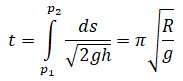
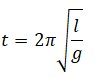
Huygens
Gabriel Ruiz-Garzon
En estadística existen los llamados outliers, puntos que se separan marcadamente de los demás, datos que se consideran alejados del resto. La labor desarrollada en el campo de las matemáticas, la astronomía, el cálculo actuarial y la física por Christiaan Huygens lo convierten en un outlier, un científico fuera de la norma. Fue extraordinario por estar a la vanguardia de la ciencia en todos esos campos y ser capaz de hacer descubrimientos importantes en cada uno de ellos. Tampoco es normal que algunos de sus descubrimientos formen parte de los conocimientos que una persona recibe hoy en día en su educación, más de tres siglos después de su muerte.Huygens nació en unos Países Bajos que luchaban por conseguir su independencia de la monarquía española, que envió allí al tercer Duque de Alba al frente de los Tercios. Hasta la Paz de Münster (1648), colofón de la Guerra de los Ochenta Años, España no reconoció de ivre la independencia de las Provincias Unidas del Norte (Frisia, Groninga, Güeldres, Holanda, Overijssel, Utrecht y Zelanda). Estos territorios habían abrazado el calvinismo como señal distintiva de identidad frente a la católica España. Creían en la predestinación y que había algunos signos externos que evidenciaban haber sido elegidos por Dios, como la intensa fe, la modestia, la honestidad, la austeridad, la frugalidad, el gusto por el trabajo bien hecho, etc., unas características que encajaban muy bien en la mentalidad de los afanosos holandeses, inmersos en un incipiente capitalismo mercantil que hizo de la República Neerlandesa uno de territorios europeos más ricos de aquel tiempo y del siglo XVII, el Siglo de Oro neerlandés. Christiaan Huygens compartía esta filosofía.
En el siglo XVII tuvo lugar la denominada «Revolución científica», que supuso el progreso de la ciencia en todos los campos y que se fundamentaba en dos nuevos métodos de conocimiento, el racionalismo y el empirismo, de los que se nutrió Huygens. El primer método estuvo impulsado por Rene Descartes, filósofo, matemático y amigo de la familia. Su método partía de una primera e indudable verdad para obtener, por medio de la razón y la deducción, todas las demás, es decir las verdades matemáticas. Las bases del método empírico o experimental fueron puestas por el filósofo inglés Francis Bacon. En él, la verdad se alcanzaba a través de los datos que aportaba la experiencia para obtener verdades concretas, sobre las que establecer, en una segunda etapa, unas verdades generales o hipótesis, que debían comprobarse mediante la experimentación en una tercera etapa, como ocurre en la física.
Los primeros trabajos de Huygens tienen que ver con la búsqueda de la «cuadratura» de figuras, en particular del círculo. La cuadratura del círculo era un tema que había merecido la atención de muchos filósofos y matemáticos atraídos por los problemas que se resistían, a ser resueltos conforme pasaban los siglos. La cuadratura consistía en construir un cuadrado a partir de otra figura, exclusivamente con regla y compás, de modo que presentara igual área. La fama como matemático de Huygens creció rápidamente ya que con tan solo veintidós años fue capaz de detectar un error en el intento de cuadrar el círculo por parte del matemático flamenco Grégoire de Saint-Vicent. Ya unos años antes, con tan solo diecisiete, había dado cuenta de su talento al hacer llegar al matemático francés Marín Mersenne una carta con la demostración de que la catenaria no coincidía con la parábola.
En aquel tiempo, la única manera de difundir los conocimientos científicos era el intercambio epistolar, ya que las primeras revistas científicas, Le Journal des Sçavans y Philosophical Transactions, no aparecieron hasta 1665, mientras que la creación de la Royal Society de Londres data de 1660 y la de la Real Academia de Ciencias de París, de 1666. Esto hace especialmente interesante el estudio de la correspondencia de Huygens con otros matemáticos de la época y el papel desempeñado por Marín Mersenne o Pierre de Carcavi a la hora de intermediar entre todos ellos.
En el siglo XVII, las matemáticas no se aprendían en la universidad, sino de forma autodidacta o por medio de tutores o amigos: Evangelista Torricelli y Bonaventura Cavalieri las aprendieron de Galileo, Frans van Schooten de Descartes y Huygens de van Schooten. El hecho de que Descartes fuera asiduo visitante de Van Schooten e incluso del propio domicilio paterno de los Huygens hizo de Christiaan un profundo admirador de las teorías racionalistas cartesianas.
La geometría analítica de Descartes estableció el puente de unión entre la geometría y el álgebra. Descartes estudió ecuaciones por medio de curvas mientras que Pierre de Fermat hizo lo contrario: estudió curvas definidas por ecuaciones. Huygens representa el último peldaño, el escalón superior de la geometría analítica antes de la llegada del cálculo infinitesimal de Isaac Newton y Gottfried Leibniz. Las demostraciones de Huygens fueron puramente geométricas. Necesitó desplegar todo un complejo virtuosismo geométrico, mediarte la construcción de curvas y propiedades de las mismas, para elaborar demostraciones que requerirían muy poco esfuerzo con las técnicas del cálculo diferencial e integral unos años después. En este sentido, Huygens fue el último gran matemático que empleó técnicas heredadas de Arquímedes, Galileo, Fermat y Descartes. Con estas técnicas calculó cuadraturas, tangentes y máximos y mínimos de curvas,
El siglo XVII también inauguró una nueva ciencia, la probabilidad, en la que Huygens colaboró con entusiasmo. Tras el pistoletazo de salida dado por la relación epistolar entre Fermat y Pascal en el verano de 1654, la publicación de Ratiociniis in ludo aleae de Huygens vino a consolidar la probabilidad como un arma para atrapar la incertidumbre en los juegos de azar y se vislumbró como la ciencia adecuada para estudiar los hechos sociales, como después consagrarían los Bernoulli. La probabilidad ya no era el producto de un sueño de una noche de verano, sino que había venido al firmamento científico para quedarse en pie de igualdad con la geometría, el álgebra o el incipiente análisis. Huygens resolvió el «problema del reparto o de los puntos» a través del concepto del valor esperado del juego, alejando este problema del ámbito de las matemáticas comerciales y acercándolo al nuevo del cálculo de probabilidades. Abordó el «problema de la ruina de un jugador», un juego que podría tener una duración infinita, y utilizó por primera vez un razonamiento en árbol en su demostración. La influencia del Ratiociniis in ludo aloe sería inmensa. Durante los cincuenta años siguientes a su publicación, matemáticos como Jakob Bernoulli, Juan de Caramuel, John Arbuthnott, Pierre Montmort o Abraham de Moivre escribirían obras dedicadas en gran parte a comentar o resolver problemas propuestos por Huygens.
Es muy conocida la saga de matemáticos de la familia Bernoulli, pero en cierto modo también podríamos hablar de la saga de la familia Huygens, que contribuyó de una manera decisiva a que Christiaan alcanzara la cumbre científica. Su padre, Constantijn Huygens, político y literato, le proporcionó una educación esmerada, digna de un embajador o de un gentleman. Con su hermano menor Lodewijk, cruzó una serie de misivas sobre la duración de la vida humana que hacen de ambos unos precursores del cálculo actuarial. Y por último, con su hermano mayor Constantijn compartió su afición por la construcción de lentes y telescopios, con los que Christiaan pudo ver los anillos de Saturno, su satélite Titán y la nebulosa Orión.
En este sentido, Huygens agrandó los confines del universo conocido hasta entonces. Pero también construyó microscopios con los que observar lo más pequeño, como las bacterias o la estructura de los vegetales y animales. Además, inventó una serie de instrumentos con los que mejorar los telescopios y la imagen que ofrecían, como oculares y diafragmas. Galileo murió sin conocer la explicación a las extrañas formas que rodeaban a Saturno, sus anillos, que unas veces aparecían y otras desaparecían, igual que el dios griego que da nombre al planeta y que devoraba a sus hijos haciéndolos desaparecer. La labor astronómica de Huygens constituyó una bella ilustración de] espíritu de superación de la ciencia, en particular del papel tan importante desempeñado por el desarrollo tecnológico, el cual debe ir unido a los avances teóricos.
Huygens tuvo la suerte de compartir, junto con otros matemáticos holandeses de la época, como Johannes Hudde (alcalde de Ámsterdam) o Johan de Witt (primer ministro de las Provincias Unidas del Norte), los conocimientos y el hogar de su maestro Van Schooten. La necesidad de conseguir recursos económicos para el país llevaría a todos ellos, y a Huygens en particular, a calcular rentabilidades de diversos productos financieros y a la búsqueda del valor de venta de anualidades de vida que se encuentran en la base de la demografía y el cálculo actuarial.
Ahora bien, la labor de Huygens también se vio favorecida por el mecenazgo de Jean-Baptiste Colbert, ministro de Hacienda del rey francés Luis XIV, el «Rey Sol». Colbert, padre del mercantilismo, fue el principal artífice de la llegada de Christiaan Huygens a París para hacerse cargo de la Real Academia de Ciencias en 1666. La muerte de su protector supuso la salida de Huygens de la Academia y la vuelta a su país natal.
Aun siendo importante lo conseguido por Huygens en materias tan dispares como la geometría, el cálculo de probabilidades, el cálculo actuarial o la astronomía es en la física donde su nombre luce con brillo propio. En 1673 publicó su obra magna, el Horologium oscillatorium, donde combinó su faceta de matemático, físico e inventor. Las importantes propiedades teóricas que dedujo de la curva cicloide se encuentran en la base de la precisión de los relojes de péndulo que diseñó y construyó. En el siglo XVII, el cálculo estaba ligado al estudio de curvas: la cisoide de Diocles, la espiral de Arquímedes, las parábolas, las hipérbolas, el folium de Descartes, la espiral logarítmica y, sobre todo, la cicloide. Esta curva consagró a Huygens. El descubrimiento matemático de que la cicloide es la curva por la que cualquier cuerpo que cae tarda el mismo tiempo en descender al punto más bajo independientemente del punto de partida, «tautocronía», y de que la duración de los movimientos de un péndulo que sigue dicho camino es la misma, «isocronía», le llevó a aplicarla a la construcción de relojes de péndulo precisos. Huygens no se conformó con exponer la parte teórica de su trabajo, sino que buscó su aplicación práctica construyendo relojes con los que resolver el «problema de la longitud geográfica» en alta mar. En un ambiente de depresión económica, las Provincias Unidas del Norte experimentaron un gran desarrollo económico gracias a un floreciente comercio colonial con Asia y América controlado por las compañías comerciales, como la Compañía Holandesa de las Indias Occidentales, con la que Huygens estableció contactos para patentar su reloj como el instrumento más adecuado para conocer la posición de un barco en alta mar.
En 1690 publicó su Tratado de la luz, donde expuso su teoría ondulatoria de la luz. Él había estudiado también tanto los choques elásticos como no elásticos de cuerpos, de ahí que imaginara la luz moviéndose longitudinalmente a través de una sucesión de choques de partículas que conformaban el material que llenaba el espacio, el éter. No llegó a entender cómo se podía explicar la gravitación newtoniana sin la presencia de una sustancia que actuara de enlace entre los cuerpos. Pese a todo, fue capaz de explicar la doble imagen que se producía al atravesar la luz el espato de Islandia, relacionándolo con el efecto físico de la polarización.
Así como en los dos primeros tercios del siglo XVII la geometría analítica dominó las matemáticas, el último tercio auguró el nacimiento del cálculo infinitesimal con las obras de Leibniz y Newton. Durante su estancia en París, el filósofo y matemático alemán Gottfried Leibniz estudió álgebra y geometría analítica con Huygens, quien le aconsejó leer a Pascal si quería llegar a ser alguien en las matemáticas. Ni que decir tiene que los descubrimientos de Leibniz hicieron honor a su profesor y mentor. En la última parte de su vida y de regreso de Francia, Huygens quiso conocer personalmente al gran científico inglés Isaac Newton. Para ello no dudó en embarcarse hacia Inglaterra en 1689. Deseaba conocer sus telescopios y sus experimentos sobre la descomposición de la luz. Sin duda, tuvo que ser apasionante el encuentro de Newton y Huygens, pero no quedó constancia de las discusiones habidas entre ellos.
Decía Newton en una carta a Hooke: « Si he conseguido ver más lejos que Descartes ha sido porque me he incorporado sobre los hombros de gigantes ». Sin lugar a dudas, Huygens fue uno de esos gigantes. Según Henry Pemberton, editor de los Principia, Newton lo consideraba «el más elegante entre los escritores modernos y el más perfecto seguidor de los antiguos». Por tanto, la vida y obra de Huygens bien merecen un estudio en profundidad.
| Cronología | |
| 1629 | El 14 de abril Christiaan Huygens nace en La Haya. Es el segundo hijo de Constantijn Huygens, músico, literato y secretario de los Príncipes de Orange, y de Suzanna van Baerle. |
| 1645 | Cursa estudios de derecho y matemáticas en la Universidad de Leiden ron Frans van Schooten como profesor. |
| 1651 | Publica Exestasis cyclometriae dentro de Theoremata de cuadratura hyperboles, ellipsis et circuli, donde muestra la imposibilidad de cuadrar el círculo como había propuesto Grégoire de Saint-Vicent. |
| 1652 | Deduce las leyes que rigen las colisiones elásticas. Inicia sus estudios sobre óptica geométrica, que permitirán realizar numerosas mejoras en el telescopio, como el ocular de Huygens, el micrómetro o el diafragma. |
| 1654 | Publica la forma de calcular el punto de inflexión de la concoide en Illustrium quorundam problemarum constructiones, un apéndice de De circuli magnitudine inventa. |
| 1655 | En marzo descubre Titán, primer satélite de Saturno, y meses más tarde deduce la estructura del anillo. |
| 1657 | Publica el primer libro sobre probabilidad de la historia, De ratiociniis in ludo aieae, inicialmente en latín y luego en neerlandés. |
| 1659 | En su investigación sobre el reloj de péndulo, aborda el isocronismo y tautocronismo de la cicloide. |
| 1666 | Dirige en París la Peal Academia de Ciencias francesa, llamado por Colbert, primer ministro del rey Luis XIV. |
| 1669 | Intercambia con su hermano Lodewijk una serie de cartas sobre el tema de la esperanza de vida y la vida mediana. |
| 1671 | Mantiene correspondencia con Johan de Witt, matemático y Gran Pensionario de las Provincias Unidas del Norte, relacionada con el cálculo de anualidades. |
| 1673 | Publica el Horologium oscillatorium, que contiene una completa descripción de su reloj de péndulo. |
| 1676 | Inicia sus estudios sobre la naturaleza de la luz, que culminarán en el famoso principio que lleva su nombre. |
| 1661 | Regresa a La Haya. |
| 1669 | Viaja a Londres y se encuentra ron Isaac Newton. |
| 1690 | Publica el Tratado de la luz, obra en la que expone su visión sobre la luz, manteniendo la teoría ondulatoria. |
| 1692 | Estudia la evoluta de la catenaria que es la curva tractriz. |
| 1695 | El 8 de julio muere en La Haya a la edad de sesenta y seis años. |
Capítulo 1
La cuadratura del círculo
Christiaan Huygens fue un matemático precoz. Con tan solo diecisiete años demostró que la catenaria no coincidía con la parábola y con veintidós descubrió un error en la argumentación de Grégoire de Saint-Vicent relacionado con la cuadratura del círculo. Este problema, heredado de los griegos, perseguía reducir el área de un círculo a la de un cuadrado, utilizando exclusivamente regla y compás. También obtuvo un método para calcular máximos y mínimos de funciones, intentando mejorar el aportado por Fermat o para aproximar el valor de π.Christiaan Huygens nació en La Haya el 14 de abril de 1629. Su padre, Constantijn, ocupó el cargo de secretario de los príncipes de la casa de Orange. El cabeza de familia fue políglota, músico y literato y acumuló más de tres mil libros en su biblioteca. Escribió más de ochenta mil poemas y fue protector de pintores como Rembrandt. Su madre, Suzanna, que pertenecía a una familia adinerada, también era una mujer cultivada. El matrimonio tuvo cinco hijos. El mayor, del mismo nombre que el padre, Constantijn (n. 1628), llegaría a ser secretario privado del príncipe de Orange. Después vendrían Christiaan, Lodewijk, Philip, que murió joven, y por último Suzanna. Descartes conoció a los cinco hijos de Constantijn y se dio cuenta rápidamente de las dotes excepcionales de Christiaan, del que declaró que era «de su linaje».
Cuando murió la madre en 1637, una prima se hizo cargo del cuidado de la familia, que se trasladó a Voorburg, un pueblo cercano a La Haya. Constantijn formó a sus hijos para que pudiesen optar a altos cargos representativos y funcionariales de las Provincias Unidas. Christiaan Huygens aprendió diversas lenguas (griego, latín, italiano y francés) y geometría en el hogar paterno. Cuando tuvo quince años, su padre contrató a un tutor, Jan Stampioen, que le instruyó en las obras de Ptolomeo, Brahe, Kepler y Descartes, más del gusto del pequeño Christiaan.
Entre 1645 a 1647, junto con su hermano mayor, estudió leyes y matemáticas en Leiden con Frans van Schooten (1616-1660). Mientras que Constantijn sobresalía en la composición de obras literarias como su padre, Christiaan destacaba en la resolución de problemas geométricos. Entre 1647 y 1649 siguió estudiando leyes y matemáticas en el Colegio Orange de Breda, con el inglés John Pell. La elección no fue casual, ya que en Breda se había formado el estatúder Guillermo de Orange, al que servía su padre como secretario. En 1650 murió Guillermo II de Orange, lo que abrió el paso a los partidarios de la República. Esto supuso un grave revés para Constantijn Huygens padre, que deseaba colocar a sus hijos en la corte, pero permitió a Christiaan dedicarse a la ciencia alejado de las intrigas de palacio. Durante su estancia en Breda formó parte de una delegación del conde de Nassau-Siegen que viajó a diversos países europeos, entre ellos a Dinamarca. El mal tiempo le impidió desplazarse a Estocolmo, donde se encontraba un conocido de la familia, el filósofo francés René Descartes, que había sido llamado por la reina Cristina para convertirse en su tutor.
§. La catenaria toma el relevo de la parábola
En esta época Christiaan Huygens afrontó el problema de la catenaria (figura 1). El astrónomo y matemático italiano Galileo Galilei (1564-1642) había estudiado la parábola ligada a las trayectorias de proyectiles y a la modelización del espacio recorrido por los cuerpos en caída libre. En 1638 afirmaba en su Discursos que «otro método de dibujar la curva deseada [...] es la siguiente. Clavar dos puntas en un muro a una altura conveniente y al mismo nivel [...] en estos clavos se cuelga una cadena ligera [...] Esta cadena tendrá forma de parábola [...]». Pero Huygens demostró que estaba equivocado, que la forma de una cadena suspendida por los extremos y sobre la que actúa únicamente la gravedad es la catenaria, no la parábola.
René DescartesRené Descartes (1596-1650) fue el gran filósofo del siglo XVII nacido en La Haye, en la Turena francesa, estudió en el colegio de los jesuitas de La Flêche, para después graduarse en derecho por fa Universidad de Poitiers en 1616. Se alistó con el ejército de Maurice de Nassau para combatir en Randas contra España en la Guerra efe los Treinta Años. Estando en campaña, entre el 10 y el 11 de noviembre de 1619, tuvo tres sueños» que élinterpretó como que debía dedicar su vida al estudio y a la búsqueda de verdades indubitables, todas las cuales debían estar sujetas y basadas en su primera verdad «Cogito, ergo sum» («Pienso, luego existo»). Para Descartes existía la obligación de rechazar como falso aquello en lo que existiera la más mínima duda. Después de licenciarse del ejército, su vida transcurrió en los Países Bajos a partir de 1623. Allí vivió alejado de la opinión pública, a veces invitado a la casa de los Huygens.
Matemático
Cabe reconocer que la actividad matemática de Descartes ocupó un lugar secundario dentro de su obra. Sin embargo, también es cierto que las matemáticas impregnaron de manera clara su pensamiento filosófico. En 1637 publicó su Discurso del método, que en realidad constituía el prólogo a tres tratados en los que aplicaba su método:La dióptrica, Los meteoros y La geometría. Los dos primeros pretendían explicar el comportamiento de las lentes y el movimiento de los astros, El tercero al origen a la geometría analítica, cuyos problemas fundamentales son:
1. Dada una ecuación, hallar et lugar geométrico que representa.
2. Dado un lugar geométrico definido por determinadas condiciones, hallar su ecuación matemática.
En resumen, trató da aplicar el álgebra a la geometría a través de la creación de un sistema de coordenadas para representar un punto. Descartes consideró poco rigurosos los métodos basados en los infinitésimos. Estudió las curvas matemáticas algebraicas y proporcionó un método para la obtención de tangentes basado en la búsqueda de raíces dobles.
Huygens había entrado en contacto con el problema de la catenaria gracias a Les oeuvres mathematiques del matemático neerlandés Simón Stevin (1548-1620), cuya lectura le había sido recomendada por su tutor Jan Stampioen en 1645.
«Le enviaré en otra carta una demostración que una cuerda o cadena que cuelga no tiene forma de parábola. He encontrado una demostración no muy larga»El 13 de octubre de 1646 el matemático francés Marín Mersenne (1588-1648) escribió a un jovencísimo Christiaan Huygens, de tan solo diecisiete años, y este le respondió el 28 de octubre anunciándole que había demostrado que la curva que cuelga entre dos puntos no era la parábola.
Christiaan Huygens, carta a Marin Mersenne, 28 de octubre de 1646.
El 26 de noviembre de 1646, en una nueva carta, Mersenne le pidió una demostración, lo que Christiaan hizo el mes de diciembre. Afrontó el problema colgando primero pesos iguales en una cadena sin peso y cambiando después los pesos por una cadena compuesta de segmentos de igual peso, y observó que, igual que antes, las intersecciones de las extensiones de esos segmentos se encontraban sobre el «diámetro colgante de los pesos». Este último término se refería a la línea vertical existente a medio camino entre dos pesos iguales. Esas líneas verticales cortaban el segmento justamente encima de la intersección en una serie de puntos. Seguidamente Huygens demostró que la catenaria ABCDEKFG no coincidía con la parábola ABCDER utilizando triángulos semejantes. Así como la parábola y la catenaria tenían como puntos comunes A, B y C, ya que una parábola se puede ajustar a tres puntos, la parábola no podía pasar por los puntos K o F, por ejemplo, con lo que la línea buscada no podía ser una parábola (figura 2).
El matemático suizo Johann Bernoulli (1667-1748) proporcionó una demostración mecánica más sencilla que la de Christiaan Huygens (figura 3).
Consideremos la porción de cuerda comprendida entre el origenO y el punto P. Sobre esta porción actúan la fuerza G que es tangente en P, la fuerza horizontal F que es independiente de P, depende solo de la parte izquierda de la catenaria, y el peso W del segmento de la curva OP. Como la parte OP de la cuerda está en equilibrio, todas las fuerzas que actúan sobre ella horizontalmente hacia la derecha y hacia la izquierda deben ser iguales en magnitud y lo mismo ocurre con las que actúan verticalmente. De ahí que

![]()

a = F/k
como una constante. Luego la curva buscada debe satisfacer la ecuación diferencial



