
Godel
Gustavo Piñeiro
En el año 1930, el lógico checo Kurt Gödel demostró un teorema, hoy conocido como el «teorema de incompletitud de Gödel», que cambió para siempre el modo de entender las matemáticas. Esencialmente, el teorema de Gödel demuestra que si se utilizan métodos de razonamiento, seguros y confiables, métodos a prueba de error, entonces es inevitable que existan problemas matemáticos que nunca podrán ser resueltos. Siempre habrá problemas matemáticos cuya solución estará fuera del alcance de esos métodos.Antes de que Gödel expusiera por primera vez su teorema, los matemáticos tenían una confianza ilimitada en el hecho que, con suficiente tiempo, paciencia y esfuerzo, todo problema planteado podría ser resuelto. Una famosa lista de 23 problemas, por ejemplo, había sido presentada por el matemático alemán David Hilbert en la conferencia inaugural del Segundo Congreso Internacional de Matemáticas, celebrado en París en 1900. En su conferencia, muy memorable y estudiada, Hilbert vaticinó que sus 23 problemas guiarían gran parte de la investigación matemática a lo largo del siglo XX.
Los problemas de Hilbert, obviamente, eran muy difíciles y estaba claro que muchos de ellos tardarían décadas en ser resueltos, como en efecto así fue.
El décimo problema, por ejemplo, fue respondido en 1970 (traducido a un lenguaje moderno, ese problema pedía determinar si cierto tipo de ecuaciones, llamadas «diofánticas», pueden ser siempre resueltas por un ordenador).

El matemático alemán David Hilbert en la década de 1930. El llamado programa de Hilbert perseguía que la matemática fuera formulada sobre una base sólida y lógica.
Ahora bien ¿qué es exactamente un problema matemático? ¿Qué queremos decir cuando afirmamos que los problemas de Hilbert eran difíciles? ¿Puede considerarse difícil el desafío: «calcule la suma de todos los números entre uno y un millón»?
La mayoría de los problemas que estudia la ciencia matemática tienen la forma de una «conjetura». Una conjetura es una afirmación de la que se sospecha que es verdadera, pero de la que todavía no se sabe con certeza si es verdadera o falsa Un ejemplo famoso es la llamada «conjetura de Goldbach», conocida con ese nombre porque fue formulada por primera vez por el matemático prusiano Christian Goldbach, en 1742:
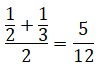
Cualquier número par mayor que 2 puede escribirse como la suma de dos números primos.Los números primos son aquellos que solamente son divisibles por 1 y por sí mismos; el número 1, por razones técnicas, no se considera primo. Veamos, por ejemplo, que lo que afirma la conjetura se cumple para los números pares hasta el 12:
4 = 2 + 2
6 = 3 + 3
8 = 3 + 5
10 = 3 + 7
12 = 5 + 7
Pero, ¿cómo podría justificarse que es verdadera, si ése fuera el caso? ¿Que la conjetura haya sido verificada para todos los números pares hasta 1018 es suficiente para asegurar que es verdadera? No, porque podría fallar en el número par inmediato siguiente a 1018 (que es 1018 + 2). ¿Y si la verificamos para 1018 + 2, basta con eso? No, porque podría fallar para 1018 + 4. Y así sucesivamente, no importa cuántas verificaciones empíricas hagamos, nunca podremos abarcar a todos los números pares, porque estos nunca se terminan, siempre habrá una infinidad de números pares que hayan escapado a nuestras verificaciones, entre los cuales podría esconderse un contraejemplo.
Si la conjetura fuera verdadera, la única forma de comprobarlo es mediante una «demostración». Es decir, mediante un razonamiento general que pruebe la afirmación de una vez para todos los casos posibles. Veamos una muestra de demostración (por supuesto, no podemos mostrar una demostración de la conjetura de Goldbach, porque hasta ahora nadie ha encontrado ninguna). A modo de ejemplo, demostremos la afirmación: «Todos los números primos mayores que 2 son impares». La afirmación involucra a una infinidad de números (a todos los primos mayores que 2), sin embargo, podemos abarcarlos a todos en un mismo razonamiento.
Todos los números primos mayores que 2 son impares. Demostración. Si hubiera un número primo mayor que 2 que fuera par, entonces ese número sería divisible por 2, pero eso es imposible porque, al ser primo, solo puede ser divisible por 1 y por si mismo. Es imposible que sea múltiplo de 2, entonces es imposible que sea par por lo tanto, es impar.Podemos entender una demostración como un razonamiento que engloba, en una sola argumentación, una cantidad potencialmente infinita de casos particulares. Todos los problemas matemáticos «difíciles» involucran a una cantidad potencialmente infinita de objetos, ya sean números, ecuaciones u otros. Por ese motivo, «calcular la suma de todos los números entre uno y un millón», aunque largo y trabajoso, no es «difícil» en el sentido que le dan a esa palabra los matemáticos, ya que el cálculo implica a una cantidad bien definida de números y dicha operación puede completarse en un lapso de tiempo que empieza y termina, sin extenderse indefinidamente.
Resolver el problema que plantea la conjetura de Goldbach (o, en realidad, el que plantea cualquier otra conjetura) consiste en encontrar un contraejemplo que la refute, o una demostración que la pruebe.
Ahora bien, si alguien propone un razonamiento que supuestamente demuestra una conjetura, ¿cómo podemos estar seguros de que ese razonamiento es correcto? Si surge una controversia, es decir, si alguien no está convencido de que el razonamiento es válido, ¿cuáles son los criterios que permiten zanjar la duda acerca de la validez de la demostración? Antes de contestar a estas preguntas, veamos otro ejemplo histórico.
En 1909, el matemático francés Émile Borel definió el concepto de «número normal». No es necesario para nuestros fines entrar en todas las complejidades de la definición de Borel, basta con decir que un número es normal cuando sus cifras decimales se comportan estadísticamente como si hubieran sido generadas al azar, y que esto sucede tanto si el número se escribe en base 10 (como es usual), o en binario, o en hexadecimal o en cualquier otra base de numeración. Por ejemplo, está claro que 0,101010101... no es un número normal (sus cifras decimales se comportan demasiado prolijamente como para parecerse a cifras generadas al azar). Por el contrario, se conjetura que π = 3,1415920... y √2 = 1,4142136... si son números normales, aunque esta conjetura no ha sido todavía demostrada, ni refutada.
El caso es que Borel, además de definir los números normales, demostró que existe una infinidad de ellos, es decir, que el listado de números normales jamás se termina. Sin embargo, su demostración usaba unos métodos muy indirectos; podríamos decir que más que demostrar que había una infinidad de números normales, demostró que esa infinitud de números no podía no existir. Ahora bien, el punto central de esta historia es que ni Borel, ni nadie, era capaz de aportar en 1909 ni siquiera un solo ejemplo de número normal. Había algunos números, como los mencionados más arriba, de los cuales se sospechaba que eran normales, pero ninguno del que se supiera con certeza que lo era. Es decir, Borel demostró que existían infinitos números de cierto tipo, pero no podía mostrar un ejemplo de ellos. ¿Es aceptable esta situación? ¿Podemos admitir que se hable de números de los cuales no se puede mostrar ni siquiera un ejemplo? A principios del siglo XX muchos matemáticos comenzaron a desconfiar de estas demostraciones que involucraban familias (como la de los números normales) formadas por infinitos números. Desconfiaban de que fuera lícito trabajar con esas familias usando las mismas reglas que se usan para familias finitas (es decir, que no se extienden indefinidamente). Esta desconfianza estaba avalada por el hecho de que en 1902, el filósofo y matemático británico Bertrand Russell había encontrado algunas contradicciones lógicas asociadas a razonamientos de ese tipo.
A principios del siglo XX, la cuestión de cómo determinar la validez de un razonamiento matemático no estaba nada clara. Había muchas controversias y discusiones al respecto que dividían fuertemente la opinión de los matemáticos. Pero finalmente, después de casi un cuarto de siglo de debates, en 1930 se llegó a un acuerdo acerca de cuáles eran los criterios claros y concretos que debía cumplir una demostración para ser aceptada como correcta, criterios objetivamente establecidos más allá de cualquier subjetividad, Esencialmente, el criterio consistía en que los razonamientos pudieran ser verificados por un ordenador, un juez imparcial que se limitaba a calcular sin caer en engaños lingüísticos. Desde luego, esa es la versión actual del acuerdo al que llegaron los matemáticos, ellos lo expresaban de modo diferente, ya que en 1930 aún no existían los ordenadores.
Pero, precisamente en el lugar y el momento en que los matemáticos se habían reunido para acordar cuáles eran los métodos de razonamiento seguros y confiables, aquellos que jamás los podrían conducirá error, Kurt Gödel levantó la mano (literalmente) para pedir la palabra y anunciar su teorema de incompletitud: si nos atenemos a esos métodos a prueba de error, entonces siempre habrán conjeturas verdaderas que no podrán ser demostradas, siempre habrán problemas matemáticos que no podrán ser resueltos. Podemos tener métodos de razonamiento seguros, pero de esa forma habrá problemas que siempre seremos incapaces de resolver. O podemos tener la capacidad potencial de resolver todos los problemas, pero sin la certeza de que los hemos resuelto bien. Nunca podremos tener certeza en los métodos y a la vez la potencialidad de resolver todos los problemas.
En realidad Gödel presentó dos teoremas de incompletitud, el primero de los cuales es conocido asimismo como «el teorema de Gödel», mientras que el segundo también recibe el nombre de «segundo teorema de Gödel».
Este libro es la historia del descubrimiento de Gödel y de sus consecuencias para la filosofía de las matemáticas. En el primer capítulo se expone el proceso histórico que lleva a la controversia sobre los métodos de demostración en matemáticas y cuál fue el papel que jugó en ella el teorema de Gödel, y en el segundo capítulo se expone el teorema en sí y una explicación de cómo fue demostrado por Gödel. Ahora bien, en una etapa histórica, en la que casi todos los métodos de demostración matemática estaban en entredicho ¿cómo escapó Gödel a esa controversia? Es decir, ¿cómo logró convencer a todos de que su demostración sí era correcta? La respuesta a esta pregunta es analizada en el tercer capítulo, mientras que el cuarto está dedicado a otros trabajos de Gödel, entre ellos sus investigaciones sobre la teoría de la relatividad. En el quinto, y último capítulo, se discuten algunas consecuencias filosóficas del teorema de Gödel relacionadas con la naturaleza de la verdad matemática.
| 1906 | El 28 de abril nace Kurt Gödel en Brno, Imperio austrohúngaro (actual República Checa), hijo de Rudolf Gödel y Marianne Handschuh. Tiene solo un hermano, mayor que él, llamado Rudolf, como su padre. |
| 1912 | Gödel sufre un ataque de fiebre, reumática; esta enfermedad será el disparador de su hipocondría, un rasgo dominante en su personalidad. |
| 1923 | Ingresa en la Universidad de Viena para estudiar física teórica; sin embargo, las clases del profesor Philipp Furtwängler harán que se vuelque en las matemáticas. |
| 1926 | Es invitado a participar del Círculo de Viena, un grupo de intelectuales fundado en 1922 por el filósofo alemán Moritz Schliek que se reúnen a discutir sobre ciencia y epistemología. En este ámbito, Gödel toma, contacto con los debates en torno a la teoría de la demostración y decide dedicarse a la lógica matemática» |
| 1929 | Gödel completa su tesis doctoral, que presenta al año siguiente ante la Universidad de Viena |
| 1930 | Del 5 al 7 de septiembre se celebra en la ciudad de Königsberg un congreso dedicado al tema de la teoría de la demostración y temas relacionados con ella. En la sesión plenaria del 7 de septiembre Gödel anuncia por primera vez su teorema de Incompletitud. |
| 1931 | Se publica Sobre las proposiciones formalmente indecidibles de los Principia Mathematica y sistemas relacionados, el artículo que contiene el enunciado y la demostración de su teorema de incompletitud. |
| 1933 | Es nombrado Priva Mozent (docente ad honórem) en la Universidad de Viena. Comienza una serie de viajes a Estados Unidos para dictar diversos curaos y conferencias. |
| 1939 | Se casa con Adele Purkert, una bailarina divorciada, seis años mayor que él. |
| 1939 | Presionado por los nazis, que han tomado el control de Austria, Gödel y su esposa huyen a Estados Unidos- Nunca volverán a Europa. |
| 1940 | Gödel se incorpora al Instituto de Estudios Avanzados de Princeton, donde inicia una cálida amistad con Albert Einstein. |
| 1951 | Dicta la conferencia Gibbs, en la que analiza algunas posibles consecuencias filosóficas de su teorema de incompletitud» |
| 1979 | Kurt Gödel fallece en el hospital de Princeton la tarde del 14 de enero. |
Capítulo 1
La crisis de los fundamentos
A principios del siglo XX las matemáticas atravesaban una de sus crisis más profundas.Todos los grandes hombres y mujeres de la historia alguna vez fueron niños. Aunque es una verdad de Perogrullo, una afirmación que no puede sorprendemos, sin embargo no deja de ser curioso pensar que hubo un día en el que Mozart no conocía aún ni siquiera el nombre de las notas musicales, que hubo un momento en el que Leonardo da Vinci todavía no había mezclado colores... o un tiempo en el que Kurt Gödel aún no había estudiado lógica. Pero, a pesar de que el conocimiento todavía no había llegado, la mente inquisitiva ya estaba allí desde el principio. En efecto, durante su infancia en ¡a ciudad checa de Brno, Gödel fue un niño tan curioso, tan lleno de ansias de saber, tan insistente en sus preguntas acerca de todo lo que veía, que su familia lo llamaba Herr Warum, que en alemán significa «El Señor Por qué».
El primer tercio del siglo fue testigo de un debate acerca de qué métodos de razonamiento debían considerarse como válidos y si debía, o no, aceptarse la existencia del infinito. Kurt Gödel estaba destinado a intervenir en esta crisis de un modo decisivo. Pero, ¿cómo llegó a gestarse ese debate? ¿Por qué, después de más de dos mil quinientos años de éxito ininterrumpido, los matemáticos comenzaron a dudar de su propia ciencia?
Su padre, Rudolf, había nacido en Viena y abandonado tempranamente sus estudios para dedicarse al comercio, con gran éxito. En 1906, en el momento de nacer su hijo Kurt, Rudolf Gödel era director y copropietario de una de las empresas textiles más importantes de Brno, lo que no es poco decir, ya que Brno era una de las ciudades industriales más importantes del Imperio austro- húngaro y destacaba precisamente por la calidad y cantidad de sus industrias textiles.

La familia Gödel, izquierda a derecha: Marianne, Kurt, Rudolf padre y Rudolf hijo.
En la escuela fue un alumno brillante. Destacaba en matemáticas, por supuesto, y también en idiomas. Aún hoy, muchos de quienes viven en Europa Oriental conocen, aunque sea un poco, los idiomas de sus vecinos; algo de checo, una pizca de alemán, algunas palabras de ruso, etcétera. Gödel, que consideraba el alemán como su lengua nativa, probablemente no fuera la excepción a esta regla. Pero aun en ese contexto políglota, su gusto y su facilidad para los idiomas eran notables. Ya desde joven hablaba y escribía perfectamente en inglés y en francés; en los años sucesivos su biblioteca siempre contuvo una gran cantidad de diccionarios y gramáticas de diversas lenguas.
Cuando tenía seis años, Gödel sufrió una crisis de fiebre reumática que lo mantuvo en cama durante varios días, y de la que se recuperó por completo, al menos físicamente. Tiempo después, su curiosidad natural lo llevó a leer acerca de la enfermedad que había padecido. A través de esas lecturas se enteró de que la fiebre reumática puede dejar como secuela una debilidad crónica del corazón; y Gödel pasó toda su vida convencido de que ese había sido el caso, aunque los médicos le aseguraron lo contrario una y otra vez. Más todavía, sin ningún motivo racional, pasó el resto de su vida bajo la certidumbre de que si su corazón se enfriaba, moriría. Tanto es así que, aun en días de intenso calor, Gödel usaba siempre ropa de abrigo.
Muchos años después, su hermano Rudolf atribuiría a esta primera crisis el origen de la profunda hipocondría que sería una de las características más destacadas de la personalidad de Kurt. Tal vez fuera también el origen de las muchas crisis de salud que, por razones físicas o psicológicas, el gran genio sufriría a lo largo de toda su vida y que muchas veces lo mantuvieron postrado durante semanas, alejado de todo trabajo intelectual.
Mientras que en 1912, a sus seis años de edad, Kurt Gödel, que aún no sabía nada de lógica, sufría la primera crisis de su vida, las matemáticas como ciencia atravesaban también su propia crisis, y en ambos casos dejarían profundas huellas. Y aunque por aquel entonces aún no lo sospechaba, Gödel estaba destinado a intervenir de manera decisiva en la segunda.
§. El infinito de Aristóteles
La crisis que atravesaban las matemáticas en 1912, y que hoy es conocida como la «crisis de los fundamentos», se había desencadenado en 1902, cuatro años antes del nacimiento de Gödel, a raíz de una muy breve carta que Bertrand Russell le escribió a su colega, el alemán Gottlob Frege.
«El infinito siempre es en potencia, nunca en acto.»Es imposible entender cómo una carta de apenas una página desencadenó una polémica que duraría más de veinticinco años a menos que estudiemos el devenir histórico que llevó a esa precisa encrucijada. En realidad, la carta de Russell a Frege no fue más que la piedrecilla que desencadenó el alud que se había venido gestando durante décadas. El proceso histórico que llevó a ese punto comenzó con Aristóteles y con uno de los conceptos más esquivos, difíciles y maravillosos que haya creado el pensamiento humano: el infinito.
Palabras de Aristóteles en su Metafísica.
¿Qué es el infinito? ¿Qué queremos decir, por ejemplo, cuando afirmamos que la secuencia 1, 2, 3, 4, 5,... es infinita? En el siglo IV a.C., Aristóteles postuló que podemos responder a esta pregunta de dos maneras diferentes.
Para visualizar la primera forma de entender el infinito, imaginemos un pueblo milenario que se haya impuesto la tarea, transmitida de generación en generación, de contar y anotar todos los números de la secuencia 1, 2, 3, 4, 5,... ¿Podrán algún día anotarlos todos? La verdad es que no importa si dedican a esa tarea años, décadas o miles de millones de siglos; nunca jamás terminarán de contarlos y anotarlos por completo. El motivo es que cualquiera que sea el punto hasta donde haya llegado la cuenta, siempre habrá un número más por escribir. Si llegaron hasta el 100, les habrá faltado el 101. Si llegaron hasta el 1000, les faltará el 1001. Si llegaron al trillón, les faltará aún el trillón más uno. Nunca llegarán al último número, simplemente porque ese último número no existe.
Observemos, sin embargo, que las anotaciones de ese hipotético pueblo en ningún momento contendrán una totalidad infinita de números. En los primeros tiempos habrán anotado unos cientos, luego unos miles, más tarde unos millones o billones de números, pero siempre la cantidad anotada será finita (porque con el tiempo suficiente los números anotados podrían recorrerse completamente de principio a fin). La infinitud de la secuencia se manifiesta en la característica casi inasible de «nunca terminar», una propiedad futura inalcanzable, no un rasgo presente de modo positivo. A esta forma de ver el infinito Aristóteles la llamó el «infinito potencial», o «infinito en potencia».
La segunda forma de pensar el infinito consiste en verlo como una particularidad presente «en acto». En este caso, no debemos pensar en un pueblo milenario que anota números generación tras generación, sino en un ser sobrenatural que los ha anotado todos, absolutamente todos, en un acto de voluntad casi divina (seria inadecuado decir que los ha anotado de principio a fin, porque no hay un fin). Es muy difícil, por no decir imposible, captar lo que esto implica ¿Somos capaces de representarnos un todo que está íntegramente presente pero que nunca, absolutamente nunca, termina? De hecho, es imposible mostrar situaciones «reales» en las que el infinito en acto aparezca. La vida entera del universo, contada desde el Big Bang, tiene una cantidad solo potencialmente infinita de segundos. Según las teorías vigentes, el universo en su totalidad tendría solamente una cantidad finita de partículas subatómicas Ya sea porque en verdad es inimaginable, ya sea porque no existe en la realidad física, ya sea por razones filosóficas más profundas, Aristóteles dictaminó que el infinito en acto no existe.
«Hay un concepto que es el corruptor y el desatinador de los otros. No hablo del Mal cuyo limitado imperio es la ética; hablo del infinito.»A lo largo de siglos, concretamente hasta bien entrado el siglo XIX, este rechazo al infinito en acto fue sostenido unánimemente por la ortodoxia occidental, tanto filosófica como matemática. En la Edad Media, el pensamiento escolástico reforzó este rechazo al agregarle una dimensión religiosa. El infinito en acto, según los escolásticos, era un atributo exclusivo de la Divinidad, y pretender que la mente humana fuera capaz de abarcarlo o comprenderlo por entero era, por lo tanto, una herejía.
José Luis Borges. Avatares de la tortuga, en Discusión (1932).
A modo de pequeña muestra, exhibamos tres ejemplos en los que este rechazo al infinito en acto se hizo manifiesto. El primero es breve, aunque terrible. En el año 1600, Giordano Bruno fue condenado a morir en la hoguera en parte por haber afirmado en una de sus obras que el universo contiene infinitos mundos. El segundo ejemplo: en 1638, Galileo Galilei planteó un argumento matemático que, según la visión de la época, demostraba que el infinito en acto es un concepto contradictorio en sí mismo.
En potencia o en actoEn el siglo IV a.C., Euclides de Alejandría escribió los Elementos de geometría, el libro de matemáticas más influyente de todos los tiempos (tanto que hasta principios del siglo III todavía era usado como libro de texto en algunas universidades europeas).La obra de Euclides está dividida en trece libros, y el séptimo, el octavo y el noveno están dedicados a la aritmética. La proposición 20 del Libro IX enuncia que hay infinitos números primos, pero es interesante observar el modo exacto en que esta afirmación está expresada: «Hay más números primos que cualquier cantidad [finita] propuesta de números primos» . Es decir, en el enunciado de Euclides se hace referencia a un infinito en potencia, no en acto. No se dice que «hay infinitos primos», sino que «dada cualquier cantidad finita de primos. Siempre hay alguno más».
Estatua de Euclides en el Museo de Historia Natural de la Universidad de Oxford.
El razonamiento, conocido como la «paradoja de Galileo», dice así: pensemos una vez más en la secuencia 1, 2, 3, 4, 5,.. Contenida en esta secuencia, encontramos a la formada por los números cuadrados, que son aquellos que se obtienen multiplicando un número por sí mismo: 1, 4, 9, 16, 25,...
Ahora bien, basados en el principio aristotélico de que el todo es mayor que cualquiera de sus partes, debemos concluir que hay más números en general que números cuadrados en particular, siendo que estos son solamente una parte de aquellos.
Pero, decía Galileo, si las secuencias 1, 2, 3, 4, 5,... y 1, 4, 9, 16, 25,... fueran infinitas en acto, entonces sería posible establecer un emparejamiento perfecto entre ambas. Al 1 le correspondería el 1, al 2 le correspondería el 4, al 3 le correspondería el 9 y así sucesivamente:
1 → 1
2 → 4
3 → 9
4 → 16
5 → 25

