Lagrange
Luis Fernando Arean
Joseph-Louis Lagrange figura entre los matemáticos más importantes de todos los tiempos, a pesar de contarse entre los genios relativamente desconocidos de su disciplina, debido a que con frecuencia fue eclipsado por su casi contemporáneo Leonhard Euler. Sobre todo, fue un matemático filósofo, cuya vida intelectual estuvo guiada por un hilo conductor, la transformación de toda la matemática en análisis, la algebraización como base y metodología filosófica, «metafísica» hubiera dicho él, de todo su esfuerzo. Hombre de gran intuición, cubrió muchos de los campos de investigación de su época, aplicando métodos similares en terrenos que parecían desconectados entre sí.Lagrange representa en muchos aspectos la cumbre de una serie de desarrollos matemáticos, en particular en los campos del cálculo y el estudio de ecuaciones diferenciales. Sus estudios continúan vigentes y siguen siendo utilizados. La aplicación de estas técnicas a la mecánica le convierten tal vez en el primer físico matemático, la primera persona cuya prioridad era no tanto resolver problemas físicos por su importancia práctica o teórica, como por su interés matemático. Asimismo, Lagrange, junto con Euler, continuó tradiciones tales como la teoría de números, poco popular en su época, y prefiguró con su trabajo, los posteriores y fundamentales descubrimientos en teoría de ecuaciones que efectuaron Abel y Galois. Por último, es imposible hablar de nuestro autor sin hacer notar su contribución fundamental a la expresión teórica de la mecánica de Newton, que prácticamente cierra el desarrollo de ésta, y que es tan general y vigente que puede adaptarse sin demasiada dificultad a otras teorías físicas del siglo XIX y, sobre todo, a las grandes revoluciones científicas del XXI, la mecánica cuántica y la relatividad. Los físicos siguen utilizando los desarrollos de Lagrange, y problemas como el de los n cuerpos, continúan ocupando a los teóricos incluso en nuestros días. A raíz de dicho problema, por ejemplo, se descubrió un campo tan vigente en los actuales estudios como el de los sistemas caóticos.

Buscador impenitente de nuevos conocimientos, Isaac Newton, retratado en esta imagen por Godfrey Kneller, contribuyó al desarrollo de la matemática con aportaciones valiosas, como el cálculo infinitesimal
A lo largo de esta obra se revisitarán los descubrimientos de Lagrange en varios de estos campos, lo cual permitirá, dada su amplitud de miras, trazar un extenso panorama del estado de la matemática en el siglo XVIII, entroncando con la gran tradición analítica que se inicia en la centuria anterior y que se convierte, gracias en buena medida a Lagrange, en la principal forma de hacer matemáticas hasta nuestros días. Se hablará de este cambio filosófico fundamental frente a la geometría de Euclides, que llevó al matemático turinés a envanecerse de no haber puesto ni una sola ilustración en un libro de dos tomos. También será abordado su cálculo de variaciones, obra de juventud que empleó durarte toda su vida; de sus aplicaciones a problemas prácticos de mecánica celeste, sus estudios en ecuaciones diferenciales, sus rápidas pero fundamentales incursiones en teoría de números y de ecuaciones, su mecánica y, finalmente, su casi olvidada teoría de funciones.
Descubriremos también la personalidad de un hombre afable, sencillo, propenso a la melancolía, el sabio que desde su torre de marfil fue testigo de su agitada época mientras, en la soledad de su gabinete, se permitía soñar con los mundos abstractos donde lograba urdir sus certezas. Sin más que añadir, icemos el telón.
| Cronología | |
| 1736 | El 23 de enero, nace en Turín, Giuseppe Luigi Lagrangia. |
| 1755 | Entre este año y el siguiente, escribe cartas a Euler sobre cálculo de variaciones. |
| 1755 | Es nombrado profesor asistente en la Academia de Artillería de Turín. |
| 1755 | Aparece el primer volumen de la Miscellánea Taurinensia. |
| 1762 | Se publica el segundo volumen de la Miscellánea Taurinensia. |
| 1763 | Su memoria sobre el problema del acoplamiento de mareas de la Luna, y sus libraciones es premiada por la Academia de París. |
| 1763 | Viaja a París. Enfermedad y malogrado viaje a Londres. |
| 1764 | Realiza investigaciones sobre las desigualdades de los satélites de Júpiter. |
| 1770 | Trabaja en el teorema de los cuatro cuadrados. |
| 1770 | Publica su tratado sobre la resolución de ecuaciones algebraicas de tercer y cuarto grado. |
| 1772 | Su memoria sobre el problema de los tres cuerpos es premiada, ex aequo con Euler, por la Academia de París. |
| 1773 | Aparece el tercer volumen de la Miscellánea Taurinensia. Resolución de la ecuación de Pell-Fermat |
| 1775 | Aparece Recherches d'aritmétique, con el primer tratamiento sistemático de formas cuadráticas. |
| 1776 | Es nombrado director de Matemáticas en la Academia de Berlín. |
| 1777 | Contrae matrimonio con su prima» Vittoria Conti. |
| 1783 | Vittoria Conti enferma y muere, Lagrange cae víctima de una enfermedad depresiva. |
| 1787 | Es nombrado miembro de la Academia de Ciencias de París. |
| 1788 | Se publica la Mecánica analítica. |
| 1789 | Estalla la Revolución Francesa. |
| 1792 | Contrae matrimonio con Renée- Françoise-Adélaïde Le Monnier., |
| 1794 | Es nombrado profesor en la École Nórmale. |
| 1799 | Establecimiento del sistema métrico decimal |
| 1813 | El día 10 de abril, Lagrange muere en Paris. |
Capítulo 1
La irrupción de Lagrange
Joseph-Louis Lagrange fue una de las figuras señeras de la matemática del siglo XVIII. Su cálculo de variaciones, que formuló a la temprana edad de diecinueve años asombrando a propios y extraños, se sigue usando en la actualidad como una de las herramientas matemáticas más importantes de la mecánica teórica.Un día de agosto de 1755, el sabio suizo Leonhard Euler (1707- 1783), considerado el más grande matemático de su época y a quien el rey Federico n el Grande de Prusia apodaba «el Cíclope», porque a la sazón solo veía por un ojo, recibió una carta de un joven turinés. Cabe imaginar al personaje consagrado, abriendo la correspondencia en su caluroso despacho de la Academia de Berlín, tal vez aburrido porque lo que tenían que comunicarle sus muchos corresponsales era o bien trivial o bien falso. Tal vez solo los escritos de sus amigos y colegas los hermanos Bernoulli (Daniel, 1700-1782, y Johann, 1710-1790), de Basilea como él, le despertaban entusiasmo. Así que su único ojo funcional debió de abrirse desmesuradamente mientras leía la misiva del italiano, pues se abría ante él un mundo donde su intuición matemática, casi infalible, reconocía nuevos paisajes y nuevas maravillas. Tal vez Euler, el matemático más prolífico de la historia y uno de los más geniales, cayó en la cuenta de que estaba frente al único hombre que podía disputarle el trono del siglo XVIII. En aquella misiva, Giuseppe Luigi Lagrangia, tal era el nombre de su joven corresponsal, le exponía brevemente sus hallazgos en un campo que el propio Euler, años después, llamaría «cálculo de variaciones». Como todas las historias matemáticas, esta hunde sus raíces en generaciones de predecesores.

Leibniz, retratado por Johann Friedrich Wentzel. El sabio alemán trabajó en paralelo a Newton en el descubrimiento del cálculo infinitesimal. Ambos llagaron a conclusiones coincidentes.
§. El camino hacía el cálculo diferencial
En la Antigüedad, los filósofos miraban al movimiento con perplejidad. Era un misterio cómo y por qué se movían las cosas. El griego Zenón de Elea (ca. 490-ca. 430 a.C.) llegó a postular que el movimiento era imposible, sirviéndose para ello de sus famosas aportas: entre otras cosas, decía que para que una flecha llegara de A a B tenía que pasar primero por el punto medio entre los anteriores, llámesele C. Pero, para llegar de A a C, había que pasar por el punto medio entre ambos, D. Como resulta evidente, este razonamiento se generalizaba hasta el infinito, y era imposible pasar de un punto a otro porque entre ellos siempre habría un tercero que había que alcanzar antes de moverse más lejos. En conclusión, la flecha no podía moverse. Otro de los argumentos de Zenón, más conocido, enfrentaba a Aquiles («el de los pies ligeros» le llamó Homero, por ser el corredor más rápido de su época, además de un gran guerrero) con una humilde tortuga que le retaba a una carrera, pidiéndole solo una ventaja inicial. Según Zenón razonaba, cuando Aquiles, independientemente de su velocidad, llegara al punto en el que había iniciado la carrera la tortuga (A), esta ya se habría movido un poco, por pequeña que fuera la distancia, hasta B. Y para cuando Aquiles llegase a B, la tortuga se habría movido otro poco, hasta C, y así continúa el argumento hasta el infinito: Aquiles no puede vencer a la tortuga, que siempre le llevará una ventaja, por pequeña que sea.
Durante siglos las aportas de Zenón quedaron sin respuesta, hasta que los «geómetras» —hoy matemáticos— del siglo XVII empezaron a pensar en ellos. Si el movimiento era una realidad física evidente, ¿cómo reconciliarlo con los argumentos aparentemente imbatibles de Zenón? Con trucos sucios, esa fue la respuesta; pensaron en cantidades que llamaron «evanescentes» y que eran pequeñísimas pero distintas de cero, hasta el momento en el que decidían que convenía igualarlas a cero, para poder ignorarlas. Así, podían dividir entre esas cantidades evanescentes —algo prohibido si fueran realmente cero— y luego convertirlas en cero para que desaparecieran.
Otros, como Leibniz, pensaron en unos números raros que llamaron «infinitésimos». Piénsese en que un círculo tiene una cantidad increíblemente grande de segmentos que, si pudieran verse con una lupa potentísima, parecerían pequeñísimas rectas. El sabio griego Arquímedes (ca. 287-ca 212 a.C.) ya había pensado que era posible aproximarse a la forma del círculo mediante polígonos de cada vez más lados (figura 1).

Figura 1. La aproximación de Arquímedes a un círculo por polígonos inscritos y circunscritos

a) Representación conceptual de los infinitésimos como pequeñísimos segmentos de recta formando un polígono de un número infinito de lados: un círculo; y b) la tangente como continuación del segmento infinitesimal.
Tras esta intuición está todo el cálculo. En la actualidad, los físicos todavía piensan con frecuencia en esas pequeñísimas cantidades llamadas «infinitésimos», para horror de sus colegas matemáticos, que prefieren ahora utilizar otros términos, más formales y oscuros, para describir el cálculo. Habría que esperar hasta el siglo XIX para que esos términos formales lograran derrotar definitivamente a Zenón, gracias a matemáticos como el checo Bernard Bolzano (1781-1848), el francés Augustin-Louis Cauchy (1789- 1857), y los alemanes Karl Weierstrass (1815-1897) y Julius Wilhelm Richard Dedekind (1831-1916), entre otros.
§. La aportación de Euler
Una vez sentada la idea informal que se tenía en el siglo XVIII acerca de los infinitésimos, las cantidades evanescentes, esos «átomos» de las curvas o misterios mal definidos e intuitivos que plagaban la matemática de aquel tiempo, cabe indicar que filósofos como el irlandés George Berkeley (1685-1753) se burlaban abiertamente de ellos, por parecerles ridículo ser cero y no cero a la vez. Pero eran demasiado útiles para descartarlos y, de todas formas, el concepto de prueba formal (el «método») todavía se estaba desarrollando en esos tiempos, después de un siglo menos dado al rigor matemático que al pragmatismo de la obtención, de resultados.
Al imaginar que esos lados infinitesimales, segmentos rectos pequeñísimos, son prolongados por ambos lados en una recta infinita, cabría preguntarse qué resulta. La respuesta es: una tangente. Una recta que toca al círculo en un solo punto, de forma tal que es perpendicular al radio de dicho círculo. Cabe pensar, en efecto, en esa tangente como una continuación indefinida del segmento infinitesimal (figura 2). Y ya que se piensa en círculos, se podría pensar «en cualquier» curva». Todas las curvas tienen tangentes. Al menos, las curvas «que se portan bien», lo cual más o menos quiere decir que no tienen picos, vértices que «pinchen».
Así surge el concepto de derivada, tiene que ver con la recta tangente en cada punto de una curva suave. Y según la geometría analítica, las rectas se caracterizan sobre todo por tener una pendiente. La pendiente es una medida de lo pronunciado de una subida (o de una bajada). La pendiente se mide como la función trigonométrica tangente del ángulo entre la recta y el eje cartesiano horizontal, el de las x, y no como un porcentaje. Aunque están relacionadas, hay que distinguir la tangente como función trigonométrica y como recta. Pues bien, el valor de esa pendiente es la derivada.
Pero, ¿la derivada de qué? Euler fue el primero en definirla como «la derivada de una función», Y una función, según Euler, es una fórmula que da un cierto valor, basado en el valor que asumen sus parámetros.
Una de las funciones más sencillas es la propia línea recta. Se escribe así
f(x) = mx + b
Claramente, f(x) tendrá valores distintos dependiendo del valor de x, que es la variable independiente. Por su parte, m y b no son variables, sino constantes que no varían, siendo m precisamente la pendiente recién citada y b la altura de la recta, el punto en el que corta al eje de las ordenadas. Todo esto se ve más claro al pensar que toda función de un solo parámetro puede dibujarse como una gráfica en un plano cartesiano, donde, f(x) toma el lugar de las ordenadas (lo que normalmente se llama y, el eje vertical), y x; el de las abscisas (el horizontal). Grosso modo, la teoría de las funciones sería en primera instancia sustituir y por f(x). Pero hay otras condiciones: f(x) siempre debe dar un resultado para todos los valores de x. Y dicho resultado tiene que ser único. No vale que haya dos o más, lo cual resulta muy satisfactorio a nivel intuitivo. En la física, un objeto tiene siempre una velocidad, no dos o más.Y siempre tiene que tener un valor definido de velocidad, aunque esta sea cero.
«Sobre el principio de mínima acción creo que [si aplicamos vuestros resultados y los míos] podemos obtener una llave universal para todos los problemas, estáticos y dinámicos, del movimiento de los cuerpos [así como] del equilibrio y movimiento de fluidos.»No es difícil, a partir de estas restricciones, darse cuenta de que no toda curva que podamos dibujar en un plano cartesiano es una función, la hipérbola y = 1/x no está definida para x = 0. No es una función para toda x. El círculo x2+ y2 = r2 tiene dos valores de y para un solo valor de x, como puede comprobar cualquiera que dibuje un círculo en el plano cartesiano, Tampoco es una función.
Joseph-Louis Lagrange, carta a Leonhard Euler
Así pues, Euler definió un tipo muy peculiar de curvas, y, además, no las limitó a que solo tuvieran dos dimensiones, x e y. La genialidad de Euler estribaba en que una función puede tener cualquier número de variables: f(x1, x2,…,xn).
La importancia de este salto conceptual no puede ser exagerada. Si bien es totalmente natural la extensión de dos dimensiones (x y f(x)) a un espacio de tres dimensiones (x, y y f(x,y)), el siguiente paso, tener un número arbitrario de variables (y por tanto de dimensiones) resulta inmenso. A partir de cuatro dimensiones ya no se puede visualizar geométricamente la gráfica de la función. La visión queda limitada al espacio físico de tres dimensiones. Pero cabe conceptualizar un espacio de n dimensiones, porque la imaginación no tiene límite, e intuitivamente puede darse a ese espacio las propiedades que tiene el espacio físico de tres dimensiones. Y ello representa el triunfo definitivo del análisis: liberar la mente de la representación física, geométrica, y hacerla pensar solamente en términos de expresiones escritas en el lenguaje del álgebra.
Ahora bien, dada una función, es natural preguntarse sobre sus valores máximos y sus valores mínimos, acerca de dónde están la más alta cima y la más profunda fosa. Desde el siglo XVIII se sabía la respuesta: cuando una curva (una función, en lenguaje anacrónico para la época) llega a su máximo, la tangente a la curva es horizontal, como puede verse en la figura 3.

El máximo de f(x) en el punto A tiene une tangente horizontal, lo mismo que el mínimo (punto B).
Leonhard EulerEl matemático suizo Leonhard Euler fue el estandarte de la matemática del siglo XVIII.
Su trabajo cubre prácticamente todas las áreas de dicha disciplina vigentes en su momento, al tiempo que importantes trabajos en física.Se le considera el matemático más prolífico de todos los tiempos, Fue el primero en investigar el número e, en desarrollar la moderna teoría de funciones y en traducir la mecánica de Newton a su forma moderna, empleando por primera vez vectores. Hizo importantes contribuciones al cálculo y a la teoría de números, basándose para esto último en las obras de Pierre de Fermat, e inventó la teoría de grafos con su famoso problema de los puentes de Königsberg.
Leonhard Euler es una de las figuras preeminentes de la historia de la matemática da la Ilustración en Europa. En la imagen, aparece retratado por el pintor suizo Jakob Emanuel Handmann (1718-1761).
Además, ocupó destacados puestos en las Academias Reales ele Rusia y Prusia, en los reinados de Catalina la Grande y Federico II el Grande, respectivamente, donde se codeó con reyes y pensadores de la talla de los filósofos Voltaire y Diderot. Tuerto de un ojo debido a una fiebre juvenil, Euler terminó por perder la vista del todo por culpa de las cataratas, pero ello no le impidió seguir produciendo matemáticas al ritmo de un artículo a la semana. Dotado de una memoria prodigiosa, lograba componer sus teoremas en su mente de la misma forma en la que podía recitar la Eneida de principio a fin sin problema.
Y lo mismo pasa cuando llega a su mínimo, en términos matemáticos, eso quiere decir que su pendiente m es cero. Pero, recuérdese qué es la pendiente: la derivada de la función. Entonces, para encontrar sus valores máximos y mínimos hay que resolver una ecuación:
f '(x)=0
donde el apóstrofe, que se lee como «efe prima», quiere decir la derivada de la función f en el punto x. Hay que fijarse en que, si x varía, f '(x) variará también en general. Esta es otra de las grandes epifanías de Euler: la derivada de una función es a su vez una función. Y esta notación, por cierto, se debe a ese joven originalmente llamado Lagrangia, aunque todos lo conozcan hoy por su nombre francés, Lagrange.§. Un genio piamontés
En la dividida Italia del siglo XVII, el norteño ducado de Saboya se había extendido hasta incluir el Piamonte y, tras la paz de Utrecht (firmada en 1715, puso fin a la Guerra de Sucesión Española), también Sicilia, luego cambiada por la Isla de Cerdeña. A partir de 1720, el ducado devino en el Reino de Cerdeña.
Al antiguo ducado llegó en el siglo XVII el bisabuelo de Lagrangia, un capitán de caballería francés. Allí se casó con una noble romana del linaje Conti, emparentada con el papa Inocencio XIII. Uno de sus hijos, el abuelo del matemático, se casó también con una aristócrata, la condesa Bernuolo, y fue tesorero de la Casa de Obras Públicas y Fortificaciones de Turín, la capital del ducado. Dos de sus hijos, uno de ellos, el padre de Lagrangia, heredaron tal cargo, que quedó en la familia hasta su supresión en 1800.
La madre de Lagrangia era burguesa, hija de un médico. Se llamaba Teresa Grosso. El día 23 de enero de 1736 dio a luz a su primogénito, un varón al que bautizaron con el nombre de Giuseppe Luigi. Tendría otros diez hijos, de los que solo uno sobreviviría a la infancia.
§. Formación y vocación
A pesar de su alto cargo, el señor Lagrangia padre no contaba con muchos medio económicos. Al parecer, la causa de ello fueron ciertas especulaciones financieras que le arruinaron antes de que su primogénito alcanzara la mayoría de edad. El joven Giuseppe Luigi no se independizó hasta su partida a Berlín, bien entrada la treintena. Él mismo decía que su vocación matemática se la debía, en parte, a la pobreza familiar, de otra forma, hubiera sido un señor burgués, administrador de sus rentas.
El padre, como solía suceder en tales tiempos, pretendía que su hijo mayor estudiara Derecho, y al muchacho no le molestaba la idea. De hecho, su gran pasión eran las letras clásicas y el latín. Cesare Bonesana, marqués de Beccaria (1738-1794), filósofo y jurista ilustre, le enseñó física, y Filippo Antonio Revelli (1716-1801) la geometría. Fueron ellos quienes le introdujeron en el estudio de las ciencias. La geometría sería su puerta de entrada a las matemáticas, a través de los Elementos de Euclides, pero pronto se dejó cautivar por la novedosa ciencia del cálculo, tan extraña y polémica. Al parecer, un breve artículo sobre óptica del astrónomo y matemático inglés Edmund Halley (1656-1742), el amigo de Newton y descubridor del cometa homónimo, abrió sus ojos a las maravillas de lo que entonces se llamaba «análisis» (en contraposición a la síntesis, el método de la geometría de Euclides).
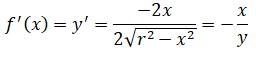
Método sintético versus método analíticoEn matemáticas, el método analítico se basa en el examen de una hipótesis siguiendo detenidamente sus principios lógicos constituyentes. Por el contrario, el método sintético avanza desde una hipótesis previa, desplegándola en sus sucesivos pasos para su demostración. Por ejemplo, sea O el centro del circulo. L una línea tangente y P el punto de tangencia. Supongamos que OP no es perpendicular a L. Dibujemos entonces la línea que pasa por O y que es perpendicular a L. Esta línea se cruza con L en un punto Q que por hipótesis es distinto de P. Como la tangente solo puede tocar a la circunferencia en un punto, Q está fuera de la circunferencia. Ahora consideremos el triángulo OQP, que es rectángulo en el vértice Q. Así que OP es la hipotenusa de este triángulo y por tanto es mayor que OQ. Esto es una consecuencia del teorema de Pitágoras).Pero esto es imposible; dado que Q está fuera de la circunferencia, debemos tener que OQ es mayor que OP. Dado que hemos llegado a una contradicción, nuestra hipótesis es falsa y OP sí es perpendicular a L. El diagrama necesariamente es incorrecto, dado que la hipótesis lo es. Se puede ver claramente que el segmento OQ no es perpendicular a la línea L... pero hay que demostrarlo.
El método analítico
La ecuación del círculo, con la y despejada, es: f(x) = y = √(r2 - x2). Derivamos para obtener la pendiente como función de x e y.
Digamos que (x0,y0) es el punto de tangencia. Entonces la pendiente m1 de la tangente en ese punto esm1 = -x0/y0
Por otro lado, la recta de la que el radio es segmento y que pasa por (0,0) y (x0,y0) es:y = -(y0/x0) x
por lo que la pendiente m2 del radio es:m2 = (y0/x0)
Por tanto,m1 = -1/m2
hora recordamos que m1 y m2 son tangentes, por lo que las sustituimos por la fórmula de la tangente de dos ángulos, α y β:tan(α) = -1/tan(β)
Pero esto es exactamente la identidad trigonométricatan(β + 90º) = -1/tan(β)
Por lo que:α + β = 90º
Lo cual quiere decir que las dos rectas son perpendiculares.
Dicho método consiste en plantear, para cada teorema, una prueba constructiva que va paso a paso desde las hipótesis del teorema hasta la conclusión. La síntesis era rigurosa y hasta entrado el siglo XVIII fue considerado el método por excelencia. La obra maestra de Newton, los Principia mathematica philosophia naturalis, está escrita utilizando la síntesis geométrica, pues el sabio inglés pretendió expresarse al modo de Euclides. En contraposición, ya los griegos tenían otro método, que llamaban «análisis», válido para explorar alternativas y descubrir nuevos enfoques a través de reglas no tan rigurosas, denominadas «heurísticas». Mientras los geómetras trazaban líneas y las medían para indagar la relación entre ellas, los analíticos escribían ecuaciones.
Hasta el siglo XVII, el análisis era como el andamiaje de una prueba, que desaparecía de la exposición final de la misma. Se basaba en la naciente formalización del álgebra llevada a cabo por dos franceses, François Viéte (1540-1603) y el filósofo y científico René Descartes (1590-1650), pero se consideraba menos riguroso que la síntesis, y quienes lo practicaban solían hacerlo sin el rigor que tenían los geómetras. Sin embargo, en el siglo XVIII se impuso el desarrollo de ideas analíticas cada vez más rigurosas. El análisis es mucho más ágil y tiene un alcance más general que las elaboradas demostraciones sintéticas, y cada vez más matemáticos vieron las grandes ventajas de utilizar las herramientas del álgebra. Lagrange no fue una figura menor en ese desarrollo.
A los diecisiete años, Giuseppe Luigi ya había leído y asimilado los trabajos de Newton, Jean-Baptiste le Rond D'Alembert (1717-1783), los Bernoulli y Euler, todo ello de forma totalmente autodidacta. En apenas un año, sus estudios comenzaron a rendir fruto: se había convertido en un matemático de mérito.
§. Los primeros trabajos de Lagrangia
El 23 de junio de 1754, con apenas dieciocho años, el estudiante Lagrangia envió una pequeña memoria al geómetra Giulio da Fagnano (1682-1776). Su ambiciosa idea era formalizar el cálculo, basado todavía en endebles bases intuitivas, usando para ello el teorema binomial de Newton y su analogía con las derivadas sucesivas del producto de dos funciones. Una versión latina de este trabajo fue enviada a Euler, marcando la primera vez que el joven intentaba comunicarse con el gran hombre.