La catenaria no fue la única curva que interesó a los matemáticos del siglo XVII. La cicloide fue objeto de diversos estudios y además se continuó tratando de obtener el área bajo ella, es decir, hallar su cuadratura.
Los cuadrados mágicos de Huygens y DureroEn un trabajo dé 1650, Tabulam omnimodae aequalitaris constituere, Christiaan Huygens también mostró cómo generar cuadrados mágicos, tablas de números enteros dispuestos en un cuadrado de tal forma que la suma de los números por filas, columnas y diagonales principales sea la misma, Uno de los ejemplos citados en este trabajo es el que aparece en el grabado del pintor Alberto Durero titulado Melancolía I. Es un cuadrado mágico 4×4 que usa, sin repeticiones, todos los números del 1 al 16, En todas las sumas, verticales, horizontales, diagonales, las de las cuatro submatrices de orden 2, la de las sumas de los números de las esquinas— se obtiene la constante mágica, el número 34, Las dos cifras centrales de la última fila reflejan el año en el que esta datado el grabado (1514)
Hasta el siglo XVII, uno de los problemas que había preocupado a los matemáticos desde la época helénica era el de la cuadratura, consistente en hallar áreas de figuras equivalentes a otras conocidas; en particular, ser capaz de obtener un cuadrado de área igual a un círculo únicamente con regla y compás.
La imposibilidad de cuadrar el círculo utilizando solo los dos anteriores instrumentos supuso un duro golpe para los matemáticos, igual que para los pitagóricos lo había supuesto que no existiera una cantidad que dividiera un número entero de veces el lado del cuadrado y su diagonal. El descubrimiento de los irracionales, de los no conmensurables, causó tal exasperación entre ellos que se cuenta que arrojaron sin contemplaciones al fondo del mar a su descubridor, el filósofo y matemático griego Hípaso de Metaponto (siglo V a.C.).
Los griegos también estaban preocupados por efectuar las construcciones geométricas de la manera más simple posible. Para ellos, todas las construcciones debían hacerse solo con regla y compás. Estos dos instrumentos permitían dibujar la figura unidimensional más perfecta y uniforme, la recta, y la bidimensional más perfecta y uniforme, el círculo. También estaban interesados en cuadrar o dar forma de cuadrado a una figura plana exclusivamente con una regla y un compás. Buscaban sustituir lo asimétrico por lo simétrico, lo imperfecto por lo perfecto y lo irracional por lo racional. Una construcción con regla y compás estaba definida por una secuencia finita de operaciones de uno de los dos tipos siguientes:
1. Trazar una recta que pase por dos puntos siendo los puntos ya construidos.
2. Trazar una circunferencia de centro C y radio AB, siendo los tres puntos ya construidos
Luego los puntos construibles son intersecciones de rectas, circunferencias o rectas y circunferencias construibles. Un número real es construible si es una de las coordenadas de un punto consumible. Desgraciadamente, no todos los números reales se pueden construir con regla y compás.
Por otra parte, existen los llamados números algebraicos. Por ejemplo, 72 es un número algebraico sobre el conjunto de los números racionales, ya que es raíz de un polinomio con coeficientes racionales, concretamente, x2- 2 = 0.
En 1837, el matemático francés Pierre Laurent Wantzel (1814- 1848) demostró la relación existente entre números construibles y algebraicos, que viene a decir que un número x es construible si y solo si es algebraico sobre los racionales y además el polinomio de grado mínimo, irreducible con coeficiente 1 en el término de mayor grado, que tiene a x como raíz, tiene como grado una potencia de 2.
§. La cuadratura del rectángulo y del triángulo
En la proposición 14 de los Elementos del matemático griego Euclides (ca. 325 a.C.-ca. 265 a. C.) ya aparecía la explicación acerca de cómo hacer la cuadratura del rectángulo (figura 4).

Y si tenemos un triángulo rectángulo ABC (figura 5) se dibuja un rectángulo ABCD de área doble. Por el proceso anterior se construye el cuadrado BFEG de igual área. Entonces el cuadrado BHGI de diagonal BG y de lado BU tiene la misma área que el triángulo inicial.

§. La cuadratura de figuras curvilíneas
Más difícil parecía cuadrar figuras curvilíneas, con lados curvos. Sin embargo, e) matemático y astrónomo griego Hipócrates de Quíos (Ca. 470o. 410 a C.) consiguió cuadrar una figura curvilínea llamada «lúnula». Se trata, como su nombre sugiere, de una figura plana limitada por dos arcos circulares, es decir, una inedia luna (figura 6).

PA = PB = AB/2
Vemos que el área S de dicha lúnula es la misma que la del cuadrado OPAQ. Por el teorema de Pitágoras tenemos que(OA)2 = (AP)2 + (OP)2 = 2(AP)2
luego

Retrato de Constantijn Huygens y su* cinco hijos, obra de Adriaen Hanemann datada en 1640, Christiaan se encuentra arriba, a la izquierda.

Retrato al óleo de Huygens, realizado en 1686 por B. Vaillant.

Escultura de Simón Stevin por Eugene Simonis

Galileo Galilei retratado por Justus Sustermans
Dicha cuadratura equivale, por tanto, a que el número π sea construible. Pero por el teorema de Lindemann (1882) π es trascendente, no es algebraico y por el teorema de Wantzel no es construible, por lo que la cuadratura del círculo es imposible con regla y compás.
Eso no significa que no sea cuadrable por otros métodos. A comienzos del siglo XX, N. G. Tschebatorew y A. W. Dorodnow demostraron que solo hay cinco lúnulas que se pueden cuadrar, luego la cuadratura de figuras curvilíneas es una excepción. Más en general, el problema de las cuadraturas consiste en encontrar el área limitada por cierta curva y una recta —normalmente un eje— o, cuando la curva envuelve por completo un punto como en el caso de las espírales, el área delimitada por la curva y ese punto.
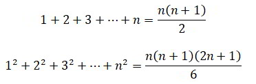
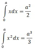
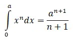
Para hallar una cuadratura, los griegos trataban de encontrar la razón entre el área de la figura objetivo y el de otra figura previamente conocida. En su obra Sobre la cuadratura de la parábola, el científico y matemático griego Arquímedes (ca. 287 a.C.-212 aC.) encontró la razón entre un segmento de parábola y un triángulo inscrito. Para calcular la cuadratura de la espiral utilizó resultados equivalentes a las fórmulas de sumas de enteros y de sus cuadrados:



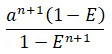
El matemático francés Pierre de Fermat (1601-1665) desarrolló el siguiente método para calcular el área encerrada bajo una curva Se considera la curva y = xny se supone que se quiere calcular el área comprendida bajo la curva entre los valores x = 0 y x = a. Fermat, subdividía el intervalo [0,a] en una cantidad infinita de subintervalos tomándolos puntos de abscisas a, aE, aE2, aE3... donde E es un número menor que 1; en estos puntos consideraba las ordenadas de los correspondientes puntos de la curva, aproximando el área bajo la curva por medio de rectángulos circunscritos (figura 7). Las áreas de los sucesivos rectángulos, empezando por el mayor, correspondiente al punto x = a, vienen dadas en términos de la progresión geométrica:
![]()



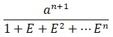
El matemático jesuita Grégoire de Saint-Vicent (1584-1667), nacido en el Flandes español, publicó Opus geometricum quadraturae circuli et sectionum coni, donde demostraba que el área bajo una hipérbola rectangular zy =k sobre el intervalo [a,b] coincide con el del intervalo [ c,d] si
a /b = c/d
Es decir, si los intervalos van creciendo en progresión geométrica y si en dichos puntos levantamos las ordenadas correspondientes a la hipérbola, entonces las áreas bajo la curva entre cada dos ordenadas sucesivas son iguales. O de otro modo, si la abscisa crece geométricamente entonces el área bajo la curva lo hace aritméticamente. Fue un compañero de congregación, el también jesuita flamenco Alfonso Antonio de Sarasa, el que estableció la relación:
En 1651 Christiaan Huygens publicó Exestasis cyclormetriae dentro de Theoremata de quadratura hiperboles, ellipsis et circuli, donde mostraba la imposibilidad de cuadrar el círculo de la manera que Grégoire de Saint-Vicent había propuesto.
En Theoremata de quadratura hiperboles, ellipsis et circuli, Huygens extendió la cuadratura de la parábola al círculo, a la elipse y a la hipérbola, y efectuó las demostraciones siguiendo el «método de exhaución» propio de Arquímedes. Este método consistía primeramente en acotar el área buscada entre dos sumas: la suma del área de los rectángulos circunscritos al área real bajo la curva y la de los rectángulos inscritos a dicha área. El área verdadera estaba entre esas dos sumas. En segunda instancia el método consistía en proponer un área y demostrar, por una doble reducción al absurdo, que dicha área era la única que podía estar entre ambas sumas. La publicación del Theoremata de quadratura hiperboles, ellipsis et circuli descubrió a Huygens como gran matemático, toda vez que había sido capaz de resolver problemas de cuadraturas planteados desde la Antigüedad.
Christiaan Huygens también se ocupó en esta época del problema de trazar normales a la cisoide y a la concoide, lo que le permitió calcular el punto de inflexión de la concoide, resultado que publicaría en 1654, en Illustrium quorundam problematum constructiones como un apéndice dentro de la obra De circuli magnitudine inventa, donde introdujo el análisis algebraico a problemas que Arquímedes había resuelto únicamente con geometría. Igualmente, Huygens realizó cálculos de centros de gravedad y estudió la relación entre la longitud de un arco de círculo, su cuerda, el radio y la distancia del centro del círculo al centro de gravedad de un segmento.
En 1621 Willebrord Snell (1580-1626), descubridor de las leyes de reflexión y refracción de la luz, y 1654 Christiaan Huygens, en De circuli magnitudine inventa, obtuvieron diversas fórmulas para calcular π, o dicho de otra manera, para rectificar la mitad de la longitud de una circunferencia de radio 1.
Arquímedes, hacia el año 225 a.C., había aproximado π mediante el método de exhaución, circunscribiendo o inscribiendo en ella polígonos de n lados a través de
pn /2 < π <Pn/2
donde llamó pny Pn a los perímetros de los polígonos de «lados inscritos y circunscritos, respectivamente, al círculo. Tomando n = 6, 12, 24, 48 y 96, obtuvo como aproximación de π para el caso del polígono de 96 lados los valores de3.14084507…=3 +10/71 < π < 3 + 1/7 = 3.14285714…
Este resultado se puede expresar por trigonometría de una manera sencilla como:


x = π/n
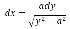
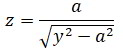
El matemático alemán Ludolph van Ceulen (1540-1610), emigrado a Holanda por motivos religiosos y maestro de Snell, fue capaz de dar correctamente las 35 primeras cifras decimales de π utilizando polígonos inscritos y circunscritos de 262 lados. A Huygens le bastaron polígonos de 230 lados para conseguir et mismo resultado.En 1657, Christiaan Huygens escribió a Van Schooten comunicándole que había obtenido dos resultados relacionados con la parábola. Con el primero había conseguido reducir el área de un paraboloide a la de un círculo y con el segundo había determinado la longitud del arco de una parábola relacionándola con el área bajo una hipérbola equilátera. Este último resultado era muy interesante, ya que se había conseguido un método para rectificar curvas, es decir, comparar la longitud de un arco curvado con un segmento recto, consistente en reducirlo a la cuadratura de una curva asociada, es decir, reducirlo a calcular el área bajo una curva asociada.
Van Schooten comentó a Huygens que otro discípulo suyo en Leiden, el también matemático neerlandés Hendrik van Heuraet (1633-ca. 1660), había hecho un descubrimiento similar. Había demostrado que la rectificación de la parábola ay =x2 se reducía a la cuadratura de la hipérbola z2 = 4x2 + a2. Se entabló entonces un intercambio epistolar entre Van Heuraet y Huygens reclamando cada uno la autoría del descubrimiento. Muchos años más tarde, Huygens reconoció que ambos habían llegado al mismo resultado independientemente.
§. La cuadratura de la cisoide
El 14 de marzo de 1658, el matemático valón René François Walther de Sluze (1622-1685), canónigo y miembro del consejo privado del obispo de Lieja, escribió a Huygens interesándose por la posibilidad de conseguir la cuadratura de la cisoide. La ecuación cartesiana de la cisoide es

x = a /2
El término «cisoide» proviene del griego y significa «hiedra». La cisoide de Diocles (figura 8), que toma su nombre de un matemático griego del siglo II a.C., se genera por un vértice de una parábola rodando sobre otra parábola igual Huygens y Sluze se encontraban en condiciones de alcanzar la cuadratura de la cisoide, ya que ambos hablan leído los trabajos de los matemáticos italianos Cavalieri y Torricelli, discípulos de Galileo, y conocían sus técnicas. En concreto, Sluze los había estudiado durante su estancia en Roma, cerca del papa Inocencio X, haciendo labores de traductor de las lenguas griega, árabe, hebrea y siria.
De Bonaventura Cavalieri'(1598-1647) conocían el concepto de los indivisibles mediante los cuales este había sido capaz de calcular, para los primeros números naturales n = 1, 2, 3, 4, 5, 6 y 9, la integral

Cavalieri utilizó los indivisibles como elemento infinitesimal, igual que Demócrito fijaba los átomos como los últimos elementos que constituían la materia
El físico y matemático italiano Evangelista Torricelli (1608-1647) perfeccionaría el método de los indivisibles calculando cuadraturas de cicloides.
El objetivo principal de Huygens y Sluze era conseguir la cuadratura del círculo a través de figuras relacionadas con él, como la cisoide, y de esa manera comprobar que era posible cuadrar curvas de longitud infinita. Un objetivo secundario era calcular el volumen del sólido de revolución que resultaba de girar la cisoide alrededor del eje vertical x = 0, considerando únicamente la parte superior de la curva (y > 0), lo que genera un cuerpo en forma de copa o vaso alargado. En marzo de 1658, Sluze demostró que el volumen de revolución de la cisoide era infinito. Sin embargo, el 28 de mayo de 1658 Huygens remitió una carta a Sluze, con la cuadratura finita de la cisoide. Sorprendentemente, al unir ambos resultados, obtuvieron un cuerpo de revolución con forma de vaso o copa que podía contener un volumen infinito, con sus paredes infinitamente altas, pero hecho con una cantidad de material finita.
«Un vaso de beber que tuviera un pequeño peso, pero que ni siquiera el mayor bebedor del mundo pudiera vaciar.»
René de Sluze, carta a Christiaan Huygens, marzo de 1658.
En 1659, Sluze publicó Mesolabum, donde demostró que se podían construir raíces de cualquier ecuación de tercer o cuarto grado intersecando una cónica con una circunferencia. En la correspondencia que mantuvo con Huygens y el filósofo y matemático francés Blaise Pascal (1623-1662) estudió las curvas dadas por las ecuaciones y m=kxn (a - x)b para a, b, m y n enteros positivos y que Pascal bautizó como «perlas de Sluze», ya que se creía que tendrían forma de perla, al igual que la gráfica particular de y = x2 (a - x). Curiosamente, estas curvas no tienen forma de perla en todo el dominio, sino solo en el eje de abscisas positivo. Sluze pensaba que la gráfica era simétrica respecto del eje OX pero fue Huygens quien calculó sus máximos, mínimos y puntos de inflexión, con lo que consiguió representarla correctamente, tanto para coordenadas positivas como negativas (figura 9).
Figuras imposibles; la trompeta de TorricelliUn resultado similar al del vaso de Sluze es la «trompeta de Torricelli», una figura geométrica que tiene una superficie infinita pero un volumen finito, evangelista Torricelli la descubrió en 1641, provocando una gran controversia sobre la naturaleza del infinito. Se genera utilizando la gráfica de una hipérbolay = 1/x
con x ≥ 1 y rotándola alrededor del eje horizontal de abscisas. Para calcular ese volumen, Torricelli utilizó técnicas geométricas, pero en notación actual:Cuando a tiende a infinito el volumen de la trompeta es finito, concretamente π. En cambio, la superficie es infinita cuando a tiende a infinito:
luego se necesitaría una cantidad infinita de pintura para pintar su interior, pero al mismo tiempo sería posible llenar ese espacio con algunos litros de pintura. La solución a la paradoja es que la trompeta es un objeto matemático que no puede construirse en la realidad. Al hacerse infinitamente estrecha, llegaría un momento en que su diámetro sería más pequeño que el diámetro de la molécula de pintura, por lo que una gota de pintura cubriría el resto de la trompeta, aunque fuese infinita. Así una superficie infinita no requeriría una cantidad de pintura infinita.
A pesar del interés que suscitó la cisoide o perla de Sluze, la curva protagonista que encumbró a Huygens estaba por venir.
§. La cuadratura de la cicloide
René Descartes distinguía entre curvas matemáticas y curvas mecánicas. Las primeras pueden ser definidas mediante una ecuación algebraica indeterminada de dos incógnitas, mientras que las segundas requieren para su definición longitudes de arco de otras curvas. Según Descartes, las únicas que deben ser objeto de estudio por las matemáticas son las de la primera clase, pero no las mecánicas. Ejemplos de curvas matemáticas son la parábola y la elipse, pero la cicloide es una curva de naturaleza distinta, es mecánica.
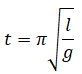
El estudio de las propiedades matemáticas de la cicloide consagró a Christiaan Huygens. Según este, la cicloide es la curva por la que cualquier cuerpo que cae, por ejemplo la lenteja de un péndulo, tarda el mismo tiempo en descender al punto más bajo independientemente del planto de partida («tautocronía»); y la duración de los movimientos de un péndulo que sigue dicho camino es la misma («isócrona»), Huygens aplicó estas propiedades teóricas de la cicloide a la construcción de relojes de péndulo precisos, en especial a relojes de péndulo marinos, para calcular la posición de un barco en alta mar.

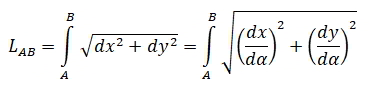
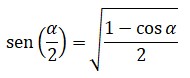
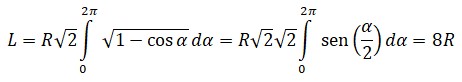
Para obtener las ecuaciones paramétricas de la cicloide basta con tener en cuenta que la distancia OB = arco(PB), siendo P(x,y) un punto cualquiera de la cicloide, R = DB, el radio de la circunferencia, y α el ángulo en el centro:




πd2/2 = 2π(d/2)2
o sea, el doble del área del círculo generador, y el área AQDC es pues la del círculo generador. Por lo tanto, el área APDC bajo el semiarco, al ser la suma de esta última área AQDC y del área APDQ, que es por construcción la del semicírculo generador, vale 1,5 veces la del círculo generador. Luego el área barrida por la cicloide desde (0, 2πr) es tres veces el área del círculo que lo genera.Utilizando el cálculo infinitesimal, el área acotada por un arco y = f(x) de la cicloide en el intervalo (0, 2π) viene dado, en notación actual, por la integral:


§. La tangente de la cicloide
En 1638, Roberval descubrió simultáneamente a Fermat y Descartes como calcular la tangente en un punto cualquiera a una curva. Roberval era reacio a publicar sus resultados, debido a las condiciones que imponía la cátedra Ramus del College Royal que ocupaba desde 1634. El puesto se sacaba a concurso cada tres años y el ocupante proponía las cuestiones a resolver. Si había algún candidato que resolvía las cuestiones, este pasaba a ocupar la cátedra de Roberval. Al no publicar sus resultados ni desvelar sus formas de resolución, Roberval consiguió mantenerse en la cátedra durante cuarenta años.
El inconveniente de esta estrategia es que Roberval se vio envuelto en varias disputas de prioridad. Así ocurrió con Evangelista Torricelli, que envió los resultados de la cuadratura de la cicloide a Mersenne en 1643 y los publicó en 1644 en la obra De parabole, lo que llevó a Roberval a acusarlo de plagio.
El método mecánico de cálculo de tangentes en la parábola y la elipseRoberval y Torricelli utilizaron con profusión el método mecánico de cálculo de tangentes. Así, un punto de una parábola está dotado de dos movimientos, uno que lo aleja del foco y otro de la misma medida que lo aleja de la directriz.
El paralelogramo de velocidades determina la velocidad resultante y la tangente a la parábola en un punto P tiene la dirección de la bisectriz del ángulo que forma el radio focal en P con la perpendicular desde el punto de la directriz (figura 1).Y un punto de una elipse se considera generado por un movimiento que lo aleja de un foco en la misma medida que lo acerca al otro y por tanto la tangente en P es la bisectriz del ángulo que forman dos vectores de igual magnitud en las direcciones de los radios vectores u, v. Sin embargo, este método, válido para el caso de la cicloide, la parábola y la elipse, no se puede generalizar a otras curvas (figura 2).
Lo cierto es que Roberval y Torricelli desarrollaron entre 1630 y 1640 un método para el trazado de tangentes, basado en argumentos cinemáticos Roberval utilizó el concepto de movimiento instantáneo y se basó en tres principios básicos;
1. Tomar una curva como la trayectoria de un punto móvil
2. Considerar la tangente en un punto de la curva como la dirección del movimiento instantáneo en ese punto móvil
3. Si el movimiento del punto que describe la curva es una combinación de movimientos simples, la línea instantánea del movimiento o dirección de la tangente puede hallarse por composición de movimientos, mediante la ley del paralelogramo.

