contactos para procurar a su hijo, el único varón, una educación adecuada que le permitiera desenvolverse cómodamente en el futuro.
Esta segunda percepción se aviene mejor con los datos reunidos sobre otros miembros de su familia, que hacen ver que en absoluto Laplace era un desarrapado que creció en un medio miserable. Hermanos de su padre y tíos suyos eran Louis Laplace, cura beneficiado de Criqueville conocido como abate Laplace, y Thomas-François Laplace, cirujano. Además el médico Robert Carrey estaba casado con Marie Laplace, tía de Pierre-Simon, y tenía entre sus parientes próximos al consejero real Nicolás Le Carpentier. De la misma manera, la única hermana de su madre casó con el comisionado real del granero y almacén de sal de Danestal. Todo apunta, pues, a que el medio en el que nació y creció el futuro científico era desahogado y a que su familia disponía de los recursos y de las relaciones sociales suficientes para procurar al niño una vida ajena incluso a las obligaciones propias de un sencillo granjero o pequeño comerciante.
Se asegura, por otra parte, que la precocidad mostrada por Laplace para aprender marcó desde su primera infancia un futuro destinado al estudio, que él recorrería cómodamente mostrándose como un escolar brillante y superando las sucesivas fases de formación que se ofrecían a los jóvenes de provincias en colegios e instituciones educativas diferentes.
Las primeras letras parece haberlas aprendido en el medio familiar y muy probablemente bajo la atenta mirada de su tío Louis, sacerdote al que se atribuye una buena formación y una especial inclinación hacia las matemáticas, que tal vez inculcó en su joven discípulo.
Por suerte para Laplace, en las proximidades de su casa se encontraba el convento de los benedictinos, auspiciado por el duque de Orleans, con un colegio donde estudiaban alumnos internos, que pagaban sus estudios, y alumnos externos, que no pagaban, y que disponía de seis plazas para becarios. Los alumnos, y de manera especial los externos, debían pertenecer a los dominios del duque, que como mecenas y mantenedor del convento así lo había impuesto en los estatutos.
En aquellas fechas contaba con poco más de cincuenta niños que se dividían en tres grupos de acuerdo a la finalidad de sus estudios: el ejército, la toga y la iglesia. Los primeros vestían uniforme militar, los segundos traje azul con adornos dorados y los últimos un hábito negro.
Se admite con generalidad que el niño Pierre-Simon ingresó en este colegio de Beaumont en octubre de 1756 como alumno externo a los siete años. Sí está más constatado el hecho de que se preparaba para un futuro eclesiástico, por lo que podemos imaginarle vistiendo la larga sotana negra desde los primeros cursos. En esta decisión familiar pudo influir el ejemplo del tío Louis, pensando seguramente que, sin una gran fortuna que le ayudara, esta elección podía ser un buen medio para desenvolverse en la vida y progresar después a través de otros estudios para los que tan bien dotado se había mostrado desde el primer momento.

Sello francés emitido en homenaje a Laplace.
Laplace permanecería en este colegio hasta el verano de 1765, y en él concluiría sus estudios, a los 16 años. No resulta difícil reconstruir una buena parte del día a día de los casi nueve años que pasó con los benedictinos, puesto que se conoce con precisión el rígido horario que regulaba la vida escolar. Las clases de la mañana empezaban a las ocho menos cuarto y concluían a las diez menos cuarto, momento en el que acudían a la capilla. Tras la misa pasaban a la sala de estudio hasta las once y media, hora de comer. Las clases se reiniciaban a las dos; a las cuatro era el recreo y la merienda. La jornada terminaba a las seis y media, tras una nueva sesión de estudio.

Añadamos a esto el recorrido que debía realizar desde casa al colegio que, aunque cercano, le llevaría no menos de media hora y lo mismo para el regreso. El domingo también debía asistir a la misa solemne, la revisión de aseo personal y el estudio.
La comunidad benedictina que regentaba el colegio estaba formada por doce frailes, pero había profesores ajenos a ella. Tal es el caso, según parece, del beneficiado Louis Laplace, quien muy probablemente siguió tutelando la educación de su sobrino hasta su muerte en 1759.
En 1765, entró en el afamado Colegio de Artes de la Universidad de Caen con la intención de seguir la carrera eclesiástica. Aquí estuvo dos años, en los que recibiría una sólida formación en lenguas clásicas, filosofía, literatura, música y, muy especialmente, teología. Cuando dejó la Universidad de Caen, en 1767, no parece que hubiera alcanzado el grado de maestro en artes (licenciatura en humanidades), pero tampoco se había ordenado sacerdote.

El escudo fundacional de la Universidad de Caen (Francia), fundada en 1432 por el rey de Inglaterra Enrique VI.
Sin embargo, es indudable que es aquí donde descubre las matemáticas y su capacidad para ellas. Se atribuye a dos profesores de la Universidad de Caen, Christophe Gabled y, en especial, Pierre Le Canu, el mérito de reconocer el talento de su joven alumno para las disciplinas científicas y encaminar sus pasos hacia ellas. Le Canu, que era médico, enseñaba filosofía, medicina y matemáticas, ciencia ésta por la que mostró una especial afición.
¿Fue el descubrimiento de las matemáticas lo que trastocó los planes de Pierre-Simon Laplace y la causa del abandono de sus estudios sin obtener un título que tan cerca tenía? Responder afirmativamente sería dar pie a una hermosa leyenda, pero, aunque no se disponen de datos tangibles, sin duda algo ocurrió para que dejase la Universidad y pasase a ser tutor particular en casa del marqués de Héricy. Este empleo lo abandonaría al poco tiempo para aceptar durante unos meses el de profesor en el mismo colegio de Beaumont del que había sido alumno.
También esos pasos erráticos como profesor se truncan en 1768, cuando deja los parajes de su infancia y con 19 años se encamina a París.
Esta decisión supone una ruptura con el pasado y el inicio de una aventura para la que cuenta, como único bagaje, con una carta de presentación que su profesor de Caen, Le Canu, le dio para presentarse a D’Alembert.
§. París, destino obligado
Jean Le Rond D’Alembert (1717-1783) era en 1768 uno de los científicos más prestigiosos de Francia y seguramente el más conocido allende sus fronteras. Además de detentar un gran poder en la Academia de Ciencias, de la que era secretario perpetuo, se le consideraba como una de las personas más influyentes en la corte de París, y su opinión era requerida y apreciada por príncipes y soberanos de muchas de las monarquías europeas.
Como era de esperar, la impresión que la carta de un casi desconocido Le Canu podía causar a tan encumbrado personaje fue más bien escasa, por lo que no sorprende saber que sus puertas no se abrieron inmediatamente al joven provinciano. Al igual que en casi todos los pasajes de la vida de Laplace, tampoco se conoce con certeza cómo fue su primer encuentro con D’Alembert y existen sobre él diferentes versiones. Según unos, un despechado Laplace, ante la negativa de recibirle, habría volcado en un opúsculo sus conocimientos sobre mecánica junto con algunas de sus propias formulaciones; otros afirman que el consagrado matemático, a través de un sirviente, le propuso un difícil problema con intención de disuadirle de sus expectativas, dándole un plazo de una semana para resolverlo, pero el joven genio encontró la solución en una noche. En cualquier caso la anécdota concluye con el reconocimiento del académico de encontrarse ante un muchacho con una buena formación en matemáticas y, sobre todo, excepcionalmente dotado para ellas. Cualidades que hicieron merecedor al aspirante de la siguiente nota:
“señor, ved que hago poco caso de las recomendaciones; usted no tenía necesidad de ellas. Os habéis dado a conocer mejor por vos mismo y esto me basta. Os debo mi apoyo”.
D’Alembert cumplió con esta promesa e inmediatamente encontró la manera de que su joven pupilo se ganara la vida consiguiéndole un puesto de profesor de matemáticas en la Real Escuela Militar y, además, le introdujo en el ambiente de la Academia de Ciencias. Es de suponer que a la par le marcaría todo un plan de estudios para ponerle al día en las investigaciones y problemas a los que se dedicaban los geómetras del momento, palabra ésta que hoy designa a un especialista de una rama muy concreta de las ciencias, pero que se utilizaba entonces para designar de manera genérica a los versados en matemáticas, astronomía, mecánica y ciencias afines.

Jean Le Rond D'Alembert
El intenso estudio de estos meses pasados en París dio sus frutos al poco tiempo y el 28 de marzo de 1770 presentó en la Academia su primera memoria, “Investigaciones sobre los máximos y los mínimos de las líneas curvas”, que fue valorada por Borda y Condorcet, mereciendo su aprobación y el honor de imprimirse en el Recueil des savants étrangers (Recopilación de eruditos externos), publicación en la que aparecían recopilados los trabajos que a juicio de la Academia tenían el suficiente mérito como para interesar a los especialistas. Ciertamente el largo comentario de Borda y Condorcet es muy laudatorio y muestra además que su joven autor, de apenas 21 años, estaba muy versado en los resultados conseguidos por Euler y Lagrange en este tema. Pero concluyen diciendo:
“Rogamos, sin embargo, al señor de Laplace que antes de la impresión señale lo que no es suyo y utilice las expresiones más conocidas y más cómodas del señor Euler y del señor de Lagrange”.
Esta recomendación alude a una de las más notables características de la obra de Laplace y resulta muy llamativo que sea patente desde su primer trabajo. Fue su costumbre, mala sin duda, no indicar los nombres de los autores de las fórmulas o teoremas que utilizaba, pudiendo por ello dar la impresión de que le pertenecían. Tales préstamos, en algunos casos, eran tomados tal y como su autor los había plasmado, pero en otros eran transformados por Laplace, quien tenía una enorme capacidad de relación y aplicaba los resultados a campos diferentes de los originales o los mejoraba mediante hábiles transformaciones. Por este motivo tuvo polémicas y enfrentamientos, nunca muy graves, siendo el más conocido y desconsiderado el habido con Legendre, cuyos polinomios utilizó sin nombrar a su autor, y que conoció merced a su privilegiada posición como académico, publicándolos incluso antes que su propio descubridor. Sin embargo, no cabe achacarle un desmedido afán de notoriedad o primacía, sino, más bien, el interés de utilizar todos los recursos disponibles en cada caso para avanzar en los problemas estudiados.
Laplace debió de darse cuenta enseguida que para llegar a ser un científico y poder vivir de ello debía entrar en la Academia y volcó toda su capacidad hacia la consecución de este objetivo, que, sin duda, estaba al alcance de sus méritos, como él mismo sabía. Para tal empresa contaba además con el respaldo de D’Alembert, pieza clave a la hora de hacer carrera científica en la Francia de ese momento, pues era él quien sancionaba la bondad de las producciones científicas, en especial de los más jóvenes, reconocía la importancia de esas aportaciones y disponía del poder y los contactos para recompensarlas.
Con esas miras no es de extrañar que en julio de ese mismo año presentara su segunda memoria, “Sobre algunos usos del cálculo integral aplicado a los diferentes fines”. De nuevo fue valorada muy positivamente, esta vez por Borda y Bossut:
“Nos parece que la memoria del señor Laplace anuncia más conocimientos matemáticos y más inteligencia de los que ordinariamente se encuentran a esta edad”.
En total, ese año de 1770 presentó cuatro memorias: las dos ya comentadas, otra sobre la variación de la eclíptica y la cuarta sobre los nodos de las órbitas planetarias. Esta variedad de temas, geometría, cálculo y astronomía, será asimismo otra característica permanente durante toda su carrera y es muy frecuente descubrir que simultaneaba temas, saltando de uno a otro en breves lapsos de tiempo y siempre en el más alto nivel científico.
Desde enero de 1771 y hasta mediados del mismo año, presenta cuatro memorias más, tres sobre cálculo integral y otra sobre la órbita lunar. Siempre con informes que alaban el trabajo y las dotes de su autor. Es precisamente en mayo de ese año cuando intenta por primera vez acceder a una plaza en la academia.
Los miembros de la Academia de Ciencias pertenecían a cuatro categorías. La más alta era la de los honorarios, que eran los grandes señores de la ciencia, entre los que el rey elegía a su presidente. Por debajo estaban los pensionados, quienes constituían el cuerpo de los verdaderos especialistas en activo de cada una de sus materias y que recibían de manera regular una pensión económica que les permitía una situación más que desahogada. Después estaban los asociados, que ya gozaban del reconocimiento de la institución y que constituían el grupo más productivo y, finalmente, los adjuntos, jóvenes que mostraban un futuro prometedor.
Laplace concurre el 15 de mayo de 1771 a una plaza de adjunto de geometría a la que se presentan, además de él, Mauduit y Vandermonde. La plaza fue para éste, prestigioso matemático y conocido profesor, catorce años mayor que Pierre-Simon, de manera que a nadie sorprendió esta elección. Las vacantes se adjudicaban mediante votación, pero era sobradamente conocido que haber sido meritorio de alguno de los consagrados y estar bien relacionado eran los avales que permitían progresar en esta docta institución. Laplace quedó segundo en la votación, lo que en parte era un éxito, pues el tercer candidato, además de mayor que él, también era un profesor reconocido. En mayo del siguiente año, 1772, salió una nueva plaza, también de geómetra adjunto, a la que se presentaron Laplace, Cousin, Antelmi y Mauduit. Esta vez fue para Cousin, profesor del afamado Colegio de Francia y diez años mayor que Laplace, quien quedó de nuevo segundo, pese a que entre una y otra vacante había presentado cuatro nuevas memorias, tres de cálculo integral y otra de astronomía.
No hay duda de que a sus 23 años Laplace ya era conocido en la Academia, reconocido por los matemáticos destacados, e incluso temido por quienes entraban en controversias científicas, ya que a sus grandes conocimientos unía un carácter bastante intolerante con quienes, a su juicio, se equivocaban. Así las cosas, el joven científico era demasiado valioso para retenerlo sin promocionarlo y, siendo difícil anticipar cuándo llegaría su nombramiento, D’Alembert decidió buscarle una plaza fuera de Francia. El 1 de enero de 1773 le escribió una carta a Lagrange, director de la sección de matemáticas en la Academia de Berlín, solicitando para su discípulo un puesto junto a él y una renta de unas 4000 libras francesas que le permitieran dedicarse exclusivamente al estudio y la investigación y abandonar la docencia que le ocupaba demasiado tiempo. Le pone en antecedentes de cómo recientemente ha sido postergado en su intento de acceder a la Academia frente a otro candidato de menores méritos y de que la dura realidad es que ese reconocimiento podría diferirse durante años.
La respuesta no se retrasa, pues está fechada el 19 del mismo mes, pero en ella Lagrange, que dice estaría encantado de contar con la colaboración de Laplace, se desentiende de dirigir una petición al rey en tal sentido y le asegura que la solicitud tendrá más fuerza si es el propio D’Alembert quien la hace llegar a Federico II el grande.
Tales noticias, claro está, desbaratan el proyecto y sólo queda seguir insistiendo y trabajando. Al concluir 1772 son doce las memorias presentadas, y la siguiente, que tarda algo más en llegar, aparece el 10 de marzo de 1773. El tema de esta última es de mucho mayor calado: “Investigación sobre la integración de las ecuaciones diferenciales en las diferencias finitas y sobre su aplicación al análisis del azar”. El informe de Borda, Le Roy y Dionis de Séjour resulta en extremo laudatorio y en él ya no se refieren a su autor como a una promesa, sino como una autoridad, en tanto que la dificultad del texto lo hace reservado para una exclusiva minoría. Al menos no dejan lugar a duda las siguientes palabras del examen:
“Muchas cosas ventajosas hemos dicho a lo largo de nuestro informe, y estamos persuadidos que el pequeño número de sabios que la leerán [la memoria] tendrán el mismo juicio y creemos que se unirán a nuestros elogios”.
El 30 de marzo se presentó a una plaza de asociado, es decir, intenta saltar dos peldaños de un golpe, y de nuevo quedó segundo. Al día siguiente, el 31 de marzo de 1773, se concedía una plaza de asociado de mecánica, que era disputada por Laplace, Marguent, Monge, Legendre y Mauduit. Esta vez la plaza es para él, y con 24 años se convierte en miembro de pleno derecho de la Academia. Obtiene además una pequeña pensión anual de 500 francos.
La alegría de D’Alembert debió ser enorme e inmediatamente comunicó a Lagrange la nueva situación y su gran confianza en que el aventajado discípulo podrá permanecer junto a él. Andando el tiempo será Lagrange quien llegue a París como académico, donde encontraría a un Laplace instalado y formado, que ya no era el alumno del que le hablara D’Alembert, sino un colega que competía con él en los avances matemáticos de la comunidad científica.
Durante los años siguientes continúa con el mismo ritmo de trabajo que le permite presentar una media de cuatro memorias anuales, pero durante los años 1776 y 1777 baja su producción. ¿Cuál es la razón de que en esos dos años sólo presente dos memorias y algún informe sobre los trabajos de otros colegas? Faltan datos o consecuencias concretas que lo expliquen, y podría argumentarse que se ha volcado en nuevos temas de estudio que absorben todo su tiempo o que le surgieron contratiempos familiares o, en fin, que le aquejara alguna enfermedad. Sin embargo, hay dos hechos muy reveladores: el primero es que se cierra la academia militar en la que era profesor, lo que quizás le haga replantearse su situación y su futuro; el segundo es que realizó precisamente en esta época su único trabajo relativo a la teoría de números. En efecto, el 28 de febrero de 1776 presentó “Una memoria sobre los números”. No hay más rastros de ella que algunos comentarios que Lagrange le dirige por carta respecto a los contenidos tratados, por ejemplo: “Vuestra demostración sobre el teorema de Fermat sobre los números primos de la forma 8n + 3 es ingeniosa”.
Se especula con la posibilidad de que en esos momentos estuviera planteándose ir a Berlín, posibilidad que encajaría muy bien con la pérdida de ingresos tras el cierre de la academia militar y con el hecho de que intentara impresionar a Lagrange con su estudio sobre números. Efectivamente esta especialidad tenía gran peso en la comunidad matemática y en las generaciones precedentes había sido muy frecuente que los más conspicuos geómetras consiguieran aportaciones interesantes sobre las propiedades de los números y en especial sobre los números primos.
Lo que sí ocurrió en 1776 es que Laplace cambió su plaza de adjunto en mecánica por otra en geometría, que era la especialidad más valorada y la que mejor permitía labrarse un futuro en la Academia. En los años siguientes regresó a su ritmo de trabajo que, si bien parecía normal en él, resultaba asombroso para sus colegas y lo hizo con una especial atención a la mecánica, presentando memorias sobre los esferoides en equilibrio y los fluidos que recubren los planetas.
Bien es cierto que Laplace, como matemático neófito que era en estos primeros años, se dedicó a estudiar y profundizar en los temas más candentes en ese momento y que con seguridad interesaban a su maestro D’Alembert, pero no deja de sorprender la variedad de éstos y la importancia de los resultados que consiguió. Tal asombro se incrementa al comprobar que esa dispersión no afecta a la calidad de sus producciones.
§. Primeros resultados
Aunque a medida que avancemos en la vida de Laplace, y sobre todo en su obra científica, aparecerán recurrentemente trabajos sobre probabilidad, mecánica, análisis y otras especialidades, veremos que, con el tiempo, los sucesivos resultados se irán afinando. En tales circunstancias es interesante, sin duda, presentar unas pinceladas de sus primeras conclusiones.
Probabilidad
El término probabilidad que es hoy muy amplio y se utiliza como equivalente de azar, se refería entonces estrictamente a la cuantificación. No había pues teoría de la probabilidad, sino del azar. Laplace, en su memoria “Sobre la probabilidad de las causas por los sucesos”, se plantea que las situaciones propias del azar son de dos tipos. El primero atiende a que si conocemos la composición de una urna en la que hay bolas blancas y negras y nos planteamos cuál será el resultado de la extracción, conocemos las causas y estaremos estudiando los resultados. Mientras que si desconocemos la relación entre el número de bolas blancas y negras de la urna y, tras realizar una extracción, nos preguntamos por su composición, lo que conocemos es el resultado pero no las causas; éste constituye el segundo tipo de situaciones. El autor va más allá y dice que cualquier circunstancia estudiada será de uno u otro tipo y que es más frecuente en las ciencias observacionales y experimentales conocer resultados y estudiar el porqué de ellos. De forma que, para Laplace, la probabilidad supone una ayuda en el desconocimiento que se tiene de una situación.
Uno de los primeros resultados que consigue es el teorema de Bayes, cuya obra casi seguro desconocía, y que Laplace enunció así:
Si un suceso puede ser producido por un número n de causas diferentes, las probabilidades de la existencia de esas causas, conocido el suceso, son cada una como las probabilidades del suceso, dadas las causas:)' la probabilidad de cada causa es igual a la probabilidad del suceso, dada la causa, dividido por la suma de todas las probabilidades del suceso, dada cada una de las causas.
Un ejemplo del tipo de estudio realizado lo tenemos en el siguiente problema: una urna contiene un número infinito de bolas blancas y negras en proporción desconocida, se realizan p + q extracciones y se obtienen p bolas blancas y q negras. La pregunta es: ¿cuál es la probabilidad de que la siguiente bola sea blanca?
Suponiendo que x sea la proporción buscada entre bolas blancas y negras, la solución le lleva a la siguiente fórmula:

Mediante generalizaciones de este problema va avanzando por el tema estudiado, presentando situaciones cada vez más complejas.
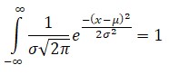
Sin embargo, encontramos otra propuesta más interesante: determinar el valor medio tras una serie de observaciones. No plantea este problema Laplace de forma abstracta, sino que lo sitúa en un contexto donde determinar ese valor es un tema clave, como la observación astronómica y, además, la forma de abordar la situación le permite avanzar por un camino poco transitado, el de la teoría del error. El planteamiento, evidentemente, no es tan sencillo que se reduzca al simple cálculo de la media aritmética de los valores numéricos registrados, sino que lo convierte en una situación de azar a través de las siguientes consideraciones: supongamos que se han realizado tres observaciones de un único fenómeno, como la posición de un estrella o de un planeta en un instante determinado, interpretemos que la posición real, objeto del problema, es la causa desconocida y los resultados de la observación son los sucesos ocurridos. En este planteamiento Laplace entiende que el valor medio buscado será precisamente el que minimice la probabilidad de error.
Para ello dispone los valores a, b y c correspondientes a los instantes de las observaciones en el tiempo, eje horizontal, y también V’, que es el instante para el valor medio buscado. Supone, por otra parte, que hay una curva como la dibujada que distribuye los resultados del fenómeno observado y que el valor real ocurre en V.

Por otro lado plantea que el error se distribuye de acuerdo a una determinada función y = Φ(x), donde x es la distancia desde el instante i considerado hasta V, instante cierto, mientras que y es precisamente la ordenada de esa distribución.

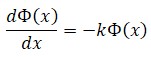
A partir de argumentaciones bastantes complejas, con una ingeniosa utilización del teorema de Bayes y tras razonables restricciones que le permiten simplificar el problema estudiado, llega a demostrar que la función Φ(x) satisface la sencilla ecuación diferencial:

Donde k es una constante. De ahí se sigue que la función buscada para la distribución de los errores es de la forma:
![]()
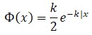
Considerando que la curva Φ(x) es simétrica respecto de la vertical por V y que el área encerrada por ella y el eje de abscisas es la unidad, puede escribirse de la siguiente forma:

El estudio del problema realizado es profundo e interesante, y le lleva, además, a una sencilla función de tipo exponencial para la distribución de los errores. No consigue llegar en este primer trabajo a la distribución normal, también de tipo exponencial, que Abraham De Moivre (1667-1754) ya había introducido a principios del siglo XVIII; tampoco obtiene una regla similar a la de los mínimos cuadrados que definiría Adrien Marie Legendre (1752-1833) en 1805.
Pero, a pesar de ello, supone un más que notable trabajo de juventud, que marcará la pauta de sus futuras investigaciones en este terreno y que reaparecerá con enorme vigencia en 1812, cuando se publique su obra definitiva sobre el tema, Théorie analytique des probabilités (Teoría analítica de las probabilidades), siendo ya un científico consagrado.

Abraham de Moivre
Volveremos a tratar de probabilidad más adelante y veremos con mayor detalle los logros alcanzados y las grandes aportaciones que realizó.
Mecánica celeste
Laplace tuvo a gala, y así lo hizo saber en cuantas ocasiones se le presentaron, haber demostrado que la ley de gravitación era el instrumento único necesario para explicar la forma de los planetas y de los satélites, sus órbitas, los movimientos de los fluidos que los recubren, con especial atención a las mareas terrestres, y asegurar que el sistema solar era estable.

Portada de una de las primeras ediciones de la Théorie analytique des probabilités.
En los primeros trabajos estaba todavía lejos de esos éxitos pero denotó ser un decidido newtoniano, mostrando su convencimiento sobre el determinismo que regía el universo en general y cualquiera de los fenómenos que en él pudieran darse. Quizás influido por D’Alembert, por sus profesores de Caen o de forma autodidacta, lo cierto es que poseía una sólida formación en mecánica y conocía en detalle la obra de Newton, de quien se le consideraría sucesor en su época de madurez.
Tener una buena formación y apostar por la gravitación no podía considerarse en aquel momento sinónimo de tener herramientas y modelos para abordar el estudio de los problemas de mecánica celeste que tanto preocupaban y que tan elusivos se habían mostrado al esfuerzo y al estudio de generaciones de astrónomos. Sí había éxitos parciales, como los de D’Alembert y Lagrange sobre las variaciones de la eclíptica y la aceleración del movimiento medio lunar, pero a la vez quedaban enormes zonas oscuras que parecían no poder someterse a las leyes de Newton.
Para empezar, el concepto de fuerza era totalmente difuso y aunque se habían conseguido expresiones matemáticas y determinaciones experimentales, había serias dudas sobre cómo considerarla y, sobre todo, enormes dificultades para explicar cómo se transmitía. Era habitual que su expresión, que hoy asociamos a la aceleración que produce, se ligara a la velocidad, de la forma:
F × t = m × v
Donde F es la fuerza, t el tiempo, m la masa y v la velocidad. La razón de esta expresión frente a F = m × a, es que el concepto de cantidad de movimiento como producto de masa, m, y velocidad, v, estaba muy asentado.
Por otro lado, la acción gravitatoria, la fuerza mejor conocida, respondía a situaciones en las que la distancia entre los objetos masivos era muy grande, al menos el radio terrestre, y en la que el orden de magnitud de las masas era también muy considerable, razón por la que fenómenos que obedecían a fuerzas de corto alcance que afectaban a pequeñas partículas, se suponían originados por otras causas no precisamente dinámicas, sino ligadas a ciertas propiedades de la materia. Además, se admitían como verdades indiscutibles que la gravedad se propagaba de forma instantánea y que afectaba de idéntica forma a los cuerpos independientemente de su estado de movimiento o de reposo.
Laplace no partió de admitir ese tipo de afirmaciones de forma axiomática sino que las sometió a un estudio minucioso y difícil por su complejidad. Aunque se planteó incluso la validez universal de la acción gravitatoria, finalmente centró su examen en las siguientes características:
- La acción ejercida por un cuerpo es resultado de las acciones de cada una de las partículas que lo componen.
- Su propagación instantánea.
- Su independencia del estado de movimiento o reposo de los cuerpos.
No analizaremos todos estos puntos, pero el segundo merece un comentario, pues se planteó seriamente la posibilidad de que esta fuerza no fuera instantánea sino que se transmitiera por el espacio dependiendo del tiempo. No era tampoco ésta una idea novedosa, ya que Daniel Bernoulli (1700-1782) en un trabajo sobre las mareas supuso que la atracción lunar podría tardar en alcanzar la Tierra más de un día. Esa lentitud de transmisión era inaceptable para Laplace, pero entre ambas concepciones cabía un término medio que investigar. La razón para hacerlo es que si se demostraba que la transmisión dependía del tiempo podría derivar de ahí la causa de las variaciones de los movimientos medios de la Luna, de Júpiter y de Saturno, así como conseguir un buen modelo para explicar las mareas.
Necesitaba para ello observaciones y utilizó las de los eclipses, tanto las más antiguas como las modernas, y las tablas de Tobías Mayer (1752-1830), astrónomo alemán que había determinado que el movimiento medio de la Luna se había incrementado en un grado en los últimos 2000 años. Con estos datos concluyó que la atracción se transmitía a una velocidad de más de 7,5 millones de veces la velocidad de la luz. Una revisión de los cálculos de Mayer le llevó a 6,5 millones de veces esa velocidad. El resultado, contra su hipótesis de partida, indicaba que la causa de esas irregularidades no podía achacarse al tiempo que la acción gravitatoria invertiría en interactuar entre planetas tan distantes. Pese a que debió rendirse a la evidencia de que la gravitación era instantánea, no se arredró por ello y consideró la posibilidad de que esos cambios se debiesen a que el sutil fluido que llenaba el espacio, según postulaba el abate Bossut, frenara el movimiento de la Tierra y que ello provocara las alteraciones del movimiento lunar.
Finalmente, no tuvo más remedio que reconocer lo desacertado de su intento y considerar como ciertas las tres características de la acción gravitatoria analizadas. Más adelante, con nuevos planteamientos y mediante las leyes de Newton conseguiría explicar las irregularidades comentadas y las mareas terrestres, mostrando además la estabilidad del sistema planetario frente a visiones catastrofistas derivadas de una mala interpretación de las observaciones.
Aunque lejos todavía de los brillantes resultados que expuso en su Traité de mécanique céleste (Tratado de mecánica celeste), fruto de años de trabajo, es innegable que el esfuerzo y el rigor de su investigación son patentes ya en estas primeras memorias.
Laplace escribió más de 120 memorias a lo largo de su vida y aunque los resultados que va consiguiendo son sometidos a continua revisión, como es obligado en la producción de un científico, todas sus aportaciones, incluso las de estos primeros trabajos, se reflejan en la redacción final de sus obras más determinantes. Todo ese bagaje conforma un enorme corpus sobre diferentes ramas de las matemáticas, de la física y de la química que es su legado y constituye una aportación importante al desarrollo de la ciencia moderna, tal y como hoy la conocemos.
§. El éxito
Los años que siguen a su entrada en la Academia se encuentran jalonados por una larga lista de memorias presentadas ante sus colegas, mientras que su crédito como científico crecía vertiginosamente. Ya no le protege sólo D’Alembert, sino que ha llegado el momento en el que otros ven en su enorme capacidad un sólido apoyo para progresar en sus trabajos. Tal es el caso de Condorcet (1743-1794), también discípulo de D’Alembert y con el que hizo estudios sobre población, y Lavoisier (1743-1794), con quien realizó experiencias sobre el calor.
A finales de la década de los 70, Laplace comenzó a ganar reputación más allá del pequeño círculo de matemáticos que podía entender su trabajo, y a finales de los 80 ya se le consideraba como una de las principales figuras de la Academia. Como resultado de su labor y de su prestigio consiguió el puesto de asociado en 1783, el mismo año de la muerte de D’Alembert, su mentor.
En 1784 es nombrado sucesor de Bézout en la plaza de examinador de los cadetes de la Real Academia de Artillería. Este puesto tenía más complicación de la que aparenta, pues se trataba de examinar a jóvenes que provenían de los más acreditados colegios de Francia y pertenecientes a las familias más notables del reino, debiendo emitir anualmente un informe individual sobre cada uno de ellos y seleccionar a aquellos alumnos que por su capacidad y disposición pasarían a la escuelas especializadas. Esta posición le permitió entablar contacto con ministros, políticos y militares de alta graduación, es decir con personas que le facilitaban el acceso a un nivel social muy por encima de su posición.
Igualmente fue elegido como miembro de las principales comisiones que la Academia constituía para intervenir en diferentes asuntos civiles, por ejemplo la comisión encargada de supervisar L’Hótel-Dieu, el mayor hospital de París.
Los trabajos de esta comisión iban dirigidos al estudio estadístico y probabilístico de los éxitos obtenidos en los tratamientos realizados en el hospital y especialmente a la comparación de la mortandad con otros hospitales de Francia.
Tras el fallecimiento de Le Roy, en 1785, fue promovido al rango de pensionado en la Academia. Así, a la edad de 36 años le llega el ansiado triunfo y con él, prácticamente, la culminación de su carrera.

El hospital Hótel-Dieu de París, situado a la derecha de la catedral de Notre-Dame, en un grabado de época.
Su situación económica le permite entonces pensar en formar una familia. Cosa que ocurre el 15 de mayo de 1788, cuando se casa en París, en la iglesia de La Madeleine de l’Évéque, con Marie-Charlotte de Courty de Romanges, perteneciente a una familia de Besançon y 20 años más joven que él. El matrimonio se establecerá en la orilla izquierda del Sena, en la calle Christine, y pronto nacerá una hija, Sophie-Suzanne, que se casaría con el marqués de Portes y que murió muy joven, durante el parto de su hija, en 1813. La familia se completó con el nacimiento de un niño en 1789, Charles-Émile, que siguió la carrera militar y llegó a obtener el grado de general.
Para entonces había presentado casi medio centenar de memorias a la Academia en temas tan variados como astronomía, mecánica, probabilidad, estadística, calorimetría, cálculo diferencial e integral y series recurrentes, por citar los más destacados, pero también había mostrado algunas de sus facetas menos loables, tales como las desagradables e impertinentes debates con algunos colegas a partir de disensiones científicas y muy especialmente el abuso de autoridad frente a Adrien-Marie Legendre (1752-1833). Este matemático obtuvo un importante resultado en el estudio de los elipsoides de revolución, pero Laplace, que conoció su trabajo al valorarlo para la Academia, se adelantó a él en su publicación y empleó, sin citar el origen, los llamados polinomios de Legendre para avanzar de forma determinante en la teoría del potencial.
Parece que incluso D’Alembert, ya anciano, comenzó a resentirse de la frecuencia con la que su, hasta hace bien poco, protegido relegaba sus propias aportaciones al desarrollo de la mecánica fundamental. Sobre esa actitud displicente existe el testimonio fidedigno de Anders Johann Lexell (1740-1781), astrónomo sueco que visitó París durante el invierno de 1780-81. Éste recoge en sus informes que Laplace se consideraba a sí mismo el mejor matemático de Francia y afirma también que, si bien era indiscutible su calidad científica en diferentes especialidades y que destacaba en las sesiones de la Academia, no lo era menos que presumía demasiado de ello.