Johann Bernoulli, hermano de Jakob
El estudio de curvas particulares había despertado gran interés desde el siglo anterior: parábolas, lemniscatas, cicloides, catenarias, brujas de Agnesi, entre otras. Todas estas curvas pueden expresarse tanto como una relación algebraica o como una gráfica. De hecho, la equivalencia entre estas dos representaciones constituye la gran victoria de la geometría analítica de Descartes y Fermat. Por tamo, se pueden analizar desde un punto de vista geométrico (sintético) o desde el punto de vista algebraico (analítico). Precisamente la tautócrona era una curva que había sido muy estudiada desde un punto de vista sintético, y no solo por motivos teóricos. La tautócrona es la trayectoria de un objeto que se desliza sin fricción y en un campo gravitacional uniforme de tal forma que siempre llega al suelo en el mismo tiempo, sin importar la posición que tuvo al inicio. Esto tenía gran interés para la fabricación de péndulos, por razones evidentes.

Retrato del matemático Jakob Bernoulli
Tan importante era la cicloide que se la llamó la Helena de los Geómetras, una belleza mítica capaz de fletar mil barcos en su busca.
Años después, Jakob Bernoulli, el maestro de Euler, usaría cálculo para hacer la misma demostración y, al mismo tiempo, demostrar que la tautócrona era la misma curva que la braquistócrona, que es la curva en la que un objeto cae en el menor tiempo.

La cicloide como la trayectoria de un punto fijo en una rueda de bicicleta.
§. Problemas de máximos y mínimos
Cabría preguntarse en qué consistía el novedoso método que tanto emocionó a Euler, hasta el punto de hacerle decir, en su respuesta, que con la contribución de Lagrange se había alcanzado la más alta cima de perfección en problemas de máximos y mínimos en términos de generalidad y utilidad.
Se trataba del cálculo de variaciones en su variante analítica, aunque todavía sin ese nombre. Para entenderlo, conviene fijarse en la definición de braquistócrona, dado que con ella el método es más intuitivo que con la definición de tautócrona, que fue la curva que realmente abordó Lagrange en su misiva. Ya se dijo que son en realidad la misma curva, que a su vez es la conocida como cicloide: la curva por la que un objeto, al caer sujeto a la gravedad, tarda el menor tiempo en su trayectoria. Una solución trivial es la caída libre, una recta hacia abajo. Pero cabe descartarla, porque interesa una curva de caída más general, así que los puntos A y B de origen y destino, respectivamente, del objeto M no están alineados uno encima del otro.
La característica principal de la curva es ese «menor tiempo». Es un «mínimo». En particular, se puede demostrar que ese mínimo corresponde al área S abarcada por la curva y(t) buscada, las rectas verticales que bajan desde A y B hasta cortar el eje de las abscisas y el propio eje de las abscisas, como se ve en la figura 5 (Área bajo la curva, en este caso, la tautócrona).
Esta área es fundamental en cálculo, y se conoce como «área bajo la curva» o «integral de la función y(x)». Isaac Barrow (1630-1677), teólogo y matemático británico; Newton y Leibniz demostraron a finales del siglo anterior a Lagrange que si uno deriva, en el sentido matemático de calcular la derivada, la integral de una función cualquiera f(x), obtiene la misma función, y viceversa: si uno integra la derivada de una función g(x), obtiene la misma función g(x). Como suele pasar en matemáticas, esta descripción es aproximada y sujeta a condiciones y detalles que omitimos por claridad.Así que el problema está asociado con el cálculo infinitesimal. Pero hay más: recuérdese que el cálculo infinitesimal ya nos ha enseñado cómo calcular mínimos (y máximos). Cabe imaginar que se divide la curva y(t) en esos trocitos infinitesimales, esas rectas pequeñísimas de las que se hablaba antes, para ira de los matemáticos actuales (figura 6).
Ahora, para cada uno de esos pequeños segmentos, se estira un poco la curva en los extremos del segmento. Un poco, lo menos posible, es decir, nuevamente, de forma infinitesimal (figura 7).

El cálculo de variaciones generaliza un método del cálculo infinitesimal y lo aplica a ámbitos muy diversos. No son ya solo picos y valles. Ahora se minimizan o maximizan integrales. Y esas integrales sujetas a maximización o minimización se denominan «funcionales».
«Aunque este autor ha meditado mucho […] la gloria de este descubrimiento pertenece al muy sagaz geómetra de Turín, Lagrange, que usando únicamente el análisis obtiene el mismo resultado que el autor dedujo a partir de métodos geométricos.»El argumento anterior sigue los trabajos de previos a Lagrange. Como puede verse, se basa en ideas geométricas (es decir, sintéticas), aunque haya una combinación con ecuaciones (es decir, con ideas analíticas). En esto, Euler seguía la tradición de sus mayores, en particular de los hermanos Johann y Jakob Bernoulli, aunque comenzaba a abandonarla. Era una de época de plena transición. Entre otros logros, el suizo llegaría a una ecuación, hoy conocida como de Euler-Lagrange, pero que el propio Lagrange reconocía como autoría original de Euler.
Leonhard Euler, Tratado sobre el cálculo de variaciones.
¿Cuál fue entonces la contribución de Lagrange? El método, que se basó en procedimientos totalmente analíticos. No había una sola figura en toda la carta enviada a Euler sobre la tautócrona. Introdujo un método, llamado «método δ», que era algo absolutamente general y analíticamente formal, además de análogo a la derivada convencional, y con él obtuvo la ecuación de Euler-Lagrange y resolvió el problema de la tautócrona. Así se inauguró el moderno cálculo de variaciones, cuya formulación actual se basa en la suya, no en la de Euler. Pero su método era algo árido y difícil de comprender.
Las construcciones sintéticas son casi siempre particulares: cada problema requiere una construcción distinta. Los métodos analíticos —como Halley vio y Lagrange comprendió de inmediato, suelen ser muy generales. De ahí el entusiasmo de Euler. De pronto se contaba con un método general y formalmente demostrado para abordar una enorme cantidad de los problemas que en aquellos tiempos se llamaban «isoperimétricos», en analogía con el problema isoperimétrico por excelencia: determinar qué curva cerrada con un perímetro dado comprehende la mayor área. La respuesta es bien conocida; se trata del círculo. Este es el tipo de problemas que precisamente resuelve el cálculo de variaciones de Lagrange de forma absolutamente general.
§. La relación con Euler
Lo que más llama la atención de la respuesta de Euler a Lagrange es que, a partir de ese momento, el sabio vería al joven como su igual emulo intelectual. Euler estaba acostumbrado a relacionarse con las más grandes mentes de su tiempo. Fue discípulo de Johann Bernoulli y de su hermano Jakob, amigo de Daniel, el hijo de Johann, corresponsal de D’Alembert y colega de Pierre Louis Maupertuis (1698-1759). Pero, tal vez, con una excepción del primer Bernoulli, a nadie tuvo Euler en tan alta consideración como Giuseppe Luigi, lo cual da idea de su genio.
La colaboración continuó durante varios años en este fecundo campo. Siendo Euler un hombre muy activo, se reavivó su interés por los problemas isoperimétricos y comenzó a trabajar por su cuenta en el campo que le había abierto Lagrange. Esto llevaría al primer desencuentro entre los dos sabios. En 1756, Euler habló públicamente en Berlín del método de Lagrange y lo utilizó en un artículo que no vería la luz hasta más tarde. Como Lagrange no había publicado aún, se disgustó bastante con el suizo. Sin embargo, Euler no tuvo nunca reparos en reconocer la prioridad de Lagrange y darle el crédito completo del moderno cálculo de variaciones. A pesar de este desencuentro y de cierto enfriamiento en sus relaciones, Euler y Lagrange continuaron escribiéndose durante décadas, hasta un total de treinta y siete cartas llenas de resultados matemáticos fascinantes.
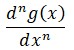
Notación del cálculo infinitesimalCuando sé es un pionero en un campo, como sería escribir las fórmulas analíticas del cálculo, la cuestión de la notación cobra una importancia fundamental. El matemático y filósofo alemán Gottfried Leibniz pensaba que la notación podía ayudar al razonamiento, ser parte de un «hilo de Ariadna» que lo guiara y que buscaba en todas sus aventuras matemáticas, en referencia al mito de Teseo, en el que el héroe encuentra su camino en el laberinto atando a la puerta el extremo del ovillo que le da Ariadna y deshilando la lana mientras se interna, para seguir luego el cordel hasta la salida. Leibniz pensaba en crear un lenguaje lógico universal en el que, según sus propias palabras, «todas las verdades de la razón pudieran ser derivadas como uno hace operaciones matemáticas».
No es casualidad entonces que la notación de Leibniz aspire a ese objetivo y sea más clara que la usada mayoritariamente en los textos modernos. Para denotar la derivada de una función g(x) respecto de una variable x, Leibniz escribía:También podemos escribir.
Para Leibniz, esto era una división real entre dos infinitésimos, dg(x) y dx las derivadas son, a su vez, funciones que pueden derivarse. Para indicar que se ha llevado a cabo la operación dos veces, escribimos:
Y así sucesivamente: hasta la n-ésima derivada:
Leibniz escribía la integral como una ese estilizada, para recordamos que la integral es una suma: ∫f(x)dx.
En efecto, aproximamos la integral de la misma forma que aproximamos la derivada, con infinitésimos. Si recordamos que la Integral es el área bajo una curva, podemos aproximarla con rectángulos de ancho dx y altura f(x), rectángulos que sumamos para obtener el área total. Aquí vemos el proceso similar al que usamos para los polígonos, con los anchos todavía no infinitesimales:Análogamente, se puede integrar varías veces: ∫∫f(x)d2x.
Newton, en cambio, usaba un punto sobre la variable, particularmente para denotar la derivada respecto a una variable en especial, el tiempo, y para derivadas de orden superior, dos o más puntos:Esta notación es muy sucinta y todavía se usa con frecuencia en mecánica para no sobrecargar las ecuaciones, que muchas veces son bastante complejas. La integral, para Newton, se denotaba con un rectángulo seguido de 1a variable, que recordaba vagamente el hecho de que dicha operación se refiere a calcular un área bajo una curva: □x.
Esta notación no ha sobrevivido a la prueba de los años, tal vez porque el propio Cálculo de Newton no se estudiaba en la Europa continental. Otros notables matemáticos, como Euler, formularon sus propias notaciones, pero tampoco son muy populares hoy en día. En cambio, la notación de Lagrange para las derivadas sí que se utiliza con frecuencia, porque es a la vez más sucinta que la de Leibniz, pero más general y más expresiva que la de Newton.f'(x), f"(x), f'''(x), …f(n)(x)
Recordemos que la derivada de una función es a su vez una función y que, si continúa siendo suave, puede derivarse a su vez, y que este proceso puede llevarse a cabo indefinidamente mientras el resultado sea suave.
La siguiente misiva de Lagrange a Euler le comunicaba la aplicación de su método a la mecánica, utilizando el llamado «principio de Maupertuis», que es una de las formulaciones de los llamados «principios de mínima acción». Se trata de una afirmación mecánica de aplicación muy general que postula que el movimiento de un sistema mecánico sin rozamiento tiene que ser tal que una cierta cantidad, llamada acción, sea mínima. En aquel tiempo, el concepto de acción no estaba del todo claro y la formulación de Maupertuis usaba un concepto distinto del actual, pero la importancia del principio está en su característica «extremal», que es como se denomina modernamente a los problemas en los que se busca un máximo o un mínimo. De hecho, el propio Euler había demostrado en su Methodus que un cuerpo sujeto a fuerzas centrales, como la gravitación (así llamadas porque se puede pensar que toda la gravedad se concentra en el centro de una esfera para todo objeto esférico), describe una trayectoria tal que se multiplica la velocidad por cada segmento infinitesimal de trayectoria y, si se calcula la integral, esta será un máximo o un mínimo. Lagrange, en su carta, generalizó este «bello teorema» de Euler para un sistema con cualquier número de cuerpos y en cualquier situación dinámica.
La similitud con el problema anterior y, por tanto, la aplicación del cálculo de variaciones a este problema mecánico es evidente, y llenó de entusiasmo al propio Maupertuis, a la sazón director de la Academia de Ciencias de Berlín, y a quien Euler mostró la carta. Lagrange hacía una defensa cerrada del principio de Maupertuis, afirmando su absoluta universalidad, aunque se manifestaba en desacuerdo con ciertas afirmaciones del propio Maupertuis, en particular las consecuencias filosóficas de su principio, pero lo aceptaba como un principio general dado; también reconocía a Euler la distinción de ser el primero que lo había estudiado, y cuyos pasos, decía humildemente el piamontés, él seguía. Al cabo de los años, este pequeño ensayo sería el germen de la mayor obra de Lagrange.
Capítulo 2
Desentrañando los cielos
En sus años piamonteses, Lagrange se dedicó con tesón a encontrar soluciones generales de ecuaciones diferenciales, casi siempre en el contexto de problemas físicos concretos de astronomía y mecánica. Sus trabajos de mecánica celeste presentados a la Academia de París le aportaron reconocimiento universal.Euler acariciaba la idea de llevar a Lagrange a Berlín, contando con la colaboración de su jefe, Maupertuis. Lagrange se mostró al principio renuente, tal vez por timidez o porque quería seguir en Turín. Escribió en mayo de 1756 para declinar la invitación, agradeciendo cortésmente el honor. Pero la declinante salud de Maupertuis dejó en manos de Euler la presidencia en funciones de la Academia, desde donde redobló sus esfuerzos para reclutar a Lagrange, hasta el punto de nombrarlo, de forma unilateral, miembro extranjero de la institución. Este honor hizo reflexionar al turinés. Sin embargo, en el otoño de 1756 estalló la Guerra de los Siete Años y la estancia prusiana de Lagrange se pospuso indefinidamente.
En 1757, inspirado sin duda por la Academia prusiana, Lagrange capitaneó junto con algunos de sus alumnos la iniciativa de crear una sociedad que a continuación devendría en la Academia de Ciencias de Turín.
Prácticamente todos los trabajos publicados por Lagrange en Turín aparecieron en las memorias de la Academia, conocidas como Miscellanea Taurinensia, publicadas ora en latín ora en francés. En el primer volumen (1759) había tres memorias de investigación fundamentales. En la primera, Recherches surle méthode de maximis et minimis, formalizaba su método δ, correspondiendo por tanto a la primera publicación formal del cálculo de variaciones analítico. Otra, Sobre la integración de una ecuación diferencial con diferencias finitas, que contiene la teoría de las sucesiones recurrentes, en la que Lagrange intentaba una introducción a un trabajo de mayor entidad sobre teoría de la probabilidad, que no terminó por falta de tiempo. Por entonces, su compatriota y también matemático Abraham de Moivre (1667-1754) estaba desarrollando dicha teoría, que había tenido ilustres antecesores en Blaise Pascal, Fermat, Huygens y Jakob Bernoulli.
«De [la utilización de curvas no continuas en la propagación del sonido] se desprende la necesidad de admitir [...] otras curvas de las que los geómetras han considerado hasta el presente y de utilizar un nuevo género de funciones variables independientes de la ley de continuidad.»La tercera y última memoria tuvo bastante resonancia, al ser un exhaustivo tratado que abordaba sus Investigaciones sobre la naturaleza y propagación del sonido. Ya Newton, Daniel Bernoulli, Brook Taylor, Euler y D'Alembert habían hecho investigaciones en este campo. Lagrange discutía todas esas aportaciones, elaboraba Su propia teoría, incluyendo un completo análisis de una cuerda vibrante, y terciaba en una polémica entre los dos últimos.
Joseph-Louis Lagrange, Investigaciones sobre la naturaleza del sonido.
§. La polémica sobre el significado de «función»
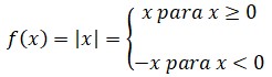
Como ya se dijo, el concepto de función apenas se estaba fijando en esos tiempos. La agria polémica entre Euler y D'Alembert se refería precisamente a sus posiciones encontradas sobre lo que debía ser una función. Se suponía que todas las funciones «se portan bien», es decir, que son suaves, sin picos, sin «pinchos». Pero hay algunas curvas que tienen picos. Una notable es el valor absoluto de una variable x, como se ve en la figura 1.

Representación gráfica del valor absoluto y su derivada.
El caso es que esas funciones con picos no pueden describirse en general con una sola expresión analítica (o sea, una fórmula algebraica). El valor absoluto, que se denota convencionalmente con la notación |x|, se describe con dos expresiones analíticas, dependiendo de si x es positiva o negativa:

La ecuación de onda y la disputa entre los sabiosSi bien la mecánica de medios continuos (mecánica de fluidos) ya había comenzado a ser estudiada por los Bernoulli, fue con los trabajos de D'Alembert, Euler y Lagrange cuando dicho campo alcanzó la madurez. En particular. D'Alembert planteó por primera vez la ecuación que describe el movimiento de cualquier onda. Esta ecuación describía el movimiento de una cuerda que ha sido fijada en sus dos extremos:donde α(x,t) es el ángulo (que se supone pequeño),.y(x,t) es el desplazamiento longitudinal y T es la fuerza que ejerce la parte derecha de la cuerda sobre el punto (x, y(x,t)) en el momento t. D'Alembert cayó en la cuenta de que esta ecuación no solo describía el movimiento de vibración de la cuerda, sino también la propagación del sonido causado por la vibración de la misma. Sin embargo, consideraba que habla dos tipos de condiciones iniciales: cuando la cuerda era pulsada y cuando la cuerda estaba ya vibrando a una velocidad dada, en el momento de pasar por su punto de equilibrio. Y para él, estas dos soluciones eran funciones distintas. Otras condiciones iniciales darían a su vez funciones distintas. Euler, por el contrario pensaba que, dado que la función siempre es calculable a partir de la ecuación, era una función única a pesar de tener expresiones analíticas distintas. Daniel Bernoulli terció en el debate afirmando que todas las soluciones eran una suma de funciones trigonométricas, los armónicos de la nota pulsada. Bernoulli tuvo la virtud de poner en contra suya tanto a D'Alembert como a Euler, que consideraban que las funciones trigonométricas eran solo una clase de funciones y que la ecuación debería tener soluciones más generales. No fue hasta las investigaciones de Jean Baptiste Joseph Fourier (1768-1830), muchos años después, cuando se demostró que Bernoulli tenía razón.
En la raíz de esta polémica, ambos sabios se enfrentaban de nuevo: análisis versus síntesis. Lagrange terció, aproximándose al problema como si la cuerda estuviera formada por una infinitud de puntos con masa, cada uno de ellos infinitesimal.

Las figuras a y c son continuas según la definición actual y la del siglo XVII. La figura b se considera discontinua en ambos casos, pero la d es continua según el concepto moderno y discontinua según el de la Ilustración
Las críticas de D'Alembert al piamontés hicieron que este replicara en un segundo volumen de la Miscellanea, aparecido en 1762, en el cual destaca un pequeño ensayo sobre el cálculo de variaciones que completa el desarrollo esbozado siete años antes, en su carta a Euler, junto con dos apéndices donde aplicaba el método a superficies mínimas y a polígonos de área máxima, respectivamente. A pesar de su tardía aparición, hay evidencia de que dicho ensayo fue escrito antes de 1760.
Evolución del concepto de funciónDurante el siglo XVII, el desarrollo de la geometría analítica permitió asociar fórmulas analíticas a curvas. Poco a poco, la idea de que cualquier expresión algebraica o trascendente (logaritmos y trigonometría) podía ser representada por una curva, y viceversa, dio origen a un concepto implícito de lo que hoy conocemos como «función». El primero en hablar de funciones como tales fue Gottfried Leibniz, que utilizó el nombre en una carta de 1673 para referirse a los valores que tomaba la pendiente de una curva (es decir, a la derivada de esa curva). Johann Bernoulli llamaba «funciones» a todas las expresiones algebraicas que dependían de una sola variable. Euler introdujo la notación moderna f(x) y dio una primera definición en 1743: «Una función de una cantidad variable es la expresión analítica compuesta de cualquier forma en términos de la cantidad variable y de números o cantidades constantes»
Las operaciones «mecánicas»
Las expresiones analíticas no solo comprendían las operaciones algebraicas, sino también las trascendentes, que en aquel tiempo se llamaban «mecánicas» porque las curvas asociadas solían derivarse de problemas mecánicos específicos.En ese momento, Euler todavía consideraba las funciones multivaluadas (aquellas que pueden tomar varios valores para un solo valor de la variable) dentro de su definición, contrariamente al uso moderno. Años después el propio Euler daría una definición más general: «Cuando ciertas cantidades dependen de otras de tal forma que sufren un cambo cuando estas últimas cambian, entonces las primeras se conocen como funciones de las segundas, Este nombre tiene un carácter extremadamente amplio; alberga todas las formas en que una cantidad puede ser determinada en términos de otra». Esta es prácticamente la definición moderna de función, y fue la que enfrentó a Euler con D'Alembert. Más tarde, la teoría de funciones vería su culminación en los trabajos de Fourier, Augustin-Louis Cauchy y Johann Peter Gustav Lejeune Dirichlet (1805-1859), en el siglo siguiente. En particular, Dirichlet fue capaz de demostrar que existen funciones que no pueden ser asociadas a ninguna curva, en el sentido «normal» de lo que consideramos una curva; encontró una función que no era continua en ningún punto pero seguía siendo función según su propia definición. De hecho, se conoce hoy en día infinidad de estas funciones que son como una «espuma» o partículas de polvo.
Portada del libro Lecciones de cálculo diferencial, original de Augustin-Louis Cauchy.
Este segundo volumen contenía un tercer trabajo, en el que Lagrange ampliaba su carta sobre mecánica a Euler y esbozaba lo que luego sería su obra magna: la Mecánica analítica de 1788.
Lagrange era un hombre tranquilo, amable y conciliador, no exento de timidez, que solía agradar a sus interlocutores por su modestia. Por ello evitaba las polémicas que eran tan comunes entre la gente de ciencia. Al margen de la polémica con D'Alembert, personaje a quien admiró y temió a lo largo de su vida, solo se le recuerda una diatriba, mantenida a propósito de la tautócrona, con el académico francés Antoine Fontaine des Bertins (1704- 1771). Lagrange le corrigió la plana sobre uno de sus teoremas y Fontaine se expresó despectivamente sobre el trabajo de su antagonista, acusándolo de no haber entendido su método y de equivocarse tanto en las aserciones como en los cálculos. Lagrange se mostró sorprendido por lo acerbo de esta respuesta y le pidió a Fontaine que fundamentara sus asertos con razones «buenas o malas».
§. Matemática y realidad
En todo caso, la polémica con D'Alembert tuvo interés porque reflejaba hasta qué punto un concepto que apenas se encuentra en sus fases iniciales de definición puede presentarse de formas diferentes, de acuerdo a la opinión de distintos matemáticos. Esto es interesante desde el punto de vista de la filosofía de la matemática. ¿Está la matemática totalmente determinada por la realidad, es decir, se descubre cómo se descubren las leyes físicas o, por el contrario, se inventa como algo totalmente nuevo, sin conexión con el mundo exterior? ¿Existen verdades matemáticas en una especie de mundo ideal? La historia del desarrollo de diversos conceptos parecería apuntar a que, aunque haya un sustrato real que les subyace (recuérdese por ejemplo que el de función surge de problemas mecánicos), no existe una determinación absoluta: los conceptos no nacen fijos, completos e inamovibles, sino que sufren una evolución gradual, hasta que la noción «más conveniente» o «más útil» desde algún punto de vista se impone sobre sus rivales. Así, el concepto de infinitesimales del siglo XVIII tenía poco que ver con los conceptos actuales del cálculo, desarrollados en el siglo XIX; sin embargo, aspiraban a caracterizar los mismos fenómenos matemáticos (si se permite la licencia).
§. Un hombre dedicado a las ecuaciones
La gran mayoría de las investigaciones de Lagrange se centró en el análisis y sus aplicaciones a la mecánica. Newton ya había creado toda una teoría del cálculo infinitesimal para emplearla en problemas de esta materia, pero el campo que el inglés abrió continuaría desarrollándose durante décadas. En particular, los matemáticos se sirvieron del trabajo de éste para comenzar a estudiar lo que hoy se conoce como «ecuaciones diferenciales».
§. El origen de las ecuaciones diferenciales
Del mismo modo que una ecuación algebraica de una variable describe una curva en un plano, una ecuación diferencial describe el movimiento de uno o varios cuerpos. Para ello es necesario determinar dos cantidades para cada cuerpo: su posición y su velocidad, ambas como funciones del tiempo. Típicamente involucran una o varias funciones y sus derivadas.
Las ecuaciones diferenciales siempre han estado profundamente ligadas a problemas físicos concretos. En su inicio, las ecuaciones diferenciales fueron la forma de expresión de las leyes que gobiernan el cambio en el tiempo en un sistema mecánico formado por uno o varios cuerpos, relacionando dichas leyes con el movimiento de los cuerpos de dicho sistema. Sin embargo, en la actualidad tienen muchas más aplicaciones en otras ramas de la física, así como en química, biología o economía.
En los primeros tiempos del cálculo, los problemas solían abordarse uno a uno, muchas veces de forma sintética; es decir, se abordaban los problemas a partir de una curva (recordemos la tautócrona), manipulando la curva y sus tangentes (o sus áreas, en el caso de un problema de integración) a partir de construcciones geométricas auxiliares. Esta tradición quedó bien establecida en Inglaterra gracias al carácter sintético de la magna obra de Newton, los Principia, y debido también a la agria polémica sobre la primacía de la teoría del cálculo infinitesimal que el científico y matemático inglés mantuvo con Leibniz. Así, la matemática inglesa se aisló del continente y continuó durante un siglo usando laboriosos métodos sintéticos. En cambio, el enfoque decididamente analítico de Leibniz y sus discípulos, como los hermanos Bernoulli, llevó muy pronto a estos al concepto de ecuación diferencial. Los infinitésimos de Leibniz podían ser tratados como cantidades algebraicas y, desde el principio del desarrollo continental de las ecuaciones diferenciales, estas tenían un marcado sabor algebraico.
§. La formulación de las ecuaciones diferenciales
En una ecuación algebraica normal hay que encontrar el o los valores de una variable mediante un procedimiento conocido como «despejar», es decir, dejar la variable sola del lado izquierdo de una igualdad y todas las otras variables y constantes del lado derecho, relacionadas por diversas operaciones. Así, la ecuación
x2 - 16 = 0
se resuelve despejando la xx = 4 o x= -4.
También es posible expresar la variable en términos de otras variables:x2 + y2 = 25
ox = √(25-y2)
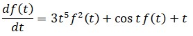
Sin embargo, una ecuación diferencial, en vez de variables tiene funciones. Los términos de la ecuación son una combinación de las derivadas de la función, de la función misma y de la variable. Dado que la gran mayoría de las ecuaciones consideradas por Lagrange y sus contemporáneos contenían derivadas con respecto al tiempo, úsase t como variable. Por ejemplo:
§. Integrales frente a derivadas
Integrar es la operación inversa a derivar. En vez de despejar, lo que se hace para que la función quede sola del lado izquierdo de una igualdad se denomina «integración». Integrar significa resolver la ecuación. Por ejemplo, he aquí la ecuación (simplificada) cuyo resultado es la lamosa campana de Gauss:

En este caso es muy sencillo integrar. Basta, como suele hacerse con las ecuaciones algebraicas de primer grado, con aplicar la misma función (la integral) a ambos lados de la ecuación:


Ahora bastaría con calcular la integral del lado derecho para obtener una fórmula. Pero esto no es tan sencillo. Sin embargo, desde el punto de vista de las ecuaciones diferenciales, una ecuación se considera resuelta si puede igualarse la función buscada a una integral de la forma anterior. Esto es un caso muy simple; G(t) solo aparece en la derivada y, por tanto, no existen tampoco potencias mayores de G(t) como términos independientes en la ecuación, por ejemplo, de esta forma:

x2 - 5x + 1 = 0.
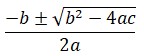
Se podría sustituir la variable x por otra que convierta esta ecuación en algo más sencillo, o intentar factorizar directamente la x: adivinando su posible valor. Pero esto no es necesario, porque existe una fórmula general que permite resolver cualquier ecuación de segundo grado.Dada la ecuación general de segundo grado (la formulación de la ecuación que incluye todas las ecuaciones posibles):
ax2 + bx + c = 0
la fórmula general dice que:
§. El análisis numérico
Si se quiere, por ejemplo, calcular el área de un triángulo dados unos datos de base y altura, basta con insertar en la fórmula los valores de la base y la altura y obtener automáticamente el área, multiplicando estos y dividiendo por dos. Si no hubiera dicha fórmula, tendría que hacerse un algoritmo. Por ejemplo, subdividir el triángulo en pequeños rectángulos inscritos, calcular el área de estos y sumar todos los resultados (figura 3).

Comparación entre la fórmula y análisis numérico. El área del triángulo en (a) se calcula fácilmente con la fórmula general; el área del triángulo en (b) se calcula sumando los rectángulo». El área en gris es el error en el cálculo.
Pero la situación es aún peor. Una ecuación diferencial se considera resuelta si se logra expresar su solución como una integral. Lo cierto es que hay familias enteras de ecuaciones diferenciales en las que no puede llegarse ni siquiera a dicha integral.
§. La fórmula magistral
El análisis de las ecuaciones diferenciales comenzó como un análisis particular de ecuaciones específicas. Por ejemplo, una de las ecuaciones que Lagrange estudió en algún momento es la llamada «ecuación de Riccati», que sigue siendo muy relevante hoy en día, y que en realidad es una familia de ecuaciones con una forma similar a la siguiente:

Las ecuaciones diferenciales no lineales son bastante difíciles de resolver en general, y la de Riccati no es una excepción. Daniel Bernoulli ya había demostrado que si se conoce una solución, encontrar el resto no es difícil, pero, claro, la dificultad estribaba en encontrar esa solución particular. También se demostró en el siglo XIX que, en ciertas condiciones, la ecuación de Riccati no puede ni siquiera ser integrada por el análisis numérico. Hay ecuaciones diferenciales que simplemente no se pueden tratar.
En cambio, las ecuaciones diferenciales lineales son más sencillas de resolver. Ya se sabía en el siglo XVIII que existían familias de ecuaciones a las que se podían aplicar métodos generales, válidos para todos sus miembros. Esta estrategia corrió con fortuna dispar, ya que estos métodos no son apriori evidentes, pero fue particularmente satisfactoria en el caso de las ecuaciones diferenciales lineales.
Euler fue uno de los primeros en abordarlas de forma sistemática, aunque su estudio se limitó a las ecuaciones lineales de primer orden con coeficientes constantes, del tipo

Mediante una sustitución, Euler transformó esta ecuación diferencial en una ecuación algebraica, llamada «ecuación característica». Esta operación le permitió cambiar un problema complejo, como es integrar, en uno en principio más simple, como es despejar. El método se aplicaba a toda esta familia de ecuaciones diferenciales. También dio Euler soluciones particulares a problemas en los que los coeficientes no eran constantes, pero no eran soluciones generales. Como solía hacer, Lagrange fue un paso más allá. En vez de considerar solo constantes, consideró que los coeficientes eran funciones cualesquiera de t. Y obtuvo una fórmula general, de la misma forma que existe una fórmula general para las ecuaciones diferenciales en términos abstractos, preguntándose en qué condiciones tendrían soluciones que fueran únicas, algo que interesaba poco a los físicos, que casi por definición suponían que dichas ecuaciones, si se originaban en problemas concretos, necesariamente tenían soluciones únicas, en el sentido de que la solución siempre arroja un valor y este valor es uno solo. Se puede decir que, con este resultado, Lagrange no solo cerró un siglo de búsquedas, sino que agotó el problema de búsqueda de soluciones generales hasta donde la mente humana podía llegar; más allá, solo cabía interrogarse sobre otros problemas.
«Cuando se encuentra una ecuación diferencial de primer orden de la cual no puede obtenerse la integral hay que diferenciarla y examinar si la combinación de la nueva ecuación con la original (da como resultado) una ecuación algebraica que será la integral buscada.»Sin embargo, no terminarían ahí sus contribuciones. En el curso de estas investigaciones, Lagrange encontró lo que en la actualidad se conoce como «ecuación adjunta», aunque no le dio ese nombre. La ecuación diferencial adjunta de una ecuación dada permite investigar cuán sensible es una solución de la ecuación original a los cambios, algo que tenía evidente relación con las técnicas de perturbaciones que usaba Lagrange en el estudio de la mecánica celeste (la astronomía). Una vez establecida una trayectoria de un planeta descartando la influencia de otros cuerpos, salvo el Sol, interesa saber cuán sensible es dicha trayectoria a perturbaciones debidas a otros cuerpos. La teoría de ecuaciones adjuntas sigue vigente en los cálculos de disciplinas como la meteorología, que son particularmente sensibles a estos efectos de perturbación.
Joseph-Louis Lagrange, Sobre la integración de una ecuación diferencial
Todos los problemas de mecánica en los que Lagrange se había interesado y se interesaría durante el resto de su vida eran, finalmente, problemas de resolución de ecuaciones diferenciales. De hecho, la aspiración de Lagrange era reducirla mecánica al análisis, entendido este como la teoría de dichas ecuaciones. Es por ello por lo que puede considerársele como el primer físico matemático, más interesado en desarrollar las matemáticas pertinentes para resolver problemas físicos que en los problemas mismos.
Tras cada solución de este tipo, sea de astronomía o de vibración de cuerdas, hay en Lagrange un tratamiento de una o varias ecuaciones diferenciales. Y aunque muchas veces se usan técnicas ya conocidas, en muchas ocasiones fue el ingenio del propio turinés el que propuso una solución novedosa, por ejemplo el método de variación de parámetros o de constantes, uno de los últimos procedimientos descubiertos para el tratamiento de ecuaciones diferenciales.
§. Soluciones para otras ecuaciones
Se da el caso de que Lagrange, como otros matemáticos de su época, también se preocupó por las ecuaciones no lineales. Una de las técnicas más efectivas para resolver algunas de ellas era convertirlas en ecuaciones lineales de un orden superior, cambiando las variables. Y otra era aproximar, solución que guarda similitudes con los métodos ya vistos del cálculo de variaciones.
En efecto, muchas veces la forma de abordar una ecuación no lineal consiste en intentar aproximarla con una ecuación que sí sea lineal, lo cual no da un resultado exacto, aunque muchas veces permite que la aplicación práctica deseada pueda solventarse. Las aproximaciones son, con frecuencia, un verdadero arte heurístico. La idea de la ciencia como una disciplina que siempre da respuestas exactas está muy equivocada. En la práctica hay muy pocos problemas que se puedan resolver exactamente, y la situación se agrava cuanto más difíciles sean las ecuaciones que describen dichos problemas. Es por ello que la hidrodinámica es más difícil que la mecánica de sólidos, o que la mecánica cuántica tenga menos soluciones exactas que la mecánica clásica.
Las ecuaciones diferenciales surgen con frecuencia de problemas físicos concretos, por ejemplo, el estudio del movimiento de un péndulo simple. La ecuación diferencial del mismo figura entre las más célebres y estudiadas de la historia, pero no es lineal. Sin embargo, si se hace el supuesto simplificador de que el péndulo tiene oscilaciones pequeñas en amplitud, entonces cabe convertir esta ecuación diferencial en una lineal. Se trata de una solución aproximada, que se va haciendo cada vez menos válida a medida que las oscilaciones se hacen más grandes, pero que puede servir en muchos casos prácticos Los matemáticos están menos interesados en estas técnicas, pues prefieren el estudio abstracto de si cierta familia de ecuaciones tiene soluciones (lo que se llama «el problema de existencia»), pero los físicos hacen a menudo aproximaciones de este tipo.
Lagrange no abandonaría jamás el estudio de estos temas. Durante su periodo turinés consideró un sistema de ecuaciones diferenciales lineales derivado de un problema físico: el movimiento de un grupo de objetos que oscilan de forma infinitamente pequeña. Recuérdese que un sistema de ecuaciones es un conjunto de varias ecuaciones que están relacionadas y que deben resolverse juntas. Este estudio llevaría a Lagrange a sentar las bases de lo que hoy se conoce como «álgebra lineal», que puede considerarse, grosso modo, como el álgebra de matrices, aunque las matrices como tales no serían desarrolladas hasta un siglo después. Lagrange encontró los denominados «valores característicos», que son de gran importancia en la teoría de matrices. Hay una relación muy estrecha entre la teoría de las ecuaciones diferenciales lineales, por un lado, y las matrices, por otro, y Lagrange fue la primera persona que vislumbró ese vínculo.
Estos trabajos fueron publicados en el tercer volumen dé la Miscellanea, aparecido en 1766, junto con otros métodos para resolver «diferentes problemas del cálculo integral». Llama la atención en este trabajo no solo lo original, fecundo, variado y numeroso de sus métodos, sino la forma sistemática en que Lagrange acometió sus resultados, procediendo de lo sencillo a lo complejo de forma clara y contundente. Gracias a estos procedimientos resolvió un gran número de problemas de propagación del sonido y de mecánica de fluidos, en uno de los cuales esbozó un operador que luego se conocería como «laplaciano», por haber sido desarrollado con posterioridad por el francés Pierre-Simon Laplace (1749-1827), con quien tuvo Lagrange una larga relación profesional. Este operador fue hallado en el marco de sus investigaciones sobre la difusión de fluidos (la difusión es el fenómeno por el cual un fluido se mezcla con otro hasta llegar a una solución uniforme).
En 1773, Lagrange desarrollaría junto con Laplace y Alexandre-Théophile Vandermonde (1735-1796) el concepto de «determinante», también íntimamente relacionado con la teoría de matrices.
Finalmente, otro de los métodos de Lagrange consistía en la forma de reducir ecuaciones diferenciales de orden superior, es decir, con segundas, terceras o cuartas derivadas, a una ecuación de orden inmediatamente inferior, aplicando continuamente los métodos hasta llegar a la solución final. Esta idea de reducir el problema de orden gradualmente también fue aplicada por el turinés a las ecuación es algebraicas.
§. La conquista de París
Habiendo cimentado un notorio prestigio mediante sus publicaciones y su correspondencia con los más grandes matemáticos de la época, Lagrange se marcó como objetivo conquistar París, el epicentro de la ciencia continental en el siglo XVIII. Por aquellos días, la prestigiosa Academia de Ciencias de la capital francesa había instituido una serie de premios, al igual que la Royal Society de Londres, para resolver problemas científicos específicos.
Lagrange se propuso resolver el problema planteado por la Academia parisina en 1762, cuya solución debía presentarse dos años después: ¿cómo puede explicarse que la Luna siempre dé la misma cara a la Tierra? ¿Hay alguna razón física para ello o es una simple casualidad? Junto a este problema se planteaba otro que requiere un poco más de explicación.
D'Alembert ya había estudiado algo que se sabía desde la Antigüedad: además de los dos movimientos familiares de la Tierra, la traslación y la rotación, había al menos otro que el francés logró calcular, la precesión (es la razón por la cual la Estrella Polar dejará de estar en el Polo Norte en algunos miles de años). Nadie había podido aclararlo antes de Newton, quien le dio una explicación gravitacional correcta, aunque se equivocó en sus cálculos. Fue D'Alembert quien halló la explicación definitiva. Pero, además, el editor de la Enciclopedia anunció la existencia de otro movimiento y lo calculó: se trata de la nutación.
Pensemos en una peonza. Se desplaza girando, pero también tiene otros dos movimientos: el extremo superior del eje de rotación traza continuamente un círculo, y la peonza cabecea, algo que se vuelve mucho más evidente cuando el giro se desacelera Estos dos movimientos se llaman, respectivamente, «precesión» y «nutación». Pues bien, la Tierra también tiene esos dos movimientos. La otra pregunta de la Academia era si la Luna también los tenía.

Movimientos de una peonza o un planeta, sin considerar el movimiento de traslación, R es la rotación. P la precesión y N, la nutación.
D'Alembert un genio de la ilustraciónJean le Rond D'Alembert (1717-1783) fue el hijo ilegitimo de un aristócrata y una cortesana. Abandonado, al poco de nacer en una capilla de Saint-Jean-le-Rond de París (de donde obtuvo el apellido Le Rond), una mano anónima lo rescató del hospicio, lo entregó a una familia de acogida y veló por su educación, dándole un estipendio que no cesaría hasta la muerte del científico. A los veintiún años presentó en la Academia de París su primer trabajo. Dos años después fue nombrado adjunto en la sección de astronomía de la institución. Siete años después sería admitido en la Academia de Berlín.Sus contribuciones a la hidrodinámica, y en particular al estudio del sonido, fueron la primera instancia en la que se planteaba una ecuación de onda. También hizo aportaciones a la teoría de series, dando criterios de convergencia, y enunció por primera vez el teorema fundamental del álgebra, del cual dio una demostración fallida. D'Alembert publicó a lo largo de su vida muchos trabajos sobre cálculo y ecuaciones diferenciales, siendo un pionero en el estudio de ecuaciones diferenciales parciales, así como un tratado de mecánica que influirla en Lagrange. Su correspondencia, con este último, fue fecunda y larga. Por otra parte, ejerció como editor de la Enciclopedia (1749-1758), junto con el filósofo Denis Diderot (1713-1784). Esta magna obra aspiraba a resumir todo el conocimiento de la época y, para ello, contó con la participación de los principales intelectuales y sabios de la Ilustración francesa. D'Alembert, autor del discurso preliminar de la obra, redactó también para ella numerosos artículos científicos. Pero fue también un hombre de letras y un político. Amigo de Voltaire, participaba activamente en los salones literarios de la época. Estaba convencido de que el progreso del conocimiento llevaría ineluctablemente al progreso social, y luchó con todas sus fuerzas contra los absolutistas y los reaccionarios.
D’Alembert figuró entre las inteligencias mis preclaras del siglo de las Luces. Félix Lecomte (1737-1817) esculpió su figura en mármol, pieza hoy custodiada en el Museo del Louvre (París).
Imaginemos dos cuerpos de distinto tamaño, A el mayor, B el menor, orbitando uno alrededor de otro y sujetos solo a su atracción gravitacional mutua. La fuerza de gravedad se manifiesta en la dirección de la línea que une los centros de A y B. Como los cuerpos no son absolutamente nítidos, la atracción hace que se deformen, alargándose en la misma dirección. Esa es la causa de las mareas oceánicas, porque el agua líquida es más deformable que la roca sólida, pero esto no quiere decir que la roca no se deforme también, aunque en menor medida. B se deformará más, al ser sometido a la misma fuerza que A, pero siendo menor.
Ahora bien, la deformación no cesa de forma instantánea. Conforme el cuerpo B rota, los alargamientos que ya no están sometidos a la fuerza gravitacional (por hallarse fuera de la línea AB) tardan unos instantes en volver a su posición original. Esto genera una fuerza que o bien se opone a la rotación o bien, la acelera, dependiendo de si la rotación es más o menos rápida que la traslación.

Acoplamiento de marea. Ω es la velocidad de rotación del cuerpo B, ω es su velocidad de traslación (orbital). F es la fuerza gravitacional que se opone mediante una torca (círculo aledaño a la fuerza F) al movimiento de rotación Ω
§. Lagrange ante la Academia
En el trabajo que presentó a la Academia en 1763, Lagrange volvió a utilizar su cálculo de variaciones, aplicando por primera vez algunos principios que constituirían la base de su mecánica analítica. Para responder a la segunda pregunta, llegó a tres ecuaciones diferenciales que eran idénticas a las que D’Alembert había utilizado para calcular la precesión y nutación de la Tierra. La respuesta era afirmativa: también la Luna experimentaba estos movimientos. Lagrange ganó el premio y La aclamación de la Academia de París.
En noviembre de 1763 el marqués de Caraccioli, embajador de Nápoles en la corte de Turín, fue transferido a Londres, y le propuso a Lagrange que lo acompañara. Camino de Londres se detuvieron en París. Lagrange fue cálidamente recibido por los académicos franceses encabezados por D’Alembert, que le agasajaron con múltiples banquetes y celebraciones durante varias semanas. Siendo de constitución delicada, el turinés no resistió tanta actividad social y cayó enfermo, con lo que su viaje a Londres se vio interrumpido. D’Alembert escribió al embajador del Reino de Cerdeña una misiva en la que ensalzaba al «joven geómetra» como un tesoro. Caraccioli se había ocupado de que los apuros financieros de Lagrange no tuvieran consecuencias sobre su cuidado, pero a D'Alembert le preocupaba más el apoyo moral que pudiera recibir de la corte.
Repuesto en la primavera de 1764, Lagrange volvió a Turín por Ginebra, en vez de regresar por Basilea, donde vivía el amigo de Euler, Daniel Bernoulli. Su intención era visitar a un ilustre exiliado, el filósofo francés Voltaire (François-Marie Arouet, (1694-1778), a instancias del propio D’Alembert. Lagrange quedó muy impresionado por esta gran figura de la Ilustración; escribió que lo halló de buen humor el día de su visita y se divirtió haciendo bromas a costa de la religión, para deleite de sus invitados. «Un personaje que merece la pena conocer», en palabras del turinés. De vuelta en su ciudad natal, Lagrange comprobó que la corte era incapaz de mejorar su situación financiera o su posición como profesor, a pesar de múltiples y obsequiosas promesas. Eso sí, lo colmaron de elogios y homenajes, pero sin traducirse ello en un bienestar material. Seguía viviendo con sus padres sin poder emanciparse, aunque ya contaba treinta años.
§. Un nuevo premio y novedosos retos
Ese mismo año, la Academia de París convocó otro premio, esta vez sobre la cuestión de las irregularidades observadas en los cuatro satélites entonces conocidos de Júpiter, como resultado de sus atracciones mutuas. Aunque D'Alembert consideraba el problema mal planteado porque no incluía la influencia del Sol, Lagrange envió en agosto una memoria titulada Investigaciones sobre las desigualdades de los satélites de Júpiter, donde aprovechaba algunos resultados que había publicado en el volumen tres de la Miscellanea, y que, según escribió al editor de la Enciclopedia, consideraba totalmente novedoso y de gran importancia en la teoría de los planetas. Lagrange continuaba; «estoy preparado para aplicarlos a Saturno y Júpiter».
Una vez más, el turinés ganó el premio de la Academia. Sin embargo, no desarrolló «por falta de tiempo» los resultados que había prometido a D’Alembert, contentándose con aplicar los métodos de marras a las variaciones de la excentricidad y los afelios de ambos planetas, así como a la posición de sus nodos orbitales. Conviene recordar que la excentricidad de una órbita elíptica indica qué tan distinta es dicha órbita de una órbita circular, que el afelio es el punto más distante del planeta al Sol en su órbita, y los nodos orbitales son los dos puntos en los que la órbita interseca al plano de la eclíptica (el plano que pasa por el ecuador solar). Este trabajo se publicó en el marco de la memoria ya citada sobre problemas integrales que apareció en el tercer volumen de la Miscellanea.
La etapa turinesa de Lagrange tocaba a su fin. La corte del Reino de Cerdeña continuaba dándole largas y, en el otoño de 1765, D’Alembert, que tenía excelente relación con el rey Federico II el Grande de Prusia, volvió a sugerir a Lagrange que aceptara un puesto en Berlín.

Escudo real de Federico II de Prusia. Grabado coloreado de 1867
El 4 de marzo de 1766, D'Alembert le notificó que Euler abandonaba Berlín para trasladarse a la corte de la zarina Catalina la Grande de Rusia, en San Petersburgo. El 26 de abril fue el propio Federico, a través de D’Alembert, quien hacía a Lagrange una propuesta específica y harto ventajosa, con las siguientes palabras: «Es mi deseo que el más grande rey de Europa cuente en su corte con el más grande matemático de Europa». En efecto, proponía a Lagrange ocupar el puesto de Euler como director de la sección matemática de la Academia. Casi al mismo tiempo, Euler le propuso un puesto en San Petersburgo, pero Lagrange finalmente aceptó la propuesta prusiana, y no sin alguna dificultad, ya que a última hora el rey de Cerdeña se manifestó renuente a dejarlo ir y fue necesaria la intervención personal de Federico para obtener su venia.
Así, el 21 de agosto de 1766 Giuseppe Luigi Lagrangia dejó atrás su país natal de forma definitiva, para encaminarse hada una nueva vida.
Capítulo 3
En la corte del rey teutón
La segunda parte de la vida de Lagrange, extraordinariamente fecunda por lo que a su trabajo intelectual respecta, transcurrió en Berlín. Allí desarrolló la mayoría de sus resultados más famosos, incluyendo las soluciones al problema de los tres cuerpos y sus indagaciones sobre la estabilidad del sistema solar.Federico II de Prusia (1712-1786), apodado el Grande, fue posiblemente el mayor exponente del despotismo ilustrado del siglo XVIII. El propio monarca prusiano fue quien acuñó este término, en un tratado donde negaba el derecho divino de los reyes y hacía descansar la autoridad del déspota en un contrato social, en la senda del filósofo ginebrino Jean-Jacques Rousseau (1712-1778). Los déspotas ilustrados eran monarcas absolutos y su divisa era «todo por el pueblo, pero sin el pueblo». Al mismo tiempo, se trataba de personas refinadas y cultas, afines a los valores filosóficos de la Ilustración, entre los cuales se contaba el aprecio por el pensamiento racional y el método científico como instrumentos válidos de relación con el mundo, así como las ideas de tolerancia (sobre todo, religiosa) y racionalidad de las decisiones políticas (de tales principios derivaron las primeras propuestas de una moralidad laica y la idea de ciudadanía). Además, los déspotas ilustrados ejercieron un mecenazgo activo de la cultura, las artes y las ciencias.
Federico fue un gran político que elevó a Prusia a la categoría de potencia europea de primer orden Después de sucesivas guerras con Austria, Polonia y otros vecinos, logró crear un extenso reino que abarcaba desde las costas de la actual Lituania y la ciudad de Königsberg (la actual Kaliningrado, en Rusia) hasta Magdeburgo, a orillas del Elba.