1. Un movimiento rectilíneo uniforme de dirección PH, paralela a la base AN.
2. Un movimiento de rotación uniforme alrededor de la circunferencia generatriz, cuya dirección PK es la de la tangente a esta en P.
La razón entre ambas velocidades es la razón entre AN y la semicircunferencia NLV, es decir, igual a 1, de modo que los segmentos PH y PK son iguales en longitud. De la igualdad de velocidades, el paralelogramo de la ley es, en este caso, un rombo, dedujo que la dirección del movimiento resultante, y por tanto de la tangente en P, es la bisectriz del ángulo que forman los segmentos PH y PK. También demostró que la tangente a la cicloide es la recta que pasa por P paralela a LV, siendo NLV el círculo central generado. Esta propiedad que caracteriza a la cicloide sería utilizada más tarde por Huygens en su Horologium oscillatorium, de 1673, para demostrar que la curva cicloide es aquella por la que cualquier cuerpo que caiga tarda el mismo tiempo en descender al punto más bajo independientemente del punto de partida, y poder construir su reloj de péndulo.
En De parabole, Torricelli proporcionó veintiuna demostraciones distintas de la cuadratura de la parábola, pero su resultado más interesante fue darse cuenta del carácter inverso de los problemas de cuadratura y tangentes. Fue capaz de pasar de una ecuación donde se daba la distancia recorrida por un móvil en función del tiempo a otra donde se obtenía la velocidad en función del tiempo y a la inversa.
La rectificación de curvas, es decir, la determinación de su arco, se retrasó respecto a la demostración de la cuadratura, es decir, el cálculo del área bajo la curva. La primera curva rectificada fue la espiral logarítmica por Torricelli en 1640. La cicloide fue rectificada por Roberval en 1659. Algunos matemáticos se dieron cuenta de que la rectificación de la curva y = f(x) se correspondía con la cuadratura de la curva
![]()
§. El método de Huygens para calcular máximos y mínimos
En 1652, Huygens, que había comenzado a estudiar problemas relacionados con las ecuaciones de tercer y cuarto grado, intentó simplificar el método de Pierre de Fermat del cálculo de máximos y mínimos. Este último consideraba que los valores de f(x) y f(x+E), si bien no son iguales, se podían considerar casi iguales en los puntos extremos, siendo E una cantidad menor que 1. Veámoslo con un ejemplo. Dado un segmento AB de longitud L, hallar el punto P de dicho segmento que lo divida en otros dos, de manera que el producto de sus longitudes sea máximo. Si llamamos x a la longitud del segmento AP, se trata de hacer máximo el producto x(L - x). Para resolverlo se forma la pseudoigualdad o adigualdad:
(x + E)[L-(x + E)] ≡ x(L - x) ,
donde se puede suponer que la ecuación tiene dos raíces E y x. Operando tenemos:xL - x2 -xE + EL -Ex - E2 ≈ xL -x2
obtenemosEL - 2xE - E2 ≈ 0 → EL ≈ 2 xE + E2
dividiendo por E:L ≈ 2x + E.
Ignorando el término en E se obtiene la solución x = L/2, luego el punto buscado P es el punto medio del segmento. En resumen, para hallar el máximo hay que igualar las dos raíces, dividir entonces por E y hacer E = 0.Huygens intentó simplificar el método de Fermat. En términos actuales su método consistía en dado un polinomio f(x) y sea f(x0) un máximo. Sea a < f(x0), la ecuación f(x) = 0 tendrá dos raíces que se harán iguales cuando a = f(x0). Para determinar ese extremo x0 debemos simplemente comparar los dos miembros de la siguiente ecuación e identificar coeficientes de ambos miembros:
f(x) - f(x0) =(x2 + 2xx0 +x02) p1(x),
donde p1(x) es un polinomio de coeficientes indeterminados. Veámoslo con un ejemplo, calculando los máximos y mínimos de la funciónf(x) = 2x3-3x2 -36x
Según Huygens, habrá que igualar2x3 -3x2 - 36x - (2x03- 3x02 - 36x0) = 2(x2 - 2 xx0 + x02)(x - a)
Operando resultará2x3 - 3x2 -36x - (2x03- 3x02 - 36x0) =
= 2x3 + (-4x0-2a)x2 + (2x02 + 4x0a)x - 2x02a
identificando coeficientes:4x0+ 2a = 3
2x02+ 4x0a = -36
2x03 - 3x02 - 36x0 = 2 x02a
eliminando entre las dos primeras ecuaciones el parámetro a, se obtiene:x02 - x0 - 6 = 0
que tiene por raíces -2 y 3, que verifican la tercera ecuación y que se corresponden con los extremos buscados.Sin embargo, Huygens se dio cuenta de que este método era más complicado que el dado por Fermat. No obstante, era ya uno de los matemáticos punteros en Europa, capaz de aportar soluciones novedosas a los problemas tratados por Fermat o Pascal, como sucedería pronto con el cálculo de probabilidades.
Por lo demás, Huygens continuaba en esta época con su labor de físico y astrónomo. En 1652 estudió las leyes de los choques de los cuerpos en la obra De motu corporum ex percussione. En 1653, completó su Tractatus de refractione et telescopiis, donde expuso sus progresos en los estudios de óptica y, en 1654, continuó centrando su atención en la construcción de telescopios y en mejorar el afilado de lentes para los mismos.
En marzo de 1655, Huygens montó su primer telescopio que medía cuatro metros de largo y proporcionaba cuarenta y tres aumentos, y con el que consiguió descubrir la primera luna de Saturno, a la que posteriormente el matemático y astrónomo inglés John Herschel (1792-1871) bautizará como Titán. El 25 de marzo esbozó el primer boceto de Saturno con sus anillos que se conserva.
Capítulo 2
El primer tratado de probabilidad de la historia
El primer tratado de probabilidad de la historia es el De ratiociniis in ludo aleae, escrito por Christiaan Huygens en 1656. En este texto, el científico neerlandés propuso el concepto de la «esperanza matemática» y se planteó problemas de cálculo de probabilidad como el de los puntos, el de los dados o el de la ruina del jugador, entre otros, que cautivaron durante más de cincuenta años a los principales matemáticos de Europa.En 1655 Huygens viajó por primera vez a Francia para recibir en la universidad protestante de Angers el doctorado en Derecho Civil y Canónico, que su padre había comprado previamente. Entre julio y mediados de noviembre de ese año visitó París, acompañado de su hermano Lodewijk y de su cuñado Doublet, e informó a los sabios franceses de sus descubrimientos astronómicos, en particular de Titán, el mayor satélite de Saturno. La visita le permitió codearse con los principales hombres de ciencia franceses en el círculo intelectual parisino, pero no pudo ver a Pascal, que estaba retirado en el monasterio de Port-Royal, ni al matemático Pierre de Carcavi (1600-1684), aunque casi con total seguridad, a través de un amigo de este, el también matemático francés Claude Mylon (1618-1660), conoció los problemas relacionados con el cálculo de probabilidades que se trataban en esos ambientes.
En esas fechas, los intelectuales parisinos, como el filósofo y astrónomo Pierre Gassendi (1592-1655), el matemático Bernard Frénicle de Bessy (ca. 1604-ca. 1674) y el anatomista Nicolás Steno (1638-1686), se reunían en la casa de un amante de la ciencia, Habert de Montmor, situada en la calle Vieille du Temple. Huygens entraría a formar parte de este círculo que después pasaría a reunirse en la celda del padre Mersenne.
De vuelta a su país, en 1656 publicó sus descubrimientos de los anillos de Saturno en su obra De Saturni luna observatio nova y comenzó a escribir un tratado de probabilidad que llevaría por título De ratiociniis in ludo aleae ( Del razonamiento en los juegos de azar). Huygens y Frans van Schooten, su profesor de Leiden, acordaron que la obra del primero completaría los cinco volúmenes de los que constaba Exercitationes mathematicae libri quinque de su maestro, y que la primera edición sería en latín —el idioma de la ciencia en el siglo XVII, para publicarlo posteriormente en lengua vernácula.
Frans van Schooten, la importancia de un buen maestroFrans van Schooten (1615-1660) creó en Leiden una auténtica escuela con alumnos tan notables como Christiaan Huygens, Henrik van Heuraet, Johannes Hudde o Johan de Witt, con los que mantuvo un estrecho contacto. De hecho, todos ellos le darían consejo antes de publicar cualquier resultado. Nacido en Leiden, Van Schooten estudió matemáticas con su padre, que ocupaba la cátedra de esta materia en la Escuela de Ingeniería, antes de ingresar en la universidad de su ciudad natal en 1631, donde se graduó cuatro años después. Van Schooten se familiarizó con las matemáticas griegas de Arquímedes, Apolonio o Pappus de Alejandría, y los trabajos másrecientes del matemático e Ingeniero neerlandés Simón Stevin. Cuando el filósofo, físico y matemático francés René Descartes visitó Leiden en 1637, le pidió que le ayudara a ilustrar La geometría, lo que fe permitió conocer esta obra antes de su publicación. A Van Schooten, que había heredado el talento artístico de su tío maestro de Rembrandt, se debe uno de los pocos retratos de Descartes. Para conocer los trabajos de los algebristas franceses François Viéte y Pierre de Fermat en 1641 viajó a Francia donde se encontró también con et sacerdote, matemático y filósofo francés Marín Mersenne. En 1646, de vuelta a su ciudad, sustituyó a su padre en la cátedra de la Escuela de Ingeniería y editó las obras de Viéte. En 1649 Van Schooten publicó la versión latina de La geometría de Descartes, que contenía apéndices de sus discípulos Hudde, Heuraet y De Witt relacionados con el tema. En el libro V de suExercitationes mathematicae, titulado Secciones miscellanea triginta, que desarrollaba técnicas combinatorias, figuraba el De raciocinus in ludo aleae de Christiaan Huygens.
El 6 de mayo de 1656, a petición de Van Schooten, Huygens envió a su profesor una versión latina de su obra pero con frases todavía en holandés. Fue en esta versión donde Huygens añadió la palabra expectatio que después se tradujo por la palabra «esperanza».
Huygens también inició una numerosa correspondencia epistolar con los matemáticos parisinos. El 20 de mayo envió su manuscrito a Pierre de Carcavi con la esperanza de que lo hiciera llegar a Pascal o al jurista y matemático Pierre de Fermat, para que le dieran su parecer. Finalmente, el 22 de junio, Carcavi le hizo llegar unas cuestiones planteadas y resueltas por Fermat que Huygens resolvía a través de 1a esperanza matemática. Este, por su parte, le pidió información sobre el problema que después se llamaría de la «ruina del jugador», planteado por Pascal a Fermat, y le insistió en la necesidad de saber si sus métodos coincidían con los de Pascal y Fermat.
Por fin, el 28 de septiembre, Carcavi informó a Huygens de que Pascal utilizaba el mismo método que él. La respuesta había tardado cuatro meses en llegar pero resultaba muy satisfactoria. Pascal le envió otro problema para añadir al manuscrito que estaba preparando y, Fermat, dos problemas más. Por último, el 8 de diciembre, Huygens informó a Mylon de que le había enviado a Carcavi la solución del problema de la «ruina del jugador».
Finalmente, en septiembre de 1657, su maestro Van Schooten le confirmó que el escrito se editaría primero en latín bajo el título De ratiotiniis in ludo aleae y, en 1660, en holandés, con el título de Van Rekeningh in Spelan van Geluk.
§. El concepto de esperanza matemática
El tratado De ratiociniis in ludo aleae está formado por cuatro partes, cada una relacionada con un tipo de problema. Huygens comienza demostrando tres proposiciones o premisas sobre las que basar la resolución de las demás proposiciones. Las tres primeras constituyen los fundamentos teóricos acerca de cómo aplicar el álgebra a los juegos de azar, que ayudaron a Huygens a resolver las once proposiciones posteriores a modo de ejercicios prácticos.
«Me resultará muy agradable incorporar a mi trabajo lo que habéis inventado sobre juegos de azar y los posteriores añadidos, redactados por vos tanto en latín como en lengua vernácula, pues todo lo que sume a mis obras servirá para perfeccionarlas.»Estas tres proposiciones consagran el concepto de esperanza matemática, que para Huygens necesitaba demostración. El valor del juego, o la esperanza de un jugador, se define como la apuesta por participante en una lotería o sorteo equivalente, donde hay una serie de jugadores que tienen una serie de papeletas. Con estas proposiciones Huygens efectuó valoraciones del juego a través de la esperanza matemática.
Frans von Schooten, carta a Huygens, 13 de julio de 1656.
§. Con dos jugadores
La proposición I reza de la siguiente manera: Tener oportunidades iguales de conseguir a o b me vale
(a + b)/2
Podría traducirse como: Si un jugador puede conseguir dos premios a y b con la misma probabilidad, la cantidad media que espera conseguir es de(a + b)/2
Esta cantidad coincide con la que debería pagar por poder participar en ese juego.Huygens necesitaba saber la expectatio («esperanza»), o sea, el valor de cualquier juego en particular. Pensaba que en una lotería justa está claro que cada apostante paga el mismo precio por cualquier papeleta. Más aún, si el premio es z entonces cada una de las n papeletas debería costar z/ n. Si las papeletas cuestan más, el dueño de la lotería obtendría ganancias sin riesgo. Si las papeletas cuestan menos, los apostadores podrían formar una asociación que obtendría ganancias sin riesgo.
Hay dos maneras de que un juego o lotería no sea justo. Bien porque los premios no sean iguales o bien porque las papeletas no puedan ser extraídas con la misma «facilidad». Huygens hace una valoración del juego con dos posibles resultados para un único jugador en términos de equiprobabilidad de aparición de resultados. La valoración de este juego es la esperanza, es decir, la probabilidad multiplicada por el pago o premio.
Si suponemos que los premios no son iguales, la demostración de Huygens pasa por llamar x al valor de la posibilidad que tiene el jugador de conseguir a o b. Este primer jugador puede encontrar un segundo jugador que también apueste la misma cantidad x, con lo que el que gane tomará todo lo apostado, 2x, y entregará una cantidad a de consolación al que pierda. De esta manera, el ganador recibirá la cantidad b = 2x - a. Luego, el valor inicial del juego, la apuesta por participar en el juego, la esperanza debe valer x que es la semisuma de los premios
x = (a + b)/2
como se quería probar.Una vez obtenido ese valor, se comprueba que es la solución de la ecuación anterior. Como cada jugador ha puesto la misma cantidad, el montante total de la apuesta es a + b. Si ahora gano daré a mi oponente a y me quedaré con b. Si ahora pierdo ganaré a y mi oponente b. Huygens dio después un ejemplo numérico con a = 5 y b = 7 siendo la esperanza o ganancia promedio de 6.
La solución que aportó Pascal a esta proposición fue suponer que hay una cantidad segura para ambos jugadores, a, si suponemos que a < b, y lo que se dirime entre los dos es la cantidad sobrante, b - a, que debe repartirse en partes iguales, con lo que la valoración del juego es:

La proposición II dice: Tener oportunidades iguales de conseguir a, b o c me vale
(a + b + c)/3
o, dicho de otra manera, la valoración de un juego (es lo que debería pagar un jugador por participar en este juego) con tres posibles resultados a conseguir con igual probabilidad es(a + b + c)/3
La proposición II generaliza la primera ya vista. Aquí Huygens estableció tres jugadores, es decir, un oponente más que en la proposición anterior, cada uno de los cuales apuesta la misma cantidad x. El primer jugador acuerda con el segundo que si uno de los dos gana entregará al otro la cantidad b. Con el tercero acuerda que si uno de los dos gana entregará al otro la cantidad c. Así pues, el juego planteado es justo, los tres tienen la misma probabilidad de ganar y los acuerdos a los que han llegado son equitativos. El primer jugador tiene igual probabilidad de conseguir la cantidad b si gana el segundo, de conseguir c si gana el tercero o de conseguir 3x - b - c = a si lo hace él; despejando x sale el resultado.Este resultado se podría extender a cualquier número de jugadores con un número finito de oportunidades iguales, según Huygens, pero el valor del juego seguirá siendo la media aritmética de los premios.
En 1671, el matemático neerlandés Johan de Witt (1625-1672), discípulo de Frans van Schooten como Huygens, demostró las dos proposiciones anteriores mediante una solución menos algebraica. De Witt trabajó con joyas y sus precios para establecer en ellas una serie de contratos colectivos equitativos en los que formalizaba una sociedad para comprar las joyas o bienes objeto del sorteo, y otra serie de contratos justos o equitativos recíprocos entre particulares, para medir o calcular la situación de incertidumbre que se había planteado. El objetivo último consistía en llevar estos problemas al ámbito de lo mercantil, donde los contratos suelen ser frecuentes.
§. Con varios jugadores y papeletas
La proposición III dice así: Tener p oportunidades iguales de conseguir a, y q de conseguir b, siendo las oportunidades equivalentes, me vale

El matemático supuso un juego imaginario con cierto número de jugadores donde todos apuestan la misma cantidad x. Esos participantes los dividimos en tres clases: el que hemos llamado primer jugador, p - 1 jugadores con los que el primer jugador ha acordado de forma individualizada que si él gana les entregará la cantidad a a cada uno de ellos y, si alguno de ellos gana, le entregará al primer jugador esa misma cantidad, y otros q participantes con los que el primer jugador acuerda con cada uno de ellos que si gana les entregará la cantidad b y, si alguno de ellos gana, en justa correspondencia también el primer jugador recibirá b. En resumen, el primer jugador tiene p — 1 oportunidades de conseguir a, q oportunidades de conseguir b y una oportunidad de ganar el juego, recibiendo todo el dinero apostado menos lo que debe entregar a los otros p - 1 y q contrincantes.
En resumen, el primer jugador tiene (p - 1) + 1 = p oportunidades de conseguir la cantidad a y q oportunidades de conseguir b. Por tanto, si llamamos x a la oportunidad del primer jugador que queremos calcular, el total apostado es (p + q)x, menos lo pagado a los p - 1 jugadores, (p - 1)a y a los restantes q jugadores, qb, y lo igualamos a la cantidad que recibe el primer jugador, a, obtenemos la ecuación:
(p + q)x - (p - 1)a - qb = a
en la que podemos despejar su oportunidad
Como se ha visto, Huygens resolvió el problema introduciendo tantos jugadores como fueran necesarios para manejar oportunidades unitarias y poder resolverlo como un juego justo para todos los participantes.
Luego en todos estos casos, tanto si el juego es justo o no, si se invita a jugar con un esquema dado de premios que dependen de los diversos resultados, exigimos un precio justo para aceptar la apuesta. La esperanza matemática es lo que vale la apuesta. Si se paga más de la esperanza se tenderá a perder y si se paga menos se tenderá a ganar. Un juego o experimento aleatorio es justo o equilibrado si su esperanza global es cero) si un juego no es equilibrado se dice que es un juego con ventajas.
§. El problema de los puntos
Tras la definición del concepto de esperanza matemática en las tres primeras proposiciones, Huygens dedicó las siguientes nueve del tratado al «problema de los puntos», denominado también «de las partidas inacabadas» o «del reparto», que había sido abordado por diversos matemáticos de la época.
Planteamientos previos
El problema de los puntos inicialmente había sido publicado en 1494 por Fray Luca Pacioli (ca. 1445-1517), matemático y economista italiano, en su obra Summa de arithmetica, geometría, proportioni el proporcionalita, como un problema aritmético alejado de un ambiente de azar.
El libro en cuestión está dedicado a las matemáticas financieras y a la contabilidad. En él, Pacioli enunció el problema de puntos de la siguiente manera:
Un grupo juega a la pelota de modo tal que se necesita un total de 60 puntos para ganar el juego. La apuesta es de 22 ducados. Por algún incidente no pueden terminar el juego y un bando queda con 50 puntos y, el otro, con 30. Se quiere saber qué participación de dinero del premio le corresponde a cada bando.
Pacioli comentó que como 5 + 3 = 8 se corresponden con lo apostado, 22 ducados, al que va ganando le corresponde 5/8 de esos 22 ducados, es decir, (13 + 3/4 ducados) y al segundo bando 3/8 de 22 ducados, es decir (8 +1/4 ducados). Luego Pacioli opta por dividir la apuesta de acuerdo a los puntos ya anotados por cada bando en el momento en que el juego se interrumpe. Esta forma de proceder recibe el nombre de «regla de la compañía» y es una de las reglas más conocidas de la aritmética comercial. Pero esta solución no es convincente ya que al no haberse acabado el juego el bando perdedor podría pedir que la apuesta se repartiera por igual.
Pacioli; el comercio y las matemáticasLuca Pacioli (ca. 1445-1517), natural de Burgo de Sansepolcro, al norte de Perugia, donde estudió con el pintor Piero della Francesca, se trasladó con veinte años a Venecia donde entró al servicio del comerciante Antonio Rompiasi como profesor de sus tres hijos.Sumando las dos experiencias, la del comercio y la de las matemáticas, concibió la idea de escribir un tratado de aritmética comercial. Tras hacer votos como franciscano en 1472 y enseñar matemáticas en varias universidades como Perugia, Florencia, Nápoles, Bolonia y Pisa, en 1494 publicó su Summa de arithmetica, geometría, proportioni et proporcionalita. Se trata de una obra de carácter enciclopédico, de seiscientas páginas, donde se hace un repaso al álgebra, las reglas de tres con aplicaciones mercantiles y la geometría de Euclides, e introduce la llamada contabilidad de doble entrada o contabilidad veneciana. Estuvo al servicio de grandes mecenas como Guidobaldo de Montefeitro (duque de Urbino) al que dedicó su Summa. Ludovico Sforza (duque de Milán) y el papa León X. Fruto de su amistad con Leonardo da Vinci fueron los setenta dibujos que el artista realizó para la edición de De divina proportione de Pacioli, dedicada a la divina proporción o sección áurea, tan importante en arquitectura.
El matemático e ingeniero italiano Niccolò Fontana,Tartaglia (1499-1557), en su Trattato generale di numeri et misure, editado en Venecia en 1556, propuso dar al bando que va ganando su apuesta más la parte proporcional correspondiente a los puntos ganados, es decir, como el remanente son 50 - 30 = 20 ducados y
20/60 = 1/3; 22/3 = 7 1/3
El grupo que gana debe recibir 22 + 7 1/3 = 29 1/3 ducados y el que va perdiendo 22 - 7 1/3 = 14 2/3 ducados.Pero contra el argumento de Tartaglia se podría decir que esa ventaja que sirve para primar al que va ganando podría reducirse e incluso anularse.
Girolamo Cardano (1501-1576), médico, matemático y astrólogo italiano, cambió la estrategia de Luca Pacioli y Tartaglia para resolver el problema de los puntos en su obra Practica arithmeticae generalis (1539). Cardano propuso tener en cuenta el número de juegos que le quedan por ganar a cada jugador, en el caso de que el juego continuara. La fórmula que dio para el reparto de la apuesta era:

§. El problema de los puntos según Pascal y Fermat
Blaise Pascal llamó «método combinatorio» a la forma de resolver el problema de los puntos enumerando todas las posibles alternativas propuesta por el matemático francés Pierre de Fermat, frente al método universal basado en la esperanza matemática. El método combinatorio consistía en que si el juego está en la situación (a, b), es decir, si al jugador A le faltan a partidas para ganar, y a B le faltan b partidas, al juego le faltan a + b - 1 partidas que pueden aparecer de 2a-1 formas diferentes, todas equiprobables. Cada una de estas formas se puede considerar como un resultado que hace ganar a A o a B. Contando las que son favorables a uno u a otro, Fermat construía las proporciones o probabilidades de ganar el juego que se emplean para efectuar el reparto equitativo de la apuesta.
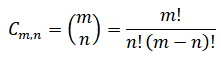
Por ejemplo, en una carta remitida el 24 de agosto de 1654 por Pascal a Fermat y para el juego (a, b) = (1,3), hay 23 = 8 juegos posibles: AAA, AAB, ABA, ABB, BAA , BAB, BBA y BBB, de los que los 7 primeros son favorables a A, luego la esperanza del juego es e(1,3) = 7/8. Pascal se dio cuenta de que se podía obtener del triángulo aritmético: bastaba con leer en él el contenido de la base que contiene tantas partidas como le quedan a los dos jugadores juntos, es decir, la base 1 + 3 = 4. La suma de esa base le daba el número total de casos l + 3 + 3 + l= 8 y el número de casos a favor de A, consiste en sumar tantas casillas, en este caso 3, como le faltan al adversario a contar desde el extremo de la base, o sea, 1 + 3 + 3 = 7. Por tanto, al jugador A le corresponde una fracción igual a 7/8 y de la misma manera se podría saber lo que le corresponde a B. Pascal se sirvió del triángulo aritmético para efectuar cálculos combinatorios, como una verdadera calculadora. Los números del triángulo de Pascal coinciden con los números combinatorios. El número combinatorio