El matemático alemán Georg Cantor, a quien se le atribuye el desarrollo de la teoría da conjunto».
El tercer ejemplo es un párrafo de una carta escrita en 1831 por el matemático alemán Cari Friedrich Gauss (1777-1855):
Protesto contra el uso de magnitudes infinitas como algo completo, lo que en matemáticas nunca se permite. El infinito es simplemente una forma de hablar, el significado real es un límite con ciertos rangos de aproximación indefinidamente cercanos, mientras que a otros se les permite incrementarse sin restricciónDecía Gauss que el infinito es solamente una magnitud (siempre finita) a la que se le permite crecer sin limitaciones y que nunca puede ser entendido como algo completo. Una vez más, vemos rechazado el infinito en acto.
Estos son solamente tres ejemplos de los muchos que podrían citarse en el mismo sentido. Sin embargo, apenas cuarenta años después de la carta de Gauss, Georg Cantor se vio forzado a introducir en las matemáticas, y en el pensamiento humano en general, a ese monstruo tantas veces resistido: el infinito en acto.
Arquímedes y el infinitoEl Método de Arquímedes (siglo III a.C) se consideró perdido durante siglos. Se sabía por diversas referencias, que en él el autor describía los razonamientos físicos que le habían permitido conjeturar teoremas geométricos que después demostraría con todo rigor lógico en sus otros libros.Sin embargo, el contenido exacto de la obra permaneció desconocido hasta 1906 cuando, para gran sorpresa de todos, por pura coincidencia, se descubrió en Estambul una copia de la obra. Se trataba en realidad de un palimpsesto, es decir, un códice escrito en pergamino que había sido borrado (por suerte imperfectamente) y reutilizado en la confección de un manuscrito diferente.
Arquímedes por Juan Goujon, fachada del palacio del Louvre, París.
Las técnicas de 1906 permitieron reconstruir una parte de la obra original, pero varios fragmentos no pudieron ser recuperados en aquel momento. El trabajo recomenzó a principios del siglo XXI, cuando un grupo de expertos, utilizando técnicas modernas de iluminación y de análisis de imágenes, lograron avanzaren el desciframiento de El Método. Parte de lo que descubrieron sugiere que Arquímedes trabajó explícitamente con el infinito en acto. La historia está narrada en El código de Arquímedes, de R. Netz y W. Noel. Según estos expertos, para comparar el volumen de dos cuerpos, Arquímedes los suponía cortados en infinitas lonjas de ancho infinitesimal y concluía que ambos volúmenes eran iguales porque era posible emparejar las tajadas que formaban uno de ellos con las tajadas que formaban al otro. Esto implica, no solo trabajar con el infinito en acto, sino también admitir la comparación entre dos infinitos mediante el emparejamiento de sus componentes, como haría Cantor a finales del siglo XIX. Si estos descubrimientos se confirman, habrá que reescribir una parte de la historia del infinito y otorgarle a Arquímedes, antes que a Cantor, la prioridad por la introducción del infinito en acto.
En 1870, Georg Cantor era un joven y desconocido matemático que comenzaba a hacer sus primeras investigaciones en la Universidad alemana de Halle; había estudiado en Berlín, que en aquella época era uno de los centros de investigación matemática más importantes del mundo (otros centros destacados de la época eran Gotinga, también en Alemania, y París). Allí, en Berlín, entre 1867 y 1869 Cantor había hecho sus primeros trabajos bajo la dirección de Leopold Kronecker, quien años más tarde se transformaría en su peor enemigo, Esos primeros trabajos de investigación no impresionaron mucho a sus profesores, quienes incluso opinaron que Cantor jamás llegaría a crear una obra genuinamente original o que dejara huella en la historia de las matemáticas (opinión errada, si alguna vez hubo alguna). Y es así que, en 1870, Cantor debió trasladarse del centro principal de Berlín a la periferia de Halle.
Cuando un matemático investiga, su objetivo es siempre la resolución de un problema específico. Incluso hoy en día, si se le pregunta a un matemático en qué tema está trabajando, su respuesta seguramente consistirá en el enunciado del problema que está intentando resolver. Para entender el problema que estudiaba Cantor en 1870 debemos hablar brevemente de las series de Fourier.
A principios del siglo XIX el matemático francés Joseph Fourier desarrolló un método que le permitía descomponer cualquier onda periódica en una sumatoria de ondas elementales específicas (todas las cuales resultan de modificar la amplitud, la frecuencia o la fase de una onda inicial única). Fourier utilizó este método con gran éxito para estudiar fenómenos ondulatorios como la propagación del calor o la vibración de una cuerda. Como estas sumatorias normalmente involucran una cantidad infinita (en potencia) de ondas, y en matemáticas a una sumatoria infinita se la suele llamar una «serie», a este método se le dio el nombre de «series de Fourier». Actualmente sigue siendo una herramienta esencial en muchas ramas de las matemáticas, así como de la física y de la ingeniería.
Series de FourierEl matemático francés Jean-Baptiste Joseph Fourier (1768-1830) estableció a principios del siglo XIX que toda onda o señal periódica es la sumatoria de, en general, infinitas ondas sinusoidales.La figura 1 representa una señal periódica con saltos o discontinuidades en todos los números enteros impares (positivos y negativos), mientras que la figura 2 muestra la onda sinusoidal básica.La señal de la figura 1 es la sumatoria de infinitas ondas que resultan de modificar de diversas maneras la onda básica de la figura 2.
Por ejemplo, podemos comprimirla o dilatarla, vertical u horizontalmente. En las figuras 5 y 4 se representan, respectivamente, una dilatación vertical de la onda de la figura 2 y una compresión también vertical.
En la década de 1860, también en Halle, el matemático alemán Eduard Heme trabajaba en el problema de determinar si la descomposición de una onda periódica en una sumatoria de ondas elementales es siempre única.
La pregunta sobre la unicidad de una cierta descomposición es muy común en matemáticas. Tomemos los números naturales (que son los números que forman la ya mencionada secuencia 1, 2, 3, 4,...). Recordemos que los números primos son aquellos que solamente son divisibles por 1 y por sí mismos (por ejemplo, 2, 3, 5, y 11 son primos, mientras que 9 no lo es porque es divisible por 3).
Se sabe desde hace milenios (ya lo sabía Euclides en el siglo III a.C.) que todo número natural mayor que 1 es, o bien primo, o bien se puede escribir como producto de primos.
La figura 5 muestra una compresión horizontal de la onda de la figura 2. Las ondas también pueden estar desplazadas vertical u horizontalmente; en la figura 6 se representa la onda de la figura 2 desplazada horizontalmente.
El 1 es un caso especial que por razones técnicas se deja aparte: no es primo ni producto de primos, aunque los motivos de esta separación no son relevantes en el tema que nos ocupa. Por ejemplo: 12 = 2×2×3; 9 = 3×3; 15 = 3×5. Ahora bien, ¿existirá alguna otra forma de escribir el 12 como producto de primos? ¿O la escritura 2×2×3 es la única posible? La respuesta es que, salvo variaciones triviales como cambiar el orden de los números, o agrupar el 2×2 como 22, la única forma de escribir el 12 como producto de primos es 2×2×3, y lo mismo sucede con todos los demás números naturales.
La descomposición en primos es siempre única y esta unicidad le agrega una dimensión extra a la descomposición en sí, crea un vínculo más fuerte entre los números y sus componentes primos, una relación de exclusividad que hace que las propiedades de la descomposición (o «factorización») en primos sean más potentes.
Heine se preguntaba si existiría un vínculo similar entre una onda periódica y sus ondas elementales. ¿Sería única esa descomposición, así como es única la descomposición en primos?
En la década de 1860, Heine logró demostrar que para ciertos tipos de ondas periódicas (por ejemplo, para aquellas que no tienen «saltos» o discontinuidades), la descomposición en ondas elementales es realmente única. Sin embargo, no había encontrado una demostración general que abarcara todas las situaciones posibles. Entre otras cosas, no había podido demostrar la unicidad en el caso de que en cada período la onda tuviera una cantidad infinita (en potencia) de saltos. De modo que cuando Cantor llegó a Halle en 1870, Heine le propuso que trabajara en esta pregunta: ¿es siempre única la descomposición de una onda periódica, aun cuando la cantidad de saltos en cada período pudiera crecer indefinidamente?
Cantor se abocó a estudiar el problema y en 1871 obtuvo una primera respuesta; la descomposición de una onda periódica es única, aun cuando la cantidad de saltos o discontinuidades crezca ilimitadamente, siempre y cuando esos saltos estén distribuidos de una determinada manera. Es decir, para que se garantizara la unicidad, la forma en que los saltos iban apareciendo debía cumplir ciertas condiciones específicas. Pero encontró algunas dificultades a la hora de expresar esos requisitos de una manera concreta, exacta y elegante. Seguramente tenía una intuición muy precisa de cuáles eran las particularidades que quería enunciar, pero se le escapaba el modo de transmitirla en palabras claras y precisas.
Entre 1872 y 1873, muy gradualmente, Cantor se fue dando cuenta de que explicar esas condiciones con claridad implicaba considerar las discontinuidades de las ondas como conjuntos infinitos en acto. Más aún, requería comparar entre sí diferentes conjuntos infinitos, de manera similar a como doscientos cincuenta años antes Galileo había comparado los números naturales con los cuadrados (lo que a su vez lo llevaba a abandonar el principio aristotélico de que el todo es mayor que las partes). Peor todavía, descubrió que esa comparación lo conducía a la deducción de que había conjuntos infinitos más grandes que otros.
Tan revolucionarias eran estas ideas, tan contrarias a todo lo establecido durante milenios, que Cantor tardó nada menos que diez años en aceptarlas plenamente; le llevó una década reconocer que necesitaba introducir el infinito actual en las matemáticas. Finalmente, en 1883 escribió un largo artículo titulado Fundamentos para una teoría general de conjuntos (con el subtítulo Una investigación matemático-filosófica sobre la teoría del infinito) en el que no solo defendió la introducción del infinito en acto, sino que además afirmo que le resultaba completamente inevitable dar ese paso. Cantor inició su artículo casi pidiendo disculpas por su decisión:
La precedente exposición de mis investigaciones en teoría de conjuntos ha llegado a un punto en el que su continuación depende de una extensión del verdadero concepto de número mis allí de los límites conocidos, y esta extensión va en una dirección que hasta donde yo sé no había sido antes explorada por nadie.La teoría de conjuntos a la que Cantor hace mención era su forma de denominar el estudio de las totalidades infinitas como si fueran un objeto en sí mismo, y propuso que esta teoría fuera el fundamento mismo de las matemáticas. Los números, sus operaciones y todos los conceptos matemáticos podían definirse, según Cantor, a partir de nociones conjuntistas.
La dependencia en que me veo respecto de esta extensión del concepto de número es tan grande, que sin esta última apenas me sería posible dar sin violencia el menor paso adelante en la teoría de conjuntos; valga esta circunstancia como justificación, o si es necesario como excusa, por la introducción de ideas aparentemente extrañas en mis consideraciones.
Pero, ¿qué es la teoría de conjuntos? Un conjunto, según la definición de Cantor, es «la reunión en un todo de objetos de la realidad o de nuestro pensamiento». Por ejemplo, a los números l, 2, 3, 4, 5,... podemos reunirlos en una totalidad que llamamos «conjunto de los números naturales». Los números son los «elementos» o «miembros» de esa totalidad y el conjunto pasa a ser un «objeto» en sí mismo, factible de ser estudiado. Podemos pensar también en el conjunto formado solamente por el número 1, o por los días de la semana, o por las personas nacidas el 20 de julio de 1899. La teoría de conjuntos es, entonces, el estudio de las propiedades y las relaciones mutuas de los conjuntos o totalidades.
«La teoría de conjuntos [infinitos] es un campo en el que nada es evidente por sí mismo, cuyos enunciados verdaderos son a menudo paradójicos y cuyos enunciados plausibles son falsos.»La propuesta de Cantor era definir los números y sus operaciones a partir de los conjuntos. ¿Cómo puede hacerse esto? Por ejemplo, el número 0 puede definirse como la cantidad de elementos del conjunto vacío (que es el conjunto que no tiene miembros). El número 1 puede definirse como la cantidad de elementos de cualquier conjunto que cumpla la propiedad: «el conjunto tiene algún miembro, y además si x e y son miembros del conjunto entonces x = y».
Felix Hausdorff, matemático alemán, 1914.
Por otra parte, tenemos la operación conjuntista llamada «unión», Dados dos conjuntos, la unión de ambos consiste en reunir en un nuevo conjunto a los elementos de ambos. Por ejemplo, la unión del conjunto que contiene como elemento a la ciudad de París y del que contiene a la ciudad de Roma, es el conjunto que contiene a ambas ciudades a la vez. La suma de números se puede definir, según la propuesta de Cantor, a partir de esta operación conjuntista. Si n es la cantidad de elementos de un conjunto y m es la cantidad de elementos de otro (que no tenga elementos en común con el primero), entonces n + m se puede definir como la cantidad de elementos del resultado de la unión de los dos conjuntos.
Como era esperable, y como el mismo Cantor probablemente había previsto, su teoría de los infinitos generó un fuerte rechazo. Su antiguo maestro, Leopold Kronecker, llegó a decir de Cantor que era un corruptor de la juventud y utilizó su influencia, que no era poca, para presionar a las revistas científicas alemanas para que no publicaran los trabajos de Cantor.
A pesar de la oposición inicial, con el correr de los años la teoría de conjuntos y el infinito en acto comenzaron a ser aceptados. ¿Por qué se produjo este cambio? ¿Logró Cantor convencer a Kronecker? Para responder a estas preguntas vale la pena recordar el principio de Planck, que dice que
«una nueva verdad científica no triunfa porque convence a sus opositores y les hace ver la luz, sino más bien porque sus opositores terminan muriendo y una nueva generación crece familiarizada con ella».Al escribir estas palabras, Planck pensaba en la mecánica cuántica, pero bien puede aplicarse su principio a la teoría de conjuntos, A fines del siglo XIX una nueva generación de matemáticos, entre ellos el alemán David Hilbert, empezó a ver en la teoría de Cantor un aporte fundamental para las matemáticas. Ya se sabe que la juventud suele estar bien dispuesta a romper con tradiciones milenarias, de modo que es probable que aquella nueva generación no se sintiera incómoda al romper con la visión aristotélica del infinito.
En 1890, un año antes de la muerte de Kronecker, Cantor fue elegido presidente de la recién creada Unión Matemática Alemana y su idea de tomar la teoría de conjuntos como base y fundamento de las matemáticas comenzaba a ganar adeptos. Uno de los más dedicados fue el lógico alemán Gottlob Frege.
§. Frege Y Russell
Gottlob Frege nació en 1848; es decir, pertenecía a la misma generación que Cantor, tres años mayor. Sin embargo, Frege estuvo entre aquellos que aceptaron la teoría de conjuntos desde el comienzo y fue, de hecho, uno de los defensores de la idea de que debía servir como base y fundamento para todo el resto de las matemáticas.
Aunque estaba de acuerdo con Cantor en su idea general, Frege tenía fuertes críticas formales hacia su trabajo. Según Frege, Cantor utilizaba en sus artículos científicos un lenguaje demasiado coloquial sin una clara distinción entre axiomas (afirmaciones que se aceptan sin demostración) y teoremas (afirmaciones que se demuestran a partir de los axiomas). Cantor apelaba todo el tiempo a la intuición del lector, práctica que Frege llamaba «psicologismo» y que deploraba por completo. Las matemáticas, según él, debían utilizar un lenguaje riguroso, con símbolos especialmente creados. Todos los razonamientos utilizados debían estar expresados con claridad en ese lenguaje, sin ambigüedades y sin apelar a la intuición, lo cual requería a su vez que se estipulara claramente cuáles eran los axiomas utilizados. Una vez hecho esto, se podía proceder a la fundamentación conjuntista de los números y de sus operaciones. Frege dedicó muchos años, en realidad casi toda su vida adulta, a desarrollar este programa.
ConceptografíaLa palabra alemana Begriffsschrift, que Gottlob Frege usaba para referirse a la escritura simbólica que creó para la lógica y las matemáticas, suele traducirsecomo «conceptografía», que literalmente significa «dibujo de conceptos». Como se muestra en la figura, el simbolismo de Frege se asemeja, tal como su nombre sugiere, más a un dibujo lineal que a un texto escrito. La figura expresa el teorema 71 del libro Begriffsschrift y su traducción sería; f es un procedimiento y F representa una propiedad que se preserva cuando se aplica el procedimiento f. Si x cumple la propiedad e y se obtiene de x por aplicación del procedimiento f, entonces f también cumple la propiedad.
En una de sus obras fundamentales, Conceptografia (1879) , Begriffsschrift en alemán, explica su lenguaje simbólico, muy diferente, desde todo punto de vista, de nuestra escritura habitual (más que un texto parece un dibujo lineal). Este hecho hito que resultara muy arduo de comprender para los lectores de aquella época (sigue resultando muy difícil de comprender en la actualidad). Tal vez Frege deseaba deliberadamente que su simbología se apartara del lenguaje natural, a fin de que no pudiera ser confundida con este, pero estratégicamente resultó ser un error, ya que dificultó la penetración de su obra en el público que hubiera podido estar interesado en ella.
En 1893, Frege publicó el primer tomo de su Fundamentos de la aritmética, la primera parte de la obra de su vida, en la que expone la definición rigurosa de los números naturales a partir de la lógica y la teoría de conjuntos. Casi una década después, en 1902 (cuatro años antes del nacimiento de Gödel), cuando ya había enviado a la imprenta el segundo tomo de los Fundamentos, Frege recibió una carta de Bertrand Russell, fechada en Friday’s Hill, Haslemere (Reino Unido) el 16 de junio de 1902 y que apenas ocupaba una página; sin embargo, bastó para desencadenar la crisis de los fundamentos. En su carta, Russell comenzaba elogiando el trabajo de Frege. Se manifestaba completamente a favor de lo que intentaba hacer en sus Fundamentos. «Pero, decía Russell en la carta, he encontrado una pequeña dificultad.»
¿Cuál era esa «pequeña dificultad» que Russell encontró? Uno de los axiomas en los que Frege basaba la teoría de conjuntos era el llamado «axioma de comprensión». Expresado brevemente, este axioma dice que a cada propiedad se le asocia un conjunto (el conjunto de todos los entes que satisfacen esa propiedad). Por ejemplo, a la propiedad «ser un número par» le corresponde el conjunto formado por todos los números pares; a la propiedad «ser un planeta del sistema solar» le corresponde el conjunto de todos los planetas del sistema solar; y así sucesivamente.
La primera impresión que uno tiene al leer este axioma es que se trata de una afirmación perfectamente inocente, incapaz de generar problema alguno. Sin embargo, Russell tomó la propiedad de «ser un conjunto que no es miembro de sí mismo».
Reflexionemos acerca de esta idea de Russell. Para empezar, los conjuntos están formados por miembros (existe también el conjunto vacío, que no tiene miembros, pero podemos dejarlo de lado en nuestro análisis). Por ejemplo, el conjunto de los planetas del sistema solar tiene, hasta donde sabemos, ocho miembros: Mercurio, Venus, Tierra, Marte, Júpiter, Saturno, Urano y Neptuno. El objeto «conjunto de los planetas del sistema solar» es un ente abstracto, que vive solamente en nuestro pensamiento y que reúne bajo una misma etiqueta a esos ocho planetas. Cada uno de los miembros de ese conjunto, en cambio, es un planeta concreto, no un ente abstracto. El conjunto de los planetas del sistema solar no aparece listado entre sus propios miembros: el conjunto de los planetas del sistema solar no es un miembro de sí mismo. Russell expresaba esta misma idea de la siguiente manera: «un conjunto formado por caballos no es un caballo» (podemos montar a caballo, pero no sobre un ente abstracto). Algunos conjuntos sí son miembros de sí mismos. Pensemos, por ejemplo, en el conjunto de todos los entes abstractos. Él mismo es un ente abstracto, y por lo tanto, un miembro de sí mismo.
Regresemos ahora al axioma de comprensión. Asociado a la propiedad «ser un conjunto que no es miembro de sí mismo» tenemos el conjunto R, que está formado por todos los conjuntos que no son miembros de sí mismos. Formulémonos la siguiente pregunta: ¿es R elemento de sí mismo? Si R es miembro de sí mismo, entonces cumple la propiedad que define a R. Por lo tanto, R no es miembro de sí mismo. Esto es una contradicción. Pero si R no es miembro de sí mismo, entonces no cumple la propiedad que define a R. Por lo tanto, si no cumple la propiedad, R sí es miembro de sí mismo. Tenemos otra contradicción.
Es decir, R no puede ser miembro de sí mismo, pero tampoco puede dejar de serlo. Esto es una imposibilidad lógica. El conjunto R (cuya existencia es habilitada por el axioma de comprensión) no puede existir porque su existencia genera una contradicción lógica Así, el axioma de comprensión, que parecía tan inocente, es en realidad auto-contradictorio. Este descubrimiento se conoce actualmente como la «paradoja de Russell».
El descubrimiento de que la teoría de conjuntos es contradictoria desencadenó la crisis de los fundamentos. Si un axioma en apariencia tan inocente como el de comprensión generaba una contradicción ¿qué podíamos esperar de la teoría de Cantor con sus Infinitos en acto y sus «infinitos más grandes que otros»?
El barbero de RussellEn 1904, el filósofo y matemático británico Bertrand Russell (1872-1970) dio una versión popularizada de su paradoja.En ella, Russell proponía imaginar un pueblo en el que hubiera un único barbero que afeitara a todos los hombres que no se afeitaban a sí mismos. Nos preguntamos entonces si el barbero se afeita, o no se afeita, a sí mismo. La respuesta es que el barbero no puede afeitarse a sí mismo, pero que tampoco puede evitar hacerlo.
La situación era peor aún, porque la teoría de Cantor había penetrado en áreas esenciales de las matemáticas, como el cálculo o la topología.
El descubrimiento de Russell hizo que los matemáticos se cuestionaran la validez de todos los desarrollos matemáticos de, por lo menos, los treinta años previos. Provocó que pusieran en duda la validez de cualquier razonamiento que involucrara el infinito y, de hecho, que llegaran a preguntarse el sentido y el significado de las matemáticas. ¿Cuál era, en definitiva, el objeto de estudio de las matemáticas? ¿Qué criterios aseguraban la validez de sus razonamientos?
Frege mismo sintió que el descubrimiento de Russell echaba por tierra todo su trabajo. En el segundo volumen de sus Fundamentos de la aritmética insertó las siguientes frases:
Difícilmente puede un científico encontrarse con algo más indeseable que ver ceder los cimientos justamente cuando se termina la obra. Tal es la situación en la que me ha puesto una carta del señor Bertrand Russell, estando la obra a punto de terminar de imprimirse.
Inmediatamente después, Frege abandonó la lucha y se retiró de manera definitiva, aunque vivió hasta 1925, nunca volvió a ocuparse del tema de los fundamentos.
§. El logicismo y el intuicionismo
¿Qué reacciones provocó el descubrimiento de la paradoja de Russell? En primera instancia se propusieron dos soluciones. El primer intento se debió al mismo Russell y fue expresado en su Principia Mathematica, la monumental obra que escribió junto a su maestro Alfred North Whitehead.
La propuesta de Russell, que se dio en llamar logicismo, consistía en retomar el trabajo de Frege, pero enmendando los errores que llevaron a la crisis. Russell decía que toda paradoja nacía de una cierta auto-referencia. Por ejemplo, la famosa paradoja del mentiroso, que se produce cuando uno se pregunta si la frase «esta oración es falsa» es verdadera o falsa, nace de analizar una frase que habla de sí misma. La propia paradoja de Russell surge al preguntamos si cierto conjunto cumple la propiedad que define al propio conjunto.
Para evitar estas situaciones, el logicismo propuso una modificación radical del lenguaje lógico mediante la llamada «teoría de los tipos». El concepto general consistía en imponer al lenguaje matemático una rígida jerarquía en la que cada afirmación solo podía referirse a entes o afirmaciones ubicadas en los estratos inferiores. De este modo, la misma estructura del lenguaje evitaba las auto-referencias y, por ende, las paradojas.
En el nivel cero de la jerarquía estaban los individuos; en el nivel 1, las afirmaciones que hablaban de los individuos; en el nivel 2, las afirmaciones que hablaban de las afirmaciones de tipo 1; y así sucesivamente. Por ejemplo:
1, 2, 3, 4… (Individuos, tipo 0)Sin embargo, por diversos motivos técnicos, Russell se vio obligado a complejizar su estratificación y a introducir reglas arbitrarias y anti-intuitivas. Como consecuencia, el sistema perdió toda fuerza de convicción y el mismo Russell acabó por abandonarlo. Aunque algunos de los elementos introducidos por el logicismo han sobrevivido hasta hoy, la verdad es que hacia 1920 la influencia global de esta escuela había casi desaparecido.
«2 + 2 = 4» (afirmación de tipo 1, que habla de individuos)
«Es verdad que “2 + 2 = 4”» (afirmación de tipo 2, que habla de la anterior).
La segunda propuesta se conoció como «intuicionismo» o «constructivismo», y fue liderada por el matemático neerlandés L. E. J. Brouwer (1881-1966).
«La solución de los problemas que hasta ahora rondaban al infinito matemático es probablemente el mayor de los logros de los que nuestra época pueda enorgullecerse.»Los intuicionistas decían que las paradojas se debían lisa y llanamente a la introducción del infinito en acto y que este concepto era, tal como habían dicho Aristóteles y Galileo, contradictorio en sí mismo. Toda la teoría de Cantor era un sinsentido que debía ser abandonado y las matemáticas, en lo que al infinito tocaba, debían volver a la situación anterior a 1870.
Bertrand Russell, en 1910.
La base de las matemáticas debían ser los números naturales, con sus operaciones de suma y producto. Estos números no necesitaban ser definidos, sino que estaban dados en nuestra mente por una intuición básica a priori. Desde luego, los números no debían ser entendidos como formando una totalidad infinita acabada, sino como el resultado de un proceso continuo de generación (al estilo del pueblo milenario que imaginábamos páginas atrás) que empezaba con el número uno y continuaba indefinidamente por aplicación de la noción de sucesor (el 1 es el primer elemento, 2 es el sucesor de 1, 3 es el sucesor de 2, y así sucesivamente).
Para poder afirmar que existe un objeto matemático (diferente de los naturales) era necesario que este pudiera ser construido en una cantidad finita de pasos a partir de los números naturales mediante un procedimiento mecánico definido con rigurosidad.
Un objeto que no pudiera ser construido de esta manera simplemente no existía. En cierto modo, los intuicionistas retomaban con este concepto la idea contenida en un adagio atribuido a Leopold Kronecker «Dios creó los números naturales, todo lo demás lo creó el hombre» .
Por otra parte, según los intuicionistas, para que la definición de una propiedad fuera válida debía siempre existir un procedimiento mecánico (entiéndase, programable en un ordenador, ya que un algoritmo no es otra cosa que una receta mecánica) capaz de comprobar si la propiedad se verifica, o no.
L. E. J. BrouwerLuitzen Egbertus Jan Brouwer nació en Rotterdam, Holanda, el 27 de febrero de 1881 (apenas dos años antes de que Cantor publicara el artículo en elque introdujo por primera vez el infinito en acto en las matemáticas), En 1904, siendo un estudiante recién graduado, demostró algunos resultados originales sobre movimientos continuos en cuatro dimensiones que fueron publicados por la Real Academia de Ciencias de Amsterdam. Su tesis doctoral, publicada en 1907 trató sobre el problema de los fundamentos de las matemáticas. En ese trabajo introdujo las primeras ideas sobre el intuicionismo. También hizo contribuciones importantes a la topología, donde demostró el famoso «teorema de punto fijo» que lleva su nombre curiosamente, la demostración de este teorema no se ajusta a los estándares intuicionistas.
En 1935 comenzó a dedicarse a la política y prácticamente se alejó de la investigación matemática, aunque siguió ligado a ella como editor de la revista Compositio Mathematica, que también había fundado. Brouwer falleció el 2 de diciembre de 1966 en Blaricum, Holanda, en un accidente de tráfico
Por ejemplo, una propiedad válida para los intuicionistas es la de «ser un número primo», ya que siempre es posible verificar en una cantidad finita de pasos si un número es primo o no. Para saber si 17.677 es primo basta dividirlo por todos los números menores que él. Si en ningún caso la división es exacta, entonces el número es primo. El procedimiento que hemos descrito no es el mejor (hay métodos más rápidos para saber si un número es primo), pero siempre nos da una respuesta correcta en una cantidad finita de pasos.
Para ver un ejemplo de una propiedad no admitida por el planteamiento intuicionista, definiremos un número, al que llamaremos p, basándonos en los dígitos de π = 3,14159265... (que, como sabemos, es un número irracional, es decir, tiene infinitas cifras decimales no periódicas). El número p queda determinado de la siguiente manera: si entre los dígitos de π aparece alguna vez una secuencia de exactamente quince ceros seguidos, entonces p es el dígito (distinto de cero) que sigue inmediatamente después de la primera aparición de esos quince ceros. Si nunca aparecen exactamente quince ceros seguidos, entonces p vale 0. Conviene aclarar que entre los dígitos de π calculados hasta la actualidad esa seguidilla de quince ceros no ha aparecido.
¿Existe el número p? ¿Cuánto vale? En 1900 Hilbert escribió que si definimos un objeto matemático y esa definición no es auto-contradictoria, entonces podemos afirmar que el objeto existe.
Casi cualquier matemático de hoy en día contestaría que p existe. Es más, todos ellos coincidirían en decir que, aunque todavía no sepamos exactamente cuánto vale p, sí podemos afirmar que es un número entre 0 y 9. En el instante en que conozcamos si esa seguidilla de quince ceros aparece o no aparece en π, en ese preciso momento sabremos el valor exacto de p. Sin embargo, para la filosofía intuicionista p no existe, porque está definido a partir de una propiedad que no es verificable en una cantidad finita de pasos, porque π tiene infinitas cifras decimales y la verificación requeriría recorrerlas todas. Si entre los dígitos hasta hoy calculados de π hubieran ya aparecido quince ceros seguidos, entonces p existiría y sabríamos su valor exacto. Es más, si en el futuro se encontraran esos quince ceros, entonces p empezaría a existir en ese preciso momento.
Hoy p no existe, tal vez exista en el futuro. Lo mismo podríamos decir de la próxima novela aún no escrita de cualquier escritor contemporáneo La comparación no es caprichosa, porque para los intuicionistas Las matemáticas son un proceso dinámico, un proceso creativo similar a la literatura aunque regido por reglas más estrictas. Las matemáticas se crean (respetando determinadas reglas), no se descubren.
«Las generaciones futuras contemplarán la teoría de conjuntos [infinitos] como una enfermedad de la que nos hemos recuperado.»Como por ahora p no existe, tampoco tiene valor, y es erróneo en consecuencia decir que está entre 0 y 9. Toda afirmación referida a p es un sinsentido. Es incorrecto decir que «p es impar o p no es impar», o que «es igual o es distinto de 1».
Henri Poincaré, catedrático francés, en 1908.
También el estatus de los números irracionales era cuestionado por los intuicionistas. Estos números solo eran considerados como el resultado, nunca alcanzable, de aproximaciones sucesivas. Por ejemplo, para los intuicionistas, los dígitos de π no existen como una totalidad acabada (otro argumento a favor de la inexistencia de p).
Entre 1905 y 1920, L. E. J. Brouwer fue dando forma a un programa global para las matemáticas basado en estas ideas. A lo largo de esos años escribió diversos artículos y libros en los que explicaba cómo llevar a la práctica su filosofía. Y lentamente ese programa comenzó a ganar adeptos entre muchos de los matemáticos más prestigiosos de la época, como por ejemplo el francés Henri Poincaré (1854-1912), De modo que hacia 1920 la teoría de Cantor (quien había fallecido en 1918) comenzó a correr serio riesgo de ser abandonada, pero no todos los matemáticos estaban a favor del intuicionismo. Uno de ellos era el alemán David Hilbert.
Hilbert fue uno de esos jóvenes matemáticos que habían aceptado rápidamente la teoría del infinito. En 1890 apoyó la candidatura de Cantor a la presidencia de la Unión Matemática Alemana. Ambos, además, se conocieron en persona, fueron amigos y mantuvieron una intensa correspondencia.

