Gauss
Antonio Rufián Lizana
Si se hiciera un muestreo entre los profesionales para que confeccionaran una lista de los diez matemáticos más importantes e influyentes de la historia, estamos seguros de que casi todos incluirían a Carl Friedrich Gauss. Esta conjetura está fundamentada en dos motivos. El primero es la enorme importancia de sus aportaciones matemáticas. Para evitar que se nos acuse de constatar lo obvio, conviene señalar que la valoración de la importancia de los resultados científicos es un ejercicio siempre subjetivo aún en el caso de una ciencia tan objetiva como las matemáticas. Y, sin embargo, las matemáticas creadas por Gauss resisten cualquier tipo de valoración, y su influencia es unánimemente reconocida. El segundo motivo es la amplitud de los temas a los que Gauss dedicó con enorme éxito su curiosidad. En la actualidad las matemáticas son tan vastas que los que se dedican a ellas conocen en profundidad solo la parte cercana a su campo de investigación. La genialidad de Gauss, sin embargo, le permitió avanzar en casi todas las ramas de las matemáticas. En consecuencia, tanto los especialistas en análisis matemático como los de análisis numérico, tanto los geómetras como los algebristas, los estadísticos o incluso los físico-matemáticos ven en Gauss a “uno de los nuestros”.Con excesiva frecuencia se usan adjetivos como niño prodigio o genio de las matemáticas, pero pocos matemáticos tendrían algo que objetar al hecho de que tales calificativos se atribuyen a Gauss. El simple número de ideas nuevas y descubrimientos que produjo el matemático alemán, incluso antes de cumplir los veinticinco años, parece inexplicable.
Hijo de padres pobres, Gauss tuvo la suerte de poder sacar provecho de su talento matemático. Había nacido en una época en la que las matemáticas eran todavía una actividad privilegiada, financiada por cortesanos y mecenas, o practicada a ratos libres por aficionados como Pierre de Fermat. El protector de Gauss fue Karl Wilhelm Ferdinand, duque de Brunswick, que le permitió dedicarse a su vocación sin el apremio de tener que ganarse el sustento con alguna otra ocupación más rentable económicamente. En un acto de gratitud, Gauss le dedicó su primer libro, las Disquisitiones Arithmeticae (1801), con lo que el duque vio asociado así su nombre a uno de los volúmenes capitales de la historia de las matemáticas.
Gauss vivió en un período de extraordinario desarrollo político y social. Su adolescencia coincidió con la Revolución francesa, pues tenía doce años cuando se tomó la Bastilla. Vivió el apogeo de Napoleón en su madurez y su derrota en Waterloo con treinta y ocho años. Alcanzó a ver la Revolución liberal de Alemania de 1848 con más de sesenta años. Durante ese período tuvo lugar la primera Revolución industrial, que tan grandes efectos tuvo en la vida política y social europea. El desarrollo de la industria permitió llevar a cabo experimentos impensables hasta ese momento, con telescopios y otros instrumentos ópticos mejores y más eficaces. La vida de Gauss estuvo influida por todos estos sucesos.
Por fortuna, su colección de trabajos ha permanecido bastante completa; mucha de la correspondencia relevante de Gauss ha sido publicada. Sin embargo, Gauss era muy celoso de sus descubrimientos matemáticos y usaba un lenguaje cifrado para protegerlos. En opinión de algunos, la falta de difusión de sus trabajos ha provocado un retraso de medio siglo en el desarrollo de las matemáticas: si Gauss se hubiera preocupado de divulgar la mitad de lo que descubrió y no hubiera sido tan críptico en sus explicaciones, quizá las matemáticas habrían avanzado más rápidamente. Su diario matemático no pasó de manos de su familia al conocimiento público hasta el año 1898. Su estudio confirmó que Gauss había probado, sin publicarlos, muchos resultados que otros matemáticos intentaron demostrar hasta bien entrado el siglo XIX. Sostuvo siempre que las matemáticas eran como una obra arquitectónica: un arquitecto no dejaría jamás los andamios para que la gente viera cómo se había construido el edificio. Desde luego, esta filosofía no ayudó a sus colegas contemporáneos a la comprensión de su obra.