Concierto de flauta en la corte de Federico II, por Adolph von Wentzel (1815-1905). Este monarca fue un protector de las artes y las ciencias.
§. Lagrange en Berlín
Lagrange acudió a Berlín con apenas dos obligaciones contractuales: la lectura pública de una memoria, a veces publicada en las Mémoires de la Academia, y la supervisión de las actividades matemáticas de sus colegas académicos. En la capital alemana no se le pidió que dedicara tiempo a la docencia Sus emolumentos eran excelentes y nunca intentó, en veinte años, hacerlos crecer.

Alegoría de la batalla de Woringen, pintada por Peter Janssen (1844-1908), la victoria sobre Austria encumbró a Prusia como gran potencia europea
Once meses después de su llegada, en septiembre, Lagrange se casó con una prima suya, Victoria Conti. Contó a D’Alembert que la conocía desde que era pequeña, que había pasado temporadas con su familia en Turín, y que era una mujer hacendosa y «sin pretensiones», lo que para el matemático piamontés debía de ser una virtud. También señalaba en la carta su intención de no tener hijos.
§. Objetivo: la luna
La Academia de París continuaba insistiendo, a través de D’Alembert, en que Lagrange participara en sus concursos bienales. Es posible que el propio piamontés hubiera comenzado a cansarse de tales demandas, porque escribió en 1768 al editor de la Enciclopedia que no le gustaría trabajar en algo en lo que Euler, al parecer, también estaba trabajando (un problema relacionado con la Luna), a pesar de que el propio Federico se lo había pedido precisamente para competir con el suizo, a quien había visto emigrar, muy a su pesar, a la corte rusa. D'Alembert consideraba el asunto digno de sus esfuerzos. Sea como fuere, el premio fue pospuesto hasta 1770 para darle oportunidad a que presentara su trabajo. No obstante, en 1769 Lagrange escribió que no podría continuar por su mala salud, que le tenía bastante debilitado y que sería en adelante constante causa de preocupación.
De esta forma, Lagrange se descalificó a sí mismo de la competición de 1770, que ganó Euler gracias a un trabajo conjunto con su hijo Albrecht (1734-1800). Sin embargo, dos años después entregó el italiano un ensayo sobre el problema de los tres cuerpos que volvía a tener en cuenta la Luna. Ya se dijo que Lagrange había estudiado el movimiento de los satélites galileanos de Júpiter a la luz de su influencia gravitacional mutua. Se trata de una instancia de lo que se conoce como el «problema de los n cuerpos». En este caso son cinco cuerpos —cuatro satélites y el propio planeta— sujetos exclusivamente a atracciones gravitacionales reciprocas (en realidad, a cualquier tipo de fuerza central), sin ninguna influencia exterior. Este problema fue de considerable interés durante el siglo XVIII y principios del XIX, pero se sigue estudiando incluso en la actualidad, porque está demostrado, por el francés Henri Poincaré (1854-1912), como un problema irresoluble en general, y solo queda estudiar casos particulares para intentar resolverlos.
Pero la situación es incluso peor, el problema de n cuerpos puede con mucha facilidad dar lugar a soluciones caóticas.Los problemas que más interés despertaban en la época de Lagrange eran los que concernían a tres cuerpos, como el sistema Sol-Tierra-Luna. Entre las grandes incógnitas de entonces figuraba la cuestión de si el sistema solar era estable, si los planetas continuarían en sus órbitas indefinidamente o si bien caerían hacia el Sol. Era, como puede suponerse, una situación que despertaba cierta angustia entre los sabios. Una forma de abordar el problema de la estabilidad estriba en considerar un número reducido de cuerpos en vez de todos los planetas del sistema solar a la vez. Es una técnica que se aplica una y otra vez en física: ignorar aquellos elementos que contribuyen muy poco al problema y ver si el resultado se aproxima de forma razonable a los datos. Si no es así, se intenta incorporar más y más elementos hasta llegar a la precisión requerida
«Hemos demostrado que el problema de los tres cuerpos es soluble exactamente cuando los tres cuerpos guardan entre sí distancias constantes e incluso cuando guardan relaciones constantes entre sus distancias.»
Joseph-Louis Lagrange, Memoria sobre los tres cuerpos»
El primero en considerar los problemas de cuerpos sometidos a fuerzas gravitacionales fue, por supuesto, Isaac Newton. Sus primeros cálculos se basaban en un problema de dos cuerpos: el Sol y la Tierra o la Luna y la Tierra. Pero también abordó el problema del sistema Tierra-Luna, intentando determinar cómo los movimientos de la Luna eran influidos por la atracción solar es el primer intento de resolver un problema de tres cuerpos, que no llegó a fructificar.
§. Los problemas dinámicos y las leyes de Newton
La segunda ley de Newton relaciona las fuerzas con las aceleraciones a través de:
F = m×a o a = F/m
Lo que esta ley dice es que la fuerza cambia la velocidad de un cuerpo (o conjunto de cuerpos). La cambia imprimiéndole al cuerpo una aceleración. La aceleración se define como la derivada de la velocidad con respecto al tiempo, con lo que todo cambio de velocidad se debe a una fuerza:a = dv/dt
pero la velocidad es a su vez la derivada de la posición respecto al tiempo:v = dx/dt
De ahí que pueda escribirse la aceleración como la segunda derivada de la posición respecto al tiempo:



§. Los problemas de tres cuerpos
A continuación, Euler intentó resolver el problema y descubrió una solución parcial. Un problema de tres cuerpos es un sistema de ecuaciones diferenciales. El centro de masa de todo el sistema es un punto en el que conceptualmente puede concentrarse toda la masa del mismo, de modo que la fuerza que ejerza ese punto será la misma que la de todo el sistema. Es una forma de reducir este a un punto y analizar lo que sucede. Por ejemplo, el centro de masa de una esfera es el centro de la esfera. Para la Luna, da igual que la Tierra sea una esfera o el punto correspondiente a su centro con toda la masa concentrada en este: el efecto de la fuerza es el mismo.
A partir del centro de masa de todo el sistema puede pensarse en una posición en tres dimensiones (x, y y z) de cada uno de los tres cuerpos. Aunque sería largo demostrarlo, esto da origen a tres ecuaciones diferenciales de segundo orden (con segundas derivadas), con tres dimensiones cada una, lo cual es equivalente a dieciocho ecuaciones de primer orden. Puede reducirse el número de ecuaciones explotando las restricciones del sistema, tales como las condiciones sobre el centro de masa y su derivada. Esto reduce el sistema a doce ecuaciones. Pero, además, dicho sistema tiene que obedecer a ciertos principios generales, como la conservación de la energía, dejando el número en ocho. Otras restricciones son más específicas. Cabe fijar los nodos (los puntos en donde la órbita atraviesa el plano que pasa por el ecuador del objeto más masivo, típicamente el Sol) o exigir que todos los cuerpos se muevan en el mismo plano. Todo esto lleva a reducir el número de ecuaciones hasta cuatro, pero aún se puede ir más allá. El obstáculo estriba en que el sistema de cuatro ecuaciones no es resoluble en general: no hay una fórmula que dé todas las soluciones posibles, similar a la fórmula para resolver cualquier ecuación de segundo grado.
Así pues, lo único que queda es conformarse con resolver casos que tengan aún más restricciones que las aplicadas hasta ahora. Es lo que hizo Euler en su trabajo de 1772. Supuso que los tres cuerpos eran colineales, es decir, que caían sobre la misma línea recta.

Los tres cuerpos colineales de Euler y sus órbitas.
Por su parte, Lagrange restringió el problema de otra manera; sus tres cuerpos se movían formando un triángulo equilátero. No un triángulo estático, sino uno que cambia de posición y de tamaño (figura 2).

Los tres cuerpos en un triángulo de Lagrange y sus órbitas.
«Estoy en condiciones de proporcionar una teoría completa de la variación de los elementos de los planetas en virtud de su acción mutua»Lagrange refirió por escrito a D’Alembert que había encontrado un método novedoso para atacar el problema de los tres cuerpos, en el que el propio ilustrado francés había trabajado en el pasado, y le decía que lo había aplicado a la Luna, pero que tal vez no podría terminar todos los cálculos necesarios. Presentado el trabajo, D’Alembert comunicó a Lagrange (25 de marzo de 1772) que había ganado el premio ex aequo con Euler, compartiendo las 5.000 libras por decisión unánime de un jurado formado por Condorcet, Bossut, Cassini, Le Monnier y él mismo. En el mensaje D’Alembert afirmaba: «Creemos que le debemos este reconocimiento al bello análisis del problema de los tres cuerpos contenido en vuestro texto».
Joseph-Louis Lagrange, carta a Jean le Rond D'Alembert.
La solución de Lagrange puede entenderse imaginando una ecuación en la que la aceleración a se relaciona con dos términos correspondientes a fuerzas, de acuerdo a la segunda ley de Newton. Sean dos fuerzas F y G como funciones del cuerpo en la posición 1 (x1) y de los cuerpos en las posiciones x2 y x3.
![]()
Así, entre Euler y Lagrange tenemos cinco familias de soluciones al problema de los tres cuerpos sometido a restricciones. Y hasta la actualidad han permanecido como las únicas soluciones exactas conocidas en las que las tres masas son arbitrarias. Otras soluciones se han encontrado con masas que obedecen a una razón determinada (por ejemplo 3:4:53 o con masas iguales, pero ninguna con masas arbitrarias.
§. Cuestión de equilibrios
Importantes como eran estos resultados, todas las soluciones resultaban por desgracia inestables. Una pequeña perturbación y uno de los tres cuerpos, típicamente el más pequeño, se sale de su órbita Sin embargo, las soluciones de Euler son más inestables que las de Lagrange.
Para entender el concepto de estabilidad basta pensar en un péndulo con el brazo rígido. Si ese péndulo está en reposo en el punto más bajo, un pequeño desplazamiento lo hará oscilar durante un tiempo para, al cabo y debido a la fricción, volver a su posición inicial. Incluso sin fricción, el péndulo seguirá oscilando alrededor de dicha posición.
Esto es equilibrio estable, inmune a las perturbaciones pequeñas. Piénsese ahora que puede equilibrarse el péndulo en el punto más alto. Cualquier pequeña perturbación hará que se aleje de forma considerable de la posición inicial En ello estriba la inestabilidad.

Equilibrio estable e inestable
Está claro que el requerimiento de que el tercer cuerpo sea pequeño sirve para que su efecto en el movimiento de los otros dos resulte despreciable. En este caso, que se conoce como «problema restringido circular de los tres cuerpos», se originan unos curiosos puntos que se conocen como «puntos de Lagrange» (figura 4), ya que el turinés fue el primero en estudiarlos.
Si giramos junto con los dos cuerpos más grandes ubicados en el centro de masa, estos se verán estacionarios al igual que los puntos de Lagrange.
Esto quiere decir que los puntos están siempre en la misma posición con respecto a los otros dos cuerpos. Los puntos L1, L2 y L3 corresponden a las soluciones de Euler.

Puntos de Lagrange

Fig. 5. Figuras de Lissajous
Muchos otros cuerpos del sistema solar presentan cuerpos en L4 y L5, incluyendo algunos satélites de Júpiter, Saturno, Marte y tal vez Neptuno. Et sistema Sol-Tierra contiene polvo estelar y al menos un asteroide en dichos puntos, pero el sistema Tierra-Luna no parece tener más que polvo. En todo caso, casi todos estos descubrimientos se hicieron en el siglo XX, mientras que el primer asteroide fue descubierto en 1801. Lagrange, asombrosamente, sentó las bases teóricas de este fenómeno sin tener una sola observación, lo que da idea de su gran intuición matemática.
La teoría de los n cuerpos sigue siendo un campo activo de investigación, en el que se suceden nuevos descubrimientos. No obstante y como ha quedado dicho, ninguno de ellos ha sido tan general y analítico como los de Euler y Lagrange.
§. Un mecánico de los cielos
A lo largo de sus años en Berlín, Lagrange continuó trabajando en los problemas relacionados con la mecánica de los cuerpos celestes que proponía la Academia de París.
En agosto de 1773 se retiró temporalmente del premio, pero el filósofo, científico y político Nicolás de Condorcet (1743-1794), a instancias de D'Alembert, lo instó a continuar.
Y ganó de nuevo el galardón, esta vez con una memoria sobre la ecuación secular de la Luna.
La ecuación secular de un cuerpo celeste describe las perturbaciones acumulativas que experimenta dicho cuerpo en su trayectoria. En particular, el problema que Lagrange intentaba resolver eirá la explicación de la aceleración secular de la Luna, que había sido predicha por Halley y, al parecer, comprobada mediante datos antiguos de eclipses, pero que en realidad no pudo ser medida con precisión hasta 1969, en el curso del programa Apolo de la agencia espacial estadounidense NASA (de forma muy poco intuitiva, la aceleración se refiere en realidad a una disminución de la velocidad). Euler había intentado dar causas físicas de esta aceleración, atribuyéndola a la fricción del éter luminífero, el cual, se creía, colmaba todo el espacio. Otros científicos habían dado explicaciones diversas, incluyendo la desaceleración de la rotación terrestre, ya que todas las mediciones hasta la invención del reloj se habían hecho con base en la duración del día En todo caso, el premio de la Academia consistía en determinar si la falta de esfericidad de la Tierra influía sobre dicha aceleración secular. La correcta conclusión de Lagrange era negativa, y su trabajo le volvió a hacer merecedor del premio.
§. La colaboración con Laplace
Por esas fechas empezó a cobrar importancia una figura que sería clave en el desarrollo de la mecánica celeste, y que adoptaría las ideas de Lagrange, para desarrollarlas más allá de lo que el propio turinés había hecho, aunque no siempre dándole crédito. Su nombre era Pierre-Simon Laplace.
Laplace era un racionalista convencido y dedicó su vida a la hipótesis de que no era necesario un dios para explicar el movimiento de los cuerpos celestes. Al considerar el problema de la estabilidad del sistema solar, Newton había pensado que el Creador realizaba ajustes periódicos para evitar su colapso, de la misma forma en que se da cuerda a un reloj o se ajusta una maquinaria Laplace se oponía con vehemencia a esta idea. Pensaba que el sistema era estable por sí mismo y dedicaría su vida a probarlo.
Laplace: un sabio precoz y tenazA diferencia de D'Alembert y Lagrange, Pierre-Simon Laplace tuvo unos orígenes relativamente prósperos. Provenía de una familia de comerciantes de Normandía y su padre intentó que tomara los hábitos. Sin embargo, Laplace se apasionó muy joven por la matemática y, precoz como Lagrange, trabó contacto con este en Turín antes de cumplir veinte años. Uno de sus trabajos apareció en la Miscellanea Taurinensia. Recomendado por un profesor, se entrevistó en París con D'Alembert. Se cuenta que para desembarazarse del joven, D'Alembert le dio un tratado de matemáticas para que lo leyera. A los pocos días, Laplace volvió con el tratado memorizado. Escéptico de que lo hubiera entendido, D'Alembert le hizo varias preguntas que el joven contestó correctamente. Entonces, viendo su potencial, el secretario de la Academia lo apoyó con entusiasmo.
Un matemático huraño y orgulloso
Laplace tenía una fuerte personalidad y una estupenda opinión de sí mismo. Tras fracasar en su primer intento de ingresar en la Academia de París,D’Alembert le buscó acomodo en Berlín. No fue necesario un segundo intento y con la edad de veinticuatro años Laplace logró su objetivo. Sin embargo, su personalidad complicada le restó muchas amistades entre sus colegas, aunque siempre apoyó a las jóvenes promesas y mantuvo relaciones respetuosas con quienes veía a su altura, como el propio Lagrange. Los frecuentes contactos entre ambos se basaban en una mezcla de rivalidad e igualdad a pesar de la diferencia generacional, y nunca llegaron a la intimidad que Lagrange demostró con otros. Su trabajo más importante es Mecánica celeste, tratado al que dedicó un cuarto de siglo, pero también hizo aportaciones a la teoría de ecuaciones diferenciales y, sobre todo, a la teoría de la probabilidad, en la que planteó lo que hoy se conoce como «Interpretación bayesiana de la probabilidad». De igual modo, es célebre por haber postulado el principio del determinismo científico, al haber afirmado que un ser que conociera las fuerzas, la posición y la velocidad de todos los cuerpos del Universo y tuviera suficiente capacidad de análisis, podría predecir todos los movimientos de todos los cuerpos, desde el átomo más pequeño hasta el mayor cuerpo celeste, tanto en términos de su pasado como de su futuro. «El presente -escribió— es efecto del pasado y causa del futuro.»
Se dice que, con respecto a su obra magna, la Exposición del sistema del mundo (1796), el emperador Napoleón Bonaparte le comentó que no había encontrado a Dios por ningún lado. Laplace respondió «Majestad, no tuve necesidad de esa hipótesis».
Problemas como la aceleración o desaceleración de los cuerpos celestes parecían poner en riesgo la estabilidad del Universo. En efecto, según la tercera ley de Kepler, un cuerpo que va más lentamente en su órbita tenderá a alejarse del Sol (o de la Tierra, en el caso de la Luna). En aquellos tiempos se ignoraba la edad geológica de la Tierra y del sistema solar entero, por lo que una catástrofe en pocos años no era descartable a efectos teóricos. En 1773, Laplace probó que, en primera aproximación, las órbitas de les planetas no contenían términos seculares (es decir, no variaban con el tiempo). Era un gran avance comparado con los esfuerzos previos, que habían sido infructuosos. Lagrange extendió el estudio de Laplace entre 1774 y 1776, probando que esos términos seculares no aparecían en multitud de otras consideraciones que Laplace no había explorado. ¿Demostraba esto la estabilidad del sistema sedar? Durante un tiempo se pensó que sí, y el problema fue archivado durante décadas. En la actualidad, gracias a los trabajos que inauguró Poincaré, no se puede estar seguro de ello.
La contribución final de Lagrange a los premios de la Academia fue un tratado sobre las perturbaciones que ejerce el resto de cuerpos celestes sobre la trayectoria de los cometas. El premio se convocó para 1776, pero de nuevo estuvo Lagrange reacio a participar, tal vez cansado y deseoso de dedicarse a otras investigaciones. Volvió a retirarse en 1775, cuando escribió a D'Alembert diciéndole que tenía otras investigaciones en mente. La excusa aducida fue, otra vez, su mala salud. Tal vez en alusión a Laplace, comentó que había jóvenes franceses que podían realizar tal labor.
El caso es que la Academia solo recibió un trabajo y el concurso fue pospuesto a 1778. Lagrange prometió solemnemente participar, pero no lo hizo, y el premio fue atribuido a un desconocido. Empecinada, la Academia volvió a proponer el problema en 1780. Y otra vez Lagrange, en lo que fue su último trabajo en esta categoría, envió una memoria y volvió a ganar el premio de cuatro mil libras.
Todo este tiempo, Lagrange continuó trabajando sobre mecánica celeste y publicando gran cantidad de trabajos, que en su mayoría aparecieron en las Memorias de la Academia de Berlín, tal eximo se había comprometido en su contrato. Muchos de estos problemas tenían que ver con cuestiones de estabilidad y perturbaciones, como por ejemplo el movimiento secular de los nodos de una órbita, la disminución de la oblicuidad de la eclíptica, variaciones en excentricidad y perihelios (los puntos más cercanos de la órbita, llamados «perigeos» en el caso de la Luna), hasta culminar en un tratado general que publicó en varios tomos, entre 1785 y 1786, bajo el título de Teoría de las variaciones seculares de los elementos de los planetas y teoría de las variaciones periódicas de los movimientos de los planetas.