Gödel en Viena, en la segunda mitad de la década de 1920, época en la que demostró su primer teorema de Incompletitud.
Se trataba de un puesto de honor y un reconocimiento a la que ya en ese momento era una brillante carrera.
David HilbertDavid Hilbert nació el 23 de enero de 1862 en Königsberg, Alemania (actualmente Kaliningrado, Rusia) y en 1885 se doctoró en matemáticas en la universidad efe esa misma ciudad. Diez artos más tarde fue invitado a ocupar un puesto en Gotinga (uno de los dos centros de investigación más importantes de Alemania, junto con Berlín), posición que ocuparía por el resto de su carrera.Hizo importantes contribuciones al álgebra, la geometría, el análisis y los fundamentos de las matemáticas, entre otras ramas de esa ciencia. En 1899 reformuló los Elementos de Euclides, corrigiendo algunas lagunas lógicas que no habían sido advertidas por más de dos mil cien años. El trabajo resultante. Fundamentos de geometría, es una obra destacada en la historia de la lógica matemática. Desde luego, es muy recordada también su conferencia inaugural del Segundo Congreso Internacional de Matemáticas, celebrado en París en 1900, en la que inmortalizó una frase que quedaría para siempre asociada a su nombre y en la que expresó la convicción de que no existen problemas matemáticos irresolubles: «Debemos saber, y sabremos» ( «Wir müssen wissen, wir werden wissen»). Hilbert falleció en Gotinga el 14 de febrero de 1943.
Todavía hoy, más de cien años después de dictada, esa conferencia es famosa y su texto completo puede encontrarse en Internet. De hecho, se han escrito libros enteramente dedicados a su análisis.
En su disertación, Hilbert planteó 23 problemas matemáticos en aquel momento aun no resueltos pertenecientes a diferentes ramas de esa ciencia y que, él creía, guiarían la investigación matemática a lo largo del siglo XX. El primero de ellos estaba relacionado con la teoría de Cantor. Este problema es conocido como la «hipótesis del continuo» y había sido planteado por primera vez por el propio Cantor en la década de 1880, aunque jamás llegó a resolverlo, Más adelante volveremos sobre este mismo problema porque Gödel halló una solución parcial en 1940; la resolución fue completada por Paul Cohen.
La decisión de ubicar la hipótesis del continuo en el primer lugar de su lista debe interpretarse como un apoyo explícito de Hilbert a la teoría de conjuntos de Cantor. En los primeros años de la polémica sobre los fundamentos de las matemáticas, Hilbert se mantuvo aparte, tal vez porque confiaba en que el punto de vista intuicionista caería derrotado por su propio peso. Pero hacia 1920, como ya dijimos, el logicismo comenzó a declinar, mientras que el intuicionismo cada vez ganaba más adeptos. Es por eso que, finalmente, Hilbert decidió intervenir en persona. Bajo el lema «Del Paraíso que Cantor creó para nosotros nadie podrá expulsarnos» se propuso frenar el intuicionismo. El modo que encontró para hacerlo fue proponer una tercera solución para el problema planteado por la paradoja de Russell, una solución calculada para atraer a los partidarios del intuicionismo y a la vez mantener incólume la teoría de Cantor.
¿Atraer a los intuicionistas pero a la vez salvar la teoría de Cantor? Parecía una tarea imposible, porque los intuicionistas, precisamente, rechazaban de plano el infinito en acto como un concepto absurdo y sinsentido. Pero Hilbert era Hilbert, y con inteligencia, habilidad y astucia, lo logró.
§. El programa de Hilbert
En 1920, Kurt Gödel tenía catorce años de edad y en su Brno natal tal vez ya soñaba con seguir una carrera científica. Al mismo tiempo, en Gotinga, Alemania, David Hilbert, de cincuenta y ocho años, comenzaba la labor, que le demandaría una década, de hermanar a los intuicionistas con el infinito en acto.
Como ya se ha expuesto, el pensamiento intuicionista estaba totalmente dominado por la idea de finitud. Solo existían los objetos matemáticos que podían construirse mecánicamente a partir de los números naturales en una cantidad finita de pasos. Números irracionales como π o √2 solo podían ser vistos como el resultado inalcanzable de sucesivos cálculos basados en fórmulas específicas.
La propuesta de Hilbert consistió esencialmente en llevar esta exigencia de finitud de los objetos matemáticos a los razonamientos matemáticos. Podemos parafrasear su idea de la siguiente manera establezcamos métodos de razonamiento tajes que la corrección de nuestras argumentaciones sea verificable algorítmicamente en una cantidad finita de pasos (un algoritmo es una receta mecánica programable en un ordenador). Asegurémonos además, de esa misma manera «finitista», que nuestras demostraciones nunca nos llevarán a una paradoja. Una vez logrado este objetivo, nuestras teorías podrán hablar sin temores de cualquier objeto, incluso del infinito en acto.
Más concretamente, el programa de Hilbert, también llamado «programa formalista», planteaba que toda teoría matemática debía estar basada en axiomas, es decir, en ciertas afirmaciones básicas aceptadas como verdaderas. Cualquier otra verdad de la teoría debía ser demostrable a partir de esos axiomas mediante razonamientos cuya validez fuese verificable mecánicamente en una cantidad finita de pasos. Además, la consistencia de esos axiomas (el hecho de que nunca nos conducirían a una paradoja como sí le había sucedido a Frege) debía ser también verificable de la misma forma mecánica, o algorítmica
En principio, la intención era desarrollar este programa para la aritmética, la teoría que se refiere a las propiedades de la suma y el producto de números naturales (es decir, la teoría que habla de los números más sencillos y de las operaciones más simples). Hilbert, al igual que los intuicionistas, sostenía que la base de todas las matemáticas debía ser la aritmética, y no la teoría de conjuntos. Una vez establecida una base sólida para la aritmética, sería fácil lograr un fundamento igualmente sólido para todas las demás teorías.
Aproximaciones de √2Para los intuicionistas solo existe como el resultado inalcanzable al que se van acercando asintóticamente sucesivas aproximaciones. Estas aproximaciones a su vez, deben ser calculadas siguiendo ciertas fórmulas bien especificadas. Existen muchísimas fórmulas que permiten calcular aproximaciones sucesivas de √2. Una de las más antiguas, y al mismo tiempo de las más sencillas, era ya conocida por Herón de Alejandría en el siglo I. Traducida al lenguaje moderno, la «receta» de Herón para aproximar √2 dice así:
Paso 1: Tome un numero positivo cualquiera.
Paso 2: Llama x al número elegido y calculePaso 3: Aplique la misma fórmula al resultado obtenido,
Paso 4: Siga aplicando la misma fórmula tantas veces como desee.
Por ejemplo, si en el primer paso elegimos el 5, al aplicar la fórmula por primera vez, obtendremos 2.7. Si introducimos el 2,7 en la fórmula obtendremos 1,72037037, luego 1,41447098, luego 1,41421358 … y así sucesivamente, acercándonos cada vez más a √2.
El problema de hallar un sistema de axiomas para la aritmética había sido ya formulado por Hilbert en su conferencia de 1900 (era el segundo problema de la lista), aunque aquella formulación no incluía la exigencia de la verificación mecánica de los razonamientos. Sin embargo, la cuestión algorítmica sí aparecía en otro problema, el décimo, que preguntaba si siempre sería posible determinar mecánicamente si cierto tipo de ecuaciones (llamadas diofánticas) tenían, o no, solución. Como vemos, dos de las ideas centrales del programa formalista ya aparecían, aunque por separado, en aquella conferencia de París.
Se ha dicho a veces que Hilbert proponía que el trabajo del matemático debía reducirse a un proceso mecánico, equivalente al de un ordenador, que calcula pero no piensa. Ese no es el caso.
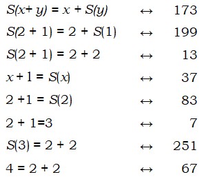
Los axiomas de PeanoEn su conferencia de 1900, David Hilbert planteó como primer problema el hallar un conjunto de axiomas para la aritmética que permitieran demostrar todas las verdades de la teoría (aunque sin hacer referencia a la necesidad de una verificación mecánica de la corrección de los razonamientos utilizados). En su disertación, Hilbert no mencionó la existencia de trabajos anteriores en ese sentido.Esta omisión despertó el malestar de Giuseppe Peano, matemático italiano, presente en la conferencia de Hilbert, quien había propuesto en 1889 un conjunto de axiomas para la aritmética con la intención de que estos permitieran deducir todos los enunciados aritméticos verdaderos. Los axiomas de Peano, tal es el nombre con el que se los conoce actualmente, tienen como elementos primitivos al número 1, y a los signos de la suma (+), del producto (∙) y de la función sucesor (S):
Axioma 1. S(x) nunca es igual a 1. es decir, 1 no es el sucesor de ningún número.
Axioma 2. Si S(x) = S(y) entonces x = y,
Axioma 3. x + 1 = S(x).
Axioma 4. S(x) + S(y) = S(x + y).
Axioma 5. x ∙ 1 = x.
Axioma 6. x ∙ S(y) = x ∙ y+ x.
Axioma 7. Si puede probarse que el 1 cumple una cierta propiedad y que siempre que x la cumple, entonces S(x) también, puede deducirse que la propiedad vale para todos los números naturales.
El último axioma, llamado «esquema de inducción», expresa el hecho de que todos los números naturales se obtienen a partir del 1 por aplicaciones repetidas de la función sucesor, Si una propiedad vale para el 1 y podemos asegurar que se propagará de cada número a su sucesor, entonces la propiedad valdrá para todos los números naturales. Una consecuencia del teorema de Gödel es que si incluimos la condición de que los razonamientos deban ser verificables algorítmicamente, entonces existen verdades aritméticas que son indemostrables a partir de estos axiomas, es decir, que la aritmética así planteada es incompleta.
El proceso creativo de los matemáticos no sufriría ninguna alteración; el carácter mecánico corresponde solamente a la verificación posterior de la validez de los argumentos usados por el matemático, no al descubrimiento de los argumentos en sí Para destacar esta diferencia, Hilbert hablaba de dos ciencias: la matemática y la metamatemática. La segunda, mecánica y finitista, tendría como objeto la revisión de los métodos de la primera.
Entre 1920 y 1930, Hilbert publicó una serie de artículos en los que fue exponiendo de manera gradual su programa y mostrando cómo podía ser llevado a la práctica Otros matemáticos se comprometieron también con la idea y presentaron aportes significativos a favor de ella. El propio Gödel, en 1929, en la que fue su tesis doctoral, mostró que era posible establecer métodos de razonamiento cuya corrección fuese verificable algorítmicamente. Ese mismo año, el matemático polaco Moisés Presburger exhibió una serie de axiomas cuya consistencia era verificable algorítmicamente y que permitían demostrar, aunque no todas las verdades aritméticas, sí una parte no despreciable de ellas. Se trataba de dos triunfos importantes para el programa formalista.
Al mismo tiempo, el intuicionismo iba perdiendo su ascendiente entre los matemáticos. Muchos de quienes habían simpatizado con las ideas generales de Brouwer comenzaban a sentir que llevarlas a la práctica, con el consecuente abandono de los razonamientos conjuntistas, traería más perdidas que beneficios. El programa formalista, por su parte, ofrecía una alternativa que era al mismo tiempo aceptable filosóficamente y realizable en la práctica.
Llegado 1930, estaba claro que Hilbert había vencido. Solo faltaba crear el ámbito adecuado para que los intuicionistas presentaran dignamente su rendición. Se organizó entonces un congreso sobre fundamentos de las matemáticas. La sede elegida fue Königsberg, la ciudad natal de Hilbert (una elección que, por supuesto, no fue casual). El congreso se desarrolló entre el viernes 5 y el domingo 7 de septiembre; el lunes 8 estaba previsto que el Parlamento de Königsberg le otorgara a Hilbert el título de ciudadano de honor. Todo estaba preparado para el gran triunfo del maestro.
El viernes expusieron sus trabajos los matemáticos menores, los desconocidos. Uno de ellos, Kurt Gödel, resumió su tesis doctoral. El sábado expusieron los mayores, entre ellos Hans Hahn, quien dirigió la tesis doctoral de Gödel, Brouwer, enemistado con Hilbert por motivos que iban más allá de la mera discusión académica, no estaba presente; el expositor del punto de vista intuicionista fue Arendt Heyting. Hilbert, que padecía problemas de salud, tampoco acudió y su principal representante fue John von Neumann, uno de sus discípulos.

Hans Hahn, doctor de la tesis doctoral de Gödel, el filósofo y matemático austríaco contribuyó en forma decisiva en la conformación del Círculo de Viena.
«Comparados con la inmensa expansión de las modernas matemáticas, qué suponen los lamentables restos, los escasos resultados aislados, incompletos e inconexos que los intuicionistas han obtenido.»Cuentan todos los testigos que, en ese mismo momento, un joven matemático levantó tímidamente la mano para pedir la palabra. Era delgado, usaba gafas y probablemente estaba muy nervioso. Ese joven, Kurt Gödel, anunció que había demostrado un teorema que probaba que si se exige que las demostraciones sean verificables mecánicamente, entonces es imposible dar axiomas para la aritmética que permitan demostrar todas las verdades de la teoría. Siempre habrá afirmaciones verdaderas que sean indemostrables a partir de los axiomas propuestos. (Hoy en día se conoce a esta afirmación como el primer teorema de incompletitud de Gödel.)
Manifestación de David Hilbert sobre la escuela intuicionista.
Más aún, si los axiomas propuestos permiten demostrar una parte significativamente amplia de las verdades aritméticas, entonces será imposible probar su consistencia por métodos mecánicos. (Este es el segundo teorema de incompletitud de Gödel) En otras palabras, el programa de Hilbert era completa y absolutamente irrealizable.
Podemos representamos una escena que nunca sucedió, pero que tal vez refleje el ánimo de los formalistas aquella tarde de domingo. Imaginemos a Hilbert llamando por teléfono a John ven Neumann para preguntarle cómo había salido todo y a este respondiéndole: «Tengo una buena noticia y una mala noticia La buena es que los intuicionistas se han rendido. La mala es que un tal Gödel dice que nosotros también hemos perdido» .
¿Cómo logró Gödel demostrar su teorema? ¿Cómo es posible probar que, no importa los axiomas que se propongan, siempre habrá una afirmación verdadera pero indemostrable a partir de ellos? La demostración de Gödel, una de las mayores proezas intelectuales del siglo XX, será el tema central del próximo capítulo.
Capítulo 2
El primer teorema de Gödel
El primer teorema de incompletitud de Gödel dice que, dado cualquier conjunto de axiomas para la aritmética, siempre habrá un enunciado aritmético verdadero que es indemostrable a partir de ellos, si es que solo se admiten los métodos de demostración avalados por el programa de Hilbert. La demostración de este teorema consiste esencialmente en obtener un enunciado autorreferente que dice de sí mismo «yo no soy demostrable».Después de terminada la Primera Guerra Mundial, el Imperio austro-húngaro se fragmentó en diversas regiones. Algunas, entre ellas Austria, Hungría, Yugoslavia y Checoslovaquia, se transformaron en países independientes. Otras pasaron a formar parte de naciones ya existentes como Italia o Rumania En esta partición, Brno, la ciudad donde vivía la familia Gödel, quedó incorporada a Checoslovaquia. Años más tarde, Kurt Gödel recordaría que desde ese momento su padre siempre se sintió como un austríaco en el exilio. Es posible que ese sentimiento influyera de algún modo en la decisión de enviar a sus dos hijos a estudiar en la Universidad de Viena, un modo, aunque sea indirecto, de volver a la patria.
Gödel ingresó en la Universidad de Viena en 1923 con la intención de estudiar física. Podemos suponer que su curiosidad innata lo había llevado desde muy pequeño a hacerse preguntas como por qué caen las cosas que soltamos, o por qué algunos objetos flotan y otros no, o por qué brilla el Sol; todas ellas preguntas relacionadas con la física.

El matemático alemán Philipp Furtwängler, profesor de Gödel en la Universidad de Viena.
Se sabe muy poco sobre la vida privada de Gödel durante sus años de estudiante en Viena, Estuvo a punto de casarse con una mujer diez años mayor que él, pero sus padres se opusieron y Kurt desistió de su propósito. No hay referencias a otras relaciones personales o amistades íntimas. En apariencia, dedicaba la mayoría de su tiempo al estudio. Una vez en la universidad, el propósito de dedicarse a la física no duró mucho tiempo. En esos años enseñaba en Viena Philipp Furtwängler, un matemático alemán especializado en aritmética superior. Furtwängler nació en 1869 en Elze (en el centro de Alemania) y se había doctorado en Gotinga en 1896, bajo la dirección de Félix Klein, uno de los matemáticos más importantes de finales del siglo XIX.
La teoría del color de GoetheJohann Wolfgang von Goethe (1749- 1832) fue un novelista, dramaturgo y poeta alemán, y uno de los principales representantes del Romanticismo. Además de su muy conocida obra literaria, Goethe escribió también varios tratados científicos sobre física, zoología y botánica. Muchas de sus ideas acerca de estos temas provocaron diversas controversias en su época, aunque algunas de ellas fueron reivindicadas en décadas posteriores.Por ejemplo su clasificación de las plantas y sus conceptos sobre la morfología animal fueron retornados por Charles Darwin y otros naturalistas del Siglo XIX. En su libro Teoría de los colores (Zur Farbenlehre, en alemán), escrito en 1810, Goethe sostuvo que el estudio del color no debe reducirse a los aspectos físicos de la luz, sino que debe incluir la reflexión sobre la percepción humana. Para Goethe, la óptica de Newton era incompleta y solamente un caso particular dentro de su propia teoría. Las ideas de Goethe sobre la luz no fueron recibidas con interés por los físicos de su tiempo; Incluso no suelen ser incluidas en las obras sobre historia de la ciencia. Hoy en día, sin embargo, se acepta que es necesario distinguir, como hacía Goethe, entre el espectro óptico tal como lo estudió Newton y el fenómeno más amplio de la percepción humana del color.
Retrato de Goethe por el pintor alemán Joseph Karl Stieler .
Las clases de Philipp Furtwängler eran famosas por su excelencia y su claridad. El número de estudiantes que se inscribían en sus cursos era tan grande (llegaron a ser más de cuatrocientos a la vez) que los alumnos tenían que dividirse en dos grupos y cada lección debía ser impartida dos veces, una para cada grupo. Como curiosidad, Furtwängler estaba parapléjico y desde su silla de ruedas le dictaba a un ayudante lo que debía escribir en la pizarra.
El joven Gödel quedó tan impactado por las clases de Furtwängler que abandonó su decisión de estudiar física y se volcó en las matemáticas. Sin duda, un notable ejemplo de cómo un profesor puede afectar en la vida de sus alumnos. De todos modos, unos veinticinco años más tarde, en Princeton, Gödel tuvo la oportunidad de despuntar un poco el «vicio» de la física. En 1949 y 1950 publicó sendos trabajos sobre la teoría de la relatividad, los únicos dos trabajos científicos de Gödel no relacionados con la lógica matemática, y que seguramente fueron el resultado de sus conversaciones con Einstein.
Una pequeña coincidencia: Philipp Furtwängler terminó sus estudios en Gotinga en 1896 y permaneció allí basta 1912, año en que se incorporó a la Universidad de Viena. Mientras tanto, en 1895 llegaba a Gotinga quien por entonces era una joven promesa de la matemática alemana, David Hilbert. Aunque no hay registros al respecto, podemos tener la certeza de que ambos se conocieron, Philipp Furtwängler, quien hizo que Gödel se dedicara a las matemáticas, y David Hilbert, cuyo trabajo matemático de toda la década de 1920 se vería «destruido» por los teoremas de Gödel. ¿Habrá sabido alguna vez Furtwängler que él fue quien inspiró a Gödel a dedicarse a las matemáticas? ¿Se lo habrá dicho Gödel alguna vez? No lo sabemos, pero puede ser interesante especular acerca de qué pudo haber pensado Furtwängler al respecto.
§. El círculo de Viena
Volvamos a Gödel y a sus años en la universidad. En aquel tiempo, a principios de la década de 1920, la vida intelectual de Viena estaba organizada, de manera más o menos informal, en círculos (Kreise, en alemán). Estos círculos eran grupos que se reunían semanalmente en los cafés de la ciudad para discutir sobre los más diversos temas, como por ejemplo, entre otros, filosofía, política o psicoanálisis (Freud vivía y trabajaba en Viena en esos años).
Aunque tal vez hubo decenas de grupos, muchos de ellos con miembros en común, el más importante de todos, aquel cuyos debates perduraron en el tiempo, fue el fundado en 1922 por Moritz Schlick, quien era además profesor de Gödel en el curso de filosofía de la ciencia de la universidad. Al principio, Schlick adoptó para el grupo el nombre de Asociación Ernst Mach, pero más tarde fueron conocidos simplemente como el «Círculo de Viena» (Ver Wiener Kreis).
Formaron parte del grupo, entre otros, los filósofos Rudolf Camap y Ludwig Wittgenstein y el filósofo y matemático Hans Hahn (quien dirigiría la tesis doctoral de Gödel). También Karl Popper participó de varias discusiones. De hecho, una de sus obras más importantes, La lógica de la investigación científica (en alemán, Logik der Forschung) apareció por primera vez en una serie de publicaciones del Círculo.
La incorporación al grupo se producía estrictamente por invitación; Gödel recibió la suya de Schlick en 1926 y asistió con regularidad a las reuniones hasta 1928, aunque solamente como oyente. En el momento de ser invitado a unirse al Círculo, Gödel era un mero estudiante', eso habla mucho del prestigio que comenzaba a ganarse entre sus profesores.
Los temas que trataba el Círculo de Viena eran la filosofía de la ciencia en general y el lenguaje de la ciencia en particular. En esas reuniones se discutía también sobre matemáticas, en especial sobre las soluciones propuestas por Russell, Brouwer y Hilbert al problema de la crisis de los fundamentos. Es seguramente allí donde Gödel adquirió por primera vez su profundo conocimiento sobre el programa formalista.
Moritz SchlickMoritz Schlick fue un filósofo alemán, nacido en 1882. Inicialmente estudió física con Max Planck en la Universidad de Berlín; su tesis doctoral, presentada en 1904, se tituló «Sobre la reflexión de la luz en un medio no-homogéneo».Sin embargo, no dedicó su vida a la física, sino a la filosofía. Su primera obra filosófica, La sabiduría de la vida, se publicó en 1908 y su ensayo La naturaleza de la verdad según la lógica moderna ( Das Wesen der Wahrheit nach der modernen Logik) apareció dos años más tarde.
Poco después de ello, volcó su atención en la epistemología y la filosofía de la ciencia, temas de estudio que ya no abandonaría. En 1922, Schlick se hizo cargo de la cátedra de filosofía de las ciencias inductivas de la Universidad de Viena, y ese mismo año fundó el Círculo de Viena como foro para discutir nuevos horizontes filosóficos, alejados de la metafísica y centrados en el empirismo. El Círculo dejó de reunirse en 1956, año en que Moritz Schlick fue asesinado en Viena por un estudiante de la universidad (algunos historiadores dicen que el estudiante estaba alterado mentalmente, otros afirman que era pro-nazi; las dos opciones, por supuesto, no son excluyentes).
Su participación en el Círculo de Viena llevó a Gödel en 1928 a la resolución definitiva de consagrarse a la lógica matemática.
Al año siguiente completó su tesis doctoral sobre un problema relacionado con el programa de Hilbert (aunque todavía no se trataba de su famoso teorema de incompletitud, que sería presentado en septiembre de 1930 en el congreso de Königsberg), Gödel presentó su tesis a la Universidad de Viena el 6 de febrero de 1930. Ese mismo año le dio la forma de un artículo. Este trabajo, su primera publicación científica, apareció en el volumen 37 (1930) de la revista Monatshefte für Mathematik und Physik bajo el título «La completitud de los axiomas del cálculo lógico de primer orden»- El teorema que se demuestra allí, hoy conocido como el «teorema de completitud de Gödel», fue tomado en su momento como una indicación de que el programa de Hilbert podía ser cumplido.
§. El teorema de completitud
Para entender el teorema de completitud de Gödel debemos profundizar antes en la teoría de la demostración matemática según el programa de Hilbert. Este programa, recordemos, pedía hallar un conjunto de axiomas que permitieran demostrar todas las verdades de la aritmética mediante razonamientos verificables algorítmicamente. Pero ¿qué es exactamente la aritmética? ¿Cuáles son esas verdades que uno quiere demostrar?
«El objetivo de mi teoría es el de establecer de una vez por todas la certidumbre de los métodos matemáticos.»La aritmética es la rama de las matemáticas que habla de las propiedades de la suma y el producto de los números naturales: 1, 2, 3, 4, 5, 6, 7,... e involucra conceptos tales como «número primo», «número perfecto», «número triangular» o «número par». La teoría en sí está formada por todas las afirmaciones (también llamadas proposiciones o enunciados) relativas a esas nociones, como por ejemplo: «1 + 1 = 2», «2 es par», «5 es primo», «Todo número divisible por 4 es par» o «La suma de dos números impares da como resultado un número par». Los axiomas buscados por Hilbert serían un conjunto de verdades básicas de las cuales fuese posible deducir, con las condiciones ya expuestas para los razonamientos, todas las demás afirmaciones aritméticas verdaderas, entre ellas, las mencionadas más arriba.
David Hilbert en Sobre el infinito (1925).
Por otra parte, ¿qué significa que la validez de los razonamientos que demuestran esas verdades sea verificable algorítmicamente? Esto quiere decir que, al menos en principio, debería ser posible programar un ordenador de tal modo que fuera capaz de determinar en una cantidad finita de pasos si una demostración matemática es válida o no. De acuerdo con esta idea, introduciríamos la demostración en la máquina, esta la procesaría siguiendo una receta previamente programada, y al cabo de un tiempo (tal vez largo, tal vez corto, peno en cualquier caso siempre finito), la máquina nos diría si el razonamiento es válido o si contiene algún error.
Ahora bien, en general, verificar la corrección de una demostración matemática no es un trabajo sencillo, a veces ni siquiera para los especialistas. Por ejemplo, cuando en 1995 Andrew Wiles presentó su demostración del último teorema de Fermat, a la cual le había dedicado siete años de trabajo los especialistas que la revisaron encontraron una laguna lógica, un paso que ellos entendían que no estaba debidamente justificado. A Wiles, por supuesto, ese error se le había pasado por alto y necesitó todo un año para corregirla Finalmente, en 1996 pudo presentar una demostración completa.
Mostremos un ejemplo menos complejo. Pongamos que a y b son dos números que suponemos iguales y además diferentes de cero. A partir del hecho de que a = b podemos desarrollar la siguiente «demostración» de que 1 = 2 (para mayor claridad numeramos los sucesivos pasos lógicos del razonamiento):

a(b - a) = (b + a)(b - a)
eliminamos el paréntesis (b - a) y concluimos que a = b + a. Esto es erróneo porque (b - a) vale 0 (dado que a = b) y un 0 que esté multiplicando no puede cancelarse en una igualdad. Traducido a números, suponiendo por ejemplo que a y b valgan 2, el salto del paso 5 al 6 equivale a haber dicho que como 2 × 0 = 4 × 0 (que es verdad) entonces 2 = 4.Pero ¿cómo podríamos «enseñarle» a un ordenador a detectar esta clase de errores? Un ordenador es solo una máquina; no razona, sino que sigue ciegamente la «receta» que hayamos programado en su memoria. Para que un ordenador sea capaz de verificar la corrección de un razonamiento matemático un requisito necesario es que este pueda ser traducido a una sucesión de enunciados cada uno de los cuales, o bien es un axioma, o bien se deduce de enunciados precedentes por la aplicación de reglas lógicas bien precisas y especificadas de antemano.
Veamos un ejemplo de demostración matemática expresado de esta manera. Para poder mostrarlo necesitamos primero algunos axiomas que nos sirvan de punto de partida. En 1889, mucho antes que fuera descubierta la paradoja de Russell, el matemático italiano Giuseppe Peano había propuesto un conjunto de axiomas que (él suponía) permitían demostrar todas las verdades aritméticas. Estos axiomas se basaban en las operaciones de suma (+) y producto (∙), y en la noción de «sucesor» (indicada con la letra S).
Entendía Peano que la sucesión de los números naturales se obtenía a partir del número 1 por aplicaciones repetidas de la función sucesor. De este modo, el 2 se define como el sucesor del 1, en símbolos S(1) = 2; el 3 es, por definición, el sucesor del 2, o sea, S(2) = 3; y así indefinidamente.
Para nuestro ejemplo de demostración bastará con tomar dos de los axiomas de Peano, aquellos que se refieren a la suma:
Axioma 1: Cualquiera que sea el número x, vale que x + 1 = S(x).
Axioma 2: Cualesquiera que sean los números x e y, vale que
S(x + y) = x + S(y).

Estructura lógica de la demostración de que 4 = 2 + 2. Las flechas indican la aplicación las reglas de inferencia.
Pero ¿es realmente necesario demostrar que 4 = 2 + 2? ¿No es un hecho obvio? Aunque en efecto es obvio, según el programa de Hilbert toda afirmación verdadera que no sea un axioma debe ser demostrada a partir de ellos. Excepto los enunciados que hayan sido explícitamente indicados como axiomas, no hay otras afirmaciones que se acepten por sí mismas como verdaderas.
Probemos entonces que 4 = 2 + 2, pero anotemos el razonamiento de tal modo que pueda ser procesado por un ordenador. Insertaremos además algunos comentarios para que nosotros, seres humanos, podamos seguir la idea (véase el esquema):



«El mundo real está sujeto a cambios constantes. [... ] Pero tales cambios, por profundos que sean, nunca destruirán la verdad de una sola ley lógica o aritmética»¿Qué es lo que haría el ordenador para comprobar que nuestra demostración es correcta? Para empezar, registraría el primer enunciado y verificarla si se trata de un axioma. Esta comprobación se hace símbolo a símbolo, de la misma manera que un procesador de texto verifica la ortografía de un documento, comprobando letra por letra si las palabras escritas en él aparecen en el diccionario que el ordenador tiene cargado en su memoria.
Rudolf Carnap Fundamentos de la lógica física.
Recordemos que cada enunciado debe ser, o bien un axioma, o bien debe deducirse de enunciados precedentes. En nuestro ejemplo, la máquina comprobaría que, en efecto, el primer enunciado es uno de los axiomas de la lista (el primer enunciado debe ser un axioma, no puede deducirse de enunciados anteriores simplemente porque no los hay). El ordenador, por supuesto, no «entiende» el significado del axioma, solo comprueba que el primer enunciado aparece en el listado que le fue previamente cargado.
Terminada la primera comprobación, la máquina pasaría al segundo enunciado, S(2+ 1) = 2 + S(1), y verificaría que no se trata de un axioma (ya que no está en la lista).