Jacques-Pierre Brissot (1754-1793), destacado miembro de la facción girondina. Murió en la guillotina.
Con Jacques-Pierre Brissot, quien en el futuro se convertiría en uno de los principales dirigentes revolucionarios, mantuvo una fuerte polémica. El tema de tan encendida discusión fue el trabajo y los experimentos de óptica desarrollados por Marat, interesado en ese momento en conseguir el reconocimiento que le permitiera ser elegido como miembro de la Academia. Brissot sacó la disputa fuera del terreno científico y escribió un texto en forma dialogada parodiando la vida y el trabajo de los académicos a partir de los tópicos más manidos. Su título era De la verité (Sobre la verdad) y fue publicado en 1782. En él se presenta a Laplace como el arquetipo de newtoniano convencido que apoltronado en su sillón desprecia con gesto arrogante los intentos experimentales y prácticos de muchos de sus colegas, ignorándolos displicentemente desde la inexpugnable posición que le aseguraba permanecer en el plano estrictamente matemático. Es muy posible que esta confrontación dejara una huella lo suficientemente importante entre sus protagonistas como para que la persecución sufrida por Laplace durante la época del Terror estuviera basada en este episodio.
Estos primeros años de la década de los 80 corresponden a una de sus épocas más productivas y de mayor dispersión de sus intereses, pues no es infrecuente que de forma simultánea trabaje en temas tan diferentes como puedan serlo los relativos a la atracción y forma de la Tierra, a la aplicación de la probabilidad a la demografía o al estudio del calor en colaboración con Lavoisier.
§. Nuevos avances en probabilidad
Su Memoria sobre las probabilidades, publicada en 1781, pero escrita un año antes, constituye una obra acabada, en tanto que logra resultados concretos más allá de los conseguidos en sus primeras memorias sobre este mismo tema y que en síntesis pueden resumirse con las mismas palabras que le dirige a Lagrange en su carta de 11 de agosto de 1780: El método de retroceder de los resultados hasta las causas. En el preámbulo hace un estudio pormenorizado del estado de la cuestión acerca de lo que se conocía sobre la llamada probabilidad inversa, y subraya la gran importancia que tiene su estudio para analizar muchos acontecimientos de la vida, en especial para la estadística y la demografía, cuyo estudio se inicia en el siglo XVIII como respuesta a la necesidad que tenían los gobiernos de conocer las características de la población: nacimientos, matrimonios, decesos y otros.
Nos extenderemos en este apartado para presentar las premisas sobre las que trabajó Laplace y conocer así las soluciones que fue aportando para conseguir éxitos en una materia que todavía estaba en sus albores.
Para empezar, introduce una serie de nuevas consideraciones y distinciones en lo que de manera genérica se llama azar. Su intención es resituar los supuestos teóricos para adentrarse en el complicado terreno de qué es el azar, qué podemos conocer de él y qué cuantificamos en las situaciones aleatorias.
Tradicionalmente se considera la existencia de tres métodos para reconocer las distintas posibilidades de ocurrencia de resultados en una experiencia simple y cuantificarlas:
- A priori: asumiendo que los resultados son igualmente posibles, y por lo tanto equiprobables, o no.
- A posteriori: realizando repetidas veces la experiencia y adjudicando probabilidades de modo estadístico.
- Por suposición.
Los dos primeros son bien conocidos y no necesitan comentarios, sin embargo el tercero puede parecer confuso. En situaciones como las que se producen en un juego de azar en el que intervienen dos jugadores -éste es un tipo de situación o problema muy habitual en los primeros trabajos sobre el azar-, si no disponemos de argumentos más concretos, supondremos que ambos son igualmente diestros en el juego, por lo que adjudicaremos a ambos la misma probabilidad de ganar. En tal caso no estamos utilizando el primer método de cuantificación ni tampoco el segundo, sino una solución tan difusa como la que se apunta en el tercero.
De esta manera, Laplace distingue que el primer método nos da la posibilidad absoluta de un acontecimiento, el segundo la posibilidad aproximada y el tercero, en tanto que depende de la información disponible, la que denominó posibilidad relativa.
Siguiendo el camino por el que nos guía en su fino análisis de las situaciones, Laplace realiza las siguientes consideraciones: en la repetida realización de una experiencia aleatoria intervienen factores que cambian cada vez, por ejemplo la fuerza con la que el jugador lanza los dados, mientras que otros son constantes, como el peso de los dados. El conjunto de ambos constituyen la posibilidad absoluta. Es nuestro mayor o menor conocimiento de los factores constantes lo que nos acerca a la posibilidad relativa.
Laplace distingue dos niveles para la determinación de las probabilidades: lo que conocemos, a lo que llama posibilidad relativa del conjunto de todos los factores intervinientes, y posibilidad absoluta, lo que ignoramos de las leyes que siempre aparecerán en la ocurrencia de un hecho aleatorio. Asimila así lo que conocemos a lo cuantificable y determinado, mientras que lo ignorado es precisamente la parte indeterminada y por lo tanto lo que hace que la situación pertenezca al campo del azar. En definitiva que si reducimos o anulamos la parte desconocida, reducimos o anulamos lo aleatorio de una situación.
Por supuesto, Laplace no se limita a exponer estas disquisiciones sobre su interpretación del azar, sino que adjunta situaciones en las que muestra la importancia que tienen esos factores desconocidos a la hora de cuantificar los resultados, tal es el caso de las pequeñas asimetrías en dados y monedas, la pericia del jugador o la influencia de ciertos hábitos.
También en lo relativo a la probabilidad inversa o estimación de causas a través de los resultados, Laplace abre nuevas perspectivas. Es más, se sitúa en esta memoria el origen de la estadística social como tema de trabajo para las matemáticas. Comienza por exponer por qué no puede utilizar el llamado teorema de Bayes -Laplace desconocía los trabajos de éste, como ya se ha dicho, aunque sí los resultados correspondientes a dicho teorema, para las situaciones derivadas del mundo real. Aporta al respecto dos consideraciones: la primera de orden práctico, en la que se hace eco del problema que supone el hecho de que en este campo no se conocían las probabilidades a priori, en tanto que no se conocen las características de la población objeto de estudio. La segunda es de tipo analítico y atañe a las limitaciones matemáticas en las que se mueve, puesto que las soluciones numéricas obtenidas deberían provenir de la integración de ecuaciones diferenciales con términos afectados de exponentes muy elevados y no se disponía en ese momento de los métodos adecuados para resolverlas.
Estos trabajos necesitaban además de una información estadística previa y precisa de forma que los resultados obtenidos sobre el crecimiento de la población, esperanza de vida y otros fuesen previsiones ciertas y sirviesen a la administración para prever necesidades y tomar decisiones sobre la población futura.
Aunque las parroquias francesas llevaban desde antiguo el registro de nacimientos, bodas y muertes, no fue hasta 1771 cuando el controlador general de finanzas, el abate Terray, instruyó a los intendentes de las provincias para que reunieran esos datos y remitieran anualmente los resultados a París. Sería con el nombramiento de Turgot para ese puesto de controlador de finanzas, en agosto de 1774, cuando la Academia empieza a intervenir en estos estudios, debido a las relaciones que ese personaje mantenía con los científicos de la época. Como resultado de esa colaboración se publicó un sumario que recogía los datos de la ciudad de París y su zona de influencia para el periodo 1709-1770. De ahí se obtuvo que en los últimos 25 años de ese periodo habían nacido 251.527 niños y 241.945 niñas, cuyo cociente es 1,039604042241 y puede escribirse como la proporción 105 a 101 con un error inferior a una diezmillonésima. Lo cual hace que el 50,9708 % de los nacidos en París fueran niños, mientras que el 49,0292 % fueran niñas.
En Londres, donde también se habían interesado por el tema demográfico desde comienzos de siglo, disponían de estudios similares que arrojaban una proporción para el nacimiento de varones significativamente mayor, de 19 a 18, es decir, que en términos porcentuales equivale a un 51,3513 % de niños y un 48,6486 % de niñas.
Tal situación permitía suponer una hipotética urna de bolas negras y blancas que sirviera de modelo a la situación real analizada y permitiera desarrollar sus estudios para poder predecir el resultado de una experiencia futura conocidos los resultados de las pasadas experiencias.
Pudo escribir como p/(p + q) la probabilidad de que naciera un niño, siendo p el número de niños nacidos y q el de niñas. Si llamamos V a la ocurrencia del nacimiento de un niño varón, resulta

Es decir, la expresión p/(p + q) podía asimilarse a una urna de composición conocida en un cierto momento y un valor concreto de θ permitirá conocer la composición de la urna en otro instante.
Laplace pudo escribir que si x es la probabilidad para el nacimiento de un niño y 1 - x para el de una niña, la probabilidad de que x esté entre determinados límites corresponde al problema de evaluar entre esos límites el valor de la integral

donde p y q son números grandes.
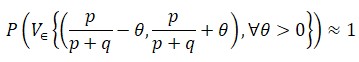
Mediante sucesivas transformaciones de esta integral, y a través del análisis de la convergencia de las series que aparecen en su solución, obtuvo como razonable suponer que el número de varones nacidos en París superaría al de niñas en cualquiera de los siguientes 179 años, mientras que en Londres la afirmación valdría para los 8605 años siguientes, a pesar de que las diferencias entre los datos iniciales de París y Londres no eran demasiado grandes.
Laplace había conseguido soluciones numéricas para un problema analítico en el que las expresiones que intervenían hacían imposible la simple sustitución de los números obtenidos en las fórmulas, debido a los exponentes tan elevados que aparecían en ellas. De esta forma no sólo dio un paso enorme en el terreno de la inferencia estadística, sino que obtuvo los primeros resultados en los estudios de población.
Quedó patente que la estadística sólo podía progresar con el desarrollo de nuevos estudios y técnicas en el campo de la convergencia de series y de la integración de funciones. No es por ello de extrañar que en el mismo momento en el que obtenía tan buenos resultados en este campo trabajara en problemas puramente analíticos y que, en consecuencia, ese mismo año aparecieran dos memorias sobre esta materia, tituladas “Memoria sobre las series” y “Memoria sobre las aproximaciones de las fórmulas que son función de números muy grandes”. Dispersión de temas que como hemos visto era la tónica general en su trabajo.
§. Determinación de las órbitas de los cometas
Incluso en su actividad más estrictamente científica, Laplace dio muestras de su difícil carácter y del trato áspero y descortés, por no decir intolerable, que daba a quienes eran objeto de sus críticas. En tal sentido, señalaremos la discusión mantenida con Rudjer Boscovic (1711-1787). Este astrónomo, aunque natural de Dubrovnik había trabajado fundamentalmente en Italia (Roma, Rímini y Milán), donde había fundado un prestigioso observatorio. Además pertenecía a la Compañía de Jesús y gozaba de bastante notoriedad en la época. En 1771 residía en París y presentó en la Academia de Ciencias un trabajo para la determinación de las órbitas de los cometas, que completaba y mejoraba el método que ya había adelantado en 1746. Su título era “De orbitis cometarum determinandis” y se imprimió en 1774 en la publicación que la Academia destinaba a las colaboraciones de los científicos externos, la Recopilación de eruditos externos, junto a dos de los primeros trabajos de Laplace.
El inicio de la estadística: los estudios sobre poblaciónEn 1786 Laplace abordó el tema de la población como un problema con entidad propia y no como simple fuente de problemas para progresar en los estudios de probabilidad. Para ello utilizo los datos estadísticos de París recogidos entre 1771 y 1784 y los publico junto con un estudio que recogía una estimación de la población de toda Francia para los siguientes dos años, toda vez que el censo total de la población no empezaría a elaborarse hasta 1801, en la época napoleónica. Este trabajo aprecio en 1786 y se refería a un tipo de problema inabordable mediante métodos numéricos directos, pero sí recurriendo a la predicción del error probable, sobre el que ya había trabajado, y analizando la cantidad de observaciones precisas para acotar el error entre límites prefijados.
Los estudios demográficos del momento se habían planteado como meta obtener un factor que permitiera relacionar el número de nacimientos con la población total. Dato sin duda de interés porque prácticamente todos los natalicios quedaban registrados en los libros de las parroquias y resultaba sencillo recogerlos y computarlos. Laplace obtuvo 26 como valor de ese factor y estimó una población de 25.299.417 habitantes. La muestra utilizada para esos resultados eran de unas 800.000 personas, sin embargo, dada la importancia que confería a estos resultados y con la intención de no introducir graves errores, recomendó que la muestra fuera de aproximadamente un millón de personas. En efecto, los datos demográficos podían ser considerados como un índice de la prosperidad nacional, ya que sus variaciones permitirían medir el nivel de bienestar y servir de orientación a los poderes políticos acerca de las características de la población y de las necesidades de ésta. El mismo sentir parece que animaba a la Academia, pues en sus memorias recogía los datos anuales correspondientes a nacimientos, bodas y bautizos en su Ensayo para conocer la población del reino, y así lo haría desde 1783 hasta 1788. La causa de la interrupción no es otra que los sucesos derivados de la Revolución, que haría desaparecer la propia institución. Habitualmente se ha atribuido a una comisión formada por Condorcet, Laplace y Dionis du Séjour la realización de estos trabajos, sin embargo, hoy sabemos que ellos actuaban como meros representantes de la Academia, mientras que la iniciativa y realización del trabajo corría a cargo de La Michodière, magistrado que ocupó el puesto de intendente en diferentes regiones del reino y que ya lo venía realizando desde treinta años antes.
En general, Boscovic seguía el método que diera Newton en su De systemae mundi, que se apoya en asimilar pequeñas secciones de la órbita del cometa a una segmento rectilíneo, pero en el desarrollo de su método deja de lado los elementos diferenciales de segundo orden al considerar la trayectoria como una línea recta y sin embargo los utiliza para obtener las posiciones del cometa en ese segmento a partir de la latitud y longitud geocéntricas.
Este error no le pasó por alto a Laplace, quien parece ser que leía en alta voz el escrito de Boscovic, mientras gritaba a cada paso: “¡falso! ¡ilusorio! ¡erróneo!”. Boskovic consideró que ese comportamiento no sólo era un insulto a su persona, sino que tales adjetivos constituían una vejación para la obra de Newton. Solicitó por ello que se creara una comisión que dirimiera el asunto y reivindicara la bondad de su método. Efectivamente, se creó esa comisión, que estuvo formada por Vandermonde, d’Arcy, Bézout, Bossut y Dionis de Séjour. El dictamen emitido fue favorable a Laplace en lo relativo a los contenidos analíticos que se estaban valorando, pero también lamentaba la manera tan ruda con la que se había dirigido a Boscovic. Y con intención conciliadora aconsejaba a los contendientes resolver sus diferencias de forma pública y no mediante una pelea en la Academia. Esto ocurría el 5 de junio de 1776, según consta en el registro de comparecencias verbales. El 19 del mismo mes, Laplace vuelve sobre el tema, al que dedica una completa colección de comentarios y observaciones, que ahora alcanzan también a Lalande. Fue necesaria una nueva comisión que interviniera en el asunto y apaciguara los ánimos. Se desconoce el final de esta anécdota, pues no se ha conservado el informe de esta comisión. Sin embargo, Laplace no la olvidaría, pues en su tratado de 1784 sobre el mismo tema, titulado “Memoria sobre la determinación de las órbitas de los cometas”, vuelve a recordar el método que defendiera Boscovic en su día y señala que era tan malo que era capaz de invertir el propio movimiento del cometa, haciendo directo lo que en realidad era retrógrado.
Tras esta época de trabajo y estimulado por las recientes aportaciones de Lagrange y Dionis de Séjour, Laplace presenta de forma resumida su propio método para la determinación de órbitas de cometas. Toda vez que resultaba analíticamente imposible operar con tres observaciones muy separadas, el sistema estándar de resolución pasaba por manejar tres pero bastante próximas entre ellas, restricción que conlleva que pequeños errores de observación afecten considerablemente a los resultados obtenidos. Para aminorar los errores, la solución utilizada no pasaba por aumentar el número de observaciones, sino por ampliar el número de términos en las series que expresaban el resultado, de forma que, aunque los cálculos resultaban muy laboriosos, se aseguraba un mayor grado de certeza en los valores obtenidos.
En la búsqueda de un mejor y, sobre todo, más sencillo método, pensó que se podrían incrementar el número de observaciones y utilizar los métodos de interpolación para determinar los datos necesarios. Igualmente, decidió introducir como parámetros la longitud y latitud geocéntricas del cometa y sus derivadas de primer y segundo orden respecto al tiempo. Estas eran las premisas que permitían llegar a una solución, es decir, determinar los parámetros orbitales del cometa, de la forma más sencilla y con observaciones que podían distar en torno a 30°, lo que garantizaba reducir el error en los datos observacionales utilizados.
A pesar de que se conseguía una importante mejora, el trabajo analítico era considerable, pues la solución pasaba por resolver ecuaciones de séptimo y sexto grado, de ahí que resultaba más ventajoso ensayar las soluciones que atacar la solución de las ecuaciones.
La certeza de Laplace acerca de la bondad de este método se vio reforzada cuando comprobó que, en el caso de órbitas cometarias próximas al plano eclíptico, el planteamiento analítico encontrado coincidía con el desarrollo que de forma sintética formulara y demostrara Newton en la proposición XLI del Libro III de su Principia mathematica.
La vigencia de su método fue bastante reducida, pues en la década de los 90 sería sustituido por el que ideara Olbers y poco después por el de Gauss de 1801.
Sin embargo, sería probado con éxito repetidas veces por astrónomos próximos a Laplace, como el abate Pingré, quien lo utilizó en su Cometographie de 1783, y Méchain, que lo aplicó al estudio del segundo cometa observado en 1781.
Casualmente, el interés de Laplace por este tema coincide con el descubrimiento de Urano, cuyas primeras observaciones realizó Herschel en Bath (Inglaterra) el 13 de marzo de 1781. Este planeta fue considerado inicialmente como un cometa. Laplace lo observó apenas una semana más tarde y el 13 de junio presentó un informe en la Academia en el que reconocía haber fracasado al aplicar su método de determinación de órbitas de los cometas a este cuerpo, pero que tampoco había conseguido resultados positivos cuando utilizó el método de Lagrange o cualquiera de los otros que se venían usando en aquella época.
LagrangeJoseph-Louis Lagrange nació en Turín (Italia) el 25 de enero de 1736. Era el más pequeño de los 11 hijos del matrimonio formado por Giuseppe Francesco Ludovico Lagrangia y Teresa Grosso.
Su trayectoria en el ámbito de las matemáticas se divide en tres periodos muy diferentes. El primero tiene como escenario su ciudad natal, donde ejerció de profesor en la Escuela Real de Artillería. En 1757 fundó conotros jóvenes científicos italianos una sociedad que será el embrión de la Real Academia de Turín. Fue en la revista de esta sociedad donde empezó a publicar sus primeros trabajos, que recibieron la aprobación de Euler.
En el segundo periodo, entre 1766 y 1787, quizás el más fructífero científicamente, Lagrange trabajo en la Academia de Berlín, donde dirigió la sección matemática.
El tercer periodo se inició cuando Lagrange tenía ya 51 años. Tres años antes había perdido a su esposa y el año anterior había muerto Federico II el grande, su mayor apoyo en Berlín. Corría el año de 1787 cuando recibió la oferta de un puesto de pensionado veterano, el más elevado posible, en la Academia de Ciencias de París, se traslada allí, donde vivirá todavía más de veinticinco años, participando activamente en la revolución científica de la época, dirigiendo el proceso de establecimiento del nuevo sistema métrico e impartiendo clase en la Escuela Politécnica.
Sus aportaciones fueron fundamentales y tocan temas tan dispares como la mecánica celeste, el análisis (las ecuaciones diferenciales o las integrales elípticas), el álgebra y la aritmética.
Dentro del enorme trabajo desarrollado por Lagrange, la mecánica celeste ocupa un lugar importante. Por eso, el 15 de septiembre de 1782, Lagrange comenta a Laplace: “He acabado prácticamente un Tratado de mecánica analítica... pero como no sé todavía cuándo o dónde voy o poder publicarlo, no tengo mucha prisa en darle los últimos retoques”[1].
Sin embargo, probó a mejorar el suyo propio con ciertas modificaciones en las ecuaciones utilizadas; esta vez creyó haber acertado y se dispuso a presentar sus resultados en la Academia. No obstante decidió aguardar a que el supuesto cometa reapareciera, pues estaba oculto tras el disco solar, para verificar sus resultados y así lo hizo el 28 de julio de 1782, refiriéndose todavía a él como un cometa. Habría que esperar hasta el 22 de enero de 1783 para que finalmente presentara sus resultados sobre el que llama planeta de Herschel, ya no cometa, que había calculado con la colaboración de Méchain. Sus datos confirmaban que este planeta era la misma estrella que en 1756 registrara Mayer y que inexplicable y misteriosamente había desaparecido.
§. Una colaboración fructífera: Lavoisier y Laplace
El interés hacia temas experimentales por parte de Laplace se remonta a la temprana fecha de 1777. En abril de este año, durante la sesión pública que con motivo de la Pascua se realizaba en la Academia, leyó un trabajo del que tan apenas se conoce el título: “Naturaleza del fluido que permanece en el recipiente de la máquina neumática”.
No nos ha llegado su contenido, pero es indudable que ese tema concreto corresponde al análisis de las experiencias realizadas sobre la evaporación del agua. Está comprobado que en esa época Laplace colaboró con Lavoisier en el estudio de los efectos que las variaciones de temperatura y presión producían en el proceso de vaporización. El hecho de que Lavoisier abordase estos temas en este preciso momento, se confirma claramente al considerar que en noviembre de ese mismo año, 1777, presenta su crítica a la teoría del flogisto junto con la alternativa que el mismo defendía: la hipótesis sobre la combustión y calcificación. Las experiencias necesarias para respaldar la nueva teoría concuerdan con las que se suponen tras el título del mencionado estudio de Laplace. La importancia que debió tener para Lavoisier contar con la colaboración de un colega matemático parece tan evidente como notable, pues en el prefacio de una obra inconclusa de Lavoisier, en la que trabajaba hacia 1778, escribió que era su intención utilizar en la mayor medida posible “el método de los geómetras”, como él lo llama, en clara alusión a los recursos matemáticos que Laplace puso al servicio de sus investigaciones y que preveía de una enorme potencia para el futuro desarrollo de la química.
Este primer contacto con el terreno experimental parece haber tenido para Laplace un doble interés, pues de un lado le ofreció la posibilidad de ir más allá de la postura esencialmente especulativa, que hasta el momento había mantenido, y que puede considerarse inherente a su trayectoria como investigador y a su formación matemática, adoptando así un papel más complejo y comprometido con el desarrollo de las ciencias. Pero, además, esta relación con Lavoisier permitió a Laplace entablar un tipo de contactos y relaciones que le permitían subir peldaños en la escala social, puesto que aquél no sólo contaba con un gran prestigio como científico, incluso entre sus colegas académicos, sino que recientemente había sido nombrado administrador del Arsenal y gobernador de las pólvoras y salitres, lo que unido a la reputación de su suegro, director de la Compañía de Indias y destacado asentista, le situaban en una aventajada posición en los círculos políticos, administrativos y financieros.
Con seguridad que tras esa primera colaboración existieron otras, propiciadas por las diferentes comisiones que la Academia organizaba para atender distintos tipos de demandas, aunque en tales situaciones no darían lugar a una relación tan estrecha como la descrita. Sin embargo, en el verano de 1781 surge una nueva ocasión que reúne a los dos científicos, se trata de estudiar un modelo de barómetro propuesto por un monje benedictino de Metz, llamado Casbois. Durante ese invierno, se dedicarán a analizar los cambios de dilatación que por efecto del calor se producen en el vidrio, el mercurio y en algunos metales. Es la primera ocasión en la que Laplace interviene en el tema de la capilaridad.
La llegada de Volta a París en 1782 mueve el interés de ambos hacia la electricidad. Volta llevaba consigo un electroscopio para detectar cargas débiles. Lavoisier diseñó un condensador que Laplace y Volta probaron con muy poco éxito. El interés que la electricidad suscitó en ellos es fácilmente comprensible si se tiene en cuenta que se consideraba a ésta como un fluido que, al igual que el calor, mostraba las distintas propiedades de los cuerpos a los que afectaba, es decir que una y otro mostraban características específicas de los metales o de las sustancias que eran sometidas a su acción.
Sin embargo, pronto volverán a su trabajo sobre el calor, pues en 1783 Lavoisier publica su conocida Mémoire sur la chaleur (Memoria sobre el calor).
LavoisierAntoine-Laurent Lavoisier nació en París el 27 de agosto de 1743. Alumno brillante del Colegio Mazarino mostró muy pronto una gran afición por las ciencias naturales. Sus primeros trabajos científicos trataron del análisis del yeso de los alrededores de París. Ingreso en la Academia de Ciencias en 1768 como químico adjunto, cuando contaba 25 años. Pronto sería nombrado asentista, cargo relacionado con la recaudación de impuestos, y en poco tiempo alcanzaría puestos de mayor responsabilidad. Desde 1775 instalo su laboratorio en el Arsenal, que durante 17 años funciono como el principal centro de las ciencias experimentales de Francia y al que acudieron prestigiosos científicos extranjeros como Priestley, Watt, Blagden, Fontana y Franklin.
Uno de los grandes hitos de Lavoisier consistió en superar la teoría de Georg Ernst Stahl (1660-1734), que suponía que los cuerpos combustibles contienen un principio, llamado flogisto, junto con diferentes proporciones de tierra. El flogisto, por acción de una elevada temperatura, podía transformarse en materia ígnea que se disipa en forma de llama, calor y luz. Esta hipótesis permitía explicar gran cantidad de situaciones muy habituales en la experimentación. Él mostró la falsedad de esa hipótesis al comprobar que en la combustión del azufre y el fósforo, los elementos del aire son fijados en la formación de los ácidos resultantes. Esto, unido al descubrimiento del oxígeno por parte de Priestley le permitió distinguir que el aire era una composición de gases, sus estudios sobre la oxidación de los metales y sobre la combustión culminaron con los relativos a la respiración animal.
Sus últimas investigaciones estuvieron dedicadas fundamentalmente al calor y en ellas contó con la ayuda de Laplace. Esta colaboración ayudó a introducir en las experiencias de laboratorio métodos matemáticos y avanzar en resultados cuantitativos, cuya obtención solía resultar muy complicada.
Rico por sus negocios y famoso por sus trabajos en química, durante años lidero el avance científico de Francia. Detenido, junto con los demás asentistas, el 24 de noviembre de 1793 por el gobierno que encabezaba Robespierre, fue guillotinado el 8 de mayo de 1794. Su muerte causo honda impresión entre los académicos. Lagrange diría al enterarse de su ejecución: “Ha bastado un momento para hacer caer esta cabeza, y tal vez no bastarán cien años para procurarnos otra semejante”[2].
La influencia de Laplace en estos estudios es notable y se aprecia de forma especial en algunas conclusiones y en las fórmulas que las expresan, tal es el caso, por ejemplo, de la relación entre los calores específicos de dos sustancias puestas en contacto. Pero también se reconoce su huella en el diseño de algunas experiencias, como en las que se refieren a uso del calorímetro y sobre todo a la forma de medir el calor.
Para tener una idea de la situación de las ciencias experimentales y de sus métodos de trabajo en ese momento, comenzaremos por describir algunos conceptos, experiencias y fórmulas que sirvieron a Lavoisier y Laplace en ese estudio sobre el calor y que supusieron un notable hito, tanto en el progreso de esta especialidad como, de forma general, en el avance de la química.
La teoría de la materia vigente entonces admitía que la electricidad y el calor eran fluidos presentes en los cuerpos y que parte de tales fluidos era fija, es decir constante, y que no interactuaba, cualquiera que fuese el proceso al que se sometiera a ese cuerpo, mientras que otra parte sí que intervenía cuando ese mismo cuerpo era sometido a una alteración, ya debida a fenómenos naturales ya a experiencias de laboratorio. De esta manera, consideraban que del calor total contenido en un cuerpo sólo una parte, llamada calor libre, podía intercambiarse con el de otros cuerpos en situaciones de cambio de temperatura, cambios de estado o reacciones químicas. Por lo tanto ésta era la única manifestación de calor que podía ser medida. Esa medición se expresaba en grados termométricos. Igualmente se conocía que no todos los cuerpos reaccionaban igual, es decir, era sabido que la cantidad de calor precisa para modificar igualmente la temperatura de una misma cantidad de sustancia no era fija, sino que dependía precisamente de la sustancia de que se tratara, dicho de otra forma de la naturaleza de tal sustancia. De ahí que fuera preciso fijar una unidad de medida. Se utilizó para ello el calor absorbido por una masa de agua que eleva su temperatura en un grado, éste era el calor específico del agua, que serviría como término de comparación para determinar el calor específico de otros cuerpos. El calor específico se considera invariante entre los puntos de congelación y ebullición del agua, es decir entre los 0º y 100º de temperatura, aunque ellos utilizaban la escala Réaumur, cuyos extremos son 0º y 80º, que corresponden a la temperatura de congelación y evaporación del alcohol.
La falta de conocimiento previo acerca de posibles relaciones cuantitativas entre el calor total y el calor libre de una sustancia o la carencia de medidas concretas sobre este último, aunque fueran aproximadas, no fueron obstáculos para que se diseñara un programa de experiencias tan innovadoras como efectivas. Así pues, para la situación más simple, la de dos sustancias puestas en contacto, cuyas masas fueran m y m’, sus temperaturas iniciales a y a’, la temperatura final b, y q y q’ los respectivos calores específicos, entonces entre éstos debería verificarse la relación:

Puesto que b es la temperatura final, será un valor comprendido entre a y a’. Es decir:
a < b < a’ o bien a’ < b < a
según cuál de las temperaturas iniciales sea menor. En cualquier caso:
signo (a - b) ≠ signo (a’- b)
es decir:
Este tipo de fórmulas, pese a su aparente sencillez, son sin duda aportaciones de Laplace al trabajo de investigación que llevaban a cabo Lavoisier y él mismo. Así que, cuando en 1778 escribía, en el prefacio a una continuación nunca concluida de sus Opuscules de 1774, acerca de su intención de utilizar en tanto en cuanto fuera posible “el método de los geómetras”, como ya se ha dicho anteriormente, pensaba en resultados tan sintéticos y potentes como éste, que, por supuesto, esperaba de la cooperación de Laplace.
A pesar de la sencillez de la ecuación anterior, ésta resultaba inútil para la determinación de los efectos calóricos que se producen en cualquiera de los procesos más interesantes: combinaciones químicas, combustión y respiración y cambios de estado.
El método experimental que idearon se basaba en un hecho sencillo: determinar la cantidad de hielo que se funde en el transcurso de un proceso en el que hay intercambio de calor, sería, precisamente, la medida de la cantidad de calor desprendida durante la experiencia. La idea es la siguiente: supongamos una esfera hueca de hielo con una cubierta que la aísle del exterior. Al colocar un cuerpo caliente en su interior el hielo comenzará a fundirse hasta que dicho cuerpo alcance los 0º grados. El peso del agua deshelada será proporcional al calor preciso para la realización del proceso.
Ésta es la base del instrumento que construyeron, al que llamarían calorímetro, y que en esencia suponía la materialización del modelo teórico antes descrito. Se trataba de un conjunto de contenedores concéntricos llenos de hielo, que dejan un espacio central donde podían ser suspendidos los objetos analizados o podía introducirse aire en el caso de experiencias relativas a la respiración. El hielo fundido en la región más interna era recogido y pesado. Establecieron que para licuar una libra de hielo se precisaba la misma cantidad de calor que se necesita para conseguir que una libra de agua pase de 0º a 60º de la escala Réaumur. Situación que interpretaron así: el hielo absorbe 60º para fundirse. Lo que muestra que los conceptos de cantidad e intensidad de calor todavía no estaban diferenciados.
Mediante este artefacto, que tenía casi un metro de diámetro y del que se construyeron dos modelos, consiguieron determinar el calor específico de algunas sustancias e igualmente cuantificaron algunos casos de calor de reacción y de calor animal.
A pesar de que Laplace fue capaz de conseguir nuevas relaciones para el calor de diferentes sustancias en relación al del agua y que mejoró de 1/60 a 1/40 la cantidad de hielo fundida por unidad de masa de agua a 0º, sin embargo, los resultados no fueron todo lo importantes que esperaban. De hecho, Laplace, modificó su interpretación de cómo se desarrollaban los procesos en los que intervenía el calor y revisó las experiencias para determinar cuáles eran las condiciones de equilibrio, suponiendo que el equilibrio, en el caso del calor, podría ser semejante al que se observa en un cuerpo con forma de un paralelepípedo, que está en equilibrio cuando se apoya sobre una de sus caras, pero que también lo está, y esta es la situación que especialmente le interesaba, cuando a partir de esa posición se balancea a un lado y a otro.
De hecho, se planteaba este tipo de procesos como problemas de dinámica a nivel molecular en los que intervienen dos tipos de fuerzas, unas de disgregación, que tienden a separar las moléculas de los cuerpos, producidas por el calor; frente a otras de cohesión, tendentes a unirlas, las fuerzas de afinidad.

El calorímetro de hielo de Lavoisier y Laplace.
Así, suponía que las moléculas de agua al enfriarse aumentaban su afinidad, pues esta fuerza era entonces más efectiva, y esto conllevaba el cambio de estado. Todavía más, argumentaba que la forma más apropiada para congelar una muestra de agua muy fría consistía en poner en ella un trozo de hielo, lo que facilitaba la afinidad molecular del conjunto. Situación que consideraba idéntica en el proceso de cristalización de cualquier otra sustancia.
Los comentarios precedentes se refieren a los resultados que Lavoisier publicó en 1783 en el citado trabajo sobre el calor, si bien es cierto que su colaboración continuó durante 1784 cuando comenzaron a investigar sobre la afinidad, en la línea sugerida por Laplace, ya señalada, y a repetir experiencias sobre el calor de combustión de diferentes sustancias, revisando los resultados desde esta nueva perspectiva. Sin embargo, las conclusiones sobre éstos y otros temas no habrían de ser redactadas hasta 1793 y serían publicadas tras la ejecución de Lavoisier en 1794.
§. La función potencial
Mientras tenía lugar su colaboración con Lavoisier, no abandonó su interés por la astronomía, pues en 1784, un año después de la publicación de la Memoria sobre el calor de Lavoisier, aparece la Théorie du mouvement et de la figure elliptique des planetes (Teoría del movimiento y de la forma elíptica de los planetas), especialmente reseñable por tratarse de su primera publicación a título individual. Anteriormente se habían editado bastantes de sus trabajos en actas o memorias que reunían las producciones de diferentes científicos. De esta forma, Laplace había difundido sus resultados a través de las Mémoires de l’Académie Royale des Sciences de París (Memorias de la Real Academia de Ciencias de París) y la Recopilación de eruditos externos. Cabe señalar que también consiguió interesar a academias extranjeras, puesto que sus primeros trabajos vieron la luz en Nova acta eruditorum, editada en Leipzig, y en Melanges de philosophie et des mathérnatiques de la Société royale de Turín.
Laplace explica en su introducción que su publicación se debe a los buenos oficios de Jean-Baptiste-Gaspard Brochart de Saron, quien, además de magistrado en el Parlamento de París y miembro honorario de la Academia, utilizaba su posición e influencia para propiciar el desarrollo de la ciencia. El hecho de que este personaje se interesara por los estudios de Laplace y subvencionara la publicación de esta obra, es una buena muestra de que su autor era ya conocido y valorado en altas instancias y no sólo en el seno de la Academia.
Parece que la intención que le animó a redactar este tratado era presentar los métodos matemáticos que, a partir de la ley de gravitación de Newton, permiten determinar la órbita y la forma de los planetas. Parte de los contenidos habían sido objeto de su atención en un informe que años atrás, en 1771, había presentado en la Academia con el título Una teoría general del movimiento de los planetas.
La Théorie du mouvement et de la figure eliptique des pianetes consta de dos partes, la primera se refiere precisamente a los principales movimientos de los objetos celestes, encontrando buenas soluciones aproximadas a ciertas ecuaciones cuya integración resultaba inabordable, y prestando especial atención a los movimientos de los cometas que ya analizara en 1776. Cabe destacar especialmente su estudio de la órbita de Urano, presentado ahora como planeta y no como cometa, tal y como se había pensado en un primer momento.
La segunda parte, que lleva por título “Sobre la forma de los planetas”, supone una revisión de sus trabajos anteriores sobre las mareas, la forma de la Tierra y la precesión de los equinoccios. Pero también, y de forma especial, realiza un estudio en profundidad sobre la atracción gravitacional de los elipsoides, presentando por vez primera un concepto, que en el futuro será conocido como potencial. Nombre que, sin embargo, no será utilizado hasta 1828, momento en el que Georges Green (1793-1841) lo aplica al campo gravitacional, tomándolo de la denominación que Poisson había dado a efectos similares en los campos electrostáticos y magnéticos.
Es preciso hacer notar que es en este momento, y en torno a este tema, cuando surge una de las polémicas más conocidas sobre la forma en la que Laplace tomaba prestadas las ideas de sus colegas. En este caso la controversia es con Legendre, quien había remitido a la Academia una memoria, Atracción de los esferoides homogéneos, en la que realiza ciertos desarrollos utilizando un nuevo método, los polinomios que más tarde serían conocidos como polinomios de Legendre. Precisamente, Laplace era miembro, junto a D’Alembert y Bézout, de la comisión que debía revisar dicha memoria y presentar el correspondiente informe a la Academia, cosa que se hizo el 15 de marzo de 1783. Sin embargo, el trabajo de Legendre y, en consecuencia, sus descubrimientos permanecieron inéditos hasta 1785.
Precisamente en el espacio de tiempo que media entre la presentación en la Academia de los polinomios de Legendre y su publicación, Laplace redactó y leyó otra memoria, que llevaba el título de Una memoria sobre la atracción de los esferoides elípticos, y que recogía ideas y formulaciones del trabajo de Legendre, sin que se mencionara su nombre ni su procedencia. Esto ocurría concretamente en mayo de 1783. Tal memoria era, en suma, una primera redacción de lo que finalmente fue la segunda parte del libro que estamos analizando, publicado, como se ha dicho, en 1784. Es decir, tan sólo unos meses después de la redacción del trabajo y un año antes de que apareciera impreso el de Legendre.
Situaciones similares a ésta se produjeron también reiteradas veces entre Laplace y Lagrange y son una muestra de la competencia que se establecía entre los científicos en un momento en el que algunas especialidades, como el cálculo infinitesimal entre otras, estaban en permanente progreso.
Así pues, el tema estudiado en esta segunda parte es fundamentalmente la atracción ejercida por un elipsoide de revolución sobre un punto exterior a él. El conocimiento que se tenía entonces de la función potencial le permitía trabajar sobre sus propiedades y de esta forma consiguió un resultado brillante que se conoce como teorema de Laplace y cuyo enunciado es:
Dos elipsoides que para sus secciones principales tienen idénticos focos atraen a un punto externo con una fuerza proporcional a sus masas.
Podemos reinterpretar el resultado a través de una expresión más sencilla: los potenciales de un mismo punto externo respecto a dos elipsoides de revolución confocales y de igual densidad son proporcionales a sus volúmenes. Esta fórmula no suponía una total novedad, sino que ampliaba una conclusión ya conocida por Maclaurin (1698-1746), pero relativa sólo a partículas situadas sobre el eje mayor del elipsoide.
Desde la perspectiva de Laplace el resultado tenía un significado importante por su relevancia física, pero ese interés era mayor si se le consideraba desde las matemáticas. En efecto, esa demostración le permitía transformar el problema de partida en otro, de manera que el punto considerado, exterior al elipsoide, fuera ahora un punto de la superficie de un nuevo elipsoide de revolución confocal con el anterior. De esta manera el problema podría resolverse por integración y aplicar después el teorema para obtener la solución del caso inicial por simple proporcionalidad entre los volúmenes de los cuerpos considerados. Físicamente se abría el camino para distinguir de forma más inmediata las fuerzas de atracción central de las fuerzas de perturbación.
El mismo método permitía obtener importantes resultados para la atracción relativa a puntos interiores a un elipsoide.
LegendreAdrien-Marie Legendre (1752-1833) nació en el seno de una familia acomodada y recibió una esmerada educación en el colegio de las Cuatro Naciones, el mismo en el que estudiara D’Alembert.
Desde los 18 años es ya inequívoca su vocación por el estudio de las matemáticas. D’Alembert le consiguió un puesto como profesor en la Academia militar de París y allí enseñó entre 1775 y 1780.
En 1782 ganó un premio de la Academia de Berlín sobre la trayectoria de los proyectiles. Al año siguiente presenta su famosa memoria sobre la atracción de los esferoides, donde aparecen los polinomios que llevan su nombre y que fueron aprovechados por Laplace para sus propias investigaciones, pero sin señalar su procedencia.
En abril de 1782, apenas dos meses después de leer su memoria, consigue un puesto de adjunto en la Academia, precisamente el que deja vacante Laplace al pasar de adjunto a asociado.
Su trabajo de 1794, Elementos de geometría, se convirtió en una obra de referencia y dio a su autor una notoriedad tal que lo convirtió en uno de los más afamados y respetados matemáticos de su época. No menos relevantes serían sus publicaciones sobre teoría de números y el método de los mínimos cuadrados, originado por la necesidad de determinar el resultado obtenido tras una serie de observaciones astronómicas.
Pese a la respetabilidad de su conducta ciudadana y a su prestigio como científico fue injustamente tratado al final de su vida. En 1824 cuando contaba con 71 años, se produjo una vacante en el Instituto de Francia del que Legendre era miembro desde su creación. El ministro del interior le hizo saber que debía votar a uno de los candidatos, pero enterado de que Legendre no había seguido sus indicaciones, le retiro la pensión de 3000 francos que le había concedido el gobierno. Así este sabio galardonado por las academias de muchos países paso sus últimos años en una cierta pobreza, hasta su muerte en 1833.[3]
Estos progresos matemáticos le capacitaron para abordar con éxito problemas relacionados con las condiciones de equilibrio y la forma de fluidos en rotación. Sus aplicaciones más inmediatas tienen que ver con los periodos de rotación y traslación de la Luna. En efecto, Laplace encontró que la diferencia entre la longitud del eje lunar en la dirección Luna-Tierra y el diámetro de un cuerpo esférico cuya masa fuese equivalente a la lunar es precisamente cuatro veces la diferencia de longitud del eje ortogonal al plano orbital lunar respecto del diámetro de la esfera supuesta. De esta relación de distancias se obtiene que la rotación y traslación lunar tienen iguales periodos. Es decir, que la forma de la Luna, considerada como un fluido de forma elipsoidal sometido a la atracción terrestre, explica la periodicidad de sus movimientos. Este tipo de descubrimientos sentó las bases de un nuevo método de análisis para el conjunto de manifestaciones que se derivan de la mutua atracción entre la Tierra y su satélite. Veremos en algunos de sus posteriores trabajos que el propio Laplace, profundizando en esa idea, determinó algunas peculiaridades del movimiento lunar y consiguió un buen modelo para explicar el fenómeno de las mareas.
En esta misma obra, y analizando la velocidad angular de los elipsoides de revolución, obtuvo resultados que explicaban el achatamiento de los polos terrestres y, lo que es más importante, las medidas esperadas según los datos del elipsoide.
La obra Teoría del movimiento y de la forma elíptica de los planetas vio la luz en 1784. Pues bien, todavía debían estar recién salidos de la imprenta los primeros ejemplares, cuando su autor presentó en la Academia una nueva memoria con un título muy similar al de los anteriores trabajos, Teoría de las atracciones de los esferoides y de la forma de los planetas, en la que revisó, mejorando y generalizando, parte de los contenidos de su libro.
Consideró para ello la misma expresión para la función potencial:

Siendo las diferenciales respecto de las variables x, y, z las fuerzas de atracción ejercidas por el elipsoide en las direcciones de los ejes.
Para determinar las expresiones buscadas, supuso que el origen de coordenadas, O, es un punto interior del elipsoide, que P(a, b, c) es el punto objeto de estudio y que X(x, y, z) es el punto del elipsoide considerado como partícula atractiva y llamó:
- r = √(a2 + b2 + c2) a la distancia del origen a P.
- θ al ángulo formado por OP y el eje de abscisas.
- ω al ángulo formado por el plano determinado por los ejes x, y con el plano formado por el eje de abscisas y la dirección OP.
- R = √(x2 + y2 + z2) a la distancia del origen a X.
- θ’ al ángulo formado por el eje de abscisas y OX.
- ω’ al ángulo formado por el plano que determinan los ejes x, y con el plano formado por el eje de abscisas y la dirección OX.
Los valores R, θ’, ω’ dependen de la partícula en X, por lo tanto serán las variables de integración en la expresión del potencial que Laplace desarrolló en coordenadas esféricas:

Donde L es el valor de R cuando X pertenezca a la superficie del elipsoide.
Llegado a este punto, pudo recuperar resultados obtenidos anteriormente y en especial los mostrados en su Memoria sobre las series, publicada por la Academia junto a otras memorias en 1782.
Función potencialLa fuerza gravitatoria ejercida por un sólido sobre una masa puntual externa P(x,y,z) es la suma de las acciones ejercidas sobre dicho punto por cada uno de los corpúsculos elementales que se consideren en el sólido. Así, un elemento diferencial del cuerpo, es decir un reducido prisma de lados dξ, dη y dζ, puede considerarse localizado en un punto masivo M(ξ, η, ζ). si el cuerpo es homogéneo y de densidad D, podremos escribir la acción gravitatoria ejercida por M sobre P, de acuerdo a la ley de Newton, como un vector de dirección PM cuyas componentes son:
Donde r es precisamente el módulo del vector PM, es decir:
De esta manera, si consideramos la acción ejercida por todo el sólido como suma de la determinada para M, se podrán escribir las componentes de esa fuerza, de la siguiente forma:
Donde los subíndices indican que se trata de la componente de la dirección del correspondiente eje coordenado.
Así las cosas, es posible suponer que existe una función V que permita determinar las componentes fx, fy y fz.
Tal función no es otra que la función potencial, cuya expresión esy debe satisfacer que
En los primeros trabajos sobre la atracción gravitatoria en la que se involucraban uno o más cuerpos extensos, como el sol o la Tierra, se podía suponer que su masa estaba concentrada en un punto, su centro de gravedad. A medida que los estudios progresaron, esto ya no fue posible, y cuando se consiguió determinar que la Tierra debía ser un esferoide achatado, su acción sobre partículas internas o externas a ella ya no podía reducirse a considerarla como si fuera un punto masivo, sería Colin Maclaurin (1698-1746) quien demostraría que para un fluido de densidad uniforme que rota con velocidad angular constante, el esferoide achatado es una figura de equilibrio.
Estos progresos obligaron a desarrollar teorías como las del potencial que permitieran estudiar las fuerzas gravitatorias ejercidas por ese tipo de cuerpos y que finalmente darían como resultado un conocimiento detallado de los movimientos de los planetas y de las perturbaciones causadas por las atracciones mutuas, pero también de efectos no tan ligados, en principio, a la gravitación, como la forma de los cuerpos celestes y de sus alteraciones, recogiendo el caso concreto de las mareas terrestres. Los resultados teóricos y observacionales llegaron a mostrar incluso que sólidos como la Tierra no podían tener una distribución homogénea y que tales condiciones debían ser tenidas en cuenta para conseguir un adecuado conocimiento del universo y, sobre todo, para obtener un modelo plausible desde el que sistematizar dicho conocimiento.
Colin Maclaurin
El verdadero problema consistía en determinar esa función V para una situación concreta una vez que ya se conocían sus propiedades y la expresión integral de la que debía obtenerse. Lagrange y, muy particularmente, Legendre conseguirían avances capitales para determinarla. El descubrimiento por parte de Legendre de los polinomios que ¡levan su nombre es la piedra angular sobre la que se levanta la solución del problema.
Cuando Laplace ataca este problema en 1784, aprovechándose de los resultados de Legendre, obtiene el ansiado resultado con una gran generalidad, pues consigue trascender la situación concerniente a los elipsoides de revolución, ya muy estudiada, para determinar que, en esferoides cualesquiera, la función potencial tiene la forma:Donde las expresiones del tipo Y' son complicados desarrollos en serie que dependen de los citados polinomios de Legendre.
Ahora sí se disponía de la herramienta adecuada para resolver problemas que hasta la fecha habían concitado el interés de los más notables astrónomos y cuyos intentos de solución habían terminado con otros tantos fracasos. Es el caso, por ejemplo, de los anillos de Saturno, de la forma de la Tierra, de las perturbaciones en los movimientos de los satélites de Júpiter, de la interacción entre Saturno y Júpiter y de la anomalía lunar.
Este trabajo se refiere a las funciones generatrices de forma específica, y en él, además de definir y analizar estas funciones, muestra cómo utilizarlas en la solución de algunos problemas, entre otros en el caso concreto de ecuaciones en derivadas parciales de segundo orden. En definitiva, el método descrito en esa memoria trata de introducir una nueva variable auxiliar de forma que hallar las ecuaciones diferenciales buscadas se convierte en el cálculo de los coeficientes que interesan en la serie de potencias creadas a partir de la nueva variable. Ya Lagrange había conseguido notables avances en esta técnica y había formulado teoremas que Laplace mejoraría y ampliaría.
La aplicación de esos resultados al caso que ahora le ocupaba le permitió demostrar que, considerado el caso particular de cos θ = μ, por diferenciación se consigue la expresión

Esta ecuación equivale a la conocida Δ2V = 0, aunque Laplace no la pasó a coordenadas cartesianas. Sin embargó, sí utilizó los polinomios de Legendre y otras transformaciones y particularizaciones para determinar el valor de V en algunos casos concretos, con especial atención, por supuesto, al caso de una partícula atraída por un elipsoide de revolución. Para esa situación, más exactamente para el caso de una partícula sobre la superficie de un elipsoide, ya había conseguido en 1776 algunos resultados en Investigaciones sobre el cálculo integral y sobre el sistema del mundo y especialmente en su breve continuación Adiciones a las investigaciones sobre el cálculo integral y sobre el sistema del mundo, ambas publicadas en las memorias de la Academia. Aprovecharía ahora la fórmula entonces obtenida

donde a representa al semidiámetro común al elipsoide y la esfera inscrita y r la distancia de la partícula considerada al centro de masas.
En la situación considerada, elipsoides de revolución casi esféricos, podía imponer para la superficie la condición
r = a(1 + αy)
Tras varias transformaciones y utilizando series de potencias auxiliares para desarrollar V e y, llegó a la fórmula más sencilla para determinar el valor del potencial buscado

Donde las funciones del tipo Y' corresponden al desarrollo en serie de potencias de la variable y, que dependen, como la propia y, de las variables angulares inicialmente definidas ω y μ, siendo μ = cosθ.
A partir de esa expresión, y conocida la ecuación en cartesianas del esferoide considerado, Laplace describe el método para calcular V, que nunca llamaría potencial sino atracción ejercida por un elipsoide, por determinación de coeficientes.
De esta forma consiguió una expresión para V, función cuyas propiedades eran bien conocidas, pero cuya formulación se había mostrado verdaderamente difícil para varias generaciones de matemáticos.
§. La forma de los planetas
Una buena continuación o corolario de los desarrollos teóricos anteriores consistía en estudiar la forma de los planetas, tema que ya había abordado y sobre el que volvió en este momento. Se trataba de demostrar que esos cuerpos sometidos a la acción gravitatoria sólo pueden tener forma de elipsoides achatados en sus polos, tal y como se conocía ya por diferentes medios. Laplace, de forma teórica y utilizando la fórmula encontrada para el potencial, enunció en forma de teorema un resultado que confirmaba los datos observados. Es decir, que pudo comparar los resultados calculados a partir de la función potencial con los que se habían obtenido por medio del péndulo en diferentes puntos de la superficie terrestre. Sin embargo estos últimos no eran igualmente fiables, pues dependían en gran medida de la habilidad del observador y de los medios utilizados y, en consecuencia, carecían de la exactitud deseada.
A pesar de esas dificultades pudo confirmar sin asomo de duda que la fuerza gravitatoria era la causa de esa forma tan peculiar y determinó además que la gravedad terrestre obligaba a que su achatamiento estuviese comprendido entre los valores extremos 0,001730 y 0,005135. Los datos de que se disponía entonces permitían una estimación de 0,0031171. Este resultado respaldaba tanto la formulación newtoniana de la gravedad como la bondad de los resultados conseguidos por el propio Laplace.
El achatamiento se mide a través de la fórmula:
![]()
(siendo a el radio ecuatorial y b el radio polar)
Hoy se maneja como valor del achatamiento terrestre 1/297, es decir 0,003367. Es bien conocido que el modelo de elipsoide como aproximación a la forma de la Tierra ha sido superado y se manejan para ella diferentes modelos de geoide, sin embargo, para muchos problemas sigue siendo suficiente considerar nuestro planeta como un elipsoide de revolución, tal y como hacían los astrónomos de la época de Laplace.
Señalan los estudiosos de su obra que en ninguna otra memoria como en ésta, se manifiesta de forma tan patente el genio impresionante de este matemático y su virtuosismo para interpretar y diseccionar problemas, así como para avanzar en su resolución a través de recursos matemáticos que él mismo iba creando, o adaptando y perfeccionando los de otros colegas a medida que las características propias del problema lo exigían.
Todavía señalaremos dos breves memorias que pueden considerarse derivadas de la que estamos analizando, pues resultan de desarrollar para casos concretos la formulación teórica conseguida, es decir la atracción ejercida por un esferoide. En la primera de ellas vuelve sobre la forma de la Tierra, de hecho su título es muy esclarecedor al respecto, Memoria sobre la forma de la Tierra, mientras que la segunda aborda el llamativo caso de la forma de Saturno, o mejor de sus anillos, Memoria sobre la teoría del anillo de Saturno. Aunque su publicación difiere en tres años, la primera aparece en 1786 y la segunda en 1789, sin embargo su redacción es casi simultánea e inmediatamente posterior a la Teoría de las atracciones de los esferoides y de la forma de los planetas.
En el caso de la Tierra consigue expresiones para determinar la longitud del radio terrestre según la latitud del lugar, así como la medida sobre la superficie terrestre de un grado de meridiano según la latitud. Igualmente el análisis detallado de los datos observados le llevó a concluir que era “probable” -pues sus apreciaciones ya apuntaban en la dirección de la ponderación de errores en la observación, que los hemisferios norte y sur no fueran totalmente simétricos respecto de la determinación de medidas, por lo que aventuraba que quizá la Tierra no fuera exactamente un elipsoide de revolución. Hipótesis que es correcta, pues el concepto de geoide supone una mejora del modelo de elipsoide de revolución.
Para el caso de Saturno parte de suponer que el anillo es una delgada capa de fluido sometida a las fuerzas atractivas de
Saturno y que las condiciones de equilibrio de ese fluido determinarán precisamente la forma del anillo. Utiliza aquí por vez primera en coordenadas cartesianas su fórmula para la atracción ejercida por un elipsoide:

Y simplifica la ecuación para el caso de un elipsoide de revolución

(con r2 = x2 + y2)
Concluyó Laplace que el anillo de Saturno debería ser en realidad una serie discontinua de anillos concéntricos y mostró cómo, desde el punto de vista matemático, cada anillo podría ser originado por una elipse de gran excentricidad, es decir muy achatada, cuyo eje mayor estuviera dispuesto de manera que su prolongación pasase por el centro del planeta y que girase respecto de ese punto en un plano perpendicular al suyo. Es decir, que el anillo sería una figura tórica generada por la rotación de una elipse.

Imagen de un anillo generado por una elipse que rota respecto del eje del planeta.
Como resultado de su investigación se creó una imagen falsa de la realidad física de los anillos como cuerpos sólidos, que oscilaban de manera estable en torno a sus respectivos centros de gravedad y que giraban en torno al centro de gravedad del planeta describiendo órbitas elípticas, como si de auténticos satélites se tratara. Sin embargo, de tal descripción sólo algunas afirmaciones mantienen su validez, siendo lo más notable que los sucesivos anillos giran en el plano ecuatorial de Saturno, como los satélites galileanos, y lo hacen en torno a un punto que no coincide con el centro de gravedad del planeta.
§. Desigualdades seculares: Júpiter y Saturno, las lunas de Júpiter, teoría lunar
Estos temas fueron tratados en cinco memorias, relatados entre noviembre de 1785 y abril de 1788. Como resultado de ellas quedaría la idea de que el sistema solar constituye un sistema estable, que es en buena medida la noción que más trascendió del enorme legado astronómico que Laplace tras años de trabajo dejó recogido y organizado en su obra. Se trata de una serie de problemas cuya existencia era conocida desde mucho tiempo atrás como consecuencia de la observación de las posiciones de los cuerpos celestes, pero que a pesar de los esfuerzos de muchas mentes preclaras que le precedieron en el intento y de los notables progresos conseguidos seguían sin resolverse de forma satisfactoria. No debe pensarse tampoco que las soluciones por él halladas se deben únicamente a su esfuerzo y trabajo personal, sino que se apoyan y recogen ideas y resultados de muchos autores, incluso de sus propios contemporáneos.
Los títulos de estos cinco trabajos son:
- Memoria sobre las desigualdades seculares de los planetas y de los satélites.
- Teoría de Júpiter y de Saturno.
- Teoría de Júpiter y de Saturno (continuación)
- sobre la ecuación secular de la Luna.
- sobre la ecuación secular de la Luna (revisión)
En la primera de esas memorias, presenta Laplace el estado de la cuestión señalando las discrepancias existentes entre los modelos teóricos para los movimientos de los planetas y los resultados de las observaciones.
Las mareasEl efecto de flujo y reflujo del mar conocido desde la más remota antigüedad, se escapó, sin embargo, durante siglos a una explicación satisfactoria. Newton, mediante su teoría gravitatoria, daría un paso importante para encontrar una solución al problema. En efecto, la proposición XXIV del libro tercero de los Principia trata de este tema y recoge el papel que el sol y la Luna juegan en la formación de las mareas. Edmund Halley (I65&I742) lo abordó con mayor extensión, pero repitió el modelo newtoniano.
Halley se basa en que las aguas del mar sufren la atracción lunar y también la solar aunque en mucha menor medida, si no existiesen esas fuerzas atractivas, las aguas del mar conservarían la forma esférica, pues solo estarían sometidas a la acción gravitatoria terrestre, pero por su efecto se pierde esa esfericidad y los océanos se deforman, ascendiendo en la dirección de la Luna.Para explicar los dos movimientos diarios de flujo y de reflujo que se observan utiliza el argumento del movimiento aparente diario de la Luna en torno a la Tierra, pero tal hipótesis no justifica que la deformación de las aguas sea similar en el sentido hacia la luna y en el opuesto.
Sería Laplace quien, al modificar el modelo, considerando además que hay otras causas que intervienen, daría con la solución, su aportación se recoge en Varios puntos del sistema del mundo, aparecida en 1778 y cuya segunda parte está dedicada íntegramente al estudio de las mareas. Laplace se da cuenta de que el argumento utilizado por sus predecesores es falso, es decir, que suponer que la Tierra inmóvil está sometida a la atracción de la Luna y del sol sí da cuenta de un flujo y reflujo diario, pero no se puede atribuir a la rotación terrestre la causa de que haya dos flujos y reflujos. De acuerdo con este razonamiento las dos mareas diarias serían un fenómeno aparente pero no real.
Para superar esa apariencia e introducir el cálculo diferencial Laplace considero pequeñas variaciones de un elemento diferencial en un océano que rota como un cuerpo solido con la Tierra. Considero después que las fuerzas intervinientes eran la centrífuga, la que hoy llamamos de Coriolis, la de atracción gravitatoria de todas las partículas de la Tierra y los astros y la de depresión.
Con estos elementos determino las ecuaciones de marea, resolviendo el problema de modo satisfactorio y general. Vemos también que anticipa la llamada fuerza de Coriolis en varias décadas, fruto de considerar el movimiento de rotación terrestre como algo real y no sólo virtual.
Todavía redactaría otro trabajo sobre el tema en 1790, Memoria sobre el flujo y el reflujo del mar, aparecido en 1797, y continuaría mejorando sus resultados a lo largo de toda su obra científica.
Resalta especialmente el problema de la aceleración de Júpiter y deceleración de Saturno en sus órbitas y la curiosa relación de posiciones entre los tres primeros satélites de Júpiter: lo, Europa y Ganímedes, que junto a Calixto fueron los primeros satélites de Júpiter observados por Galileo.
La segunda y tercera forman en realidad un único tratado que explica a partir de un potente aparato matemático las causas del adelanto de Júpiter y del retraso de Saturno en sus órbitas. Estudia además los movimientos de los tres citados satélites de Júpiter.
Igualmente las dos últimas conforman un único trabajo sobre la aceleración aparente de la Luna respecto de su movimiento medio.
Entraremos a analizar a continuación un poco más detenidamente los contenidos de las cuatro últimas memorias, pero antes conviene que hagamos ciertas consideraciones sobre el tipo de problema que pretendía abordar Laplace. Vemos que en el título de las memorias aparece repetidamente el término secular. En astronomía se consideraban desde tiempo atrás dos tipos de variaciones o desigualdades respecto de los movimientos medios de los cuerpos celestes: periódicos y seculares. Los primeros se refieren a pequeñas modificaciones que se producen durante un tiempo equivalente al periodo de traslación de un planeta o satélite y tienen que ver con la posición o localización del planeta en su órbita y se corrigen o compensan en cortos periodos de tiempo, si se comparan con el periodo de rotación. De manera general podríamos decir que las variaciones periódicas responden a situaciones sencillas relativas a la órbita kepleriana descrita por un planeta sometido únicamente a la acción atractiva del Sol.
Por otro lado las desigualdades seculares afectan a los elementos característicos de la propia órbita: inclinación, semieje o excentricidad y lo hacen en cantidades tan pequeñas que deben pasar grandes lapsos de tiempo, comparados con el periodo de traslación, para que sean significativas o simplemente apreciables. En general deben transcurrir siglos para que sean detectadas, de ahí su nombre de seculares. El resultado es que los modelos teóricos que permitían predecir la posición de los objetos celestes y elaborar tablas a corto y medio plazo se mostraban ineficaces, en tanto que no daban el grado de precisión que en principio se esperaba de ellos.
Además se consideraba que las variaciones periódicas estaban sujetas a plazos de tiempo determinados, de manera que en el transcurso de un periodo completo se repetían exactamente los valores de esas desigualdades, de ahí que se las llamara periódicas. Se pensaba, por otro lado, que las seculares eran acumulativas y que modificaban continua e indefinidamente los valores medios calculados. Para reducir los errores se introducían algunas correcciones que paliaran el desajuste y permitieran seguir utilizando fórmulas y tablas, pero tales correcciones, que procedían de las observaciones, quedaban desfasadas transcurrido un tiempo. Este tipo de variaciones tenían también un efecto que podemos llamar psicológico, pues creaban una sensación de desorden en los movimientos celestes que están en íntima contradicción con la razón de ser de la astronomía y de las matemáticas como ciencias exactas. Tal era la dificultad para dilucidar el origen de estas desigualdades, que llegó a pensarse que estaban causadas por el influjo de los cometas, pues al desconocerse su naturaleza y especialmente la pequeñísima masa de estos cuerpos, se les asignaban aquellas características que permitían resolver problemas tan complejos como éste.
La intención con la que Laplace afronta el problema no es otra que determinar el origen de las desigualdades seculares, pero sobre la base de que debería tratarse de variaciones periódicas al igual que las otras desigualdades conocidas y resueltas, aunque de muy largo periodo.
§. Júpiter y Saturno: un sistema perturbado
Para el primer caso estudiado, aceleración de Júpiter y deceleración de Saturno, pensó que era la mutua acción gravitatoria el origen de la desigualdad. Efectivamente, la atracción entre ambos planetas y la tercera ley de Kepler le permitieron constatar de forma general que si Saturno es retardado por Júpiter, éste se acelera en su órbita por influjo de aquél. Halley había calculado que en 2000 años Saturno se había retrasado 9° 16'. Suponiendo cierto este valor pudo determinar que el adelanto de Júpiter sería de 3°58'17", pues las variaciones respecto de sus movimientos medios estaban en la relación de 7/3. El valor calculado sólo difería en 9 minutos de arco de los datos que aparecían en las tablas. La proximidad entre el resultado teóricamente calculado y el observado parecía evidenciar la existencia de una variación respecto del movimiento medio del tipo antes descrito, es decir, de muy pequeña magnitud y en consecuencia de un periodo tan largo que hasta ese momento no se había podido reconocer su carácter periódico.
Con esos primeros resultados y la hipótesis de que en el movimiento medio de los planetas debería estar la causa de esta variación, se lanzó Laplace a verificar cuál era su origen. Los movimientos medios eran bien conocidos y de ellos se seguía que 5 veces el movimiento medio de Saturno equivale casi exactamente a 2 veces el de Júpiter.
Si llamamos:
n = movimiento medio de Júpiter = 109.257 segundos de arco por año
n’ = movimiento medio de Saturno = 43.996 segundos de arco por año
Obtendremos:
5n’ = 5 ×43.996 = 219.980
2n = 2 × 109.257 = 218.514
La diferencia entre estos valores es:
5n’ - 2n = 1.466 segundos de arco por año
Lo que supone que esa diferencia entre los movimientos medios tiene un periodo que viene dado por el cociente:
360º/1.466" = 360 × 3600/1.466 = 884,04 años
Este dato aproximado le permitió confirmar que sus sospechas iban en la dirección correcta y que los cambios en excentricidad e inclinación de las órbitas de los planetas eran precisamente los responsables de la modificación de las velocidades de los planetas y se planteó si podría ocurrir que en las diferenciales del movimiento de ambos planetas, o en ecuaciones relativas a la inclinación o la excentricidad de la órbita, apareciera en el denominador el seno de la expresión 5n’ - 2n. Pues de ser así, posiblemente se hubieran despreciado términos de los desarrollos que por efecto de esos denominadores originarían cantidades de la suficiente magnitud como para modificar sensiblemente los valores obtenidos.
Finalmente pudo corroborar que ésa era la razón de la desigualdad observada y demostró que el retraso de Saturno y el adelanto de Júpiter respecto de sus movimientos medios mantenían la relación de 7/3, cantidad que había estado en el inicio de su investigación. Fue en la tercera de las memorias citadas, que revisaba y ampliaba los resultados de la segunda, donde afinó sus cálculos estableciendo valores máximos para la ecuación secular de Saturno de 48'44" y 20'49" para Júpiter con un periodo de 929 años. Estos nuevos valores se aproximan más todavía a la relación 7/3 que perseguía desde el principio de su trabajo.
48'44"/20'49" = 48,7333'/20,81666' = 2,34107 ≈ 7/3
De esta forma se había resuelto un problema que durante siglos permanecía inexplicado. Laplace se sentía orgulloso de su hallazgo y en especial del método seguido para ello, ya que le permitía afirmar una vez más que “la teoría de la gravedad va por delante de la observación ". Idea ésta que supone una constante en su trabajo ya que él conocía en profundidad la obra de Newton y la había continuado consiguiendo nuevos éxitos e importantes resultados merced a su total confianza en esa teoría y, por supuesto, a sus dotes como matemático.
Armado con estos resultados se lanzó a determinar con precisión los elementos orbitales de los planetas, tabular sus posiciones con exactitud, comprobar que su teoría respondía a las observaciones realizadas en el pasado, especialmente en las conjunciones y oposiciones, y comparar los nuevos resultados con las tablas que hasta la fecha se seguían. Este trabajo pasaba por revisar una memoria anterior de Lambert aparecida en 1775, Resultado de las investigaciones sobre las irregularidades del movimientos de Saturno y Júpiter, que se refería a correcciones en cortos periodos; otra de Lagrange, sobre las variaciones seculares de los movimientos medios de los planetas, aparecida en 1783; así como las observaciones de Flamsteed y las tablas de Halley.
La elaboración de las nuevas tablas obligó a rehacer y revisar pormenorizadamente todos los cálculos y resultados obtenidos por Laplace. Para ello, tanto él como la Academia, confiaron en Jean-Baptiste Delambre, quien se ocupó de esa larga y tediosa tarea sin introducir otros cambios que algunas pequeñas variaciones que la teoría predecía. Además revisó en detalle que las observaciones de los últimos doscientos años correspondieran con los valores tabulados.

Jean-Baptiste Delambre (1749-1822
Este trabajo fue presentado en la Academia en Abril de 1789 con el título de Tablas de Júpiter y de Saturno.
Una vez más, aparecidas las tablas, Laplace se jactó de que éstas constituían una nueva aportación de la ley de la gravedad, pues efectivamente, tal y como hemos visto, es a partir de ella que había conseguido resolver el problema y las tablas se habían preparado ajenas a la observación, pues los datos empíricos sólo se habían tenido en cuenta para determinar las constantes de integración.
§. Desigualdades en los movimientos de los satélites galileanos
Otro tema importante estudiado en esas dos memorias es el que se refiere a los satélites galileanos. Sus movimientos eran bien conocidos, en especial desde que el astrónomo danés Olaüs Rømer (1644-1710) consiguió en 1676 determinar la velocidad de la luz estudiando los ocultamientos de Ío por Júpiter. Rømer comprobó que la periodicidad de estos eclipses se veía afectada por la distancia entre la Tierra y Júpiter, de ahí concluyó que el retraso observado dependía de esa distancia y que, por la tanto, se debía al tiempo de más que la luz invertía en llegar hasta la Tierra.
Sin embargo, habría de pasar un tiempo para que la falta de periodicidad de estos satélites en sus movimientos en torno a Júpiter motivara un análisis más profundo y éste vendría de la mano de Pehr Wargentin (1717-1783), astrónomo sueco, quien dedicó buena parte de su quehacer científico a elaborar tablas de estos cuatro satélites jovianos. Sus registros aparecen por vez primera en 1746 y los revisó continuamente con la colaboración de Lalande, con quien mantenía una fluida relación epistolar.
También Lagrange se ocupó de este asunto y recibiría en 1766 el premio de la Academia de Ciencias de París por el estudio de las desigualdades apreciadas en sus movimientos, que analizó teniendo en cuenta la atracción que sobre cada uno de ellos ejercen el Sol, Júpiter y los otros tres. A pesar de la importancia de este trabajo y del avance que supuso tanto desde el punto de vista analítico como astronómico, Lagrange había simplificado el problema suponiendo que estos satélites giraban en órbitas coplanarias con el ecuador de Júpiter.
Así las cosas, Laplace retoma el problema y comienza por analizar el movimiento de los tres satélites galileanos interiores, pues verificaban una más que notable relación. En efecto, si llamamos:
n al movimiento medio del primero, Ío
n’ al movimiento medio del segundo, Europa
n” al movimiento medio del tercero, Ganímedes
puede escribirse una ecuación similar a la vista en el caso de Júpiter y Saturno:
n + 2n” = 3n’
No consideró, pues, el movimiento del cuarto satélite, Calixto, que resulta incomparable respecto del de los otros, y tampoco la acción atractiva del Sol, pero sí tuvo en cuenta el ángulo formado por cada una de las tres órbitas respecto al ecuador joviano.
Su intención era, una vez más, probar que la ley de gravitación permitía explicar los movimientos medios de estos tres satélites y su estabilidad. Para ello centró su estudio en el movimiento del segundo, sometido a la acción de los otros, como causantes de sus perturbaciones.
El éxito le acompañó de nuevo y logró su empeño, mostrando que las perturbaciones son periódicas y que el sistema es estable. También extendió su investigación a otros elementos orbitales, como excentricidad, inclinación, posición de los nodos y del afelio. De esta manera mejoraba otros resultados anteriores más generales y también los recientemente hallados por Lagrange, en 1782, sobre los elementos orbitales.
Finalmente, las dos últimas memorias abordan uno de los problemas más arduos y que más habían desafiado al ingenio de los astrónomos durante siglos.
La Luna, el objeto celeste más próximo y, junto con el Sol, el que mayor influjo ejerce en la Tierra, había sido el cuerpo más observado en cuanto a posiciones, fases y eclipses se refiere. Los distintos modelos elaborados desde antiguo para explicar los movimientos de los objetos celestes mostraron permanentes deficiencias en el caso de la Luna y para subsanarlos y armonizar la teoría con la observación, al menos en cuanto a su posición se refiere, se introducían correcciones procedentes de los valores empíricamente obtenidos en momentos concretos. Esas estimaciones se utilizaban para mejorar las tablas y modificar parcialmente los modelos teóricos hasta que un nuevo desajuste obligaba a la consiguiente revisión.
Así, atendiendo a los resultados más próximos al momento que nos ocupa, encontramos que Halley había descubierto que la aceleración lunar respecto de su movimiento medio podía obtenerse sumándole a éste una cantidad proporcional al número de centurias transcurridas desde 1700 y Delambre confirmó que su movimiento secular era tres o cuatro minutos mayor de lo que arrojaban las observaciones realizadas por los babilonios.
La dificultad de la cuestión había alcanzado tal magnitud que la Academia de Ciencias de París había ofrecido en diversas ocasiones distintos premios a quien consiguiera dar una solución plausible del fenómeno acorde con las leyes de Newton.
Hasta el momento se habían intentado explicaciones basadas en hipótesis como la resistencia ofrecida por el éter, que se suponía llenaba el espacio sideral, la acción de los cometas, eventualidad que siempre asomaba cuando lo intrincado del problema dejaba a los astrónomos sin otros argumentos, e incluso la posibilidad de que la fuerza gravitatoria, como se había comprobado para la luz, no se transmitiera de forma instantánea, sino que se ejerciera con cierta velocidad finita.
Laplace, con ideas y recursos similares a los ya utilizados en los otros casos de desigualdad secular estudiados, daría solución satisfactoria al problema. En efecto, llegó a determinar que las causas de esta desigualdad eran la acción gravitatoria del Sol y la variación de la excentricidad de la órbita terrestre, producida por la atracción de los otros planetas del sistema solar.
La atracción del Sol sobre la Luna tiende a disminuir la acción gravitatoria terrestre y, en consecuencia, a dilatar su órbita. El resultado inmediato es la disminución de la velocidad angular en su movimiento medio de traslación, sufriendo por ello una deceleración. La atracción solar es máxima en su perigeo y disminuye a medida que se traslada hacia el apogeo. Por lo tanto, se trata de una acción que tiene carácter anual, pues tal es la duración del movimiento aparente de traslación solar, y a lo largo de un año presenta su mínimo y su máximo, es decir que esta desigualdad tiene carácter periódico y además su periodo es breve, un año. Esto, si bien en general es cierto, se ve afectado por otra circunstancia, la órbita lunar forma un ángulo con la eclíptica de unos 5°9', pero el plano de giro no es fijo, sino que va rotando de manera que cumple un periodo completo en 18 años y 10 días. De esta manera la atracción solar no tiene periodicidad anual puesto que la posición de la Luna respecto del Sol no vuelve a repetirse exactamente, sino que presenta anualmente épocas de mayor o menor acción, coincidiendo con los pasos por el perigeo y el apogeo del Sol, dentro de un periodo total de 18 años.
La imagen ilustra la posición de la eclíptica, con el sentido de giro del movimiento aparente del Sol, y la órbita lunar. El punto P señala el perigeo solar.

La línea de los nodos gira en sentido contrario al señalado para el Sol con un periodo de 18 años y 10 días, por lo que al cabo de unos 9 años encontraríamos una disposición como la que se representa a continuación

Si prestamos atención a la posición de la Luna poco antes de pasar por el nodo ascendente N en la primera figura y a la correspondiente situación en la segunda figura, apreciaremos que para posiciones equivalentes de la Luna en su órbita, su relación con respecto al Sol es bien diferente y, en consecuencia, la atracción ejercida por éste, dependiente de la distancia, es notablemente distinta. Aunque las representaciones se han realizado desde un punto de vista geocéntrico para facilitar el reconocimiento de los planos orbitales y de la línea de nodos, resulta sencillo reinterpretarlas de acuerdo a las posiciones reales de los tres cuerpos.
Queda, pues, patente una de las dos causas que reconoció Laplace para explicar las desigualdades en el movimiento de la Luna, la diferente acción gravitatoria que el Sol ejerce sobre la misma. Veremos a continuación la otra, los cambios en la excentricidad de la órbita terrestre debidos a la atracción de los otros planetas del sistema solar. Esta influencia, más notoria que la anterior, presenta un periodo muy dilatado. En la época estudiada la excentricidad atravesaba una fase de decrecimiento, lo que hacía que la velocidad lunar se incrementara, de ahí el adelanto observado respecto del movimiento medio.
Puesto que la Luna está sometida a un movimiento capturado por la acción gravitatoria terrestre -es decir que los periodos de rotación y traslación son iguales-, Laplace pensó que era posible que las variaciones analizadas para la traslación lunar afectaran a la identidad de esos periodos y que en consecuencia pudiera llegar a ser visible el hemisferio lunar oculto. Comprobó, sin embargo, que la acción terrestre es tan grande que el eje mayor del ecuador lunar está siempre dirigido hacia el centro de la Tierra, sometido únicamente a pequeñísimas modificaciones, libración lunar, que permiten ver una estrecha franja de su cara oculta.
También comprobó que la atracción ejercida sobre la Luna por el resto de los cuerpos del sistema solar era insignificante y, por lo tanto, despreciable frente a la causada por el Sol y la Tierra.
Los resultados obtenidos serían revisados y comprobados por sus inmediatos sucesores en el estudio de la mecánica celeste. Efectivamente, en 1853 John Couch Adams estimó que aproximadamente la mitad de la aceleración lunar podía ser explicada por el decrecimiento de la excentricidad de la órbita terrestre, mientras que Charles Delaunay (1816-1872) atribuyó el resto de ese efecto a la ralentización de la rotación terrestre por causa de las mareas.
El conjunto de descubrimientos realizados sobre los satélites de Júpiter, los anillos de Saturno, la interacción existente entre los movimientos de Saturno y Júpiter y la aceleración lunar, permitían un mayor y mejor conocimiento del sistema solar del que se había tenido hasta entonces y Laplace todavía conseguiría completarlo con datos numéricos más precisos de los elementos orbitales de los planetas, que aparecerían en la Memoria sobre las variaciones seculares de las órbitas de los planetas.
Todo ello le permitía tener ya una idea clara sobre la estabilidad de las órbitas planetarias y, en consecuencia, del sistema solar. De forma que, aunque el desarrollo de su modelo cosmológico fue posterior, ya en 1786 se sentía suficientemente respaldado para realizar afirmaciones como ésta:
Así el sistema del mundo sólo oscila en torno a un estado medio del que nunca se separa sino en cantidades muy pequeñas. Por virtud de su constitución y de la ley de la gravedad, goza de una estabilidad que sólo puede ser destruida por causas externas, y estamos seguros que su acción no ha sido detectada desde las más antiguas observaciones hasta nuestros días.
Y a continuación compara esta extraordinaria situación de estabilidad con la acción de la naturaleza que tiende a preservar a los individuos y a perpetuar las especies.
Con esta impresionante obra a sus espaldas y con resultados que le situaban entre los más notables científicos de su época, Laplace, que contaba entonces con 40 años, se ve envuelto como el resto de sus compatriotas en los acontecimientos revolucionarios de 1789 y en los cambios sociales que pondrán fin al que se ha llamado Antiguo Régimen.
Capítulo 2
Revolución y República
Los movimientos populares contra la monarquía, y muy especialmente contra la situación de bancarrota económica que ésta había propiciado, comienzan años antes de la instauración de la República. La situación del país era apurada desde el reinado de Luis XV, por eso su nieto y sucesor Luis XVI fue aconsejado por el ministro Maurepas para que nombrara intendente general de hacienda al prestigioso economista Turquet por considerarlo la persona idónea para reconducir la situación. La corte, para la que trabajaban 14.000 personas, consumía la décima parte de los ingresos públicos, ya que mantenía la magnificencia de la época esplendorosa de Luis XIV. También el clero y la nobleza gozaban de enormes privilegios que les permitían no sólo pagar ínfimos impuestos, sino percibir tributos de los campesinos.
Las reformas de Turquet encaminadas a reducir abusos y privilegios encontraron poderosos enemigos en la corte, especialmente en el entorno de la reina María Antonieta. Caído en desgracia, fue sustituido por Jacques Necker, banquero ginebrino afincado en París, y después por Calonne, Loménie de Brienne y de nuevo por Necker, sin que se consiguiera remediar el déficit, pues sus medidas chocaban con los intereses de la nobleza y la iglesia.
El gobierno optó, finalmente, por convocar a los Estados Generales, es decir, a representantes de los tres estados: nobleza, clero y pueblo llano, medida excepcional que no se había tomado desde 1614. Así, en enero de 1789 se publicó el decreto para su convocatoria en medio de una gran polémica sobre si las decisiones se tomarían por votaciones individuales (un voto por representante) o colectivas (un voto por cada estado). Tal polémica movilizó a la población, en especial a quienes veían peligrar la posibilidad de mejorar su situación y de cambiar el estado de las cosas, solicitando que hubiera paridad en la representación y se impidiera el voto por estados.
Las reuniones comenzaron el 5 de mayo de 1789, en Versalles, con presencia del rey en la sesión inaugural, dentro del mayor orden y respeto, exponiéndose claramente que el objeto de la convocatoria era resolver la situación financiera. Los representantes eran 1.148 (279 de la nobleza, 291 por el clero y 578 del tercer estado). La discusión de cómo serían las votaciones, si por estados o individuales, dificultó desde el principio el avance en la búsqueda de unas soluciones que difícilmente podrían contentar a todos. Tras varias sesiones, en junio compareció el monarca para anunciar que no autorizaría reformas que afectaran al ejército, a la iglesia, a los impuestos o a los derechos señoriales si no contaban con el apoyo de los dos estados privilegiados. Declaración que fue contestada inmediatamente por el tercer estado, que se constituyó en asamblea y se negó a abandonar la sala que ocupaban.
El rey y la nobleza respondieron a ese desafío con una masiva concentración de tropas en París, mayoritariamente compuestas por soldados extranjeros. Este ambiente de tensión se agudizó con la noticia de que Necker había sido destituido y desembocó en tal estado de agitación, que la población de París, arengada por Camille Desmoulins y otros, se echó a la calle. Una carga de caballería sobre la multitud reunida en el jardín de las Tullerías desencadenó la insurrección, pues algunos contingentes de tropas se enfrentaron a los mercenarios extranjeros y el ayuntamiento fue asaltado por una multitud enardecida que expulsó a los regidores.