Fig. 6. Elementos orbitales, nodos, perigeo, excentricidad. La excentricidad de las órbitas está exagerada para mayor claridad.
Piénsese en un cometa con una trayectoria elíptica, como hizo Lagrange. Estos son los cometas recurrentes, los que vuelven cada cierto tiempo, como el Halley. Si no hubiera otros cuerpos celestes que él propio cometa y el Sol, la trayectoria del cometa sería una elipse perfecta, según la primera ley de Kepler. Ahora bien, el movimiento del cometa está totalmente caracterizado por seis constantes o parámetros: los tres ángulos llamados de Euler, que ubican la posición del cometa en el espacio a través de tres inclinaciones; el eje mayor de la elipse; la excentricidad de dicha elipse; y la posición dentro de la órbita elíptica del cometa. En un problema de dos cuerpos como éste, las constantes citadas hacen honor a su nombre: no cambian nunca. Pero Lagrange pensó: si hay perturbaciones debidas a otros cuerpos celestes en la órbita, entonces la trayectoria ya no será una elipse, aunque se puede pensar que en cualquier instante lo es. En cada infinitésimo, el cometa sigue una trayectoria elíptica instantánea, pero distinta. Cabe observar que esta hipótesis es muy similar a la idea de tangente. Entonces, en vez de una sola elipse, se trata de una familia completa de elipses, generadas a partir de hacer variar las constantes, convirtiéndolas en funciones que dependen del tiempo y cambian muy despacio. Aplicando una serie de técnicas matemáticas cuyo principal supuesto es la lentitud de esta variación, Lagrange logró llegar a un conjunto de ecuaciones mucho más sencillas de resolver que si hubiera planteado un problema de n cuerpos completo desde el principio. Este método, que completaría en los últimos años de su vida, fue su herramienta fundamental para resolver la mayoría de los problemas de mecánica celeste que se planteaba, y sería usado también por Laplace en sus trabajos.
El método de variación de constantesLa variación de constantes, también conocida como «variación de parámetros» es un método general ideado por Lagrange para resolver ecuaciones diferenciales lineales no homogéneas. Desde un punto de vista analítico el matemático turinés partía de una ecuación diferencial que describe un problema de dos cuerpos. Puede escribirse de forma simplificada:donde x es la posición de un cuerpo y v es su velocidad, y x es una función del tiempo y de un conjunto de constantes: x = x(t. c1, c2,…, cn).
A continuación. Lagrange escribió una función que representa las perturbaciones con respecto a cero:y convirtió las ci en funciones de t en vez de constantes:
Por último, hizo variar las ci(t) lentamente, hasta que satisfagan la ecuación (2).
Podría extrañarnos la cantidad de trabajos que Lagrange dedicó a la física, dado que suele considerársele matemático, pero hay que tener en cuenta la naturaleza de estos trabajos. Si bien la gran mayoría de sus colegas de ciencia buscaba resolver problemas prácticos, al piamontés no le interesaba el resultado, sino la forma de abordar el problema. Su intención era desarrollar métodos matemáticos, lo que le diferenciaba de la gran mayoría de los sabios que entonces se llamaban «filósofos naturales» y en la actualidad se denominarían «físicos». Junto con Euler, y aún más que el suizo, Lagrange fue el primer impulsor de la física matemática, es decir, del desarrollo de técnicas matemáticas aplicadas a la física. Prueba de ello es que, cuando un problema no le cautivaba desde un punto de vista matemático, lo encontraba sin interés y declinaba trabajar en él.
Por aquellos días, Lagrange hacía apología abierta de sus métodos analíticos, abordando problemas ya resueltos por «el método geométrico de los antiguos que es común pero impropiamente llamado "síntesis"». Su obra magna fue la coronación de ese esfuerzo, hasta el punto de pavonearse de que no contenía ni una sola construcción geométrica, ni una sola ilustración.
§. El estudio de Júpiter y Saturno
Lagrange estaba obsesionado por el problema de la estabilidad. Muchos de sus trabajos tienen que ver con la demostración de que las perturbaciones de ciertos parámetros físicos (la inclinación de la órbita, la excentricidad) son periódicos y no seculares (acumulativos). Está claro que si esos parámetros repiten sus valares periódicamente, el sistema solar es estable. No obstante, Lagrange solo logró demostrar esto para algunos casos particulares.
La estabilidad de las órbitas de Júpiter y Saturno bajo sus mutuas influencias era uno de los problemas más acuciantes. Sucede que la órbita de Júpiter se hace más corta, mientras que la de Saturno se hace más larga. Ya se ha dicho que Euler analizó este problema sin llegar a resultados convincentes. Tampoco Lagrange fue capaz de resolverlo. Sería Laplace el llamado a demostrar que el sistema Sol-Júpiter-Saturno es estable. Además, el francés probó que las peculiaridades de las perturbaciones se debían a que las dos órbitas son casi conmensurables, es decir, que están casi en una razón entre dos números enteros pequeños: cinco órbitas de Júpiter corresponden casi con total exactitud a dos de Saturno. A raíz de estas observaciones de juventud, Laplace dedicaría casi toda su vida a escribir su magna Mecánica celeste en cinco tomos. No obstante, se han señalado defectos en el análisis de Laplace y en la actualidad se ha concluido que el sistema solar podría ser caótico.
Dejando atrás la mecánica celeste y la teoría de perturbaciones, hay que hacer notar que Lagrange persiguió muchos otros intereses matemáticos durante sus veinte años en Berlín. Así, continuó con sus trabajos sobre mecánica de fluidos y, en particular, sobre la propagación del sonido, que ha había iniciado en Turín.
Capítulo 4
Un matemático que abre caminos
Lagrange también dedicó parte de sus investigaciones a la teoría de números, entonces casi olvidada, y a la teoría de ecuaciones. En ambas disciplinas sentó las bases de importantes desarrollos que fructificarían años después.El rey Federico II tenía en gran aprecio a Joseph-Louis Lagrange y sus contactos eran frecuentes. Federico le llamaba «el filósofo sin estrépito» por su temperamento flemático y tranquilo. Fanático de una rutina ordenada y metódica, motivó a Lagrange a que reglamentara su vida de acuerdo con los principios que preconizaba, y Lagrange decidió determinar exactamente cuánto trabajo podía realizar cada día sin cansarse. No se iba a dormir sin plantear la tarea que le esperaba al día siguiente; y no emprendía ninguna sin haber considerado con anterioridad y precisión cómo iba a abordado.
Lagrange era también muy frugal en sus costumbres. Cambió el vino de su tierra natal, que siempre había disfrutado con moderación, por la cerveza berlinesa, que consideraba más sana. Su dieta era casi vegetariana y rica en caldos. Bebía tisanas con aceites esenciales que, según él, mantenían su salud Se sometió a casi treinta sangrías durante su vida, con la convicción aparente de que un hombre de talante melancólico, como él, acumulaba humores de sangre venosa, negra, que lo hacían propenso a las várices y las hemorroides. También se dedicó a estudiar diversos remedios, venenos y hierbas, aplicando a su salud los mismos cuidados que destinaba a su vida cotidiana.
Durante sus diez primeros años en Berlín, Lagrange realizó importantes trabajos sobre teoría de números y álgebra. Continuó colaborando con La Miscellanea de forma esporádica y envió para su publicación, en el cuarto volumen, su primera incursión en la teoría de números que había sido desarrollada por Fermat y otros en el siglo precedente, aunque podemos remontar sus inicios a Diofanto (ca. 210-ca. 290), en la mítica Alejandría del período helenístico. La teoría de números estudia los números naturales (esto es, los usados para contar), sus propiedades, sus relaciones y las ecuaciones cuyas soluciones son a su vez números naturales y solo números naturales, llamadas «ecuaciones diofantinas».
Precisamente fue Joseph-Louis Lagrange quien dio la solución a un problema de Fermat, aunque desde luego no era el famoso teorema que se mantuvo sin ser demostrado durante 350 años, la ecuación que Fermat planteaba era lo que hoy en día, con cierta injusticia, se conoce como «ecuación de Pell», dado que Euler descubrió dicha ecuación en un libro escrito por Pell y le atribuyó de forma errónea su autoría:
y2 - nx2 = 1
donde x,y y n son números enteros y n no es un cuadrado perfecto. Un cuadrado perfecto, recordemos, es un número entero cuya raíz cuadrada es otro número entero. Así, 36 es un cuadrado perfecto (su raíz es 6), pero 32 no. Otra forma de ver el problema es encontrar el número x tal que z = y2 sea un cuadrado perfecto. Esta ecuación tiene una historia milenaria, porque algunos casos especiales ya habían sido estudiados por los griegos, en particular por Diofanto, y por algunos matemáticos indios y árabes, entre los que se encontraba el gran Brahmagupta (ca, 590-ca. 665). Otro indio, Bhaskara II (1114-1185), dio con una fórmula general para resolver la ecuación.Pierre de Fermat llegó a resultados similares, con una fórmula que permitía obtener un número infinito de soluciones para cualquier n. Pero siguiendo su inveterada costumbre, no demostró el resultado.
Fue Lagrange quien cerró el ciclo demostrando que la fórmula de Fermat, en efecto, tiene un número infinito de soluciones: Esta memoria no sería publicada hasta 1773.
El desafío de FermatEn 1657, el matemático francés Pierre de Fermat sometió al análisis de sus colegas británicos la siguiente proposición: «Dado un numero cualquiera que no es un cuadrado existe un número infinito de cuadrados tal que si el cuadrado es multiplicado por el número dado y la unidad es añadida al producto el resultado es un cuadrado». Es decir, dado d, que no es un cuadrado, existen infinitos cuadrados x2, tales que si los multiplicamos por d y añadirnos 1 a este producto el resultado es un cuadrado, digamos y2. De tal planteamiento surge la ecuación dx2+1 = y2. Puesto que las soluciones racionales se consideraban como válidas de estas ecuaciones, los homólogos británicos de Fermat resolvieron sin problemas el desafío. El francés incluyó en su propuesta un preámbulo donde explicaba que se pedían soluciones enteras, pero dicha explicación debió de perderse, pues nunca alcanzó a losdestinatarios El inglés Brouncker aclaró los casos particulares y logró dar con un procedimiento general para solucionar cualquier valor de d. Sin embargo, sus logros no demostraban que el método analítico fuera válido para todos los casos. Puede parecer que esto es un detalle que no tiene demasiada importancia, pero no es así. El mismo Euler, más tarde, fracasó al intentar demostrar este hecho. Pero Lagrange obtuvo una fórmula con un número infinito de soluciones para cualquier n, demostrando que la fórmula de Fermat, en efecto tiene un número infinito de soluciones.
§. Una disciplina incomprendida
De todas formas, la teoría de números moderna, fundada por el propio Fermat, no gozaba de gran popularidad en esa época, y el turinés, en una carta a D'Alembert, casi se disculpaba de dedicarse a dichas actividades. En efecto, al tiempo que preparaba su trabajo sobre la libración de la Luna, Lagrange comentaba: «Para diversificar un poco mis estudios me he ocupado estos días de problemas de aritmética (así se conocía a la sazón a la teoría de números), y le aseguro que me he encontrado con muchas más dificultades de las que esperaba». A continuación enunciaba el problema de Fermat y Pell y terminaba diciendo: «Este problema es de gran importancia en la teoría de las magnitudes cuadradas que forma la parte fundamental de los trabajos de Diofanto». Lagrange redescubría un campo a la altura de su intelecto, con el asombro de quien piensa que se trata de algo trivial.
Además de dicha ecuación, Lagrange trabajó también sobre otros temas, como la llamada «hipótesis de Waring» —de forma infructuosa, pues solo fue demostrada por David Hilbert (1862- 1943). En el curso de esta investigación logró demostrar el teorema de Wilson, que dice que un número p es primo si y solo si (p-1)! + 1 es múltiplo de p.
«Me he ocupado en los últimos días, para diversificar un poco mis estudios, de varios problemas de aritmética y os aseguro que he encontrado muchas más dificultades de las que esperaba»Recuérdese que un número natural es primo si solo es divisible (puede ser dividido sin dejar resto) por sí mismo y por uno. Los primeros primos son 2, 3, 5, 7. El 9 no es primo porque es igual a 3×3 y, por tanto, divisible por 3. El signo de admiración de la fórmula no es una muestra de entusiasmo o sorpresa, sino la notación del factorial de p-1. El factorial de un número natural n es el producto de dicho número con todos los números naturales menores que él:
Joseph-Louis Lagrange, carta a Jeam le Rond D'Alembert.
n! = 1×2×3×...×n
Como ejemplos del resultado que demostró Lagrange:si p = 2, (2 - 1)! + 1 = 1! + 1 = 2 y 2 es múltiplo de 2.
si p = 3, (3 - 1)! + 1 = 2! +1 = 3 y 3 es múltiplo de 3
si p = 4, (4 - 1)! + 1 = 3!+ 1 = 7 y 7 no es múltiplo de 4.
Finalmente,
si p = 17, (17 - 1)! + 1 = 16! + 1= 20.922.789.888.001 y este número es un múltiplo de 17, porque 17 × 1.230.752.346.353 = 20.922.789.888.001.
Sin embargo, al margen de la ecuación de Pell-Fermat, el resultado que le supondría la gloria a Lagrange en la teoría de números fije su demostración de que todo número natural puede ser escrito como el cuadrado de cuatro números naturales (incluyendo el cero), lo cual, como se ha dicho, constituye un caso particular de la hipótesis de Waring. Esto se expresa así: dado cualquier n, donde n es un número natural, existen números naturales x, y, z, w tales que
n = x2 + y2 + z2 + w2
Este resultado había sido enunciado sin demostración por el matemático francés Claude-Gaspard Bachet de Mériziac (1581- 1638), traductor de Diofanto. Más tarde, Fermat afirmó haber demostrado la conjetura de Bachet, prometiendo publicarla, pero jamás lo hizo. Así pues, fue a Lagrange a quien puede atribuirse el mérito de haberla demostrado.§. Las formas cuadráticas
La relación de Lagrange con la obra de Fermat no terminó aquí. En 1777 presentó a la Academia de Berlín otro trabajo, en el cual exponía el método de «descenso infinito» que Fermat había perfeccionado, comentando que era uno de los procedimientos más fecundos de la teoría de números. El descenso infinito es una prueba por contradicción. Se supone que existe un número natural mínimo que cumple cierta condición y se demuestra que existen números naturales menores que cumplen la misma condición; como los naturales en su conjunto sí tienen un número mínimo (ya sea cero o uno, pues distintas formulaciones difieren en la inclusión del cero), que haya un número indefinido de naturales cada vez menores que cumplen una condición es una contradicción con la definición de número natural.
Con este trabajo, las obras del turinés publicadas sobre dicho campo tocaron a su fin, salvo por una memoria publicada muchos años después en París.
Sin embargo, antes de ello, Lagrange volvió a demostrar su originalidad inaugurando en 1775 el estudio de lo que conocemos como «formas cuadráticas».
Una forma cuadrática es un polinomio de grado dos con un número arbitrario de variables en el que todos los términos son de grado dos (lo que conocemos como un «polinomio homogéneo»). Por ejemplo, para tres variables, la forma cuadrática más general es la siguiente:
Q(x, y, z) = ax2 + bxy + cy2 + dxz + eyz + fz2
Como puede verse, todas las combinaciones de x, y y z son posibles, siempre y cuando cada término tenga un grado dos, ya sea porque la variable esté elevada al cuadrado o porque el término es el producto de dos variables.Un caso particular en tres variables es el siguiente:
P(x, y, z) = x2 + y2 + z2,
que representa la distancia en el espacio de tres dimensiones en la geometría euclídea. Esta forma tiene una enorme importancia en geometría analítica y sus derivaciones, como la geometría diferencial (el estudio de ciertas estructuras a la luz del cálculo y la geometría) y la topología diferencial, que es una extensión y generalización de la anterior. Pero las formas cuadráticas no se agotan ahí. Ocurren en una gran cantidad de ramas de las matemáticas en álgebra lineal, en teoría de grupos, en problemas de física matemática que tienen que ver con rotaciones, y en el estudio geométrico de la familia de curvas conocidas en dos dimensiones como cónicas (siempre centradas en el origen), que son muy familiares desde tiempos del sabio griego Apolonio de Perga (ca. 262-ca. 190 d.C.): círculos, elipses e hipérbolas. En tres dimensiones, las formas cuadráticas dan origen no a curvas, sino a superficies llamadas «cuádricas»; la esfera, los elipsoides y los hiperboloides de revolución y distintos tipos de conos y cilindros. Parábolas y paraboloides están excluidos porque tienen un término de primer grado.
Algunas superficies cuadráticas
Q(x,y) = ax2 + bxy + cy2 = n,
donde n es un entero. Este es el llamado «problema de la representación», porque busca representar un número entero como una forma cuadrática: a, b y c son constantes, mientras que x e y son variables y pueden adoptar cualquier valor, de lo que se sigue que Q(x, y) podrán representar, en general, un número infinito de enteros. Lo importante es entender qué enteros representan una forma cuadrática dada.Lagrange resolvió este problema de teoría de números de forma algebraica, aunando dos de los campos de su interés en los tempranos años de Berlín. El álgebra es una generalización de la aritmética, en la que se buscan propiedades comunes de ciertas estructuras matemáticas, en particular de las ecuaciones algebraicas. Eso fue precisamente lo que hizo Lagrange con este problema: definió una cantidad que hoy en día llamamos «discriminante»;
Δ = b2 - 4ac
Por ejemplo, la formaQ(x, y) =x2 + y2,
que ya había sido estudiada por Fermat, tiene discriminante Δ = 0 -4×1×1 = -4, y representa todos los números primos, tales que p - 1 sea divisible por 4.Cabe recordar la fórmula general de la ecuación de segundo grado y ver la semejanza entre la expresión dentro de la raíz cuadrada y este discriminante. Lagrange demostró que, a través de sencillos cambios de variable (tienen que ser lineales, es decir, no contener potencias superiores de la variable, y reversibles, lo cual los emparenta con la teoría de matrices) llegaba a otras formas cuadráticas «reducidas» (en efecto, el proceso se llama «reducción de Lagrange»). Estas formas reducidas tienen los coeficientes más simples posibles, en el sentido de que a, b y c carecen de un divisor común más grande que uno y, por tanto, son los más pequeños posibles. Pero la forma original y la forma reducida conservan el mismo discriminante: existen familias enteras de formas cuadráticas que son, en este sentido, equivalentes, porque poseen lo que ahora se conoce como un «invariante»; una expresión que se mantiene igual, como una marca genética, y que hacen que toda la familia comparta propiedades comunes. Específicamente, lo que Lagrange demostró es que toda forma cuadrática es convertible en una forma reducida. Pero hay más; los enteros representados por la forma original y la forma reducida son los mismos. Las condiciones impuestas sobre los números n, y en particular los primos p representados por las formas cuadráticas que tienen un discriminante dado, son muy estrictas, lo cual permite predecir multitud de propiedades de dichos números.
De un plumazo, Lagrange había reducido toda una clase de problemas que hasta entonces se habían abordado de forma individual, mediante técnicas diversas y a veces complejas de demostración, a un mecanismo de gran generalidad.
Lagrange estaba muy orgulloso de esta memoria, conocida como Recherches d’arithmétique, pero al comentarla con D'Alembert, como sabía que su amigo y mentor no tenía el menor interés por la teoría de números, restó valor a su propio trabajo. Le dijo que era la obra que le había causado mayor dificultad, y también la que consideraba menos relevante. Y continuaba: «Sé que nunca habéis querido investigar este material, y no puedo decir que os equivoquéis». Sea por la timidez que siempre mostró baria el Ilustrado francés, sea porque buscaba un elogio que no llegó, Lagrange minimizaba su trabajo; pero en su misiva de respuesta a los comentarios de Laplace escribió, con mayor franqueza, que agradecía su aprobación.
En todo caso, en el proceso de redacción de esta memoria Lagrange estableció el estudio sistemático de formas cuadráticas, que sería llevado a término por el francés Adrien-Marie Legendre (1752-1833) y, sobre todo, por el alemán Carl Friedrich Gauss (1777-1855), que desarrollarían esta idea de invariantes, fundamental en el álgebra posterior, ampliando y sistematizando los resultados del matemático turinés.
§. La forma canónica de las superficies cuádricas
Alrededor de 1792 o 1793, establecido ya en París, Lagrange utilizó las formas cuadráticas para deducir lo que se conoce como «forma canónica de las superficies cuádricas», es decir, una ecuación de una cierta forma que indica de inmediato de qué cuádrica se trata Es como la marca genética que las distingue a todas.
El ejemplo más sencillo es una esfera:
P(x, y, z) = ax2 + by2 ± cz2,
donde a = b = c.¿Cómo lo sabemos? De nuevo por su discriminante, su marca genética. Todas las otras cuádricas tienen su propia marca genética, distinguible de inmediato de las demás.
En este problema, Lagrange utilizó en geometría una técnica que ya había utilizado veinte años antes en teoría de números. Es la constante que vemos emerger una y otra vez en su trabajo: aplicar ideas similares a problemas en ámbitos de apariencia diversa.

El matemático y astrónomo neerlandés, Christiaan Huygens retratado por su compatriota Caspar Netscher.

El noruego Niels Hendrik Abel destacó en los estudios de los polinomios
§. Las pesquisas algebraicas de Lagrange
En 1770, Lagrange emprendió un trabajo sobre teoría de ecuaciones con el que alcanzaría uno de sus resultados más interesantes, esta vez en el ámbito algebraico.
En concreto, prefiguró las ideas que durante el siglo siguiente desarrollarían el noruego Niels Henrik Abel (1802-1829) y, sobre todo, el francés Évariste Galois (1811-1832).
Las ecuaciones algebraicas y sus problemas
Las ecuaciones algebraicas son polinomios igualados a cero. Piénsese en un polinomio en una sola variable:
P(x)=ax2- 2x + 2.
Si se le iguala a cero, se obtiene una ecuación de segundo grado (el exponente más alto de la variable):ax2- 2x + 2 = 0.
Conceptualmente y como primera aproximación, cabe imaginar este polinomio como una función de una sola variable, cuya gráfica una curva en el plano cartesiano, y los puntos en los que el polinomio se anula (se vuelve cero) son aquellos en los que corta el eje de las abscisas (figura 2).
Representación gráfica del polinomio como parábola.
La cosas no son tan simples en ecuaciones como la de tercer grado, cuya fórmula general es la siguiente:

Otro problema de la teoría de ecuaciones se refería a la naturaleza de las raíces. En efecto, hay curvas que no cortan el eje (figura 3).
¿Hay que decir entonces que no tienen raíces? Esta pregunta llevaba rondando a los matemáticos varias décadas.

Una función que no corta el eje y, por tanto no tiene raíces reales
Poco a poco, y gracias no solo a la ambición de encontrar soluciones a todas las ecuaciones, sino también a desarrollos del cálculo donde intervenían estos extraños números cuyo cuadrado era negativo, los matemáticos de los siglos XVII y XVIII fueron aceptando como normal la existencia de dichos números, a los que Euler, primero, y Gauss, después, darían carta de naturaleza matemática. Son los números denominados «imaginarios», y es fácil ver que cualquiera de ellos se puede expresar como:
b√-1
donde b es un número real. A la raíz de menos uno se la denomina i, así que lo usual es escribirbi.
Ahora bien, si se añaden estos números a los reales, cabe pensar en números que tienen una parte real y una imaginaria (claro que cualquiera de ellas puede ser cero, dando un número puramente real o puramente imaginario). Ese número se escribe como:a + bi
con a y b reales. A estos números se los denomina «complejos».¿Cómo se descompone una ecuación de grado n como un producto de n términos, uno para cada una de n raíces? Es lo que se conoce como una «factorización». Imaginemos que una ecuación de grado n puede escribirse como dicho producto:
(x - a)(x - a2)… (x - an) = 0.
donde ax es la raíz i-ésima de la ecuación. De forma intuitiva, si x toma el valor de cada raíz, por ejemplo, x = a2 el término correspondiente será cero, con lo que el producto total del lado izquierdo será cero (y, por tanto, la igualdad se satisface). Además, esto está relacionado con el método de reducir el grado de la ecuación para resolverla, porque si dividimos ambos lados por a, quedará una ecuación de grado n - 1. Por lo tanto, es muy deseable poder factorizar la ecuación de la forma descrita.Ahora bien, ¿es esto siempre posible? Esta pregunta no había sido resuelta en tiempos de Lagrange, si bien los matemáticos tendían a pensar que toda ecuación de grado n tiene exactamente n raíces y que, por tanto, su factorización es posible.
D’Alembert, Euler, Lagrange, Laplace y François Daviet de Foncenex (1734-1799) intentaron sin éxito probar este resultado. Asumían de forma implícita que existían las n raíces ideales, sin especificar su forma, e intentaban demostrar que la fama de todas ellas era un número complejo a + bi. Sin embargo, hasta principios del siglo XIX no se pudo alcanzar una demostración a la entera satisfacción de los matemáticas: es el Teorema Fundamental del Álgebra, y entonces se vio que el esfuerzo de Lagrange era inútil, ya que el teorema requiere de herramientas matemáticas ajenas al álgebra para ser demostrado.
El método de Lagrange
A pesar de no haber sido capaz de demostrar el teorema, Lagrange dio pasos de gigante en el estudio de la teoría de ecuaciones. Hasta ese momento, todos los intentos de solución de ecuaciones eran más o menos ensayos empíricos de fórmulas de resolución. Siguiendo su costumbre, el turinés sistematizó el estudio de las ecuaciones, sometiéndolas a un método general. Hay que comentar que en el mismo año de 1770, el químico francés Alexandre-Théophile Vandermonde (1735-1796) publicó una memoria en la que llegaba a los mismos resultados que Lagrange, sin desmerecer en absoluto cuando se la compara con la obra de este. Por desgracia, Vandermonde fue muy poco prolífico. Sus obras matemáticas no llegan a la media docena.
En todo caso, Lagrange estudió la ecuación de tercer grado y su fórmula general, transformando las raíces cúbicas que contiene la fórmula en expresiones del tipo:

«He partido de esta forma general de las raíces y he buscado a priori la ecuación resolvente y los divisores que puede tener argumentando por qué dicha ecuación puede ayudar a resolver (las ecuaciones de tercer y cuarto grado).»En suma: al igual que hacía al reducir el orden de sus ecuaciones diferenciales, Lagrange redujo en uno el grado de la ecuación de tercer grado.
Lagrange, Lecciones en la Escuela Normal Superior, rememorando su trabajo en Berlín.
Siguió luego con el análisis de la ecuación de cuarto grado y demostró que una función similar,
g = xlx2 + x3x4
donde xl, x2, x3, x4 son las raíces de la ecuación, cumple un principio similar solo puede haber tres valores distintos si se permuta el orden de las raíces en la fórmula. De 4! = 24 posibles permutaciones, 21 son repeticiones. Obsérvese que aquí también hay una reducción a una ecuación de tercer grado.Lagrange se mostró muy satisfecho de estos resultados, llamándolos «los verdaderos principios, y, por así decirlo, la metafísica de la resolución de ecuaciones de tercer y cuarto grados».
Aportaciones a la teoría de grupos
Sin saberlo, Lagrange estaba prefigurando una de las ramas más importantes del álgebra moderna, la teoría de grupos, demostrando una serie de resultados que aún se utilizan hoy en día dentro de dicha teoría, Por ejemplo, para una ecuación de tercer grado el número de valores distintos posibles (2) divide al factorial del grado 3! * 6. En el caso de la ecuación de cuarto grado, dicho número de valores es 3, que también divide al factorial del grado 4! = 24. Lagrange demostró que esto es cierto en general, para cualquier grado n. Y esto es un resultado importante en la actual teoría de grupos.
Un grupo es un conjunto con una operación que cumple ciertas propiedades. Su estudio se desarrolló con lentitud hasta que Euler los prefiguró, Lagrange los usó sin nombrarlos y, por fin, Galois propuso la noción de grupo y los utilizó ampliamente en la teoría que lleva su apellido, relacionándolos con la llamada teoría de campos para demostrar la imposibilidad de que una ecuación de grado cinco o superior pueda tener una solución general.
En efecto, podría pensarse que la teoría de Galois es la coronación de la teoría de ecuaciones cuya sistematización había empezado Lagrange. Tanto el italiano Paolo Ruffini (1765-1822) como Abel habían demostrado resultados similares de forma casi simultánea, pero con una aplicación más limitada. En particular, la demostración de Ruffini era incompleta. La teoría de grupos, en cambio, tiene aplicaciones que van mucho más allá de la teoría de ecuaciones. Se encuentran grupos relacionados con matrices, con transformaciones geométricas tales como rotaciones, en topología, en criptografía, en música (el célebre círculo de quintas), en el análisis de las figuras geométricas de la Alhambra y, de forma fundamental, en física moderna, en la que, por ejemplo, se asocia un grupo a una simetría y se estudian ciertas cantidades fundamentales, como la energía, en función de esas simetrías. Un ejemplo trivial de una aplicación de teoría de grupos es la solución del célebre cubo de Rubik.