Matemático y jugador compulsivoGirolamo Cardano (1501-1576), natural de Pavía, fue un hombre polifacético que destacó como matemático, médico y astrónomo, además de ser un jugador empedernido. Lo reconoce en su autobiografía: «como tenía afición desordenada al ajedrez y a los dados, me considero merecedor de las más fuertes censuras. Jugué a esos dos juegos durante muchos años y no solo una vez al año, sino, y lo digo con vergüenza, cada día».
Perdió un hijo al no poder pagar la indemnización que se le exigía para que no lo ejecutaran. Al parecer, el hijo habría suministrado arsénico a su mujer, con la colaboración del padre, debido a las continuas infidelidades de esta. Como médico llegó a tener gran fama. Viajó hasta Escocia para curar al arzobispo de Saint Andrews, John Hamilton. con quien los galenos franceses habían fracasado anteriormente.
Escritor polifacético de personalidad inquieta, Girolamo Cardano escribió sobre materias muy dispares y en 1545 publicó su Ars magna, donde mostraba métodos de resolución de ecuaciones de cuarto grado, utilizando números imaginarios, conseguidos de su alumno Luigi Ferrari, o de tercer grado, del mismísimo Tartaglia, al que personalmente aseguró que no los iba a difundir. Lo cierto es que los difundió y Tartaglia, muy enfadado, financió una acusación de herejía contra Cardano por publicar un horóscopo de Cristo. En 1663 se publicó de forma póstuma su Líber da ludo aleae. donde junto con recomendaciones de prudencia y honestidad en el luego, el matemático exponía correctamente el espacio muestral o conjunto de los posibles resultados asociados al lanzamiento de dos dados, Cardano dominó la fórmula para trabajar con la unión de sucesos o la intersección de sucesos independientes. Del mismo modo, introdujo la noción de valor esperado y se dio cuenta de que la suma de las caras de un dado legal dividida entre el número de caras es su media.
De esta manera, la combinación de cuatro elementos tomados de dos en dos es el número que se encuentra en la quinta fila en el tercer lugar, que resulta ser el 6. O los coeficientes del binomio de Newton:

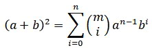
(a + b)3 = 1a3 + 3a2b + 3ab2 + 1b3
«Vuestro método es muy seguro y es el que me vino al pensamiento por primera vez en esta búsqueda; pero dado que el esfuerzo de las combinaciones es excesivo, he encontrado uno abreviado y concretamente otro método mucho más corto y más claro…»En la carta de 24 de agosto, Pascal le comentó a Fermat la crítica del matemático francés Gilles Personne de Roberval, centrada en que el método de las combinaciones obligaba a contar todas las posibilidades aunque el final del juego ya se hubiera producido. Fermat replicó que tal enumeración era necesaria para enfrentarse a que todos los resultados tuvieran la misma probabilidad.
Blaise Pascal, carta a Pierre Fermat, 28 de julio de 1654.
§. El problema de los puntos para dos jugadores según Huygens
Huygens no utilizó el cálculo combinatorio como sus antecesores Fermat y Pascal, sino su método basado en la esperanza matemática.
Los fundadores del cálculo de probabilidadesLa correspondencia que Fermat mantuvo entre julio y octubre de 1654 con Pascal fue el inicio de la teoría de la probabilidad. Pierre de Fermat (1601-1665), nacido en la localidad francesa en Beaumont-de-Lomagne, completó su carrera en Derecho en las universidades de Orleans, ejerció como abogado en Burdeos y llegó a ser miembro del parlamento de Toulouse y, en 1648, consejero del rey. Es famosa su conjetura, demostrada en 1997 por el británico Andrew Wiles. Pero la conjetura, una generalización del teorema de Pitágoras para exponentes distintos de 2, no es verdad. Fermat también investigó sobre el cálculo de máximos y mínimos. En 1654, primero, y en 1659, después, se puso en contacto con Carcavi y Pascal para que buscaran un editor para sendas obras suyas relacionadas con la teoría de números y, en última instancia, ofrecerles que se hicieran cargo de su impresión. En ambas ocasiones Carcavi se puso en contacto, a su vez, con Huygens, pero sin éxito. Fermat moriría sin encontrar editor de la misma.
Blaise Pascal (1623-1662), nacido en Clermont-Ferrand, fue un matemático precoz. Cuando era niño su padre lo sorprendió un día intentando probar un teorema de los Elementos de Euclides y, tras el traslado a París de la familia en 1631, lo inscribió, con catorce años, en la academia del filósofo y matemático Marin Mersenne, donde se discutían problemas matemáticos. A los diecinueve años Pascal diseñó una máquina aritmética (la «pascalina») que presentaría en la academia de Mersenne junto con su Essay pour les coniques, donde incluye el teorema que lleva su nombre. Pascal y Fermat, los dos genios precursores del cálculo de probabilidades, no llegaron a conocerse personalmente, solo se cartearon.
Pascalina de seis cifras de 1652.
En sus proposiciones IV, V, VI y VII abordó el problema de los puntos para dos jugadores.
La proposición IV dice: «Supongamos que juego contra otra persona a quien gane el primero tres partidas, y que yo haya ganado ya dos partidas y él, una. Quiero saber qué parte de la apuesta me es debida en el caso de que queramos interrumpir el juego y repartir equitativamente lo puesto».
Huygens resolvió el problema, al igual que Cardano y Pascal, pensando que es suficiente tener en cuenta las partidas que faltan a una y otra parte. El sabio neerlandés señala:
Para calcular la parte que vuelve a cada uno de nosotros, es necesario prestar atención a lo que ocurriría si continuásemos el juego. Es cierto que si yo ganase la primera partida habría terminado el juego y así conseguiría la apuesta, toda entera, a la que llamaré a. Pero si el otro jugador ganase la primera partida nuestras oportunidades serían ahora iguales, a la vista de que nos faltaría una partida a cada uno; tendríamos derecho cada uno a a/2. Ahora bien, es evidente que tengo tantas oportunidades de ganar la primera partida como de perderla. Por tanto, dispongo de oportunidades iguales de tener a o a/2, con lo que por la primera proposición, equivale a la suma de las dos mitades, es decir 3a /4.
La proposición V dice lo siguiente: «Supongamos que a mí me falta una partida y a mi adversario, tres. Se trata de repartir la apuesta con esta hipótesis».
Por su parte, la proposición VI reza de la siguiente manera: «Supongamos que me faltan dos partidas y que le faltan tres a mi adversario».
Y la proposición VII dice: «Supongamos que me faltan aún dos partidas y a él, cuatro».
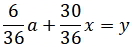
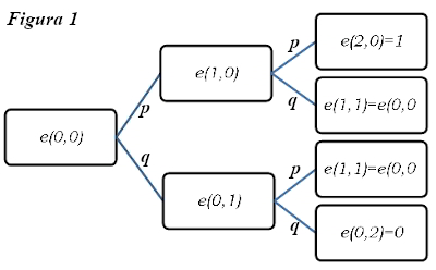
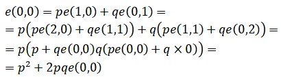
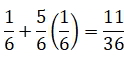
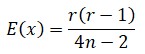
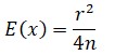
Huygens propuso resolver las tres proposiciones anteriores de la siguiente manera: Si representamos por (a,b) un juego cuando al primer jugador, pongamos A, le quedan a partidas para ganar y b partidas para su contrincante B y, por e(a,b) la esperanza del primer jugador en tal juego. Siguiendo esta notación, las proposiciones anteriores nos dan la esperanza del primer jugador e(a,b) para los juegos (1,3), (2,3) y (2,4), de la misma manera que en la proposición IV.
En la siguiente tabla aparece el cálculo de la esperanza e(a,b) para diferentes valores de a y de b efectuado por Huygens de la misma manera que lo había hecho antes Pascal:


En las proposiciones VIII y IX Huygens abordó el problema de los puntos para tres jugadores. La proposición VIII reza «Supongamos ahora que tres personas juegan juntas y que a la primera y a la segunda les falta una partida, pero le faltan dos a la tercera».
En la proposición VIII Huygens trató el juego (1,1,2) utilizando la proposición II. Así, si el primero ganase la partida obtendría la apuesta a, Si el segundo ganase esa partida, el primero no conseguiría nada. Si el tercero ganase, le faltaría una partida para acabar a cada uno de los tres, luego el primero tendría derecho a 1/3a. Por lo tanto, en resumen, el primer jugador tiene 1 oportunidad de conseguir a, 1 de conseguir 0 y 1 de conseguir 1/3a, luego en virtud de la proposición II le vale

Y la proposición IX dice: «Para calcular la parte de cada uno de un número dado de jugadores, en el que a cada cual le falta un número dado de partidas, es necesario primero ponerse a contar lo que le correspondería a aquel del que se quiere saber su parte en el caso en que él hubiese ganado la primera partida que sigue, y en aquellos donde cada uno de los otros a su vez la hubiesen ganado. Sumando todas esas partes y dividiendo la suma por el número de jugadores se encuentra la parte buscada del jugador considerado».
La proposición IX quiere establecer la regla que habría que seguir tanto para el caso resuelto en la proposición VIII como para otros casos. Para resolver el caso (1,2,2) encuentra que el jugador B debería recibir


La tercera parte del tratado De ratiociniis in ludo aleae de Huygens, concretamente las proposiciones X, XI, XII, XIII y XIV, se dedicaba al llamado «problema de los dados». De ellas, las tres primeras proposiciones están dedicadas a problemas del estilo del Caballero de Méré, mientras que las dos últimas introducen la novedad de las distintas probabilidades de ganarlas que tienen los jugadores.
El Caballero de Méré era el sobrenombre con el que se conocía a un cortesano del rey Luis XIV y jugador profesional, que en realidad se llamaba Antoine Gombauld, señor de Baussay. Se cuenta que en 1652 durante un viaje en carruaje camino de Poitou, junto con sus amigos el duque de Roannez y Damien Mitton, coincidió con Blaise Pascal, al que le planteó sus cuestiones relacionadas con los juegos de dados. De Méré conocía que si apostaba por obtener un 6 al lanzar un dado en 4 tiradas, había una ventaja a su favor de 671 contra 625, mientras que si intentaba conseguir un sonnez con dos dados (obtener un doble 6 con dos dados lanzados al mismo tiempo), en 24 tiradas, tenía desventaja. De Méré no se explicaba cómo si 4 es a 6 (posibles resultados al lanzar un dado) y 24 es a 36 (tamaño del espacio muestra, al lanzar dos dados), en el primer caso, con un dado, había ventaja a su favor pero no en el segundo caso, con dos dados. Y de acuerdo con lo que afirmaba Pascal: «Esto provocaba su gran escándalo, que le hacía decir a todo el mundo que las proposiciones no eran constantes y que la aritmética era contradictoria».
§. Con un dado
Huygens inició sus cálculos con un solo dado en la proposición X: «Encontrar en cuántas veces se puede aceptar lanzar un 6 con un dado».
O a partir de qué número de lanzamientos el jugador tiene una probabilidad mayor de 0,5 de ganar la apuesta de conseguir un 6 lanzando un dado. Si efectuamos solo un lanzamiento, los resultados son;


Si ahora lanzamos dos veces el dado, la situación para el primer jugador será:


Huygens repitió el proceso para 3, 4, 5 y 6 lanzamientos y obtuvo:


En la proposición XI Huygens aumentó a dos el número de dados: «Encontrar en cuántas veces se puede aceptar lanzar dos 6 con dos dados».
La resolución de este problema es idéntica a la del anterior, cambiando las oportunidades 1 y 5 con el lanzamiento de un dado por 1 y 35 con el lanzamiento de dos dados.
La esperanza o valoración de este juego para el primer jugador es:

Huygens resolvió los casos para 4, 8, 16 y 24 lanzamientos, con la ecuación recurrente siguiente:

La proposición XII es una generalización de las proposiciones X y XII: «Encontrar el número de dados con el que se puede aceptar lanzar dos 6 en la primera tirada». Huygens reformuló esta proposición a cómo encontrar cuántas tiradas de un dado son necesarias para tener al menos una oportunidad igual de conseguir dos 6. Basándose en que la probabilidad de obtener al menos dos 6 en n + 1 lanzamientos es igual al producto de la probabilidad de obtener al menos un 6 en el primer lanzamiento por la probabilidad de obtener al menos un 6 en los n lanzamientos últimos, más la probabilidad de no obtener 6 en el primer lanzamiento por la probabilidad de obtener al menos dos 6 en los n lanzamientos últimos, si llamamos a la esperanza del jugador primero cuando apuesta conseguir dos 6 en n lanzamientos y tomando e2 = 1/32 se puede llegar a la relación de recurrencia:

§. Los jugadores tienen probabilidades distintas de ganar
En la proposición XIII, al igual que en la siguiente, los dos jugadores intervienen de manera activa, con desigual probabilidad de ganar «En la hipótesis de que juego a un lanzamiento de dos dados contra otra persona en la condición de que si consigo 7 puntos habré ganado, pero que él habrá ganado si consigue 10, y que repartimos la apuesta en partes iguales si aparece otra cosa, encontrar la parte que corresponde a cada uno de nosotros».

Christiaan Huygens, según un grabado realizado a partir de una pintura de Casper Netscher


La proposición XIV dice: «Si otro jugador y yo lanzamos por turno dos dados con la condición de que yo habré ganado cuando haya lanzado 7 puntos y él cuando haya lanzado 6, y si le dejo lanzar primero, encontrar la relación entre mi probabilidad a la suya».
Huygens propuso para su resolución un método diferente al que al que hasta ahora venía utilizando y que el matemático suizo Jakob Bernoulli (1654-1706) llamaría «método analítico de Huygens». Consiste al hallar la solución a través de la resolución de dos ecuaciones algebraicas.
Nos situaremos en dos instantes de tiempo diferentes, cuando sea el turno del segundo o del primer jugador. Antes de que se inicie el juego llamaremos a al valor del juego para el primer jugador y por tanto a - x para el segundo, si la apuesta total es a. Una vez comenzado el juego, es decir, una vez sea el turno de lanzar del segundo jugador, la situación del primer jugador será;

Luego antes de iniciarse el juego, la valoración del mismo para él primer jugador una vez sea el turno del segundo, aplicando la proposición III, debe ser igual al valor a; fijado al inicio, es decir,



x = 31/61 a
por lo que la razón de oportunidades de ambos jugadores es de 31:30. Por tanto, la solución la hemos conseguido resolviendo dos ecuaciones lineales entre lo que hoy llamaríamos esperanzas condicionadas.§. Los cinco problemas propuestos por Huygens
La cuarta y última parte del tratado De ratiociniis in ludo aleae la forman cinco problemas propuestos por el autor y no totalmente resueltos, aunque se da la solución de tres, fruto de la relación epistolar de Huygens con Fermat y Pascal.
El problema I fue propuesto por Fermat a Huygens a través de René de Carcavi, en una carta de 22 de junio de 1656, y dice: «A yB juegan juntos con dos dados con la condición siguiente:A habrá ganado si lanza 6 puntos, B, si lanza 7.A hará en primer lugar un solo lanzamiento; a continuación B, dos lanzamientos sucesivos; después de nuevo A dos lanzamientos; y así sucesivamente, hasta que uno u otro haya ganado. Se pide la relación de la oportunidad de A a la de B. Respuesta: como 10355 es a 12276».
Se trata de una generalización de la proposición XIV. Huygens se dio cuenta de que en el juego el orden de lanzamientos generaba una periodicidad ABBA ABBA... De esta manera solo necesita usar 4 esperanzas para resolverlo. A saber, en es la esperanza del jugador A justo antes de empezar el juego n = 1, 2, 3, 4, dado que los juegos previos se han desarrollado sin éxito. Llamando a al total apostado calculó que:

e1 = 10355/22631 a
esto nos da una relación de oportunidades entre ambos jugadores de 10355:12276.Corresponsales de la ciencia: Mersenne y CarcaviEn el siglo XVII todavía eran pocas las revistas científicas a las que se podía recurrir para publicar una investigación. La difusión de los nuevos resultados se hacía sobre todo a través de cartas. Tanto Mersenne como Carcavi fueron auténticas «estafetas de correos» a través de las cuales se recibían y se difundían las novedades científicas, poniendo en contacto entre sí a matemáticos de toda Europa.El sacerdote, matemático y filósofo francés Marín Mersenne (1588-1648) ocupó el centro de la vida intelectual del siglo XVII, ya que mantuvo correspondencia con Descartes, Pascal, Torricelli, Huygens, Roberval, etc. A su muerte se encontraron en su celda cartas de setenta y ocho corresponsales diferentes. Pensaba que la comunicación era imprescindible para el avance de la ciencia. Creó la Académie Parisiensis, un grupo de científicos que se reunía para hablar de ciencia y comunicar sus resultados.
Marín Mersenne y Pierre de Carcavi
El caso del matemático francés Pierre de Carcavi (ca. 1600-1684) es similar. Consejero del Parlamento de Toulouse y secretario de la Biblioteca Real, no recibió formación universitaria y sus resultados matemáticos no fueron muy importantes, pero si lo fue la correspondencia que mantuvo con Fermat, Huygens, Pascal, Descartes, Galileo y otros científicos de la época. En París entró en contacto con Mersenne y a la muerte de este último continuó su labor y puso en contacto a Huygens con Fermat
El problema II reza: «Tres jugadores A, B y C toman 12 fichas de las que 4 son blancas y 8 negras; juegan con la condición de que ganará el que primero haya sacado, escogiendo a ciegas, una ficha blanca, y que A elegirá el primero, B a continuación, después C, después de nuevo A, y así sucesivamente, por turnos. Se pide la relación entre sus oportunidades».
Se cree que este problema es de la propia cosecha de Huygens, que lo resolvió utilizando extracciones con reemplazamiento tomando P = 4/12 = 1/3. El orden de los jugadores es ABC, ABC..., y denominó a las esperanzas u oportunidades antes de que comience el juego con las letras r, y, z, siendo a la apuesta. En la primera extracción, si el jugador A extrae una bola blanca gana la apuesta y si no, el jugador A pasa a ser el tercero en las extracciones, por lo que su probabilidad se convierte en z, esperanza del tercero en el orden de extracciones, con lo que utilizando la proposición III tenemos que

![]()

q = 1 - 1/3a
El matemático neerlandés Johannes Hudde entabló una discusión epistolar con Huygens proponiéndole como alternativa el hacer las extracciones sin reemplazamiento.El problema III se enuncia: «A apuesta contra B, que de 40 cartas, donde hay 10 de cada color, extraerá 4 de manera que tenga una de cada color. Se encuentra en este caso que la probabilidad de A es a la de B como 1000 es a 8139».
Este problema también fue planteado por Fermat a Huygens a través de Carcavi el 22 de junio de 1656. Huygens propuso la solución, sin explicación ninguna, en una carta a Carcavi fechada el 6 de julio de ese año.
El problema IV se enuncia: «Como antes, los jugadores toman 12 fichas de las que 4 son blancas y 8 negras. A apuesta contra B que entre 7 fichas que él sacará a ciegas, se encontrarán 3 blancas. Se pide la relación entre la probabilidad de A y de B».
Es muy similar al problema II, Huygens lo resolvió con reemplazamiento en una nota de 1655, así como con una modificación propuesta por Hudde que lo entendía como «extraer al menos 3»; por consiguiente, los resultados que harían ganar el juego son (3,4) y (4,3).
§. Problema de la ruina del jugador
El problema V, conocido como «problema de la ruina del jugador» se expresa de la siguiente manera: «Habiendo tomado cada uno 12 fichas, A y B juegan con tres dados con la condición de que a cada tirada de 11 puntos A debe dar una ficha a B y de que este debe dar una ficha a A en cada tirada de 14 puntos, y que ganará aquel que sea el primero en poseer todas las fichas. Se encuentra en este caso que la probabilidad de A es a la de B como 244140625 es a 282429536481».
En este problema se plantea el cálculo de la probabilidad de que un jugador arruine al contrario conociendo las fichas con las que parte cada uno. En principio es un juego que podría tener una duración infinita. Se trata de un problema propuesto por Pascal a Fermat creyéndolo «el más difícil del mundo» en la correspondencia directa que mantuvieron en 1654 y en la correspondencia indirecta de los años 1655 y 1656.
Lo cierto es que la demostración de Pascal y Fermat de la que hablaba Carcavi en una carta a Huygens en 1656 no nos ha llegado, la que sí nos ha llegado es la de Huygens, en una carta que mandó a Carcavi el 12 de octubre de 1656 y que figura en la edición de las Obras completas de Huygens.
Los jugadores arrancan con la puntuación (0,0), donde el primer 0 representa los puntos que tiene el primer jugador al inicio del juego y el segundo 0 lo mismo para el segundo jugador. El ganador es el primero que llega a 12 puntos. Dado que se lanzan tres dados y el jugador A necesita sacar un 14, el número de resultados favorables al mismo es 15 de 63 = 216 resultados posibles, mientras que el número de resultados posibles para B es de 27. Hay 15 + 27 resultados que favorecen a uno o a otro jugador, y el resto no favorece a ninguno, por lo que Huygens toma p = 15/42= 5/14 como la probabilidad de A y q = 27/42 = 9/14 como la de B. Si el total apostado es la unidad, entonces la esperanza de un jugador en cada situación coincide con su probabilidad de ganar.
Huygens comenzó analizando el caso en el que el juego acabara cuando uno de los jugadores llegara a dos puntos. Dio una lista de todos los resultados posibles y sus probabilidades (esperanzas) en un diagrama tipo árbol (figura 1).