Jacques Necker
Se creó una nueva municipalidad revolucionaria y se organizó una guardia cívica con 48.000 hombres. Al día siguiente, el pueblo armado con fusiles y cañones procedentes del saqueo del cuartel de los Inválidos sitió y destruyó la Bastilla. Era el 14 de julio y la revolución se había iniciado. Muy pronto toda Francia secundaría el ejemplo parisiense, sucediéndose enfrentamientos armados, saqueos y destrucción.
Ante tal situación, el 4 de agosto, la Asamblea Constituyente, a propuesta del vizconde de Noailles, votó la abolición de los derechos feudales y señoriales, de las servidumbres personales, corveas y privilegios, estableciéndose la igualdad de todos los ciudadanos ante la ley. Se aprestó también a redactar una constitución y legisló mientras el rey, confinado en las Tullerías, se limitaba a dar su aprobación a cuantas leyes e iniciativas le presentaban.
Pasarían así dos años hasta que el 21 de julio de 1791, el rey, alentado por algunos sectores de la nobleza y confiando en el apoyo de las tropas, huye de París, pero es detenido el mismo día en Varennes. Los partidarios de la República utilizaron el hecho presentándolo ante la opinión pública como un desplante intolerable del monarca y abogaron por su destitución. Para respaldar su demanda solicitaron el apoyo popular y consiguieron reunir millares de firmas que secundaban su propuesta. Sin embargo, la Asamblea, de mayoría monárquica, no quiso extralimitarse en sus atribuciones y, en septiembre de 1791, se disolvió, reponiendo en el trono a Luis XVI, una vez que éste hubo jurado la Constitución, y dio paso a una nueva asamblea, que será conocida como Asamblea Legislativa. Esta asamblea estaba formada como la anterior por 745 diputados, todos ellos nuevos, puesto que los anteriores se comprometieron a no ser reelegidos.
El rey consideraba insoportable su situación y confiaba en la ayuda extranjera para recuperar el poder absoluto. Efectivamente, para acudir en su ayuda se preparó en julio de 1792 un ejército prusiano, que comandado por el duque de Braunschweig se dispuso a invadir Francia y tomar París. Aquí los ciudadanos se aprestaron a la defensa y el día 11 la Asamblea disolvió los cuerpos de la guardia nacional formados por realistas y consiguió reunir tropas procedentes de diferentes zonas del país. La corte, mientras esperaba ser liberada por el ejército prusiano, también se organizó para defenderse y contaba para ello con la colaboración de mercenarios suizos y con la cooperación de la municipalidad de París. Pero el 9 de agosto ésta fue sustituida repentinamente por otra de corte revolucionario y, al día siguiente, se sitió el palacio de las Tullerías, lo que obligó al rey y a su familia a refugiarse en el seno de la Asamblea Legislativa, que lo depuso y dejó su futuro en manos de una nueva asamblea, la Convención.
Este día, 10 de agosto de 1792, llega el final de la monarquía y de la Asamblea. La revolución va a tomar nuevos derroteros.
Las tropas de Braunschweig se acercaron a París, pero fueron derrotadas el 20 de septiembre por Valmy; ese mismo día la Convención Nacional se reunió y el 21 se estableció la República. Los jacobinos sostuvieron la necesidad de procesar al rey, que fue juzgado por la Convención y condenado a muerte el 17 de enero de 1793. El 21 del mismo mes fue guillotinado. A este hecho siguieron la guerra civil y la declaración de guerra por parte de casi todas las naciones europeas.
La Convención tomó medidas extraordinarias para salir de la situación tan apurada que se vivía, pero fue derrocada el 2 de junio de 1793 por un sector de jacobinos que implantaría el gobierno revolucionario, dando paso a la época del Terror, que concluiría en julio de 1794, cuando Robespierre y sus seguidores son guillotinados. La Convención confió el poder al Directorio, que gobernó los destinos de Francia hasta que en noviembre de 1799, un nuevo golpe de estado los puso en manos de un caudillo emergente, Napoleón Bonaparte, quien gobernó durante 15 años, primero bajo el Consulado, hasta 1802, y después como emperador, hasta abril de 1814, momento en el que Luis XVIII, hermano de Luis XVI, entró en París y se produjo la primera Restauración.
Estos acontecimientos habrían de afectar de forma importante a la Academia como institución y a los hombres que la componían, por supuesto también a Laplace, tal y como iremos viendo al conocer su actividad durante esos años.
Sin embargo, nada parecía afectar a los hábitos de los académicos durante las primeras movilizaciones y cambios, pues el 18 de julio de 1789, cuatro días después de la toma de la Bastilla, Laplace lee en la Academia un tratado sobre la inclinación de la eclíptica. Esa aparente despreocupación pronto cambiaría, pues en otoño de ese año se crea una comisión para estudiar los cambios oportunos que permitan liberalizar las estructuras de la institución según las directrices que el conde de La Rochefoucault había remitido. En esa comisión estarían, junto con el propio Laplace, Condorcet, Borda, Bossut y Tillet, quienes elaboraron una memoria presentada el 1 de marzo de 1790.
El 2 de noviembre de 1791 se creó un nuevo órgano que se encargaría de las patentes y cuestiones tecnológicas de interés público, que hasta ese momento dependían de la Academia, pero que repentinamente se vio desbordada por un aluvión de nuevas propuestas que llegaban tras la Revolución. La Oficina de Consultas de Artes y Oficios, que tal era su nombre, estaba formada por 38 personas: 19 de ellas eran académicos, entre los que se había elegido a Laplace, mientras que las otras 19 representaban a las sociedades de inventores. También encontramos el nombre de Laplace en una comisión que solicitó a la Asamblea que los gobiernos locales mantuviesen la recogida de datos sobre nacimientos y defunciones, tal y como se venía haciendo, para poder proseguir con los estudios estadísticos iniciados años antes. Pero la iniciativa revolucionaria que más interesó a Laplace fue la relativa a la reforma de las unidades de pesos y medidas.
Los nuevos tiempos trajeron nuevas formas y aparecieron multitud de oficinas para atender a diferentes iniciativas y proyectos emanados de la Asamblea. El hecho de que Laplace aparezca entre los elegidos da idea de su prestigio y deja entrever que sus ideas parecían armonizar con las de los nuevos dirigentes, o al menos no debían ser contrarias. Iremos viendo en sucesivos avatares cómo se desenvuelve ante los futuros cambios de régimen.
§. El sistema métrico decimal
Algunos miembros de la Asamblea Nacional solicitaron de la Academia su intervención en la reforma del sistema de pesos y medidas. Se trataba de un tema importante ya que el nuevo estado quería unificar la gran variedad de unidades de medida y peso que se usaban por todo el país, creando para ello un sistema nuevo que fuera difundido por todos los rincones de Francia y terminase con las dificultades que conlleva la diversidad de patrones.
La necesidad de unificar las unidades de peso, capacidad, superficie y longitud era sentida desde antiguo, pues la variedad existente suponía un importante freno para un comercio ágil y sin trabas. La situación era tal que desde 1668 era una barra de hierro empotrada en el muro exterior del Grand Chátelet de París la que se impuso durante años como patrón para las medidas de longitud. A esta unidad, que medía algo menos de 2 metros, se la llamó toesa de Chátelet y fue utilizada para ajustar las que irían apareciendo en el futuro, como la toesa del Perú y la toesa del Norte, empleadas inicialmente en las mediciones geodésicas de Ecuador y Laponia en los años treinta y cuarenta del siglo por Godin y Maupertuis, respectivamente.
Un importante precursor del sistema métrico decimal fue el abad Gabriel Mouton (1618-1694), vicario de la iglesia de san Pablo de Lyon y autor de algunos trabajos astronómicos en los que ya proponía una unidad de medida universal, milla, equivalente a la longitud de un minuto de grado del meridiano, y sus correspondientes múltiplos y divisores decimales como la virga, una milésima de milla y de longitud similar a la toesa, y la vírgula como la décima parte de la virga.
En 1776, Francia adoptó como patrón legal de longitud la toesa del Perú, en sustitución de la de Chátelet, con el nombre de toesa de la Academia y una longitud de 1,949 metros, lo que representaba una diferencia respecto a la de Chátelet de escasamente 0,1 milímetros. Pero sería la Revolución, con nuevos vientos de cambio y una firme decisión de cortar con el pasado, que se consideraba mezquino, oscuro y feudal, la que propició e impulsó un gran número de cambios. Todo en consonancia con la nueva era en la que la diosa razón sustituiría a los viejos usos y a las rancias creencias. Es en estas circunstancias cuando la Asamblea se preocupó por el problema de los patrones de medida y se dispuso a crear otros, más acordes con las necesidades que la ciencia y la técnica del momento precisaban y, sobre todo, de uso general en todo el país.
El proceso no sería fácil, a pesar de contar con el apoyo de los políticos -o quizá por ello-, y siguió un recorrido dubitativo y zigzagueante que culminaría con el sistema de pesas y medidas que todos conocemos. Fueron muchas las personas que intervinieron en el proceso y que ostentaron la responsabilidad de los trabajos y de las definiciones a través de las sucesivas corporaciones constituidas, cuyos miembros cambiaban periódicamente al igual que sus directores. Si en un principio era la Academia la depositaría de ese encargo y fue en su seno donde se crearon diferentes comisiones, tras su desaparición, en agosto de 1793, cuando Robespierre toma las riendas del poder, la responsabilidad de los trabajos recayó en la Comisión temporal de Pesos y Medidas que el gobierno creó a tal efecto. Sus integrantes continuaron siendo los mismos, es decir, los que hasta la fecha habían sido académicos, pero la comisión sufrió numerosas modificaciones fundamentalmente motivadas por la caída en desgracia de sus miembros a los ojos de los políticos imperantes. Así, por resolución de 23 de diciembre de 1793, debieron abandonar los trabajos Borda, Laplace, Coulomb, Brisson y Delambre, bajo la acusación de “insuficientemente digno de confianza por lo que se refiere a sus virtudes republicanas y a su odio a los reyes”. Por otra parte, Lavoisier llevaba en ese momento varios meses encarcelado y ajeno, por lo tanto, a estas ocupaciones.
Acabada la época del Terror, la comisión es sustituida por la Agencia temporal de Pesos y Medidas, creada el 7 de abril de 1795, formada por Legendre, Charles-Étienne de Cocquebert y François Gattey.

La cúpula del edificio del Instituto de Francia.
Desaparece ésta en 1796, pues el 25 de octubre de 1795 se crea el Instituto de Francia, que asume competencias similares a las de la Academia y, en consecuencia, concluye los trabajos relacionados con el sistema métrico.
Está constatado que esta empresa salió adelante tanto por el interés de los académicos como por el de algunos políticos y que su éxito se debe más a las relaciones personales entre unos y otros que a las disposiciones formales de la Asamblea. Los primeros estudios cabe situarlos en la Academia, donde el 27 de junio de 1789 se creó una comisión para completar “una obra sobre pesos y medidas” formada por Lavoisier, Laplace, Brisson, Tillet y Le Roy, pero no hay rastro de su contenido, como tampoco lo hay de otra memoria que sobre el tema leyó Brisson el 14 de abril de 1790.
Todo parece indicar que la Academia apostaba por una reforma que se basara en el sistema decimal, pero también que éste tenía sus detractores. En 1790 apareció un panfleto, elaborado por el comisionado Tillet y por Louis-Paul Abeille, que en nombre de la Sociedad de Agricultura, una de los muchos órganos que surgieron en los primeros momentos de la revolución para defender intereses corporativos, defendía la bondad de la base duodecimal sobre la decimal. El argumento era que el número 12 permitiría a comerciantes, ingenieros y a cualquier profesional calcular mitades, tercios y cuartos de forma mucho más sencilla que si la base elegida fuese el diez, que tiene menos divisores enteros. Recriminaban además a los científicos que por un mero prurito perfeccionista dejaran de lado las dificultades que en su trabajo diario encontrarían comerciantes, granjeros, albañiles, etc.
En medio de esta discrepancia, que amenazaba con enconar posturas sin llegar a resultado alguno, intervino la Asamblea Constituyente, y el 8 de mayo de 1790 ordenó que el nuevo sistema de medidas que se debía elaborar tuviera base decimal.
En esas fechas, el obispo Talleyrand, notable miembro de la Asamblea, parece promover las acciones y los textos legislativos relacionados con este tema y es quien manifiesta el interés que tendría que la unidad de medida tuviera un origen natural y propone utilizar la longitud del péndulo que bate segundos en la latitud de 45°. Esta propuesta no supone una completa novedad, pues poco antes se había debatido esa misma posibilidad en la Academia, recuperando así una sugerencia que hiciera La Condamine tras la expedición a Perú para medir el grado de meridiano.
Este tipo de propuestas presagiaba que la unidad de medida lineal sería distinta de las utilizadas hasta la fecha en cualquiera de las naciones y que provendría de alguna longitud que estuviera relacionada con las diferentes mediciones que se venían realizando en nuestro planeta. Es decir, que iba a tener un origen natural, pues los cambios políticos y sociales apostaban por el triunfo de la razón y el laicismo frente a las imposiciones y prejuicios imperantes en el pasado. Fuera la longitud del péndulo u otra, como terminó ocurriendo, sí que quedaba patente el deseo de que la unidad lineal diera origen a las correspondientes unidades de superficie y volumen, mientras que para el peso parecía imponerse el de un cierto volumen de agua a una temperatura dada, de acuerdo con las experiencias realizadas por Lavoisier. De esta manera los patrones de longitud y peso quedarían ligados a través de la relación común con las unidades de volumen elegidas. Si bien para superficie, volumen y peso se mantuvo la idea apuntada, la unidad de longitud cambiaría la base natural que la debía respaldar, pasando del péndulo que bate segundos a la medida del meridiano terrestre.
Efectivamente, con gran celeridad la Academia nombra una nueva comisión, que esta vez contaba con Laplace, Lagrange, Monge, Borda y Condorcet y que tras unos meses de estudio presenta sus alternativas el 25 de marzo de 1791. La novedad principal afecta a la unidad de longitud que quiere ligarse al tamaño de la Tierra, o mejor aún a la medida del meridiano, pues se optaba por una millonésima parte del cuadrante del meridiano, cantidad que mantenía el uso de la base decimal para su determinación. Por supuesto que sus múltiplos y submúltiplos también corresponderían a sucesivas potencias de diez.
Además se solicitaba una nueva medida del meridiano de París, esta vez entre Dunkerque y Barcelona, que se consideraba necesaria para determinar con la mayor exactitud posible la nueva unidad.
¿Por qué se abandona la idea de relacionar la unidad de longitud con el péndulo? Las razones que se daban en el informe eran que el péndulo que bate segundos depende de un parámetro temporal arbitrario, el segundo, y además intervenía en su determinación el valor de la gravedad en un cierto punto de la superficie terrestre, que no podría expresarse en unidades naturales ciertas. Esa es la razón del cambio, argumentándose además que la relación entre la nueva unidad y la longitud del meridiano facilitaría el cálculo y la expresión de las distancias geográficas y de la superficie de las demarcaciones y regiones, resultando en definitiva más natural que la longitud del péndulo. También se alude, quizá como concesión a la sugerencia de Talleyrand, que su longitud sería similar a la del péndulo.
Laplace estaba absolutamente de acuerdo con tal decisión y aprovechó cuantas ocasiones tuvo para defender el meridiano frente al péndulo como origen natural de la nueva unidad, considerando, por ejemplo, que de esta forma la medidas lineales sobre la Tierra tendrían una relación angular sencilla con un arco de meridiano, o de círculo máximo, y sería de gran ayuda para la navegación.
El metroLa unidad de medida fue bautizada como metro en julio de 1792, cuando se reúne la comisión de la Academia, y la propuesta del nombre es atribuida a Laplace o Borda, según las fuentes consultadas, e igualmente para sus divisores: decímetro, centímetro y milímetro. En cuanto a su longitud, como estaba a la espera de la nueva medición, se tomó como referencia provisional para la medida del cuadrante del meridiano, 5.132.430 toesas, cuya diezmillonésima parte equivale a 3 pies y 11,44 líneas de toesa del Perú, que sería el primer valor para el metro. Cuando se dispuso de las nuevas medidas en 1798, se estableció para el cuadrante del meridiano, una longitud un poco menor, 5.130.740 toesas, que dejaba definitivamente el valor del metro en 3 pies y 11,296 líneas de la toesa del Perú. Hoy sabemos que se cometió un ligero error que hace que nuestro metro mida casi 2 diezmilésimas más de lo que en realidad le corresponde, pues el cuadrante de meridiano mide 10.001.966 metros.
En cuanto a la unidad de superficie, la Academia aprobó la de un cuadrado de 10 metros de lado, cuyo nombre sería área y sus submúltiplos, deciárea, centiárea y miliárea.
La unidad de capacidad, y por ende la de volumen, era la pinta, que correspondía al volumen de un cubo de arista igual a la décima parte del metro.
Asociada a ella estaba la unidad de peso, determinada por Lavoisier, quien la bautizó con el nombre de grave, que era el peso de una pinta de agua destilada a la temperatura de fusión del hielo.
Los trabajos de medición del arco meridiano se alargaron en exceso, pues comenzaron en 1792 y no concluyeron hasta 1798. La razón del retraso se atribuye a la situación social y política, que dificultaba el trabajo científico de los dos equipos creados bajo la dirección de Méchain y Delambre.
No obstante y a causa de la necesidad de avanzar en las resoluciones y mostrar resultados, la Asamblea publicó un decreto, de fecha 1 de agosto de 1793, adoptando definiciones y términos provisionales para las nuevas unidades y señalando los prefijos latinos y griegos que servirían para dar nombre a sus múltiplos y divisores decimales.
Conocemos sobradamente que no todas las propuestas de la Academia se verían refrendadas por las normativas emanadas por la Asamblea, ni en la citada de 1 de agosto de 1793 ni en la definitiva de 7 de abril de 1795 (18 de germinal del año III). Por ejemplo, la unidad de superficie sería el metro cuadrado y no el área (100 metros cuadrados), el nombre de pinta se cambiará por el de litro y el grave acabaría llamándose kilogramo, que pese a ser la unidad definitivamente establecida, terminaría siendo un múltiplo del gramo. Se especula sobre si este cambio se debe al hecho de que Lavoisier, autor de los trabajos y responsable del nombre de la unidad, había sido condenado a muerte por el gobierno revolucionario. Por tal causa, ese mismo gobierno no estaría dispuesto a hacer perdurar la obra y la memoria de este personaje, considerado traidor a la República.
Los trabajos científicos encaminados a fijar con la mayor exactitud las unidades seguirían durante años y no sólo en lo referente al metro, que seguía pendiente de la nueva medición del meridiano. Así, Louis Lefévre-Gineau y Giovanni Fabroni continuarían las experiencias de Lavoisier hasta 1799, llegando a la conclusión de que no podían enfriar agua líquida hasta exactamente los 0ºC requeridos y que, además, la máxima densidad del agua se alcanza a los 4º C y no a 0º C como se había supuesto.
Precisamente las experiencias de estos químicos se centraron de forma especial en conseguir determinaciones precisas de la densidad del agua cuando ésta cambia su temperatura, y emplearon en sus análisis recipientes e instrumental bastante sofisticados y diseñados expresamente para este trabajo. Los resultados obtenidos fueron lo suficientemente contundentes como para que se modificara la definición de kilogramo que diera Lavoisier y se especificara que la temperatura debía ser la de máxima densidad, 4o C, tal y como hoy la conocemos. Sabemos ahora que inicialmente se había considerado sólo un peso de 0,999972 kg, es decir, 1000,028 cm3 en lugar de los pretendidos 1000 cm3 para el volumen de 1 kilogramo de agua pura a 4o C.
De la misma manera que para el metro se dio una referencia que permitiera relacionarlo con las antiguas unidades de longitud, también se evaluó el peso del nuevo kilogramo respecto de los viejos patrones, siendo la equivalencia 1 kg = 18827,15 gramos antiguos de la fila de Carlomagno.
La responsabilidad de las definiciones finales de las unidades y de las experiencias encaminadas a conseguirlas había sido exclusivamente de la Academia, pero ésta y todas las academias francesas fueron clausuradas por la Convención en agosto de 1793. Posteriormente y una vez acabado el periodo del Terror, todas las decisiones al respecto pasaron a depender de la Oficina de Longitudes, creada por decreto de 25 de junio de 1795, que sería dirigida por Borda y en la que colaboraría Laplace con asiduidad.
Las experiencias realizadas para determinar el valor final del kilogramo y su dependencia de la densidad del agua a diferentes temperaturas, permitieron adoptar simultáneamente la escala de grados centígrados con puntos de referencia fijados en 0º C y 100º C, correspondientes a los puntos de congelación y ebullición del agua, dividida en 100 centésimas, o grados, y con sus correspondientes subdivisiones decimales. Esta nueva escala centígrada, o de Celsius, sustituía a la que había sido habitual durante buena parte del siglo, debida a Réaumur y que se basaba en las temperaturas de congelación y ebullición del alcohol.
No debe olvidarse que, si bien las unidades eran estudiadas y definidas mediante meticulosos trabajos científicos, su verdadero interés estribaba en que fueran utilizadas y difundidas por todo el país, por lo que debían existir modelos manipulables. A tal efecto, el 6 de julio de 1795 se depositó en el Comité de Instrucción Pública un metro patrón construido en latón, todavía provisional, realizado por Lenoir. Posteriormente se construirían réplicas del modelo para divulgarlo en sustitución de las antiguas medidas.
El problema de la disparidad de patrones de peso y medida era común a todos los países por lo que la reforma republicana empezó a ganar adeptos y poco a poco se difundieron las nuevas unidades por toda Europa Su adopción definitiva llevaría mucho tiempo, tanto en Francia como en los demás países, y al igual que allí, fueron necesarios decretos que ayudaran a conocer las nuevas unidades y a ponerlas a disposición de comerciantes y técnicos. Para revisar los trabajos y divulgar en otros países las nuevas unidades Laplace hizo votar en enero de 1798 una moción destinada a organizar una conferencia o congreso científico internacional. Talleyrand, ministro de asuntos exteriores bajo el Directorio, invitó en junio de ese año a las potencias aliadas o neutrales para que enviasen sus delegados a París. La situación bélica creada por la expansión francesa limitó la participación extranjera a representantes de la República Bátava (Países Bajos), Suiza, varias repúblicas italianas (Piedemonte, Romana, Cisalpina, Ligur y Toscana) y los reinos de Dinamarca y España. El 25 de mayo de 1799 se leyó el informe final en el Instituto de Francia, con lo que concluyó el congreso. En junio de ese año se construyeron patrones permanentes de platino para el metro y el kilogramo, conservados en los Archivos de la República, que se hicieron oficiales el 10 de diciembre de 1799.
Esta reforma perseguía un futuro más acorde con la razón y, en consecuencia, más organizado, puesto que todas las unidades estaban interrelacionadas. El metro, unidad lineal, determinaba las unidades de superficie y volumen, y ésta se relacionaba con la de capacidad a través de la densidad y la temperatura. También se introdujo un nuevo patrón monetario de manera que sería finalmente el valor del oro y la plata, pesado en kilogramos, el que permitiría poner precio al resto de los bienes a través de las leyes y normas correspondientes. La búsqueda de tal orden y armonía era lo que alentaba a los reformadores del sistema.
La realidad última fue que se precisaron todavía sucesivas intervenciones gubernamentales para imponer en Francia el nuevo sistema métrico, pues el retroceso del credo republicano, y también el de las transformaciones que la Revolución había respaldado, acaecido con el triunfo del bonapartismo, y aún después con la restauración, recluyó al sistema métrico decimal en las escuelas sin acabar de desbancar los viejos modos, quizá por falta de inversión para distribuir réplicas de los patrones. De forma que no sería hasta el 1 de enero de 1840, y tras un periodo de tres años de transición, cuando el sistema métrico se convirtió en obligatorio en todo el territorio francés. Más dilatado y complejo fue el triunfo del sistema en el resto de los países europeos.
§. La reforma republicana del calendario
Las ansias de ruptura con el pasado no se detuvieron en el cambio de las unidades métricas antes consignadas, sino que llegaron también al modo de contar el tiempo y al momento desde que tal cómputo debía realizarse. La Revolución se realizó contra los dos estados privilegiados, nobleza y clero, y un fuerte signo antirreligioso inspiraría bastantes de sus reformas, así pues, la modificación del calendario pretendía reorganizar el sistema de medir el tiempo siguiendo la base decimal, a la vez que perseguía secularizar ese cómputo.
No debemos olvidar a este respecto que las festividades religiosas, en especial la Pascua y las fiestas móviles calculadas a partir de ésta, tienen gran protagonismo y prioridad en el calendario, de forma que su determinación anual altera profundamente la propia fisonomía del calendario y afecta en gran medida a la vida civil, pues la celebración de ferias y mercados dependía entonces, y aún ahora, de los acontecimientos religiosos más que de ordenaciones administrativas. Por otro lado, la sucesión de los años se llevaba, tal y como seguimos haciendo, de acuerdo a la era cristiana, es decir que el origen de cuenta se refiere a la fecha de nacimiento de Cristo.

Alegoría de Messidor, uno de los meses del calendario republicano (equivalente parcialmente a junio).
De acuerdo con la secuencia de hechos acaecidos tras la toma de la Bastilla el 14 de julio de 1789, fue el 22 de septiembre de 1792 cuando se proclamó la primera República Francesa, apenas horas después del triunfo militar en Valmy sobre las tropas prusianas. En los meses siguientes los acontecimientos se precipitan, el rey es guillotinado en enero de 1793 y en junio el gobierno cae en manos de la facción jacobina más violenta que, encabezada por Robespierre, protagonizará durante poco más de un año el periodo que será llamado del Terror. Es precisamente ésta la época en la que se producen los cambios más exacerbados, destinados a romper con el pasado y a crear un nuevo orden de cosas, y entre ellos también se incluye la reforma del calendario.
El 5 de octubre de 1793, apenas dos meses después del encumbramiento de Robespierre, el nuevo calendario está preparado y es decretado su uso obligatorio por la Convención Nacional con efectos retroactivos desde la instauración de la República, 22 de septiembre del año anterior, inicio de la nueva era.
La reforma ideada por G. Romme se apoyaba en el sistema decimal, que había triunfado como base para el resto de las medidas y que él pretendía ampliar también al cómputo del tiempo. Para ello prescinde de la semana de siete días como soporte del calendario e introduce en sus sustitución las décadas, grupos de 10 días. De esta forma un mes está compuesto por tres décadas. El año tiene 12 meses de 30 días, aquí no pudo seguir el sistema decimal y adoptó el tradicional, de base 12, que contaba con fervientes defensores entre los políticos de la época. El año tendría 360 días, a los que se añadían 5 más al final para completar la cifra de 365. Esa cantidad resultaba a todas luces insuficiente por lo que la propuesta de G. Romme fue crear periodos de cuatro años, que recibían el nombre de franciada, cuyos tres primeros años eran de 365 días y al cuarto se le añadía uno más, por lo que pasaba a tener 366 días. Esos días añadidos o epigómenos inicialmente se llamaron sansculottides en honor de los revolucionarios de primera hora, que se autodenominaban sansculottes, por no llevar los pantalones o culottes propios de la nobleza, pero oficialmente se les designó como complementarios.
Gilbert RommeEl autor de la reforma fue Gilbert Romme (1750-1795), quien disponía de una sólida formación matemática, pero que destacó como político. Este personaje, tras viajar por Rusia, llegó en 1788 a París, donde, comprometido con movimientos renovadores y antirreligiosos, abrazó la causa republicana.
Diputado desde 1791, participa con Condorcet en el Comité de Instrucción Pública. Encarcelado en Caen por avatares políticos durante el verano de 1793, va madurando su proyecto de reforma del calendario, y el 17 de septiembre de ese mismo año presenta su informe al Comité de Instrucción Pública, que da su visto bueno. La Convención adopta el nuevo calendario el 5 de octubre de 1793. Fue condenado a muerte en 1795, suicidándose en vísperas de su ejecución.
Los días de cada década, semana de diez días, se nombraban de acuerdo a su lugar de orden: primidi, duodi, tridi, quartidi, quintidi, sextidi, septidi, octidi, nonidi y decadi; este último era festivo.
Los cinco días complementarios estaban situados al final del año, recibían nombres específicos y eran festivos: fiesta de la virtud, fiesta del genio, fiesta del trabajo, fiesta de la opinión y fiesta de las recompensas. El sexto día para el cuarto año de la franciada, también festivo, se llamaba de la Revolución.
Si las previsiones hubieran sido sólo éstas, el año hubiera tenido una duración de 365,25, el decimal sale de repartir el sexto día del cuarto año de la franciada entre los cuatro que la completan. De esa forma estaríamos ante un sistema de cómputo igual al juliano, establecido por Julio César, y que precisamente hubo de ser modificado en 1582 por la reforma gregoriana para evitar el desfase entre las fechas del año y los fenómenos astronómicos. Por la misma razón, el calendario republicano adoptó las mismas disposiciones que el gregoriano.
Pero las modificaciones en el cómputo del tiempo todavía llegan más lejos, pues también el sistema decimal se instaura para las partes o divisiones del día.
En efecto, se considera el día dividido en 10 horas y cada una de ellas en cien partes, que serán los minutos decimales y análogamente uno de estos minutos consta de 100 segundos decimales.