La solución del cubo Rubik es un ejemplo de aplicación de la teoría de grupos
Decía Lagrange al respecto; «Este problema me parece uno de los más importantes de la teoría de ecuaciones y la solución general que daremos servirá para iluminar con un nuevo día esta parte del álgebra».
La teoría de grupos
El concepto de grupo se originó formalmente en la teoría de Galois, quien estudió una clase particular de grupos, conocidos como «grupos de permutación». En el caso de Lagrange, Ruffini, Abel y Galois, se trata de un conjunto ordenado con una operación que cumple ciertos requisitos En el caso de los grupos de permutación, la operación es una trasposición a⊕b entre dos elementos del conjunta Por ejemplo, dados los números -2, 2 y 6, el conjunto ordenado A es (-2, 2, 6) y una operación de trasposición cambia dos elementos de lugar; (-2, 6, 2). Se aprecia que cualquier orden posible (permutación) de estos tres elementos es una aplicación repetida de trasposiciones. También es sencillo ver que el número de permutaciones posibles es 3! = 3×2×1 = 6.
La teoría de grupos es una de las más importantes y difundidas de toda la matemática. Aparece en teoría de ecuaciones, pero también, en versiones muy generalizadas, en física y química, donde la estructura simétrica de un cristal se puede representar como un grupo. Pero también existen simetrías expresables como grupos en la teoría de la relatividad o en el llamado «modelo estándar», que describe todas las partículas conocidas. Y los grupos también participan en las leyes de conservación de la física. Los grupos se estudian típicamente a partir de estructuras más sencillas que los conforman, un poco como los naturales se estudian a partir de los primos. Como parte de ese estudio en 2006 culminó un esfuerzo de clasificación de la totalidad de grupos que podríamos llamar «primos» por su semejara con los números primos (en realidad se llaman «grupos finitos simples»), un esfuerzo que llevó casi treinta años.
Usando sus resolventes, Lagrange mostró que el conocimiento de estos implica el conocimiento de las raíces de la ecuación, para concluir «Aquí, si no me equivoco, están los verdaderos principios de la resolución de ecuaciones y el análisis más limpio que conduce a ella; todo se reduce, como puede verse, a una especie de cálculo de combinaciones, por el cual se encuentran a priori los resultados esperados».
Por desgracia, este programa no se podía llevar a cabo. Por limitaciones que Lagrange no podía ver pero que surgían en gran medida de sus propios métodos, y también del estudio de las permutaciones, se pudo demostrar más tarde, como hicieron Abel y Galois, que toda ecuación de grado mayor a cuatro es irresoluble en general; solo casos particulares pueden resolverse.
§. Las ecuaciones diferenciales
Durante todos estos años, el piamontés fue bien tratado en la exclusiva corte de Federico II. Ahí se codeaba con personalidades como Voltaire (que terminó riñendo con el rey y abandonando la corte, aunque se reconciliarían hacia el fin de la vida del monarca). Era Lagrange una persona de temperamento amable y tranquilo, cortés con todos los que se le acercaban. Sin duda encontraba la vida cortesana agotadora, pero ello no le impidió continuar asistiendo a las galas, bailes y conciertos que ofrecía el soberano. En un compromiso público que le pareció en exceso agotador, celebrado mientras trabajaba en el problema de la estabilidad, Lagrange no dejó de conversar con numerosas personas hasta que se anunció que el concierto estaba a punto de iniciarse. El sabio no supo ocultar su entusiasmo, a lo que un amigo hizo notar «Realmente os agrada la música». El turinés contestó: «No, en realidad solo escucho cinco o seis compases y luego me pierdo en mis pensamientos. Lo que me gusta es que nadie me habla durante el concierto, y en la soledad puedo reflexionar a mis anchas».
Así pues, los primeros diez años berlineses de Lagrange fueron extraordinariamente fecundos. Los siguientes estarían marcados por la tragedia personal.
La salud de Lagrange conocía periódicamente graves crisis, sobre todo al final del invierno, cuando experimentaba «ataques biliosos» que combatía con infusiones de aceite de limón. A los cuarenta y dos años tuvo una neumonía que le fue tratada con ventosas. Poco después lo atacó una disuria (micción dolorosa), resultado de un dudoso tratamiento médico, muy de la época, partir de cantáridas o moscas españolas, a las cuales cobró profunda antipatía.
Pero fue su esposa quien, a la postre, llevaría la peor parte. Permaneció enferma durante varios años, de manera que Lagrange dejó todos sus trabajos en 1779, con el objetivo de cuidarla. Con el mismo amoroso detalle que dedicaba a la sistematización de las matemáticas, con la misma racionalidad y sencillez, con los conocimientos adquiridos mientras analizaba su propia salud, Joseph-Louis se dedicó a atenderla en cuerpo y alma, discurriendo nuevos remedios y administrándolos con la férrea disciplina que había dedicado a su propia vida y salud. Todo fue en vano. En agosto de 1783, Vittoria dejaba de existir. Su deceso sumió a Lagrange en una profunda depresión; dejó de escribir y publicar.
§. Ordinarias y parciales
En 1783 también, Euler se extinguía en San Petersburgo. Al parecer, la correspondencia entre los dos sabios había sufrido una abrupta interrupción unos años antes, hacia 1775. No se conocen las razones. El caso es que el mundo se vio privado súbitamente de sus dos más grandes inteligencias matemáticas.
No obstante, antes de ello, Lagrange había trabajado activamente en ecuaciones diferenciales parciales.
Una ecuación diferencial parcial es similar a una ecuación diferencial como las ordinarias; pero con la característica de que la función que derivamos tiene variables independientes; f(x1,x2,...xn). Como siempre derivamos respecto a una sola variable, entonces con este tipo de funciones tenemos la capacidad de derivar respecto a x1,x2,...xn, etc.
Estas derivadas son las llamadas «derivadas parciales», y las ecuaciones que, las contienen son «ecuaciones diferenciales parciales». Esto puede parecer muy complicado, pero por fortuna calcular una derivada parcial es tan sencillo como calcular una derivada ordinaria. Simplemente tratamos como constantes al resto de las variables. Es decir, si derivamos respecto a x1 entonces x2,...xn son constantes. Ya podemos usar las reglas normales de la derivación, las cuales, por supuesto incluyen una regla para derivar constantes.
Las ecuaciones diferenciales parciales habían surgido en el contexto de problemas de mecánica de fluidos y, en particular, en problemas relacionados con el sonido, por lo que tanto los Bernoulli como D’Alembert y Euler habían desarrollado métodos para resolver casos particulares. Pero, como ya es costumbre, estaba reservado a Lagrange desarrollar una teoría sistemática y un enfoque general para resolverlas. Ahora bien, las ecuaciones diferenciales parciales son más complejas que las ordinarias. Muchos de los métodos tradicionales no funcionan con ellas.
Es interesante señalar que la definición de los ejes coordenados fue fundamental para que el estudio de las ecuaciones diferenciales parciales pudiera progresar. En tiempos de Fermat y Descartes, creadores de la geometría analítica, los ejes coordenados no eran necesariamente perpendiculares. Por ejemplo, un famoso teorema de Fermat usa como eje de las ordenadas la propia tangente de la curva (figura 4).

La geometría analítica de Fermat, con ejes de abscisas EC y de ordenadas EB. Al no ser recto en el ángulo, punto O que está en el eje oblicuo de ordenadas no tiene un valor de x = 0, ya que vale la longitud M segmento EI.
La generalización a tres dimensiones es inmediata y de ahí en adelante es posible imaginar (aunque no visualizar) espacios de más y más dimensiones, todas perpendiculares entre sí. Imaginemos las dificultades si cada dimensión nueva tuviera un ángulo arbitrario con las anteriores; al evitarlo, abrimos la puerta a un tratamiento más sencillo de las ecuaciones diferenciales en diversas variables, es decir, las parciales.

Los ejes coordenados en tres dimensiones con z función de x, y.

«Me alegra haberme desembarazado de esta materia [la teoría de ecuaciones] que me ha ocupado más tiempo del que debía»Para entender la contribución de Lagrange al campo de las ecuaciones diferenciales parciales hay que dar un paso atrás. Las soluciones de las ecuaciones diferenciales forman una familia, dado que siempre está presente una constante c que en principio puede tener cualquier valor. Esta familia está descrita por una expresión que contiene dicha constante y que se denomina «solución completa» de la ecuación diferencial. Cabe pensar en c como una condición inicial. Cuando la constante asume un valor en particular a partir de condiciones iniciales específicas (por ejemplo, una velocidad inicial igual a 30 km/h), hablamos de una «solución particular».
Lagrange, en carta a Condorcet
Pero, paradójicamente, la solución completa no incluye en general todas las soluciones, a pesar de su nombre. A veces hay soluciones «singulares» que no pueden obtenerse a partir de la fórmula general porque implicarían dividir la función por cero, algo que, sabemos, es anatema en matemáticas, o porque la condición inicial no es suficiente para asegurar que la solución sea única. Lagrange se aplicó en 1774 al estudio de estas soluciones singulares en ecuaciones ordinarias, a partir de un resultado de Euler. En efecto, Euler había definido una solución completa como una función de la variable independiente x, de la función f(x) y de la constante C a la que nos hemos referido. Estas soluciones se llaman «implícitas», en contraste con las soluciones explícitas en las que f(x) está despejada, es decir, sola en el lado izquierdo de la ecuación:
f(x) = V(x,C)
donde V es una expresión analítica que contiene operaciones con la variable x y la constante C. Una solución implícita, en cambio, tiene esta forma:U(x, f(x), C) = 0
donde U es una expresión analítica que contiene operaciones con la variable x, la constante C y además la función f[x).Lagrange, como solía, dio un paso más allá que el maestro de Berna, y se preguntó qué sucedería si la constante C, en vez de ser constante, fuera una función de la variable x.
Es el método de variación de constantes, utilizado por Lagrange en conexión con el problema de los tres cuerpos.
El turinés se dio cuenta de que así obtenía las soluciones singulares que Euler no había considerado.
No solo eso, sino que le dio a la solución singular de una ecuación, una interpretación geométrica. Considérese de nuevo la familia de soluciones completas con su constante C. Hagamos su gráfica, convirtiendo las soluciones en curvas en un plano. Ahora busquemos la curva que es tangente a por lo menos una de dichas soluciones en cada uno de sus puntos (los de la curva). Esta curva se llama «envolvente» de la familia de curvas. Pues bien, Lagrange demostró que esta envolvente no era otra que la solución singular de la ecuación diferencial de la cual es solución completa la familia de curvas mencionada (figura. 6).

Envolvente de une familia de rectas que conectan los puntos (0,1-t) y (t,0).
Capítulo 5
La ley que gobierne todas las leyes
La contribución más recordada de Lagrange es, por supuesto, su mecánica analítica Su ambición era reducir la mecánica al análisis y fundar dicha ciencia en principios universales más generales y poderosos que los de Newton. Escrito en Prusia, el monumental Tratado de mecánica analítica vería la luz después de la llegada del matemático turinés a París.Tras la tragedia personal sobrevenida en 1783, junto con la depresión que lo apartó durante algunos años de la investigación, la situación no mejoraba para Lagrange en Berlín. El viejo rey Federico estaba enfermo de gravedad y falleció en agosto de 1786, lo que dejaba al turinés sin su mayor apoyo. Las envidias se desataron a su alrededor y el sobrino y sucesor de Federico, Federico Guillermo II, era un enemigo de la Ilustración, con lo que el ambiente intelectual de Berlín se enrareció con rapidez.
Dado que los trabajos sobre ecuaciones diferenciales y mecánica celeste eran del mayor interés para los científicos de la época, ya desaparecido Euler, el prestigio de Lagrange como el primer matemático de su época era enorme. En este contexto, los diferentes reinos italianos comenzaron a disputarse el honor de tener a Lagrange en sus respectivas academias. Sin embargo, hacía décadas que no enseñaba y no pensaba hacerlo.
La Academia de París, la más prestigiosa de su tiempo, fue la que cobró por fin su más preciada pieza. El ministro y diplomático conde de Mirabeau (Honoré Gabriel Riquetti, 1749-1791) pidió al gobierno de Luis XVI que hiciera una oferta a Lagrange, calificándolo como «el geómetra más grande desde Newton». La Academia parisina logró su favor con una pensión anual de 6.000 libras, 4.000 para gastos de instalación y una habitación en el palacio del Louvre. Por añadidura, el gobierno prusiano le otorgó una generosa pensión que cobraría hasta 1793, cuando la revolución francesa hizo imposible la comunicación entre las capitales prusiana y francesa.
El 18 de mayo de 1787, Lagrange dijo adiós a Berlín. El 29 de julio fue nombrado pensionnaire vétéran de la Academia de París.
Una vez en París, los saberes de Lagrange se ampliarían con el descubrimiento de una nueva ciencia, la química, que el turinés conoció gracias al gran científico francés Antoine-Laurent de Lavoisier (1743-1794), con quien trabó una gran amistad.
Su vida personal, sin embargo, transcurría entre la melancolía y los frecuentes ataques de depresión y crisis nerviosas. Sin embargo, su situación cambió, gracias al amor. Porque ese personaje enjuto, de cara huesuda y nariz aguileña, con su mirada triste y su mente siempre abstraída pero amable y de buen corazón; ese maduro señor que ya frisaba los cincuenta y seis años, atrajo las miradas compasivas y tal vez admiradas de una jovencita de dieciséis, la hija de uno de sus colegas, el astrónomo Pierre Charles Le Monnier (1715-1799). Renée-Françoise-Adélaïde, que tal era su nombre, se interesó hasta tal punto por el viejo matemático enfermizo que discurrió el proyecto de casarse con él. Todo, al parecer, fue iniciativa de la joven. El caso es que en 1792 Lagrange contrajo segundas nupcias. Como el primero, este matrimonio se saldó sin hijos y fue muy feliz. Lagrange se recuperó de su constante melancolía y regresó a sus trabajos e investigaciones.
Poco antes de su segundo matrimonio, en 1788, Lagrange publicó en París su tratado de mecánica analítica. En realidad, había trabajado en ello toda su vida, dado que sus ideas seminales provenían de aquellos lejanos trabajos iniciales que había comunicado a Euler y Maupertuis.
§. La mecánica analítica
Partiendo de la segunda ley de Newton, escrita como una ecuación diferencial de segundo orden de la posición respecto al tiempo, la clave para su solución estriba en sustituir la F por una expresión matemática de la fuerza externa que actúa sobre el sistema. Esta explicación simplificada vale, por ejemplo, para un cuerpo que se mueve de forma longitudinal, impulsado por un resorte, o para otro cuerpo en caída libre. Estas trayectorias son rectilíneas y solo requieren una variable, una dimensión espacial. Pero, en general, un cuerpo se puede mover en tres dimensiones. Es más, se necesitan tres dimensiones para expresar la posición de un cuerpo en despacio físico real, suponiendo que dicho cuerpo esté concentrado en un punto. Para ello se inventó el concepto de «vector».
«No se encontrará ninguna figura en esta obra. Los métodos que aquí expongo no requieren ni construcciones ni razonamientos geométricos o mecánicos, sino simplemente operaciones algebraicas sujetas a un camino regular y uniforme.»Un vector es una flecha que apunta desde el origen a un punto P, y que tiene, cuando está en un plano, dos dimensiones, x e y, que pueden considerarse las coordenadas de P. En tres dimensiones está claro que habrá tres coordenadas. El resultado de tener varias dimensiones es que las ecuaciones diferenciales newtonianas son vectoriales. Esto quiere decir que no son en general una ecuación, sino un sistema de dos ecuaciones en el plano y tres en despacio. Esto ocurre en mecánica de sólidos. En mecánica de fluidos las cosas se complican más.
Joseph-Louis Lagrange, Mecánica analítica.
Con fuerzas centrales como la gravitación, dirigidas a lo largo del eje que une los dos cuerpos sujetos a la fuerza, es razonablemente sencillo resolver estas ecuaciones. Pero, en general, la cuestión puede llegar a complicarse bastante.
§. Los principios extremales
Antes que Newton, Fermat ya había formulado un principio dinámico aplicado a la óptica. Es el primer caso moderno de lo que hoy se conoce como «principios extremales», en los que se afirma que una cantidad física dada debe ser mínima. Ya en la Antigüedad, el sabio griego Herón de Alejandría (10-70 d.C.), al estudiar la reflexión de la luz, pensó que esta debía seguir el trayecto más corto. Fermat lo corrigió y postuló que la luz no seguía el trayecto más corto, sino el que menor tiempo le lleva. Está claro que detrás de este principio hay una toma de posición: Fermat creía que la luz tenía una velocidad finita, y que su transmisión no era instantánea. No consideraba como reflexiones los efectos de la luz cuando se mueve en el mismo medio, sino como refracciones, en los que cambia de medio. Por eso era relevante plantearse la cuestión de la velocidad de la luz y pensar, como es el caso, que era distinta según el medio y, por tanto, ya no es lo mismo pensar en términos de distancias mínimas. Hay que pensar en tiempos mínimos. Fermat dedujo la ley de refracción, hoy conocida como ley de Snell, a partir de este principio.
En el siglo XVIII se plantearon otros principios extrémales. El de Maupertuis fue uno de ellos. Maupertuis discrepaba de Fermat, pues pensaba que el tiempo no tenía por qué tomar precedencia sobre la distancia en un principio físico general. Como se ha dicho, Fermat había aplicado su principio tan solo a la óptica; Maupertuis quería ir más allá y postular un principio para toda la física, en particular la mecánica. Según Maupertuis, la cantidad que debe minimizarse es algo que él llamó «acción» y, por lo tanto, a su principio se le suele conocer como «principio de mínima acción», si bien la definición moderna de acción es distinta de la suya La acción S se expresa como una integral:
S = ∫mv2dt
Y es esta integral la que se quiere minimizar mediante el cálculo de variaciones:δS = 0
¿Por qué v2? Leibniz había definido la energía cinética de un cuerpo en movimiento, que él llamó «vis viva» (o «fuerza viva»), como T = mv2. Es decir, la cantidad que usaba Maupertuis era esta vis viva leibniziana. En la actualidad se prefiere usar una fórmula que defina la energía cinética como la mitad de esta cantidad, por un detalle técnico de derivación que no altera en nada las propiedades de la integral.Maupertuis; matemático, filósofo y aventureroA Maupertuis deben la ciencia y el pensamiento franceses un gran avance; la introducción en el país de los avances científicos alcanzados por el británico Isaac Newton.
Como estudioso de la dinámica enunció el «principio de la mínima acción», según el cual, en todas las mutaciones habidas en el universo se emplea siempre la mínima cantidad de acción necesaria. Como biólogo propuso la denominada «hipótesis vitalista», según la cual los elementos originarlos de la vida son las moléculas orgánicas, que están dotadas de un grado muy primitivo de conciencia y actúan a modo de instinto activo, que propicia la combinación de los distintos elementos a organizarse en la composición —según la mayor o menor actividad instintiva— de los minerales, las plantas, los animales y los hombres. También se le debe una doctrina moral basada en los principios del placer y el dolor, de corte utilitarista, según la cual debía buscarse la mayor felicidad posible para el mayor número de personas. En 1736 lideró una expedición a Laponia, destinada a medir la longitud de un grado a lo largo del meridiano, labor que confirmó que la Tierra está achatada por los polos.
Mapa de Laponia cartografiado durante la expedición comandada por Maupertuis.
En tiempos de Lagrange había considerables dudas sobre qué principio extremal era el más correcto a efectos físicos. Tiempo antes se había suscitado una polémica entre los seguidores de Descartes y los de Leibniz, por las llamadas «leyes de conservación». Descartes había sostenido que en todo sistema dinámico se conservaba la cantidad de movimiento, definida como:
p = mv,
magnitud que hoy preferimos llamar «momento lineal».Leibniz, siguiendo a Huygens, planteó que la cantidad que debía conservarse era:
T = mv2
Tanto los leibnizianos como los cartesianos utilizaban ejemplos reales para refutar a su contrario, en particular la caída libre de los cuerpos y la teoría de las colisiones entre cuerpos. Johann Bernoulli, después de muchas vacilaciones, defendió a Leibniz.Los leibnizianos afirmaban que en ciertas ocasiones la cantidad de movimiento no se conservaba. En todas estas discusiones había abundancia de metafísica y un entendimiento deficiente de conceptos como el de «vector». No fue hasta que Daniel Bernoulli definió la ley del paralelogramo de fuerzas (figura 1) cuando se comenzó a entender que la cantidad de movimiento de Descartes no podía ser siempre un número positivo, sino que era un vector y, por tanto, debían tenerse en cuenta su dirección y su sentido. En la figura vemos con claridad que sumar las longitudes de OP y OQ no resulta en la longitud OR. En esto consistía el error de los cartesianos, en sumar OP y OQ en vez de considerar OR.

Paralelogramo de fuerzas. Los momentos lineales también son vectores y se suman de la misma forma.
No quedaba claro cuál era el principio más general y más fundamental Lagrange adoptó como cierto el principio de Maupertuis, pero le molestaba la parte metafísica que conllevaba. En efecto, Maupertuis había declarado que «la Naturaleza es avara en sus acciones», pues «su mayor gasto es la acción, y actúa de forma tal que minimice ese gasto», «usando las vías más simples», sin haber demostrado empíricamente la validez de tal principio. Además, se manifestaba maravillado ante la economía del Creador, cuya sabiduría le habría llevado a basar todo el Universo en un solo principio simple. Lagrange no comulgaba con la metafísica y pensaba que dichos principios tenían que basarse tan solo en la evidencia física, lo cual demuestra la absoluta modernidad de su pensamiento frente a un Maupertuis o un Newton.
Cabe recordar que fue este principio el utilizado por Lagrange en su segundo comunicado a Euler. Sin embargo, en el tratado de mecánica analítica de 1788 abandonó el principio de mínima acción de Maupertuis, prefiriendo el principio de D'Alembert, también llamado «principio de trabajos virtuales o velocidades virtuales», que este había publicado en 1743.
La mecánica se divide en dos grandes disciplinas: la cinemática, que estudia el movimiento sin atender a sus causas, y la dinámica, que estudia la relación entre el movimiento y sus causas. Como caso particular está la estática, que estudia las causas en equilibrio y que, por ende, no provocan ningún cambio en el movimiento.
Descartes habla intentado reducir la dinámica a la cinemática, postulando que solo era relevante el estudio del movimiento, y no el de sus causas, que veía como metafísicas. Su programa, sin embargo, adolecía de graves problemas conceptuales y nunca llegó a resultados relevantes, lo cual no obstó para que, sobre todo en Francia, todavía en el siglo XVIII tuviera múltiples partidarios. Newton representaba el otro extremo: postulando sus leyes, había establecido de manera definitiva que el estudio de las fuerzas, en tanto que causas del movimiento, era lo más relevante de la mecánica. Téngase en cuenta que muchos de estos conceptos estaban en plena evolución, y que los autores de la época son confusos hablando ya de potencias, ya de fuerzas, o confundiendo fuerza con energía
«Se entiende como fuerza o potencia la causa, sea cual sea, que imprime o tiende a imprimir movimiento al cuerpo al que se supone aplicada.»D’Alembert no tomaba un partido definido entre cartesianos y newtonianos. Por un lado, desconfiaba del concepto newtoniano de fuerza y se inclinaba hacia Descartes, intentando limitar el papel de las fuerzas en su análisis: por otro, reconocía la importancia de las aportaciones del gran físico británico. Esta vacilación le llevó a plantear su principio y el concepto de «trabajo». De ahí que escribiera un tratado de dinámica, aunque aclaró que no pretendía hablar de causas del movimiento, sino de los efectos (el movimiento en sí). Pero, ¿cómo podía librarse D’Alembert del concepto de fuerza? Partía en realidad de un sistema en equilibrio, entendido desde el punto de vista de la estática, en el cual, según la ley de la inercia (la primera ley de Newton), hay una ausencia de fuerzas y el cuerpo permanece en reposo o movimiento rectilíneo uniforme. Maupertuis, como luego Lagrange, observó que cualquier pequeño desplazamiento de este sistema lo hará moverse, y que ese movimiento no se detendrá jamás (pues no hay rozamiento). Por tanto, la situación de equilibrio en estática se puede considerar como un mínimo, igual que en el cálculo de variaciones.
Joseph-Louis Lagrange, Mecánica analítica.
Acto seguido, D'Alembert distinguió entre las fuerzas que solo constriñen al sistema y las que no lo constriñen. Para entender esto, imaginemos un péndulo con el brazo rígido. El brazo constriñe al sistema entero, porque no le permite moverse distinta a la que un péndulo atado a una cuerda podría moverse. Una canica rodando por una superficie curva es otro ejemplo; la superficie constriñe el movimiento de la canica respecto a una canica que fuera libre de caer por su propio peso. El resto de las fuerzas que actúan sobre el sistema, como la gravedad, son no constrictivas, fiel a sus ideas, D’Alembert no utilizaría el término «fuerza», sino «movimiento». Y aunque no pudo eliminar el concepto de fuerza, sí minorizó su uso, a diferencia de Newton.
D'Alembert imaginó dos cuerpos iguales en equilibrio, «animados en sentido contrario por velocidades virtuales». Aunque el término «velocidades virtuales» estaba muy difundido y el propio Lagrange lo usaba, conviene hacer un esfuerzo por visualizar la situación física en términos de desplazamientos virtuales, más que le velocidades. Si imaginamos un instante en el que el tiempo se congela y consideramos en ese mismo instante un desplazamiento, nos damos cuenta de que este no puede ser real (para serlo tendría que transcurrir en el tiempo). Estos «desplazamientos virtuales» (figura 2) son conceptualmente los mismos que ocupaban a Euler y Lagrange en el cálculo de variaciones, y, por tanto, cabe denotarlos como lo hacía Lagrange, con una δ. Estos desplazamientos virtuales o imaginados tienen que ser consistentes con las fuerzas constrictivas; un desplazamiento virtual jamás podrá desplazar el peso del péndulo a lo largo del brazo o hacer que la canica atraviese la superficie sobre la que rueda.