Esquema da la verificación mecánica de una demostración.
En el caso de nuestra demostración, la regla que permite ir del paso 1 al paso 2 es aquella que dice que si un enunciado comienza con «Cualesquiera sean los números x e y, vale que...», entonces en la expresión que sigue a continuación las letras x e y pueden reemplazarse libremente por números cualesquiera. En nuestro ejemplo, la letra x es reemplazada por el número 2 y la otra, por el número 1.
Estas reglas lógicas van más allá de la aritmética, son reglas generales que valen en cualquier rama de las matemáticas. Por ese motivo, los enunciados que las expresan son llamadosenunciados universalmente válidos (también se los llama axiomas lógicos, precisamente porque expresan las reglas del razonamiento lógico).
Ya hemos mencionado una de estas reglas.
El lenguaje formalTanto el programa de Hilbert como la demostración de Gödel suponen que todos los enunciados aritméticos están escritos en un lenguaje formal con símbolos establecidos de antemano. Hay diferentes elecciones posibles para los símbolos, una selección de las cuales es la siguiente:∀. Se llama «cuantificador universal» y se lee «Para todo». Indica que la propiedad que se enuncia es válida para cualquier número.Algunas presentaciones prefieren tomar al 0 como primer elemento, lo que no representa una diferencia esencial. Usando los símbolos que hemos dado aquí, el número 2 se escribe como S(1), es decir, el siguiente del 1, El número 3 se escribe como S[S(1)] es decir, el siguiente del siguiente del 1. Y así sucesivamente.
⇒. Es el símbolo de implicación: «P ⇒ O» significa «Si P entonces O».
¬. Es el símbolo de la negación: ¬P significa «no-P».
=. Signo igual.
1. Número uno.
S . Indica «sucesor».
+. Símbolo de la suma.
∙. (punto): Símbolo del producto.
(). Paréntesis.
x1 , x2, x3… Variables.
Otros dos ejemplos son; «Si x = y entonces y = x» y «Si dos expresiones numéricas son iguales, entonces cualquiera de ellas puede ser reemplazada por la otra». Esta última regla es la que justifica el salto del paso 2 al paso 3, en el cual S(1) es reemplazado por 2.
En realidad, si existe un número potencialmente infinito de enunciados universalmente válidos ¿cómo podríamos entonces cargarlos a todos en la memoria de un ordenador? Si no pudiéramos hacerlo, este sería incapaz de verificar la validez de cualquier razonamiento y, en consecuencia, el programa de Hilbert sería inmediatamente irrealizable. Pero al mismo tiempo, ningún ordenador concebible tiene la capacidad de contener «infinitos» enunciados.
Por fortuna, en su teorema de completitud Gödel demostró que, aunque la cantidad de reglas lógicas es potencialmente infinita, todo razonamiento puede realizarse usando solo doce de ellas. Si cargamos en la memoria del ordenador esas doce reglas, entonces este será capaz de verificar la corrección de cualquier demostración.
Cuando este teorema se publicó a principios de 1930 quedó claro que la base lógica necesaria para el programa de Hilbert estaba asegurada: era posible verificar mecánicamente la corrección de las demostraciones aritméticas. El problema que quedaba por resolver era hallar un conjunto de axiomas que (en base a esas doce reglas) permitiera demostrar todas las verdades aritméticas.
El teorema de completitud no suscitó una gran emoción en el ambiente matemático. Se entendía que Gödel tan solo había escrito prolijamente la prueba de un hecho que todos daban por cierto; tan grande eta la confianza en que el programa de Hilbert podría completarse con éxito. Únicamente quedaba pendiente el problema de hallar los axiomas para la aritmética.
§. El teorema de incompletitud
Establecida la base lógica que otorgaba la facultad de realizar demostraciones verificables algorítmicamente, solo faltaba hallar los axiomas que permitieran demostrar todas las verdades aritméticas. Lamentablemente para el programa de Hilbert, este objetivo es inalcanzable. El teorema que expone esta imposibilidad se conoce como el «primer teorema de incompletitud de Gödel», o más familiarmente, como el teorema de Gödel:
Si elegimos como axiomas cualquier conjunto de enunciados aritméticos verdaderos y exigimos que las demostraciones que hagamos a partir de ellos sean verificables algorítmicamente, entonces habrá al menos un enunciado verdadero que no puede ser demostrado a partir de esos axiomas.
Gödel probó este teorema en 1930 y, como ya sabemos, lo expuso abiertamente por primera vez en el congreso de Königsberg, el 7 de septiembre de ese año.
Las doce reglas lógicasEn su tesis doctoral, presentada en 1930, Gödel demostró que todo razonamiento que sea verificable algorítmicamente puede fundamentarse usando solo doce reglas lógicas, que listamos a continuación. En lo que sigue. «P ⇒ Q» es una abreviatura de «SiP entonces Q» y «∀x P(x)» es una abreviatura de «Todo x cumple la propiedad P».
1. Si vale el enunciado Q, entonces, cualquiera que sea P, vale el enunciado
2. Si vale «P ⇒ (Q ⇒ R)» y también vale «P ⇒ Q» entonces vale «P ⇒ R».
3. Si vale «no∙Q ⇒ no-P » entonces también vale «P ⇒ Q».
4. Si vale «∀x P(x)» entonces vale «P(n)», donde n es un numero cualquiera.
5. Si vale «∀x[(P(x) ⇒ Q(x)]» entonces vale «P⇒ [∀xQ(x )]», siempre que la letra x no aparezca en P.
6. Cualquiera que sea el número x, vale que x = x.
7. Cualesquiera que sean los números x ey, vale que si x = y entonces y = x
8. Cualesquiera que sean los números x,y, z vale que si x = y e y = z entonces x = z.
9. Si x = y entonces puede reemplazase x por y en cualquier expresión numérica.
10. Si x = y entonces puede reemplazarse x por y en cualquier enunciado,
11. Si vale P y vale «P ⇒ Q » entonces vale Q.
12. Si vale P(x) para un x genérico entonces vale «∀x P( x)».
En general, las diez primeras reglas se presentan como enunciados universalmente válidos, mientras que a las dos últimas se les da una presentación diferenciada como «reglas de inferencia», Esta distinción es puramente técnica y no tiene relevancia para nuestros fines.
El artículo con el desarrollo de la demostración fue enviado a la revista Monatshefte für Mathematik und Physik en noviembre y apareció en el volumen 38 (1931), una publicación cuya relevancia para la lógica es solo comparable con la Metafísica de Aristóteles.

Kurt Gödel en 1935, cinco años después de terminar su doctorado en la Universidad de Viena
Pero, ¿cómo es posible demostrar un hecho de esa envergadura? ¿Cómo puede probarse que cualquiera que sea el conjunto de axiomas que se elija (si los razonamientos son verificables algorítmicamente) entonces siempre habrá alguna verdad que es indemostrable a partir de ellos?
Nos proponemos ahora explicar la demostración de este hecho y para ello iremos, paso a paso, por los puntos principales del razonamiento de Gödel
§. La idea general de la demostración
Aquí comienza la explicación de la demostración del teorema de Gödel. Supongamos que se han elegido como axiomas algunos enunciados aritméticos verdaderos. Observemos en primer lugar que el hecho de que las axiomas sean afirmaciones verdaderas garantiza que todos los enunciados que se demuestren a partir de ellos serán también verdaderos, ya que de premisas verdaderas (si los métodos de razonamiento son correctos) solo pueden extraerse conclusiones verdaderas. Este hecho nos asegura que ningún enunciado demostrable será falso; sin embargo, no nos garantiza de ninguna manera que todas las verdades serán demostrables. De hecho, nuestro objetivo es probar que existe necesariamente algún enunciado aritmético verdadero que rio puede ser demostrado a partir de esos axiomas (si nos ajustamos a los métodos de demostración del programa de Hilbert).
La idea general de la prueba de Gödel consiste en obtener un enunciado G que diga: «G no es demostrable». En otras palabras, G puede escribirse como: «Esta afirmación no es demostrable»,
El enunciado G es autorreferente y dice de sí mismo que no es demostrable (en todo lo que sigue, la palabra «demostrable» siempre debe entenderse como «demostrable a partir de los axiomas propuestos»). Probemos que este enunciado G es una verdad no demostrable.
Para comenzar, observemos que G es verdadero, o falso. Si G fuera falso, debido a lo que G dice de sí mismo, concluiríamos que G es demostrable. Luego G sería a la vez falso y demostrable, pero esto es imposible (porque dijimos que partiendo de axiomas verdaderos solamente podrán demostrarse enunciados verdaderos). Por lo tanto, G no puede ser falso.

En consecuencia, G es verdadero y, por lo que dice de sí mismo, no es demostrable. Deducimos así que G es un enunciado verdadero y no demostrable (véase el esquema).
§. Números y afirmaciones
La idea anterior, aunque esencialmente correcta, tiene un problema; G debería ser una afirmación aritmética. Ahora bien, en principio, los enunciados aritméticos se refieren a propiedades de los números naturales, no hablan de otros enunciados, y mucho menos de sí mismos. ¿Cómo podemos vencer esta limitación? ¿Cómo podemos hacer que, a pesar de todo, un enunciado aritmético sí se refiera a otro enunciado? Si los enunciados hablan de números y necesitamos que se refieran a otras afirmaciones, la manera de hacerlo es equiparar números con afirmaciones:
El asunto es asociar a cada enunciado aritmético un número natural, de tal modo que hablar de ese número equivalga a hablar del enunciado correspondiente. Por ejemplo, si a una afirmación Pie correspondiera el número 457, entonces podemos pensar que cualquier enunciado que hable del 457 está hablando al mismo tiempo de P.
Números ⇒ Afirmaciones
A cada enunciado aritmético se le asocia entonces un número, que llamaremos su número de Gödel, o su código. La asignación de números de Gödel se hace de una manera específica y bien establecida que, inclusive, es programable en un ordenador. Sin embargo, a efectos de entender a grandes rasgos la idea de la demostración del teorema de incompletitud no es necesario detenerse en los detalles técnicos de esta asignación. Los ejemplos que mostraremos a continuación son puramente hipotéticos y sirven solo para ilustrar el concepto general. Imaginemos que: «4 = 2 + 2» ↔ código 67
«2 es par» ↔ código 223
«162 es divisible por 18» ↔ código 103
«4 es impar» ↔ código 149
171 es par» ↔ código 61.
Notemos que los enunciados de los dos últimos ejemplos son falsos. Esto muestra que se le asignan números de Gödel a todos los enunciados, tanto a los verdaderos como a los falsos. Por una conveniencia técnica también se le asignan números de Gödel a las expresiones genéricas, tales como «x es par» o « x es múltiplo de 18». Expresiones que no se refieren a un número específico, sino a un número variable x. A estas expresiones Bertrand Russell las llamaba funciones preposicionales.
En sí mismas, las funciones preposicionales no son enunciados, ya que un enunciado, por definición, debe ser verdadero o falso, mientras que la verdad o falsedad de «x es par» depende de cuál sea el valor que se elija para x. Cada vez que reemplazamos x por un número específico obtenemos un enunciado concreto que será verdadero o falso dependiendo del x elegido. Por ejemplo, si en «x es par» reemplazamos x por el número 8, entonces obtenemos el enunciado verdadero «8 es par». En cambio, sí reemplazamos x por el número 3, obtenemos el enunciado falso «3 es par».
Dijimos antes que a cada función preposicional se le asocia también un número de Gödel (igual que para los enunciados, estos códigos se calculan de un modo preciso mediante un algoritmo previamente establecido). A modo de ejemplo hipotético podemos imaginar que:
«x es divisible por 18» ↔ código 162
«x es par» ↔ código 171.
Notemos que a «x es par» le asignamos el código 171, mientras que al enunciado «2 es par» le corresponde el código 223. Es correcto que los códigos sean diferentes, ya que se trata de objetos lingüísticos diferentes. De la misma manera, «1 es par», «3 es par», «4 es par»... tienen todos números de Gödel diferentes entre sí.Finalmente, se le asigna además un número de Gödel a cada sucesión finita de enunciados (que es calculado en base a los códigos de los enunciados que forman la sucesión). La idea de esta asignación es garantizar que toda demostración esté también identificada por un código. Por ejemplo, a la siguiente demostración de «4 = 2 + 2» a partir de los axiomas«S(x + y) = x + S(y)» y «x + 1 = S( x)»:

La numeración de Gödel¿Cómo se define en realidad la numeración de Gödel? Para definirla, cada enunciado y cada función preposicional debe expresarse primeramente usando los símbolos del lenguaje formal. Gödel asignó a cada símbolo de ese lengua[e un número impar:La cantidad de variables es potencialmente infinita, A las restantes (x4,. x5…) les corresponden los números 27, 29 y así sucesivamente. A continuación. Gödel asignó los códigos de los enunciados y de las funciones preposicionales. Para mayor claridad, expliquemos el método sobre un ejemplo concreto. ¿Qué código le corresponde, por ejemplo, al enunciado «1 = 1»? Los pasos para calcularlo son los siguientes:
1. Fijémonos primero en los códigos de los símbolos que forman el enunciado: 9, 7, 9.
2. Como hay tres símbolos, tomamos ahora, en orden, los tres primeros números primos: 2, 3, 5.
3. El código es entonces: 25 ∙ 3 7 ∙ 59 = 2187000000000. (Obsérvese que los primos son las bases de las potencias y los códigos de los símbolos son los exponentes.)
Para calcular el número de Gödel de una sucesión finita de enunciados se procede de manera similar, solo que en el paso 1 se toman, en orden, los código de los enunciados que forman la sucesión, y en el último paso se transforman en los exponentes de los primos.
Por supuesto, como en los casos anteriores, debe existir una «receta» mecánica que indique cómo debe ser calculado el código de una sucesión de enunciados y otra receta inversa que, dado un código, permita recuperar la sucesión de enunciados que le corresponde. Nuestra receta de calcular el código de la sucesión como el producto de los códigos individuales no es válida porque ignota el orden de los enunciados en la sucesión (si permutamos los enunciados, el código de la sucesión resultante sigue siendo el mismo, y esto no debería suceder porque al permutarlos se obtiene en realidad una sucesión diferente). Sin embargo, dado que se trata solamente de un ejemplo hipotético, no nos preocuparemos por esta cuestión.
§. «Ser demostrable» es expresable
Los códigos, o números de Gödel, no solamente logran que un enunciado aritmético hable de otro enunciado, sino que además podemos hacer que se refiera a la demostrabilidad de ese enunciado. Por ejemplo, dada una afirmación P, podremos escribir un enunciado aritmético que diga «P no es demostrable». Veamos cómo se consigue este objetivo.
Una vez que se ha elegido un conjunto de axiomas, queda perfectamente fijado cuáles enunciados son demostrables y cuáles no lo son (aunque puede ser muy difícil determinar en la práctica si un enunciado dado es demostrable o no). A cada enunciado demostrable, a su vez, le corresponde un número de Gödel. Tenemos entonces un conjunto de números bien establecido: el conjunto formado por los códigos de los enunciados demostrables.
Gödel probó que este conjunto queda caracterizado por una propiedad aritmética bien definida En otras palabras, probó que «Ser el código de un enunciado demostrable» es una propiedad expresable en el lenguaje de la aritmética (que usa como elementos básicos la suma, el producto y las operaciones lógicas). En otras palabras, la propiedad «x es el código de un enunciado de- mostrable» puede traducirse a una propiedad numérica expresable en términos de sumas, productos y operaciones lógicas. Como suele decirse, «Ser demostrable» es expresable.
Destaquemos que esta parte de la argumentación de Gödel es la que depende fundamentalmente del hecho de que el programa de Hilbert solo admite demostraciones verificables algorítmicamente. Si se permitieran otros métodos de razonamiento (hablaremos de ellos en el último capítulo), entonces no habría forma de garantizar que la propiedad «x es el código de un enunciado demostrable» es expresable en términos aritméticos.
«Todos los principios de la matemática se reducen a principios de la lógica.»¿Cómo probó Gödel que «Ser demostrable» es expresable? En principio, probó que cualquier propiedad numérica que sea verificable algorítmicamente (como por ejemplo «Ser un número primo», «Ser par» o «Ser divisible por 9») es siempre expresable en términos de sumas, productos y operaciones lógicas.
Willard Van Orman Quine en Desde un punto de vista lógico.
Ahora bien, que un enunciado P sea demostrable significa que existe una demostración (como las que admite el programa de Hilbert) de la cual P es el enunciado final. A modo de ejemplo, ya mostramos una demostración de «4 = 2 + 2» a partir de los axiomas«S(x + y) = x + S(y)» y «x + 1 = S( x)».
Recordemos que a esa demostración, en cuanto sucesión de enunciados, le corresponde el número de Gödel 2414871965597. Recordemos además que a «4 = 2 + 2» le corresponde el 67. Traducido a códigos, que «4 = 2 + 2» sea demostrable significa que existe una secuencia finita de enunciados, cuyo código es 2414871965597, que es una demostración, y que su enunciado final es aquel que tiene el código 67.
Encontrar o verificarLa teoría de la demostración plantea dos problemas que, aunque similares, no deben ser confundidos. El primer problema pide, dado un enunciado P, hallar una demostración de él (o bien probar que esa demostración no existe). El segundo problema plantea, si se ha propuesto una demostración para un enunciado, determinar si la demostración es correcta, o si no lo es. El segundo problema puede ser difícil, pero el primero lo es mucho más. Si los métodos de demostración sor los adecuados, el segundo problema, el de determinar si una demostración propuesta es correcta o no. puede resolverse algorítmicamente. El problema de hallar una demostración, en cambio, no es resoluble de esa manera.El último teorema de Fermat
El matemático británico Andrew Wiles.
Un ejemplo concreto esta dado por el último teorema de Fermat. En 1637, Pierre de Fermat afirmó que si n > 2, entonces la ecuación xn + yn = zn no tiene solución en los números naturales. Fermat aseguró tener una demostración de este hecho, pero jamás la reveló. El problema de hallar una demostración del último teorema de Fermat se volvió famoso y fue resuelto finalmente por Andrew Wiles en 1996 (Wiles presentó una primera demostración en 1995, pero esta resultó tener un error, que fue subsanado casi un año más tarde). Determinar la corrección de la demostración de Wiles fue un trabajo que demandó algunos días de esfuerzo; hallar la demostración, en cambio, necesitó más de trescientos cincuenta años
«Ser el código de una demostración» es una propiedad verificable algorítmicamente porque, dado el código, para hacer la verificación, el ordenador aplicaría primero el programa que recupera la secuencia de enunciados correspondiente a ese código, y luego aplicaría a esa secuencia de enunciados el algoritmo que determina si se trata, o no, de una demostración:
Código de la sucesión → Sucesión de enunciados → ¿Es una demostración?
Cada paso puede realizarse algorítmicamente.Por lo tanto, dados x e y, la propiedad «y es el código de una demostración que termina en el enunciado de código x» es también una propiedad verificable algorítmicamente, ya que al procedimiento anterior solo hay que agregarle la verificación de que la secuencia termina con el enunciado que corresponde al número de Gödel x. Como la propiedad es verificable algorítmicamente, entonces la función preposicional «y es el código de una demostración que termina en el enunciado de código x» es expresable en términos de sumas, productos y operaciones lógicas.
Finalmente concluimos que la expresión «Existe algún y que es el código de una demostración que termina en el enunciado de código» también es expresable en términos aritméticos. Pero, si la leemos con atención, veremos que esta última expresión dice que existe alguna demostración del enunciado de código x, en otras palabras, que el enunciado de código x es demostrable. Deducimos así que la función preposicional «x es el código de un enunciado demostrable» es expresable en términos aritméticos.
Por lo general, esta traducción aritmética es tan complicada que su escritura explícita podría llegar a ocupar decenas de páginas. Sin embargo, a efecto de entender la idea de la demostración de Gödel, supondremos, a modo de ejemplo hipotético, que la propiedad que caracteriza a los códigos de los enunciados demostrables es la de «Ser un primo que puede escribirse como suma o resta de tres primos consecutivos». Asumimos entonces que «x es el código de un enunciado demostrable» equivale a «x es un primo que puede escribirse como suma o resta de tres primos consecutivos».
Antes de continuar, entendamos bien esta propiedad aritmética. Los números primos son aquellos que solamente son divisibles por 1 y por sí mismos. Hay infinitos primos y los primeros son: 2, 3, 6, 7, 11, 13, 17, 19, 23,... (como ya dijimos en el capítulo anterior, por razones técnicas el 1 no se considera primo).
El número 23, por ejemplo, es primo, y además puede escribirse como suma o resta, de tres primos consecutivos, ya que 23 = 17 + 19 - 13 (nótese que 13, 17 y 19 son consecutivos en la sucesión de los números primos, aunque no los hayamos escrito en ese orden al hacer las operaciones). En nuestro ejemplo, podemos asegurar que 23 es el código de un enunciado demostrable. Por el contrario, el 149 es un número primo que no puede escribirse como suma o resta de tres primos consecutivos. Pero 149 es, en nuestro ejemplo hipotético, el código del enunciado «4 es impar». Por lo tanto, decir que «149 no es un primo que se pueda escribir como suma o resta de tres primos consecutivos» equivale a decir que «El enunciado “4 es impar" no es demostrable» (y, en efecto, no es demostrable porque hemos supuesto que los axiomas son enunciados verdaderos y en consecuencia ningún enunciado falso es demostrable). Repitamos este concepto, porque aquí está el corazón de la demostración de Gödel. El enunciado:
«149 no es un primo que se pueda escribir como suma o resta de tres primos consecutivos»es, en principio, la afirmación de una propiedad aritmética relativa al número 149. Pero, vía la numeración de Gödel, a ese mismo enunciado podemos atribuirle también el significado:
«El enunciado “4 es impar" no es demostrable».
Hay aquí dos niveles de lectura para «149 no es un primo que se pueda escribir como suma o resta de tres primos consecutivos» . Por un lado, un nivel meramente aritmético, literal, en el que interpretamos el enunciado como expresando una propiedad del número 149. Por otro lado, tenemos un nivel de lectura superior, o metamatemático, que depende de la numeración de Gödel, y en el que interpretamos el enunciado como diciendo que la afirmación «4 es impar» no es demostrable.
§. El método de autorreferencia
Hemos visto que, vía la numeración de Gödel, hay enunciados aritméticos que se refieren a otros enunciados aritméticos. Veremos ahora cómo podemos obtener un enunciado que se refiera a sí mismo.
Supongamos, en otro ejemplo hipotético, que 101 fuera el código de un cierto enunciado Q. Bajo esta suposición, el enunciado «101 es impar» se estaría refiriendo a Q y diría que «El código de Q es impar». Ahora bien, imaginemos que buscamos a qué enunciado corresponde el código 101 (es decir, nos preguntamos quién es Q) y que descubrimos que 101 es el número de Gödel de «101 es impar». En ese caso, «101 es impar» estaría en realidad refiriéndose a sí mismo y podría traducirse como «Mi código es un número impar».
¿Es verosímil el ejemplo que acabamos de dar? ¿Es realmente posible construir un enunciado que se refiera a su propio código? La respuesta es sí. En su artículo, Gödel expuso un método sistemático que permite escribir enunciados aritméticos que se refieran a su propio código. Si P es una propiedad aritmética cualquiera (como «Ser un número par» o «Ser un número primo»), este método, al que llamaremos método de autorreferencia, explica cómo escribir un enunciado que puede traducirse como «Mi código cumple la propiedad P», la herramienta esencial de este método es una función, que indicaremos como d(x), a la que Gödel llamó «función diagonal».
¿Qué es una función? Una función es una regla que, mediante un procedimiento específico, a cada número x le asigna otro número, que puede ser igual o diferente a x, pero que es calculado sin ambigüedad (a un mismo x no le pueden corresponder dos números diferentes). Reglas de este estilo son, por ejemplo, «Multiplicar el número x por sí mismo» o «Sumarle 3 al número x». Al número 2, por citar un ejemplo, la primera función le asigna el 4 y la segunda, el 5. En particular, nos interesan aquí las funciones que, como las que acabamos de mencionar, pueden expresarse en términos de sumas, productos y operaciones lógicas.
Las funciones preposicionales reciben ese nombre porque se parecen a funciones, solo que no asignan números, sino proposiciones. Por ejemplo, la función preposicional «x es par», le asigna al 2, no otro número, sino la proposición «2 es par».
Ahora bien, en la escritura de las funciones preposicionales podemos insertar funciones numéricas, siempre que estas sean expresables en términos de sumas, productos y operaciones lógicas. De este modo, podemos escribir «x + 3 es primo» o también « x2 es múltiplo de 18» y ambas son, con pleno derecho, funciones preposicionales,
Hechas estas aclaraciones, veamos ahora la definición de la función d(x), que en realidad se calcula solamente para números que son los códigos de funciones preposicionales. Para mayor claridad, explicaremos la definición sobre un ejemplo. Tomemos el código de una función preposicional, por ejemplo 171, que hemos supuesto es el número de Gödel de la expresión « x es par». A continuación, en esa función preposicional reemplazamos x por el número 171. Obtenemos así el enunciado «171 es par». El código de este enunciado es d(171), el número que la función diagonal le asigna al 171:
171 → corresponde a «x es par» → reemplazamos x por 171 →
→ «171 es par» → d (171) es el código de «171 es par».
En los ejemplos iniciales dijimos que «171 es par» tiene como código el número 61. Por lo tanto, d(171) = 61. La función diagonal, al número 171 le asigna el 61.A modo de segundo ejemplo, calculemos d(162), siendo 162 el código de «x es divisible por 18»:
162 → corresponde a «x es divisible por 18» → reemplazamos x por 162 → «162 es divisible por 18» → d(162) es el código de «162 es divisible por 18».
Como «162 es divisible por 18» tiene código 103, entonces d(162) = 103.
Todos los pasos que definen a la función diagonal pueden calcularse algorítmicamente, por lo tanto, su definición es expresable usando sumas, productos y operaciones lógicas. Esta circunstancia nos da derecho a insertar la función numérica d(x) en la expresión de una fundón preposicional, del mismo modo que en ejemplos anteriores lo hicimos con x2 o x + 3. De este modo, por ejemplo, podemos escribir la expresión « d(x) es par».
Supongamos ahora que a «d(x) es par» le corresponde el código 423 y apliquemos el procedimiento para calcular d (423):
423 → corresponde a «d(x) es par» → reemplazamos x por 423 → «d(423) es par» → d(423) es el código de «d(423) es par».
Observemos bien el último paso: d(423) es el código de «d(423) es par». Es decir, «d(423) es par» puede leerse como un enunciado autorreferente que está hablando de su propio código y que dice «Mi código es un número par». Si «d(423) es par» tuviera por código al número 503, entonces el enunciado podrá reescribirse como «503 es par» y estaría diciendo, falsamente, que su propio código es par.
El teorema de GoodsteinTomemos un número natural cualquiera, por ejemplo el 25. A partir de él, vamos a construir una sucesión de números llamada «sucesión de Goodstein de semilla 25» (por Reuben Louis Goodstein [1912-1985], el matemático inglés que definió este mecanismo por primera vez). Para obtener el segundo número de la sucesión escribimos el 25 como suma de potencias de 2, de manera que cada potencia aparezca exactamente una vez (el 1 es potencia de 2 porque 20 = 1):
25 = 24 + 23 + 1
Y escribimos también cada exponente como suma de potencias de 2:El segundo número de la sucesión se obtiene reemplazando cada 2 por un 3 en
y luego restando 1:
El segundo número de la sucesión de Goodstein de semilla 25 es 7625597485068. Para obtener el tercer número reemplazamos cada 3 por un 4 en
y restamos 1. Nos queda
, operación que da como resultado un número de 155 cifras. Previo al siguiente paso hay que escribir a
no está escrito de esa forma, ya que hay una resta, La escritura correcta es:
Para obtener el cuarto número reemplazamos cada 4 por un 5 y restamos 1, Es decir:
El resultado de este último cálculo es un número de más de dos mil cifras. Para obtener el siguiente número, reemplazamos cada 5 por un 6 y restamos 1. Y así sucesivamente. La sucesión parece crecer indefinidamente. Sin embargo, el teorema de Goodstein, demostrado por Goodstein hada 1950 afirma que, no importa cuál sea la semilla inicial, la sucesión siempre llegará en una cantidad finita de pasos al número 0. La demostración de Goodstein usaba conceptos de la teoría de conjuntos y quedaba abierta la posibilidad de que no fuera realizable a partir de los axiomas de Peano. Esto fue confirmado en 1982 por Laurie Kirby y Jeff París, quienes demostraron que el teorema de Goodstein es, en efecto, indemostrable a partir de los axiomas de Peano mediante razonamientos verificables algorítmicamente.
El método de autorreferencia nos dice que el mismo procedimiento puede aplicarse a cualquier propiedad aritmética P. Tomamos la función preposicional «x cumple la propiedadP» y la transformamos en «d(x) cumple la propiedad P». Si el código de esta última expresión es el número n, entonces «d(n) cumple la propiedad P» puede leerse, vía la codificación de Gödel, como un enunciado autorreferente que dice «Mi código cumple la propiedad P». Veamos ahora cómo este método nos lleva finalmente al enunciado G buscado.
Ya dijimos que «Ser el código de un enunciado demostrable» es una propiedad expresable en términos de sumas, productos y operaciones lógicas. Resulta obvio que lo mismo sucede con su negación. Por lo tanto, podemos escribir la función proposición
«x no es el código de un enunciado demostrable»
que, según dice el método de autorreferencia, transformamos en«d(x) no es el código de un enunciado demostrable».
Si su código es el número m, entonces:G : «d(m) no es el código de un enunciado demostrable»
tiene como código al número d(m) y puede leerse como un enunciado autorreferente que habla de su propio código y dice «Mi propio código no corresponde a un enunciado demostrable». En otras palabras, G dice:«G no es demostrable».
Como vimos al principio de la demostración, este enunciado G resulta ser verdadero y a la vez no demostrable (recordemos que «demostrable» siempre significa «demostrable a partir de los axiomas propuestos»). Hemos probado que existe un enunciada G que es verdadero y no demostrable, y hemos descrito los pasos necesarios para escribirlo. Queda así demostrado el primer teorema de incompletitud de Gödel.Una aclaración importante; el desarrollo que hemos hecho no es en realidad una demostración formal del primer teorema de incompletitud de Gödel. Solamente es una introducción, útil para entender las ideas principales, pero que no explica los detalles específicos de cómo esas ideas son llevadas a la práctica. El lector interesado en esos detalles puede profundizar en obras técnicas de lógica matemática, algunas de las cuales se mencionan en la bibliografía.
Una pregunta interesante es cómo se vería el enunciado G en nuestro ejemplo hipotético.
La paradoja del mentirosoUna de las paradojas más antiguas que se conocen es la llamada «paradoja der mentiroso»- Una manera de formularla es preguntarse si la afirmación «Esta oración es falsa» es verdadera o falsa. Si la afirmación es verdadera, entonces, por lo que dice de sí misma, resulta ser falsa. Pero si es falsa, también por lo que dice de sí misma, resulta ser verdadera. Caemos así en un sinsentido, un circulo vicioso que nos lleva de la verdad a la falsedad, y da la falsedad a la verdad, una y otra vez. En su artículo de 1931, Gödel explicó que su demostración está inspirada en la paradoja del mentiroso, soto que en lugar de escribir un enunciado que hablara de su propia falsedad, Gödel escribió un enunciado que hablaba de su propia no demostrabilidad. El enunciado «Esta oración es falsa» es un sinsentido paradójico. En cambio, el enunciado «Esta oración no es demostrable a partir de los axiomas propuestos» es una verdad no demostrable.
Recordemos que en este ejemplo, la propiedad que caracteriza a los códigos de los enunciados demostrables es la de «Ser un primo que puede escribirse como suma o resta de tres primos consecutivos». Tomaríamos entonces la función preposicional «r no es un primo que puede escribirse como suma o resta de tres primos consecutivos», que transformamos en «x no es un primo que puede escribirse como suma o resta de tres primos consecutivos». Supongamos que a esta última expresión le corresponde el número 909.
Entonces el enunciado G sería:
«d (909) no es un primo que puede escribirse como suma o resta de tres primos consecutivos».
Supongamos además que d(909) sea el número 43. En consecuencia, G seria:
«43 no es un primo que puede escribirse como suma o resta de tres primos consecutivos».
Como ya se ha indicado antes, G tiene dos niveles de lectura. En un nivel elemental es la expresión de una propiedad aritmética del número 43. Solamente cuando lo vemos a través del cristal de la codificación de Gödel se transforma en autorreferente y puede leerse como diciendo de sí mismo que no es demostrable. En el capítulo siguiente veremos que esta observación sobre los diferentes niveles de lectura permite superar una paradoja aparente que surge del análisis del segundo teorema de Gödel.
§. Una verdad no demostrable
Una pregunta que suele surgir en relación al primer teorema de incompletitud es la siguiente; si G es una afirmación no demostrable, ¿cómo podemos asegurar que es verdadera?
La respuesta es que «demostrable» es un término relativo. Dado un conjunto A de axiomas, existe un enunciado verdadero G que no es demostrable a partir de esos axiomas (usando los métodos de demostración admitidos por el programa de Hilbert). Pero nada impide que G sea demostrable a partir de otros axiomas o mediante otros métodos de demostración.
Aunque todavía no se sabe con certeza, el último teorema de Fermat podría ser un ejemplo de verdad no demostrable a partir de los axiomas de Peano. Este teorema, conjeturado por primen vez por Pierre de Fermat en 1637, afirma que si n > 2, entonces xn + yn = zn no tiene solución en los números naturales. Después de numerosos intentos por parte de muchísimos matemáticos, el teorema fue finalmente demostrado por Andrew Wiles en 1996.
Sin embargo, la demostración de Wiles excede con mucho de métodos o los axiomas usuales de la aritmética El último teorema de Fermat es verdadero (Wiles lo demostró), pero ¿es demostrable por ejemplo, a partir de los axiomas de Peano mediante los métodos del programa de Hilbert? Hoy por hoy no se sabe la respuesta a esta pregunta, pero la suposición más razonable parece ser que no, que el último teorema de Fermat no es demostrable a partir de los axiomas de Peano mediante razonamientos verificables algorítmicamente.
Sin embargo, si G no es demostrable a partir de un conjunto A de axiomas, es perfectamente posible agregarle al conjunto A un nuevo axioma, de tal modo que G sí sea demostrable a partir del sistema ampliado, al que llamaremos A'. Claro está que para A' también vale el teorema de Gödel y por lo tanto habrá un enunciado aritmético G' que no es demostrable a partir de él.
Podemos agregarte a A' un nuevo axioma que permita demostrable, y obtendremos así un conjunto A'' donde G' es demostrable. Pero para A" habrá un nuevo enunciado no demostrable G". Podemos agregarle un nuevo axioma a A", pero entonces habrá un G''' indemostrable... Y así indefinidamente:
- A → G no demostrable.
- A' = A + otro axioma → G demostrable, pero G' no.
- A" = A' + otro axioma → G y G' demostrables, pero G" no.
- A '''= A" + otro axioma → G, G' y G" demostrables, pero G''' no.
Agregando axiomas de uno en uno jamás podrá alcanzarse la completitud (es decir, la posibilidad de demostrar todas las verdades). Pero, ¿podría alcanzarse por otros medios? Nos referiremos a esta pregunta en el último capítulo.
Capítulo 3
El segundo teorema de Gödel
Hilbert tardó diez años en elaborar su programa, un período repleto de lucha y debates. Después de todo ese esfuerzo, cuando el primer teorema de incompletitud de Gödel demostró que el programa era irrealizable, ¿se rindió Hilbert sin pelear? ¿No buscó grietas en la demostración de Gödel? ¿Ni siquiera protestó? En este capítulo analizaremos cómo Gödel logró presentar la demostración de su teorema de incompletitud de tal manera que nadie pudiera dudar de su validez, ni siquiera Hilbert.La publicación de su primer teorema de incompletitud, en 1931, transformó a Gödel en una celebridad internacional... dentro del mundo de las matemáticas. Su nombre empezó a ser conocido en todos los foros y congresos, y su demostración se transformó (como sigue siendo hoy en día) en un clásico del razonamiento matemático, Sin embargo, Gödel no pudo disfrutar en seguida de su bien ganada fama, porque después de completar su artículo sufrió un colapso nervioso de tal magnitud que lo mantuvo alejado de la vida pública por varios meses. Casi con total seguridad, fue el resultado del estrés provocado por la presentación de su teorema.
En realidad, en ese artículo de 1931, Gödel presentaba dos teoremas. Uno de ellos es el ya mencionado primer teorema de incompletitud, también conocido como «el» teorema de Gödel. Este teorema es el que enunciamos y demostramos en el capítulo anterior, y al que volveremos en este mismo capítulo. Recordemos que dice que si elegimos como axiomas aritméticos cualquier conjunto de enunciados verdaderos, y solo admitimos demostraciones verificables algorítmicamente, entonces habrá siempre un enunciado verdadero que no es demostrable a partir de esos axiomas.
El segundo teorema que Gödel presentaba en ese artículo de 1931 es hoy conocido como el «segundo teorema de incompletitud», o «segundo teorema de Gödel», y habla de la imposibilidad de verificar algorítmicamente la verdad de un conjunto de axiomas aritméticos. Volveremos a este teorema más adelante, al este mismo capítulo. Hay que decir que el articulo no contenía una demostración detallada de este segundo teorema, sino que Gödel se limitaba a exponer a grandes rasgos la idea general de cómo debería probarse y adelantaba que escribiría una segunda parte del artículo en la que expondría la demostración completa. Sin embargo, el colapso nervioso le impidió escribir esa segunda parte en los meses siguientes, y cuando finalmente se recuperó tomó conciencia de que las demostraciones de sus dos teoremas (incluso la del segundo, que estaba apenas insinuada) habían recibido tal aceptación que consideró innecesaria cualquier aclaración posterior, por lo que esa segunda parte del artículo jamás fue escrita. (El título original del artículo, en alemán, termina con el numeral romano «I», indicando así que se trata solamente de una primera parte. En las traducciones al español, al inglés u otros idiomas, el numeral romano suele ser omitido.)
Superada su crisis nerviosa, Gödel ingresó en 1933 en la universidad de Viena como docente ad honórem (Privatdozent), en alemán). En aquella época, en las universidades del centro de Europa el cargo ad honórem era el modo usual de ingresar en la carrera docente. Pero además, como ya dijimos, Gödel se había transformado en una celebridad internacional y en consecuencia, ese mismo año fue invitado a dar una conferencia en la reunión anual de la American Mathematical Society de Estados Unidos.
En ese primer viaje a Estados Unidos, Gödel conoció a Albert Einstein, quien había emigrado a ese país en 1932. Entre ambos nació inmediatamente una cálida amistad, que duró hasta 1955, año del fallecimiento de Einstein. En el próximo capítulo volveremos a hablar de esta relación, muy apreciada por ambos.
En los dos años siguientes, 1934 y 1935, Gödel volvió a viajar a Estados Unidos, aunque en estas dos ocasiones invitado por el Instituto de Estudios Avanzados de Princeton. En esta institución dio varios cursos y conferencias, ya no solamente sobre sus dos teoremas de incompletitud, sino también sobre otros temas que tabú abordado en investigaciones posteriores.
El Instituto de Estudios Avanzados de PrincetonFundado en 1930, el Instituto de Estudios Avanzados de Princeton (Nueva Jersey, Estados Unidos) tenía el objetivo de reunir a la élite de la investigación científica internacional: la realización de este objetivo queda reflejada en los nombres de quienes formaron parte de su cuerpo de investigadores, entre otros, Kurt Gödel, Albert Einstein, Julius Robert Oppenheimer (físico teórico estadounidense, famoso por ser el director científico del proyecto Manhattan), John von Neumann, Oskar Morgenstein (estos dos últimos, creadores en conjunto de la teoría de juegos) y Hermann Weyl (notable físico-matemático alemán).
Entre ellos, por ejemplo, el problema siguiente: ¿existe un algoritmo que, dado un conjunto de axiomas y un enunciado P, permita determinar si P es demostrable a partir de esos axiomas? Gödel obtuvo algunas soluciones parciales, aunque el problema sería resuelto completamente en 1936 por el lógico norteamericano Alonzo Church, quien demostró que no existe un algoritmo con las características planteadas. Este problema, junto con otros planteados por el mismo Gödel o por otros lógicos inspirados en las investigaciones de Gödel, dieron inicio a la teoría de la computabilidad, que es el estudio de bajo qué condiciones un problema matemático es resoluble algorítmicamente.
Alonzo ChurchAlonzo Church fue uno de los principales representantes de la escuela norteamericana de lógica matemática, prácticamente iniciada por los cursos y conferencias que Gödel dictó en Estados Unidos en la década de 1930.Church nació en Washington el 14 de junio de 1903 y estudió matemáticas en la Universidad de Princeton, donde se doctoró en 1927. Su director de tesis doctoral fue Oswald Veblen (que ayudó a organizar el Instituto de Estudios Avanzados de Princeton y fue además quien invitó a Gödel a dar sus primeras conferencias allí). Church hizo aportes de primer nivel a la lógica matemática, la teoría de la computabilidad (que investiga qué problemas matemáticos pueden ser resueltos algorítmicamente y cuáles no) y la informática teórica. Es el creador del «cálculo-lambda», todavía hoy una herramienta esencial en el estudio de la teoría di algoritmos. Church falleció en Estados Unidos en 1995.
En estos viajes a Estados Unidos, Gödel mostró sus métodos, sus ideas, los problemas que estaba pensando y estas exposiciones dieron por sí solas impulso al desarrollo de la escuela norteamericana de lógica matemática, en la que brillaron Willard van Orman Quine, Stephen Cole Kleene y el ya mencionado Alonzo Churh, Pero también dieron impulso a la lógica matemática en general, comparado con otros matemáticos, Gödel publicó muy pocos trabajos científicos, pero cada uno de ellos abrió una rama de la lógica e introdujo métodos e ideas que siguen vigentes hoy en día.
§. El «anschluss»
Mientras Gödel gozaba de los frutos de su creciente prestigio académico, la situación política en Viena se volvía cada vez más complicada y violenta. Tras su ascenso al poder, Adolf Hitler había declarado su intención que Austria se transformara en parte de Alemania Con ese objetivo en la mira, Hitler inició una serie de presiones políticas y militares sobre su vecino país. Estas presiones comenzaron en 1931 con la exigencia de que el partido nazi, que hasta ese momento estaba proscrito, fuera reconocido en Austria y se le diera participación en el Gobierno. Sin embargo, en las elecciones austríacas de abril de 1932 los nazis no obtuvieron la victoria que esperaban, por lo que pasaron a la oposición y recurrieron al terrorismo. Ese fue el inicio de una serie de atentados, magnicidios e intentos de golpes de estado que hacía 1937 llevaron a Austria al borde de la guerra civil.
Hasta donde se sabe, los primeros años de esta turbulencia política no afectaron especialmente la vida de Gödel, que continuó sin interrupciones con sus investigaciones y sus viajes a Estados Unidos. Pero el 22 de junio de 1936, Moritz Schlick, uno de sus mentores y fundador del Círculo de Viena, fue asesinado por un estudiante universitario. Al conocer la noticia, Gödel sufrió un nuevo colapso nervioso del que tardaría varios meses en recuperarse. Ese año iba a desplazarse nuevamente a Estados Unidos, pero debió cancelar el viaje y no pudo reiniciar su trabajo docente hasta 1937.
En febrero de 1938 Hitler lanzó un ultimátum: Austria debía adherirse voluntariamente al III Reich o sería incorporada por la fuerza. Después de varias idas y vueltas, que incluyeron dos cambios de Gobierno, en marzo se convocó un referéndum para que la gente votara a favor o en contra de la anexión a Alemania El voto no era secreto; la papeleta, con el voto a la vista, era recibida por un oficial de las SS que la colocaba en la urna. Bajo estas circunstancias, no es sorprendente que la anexión a Alemania ganara con más del 99% de los sufragios y, como consecuencia, el 12 de marzo Austria se transformó en una provincia de la Alemania nazi (esta acción fue llamada el Anschluss, palabra alemana que significa «unión» o «anexión»).
Inmediatamente los nazis reformaron el sistema universitario austríaco y dejaron sin trabajo a varios intelectuales, entre ellos Gödel. Esto no impidió, sin embargo, que contrajera matrimonio, en septiembre de 1938, con Adele Porkert, una bailarina divorciada, seis años mayor que él, a quien Gödel había conocido en 1927. Tal vez el matrimonio fue un paso previo necesario para emigrar juntos, una decisión que Gödel ya veía como posible.