Este reloj decadario se conserva en el Museo Carnavalet de Paris. En la parte superior de su esfera lleva un círculo dividido en diez partes para marcar la hora decadaria o republicana. En su parte inferior lleva otro círculo con las doce divisiones habituales. Esta pieza, más allá de una curiosidad, es también el símbolo de un momento convulso en el que no podía renunciarse a ninguna de las dos unidades de tiempo.
Para fomentar el uso de las nuevas medidas horarias, en principio bastante impopulares, como la reforma en general, se fabricaron modelos de relojes de bolsillo y de pared con la doble medida, la tradicional y la nueva.
El año y los calendariosExpresado en números, la reforma juliana consideraba que la duración del año era:
365 días completos + ¼ = 365,25 días
Por eso cada 4 años se añadía un día más, el bisiesto.La Reforma Gregoriana procuro rectificar el error cometido por la anterior, que suponía una duración excesiva para el año e inicialmente consideró:
Fabre d'Églantinedías completos + ¼ - 3/400 = 365,2425 4 400
De ahí que mantuviera la regla general de introducir un bisiesto cada cuatro años, pero dejando de añadir 3 cada 400 años, precisamente los años múltiplos de 100, cuyo número de centenas no fuera múltiplo de 4. Así, 1700, 1800 y 1900 no fueron bisiestos, como tampoco lo será 2100 y 2200, pero sí lo fue el 2000.
Poco después se dispuso de información suficiente para aquilatar con mayor exactitud la medida del año, reduciéndola en algunas diezmilésimas de día, de forma que cada 4.000 años uno de esos múltiplos de 100 que se consideran bisiestos no lo será. El año tendrá:días completos + ¼ - 3/400 – 1/4000 = 365,24225 días.
Ésta es la regla por la que se regía y rige nuestro actual calendario con nimias modificaciones en largos periodos de tiempo, pues se concede al año 365,242194 días, y es precisamente la misma que se tomó para el calendario republicano.
Sin embargo, la reforma horaria languideció pronto y dejó de ser obligatoria desde el 18 de Germinal del año III (7 de abril de 1795).
Si bien la parte más técnica de la reforma se debe a Romme, quien a través del Comité de Instrucción Pública obtuvo ayuda de científicos, también contó para su proyecto con la colaboración de personajes procedentes de diferentes círculos. Se cuentan entre éstos Lakanal, clérigo; Fourcroy, químico; Crénier, hermano del poeta; David, pintor; y en especial Fabre d’Églantine, poeta revolucionario y diputado que ostentó cargos de importancia en el ministerio de Justicia y que murió en la guillotina el 5 de abril de 1794. Este personaje tuvo una notable influencia en la modificación del calendario, pues fue quien puso nombre a los meses y trocó el santoral que acompaña a cada uno de los días del año con nuevas advocaciones, pero esta vez referidas a la Naturaleza, en especial flores, hortalizas, árboles y animales.
A pesar de los esfuerzos realizados, el nuevo calendario no caló en la población con el mismo entusiasmo que había animado a sus inventores y, lo que es más, los propios científicos que habían ayudado a Gilbert Romme a ajustar su reforma también eran contrarios, más que reacios, a su uso, de forma especial los astrónomos. La cuestión es que el nuevo sistema no aportaba modificación alguna al cómputo del tiempo, pues que dejaba los cálculos tal y como estaban, y sin embargo dificultaba la relación entre las observaciones realizadas antes del cambio y las que se efectuaran después e igualmente obligaba a realizar cálculos en la comparación de observaciones realizadas en Francia y las que se hicieran en los países que mantenían el calendario gregoriano.
Laplace, que junto a Lalande y Delambre había intervenido en algunos aspectos técnicos de la elaboración del calendario, no aceptaba la reforma de buen grado, considerándola gratuita en sus fundamentos y negativa en cuanto a los trabajos científicos, pese a ser un convencido defensor del sistema decimal en la reforma de las medidas; sin embargo, no se manifestó en su contra y nadie lo hizo. Era la época del Terror, la guillotina no cesaba en su macabra función y la suerte de Lavoisier era un presagio que obligó a quienes no estaban en sintonía con el poder a contemporizar con la situación para mantener la cabeza sobre los hombros.
Incluso los principales precursores del calendario republicano, Romme y Fabre, fueron condenados a la guillotina por desavenencias políticas con los dirigentes del momento. Fabre moría junto a Danton el 5 de abril de 1794 y Romme se suicidó la víspera de subir al cadalso, el 17 de junio de 1795.
La caída de Robespierre, la instauración del Directorio y la posterior llegada de Napoleón al poder cambiaron el rumbo de las cosas y también el papel de muchos de los científicos semi-ocultos durante el periodo del Terror, que de pronto se vieron encumbrados y agasajados en los sucesivos cambios políticos y de forma muy especial durante el bonapartismo. Será entonces cuando Laplace, uno de los más favorecidos, haga valer su influencia ante Napoleón para que éste acabe con el calendario republicano. En efecto, el 9 de septiembre de 1805 el Senado vota su abolición y ordena la restauración del calendario gregoriano a partir del 1 de enero de 1805, el 12 de frimario del año XV, día que ya no existió para el calendario republicano, vigente desde el 22 de octubre de 1792. El cómputo republicano duró 13 años y poco más de 2 meses, aunque su vida real aún fue menor, pues había comenzado a usarse el 22 de octubre de 1793.
Se ha comentado que las intenciones de sus promotores eran más ideológicas y anticlericales que científicas, y esa situación, junto a la impopularidad de la medida, propició su rápido ocaso. Que tal interpretación de los hechos se ajusta a la realidad está avalada por multitud de anécdotas, pero quizá una bien significativa es la que protagonizara Gilbert Romme con otro diputado, Henri Gregoire, durante los debates previos a su aprobación por la Asamblea. A la pregunta de éste último, a la sazón clérigo, sobre las ventajas del cambio, Romme le respondió con un escueto: “Suprimir el domingo".
§. Pierre-Simon de Laplace durante este periodo
Antes de seguir con los avatares personales de Laplace en estos años, recordaremos que llegaba a París en 1769, donde D’Alembert le consiguió una plaza de profesor en la Escuela Real Militar de París. En 1773 fue elegido como miembro asociado de la Academia de las Ciencias de París. En 1784 sucede a Étienne Bézout como examinador de la Academia de Artillería y en 1785 es recibido como miembro de pleno derecho de la Academia. Casado en 1788 con Marie-Charlotte de Courty de Romanges pronto tuvo dos hijos.
Así de sucinta era la biografía de este hombre, que había alcanzado un enorme prestigio como científico y que tenía 40 años cuando se desataron los acontecimientos revolucionarios de 1789.
Parece ser que Laplace recibe de buen grado el ideario republicano, pues participó activamente en las nuevas instituciones, y desde luego no fue en absoluto de los que abandonó Francia tras la caída de la monarquía. Pero, por otra parte, había conseguido granjearse la inquina de algunos de los más relevantes e influyentes políticos. En efecto, Marat escribió en 1791 una dura diatriba contra los científicos en su panfletario Les charlatans modernes (Los charlatanes modernos), donde descalificaba a muchos de ellos, a Laplace entre otros, y de manera muy especial a Lavoisier, director de la Academia.
En este asunto llovía sobre mojado, pues Marat había querido ingresar en la institución en 1782, y su petición, que fue rechazada, en aquel momento había sido respaldada por Brissot, autor a su vez de otro panfleto, titulado De la verité (De la verdad) y aparecido ese año, en descrédito de los científicos, y con quien Laplace tuvo un fuerte enfrentamiento, pues en el libro aparecía parodiado en forma de un displicente personaje, que rechaza cuanto es ajeno a la burbuja matemática en la que vive.
Escribía Marat que “Laplace es famoso por su bonita mitad”, en clara alusión a su esposa, perteneciente a la pequeña nobleza y 20 años más joven que él. Ese matrimonio era visto por sus enemigos como una manera de progresar social y económicamente y lo utilizaban en su descrédito. No obstante, el comentario de Marat se hacía extensivo a otros académicos: “Cuántos deben sus fortunas a los manejos de sus castas mitades”.
A pesar de ese clima áspero, Laplace continuó en sus ocupaciones como académico, centradas en los trabajos sobre el sistema métrico; como examinador en la Academia de Artillería, aunque este puesto no reclamaba su atención más allá de un mes al año, y participaba eventualmente en las recientes comisiones creadas por el nuevo gobierno. En definitiva, su vida desde el punto de vista profesional no había cambiado especialmente tras los episodios revolucionarios, pero sí había modificaciones importantes en el terreno de lo personal, ahora tenía una familia de la que preocuparse y de manera especial de sus dos hijos, Charles-Émile y Sophie-Suzanne, todavía muy pequeños.
Fuera su seguridad personal o la de su familia lo que le preocupara, lo cierto es que Laplace abandonó París por vez primera desde que llegara de Caen en 1768. El motivo de su marcha no es otro que el cariz que tomaron los acontecimientos tras la toma del poder por la facción jacobina que dejó el gobierno en manos de Robespierre y que desató el periodo revolucionario más violento, la época del Terror, entre junio de 1793 y julio de 1794. En estos meses sí se produjeron cambios que afectaron profundamente a la actividad de Laplace y en general a los círculos científicos: las academias se suprimieron en agosto de 1793, en esas mismas fechas fue desposeído de su plaza de examinador y en diciembre se le separó, junto con otros miembros, de la Comisión temporal de Pesos y Medidas por motivos políticos. Es decir, que en poco más de cuatro meses se vio alejado de todas las instituciones en las que desarrollaba sus distintos cometidos y pasó de contar con el apoyo de los anteriores gobiernos, en cuyos proyectos colaboró de buen grado, a estar entre los enemigos del actual. Si a esto unimos que Lavoisier era encarcelado en noviembre, no debe sorprendernos que Laplace se sintiera en peligro y se alejara prudentemente de París. Melun, ciudad situada a menos de 50 km de la capital francesa, será el lugar elegido y allí, buscando tranquilidad y confiando en pasar más desapercibido, esperará que las aguas se tranquilicen, que los cambios en el poder le reintegren a sus funciones y que un nuevo gobierno más tolerante reclame sus servicios como científico.
Evidentemente en este periodo de reclusión se pierde el rastro del trabajo de Laplace. ¿A qué dedicó su atención en estos meses? Se especula con la posibilidad de que ya hubiera iniciado los manuscritos de dos de sus obras capitales, que aparecerían poco después, se trata de Exposición del sistema del mundo y de la Mecánica celeste; sin embargo, no hay datos que avalen tal suposición. Más verosímil parece que continuara con el estudio de las mareas, tema de la última memoria que leyó en la Academia antes de su cierre. Efectivamente, consta que el 15 de diciembre de 1790 presentó el comienzo de Memoria sobre el flujo y el reflujo del mar, que no sería publicada hasta 1797, pues a partir de la toma de la Bastilla se reduce fuertemente el número de memorias que se presentan en las sesiones y su publicación sufre importantes retrasos.
Aunque se desconoce con precisión el momento en el que la familia Laplace abandonó París, y otro tanto ocurre respecto al regreso, es indudable que la estancia en Melun fue breve, pues el cambio que esperaban no tardó en producirse. Robespierre era detenido el 9 de termidor del año II, 27 de julio de 1794, y ajusticiado junto con más de ochenta de sus allegados; de esta manera terminaba una época que, pese a haber durado poco más de un año, supuso una tremenda sangría, con millares de muertos. Paulatinamente se recobraron la paz interna y los órganos de participación, de forma que, en agosto de 1795, se dispuso de nueva constitución y el poder se confió al Directorio, grupo de cinco personas que rotaban trimestralmente en el cargo de presidente. El poder legislativo recaía en el Consejo de los ancianos, cámara formada por 250 miembros, y en el Consejo de los quinientos, de donde partían las iniciativas legales, que finalmente eran sancionadas o rechazadas por la otra cámara.
También para Laplace los cambios supusieron una vuelta a su anterior estilo de vida. El 23 de julio de 1795 es reintegrado a su puesto de examinador, ahora en la nueva École Polytechnique, donde se encargará de examinar a los alumnos de artillería. Las antiguas academias son reconstituidas pero bajo un nuevo formato, el Instituto Nacional de Ciencias y de Artes, que se dividía en varias clases, cada una de ellas correspondía a una de las antiguas academias, de forma que la primera clase, por ejemplo, era la de ciencias. El Instituto fue creado el 25 de octubre de 1795 y su presidencia era rotatoria entre los presidentes de las diferentes clases, así que Laplace, como presidente de la clase de ciencias, lo fue también del Instituto en el tercer trimestre del año IV (entre abril y julio de 1796), mientras que ocuparía la vicepresidencia tras la reunión inaugural de 27 de diciembre de 1795.
La reorganización de las ciencias y de su enseñanza supuso la vuelta al protagonismo en cada una de las diferentes especialidades de los mismos nombres que tanto las habían hecho avanzar antes de la Revolución y en los primeros años de ésta. En consecuencia, Laplace recuperó una situación similar a la que tenía antes de su marcha a Melun y retomó sus proyectos personales, junto a las propuestas que desde el Consejo y el Directorio llegaban al Instituto. Así, siguió trabajando en torno al sistema métrico decimal que, aunque ya estaba vigente, seguía pendiente de la determinación de su unidad fundamental, el metro, ya que los trabajos que Delambre y Méchain seguían su curso para determinar con mayor exactitud la longitud del meridiano.
Laplace participó también en otra de las nuevas empresas educativas que el gobierno puso en marcha: l’École Normal, abriéndose para él nuevos horizontes en su relación con la ciencia, en tanto que iba a participar de forma directa en la enseñanza y en la difusión de temas matemáticos y astronómicos en los que él era uno de los más aventajados especialistas del momento.
§. Laplace pedagogo y divulgador científico
Bien es cierto que la relación de Laplace con la enseñanza de las matemáticas viene desde antiguo, puesto que en 1768, antes de su traslado a París, con 18 años le encontramos como tutor en casa del marqués de Héricy y como profesor del colegio de Beaumont. Se trata de una breve experiencia que tendría continuidad tras su llegada a París. También su puesto de examinador en la Academia de Artillería, conseguido en 1784, tenía una importante relación con la educación, aunque más indirecta, puesto que le correspondía determinar los contenidos y métodos más importantes para que el alumno pudiera superar las pruebas a las que se le sometía al final de un tramo de sus estudios. Existían dos tipos de examinadores: los de entrada, que decidían si los candidatos a cierto tipo de estudios eran o no admitidos, y los de salida, de mayor prestigio e influencia, cuyo cometido era decidir sobre la cualificación final del alumno al concluir sus estudios y si estaba capacitado para ostentar las responsabilidades a las que sus estudios le hacían acreedor.
En cualquier caso parece indudable que los criterios de excelencia serían los que primaran tanto para el acceso como para la obtención de títulos.
El propio Laplace, ya como examinador de entrada en l’École Polytechnique, cargo que ocupó en 1795, avisa que en el pasado
los examinadores de Artillería e Ingeniería gozaban con el Antiguo Régimen de un poder ilimitado para la admisión en estos cuerpos, pudiendo mediante exámenes junto a la chimenea favorecer todas las predilecciones, todos los tipos de protección; en la situación actual, por tratarse de exámenes públicos, están obligados a la imparcialidad y a la justicia bajo la supervisión de los directores.
Imparcialidad que no debía estar reñida con un alto grado de exigencia, a tenor de los resultados obtenidos por los aspirantes, pues en el primer año en el que Laplace ocupaba el puesto sólo dos superaron la prueba de acceso.
Ejerció como examinador en l’École Polytechnique entre 1795 y 1799, primero como examinador de entrada y después de salida. Además, Laplace utilizaba no sólo la autoridad de su cargo, sino su prestigio como científico, para desarrollar su ideario educativo, centrado en dos líneas fundamentales.
La primera estaba orientada a la adopción de un programa matemático nacional, con unos contenidos bien delimitados, sin que los métodos para conseguir un resultado concreto estuvieran predeterminados. Se apunta, por lo tanto, a la consideración de las matemáticas, fundamentalmente, como un recurso destinado a conseguir resultados que permitan la resolución de problemas reales. Tampoco se muestra especialmente inclinado a señalar un texto determinado u oficial, sino que cualquier manual podría ser utilizado para el aprendizaje de los tópicos correspondientes. Insistía en la necesidad de homogeneizar la enseñanza de manera que no hubiera disparidad en las pruebas de entrada, ni que hubiera grandes diferencias entre los candidatos. En tal sentido se oponía a la situación de ese momento, con 22 jurados diferentes, uno por centro, para las pruebas de ingreso.
L’École suponía el más alto exponente de la enseñanza de las ciencias. De ella se esperaba que preparara a la futura promoción de científicos y que, por lo tanto, los niveles de formación y exigencia fueran rigurosos. Sabía Laplace que de aquí iban a salir los ingenieros que necesitaba el estado para sacar adelante los grandes y esperados proyectos de infraestructura civil: carreteras, canales, embalses, puertos, minas y un largo etcétera, además de preparar a los futuros ingenieros militares y artilleros. De ahí que él apostara por la distinción de dos niveles, el primero que atendiera las características de la mayoría y se adecuara a su progreso, destinado por lo tanto a los futuros ingenieros, y el segundo, más exigente, destinado “a quienes tienen mucha inteligencia” y de los que esperaba fueran los futuros académicos e investigadores. En tal sentido, utilizó en su breve experiencia como profesor, aunque en menor medida que Monge, la figura del chef de brigade, alumno aventajado que ejercía de tutor con un grupo de compañeros.
Cabe destacar que la pieza fundamental en el desarrollo de l’École Polytechnique, y en general de las instituciones educativas que el Consulado puso en marcha, era Gaspard Monge, cuyas dotes pedagógicas eran proverbiales. Laplace temía que las intenciones de Monge fueran en otra dirección que las suyas y que éste, de criterios menos elitistas, apostara por otro modelo educativo, en especial para l’École Polytechnique. Sin embargo, los especiales avatares que se sucedían en esta época hicieron que fuera enrolado en las campañas de Italia y Egipto, acompañando al general Bonaparte. De forma que durante su ausencia, entre 1797 y 1799, Laplace supo hacer valer su posición ante el Instituto de Francia, ante el gobierno e incluso ante las cámaras legislativas, aprovechando cuantas ocasiones tuvo para difundir sus ideas y sugerir sus soluciones.
Al margen de discusiones sobre el modelo que acabó triunfando en l'École, cabe reseñar que Laplace no se equivocaba al esperar que de ella surgieran los nuevos científicos, puesto que Ampère, Sadi-Carnot, Fresnel, Malus y Poisson fueron algunos de sus más ilustres alumnos.
Siendo importante lo anteriormente dicho en relación a sus inquietudes pedagógicas, queda por mencionar su participación en l’École Nórmale que supondría su experiencia más importante en este campo y la que dejaría una mayor impronta en su trabajo posterior. Esta última faceta dejaría una honda huella entre sus contemporáneos, pues facilitaría la difusión de importantes y novedosos conocimientos científicos gracias a su lenguaje sencillo y nada especializado.
L’École Nórmale fue un proyecto que el Consulado puso en marcha en 1795 al objeto de formar a los profesores que en adelante enseñarían en las escuelas primarias y secundarias francesas. Es evidente que la nueva sociedad necesitaba difundir la ideología imperante a través de la formación de los niños y adolescentes, pero acercar los conocimientos escolares, aunque fueran los más rudimentarios, a todas las capas sociales, suponía una novedad que precisaba de nuevos instrumentos y en especial de nuevos profesores.
Esta iniciativa no era nueva, puesto que su precursor había sido Condorcet, quien la presentó al primer Comité de Instrucción Pública de la Asamblea en 1791. Se trata por lo tanto de una propuesta de primera hora tras los cambios revolucionarios y estaba henchida de espíritu enciclopedista, pues pretendía una formación científica integral asentada sobre el uso de la investigación como método y motor para la enseñanza. A pesar de la buena acogida que tuvo desde el principio, quedaría relegada hasta que el Consulado la puso en marcha en 1795 como solución al problema de la formación de profesores para las nuevas escuelas.
¿Quiénes acudirían a esta nueva institución? El decreto fundacional marca un criterio de proporcionalidad al señalar que debía haber un futuro profesor por cada 20.000 habitantes, elegido por un jurado regional. De esta manera se garantizaba no sólo la cantidad de nuevos profesores, sino que terminada su formación volvieran a sus localidades de origen para desarrollar la función para la que se les había preparado. Sólo se señalaba un criterio de selección y era así de inconcreto: “Ciudadanos que unan a costumbres puras un patriotismo comprobado, y las necesarias cualidades para recibir e impartir instrucción”. Es decir, la componente ideológica primaba sobre cualquier otra cuestión, de manera que el colectivo que finalmente se reuniera en París sería absolutamente heterogéneo, desde casi el analfabetismo hasta alguien de la capacidad intelectual y la preparación de Fourier. Esa disparidad se ve incrementada por el método de selección que marca la normativa, pues en cada localidad se debían crear jurados que decidieran sobre la idoneidad de los candidatos y para esos jurados no había restricción alguna en lo referente a su capacitación para examinar a los aspirantes.
De una forma u otra se superaron todos los inconvenientes y la ley se cumplió, de manera que el 20 de enero de 1795 más de 1400 alumnos se reunirían en el anfiteatro del Museo de Historia Natural para seguir el curso de l’École Nórmale, que concluiría el 19 de mayo. En apenas cuatro meses, se suponía suficientemente formados a quienes poco después serían los responsables de la educación de los jóvenes a través de las escuelas centrales, precedentes de los liceos, creadas ese mismo año en las capitales de los departamentos administrativos y que constituirían el eje del sistema educativo francés para el nivel de secundaria.
Al concluir este primer curso, l’École cerró sus puertas, que no se abrirían hasta muchos años después, tras la restauración, cuando con el mismo nombre, pero con diferente estructura, surgió una nueva institución para la formación de los profesores.
Una vez presentada la singularidad de esta experiencia no debemos pasar por alto otra componente que hizo de esta precaria institución un hito educativo, cuyos contenidos y métodos influirían decisivamente en la enseñanza futura; se trata del profesorado.
La cuestión es ¿por qué científicos de la talla de Berthollet, Haüy, Lagrange, Laplace y Monge, por citar los más conocidos, se enrolan en esta aventura? Es conocido el interés que Monge sentía por la educación, como también lo son sus excelentes cualidades pedagógicas, de las que da cuenta el propio Fourier, alumno de l’École. Sin embargo, el resto de los citados tenían poca experiencia en el terreno de la enseñanza y aparentemente poco que ganar, pues su notoriedad y valía estaban fuera de toda duda. Si a la dificultad que la actividad docente conlleva por sí sola, se añaden otros inconvenientes que la acompañaban en este caso, la sorpresa que produce esa prestigiosa nómina de profesores todavía es mayor. Las incomodidades apuntadas empiezan por el elevado número de alumnos. A este panorama se añade el compromiso de preparar una edición de los temas tratados en el curso, con la consiguiente obligación de releer las notas estenográficas que se tomaban durante las lecciones.
Para explicar las razones por las que personas como Lagrange o Laplace se deciden a secundar este proyecto, parece necesario rendirse a la evidencia de que creían en él. Vieron en l’École Nórmale una apuesta decidida por el progreso de una sociedad activa y cambiante cuyos dirigentes confiaban en el papel que las ciencias, y particularmente las matemáticas, podían jugar en beneficio de un pueblo que empezaba a recorrer el camino de la igualdad y la justicia social.
Por otro lado, esta breve experiencia tuvo una influencia decisiva en la difusión de los saberes científicos, pues por una parte determinó los contenidos de las materias a impartir en los centros de secundaria y por otra numerosas obras dirigidas a la educación y a la divulgación, especialmente en el campo de las matemáticas, encontraron en los cursos de Monge, Lagrange y Laplace un modelo para su estructuración y un marco para la elección de temas.
En cuanto al método expositivo utilizado por Laplace en su curso, destaca especialmente por su estilo discursivo, es decir, carente de figuras y con muy pocas fórmulas, sólo unas 220 en 180 páginas impresas.
MongeGaspard Monge nació el 10 de mayo de 1746. Sus padres, a pesar de su origen modesto, querían que sus hijos estudiaran y alcanzasen así una mejor posición social. Tanto Gaspard como su hermano, también matemático, lo consiguieron.
Destacó ya en el colegio en el que inició sus primeros estudios y a los 16 años levantó un plano de su ciudad, Beaune, que fue el origen de su carrera. Ese plano cayó en manos de un oficial de ingenieros perteneciente a la Escuela de Mézieres, que le recomendó entrar en ella, sin embargo, la extracción social de Gaspard Monge le impidió estudiar para oficial del ejército y sólo se le permitió entrar en la sección práctica, donde debía limitarse a hacer y delinear planos siguiendo métodos laboriosos y anticuados.
Gaspard Monge
Monge puso a punto procedimientos gráficos nuevos y eficaces y poco a poco consiguió que se reconocieran sus enormes capacidades. En enero de 1769 sucedería a Bossut, elegido académico el año anterior como profesor de matemáticas, se iniciaría así una brillante carrera pedagógica, científica y política.
Participo en la creación de l’École Polytechnique en 1795, de la que fue director de 1797 a 1800.[4]
La razón es que dado el elevado número de asistentes resultaba poco adecuado el uso de la pizarra, por lo que era complicado introducir figuras en las explicaciones y prefirió describirlas. Otro tanto ocurría con las fórmulas, que en muchos casos no llegan a aparecer en expresión simbólica, sino que sólo se narra los procedimientos para su manejo.
Una novedad, que sorprende a la crítica actual, es que el curso aparece totalmente estructurado, organizado en apartados, con definiciones claras y bien formuladas, con los enunciados de los teoremas utilizados y en algunos casos, pocos, con sus demostraciones. El texto aparece trufado de advertencias, consejos, comentarios sobre los contenidos de algunas disciplinas e indicaciones morales y filosóficas, pero siempre en un tono impersonal y académico, evitando una familiaridad, que seguramente creía inadecuada para un texto escrito. En cualquier caso, se trata de una ruptura respecto de los manuales al uso, concebidos al modo euclidiano, es decir organizados como un conjunto de axiomas, definiciones y propiedades.
Además cabe destacarse las abundantes referencias a otros autores y a los textos que convendría que los alumnos consultasen. En general, esas alusiones remiten a las fuentes originales: Euler, Newton, Fermat y Descartes. De entre sus contemporáneos sólo Lagrange merece su atención.
Los contenidos del curso matemático de LaplaceLaplace y Lagrange fueron los encargados de la enseñanza de la matemática en l’École Normale. En el caso concreto de Laplace, se sabe que dictó diez lecciones, cuyos temas, esbozados de forma muy sintética, eran los siguientes:
Conviene recordar aquí que había otra materia dedicada exclusivamente a la Geometría que era impartida por Gaspard Monge.
- Numeración y operaciones aritméticas.
- Fracciones, potencias y raíces. Proporciones, progresiones y logaritmos.
- Operaciones algebraicas. Binomio de Newton.
- Ecuaciones: teorema de D’Alembert y regla de Descartes.
- Resolución de ecuaciones. Raíces imaginarias. Ecuaciones de 3º y 4º grado y caso general de factorización de un polinomio de grado par.
- Eliminación de incógnitas en ecuaciones, soluciones por métodos de aproximación. Teorema de Bézout sobre la curva intersección de dos superficies de grados m y n.
- Geometría elemental. Noción de límite, trigonometría plana y esférica. Geometría euclídea, teorema de Tales. Aplicación de límites al cálculo de áreas y volúmenes. Poliedros regulares.
- Aplicaciones del álgebra a la geometría. Division de ángulos: teoremas de Cotes. Uso de las tablas trigonométricas para resolver ecuaciones. Aplicación del álgebra a la teoría de líneas y superficies curvas.
- El nuevo sistema de pesos y medidas. El sistema métrico decimal y su origen.
- Probabilidad.
A pesar de todas estas valoraciones positivas en cuanto al curso y al texto definitivo, no parece que Laplace destacara por sus habilidades pedagógicas, quizás por su poca experiencia, pues el comentario que le dedica Fourier, alumno de aquella École Nórmale, no es muy halagador: “La instrucción matemática que da no tiene nada de extraordinario y es muy rápido”. Bien es cierto que sólo Monge parece haberle impresionado, pero debe tenerse en cuenta que era la primera vez que exponía públicamente la geometría descriptiva y que la novedad de los contenidos podría ser uno de los motivos del entusiasmo que produjo.
La experiencia docente en l’École fue la última de Laplace como profesor, pero con su participación en este proyecto dejó una profunda huella en la forma de encarar la enseñanza de las matemáticas. Esa influencia no se limitó exclusivamente al curso dictado y al texto impreso resultante, sino que hay otras dos secuelas editoriales de gran importancia que tienen su origen en este momento: Exposición del sistema del mundo y Essai philosophique sur les probabilités (Ensayo filosófico sobre las probabilidades), aparecido bastante más tarde, en 1814.
Trataremos a continuación de la primera de esas dos obras, porque cronológicamente tiene aquí su espacio adecuado, mientras que la otra, por su fecha de publicación, se comentará más adelante, aunque su referente inequívoco esté en las lecciones de l’École y en concreto en la décima y última sesión.
§. Exposición del sistema del mundo
No hay duda alguna de que este trabajo, publicado en 1796, es una continuación de sus lecciones en l’École Nórmale, puesto que debido al poco tiempo del que dispuso para desarrollar su temario los contenidos astronómicos no pudieron ser abordados en absoluto.

Joseph Fourier
Para paliar esta carencia escribiría al final del texto de su última lección:
Me propongo suplir la Mecánica y la Astronomía mediante la publicación de una obra que tendrá por título Exposición del sistema del mundo, en el que he presentado, independientemente del Análisis, el conjunto de descubrimientos que se han realizado hasta el día de hoy, sobre el sistema del mundo.
En consecuencia la intención divulgadora estaba garantizada y, tal como anuncia, siguiendo el mismo patrón que en las sesiones de l’École, no aparece aquí ninguna fórmula, ni explicación especialmente técnica, como tampoco se incluye figura alguna. Se trata de un largo texto, 479 páginas en la edición de sus obras completas, donde de forma muy estructurada describe los cuerpos celestes, sus movimientos, características físicas y las interacciones existentes entre ellos.
La obra está dividida en cinco libros, cuyos títulos, que permiten reconocer sus respectivos contenidos, son los siguientes:
- Movimientos aparentes de los cuerpos celestes.
- Movimientos reales de los cuerpos celestes
- Acerca de las leyes del movimiento.
- Acerca de la teoría de la gravitación universal.
- Compendio de la Historia de la Astronomía.
El tercer libro es el más breve, pues no llega a las 50 páginas, y el cuarto bastante extenso, 150 páginas, da cuenta de las masas de los planetas, de sus formas, de las diferentes perturbaciones de sus movimientos por la interacción mutua y explica la causa de las mareas.
El quinto libro recoge los más destacados hitos en el devenir de la astronomía, con especial atención a Copérnico, Kepler y, sobre todo, a Newton. El último capítulo de este quinto libro, titulado “Consideraciones sobre el sistema del mundo y sobre los progresos futuros de la Astronomía”, contiene la hipótesis cosmogónica, que tanto interés despertó desde el primer momento y que tanta trascendencia habría de tener en los siguientes decenios, prácticamente hasta mediados del siglo XIX. No debe extrañar el impacto producido por esas líneas si se tiene en cuenta que había habido muy pocos intentos de explicar racionalmente el origen del Universo y que su autor era una de las mayores autoridades en lo que a mecánica celeste se refiere.
Habría que remontarse a la Historia general de la naturaleza de Kant, fechada en 1755, para encontrar un precedente que, a la luz de los conocimientos científicos de la época, intentara explicar cómo pudo haberse originado el Universo. Más desarrollada es la segunda hipótesis, debida a Buffon, y que supone que el sistema solar se formó a partir del Sol, que liberó la materia planetaria tras el impacto de un cometa. Es casi seguro que Laplace conocía esta segunda hipótesis, pero no la primera.
La teoría presentada en Exposición se fundamenta en cinco fenómenos que estaban atestiguados por la observación:
- Todos los planetas realizan su movimiento de traslación en torno al Sol con el mismo sentido, en planos muy próximos entre sí y sensiblemente reducibles al plano de la eclíptica.
- Todos los satélites realizan su traslación en el mismo sentido, que coincide con el anterior.
- Los movimientos de rotación de todos los planetas y satélites se realizan en el mismo sentido que su traslación y se corresponde con el de rotación solar.
- Las órbitas elípticas de todos estos cuerpos, planetas y satélites, tienen una excentricidad muy pequeña, es decir que son sensiblemente circulares.
- La gran excentricidad de la órbitas cometarias y sus diferentes inclinaciones.
BuffonGeorges-Louis Leclerc, conde de Buffon (1707-1788) nació en Montbard, en Borgoña. Era hijo de un consejero del parlamento de Dijon. Notable matemático, fue admitido en la Academia de Ciencias a los 26 años. En 1739 es nombrado intendente del Jardin des Plantes y desde entonces se consagra a su obra de naturalista. Cada año pasa cuatro meses en París enriqueciendo el jardín real y frecuentando algunos salones ilustrados, entre ellos el de madame Necker. Los otros ocho meses los pasa en el castillo de Montbard, donde a lo largo de 40 años escribirá los volúmenes de su magna obra Historia natural.
La Historia natural, publicada regularmente entre 1749 y 1789, consta de 36 volúmenes, uno sobre la teoría de la Tierra, 2 sobre el hombre, 12 sobre los cuadrúpedos vivíparos, 9 sobre los pájaros, 5 sobre los minerales y 7 con suplementos, conteniendo las célebres “Épocas de la naturaleza” (1778), donde formula su hipótesis sobre la formación de la Tierra y de los planetas.
Eso significa que todos los cuerpos del sistema solar conocidos entonces tenían características similares en sus movimientos orbitales, a excepción de los cometas que por los diferentes ángulos de inclinación que presentan los planos de sus órbitas y la acusada excentricidad de éstas no podían ser asimilados en el origen común que se maneja en la hipótesis. Anteriormente, Laplace había postulado que estos cuerpos no eran integrantes del sistema solar, sino que, debido a esas acusadas diferencias, les suponía procedentes de otro sistema estelar, pero que en su alejamiento de la estrella que inicialmente ejercía su atracción podían caer bajo la acción gravitatoria de otra, como el Sol, convirtiéndose así en errantes interestelares.
De esta manera estos incómodos y poco conocidos objetos quedaban excluidos del modelo, que se limitaba a los planetas y satélites del sistema solar conocidos en la época.
Con estos elementos Laplace elabora su hipótesis. Supone que inicialmente el Sol tenía un tamaño mucho mayor que el actual, poseía toda la masa del sistema solar y giraba con movimiento de rotación en torno a su eje. Se trata, pues, de uno de esos elipsoides de revolución, casi esféricos, sobre los que él y muchos de sus contemporáneos habían trabajado. Por enfriamiento las moléculas más exteriores de la atmósfera solar se condensan y se van acercando al ecuador solar y quedan finalmente separadas. Por lo tanto una cierta cantidad de materia se separa del Sol y permanece girando con el movimiento de rotación que tenía, mientras que el Sol, ahora más pequeño, incrementa su velocidad angular. Quedaría explicada la formación de un planeta con un cierto periodo de rotación y traslación. Éste, siguiendo un proceso similar, podría llegar a formar satélites.
El Sol, por sucesivos enfriamientos y condensaciones, va perdiendo masa y originando los distintos planetas. Cada una de esas liberaciones de materia conlleva modificaciones en la física solar: se reduce su diámetro y aumenta su velocidad angular. Así se explicaría que todos planetas y sus satélites giren y se trasladen en el mismo sentido, a causa del movimiento de rotación solar, y describan órbitas casi circulares que están en las proximidades del ecuador solar. Igualmente quedaría explicado por qué los periodos de traslación de los planetas son mayores cuanto más alejados están del Sol. Así, es de 84 años para Urano, de uno para la Tierra e inferior a tres meses para Mercurio, mientras que el periodo de rotación del Sol es de unos 25,5 días.
Esa pérdida de masa no sería continua, sino que se produce en momentos críticos cuando la fuerza centrífuga causada por la rotación supera la fuerza gravitatoria con la que esas moléculas son atraídas. De ahí que los planetas ocupen ciertas posiciones que no son aleatorias sino que se rigen por una ley, la de Titius-Bode, enunciada en 1766.
Las teorías anteriores a ésta, como la de Buffon, satisfacen el primero de los cinco fenómenos señalados, el movimiento de los planetas en un mismo sentido, puesto que al suponer que el origen del sistema es el impacto de un cometa sobre el Sol, sólo se garantiza de forma verosímil ese aspecto: el común origen solar de todos los planetas y satélites.
Esos cinco fenómenos que pretendió explicar mediante su hipótesis ya eran conocidos con anterioridad, la cuestión es ¿por qué Laplace no aventuró esa misma hipótesis veinte años antes, por ejemplo? La respuesta podemos encontrarla en los resultados que a lo largo de esas dos décadas fue obteniendo y que ahora le permitían asegurar que el sistema solar era un sistema estable. Gracias a sus trabajos, y a los de sus contemporáneos, había podido demostrar que los movimientos seculares de Júpiter y Saturno eran periódicos, lo mismo para la libración lunar y para la resonancia de los satélites de Júpiter. Pero, además, al obtener las formas y tamaños de los planetas y sus elementos orbitales a través de la ley de gravitación, había mostrado una nueva imagen del mundo en la que una teoría única permitía la explicación de la realidad observada, donde los movimientos se repetían exactamente con algunas ligeras variaciones que quedaban limitadas por estrechos y conocidos márgenes y que devolvía al Universo una armonía que había estado en tela de juicio a causa de ciertos movimientos que amenazaban con hacer desaparecer el buen orden que era uno de los principales fundamentos de la astronomía. Es más, esta disciplina que durante siglos había garantizado el equilibrio del mundo, con unos u otros modelos, parecía haber entrado en una crisis en la que ya no podía asegurar que los cuerpos, orbes y movimientos persistirían indefinidamente.
En este sentido conviene oír la descripción que otro eminente astrónomo, François Arago, hace de los grandes progresos que consiguiera Laplace.