Representación gráfica de un desplazamiento virtual δx.
§. Lagrange frente a Maupertuis
Lagrange, por su parte, hizo en su enciclopédica obra una síntesis de los desarrollos en mecánica a partir de Galileo, a quien consideraba el fundador de dicha ciencia. En su discusión visitó cuatro principios, el de conservación de la energía, el de conservación del momento lineal, el de conservación de las áreas —actualmente considerado un resultado menor, y el de mínima acción de Maupertuis. Con respecto a los dos primeros no presentó ninguna objeción. En referencia al tercero, criticó con firmeza la pretensión de algunos autores de convertirlo en un principio de conservación de la acción, ya que le parecía que algo «vago y arbitrario no debería ser la esencia de las leyes de la naturaleza, ni se deberían erigir en causa final «resultados simples de las leyes conocidas de la mecánica». Inciden talmente, este argumento parece hoy tan metafísico como las defensas de Maupertuis.
En todo caso, la crítica más profunda de Lagrange estaba dirigida contra el principio de Maupertuis. Además de sus críticas a la metafísica del principio que había ya manifestado desde joven, consideró que dicho principio era insuficiente para explicar cualquier situación mecánica. Comentaba que Maupertuis había logrado, como Fermat, explicar las leyes ópticas de reflexión y refracción, así como el choque de los cuerpos, pero que estas aplicaciones «son demasiado particulares para servir al establecimiento de la verdad de un principio general». Acusaba también al principio de ser vago y arbitrario, y de consecuencias inciertas.
No obstante, recordando el trabajo de Euler de 1744 sobre el movimiento sometido a fuerzas centrales (como la gravitación), animó haber extendido dicho principio al movimiento de cualquier sistema de cuerpos que interactúan, y que la integral siguiente es un máximo o un mínimo:
Σm ∫vds
Esta extensión fue rebautizada por Lagrange como su propio principio de mínima acción, aunque «impropiamente», añadió. Ya no hablaba por necesidad de mínimos, sino que incluía la posibilidad de un máximo. En efecto, actualmente ya no se considera conecto hablar de «principio de mínima acción», sino de «principio de acción estacionaria».Lagrange aclaró que, a diferencia de Maupertuis, no consideraba este principio como de naturaleza metafísica, sino como un resultado «simple y general de las leyes de la mecánica». En otras palabras, no lo tomaba como punto de partida, sino como uno de los resultados obtenibles a partir de principios más básicos y, para él, más sólidos, como el principio de D’Alembert.
Al igual que D’Alembert, Lagrange evitó la discusión metafísica sobre el concepto de fuerza, considerando a esta simplemente romo la causa que imprime o tiende a imprimir —si se piensa en fuerzas en equilibrio— un movimiento a un cuerpo. Y tal como hizo D'Alembert, comenzó por estudiar la estática y de ahí pasaría a la dinámica, usando el mismo principio de velocidades virtuales. Para justificar tal principio, aseguró que había demostrado su éxito basándose en el principio de la palanca y en la composición de fuerzas (el paralelogramo de Bernoulli). Y puso como ejemplo de su aplicabilidad el principio de la polea o polipasto. En este contexto mencionó los pequeños desplazamientos que alejan al sistema del equilibrio: «Es evidente que, para que el sistema sometido a las diversas fuerzas (se refería a las fuerzas ejercidas sobre cada polea fija) continúe en equilibrio, es necesario que el peso no pueda descender por un desplazamiento cualquiera infinitamente pequeño de los puntos del sistema ya que, siendo la tendencia natural del peso descender, si hay un desplazamiento aunque sea infinitamente pequeño que le permita descender, entonces descenderá por necesidad y producirá dicho desplazamiento [de forma real] en el sistema», alejándolo del equilibrio.
Se exporte así con total claridad una idea capital de D'Alembert y Lagrange. El cálculo de variaciones de estos desplazamientos virtuales no es un mero truco matemático, como podría parecer. Estos desplazamientos virtuales son tendencias. Al ejecutarlos de forma imaginaria, el matemático visualiza qué sucedería con el sistema si les desplazamientos ocurrieran en la realidad. Y lo que se descubre es que el sistema se aleja del equilibrio en el que se encontraba Ahora se entiende ese «tiende a imprimir». Hay aquí algo de aristotelismo y de la idea de algo que potencialmente podría ocurrir, pero no ocurre más que en la imaginación o en el cuaderno de notas. Desde un punto de vista filosófico, es un planteamiento muy distinto de la idea metafísica de Maupertuis, en la que el sistema parece actuar con un objetivo en mente en todo momento, el de minimizar la acción, porque el Creador así lo diseñó.
No deja de ser irónico, sin embargo, que Lagrange relegara el principio de mínima acción a un mero «resultado simple», cuando en el inicio de su carrera era el principio extremal más importante y había dado origen a la ecuación de Euler-Lagrange.

Esquema que representa un polipasto
«Quienes aman el análisis verán con placer a la mecánica convertirse en una rama de aquel, y me reconocerán haber ampliado su campo de esta guisa»En todo caso, Lagrange expresó en su estática el principio de D'Alembert, o de velocidades virtuales, de la siguiente forma:
Joseph-Louis Lagrange, Mecánica analítica.
Siendo α, β, γ,… los «espacios infinitamente pequeños» (los desplazamientos virtuales) en la dirección de cada una de las cuerdas del polipasto, y P, Q, R,... las fuerzas que se ejercen a las poleas fijas del polipasto, el peso descenderá de forma virtual
αP + βQ + γR+ …
Por lo que, para que continúe el equilibrio, es necesario que;αP + βQ + γR+ …= 0
Esta es otra versión del principio de las velocidades virtuales de D'Alembert, aunque no haya ninguna velocidad expresada en el mismo. Sería mucho mejor llamarlo «principio de trabajos virtuales». Recuérdese que el trabajo, en mecánica, es el producto de una fuerza por la distancia en la que se ejerce dicha fuerza. Y que al ser esa distancia un desplazamiento virtual, entonces hay que hablar de trabajo virtual.§. La utilidad de un principio
Como ya se dijo, uno de los elementos más importantes de este método estriba en diferenciar las fuerzas constrictivas de las que no lo son. Por tanto, hay que incorporar esas fuerzas constrictivas de alguna forma Para hacerlo, Lagrange inventaría los famosos multiplicadores que llevan su nombre: las fuerzas constrictivas son precisamente esos multiplicadores.
En general, las constricciones pueden expresarse como relaciones entre las coordenadas del sistema. En un instante dado, una coordenada puede siempre ser calculada a partir del resto. Por ejemplo, en un abalorio que solo puede moverse por un alambre, como algunos juegos infantiles (figura 4).Si conocemos las ecuaciones que describen las curvas que forman los alambres, un abalorio que se mueva por uno de los alambres en un instante t tendrá coordenadas (x,y,z) y x podrá siempre calcularse a partir de y y z.
Lagrange expresó las constricciones como funciones iguales a cero L = 0, M = 0, N = 0. Derivando, las diferenciales también son cero (es una de las leyes de la derivación). Por ello, pueden sumarse sin problema a la expresión del principio de D’Alembert multiplicadas por las cantidades λ, μ, ν,… que son los multiplicadores de Lagrange:
Pα + Qβ + Rγ+...+λdL + μdM + νdN = 0.
A partir de ello, Lagrange calculó la derivada parcial de la expresión anterior para cada una de las coordenadas y eliminó los multiplicadores. A continuación se muestra un ejemplo sencillo, no necesariamente ligado a un problema mecánico específico.Dada una función
f(x, y) = x + y
sujeta a una condición constrictivax2 + y2 = 1
Definamos la función g(x,y) = x2 + y2 - 1 = 0, ya que interesa que g(x,y) sea igual a cero, por ser esta una vieja conocida, una condición extremal del cálculo de variaciones.
El problema radica en encontrar un máximo o un mínimo de f(x,y) caminando sobre la curva g(x,y).
Para ello hay que caminar sobre g(x,y) hasta encontrar dichos máximos o mínimos. Piénsese en un mapa topográfico. Estos mapas representan la elevación del terreno por las llamadas «curvas de contorno». Una curva de contorno es aquella donde el valor de la función altura es constante. En una colina habrá una curva de contorno, que puede ser un punto, para la cima y otra para la base de la colina. De nuevo por un principio de cálculo de variaciones, esto ocurre cuando la derivada es cero. Como se está hablando de una función de dos variables, es necesario calcularla derivada en dos dimensiones, lo que puede hacerse matemáticamente con una función llamada «gradiente», que es un vector y se expresa así:

L(x,y,λ) =f(x,y) + λg(x,y) = x + y + λ(x2 + y2 - 1)

Representación de un problema sencillo con multiplicador de Lagrange
L(x, y, λ) - (1+2λx, 1 + 2λy, x3+y2 -1).
1+2λx = 0
1 + 2λy = 0
x3+y2 -1 = 0.
La tercera condición no es más que la constricción, por lo que las dos relevantes son las dos primeras. Despejando:x = y = -1/2λ
sustituyendo en la tercera ecuación:
λ =1/√2
por lo que sustituyendox = y = (-/+) √2
y por tanto los máximos y mínimos son:

§. Las coordenadas generalizadas
Lagrange imaginó algo revolucionario: ¿por qué las coordenadas tienen que ser por necesidad las x, y y z del espacio cartesiano? En efecto, todo vector se puede expresar en esas tres coordenadas, y tanto la posición como la velocidad, la aceleración y la fuerza son vectores tridimensionales en la mecánica newtoniana Pero, ¿qué impide pensar en otras coordenadas? Imaginemos un péndulo simple de nuevo. Su movimiento puede expresarse con dos coordenadas, porque está restringido a un plano. ¿Y si solo se considera el ángulo del péndulo θ con respecto de la vertical? Este ángulo describe a la perfección el movimiento del péndulo, porque hay una constricción, y el péndulo solo puede desplazarse siguiendo un arco de círculo, algo que relaciona x e y a través de:
g(x,y) = x2 + y2- L2 = 0,
donde L es la longitud del brazo del péndulo. Por tanto, si somos juiciosos en la elección de coordenadas, ni siquiera necesitamos fijamos en las constricciones. Eligiendo θ como coordenada, la constricción desaparece y con ello se reduce a una ecuación lo que originalmente eran dos.Como puede verse, el planteamiento de Lagrange no solo destaca por ser general, en el sentido de que cabe resolver en su marco cualquier problema mecánico (sin rozamiento, eso sí), sino que la solución puede ser mucho más sencilla que en el marco newtoniano. Estas coordenadas se conocen como «generalizadas» y su utilización llevará la ciencia mecánica a nuevos horizontes. Lagrange fundó así una mecánica moderna, superando la mecánica newtoniana. Una mecánica que, a diferencia de la de Newton, seguirá teniendo vigencia en los mundos relativista y cuántico del siglo XX.

Imagen de un péndulo simple con la función de constricción
Hay una relación íntima entre unas y otros. Las coordenadas generalizadas, como se acaba de indicar, son aquellas a lo largo de las cuales los sistemas se mueven libremente, sin constricciones, solo sujetos a las fuerzas externas del sistema Para cada posición hay también una velocidad. Recuérdese que toda la dinámica se basa en la determinación de todas las posiciones y todas las velocidades de los cuerpos que forman el sistema a partir de las fuerzas externas.
Para cada ordenada generalizada se definen dos grados de libertad, la posición y la velocidad. Puede pensarse en los grados de libertad como los movimientos independientes que puede tener un sistema. Por ejemplo, un péndulo simple solo puede moverse en un plano trazando un semicírculo. Solo tiene dos grados de libertad, la posición medida como un ángulo del péndulo y su velocidad angular. Con este ejemplo vemos también por qué elegir las coordenadas generalizadas adecuadas es tan importante. Si nos mantuviéramos con dos coordenadas cartesianas, x e y, sería difícil relacionarlas con los grados de libertad reales del sistema. Eligiendo, en cambio el ángulo, el número real de grados de libertad se determina con cristalina claridad.
Este sistema tiene la ventaja de obviar las fuerzas de constricción o ligadura, pero también de analizar el sistema desde el punto de vista de estos grados de libertad. Recuérdese el problema de los tres cuerpos: una posición dada con tres coordenadas para cada cuerpo y tres coordenadas para la velocidad de cada uno. Por tanto, 3×3 + 3×3 = 18 grados de libertad. Las condiciones de conservación de energía, y movimiento reducen los grados de libertad a ocho, pero lo más que se puede reducir el problema fijando por ejemplo los nodos de las órbitas es a cuatro, que sigue siendo irresoluble en general. De un solo vistazo cabe concluir su irresolubilidad y, por tanto, la necesidad de las soluciones particulares de Euler y Lagrange. Esta es la fuerza de los conceptos introducidos.
A partir de este tipo de análisis surge una forma más abstracta y general de considerar. Los problemas mecánicos, que daría grandes frutos en los siglos venideros. En efecto, aunque Lagrange se envanecía de no haber utilizado una sola ilustración en su monumental libro, el siglo XIX introduciría una interpretación geométrica de los grados de libertad: el «espacio de configuración».
Un sistema de N cuerpos tendrá un espacio de configuración de dimensión 3N, porque cada cuerpo requiere tres dimensiones para describir su posición y el espacio de configuración describe simultáneamente la posición de todos los cuerpos del sistema. Se trata, como es obvio, de una descripción geométrica abstracta, que se aleja —generalizándolo— del espacio físico de tres dimensiones.
Principio de HamiltonEn 1833, el británico William Rowan Hamilton enunció el principio que lleva su nombre y que es una modificación del de Maupertuis, pues redefine la acción en términos de una función llamada «lagrangiano». El principio de Maupertuis definía la acción en términos de la energía cinética, entonces llamada «vis viva»S = ∫2T dt
donde T = ½mv2, m es la masa del cuerpo y v su velocidad. El principio mismo dice que esta cantidad debe ser un extremal, máximo o mínimo∆S = 0.
Ahora bien, este principio no tenía en cuenta la conservación de la energía que había defendido Émile de Chátelet. Aunque se hablaba ya de conservación de la energía para colisiones ya que, en colisiones elásticas, antes y después de la colisión es constante. Está claro que, por ejemplo, en caída libre T no se conserva, ya que la velocidad v aumenta a cada instante. Para que la totalidad de la energía se conserve necesitamos introducir la denominada «energía potencial», la que tiene un cuerpo en virtud de su posición. Esta energía, para el caso gravitacional, se define comoV = mgh,
donde g es la aceleración de la gravedad y h la altura sobre el suelo. A partir de ello, podemos ver que la cantidad T + V, el total de la energía mecánica, se conserva.
Hamilton define el Lagrangiano como L = T - V y la acción como:S = ∫L dt
A partir de esto. Hamilton deduce la ecuación de Euler-Lagrange, basando toda la mecánica analítica en su principio y usando dicha ecuación para resolver todos los problemas. Ponemos aquí la ecuación por primera vez como referencia, sin pretender explicarla:donde q es una coordenada generalizada y
su derivada respecto al tiempo es decir, su velocidad.
A partir de ella y de la formulación de Hamilton, de la mecánica de Lagrange surge otra idea fundamental de la física matemática, el «espacio de fase», que representa la posición, pero también los momentos lineales (las velocidades multiplicadas por las masas) de los cuerpos.
Estas ideas son fundamentales en el tratamiento moderno de ecuaciones diferenciales y de problemas mecánicos, tal como los planteó Poincaré y como se tratan también en relatividad y mecánica cuántica. Par ejemplo, el famoso cono de luz relativista no es más que una representación en un espacio de configuración que incluye al tiempo junto con el espacio.
Otra de las valiosas consecuencias de la mecánica de Lagrange consistió en el énfasis aplicado a los principios de conservación, derivables de su formalismo de forma directa.

Un espacio de configuración en dos dimensiones generalizadas (q1,q2) en el que se ve la trayectoria de mínima acción representada por la línea que varía por δq.
§. Tiempo de revolución
Cuando Lagrange aceptó por fin la propuesta de trasladarse a París, no podía imaginar los tiempos de los que le tocaría ser testigo y, a veces, protagonista. En Berlín se había cuidado de no meterse en polémicas ni ideológicas ni políticas con el rey, ni en disputas personales con nadie, y de ser un sabio afable y abierto a todos.
En París pretendía hacer lo mismo, y durante un par de años disfrutó del reconocimiento y la admiración universales.
En la Ciudad Luz, el turinés dejó de lado sus publicaciones matemáticas y se concentró en otras disciplinas. En el terreno filosófico era seguidor de Leibniz y se interesaba por la naciente teoría del lenguaje del filósofo, científico y economista francés Étienne Bonnot de Condillac (1714-1780), según el cual el raciocinio dependía del lenguaje. Podría debatir sobre teología y, sobre todo, se zambulló en los experimentos químicos de Lavoisier. Pero, salvo algunos testimonios, poco queda de sus ideas y opiniones. No llegó a publicar nada que tuviera que ver con estos campos.
De Lavoisier le interesaba a Lagrange, sobretodo, la matematización de la química. Era, además, un asiduo del salón científico de Madame de Lavoisier (Marie Anne Pierrette Paulze, 1758-1836), un intelecto a la altura de su célebre marido y estrecha colaboradora de éste.
Con ocasión del estallido de la Revolución Francesa (15 de julio de 1789), las opiniones políticas de los académicos estaban bastante divididas; su presidente, Condorcet, era un hombre de ideas avanzadas y revolucionarias. Políticamente cercano a él estaba Lavoisier. Monge era otro convencido de la necesidad de un cambio político radical, que adoptó posiciones cercanas a los jacobinos de Maximilien Robespierre (1768-1794). Pero de todos ellos era Jean Sylvain Bailly (1736-1793) quien tenía la mayor influencia política. Diputado del Tercer Estado, fue el primero en prestar el célebre juramento del Juego de Pelota, por el cual dicho segmento social (la burguesía urbana) se erigió en Asamblea Constituyente y prometió no disolverse, contra la voluntad del Rey, hasta dar a Francia una Constitución. Proclamado presidente de la Asamblea, fue nombrado primer alcalde de París. En contraste, el plácido Lagrange, a fuer de extranjero y de hombre neutral, se limitaba a observar los acontecimientos sin tomar partido, mientras que Laplace era más discreto en sus opiniones; solo comenzaría a figurar en público tras la caída del Terror (1793-1794), período en que el gobierno revolucionario desplegó una sangrienta represión contra todo sospechoso de traición a la República.
Los acontecimientos se sucedieron con rapidez. La Revolución pendía de un hilo: las fuerzas militares extranjeras reunidas en su contra eran abrumadoras. El rey Luis XVI intentó escapar y fue capturado en Varennes (21 de junio de 1791). Tras la espectacular victoria de las tropas francesas en Valmy (20 de septiembre de 1792) sobre los prusianos y realistas, la monarquía fue abrogada, estableciéndosela Primera República (21 de septiembre). Poco después Luis XVI moría guillotinado (21 de enero de 1793).
Los cambios políticos no influyeron en la situación profesional de Lagrange, quien siguió contando con sus pensiones y privilegios. A pesar de que la Convención (el parlamento que sucedió a la Asamblea) había dictado la expulsión de los extranjeros, los buenos oficios de sus amigos científicos permitieron que el turinés no fuera molestado. Por el contrario, su prestigio le permitió formar parte del proyecto revolucionario en sus facetas científicas.
El mismo día de la proclamación de la República, la Asamblea declaró su voluntad de que, desde ese momento, el tiempo se contará a partir del año I del nuevo régimen. A efecto de crear un nuevo calendario, el Comité de Instrucción Pública estableció una comisión científica en la que, entre otros, figuraron Monge y Lagrange. El nuevo calendario revolucionario estuvo listo en el año II y fue proclamado de forma oficial, con nombres naturalistas (Brumario, Nivoso, Termidor, Germinal, etc.) relativos a la meteorología y las cosechas. Tales denominaciones fueron propuestas por el poeta Fabre d’Églantine (1750-1794). Se trataba de un calendario decimal, con una voluntad decididamente laica, que buscaba la ruptura radical con el pasado religioso y monárquico. Las semanas tenían diez días; no obstante, mantenía un punto duodecimal: doce meses de treinta días más cinco o seis días extras, según el año.
§. La revolución. La ciencia y la educación
La revolución francesa tuvo una relación ambigua con la ciencia. Por un lado albergaba ambiciosos proyectos educativos; por otro, miraba con desconfianza las instituciones del Antiguo Régimen, incluyendo las universidades y academias. Las primeras apenas participaban en el desarrollo de las ciencias, por tratarse de instituciones medievales y anquilosadas; sin embargo, todo lo contrario ocurría en las segundas, donde había no pocos revolucionarios. La Convención terminó por abolir las universidades, manteniendo las academias un tiempo más, mientras que el espíritu de los elementos más radicales se manifestó por instinto en contra del elitismo científico y a favor de una mística del conocimiento intuitivo del pueblo.
Como bien entendieron los ilustrados partidarios de la Revolución, la simiente de la ciencia no era otra que la educación. En una sociedad libre y revolucionaria era imprescindible que llegase a toda la población. El sacerdote, diplomático y estadista Charles Maurice de Talleyrand (1754-1838) presentó un proyecto en el que la jerarquía educativa culminaba en colléges (centros de enseñanza superior) con sede en París, que tendrían la misión de especializar los conocimientos de las diversas disciplinas para aquellos alumnos que quisieran profundizar en ellos. La lengua universal de la enseñanza sería el francés, olvidando el latín y el griego, y todos los ciudadanos tendrían derecho a acceder a la educación.
El padre de la química modernaLavoisier puede ser considerado el Newton de la química. Nadie hizo tanto para establecer dicha disciplina como una ciencia.Fue el primero en plantear con claridad el concepto moderno de elemento químico y en estudiar de manera cuantitativa una de las reacciones químicas más importantes, la combustión, dándose cuenta de que se trataba de la combinación de lo que Priestley llamaba «aire deflogistado», y que el francés denominó oxígeno con otros elementos, en particular el carbono.
Antoine de Lavoisier junto a su esposa y colaboradora Marie Anne, retratados por Jacques Louis David en 1768.
Como parte de la anterior investigación, en la que Lagrange tuvo su opinión, Lavoisier descubrió que 1a respiración animal no es otra cosa que una combustión lenta.
Combinando «aire inflamable» (hidrógeno) con oxígeno produjo algo que parecía agua, descubriendo así que el agua tampoco era elemental y que dos gases podían producir un líquido. Lo que fundamentó el estudio de los estados de la materia y terminó por desprestigiar las teorías de Aristóteles. Por último, su cuidadoso estudio cuantitativo le llevó a descartar la entonces vigente teoría del flogisto, que postulaba la existencia de un principio ígneo no muy distinto del elemento fuego de Aristóteles, que sería el responsable de la combustión y que supuestamente, se perdía al arder una sustancia. Lavoisier demostró con cuidadosos pesados y cámaras herméticas que ese no era el caso: el peso de las sustancias encerradas en la cámara antes y después era idéntico. Era el principio de conservación de la masa, primer paso en la matematización de la química. Aparte de ello, al hablar de Lavoisier hay que mencionar a su esposa, Marie Anne, cuyo conocimiento del inglés, pero también de la química, fue fundamental para que su marido entendiera los desarrollos británicos y para dar a conocer al investigador francés allende las fronteras de Francia. Su labor documental en términos de notas de laboratorio resultó fundamental.
A estos proyectos se sumó uno de Condorcet, el mayor pedagogo de su época. Su plan sería aplicado al nuevo sistema educativo francés. Defendía la laicidad, el espíritu crítico y el Humanismo, para formar hombres libres a través del conocimiento. Para Condorcet, la educación era la procuración de herramientas de pensamiento libre que permitieran a cada ciudadano llegar a sus propias conclusiones en el marco de un debate en libertad.
Sin embargo, el desastre acechaba. Alguien tan insobornablemente libre como Condorcet no tenía cabida en una revolución que se radicalizaba cada vez más, cancelando las libertades. Moderado por naturaleza y opuesto a la pena de muerte por convicción, figuró entre los diputados que votaron en contra de la ejecución de Luis XVI. Desatada la persecución contra los girondinos por parte de los montagnards («montañeses», apodo de los jacobinos), Condorcet hubo de ocultarse, pero fue arrestado. Murió el 25 de mareo de 1794, en circunstancias misteriosas, cuando estaba encerrado en la prisión de Bourg-Égalité (hoy en día, Bourg-la-Reine). Por desgracia, no sería ni el primero ni el último académico víctima del Terror, entre ellos Lavoisier.
Con respecto a este, un desolado Lagrange confesaba a un amigo sus sentimientos: «Ha bastado un instante para derribar su cabeza y tal vez no basten cien años para procuramos una semejante». Es la única constancia que tenemos de una reacción del pacífico y neutral Lagrange ante el Terror que desfilaba ante sus ojos, y que por necesidad hubo de violentar profundamente su alma.
No obstante, Lagrange continuó trabajando para el gobierno revolucionario. Las academias fueron abolidas el 8 de agosto de 1793, al ser consideradas como representantes del Ancien Régime. La de Ciencias continuó existiendo gracias a los esfuerzos del abate Grégoire (Henri Grégoire, 1750-1831), un obispo de ideología republicana de enorme prestigio, pero por solidaridad con las otras y a propuesta de Lavoisier mismo dejó de sesionar sine die. Los diversos comités y comisiones que le interesaban a la Convención fueron independizados, si no lo habían sido ya, y puestos bajo la supervisión del Comité de Instrucción Pública. Entre ellos se contaban los comités del nuevo calendario y de pesas y medidas.
§. En busca de nuevas medidas
Francia sufría a finales del siglo XVIII una pesadilla de pesas y medidas regionales, que con frecuencia compartían nombre pero variaban de unas a otras (había unas setecientas}. Por ejemplo, una cierta medida contendría catorce subdivisiones en París, mientras que tenía solo doce en Rouen. La Revolución, con su afán renovador y racionalista, no podía abstenerse de su propio intento, las medidas antiguas eran antropocéntricas, como atestiguan sus nombres: palmo, codo, braza, pie, pulgada... La ciencia, no obstante, debía dar la respuesta a qué medidas eran las más adecuadas en la nueva era. Como de costumbre se estableció una comisión, ya desde el año 1790 con la Asamblea Constituyente y, como de costumbre, Lagrange fue nombrado miembro de ella junto con Condorcet, Monge y Jean-Charles de Borda (1733-1799). La comisión sobrevivió a la muerte de Condorcet y a la reasignación de Monge, llamado a labores de apoyo a la artillería.