Su primer gran resultado, cuando aún no había cumplido los diecinueve años, fue el descubrimiento del método para construir con regla y compás el polígono de 17 lados: el heptadecágono. Según el propio Gauss, que se sintió muy orgulloso de este descubrimiento durante toda su vida: “La casualidad no tuvo nada que ver en ello, ya que fue el fruto de esforzadas meditaciones. Antes de levantarme de la cama tuve la suerte de ver con la mayor claridad toda esta correlación, de forma que en el mismo sitio e inmediatamente apliqué al heptadecágono la correspondiente confirmación numérica”. Gauss no sólo resolvió este problema, sino que encontró el método general para decidir si un polígono era o no susceptible de ser construido con regla y compás. En su testamento, Gauss pidió que se grabase en la lápida de su tumba un polígono de 17 lados construido de acuerdo a su método. Sin embargo, no lo consiguió.
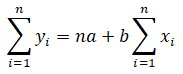
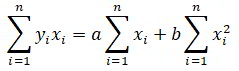
Pero, sin duda, el resultado que le dio la fama entre sus contemporáneos fue el cálculo de la órbita de Ceres, un planeta enano descubierto en 1801 por Giuseppe Piazzi desde un observatorio de Palermo. Este reconocimiento popular le llevó a adentrarse a la astronomía, y llegó a ser el director del observatorio de Gotinga. Es más que posible que sus observaciones astronómicas lo distrajeran de su trabajo matemático puro, en el que era más difícil encontrar fama. Para las matemáticas, como ciencia, la determinación de la órbita de Ceres puede ser un hecho anecdótico, pero el método usado para su cálculo fue fundamental para su desarrollo: el método de mínimos cuadrados. En este caso es más importante el procedimiento usado para llegar al resultado que el resultado mismo. El método de mínimos cuadrados se reveló como una herramienta de gran utilidad para abordar numerosos problemas en los que se trataba de establecer la función que mejor se adaptara o aproximara a un conjunto de datos. Las aplicaciones más importantes se encuentran en estadística, donde alcanzan la cumbre en la estimación de parámetros poblacionales a través de una muestra. Como anécdota curiosa queda el hecho de que el nombre de Gauss está comúnmente asociado en estadística a la tan conocida campana de Gauss, cuando en realidad el descubrimiento de dicha distribución se debe a Abraham de Moivre.
Gauss abordó desde muy temprano el llamado teorema fundamental del álgebra, que básicamente establece que un polinomio tiene tantas raíces, o valores donde el polinomio vale cero, como indica su grado. Este problema fue el tema de su tesis de licenciatura. A lo largo de su vida presentó varias demostraciones de este resultado cada vez más afinadas y comprensibles. Al igual que en su descubrimiento de la órbita de Ceres, Gauss, en su búsqueda de una demostración adecuada, encontró construcciones matemáticas novedosas y de gran utilidad, como fueron los números complejos. Gauss demostró en 1799 que valiéndose de un número muy especial, la raíz de -1 (o número i), los matemáticos podían resolver cualquier ecuación polinómica que se les pusiera por delante.
El análisis numérico y, especialmente, el estudio de los números primos es quizá la parte de la obra de Gauss más conocida y a la que dedicó más tiempo. Cuando Gauss era joven recibió como regalo una tabla de números primos que contenía varios millares. Para Gauss, aquellos números aparecían desordenada-mente. Cuando escrutaba sus tablas numéricas, Gauss no conseguía determinar ninguna regla que le indicara cuánto tenía que saltar para encontrar el siguiente número primo. Aparentemente, no existía dicha regla. Gauss no podía aceptar semejante idea, la motivación primaria de la vida de un matemático es determinar estructuras ordenadas, descubrir y explicar las reglas que están en los cimientos de la naturaleza y prever qué sucederá a continuación. Este pensamiento, que llegó a ser obsesivo, le llevó a formular algunas de las más grandes conjeturas de la distribución de los números primos y su creación por procedimientos matemáticos. El problema de la determinación de números primos es de gran actualidad hoy día, ya que muchos de los procesos de encriptación de información están basados en las propiedades de dichos números.
Entre 1818 y 1832 Gauss dirigió un vasto proyecto para topografiar el Reino de Hannover. Se trataba de un enorme encargo con implicaciones políticas y militares, además de las científicas.