Dominique François Jean Arago
Se trata de un discurso que pronunció ante los diputados en 1842, cuando solicitó que el estado se hiciera cargo de la edición de las obras completas de Laplace. Dicha petición estaba encaminada a garantizar que éstas fueran difundidas a través de las bibliotecas y los centros educativos de Francia de manera que se conociera el enorme legado científico que había dejado y se rindiera, de paso, homenaje a tan ilustre sabio.
Decía Arago que antes de Laplace “nuestro sistema parecía destinado a perder Saturno, su más misterioso adorno; a ver a este planeta, acompañado de sus anillos y de sus siete satélites, hundirse gradualmente en las regiones desconocidas, en las que el ojo humano, ni siquiera armado de los más potentes telescopios podrá penetrar jamás. Júpiter, por su parte, ese globo al lado del cual el nuestro es tan poca cosa, se precipitaría en la materia incandescente del Sol; los hombres verían finalmente a la Luna precipitarse sobre la Tierra”.
Este panorama tan dantesco no hacía sino resumir de forma bien gráfica lo que se seguía de los inexplicados movimientos seculares antes citados: Saturno aumentaba su movimiento medio y se alejaba de su posición, mientras que Júpiter se iba frenando, al igual que la Luna, hasta precitarse contra el Sol y la Tierra, respectivamente. Laplace consiguió demostrar que existía una teoría que devolvía al Universo una estabilidad que había naufragado en las décadas precedentes, restableciendo así una seguridad en la naturaleza que se había perdido y recuperando una confianza para la ciencia que estaba a punto de perderse. En definitiva, el Universo ya no era un lugar hostil y el ser humano podía vivir en él despreocupadamente, esperando que los sabios desentrañaran sus misterios y los redujeran a leyes que permitieran dominarlo.
Volviendo a la hipótesis cosmogónica, ciertamente que los datos para su formulación eran conocidos, pero esta situación de estabilidad era el resultado de los trabajos de Laplace en los años setenta y ochenta y, gracias a ellos, algo que podía intuirse o esperarse se había convertido en una certeza perfectamente demostrada. Ahora, en 1796, explicados los movimientos seculares, la libración lunar y el fenómeno de las mareas, sí estaba en disposición de dar este paso.
Pese a la buena estructuración de su teoría, lo sencilla de ésta y lo plausible que resultaba, no debe olvidarse que aparece en un texto de divulgación científica y, más aún, se esboza en unos pocos párrafos en el último capítulo del libro y se detalla en la última de las notas finales en apenas diez páginas. Jamás apareció entre sus trabajos científicos y nunca la defendió en ámbitos académicos ni la desarrolló en memoria alguna.
Para Laplace, se trataba de una hipótesis que permitía explicar el origen de nuestro sistema solar y, en general, de cualquier sistema planetario, pero no podía ser demostrada, de ahí que no hiciera hincapié en ella ni la sacara del terreno de lo razonablemente posible. Sin embargo, no pudo evitar que su hipótesis le diera una enorme fama y prestigio en ámbitos extracientíficos y que fuera el resultado más conocido y divulgado de cuanto produjo, haciendo de su Exposición del sistema del mundo, un tratado leído y muy apreciado por el público no especializado.
El carácter de propuesta no probada y, por lo tanto, poco científica no significa que no fuera tenida en consideración por sus colegas, puesto que los nuevos descubrimientos celestes y observaciones fortalecían su hipótesis. Un claro ejemplo de la vitalidad de su conjetura se encuentra en la memoria que un todavía joven Auguste Comte leyó en la Academia en enero de 1835, ocho años después de la muerte de Laplace y cuando la teoría andaba camino de cumplir los cuarenta años. El que luego sería el más destacado filósofo del positivismo tituló su trabajo como Primera memoria sobre la cosmogonía positiva, puesto que tenía previsto preparar una segunda que nunca llegaría a ser realidad. Los méritos académicos que presenta son el de antiguo alumno de l’École Polytechnique y profesor de análisis trascendente y de mecánica racional en esa misma escuela. Los académicos Arago, Savary y Libri actuaron como examinadores de la memoria y en ella anotaron: “No hay lugar a informe”.
Su auditorio, en las sesiones del 19 y 26 de enero de 1835, en las que se produjo la lectura, era del mayor prestigio, y estaba formado por Poinsot, Lacroix, Poisson, Biot, Gay-Lussac, Ampère, Cuvier y Poncelet, por sólo citar algunos de los más conocidos.
En su trabajo, el filósofo, que enseñaba astronomía desde 1831 en los cursos que organizaba el Ayuntamiento de París, sí que respalda la propuesta con un importante aparato matemático al objeto de mostrar que la hipótesis no sólo está en consonancia con las observaciones y el conocimiento del Universo que se tenía, sino que las leyes de la mecánica apuntaban a su verosimilitud llevando a esta teoría del terreno de lo posible al de lo verificable.
En palabras de Comte: “La explicación propuesta por estos dos ilustres sabios permite, sin duda, concebir vagamente la total disposición actual de los cuerpos celestes, como podrían hacerlo otros supuestos muy diferentes. Pero ella no presenta hasta el día de hoy nada que pueda someterse a nuestros cálculos, que pueda, por confrontación de elementos bien medidos actualmente, testimoniar con certeza a favor o en contra de la realidad del estado celeste primitivo que supone” y unas líneas más adelante añade de forma más concluyente que “El objeto de esta memoria es remediar esta imperfección capital, y comenzar a dar a la ingeniosa concepción de Herschel y de Laplace la consistencia científica que todavía le falta”.
Lo que trata de demostrar es que si consideramos un Sol cuyo radio es igual a la distancia actual del Sol hasta un planeta determinado, el periodo de rotación solar seria sensiblemente igual al tiempo que ese planeta invierte en recorrer su órbita, es decir a su periodo sidéreo. Como hemos visto, esta situación es la que se sustenta de forma teórica en la hipótesis y lo que ahora intentaba Comte es demostrarlo.
Concluye la memoria con el análisis de la estabilidad del estado actual del sistema solar, diagnosticando mediante la misma fórmula que dado el tamaño del Sol y su velocidad de rotación no podría formarse un nuevo planeta más próximo a él que Mercurio.
En el texto tomado de Comte, donde se resaltan la carencias matemáticas que presentaba la propuesta y que él intentaba paliar, se alude a una doble paternidad del hipótesis cosmogónica: Laplace y Herschel. No hay duda acerca de la originalidad del trabajo del astrónomo francés, pero es cierto que utilizó algunos de los resultados conseguidos por Herschel, y no sólo en lo que a los nuevos objetos que éste descubriera en el sistema solar -tal es el caso de Urano y de algunos de sus satélites-, sino primordialmente a las estrellas que con el nombre de nebulosas había descrito y clasificado. Él no fue realmente su descubridor, pues ya Nicolas-Louis de La Caille (1713-1762) y especialmente Charles Messier (1730-1817) habían catalogado algunas, pero en muchos casos las confundieron con cometas. Herschel, mucho más sistemático en sus observaciones y armado de los mejores y más potentes telescopios del momento, que él mismo construía, estaba capacitado como ningún otro astrónomo de su época para describir el cielo profundo.
Sobre las nebulosas escribía en 1786:
“Yo he visto dobles y triples nebulosas organizadas de formas diferentes; unas grandes con otras pequeñas a su alrededor, delgadas, pero muy extendidas, corno nubes de luz o gotas brillantes; algunas con forma de abanico semejantes a un haz extendiéndose desde un punto luminoso; otras con forma de cometa con un núcleo en el centro; o como nubes de estrellas, envueltas por una atmosfera nebulosa; otras de tipo diferente contienen una nubosidad de aspecto lechoso, como este maravilloso e inexplicable fenómeno de 𝜃 Orionis; mientras otras tienen un brillo multicolor aunque más débil que sugiere que se están convirtiendo en estrellas “.
Estas descripciones de enormes nubes gaseosas de aspecto lechoso y con núcleo luminoso, se avenían muy bien con la idea de un gigantesco Sol, cuyo tamaño sería el de una esfera de diámetro el del sistema solar, girando y desprendiéndose de parte de su atmósfera para formar los planetas en el plano de su ecuador. No es, pues, sorprendente, que esta conjetura fuera conocida también con el nombre de hipótesis nebular y que el nombre de Herschel se uniera al de Laplace. Además, la propuesta teórica de éste y las observaciones de aquél se aunaban para explicar cómo se formó el sistema solar y cómo éste es uno más de los muchos mundos que se empezaban a atisbar a través de los enormes telescopios. De manera que de un golpe quedaban perfectamente separadas las ideas de Universo y de sistema solar.
Volviendo al trabajo de Comte, éste no sólo no continuó con sus esfuerzos para que la hipótesis tuviera carácter científico, sino que se desdijo de sus palabras, dejó de enseñarla en sus cursos y negó su validez allá donde pudo. Y no sólo arremetió contra ella, sino contra cualquier intento de explicación razonable sobre cosmogonía, pues el positivismo que él defendía chocaba contra una investigación “realmente inaccesible”. En 1845 escribía a John Stuart Mili en estos términos:
“Este esfuerzo es una concesión viciosa a las ultimas modas de ateísmo metafísico que persiguen, a su manera, cuestiones que la sana filosofía debe descartar absolutamente".
Si bien el positivismo de Comte le llevó finalmente a enjuiciar tan duramente la hipótesis, no sería ésta la primera vez que merece el calificativo de atea. Existe al respecto una reveladora anécdota según la cual Napoleón Bonaparte habría inquirido al astrónomo acerca de la ausencia de dios en su cosmogonía, a lo que Laplace le habría contestado con un definitivo: “No tengo necesidad de esa hipótesis”.
Cierta o no en su totalidad, la anécdota sirve para introducir otra de las novedades que contiene la hipótesis, precisamente que el Universo no precisa de un ser o inteligencia superior que vele por él y por su buen orden. Por supuesto que el tema no se refiere a la creación del mundo o de la materia, sino sólo al origen de los sistemas planetarios; pero, a pesar de todo, el hecho de no haber recurrido a la divinidad en su planteamiento es una buena muestra del talante científico de Laplace para quien sólo lo demostrable y constatable merecía verosimilitud.
Aportaciones de Comte a la hipótesis cosmogónica de Herschel-LaplaceComte comienza por utilizar la fórmula de Huygens que permite determinar la fuerza centrífuga aplicada al caso de un sol que tuviera un radio d y cuyo periodo de rotación fuera T. En tal caso la fuerza centrífuga en el ecuador solar, sería:
Ese valor d será el mismo que corresponde a la órbita de un planeta formado en ese momento crítico y por lo tanto T debería ser su periodo de traslación. Eso es precisamente lo que pretende demostrar Comte.
Por otro lado, llamando r al radio solar actual y G a la atracción gravitatoria, la atracción gravitatoria ejercida por un sol cuyo radio fuera d, sería:En el momento crítico de la formación del planeta ambas fuerzas deben ser iguales:
Expresión que admite la forma:
donde el segundo miembro es un valor constante, pues depende de valores conocidos del sol actual. Por lo tanto puede escribirse:
Que corresponde a la tercera ley de Kepler, como muy bien advierte Comte.
Calculada esa constante y expresado su valor en kilómetros y segundos, se tieneK = 2,78747×10-10
Ahora sí se dispone de una herramienta sencilla que permite calcular los periodos de rotación del sol en diferentes momentos de su evolución y por lo tanto con diferentes tamaños, es decir con valores de d equivalentes a la distancia del centro del sol hasta uno cualquiera de los planetas.
Esto es lo que hizo Comte inmediatamente para el caso de la Tierra, donde d es la distancia Tierra-sol en km.T2 = Kd3 = 2,78747×10-10
d3 = 2,78747×10-10 × 152917312,833 = 9,96736×1014
T = 3,15711×107 segundos
Que expresado en días da 365,406; aunque Comte obtuvo 357. A pesar de esa pequeña diferencia quedaba bien patente que los datos obtenidos respaldaban la teoría. A continuación, calculó los valores de otros planetas, con resultados similares.
Utiliza a continuación la misma fórmula para contrastar la hipótesis en lo relativo a la formación de los satélites a partir de los planetas en torno a los que orbitan, puesto que sostenía que su formación se debe a un fenómeno similar al descrito para los planetas respecto del sol.
En la anécdota antes comentada, parece comprobado que las palabras de Napoleón fueron:
“Newton habló de dios en su libro. Recorrí el vuestro y no lo he encontrado nombrado una sola vez".
Ese era el quid del asunto; los científicos precedentes no habían tenido reparos en mezclar lo físico y lo metafísico para superar las dificultades con las que chocaban sus teorías. Eso mismo le había ocurrido al sabio inglés y Laplace se hace eco de ello en su Exposición. A pesar de que él era un newtoniano convencido y había fundamentado su trabajo sobre las leyes de la gravitación, en este punto no sigue sus pasos e incluso reconviene su actitud y dice
después de la publicación de sus descubrimientos sobre el sistema del mundo y sobre la luz, este gran geómetra, abandonado a especulaciones de otro género, buscó los motivos por los que el autor de la naturaleza ha dado al sistema solar la constitución de la que hemos hablado.
Conviene conocer de primera mano lo dicho por Newton. En la explicación general con la que concluyen los Principia, dice:
“Este elegantísimo sistema del sol, los planetas y los cometas, solo puede originarse en el consejo y dominio de un ente inteligente y poderoso”,
y continua con dos páginas en las que describe las cualidades de ese ser y su reflejo en el universo. Sin embargo, como advierte el mismo Laplace, este comentario no estaba en la primera edición de la obra, fechada en 1687.
En parecidos términos, o quizá aún más explícitamente, se expresa Newton en su Óptica:
"Aun cuando los cometas se mueven por órbitas muy explícitas en todas las direcciones y posiciones, el ciego destino nunca podría haber hecho que todos los planetas se moviesen en una y la misma dirección, siguiendo órbitas concéntricas exceptuando algunas irregularidades poco importantes que podrían deberse a las acciones mutuas de los planetas y cometas entre sí y que pueden aumentar hasta el punto de que el sistema necesite una reforma”.
Newton, conocedor de los movimientos seculares de los planetas y sobre la base de que éstos no eran periódicos, necesitaba de ese ser superior que interviniera para reordenar una situación de aparente equilibrio y devolverle la armonía que al Universo se le supone.
William y Caroline HerschelFriedrich Wilhelm Herschel, conocido como sir William Herschel, nació en Hannover (Alemania) el 15 de noviembre de 1738. Su padre era músico militar y él mostró grandes dotes para la música desde su primera infancia. A causa de ello e influido, sin duda, por el ambiente familiar no resulta extraño que siguiera la carrera de su padre. La Guerra de los Siete Años propició la ocasión para iniciarse en ese oficio, aunque debió abandonarlo muy pronto por motivos de salud. En 1757, cuando contaba con 19 años, emigró a Inglaterra donde deambuló por diferentes regiones del país con intención de buscar fortuna hasta que en 1766 se instaló en Bath, ciudad de moda y muy cosmopolita a causa de sus balnearios. Allí fue acogido por Thomas Linley (1733-1795), quien lo contrato como primer oboe de su orquesta.
Herschel, bajo la protección de Linley, adquirió pronto fama y popularidad en su actividad musical, sin embargo, no colmaba sus inquietudes personales ni su curiosidad intelectual, pues según se cuenta, tras agotadoras jornadas de más de catorce horas de dedicación a la música, buscaba descanso en el estudio de obras científicas, tales como los trabajos matemáticos de Maclaurin y otros semejantes.
se asegura que tras la lectura de Harmonicis de Robert Smith, se interesó por otro libro de ese mismo autor, A Compleat System of Opticks (Un completo sistema de óptica), y que de aquí surgió su pasión por la óptica y, muy especialmente, por los telescopios. Primero compró un pequeño reflector para observar los objetos celestes que se describían en los tratados astronómicos y pronto quiso hacerse con otro mayor a fin de tener a su alcance imágenes más nítidas, pero el precio de los instrumentos que le interesaban resultaba prohibitivo para sus posibilidades económicas y decidió fabricarse uno, siguiendo las instrucciones de los manuales de óptica. Esto ocurría hacia 1773. Estarnos, pues, ante una vocación tardía y lo que inicialmente fue un simple pasatiempo, llegó a convertirse en una profesión o más bien en una pasión que haría progresar enormemente la astronomía observacional y los catálogos estelares.
Herschel se inició en el pulido de lentes y espejos, tarea lenta y tediosa, que requería de tanta perseverancia como cuidado para evitar que pequeños descuidos echaran al traste el trabajo anterior. Corría todavía el año de 1773 cuando finalizó su telescopio de 5,5 pies, con el que pudo observar con detalle la nebulosa de Orion y los anillos de Saturno. El instrumento que consiguió montar era de tipo newton/ano, aunque había pretendido que fuera de los llamados gregorianos, monturas que respondían a la descripción del astrónomo inglés James Gregory (1638-1675). Estas primeras dificultades con la compleja óptica de los telescopios le reportarían beneficios en el futuro, pues pronto se familiarizo con las propiedades de los instrumentos y con las soluciones más adecuadas a las lentes y espejos de los que disponía. Pocos meses después, en 1774, ya contaba con varios aparatos, entre los que destacaba uno de 10 pies con un espejo de nueve pulgadas de diámetro.
En 1776, y merced a un buen instrumento de siete pies, pudo observar “el anillo de Saturno y los dos cinturones con gran perfección”. Estaba, sin duda, en el buen camino, pues ese año ya trabajaba en una montura newtoniana de veinte pies para la que pulió tres espejos.
A partir de ese momento, con telescopios cada vez más potentes y con un celo investigador similar al de los naturalistas de la época, recorrió los cielos comparando las descripciones que aparecían en los textos astronómicos con sus propias observaciones. La minuciosidad y extremo cuidado de éstas tuvieron su recompensa, pues el 13 de enero de 1781, armado de un telescopio newton/ano de siete p/es, apunto a la constelación de Géminis y descubrió un nuevo objeto, como atestiguan sus propias palabras: “Percibí una [pequeña estrella] que parecía visiblemente mayor que el resto; sorprendido por su extraña apariencia la comparé con H-Géminis y con la pequeña estrella en el cuartil entre Auriga y Géminis, y encontrándola mucho mayor que las otras, sospeché que era un cometa”.
Todos los astrónomos, Laplace entre ellos, compartieron la misma opinión y anunciaron el hallazgo de un nuevo cometa y se aprestaron sin éxito a determinar sus características orbitales. Fue Anders Johann Lexell (1740-1784) quien demostró que el objeto descubierto era en realidad un planeta, Urano, que giraba con órbita casi circular y cuyo semieje mayor era 19 veces mayor que el de la Tierra y el doble del de Saturno, que era el planeta más alejado conocido hasta entonces y que, por ser visible a simple vista, se tenía constancia de él desde la más remota antigüedad, se trataba, pues de un hallazgo, revolucionario, pues ampliaba el sistema solar en cuanto a su tamaño y a los planetas que lo formaban.
Este descubrimiento equiparo a Herschel con Galileo y le vallo el título de astrónomo real, con una renta de 200 libras, junto al nombramiento como fellow de la Royal Society. También debe decirse que parte de este reconocimiento pudo deberse a que inicialmente el planeta se llamo Georgium Sidus en honor del rey Jorge III, pues solo al cabo de unos años se impuso su actual nombre de Urano»Así terminó la carrera de un músico y comenzó la de uno de los más importantes observadores que haya tenido la astronomía.
El telescopio de Herschel
La mejora de los aparatos y el trabajo continuo le reportaron nuevos éxitos: los descubrimientos de Oberon y Titania, dos satélites de Urano, en 1787, y dos años después, los de Encelado y Mimas, sexto y séptimo de los satélites conocidos de Saturno.
Pronto su interés se dirigió a regiones del cielo más alejadas y empezó a estudiar de forma sistemática objetos complejos: nebulosas y cúmulos estelares. La potencia de sus instrumentos y su habilidad /e nevaron a situar 1000 nuevas nebulosas que en 1786 presentó en una memoria ante la Royal Society. La lista llegaría a alcanzar 2500 objetos.
Esta nueva descripción del cielo, se asemejaba en parte al modelo cosmológico que sugirió Kant en 1755 y sirvió de importante respaldo a la hipótesis planteada por Laplace en su Exposición del sistema del mundo. No en vano esta hipótesis recibió el nombre de nebular o de Herschel-Laplace, pues aunaba a los resultados teóricos de Laplace, relativos al sistema solar, con las observaciones más novedosas y cuidadas que la ciencia aplicada podía ofrecer. El propio Herschel entre 1811 y 1814 publicó una completa teoría sobre el proceso de condensación de nebulosas que concluía con la formación de una sola estrella o de un grupo de ellas.
William Herschel murió en 1822 dejando un hijo, John Herschel (1792-1871), que siguió los trabajos de su padre, pero con menos mucho éxito.
También hay que hacer referencia a su hermana Caroline Lucretia Herschel (1750-1848) que llegó a Bath en 1772, justo al inicio de la afición William por la óptica y la astronomía. Aunque comenzó dedicándose al canto para ganarse la vida con la música, pronto secundó a su hermano en sus estudios de matemáticas y éste encontró en Caroline una leal colaboradora a la par que una más que dotada ayudante, que tanto le acompañó en las tediosas horas de pulido de espejos como en las noches insomnes de observación.
Parece ser que ella reproducía con detalle las observaciones precedentes de su hermano y solo cuando él se ausentaba podía trabajar en sus propios proyectos.»El 1 agosto de 1786 Caroline descubrió su primer cometa, considerado como el "primer cometa de las damas". Este descubrimiento le valió cierto reconocimiento y un sueldo de 50 francos por año que Jorge III le concedió como ayudante de su hermano. Cuando W/ll/am se caso con Mary Pitt en 1788, se traslado a otra casa, pero se desplazaba diariamente a la de su hermano para el trabajo nocturno. Descubrió hasta ocho cometas entre 1786 y 1797, mejoró el catálogo de Flamsteed con más de medio millar de estrellas que éste no había recogido y se le atribuye buena parte del trabajo de catalogación de las 2500 nebulosas que ubicaron ella y su hermano. Durante veinticinco años dejo la observación para cuidar de su sobrino John, el hijo de William, a quien ayudó en sus primeros trabajos astronómicos.
Caroline Lucretia Herschel (1750-1848)
Caroline regresó a Hannover después de la muerte de su hermano en 1822. Fue elegida miembro honorario de la Royal Society en 1835, siendo la primera mujer en lograrlo. Murió a los 98 años, el 9 de enero de 1848, en Hannover.
Pero aquí es donde Laplace había llegado más lejos, él había demostrado que esas variaciones no eran infinitas, sino periódicas y que, por lo tanto, el equilibrio estaba garantizado y era inherente a las leyes de la mecánica que le habían permitido descubrirlo.
Así las cosas, aunque la anécdota con Napoleón no concluyera con la brillante y altiva frase de que dios era una hipótesis innecesaria en su modelo, lo cierto es que estaba en condiciones de decirlo, pues había llegado, efectivamente, más lejos que cualquier astrónomo, Newton incluido, en la explicación racional del origen de los planetas.
Hipótesis aparte, es bien conocido el agnosticismo de Laplace, del que hizo gala en numerosas ocasiones. Durante su época de profesor de l’École Nórmale, por ejemplo, arremetía contra Newton y Leibniz porque ambos en un momento dado habían abandonado el espíritu crítico y científico para abandonarse a la metafísica, mezclando apriorismos y racionalidad.
Estos firmes principios laicos de Laplace y su postura frente a la religión, además de ciertas inquietudes sociales, se ajustaban muy bien al signo de los tiempos y muestran su sintonía con buena parte del ideario republicano de primera hora.
Cuando Bonaparte se hizo con el poder en 1799, Pierre-Simon Laplace contaba 50 años y se había convertido en un personaje de la mayor relevancia científica y de gran prestigio en la sociedad de la época. El Directorio le devolvió su puesto de profesor y su sillón de académico. Esto y las rentas de su esposa le permitieron una vida confortable, sin preocupaciones económicas, y volcada totalmente en su quehacer científico.
Desde 1796 se encuentra sumergido en un gran proyecto: compilar en un solo texto todos los conocimientos astronómicos del momento actualizados con sus propios descubrimientos, totalmente explicados y presentados con todo el aparato matemático que permita seguir al lector las justificaciones y demostraciones de sus avances. Esta obra sería su Traité de mécanique céleste (Tratado de mecánica celeste), imponente trabajo en cinco gruesos volúmenes que irían apareciendo entre 1799 y 1825, el último con bastante diferencia respecto de los anteriores. La redacción de tan monumental texto y los trabajos sobre pro
es ahora cuando llegan sus dos obras capitales: Théorie analytique des probabilités (1812; Teoría analítica de las probabilidades) y Essai philosophique des probabilités (1814; Ensayo filosófico de las probabilidades).
Por otra parte, es en estos años de alza bonapartista cuando alcanza el zenit de su influencia y poder, puesto que va a ocupar importantes cargos políticos, como ministro y senador, y recibirá títulos y honores, convirtiéndose en conde de Laplace bajo el imperio.
El enorme avance de Laplace, junto a un nutrido grupo de sus colegas, en la escala social durante estos años, se debió indudablemente a la relación personal que trabaron con Napoleón. El origen remoto de tales vínculos hay que situarlo en el interés de éste por la ciencia, que revela una faceta poco conocida de quien alcanzaría enorme fama como estratega y estadista.
§. Laplace entra en política
Napoleón respetaba, sin duda alguna, tanto la ciencia como a sus protagonistas, pero también es cierto que gustó de rodearse de ellos por la respetabilidad que conferían al nuevo estado, a las instituciones y, en definitiva, a su persona. Así fue como Laplace, Lagrange, Monge, Lacépéde, Cousin, Chaptal y otros ocuparon destacados cargos políticos.
Tras el golpe de 18 de Brumario del año VIII (9 de noviembre de 1799), Napoleón, recién llegado de Egipto, se hizo cargo del poder, acabó con el Directorio, promulgó una nueva Constitución y creó el Consulado, órgano formado por tres cónsules que detentaban el poder. Sin embargo, en la práctica era él, como primer cónsul, quien llevaba las riendas del gobierno.
Napoleón y la cienciaLa formación científica de Napoleón Bonaparte era la propia de un oficial. Realizo sus estudios en la Escuela Militar de Brienne durante seis años y después en la Escuela Militar del Campo de Marte de París. En ésta última dejó buenas muestras de su interés y facilidad para las matemáticas a pesar de que apenas estuvo en ella el tiempo equivalente a un curso escolar. Todo indica que fue el propio Laplace, examinador de la Escuela Militar en esa época, quien valoro los conocimientos matemáticos del joven aspirante y que ese primer contacto, aunque aislado, marco definitivamente la relación futura entre ambos. De manera análoga, los puntuales contactos que tuvo Napoleón con otros notorios científicos que ejercían allí como profesores, Louis Monge y Legendre, por ejemplo, serían decisivos en el futuro. Cuando en 1785 concluyo su formación y consiguió su primer destino como oficial, tenía dieciséis años. No hay datos que avalen la realización de otros estudios por parte del oficial Bonaparte salvo una carta dirigida a su hermano José, en 1795, indicando que en ese momento seguía un curso de contenidos científicos, seguramente en el Lycée des Arts, y cuya distribución debía ser similar a los de l’École Nórmale, aunque con una intención divulgadora más acentuada. Por aquel entonces ya no era simplemente un joven curioso, sino que había alcanzado el rango de general, se había convertido en un personaje popular y su nombre era bien conocido en los ambientes políticos.
Su interés por la ciencia y en especial por las matemáticas es permanente y hay cantidad de hechos que lo avalan. Así, cuando partió para las campanas de Italia y Egipto, se hizo acompañar de especialistas de la talla de Gaspard Monge y Berthollet. Reunió una monumental biblioteca en la que abundaban los tratados de ciencia que leía con asiduidad y, lo que es más, fue elegido miembro del Instituto de Francia en 1797, donde tuvo como colegas a los más reputados científicos de la época.
Hay una anécdota, en la que están involucrados Laplace y Lagrange, muy reveladora de la formación y de la personalidad de Napoleón y que impresionó a ambos matemáticos, se relata en Le Moniteur que, con ocasión de una comida, organizada el 11 de diciembre de 1797, “Laplace y Lagrange, ambos miembros de la Iª Clase [sección dedicada a las matemáticas] estaban entre los invitados de François de Neufcháteau... El general charlaba con ellos y habló de matemáticas. Les preguntó si conocían un libro de geometría que recientemente se había publicado en Italia; destacó en particular una nueva e ingeniosa forma de dividir el círculo. Ellos respondieron que no habían oído hablar de ello. Bonaparte pidió un lápiz y un compás y rápidamente hizo la demostración de esta novedad geométrica. General, le dijo Laplace, esperábamos recibir cualquier cosa de usted, excepto lecciones de matemáticas”.
Pocos días después, el 25 de diciembre de 1797, Bonaparte era elegido como nuevo miembro del Instituto para cubrir la vacante que dejara Lazare Carnot tras su exilio. Los otros dos candidatos, los ingenieros Dillon y Mombarlet, contaban con más méritos que el general, pero indudablemente era éste el hombre de moda en París y su estrella brillaba con el mayor vigor en todos los ámbitos.
Al principio asistía regularmente a las sesiones del Instituto e incluso intervino en el examen de algunas de las memorias que se presentaban, pero a mediados del año 1798 partió hacia la campana de Egipto, de donde regresaría para convertirse en cónsul, si bien es cierto que siguió en contacto con los miembros del Instituto y que continuó con la lectura de tratados de matemáticas, sus ocupaciones políticas y militares le obligaron, sin embargo, a dejar de lado su carrera científica, apenas iniciada
En el primer gobierno bonapartista, Laplace ocupó la cartera de interior, nombramiento que resultaría sorprendente, puesto que Laplace, aunque ya era un personaje conocido, no había tenido significación política hasta la fecha y únicamente había intervenido en las sesiones de las cámaras legislativas, Consejo de los Quinientos y Consejo de los Ancianos, como informante del Instituto de Francia, es decir, en calidad de académico.
Su paso por el ministerio sería muy breve, apenas seis semanas, pues fue nombrado el 12 de noviembre de 1799 y cesado el 24 de diciembre de ese mismo año. Este ministerio contaba con una gran cantidad y variedad de responsabilidades: agricultura, artes y manufacturas, minas y forjas, comercio interior, culto, instrucción pública, espectáculos, etc.

Laplace ataviado con el uniforme de canciller del senado.
En ese tiempo abordó principalmente aquellos asuntos para los que se sentía más capacitado, como eran, por ejemplo, la organización de l’École Polytechnique, la difusión del sistema métrico decimal y la estabilidad de los ingenieros en la plazas dependientes de su ministerio. En el informe que presentara el 29 de noviembre sobre los servicios a su cargo, concluye: “Todos están a punto de paralizarse por falta de fondos".
Cuando llegó su cese, es muy probable que sintiera un gran alivio por abandonar una actividad para la que no se sentía preparado ni motivado, pudiendo volver a sus ocupaciones habituales: las reuniones del Instituto, el estudio de los trabajos presentados en él, la comisión de pesas y medidas, la investigación y la redacción de los textos que tenía comprometidos.
En cualquier caso, la relación entre ambos personajes no se vio empañada por este asunto y, seguramente como compensación, el ex-ministro fue nombrado senador y, en 1803, canciller del senado. Allí se encuentra a bastantes de sus colegas, pues allí se sientan Lagrange, Monge, Cousin, Berthollet, Chaptal y Lacépéde, entre otros reconocidos científicos del momento. Los dos primeros, por cierto, a título vitalicio.
Los nombramientos como ministro, senador y canciller suponen un importante cambio en la vida cotidiana de la familia Laplace, puesto que su economía mejora notablemente, y se mudan de la sencilla vivienda que habitaban en la calle Christine, en la margen izquierda del Sena y muy próxima al Instituto, al lujoso Hotel de Brancas, magnífico palacete del siglo XVI construido por la familia Montpensier, en el que vivieron varios años y donde recibían a la alta sociedad parisina.
El teorema de NapoleónLa demostración con la que Bonaparte sorprendió a Lagrange y a Laplace en el transcurso de una memorable cena, y que le valió para abrirle poco después las puertas del Instituto, termino llamándose de Napoleón-Mascheroni. Y eso que Napoleón se limitó a reproducir una proposición tomada del libro de Lorenzo Mascheroni (1750-1780), que versaba sobre el método para determinar mediante el uso exclusivo del compás el centro de una circunferencia, conocidos tres puntos de ella.
Más extendido está otro resultado que se conoce como triángulo de Napoleón o teorema de Napoleón, que dice: dado un triángulo ABC y construidos sobre sus lados tres triángulos equiláteros tales que cada uno tenga un lado común con ABC y que cada triángulo equilátero y el ABC sean de una y otra parte de su lado común, los baricentros de esos triángulos equiláteros determinan un nuevo triángulo equilátero, llamado triángulo exterior de Napoleón de ABC. De la misma forma se obtiene el triángulo interior de Napoleón, con solo considerar que los triángulos equiláteros y ABC están de la misma parte del lado común.
La figura adjunta muestra el triángulo equilátero PQR que es el triángulo exterior de Napoleón de ABC.
Estos resultados, que llevan el nombre de Napoleón, aunque él no tuvo relación alguna con las proposiciones vistas, son una especie de muestra imperecedera de agradecimiento por los honores que otorgo a los matemáticos de su época.
Se abre aquí una época en la que Laplace y su esposa Marie-Charlotte acuden a recepciones y fiestas, llevando una vida mundana que contrasta con la sobriedad que Pierre-Simon había mostrado en el pasado y que, con seguridad, le resta tiempo para su trabajo, que en esta época se centraba fundamentalmente en la redacción de su Mecánica celeste.

La puerta del Hotel de Brancas de París.
Cuando en mayo de 1804 Napoleón se convirtió en emperador, Laplace fue uno más de los miembros del Senado que votó a favor de conferirle ese privilegio, y encabezó el cortejo cuando en diciembre de ese mismo año llegó el momento de la coronación, pues en esa fecha no sólo era senador, sino vicepresidente de la cámara.
No cesaron aquí los títulos: en 1805 recibió la Legión de Honor, en 1806 Bonaparte le nombró conde del imperio y en 1813 le otorgó la orden de la Reunión.
En septiembre de 1807 fue elegido, aunque cabría decir nombrado, canciller del senado, cargo anual que ocupó hasta septiembre de 1808. En cuanto a los hijos, Charles-Émile, de 18 años, preparaba su entrada en l’École Polytechnique para seguir después la carrera de las armas, en la que alcanzará grandes honores, mientras que la niña, Sophie-Suzanne, contaba con 13 años.
El ascenso social de Laplace arrastró también a su esposa. Ésta fue elegida por Elisa Bonaparte, entonces Elisa Bacchiochi, como dama de honor en la corte de Lucca, cuyo recién creado principado le había otorgado su hermano Napoleón. Marie-Charlotte Laplace estuvo presente cuando Napoleón fue consagrado en Milán, tras ser elegido rey de Roma.
Todos estos nombramientos supusieron, como no podía ser de otra forma, sustanciosas mejoras económicas, haciendo que el hasta entonces menguado peculio del científico Laplace pasara, al convertirse en senador y conde, a permitirle adquirir buenas viviendas, tanto en París, como en el campo.
En 1806 adquirió una pequeña, pero aristocrática propiedad en Arcueil, localidad próxima a la capital, donde tendría como vecino al químico Berthollet.
¿Infinitésimos o intereses personales?Napoleón, en su exilio de Santa Elena, reconocería en sus memorias haberse equivocado con el nombramiento de Laplace. Escribió a ese respecto. “Geómetra de primer rango, Laplace no tardó en mostrarse como un administrador más que mediocre, desde su primer trabajo reconocimos habernos equivocado. Laplace no consideraba ninguna cuestión bajo el adecuado punto de vista; buscaba sutilezas por todas partes, no tenía sino ideas problemáticas, llevando el espíritu de los infinitésimos a la administración”.
Es posible que estas palabras reflejen fielmente la situación real, esto es, la incompetencia de Laplace para desarrollar la labor administrativa que se le encomendara. Pero también es cierto que el papel del titular de una cartera no tiene por qué ser determinante para la eficacia del ministerio y quizás las duras palabras de Napoleón, desde la lejanía de su exilio, fueran una manera de justificar el nombramiento del sucesor de Laplace corno ministro de Interior, su propio hermano Lucien Bonaparte.
Juntos crearían allí un pequeño pero poderoso centro de trabajo que durante años marcaría bastantes de las directrices seguidas en las investigaciones de las ciencias experimentales. Igualmente, en 1813 compró el castillo de Mailloc en Normandía, su tierra natal. Estas residencias de Arcueil y Mailloc han desaparecido, la primera demolida en 1910 y la segunda reducida a ruinas tras un incendio en 1926.
Por lo que se refiere a los ingresos que provenían de sus cargos, se sabe que como senador, cargo vitalicio, cobraba 25000 francos al año. Como canciller recibiría 6000 más. La Legión de Honor reportaba 5000 francos. En 1808 recibe del emperador una renta de 16000 francos en el reino de Westfalia. Con seguridad que los diferentes cargos ocupados le reportaron en algunos momentos mayores ingresos. Estas cantidades se suman a las más modestas que le vienen de su trabajo científico, serían unos 6000 francos como profesor de l’École Polytechnique y 1500 como miembro del Instituto.
Hubo reciprocidad, sin duda, por parte de Laplace, y aunque se mostró como persona interesada en medrar en la sociedad de su época, su reconocimiento a Bonaparte parece sincero. Los primeros tomos de la Mecánica celeste estuvieron dedicados a Napoleón, y tras realizarse en el senado la votación para nombrarle emperador, le dirigió estas laudatorias palabras recordándole sus inicios, cuando él le había examinado en la academia militar:
A cabo de proclamar emperador de Francia al héroe a quien tuve la suerte, hace veinte años, de abrir la carrera que él ha recorrido con tanta gloria y felicidad para Francia.
Sin embargo, en 1814, cuando ya es evidente que el imperio va a desaparecer, Laplace, atento a los cambios que se avecinan, vota la inhabilitación del emperador y, acto seguido, ofrece sus servicios a los borbones, adhiriéndose a la restauración de la monarquía. Esto no sólo le permitió asistir con tranquilidad al cambio dinástico, sino que le valió la concesión de nuevos honores y títulos.
Por supuesto, esta actitud tan veleidosa de Laplace fue muy criticada, hasta el punto de que las generaciones inmediatas admiraban al científico en la misma medida en que detestaban al ciudadano. Es más, Laplace llegó a ser el paradigma de persona voluble y capaz de acomodarse en cualquier situación. Estas críticas son justificadas, por supuesto, pero también es cierto que esta misma fue la postura de muchos relevantes ciudadanos de la época y de no pocos de sus colegas científicos. Como explicación a la especial intransigencia mostrada por sus conciudadanos hacia su actitud, si es que la hay, puede anotarse que Laplace ejerció un fuerte patronazgo sobre la ciencia y sus protagonistas en la época napoleónica, tanto durante el consulado como durante el imperio, y no sólo a través de su influencia en el Instituto, sino también fuera de él, especialmente a través de su colaboración con Berthollet en la que se llegó a llamar la Sociedad de Arcueil, que debe su nombre al pueblo próximo a París donde ambos científicos tenían una residencia desde 1806 y donde crearon un potente grupo de trabajo, que durante unos años sería la vanguardia de la investigación.
§. La Mecánica celeste
La actividad política y social que ocupó buena parte de su tiempo no le impidió seguir con su producción científica al más alto nivel, y así, en medio de esta agitada vida, encontró la concentración, el aislamiento y el tiempo suficientes para redactar el Tratado de mecánica celeste, un complejo reto que tiene la polivalencia del libro de texto, de la colección de investigaciones, de la obra de referencia y del almanaque. En definitiva, reúne en sus páginas todo el conocimiento astronómico del momento, tanto teórico como aplicado, en su forma más actualizada, acompañado del aparato matemático, fórmulas, teoremas y demostraciones, que respalda las afirmaciones que allí se contienen.
Los contenidos de sus cinco volúmenes siguen una organización similar a la utilizada en la redacción de su Exposición del sistema del mundo, es decir, que se inicia con aspectos generales de dinámica y de la teoría de perturbaciones, sigue con el movimiento de traslación de planetas y satélites, continúa con el de rotación y, en consecuencia, con la forma y tamaño de cada uno de los objetos celestes, sin descuidar el estudio de las mareas para el caso de nuestro planeta. Termina el cuarto volumen con un detallado estudio de las condiciones de observación: influencia de la temperatura y presión del aire en el punto de observación. Por otra parte, el quinto y último volumen, aparecido casi veinte años después del anterior (en 1823-1825), revisa los contenidos de los anteriores sin que aborde nuevos tópicos.
Este trabajo es una monumental obra que recoge todo lo que hasta la fecha llevaba investigado sobre mecánica y astronomía. Es decir, que en buena medida encuentra ahora la ocasión de presentar de forma organizada lo que hasta ahora habían sido memorias monográficas presentadas en la antigua Academia, aunque aprovechando esta oportunidad para revisar y mejorar los resultados conseguidos entonces, algunos de los cuales datan de sus primeros años en París cuando intentaba hacerse un nombre en la comunidad científica. Por supuesto que los últimos descubrimientos logrados por observación, en especial los de Herschel, también están presentes, así como todas las novedades que le van a dar la oportunidad de perfilar sus resultados anteriores, como el caso concreto de la teoría lunar.
Sin duda, su pensamiento seguía fiel a la idea de desarrollar la teoría de la gravitación hasta las últimas consecuencias y servirse como herramientas fundamentales de su trabajo de la función potencial y de los resultados ya conseguidos sobre la atracción de elipsoides. Desde el punto de vista matemático, las ecuaciones diferenciales y los desarrollos en serie de potencias, que habían sido sus recursos más productivos, seguían siendo los fundamentos de las demostraciones y constituían la justificación de los resultados astronómicos.
§. Volumen I (1799)
Comienza con la exposición de las leyes de la estática y la dinámica, pasando de las masas puntuales a cuerpos y fluidos. En su quinto capítulo incorpora el concepto de plano invariante para la conservación de la ley de las áreas. Esta idea, ya aparecida en 1793, pretendía reducir los movimientos planetarios a un plano virtual que sirviera de referencia para situar los movimientos de los planetas. Este plano pasa por el centro del Sol y está determinado por el vector momento de inercia del sistema solar.

Portada de la Mecánica celeste.
En el segundo libro, pensado también como un manual para la iniciación en los contenidos astronómicos más teóricos, reaparecen bastantes de sus trabajos anteriores, como el relativo a las perturbaciones que le ocupaba desde 1776. Igualmente presenta sus resultados sobre la atracción mutua entre Júpiter y Saturno y las perturbaciones de los satélites galileanos, con especial hincapié en la necesidad de no desechar términos que, aunque aparentemente despreciables, pueden ser causa de grandes modificaciones, tal y como él había demostrado.
§. Volumen II (1799)
Tras haber estudiado los movimientos de traslación, se apresta ahora al estudio de la forma de los planetas, a sus movimientos de rotación y, en particular, a los movimientos de los mares y de la atmósfera terrestres.
Retoma de nuevo los resultados de las memorias sobre las atracciones ejercidas por elipsoides de revolución de los años 1785, 86 y 93. Quizá las mayores novedades están en el terreno de la geodesia, puesto que utilizando los nuevos datos obtenidos en las diferentes medidas del meridiano realizadas consigue expresiones analíticas que dan buenas aproximaciones para puntos concretos de la superficie terrestre. De esta forma, obtiene una importante convergencia entre los resultados observados y los determinados de forma teórica y formaliza un modelo matemático que, al permitir muy buenas aproximaciones, se convierte en una alternativa seria a las costosas expediciones que hasta la fecha se habían mostrado insustituibles.
Introduce el cálculo de errores en la observación, tanto para medidas geodésicas como planetarias, como por ejemplo en el caso del achatamiento de Júpiter. Esto supone una nueva perspectiva en el campo de la teoría de errores porque ahora utiliza situaciones reales y no los meros supuestos teóricos de determinación de causas de los que se sirviera en algunos de sus primeros trabajos de juventud sobre el azar. Situaciones como ésta no han de dejar de sorprendernos, ya que por un lado son auténticas innovaciones en la materia y por otro se trata de temas que ya había abordado en sus estudios probabilísticos de primera hora.
Dedica a continuación un extenso apartado a la teoría de las mareas, donde resume y reorganiza las aportaciones que realizará sobre este problema, que van desde las primeras memorias de 1778 y 1779 hasta la más extensa y cuidada de 1797. Aquí analiza con detalle los datos del puerto de Brest sobre la frecuencia y altura de las pleamares y bajamares junto a sus conclusiones sobre la influencia de las condiciones locales en estos fenómenos. Presenta también la teoría general sobre las mareas y sus teoremas acerca de la relación entre el equilibrio de los mares y la densidad de sus aguas en comparación con la densidad media de la Tierra.
§. Volumen III (1802)
Declara en el prefacio que el objetivo final de este trabajo es alcanzar la mayor precisión posible en las tablas planetarias y lunares. Para ello desarrolla todas las fórmulas que son necesarias para conseguir la mejora de los datos tabulados, tanto para los movimientos propios de los planetas como para sus perturbaciones mutuas.
Recoge los recientes descubrimientos de Ceres y de Palas. El primero fue descubierto el 1 de enero de 1801 por Giuseppe Piazzi (1746-1826), mientras que el segundo fue observado por Wilhelm Olbers (1758-1840) pocos meses después. Estos nuevos cuerpos recibirían el nombre de asteroides a propuesta de Herschel.
Igualmente aparecen importantes novedades sobre el movimiento lunar, puesto que además de sus propios trabajos incluye los más recientes descubrimientos. En efecto, en 1800 el astrónomo vienés John Tobías Bürg (1766-1834) recibe un premio del Instituto de Francia por su estudio sobre las desigualdades del movimiento lunar que se basaba en la detección de un movimiento periódico en los nodos lunares con intervalos de unos 17 años para los valores máximos positivos y de unos 19 para los negativos.
Una vez planteada la cuestión, quedaba por abordar su origen: ¿a qué se debían esas desigualdades? Laplace, utilizando la teoría y las fórmulas expuestas en el primer volumen, determina que la causa era un movimiento de nutación del eje lunar creado por una variación en la inclinación de la órbita de la Luna respecto de la eclíptica. En un primer momento valoró esa pequeña variación en unos 6,5", suponiendo que el achatamiento terrestre fuese de 1/334.
Los cálculos de Bouvard, colaborador de Laplace para estas tediosas verificaciones, dieron como resultado que dicho achatamiento debería de ser con mayor exactitud de 1/314, pero de ninguna manera 1/230, que era el dato que se manejaba en los estudios teóricos del elipsoide terrestre presuponiendo que éste tenía densidad uniforme. Como consecuencia de estos cálculos, esta hipótesis ya no podía mantenerse en el futuro, así que fue descartada la homogeneidad de la distribución de masa en nuestro planeta.
Estos nuevos resultados, que permitían mayor información sobre la Tierra, tanto sobre su forma y dimensiones como sobre su estructura interna, fueron presentados en el Instituto en junio de 1800, es decir, poco después de conocerse las investigaciones de Bürg y poco antes de preparar este tercer volumen.
Una vez más, Laplace consigue que su enorme tratado contenga los mejores y más actuales resultados. Así pues, no fue extraño que se llegase a hablar de él como del nuevo Almagesto y se equiparase a su autor con Ptolomeo y Newton.
§. Volumen IV (1805)
Está dedicado especialmente a los satélites de los planetas del sistema solar. Comienza con los de Júpiter, estudiados en profundidad en sus memorias de 1791 y 1793, pero que ahora retoma para analizar con mayor detalle.
Trata también de los cometas y estudia las perturbaciones que éstos pueden producir en los planetas. La conclusión es que su pequeña masa no afecta a las órbitas planetarias y tampoco a la estabilidad del sistema solar. En consecuencia, las tablas y datos obtenidos no se ven afectados en ningún caso por su aparición, cualquiera que sea la región del cielo en que lo hagan.
También en este volumen hay espacio para novedades y nuevos apartados. Aquí cabe reseñar el problema de la refracción de la luz y la forma en que este fenómeno afecta a las observaciones. El objetivo era, por supuesto, reducir al máximo los errores de observación. Para lograrlo pretendía relacionar la refringencia atmosférica con la densidad del aire, la altitud y la temperatura.