Huygens suponía que e(1,1) = e(0,0) dado que en los casos (1,1) y (0,0), el primer jugador necesita el mismo esfuerzo para conseguir arruinar al contrincante. Utilizando el teorema de la probabilidad total obtuvo que:

e (0,0) = p2/(p2 + q2)
Es decir, la ratio de las esperanzas de los dos jugadores es p2 : q2Después, Huygens estudió el caso en que el ganador necesita conseguir 4 puntos de ventaja. Usando el resultado anterior y en dos pasos, primero pasando del (0,0) al (2,0) y de este al (4,0), con probabilidades proporcionales a p2 obtuvo el resultado de que:
e (0,0) = p4/(p4 + q4)
lo que provoca que la ratio de las esperanzas de los dos jugadores sea p4 : q4Para conseguir una ventaja de 8 puntos, obtuvo
e (0,0) = p8/(p8 + q8)
y así sucesivamente, afirmando que la ratio de esperanzas de los dos jugadores es pn:qn y para el caso que nos ocupa es 512: 912. Como puede verse. Huygens consiguió no solo resultados brillantes, sino también bonitos.§. Reediciones, reproducciones y comentarios al Tratado de Huygens
De rutiociniis in ludo aleae de Huygens tuvo muchas otras ediciones y reimpresiones a lo largo de los siguientes años. La primera gran reedición corrió a cargo de un monje español, Juan Caramuel (1606-1682), filósofo, matemático y lingüista, que en 1670 publicó en latín su obra magna Mathesis biceps. Vetus et nova, donde recogía todo el saber matemático publicado hasta entonces; aritmética, álgebra, geometría, cálculo logarítmico, trigonometría, astronomía, etc. Una parte de esa obra, veinticuatro páginas, denominada Kybeia, término griego que hace relación a los juegos de dados, la dedicó al estudio de la combinatoria y los juegos de azar. Las ocho últimas páginas reproducen y comentan el tratado de Huygens. Caramuel introdujo el término «peligro» como sinónimo de riesgo y contrario al de «esperanza mal emética». A mayor peligro, menos dinero a apostar.
Caramuel resolvió varios casos del problema de los puntos de la misma manera que lo hizo Huygens y decidió analizar la perspectiva futura y situarse en la posición intermedia para que «ninguno de los dos obtenga lo que le habría correspondido con el triunfo». Por ejemplo, dos jugadores juegan a los dados. El juego lo gana el primero que consiga tres partidas; cada uno de ellos ha apostado un doblón, y uno de los jugadores ha ganado dos partidas y el otro, una, es decir, el juego se ha interrumpido en ir situación (1,2), Caramuel analiza lo que ocurriría en la siguiente partirla, en la perspectiva futura Si al que le faltan dos la ganase entonces quedarían empatados y si se separaran cada uno debería llevarse su doblón por una cuestión de derecho o justicia. Si la siguiente partida fuera ganada por el jugador al que le faltaba una, los dos doblones serían para él. Luego el hecho de jugar la siguiente partida puede llevar a dos situaciones: 1 doblón para cada uno, o 2 para uno y 0 para el otro. Por tanto, el primero de ellos puede recibir o 1 doblón o 2. Como la victoria es igualmente incierta para ambos, entre 1 y 2, debe hacerse una partición tal que, antes de vencer, ninguno de los dos obtenga lo que le habría correspondido con el triunfo. Entre 1 y 2 hay 1 y medio. En cambio, Caramuel se equivocó al resolver el problema de los puntos para tres jugadores.
También trató problemas al estilo del Caballero de Méré, es decir, problemas donde se pretende conseguir un éxito en un número determinado de pruebas. En cada caso se trata de conocer la probabilidad de ganar (o proporción entre esperanza y peligro) y la proporción de las apuestas de los que juegan. Si se quiere conseguir un 5 lanzando el dado una sola vez, la proporción de esperanza y peligro es 1 a 5 (la probabilidad es 1/6). En caso de querer conseguir el éxito en dos pruebas, un 5 en dos lanzamientos, dicha probabilidad es:

Caramuel acabó la Kybeia con unos comentarios críticos al tratado de Huygens. En general consideró que este se perdía en «rodeos y perífrasis» y afirmó que él conseguía «soluciones más claras y sencillas», lo que le granjeó la enemistad del matemático Nikolaus Bernoulli (1687-1759) que salió en defensa de Huygens.
Juan Caramuel: un erudito enciclopédicoJuan Caramuel y Lobkowitz (1606- 1682) fue conocido como el Leibniz español por su espíritu enciclopédico. Es autor de una obra muy amplia y variada, Se cuenta que el emperador Fernando III se quedó asombrado al visitarle una tarde en su celda y observar que conservaba más de doscientas sesenta obras manuscritas y «que de una sola mano y una sola plumahayan escrito tantas cosas y tan diferentes».
Aprendió a hablar más de veinte lenguas, incluyendo latín, griego, árabe, hebreo y chino, y propuso la creación de un lenguaje universal.
Mantuvo activa relación epistolar con los eruditos más importantes de su época, nacido en Madrid, estudió humanidades y filosofía en la Universidad de Alcalá y a los diecisiete años ingresó en el Císter. Tras pasar por varios monasterios españoles, en 1632 se estableció en el monasterio de Dunes (Lovaina), ciudad donde se doctoró en Teología.
En esta etapa publicó trabajos de astronomía y matemáticas. En 1642 Caramuel publicó Mathesis audax y en 1654 se trasladó a Italia, donde sería nombrado obispo de varias ciudades por el papa Alejandro VII. Sin embargo, su obra Apologemas pro antiquísima et universalissima doctrina de probabilitate (1663) fue incluida en el Índice de libros prohibidos. En Mathesis bíceps, Vetus et nova, publicada en 1670, abogó por utilizar bases numéricas diferentes a la base 10.
En 1692, De ratiociniis in ludo aleae fue reeditado por el médico, escritor satírico y polímata escocés John Arbuthnott (1667-1735) bajo el título Of the laws of chance, or, a Method of Calculation of the Hazards of Game, Plainly Demonstrated, and Applied to Games at Present most in Use.
Este título pone de manifiesto que no lo vendió como un libro de matemáticas sino como un manual para jugadores (sin duda, una buena estrategia de marketing), lo que le reportó grandes beneficios, Es el primer tratado de probabilidad publicado en inglés y se refiere a «the calculation of the quantity of probablility». Se trataba de la primera ocasión que aparecía la palabra « probablility» (probabilidad) impresa.
§. Huygens en el Ars Conjectandi de Jakob Bernoulli
También, la primera parte del Ars conjectandi, de Jakob Bernoulli, publicado póstumamente en 1713, fue dedicada a reproducir y comentar De ratiociniis in ludo aleae con el título «Apuntes sobre los posibles cálculos en los juegos de azar de Christiaan Huygens con notas de Jakob Bernoulli». Los comentarios a la obra de Huygens son cuatro veces más amplios que el texto original.
Jakob Bernoulli generalizó el caso de un juego no equitativo que consta de n partidas, de forma que el primer jugador tiene una probabilidad p de ganar y una probabilidad q = 1 - p de perder, y queremos conocer la probabilidad de que el primer jugador haya ganado k partidas del total de n jugadas. Demostró que tal probabilidad era la conocida función masa de probabilidad de la distribución binomial
![]()
Jakob Bernoulli remarcó que la palabra esperanza debe ser usada en sentido matemático y ser calculada de la misma manera que se calcula un precio medio de una serie de artículos de diferentes precios. Huygens calculó la esperanza de un jugador y la del otro por sustracción. Bernoulli llamó la atención de que esto solo es posible si el total de la apuesta únicamente se reparte entra dos únicos jugadores, es decir, si los sucesos son disjuntos.
La cuarta parte del Ars conjectandi, que tituló «Aplicación de la doctrina a cuestiones civiles, éticas y económicas», intenta entender las nociones de probabilidad a cuestiones sociales. La imposibilidad de conocer a priori la probabilidad de un suceso, ya que no se puede saber el número de casos posibles o totales de la experiencia, le llevó a formular la ley de los grandes números que, a grandes rasgos, se puede enunciar así: «Es muy poco probable que, si efectuamos un número suficientemente grande de experimentos, la frecuencia de un acontecimiento se aparte notablemente de su probabilidad».
«Conjeturar sobre algo es medir su probabilidad. Por tanto, definimos el arte de conjeturar o el arte estocástico como el arte de medir las probabilidades de las cosas con la mayor exactitud posible...»En 1685, antes de escribir Ars conjectandi, Jakob Bernoulli ya había propuesto dos problemas publicados en el Journal des Sçavans y que eran generalizaciones del problema I de Huygens
Jakob Bernoulli, Ars conjectandi .
1. «Dos jugadores A y B juegan con un dado con la condición de que el primero que saque un as gana. El jugador A tira el dado una vez, entonces B hace otra tirada; luego, A tira dos veces sucesivamente y B otras dos veces; luego, A lo tira tres veces seguidas y B otras tres veces, y así sucesivamente».
2. «Alternativamente, A tira una vez el dado, luego B dos veces sucesivas, luego A tres veces, luego B cuatro veces y así hasta que uno de los dos gane. ¿Cuál es la razón de sus oportunidades?»
Los Bernoulli, una familia de matemáticosJakob Bernoulli (1654-1705) inauguró una saga familiar de grandes matemáticos suizos. Nacido en Basilea, completó sus estudios de teología en la universidad de su ciudad natal, pero su verdadera pasión eran las matemáticas y la astronomía que estudiaba secretamente junto a su hermano Johann, en contra del deseo de su padre. En Ámsterdam conoció a Huygens, cuyos estudios sobre el azar influirían en sus trabajos sobre el tema. Su obra Ars conjectandi fue editada póstumamente en 1713 por sus hijos.
Los primos Daniel y Nikolaus Bernoulli
Daniel Bernoulli (1700-1782) era hijo del también matemático Johann Bernoulli (1667-1748), hermano de Jakob. Ganó varias veces el premio de la Academia de Ciencias de París y llegó a ser muy conocido en vida, lo que le valió ser invitado por la zarina Catalina I, junto a su hermano Nikolaus II (1695-1726), a ocupar, en 1725, una cátedra de Matemáticas en San Petersburgo, ciudad que abandonó en 1733.Su primo Nikolaus Bernoulli (1687-1759) fue profesor de Matemáticas en Padua y en 1722 regresó a su ciudad natal Basilea, para ocupar la cátedra de Lógica y de Derecho, y llegó a ser rector de su universidad. Aunque era considerado un gran matemático, publicó poco. Muchos de sus hallazgos se describen en las casi quinientas cartas que se conservan de su correspondencia con importantes matemáticos como Leibniz, Euler o Montmort En 1709, defendió en Basilea su tesis doctoral titulada De usu artis conjectandi in jure.
Johann Bernoulli y su hermano Jakob, trabajando en problemas geométricos
Después de esperar en vano cinco años a que alguien lo resolviera, Jakob Bernoulli publicó la solución en elActa eruditorum de 1690, obteniendo la probabilidad de triunfo de A por medio de series:
P1 = 1 + q2 + q6 + q12 +…- q - q4 - q9 - …
P2 = 1 + q3 + q10 + q21 +…- q - q6 - q15 - …
donde q = 5/6.Fue la primera vez que la solución de un problema de probabilidad se expresó como una serie infinita.
§. Las soluciones de Pierre Rémond de Montmort
En 1708, Pierre Rémond de Montmort publicó Essay d’analyse sur les jeux de hazard, reeditado en 1713. En su segunda edición el libro apareció dividido en cinco partes: la primera, sobre combinatoria; después, tres partes más sobre juegos de azar, incluyendo la solución de los problemas propuestos por Huygens, y una última parte dedicada a la correspondencia que mantuvo con Johann y Nikolaus Bernoulli.
Respecto al problema de los puntos para dos jugadores, tanto con igual como con desigual destreza, Montmort aportó la solución definitiva que hoy identificamos con las modelizaciones binomial y binomial negativa. Respecto a los cinco problemas propuestas por Huygens al final de su tratado (tres con solución pero no resueltos), Montmort desconocía las resoluciones que aportó Huygens en hojas separadas una vez se publicó el trabajo, aun así, resolvió los problemas I y II utilizando el método de Huygens y los III y IV a través de cálculos combinatorios. Respecto al problema V o de la «ruina del jugador», Montmort muestra las soluciones aportadas por Johann y Nikolaus Bernoulli en la correspondencia que mantuvo con ellos.
En una carta fechada el 9 de septiembre de 1713, Nikolaus Bernoulli propuso a Pierre Rémond de Montmort cinco problemas, el último de los cuales era el denominado la «paradoja de San Petersburgo», relacionada con el concepto de esperanza matemática tan cercano a Huygens.
§. La importancia de ratiocioniis in ludo aleae
Pocas veces un libro ha sido tan estudiado, editado e impreso, y ha tenido tanta influencia en el nacimiento del cálculo de probabilidades como He ratiocioniis in ludo aleae de Huygens. Fue el manual de referencia durante casi cincuenta años, por haber abordado algunos de los problemas más relevantes del cálculo de probabilidades.
En el libro se define el concepto de expectatio o de esperanza matemática como la esperanza del jugador (lo que espera ganar), o como el valor del juego, es decir, lo que un jugador debería pagar por poder participar en el mismo o la apuesta por participante en una lotería justa o sorteo equivalente. La evaluación de la esperanza nos hace ver si el juego a largo plazo nos producirá pérdidas, beneficios o será justo. Para Huygens el término «esperanza» se sitúa a medio camino entre lo mejor que podemos esperar de un juego y lo peor que podemos temer.
Huygens proporciona una expresión para el cálculo de la esperanza en cualquier situación y dota al concepto de esperanza de una importancia superior al de probabilidad. Así, definir a través del concepto de esperanza las apuestas y pagos en un juego de azar permitirá abordar posteriormente el estudio de pensiones vitalicias y de seguros de vida.
En la obra de Huygens el «problema del reparto o de los puntos» abandonó el campo de la aritmética, de las matemáticas financieras, para entrar a formar parte del cálculo de probabilidades. Se confirma que en vez de razonar pensando en el pasado, en las partidas que cada jugador lleva ganadas, se debe razonar en futuro, sobre las partidas que fallan a una parte y a otra.
En el «problema de los dados» Huygens introdujo la novedad de que los jugadores tuvieran distintas probabilidades de ganar y un método diferente al que hasta entonces se venía utilizando para su resolución y que Jakob Bernoulli llamaría «método analítico de Huygens». Consistió en hallar la solución a través de la resolución de dos ecuaciones algebraicas, entre lo que hoy llamaríamos «esperanzas condicionadas».
Huygens abordó también el difícil «problema de la ruina del jugador», un juego que podría tener una duración infinita. Para su resolución proporcionó una lista de todos los resultados posibles y sus probabilidades (esperanzas) en un diagrama tipo árbol. Era la primera vez en la historia de la probabilidad que se incluían árboles de probabilidad para la demostración de un resultado.
De ratiocioniis in ludo aleae de Huygens, el primer libro de cálculo de probabilidades de la historia, fue profusamente estudiado y editado por matemáticos de aquel tiempo. Se convirtió en un auténtico best seller de la época. Incluso algunas de las obras más importantes sobre el tema publicadas posteriormente, como Ars conjectandi de Jakob Bernoulli (1713), Essay d’analyse sur les jeux de hazard (ediciones de 1708 y 1713), de Pierre Rémond de Montmort,De mensura sortis, seu, de probabilitate eventum in ludis a caso fortuito pendentibus (1712) o Doctrine of Chances (ediciones de 1718, 1738 y 1756) de Abraham de Moivre, estaban dedicadas en parte a reproducir y comentar el tratado de Huygens.
Capítulo 3
La esperanza de vida
Si en la década de 1650 la actividad de Christiaan Huygens como matemático estuvo centrada en el cálculo de probabilidades, en la década siguiente aplicó el probabilismo al concepto de esperanza de vida. En 1669 intercambió con su hermano Lodewijk una serie de cartas donde se trataron conceptos como el mencionado y que contribuyeron a poner las primeras bases de la demografía. En este debate participaron otros matemáticos y colegas suyos como Johan de Witt y Johannes Hudde, condiscípulos todos de Van SchootenEn la década de 1660 Christiaan Huygens, que ya era considerado uno de los principales científicos de Europa, desplegó una prolífica actividad. Entre abril a mayo de 1661 visitó la Royal Society de Londres. El 23 de abril se llevó a cabo una reunión en los aposentos de Huygens en Londres donde acudieron matemáticos tan conocidos como John Wallis o Christopher Wren y donde mostró sus telescopios a los científicos ingleses. En contrapartida, el físico y químico inglés Robert Boyle (1627-1691) le enseñó su máquina de vacío. Huygens repetiría más tarde los experimentos de Boyle relacionados con la ausencia de propagación del sonido y la muerte de seres vivos (pájaros) en el vacío.
De junio a septiembre de 1663 Huygens realizó un segundo viaje a Inglaterra para mostrar a Boyle una anomalía asociada al experimento del vacío descubierta por el científico neerlandés en su experimentación con la máquina neumática a finales de 1661. Gracias a su viaje a Inglaterra, ese mismo año, Huygens fue elegido miembro de la Royal Society de Londres.
En 1666, cinco años después de la primera visita que Christiaan Huygens cursó a la Royal Society de Londres, Jean-Baptiste Colbert, primer ministro del monarca francés Luis XIV, le pidió que formara parte también de la nueva Real Academia de Ciencias de París. Inicialmente la institución se reunía en la biblioteca de Colbert y después se trasladó a la del propio monarca. Entre los socios fundadores de la Academia figuraban Gilles de Roberval, Pierre de Carcavi, Adrien Auzout y Bernard Frénicle de Bessy, Aprovechando su experiencia en la Royal Society, Huygens se encargó de dirigir a este grupo de científicos, a los que influyó.
En 1668, Huygens envió una memoria a la Royal Society relacionada con el choque de cuerpos elásticos. Había conseguido demostrar hechos tan curiosos como que cualquier cuerpo en reposo, por grande que sea, puede ser movido por uno tan pequeño como se quiera o que un cuerpo menor le imprimirá una mayor velocidad por medio de otro interpuesto entre ambos de tamaño mediano que si le empuja directamente.
Entre 1668 y 1669 entabló una disputa de prioridad sobre la determinación de las leyes del choque de cuerpos con Christopher Wren (1632-1723), matemático y arquitecto de la catedral londinense de San Pablo y del Observatorio de Greenwich, y con el también matemático inglés John Wallis.
El año 1668 fue muy fructífero para Huygens. El 1 de febrero escribió el artículo Lens composita hyperbolicai aemula que sería publicado póstumamente y donde propuso compensar la aberración esférica de una lente convexa añadiéndole otra cóncava. El 13 de febrero comenzó, en la Academia de Ciencias de París, las experiencias sobre la fuerza del aire y del agua en movimiento y sobre la resistencia de los cuerpos cuando atraviesan dichos medios. El 16 del mismo mes efectuó una experiencia sobre la forma de salida del agua de un cilindro con un agujero en la base. En la Academia de Ciencias presentó otros escritos relacionados con máquinas para medir la fuerza del aire y del viento. El 18 de mareo publicó también una carta titulada «Regles du mouvement dans la rencontré des corps» en el Journal des Sçavans.
Del 7 de agosto al 20 de noviembre Huygens participó junto al matemático Gilles Personne de Roberval, y los físicos franceses Edme Mariotte (1620-1684) y Claude Perrault (1613-1688), entre otros, en una serie de discusiones sobre la gravedad. Intervino en contra de la teoría de la gravedad y apoyando la teoría cartesiana de los vórtices.
El 8 de octubre Huygens midió la velocidad del sonido y en noviembre publicó su memoria «Maniere de tailler les verres, ordenée a un ouvrier» («Manera de tallar los cristales, ordenada a un artesano»).
§. Las primeras estadísticas
En 1669, Christiaan Huygens intercambió con su hermano Lodewijk una serie de cartas donde trataban el tema de la esperanza de vida y que se consideran como uno de los inicios de la demografía Los dos partían de los mismos datos, los que proporcionaba el estadístico inglés John Graunt (1620-1674) en Natural and Political Observations Made upon the Bills of Mortality, obra sobre mortalidad publicada en enero de 1662, En el capítulo XI de esta obra aparecía la primera tabla de mortalidad.
John Graunt: el primer demógrafoJohn Graunt (1620-1674), mercero y comerciante de tejidos de profesión, es considerado el primer demógrafo por sus investigaciones estadísticas sobre la mortalidad, realizadas en colaboración con su discípulo William Petty.
Nacido en Londres, era hijo de un pañero procedente de Hampshire. Estudió conocimientos básicos de latín y francés antes de incorporarse por las mañanas como aprendiz de mercero, profesión que ejercería después. Enseguida llegó a ocupar puestos importantes en el Ayuntamiento de su ciudad y en el sindicato de pañeros. Esto le permitió tener acceso a los boletines de mortalidad de Londres, sobre los que basó sus estudios estadísticos y demográficos. La publicación de las Observations en 1662 le sirvió para ingresar en la Royal Society, recomendado por el propio rey Carlos II de Inglaterra. El manual de Graunt, del que se hicieron muchas impresiones, tenía solo ochenta y cinco páginas, lo que llevó a su autor a afirmar que era «un panfleto que se puede leer en no más de dos horas».
Desde 1538 ya se recogían datos de bautizos, bodas y entierros dentro de la Iglesia de Inglaterra. En 1604 comenzaron a publicarse semanalmente unos registros de mortalidad que se imprimían para el público en general. A partir de 1624 los bautizos y fallecimientos se daban separadamente por sexos, pero estos registros no suscitaron verdadero interés hasta la publicación de la obra de Graunt. Graunt trató de resumir datos relativos a nacimientos y fallecimientos en unas pocas tablas. Así, estudió las razones entre el número de hombres y mujeres y los bautizados y fallecidos en Londres y el pueblo de Romsey:


Graunt mostró su preocupación por los efectos de la peste que en aquella época diezmaba a la población.

En primer lugar, estimó el número de nacimientos en 12.000. Suponiendo que una mujer tiene un niño cada dos años, se totalizan 24.000 mujeres de este tipo. Suponiendo que el número de mujeres adultas (16-76 años) duplica a las fértiles, obtuvo 48.000 familias.
Después, partiendo de que por cada 11 familias hay 3 fallecidos al año y como se producen 13.000 fallecimientos anuales, se obtienen de nuevo 47.667 familias.
Por último, suponiendo que cada 100 yardas cuadradas hay 54 familias, como en intramuros de Londres hay 220 cuadrados de 100 yardas cuadradas obtuvo 11.880 familias de intramuros. Como la proporción de fallecimientos del número de familias de intramuros es una cuarta parte del total de familias de Londres, el número de familias era de 47.520.
Como puede verse con cualquiera de los tres argumentos conseguía un número de familias cercano a 48.000. Suponiendo que cada familia estaba formada por 8 miembros (los padres, 3 hijos y 3 criados), estimó para Londres una población de 384.000 personas, de las que 199.111 serían hombres y 184.889 mujeres, ya que la proporción era de 14:13.
Christiaan Huygens conoció la obra de Graunt a través de Robert Moray, a la sazón primer secretario de la Royal Society, que se la hizo llegar por carta el 16 de marzo de 1662.
§. Los cálculos de Lodewijk Huygens
En agosto de 1669 Lodewijk Huygens envió una carta a su hermano Christiaan en la que le comunicaba el fallecimiento de algunos conocidos y se mostraba preocupado por la decisión del padre de ambos, Constantijn Huygens, de setenta y tres años de edad, de realizar un viaje por diversas ciudades de Holanda. La avanzada edad de este le sirvió para abordar el tema de la duración de la vida humana, de la esperanza de vida, basándose en los datos de Graunt. Lodewijk preguntaba a su hermano: «¿Hasta qué edad debiera vivir un infante recién concebido según el curso natural de las cosas?».
«La obra de Graunt es digna de consideración y me agrada mucho, razona bien y claro y admiro cómo obtiene todas esas consecuencias de las observaciones más simples.»
Christiaan Huygens, carta a Robert Moray, 9 de junio de 1662.
Graunt había confeccionado la siguiente tabla de mortalidad:

Lodewijk HuygensLodewijk Huygens (1631-1699), hermano de Christiaan, era el tercer hijo del poeta y secretario del estatúder Federico Enrique de Nassau, Constantijn Huygens, y de Susanne van Baerle. Educado para ejercer la función diplomática, estudió Derecho en Leiden y en el Colegio Orange de Breda, junto a su hermano Christiaan.Tras ejercer la abogada en La Haya, en 1655 viajó a Francia para ampliar estudios. A diferencia de su hermano Christiaan, no mostraba un interés especial por las matemáticas, aunque se defendía bien con los idiomas. Participó en misiones diplomáticas en Londres (1651-1652) y Madrid (1661-1662). la última formando parte del séquito que las Provincias Unidas de los Países Bajos enviaron a la corte española de Felipe IV. Estos viajes constituían una especie de formación práctica de los hilos de los nobles y familias acaudaladas. En el viaje a España llevaron a bordo del barco que los transportaba un reloj cicloidal, obra de su hermano Christiaan, con el fin de apreciar su utilidad en alta mar. Una terrible tormenta inutilizó el reloj y la prueba de precisión resultó un fracaso. En 1672, su hermano mayor, Constantijn, heredó el puesto de su padre como secretario del príncipe de Orange Guillermo III, y él mismo sería nombrado oficial judicial de Gorinchem. La población local le acusó de corrupción y tuvo que abandonar el cargo.
También consideró que 16000 murieron por una causa extraordinaria como la peste. Por tanto, el porcentaje de fallecidos en la franja de edad, de 0 a 6 años, era del 36 por ciento:
(71.124 + 6.105)/(229.250 - 16.000) = 0,36
Como de los 100 nacidos habían muerto 36 hasta la edad de 6 años, los 64 fallecidos restantes, al no tener información de la edad de su muerte, los distribuyó decrecientemente hasta 1, como se muestra en la anterior tabla, donde se llama lx a los supervivientes a la edad x y dx a los fallecidos a la edad x.El objetivo de Lodewijk en la carta era comprobar si los razonamientos efectuados por él sobre el tema de la esperanza de vida eran correctos. Y para eso nada mejor que consultarlo con su hermano Christiaan:
A propósito de la edad, estos días he construido una tabla del resto que queda de vida para personas de toda clase de edades. Es una consecuencia que he extraído de la tabla del libro inglés Of the Bills of Mortality de la cual os envío una copia con el fin de que vos os toméis la molestia de entreteneros un poco con mis cálculos y así ver si nuestros resultados concuerdan. Os advierto que me ha costado bastante trabajo conseguirlo, pero para vos no será lo mismo, y las consecuencias que resulten son muy interesantes y pueden, incluso, ser útiles para la constitución de rentas vitalicias.Sin explicar sus cálculos, Lodewijk pronosticó que su hermano viviría 56 años y él mismo hasta los 55 años.