Adele Porkert y Kurt Gödel el día de su boda, celebrado en septiembre de 1938.
«Es importante buscar demostraciones de consistencia, aunque toda demostración de consistencia es relativa en el sentido de que no podemos prestarle más confianza de la que le prestamos al sistema lógico en cuyo seno se desarrolla la demostración de consistencia.»En 1938 y también en 1939, Gödel viajó otra vez al Instituto de Estudios Avanzados, y en estos viajes, además de dar sus habituales cursos y conferencias, se procuró los contactos institucionales necesarios para preparar su futura admisión como profesor, en el caso de que tuviera que abandonar Austria. De regreso a Viena después del segundo de estos visajes, fue atacado por un grupo de estudiantes de ultraderecha que, según cuenta una anécdota muy repetida, su esposa espantó a paraguazos.
Willard van Orman Quine en «Desde un punto de vista lógico»
Las presiones sobre Gödel aumentaban, su presencia como intelectual independiente era una molestia para los nazis, y finalmente en octubre de 1939 fue incluido en una «lista negra». Esto oficializaba su carácter de desocupado y bajo el régimen nazi, los desocupados eran casi automáticamente reclutados en el ejército, En efecto, poco después Gödel recibió la temida orden de reclutamiento. Como única respuesta, Kurt Gödel y Adele Porkert huyeron de Austria hacia Estados Unidos (igual que tantos otros científicos europeos de aquella época, entre ellos, Albert Einstein y John von Neumann).
La guerra entre Alemania, Francia e Inglaterra ya había comenzado para ese entonces, de modo que Gödel y su esposa tuvieron que viajar a Estados Unidos por el camino más largo, a través de Rusia, Japón y el océano Pacifico. Gödel llegó al Instituto de Estudios Avanzados en 1940, donde, gracias a sus contactos previos, pudo ingresar inmediatamente con el cargo de profesor invitado. En 1946 fue incorporado de modo permanente y en 1948 adoptó la ciudadanía norteamericana.

Hitler saluda a la muchedumbre vienesa en marzo de 1938, con motivo de la anexión de Austria a la Alemania nazi
§. Semántico o sintáctico
Antes de seguir a Gödel a Princeton, retrocedamos otra vez en el tiempo hasta septiembre de 1930 y recuperemos la imagen de ese joven que levantaba tímidamente la mano en el congreso de Königsberg para anunciar su primer teorema de incompletitud.
Ubicados de nuevo en ese momento histórico, hay una pregunta que surge naturalmente y que todavía no nos hemos formulado: después de diez años de elaborar su programa, de diez años de pensar y de escribir, ¿Hilbert se «rindió» sin luchar?'¿No intentó cuestionar el razonamiento de Gödel? La verdad es que la demostración de Gödel escapó a toda discusión y fue aceptada de inmediato, de manera unánime, inclusive por Hilbert. La explicación es que Gödel no solamente pensó muy bien su demostración, sino que también, en especial, tuvo mucho cuidado en el modo de presentarla A continuación desarrollaremos con cuidado esta idea, que es fundamental para la comprensión del teorema de Gödel.
Como ya dijimos, el programa de Hilbert solo aceptaba como válidas aquellas demostraciones que fueran verificables algorítmicamente y hacia septiembre de 1930 esa restricción había llegado a ser aceptada por todos los matemáticos, contando entre ellos a los intuicionistas quienes, según palabras de Arendt Heyting, «abrazarían» el infinito siempre que las demostraciones se ajustaran a ese criterio.
Ahora bien, así como Hilbert en su momento había mostrado una propuesta calculada para convencer a los intuicionistas, Gödel, con el mismo espíritu, expuso la demostración de su primer teorema de incompletitud de tal manera que fuera evidente que su corrección era verificable algorítmicamente, que fuera obvio que cumplía las condiciones del programa de Hilbert. Y tan claro resultó este hecho que ni siquiera Hilbert pudo expresar dudas al respecto.
«Como es bien sabido, el progreso de la matemática hacia una exactitud cada vez mayor ha llevado a [... ] que las deducciones pueden llevarse a cabo según unas pocas reglas mecánicas.»¿Cómo logró Gödel este objetivo? ¿Cómo consiguió que fuera innegable que la demostración de su teorema era verificable por un ordenador? La explicación reside en lo que podemos llamar la «dualidad semántico-sintáctica».
Kurt Gödel, en la Introducción a Sobre las proposiciones formalmente indecidibles... (1831)
En lógica matemática, un concepto relativo a una secuencia de símbolos es sintáctico si ese concepto depende solamente de los símbolos que forman la secuencia, sin que tenga la menor importancia su significado, si es que ese significado existe. Por ejemplo, si afirmamos que la secuencia de letras «Kuna mbwa nyekundu » está formada por 18 caracteres (contando espacios), estamos refiriéndonos a un concepto sintáctico. En efecto, es posible verificar por simple inspección de los símbolos que lo que estamos diciendo es correcto, sin que nos interese saber si esa serie de letras posee, o no, algún sentido. Otros conceptos sintácticos serían «La primera letra es una K» o «No aparece la letra h».
Por el contrario, un concepto es semántico si depende del significado que la secuencia transmite. Por ejemplo, si decimos que «Kuna mbwa nyekundu» es verdadera, entonces es claro que nos estamos refiriendo a un concepto semántico, porque no podemos decidir si es «verdadera» o «falsa» a menos que sepamos previamente qué significado nos quiere transmitir esa secuencia de letras (si es que acaso hay alguno).

Una propiedad relativa a una oración sintáctica si depende solamente de los símbolos, sin importar cuál sea su significado (por ejemplo, la cantidad de letras de la oración) y es semántica si depende del significado (por ejemplo, el que la oración afirma una verdad o una falsedad. Las propiedades sintácticas son verificables mecánicamente, las semánticas no lo son.
§. El primer teorema revisitado
Decimos entonces que Kurt Gödel presentó la demostración de su primer teorema de incompletitud de tal manera que resultara evidente para todos que era verificable por un ordenador. ¿Cómo lo consiguió? Gödel expuso el enunciado y cada paso de la demostración del teorema apelando solamente a conceptos sintácticos.
En el capitulo anterior formulamos el primer teorema de Incompletitud de Gödel (o teorema de Gödel) de la siguiente manera:
Si elegimos como axioma cualquier conjunto de enunciados aritméticos verdaderos y exigimos que las demostraciones que hagamos a partir de ellos sean verificables algorítmicamente, entonces habrá al menos un enunciado verdadero que no puede ser demostrado a partir de esos axiomas.En esta formulación del teorema aparece el concepto semántico de «verdadero». Por lo tanto, no es esta la forma en que Gödel lo presentó en su artículo de 1931. La formulación de Gödel es equivalente, solo que está escrita usando solamente conceptos sintácticos.
Nuestra intención en lo que sigue es definir los conceptos sintácticos que usó Gödel y reformular en consecuencia su primer teorema de incompletitud.
Digamos para comenzar que «Ser una demostración (que se ajusta a los requisitos del programa de Hilbert)» sí es una propiedad sintáctica, ya que es verificable por un ordenador mediante inspecciones símbolo a símbolo. En consecuencia, la idea de «enunciado demostrable» es también sintáctica, dado que un enunciado P es demostrable si existe una demostración que termina en él.
Inclusive el concepto de «enunciado» puede traducirse sintácticamente. En principio, la definición aristotélica dice que un enunciado es una expresión a la que se le puede atribuir un valor de verdad (ya sea verdadero o falso). Por ejemplo;
«x es primo»
no es un enunciado porque su valor de verdad depende de quién «sea x».En cambio
«Existe algún x que es primo»,
«Para todo x vale que x es primo»
sí son enunciados, verdadero el primero y falso el segundo.Ahora bien, este concepto eminentemente semántico pude traducirse sintácticamente, un enunciado es una expresión que tiene variables (letras como x, y, z) que puedan ser libremente reemplazadas por números.
Autorreferencia sintácticaEn su Principia Mathematica Bertrand Russell afirmó que todas las paradojas conocidas nacen siempre de la autorreferencia. Es decir, todas las paradojas surgen de enunciados que, directa o indirectamente, se refieren a sí mismos. El modo de evitar toda paradoja, decía Russell, es eliminar en el lenguaje toda traza de autorreferencia. Ahora bien, el enunciado G de Gödel es autorreferente. ¿Significa esto que es paradójico? En realidad, Gödel observó que hay dos tipos de autorreferencia que podemos llamar semántica y sintáctica. En la semántica, el enunciado autorreferente habla de una característica semántica de sí mismo. Tal es el caso de «Esta oración es falsa», que es la afirmación que provoca la paradoja del mentiroso. En la autorreferencia sintáctica, en cambio, el enunciado autorreferente habla de una característica sintáctica de sí mismo. Un ejemplo sería: «Esta oración tiene cinco palabras», La autorreferencia semántica, como bien decía Russell, es siempre peligrosa y nos lleva al borde de la paradoja. La autorreferencia sintáctica, en cambio, no conlleva ningún riesgo. ¿Por qué? Porque la autorreferencia sintáctica es solo una autorreferencia aparente: la oración parece hablar de sí misma, pero en realidad hay un desdoblamiento: el «significado» de la oración habla de los «símbolos» que la forman, el significado no habla de sí mismo. Cuando decimos «Esta oración tiene cinco palabras», en realidad decimos:
«“Esta oración tiene cinco palabras” tiene cinco palabras»,
cuya negación es:
«"Esta oración tiene cinco palabras» no tiene cinco palabras».
Hablamos de los símbolos, no del sentido, por lo que no hay riesgo de paradoja. El enunciado G de Gödel dice de sí mismo que no es demostrable, es decir, se está refiriendo a una característica sintáctica de sí mismo. Como la autorreferencia es sintáctica, entonces razonar a partir de G jamás nos llevará a una paradoja.
Es decir, es una expresión en la que, o bien no hay variables, tal como sucede en «4 = 2 + 2», o bien todas ellas están precedidas por expresiones del tipo «Para todo x vale que...» o «Existe algún x que,..», tal como sucede en los ejemplos previos. En otras palabras, que una expresión sea, o no, un enunciado es una condición que puede verificarse por inspecciones símbolo a símbolo, sin que sea necesario recurrir al salificado de estos. Por lo tanto, «enunciado» y «enunciado demostrable» son dos conceptos sintácticos que Gödel pudo usar en la formulación de su teorema.
§. Consistencia
Otro concepto esencial para la formulación sintáctica del primer teorema de incompletitud es el de consistencia. Un conjunto de axiomas es consistente si no existe ningún enunciado P tal que P y no P sean ambos simultáneamente demostrables a partir de esos axiomas (sintácticamente, no-P se obtiene simplemente colocando a la izquierda de él un símbolo que indique negación).
Aunque en lo que sigue vamos a ver qué relación hay entre ser «consistente» y ser «verdadero», debe quedar claro que la consistencia es un concepto puramente sintáctico (porque depende de la noción sintáctica de demostrabilidad).
Observemos que si todos los axiomas son enunciados verdaderos, entonces el conjunto de axiomas es consistente. En efecto, como decíamos en el capítulo anterior, de premisas verdaderas solo se obtienen conclusiones verdaderas. Ahora bien, de los enunciadas P y no- P, exactamente uno de ellos es falso; por lo lauto, si los axiomas son todos verdaderos, es imposible que P y no-P sean simultáneamente demostrables (el que sea falso no será demostrable).
¿Significa esto que «conjunto consistente de axiomas» es equivalente a «conjunto de axiomas verdaderos»? La pregunta es delicada y merece ser analizada con cuidado.
Comencemos por preguntamos si el enunciado «2 es primo», es verdadero, o si es falso. Ante esta pregunta, la primera reacción de casi cualquier persona sería decir que es evidentemente verdadero. Sin embargo, una respuesta más ajustada a la realidad sería decir «depende». Depende del universo del discurso del que estemos hablando. Si damos por sobreentendido que hablamos de los números naturales, entonces el enunciado es, en efecto, verdadero; pero en otros contextos podría ser falso.
En primer lugar, recordemos que un número (diferente de 1) es primo si es divisible solamente por 1 y por sí mismo. Otra forma de exponer el mismo concepto es la siguiente: 2 es primo porque la única forma de expresarlo como producto de dos números es la trivial: 2 = 2×1 (la escritura 2 = 1×2 no cuenta como diferente porque intervienen los mismos números). El número 15, por ejemplo, no es primo porque puede escribirse, además de la forma trivial 15 = 1×15, también como 15 = 3×5.
Pero, ¿es cierto que 2 = 2×1 es esencialmente la única forma de escribir el 2 como producto de dos números? Si pensamos en el universo de los números naturales, sí. Pero existen otros universos posibles.
Ampliemos nuestro universo numérico e incluyamos a todos los números que se obtienen multiplicando √2 por un número natural (o por el cero) y luego sumando otro número natural (o el cero). Por ejemplo, este universo contiene a los números 3 + 4√2 o 7√2. Este universo contiene también al propio √2, que se escribe como 0 + 1√2, y a todos los naturales, que se pueden escribir como:
1 = 1 + 0√2
2 = 2 + 0√2
3 = 3 + 0√2
Ahora bien, en este universo, el 2 ya no es primo, porque puede escribirse como 2 = √2×√2. El enunciado «2 es primo» es verdadero en los números naturales, pero falso en el otro universo que hemos definido (véase el esquema).
Para todo x vale que x + 0 = x,
2 no es un número primo,
es consistente, ya que hay un universo en el que los dos son simultáneamente verdaderos. Sintácticamente, esto significa que no existe un enunciado P tal que P y no-P sean ambos demostrables a partir de esas dos premisas.Un momento... ¿podemos tomar «2 no es primo» como axioma?¿Los axiomas no deberían ser «evidentes por sí mismos»? En el mundo puramente sintáctico, en el que verdad y falsedad no existen, no tiene sentido hablar de enunciados «evidentes por sí mismos». Cualquier enunciado puede ser tomado como un asoma. La única condición es que el conjunto total sea consistente, ¿Por qué la consistencia es esencial? ¿Qué sucede si un conjunto de axiomas es inconsistente? Semánticamente, esto significa que no hay ningún universo posible en el que todos los enunciados sean simultáneamente verdaderos. Pero, ¿tiene la inconsistencia de un sistema de axiomas alguna consecuencia sintáctica? La respuesta es que sí, porque:
Si un conjunto de axiomas es inconsistente, entonces cualquier enunciado es demostrable a partir de él.Demos la idea de cómo puede demostrarse sintácticamente esta afirmación. Supongamos que existe algún enunciado P tal que el conjunto de axiomas permite demostrar tanto P como no-P y tomemos un enunciado Q cualquiera. Queremos probar que Q es demostrable. Para ello, recordemos algunas de las reglas de la lógica;
b) De «no-Q=».P» se deduce «no-P Þ Q».
c) De «P» y de «P Þ Q» se deduce «Q» (que es conocida como regla del modus ponens).
2. Se deduce que «no-Q Þ P» es demostrable, por la regla a).
3. Luego, «no-P Þ Q» es demostrable, por la regla b).
4. «no-P» es demostrable, por hipótesis.
5. De «no-P» (punto 4) y de «no-P Þ Q» (punto 3), por la regla de modus ponens, se deduce 0.
6. Luego Q es demostrable.
Observemos que el razonamiento que hemos hecho es puramente sintáctico. No hemos apelado al significado de P ni de Q, ni a conceptos semánticos como «verdadero» o «falso». Solo nos hemos basado en las reglas sintácticas de la lógica y en la «forma» de los enunciados. Este es el tipo de argumento sintáctico que Gödel usó para exponer la demostración de su teorema.
Cuando Bertrand Russell descubrió su paradoja, en realidad estaba probando que el sistema de axiomas que había propuesto Frege era inconsistente. Veamos esta idea con más detalle. Recordemos que Russell definió un conjunto R formado por todos los conjuntos que no son miembros de sí mismos.
Un ejemplo de RussellCierta ver, dando una conferencia para el público en general, Bertrand Russell comentó que si un conjunto de axiomas es inconsistente, entonces cualquierafirmación es demostrable a partir de ellos. En realidad, Russell enunció este hecho en su versión semántica, que afirma que partiendo de una premisa falsa puede demostrarse cualquier cosa, inmediatamente Russell fue desafiado por la audiencia a demostrar que Smith, (uno de los espectadores) era el papa partiendo de la premisa falsa de que 1 = 0. Para hacer la demostración, Russell razonó así. Si 1 = 0, entonces, sumando 1 a ambos miembros, deducimos que 2 = 1. Pensemos ahora en el conjunto formado por Smith y el papa. Ese conjunto tiene dos miembros, pero como 2 = 1, entonces podemos decir que el conjunto tiene solamente un miembro. Es decir, Smith y el papa son una y la misma persona.
Si R es miembro de sí mismo, entonces se deduce que no lo es. Esto es una contradicción, que surge de suponer que R es miembro de sí mismo, entonces la contradicción demuestra, por el absurdo, el enunciado «R no es miembro de sí mismo», Pero, de suponer que R no es miembro de sí mismo, llegamos a la conclusión de que sí lo es. Esto demuestra, también por el absurdo, el enunciado «R es miembro de sí mismo». Por lo tanto, la paradoja de Russell muestra en realidad que existe un enunciado tal que él y su negación son ambos demostrables a partir de los axiomas de Frege. En otras palabras, como dijimos antes, muestra que los axiomas de Frege son inconsistentes.
§. Inconsistencia y completitud
A partir de un conjunto inconsistente de axiomas todo es demostrable. Asociado a esta idea surge un nuevo concepto sintáctico, el de completitud. Un conjunto de axiomas es completo si para todo enunciado se cumple que, o bien él, o bien su negación (al menos uno de ambos) es demostrable.
Podemos afirmar entonces que cualquier conjunto inconsistente es completo, porque dado cualquier enunciado P, tanto como no-P, ambos enunciados, son demostrables. Pero se trata de una completitud trivial que no nos da ninguna información ya que todo, absolutamente todo, es demostrable, inclusive aquellos enunciados que son auto-contradictorios, como por ejemplo «Para todo x vale que x es diferente de sí mismo».
Más interesante sería tener un conjunto de axiomas que fuese a la vez completo y consistente. Un conjunto de axiomas que tuviera estas características se acercaría a cumplir el objetivo del programa de Hilbert. En efecto, si el sistema es consistente, entonces sus enunciados serían verdaderos en algún universo, y si es completo, todas las verdades relativas a ese universo serían demostrables (véase el esquema).