Laplace leyendo la Mecánica celeste.
La relación entre la presión y el volumen del aire ya era conocida y existía un generalizado acuerdo entre los físicos sobre el hecho de que para una temperatura constante la densidad es proporcional a la presión, o dicho de otra forma, que volumen y presión son inversamente proporcionales, ya que para una masa constante de gas densidad y volumen también lo son. Sin embargo, Laplace en ningún caso cita a Boyle o a Mariotte.
Sobre la relación entre temperatura y volumen no se habían alcanzado resultados válidos. Fue Gay-Lussac el que se aprestó a esta tarea. Para ello utilizó dos termómetros, uno de mercurio y otro de aire, y comprobó que a la presión normal de 760 milímetros, a 0º C se expandía 1375 veces al alcanzar los 100 ºC. Realizada también la experiencia para temperaturas intermedias, se llegó a la conclusión de que entre temperatura y volumen existe una relación de proporcionalidad directa.
Para verificar la influencia de la altitud también se realizaron pruebas. A tal efecto Gay-Lussac realizó una ascensión en globo hasta casi 6500 metros de altitud y encontró que la proporción de oxígeno y nitrógeno del aire era similar a la de la superficie y que por lo tanto la altura apenas influía en las observaciones realizadas, en lo que atañe, claro, a las variables estudiadas.
De esta forma se conseguía que un observador provisto de termómetro y barómetro pudiera corregir los errores que presión y temperatura del aire ejercían en los datos tomados.
Todavía incluyó nuevos resultados sobre el estudio de los planetas en un capítulo añadido como suplemento y en el que señalaba cómo había logrado calcular de forma teórica, y sólo analizando en detalle las perturbaciones de Júpiter y Saturno, la masa de éste que hasta la fecha se había aproximado con poca fiabilidad a través de las elongaciones de sus satélites.
En este resultado y en otros de los que aparecen en este volumen debe reseñarse el trabajo paciente y meticuloso de Alexis Bouvard (1767-1843), quien analizó y revisó datos observados, realizó la parte más repetitiva en torno al planteamiento y solución de ecuaciones y afinó los resultados obtenidos para determinar constantes que permitieran que el modelo teórico proporcionara valores concretos y útiles. Laplace, muy parco como sabemos en reconocimientos expresos hacia sus colegas, alude, sin embargo, a esta colaboración. Cabe reseñarlo, tanto por lo inhabitual del hecho como porque nos acerca al enorme esfuerzo que conlleva la determinación de un dato que, como la masa de un planeta, se expresa con un número y que aparentemente parece casi trivial.
Es precisamente en uno de los párrafos del primero de los suplementos con los que concluye la Teoría analítica de las probabilidades donde describió el proceso seguido para la determinación de la masa de Urano
He aprovechado el inmenso trabajo que Bouvard acaba de terminar sobre los movimientos de Júpiter y Saturno, para los que ha construido unas tablas muy precisas. Utilizó todas las oposiciones observadas por Bradley y por los astrónomos posteriores, revisándolas de nuevo con el mayor cuidado, para construir 126 ecuaciones de condiciones para el movimiento de Júpiter en longitud y 129 ecuaciones para el de Saturno. En estas últimas ecuaciones, Bouvard, hizo entrar la masa de Urano como indeterminada.
Este tratado sobre mecánica puso fin a una larga etapa de trabajos sobre astronomía que habían empezado en su juventud, al poco de llegar a París. No es de extrañar, por lo tanto, que al final del prefacio de este cuarto volumen, y último por el momento, escribiera: Nada más me resta. A partir de ahora serán la probabilidad y la física los temas en los que volcará su talento.
§. La Sociedad de Arcueil
El nombre corresponde al de la pequeña localidad vecina a París donde Berthollet y Laplace tenían sendas residencias. Claude Berthollet, junto con su familia, se había instalado allí de forma definitiva desde 1799, ocupando una propiedad campestre donde tenía su propio laboratorio y su despacho.
Ambas familias mantenían unas amistosas relaciones, fruto del trabajo común de ambos científicos, pero reforzadas sin duda por su participación política y por la relación personal que mantenían con Bonaparte. Marie-Charlotte Laplace era con frecuencia invitada por Marie-Margherite, esposa de Berthollet, a visitarlos en la casa de Arcueil. Enterada de que la propiedad vecina estaba deshabitada, animó a su esposo a comprarla, cosa que en efecto hizo en la primavera de 1805.
Desde ese momento también Laplace permaneció en la finca campestre con mucha frecuencia y se creó en torno a los dos sabios un selecto grupo de trabajo formado por sus más aventajados discípulos.
BertholletClaude-Louis Berthollet (1748-1822), nacido en Saboya pero nacionalizado francés, estudio medicina en Turín, desde donde se traslado a París para especializarse en química junto al prestigioso Rouelle, su relación con el duque de Orléans le permitió prosperar con rapidez, siendo elegido muy pronto miembro de la Academia. Lavoisier, también alumno de Rouelle aunque unos años mayor que él, lo incorporo a su equipo para colaborar en sus estudios acerca del aire, el agua, la respiración y el calor. Todo ello pese a que en un principio discrepara abiertamente con la teoría del calórico formulada por Lavoisier, sus primeros trabajos tuvieron que ver con la industria del tinte donde realizo interesantes progresos en el blanqueo de tejidos mediante el uso de derivados del cloro, descubriendo además que el clorato de potasio tenía propiedades explosivas que permitirían usarlo para fabricar pólvora. Durante unas pruebas con esa sustancia, realizadas en presencia de Lavoisier, se produjo una violenta explosión que mató a dos personas, por lo que se abandonaron esas investigaciones. En 1793, con el país en guerra y ante la dificultad de encontrar las materias primas para fabricar pólvora, se encargo de formar a 800 artilleros en la elaboración de una mezcla alternativa a la habitualmente utilizada, más barata, y que sirviera para disparar los cañones. Esta decisiva intervención le abrió las puertas de la política y de la administración republicanas, y pronto, junto a Monge y otros, fue llamado para organizar los nuevos estudios de l’École Polytechnique. Los años 1798 y l 799 los pasó junto a Napoleón, con quien trabó una fuerte amistad, en las campañas de Italia y Egipto. De regreso a Francia, e instalado en Arcueil, pronto es favorecido con el cargo de senador y después con el nombramiento de conde del Imperio. A partir de ese momento, su carrera siguió paralela a la de Laplace tanto en el terreno de la ciencia como en el de la política, pues, aunque muy favorecido por Napoleón, también se contaba entre los que en abril de 1814 votaron su caída. Ello le valió, como a Laplace, que tras la restauración se le nombrase par de Francia
De manera informal al principio, pero después con sus propios estatutos y publicaciones, nació la Société d’Arcueil que durante diez años marcó el rumbo y el ritmo de las más importantes investigaciones que se realizaron en Francia en torno a las ciencias experimentales, especialmente en química y física.
Eran miembros de este grupo, además de los dos promotores, Gay-Lussac, Thénard y Dulong, químicos; Biot, Arago y Malus, físicos; Candolle, botánico; Collet-Descostils, geólogo; así como Amadée, hijo de Berthollet y también químico. El científico y explorador Humboldt era un habitual de las reuniones.
Gay-LussacJoseph-Louis Gay-Lussac (1778-1850) nació en Saint-Léonard-de-Noblat. Más adelante, su padre, hombre de leyes, adquirió una finca en Lussac e incorporo este topónimo a su apellido para distinguirse de los otros Gay de la comarca. A los dieciséis años se traslado a París e inició sus estudios en l’École Polytechnique, de reciente creación, concluyéndolos luego en la Escuela de Ingenieros de Caminos. En 1800 empezó a trabajar en el laboratorio de l’École como ayudante de Berthollet. Al instalar éste su propio laboratorio en su casa de Arcueil, le acompañaría asiduamente,
llegando a ser un miembro más de la familia, hecho favorecido por la gran amistad que le unía con Amadée Berthollet, hijo de su maestro y también químico.
Los dos primeros trabajos de Gay-Lussac estaban al servicio de los intereses de sus mentores, Berthollet y Laplace. En 1802 apareció su primera memoria, titulada “Investigaciones sobre la dilatación de los gases y de los vapores”, que recogía la primera ley que lleva su nombre. En 1804 se produjeron sus dos famosas ascensiones en globo para llevar a cabo experiencias sobre la presión, temperatura y composición del aire a diferentes alturas. Desde marzo de 1805 hasta finales de 1806 viajo con Humboldt por varios países de Europa, realizando una ascensión al Vesubio en plena erupción.
En 1808 se caso con Genevieve Marie Joséphine Rojot, con quien tendría cinco hijos. En noviembre de ese año anunció el descubrimiento del boro, realizado con Louis Jacques Thénard, otro de los químicos de Arcueil, y en diciembre presentó su segunda ley en la memoria "sobre la combinación de las sustancias gaseosas”. En 1815 descubrió el cianógeno y el ácido cianhídrico.
Son años en los que trabajo en la densidad de los vapores de diferentes líquidos, la dilatación y el efecto de capilarldad. Mejoro los métodos de blanqueo de tejidos y realizo importantes aportaciones en la industria química, construyendo o mejorando aparatos como el alcoholímetro, el alcalímetro y el clorómetro, facilitando el uso industrial del ácido sulfúrico e incorporando un dispositivo que evitara la liberación de los Óxidos de nitrógeno en el aire.
Su ascenso profesional fue muy rápido: en 1806 entró en el Instituto de Francia, en 1809 fue nombrado profesor de física en la Facultad de Ciencias de la Sorbona y de química práctica en l’Ecole Polytechnique. Fue profesor titular de química en esta última desde 1810, al fallecer Fourcroy.
También realizo carrera política, siendo diputado de la Haute- Vienne, su tierra natal, entre 1831 y 1837. En marzo de 1839 fue nombrado par de Francia.
Murió el 9 de mayo de 1850.
Todos ellos alcanzarían destacados puestos, ya como miembros del Instituto de Francia ya como profesores del l’École Polytechnique o en instituciones de similar importancia. Situación que redundaría en beneficio del grupo, cuyos miembros se prestaban apoyo mutuo a medida que progresaban en sus carreras.
Las sesiones se realizaban normalmente dos veces al mes, en general en jueves o en domingo. Empezaban a la una y se trabajaba hasta las cuatro y media, después había juegos en el jardín y se cenaba a las nueve. En el transcurso de las reuniones se intercambiaba información y se examinaban los trabajos de sus miembros, de forma que no era raro que las memorias leídas durante la tarde del domingo fueran las mismas que al día siguiente se presentaban en el Instituto durante las sesiones de éste, realizadas en las tardes de los lunes.
§. Teoría analítica de las probabilidades
En el preámbulo de la Memoria sobre las integrales definidas de 1811 Laplace escribió:
El cálculo de las funciones generatrices es el fundamento de una teoría que me propongo publicar pronto sobre probabilidad.
Fiel a su palabra y con 62 años cumplidos, presentó en el Instituto la primera parte de la Teoría analítica el 23 de marzo de 1812 y la segunda y final el 29 de junio.
Esta primera edición constaba de 464 páginas, divididas en dos libros. La segunda edición, de 1814, cambió sustancialmente, y además incluye a modo de introducción el Ensayo filosófico sobre las probabilidades.
Esta introducción, que ocupa 169 páginas, es un completo tratado de probabilidades con el que se proponía realizar la divulgación de estos contenidos de forma asequible a un amplio público, puesto que no incluyó ninguna fórmula, y, sobre todo, mostrar que la probabilidad era un tema de capital interés tanto para la ciencia como para la sociedad.
BiotJean-Baptiste Biot (1774-1862) nació en París y estudió en l’École Polytechnique, donde fue alumno de Monge. Cuando se produjo el levantamiento de las tropas leales al rey, se enrolo en el ejército republicano y fue hecho prisionero. La intervención de Monge le libro de un largo confinamiento y muy posiblemente de la muerte.
En 1797, siendo profesor de l’École Centrale de Beauvais, entró en contacto con Laplace y se encargó de revisar la Mecánica celeste, cuyos primeros volúmenes estaban a punto de editarse. Esta relación con Laplace, que llegaría a ser de gran amistad, le permitió regresar a París para ocupar la cátedra de matemáticas del Colegio de Francia e iniciar una brillante carrera científica al lado de su mentor. En 1803 entro en el Instituto de Francia y, enseguida, se incorporo a la sociedad de Arcueil, donde realizaría junto a Gay-Lussac una ascensión en globo. En 1806 se dirigió a España para colaborar con Arago en la medición de un arco de meridiano, cosa que haría después en Escocia y Sicilia.
Realizó numerosos trabajos de astronomía, geometría y análisis matemático, pero seguramente los resultados más destacados los consiguió en el campo de las ciencias experimentales, en concreto sobre la luz y, en particular, sobre el efecto de polarización. La observación y el estudio de la rotación del plano de polarización cuando un rayo de luz atraviesa una solución líquida le permitieron sentar las bases de la sacarimetría.
En electromagnetismo, y en colaboración con Félix Savart, descubrió que la intensidad de un campo magnético creado por una corriente que circula por un cable rectilíneo es inversamente proporcional a la distancia a ese cable. El resultado es conocido como ley de Biot-Savart.
En 1856 fue elegido miembro de la Academia. Falleció en el Colegio de Francia el 3 de febrero de 1862.
La primera parte de la Teoría es en realidad un extenso tratado sobre funciones generatrices donde recupera y actualiza muchos de los resultados conseguidos sobre este tema en trabajos anteriores.
En este primer libro formaliza y demuestra todas las fórmulas que le serán necesarias para resolver los problemas que se planteará al abordar el tema de la probabilidad, objeto del segundo libro.
Es, pues, un dilatado estudio de cálculo diferencial e integral, con métodos de cambios de variables para abordar la solución de ciertas ecuaciones diferenciales y la resolución completa, o su aproximación mediante desarrollos en serie, de algunas integrales especialmente importantes.

Portada del Ensayo filosófico sobre las probabilidades.
Uno de sus más brillantes resultados, aunque ya aparecido en sus anteriores memorias, no es otro que:

La importancia de esta integral le lleva a calcular el valor de:

De forma que pueda conocerse el valor esta integral en función de los extremos de integración, expresado tanto en serie como en forma de fracción continua.
Aunque estudia y resuelve casos de integrales dobles, triples y múltiples, en general, se limita a ecuaciones diferenciales de primer grado, puesto que es el caso que le interesa en el estudio de la probabilidad.
El capítulo primero del libro II comienza así:
Se vio en la introducción que la probabilidad de un suceso es la relación del número de casos que le son favorables respecto del número de todos los casos posibles, cuando nada lleva a creer que alguno de los casos debe ocurrir antes que los otros, lo que los hace para nosotros igualmente posibles [...] Si todos los casos no son igualmente posibles, se determinarán sus posibilidades respectivas; y entonces la probabilidad del suceso será la suma de las probabilidades de cada caso favorable.
De manera que desde el primer párrafo queda perfectamente determinada la que hoy llamamos regla de Laplace y la manera de encarar situaciones aleatorias, sean éstas equiprobables o no.
Laplace entendía la probabilidad no como un simple estudio de las situaciones de azar que se suscitan en los juegos, como lo había sido en sus inicios, sino como una herramienta fundamental para conocer la realidad, puesto que proporciona información del mundo que nos rodea a través de las observaciones que de él conseguimos y permite, además, establecer los márgenes de confianza de la información obtenida, es decir, determinar el error que se sigue de las observaciones, sobre todo si éstas son complejas y procedentes de diferentes observadores. La delimitación de los errores esperables hace de ella una disciplina de aplicación universal, y sobre todo útil, a un gran número de áreas de conocimiento y también a la sociedad.
Laplace había mostrado desde sus comienzos que para él la importancia de la ciencia radicaba fundamentalmente en su utilidad. Seguramente por eso vio en las matemáticas el medio más eficaz para conseguir resultados concretos en muy variadas ramas científicas y estaba convencido de que también podían ser útiles en las situaciones más cotidianas. No es de extrañar que ese convencimiento le moviera a divulgar y popularizar contenidos científicos y es obligado reconocerle que a tal efecto no escatimó esfuerzos en el caso concreto de la probabilidad, una especialidad de corta existencia que interesaba únicamente a un reducido ámbito matemático.
La probabilidad, dirá en su Ensayo filosófico, es relativa en parte a nuestra ignorancia y en parte a nuestros conocimientos. Si se concluye que un suceso es de tipo determinista, el conocimiento que de él se tiene es total, tal sería el caso de los resultados astronómicos que él mismo obtuvo o de su afirmación sobre la estabilidad del sistema solar. Aquí no cabe el azar. Pero en el momento que tal conocimiento no es completo, tanto lo que se sabe como lo que se ignora suscitan la aparición del azar y es el estudio de las probabilidades lo que permitirá una mejor interpretación de tales situaciones, pues esas probabilidades “acaban siempre por imponerse". Esta es una clara alusión a resultados tan sencillos y potentes como los que se derivan de la propia definición de probabilidad en situaciones equiprobables o de la ley de los grandes números, menos evidente.
Sin duda alguna, Laplace partía de una asentada y rotunda concepción determinista del Universo, hecho que le condicionó sobremanera a la hora de interpretar el valor que se podía conceder a la probabilidad como elemento de análisis. En efecto, para él la probabilidad estaba destinada a servir de apoyo a la indudable causalidad que todo lo presidía y su papel quedaba restringido a la delimitación del error que la ignorancia produce en el conocimiento de las causas. Como diría Antoine-Augustin Cournot (1801-1877) años después, su determinismo le impedía pasar del modelo subjetivo de probabilidad que él postulaba, y que era inherente al desconocimiento del individuo en tanto que observador de la realidad, a otro modelo, digamos que objetivo, que admitiera una concepción estadística de los fenómenos.
La reaparición de temas como las funciones generatrices después de su uso por parte de Laplace, y para abordar precisamente la solución de problemas similares a los que éste se planteara, da una idea precisa de la potencia del camino que él había iniciado. Pero también respalda una opinión muy difundida por los estudiosos de su obra, sobre el escaso impacto, por no decir olvido, que algunos de sus más especializados logros tuvieron en la comunidad matemática del momento e incluso en la inmediata generación. Claro que para lamentar esa situación debería transcurrir el siglo XIX, e incluso llegar al XX, y conseguir así la perspectiva suficiente que permitiera reconocer aquellos logros y destacar que no se habían aprovechado con la inmediatez y profundidad deseables. Se achaca esa situación a la dificultad de la obra, destinada exclusivamente a los mejores especialistas, a la aridez con la que es expuesta la teoría y a cierto desorden en la presentación, sin olvidar el hecho de que notables avances en análisis funcional se presentaban en una obra que sólo en apariencia trataba exclusivamente de probabilidad. Sobre este extremo escribiría Joseph Bertrand (1822-1900) en el Journal des savants de noviembre de 1887, refiriéndose a la Teoría, que encontraba sorprendente que apareciese allí enunciado el teorema siguiente:
“No puede obtenerse en función finita y explícita de la variable la integral".

Bertrand continúa su comentario con el mismo tono de incredulidad: “¿Por qué, si el gran geómetra ha demostrado realmente esta imposibilidad, eligió para anunciarlo las primeras páginas de un libro sobre el cálculo de probabilidades? La lectura de los siguientes capítulos no aclara el enigma. La teoría de funciones generatrices llena las siguientes ¡89 páginas; ella será de gran ayuda, como se verá, en el estudio de las cuestiones relativas al azar, pero nada se lo anuncia al lector. Parece como si Laplace hubiera querido inscribir en el encabezamiento de su libro: Que no lo abra quien no sea geómetra”.
Estas palabras de Bertrand que parafrasean a las de Platón en la Academia ateniense encierran una gran verdad, pero no comprenden una consecuencia importante: incluso los versados en matemáticas pasaron muy por encima de este primer libro que repetía temas conocidos y que se entendía como la justificación del siguiente, que sí era relativo a la probabilidad.
Funciones generatricesEstas funciones, fundamentales en muchos de los trabajos de Laplace, bien merecen un comentario. Comencemos por su definición.
Sea una función cualquiera yx = f(x), se puede construir la serie infinita en potencias de la variable tSus coeficientes son obtenidos a partir de f por sustitución en ella de los números naturales:
Esta función de t, así construida, es la función generatriz de yx.
Su interés no es meramente teórico, sino que tiene una inmediata aplicación en la interpolación y transformación de series, la solución de ecuaciones de diferencias finitas y la expresión de funciones en términos de integrales definidas. Es decir, precisamente los temas tratados en el primero de los libros de la Teoría y de ahí su frecuente aparición en el segundo a la hora de resolver problemas concretos. El más inmediato vendría de realizar la siguiente transformación:Transformación en la que t es la unidad imaginaria y donde, evidentemente, la variable x solo toma valores enteros, puesto que procede de la función generatriz antes vista. Esta transformación, muy utilizada por Laplace no recibió, sin embargo, ningún nombre especial, en tanto que la consideró como un sencillo cambio de variable.
La simple extensión de esa variable entera al campo real le hubiera llevado a:que es precisamente la función característica definida por Paul Lévy (1886-1971) en su Cálculo de probabilidades de 1923 y que hoy se utiliza de manera habitual, y casi preferente, en el cálculo de probabilidades. Éste la atribuye a Cauchy, en concreto en una de las memorias que presentara a la Academia en 1853, y la asocia además a la función que utilizó Henri Poincaré (1854-1912) para el llamado valor probable de la expresión eix. En cualquier caso, no existe mención alguna a esa transformación de la función generatriz de Laplace que adelanta en más de cuarenta años la introducción de la función característica, aunque restringida al caso de la variable entera.
Otra situación similar aparece al concluir la primera parte del primer libro, donde las funciones generatrices le permiten alcanzar estos resultados:Donde x toma valores en el conjunto de los números naturales.
Estos resultados son retomados en el cuarto capítulo del segundo libro, que trata de “la probabilidad de los errores medios de un gran número de observaciones y de los resultados medios más ventajosos”, para llegar a estas nuevas expresiones:que se corresponden con la transformada inversa de Fourier.
En cuanto a los contenidos probabilísticos propiamente dichos subrayaremos especialmente tres por su especial interés y trascendencia: los problemas clásicos de Fermat y Buffon y la función normal.
§. Los problemas de Fermat y Buffon en la obra de Laplace
Laplace no se plantea, por supuesto, la solución del problema de Fermat y Pascal, sino su generalización con la introducción de diferentes condiciones. El problema es interpretado como un caso de urnas, algo muy habitual en el trabajo de Laplace, y adopta la siguiente forma:
Imaginemos una urna que contiene dos bolas, una blanca y otra negra, llevando cada una el número i; la bola blanca corresponde al jugador A y la negra al jugador B. Se extrae una bola de la urna y se devuelve a continuación para proceder a una nueva extracción, se continúa hasta que la suma de los números obtenidos favorables a un jugador, alcance un número dado. Tras un cierto número de extracciones, al jugador A le falta un número x mientras que al jugador B le faltan x'. Acuerdan entonces los dos jugadores retirarse del juego, repartiéndose la apuesta realizada al comienzo. Se trata de conocer cómo debe hacerse el reparto. Lo que corresponde a cada jugador debe ser evidentemente proporcional a sus probabilidades respectivas de ganar la partida. Generalización y solución de este problema, 1°: suponiendo en la urna una bola blanca favorable a A, llevando el número 1, y dos bolas negras favorables a B, llevando una el número 1 y la otra, el 2; cada bola disminuirá según su número el número de puntos que faltan al jugador a quien le sea favorable. 2º: Suponiendo en la urna dos bolas blancas llevando los números 1 y 2, y dos bolas negras llevando los mismos números.
Esta primera generalización es seguida de otra en la que los jugadores tienen diferente pericia y diferente número de monedas al inicio. Apuestan en cada partida una moneda, perdiendo quien se quede sin monedas.
El problema de Fermat y PascalDos jugadores A y B, apuestan uno contra otro la misma cantidad de dinero, 32 monedas, en un juego en el que el ganador será aquél que primero gane tres partidas. El jugador A gana dos partidas y el B una en el momento en el que el juego se da por terminado. ¿Cómo repartirse el total de dinero de una manera justa?
Que muestra que la probabilidad de que gane A es de ¾ frente 1/4 de que gane B. Por lo tanto el reparto justo de las 64 monedas en juego es así: 48 para A y 16 para B.
Hoy un sencillo diagrama de árbol nos daría la solución del problema.
Igualmente sencillo lile para Pascal (1632-1662}, a quien se lo planteó el caballero de Méré, aristócrata aficionado a los juegos de azar, pero poco ducho en matemáticas. Pascal le remitió el problema a Pierre de Fermat (1601-1665), quien encontró la misma solución por un método diferente. Encantado Pascal de la colaboración encontrada, escribiría a Fermat: “Ya ve que la verdad es la misma en Toulouse que en París”.
La cuestión es calcular la probabilidad de que gane uno y otro en la n-ésima partida. Modifica después las condiciones: qué ocurre si las pericias son iguales, y qué si uno de ellos tiene un número muy elevado de monedas frente al del otro.
La siguiente propuesta es con n + 1 jugadores que juegan de dos en dos, por turno, con el ganador de la partida anterior. Acaba el juego cuando uno haya ganado a todos los demás jugadores. Ahora la cuestión es: ¿cuál es la probabilidad de que termine el juego tras un número x de partidas? ¿Y de que gane un jugador en ese número de partidas?
La aguja de BuffonEl otro problema clásico es el de Buffon (1707-1788) que podría plantearse así:
Si un plano aparece dividido en franjas horizontales equidistantes una distancia d, y sobre él lanzamos una aguja de longitud L mayor que la distancia d. ¿cuál es la probabilidad de que la aguja toque alguna de las rectas paralelas?
La solución de este problema es de tipo geométrico y no es tan inmediata como lo era en el caso del de Pascal y Fermat. La solución, que no reproduciremos, fue dada por el propio Buffon:P = 2L/𝜋d
Sigue con el caso de que un juego para dos jugadores, de diferente destreza, concluya tras un número dado de victorias consecutivas.
Todos estos supuestos juegos encuentran al final del capítulo aplicaciones a cuestiones específicas:
- Probabilidad de errores que resultan de un número cualquiera de observaciones, con una determinada ley de distribución de errores.
- Resultado más probable en la opinión emitida por un tribunal.
- Investigación de la ley de probabilidad de errores de observación, media de todas aquellas que satisfacen que los errores positivos son iguales a los negativos y cuya probabilidad disminuye cuando éstos aumentan.
En definitiva, Laplace mediante el uso de las funciones generatrices resolvió el problema de modo general para el caso en el que los jugadores apuestan en cada partida cantidades iguales. El caso de apuestas diferentes se resolvería en 1945 de la mano de Georges A. Barnard (1915-2002) y Abraham Wald (1902-1950).
En cuanto al problema de Buffon, Laplace lo plantea así:
Una plancha ha sido divida en pequeñas casillas rectangulares mediante líneas paralelas y perpendiculares entre ellas: determinar la probabilidad de que lanzando al azar una aguja caiga sobre la juntura de las celdas.
Pueda resultar sorprendente que este tipo de problemas tan artificiales terminara desembocando en propuestas concretas para la vida civil, y en especial para los tribunales de justicia, pero la genialidad de estos científicos les llevaba a relacionar temas aparentemente tan dispares en los que se trasluce, sin duda, la inquietud social que les animaba.
§. El azar y la justicia de los tribunales
El estudio de los veredictos justos de los tribunales en relación a su composición no es un problema original, pues ya había sido tratado con anterioridad, pero Laplace lo consideró de una importancia capital y de ahí su empeño en recogerlo y en analizarlo en profundidad, dedicándole un gran esfuerzo y un considerable número de páginas.
Fue Condorcet (1743-1794), por encargo del ministro Tourgot, el impulsor de este tipo de estudios. Supuso para ello un cierto número de urnas con bolas blancas y negras. Cada urna correspondía a un juez de un tribunal de justicia, las bolas blancas se interpretan como decisiones justas y las negras, como errores. Se trata de extraer una bola de cada urna y, conocido así el veredicto del tribunal, verificar cuándo el número de bolas blancas supera al de negras.
Hasta aquí parece haber dado con una herramienta sencilla y potente para analizar una situación tan ardua como la estudiada, sin embargo la parte más compleja llega con la adopción de ciertas hipótesis o cualidades que deben presuponerse en los tribunales. Él optó por las siguientes:
- Debía haber en cada urna más bolas blancas que negras bajo la confianza de que un juez acierta en su veredicto en más de la mitad de las causas juzgadas.
- La probabilidad de error es la misma para todos los jueces. Por lo tanto todas las urnas tienen la misma composición.
- La probabilidad de error es la misma en todas las causas. Por lo tanto todas las urnas tienen siempre la misma proporción.
En definitiva, es como si hubiera un único modelo de juez que se repite en un mismo tribunal e interviene siempre igual, con la misma fiabilidad, independientemente del caso juzgado.
Una vez asignada una probabilidad a la decisión de cada juez, para que el modelo tenga sentido y sea operativo, debe fijarse una probabilidad mínima que permita un nivel de confianza en el veredicto. Es decir, un valor por debajo del cual se entiende que la decisión adoptada es imprudente, por no decir injusta.
Establecida esa cantidad, se puede estudiar de manera sencilla el número de jueces (urnas) que mejor garanticen el hecho de impartir justicia, puesto que el objeto del estudio era precisamente la composición de los tribunales. Aunque no entraremos en detalles, es evidentemente la distribución de Bernoulli, bien conocida en esa época, la herramienta adecuada para resolver el problema.
Para el modelo establecido por Condorcet, ya sólo quedaría por resolver el problema de la composición de las urnas, esto es, ¿qué probabilidad existe de que un juez emita un veredicto erróneo? La solución propuesta es también sencilla: elíjase una comisión de hombres esclarecidos que revise un amplio número de decisiones de tribunales y que las califique como acertadas o erróneas.
Los puntos débiles de esta propuesta están evidentemente en las hipótesis elegidas, que aunque hacen sencillo y viable el estudio, también convierten en increíble a un tribunal de esas características.
Así debió entenderlo Laplace cuando retomó el problema y, siguiendo un modelo similar, introdujo en él algunas variantes, haciendo que la probabilidad de error de cada juez o jurado no debiera ser la misma y además pudiera modificarse en cada causa.
Para conseguir esa flexibilidad en el modelo tomó una sabia decisión, pero muy costosa desde el punto de vista matemático: supuso que en cada urna todas las composiciones eran posibles, aunque manteniendo la hipótesis de que la probabilidad de error debía ser inferior a 1. o lo que es lo mismo, debía haber en cada urna más bolas blancas que negras. De esta manera la probabilidad de error de cualquiera de las urnas podía variar entre 1 y 1. Además considera para cada causa un error particular, que hace diferente cada situación planteada, pero siguió considerando que el número de bolas blancas sería siempre mayor que el de negras.
De esta forma, mediante complicados cálculos, consigue establecer las ecuaciones necesarias, obtener las correspondientes probabilidades y llegar a resultados como éstos:
En los tribunales de ocho jueces donde son necesarios cinco votos para condenar a un acusado, la probabilidad del error a temer sobre la justicia de la decisión sobrepasará 1/4. En los tribunales que no pueden condenar sino por mayoría de dos tercios de los votos es casi de 1/4, si el número de jueces es seis; este está por encima de 1/7 si este número se eleva a 12.
Los cálculos necesarios para alcanzar estas soluciones no sólo son complicados, sino que en palabras del citado Joseph Bertrand “son inaccesibles incluso para la mayoría de los que tienen una sólida instrucción matemática.
Aunque Laplace había reconocido las carencias de la propuesta de Condorcet no fue consciente de que a pesar de su propio esfuerzo para matematizar una situación tan compleja sólo en apariencia había conseguido resultados tangibles. Lo cierto es que no había avanzado prácticamente nada tras su intento, pues la casuística que aparece en la realidad se escapaba a las hipótesis impuestas.
Supuestos como que la probabilidad del error debe ser siempre inferior a 1/2 o que el veredicto de un juez o de un jurado es tan independiente del de los demás como lo es sacar una bola de una urna respecto del resto de las extracciones, son insostenibles y hacen estéril el intento de cuantificación abordado. Podemos suponer que la idea de probabilidad subjetiva -noción descrita anteriormente con la que consideraba las situaciones de azar es lo que le animaba a pensar que la situación era resoluble y de ahí que no escatimara esfuerzo ni restara importancia al trabajo realizado.
Hubo quien puso en entredicho esta propuesta, como Poisson, discípulo y amigo de Laplace, pero también tuvo fervientes defensores. El más notable de éstos sería François Arago, eminente físico y matemático, y también discípulo de Laplace, quien defendería en la cámara legislativa desde su escaño de diputado una reforma de los tribunales basada en los resultados presentados en la Teoría analítica de las probabilidades. Su confianza como matemático en la validez del estudio de su maestro era total, al extremo de que en plena discusión parlamentaria sobre la ley de jurados de 1836 propuso admitir los datos de Laplace como absolutamente demostrados y cuando otro diputado objetó ciertas dudas al respecto, Arago le gritó que los ignorantes debían abstenerse de opinar, pues aquellas cifras eran tan ciertas como que la paralaje del Sol era de 8,36 segundos de arco.
Con el devenir del tiempo las palabras de Arago en ese debate quedaron en total entredicho, puesto que la paralaje solar sería corregida posteriormente y el estudio de Laplace sobre los tribunales se mostró carente del valor que él le confería.
Terminaremos este breve repaso a los trabajos de probabilidad de Laplace, recordando que el interés de los astrónomos por la probabilidad fue el motor de su gran desarrollo en esta época de cambio de siglo, cayendo en un profundo letargo hasta finales del siglo XIX cuando se vuelve a ella con un aparato matemático más sofisticado que permitiría un intenso desarrollo y la consecución de nuevos y fecundos resultados.
No está de más insistir en el hecho de que esta obra, cuyo autor tenía ya 62 años, supone uno de los grandes hitos en la historia de la ciencia. Muy posiblemente la Teoría analítica de las probabilidades ha sido más reverenciada por los matemáticos del siglo XX que por sus contemporáneos, que quizás encontraron dificultades para asumir los métodos utilizados en ella. En palabras de Joseph Bertrand:
“El libro de Laplace queda, por el ingenioso empleo de los más sabios métodos al servicio de los problemas más simples, como un libro único en la ciencia, digno de ¡a admiración que inspira, sin embargo, es por desgracia muy poco leído, y la gran dificultad de los métodos es una de las causas del abandono en el que con frecuencia se han dejado teoremas maravillosos y útiles para el cálculo de probabilidades”
§. La distribución normal: ¿Ley de Gauss?¿Ley de Laplace?
Si analizamos los contenidos específicos de probabilidad, es obligado un comentario sobre la distribución normal, a la que Laplace dedicó especial atención, realizando decisivas aportaciones sobre sus propiedades y confiriéndole el papel protagonista que tiene dentro de los estudios estadísticos.
Veamos primero a qué responde su origen y por qué se le conoció como ley y no simplemente como función.
La astronomía, la geodesia y otras ciencias experimentales, que atravesaban por un momento de enorme desarrollo, precisaban realizar medidas y determinar el valor de éstas con notable precisión. En general esas mediciones no se pueden realizar de manera directa, sino mediante el empleo de instrumentos y fórmulas que terminan dando un valor aproximado de la cantidad buscada.
Si se parte de la idea de que a una magnitud física debe corresponderle un valor verdadero y de que las observaciones conseguidas son otros tantos intentos de conocer ese valor, se sigue que a cada una de ellas corresponde un error, que viene dado por la diferencia entre el valor real y el observado. Hoy tendríamos una visión distinta del problema, pues no sólo atenderíamos a los errores procedentes de los instrumentos de medida y de los que proceden de la propia observación, como se hizo hasta el siglo XIX, sino que además consideraríamos como circunstancia inevitable la inexactitud de las propias magnitudes a determinar, cuyo valor cierto no puede definirse con una precisión ilimitada. Esta perspectiva actual modifica de manera importante el problema planteado, no en los métodos de determinación y estimación de magnitudes, sino en los propios conceptos de error, aproximación y valor verdadero.
Por otro lado y por analogía con las leyes universales observadas, se pensaba que también esos errores obedecían a una ley natural, es decir, que existía una función de distribución universal para las frecuencias relativas, o más concretamente para los errores, pues estaba en ellos, y en su determinación, la razón de fondo del problema que se planteaba.
Si hoy se sigue utilizando la expresión de ley normal, no es por supuesto en el sentido que entonces tenía, sino que simplemente se conserva un término que quedó acuñado en esa época. Hoy en día, un manual de estadística nos informaría en sus primeras lecciones de que una ley de probabilidad es normal si tiene como función de densidad

cuya gráfica tiene esta conocida forma de campana

Con seguridad que la expresión anterior no dejará de traernos a la memoria el interés mostrado por Laplace hacia la función e-t^2.
Siguiendo con el manual de estadística, éste nos informará con mayor exactitud de que una variable aleatoria ξ sigue la ley normal si, siendo μ la media y σ la desviación típica, su función de densidad es

Y también de que para que, efectivamente, se trate de una función de densidad, debe ocurrir que:

Lo que da idea de la importancia que tuvo el cálculo, ya comentado, de

No insistiremos en otras propiedades estudiadas para esta función en concreto, pero queda evidenciado que los pasos dados por Laplace estaban sin duda encaminados a conocer una función de cuya importancia era consciente y cuyo papel sería determinante para los progresos realizados en el campo de la probabilidad.
Gauss se ocupó de la función normal en 1809 con buenos éxitos, de forma que los trabajos de Laplace y Gauss se entremezclan en el tiempo y su estudio recibe de sus manos un impulso definitivo.
Sin embargo, ninguno de ellos había sido el primero en ocuparse de esta función, pues con anterioridad Abraham de Moivre (1667-1754) había trabajado en ella, utilizándolo sólo para casos discretos.
Sería Laplace quien extendería el resultado, pasando de la variable discreta a la continua y demostrando que el límite de la distribución de la suma de un gran número de variables aleatorias independientes, con ciertas condiciones, es precisamente la normal, es decir, que en definitiva se trata del teorema central del límite. Habría que esperar, no obstante, a que Alexandre Liapounov (1857-1918) lo enunciara con precisión y realizara una demostración del teorema más formalizada.
Cabe señalar que Laplace había probado con otras funciones para la distribución de errores, siendo la más importante:
f(x) = ½ e -|x|
Cuya gráfica guarda una cierta similitud con la función de densidad de la distribución normal

Esta distribución, como la normal, recoge que el error debe tener el mismo peso por defecto que por exceso, de manera que la gráfica de la función es simétrica respecto del eje de ordenadas.
Otra similitud entre ambas funciones es que el área encerrada bajo la curva es uno:

Así, pues, aunque hay argumentos para defender el nombre de ley de Laplace para la normal, frente al utilizado de ley de Gauss, sería más justo citarla como ley de Moivre e igualmente debería llamarse campana de Moivre y no de Gauss a esa curva que por primera apareció en su The Doctrine of Chance (La teoría del azar). No obstante, el nombre de ley normal se debe a Adolphe Quetelet (1796-1874) quien la aplicó con profusión a muy diferentes campos científicos y sociales, pues la consideraba prácticamente como una ley universal.
De la importancia de la normal y de su profundo arraigo en los estudios estadísticos da cuenta un célebre aforismo de Gabriel Lippman (1845-1921), premio Nobel de Física en 1906, quien afirmó:
“La distribución normal es la ley en la cual todo el mundo cree firmemente, los matemáticos porque creen que es un hecho comprobado experimentalmente y los experimentadores, porque creen que se trata de un teorema matemático",
Un importante resultadoLa demostración de Laplace, en esencia, no dista mucho de la que realizaríamos hoy, utilizando unos sencillos cambios. Llamemos
Consideremos:
Expresado en polares:
De donde:
Tras los desastres de la campaña de Rusia, Francia fue invadida por tropas prusianas, austríacas y rusas. El esplendor napoleónico había terminado y París se salvó de la destrucción y del saqueo tras pactar su entrega, el 30 de marzo de 1814. Al día siguiente, Talleyrand convocó al Senado, que eligió un gobierno provisional bajo su presidencia, pero sólo 64 senadores acudieron. Entre los asistentes está Berthollet, por ejemplo, mientras que Laplace está en el grupo de los ilocalizables, casi una treintena. El 2 de abril, el Senado vota la desentronización de Bonaparte, poniendo fin al imperio, y el día 6 aprueba la carta constitucional en la que se recoge que Luis XVIII, hermano de Luis XVI, será el rey de Francia. Mientras tanto, Napoleón abdica ese mismo día 6 en favor de su hijo y se retira a la isla de Elba.
Es justo ahora cuando reaparece el senador Laplace para firmar la nueva constitución. Estos días de desaparición se debieron seguramente a que la situación no estaba clara, puesto que había noticias contradictorias sobre si Bonaparte presentaría batalla o no, y esperó hasta el último momento para tomar una decisión, contando en todo momento con la información de primera mano que podía suministrarle su hijo Émile, capitán del ejército al servicio directo del emperador.
De la misma forma, cuando Napoleón abandonó su destierro en la isla de Elba y hasta la derrota de Waterloo, periodo conocido como los Cien Días, Laplace permanecerá al margen de los acontecimientos y no intentará acercarse al poder emergente.
CarnotLazare Carnot (1753-1823) pertenecía a una de aquellas familias nobles que podían ingresar en la Escuela de Mézieres, en la que Monge fue uno de sus profesores. Lazare inaugura toda una saga de la que surgirán físicos (su hijo Sadi Carnot, conocido por el ciclo de Carnot), químicos, senadores y hasta presidentes de Francia (Sadi Carnot, su nieto).
Lazare Carnot es considerado, junto con Monge, uno de los creadores de la geometría pura moderna. Una gran parte de sus resultados quedarían plasmados en su obra Geometría de posición.
Pero por encima de todo, en la carrera de Carnot estuvo, en primer lugar, el compromiso con la causa revolucionaria, que le llevo a desempeñar un papel de especial relevancia durante los años difíciles de la Revolución, sería llamado el organizador de la victoria o también el gran Carnot, y solo el acierto en el desempeño de sus funciones le salvaría de la guillotina durante el Terror.
Hay que destacar su honestidad, equilibrio y coherencia de ideas a lo largo de su vida. No dudo en oponerse al mismo Napoleón por su gobierno dictatorial, lo que le costó el exilio.
Pero hubo casos de fidelidad a la figura del emperador entre los científicos que él había distinguido, tal es el caso de Gaspard Monge y Lazare Carnot.
A partir de ese momento, Laplace, hasta hace pocas fechas senador y conde del imperio, además de amigo personal de Napoleón, se deja llevar por la nueva situación y se ve favorecido por ella. La recién estrenada constitución sustituye el Senado por la Cámara de pares y él se convierte en uno de sus miembros. En idéntica situación están Berthollet y Lacépède, que también cambiaron títulos y cargos imperiales por los de la nueva monarquía. Todos ellos, una vez nombrados pares de Francia, se vieron en el amargo deber de juzgar al mariscal Ney, acusado ahora de alta traición, que fue ejecutado el 7 de diciembre de 1815.
No todos los beneficiados por el bonapartismo gozaron de la misma suerte tras la caída definitiva de Napoleón, puesto que Monge, Grégoire, Siéyes y Lazare Carnot, entre otros, son expulsados del Instituto y alguno de ellos debió, incluso, exiliarse.
En 1816 desaparece el Instituto de Francia, creado bajo el gobierno republicano, y es sustituido por cuatro instituciones: la Academia Francesa, la Academia de Ciencias, la de Bellas Artes y la de Letras, poco después se crearía la de Ciencias Morales y Políticas. Se vuelve así a una situación similar a la existente antes de la Revolución. Laplace será miembro de la Academia Francesa, ocupando el sillón número ocho, y también de la Academia de Ciencias desde marzo de 1816, y en 1817 será elevado a la presidencia de esta última.
Así pues, a la avanzada edad de 68 años es de nuevo un hombre influyente: pertenece a todas las comisiones académicas, dispone de poder en el ámbito científico, es escuchado por los ministros y goza de la confianza del soberano. Se mostró agradecido con su nuevo benefactor y mandó quitar las dedicatorias a Napoleón en sus obras, desdiciéndose de los calificativos de heroico pacificador de Europa, como decía en el tercer volumen de la Mecánica celeste, de 1802, y de Napoleón el Grande, como figuraba en la Teoría analítica de las probabilidades, de 1812. La posición de Laplace ha cambiado hasta el extremo de que cuando se reedita esa última obra, en 1814, aparece, a modo de dedicatoria, un tibio comentario acerca de que la caída de los imperios que aspiraban al dominio universal podía ser predicha con gran probabilidad por alguien versado en el cálculo de probabilidades.
Esta facilidad para acomodarse a las diferentes situaciones políticas: república, bonapartismo y monarquía, le valió la reprobación de sus colegas, quizás no tanto de sus contemporáneos, pues la actitud de muchos de ellos no fue más digna que la suya propia, sino de las generaciones más jóvenes, y ha quedado como uno de los ejemplos más palmarios de adaptación a las más dispares situaciones. En este sentido, es frecuente encontrar su nombre ligado al del legendario vicario de Bray, sacerdote que habiendo vivido durante los reinados de Enrique VIII, Eduardo VI, María Estuardo e Isabel I fue dos veces papista y otras dos protestante y acusado de oportunismo, parece ser que replicó:
“No es así, en absoluto, puesto que si bien cambié de religión, estoy seguro de haber permanecido fiel a mi principio que es vivir y morir como vicario de Bray”.
Palabras que parecen ajustarse perfectamente a la trayectoria de Laplace, quien se avino de buen grado a desempeñar un papel de hombre público, con responsabilidades políticas y con una importante actividad mundana que requería de su presencia en salones y fiestas, pero en ningún caso, salvo las pocas semanas que ejerció como ministro de Interior, abandonó sus investigaciones, sus ocupaciones en el Instituto, su puesto en la Academia y en l’École Polytechnique, como tampoco dejó de lado la redacción y revisión de sus obras. En tal sentido, como el citado Vicario, permaneció fiel a su compromiso con la ciencia.
Por otro lado, y sin intención de justificar su postura, no puede olvidarse que los distintos regímenes, especialmente tras la Revolución, buscaron prestigiarse contando con la colaboración y el refrendo de personalidades relevantes del mundo de la ciencia y de las artes y a cambio de su apoyo, o por su simple presencia decorativa, eran premiados con honores y prebendas que unas décadas atrás eran impensables y estaban reservadas de forma casi exclusiva a la aristocracia.
Luis XVIII, siguiendo en esta misma línea, y como agradecimiento a los servicios prestados, lo nombró marqués de Laplace en 1817 y le otorgó la gran cruz de la Legión de Honor.
Laplace prosiguió durante los últimos años de su vida con sus trabajos y de nuevo encontró un motivo de interés en la ciencia experimental, dedicando su atención a temas como la velocidad del sonido y al fenómeno de la capilaridad, y todavía contó con la suficiente energía como para abordar la redacción del quinto y último libro de su Mecánica (1823-1825). Siguió ejerciendo también un notable patronazgo en la vida científica y podría afirmarse que gozó entonces de un papel similar al que su protector D’Alembert tuvo en aquellos lejanos años, cuando él mismo llegó a París con apenas 19 años y con una carta de recomendación para aquél como único medio de abrirse camino.
En esta época se reeditaron sus grandes trabajos, todos ellos revisados, actualizados y ampliados, en algunos casos, con nuevos suplementos originales. En 1824 apareció la 5a edición de la Exposición del sistema del mundo, en 1825 la Teoría analítica de las probabilidades con un nuevo suplemento y en 1825 la 5ª edición de Ensayo filosófico sobre las probabilidades.
Quizás debido a su avanzada edad o porque la propiedad de Arcueil hubiera sufrido daños durante la ocupación aliada, los marqueses de Laplace prácticamente no volvieron a utilizarla y vivían en París. La familia era ahora más reducida, pues su hija Sophie-Suzanne murió en 1813, con apenas 20 años, al dar a luz a una niña, mientras que Émile, el hijo, era oficial del ejército y tenía su propia vida. El matrimonio se instaló en el número 108 de la rue du Bac, frente a los edificios de las embajadas extranjeras; ya no se trataba de una mansión aristocrática al estilo del Hotel de Brancas, que había ocupado en su época de canciller del Senado, sino de una vivienda más sencilla. Hecho éste que apunta a que ya no llevaban la misma vida mundana de entonces, no necesitando abrir sus salones a la alta sociedad surgida tras la vuelta del rey Borbón, pues esta nueva aristocracia, formada por los nobles huidos durante la Revolución y por los nuevos defensores de la monarquía, seguramente no vería con muy buenos ojos a los que, como él, habían hecho carrera durante el bonapartismo.
Es muy posible que su rendimiento intelectual hubiera bajado y sin duda era una realidad que los modelos físicos que utilizaba, basados en fuerzas gravitatorias y por lo tanto en teorías corpusculares, iban quedando obsoletos. El caso de la luz es un ejemplo palmario de su postura, pues la teoría ondulatoria, que él rechazaba de plano, era ahora la base de los nuevos avances. Todo ello se reflejó en sus últimas producciones, pero, no obstante, gracias a su voluntad de trabajo y a la colaboración y al respeto de sus discípulos, especialmente Biot, Poisson, Arago y Gay-Lussac, que ocupaban destacados puestos, se mantuvo a la cabeza del importante grupo de científicos de la época y ejerció su autoridad de forma incontestable hasta los últimos días de su vida.
Un buen ejemplo de su influencia lo encontramos en una anécdota ocurrida cuando la plaza de secretario perpetuo de la Academia de Ciencias quedó vacante tras la muerte de Jean-Baptiste Delambre, en 1822. Joseph Fourier, un excelente matemático premiado por el Instituto por su estudio sobre la difusión del calor, optó a ella, pero el rey hizo saber inmediatamente que no estaría conforme con ese nombramiento. Parece ser que Fourier, además de haber participado en las campañas napoleónicas y de significarse como destacado seguidor de su política, tuvo durante los Cien Días alguna actuación cerca del rey que éste malinterpretó y a causa de ello no deseaba que ocupase cargo alguno. Todo apuntaba, por lo tanto, a que esta decisión del monarca le cerraba el paso.
Llegado el día de la elección, Laplace anunció que ésta se haría por sorteo y utilizó para ello dos papeletas en las que figuraban los nombres de los candidatos, depositándolas en un sombrero. La papeleta elegida favoreció a Fourier y ocupó el cargo. Sin embargo, Arago, que estaba junto a su maestro Laplace, atestiguaría después que en ambas papeletas éste había escrito el mismo nombre, no dejando margen alguno para el azar.
Esta situación, dejando a un lado la exactitud de los detalles, deja bien patente que el anciano sabio se sentía capacitado para imponer su criterio más allá de la propia voluntad real, aunque para ello tuviera que recurrir a sutilezas o argucias como la descrita.
§. Ensayo filosófico sobre las probabilidades
Esta obra es, pese a su notable extensión, la introducción que Laplace situó al inicio de la Teoría analítica de las probabilidades. Es posible que no tuviera mucho sentido el que un trabajo de divulgación, como lo es éste, iniciara un libro que por su contenido estaba reservado a los matemáticos más formados, quizá por ello se editó ese mismo año de 1814 como texto independiente, intentando devolverle el carácter divulgativo con el que fue escrito y que quedaba oculto en una obra tan intensa como la Teoría, que con esa introducción tenía casi 700 páginas.
Por otro lado, este proyecto de popularización de unos tópicos que hasta no hacía muchos años sólo interesaban a la elite científica se enraíza en su época de profesor de l’École Normale. Es como si Laplace hubiera contraído una deuda con aquellos alumnos y con aquel plan de instrucción de profesores, de la que ya había saldado una parte mediante la publicación de su Exposición del sistema del mundo en 1796, pero de la que le quedaba por satisfacer otra, precisamente la relativa a la probabilidad. Tuvieron que pasar, pues. 18 años para que viera la luz este tratado y se hiciera realidad la prometida continuación de aquella décima lección, titulada “Nota sobre las probabilidades”, última de las impartidas por Laplace en l’École.
§. Últimos trabajos: continuación de la Mecánica celeste
Los cuatro primeros volúmenes de mecánica habían aparecido de forma bastante regular, los dos primeros en 1799, el tercero en 1802 y el cuarto en 1805. El largo periodo transcurrido desde entonces y la dedicación del autor a otros temas, probabilidad y física experimental fundamentalmente, hacían pensar que esos cuatro volúmenes -es decir, los diez libros que los componían, constituían su obra completa sobre el tema. De ahí que la aparición del libro XI en marzo de 1823 supusiera una más que notable sorpresa.
Lo cierto es que desde tres años antes aproximadamente, se había vuelto a replantear tópicos y resultados de su anterior trabajo y se decidió a plasmarlo en una nueva publicación. Quizá por su avanzada edad, ya contaba con 74 años, no esperó a editar sus nuevas aportaciones en un solo volumen, sino que fueron apareciendo conforme las concluía, de forma que en abril de 1823 aparecía el libro XII y a lo largo de 1824 se presentaron el XIII, XIV y XV en los meses de febrero, julio y diciembre, respectivamente. Finalmente, el 16 de agosto de 1825 se publicó el quinto volumen de la Mecánica celeste, que reunía los cinco libros citados más el XVI y último.
Como novedades de este trabajo podemos apuntar que el libro XI se interesa por la difusión del calor en la Tierra. Para ello utiliza las ecuaciones de Fourier, todavía no publicadas pero que él conocía bien, pues había estudiado a fondo el trabajo.
Laplace resalta especialmente que la ecuación de Fourier

donde V es el calor en un punto, es similar a la ecuación del potencial que él mismo determinara años antes

Aunque esta situación recuerda a la ocurrida con Legendre y los esferoides de revolución, realmente no es similar. En ambos casos, Laplace se adelanta al autor en la publicación de sus fórmulas, pero las circunstancias que concurren en este incidente lo hacen mucho menos grave, puesto que ya habían transcurrido varios años desde que Fourier presentara su trabajo, siendo éste conocido en los círculos especializados, y además Laplace, en esta ocasión, sí citó a su autor. Se le achaca, no obstante, que ahora se limitara a recoger y utilizar el resultado sin extenderse en consideraciones sobre la obra de la que procedía, aspecto que hubiera sido muy valioso, dado que ese trabajo de Fourier levantó una fuerte polémica. Sin embargo, Laplace pasa de puntillas sobre este punto, sin posicionarse sobre los métodos utilizados por Fourier y sin valorar las críticas que habían merecido por parte de algunos de los matemáticos más destacados de la época y en especial por algunos de sus más allegados colaboradores, como Poisson y Biot.
Otra novedad es el estudio del cambio periódico que afecta a la presión atmosférica en un mismo punto a lo largo del año. Sus resultados teóricos se ven confirmados con las mediciones de Bouvard en París y de Ramond en Clermont-Ferrand.
Al margen de estos tópicos, estos nuevos libros revisan casi todos los temas ya estudiados por él: las mareas, el movimiento de los fluidos que rodean a los planetas, la rotación de los cuerpos celestes respecto de sus centros de gravedad y los movimientos de planetas satélites y cometas. De forma que, a diferencia de lo ocurrido en los cuatro anteriores, pocas son las aportaciones novedosas que en este quinto volumen se presentan.
§. El personal estilo laplaciano
Resulta incuestionable admitir que Pierre-Simon de Laplace ocupa un destacadísimo lugar en la historia de las matemáticas por las aportaciones realizadas a esta disciplina y en modo alguno es menor el papel que le corresponde en el desarrollo de la física. Seguramente por ello se le considera el fundador de la física-matemática, rama científica en la que también se sitúan sus discípulos Biot, Arago o Poisson y personalidades como Fourier, por citar algunos nombres de su entorno.
Esa inclinación por la ciencia aplicada no podía dejar de mostrarse en su producción matemática, que, siendo impresionante, dista mucho en su estilo del cuidado y rigor que se pondera, por ejemplo, en los trabajos de sus contemporáneos Lagrange y Legendre. Él consideró siempre que las matemáticas constituían un medio necesario y también muy adecuado para lograr unos objetivos que estaban más allá de ellas mismas, lo que es tanto como afirmar que las entendía como una herramienta de análisis y descripción del entorno físico y del universo. Quizás por esta razón no dio la debida importancia a todos aquellos resultados que procedían del esfuerzo de otros colegas y que él utilizó para alcanzar sus metas.
Cuando en 1813, tras una breve enfermedad, murió Joseph-Louis Lagrange, fue Laplace quien pronunció en el elogio fúnebre las siguientes palabras:
Entre aquellos que de modo más activo han extendido las fronteras de nuestra ciencia, Newton y Lagrange poseían en su grado más elevado ese venturoso arte de descubrir los principios universales, aquéllos que constituyen la verdadera esencia de la Ciencia. Este arte, unido a una singular elegancia en el desarrollo de las teorías abstractas, es característico de Lagrange.
Al tratar de la obra de Lagrange es habitual leer que se califica su estilo de elegante, armonioso, bello, conciso, es decir, con claros timbres admirativos. En cambio, cuando se habla de Laplace, se dice de su estilo que resulta duro, cortado, áspero o trabajoso y, en consecuencia, sus obras resultan en muchos casos tan difíciles y oscuras que parecen no haber sido completamente desentrañadas por los especialistas de su época. Así, el matemático americano Nathaniel Bowditch (1773-1838), traductor al inglés y comentarista de cuatro de los volúmenes de la Mecánica celeste, afirmaba que cada vez que encontraba en el texto de Laplace la expresión “es fácil ver qué”, dejando sin justificar de forma explícita algún resultado, tenía varias horas de trabajo por delante para conseguir llenar esa laguna.
A este respecto el testimonio de Biot es sin duda el más completo y veraz. Dejó constancia de él en una intervención en la Academia, como homenaje a Laplace, que tuvo lugar el 5 de febrero de 1850. Ese discurso se recoge en un pequeño artículo aparecido en el Journal des Savants del mismo año, titulado “Una anécdota relativa al señor Laplace”, y en él Biot narra cómo trabó contacto con su maestro y amigo más de cincuenta años atrás, cuando siendo él profesor en l’École Centrale de Beauvais se enteró de que se empezaba a imprimir el primer libro de la Mecánica celeste y escribió al editor ofreciéndose para revisar las pruebas.

Nathaniel Bowditch
La respuesta no vino del editor, sino del propio Laplace, quien con gran solemnidad y distancia denegaba el ofrecimiento, afirmando que no deseaba que su trabajo fuera del conocimiento público hasta que estuviera completo. Biot no se arredró ante la negativa del gran personaje y le respondió que él pertenecía al público que estudiaba y no al de los críticos o simples curiosos, reiterando la oferta de comprobar que en el impreso no hubiera errores que traicionaran los argumentos y los resultados perseguidos. Añadía, además, que repasaría todos los cálculos de manera que este ejercicio le sirviera para su propia formación matemática. Ante esta iniciativa, Laplace no pudo negarse y aceptó que realizara ese papel. Tal situación fue el inicio de una larga relación que trascendería la de simple corrector de pruebas, haciendo de Biot uno de sus más asiduos e incondicionales colaboradores hasta el punto que pronto le encontró trabajo en París, le hizo miembro del reducido grupo de Arcueil y le encumbró a uno de los ansiados y exclusivos sillones del Instituto de Francia.
Sin embargo, el inicio de su colaboración respondía a la situación descrita y Biot debía repasar las pruebas de imprenta y reunirse periódicamente con el autor para rendir cuentas de su labor y contrastar opiniones. En aquellas reuniones solía aparecer como tema de trabajo alguno de los puntos difíciles de seguir para el lector y que generalmente estaban precedidos por el consabido “es fácil ver que...”. Cuenta Biot que su maestro acogía con enorme paciencia esas propuestas y se apresuraba a justificar esos pasos aparentemente triviales, pero para los que Biot, matemático muy formado, no encontraba explicación y para los que el mismo Laplace, en algunos casos, necesitó una hora o más de concentración y reflexión hasta reconstruir el razonamiento que en el momento de escribir el texto le había parecido “fácil de ver”. Biot, en descargo del genial científico, asegura que una justificación pormenorizada de la obra habría hecho que ésta, bastante extensa de por sí, ocupara más del doble de páginas, haciéndola inabordable para el lector, para el editor e incluso para el propio autor.
La transformada de LaplaceDe entre todos los teoremas, métodos y fórmulas que llevan el nombre de Laplace es, sin duda alguna, su transformada la que mantiene mayor vigencia e importancia en la matemática aplicada actual. No sería justo, por lo tanto, pasar de largo por este resultado. En unas líneas intentaremos un ligero acercamiento a uno de los recursos más eficaces con los que la matemática aborda problemas concretos del entorno físico.
De forma general, se considera que un transformación integral de una función f(x) definida en un intervalo [a,b], sea éste finito o infinito, para una función K(p,x), llamada núcleo, dependiente de la variable x, y del parámetro p es aquella transformación lineal que viene dada por la expresión:En el caso concreto de que el intervalo de definición sea [0,∞] y la función núcleo de la transformación sea K(p,x) = e-px, se tiene la transformación L de Laplace, definida así:
La transformada de Laplace L[f(x)] = E(p) es, pues, una función del parámetro p.
Es fácil determinar las transformadas de Laplace de algunas funciones sencillas, veamos los siguientes casos:
La importancia de la transformada de Laplace no radica simplemente en su interés analítico sino que buena parte de su aplicabilidad se basa en su relación con las series de potencias.
Consideremos la serie:si pasamos de la variable discreta n a la continua t, obtenemos:
Introduciendo un cambio de notación y considerando x = e-p, la integral anterior se transforma en esta expresión:
Que corresponde precisamente a la transformada de Laplace de la función a(t). En consecuencia las transformadas de Laplace son las análogas continuas de las series de potencias y puesto que éstas tienen tal protagonismo en análisis, se explica el papel tan destacado de esta transformada.
Esa relación con las series de potencias le confieren unas buenas propiedades analíticas, así la derivada de la funciónEs precisamente
Que puede considerarse como la transformada de Laplace de la función -xf(x), es decir:
L[-xf(x)] = F’(p)
En consecuencia:L[x2 f(x)] = F’’(p
Y en generalL[(-1)n xn f(x)] = Fn(p)
La utilidad de la transformada de Laplace está relacionada fundamentalmente con su aplicación a la solución de ecuaciones diferenciales en muy diferentes ámbitos de la física.
En cuanto a su origen, se reconocen métodos similares en la obra de Euler De constructione aequationum de 1744 y en algunos trabajos de Lagrange. Laplace empieza a utilizar este tipo de transformaciones en las ecuaciones de diferencias y en métodos reiterados de integración por partes, tanto en sus producciones sobre series de 1777 como de 1782, sería tras el planteamiento de Fourier en 1807 de las ecuaciones y soluciones para la difusión del calor, cuando Laplace vuelve a utilizar este recurso con miras a conseguir resultados más generales que los obtenidos por Fourier.
Serían la versatilidad y las buenas propiedades de esta transformación, las claves de su éxito y de su creciente aplicación a lo largo del siglo XIX y del XX para resolver muy diferentes problemas planteados en términos de ecuaciones diferenciales.
Por otra parte, hay que considerar que Laplace se había acostumbrado a lo largo de sus años de trabajo en la Academia a redactar memorias sobre temas muy concretos, nunca muy extensas, y dirigidas a las mentes más preparadas y más ejercitadas en el estudio de temas complejos.
Todo ello perfiló un método de trabajo y un estilo en los que no necesitaba detallar su discurso ni extremar el cuidado de sus textos, de forma que cuando llegó el momento de generalizar su trabajo todos estos hábitos estaban demasiado consolidados como para que no aparecieran de manera natural en la redacción de sus libros y más aún en la elaboración de los borradores.
En diferentes momentos se ha visto que el comportamiento de Laplace hacia sus colegas y sus obras fue en muchos casos incorrecto y así mismo se ha comentado que por su carácter era tenido por arrogante, displicente y orgulloso. Bien es cierto que hay situaciones concretas que ratifican esas valoraciones y hacen que el estilo de conducirse del científico sea inadecuado y totalmente reprobable, pero también lo es que hubo ocasiones en las que mostró no sólo gran sentido ético, sino calidez humana. Es bien conocido, por ejemplo, que una vez situado en la Academia, y con el futuro resuelto, ayudó a gran cantidad de jóvenes prometedores a desarrollar sus capacidades científicas y en los párrafos precedentes han aparecido muchos de sus nombres. También lo es que cuando Napoleón le nombró ministro del interior su primera decisión fue adjudicar una pensión a la viuda de Jean Sylvain Bailly (1736-1793), alcalde de París durante la época revolucionaria y miembro de la Academia, decapitado en la época del Terror y cuya familia languidecía en la indigencia.
Pero, con seguridad, la anécdota más llamativa acerca de su buen talante es la que desvela Biot en el mismo artículo antes comentado y que se refiere a un asunto que le atañe a él mismo. En 1799, cuando Biot se hubo ganado la atención y confianza de Laplace, le mostró ciertos trabajos que había realizado y que trataban de resolver unos problemas geométricos planteados por Leonhard Euler (1707-1783) acerca de las características de unas curvas que verificaban ciertas condiciones. Laplace pidió a Biot que redactara el texto definitivo de la propuesta que le había contado y, una vez leído, le aconsejó que no se alejara tanto de la situación planteada como en las conclusiones pretendía, pues iba a encontrar dificultades a la hora de resolverla, ya que el análisis matemático no contaba con suficientes recursos como para abordarla con éxito. Biot atendió sus argumentos y rehizo el escrito. A la vista del resultado final le animó a presentarlo tal como estaba en la sesión de la clase de matemáticas del Instituto de Francia que tendría lugar al día siguiente. Acudieron ambos a esa sesión acompañados del general Bonaparte, elegido académico meses atrás, y Biot leyó su trabajo. De vuelta a casa de Laplace, éste le pidió que le acompañara al despacho y una vez allí sacó de una caja unos papeles que amarilleaban de puro antiguos y en los que pudo leer los mismos resultados a los que él había llegado y que habían sido interrumpidos por no encontrar los recursos analíticos necesarios para generalizar la situación, tal y como Laplace le había avanzado a la hora de recomendarle las modificaciones a su memoria. El propio Biot asegura con emoción que nunca salió este secreto de aquellas paredes y que para él fueron las felicitaciones sobre el desarrollo de un tema que Euler había dejado esbozado, pero para el que Laplace había encontrado con gran antelación similares avances.
Anécdotas como ésta pretenden acercarnos a un personaje que presenta en su conducta luces y sombras, mostrando de paso que a su denostada conducta política, tan presente siempre a la hora de esbozar su perfil biográfico, se contraponen valores positivos, que se acrecientan cuanto más nos aproximamos al terreno estrictamente científico en el que volcó su enorme talento con un esfuerzo y una pasión que no se aprecian en el resto de sus actividades personales.
§. El final de una vida
Un frío día de febrero de 1827 Laplace se dirigió a la oficina de Longitudes, de la que era miembro, a entregar una memoria sobre los fenómenos atmosféricos. Regresó enfermo a casa y enseguida se avisó al doctor Magendie, académico y amigo suyo personal. Todo fue en vano, pues el 5 de marzo de 1827 a las nueve de la mañana moría. Se dice que la fiebre le hacía delirar y poco antes de morir comenzó a hablar de los movimientos de los astros y Bouvard, también astrónomo y colaborador del sabio, le tranquilizaba hablando de sus descubrimientos sobre esa materia, a lo que respondió:
Lo que conocemos es muy poco, lo que ignoramos es inmenso.
Estas palabras son tenidas como las últimas que pronunciara Laplace.
Fue enterrado con gran solemnidad en el cementerio del Pére- Lachaise de París y el día 7 de marzo los académicos celebraron una sesión para honrar su figura.

Placa que recuerda el fallecimiento de Laplace en su casa de la rúe du Bac.
En ella intervinieron Daru, canciller de la Academia Francesa, y dos de sus más cercanos y prestigiosos colaboradores: Poisson y Biot, quienes en sendos discursos y con la solemnidad que la ocasión requiere recordaron los grandes descubrimientos de su maestro en diferentes campos y el importante vacío que su muerte dejaba en la comunidad científica.
La comparación que de su obra se hacía con la de Newton y la gran admiración mostrada por Laplace hacia la ley de gravitación sobre la que había elaborado sus resultados, hacen que resulte más llamativa la casualidad que hizo que su muerte se produjera casi un siglo después de la del gran sabio inglés, acaecida 27 de marzo de 1727. Esa relación entre ambos personajes quedaría grabada para la posteridad en la piedra de su casa natal con los siguientes versos de Chenedollé:
Sous un modeste toit ici naquit Laplace,
Lui, qui sut de Newton agrandir le compás,
Et, s’ouvrant en grand sillon dans le champs de l'espace
Y fit encore un nouveau pas.
Bajo un modesto tejado nació aquí Laplace,
Que supo ampliar el compás de Newton
Y abriéndose un gran surco en los campos del espacio
Pudo dar en él un nuevo paso
Años más tarde sus restos fueron traslados desde París a Mailloc, en las cercanías del castillo de Saint-Pierre de Mailloc, que poseía desde 1813, y sepultados bajo un monumento erigido en su memoria. En dicho castillo, residencia habitual de la familia de su única nieta, Madame Colbert, terminaron reuniéndose todos los libros, documentos, recuerdos y demás enseres suyos, pero lamentablemente todo se perdió tras el incendio que lo devastó en 1926. Hoy sigue en ruinas y sólo algunos muros siguen en pie.
Laplace dejó una familia muy exigua, compuesta únicamente por su esposa Charlotte, que le sobreviviría durante 36 años, su hijo Émile y su nieta Angélique, futura condesa de Colbert, cuyos descendientes cambiarían el apellido por el de Colbert-Laplace. Émile Laplace, que había estudiado en l’École Polytechnique, era oficial de artillería y alcanzaría el grado de mariscal de campo en 1837 y el de teniente general en 1843. Heredó de su padre el título de par de Francia y el de marqués. Con la llegada al poder de Napoleón III sería senador. Se retiró a la vida privada en 1870 y murió en 1874.
Su fama como gran científico le pervivió sobradamente y su obra completa fue reeditada tras su muerte en dos ocasiones. La primera sufragada por la Asamblea Nacional en 7 volúmenes (1843-1847) y la segunda, financiada por su hijo, en 14 volúmenes (1878-1912).
La edición a cargo del estado fue propuesta por François Arago en la Cámara de Diputados, de la que era miembro, el 16 de mayo de 1842. Esa petición va enmarcada en un extenso y erudito discurso en el que el matemático Arago realiza un entregado panegírico del que fuera su maestro.
Comienza así:
“Señores, Laplace, ha dotado a Francia, a Europa, al mundo sabio, de tres magníficas composiciones: Tratado de mecánica celeste, Exposición del sistema del mundo y Teoría analítica de las probabilidades. Hoy ya no existe en las librerías de París ningún ejemplar de esta última obra. La edición de la Mecánica celeste pronto estará agotada, se ve, pues, llegar el momento en que las personas dedicadas al estudio de las matemáticas trascendentes se verían forzadas, a falta de la obra original, a pedir a Filadelfia, a Nueva York o a Boston la traducción inglesa, que el hábil geómetra Bowditch ha hecho del tratado capital de nuestro compatriota”.
Esta petición, orientada a paliar la necesidad expresada, encerraba, sin embargo, tres objetivos: el primero, ya expuesto, permitir a los estudiosos que pudieran acceder a la obra original en francés. En segundo lugar, como resulta presumible, homenajear al ilustre científico. El tercero, y quizás el más sorprendente, era divulgar su obra y acercarla a los estudiantes y al público curioso. Para ello solicitó que se enviaran ejemplares “a cada capital de departamento, a todas las ciudades que tengan bibliotecas públicas y a las facultades de las escuelas especiales”.
El año 1947, la Universidad de Caen celebró con gran boato el bicentenario de su nacimiento, y con tal motivo hubo conferencias, placas conmemorativas y aparecieron nuevos estudios sobre sus obras. Pero indudablemente el mayor homenaje que puede caber a la memoria de un científico es el que Laplace recibe cotidianamente de quienes se dedican al estudio e investigación de las matemáticas y la física.

El mausoleo de Laplace.
Tal reconocimiento es tan simple como genial: las leyes, los teoremas, las funciones, las transformaciones, los métodos y las fórmulas que llevan su nombre siguen siendo herramientas fundamentales para la solución de problemas casi doscientos años después de su formulación.
- ARAGO, F. (1842) “Rapport á la chambre des députés”. En Moniteur universel, Vol. 18.
- BERRY, A. (196 l_) A short History of Astronomy from earliest times trough the nineteen century, Dover, Nueva York.
- BERTRAND, J. (1887) “Oeuvres completes de Laplace, publiées sous les auspices de l’Académie des sciences. Théorie analytique des probabilités”. En Journal des savants, número de noviembre, pp. 686-705.
- BIANCO, B. 0. (1913) “Le idee di Lagrange, Laplace, Gauss e Schiaparelli sull’origine delle comete”. En Memorie delta reale accademia delle scienze Tormo, Vol. 63, pp. 59-110.
- BIGOT, A. (1952): “Discours pour les cérémonies du deuxcentiéme anniversaire de la naissance de P. S. Laplace ”, Académie des Sciences, Notices et discours, Vol. 3, (1949-1956)
- B1G0URDAN, J. (1931): “La jeunesse de Laplace”. En science moderne, Vol. 8, pp. 377-384.
- BIKERMAN, J. J. (1975) “Theories of capillary attraction”. En Centauras, Vol. 19, nº 3, pp. 182-206.
- BIOT, J. B. (1850): Une anecdote relative a M. Laplace. En Journal des savants. Febrero 1850, Imprimerie nationale, París.
- BIOT, J. B. (1827) “Discours prononcé aux funérailles de M. Le marquis de Laplace”. En Moniteur universel, Vol. 20.
- BONCOMPAGNI, B. (1883): “Interno agli alti di nascita e di morti de P. S. Laplace”. En Bolletino di bibliografía e di storia delle scienzia, Vol. 15, pp. 447-465.
- B0UVIER, A (1984) Diccionario de matemáticas, Akal, Madrid.
- BOYER, C. B. (1986) Historia de la matemática. Alianza, Madrid.
- CHAZI, J. “Discours pour les cérémonies du deux-centiéme anniversaire de la naissance de P. S. Laplace”, Académie des sciences, Notices et discours, Vol. 3, (1949-1956)
- COMTE. A. (1970) “Mémoire sur la cosmogonie de Laplace". En Auguste Comte. Ecrits de jeunesse 1816-1828, Paulo Berredo, París.
- DANJON, A. (1952): “Discours pour les cérémonies du deux-centiéme anniversaire de la naissance de P. S. Laplace prononcé le 21 de mai 1949”, Académie des sciences, Notices et discours, Vol. 3, (1949-1956), pp. 19-38.
- DANTZIG, D. VAN (1955) “Laplace probabiliste et statisticien et ses précurseurs”. En Archives internacionales d’histoire des sciences, Vol. 8, pp. 27-37.
- DARU, Comte de (1827) “Discours prononcé aux funérailles de M. Le marquis de Laplace, le 7 de mars 1827”. En Moniteur universel Vol. 20.
- DHOMBRES, N.; DHOMBRES, J. (1989) Naissance d’un pouvoir.
- Sciences et savants en France (1793-1824), Parot, Paris.
- FOURIER, J. (1829): “Éloge historique de M. Laplace”, En MASIF, 10, pp. Ixxxi-cii
- FOX, R. (1974): “The rise and fail of Laplacian physics”. En Historical studies in the physical sciences, Vol. 4, pp. 89-136.
- FOX, R. (1971) The caloric theory of gases from Lavoisier to Régnault, Oxford University Press, Londres.
- FRISINGER, H. H. (1974) “Mathematicians in the history of meteorology”. En Historia Mathematica, Vol. 1, pp. 263-286.
- GILLISPIE, C. C. (1997) Pierre Simon de Laplace(l 749-1827). A Life in exact Science. Princeton University Press, Princeton.
- GILLISPIE, C. C. (1997) Pierre Simon de Laplace (1749-1827). A Life in exact science. Princeton University Press, Princeton.
- GILLISPIE, C.C. (1970-80) Dictionary of scientific biography, Charles Sreibner & son, Nueva York.
- HÉRAUD, C.; HÉRAUD, G. (1999) La Normandie des savants. Pierre Simón de Laplace (1749-1827), Ed. Charles Corlet, Condé-sur- Noire.
- HERMANN, J. (1987) Atlas de astronomía, Alianza, Madrid.
- KING, H.C. (1955) The History of the telescope, Dover, Nueva York.
- KL1NE, M. (1994) El pensamiento matemático de la Antigüedad a nuestros días, Alianza, Madrid.
- LAPLACE, P.S. (1985) Ensayo filosófico sobre las probabilidades, Alianza, Madrid.
- LAPLACE, P.S. (1843-1847) Oeuvres, Vol. I-VII, Imprimerie nationale, París.
- LODWIG, T.H. et AL. (1974) “The ice calorimeter of Lavoisier and Laplace”. En Annals of Science. Vol. 31, nº1, pp. 1-8
- MERLAU-PONTY, J. (1976): “Situation et role de l’hypothése cos- mogonique”. En Revue d’histoire des Sciences et de leurs applications, Vol. 29, pp.21-49.
- MOLINA, E.C. (1930) “The theory of probability: some comments” En Bulletin of the American Mathematical Society, Vol. 36, pp. 369-392.
- NEWTON, I (1982) Principios matemáticos de la filosofía natural y su sistema del mundo, Editora Nacional, Madrid.
- NEWTON, I (1977) Óptica, Alfaguara, Madrid.
- POISSON, S. (1827) “Discours prononcé aux funérailles de M. Le marquis de Laplace”. En Moniteur universel, Vol. 20.
- SIMON, G.A. (1929): “Les origines de Laplace: Sa généalogie”. En Biometrika, Vol. 21, pp.217-230.
- SIMMONS, F. (1985) Ecuaciones diferenciales con aplicaciones y notas históricas, McGraw-Hill, Madrid.
- TATON, R. et alt. (1973) Historia general de las ciencias, Destino, Barcelona.
- VUILLEMIN, E. (1958) “Sur la généralisation de l’estimation de la forcé chez Laplace”. En Thales, Vol. 9, pp.67-76
- WUSSING, H. (1998) Lecciones de historia de las matemáticas, Siglo XXI, Madrid.
- WUSSING, H.; ARNOLD W. (1989) Biografías de grandes matemáticos, Universidad de Zaragoza, Zaragoza.
- YAMAKAZI, E. (1971) “D’Alembert et Condorcet. Quelques aspects de l’histoire du calcul des probabilités”. En Japanese studies in the history of Science, Vol. 10, pp. 59-93.
Javier Bergasa Liberal es profesor de secundaria y doctor en ciencias matemáticas. Simultanea sus trabajos sobre la didáctica de esta materia con investigaciones sobre su historia. Sobre este tema, y con especial dedicación al campo de la astronomía, participa habitualmente en cursos y congresos y ha publicado varios artículos y monografías.
F I N
Notas:
otros jóvenes científicos italianos una sociedad que será el embrión de la Real Academia de Turín. Fue en la revista de esta sociedad donde empezó a publicar sus primeros trabajos, que recibieron la aprobación de Euler.







El autor de la reforma fue Gilbert Romme (1750-1795), quien disponía de una sólida formación matemática, pero que destacó como político. Este personaje, tras viajar por Rusia, llegó en 1788 a París, donde, comprometido con movimientos renovadores y antirreligiosos, abrazó la causa republicana.









llegando a ser un miembro más de la familia, hecho favorecido por la gran amistad que le unía con Amadée Berthollet, hijo de su maestro y también químico.