El 16 de julio de 1789, el pueblo amotinado de París, asaltó la prisión de la Bastilla, símbolo del poder absolutista. Había empezado la Revolución Francesa (lienzo de Jean Pierre Houël, depositado en la Biblioteca nacional de Francia.

Retrato de Joseph-Louis Lagrange en sus años de madurez.

La cabeza de Luis XVI expuesta al pueblo tras su ejecución, según un grabado coloreado de 1793.
Esta fue la otra característica fundamental del nuevo sistema, era decimal. Todas las subdivisiones y múltiplos de los patrones serían potencias de diez, lo cual facilitaba los cálculos.
Concluidos los trabajos, la Convención oficializó el nuevo sistema el 13 germinal del año III (7 de abril de 1795). Notoriamente ausente estaba la definición de tiempo, que aún tendría que esperar a disponer de un patrón. Como anécdota, aunque el metro se ha redefinido en la actualidad con medidas atómicas, el kilogramo continúa siendo ese patrón guardado al principio en los archivos de París. Definir la masa patrón es un problema muy complejo que apenas se está resolviendo.
§. Lagrange, educador
La otra gran contribución práctica de Lagrange a su país de adopción sería su activa participación en las nuevas instituciones educativas. Condorcet, gran inspirador de la ambiciosa reforma pedagógica de la Revolución, no la vio culminada. El año III (a finales de 1794) se fundaba la École Nórmale, institución de enseñanza superior donde Lagrange fue nombrado catedrático de Matemáticas, junto con Laplace; Monge tenía la cátedra de Geometría descriptiva, disciplina que él fundó. La École Nórmale tenía el objetivo de formar a cualquier ciudadano capaz de la República en las diversas disciplinas científicas, para que dicho individuo, a su vez, se dedicara a impartir clases a otras personas. El proyecto era demasiado ambicioso; contaba entre sus alumnos a personas que apenas conocían los rudimentos de la aritmética, a la par que a ilustres científicos que destacarían más tarde, como Jean-Baptiste Joseph Fourier.
§. Un profesor peculiar
Es un hecho que a Lagrange le disgustaba impartir clases, pues prefería la investigación pura y la interacción con colegas de su mismo nivel; pero la Revolución se lo exigía, y no cabía negarse a sus imperiosas órdenes. El hecho de que el Terror jacobino hubiera terminado con la caída de Robespierre, unos seis meses antes, permitía también que la situación se normalizara poco apoco.
«La lengua filosóficamente más perfecta [la matemática] será aquella en la que se puede expresar el mayor número de ideas con el menor número posible de palabras.»Fourier contaba que Lagrange era un mal profesor, de voz monótona y horrible pronunciación del francés, y que, sobretodo, era totalmente impermeable al nivel de su auditorio, a pesar de que su habitual cortesía le llevaba a contestar con amabilidad todas las preguntas. Lagrange decidía el tema que iba a tratar y lo manejaba al mismo nivel que si hubiera estado ante sus colegas académicos, con lo que dejaba a la gran mayoría del auditorio estupefacta. Queda el testimonio de la media docena de lecciones que impartió en la Normal, una de las cuales cubre un tema tan avanzado como las fracciones continuas, una de las herramientas que el turinés utilizó a lo largo de su carrera, y que contaba en el siglo XVIII con una enorme popularidad (bastante disminuida desde entonces).
Joseph-Louis Lagrange, he sus lecciones en la École Nórmale.
Fourier. El mago de las funcionesNacido en Auxerre (Borgoña, Francia) e hijo de un humilde sastre, Joseph Fourier quedó huérfano a temprana edad y bajo la protección del obispado. Emigrado a París a los dieciséis años, allí fue alumno de Lagrange, Laplace y Monge en la Ecole Nórmale. Muy activo políticamente, estuvo a punto de ser guillotinado durante el Terror, pero la oportuna caída de Robespierre le salvó la vida. Bajo el Imperio napoleónico viajó a Egipto, de donde trajo una copia de la piedra Rosseta que presentó a su amigo el filólogo Jean-François Champollion, descifrador de su inscripción. Fourier fue un pionero del estudio de la transmisión del calor, un elemento fundamental para completar las teorías físicas del momento. Como sus maestros, fue antes que nada un fisicomatemático, y resucitó la vieja idea de Daniel Bernoulli de expresar una función como una serie trigonométrica en el curso de sus estudios sobre la transmisión del calor.No obstante, su trabajo encontró la oposición de su maestro Lagrange y también de Laplace, que lo consideraban interesante pero simplista. A pesar de ello, las teorías de Fourier tienen una aplicabilidad enorme en muchos campos, desde la electrónica hasta el sonido, desde el reconocimiento de Imágenes hasta el procesamiento de seriales digitales. No solo describió las funciones periódicas como una serie de funciones trigonométricas. Sino que inventó la operación inversa: la «transformada de Fourier», que permite descomponer una función periódica dada en sus componentes (por ejemplo, analizando la nota de un violín en su frecuencia fundamenta y sus armónicos).
El matemático francés Fourier realizó contribuciones más que valiosas a la ciencia moderna.
A la postre, la nueva aventura pedagógica de Lagrange fue de breve duración. Empezó el 1 pluvioso del año III (20 de enero de 1795) y terminó el 30 floreal del mismo año (19 de mayo); apenas duró un semestre. Por razones poco claras, el piamontés quiso dedicar todas sus lecciones a sus dos aventuras intelectuales fuera del cálculo, la teoría de ecuaciones y la de números, haciendo sus enseñanzas más abstrusas si cabe, dado que eran dos temas difíciles incluso entre académicos. Mientras tanto, Laplace adoptó un estilo más analítico y dedicó una lección entera al nuevo sistema de pesas y medidas.
El mismo año II, la Convención impulsó otro proyecto pedagógico: la École Polytechnique, en su origen llamada École céntrale de travaux publiques, nombre que da idea del espíritu práctico que la animaba. Su objetivo era sustituir a todas las escuelas y facultades de ingeniería y ciencias por una única institución. A diferencia de la Normal, la Politécnica tendría una larga vida. Creada por Monge y Lazare Carnot (1753-1823), otro matemático y político cuyo talento organizativo como militar le valió el mote de «arquitecto de la victoria», Lagrange tuvo en la Politécnica un papel capital como profesor y presidente de su Primer Consejo. Al mismo tiempo, renunció a cualquier emolumento extra dado, pues, decía, ya era miembro de la Oficina de Longitudes, establecida el 7 mesidor del año III (25 de junio de 1795).
La Oficina se ocupaba del cálculo de efemérides celestes y de la medición precisa del tiempo, la magnitud que había faltado al sistema métrico. Lagrange propuso decimalizar también el tiempo y se llegaron a construir relojes en los que el día y las horas estaban divididos en diez partes, pero la idea nunca prosperó demasiado.
Uno de los problemas fundamentales de aquel tiempo, el que daba nombre a la Oficina, era la determinación de la longitud cartográfica en el mar. Calcular la latitud (posición norte-sur, con respecto a la línea del ecuador) es muy sencillo, por el ángulo que forma un cierto astro al llegar a su altura máxima; pero la longitud (posición este-oeste con respecto al meridiano de base) no tiene una forma tan directa de medirse. El sistema desarrollado en la Oficina consistía en los cronómetros, uno con la hora de referencia, en este caso, el meridiano de París, y otro que se iba ajustando día a día al llegar el Sol a su altura máxima. Pero para ello eran necesarios cronómetros de extraordinaria precisión, que no se vieran afectados por el movimiento del barco o los cambios de temperatura. Este problema no se consideraba suficientemente resuelto a finales del siglo XVIII.
La historia siguió su curso. La Convención fue sustituida por el Directorio (26 de octubre de 1795), mucho más moderado, y este por el golpe de Estado del 18 brumario del año VIII (9 de noviembre de 1799), que instauró el Consulado y encumbró al joven general Napoleón Bonaparte (1769-1821) como hombre fuerte de Francia. A lo largo de los cambios, Lagrange continuó su plácida y afable existencia, si bien ya casi no publicaba. Refugiado en el mundo del pensamiento, no queda duda de que su espíritu, tan opuesto a la crueldad y dotado de un profundo sentido de la equidad y la justicia, hubo de estremecerse ante los acontecimientos que presenció, pero su discreción y timidez le impidieron dejar testimonio de sus reflexiones. Tímido y circunspecto, ajeno al ingenio y la ironía tan de boga en su época, así como a la conversación trivial, no por ello se privaba de expresar profundas reflexiones. Según escribió uno de sus biógrafos, solo ambicionaba el trono de las matemáticas, y este no se lo negaba nadie.
Encerrado largas horas en su gabinete, leía y discurría de forma insaciable. Y a pesar de sus escasas publicaciones, muchas de ellas simples desarrollos de ideas pasadas, existe la sospecha de que contribuía para que sus alumnos, y en particular sus viejos amigos turineses, publicaran bajo su nombre ideas que en realidad le pertenecían: tales eran su modestia y desapego a la gloria. Vestía con modestia, como si quisiera confundirse con el paisaje, y solía preceder sus afirmaciones con un «no estoy seguro, pero...».
Napoleón restituyó las academias, incluyendo la de Ciencias, y dio un enorme impulso a la Politécnica. Lagrange volvió a su asiento de académico cual si nada hubiera pasado. Pero la Politécnica le permitió discurrir lo que sería tal vez su última gran contribución a la matemática, su teoría de funciones, que formuló primero como una serie de lecciones y luego como dos tratados publicados. Siempre modesto, en sus lecciones recomendaba leer a Euler si se quería ser «geómetra» y a Newton para admirar la grandeza del espíritu humano.
§. Los últimos hallazgos de Lagrange
La teoría de funciones de Lagrange apareció en los anales de la Politécnica, en las dos ediciones de un tratado llamado Théorie des fonctions analytiques, los años 1797 y 1813 (el de la muerte de su autor), así como en sólidas publicaciones de sus lecciones de la Politécnica, llamadas Leçons sur le calcul des functions, en 1801 y 1806, siendo esta última la coronación de toda su teoría. Con estos trabajos, Lagrange pretendía, por un lado, formalizar las ideas de Euler y las suyas propias sobre el concepto de función y poner, por otro, el cálculo en una base firme.
Ya se ha dicho que los analistas del siglo XVIII usaban los infinitésimos de Leibniz de forma absolutamente informal, algo que había ya despertado las críticas de filósofos como Berkeley. Lagrange se propaso enmendar esta situación. A través de sus lecciones en la Politécnica desarrolló un concepto de función que guardaba similitud con sus ideas de juventud, con una importante excepción.
Lagrange definió una función como cualquier expresión analítica en la que variables y constantes se combinan a través de operaciones algebraicas, tales como la suma o la multiplicación, pero también mediante operaciones trigonométricas, y de logaritmos y exponenciales. En ello no difería de sus ideas anteriores ni de las de Euler, pero, tal vez para evitar mayores complejidades en el tratamiento, dio un paso atrás. Recuérdese que Lagrange había tomado partido en la polémica entre D'Alembert y Euler a favor de este último, admitiendo que una función podía constar de más de una expresión analítica. Pues bien, en estos trabajos de sus últimos años, sin embargo, Lagrange, sin desdecirse de forma explícita, adoptó la postura de D'Alembert, tal vez porque ello le permitía simplificar su análisis. Pero, además, reconocía otra fuente de la que podía surgir una función: eran precisamente las operaciones del cálculo, la integración y la derivación
A partir de ello, Lagrange asumió que toda función puede expresarse como un desarrollo en serie de Taylor. Esto requiere una explicación. El matemático británico Brook Taylor (1685-1731) había definido una forma de expresar funciones analíticas como una serie. Una serie es en general una suma infinita, en el sentido de que tiene un número infinito de términos (aunque esto incluye el caso especial en el que el número de términos es finito). A primera vista, parecería que sumar un número infinito de cosas dará siempre un resultado infinito, pero no es así. Si cada término sucesivo es suficientemente más pequeño que el anterior, el resultado de la serie es finito. Por ejemplo, en la siguiente serie:

![]()


Existen complejidades técnicas sobre la validez de las series de Taylor para representar el valor de una función, pero ni siquiera el propio Lagrange tuvo muchas de ellas en cuenta. Para el turinés era siempre posible expresar cualquier función como una serie de Taylor, un resultado que discutió más que probó. Tampoco Euler había sido especialmente riguroso al respecto de las series. Es importante señalar que, para Lagrange, no era la serie de Taylor la definición de la función. La función estaba definida por una expresión analítica, pero expresada como serie.
«[Reducir el cálculo al álgebra deshaciéndose] de toda consideración de los infinitamente pequeños o de las cantidades evanescentes, de límites o de fluxiones.»De todas formas, Lagrange acertaba de pleno con respecto a la importancia de las serles de Taylor. Los físicos suelen trabajar por aproximaciones, y son raros los casos en los que una ecuación diferencial permite una solución exacta. Pues bien, la serie de Taylor es una de sus herramientas más poderosas para llevar a cabo dichas aproximaciones. Simplemente se ignoran la mayoría de los términos de la serie, y por lo general solo se aprovechan dos o tres.
Joseph-Louis Lagrange, Theorie des functions
En todo caso, la importancia del programa de Lagrange está en la eliminación de los infinitésimos. Lagrange fue explícito al respecto: aunque señaló que el uso de infinitésimos y su método de serie de Taylor dan los mismos resultados, se quejaba de que los infinitésimos «rompen» la continuidad del argumento, desvirtuando la definición analítica de una función y dando así un salto al vacío. En efecto, Leibniz había utilizado una diferencia que al principio no es infinitesimal:
Δf(x) = f(x+i) - f(x)
donde Δf(x) representa dicha diferencia. A continuación dividía por x + i - x = i y entonces ocurría el salto mortal: hacía que i valiera cero, a pesar de que está prohibido dividir por cero. El argumento es que la división se hace antes de que i valga cero. Por magia, las diferencias se vuelven infinitésimos, cantidades que son cero y no lo son a voluntad, se vuelve df(x) e i se vuelve di, Lagrange creyó resolver el problema postulando la existencia de las derivadas contenidas en la serie de Taylor f(x), etc., como cantidades primitivas que no define más que a través de la propia serie. Es decir, define las derivadas algebraicamente, a través de una fórmula que es la serie de Taylor misma. Su programa estriba en convertir el cálculo en álgebra.Lagrange no ignoraba algunas de las dificultades de su propio método, como el hecho de que la serle de Taylor no está definida a veces para ciertos puntos. Pero obviaba estas dificultades diciendo que en general estaba definida, de la misma forma que una función como 1/x está definida en todos los puntos salvo en x = 0.
Acto seguido, Lagrange se dedicó a re-expresar varios de sus resultados en términos de su nueva formulación algebraica. Por ejemplo, sus estudios sobre soluciones singulares a ecuaciones diferenciales se convirtieron en un simple problema algebraico aunque siguió utilizando la variación de constantes para resolverlo. Y, de manera más importante, reescribió su cálculo de variaciones de forma por completo algebraica.
El ambicioso programa de Lagrange podría haber cerrado la historia del desarrollo del cálculo y la teoría de funciones. Sin embargo, no fue así. Treinta años después, Cauchy y el checo Bernard Bolzano expresarían el cálculo en términos radicalmente distintos, a través de la noción de límite, y la teoría de funciones moderna se fundaría en la teoría de conjuntos y no en d álgebra. Una de las debilidades del enfoque de Lagrange fue ignorar lo que había defendido con ahínco en su juventud: la posibilidad de varias expresiones analíticas para una sola función, algo que Euler, con razón, consideraba fundamental en la teoría de la cuerda vibrante y que, en general, resulta fundamental en ecuaciones diferenciales parciales. Así, aunque el programa de Lagrange vivió todavía durante algunas décadas del siglo siguiente, estaba condenado a desaparecer. No del todo, sin embargo, pues su énfasis en las derivadas como funciones y en las serles de Taylor ha pervivido hasta la actualidad.
Conforme el imperio napoleónico se expandía sobre Europa, Lagrange vivía sus últimos años. El final de su vida casi coincidió con la caída de Napoleón, un admirador de los sabios que lo cubrió de honores. Fue nombrado senador del Imperio y ennoblecido como conde, y recibió la más alta condecoración francesa; la Legión de Honor.
Durante esos años, su salud, que siempre había sido frágil, se resintió cada vez más. Delicado de estómago, su dieta era frugal, dormía hasta tarde y daba cotidianos paseos. Amaba sobre todo el sol y el calor de los alimentos. Aunque conde, su indumentaria era la de un burgués con pocos medios, pero decorosa, y se negaba a ser retratado, pensando que era el espíritu y no las facciones lo que debía heredar al mundo.
Disfrutaba de la compañía de sus escasos amigos íntimos y de las mujeres de ingenio. Sobre todo, su devota mujer era, decía él, la causa principal de su felicidad, y la única razón de que la vida le fuera apreciada y le diera pena abandonarla era ella. A pesar de sus achaques, la claridad de pensamiento nunca le abandonó hasta el último día de su vida. El Emperador Napoleón lo recibía encantado, llamándole «la más alta pirámide de las matemáticas». No obstante, recordaría años después, en Santa Elena, Lagrange, al igual que su colega Laplace, le parecía un ateo irredento.
Su vida se agotó con rapidez, mientras trabajaba febrilmente en una segunda edición de su Mecánica analítica, cuyo primer volumen apareció en 1811. Varias crisis gástricas a principios de 1813, de lo que entonces se conocía como «episodios biliosos», le llevaron a tratarse él mismo con infusiones, caldos y eméticos, sin fallarle en ningún momento los cuidados abnegados de su esposa. A finales de marzo quedó resentido, con la boca amarga y debilidad general en piernas y brazos. El 2 de abril consintió en ver a un médico, el Dr. Potel. No obstante, su desconfianza en la medicina era sistemática, y solo se avino a tomar remedios más o menos inocuos. Sin experimentar dolores graves, llegó el día en el que Monge y otros senadores lo visitaron para anunciarle que el Emperador, siempre preocupado por su salud, le había otorgado la Orden de la Reunión. Su salud se agravó por la noche, hasta que, finalmente, se extinguió el día 20 de abril.
Voltaire hubiera dicho de Lagrange, como dijo de Newton, que en Francia se enterraba a los sabios como si fueran reyes. Conducido hasta el Panteón, que se había convertido en el lugar de reposo de los grandes de Francia, fue uno de los primeros científicos ahí sepultados.
- American Council of Learned Societies (ed.), Biographical Dictionary of Mathematicians, Nueva York, Scribner, 1991.
- Archibald, T. et al. The History of Differential Equations, 1670- 1950, Zurich, Oberwolfach Reports, vol. l, núm, 4, European Mathematical Society, 2004.
- Bell, E. T. Los grandes matemáticos, Buenos Aires, Losada, 2010.
- Bourbaki, N., Elementos de historia de las matemáticas, Madrid, Alianza Editorial, 1976.
- Boyer, C., Historia de la matemática, Madrid, Alianza Editorial, 2007.
- D'Hombres, J., L'École Nórmale de l'an III - Leçons de mathématiques; Laplace, Lagrange, Monge, París, Dunod, 2011.
- Dugas, R, History of Mechanics, Nueva York, Dover Publications, 2011.
- Engelsman, S. B., «Lagrange’s Early Contributions to the Theory of first-Order Partial Differential Equations», Historia Mathematica, vol. 7, núm. 1,1980.
- Stewart, I., Historia de tas matemáticas, Madrid, Crítica, 2008.

Pero esto es imposible; dado que Q está fuera de la circunferencia, debemos tener que OQ es mayor que OP. Dado que hemos llegado a una contradicción, nuestra hipótesis es falsa y OP sí es perpendicular a L. El diagrama necesariamente es incorrecto, dado que la hipótesis lo es. Se puede ver claramente que el segmento OQ no es perpendicular a la línea L... pero hay que demostrarlo.








D’Alembert le buscó acomodo en Berlín. No fue necesario un segundo intento y con la edad de veinticuatro años Laplace logró su objetivo. Sin embargo, su personalidad complicada le restó muchas amistades entre sus colegas, aunque siempre apoyó a las jóvenes promesas y mantuvo relaciones respetuosas con quienes veía a su altura, como el propio Lagrange. Los frecuentes contactos entre ambos se basaban en una mezcla de rivalidad e igualdad a pesar de la diferencia generacional, y nunca llegaron a la intimidad que Lagrange demostró con otros. Su trabajo más importante es Mecánica celeste, tratado al que dedicó un cuarto de siglo, pero también hizo aportaciones a la teoría de ecuaciones diferenciales y, sobre todo, a la teoría de la probabilidad, en la que planteó lo que hoy se conoce como «Interpretación bayesiana de la probabilidad». De igual modo, es célebre por haber postulado el principio del determinismo científico, al haber afirmado que un ser que conociera las fuerzas, la posición y la velocidad de todos los cuerpos del Universo y tuviera suficiente capacidad de análisis, podría predecir todos los movimientos de todos los cuerpos, desde el átomo más pequeño hasta el mayor cuerpo celeste, tanto en términos de su pasado como de su futuro. «El presente -escribió— es efecto del pasado y causa del futuro.»

destinatarios El inglés Brouncker aclaró los casos particulares y logró dar con un procedimiento general para solucionar cualquier valor de d. Sin embargo, sus logros no demostraban que el método analítico fuera válido para todos los casos. Puede parecer que esto es un detalle que no tiene demasiada importancia, pero no es así. El mismo Euler, más tarde, fracasó al intentar demostrar este hecho. Pero Lagrange obtuvo una fórmula con un número infinito de soluciones para cualquier n, demostrando que la fórmula de Fermat, en efecto tiene un número infinito de soluciones.