Si apostáramos sobre la supervivencia de un niño que acaba de nacer hasta los 16 años, esta no es del 50 por ciento, ya que la probabilidad de morir en esa franja de edad es superior a la de sobrevivir. Dado que, según los datos de la tabla de Graunt, a los 16 años de 100 personas sobreviven 40 y mueren 60, se podría apostar 40 contra 60, o sea, 2 contra 3. En el período que va de los 16 a los 36 años, se pasa de 40 a 16 supervivientes, es decir, se producen 24 fallecimientos. Luego la apuesta sobre la supervivencia de una persona de 16 años a la edad de 36 es de 16:24, es decir, vuelve a ser 2:3.
Lodewijk, en su contestación del 30 de octubre, convino con su hermano que sus cálculos no eran del todo exactos, porque los datos de Graunt no le permitían hacerlo mejor, pero eran bastante próximos a la verdad.

Retrato del matemático, astrónomo y arquitecto inglés Christopher Wren, realizado por Godfrey Kneller en 1711.
Si ahora queremos calcular lo que le resta de vida a una persona de 6 años, se trataría de dividir (1822-108) = 1714 años entre las 64 personas que siguen viviendo, lo que nos da 26 años y 10 meses y, como ya han vivido 6, lo que resta de vida a una persona de 6 años son 20 años y 6 meses.



Mosaico en homenaje de Christiaan Huygens en la calle Leidesestraat de Amsterdam.
§. El cálculo de probabilidades de Christiaan Huygens
Christiaan utilizó los mismos datos que Lodewijk, pero razonó de modo diferente, en forma de juegos y apuestas, en una carta dirigida a su hermano con fecha de 21 de noviembre de 1669. Lodewijk pensaba que el juego era justo desde el momento en que la vida media de una persona de 6 años y de otra de 20 coincidían, tenían iguales esperanzas de vida, y todavía vivirían 20 años. Según Christiaan, la media puede no ser representativa porque los datos presenten gran dispersión, por ejemplo, que de 100 personas, 90 mueran antes de los € años y los 10 restantes vivan 152 años y 2 meses. La suma de los años vividos sería 1822 pero ninguna de ellas habría vivido realmente 18 años y 2 meses.

Colbert presenta a los miembros de la Real Academia de Ciencias a Luis XIV. Según algunos investigadores, Huygens es el noveno por la izquierda.
En términos de juego justo, como 40 personas viven a los 16 años y 60 han fallecido, para apostar con igual ventaja, hay que apostar 2 contra 3 sobre su vida. Christiaan consideraba las tasas de mortalidad de Graunt probabilidades independientes del tiempo, como si se generaran tirando un dado. Consideraba la tabla de vida como una lotería con 100 papeletas, de las que 36 tienen el valor 3, 24 el valor 11, etc. y, por tanto, calculaba la esperanza de vida como en su libro De ratiociniis in ludo aleae. En el caso de dos personas de 6 y 20 años:
- Entre los 6 y los 26 años, hay 39 fallecimientos. Como hay 25 personas que sobreviven a los 26 años, las oportunidades de que una persona de 6 anos viva 20 años más están 26:39.
- Entre los 16 y los 36 años, hay 24 fallecimientos. En la medida en que se cuentan 16 personas que sobreviven a la edad de 36 años, las oportunidades de que una persona de 16 años consiga vivir 20 años más son 16:24, es decir, 2:3.
«Es un poco más aparente para un hombre de dieciséis años que para un hombre de seis años vivir todavía veinte años más.»En la carta de 21 de noviembre, Christiaan trató el cálculo de la esperanza de vida de varias personas. Resolvió la cuestión de cuánto viviría la última de dos personas de 16 años imaginando que cada una de ellas extraía una papeleta de entre 40 (40 supervivientes a partir de 16 años), cuyos valores eran la edad de los fallecidos, punto medio del intervalo correspondiente, menos 16, es decir, t y -16 y las oportunidades eran los fallecidos en cada edad, dy.
Christiaan Huygens, carta a su hermano Lodewijk, 21 de noviembre de 1669.
Tenemos dos personas x e y, cada una de las cuales saca una papeleta con valores Tx y Ty, los tiempos de vida que les restan por vivir, y se busca la esperanza de la variable T = max {Tx, Ty}. Christiaan se basaba en la idea de que T= t si Ty ≤ t, y T = Ty si Ty ≥ t

A continuación, Christiaan distribuyó las 9 muertes en ese intervalo (26,36) de 10 años y señaló que había 4,5 oportunidades para Ti≤ 15 y 4,5 para Ty ∈ (16, 20). Para Ty ≥ 25 utilizó el atajo de considerar el tiempo de vida esperado de la tabla de Lodewijk, que daba 53,50 - 16 = 37,5 como valor de la variable para los 16 casos considerados donde



luego una de las dos personas vivirá hasta la edad de 16 + 29,22 = 45,22 años.
Igualmente, Christiaan Huygens resolvió la ecuación en t,
lx+t = ½ lx
donde, son los supervivientes a la edad x. La solución es la mediana, el tiempo de vida restante mediano o el tiempo de vida probable. Afirmó que se puede apostar con igual ventaja a que viva 11 años, es decir, la mediana es 11, mientras que la esperanza de vida es igual a 18. Creía que la esperanza matemática era útil en el cálculo de rentas vitalicias y la vida probable o apariencia era aplicable a las apuestas.Christiaan envió también a su hermano una gráfica de la función de supervivencia S(x), la complementaria de la función de distribución, es decir, 1 - E(x), creada a partir de los datos de Graunt, mediante la cual es posible averiguar, por ejemplo, el número de personas de las 100 que quedan después de los 20 años, sin saber más que el valor de la ordenada en el punto de abscisa 20 o la mediana. Gráficamente, la vida probable de un niño al nacer
es el valor de abscisa 11 que se corresponde con el valor 50 por ciento de supervivientes (figura 1). También es posible encontrar el tiempo mediano que resta a una persona que ha cumplido los 20 años, es decir, se trataría de hallar un valor tal que:
P [X≤20+xm/X≥20] = P[ X≥20 + xm/X≥20],
o lo que es lo mismo, un valor tal que:S (20+xm) = S(20)/2
Gráficamente consistiría en obtener un segmento CD de altura la mitad de la ordenada AB que soporta la abscisa del valor A = 20, mover dicho segmento a lo largo del eje X y cuando el extremo de dicho segmento toque la curva de supervivencia la vida probable sería la diferencia entre la edad correspondiente a esta abscisa y 20, es decir, la distancia AC (figura 2).
§. Aplicaciones: el problema del ausente y la duración de los matrimonios
Los estudios de los hermanos Huygens sobre la esperanza de vida influyeron en la obra de otros matemáticos. Así, Nikolaus Bernoulli, en el tercer capítulo de su tesis De usu artis conjectandi in jure, publicada en 1709, aplicaba la teoría de la probabilidad al derecho y trataba el «problema del ausente», es decir, cuándo una persona ausente debe considerarse muerta legalmente.
Para los herederos esta cuestión era importante al objeto de conocer cuándo podrían disponer de los bienes del ausente. Los juristas no se ponían de acuerdo en el número de años que debían pasar.
Nikolaus propuso utilizar la tabla de Graunt y consideró que una persona debía ser declarada legalmente muerta cuando hubiera una apuesta de dos contra uno a que es tuviera más bien muerta que viva.
Por ejemplo, ¿cuándo debe ser considerada muerta una persona que sale de su país a los 20 años, según la teoría de Nikolaus? Este resolvió la ecuación
lx+t = lx /3
con respecto a t para cualquier x = 0, 6, 16,..., 76 e interpolando en la tabla de Graunt y redondeando lx/3 a enteros, encontró que el tiempo t que debería pasar para que se diera esa condición era, como mucho, 25 años, tal como aparece en la siguiente tabla:
En el capítulo 2 de su tesis, Nikolaus, al igual que Christiaan Huygens, abordó el problema de la esperanza de vida o del tiempo de vida mediano, utilizando esperanzas condicionadas. Nikolaus pensaba que la probabilidad de sobrevivir a cierta edad no puede calcularse a priori, razonando como si de un juego de azar se tratara, sino que podía ser estimada de las observaciones, por ejemplo analizando cuántas personas de 300 sobreviven en un periodo de 10 años, al igual que se hace en la tabla de mortalidad elaborada por Graunt a partir de la recopilación de muchos datos sobre decesos de personas.
También calculó, al igual que Lodewijk Huygens, la esperanza de vida para un recién nacido, mediante una serie de fórmulas recursivas, fijándola en 18 11/50 años, y la vida restante mediana, al igual que Christiaan, en 11 5/ 6 años.
Daniel Bernoulli publicó en 1768 una memoria tituladaDuratione media matrimoniorum, pro quacunque coniugum anetate, aliisque quaestionibus affinibus, donde estudiaba la duración de los matrimonios, es decir, la esperanza de vida de un matrimonio.
Lo hizo a través de un modelo de urnas en el que hay bolas emparejadas marcadas con el mismo número, que se van extrayendo sin «emplazamiento y, por tanto, se van produciendo rupturas de parejas. Cabe preguntarse, en primer lugar, ¿cuántas parejas permanecerán juntas y cuántas se habrán roto?
Si n es el número inicial de parejas en la urna y r la cantidad que permanece después de 2n - r extracciones, entonces el número esperado de parejas que se mantienen intactas viene dado por



§. El cálculo de las anualidades
Christiaan también se carteó con otros discípulos de Van Schooten, como Johan de Witt o Johannes Hudde, ambos hombres de estado, entre cuyas ocupaciones figuraba el generar ingresos para las arcas de las Provincias Unidas a través de la venta de anualidades.
En 1671, Johan de Witt mantuvo correspondencia con Christiaan Huygens relacionada con el cálculo de anualidades. Ya el derecho romano fijaba que al menos un cuarto del total de las propiedades de un testador, lo que hoy se llama «la legítima», debería corresponder a los herederos.
Johan de Witt: matemático y primer ministroLa vida de Johan de Witt (1625-1672) guarda un cierto paralelismo con la de Christiaan Huygens. Nacido en la ciudad holandesa de Dordrecht, al igual que él estudió leyes en la Universidad de Leiden y en la universidad protestante francesa de Angers (Francia), y matemáticas en la casa de Van Schooten. Junto a su hermano Cornelius visitó Francia, Italia, Suiza e Inglaterra y a su vuelta se instaló en La Haya como abogado. Su obra más importante fue Elementa curvarum linearum publicada también por su profesor Van Schooten dentro de La geometría de Descartes. De Witt era capaz de reducir todas las ecuaciones de segundo grado en x e y a formas canónicas y reconocer cuándo representaban una elipse, una parábola o una hipérbola. Como actuario publicó, en 1671, el Tratado sobre anualidades de vida,donde realizó el cálculo de anualidades de diversos productos financieros que el Estado puso en marcha para conseguir mayores ingresos.
Gran Pensionario
En 1653 Johan de Witt fue nombrado Gran Pensionario, un cargo parecido a primer ministro de las Provincias Unidas, en nombre del partido republicano que tenía sus apoyos entre la rica clase comerciante holandesa y enfrentado a la facción Orange, popular entre los artesanos y las clases más bajas de la sociedad- Desde 1654 a 1665 consolido las finanzas de las Provincias Unidas. Tras participar en varias guerras contra Inglaterra, en 1667 firmó el Tratado de Breda y en 1668 un acuerdo entre las Provincias Unidas, Inglaterra y Suecia. En 1672, Francia invadió las Provincias Unidas y tanto él como su hermano Cornelius fueron acusados de colaboracionismo. Las Provincias Unidas lograron salvarse anegando las tierras, pero el 24 de julio de 1672 su hermano fue arrestado bajo la acusación de querer asesinar al príncipe de Orange, y dos semanas después Johan fue obligado a dimitir como primer ministro. El 20 de agosto, cuando iba a visitar a su hermano a la cárcel en La Haya, ambos fueron asesinados. Un comité rebuscó en vano pruebas inculpatorias entre los papeles de Cornelius, pero «no encontró nada, solo honor y virtud».
Ese cuarto se podría disfrutar de por vida o hasta la mayoría de edad, por ejemplo, recibiendo una determinada cantidad pagadera cada cierto período de tiempo. Ulpiano, un jurista romano del siglo III a.C., elaboró una tabla que fijaba la duración de la anualidad que debía recibir el beneficiario en función de la edad del mismo:

En 1671, las Provincias Unidas, acuciadas por los gastos de la guerra contra Francia, habían decidido elevar los ingresos de las arcas estatales mediante la venta de anualidades. Para el Estado era una buena forma de financiarse y para el adquiriente, también, ya que una renta vitalicia era una manera de asegurarse un ingreso regular proveniente del Estado. Por ejemplo, el Estado podía proveer a una viuda un ingreso regular hasta su muerte a cambio de una cantidad fija de dinero por adelantado. Cuando se hablaba de que el precio de una anualidad de vida era de 14 años, significaba que el precio de compra debería ser 14 veces el pago anual que se recibía del Estado.
Ese mismo año 1671, Johan de Witt, como Gran Pensionario de Holanda, escribió un informe titulado « Waerdye van Lyf-renten Naer Proportie van Los-Renten» («Valor de las anualidades de vida en proporción a las anualidades reembolsables»), que presentó a los Estados Generales. En ese tiempo, las anualidades eran a 14 años, con una tasa de interés del 4 por ciento. De Witt probó que era ventajoso, incluso para un niño de 3 años, comprar una anualidad de al menos a 16 años y calculó también los precios de compra para otras edades. Recomendaba vivamente que los niños, una vez superadas las enfermedades de la infancia, adquirieran este producto financiero.

En segundo lugar, De Witt argumentó a favor de una curva uniforme de mortalidad hasta los 53 años. A partir de esa edad, la probabilidad de morir en un año dado del segundo intervalo es 3/2 veces la probabilidad de morir en un año del primer intervalo y los correspondientes factores para el tercero y cuarto intervalo son 2 y 3.
De Witt, al igual que Christiaan Huygens, consideró la distribución del número de fallecidos como una función de probabilidad, usando como unidad de tiempo no el año, sino el medio año o el semestre.
Johannes Hudde: matemático y alcalde de AmsterdamJohannes Hudde (1628-1704), como Huygens y De Witt, estudió leyes en la Universidad de Leiden y matemáticas con Van Schooten. Hijo de un ricomercader que comerciaba con productos importados del Lejano Oriente, ocupó diversos cargos políticos en su ciudad natal, Amsterdam, de la que llegaría a ser alcalde en 1670 durante más de treinta artos. En sus escasos nueve años como matemático, entre 1654 y 1663, antes de ocupar puestos en la Administración. Hudde hizo importantes aportaciones a la geometría, a la teoría de la resolución de ecuaciones y al cálculo de máximos y mínimos de curvas, trabajos que lo convierten en uno de los precursores del cálculo diferencial. Es famosa la regla que lleva su nombre. Los trabajos de Hudde fueron publicados, al igual que los de De Witt, por su profesor Van Schooten dentro de la traducción al holandés de La geometría de Descartes. Trabajó también en óptica fabricando telescopios, al igual que Huygens, con quien mantuvo correspondencia.
Según las dos suposiciones tomó el número de oportunidades (muertes) cada semestre para los cuatro intervalos anteriores iguales a 1, 2/3, 1/2 y 1/3, contrariamente a lo supuesto en su segunda hipótesis, y de manera sorprendente cambió la argumentación y supuso que la mortalidad decrecía en lugar de aumentar. Calculó el valor esperado de la anualidad cifrándolo en 16 florines.
De Witt pidió a Johannes Hudde, alcalde de Amsterdam, que revisara los cálculos que él había realizado Hudde y dos contables de los Estados Generales certificaron que los datos eran correctos. El 20 de octubre de 1671, justamente el día después de que De Witt presentara ante los Estados Generales su informe, Hudde le envió su tabla de mortalidad y tres días más tarde la mandó a Christiaan Huygens. Todo parece indicar que Hudde conocía la correspondencia establecida entre los hermanos Huygens en 1669. De Witt observó que los datos ofrecidos por Hudde eran algo diferentes a los suyos pero que se podrían aproximar y modelizar a través de fracciones, como se ve en la tabla siguiente, que muestra las probabilidades de fallecimiento de los supervivientes, según las diversas hipótesis:

Autores recientes consideran que la elección del precio medio de la anualidad de 16 florines por parte de Johan de Witt tuvo que ver más con cálculos políticos, con su faceta de Gran Pensionario, que con la de matemático. Conociendo los valores medios de las anualidades pagadas para los cuatro intervalos: 3-63, 53-63, 3-73 y 73-80 y utilizando como unidad intervalos de medio año, la siguiente tabla muestra el valor de la anualidad en tres escenarios diferentes, es decir, con tres distribuciones de muertes diferentes: la primera corresponde con los factores 1, 3/2, 2 y 3, la segunda con una distribución uniforme y la tercera con la usada por De Witt con factores 1, 2/3, 1/2 y 1/3:

De Witt y Hudde también discutieron sobre el valor de la anualidad en base a la mortalidad de los beneficiarios y el cálculo de las anualidades para dos o más personas. En una carta a Hudde, De Witt exponía:
Existe una convicción generalizada de que la renta vitalicia para dos personas para una compra de 17 años es mucho más ventajosa que la de una sola por una compra de 14 años y hasta podría ser que una renta mancomunada si se vendiese por una compra de 18 años sería preferible a la de una sola persona por una compra de 14 años; como esto podría producir una ventaja notable para la república, es, en mi opinión, de la mayor importancia dejar a la gente en esta convicción.De Witt presentó asimismo un método para encontrar el valor de la anualidad basada en el último superviviente de un conjunto de personas. Así, por ejemplo, un conjunto de 8 personas jóvenes de la misma edad que tengan diferentes esperanzas de vida: 7, 15, 24, 33, 41, 50, 59 y 68 años. A partir de la tabla de anualidades halla que la anualidad promedio es de 17,2 florines. Por otra parte, la anualidad real que recibe una persona que ha vivido 68 años, es de 23,3 florines. Así, el valor de las anualidades entre 1 y 8 se encontrará entre 17,2 y 23,3 florines. Para m vidas, habrá 8 sobre m combinaciones, 2 ≤ m ≤ 8, de las 8 edades y a cada combinación le corresponde la anualidad de más larga duración. La media de esas anualidades reales ponderadas por unos coeficientes binomiales nos dará el valor buscado. El método utilizado por De Witt es más simple que el empleado por Christiaan Huygens para calcular la esperanza de vida, lo que indicaría que aquel, a diferencia de Hudde, no llegó a conocer la correspondencia existente entre los hermanos Huygens. Una renta viajera es una renta que se paga anualmente hasta la muerte del beneficiario. En 1653, las Provincias Unidas decidieran establecer una tasa del 5 por ciento a las rentas viajeras adquiridas por transmisión después de una muerte (estas rentas se suscribían normalmente sobre la cabeza de una tercera persona que se podían transmitir por herencia). Hacía falta, por tanto, calcular el valor de esas rentas en función de la edad de la persona sobre cuya cabeza había sido suscrita. También, a lo largo de 1670 y 1671, los Estados Generales, ante la previsible invasión de las Provincias Unidas por Financia, posibilidad que después se confirmaría, decidieron aumentar la asignación presupuestaria a los ejércitos y para ello crearon una comisión para decidir qué medidas serían más convenientes para conseguir esos ingresos extraordinarios. Se propuso, por ejemplo: doblar durante un año la tasa sobre la harina; endeudarse, emitiendo unas rentas al 4 por ciento amortizable al cabo de 43 años (o una renta a un interés más elevado pero con un período de amortización más pequeño), o emitir un préstamo en rentas viajeras en forma de tontinas al 1/14 por ciento sobre una cabeza o al 1/17 por ciento sobre dos cabezas o personas.
Es aquí donde, Johan de Witt presentó a los Estados Generales su informe «Waerdye van Lyf-renten Naer Proportie van Los-Renten » («Valor de las anualidades de vida en proporción a las anualidades reembolsables»). De Witt argumentó que para los Estados eran más conveniente la emisión de rentas viajeras de 16 florines de valor medio que las rentas amortizables al 4 por ciento.
Otro tipo de producto financiero en boga en el siglo XVII eran las llamadas «tontinas». Una tontina se establece cuando una serie de personas (accionistas) se ponen de acuerdo para establecer una sociedad en la que heredan las rentas y réditos de los que mueren. Se acaba la obligación cuando llega a fallecer el último de los accionistas de los que la suscribieron. Cada participante paga una suma para la tontina y cuando muere alguno de los participantes se reparten los dividendos de este entre los supervivientes, hasta que queda solo uno vivo, que se quedarla con todo el capital.
En el modelo original, el dinero que no fuera empleado, por diversas causas —porque ninguno de los participantes quedara vivo, el legítimo dueño no quisiera disponer de él, etc.—, se destinaría en última instancia al Estado, que lo emplearía para obras públicas.
Una tontina introduce un elemento de azar para el comprador de la misma ya que sus réditos dependen de la vida media de las otras personas de su mismo intervalo de edad que adquieren este producto financiero. Con el tiempo las tontinas no tuvieron buena prensa debido a que en algunos lugares donde se implantaron se produjeron asesinatos entre miembros que las habían suscrito para cobrar más intereses y, en última instancia, hacerse con el capital inicial.
§. La importancia de los conceptos de vida media y vida probable
La correspondencia de 1669 entre los hermanos Huygens estableció la diferencia entre «esperanza» (vida media) y «apariencia» (vida mediana o probable). Con la vida media se calculaba el número de años que una persona puede esperar vivir mientras que la vida probable se calculaba el número de años donde existe la misma probabilidad de llegar a esa edad como de no llegar a ella. Lodewijk calculaba lo que él llamaba «resto de vida» (vida media) basándose en el número total de años vividos por personas que sobreviven a una determinada edad, mientras que Christiaan razonó en términos de una apuesta equitativa: ¿qué ocurre con dos personas con igual vida media pero donde la probabilidad de alcanzar esas edades es diferente? La respuesta a esa pregunta es su concepto de «vida probable». Christiaan trabajaba con probabilidades y con la noción de juego justo al igual que lo hizo en su tratado De ratiociniis in ludo aleae. Fue el primero en dibujar una función de supervivencia y de utilizarla para calcular vidas medianas.
Los dos hermanos Huygens llegaron al acuerdo de que la vida media debe aplicarse a las rentas viajeras y la vida probable a las apuestas. A lo largo del siglo XVIII los matemáticos fueron más proclives a utilizar la vida media en vez de la vida probable.
Christiaan Huygens fue el primero en dar a los datos de la tabla de mortalidad de Graunt una interpretación probabilística y el primero en ver que la recién creada ciencia de la probabilidad tenía aplicaciones más allá de los juegos de naipes o de dados.
En las Provincias Unidas del Norte Hudde y De Witt, con un bagaje matemático como los hermanos Huygens, tenían la necesidad de allegar recursos al incipiente Estado a través del cálculo de anualidades y la venta de rentas vitalicias. La correspondencia de Christiaan con Hudde y De Witt muestra la utilización de la distribución del número de fallecidos como funciones de probabilidad y la búsqueda de funciones que se ajustaran a los datos de beneficiarios de anualidades lo mejor posible. Digamos que en ello le iban las arcas de su nación y su prestigio político.
Así pues, la correspondencia de Christian Huygens sobre el cálculo de la esperanza de vida con su hermano y de anualidades de rentas viajeras con Hudde y De Witt se encuentra en la base de la demografía y el cálculo actuarial actual
Capítulo 4
La curva para los relojes de péndulo
En 1673 Christiaan Huygens publicó la que algunos consideran su obra magna, el Horologium oscilatorium, en la que combinó sus facetas de matemático, físico e inventor. Las importantes propiedades teóricas que dedicó de la curva cicloide se encuentran en la base de la precisión de los relojes de péndulo diseñados y construidos por él. El reloj de péndulo se convirtió así en el instrumento más apropiado para determinar la longitud en alta mar, por lo que favoreció los viajes marítimos alrededor del planeta.En 1670 Christiaan Huygens se trasladó a su país debido a una grave depresión que le acechó en diversos momentos de su vida. Antes de abandonar París llamó al embajador inglés para pedirle que sus trabajos fueran publicados por la Royal Society, ya que, según su parecer, la Real Academia de Ciencias corría el peligro de disolverse debido a las envidias existentes entre sus miembros.
Recuperado de su enfermedad, Huygens volvió a París en 1671. Sin embargo, Francia había invadido las Provincias Unidas, lo que le colocaba en una situación difícil en la Academia, pues era visto por algunos como un espía más que como un hombre de ciencia. Durante este tiempo también recibió las críticas de miembros de la Academia, como Gilles de Roverbal, que consideraba que los anillos de Saturno se debían a vapores que emanaban de su ecuador.
El 11 de enero de 1672, el secretario de la Royal Society, Oldenburg, escribió a Huygens dándole noticias de la invención de un nuevo telescopio por parte de Isaac Newton (1643-1727), profesor de matemáticas de Cambridge. Se trataba del telescopio de reflexión alejado de los de refracción construidos por Huygens que exigían tubos cada vez más largos. El científico neerlandés lo encontró «bonito e ingenioso» y agradeció a Oldenburg las noticias del «maravilloso telescopio del monsieur Newton»
§. El Horologium Oscillatorium
En 1673 Huygens publicó una de sus obras más conocidas: Horologium oscillatorium: sitie motu pendutorum ad horologia aptato demostrationes geometricae, que dedicó al rey de Francia Luis XIV, a pesar de que este había declarado la guerra a su país. En realidad, el científico neerlandés publicó en estos años tres escritos importantes sobre el tema del reloj de péndulo o quizá fuera mejor decir que lo que hizo fue ir trabajando sobre un primer escrito a lo largo de catorce años: el Horologium de 1659, el Kort Onderwys de 1665 y, por fin, el Horologium oscillatorium de 1673.
En el Horologium de 1659 Huygens dio a conocer la aplicación del reloj de péndulo como sistema para marcar periodos de tiempo con precisión. En enero de 1663 colaboró con el inventor escocés Alexander Bruce (1629-1681), conde de Kincardine, en la construcción de dos relojes de péndulo. En 1665, Huygens publicó el Kort Onderwys, obra práctica dedicada a los capitanes de barco que debían transportar el reloj de péndulo para la determinación de la longitud en alta mar, iría completando este primer manual hasta que en 1673 decidió publicar Horologium oscillatorium, donde mostraba que la cicloide era la curva que necesitaba para construir relojes de péndulo precisos.
El Horologium oscillatorium consta de cinco partes. Excepto la cuarta, escrita en 1664, las restantes partes de la obra están escritas en los tres meses del otoño de 1659. La primera describe el mecanismo del reloj diseñado por Huygens. Consistía en una cadena sin fin, una lenteja al final del péndulo que minimizaba la resistencia al aire, unas pesas que ajustaban el movimiento de oscilación y un par de láminas en forma de cicloide invertido, que forzaban el péndulo a describir ese camino.
La segunda parte del Horologium oscillatorium está dedicada al estudio de los cuerpos en caída libre, por planos inclinados y a lo largo de curvas. El libro demuestra que el tiempo de caída de un cuerpo por una curva cicloide invertida no depende del punto de partida, es decir, la cicloide es tautócrona e isócrona, con lo que la duración de los movimientos del péndulo es la misma. La tercera parte introduce la teoría de las evolutas. La curva ABC se llama «evoluta» del latín evolvere (desenrollar). Los puntos de la evoluta al desenrollarse crean otra curva AST denominada «involuta». Huygens relaciona la evoluta y la involuta mecánicamente. Las tangentes de la evoluta son líneas normales a la involuta y dichos papeles de involuta y evoluta se pueden intercambiar (figura 1).
La cuarta parte, escrita en 1664, compara el péndulo físico con el péndulo ideal o matemático, Un péndulo (del latín pendulus, colgante) es todo cuerpo que puede oscilar con respecto a un eje fijo. Un péndulo ideal, simple o matemático, es todo cuerpo de masa m (sumamente pequeña), suspendido por un hilo inextensible y sin peso. Si en el extremo del hilo suspendemos un cuerpo cualquiera, obtendremos un péndulo físico. Llamaremos una oscilación simple a la trayectoria descrita entre dos posiciones extremas. Y definiremos tiempo de oscilación simple t al tiempo que emplea un péndulo en efectuar una oscilación simple y que es aproximadamente igual a:

La última parte del libro introduce un reloj cónico en el que el péndulo, en vez de moverse en un plano, rota alrededor de un eje vertical. Al igual que el reloj cicloidal descrito en la primera parte de esta obra, este péndulo es también isócrono. Esta parte termina con trece teoremas sobre la fuerza centrífuga que justifican el movimiento isócrono de este péndulo cónico, al igual que los teoremas de la segunda parte del Horologium oscillatorium justificaban el movimiento isócrono del reloj cicloidal descrito en la primera parte de la obra.
El péndulo de FoucaultUn péndulo tiene la propiedad de mantenerse invariable al modificarse la posición del plano sostén. Aplicando esta propiedad, el 26 de marzo de 1851 el físico francés Léon Foucault (1819-1868) utilizó un péndulo, que constaba de una esfera de cobre de veinticinco kilogramos suspendida de la cúpula del Panteón de París por un alambre de acero de setenta y nueve metros de largo, para demostrar que la Tierra giraba.Foucault lo había probado antes, el 3 de febrero de ese mismo año, en el Observatorio de París con enorme éxito entre los asistentes. Dispuso en el suelo una capa de arena húmeda en la cual el fiel de la esfera marcaba los recorridos de sus oscilaciones. De este modo se observaba que esas marcas se iban modificando a medida que transcurría el tiempo. Como el plano de oscilación era constante eso significaba que lo que giraba era el suelo, es decir, la Tierra.
El péndulo de Léon Foucault en el Panteón de París.
§. El concurso de Pascal sobre la curva cicloide
Christiaan Huygens se interesó por el tema de la cicloide a partir de una carta de Mersenne de 1644, en la que le enviaba el tratado del científico italiano Evangelista Torricelli sobre esta curva, y de un concurso convocado por Blaise Pascal sobre este problema.
En 1658, una noche que no podía dormir a causa de un dolor de muelas, Pascal se enfrascó en el estudio de la cicloide y calculó el área de cualquier segmento de ella. En los siguientes días, calculó el centro de gravedad de cualquier segmento de una cicloide, su volumen y el centro de gravedad del sólido obtenido al girar una cicloide sobre su eje. Acto seguido, convocó un concurso por el que ofrecía dos premios, un primero de cuarenta pistolas (moneda de la época) y otro segundo de veinte pistolas, para quien aportara las soluciones de esas problemas. Expirado el plazo de tres meses, publicaría los resultados.
Entre los matemáticos que participaron figuraban John Wallis, René de Sluze y Christopher Wren. Lo cierto es que Wallis no tuvo éxito con la resolución de los problemas y otros, como Huygens y Wren, comunicaron sus descubrimientos sin participar en el concurso.
Huygens halló el área EBF, el segmento completo EBO y la distancia del centro de gravedad del segmento de la base EO, y dedujo el volumen del sólido de revolución alrededor de esta base. También mejoró el método del cálculo de la tangente a la cicloide en el punto E, que queda caracterizada por la propiedad de ser paralela a la cuerda BG del círculo generador (figura 2).

En enero de 1650, Huygens recibió el resultado de Wallis de que la longitud de la cicloide era ocho veces el radio del círculo que la generaba, pero, sin la demostración. Comprobó el resultado de Wren y comunicó a Wallis que él mismo había descubierto una demostración general.
La demostración de Huygens de la rectificación de la cicloide corre paralela a la usada para descubrir el isocronismo de esa misma curva. Trabajó con triángulos infinitesimales que transformó en triángulos no infinitesimales, envolviendo cuerdas y senos. Aplicó resultados de cálculo de áreas a través de sumas infinitas de segmentos o de sus senos, ya que no se conocían todavía las técnicas del cálculo infinitesimal.
Con las técnicas actuales es mucho más fácil llegar a dicho resultado. La longitud de arco de una curva entre dos puntos A y B, se calcula mediante la integral:




§. Réplica del experimento de Mersenne
Galileo quería encontrar la longitud del péndulo que batía el arco en un segundo y usarlo para determinar la distancia recorrida por un cuerpo en caída libre en ese segundo. Marín Mersenne concluyó que el péndulo que batía los segundos debería tener una longitud de tres pies reales parisinos y en 1647 había realizado el siguiente experimento al objeto de comparar matemáticamente la caída de la lenteja del péndulo a lo largo de un cuarto de círculo con la caída libre de un cuerpo a través de la longitud del péndulo: Dejó caer, a la vez, una bola en caída libre al suelo y simultáneamente una lenteja de un péndulo de tres pies de longitud sobre una pared. Ajustó la altura de lanzamiento de la bola y la lenteja del péndulo hasta que los sonidos de ambos, al chocar contra el suelo y la pared, coincidieran, y determinó la distancia recorrida por la bola en caída libre en el tiempo que el péndulo choca contra la pared. Mersenne observó también que el tiempo de caída a lo largo del cuarto de arco era menor que el tiempo de caída a lo largo de la cuerda que sustenta el arco (figura 3).

Durante el mes de octubre de 1659, Christiaan Huygens replicó el experimento de Mersenne. Obtuvo que en los movimientos circulares la fuerza centrípeta (attractio) se duplica cuando la longitud del péndulo se duplica, si el tiempo permanece constante; y la fuerza se cuadriplica si la velocidad se duplica, permaneciendo constante el radio. A final de cuentas, el matemático concluyó que la fuerza centrípeta es inversamente proporcional al radio.
Todo esto se puede expresar en notación moderna como:
F = m2 /R
Huygens fue capaz de ajustar el diámetro de un círculo para que la fuerza centrífuga de un cuerpo fuera igual a su peso, usando como aceleración de la gravedad catorce pies por segundo.Seguidamente, Huygens le añadió una dimensión más a su problema. Consideró un cuerpo que se movía por un plano inclinado y cuya fuerza centrifuga era contrarrestada por el peso del cuerpo. Así, el peso D es al peso C como la perpendicular BF es a la base FA (figura 4).
En este caso, el plano inclinado se puede considerar tangente a un paraboloide en que la bola complete cada revolución en el mismo tiempo.


Así con una bola que gire dentro de un cáliz de figura parabólica, la fuerza centrífuga estará en equilibrio con el peso de la bola a cualquier altura; de este modo, la bola se moverá en tiempos iguales en todos los círculos de su camino paraboloidal. Se moverá más rápido (o lento) en una altitud dependiendo de que la fuerza centrifuga sea más grande (o más pequeña) que el peso efectivo en esa altura y la altitud aumentara o disminuirá hasta, que esté en equilibrio.
Huygens demostró el isocronismo del paraboloide de revolución, y afirmó que si de alguna manera pudiesen ser contadas dichas revoluciones podríamos medir el tiempo de una manera más precisa que con el péndulo.



§. La cicloide es isócrona
En diciembre de 1659, Huygens abordó el isocronismo de la cicloide. La clave de su resolución estuvo en contemplar el problema de Mersenne desde un punto de vista infinitesimal. El péndulo simple no es isócrono, pero sí lo es para arcos pequeños. Siguiendo el experimento de Mersenne, Huygens comparó el movimiento de caída de una lenteja de un péndulo bajo la influencia de la gravedad desde un punto situado sobre un camino circular de un arco pequeño con la caída libre de un cuerpo a través del diámetro del círculo. La demostración de Huygens era puramente geométrica Para probarla necesitaba representar geométricamente un movimiento acelerado con la introducción de una serie de parábolas de caída. Al final probó que como el tiempo de caída libre por el diámetro del círculo TZ era una constante, también lo era el tiempo de caída de la lenteja del péndulo desde un punto arbitrario K sobre el círculo hasta el punto más bajo de su movimiento Z, luego el movimiento de ese punto K es isócrono (figura 7).

Huygens necesitaba una curva que preservara que la proporción DB/CB = CE/CF, donde F estuviera sobre esa nueva curva, siendo DB su normal y GE un valor fijo, y la descubrió. El matemático demostró que esa curva era la cicloide ya que la tangente a la curva en B era paralela a AP, propiedad compartida en exclusiva por la tangente de la cicloide. Luego, con estos dos pasos, Huygens había probado no solo que el movimiento del péndulo era isócrono y constante, sino que para que la anterior condición se verificara, el péndulo debía dibujar en su recorrido una cicloide. Había emergido, por tanto, en esta segunda parte del Horologium. oscillatorium, la cicloide como curva isócrona, que justificaba el diseño de su reloj dado en la primera parte de su tratado (figura 8). §. La cicloide es tautócrona
Huygens descubrió también que la cicloide era «tautócrona» (del griego, tauto = del mismo, chronos = tiempo): si un punto se desplaza por efecto de su peso a lo largo de una cicloide invertida llegará al punto mínimo en un tiempo que no depende del punto desde donde comenzó a caer (figura 9).



Utilizando técnicas actuales también podrá probarse de manera muy sencilla.
Sabemos que la velocidad es la variación del arco de cicloide respecto del tempo es
v = ds/dt
Por otra parte, también sabemos que por ser un movimiento en caída libre v = √(2gh).Despejando la dt e integrando tendremos el tiempo:

x = R (α - sen α)
x = R (1 - sen α)
luego


§. La teoría de las evolutas
El concepto de evoluta que aparece en la tercera parte del Horologium oscillatorium de Huygens está ligado al concepto de curvatura. El círculo se curva de manera uniforme (su curvatura es constante) y un círculo pequeño se curva más bruscamente que uno más grande (su curvatura es más grande). En consecuencia, la curvatura de un círculo se puede encontrar a través del reciproco de su radio. Otras curvas pueden tener curvatura no constante, que varíe según el punto considerado. No obstante, les podremos asignar una curvatura a través de la curvatura del círculo que mejor se le aproxime en la cercanía del punto considerado. El mejor círculo aproximado puede ser obtenido trazando normales a la curva en el punto y en sus infinitesimales puntos cercanos, la intersección de dos normales nos proporciona el centro del círculo aproximado. La distancia del centro al punto de la curva es el radio y su inverso es la curvatura en dicho punto. La evoluta se puede calcular como el lugar geométrico de los centros de curvatura de la involuta.
Una envolvente es una curva que es tangente a una familia de curvas de características comunes. La envolvente de una cicloide es también una cicloide, es decir, las normales a una cicloide definen otra cicloide, y la longitud del segmento de la normal desde la curva hasta el punto de tangencia con la evoluta más el arco de evoluta que va desde dicho punto de tangencia hasta su vértice es siempre la misma constante, cuatro veces el radio, 4R:
L = CT + arco(TV) = 4R
donde V es el punto en el que está suspendido el péndulo entre dos arcos de cicloide o vértice de la evoluta, T es el punto de tangencia del hilo con arco de cicloide (es también el punto de intersección de la normal trazada desde C con la evoluta) y C es el extremo o lenteja del péndulo que describe una cicloide (figura 10). Es decir, dada una cuerda de longitud 4R sujeta al punto V y que se desplace a modo de péndulo, apoyándose tangencialmente en los arcos de la evoluta, el extremo del hilo siempre describe una cicloide. Es decir, si el péndulo se enrolla y desenrolla entre dos arcos de cicloide, el extremo del péndulo también describe una cicloide. Así pues, la longitud del péndulo debería ser el doble del diámetro del círculo generador de la cicloide. No obstante, de la longitud del péndulo depende el tiempo de oscilación.
Por tanto, para construir un reloj a modo práctico, debería calcularse primero la longitud del péndulo y después ajustar unas láminas cicloidales para asegurar el movimiento isócrono. Luego lo inicial es determinar la longitud del péndulo con la fórmula que relaciona la longitud y el tiempo y que Huygens fija en nueve pulgadas y media para batir en un segundo. Posteriormente debemos curvar dos láminas de metal en forma de cicloide que tengan un círculo generador de radio la cuarta parte de su longitud, R = 1/4 y colgar un péndulo entre ellas. Cuando el péndulo choque contra las láminas, la lenteja modificará su camino circular a uno cicloidal Un peso como el de la lenteja del péndulo alcanzará el punto más bajo en el mismo tiempo independientemente del camino del comienzo de la oscilación. Huygens comentó a su profesor Van Schooten: «Sin duda es mi mejor descubrimiento».
Huygens también demostró que la evoluta de una parábola es una parábola semicúbica y después calculó la evoluta de una elipse.

La cicloide, amén de ser isócrona y tautócrona, tiene otra propiedad que la hace interesante, relacionada con una cuestión que el médico y matemático Johann Bernoulli (1667-1748), hermano de Jakob Bernoulli, formuló en 1696 en Acta eroditorum: «Dados dos puntos A y B en un plano vertical, cuál es la curva descrita por un punto que solo bajo la gravedad saliendo de A y llegando a B, la recorre en el
mínimo tiempo». Es decir, cuál era la curva de descenso más rápido o cuál era la curva que tenía la propiedad de ser «braquistócrona» (derivada de las palabras griegas braquisto = el más breve, chronos = tiempo). En 1638 Galileo Galilei había propuesto que tal línea debería ser una recta que formara con B un ángulo de cuarenta y cinco grados (figura 11), pero posteriormente se dio cuenta de que si dividía el camino entre esos dos puntos en dos segmentos lineales AC y CB, donde C es un punto del arco de circunferencia que une A y B , y el proceso se repetía un número suficientemente grande de veces, la braquistócrona debería ser el arco de circunferencia, (figura 12).
Johann Bernoulli advirtió que dicha conclusión no era correcta: «Aunque la línea recta AB es ciertamente el camino más corto entre los puntos A y B, no es, sin embargo,
el camino que se recorre en el tiempo más corto. Sin embargo, la curva cuyo nombre daré si ningún otro la descubre antes de finales de este año, es bien conocida por los geómetras». En enero de 1697 Johann Bernoulli escribió una carta a Huygens en la que le mostraba su satisfacción por tener delante de sus ojos alguna solución a la pregunta que había formulado: «Te vas a quedar petrificado cuando te diga que la cicloide es, precisamente! la braquistócrona solicitada». Un concurso para el problema de la braquistócronaEn 1696 Johann Bernoulli propuso un concurso a los miembros de la Royal Society londinense que consistía en la resolución de dos problemas, el primero de los cuales era el de la braquistócrona.Dio de plazo hasta et 1 de enero de 1697 para enviar las soluciones En estas fechas existía un enfrentamiento entre el filósofo y matemático alemán Gottfried Leibniz (1646-1716) e Isaac Newton, y Johann los retó a ambos a participar en el concurso. Tras esperar seis meses solo había resuelto el primer problema Leibniz, que aconsejó ampliar el plazo, a lo que Bernoulli accedió. Isaac Newton resolvió los dos problemas el 29 de enero de 1697. La demostración del primero era de una brevedad y elegancia admirables, tal como se ve en la figura; «Desde el punto A se traza una recta APCZ paralela al eje X y seguidamente trazamos una cicloide AQP que corta a una recta en el punto O, y posteriormente se traza una segunda cicloide ADC cuya base y altura están en relación como AB es aAQ. Esta última cicloide que pasa por B es la curva que solo bajo la acción del peso, por la fuerza de la gravedad, más rápidamente va del punto A al B», Después de Leibniz y Newton, su hermano mayor Jakob Bernoulli y el marqués de L'Hôpital dieron también con la solución. En mayo de 1697 se publicaron en el Acta eroditorum la solución aportada por Leibniz al problema de la braquistócrona, la dada por Johann Bernoulli y una traducción al latín de la aportada por Isaac Newton.
§. La demostración de la braquistocronía de la cicloide de Bernoulli
La demostración de la braquistocronía de la cicloide de Johann Bernoulli era más física y más larga que la de Newton. Como afirmaba Galileo, el camino más corto es el segmento rectilíneo que une dos puntos, pero el tiempo no depende solo de la longitud sino también de la velocidad de la partícula.
En un medio homogéneo, es decir, con un mismo índice de refracción, la luz se propaga en línea recta. Cuando el medio no lo es, la luz cambia de dirección, lo que se puede explicar por el principio de mínima acción establecido por Pierre de Fermat que afirma que la luz recorre un camino cuyo tiempo de recorrido es mínimo.
Cuando se introduce un palo en el agua da la impresión de que se rompe, su inclinación dentro del agua parece distinta de la que tiene fuera. Este efecto óptico se llama refracción y es debido a que la velocidad de la luz cambia dependiendo de la densidad del medio que atraviesa, La velocidad de la luz en el aire es mayor que en el agua.
La ley de refracción fue descubierta en 1621 por el astrónomo y matemático holandés Willebrord Snell van Royen (1580-1626), pero se daría a conocer gracias a Christiaan Huygens que la publicó en 1703. La ley de Snell afirma que los senos de los ángulos de refracción en una superficie de separación de dos medios ópticos homogéneos son inversamente proporcionales a la razón de sus densidades, es decir:

la velocidad de una partícula de luz dentro de un medio es inversamente proporcional a la densidad óptica de ese medio.