§. Enunciados finitistas
Hay ciertos enunciados aritméticos cuya verdad o falsedad puede ser verificada algorítmicamente en una cantidad finita de pasos, enunciados que los intuicionistas aceptarían considerar como verdaderos o falsos sin cuestionamientos, principalmente porque no involucran la idea de infinito (ni siquiera en el sentido potencial). Par ejemplo:
«2 + 3 = 5»
«3 × 7=21»
«45 es divisible por 9»
«2 es primo»
(en todos los casos referidos al universo de los números naturales) son enunciados finitistas verdaderos. El enunciado «2 × 3= 10» es finitista y falso. En cambio:«Todo número par mayor que 2 es suma de dos números primos»
no es un enunciado finitista, ya que involucra un número infinito de casos. En efecto, este enunciado equivale a: «4 es suma de dos primos y 6 es suma de dos primos y 8 es suma de dos primos y... (y así sucesivamente)».Observemos que «36 es suma de dos primos» es un enunciado finitista. En efecto, si 36 fuera suma de dos primos, estos necesariamente deben ser menores que 36. Hay solo 11 primos menores de 36 (que son 2, 3, 5, 7, 11, 13, 17, 19, 23, 29, 31) y 55 parejas que pueden formarse con ellos. Para ver si el enunciado es verdadero, basta con probar una por una esas 55 parejas y ver si para alguna de ellas la suma es 36. El enunciado es verdadero, ya que 36 = 5 + 31.
La conjetura de GoldbachLa afirmación de que todo número par es suma de dos primos es conocida como la «conjetura de Goldbach». Este nombre se debe a que fue formulada porChristian Goldbach en 1742, en una carta escrita al famoso matemático suizo Leonhard Euler (1707-1783). Al momento de redactar estas líneas no se sabe si la conjetura es cierta o no. Se ha verificado que es verdadera para una gran cantidad de números pares, pero nadie ha hallado hasta ahora una demostración general que la pruebe para todos los casos, así como tampoco se ha encontrado un ejemplo en el que la conjetura falle.
En cambio, en el enunciado «43 es suma o resta de tres primos consecutivos», el hecho de que hablemos de suma o resta implica que los primos involucrados puedan llegar a ser tan grandes como se quiera La búsqueda de primos posibles es potencialmente infinita, por lo que el enunciado no es finitista.
Ahora bien, si proponemos un conjunto de axiomas para la aritmética, lo menos que podemos pedirle es que sea capaz de demostrar todos los enunciados finitistas verdaderos. Cabe hacer notar que en lo que acabamos de decir la palabra «verdadero» está asociada a enunciados finitistas. En ese contexto restringido, «verdadero» o «falso» pasan a ser condiciones sintácticas, ya que son verificables mecánicamente en una cantidad finita de pasos. Planteado desde la sintaxis, el programa de Hilbert pedía hallar un conjunto consistente y completo de axiomas para la aritmética que fuera capaz de demostrar todos los enunciados finitistas verdaderos. El primer teorema de incompletitud prueba, precisar mente, que este objetivo es inalcanzable.
§. La demostración de Gödel revisitada
Llegamos así a la formulación sintáctica del primer teorema de incompletitud de Gödel:
Si un conjunto de axiomas aritméticos es consistente y permite demostrar todos los enunciados finitistas verdaderos, entonces es incompleto; es decir, existe un enunciado G tal que ni G, ni no-G, ninguno de los dos, es demostrable. (Entendemos siempre que solo se admiten demostraciones verificables algorítmicamente.)Observemos que, en efecto, en esta versión del teorema solamente aparecen conceptos sintácticos («consistente», «incompleto», «enunciado» y «demostrable»). La noción de «verdad» aparece asociada a enunciados finitistas, es decir, en su versión mis restringida y sintáctica
Esta es la formulación sintáctica que presentó Gödel en su artículo de 1931, e igualmente sintácticos fueron los argumentos que usó para demostrarlo. A continuación, hagamos un repaso de la demostración que vimos en el capítulo anterior, con la intención de ver que puede ser repetida a partir de conceptos exclusivamente sintácticos:
Paso 1. Supongamos que tenemos un conjunto consistente de axiomas aritméticos que permiten demostrar todos los enunciados finitistas verdaderos (no indicamos ya que sean enunciados verdaderos, porque estamos apelando solamente a conceptos sintácticos). Tenemos que probar que existe un enunciado G tal que ni G ni no-G son demostrables. Como vimos en el capítulo anterior, Gödel le asigna un código (o número de Gödel) a cada enunciado y a cada función preposicional, solo que ahora, debemos destacar, que la asignación se hace de manera puramente sintáctica, basándose en los símbolos que forman cada enunciado o función preposicional, con independencia de cuál sea su significado. También, e igualmente de manera sintáctica, se le asigna un código a cada sucesión de enunciados y, en particular, se le asigna un código a cada demostración.
Paso 2. A continuación, Gödel demuestra que la función, preposicional:
«y es el código de una demostración del enunciado de código x»
puede traducirse a una propiedad aritmética que vincula a los números x e y. Además, prueba que, cualesquiera sean los números n y r, el enunciado:«n es el código de una demostración del enunciado de código r»
es siempre finitista.Paso 3. Gödel plantea la función preposicional:
«No existe y que sea el código de una demostración del enunciado de código x».
Paso 4. Gödel define la función diagonal. Si n es el código de la función preposicional P(x), entonces d(n) es el código de P(n). Por lo tanto, la definición de la función diagonal, que se basa esencialmente en el mecanismo de asignación de códigos, es sintáctica.
Paso 5. A partir de los pasos 3 y 4, el método de autorreferencia le permite a Gödel escribir un enunciado G:
«No existe y que sea el código de una demostración del enunciado de código m»,
cuyo código es el propio número m.
Paso 6. Vamos a probar ahora, sintácticamente, que G no es demostrable. Supongamos, por el absurdo, que G fuera demostrable. Bastaría entonces una demostración de G, y a esa demostración le correspondería un código, digamos que ese código es un número k. Por lo tanto;
«k es el código de una demostración del enunciado de código m»
sería un enunciado verdadero (porque m es el código deG y k es el código de una demostración de G) y además es finitista, porque es posible verificar su verdad en una cantidad finita de pasos (es posible verificar algorítmicamente que k es en efecto el código de una demostración de G). Como es finitista y verdadero, entonces, por hipótesis, el enunciado es demostrable. De este hecho, una de las reglas de la lógica nos permite deducir que también es demostrable el enunciado:
«Existe y que es el código de una demostración del enunciado de código m».

Esquema de le prueba de que G no es demostrable. Partimos suponiendo que O sí es demostrable. Las flechas indican las sucesivas consecuencias que se obtienen de esa suposición inicial hasta llegar a la conclusión de que la negación de G también sería demostrable. Esto último es una contradicción; por lo tanto, G no puede ser demostrable.
Omega-consistenciaCuando en el texto hemos demostrado que el enunciado no-G no es demostrable, nos basamos en el hecho que si una propiedad P cumple que:el enunciado «1 no cumple la propiedad P» es demostrableentonces el enunciado «Existe algún x que cumple la propiedad P» no es demostrable. Pero, ¿es esto cierto? Veámoslo primero semánticamente. Supongamos que P es una propiedad aritmética que cumple:
el enunciado «2 no cumple la propiedad P» es demostrable
el enunciado «3 no cumple la propiedad P» es demostrable ...y así sucesivamente,el enunciado #1 no cumple la propiedad P» es verdaderoes decir, para cualquier número n es verdad que «n no cumple la propiedad P ». Está claro entonces que el enunciado «Existe algún x que cumple la propiedad P» es falso (porque hemos dicho que ni 1, ni 2, ni 3, etc., cumplen la propiedad). Pero es falso, si el universo del que estamos hablando es el de los números naturales. Sin embargo, «Existe algún x que cumple la propiedad P» podría ser cierto si hablamos de otros universos» Por ejemplo, si la propiedad P es «x2 = 2» y el universo es el de los números generados a partir de √2, entonces 1 no cumple la propiedad, tampoco 2, ni 3, etc. Pero «Existe algún x que cumple la propiedad P» es verdadero porque √2 sí la cumple. Llegados aquí, ¿qué sucede sintácticamente? Tenemos otra vez la propiedad P, pero ahora supongamos que:
el enunciado 2 no cumple la propiedad P» es verdadero
el enunciado «3 no cumple la propiedad P» es verdadero ...y así sucesivamente,...y así sucesivamente.
- «1 no cumple la propiedad P» es demostrable
- «2 no cumple la propiedad P» es demostrable
- «3 no cumple la propiedad P» es demostrable
¿Es cierto que «Existe algún x que cumple la propiedad P» no es demostrable? En realidad, dado que en algunos universos es verdadero, no podemos afirmar tajantemente que nunca será demostrable. La demostración de que no- G no es demostrable tiene una laguna lógica porque no podemos afirmar que el enunciado «Existe algún x que cumple la propiedad P » no será demostrable. Para zanjar este problema, Gödel introdujo la noción sintáctica de la «omega- consistencia». Un conjunto de axiomas es omega-consistente si cada vez que los enunciados,son todos demostrables, entonces «Existe algún x que cumple la propiedad P » no es demostrable. (De alguna manera, esto es forzar sintácticamente que el universo de referencia sea el de los números naturales.) Por lo tanto, en principio, en el enunciado sintáctico del primer teorema de Gödel, donde dice que el conjunto de axiomas es «consistente», habría que incluir «omega- consistente».
- «1 no cumple la propiedad P».
- «2 no cumple la propiedad P», etc.
Una portación de Rosser
Afortunadamente, en 1936 el lógico norteamericano John B. Rosser, en un artículo de apenas dos páginas, modificó el razonamiento de Gödel para que también valiera bajo la hipótesis de la consistencia. De este modo, gracias a Rosser, en el enunciado del teorema de Gödel se puede omitir la mención a la omega-consistencia y puede escribirse, sin faltar a la verdad, tal como lo hemos hecho en el texto. La modificación que hizo Rosser al razonamiento de Gödel consistió en cambiar el enunciado autorreferente «Este enunciado no es demostrable» por este otro: «Si este enunciado es demostrable, entonces su negación también lo es».
Paso 7. Probemos ahora que no-G tampoco es demostrable. Una vez más, hagámoslo por el absurdo. Supongamos que no-G sí es demostrable y lleguemos a una contradicción. Como el conjunto de axiomas es consistente, si no-G es demostrable, entonces G no puede serlo. Esto quiere decir que no existe una demostración de G; por lo tanto, ningún número es el código de una demostración de G: el número 1 no es el código de una demostración de G, tampoco el 2, ni el 3, y así sucesivamente. De manera que, en consecuencia;
«2 no es el código de una demostración del enunciado de código m»
«k no es el código de una demostración del enunciado de código m»
«Existe y que es el código de una demostración del enunciado de código m» no es demostrable.

Queda así probado, sintácticamente, que tanto G como no- G, ninguno de los dos, es demostrable. En resumen, la demostración del primer teorema de incompletitud puede traducirse por completo a conceptos y argumentos sintácticos, tal como exige el programa de Hilbert. Este modo de presentar la demostración, basada exclusivamente en argumentos sintácticos verificables de manera mecánica, la puso a salvo de cualquier cuestionamiento.
§. El segundo teorema
El programa de Hilbert pedía, según hemos dicho, hallar un conjunto consistente de axiomas para la aritmética de tal modo que para todo enunciado P, o bien él, o bien su negación, fuera demostrable. Pero además pedía que la consistencia de esos axiomas fuera verificable algorítmicamente, pues esta verificación algorítmica de la consistencia nos daría la certeza de que los axiomas nunca nos llevarían a una paradoja. En su artículo de 1931, Gödel demostró un segundo teorema, el llamado «segundo teorema de incompletitud», que prueba que este objetivo es también irrealizable.
En la mayoría de los libros de divulgación este teorema suele enunciarse de la siguiente manera:
«Ningún conjunto de axiomas consistente que contenga suficiente aritmética puede probar su propia consistencia».Tratemos de aclarar el significado de estos términos. En primer lugar, la frase «que contenga suficiente aritmética» se refiere simplemente a la condición ya mencionada de que el conjunto de axiomas del que estamos hablando sea capaz de demostrar todos los enunciados finitistas verdaderos. Ahora bien, ¿cómo podría tu conjunto de axiomas probar, o no probar, su propia consistencia? En principio, los axiomas aritméticos solo permiten probar enunciados que hablen de números, no enunciados que hablen de la consistencia de un conjunto de axiomas. Pero ya nos habíamos enfrentado a un problema similar en el capitulo anterior, cuando queríamos escribir un enunciado aritmético que hablara de sí mismo. ¿Cómo logramos que un enunciado aritmético, que en principio habla de números, hable de sí mismo? La manera de lograrlo fue identificar a los enunciados con sus códigos, de modo tal que hablar de un enunciado equivaliera a hablar de su código.
«Es necesario un método directo para la demostración de la consistencia de los axiomas de la aritmética.»En el caso que ahora nos ocupa, en el que queremos escribir un enunciado aritmético que hable de la consistencia de un conjunto de axiomas, la numeración de Gödel vuelve una vez más en nuestra ayuda.
David Hilbert, en la conferencia de inauguración del Segundo Congreso Internacional de matemáticas, celebrado en París es 1900.
Como decíamos antes, si un conjunto de axiomas es inconsistente, entonces cualquier enunciado es demostrable a partir de él. Por el contrario, si el conjunto es consistente, siempre habrá un enunciado que no es demostrable (ya que para cualquier P, o bien él, o bien su negación, al menos uno de los dos, no lo es). Por lo tanto, que un conjunto de axiomas sea consistente es equivalente a que haya al menos un enunciado que no es demostrable a partir de él. Así, que un sistema sea consistente equivale a decir:
«Existe algún enunciado que no es demostrable» .
Retomemos el ejemplo hipotético del capítulo anterior. Suponíamos allí que a todos los enunciados les correspondían códigos que eran números primos y a los enunciados demostrables, en particular, les correspondían primos que son suma o resta de tres primos consecutivos. En este contexto, el enunciado anterior afirmaría que
«Existe algún número primo que no es suma o resta de tres primos consecutivos»,
que en otro nivel de lectura diría:
«Existe el código de un enunciado, que no es el código de un enunciado demostrable»,
es decir, «Existe un enunciado no demostrare»; en otras palabras, «El conjunto de axiomas es consistente».
Tenemos dos niveles de lectura para
«Existe algún número primo que no es suma o resta de tres primos consecutivos»:
un nivel aritmético, el que aparece a simple vista, en el que solamente se enuncia una propiedad aritmética; y también un nivel superior de lectura, que depende de la numeración de Gödel, en el que se enuncia la consistencia del conjunto de axiomas. Tenemos entonces el segundo teorema de incompletitud:
Si un sistema de axiomas aritméticos es consistente y puede demostrar todos los enunciados finitistas verdaderos, entonces el enunciado aritmético que afirma la consistencia del conjunto de axiomas no es demostrable a partir de esos mismos axiomas.Comentemos la idea de la demostración de este teorema, tal como hizo Gödel en su artículo de 1931. En su primer teorema de incompletitud, Gödel demuestra que:
«Si el conjunto de axiomas es consistente, entonces G no es demostrable».
Observemos que el enunciado que dice «G no es demostrable» es el propio G. Es decir, G = «G no es demostrable». Por lo tanto, en la afirmación anterior, donde dice «G no es demostrable», podemos poner simplemente G. O, lo que es lo mismo, en su primer teorema, Gödel probó que:
«Si el conjunto de axiomas es consistente, entonces vale G» .
Ahora bien, si fuera posible probar que el sistema de axiomas es consistente, entonces tendríamos que el enunciado «Si el conjunto de axiomas es consistente, entonces vale G» sería demostrable.

Por la regla de modus ponens, G sería demostrable. Esto es un absurdo, porque ya hemos probado que G no es demostrable. Concluimos así que «El conjunto de axiomas es consistente» no es demostrable a partir de los axiomas (véase el esquena).
En el último capítulo veremos algunas consecuencias filosóficas de los dos teoremas de incompletitud de Gödel.
Kart Gödel y Albert Einstein fueron muy amigos y pasaron muchas horas juntos, durante el tiempo que compartieron en Princeton. Una consecuencia de esa relación fueron los tres artículos que escribió Gödel sobre la teoría de la relatividad de Einstein, sus únicos trabajos publicados totalmente ajenos a la lógica matemática.A pesar de todos sus problemas políticos y económicos (los primeros, causados por los nazis, los segundos por la crisis de 1929), en la década de 1930 Viena era una ciudad bulliciosa y alegre, con una vida nocturna rica y diversa que se mezclaba con la no menos diversa vida intelectual. En sus cafés, sus cabarés y sus clubes nocturnos se escuchaba música y se bailaba, y también se discutía sobre arte, ciencia y filosofía. En el mismo bar donde se reunía el Círculo de Viena, por la noche sonaban orquestas de jazz.
En contraste, Princeton era pequeña y provinciana, sin clubes nocturnos ni cabarés, una ciudad, en realidad, carente de toda vida nocturna. Tal vez sería una exageración decir que Princeton estaba al servicio de su universidad y del Instituto de Estudios Avanzados, instituciones independientes aunque con muchos lazos en común, pero la verdad es que era difícil salir a la calle sin encontrarse con profesores, estudiantes o graduados de una u otra casa de estudios, personas convencidas de pertenecer a la élite intelectual del planeta.
Gödel recibió este cambio de clima casi como una bendición. Se adaptó rápidamente a este nuevo estilo de vida, más acorde con su forma de ser, reconcentrada y volcada fuertemente a los aspectos intelectuales de la existencia.

Gödel (izquierda) y Einstein durante uno de los muchos paseos que dieron por Princeton entre 1940 y 1954, época en la que desarrollaron una gran amistad
En Princeton, Gödel hizo muy pocos amigos, pero, a diferencia de Adele, se trató de una decisión deliberada y no de un destino impuesto por las circunstancias. La mayoría de sus amigos se contaban entre sus colegas del Instituto de Estudios Avanzados; dos de los más cercanos fueron Oskar Morgenstein y, por supuesto, Albert Einstein.
«Hasta ahora no he encontrado mi “fama" agobiante para nada Eso comienza solamente cuando uno se vuelve tan famoso que es reconocido en la calle hasta por cualquier niño, como es el caso de Einstein.»Einstein y Gödel se habían conocido en 1933 durante la primera visita de Gödel a Estados Unidos, cuando ambos fueron presentados por Paul Oppenheim, químico alemán emigrado también por causa de los nazis. Se reencontraron en 1940 con la llegada de Gödel a Princeton y en breve tiempo se hicieron muy buenos amigos.
Palabras de Gödel a su madre en relación a su primer tiempo en Princeton y sus paseos con Einstein.
Ambos eran muy reservados sobre sus mutuas relaciones y la mayoría de lo que se sabe de la amistad entre Gödel y Einstein, muy poco tal vez, proviene principalmente de la correspondencia que Gödel mantenía con su madre, que aún seguía viviendo en Brno. Sabemos que todas las mañanas, entre las diez y las once, Einstein pasaba a buscar a Gödel por su casa y ambos iban caminando hacia el Instituto, trayecto que les demandaba más o menos media hora y durante el cual conversaban sobre física, política o filosofía. A la una o dos de la tarde ambos regresaban a casa, también conversando.
Algunos retazos de esas conversaciones se conservan en las cartas de Gödel. Einstein, según parece, era bastante optimista acerca del destino de la humanidad, aunque con algunas reservas. Gödel, por el contrario, contrario, era marcadamente pesimista, una actitud nada infrecuente en los primeros años de la era nuclear, cuando el desastre atómico parecía estar a la vuelta de la esquina.
La imagen de Gödel y Einstein, hablando en alemán mientras iban y volvían tranquilamente por Princeton, se volvió familiar para todos. En esos años, Einstein comentó que lo más importante que había hecho en Princeton fue acompañar a Gödel en sus caminatas.
Cuenta una anécdota que durante uno de esos paseos, un conductor de automóvil reconoció a Einstein y que, de la sorpresa, casi se estrella contra un árbol. Gödel, en cambio, adusto y casi siempre vestido con sombrero, abrigo y guantes (aun en pleno verano), no era tan fácilmente reconocible para la gente de la calle.
Einstein falleció en 1955, un duro golpe para Gödel, aunque no hizo manifestación pública de su pena. Después de la muerte de su buen amigo le escribió a su madre:
El hecho de que la gente nunca me mencione en conexión con Einstein es muy satisfactorio para mí (y lo sería también para cualquiera de la opinión de que, incluso un hombre famoso, merece tener vida privada). Después de su muerte he sido invitado un par de veces para decir unas palabras sobre él, pero naturalmente no he aceptado.§. Universos en rotación
Una consecuencia tangible de las conversaciones entre Gödel y Einstein fueron los artículos de Gödel sobre la teoría de la relatividad los únicos de sus trabajos publicados sin conexión directa con la lógica matemática.
El primero de esos artículos, escrito en inglés, se tituló «Un templo de un nuevo tipo de soluciones cosmológicas a las ecuaciones einstenianas del campo gravitatorio», y se publicó en la revista Reviews of Modern Physics, volumen 21, número 3, páginas 447-450, del año 1949. En ese artículo Gödel planteó una solución a las ecuaciones de Einstein que consiste en la descripción de un universo en rotación, homogéneo, cerrado y estable (es decir, no en expansión) con líneas de tiempo cerradas. Estas «líneas de tiempo cerradas» permitirían, en teoría, viajes en el tiempo, y de hecho, harían que en ese universo el tiempo no existiera en el sentido en el que habitualmente lo entendemos, ya que pasado y futuro serían indistinguibles.
Estaba claro, incluso para Gödel, que este universo, hoy conocido como «el universo de Gödel», no era el nuestro. Es decir, aunque la descripción hallada por Gödel es consistente con las ecuaciones de Einstein, no describe el universo real. No por eso, sin embargo, la solución de Gödel carece de interés. Como él mismo escribió:
El mero hecho de la compatibilidad con las leyes de la naturaleza de los universos en los que no se puede distinguir un tiempo absoluto y, por lo tanto, en los que no puede existir un lapso objetivo de tiempo, arroja algo de luz sobre el significado del tiempo también en los universos en los que se puede definir un tiempo absoluto.Las anteriores palabras están tomadas de Una observación sobre la relación entre la teoría de la relatividad y la filosofía idealista, publicado también en 1949 como participación en un volumen editado por P. A. Schilpp dedicado a la obra de Einstein. El libro era parte de una colección titulada La biblioteca de filósofos vivientes, a la que Gödel ya había contribuido en 1944 en el volumen dedicado a Bertrand Russell. A diferencia de los otros dos, este segundo artículo sobre la relatividad estaba escrito en un lenguaje carente de toda fórmula matemática y accesible al público en general. En él, Gödel estudia algunas de las consecuencias filosóficas que pueden extraerse de la teoría de la relatividad en relación a la naturaleza del tiempo,
«ese ente misterioso y aparentemente contradictorio que, por otra parte, parece constituir la base de la existencia del mundo y de nuestra propia existencia» (la cita es del mismo artículo).En este trabajo, Gödel sostiene que la relatividad provee «una prueba inequívoca de la concepción de los filósofos que, como Parménides, Kant y los idealistas modernos, niegan la objetividad del cambio y consideran que el cambio es una ilusión o una apariencia debida a nuestro especial modo de percepción».

En 1951 Gödel fue reconocido junto al físico teórico estadounidense Julián Schwinger) con el primer premio Albert Einstein. En la imagen, de izquierda t derecha: Einstein, Lewis Strauss (presidente del consejo del Instituto de Estudios Avanzados de Princeton), Gödel y Schwinger.
En conclusión, si no hay tiempo objetivo, no hay cambio.
Gödel continúa diciendo que
«James Jeans ha sacado la conclusión de que no hay razón para abandonar la idea intuitiva de que hay un tiempo absoluto que dura objetivamente. No creo que la situación justifique esta conclusión»y explica este disentimiento basándose en las soluciones por él halladas en su artículo anterior.
Si hay universos sin tiempo objetivo que son compatibles con las ecuaciones de la relatividad y nuestro universo es, por supuesto, compatible con esas ecuaciones, entonces no podemos concluir necesariamente que en nuestro universo hay un tiempo objetivo.
En 1952 apareció publicado su tercer y último trabajo sobre la relatividad Se tituló Universos rotatorios en la teoría general de la relatividad y fue en realidad su exposición en el Congreso Internacional de Matemáticas realizado en Cambridge (Massachusetts), en 1950. En él Gödel expone nuevas soluciones a las ecuaciones de Einstein, nuevamente constituidas por universos en rotación, aunque en este caso no todas ellas tienen líneas temporales cerradas.
Las soluciones de Gödel, aunque no describen el universo real, abrieron la búsqueda de soluciones no ortodoxas para las ecuaciones de Einstein, un campo en el cual, una vez más, Gödel fue pionero.
En realidad, Gödel publicó todos sus trabajos científicos sobre lógica matemática a lo largo de solamente diez años, entre 1930 y 1939 (mientras aún vivía en Viena, aunque los dos últimos artículos, de 1938 y 1939 respectivamente, fueron publicados, en inglés, en revistas norteamericanas). En su etapa de Princeton, Gödel ya no publicó descubrimientos científicos sobre lógica, y en sus escritos de esos años (con la única excepción de los artículos ya mencionados sobre la teoría de la relatividad) se dedicó sobre todo a comentar las consecuencias filosóficas de sus investigaciones previas.
James JeansJames Hopwood Jeans, a quien Gödel cita en el segundo de sus artículos sobre la teoría de la relatividad, fue un físico, matemático y astrónomo britániconacido en 1877 en el condado de Lancashire.
Estudió en la Universidad de Cambridge y enseñó en ese mismo centro hasta que se trasladó a la Universidad de Princeton en 1904, donde trabajó como profesor de Matemática Aplicada. Volvió a Cambridge en 1910. Jeans hizo contribuciones importantes a la mecánica cuántica, la teoría de la radiación y la evolución estelar. Su análisis de los cuerpos en rotación le llevó a concluir que la teoría de Laplace de que el sistema solar se formó a partir de una nube de gas era errónea.
En su lugar, propuso que los planetas se condensaron a partir de material expulsado del Sol por una hipotética colisión con otra estrella; sin embargo, actualmente esta teoría no es aceptada. Escribió varios libros de divulgación sobre física y cosmología, que le dieron fama como excelente divulgador de la ciencia. En uno de ellos, El universo misterioso, escribió:
La corriente del conocimiento se dirige hacia una realidad no mecánica: el universo empieza a parecerse más a un gran pensamiento que a una gran máquina. La mente ya no parece ser un intruso accidental en el reino de la materia... más bien debemos saludarlo como el creador y gobernador del reino de la materia.
James Jeans falleció en el condado de Surrey, Inglaterra, en 1946.
El último trabajo científico sobre lógica matemática firmado por Gödel apareció en la forma de un libro de unas setenta páginas, publicado por la Princeton University Press en 1940, aunque no fue escrito directamente por Gödel, sino que se trata de la edición de los apuntes de un curso que dictó en 1938-1939 en el Instituto de Estudios Avanzados. El libro se titula La consistencia del axioma de elección y la hipótesis generalizada del continuo con los axiomas de la teoría de conjuntos y expone la resolución parcial del primero de los problemas que David Hilbert planteó en su famosa conferencia de 1900, un problema inicialmente formulado por Georg Cantor y que es conocido como la «hipótesis del continuo».
§. Cardinales
Para entender qué es la hipótesis del continuo debemos volver a la teoría de Cantor sobre el infinito, que ya tratamos en el primer capítulo. Recordemos que un conjunto, según las palabras del propio Cantor, es la «reunión en un todo de objetos de la realidad o de nuestro pensamiento». Tenemos así, por ejemplo, el conjunto de todos los días de la semana, el conjunto de todos los meses del año o el conjunto de los números naturales pares. Algunos de estos conjuntos son finitos, otros son infinitos.
Un conjunto es finito cuando es posible contar sus miembros uno por uno, y esta cuenta termina en algún momento. En los conjuntos infinitos, en cambio, la cuenta nunca termina. Sí tenemos un conjunto finito podemos perfectamente hablar de cuántos miembros tiene; por ejemplo, el conjunto de los días de la semana tiene siete miembros, y el de los meses de! año, doce. A la cantidad de miembros de un conjunto, los matemáticos lo llaman su «cardinal»; de este modo, podemos decir que el cardinal del conjunto formado por las letras de la palabra «mar» es tres.
El objetivo de Cantor era darle sentido a la idea de cardinal, o de cantidad de miembros, pero en el caso de los conjuntos infinitos. Sin embargo, ¿cómo puede hablarse de la «cantidad de miembros» de un conjunto infinito? ¿Puede decirse algo, aparte del hecho obvio de que esa cantidad es «infinita»?
Para responder a estas preguntas Cantor partió de esta simple idea; imaginemos que en un gran salón hay una gran cantidad de niños en movimiento y al mismo tiempo un gran número de sillas (figura 1), y que nos gustaría saber si hay la misma cantidad de unos y otras. Una manera de hacerlo es contar los niños uno por uno, hacer lo mismo con las sillas, y luego comparar los dos resultados. Pero hay una manera más directa de hacer esta comparación, y es pedirles a los niños
que se sienten, uno en cada silla. Si todos los niños han logrado sentarse y no ha quedado ninguna silla vacía, entonces podemos decir que hay exactamente la misma cantidad de sillas que de niños, o en otras palabras, que el cardinal del conjunto de las sillas y el cardinal del conjunto de los niños son iguales. En terminología matemática, se diría que hemos establecido una correspondencia biyectiva (o uno-a-uno) entre un conjunto y el otro (a cada niño le corresponde una silla, y a cada silla, un niño) (figura 2). Podemos decir así que dos conjuntos finitos tienen el mismo cardinal si es posible establecer una correspondencia biyectiva entre uno y otro. La idea esencial de Cantor fue extender esta noción a conjuntos infinitos, no la de contar miembros uno por uno, sino la de establecer correspondencias biyectivas entre conjuntos como forma de comparar sus cardinales.
Con esta idea en mente, Cantor definió que dos conjuntos infinitos tienen el mismo cardinal si es posible establecer entre ellos una correspondencia biyectiva, es decir, si se puede emparejar a sus respectivos miembros, de modo que a cada miembro del primer conjunto le corresponda exactamente un miembro del segundo, y viceversa. Por ejemplo, ya vimos en el primer capítulo que el conjunto de todos los números naturales (formado por los números 1, 2, 3, 4,…) puede ponerse en correspondencia biyectiva con el de los números cuadrados (1, 4, 9, 16,...);
Al conjunto de los números naturales se lo suele indicar con la letra N (la letra designa a la totalidad de los números en tanto objeto en sí mismo). Ahora bien, si a los números naturales le agregamos sus opuestos (es decir, los negativos -1, -2, -3, -4,…) y también agregamos el cero, obtenemos el llamado conjunto de los números enteros, que en el lenguaje matemático suele indicarse con la letra Z, que es la inicial de la palabra alemana «Zalh», que significa «número.
Cantor observó que el conjunto de los números enteros tiene también el mismo cardinal que N. En otras palabras, que hay tantos números naturales como enteros:
En la correspondencia entre N y Z, el 1 de N se empareja con el 0 de Z; los demás números impares de N se emparejan con los negativos de Z, mientras que los pares de N se emparejan con los positivos de Z. Observemos que, tal como debe suceder, a cada miembro de N le corresponde exactamente un miembro de Z sin que falte o sobre ninguno.Los naturales son solamente una parte de los enteros; sin embargo, los dos conjuntos tienen, en el sentido definido por Cantor, la «misma cantidad de elementos» (en lenguaje matemático, ambos conjuntos tienen el mismo cardinal). Como ya comentamos en el primer capítulo, el principio aristotélico de que «el todo es mayor que cualquiera de sus partes» no se aplica a conjuntos infinitos.
§. El argumento diagonal
Para ir todavía más allá de los enteros, es necesario hacer una referencia breve a una manera muy común de representar los números en la llamada «recta numérica».

Fragmento de la recta numérica, con algunos números enteros marcados en ella.
![]()
Loe conjuntos N y Z, según vimos, tienen el mismo cardinal, pero... ¿sucederá lo mismo con N y R? La respuesta, uno de los descubrimientos fundamentales de Cantor, es que no; N y R no tienen el mismo cardinal, es imposible establecer una correspondencia biyectiva entre ambos. La demostración de este hecho consiste en ver, precisamente, que cualquier intento de poner en correspondencia biyectiva a los números naturales con los reales fracasará, y esto sucederá porque es inevitable que quede al menos un número real sin asignar. Si los números naturales nombraran sillas y los reales indicaran niños, vamos a exhibir un procedimiento que permite siempre hallar un niño que ha quedado de pie.
Para entender la idea, haremos la demostración sobre un ejemplo específico, aunque quedará claro que el procedimiento funciona bien en todos los casos. Mostremos entonces un intento concreto de asignar un número real a cada natural y veamos cómo «posible encontrar un real que ha quedado fuera de la asignación (en las figuras solo se muestran los números del 1 al 5, pero la lista en realidad sigue indefinidamente). No está claro cuál es la regla por la que se han asignado los números, pero ese dato no es relevante porque el método que mostraremos funciona cualquiera que sea la regla de asignación. Como primer paso de este método, centremos nuestra atención en las cifras que se encuentran detrás de la coma decimal.
A su vez, dentro de ese recuadro que hemos dibujado, fijémonos en la diagonal que comienza en el extremo superior izquierdo y que va descendiendo hacia la derecha (véase la figura). El papel destacado de esta línea de números hace que a esta demostración se la conozca con el nombre de la «demostración de la diagonal». Naturales y racionalesPodría pensarse que el hecho de que N yR tengan distinto cardinal consiste en que N discreto (es decir, su representación gráfica está en puntos aislados), mientras que R no lo es (entre dos números reales siempre hay otros reales, no hay puntos aislados en R). Sin embargo. eso no es el caso. Para verlo tomemos el conjunto de los números racionales que suele representarle con la letra Q, y que contiene a todos los números racionales. Que son aquellosy entre 1/3 y 5/12 está el promedio de ambos, y entre l/3 y ese promedio está el promedio de ambos, y así sucesivamente (esquema superior).
A pesar de que Q es denso y N es discreto, es posible establecer una correspondencia biyectiva entre ambos. Una manera de hacerlo es la mostrada en el esquema inferior, donde aparecen todos los números racionales, y las flechas indican un recorrido que, a la larga, pasará una vez por cada fracción. El modo de establecer la correspondencia es el siguiente: al primer número del recorrido (que es el 0) le corresponde el natural 1, al segundo (que es el 1) le corresponde el natural 2, al tercero (que es 1/2) le corresponde el 3, y así sucesivamente. Una aclaración: la fracción -2/2 ocupa el séptimo lugar en el recorrido y, en principio, debería tener asignado el número natural 7. Sin embargo. -2/2 es igual a -1 (-1 y -2/2 son el mismo número escrito de modo diferente) y al -1 el recorrido le había asignado previamente el natural 5. No podemos asignar el 5 al -1 y el 7 al -2/2, que es el mismo número, el modo de resolver este problema es simplemente omitir al -2/2 y asignarle el 7 a la fracción siguiente. Que es -2/3.
El número que buscamos (el que queda fuera de la asignación) comenzará con 0,... y sus cifras decimales estarán determinadas por los números que aparecen en la diagonal. Para obtener la primera cifra decimal del número tomamos la primera cifra de la diagonal y le sumamos 1 (si fuera un 9, tomamos un 0). En el ejemplo, el primer número de la diagonal es un 3, así que nuestro número empezará con 0,4...

Para la tercera cifra decimal usamos el tercer número de la diagonal, y así sucesivamente. En nuestro ejemplo, el número buscado comienza con 0,41162...:
El número que acabamos de calcular no está asignado a ningún natural; se nos ha pasado por alto en la asignación. ¿Cómo podemos estar seguros de eso? De esta manera; el número que calculamos no puede ser el que está asignado al 1 porque ambos difieren en la primera cifra decimal. Tampoco puede ser el que está asignado al 2, porque ambos difieren en la segunda cifra decimal Tampoco puede ser el que está asignado al 3, porque ambos difieren en la tercera cifra decimal. Y así sucesivamente.
Dado que hay un número que escapó a la asignación, entonces nuestro ejemplo no puede constituir una correspondencia biyectiva entre N y R. Cualquier otro intento fracasará por la misma razón; por lo tanto, no existe una correspondencia biyectiva entre N y R, y en consecuencia podemos afirmar que los dos conjuntos no tienen, el mismo cardinal.
§. La hipótesis del continuo
El cardinal de los números reales es mayor que el de los naturales. Cantor demostró este hecho en 1873 y acto seguido se preguntó si habría un cardinal intermedio. Es decir, ¿existirá algún conjunto que tenga un cardinal mayor que N, pero menor que R? Durante años hizo muchos intentos por encontrar un conjunto intermedio entre N y R, pero jamás logró encontrar alguno. Finalmente, en 1878 formuló la conjetura de que tal conjunto intermedio no existe: a esa conjetura se la conoce como la hipótesis del continuo: «No existe un conjunto A tal que card(N) < card(A) < card(R)».
Paul CohenPaul Joseph Cohen nació en Long Branch, Nueva Jersey. Estados Unidos, en 1934; sus padres eran inmigrantes polacos. Desde muy pequeño Cohen demostró habilidades matemáticasextraordinarias, y fue considerado un niño prodigio. Esto le permitió, a pesar de los escasos recursos económicos de sus padres, estudiar en las escuelas de mayor nivel académico de Nueva York. Cursó sus estudios superiores en la Universidad de Chicago, donde se doctoró en 1958 con un trabajo en el que generalizaba el problema de la unicidad de la escritura de una función periódica en series de Fourier (el mismo que Cantor había tratado a principios de la década de 1870 y que lo llevó al desarrollo de su teoría de los infinitos), Cohen hizo aportes muy significativos a diversas áreas de las matemáticas, como la teoría de números, el análisis matemático y la lógica. En 1966, durante el Congreso Internacional de Matemáticas de Moscú recibió la medalla Fields, el premio matemático más importante que existe, por su trabajo sobre la hipótesis del continuo. Paul Cohen falleció en California en marzo de 2007.
Cantor intentó demostrar esta conjetura durante muchos años, aunque sin éxito. Al llegar el año 1900, el problema de determinar si la conjetura era cierta o no seguía aún sin solución y precisamente entonces, como ya dijimos, Hilbert lo puso en el primer lugar de la lista de problemas en su famosa conferencia del congreso de París.
La solución del problema, al menos la conocida hasta ahora, se obtuvo en dos etapas. La primera la completó Gödel a fines de la década de 1930. En concreto, en 1938 y 1939 Gödel publicó sendos artículos en los que exponía en forma resumida distintos aspectos de la primera parte de la solución, que expuso con todo detalle en un curso dictado en el Instituto de Estudios Avanzados, cuyos apuntes se editaron en forma de libro en 1940.
La segunda parte de la solución la obtuvo en 1963, Paul Cohen, matemático norteamericano que también trabajaba en el Instituto de Estudios Avanzados. Dicen que la primera persona a la que Cohen le mostró su solución fue a Gödel, pero que cuando fue a verlo este se encontraba en plena crisis maníaco-depresiva y no quiso dejarlo entrar a su casa, por lo que Cohen tuvo que pasarle los papeles por debajo de la puerta. Pocos días después, Gödel lo llamó por teléfono invitándolo a tomar el té y Cohen tomó esta invitación como una señal de que su solución era correcta; y, en efecto, tan correcta era que por ese trabajo Paul Cohen recibió la medalla Fields, el equivalente matemático del premio Nobel.
§. La solución de Gödel y Cohen
¿Cuál es la respuesta? ¿La hipótesis del continuo es verdadera o es falsa? En realidad, podemos decir que todavía no se sabe, porque la respuesta que Gödel y Cohen encontraron es que ni la hipótesis del continuo ni su negación pueden ser demostradas a partir de los axiomas de la teoría de conjuntos. Es decir, estos axiomas son insuficientes para determinar la verdad o falsedad de la afirmación. Si llamamos HC al enunciado que dice que «No existe un conjunto de cardinal intermedio entre N y R» entonces HC es, para la teoría de conjuntos, un ejemplo perfecto del primer teorema de incompletitud de Gödel: ni ella ni su negación son demostrables.
¿Cómo demostraron Gödel y Cohen este hecho? Para entenderlo, imaginemos por un momento que el símbolo «*» designa una operación numérica genérica, no especificada, y supongamos que esta operación cumple los dos axiomas siguientes;
Axioma 1 : La operación es conmutativa, es decir, a*b = b*a.
Axioma 2 : La operación tiene un elemento neutro, es decir, un número tal que operar con él no produce ningún cambio (si a ese elemento neutro lo llamamos e, entonces a*e = a).
Se llama «modelo» a cualquier ejemplo concreto, a cualquier operación específica, que cumpla esos axiomas. Por ejemplo, la suma de números enteros es un modelo, ya que la suma es conmutativa y tiene un elemento neutro (que es el 0). El producto de números enteros es también un modelo, ya que esa operación es también conmutativa y tiene un elemento neutro (que es el 1). La resta de enteros, en cambio, no es un modelo porque no es conmutativa (por ejemplo, 2 - 3 no es lo mismo que 3 - 2).
A partir de estos axiomas es posible demostrar sintácticamente (según la terminología del capítulo anterior) que no puede haber dos elementos neutros diferentes. Es decir, que si e y e' son ambos elementos que cumplen el axioma 2, entonces necesariamente e = e'. La demostración es como sigue: Supongamos que e y e' cumplen ambos el axioma 2. Entonces, como e es elemento neutro, e*e' = e' (al operar con e no se produce ningún cambio). Pero e' también es neutro, entonces e'*e = e (al operar con e no se produce ningún cambio). Tenemos así que:
e = e' * e = e * e' = e' y en consecuencia e = e'.
Toda afirmación que se deduzca de los axiomas será válida necesariamente en todos los modelos, porque esa misma demostración es reproducible en cada ejemplo concreto. Por lo tanto, en cualquier ejemplo que cumpla los axiomas 1 y 2 ocurrirá que el neutro de la operación es único. Esto sucede, por supuesto, en el caso de la suma (donde no hay otro neutro más que el 0) y en el del producto (donde el único neutro es el 1).Llamemos ahora «absorbente» a cualquier número f tal que al operar con él el resultado es nuevamente f (es decir, a * f = f), y consideremos la afirmación P: «La operación tiene un elemento absorbente».

Arriba, axioma de una operación conmutativa con neutro. Abajo a la izquierda, un ejemplo que cumple los axiomas, pero que no tiene elemento absorbente. Abajo a la derecha, un ejemplo en el que sí hay elemento absorbente. Luego la existencia o no existencia del elemento absorbente no se puede deducir de los axiomas de la parte superior del esquema.
Si la existencia de un elemento absorbente fuera demostrable a partir de los axiomas, entonces toda operación conmutativa y con neutro tendría un elemento absorbente. Sin embargo, esto no es así, porque la suma de enteros, que es conmutativa y con neutro, no tiene elementos absorbentes. Por lo tanto, la afirmación P no es demostrable a partir de los axiomas 1 y 2.
Ahora bien, si la inexistencia de un elemento neutro fuera demostrable, entonces ninguna operación que cumpliera los axiomas 1 y 2 tendría elementos absorbentes. No obstante, el producto de enteros sí lo tiene, ya que el 0 es absorbente, de manera que la negación de P tampoco es demostrable a partir de los axiomas, la existencia o inexistencia de elemento neutro es indecidible a partir de los axiomas 1 y 2: no puede ser demostrada ni refutada a partir de esos axiomas (véase el esquema de esta página).
Gödel hace un razonamiento similar en su segundo artículo sobre la teoría de la relatividad para refutar el hecho, planteado por James Jeans, de que, dentro de la teoría de la relatividad es posible definir la noción de «tiempo absoluto». Gödel le responde que, puesto que él ha hallado modelos de la teoría en los que esa noción no existe, entonces no es posible deducir de las ecuaciones de Einstein la existencia necesaria de un tiempo absoluto.
Volviendo al problema de Cantor, la manera en que Gödel y Cohen demostraron que la hipótesis del continuo es indecidible a partir de los axiomas de la teoría de conjuntos es similar a la que hemos usado anteriormente para mostrar que P es indecidible con respecto a los axiomas 1 y 2. En sus artículos de 1938 y 1939, y con más detalle en el libro de 1940, Gödel muestra un modelo que cumple los axiomas de la teoría de conjuntos para el cual la hipótesis del continuo es verdadera, es decir, un modelo en el que no hay conjuntos con cardinales intermedios entre N y R (de manera similar a cómo nosotros encontramos un modelo en el que no hay elementos absorbentes). Esto demuestra que HC no puede ser refutada (si fuera refutable a partir de los axiomas sería falsa en todos los modelos).
«El cambio es una ilusión a una apariencia debido a nuestro especial modo de percepción.»En 1963 Cohen encontró un modelo de los axiomas de la teoría de conjuntos en el cual sí existe un conjunto con un cardinal intermedio entre N y R, os decir donde HC es falsa y demostró así que HC no puede ser probada a partir de los axiomas de la teoría de conjuntos.
Kurt Gödel, en un artículo de 1949.
Pero, en el modelo estándar, el que uno tiene en mente cuando formula los axiomas de la teoría de conjuntos, ¿la hipótesis del continuo es verdadera o falsa? Esa pregunta todavía está sin respuesta. Muchos especialistas en el tema opinan que falta encontrar un axioma, una afirmación que todos los interesados estén de acuerdo en aceptar como verdadera y que permita finalmente resolver la cuestión. Es decir, un axioma que finalmente permita demostrar o refutar HC en el modelo estándar. La intuición general, basada en argumentos filosóficos, intuición que también compartan Gödel y Cohen, es que la hipótesis del continuo es, en realidad, falsa.
Capítulo 5
Las consecuencias del trabajo de Gödel
Los teoremas de incompletitud de Gödel marcaron un punto de inflexión en todas las investigaciones relacionadas con la filosofía de las matemáticas. Hoy en día no existe texto de filosofía de las matemáticas que no se refiera a los teoremas de Gödel, los enuncie, los analice y saque conclusiones de ellos que muchas veces son motivo de debate. A decir verdad, el estudio de las consecuencias de los teoremas de incompletitud apenas se ha iniciado y tal vez dure décadas, o siglos.En Princeton, Gödel encontró un clima social tranquilo y anodino, perfectamente adecuado a su forma de ser, en el que se sentía muy cómodo. Sin embargo, este entonto favorable no atenuó su hipocondría ni sus excentricidades sino que, muy por el contrario, con el correr de los años sus «rarezas» se fueron acentuando hasta tal punto que en 1941 el entonces director del Instituto de Estudios Avanzados, Frank Aydelotte, se sintió obligado a preguntarle al médico personal de Gödel si existía algún peligro de que su mal (su incipiente paranoia) adquiriera una forma violenta que fuera peligrosa para él mismo o para los demás. Aunque el médico respondió que ese peligro no existía, no deja de ser significativo que la pregunta fuera formulada.
Gödel estaba dominado por el temor a las enfermedades, tanto reales como imaginarias. Vivía convencido, por ejemplo, de que de la calefacción y del aire acondicionado emanaba un aire «malo», perjudicial para la salud. También tenía un temor obsesivo al frío y no era extraño verlo en pleno verano usando abrigo, bufanda y guantes. Paradójicamente, este miedo a la enfermedad venía acompañado por una desconfianza total hacia los médicos, que se transformó lentamente en un recelo hacia la gente en general. Su tendencia a la soledad era cada vez mayor y a veces pasaba largos períodos en los que evitaba todo contacto físico con otras personas, con la sola excepción de su esposa Adele y dos o tres amigos muy cercanos.
Desde su llegada a Estados Unidos, Adele tuvo una vida triste y solitaria, centrada principalmente en cuidar a su frágil marido, una necesidad que, con el pasar del tiempo, se fue haciendo cada vez más apremiante. En los comienzos de este período, recibió la ayuda de Oswald Veblen, el primer amigo de Gödel en Princeton y quien había hecho los contactos para que fuese incorporado al Instituto de Estudios Avanzados; poco después, la responsabilidad de compartir el cuidado de Gödel pasó a manos de Albert Einstein.
Frank AydelotteFranklin Ridgeway Aydelotte nació en un pueblo del condado de Gibson en el estado de Indiana, Estados Unidos, en 1880, y estudió literatura inglesa en la Universidad de Indiana, donde se graduó en 1911. Entre 1921 y 1940 fue director del colegio Swarthmore, una institución educativa en la que introdujo reformas muy innovadoras. Entre 1939 y 1947 fue director del Instituto de Estudios Avanzados de Princeton, en Nueva Jersey. Durante et período de Aydelotte como director del Instituto de Estudios Avanzados, el centro tenía muchos profesores notables, entre los que se encontraban Albert Einstein, el propio Gödel o John von Neumann. Aydelotte falleció en 1956 en Princeton.
Fotografía tomada el 14 de marzo de 1951, el día en que Einstein cumplía 72 años». En la imagen, junto a Einstein, aparecen Frank Aydelotte y su esposa.
La amistad entre ambos (que se profundizó especialmente a partir de 1942) fue una etapa de relativa calma para Gödel; los paseos que hacían juntos eran, podría decirse, terapéuticos para él y aunque las excentricidades no desaparecieron del todo, se atenuaron de manera notable. Es de comprender, entonces, que la muerte de Einstein en 1955 fuera un duro golpe para Gödel y que marcara un recrudecimiento de su hipocondría y su paranoia.
Fue en realidad el inicio de un camino descendente que ya nunca se detuvo, a pesar de que Oskar Morgenstein, otro de los amigos de Gödel en Princeton, tomara el lugar de Einstein en el intento de ayudar a Adele a cuidarlo.
«Parece claro que la fecundidad de sus ideas seguirá estimulando nuevos trabajos. A pocos matemáticos se les concede este tipo de inmortalidad.»
Obituario que se dedicó a Gödel el diario The Times de Londres
Su enfermedad mental fue empeorando y hacia mediados de la década de 1970 derivó en un delirio persecutorio; Gödel vivía obsesionado con la idea de que querían envenenarlo. Las únicas personas en las que confiaba eran Adele y Morgenstein, y la verdad es que se negaba absolutamente a comer a menos que Adele probara antes los alimentos.
Oskar Morgenstein falleció el 26 de julio de 1977, poco después Adele tuvo que ser hospitalizada durante seis meses por diversos problemas de salud y Gödel, que se quedó solo con sus miedos y sus obsesiones, prácticamente dejó de comer. Su cuerpo, de por sí no muy fuerte, se debilitó rápido por la inanición. Como consecuencia de todo esto, Gödel tuvo que ser internado en el hospital de Princeton, donde falleció la tarde del 14 de enero de 1978. El certificado de defunción indicó como causa de muerte «malnutrición e inanición provocados por problemas personales».
Oskar MorgensteinOskar Morgenstein fue un economista y matemático nacido en Silesia (actualmente parte de Polonia) en 1902. Estudió en las universidades de Viena,Harvard y Nueva York. En Viena asistió a unos famosos seminarios organizados por Kart Menger (profesor de la Universidad de Viena) y de los que también participó Gödel. Durante la Segunda Guerra Mundial emigró a Princeton y ya en Estados Unidos, en 1944 publicó conjuntamente con John von Neumann el libro Theory of Games and Economic Behavior (Teoría de Juegos y comportamiento económico) que supuso el inicio de la moderna teoría de juegos. Morgenstein falleció en 1977 en Princeton, Nueva Jersey, Estados Unidos.
Pero, en cierto modo, Gödel nunca murió; su obra, sus ideas, su pensamiento, sus teoremas todavía viven; sus métodos de demostración siguen siendo estudiados y utilizados hoy en día, y no es exagerado decir que seguirán siendo analizados durante siglos.
Como dice el matemático norteamericano John Allen Paulos en su libro Más allá de los números:
El lógico matemático Kurt Gödel fue uno de los gigantes intelectuales del siglo XX y, en el supuesto de que la especie se conserve, probablemente será una de las pocas figuras contemporáneas recordadas dentro de mil años. No se trata de un caso de autocomplacencia por parte de los matemáticos, a pesar de que en todas las disciplinas sea corriente alentar una cierta miopía profesional. Sencillamente es verdad.Aunque después de 1950 publicó muy poco, no por eso Gödel dejó de pensar y escribir, y al momento de su muerte había dejado un número impresionante de manuscritos inéditos, dedicados principalmente a la filosofía y a la teología, con investigaciones, entre otros temas, sobre la existencia de Dios, la transmigración de las almas o el análisis de los trabajos filosóficos de Gottfried Leibniz. Todos estos manuscritos, dado que Gödel no había dejado instrucciones acerca de qué hacer con ellos, fueron heredados por su esposa Adele quien, a su vez, antes de su fallecimiento en 1981, los donó a la biblioteca del Instituto de Estudios Avanzados, donde todavía se conservan.
Entre estos papeles inéditos se destaca el texto de la «conferencia Gibbs», que Gödel fue invitado a dictar en la reunión anual de la American Mathematical Society celebrada en Providence, Estados Unidos, el 26 de diciembre de 1951. Según los testigos, Gödel se limitó a leer rápidamente el manuscrito que llevaba preparado, sin admitir preguntas ni comentarios al finalizar, aunque si hubo un entusiasta aplauso, comprensible dado lo infrecuente de poder ver y oír en persona a un genio del nivel de Gödel.
En los años siguientes, Gödel se dedicó a corregir y retocar el manuscrito con la intención de publicarlo; sin embargo, nunca legró darle una forma que fuera para él satisfactoria. Finalmente, fue publicado en 1994 como parte de un volumen titulado Kurt Gödel, ensayos inéditos.
¿Por qué es tan interesante la conferencia Gibbs? Poique en ella Gödel analizó profundamente (más que en cualquier otro de sus escritos) las que él entendía que eran las consecuencias filosóficas de sus teoremas de incompletitud. En concreto, Gödel sostuvo en esa conferencia que sus teoremas demostraban que el platonismo matemático era la postura correcta en la filosofía de las matemáticas.
¿Qué es el platonismo? La pregunta en realidad es: ¿la matemática, se crea o se descubre? ¿Es una creación humana, de la misma forma que lo es la música y la literatura? ¿O, por el contrario, los matemáticos descubren hechos que existen en una realidad externa, preexistente a ellos?
El platonismo sostiene que los objetos matemáticos tienen una existencia objetiva, y que el trabajo de los matemáticos consiste en descubrir las características de esos objetos. El nombre, desde luego, proviene de Platón, quien afirmaba que nuestras percepciones son solamente el reflejo deformado de una realidad superior que existe en el «mundo de las ideas». En ese mismo mundo de las ideas habitarían los objetos que los matemáticos investigan; aunque dentro del platonismo matemático hay diferentes matices esa es la idea esencial:
«El famoso teorema de incompletitud de Gödel muestra que no hay ningún método de prueba formal [sintáctico] con el que poder demostrar todas las verdades de la matemática»La postura opuesta, que hoy en día suele recibir el nombre de «formalismo», y que recoge parte de las ideas del intuicionismo y del programa de Hilbert, sostiene que la matemática es simplemente una creación humana, similar en ciertos aspectos a la música la matemática, según este punto de vista, es esencialmente un juego lingüístico (un juego sintáctico) en el que hay ciertos puntos de partida, que son los axiomas, y ciertas reglas lógicas que permiten operar a partir de ellos. El trabajo del matemático consistiría en descubrir hacia dónde nos llevan las reglas de juego (no muy diferente en el fondo al trabajo de un ajedrecista que busca la jugada óptima en una cierta posición). En definitiva, el platonismo mantiene que los objetos matemáticos existen por sí mismos, y los matemáticos descubren sus propiedades, mientras que el formalismo afirma que los objetos matemáticos no existen por sí mismos, y tienen propiedades que los matemáticos les atribuyen.
Willand van Orman Quine, sobre el teorema ge Gödel.
Las dos posturas tienen sus matices, las dos tienen sus puntos fuertes y sus puntos débiles, y las dos conviven hoy en día en el pensamiento de los matemáticos. John D. Barrow, un filósofo de las matemáticas contemporáneo, ha escrito:
«Los matemáticos son formalistas de lunes a viernes y platonistas los fines de semana».Es decir, para el trabajo diario, a la hora de demostrar teoremas y escribir artículos, la postura formalista es la más conveniente, porque en última instancia toda la «verdad» descansa en axiomas cuya elección no necesita de ulteriores justificaciones (en el formalismo solo se requiere que los axiomas sean consistentes, no que reflejen una verdad externa). Sin embargo, los fines de semana, cuando se relajan, los matemáticos sienten en su fuero interno que trabajan con «objetos de verdad», cuya existencia es independiente y real (signifique esto lo que signifique).
Ambas posturas aparecen claramente diferenciadas en relación a la cuestión de la hipótesis del continuo. Vimos en el capítulo anterior que la hipótesis del continuo (HC) es indecidible con respecto a los axiomas de la teoría de conjuntos. Ahora bien, ¿es verdadera o es falsa? Para el formalista puro (aunque hoy en día casi nadie es formalista puro), la pregunta no tiene sentido. Los axiomas son reglas de juego elegidas arbitrariamente que no refieren a ninguna «verdad» exterior, solo existen los conceptos sintácticos de «demostrable» o «no demostrable», no los de «verdad» o «falsedad». Según este punto de vista, es tan lícito agregar a la teoría de conjuntos un nuevo axioma en el que HC sea demostrable, como agregar otro en el que sea refutable. De este modo podrían convivir dos teorías de conjuntos diferentes, de la misma forma que conviven diferentes juegos de ajedrez (hay un ajedrez chino y uno japonés, por ejemplo), con algunas variantes entre las reglas de uno u otro, sin que sea necesario creer que hay un «ajedrez verdadero».
Para el platonismo, en cambio, los axiomas de la teoría de conjuntos reflejan una verdad que existe objetivamente y en la cual HC es, o bien verdadera, o bien falsa, y lo que falta es un axioma «evidente por sí mismo» que permita decidir la cuestión.
Gödel era decididamente platonista y en un artículo publicado en 1947 bajo el título ¿Qué es el problema del continuo de Cantor? escribió:
«Debe observarse [...] que, desde el punto de vista aquí adoptado, una prueba de la indecidibilidad de la conjetura de Cantor a partir de los axiomas aceptados de la teoría de conjuntos [...] de ningún modo resolverla el problema Pues si se acepta que el significado de los símbolos primitivos de la teoría de conjuntos (...] es correcto, entonces los conceptos y teoremas de la teoría de conjuntos describirían alguna realidad bien determinada en la cual la conjetura de Cantor debería ser cierta o falsa».
¿Cuál es el ajedrez verdadero?El ajedrez chino es un juego de estrategia, de la misma familia que el ajedrez occidental y el shogi (o ajedrez japonés). Se cree que todos ellos provienen del juego llamado chaturanga, que se practicaba en la India en el siglo VI. Para los formalistas (que enfatizan los aspectos sintácticos de las matemáticas), la acción de elegir axiomas para una teoría matemática no es muy diferente a determinar las reglas de un juego de tablero. El ajedrez occidental, el chino o el japonés son todos juegos de tablero emparentados, pero no hay uno que sea «verdadero» y los otros «falsos». De manera similar, dado que la hipótesis del continuo (o HC) es indecidible con respecto a los axiomas de la teoría de conjuntos, entonces es tan legítimo agregar a HC, o bien a su negación, como nuevo axioma. En ambos casos se obtienen diferentes teorías de conjuntos (diferentes reglas de juego), sin que pueda decirse que una sea «verdadera» o la otra «falsa». Para los platonistas, en cambio, la teoría de conjuntos se refiere a una realidad objetiva en la que la hipótesis del continuo es realmente verdadera o falsa.
Tablero de ajedrez chino con la posición inicial de las fichas.
Más tarde, en 1963, al completar la demostración de la indecidibilidad de HC, Paul Cohen acordó con este punto de vista y arriesgó su sospecha de que la conjetura de Cantor es en realidad falsa.
Ahora bien, como ya dijimos, en la conferencia Gibbs de 1951, Gödel sostuvo que sus teoremas de incompletitud demostraban la validez del punto de vista platonista. Veamos, en un apretado resumen, cuál era el argumento de Gödel.
Todos tenemos en nuestra mente una intuición de qué son los números naturales, entendemos cómo se definen sus operaciones fundamentales y cuáles son sus propiedades básicas. Percibimos, por ejemplo, que multiplicar 8 por 5 se equipara a la operación «física» de formar ocho columnas con cinco objetos cada una (figura 1).