MO + OR = AM tan α1 + RB tan α2 = cte
diferenciando la anterior expresión:
AM sec2 α1dα1, +RB sec2 α2dα2 = 0
que sustituida en la diferencial de t nos da:
La idea de la demostración de Johann es aplicar la ley de refracción y efectuar un paso al límite, haciendo tender a cero el grosor de las capas. Luego, si se hacen estos dos tiempos infinitesimales, en cualquier punto de la trayectoria se cumple que:
![]()






K2 /2g = 2R
es la altura máxima que alcanza la cicloide siendo R el radio de la circunferencia generatriz.Estas demostraciones de Bernoulli constituyen el inicio del cálculo de variaciones que se encarga de buscar funciones que cumplen que una determinada magnitud sea máxima o mínima. Luego la cicloide es isócrona, tautócrona y braquistócrona.
§. La precisión de los relojes y la navegación marítima
Las propiedades de la cicloide desempeñaron un papel muy importante en la construcción de relojes de péndulo de precisión. La cuestión de la precisión de los relojes, resuelta en gran medida por Huygens, fue de enorme importancia para la navegación marítima.
Así como para averiguar la latitud de un lugar los marinos solo tenían que mirar la altitud del Sol sobre el horizonte al mediodía, para medir la longitud de un lugar no bastaban las estrellas porque la esfera celeste estaba en continuo movimiento de rotación. Para determinar la longitud era necesario medir la posición de una estrella en un cierto instante, lo cual requería saber la hora que marcaba el reloj en el barco y también en el puerto base. La diferencia horaria entre esos dos puntos se puede convertir en diferencia geográfica, ya que una hora supone quince grados de longitud hacia el este o el oeste, pues la tierra tarda veinticuatro horas en girar trescientos sesenta grados. Cuando el navegante ajustaba el reloj del barco según el mediodía local en el mar, en el momento en que el Sol llegaba al punto más alto del firmamento, consultando después el reloj del puerto base, cada hora de diferencia entre ambos se traducía en quince grados de longitud, unos mil seiscientos kilómetros.
Hasta la época de los relojes de péndulo resultaba imposible saber labora exacta en dos lugares diferentes. En 1509, el rey de España Felipe III convocó un concurso con un premio de una pensión vitalicia de mil escudos para quien presentara un método práctico de calcular la longitud y los Estados Generales de las Provincias Unidas establecieron otro premio de treinta mil florines, con el mismo objeto.
Galileo había estudiado los eclipses de las lunas de Júpiter que ocurrían mil veces al cabo del año y por tanto podían utilizarse como reloj, ya que estos eclipses pueden pronosticarse con años de adelanto. Confeccionó unas tablas con sus apariciones y desapariciones. Incluso inventó el celatome, una especie de máscara con un telescopio acoplado en uno de los ojos para observar las lunas de Júpiter mientras que con el otro se observaba el propio planeta. Pero con este sistema bastaban solo los latidos del corazón de una persona para que Júpiter se perdiera del campo de visión del telescopio. Esto le impidió ganar los premios ofrecidos en España y en las Provincias Unidas.
En 1656 Huygens aseguraba que su reloj de péndulo era el instrumento adecuado para establecer la longitud en alta mar. En 1660 construyó dos relojes de péndulo e inmediatamente se organizaron viajes de relojes en barcos al objeto de permitir recoger datos para validar su uso. En 1662 Alexander Bruce, conde de Kincardine, amigo y socio de Huygens lo llevó desde La Haya a Inglaterra pero la prueba acabó en fracaso, ya que debido al mal tiempo, uno de los relojes se cayó al suelo y el otro se paró. Una segunda prueba corrió a cargo del capitán Holmes, en 1663, de Londres a Lisboa, pero no se tomaron datos suficientemente fiables. Y en una tercera, también del capitán Holmes, en 1664, a Jamaica, se obtuvieron buenos resultados de precisión, tanto en el viaje de ida como de vuelta. Sin embargo, las experiencias prácticas en otros viajes demostraron que los relojes de Huygens necesitaban condiciones atmosféricas benignas, pues se veían afectados por el balanceo del barco en los temporales. Para salvar este problema, Huygens patentó en 1675 el muelle espiral de volante como sistema alternativo al péndulo. Otros artesanos y relojeros, como el inglés John Harrison, vendrían a perfeccionar el mecanismo.
Los nuevos relojes de John HarrisonEn 1714 la reina Ana de Inglaterra promulgó el llamado Decreto de la Longitud donde se fijaba un premio de veinte mil libras esterlinas para un método que determinara la longitud con un error no superior a medio grado de un circulo máximo; de quince mil libras esterlinas para un método con un error no superior a dos tercios de grado y de diez mil libras esterlinas para un método con un error no superior a un grado.El relojero inglés John Harrison construyó una serie de relojes prácticamente exentos de fricción por mucho que se moviera el mundo a su alrededor. En 1714 diseñó el primer reloj portátil, el H1, que pesaba treinta y cuatro kilogramos y tenía cuatro esferas: una para las horas, otra para los minutos, otra para los segundos y la cuarta para el día de la semana. Durante veinte años desarrolló otros nuevos modelos. El H4 media solo trece centímetros y pesaba solo kilo y medio. En 1761, el H4 después de ochenta días de navegación rumbo a Jamaica tan solo se retrasó cinco segundos. Estos resultados le hacían merecedor del premio que el Comité de la Longitud habla establecido. En 1764, el Comité se ofreció a entregarle a Harrison la mitad del dinero del primer premio a condición de que les entregase todos los relojes marinos que tuviera y si quería el premio al completo debería construir dos copias de su reloj, el famoso H-4, como prueba de que se podía reproducir su diseño. El rey Jorge III, al que Harrison prestó uno de sus modelos, pudo comprobar la precisión del reloj y amenazó con acudir al parlamento o reprender a los parlamentarios, por lo que estos accedieron a entregar a Harrison un premio de ocho mil setecientos cincuenta libras, aunque no el premio oficial, que nunca fue otorgado a nadie
Reloj H1 de John Harrison
§. Últimos trabajos de Huygens
En 1677, Huygens tradujo del neerlandés al francés los estudios que su compatriota Antoni van Leeuwenhoek (1632-1723) había llevado a cabo con el microscopio inventado por el primero, entre ellos el descubrimiento de las bacterias y la investigación de la estructura de las plantas y los animales. Sus experimentos suponían un duro golpe a la tesis de la generación espontánea que algunos científicos preconizaban. En sus microscopios, Huygens usaba lentes muy finas, algunas con huecos rellenos de alcohol. El mismo año, Christiaan Huygens dictó en La Royal Society una conferencia sobre la gravedad y Newton sobre la doble refracción del espato de Islandia. Sorprendentemente se intercambiaron los papeles.
En 1678 Huygens enunció el principio que lleva su nombre; que actualmente se podría expresar como: «Cada punto de un frente de ondas se comporta como un foco emisor de ondas secundarias cuya envolvente constituye el nuevo frente de ondas». Un ejemplo práctico de este principio lo podemos observar cuando tenemos dos habitaciones conectadas por una puerta abierta y se produce un sonido en una esquina lejana de una de ellos, una persona en la otra habitación oirá el sonido como si se originare en el umbral de la puerta (figura 14). En 1679, Huygens, instalado en París, cayó nuevamente enfermo y en 1681 regresó definitivamente a La Haya, esta vez para no volver más a Francia. La invasión de su país por parte de los franceses, la revocación del edicto de Nantes que ponía en situación difícil a los protestantes en la católica Francia y la muerte de su mentor en la Academia, Colbert, le llevaron a tomar la decisión de , abandonar este país. Su padre le ofreció el cargo que él ocupaba al servicio de Guillermo III, pero estaba cansado de la corte.
En 1687 murió su padre y al año siguiente su hermano Constantijn partió hacia Inglaterra, cuando Guillermo de Orange se convirtió en rey de aquel país. Animado por la presencia de su hermano, con la idea de obtener un puesto en las islas y con el deseo de conocer personalmente a Newton, que en 1687 habla publicado sus Principia, viajó a Inglaterra en 1689.
El ocular de HuygensEn Inglaterra, Huygens se dedicó a construir grandes telescopios, de enorme distancia focal, que regaló a la Royal Society. Acabó construyendo telescopios de treinta y siete metros de distancia focal (sin tubo, aéreos), instalados sobre postes y sostenidos por cuerdas para evitar el alabeo de la madera. También diseñó un micrómetro para medir pequeñas distancias angulares y con el que determinar el tamaño aparente de los planetas, así como al ocular acromático que lleva su nombre. El ocular de Huygens está constituido por dos lentes plano-convexas, con las dos curvaturas dirigidas hacia la fuente de luz, y un diafragma intermedio. La última lente no amplifica, antes al contrario, disminuye et tamaño de la imagen del objetivo que, de no estar, se formaría en AB en lugar de A'B'. La encargada de la amplificación es la lente L' que da la Imagen virtual A"B" . Con esto se resolvía el problema de la aberración cromática, que se produce al atravesar la luz una lente.Aberración esférica
Las lentes presentan otro problema llamado aberración esférica, con independencia del color de las radiaciones que llegan al objetivo, debido a la curvatura de las lentes, los rayos que inciden más cerca de los bordes convergen más cerca del objetivo que los que llegan al eje principal. Los rayos próximos al eje se concentran en un foco y los más alejados lo hacen en otro punto, de modo que la imagen es un disco, circular. La aberración esférica se corrige con un diafragma que no permite el paso de los rayos alejados del ese. Huygens vio que era posible calcular la apertura permisible de tal diafragma para cualquier tipo de lente. Comprobó que combinando una lente convergente y otra divergente la aberración esférica se podía eliminar por compensación.
Huygens no entendió las ideas de Newton sobre la gravedad, no llegó a comprender cómo dos cuerpos se podían atraer sin que hubiera ningún material entre ellos. Creía que la luz era causada por una serie de ondas o vibraciones de un material llamado éter que se pensaba llenaba el espacio, vibraciones puestas en movimiento por las del cuerpo luminoso, es decir, era partidario de la teoría ondulatoria de la luz. Para Huygens la luz era como una sucesión de vibraciones longitudinales que pasaban a través de partículas contiguas que llenaban el espacio. Creía que las ondas tenían generalmente forma elipsoidal salvo si el medio era homogéneo (isotrópico), en cuyo caso adquirían una forma circular.
«Me gustaría visitar Oxford, aunque solo sea para conocer a Newton. Después de leer la obra que me envió, siento una gran admiración hacia sus excelentes descubrimientos,»En 1690 Huygens publicó su Tratado de la luz, donde estimó la velocidad de la misma en 214.000 km/s. Era la culminación de sus trabajos sobre la naturaleza de la luz iniciados en 1676. El 22 de noviembre de ese año, el astrónomo danés Ole Römer (1644- 1710) había leído un trabajo sobre la velocidad de la luz en la Real Academia de Ciencias de París. Huygens se basó en los datos de Römer sobre los ocultamientos de las lunas de Júpiter, ya que estas no se percibían desde la Tierra a intervalos regulares, debido al acercamiento y alejamiento de la Tierra a Júpiter. Al no recorrer la luz la misma distancia, el tiempo no era el mismo, y de este hecho se podía concluir la velocidad de la misma. En este trabajo estudió los fenómenos de reflexión, refracción y doble retracción, como ocurre en el espato de Islandia. Este mineral del norte de Europa tiene la propiedad sorprendente de que cuando se mira a través de él se observan imágenes dobles, debido a que se divide en dos cuando un rayo de luz incide contra una de sus caras, una vez en el aire los rayos siguen su camino paralelo. Este fenómeno tiene que ver con la polarización de la luz compuesta por movimientos transversales y verticales que quedan separados en dos al pasar por el espato.
Christiaan Huygens.
El mismo año de su publicación, Huygens envió su Tratado de la luz a Leibniz, al que había conocido durante su estancia en la Academia de París. En otoño de 1672, bajo la supervisión de Huygens, Leibniz había afrontado problemas que involucraban sumas de series. Cuando Leibniz abandonó París en 1676, ya había descubierto por si mismo los principios fundamentales del cálculo infinitesimal. No obstante, a estas alturas de su vida, Huygens consideraba la forma de resolver los problemas de Leibniz mediante el cálculo infinitesimal como un procedimiento oscuro, en comparación con sus métodos geométricos.
§. La epicicloide
Christiaan Huygens combinó estudios prácticos con otros más teóricos. En esta última etapa de su vida seguía estudiando las propiedades de las curvas. La epicicloide es la curva que sigue una trayectoria de un punto unido a una circunferencia que rueda, sin deslizamiento, por el exterior de otra circunferencia. Por su parte la nefroide, una curva plana cuyo nombre quiere decir «forma de riñón», es la epicicloide formada por un círculo de radio π rodando externamente sobre un círculo de radio 2 R (figura 15).

Si las dos circunferencias, la que rueda y sobre la que lo hace, tienen el mismo radio R, se genera una cardiode, nombre que recibe por su similitud con la forma del corazón. En 1671 el astrónomo Ole Römer la estudió como la mejor forma de la rueda dentada. Cuatro años después, el Abad de Vaumesle la había descrito en una carta que dirigió a Christiaan Huygens. El área de la cardiode es 6πR2. La cardiode se utiliza en la fabricación de balancines en el trazado de levas (figura 16).



Retrato de Christiaan Huygens realizado por el pintor barroco Caspar Netscher en 1671.
§. Cosmotheoros
En los últimos años de su vida, Huygens elaboró su obra Cosmotheoros , que no se publicó hasta 1698, después de su muerte. Se trata de un repaso a sus descubrimientos astronómicos y en ella discutió sobre la existencia de vida extraterrestre en otros planetas. Christiaan diseñó el libro en forma de dos cartas dirigidas a su hermano mayor Constantijn.
Suponía que en Júpiter o Saturno había agua, plantas, árboles, animales y personas como las que habitan la Tierra, personas en vicios y virtudes, e incluso imaginaba cómo verían el cielo y las estrellas los habitantes de esos planetas. A diferencia del astrónomo y matemático alemán Johannes Kepler (1571-1630), asimilaba nuestro Sol a una estrella semejante a las demás. Consideraba, como Descartes, que el mundo era un gran sistema mecánico y que el estudio de la naturaleza mostraba la existencia de un Creador. Huygens, aunque racionalista, nunca abjuró del protestantismo.
§. El rico legado de Huygens
La obra de Huygens fue excepcional y abarcó temas tan diversos como las matemáticas, la física y la astronomía. En todos trabajó mucho y bien, lo que le supuso problemas de ansiedad. La esmerada educación que recibió de sus padres y los viajes a los centros de conocimiento europeo durante su juventud dieron su fruto como astrónomo, Huygens descubrió los secretos de Saturno, sus anillos y sus lunas, y amplió la visión y las dimensiones de nuestro firmamento. Como un buen artesano, construyó telescopios con los que efectuó sus descubrimientos.
Sus estudios de física sobre teoría ondulatoria detalló la refracción o el choque de cuerpos forman parte del bagaje que persona conoce y estudia en los centros de enseñanza actuales, trescientos años después.
Como matemático fue capaz de demostrar las propiedades de la cicloide utilizando métodos geométricos, que quedarían obsoletos con la llegada del cálculo diferencial e integral de Newton y Leibniz. Tuvo que poner toda su pericia en resolver intrincados problemas al estilo cartesiano, con la única ayuda de la geometría. Quizá se le podría calificar como el último cartesiano. Su De raciotiniis in ludo aleae fue el primer gran libro de probabilidad que se escribió, y resolvió problemas como el del reparto o el de los puntos, a través del concepto de esperanza o valor medio de un juego. Podríamos decir que, con su labor, puso en marcha el reloj de la probabilidad, Su correspondencia con su hermano Lodewijk supuso también el inicio del cálculo actuarial, y mostró la diferencia entre vida media y mediana.
En su obra magna Horologium oscillatorium combinó su faceta de matemático, físico e inventor para construir precisos relojes de péndulo con los que resolver el problema de la longitud y de paso ayudar a los navíos a cruzar los océanos de nuestro planeta. No se conformó con su faceta de matemático y con deducir importantes propiedades de la cicloide sino que fue capaz de diseñar relojes que se debían asemejar al ideal que antes había deducido sobre el papel.
El reloj de péndulo le sirvió para comprobar que este iba más lento en el ecuador que en los polos, lo que confirmaba la idea de que la Tierra es más achatada en los polos, en contra de lo que decía Cassini. Hasta finales del siglo XVII, los relojes de Huygens eran los más precisos de los que disponía el Observatorio de París.
En 1687 Huygens explicó a su ayudante Tschrinhaus su fórmula para el éxito; « Partir de experimentos... concebir ciertas hipótesis y después queda mucho trabajo duro por hacer y uno necesita no solo gran perspicacia sino, con frecuencia, una dosis de buena fortuna ». Thomas Alva Edison decía: « El genio es 1 por ciento inspiración y un noventa y nueve por ciento transpiración ». No podremos decir qué tanto por ciento se debe a la ayuda de la diosa Fortuna en la elaboración de los trabajos de Huygens. Posiblemente no mucho, pero sí podremos decir, al igual que Pablo Ruiz Picasso, que cuando las musas aparecían siempre le pillaban trabajando.
Christiaan Huygens murió el 8 de julio de 1695, atormentado por el miedo a perder la razón y víctima de una manía persecutoria con respecto a su familia. Nos queda su obra y su esperanza.
- Alsika C. Trillas, B. Lecciones de álgebra y geometría. Curso para estudiantes de arquitectura, Barcelona, Editorial Gustavo Gilí, 1984.
- Ausejo, E., Las matemáticas en el siglo XVII, Madrid, Akal, 1992.
- Basulto Santos, J. y Camúñez Ruiz, J. A. La geometría del azar. La correspondencia entre Pierre de Fermat y Blaise Pascal, Madrid, Nivola, 2007.; Christiaan Huygens (1629-1605): La consolidación del cálculo de probabilidades, Oviedo, Septem Ediciones, 2011.
- Blanco Laserna, D. Huygens: La teoría ondulatoria de la luz, Colección Grandes Ideas de la Ciencia, Barcelona, EBA, 2013.
- Boyer, C. B. Historia de la matemática, Madrid, Alianza Editorial, 1987.
- Dunham, W., Viaje a través de los genios. Biografías y teoremas de los grandes matemáticos, Madrid, Pirámide, 1992.
- González Orbaneja, P. M., Las raíces del cálculo infinitesimal en el siglo XVII, Madrid, Alianza Universidad, 1992.
- Sánchez Fernández, C. y Valdés Castro, C., Los Bernoulli Geómetras y viajeros, Madrid, Nivola, 2001.
interpretó como que debía dedicar su vida al estudio y a la búsqueda de verdades indubitables, todas las cuales debían estar sujetas y basadas en su primera verdad «Cogito, ergo sum» («Pienso, luego existo»). Para Descartes existía la obligación de rechazar como falso aquello en lo que existiera la más mínima duda. Después de licenciarse del ejército, su vida transcurrió en los Países Bajos a partir de 1623. Allí vivió alejado de la opinión pública, a veces invitado a la casa de los Huygens. 


luego se necesitaría una cantidad infinita de pintura para pintar su interior, pero al mismo tiempo sería posible llenar ese espacio con algunos litros de pintura. La solución a la paradoja es que la trompeta es un objeto matemático que no puede construirse en la realidad. Al hacerse infinitamente estrecha, llegaría un momento en que su diámetro sería más pequeño que el diámetro de la molécula de pintura, por lo que una gota de pintura cubriría el resto de la trompeta, aunque fuese infinita. Así una superficie infinita no requeriría una cantidad de pintura infinita.

recientes del matemático e Ingeniero neerlandés Simón Stevin. Cuando el filósofo, físico y matemático francés René Descartes visitó Leiden en 1637, le pidió que le ayudara a ilustrar La geometría, lo que fe permitió conocer esta obra antes de su publicación. A Van Schooten, que había heredado el talento artístico de su tío maestro de Rembrandt, se debe uno de los pocos retratos de Descartes. Para conocer los trabajos de los algebristas franceses François Viéte y Pierre de Fermat en 1641 viajó a Francia donde se encontró también con et sacerdote, matemático y filósofo francés Marín Mersenne. En 1646, de vuelta a su ciudad, sustituyó a su padre en la cátedra de la Escuela de Ingeniería y editó las obras de Viéte. En 1649 Van Schooten publicó la versión latina de La geometría de Descartes, que contenía apéndices de sus discípulos Hudde, Heuraet y De Witt relacionados con el tema. En el libro V de suExercitationes mathematicae, titulado Secciones miscellanea triginta, que desarrollaba técnicas combinatorias, figuraba el De raciocinus in ludo aleae de Christiaan Huygens.



hayan escrito tantas cosas y tan diferentes». 
John Graunt (1620-1674), mercero y comerciante de tejidos de profesión, es considerado el primer demógrafo por sus investigaciones estadísticas sobre la mortalidad, realizadas en colaboración con su discípulo William Petty.
Tras ejercer la abogada en La Haya, en 1655 viajó a Francia para ampliar estudios. A diferencia de su hermano Christiaan, no mostraba un interés especial por las matemáticas, aunque se defendía bien con los idiomas. Participó en misiones diplomáticas en Londres (1651-1652) y Madrid (1661-1662). la última formando parte del séquito que las Provincias Unidas de los Países Bajos enviaron a la corte española de Felipe IV. Estos viajes constituían una especie de formación práctica de los hilos de los nobles y familias acaudaladas. En el viaje a España llevaron a bordo del barco que los transportaba un reloj cicloidal, obra de su hermano Christiaan, con el fin de apreciar su utilidad en alta mar. Una terrible tormenta inutilizó el reloj y la prueba de precisión resultó un fracaso. En 1672, su hermano mayor, Constantijn, heredó el puesto de su padre como secretario del príncipe de Orange Guillermo III, y él mismo sería nombrado oficial judicial de Gorinchem. La población local le acusó de corrupción y tuvo que abandonar el cargo.
donde realizó el cálculo de anualidades de diversos productos financieros que el Estado puso en marcha para conseguir mayores ingresos.
mercader que comerciaba con productos importados del Lejano Oriente, ocupó diversos cargos políticos en su ciudad natal, Amsterdam, de la que llegaría a ser alcalde en 1670 durante más de treinta artos. En sus escasos nueve años como matemático, entre 1654 y 1663, antes de ocupar puestos en la Administración. Hudde hizo importantes aportaciones a la geometría, a la teoría de la resolución de ecuaciones y al cálculo de máximos y mínimos de curvas, trabajos que lo convierten en uno de los precursores del cálculo diferencial. Es famosa la regla que lleva su nombre. Los trabajos de Hudde fueron publicados, al igual que los de De Witt, por su profesor Van Schooten dentro de la traducción al holandés de La geometría de Descartes. Trabajó también en óptica fabricando telescopios, al igual que Huygens, con quien mantuvo correspondencia.