Tenemos, en consecuencia, un «modelo mental» de los números naturales, de esos entes, o esa estructura que los matemáticos estudian. Por otra parte, el primer teorema de incompletitud demuestra que ese modelo no puede ser completamente caracterizado por métodos sintácticos, es decir, si nos limitamos a los métodos sintácticos de razonamiento, siempre habrá verdades inalcanzables. Los métodos sintácticos de demostración son insuficientes para abarcar todas las propiedades de ese modelo que, semánticamente, somos capaces de comprender. Esto implica, según Gödel, que ese modelo mental, esos entes que llamamos «números naturales», con todas sus propiedades o relaciones mutuas, existe en una realidad platónica que se encuentra más allá de la mera lingüística (figura 2).

Los axiomas de la teoría de conjuntosLa paradoja de Russell se resolvió finalmente gracias a una reformulación de los axiomas de la teoría de conjuntos propuesta, en primer lugar, por el matemático alemán Ernst Zermelo en 1908 y perfeccionada pocos años después por el también alemán Abraham Fraenkel. Aunque existieron otras propuestas equivalentes (una de ellas presentada por el propio Gödel), la teoría axiomática de Zermelo-Fraenkel (o Z-F, como se la suele llamar) es hoy en día la teoría de conjuntos por excelencia:
1. Dos conjuntos son iguales si tienen exactamente los mismos miembros.
2. Existe el conjunto vacío.
3. Dados x e y existe el par ordenado ( x,y).
4. La unión de conjuntos también es un conjunto.
5. Existe al menos un conjunto infinito.
6. Toda propiedad que pueda ser expresada en el lenguaje formal de la teoría de conjuntos puede ser usada para definir un conjunto.
7. Dado un conjunto, existe siempre el conjunto formado por todos sus subconjuntos.
8. Dada una familia finita o Infinita de conjuntos no vacíos existe siempre un conjunto que contiene exactamente un miembro de cada conjunto de la familia.
9. Ningún conjunto es miembro de sí mismo.
El axioma clave para evitar la paradoja de Russell es el sexto, que especifica en qué propiedades pueden basarse las definiciones de los conjuntos. Este axioma, en combinación con el noveno, permite demostrar que el conjunto paradójico de Russell simplemente no existe.
El hecho es que, al momento actual, no existe todavía un consenso unánime acerca de qué relación existe entre los teoremas de Gödel y la naturaleza de los objetos matemáticos. Después de todo, solamente han pasado poco más de ochenta años desde la publicación de los teoremas de Gödel, un tiempo demasiado breve como para pretender que haya alguna conclusión filosófica definitiva.
§. La verdad matemática
Se ha dicho en muchos libros de divulgación que el primer teorema de incompletitud de Gödel prueba que es imposible hallar un conjunto de axiomas para la aritmética que permita demostrar todas las verdades de esta teoría; pero esa afirmación, en realidad, no es correcta. Como ya hemos dicho muchas veces, esto es verdad solamente si nos limitamos a los métodos de demostración admitidos por el programa de Hilbert Sin embargo, existen otros métodos de demostración.
¿Es posible dar un ejemplo de una demostración que escape a los cánones admitidos por el programa de Hilbert? La respuesta es sí. Para mostrar un ejemplo, recordemos los axiomas de Peano, que son axiomas que se refieren a los números naturales y que toman como elementos primitivos a la suma, el producto y la función sucesor.
Axioma 1 : Ningún número tiene como sucesor al 1.
Axioma 2 : Si dos números tienen el mismo sucesor, entonces son iguales.
Axioma 3 : El sucesor de x es x +1.
Axioma 4 : (x + y) + 1 = x + (y + 1).
Axioma 5 : El producto de x por 1 es x.
Axioma 6 : x ∙ (y +1) = x ∙ y + x.
Axioma 7: Si el 1 cumple una cierta propiedad y se puede asegurar que siempre que x cumple la propiedad, entonces su sucesor también la cumple, entonces, bajo esas condiciones, se puede asegurar que todo número cumple la propiedad.
Vamos a demostrar a continuación que los axiomas de Peano son consistentes. Comencemos por observar que los siete axiomas son enunciados verdaderos (en el universo de los números naturales). Ya hemos dicho que de premisas verdaderas solamente pueden deducirse afirmaciones verdaderas; por lo tanto, ningún enunciado falso podrá deducirse de los axiomas de Peano. Pero también hemos dicho que si un conjunto de axiomas es inconsistente, entonces todo enunciado es demostrable a partir de él. Dado que hay enunciados que no son demostrables a partir de los axiomas de Peano (los enunciados falsos no son demostrables), concluimos que los axiomas de Peano son consistentes.
Ahora bien, el segundo teorema de incompletitud dice que no se puede demostrar la consistencia de los axiomas de Peano, pero acabamos de demostrarla. ¿Cómo es posible? La respuesta, por supuesto, es que el segundo teorema de incompletitud dice, en realidad, que no es posible demostrar la consistencia de los axiomas de Peano usando los métodos del programa de Hilbert. La demostración de consistencia que acabamos de hacer, en consecuencia, es un razonamiento correcto, pero que escapa a las restricciones de ese programa; la corrección de la demostración no es verificable algorítmicamente.
Esto nos lleva directamente a una consecuencia de los teoremas de Gödel: no existe un algoritmo que pueda verificar en todos los casos la verdad o falsedad de un enunciado aritmético (si así fuera, la computadora podría verificar la corrección de la demostración de consistencia que hemos hecho más arriba, lo cual, por el segundo teorema de Gödel, es imposible). En otras palabras, jamás se podrá programar una computadora de modo que pueda demostrar todas las conjeturas de la aritmética (se trata de una limitación esencial que los avances tecnológicos no podrán superar), las computadoras jamás superaran a los matemáticos (aunque, como veremos más adelante, tampoco queda claro que los matemáticos sean siempre capaces de superar a las computadoras).
Vemos así que el segundo teorema de incompletitud pasa a ser falso si admitimos métodos semánticos de demostración. Pero, ¿qué ocurre con el primer teorema de Gödel? Pues bien, puede probarse que si admitimos métodos semánticos, entonces toda verdad aritmética es demostrable a partir de los axiomas de Peano, donde, como vimos en la demostración anterior, por métodos semánticos emendemos métodos basados fuertemente en la noción de «verdad».

De la igualdad (a - b) ∙ a = (a - b) ∙ c deducimos que a = c.
Donde P es un enunciado «(a - b) ∙ a = (a - b) ∙ b» y Q es «a = c ». La deducción no es válida porque existe un modelo (un ejemplo) en el que P es verdadera, pero Q falsa En efecto, si tomamos a = b = 2 y c = 3 ocurre que P es verdadera y Q, falsa.
Ahora bien, dado un enunciado existe un número potencialmente infinito de universos donde puede llegar a ser verdadero. Esto quiere decir que si en un paso de una demostración semántica decimos que de P se deduce Q, para verificar que esto es correcto tendríamos que verificar los potencialmente infinitos universos donde P es verdadero y comprobar que en todos ellos Q también es verdadero. Esta comprobación (que involucra un número infinito de verificaciones) no puede ser realizada por una computadora, pero tampoco queda claro que pueda ser realizada por una mente humana.
De alguna manera, esto equipara a las matemáticas con las ciencia tácticas. En física, pongamos por caso, toda teoría es provisional. Que la atracción gravitatoria entre dos cuerpos disminuye con el cuadrado de la distancia es una afirmación provisional porque nunca podremos verificar la intensidad de la atracción gravitacional de todos los pares de cuerpos que existan en el universo a todas las distancias posibles. La afirmación es verdadera..., mientras no se encuentre una situación en la que falle.
Las geometrías no euclídeasLa geometría de Euclides, expuesta en su obra Elementos de geometría (siglo «I a.C.) es una teoría basada en cinco postulados, o axiomas, que traducidos al lenguaje moderno pueden formularse como sigue:
1. Por dos puntos puede trazarse una única recta.
2. Un segmento puede prolongarse por cualquiera de sus extremos.
3. Con cualquier centro y cualquier radio puede trazarse una circunferencia.
4. Todos los ángulos rectos son iguales entre sí.
5. Por un punto exterior a una recta puede trazarse una única paralela a ella.
Los cuatro primeros postulados son palmariamente evidentes; en cambio, el quinto tiene una complejidad conceptual mayor y puede no resultar tan obvio como los otros. De hecho, la formulación original de Euclides para el quinto postulado era aún mucho más compleja da que se muestra más arriba que es la formulación más conocida, fue propuesta por el matemático inglés John Playfair a finales del siglo XIX). Es interesante agregar, además, que en sus demostraciones Euclides utiliza lo menos posible el quinto postulado (como si él mismo desconfiara un poco de su validez).
La demostración de Eugenio Beltrami
Durante muchos siglos se creyó que el quinto postulado era en realidad un teorema que podía demostrarse a partir de los otros cuatro. A lo largo del tiempo se hicieron muchos intentos de lograr una demostración, pero todos fracasaron. Finalmente, en 1868, Eugenio Beltrami demostró que el quinto postulado es indecidible con respecto a los otros cuatro, es decir, que ni el postulado ni su negación pueden ser demostrados a partir de ellos.
Este fue, históricamente, el primer ejemplo conocido de indecidibilidad con respecto a un conjunto de axiomas, décadas antes de que Gödel demostrara su teorema.
En realidad, el quinto postulado tiene dos negaciones: una de ellas dice que por un punto exterior a una recta no pasa ninguna paralela a ella, la otra negación dice que pasa más de una paralela.
Tanto el quinto postulado como sus negaciones pueden ser agregados a los otros cuatro y en todos los casos se obtiene un conjunto consistente de axiomas.Cuando se agrega el quinto postulado se obtiene, por supuesto, la geometría de Euclides; en los otros dos casos se obtienen las llamadas geometrías no euclídeas. Hoy en día se acepta que las tres son igualmente válidas; las geometrías no euclídeas son las más adecuadas para describir un espacio einsteniano curvado por la presencia de masas, mientras que la geometría euclídea es la que más se adapta a nuestra percepción de los fenómenos cotidianos.
El matemático italiano Eugenio Beltrami.
Ocurre algo similar con las demostraciones semánticas; podemos asegurar que de P se deduce Q... mientras no se encuentre un universo en el que P sea verdadero, pero Q falle. El programa de Hilbert quería deshacerse de esta incertidumbre al proponer métodos de demostración cuya corrección fuera verificable de una vez para siempre.
Repitamos lo dicho más arriba: todo enunciado aritmético verdadero puede demostrarse a partir de los axiomas de Peano, si admitimos métodos semánticos. Pero jamás podremos tener la certeza absoluta de que esos métodos semánticos son correctos, Podemos tener métodos de razonamiento seguros y confiables, como quería Hilbert, pero de ese modo no podremos probar todas las verdades. O podemos tener la capacidad de conocer potencial- mente todas las verdades aritméticas, pero sin la certeza de que nuestros métodos sean correctos. Seguridad y confiabilidad, o la capacidad de conocer todas las verdades, podemos tener una u otra, pero no las dos al mismo tiempo.
§. Humanos versus ordenadores
En esencia, ¿es la mente humana superior a un ordenador? ¿Nosotros «pensamos», mientras que el ordenador solamente «calcula»? O, por el contrario, no hay una diferencia esencial y algún día el avance tecnológico nos permitirá crear inteligencias artificiales, androides, como los que nos muestra la ciencia ficción, cuyo pensamiento es indistinguible del humano.
La controversia en torno a este tema comenzó a mediados del siglo XX, con el desarrollo de los primeros ordenadores electrónicos, y desde entonces se han escrito decenas, quizá hasta centenares de libros y artículos con argumentos, refutaciones, debates y conjeturas sobre esta cuestión sin que haya hasta ahora a la vista alguna respuesta que satisfaga a todos los involucrados.
Por todo lo dicho, es evidente que sería imposible en unas pocas líneas hacer ni siquiera un breve resumen de todos los argumentos a favor o en contra de una u otra postura. Solamente nos interesa mencionar aquí que los teoremas de incompletitud de Gödel han sido usados más de una vez en las discusiones sobre este tema, sobre todo como argumento a favor de que la mente humana es esencialmente superior a un ordenador.
La explicación, en pocas palabras, sería la siguiente: hemos mostrado más arriba una demostración de la consistencia de los axiomas de Peano y nuestra capacidad humana de captar la noción semántica de «verdad» nos convence de que es correcta; sin embargo, el segundo teorema de Gödel prueba que la corrección de esa demostración no puede ser verificada por un ordenador. Hemos encontrado así una tarea (la verificación de la corrección de la demostración de que los axiomas de Peano son consistentes) que la mente humana puede hacer, pero un ordenador no (y esta imposibilidad es esencial, jamás podrá ser superada por los avances tecnológicos futuros). Por lo tanto, la mente humana es superior al ordenador.
«En la medida en que se refieren a la realidad, las proposiciones de la matemática no son seguras y, viceversa, en la medida en que son seguras, no se refieren a la realidad.»El argumento parece convincente, pero no es decisivo. La demostración de la consistencia de los axiomas de Peano se basa en nuestra intuición de que esos axiomas son enunciados verdaderos; pero, ¿es infalible esa intuición? En realidad no lo es, ya ha fallado antes. Le falló a Frege, por ejemplo, quien durante años estuvo convencido de la consistencia de sus axiomas, hasta que Bertrand Russell descubrió que uno de ellos era auto-contradictorio. ¿Podría surgir, en algún día futuro, un nuevo Russell que nos muestre una paradoja de los axiomas de Peano, alguien que nos diga que, después de todo, son inconsistentes? Aunque sería muy sorprendente (como lo fue para Frege), no se puede descartar esa posibilidad.
Albert Einstein, en una conferencia pronunciada el 27 de enero de 1921.
No podemos, por lo tanto, vanagloriamos de superar a los ordenadores, porque jamás podremos tener la certeza de que nuestros razonamientos semánticos son correctos. Debemos aprender a vivir con la incertidumbre de que quizá en el futuro se descubra que todos (o casi todos) nuestros razonamientos son incorrectos,
¿Podría ocurrir tal descubrimiento? ¿Es verosímil esa posibilidad? La verdad es que sí; en realidad, la discusión iniciada con el descubrimiento de la paradoja de Russell nunca llegó a ser terminada. Las tres propuestas que se hicieron a principios del siglo XX, intuicionismo, logicismo y formalismo (o el programa de Hilbert), fallaron por diferentes motivos y no han sido reemplazadas por otro programa de alcance equivalente. ¿Cuál es exactamente la naturaleza de los objetos matemáticos? ¿Existe un nivel intermedio entre los razonamientos puramente sintácticos y los razonamientos libremente semánticos que permita superar la incompletitud de los teoremas de Gödel asegurando a la vez la consistencia? ¿Existe realmente una diferencia tan tajante entre «sintáctico» y «semántico» o los que llamamos conceptos semánticos no son más que conceptos sintácticos más sofisticados (en los que se trabaja con grupos de símbolos en lugar de con símbolos individuales)?
Todavía hay muchas preguntas sin respuestas... afortunadamente.
- Bell, E.T., Los grandes matemáticos, Buenos Aires, Losada, 2010.
- Bover, C., Historia de la matemática, Madrid, Alianza Editorial, 2007.
- Gödel, K. Sobre proposiciones formalmente indecidibles de los Principia Mathematica y sistemas afines, Oviedo, KRK Ediciones, 2006.
- Hofstadter , D., Gödel, Escher y Bach (Un eterno y grácil bucle), Barcelona, Tusquets, 1992.
- Kline, M. Matemáticas, la pérdida de la incertidumbre, México D.F., Siglo Veintiuno Editores, 1998.
- Martínez, G., Piñeiro, G., Gödel ∀ (para todos), Barcelona, Destino, 2010.
- Marañón, A. (compilador), Las matemáticas del siglo XX (Una mirada en 101 artículos), Madrid, Nivola, 2000.
- Nagel, E., Newman, J., El teorema de Gödel, Madrid, Tecnos, 1994.
- Odifreddi, P., La matemática del siglo XX: de los conjuntos o la complejidad, Buenos Aires, Katz Editores, 2006.
- Smullyan, R., Juegos por siempre misteriosos, Barcelona, Gedisa, 1988.
- Stewart, I., Historia de las matemáticas, Madrid, Critica, 2008.





como «conceptografía», que literalmente significa «dibujo de conceptos». Como se muestra en la figura, el simbolismo de Frege se asemeja, tal como su nombre sugiere, más a un dibujo lineal que a un texto escrito. La figura expresa el teorema 71 del libro Begriffsschrift y su traducción sería; f es un procedimiento y F representa una propiedad que se preserva cuando se aplica el procedimiento f. Si x cumple la propiedad e y se obtiene de x por aplicación del procedimiento f, entonces f también cumple la propiedad.
En ella, Russell proponía imaginar un pueblo en el que hubiera un único barbero que afeitara a todos los hombres que no se afeitaban a sí mismos. Nos preguntamos entonces si el barbero se afeita, o no se afeita, a sí mismo. La respuesta es que el barbero no puede afeitarse a sí mismo, pero que tampoco puede evitar hacerlo.
que introdujo por primera vez el infinito en acto en las matemáticas), En 1904, siendo un estudiante recién graduado, demostró algunos resultados originales sobre movimientos continuos en cuatro dimensiones que fueron publicados por la Real Academia de Ciencias de Amsterdam. Su tesis doctoral, publicada en 1907 trató sobre el problema de los fundamentos de las matemáticas. En ese trabajo introdujo las primeras ideas sobre el intuicionismo. También hizo contribuciones importantes a la topología, donde demostró el famoso «teorema de punto fijo» que lleva su nombre curiosamente, la demostración de este teorema no se ajusta a los estándares intuicionistas.
Hizo importantes contribuciones al álgebra, la geometría, el análisis y los fundamentos de las matemáticas, entre otras ramas de esa ciencia. En 1899 reformuló los Elementos de Euclides, corrigiendo algunas lagunas lógicas que no habían sido advertidas por más de dos mil cien años. El trabajo resultante. Fundamentos de geometría, es una obra destacada en la historia de la lógica matemática. Desde luego, es muy recordada también su conferencia inaugural del Segundo Congreso Internacional de Matemáticas, celebrado en París en 1900, en la que inmortalizó una frase que quedaría para siempre asociada a su nombre y en la que expresó la convicción de que no existen problemas matemáticos irresolubles: «Debemos saber, y sabremos» ( «Wir müssen wissen, wir werden wissen»). Hilbert falleció en Gotinga el 14 de febrero de 1943.
Esta omisión despertó el malestar de Giuseppe Peano, matemático italiano, presente en la conferencia de Hilbert, quien había propuesto en 1889 un conjunto de axiomas para la aritmética con la intención de que estos permitieran deducir todos los enunciados aritméticos verdaderos. Los axiomas de Peano, tal es el nombre con el que se los conoce actualmente, tienen como elementos primitivos al número 1, y a los signos de la suma (+), del producto (∙) y de la función sucesor (S):
Sin embargo, no dedicó su vida a la física, sino a la filosofía. Su primera obra filosófica, La sabiduría de la vida, se publicó en 1908 y su ensayo La naturaleza de la verdad según la lógica moderna ( Das Wesen der Wahrheit nach der modernen Logik) apareció dos años más tarde. 

Tomemos un número natural cualquiera, por ejemplo el 25. A partir de él, vamos a construir una sucesión de números llamada «sucesión de Goodstein de semilla 25» (por Reuben Louis Goodstein [1912-1985], el matemático inglés que definió este mecanismo por primera vez). Para obtener el segundo número de la sucesión escribimos el 25 como suma de potencias de 2, de manera que cada potencia aparezca exactamente una vez (el 1 es potencia de 2 porque 20 = 1): 
Church nació en Washington el 14 de junio de 1903 y estudió matemáticas en la Universidad de Princeton, donde se doctoró en 1927. Su director de tesis doctoral fue Oswald Veblen (que ayudó a organizar el Instituto de Estudios Avanzados de Princeton y fue además quien invitó a Gödel a dar sus primeras conferencias allí). Church hizo aportes de primer nivel a la lógica matemática, la teoría de la computabilidad (que investiga qué problemas matemáticos pueden ser resueltos algorítmicamente y cuáles no) y la informática teórica. Es el creador del «cálculo-lambda», todavía hoy una herramienta esencial en el estudio de la teoría di algoritmos. Church falleció en Estados Unidos en 1995.
afirmación es demostrable a partir de ellos. En realidad, Russell enunció este hecho en su versión semántica, que afirma que partiendo de una premisa falsa puede demostrarse cualquier cosa, inmediatamente Russell fue desafiado por la audiencia a demostrar que Smith, (uno de los espectadores) era el papa partiendo de la premisa falsa de que 1 = 0. Para hacer la demostración, Russell razonó así. Si 1 = 0, entonces, sumando 1 a ambos miembros, deducimos que 2 = 1. Pensemos ahora en el conjunto formado por Smith y el papa. Ese conjunto tiene dos miembros, pero como 2 = 1, entonces podemos decir que el conjunto tiene solamente un miembro. Es decir, Smith y el papa son una y la misma persona.
Christian Goldbach en 1742, en una carta escrita al famoso matemático suizo Leonhard Euler (1707-1783). Al momento de redactar estas líneas no se sabe si la conjetura es cierta o no. Se ha verificado que es verdadera para una gran cantidad de números pares, pero nadie ha hallado hasta ahora una demostración general que la pruebe para todos los casos, así como tampoco se ha encontrado un ejemplo en el que la conjetura falle.
nacido en 1877 en el condado de Lancashire. 

extraordinarias, y fue considerado un niño prodigio. Esto le permitió, a pesar de los escasos recursos económicos de sus padres, estudiar en las escuelas de mayor nivel académico de Nueva York. Cursó sus estudios superiores en la Universidad de Chicago, donde se doctoró en 1958 con un trabajo en el que generalizaba el problema de la unicidad de la escritura de una función periódica en series de Fourier (el mismo que Cantor había tratado a principios de la década de 1870 y que lo llevó al desarrollo de su teoría de los infinitos), Cohen hizo aportes muy significativos a diversas áreas de las matemáticas, como la teoría de números, el análisis matemático y la lógica. En 1966, durante el Congreso Internacional de Matemáticas de Moscú recibió la medalla Fields, el premio matemático más importante que existe, por su trabajo sobre la hipótesis del continuo. Paul Cohen falleció en California en marzo de 2007. 
Harvard y Nueva York. En Viena asistió a unos famosos seminarios organizados por Kart Menger (profesor de la Universidad de Viena) y de los que también participó Gödel. Durante la Segunda Guerra Mundial emigró a Princeton y ya en Estados Unidos, en 1944 publicó conjuntamente con John von Neumann el libro Theory of Games and Economic Behavior (Teoría de Juegos y comportamiento económico) que supuso el inicio de la moderna teoría de juegos. Morgenstein falleció en 1977 en Princeton, Nueva Jersey, Estados Unidos.