Gauss no fue solo un director nominal, sino que se implicó en los trabajos de campo, lo que le distrajo un tiempo muy importante que podía haber dedicado a investigaciones matemáticas de tipo más teórico. Por otro lado, este trabajo permitió a Gauss el planteamiento de nuevos tipos de geometría, no basada en los axiomas de Euclides, dando forma a ideas que llevaba madurando en su mente desde sus años de estudiante. Los trabajos de medición de la Tierra, encuadrados dentro de la geodesia, también le dieron la oportunidad de hacer grandes contribuciones a la geometría diferencial. En los últimos años de su vida se interesó por problemas relacionados con la física aplicada gracias a su relación con Weber, especialmente de óptica, mecánica y electricidad.
La influencia de Gauss en los matemáticos posteriores es enorme: baste señalar que fue profesor de Bernhard Riemann y Julius Wilhelm Richard Dedekind, dos de los más grandes matemáticos del siglo XIX. Sus aportaciones se produjeron, como ya se ha apuntado anteriormente, en todos los campos de las matemáticas, tanto puras como aplicadas. Además, también merece un puesto de honor en la física, y sus contribuciones en magnetismo, óptica y geodesia se encuentran entre las más destacadas de su época.
Así pues, no es exagerado el título póstumo que recibió de «Príncipe de los matemáticos» y que el rey Jorge V de Hannover hizo acuñar en una moneda conmemorativa. Según el historiador matemático Eric Temple Bell, en opinión compartida por la mayoría de sus colegas, Gauss ocupa, junto a Arquímedes y Newton, el pódium de los grandes genios de las matemáticas.
| Cronología | |
| 1777 | Nace Carl Friedrich Gauss en Brunswick, Alemania, único hijo del matrimonio formado por Gerhard Dietrich Gauss y Dorothea Benze. |
| 1784 | Entra en la escuela elemental de Brunswick. Tiene por profesores a J. G. Büttner y Martin Bartels, que reconocen su capacidad y lo estimulan. |
| 1701 | Es presentado al duque de Brunswick, que será su protector. |
| 1795 | Gauss deja Brunswick y se traslada a la Universidad de Gotinga, donde comienza sus estudios universitarios. |
| 1796 | Descubre el método de construcción del polígono de 17 caras con regla y compás Este éxito hace que se decida por las matemáticas como su dedicación principal. |
| 1799 | Presenta su tesis de licenciatura en la Universidad de Helmstedt. En dicho trabajo proporciona la primera demostración del teorema fundamental del álgebra. |
| 1801 | Publica Disquisitiones arithmeticae, su mayor aportación a la teoría de números. En la obra recoge sus investigaciones de años anteriores, entre ellas las relativas a la aritmética modular, los números complejos y la ley de reciprocidad cuadrática. Determina la órbita de Ceres por el método de mínimos cuadrados. |
| 1805 | Se casa con Johanna Oshoff con la que tendrá tres hijos Joseph, Minna y Louis, que moriría con pocos meses. |
| 1809 | Fallece la primera esposa de Gauss. Publica su obra más importante de contenido astronómico: Theoria motus corporun coelestium in sectionibus conicis solem ambientium |
| 1810 | Gauss contrae matrimonio por segunda vez, con Minna Waldeck, con la que tendrá tres hijos. Eugen, Wilhelm y Therese. Su matrimonio dura hasta 1831, cuando Gauss vuelve a enviudar. |
| 1818 | El gobierno de Hannover encarga a Gauss la triangulación y medición del reino, lo que le llevó varios años de dedicación a la geodesia |
| 1827 | Publica Disquisitiones generales circa superficies curvas, su obra fundamental en geometría diferencial, la cual incluye el Theorema egregium. |
| 1831 | Weber se instala en Gotinga, iniciando una fructífera relación con Gauss en física. |
| 1849 | Gauss presenta una nueva demostración del teorema fundamente del álgebra con motivo del 50º aniversario de su tesis de licenciatura. |
| 1855 | Muere la madrugada del 23 de febrero mientras dormía plácidamente, a la edad de setenta y siete años. |
Capítulo 1
Primeros destellos de un prodigio de los números
Gauss destacó, desde muy pequeño por poseer unas cualidades que admiten pocas comparaciones en la historia y que le granjearon la atención de varias personas que le ayudaron a potenciarlas. Ya desde los inicios de su carrera científica se interesó por casi todas las ramas de las matemáticas, a las que aportó no solo grandes descubrimientos sino también una concepción de la disciplina basada en el rigor en las demostraciones.Solo se conocen unos pocos hechos interesantes de la infancia y juventud de Gauss. La mayor fuente específica de información de ese período es el propio Gauss, a través de las historias de su infancia que quiso contar, ya mayor, a sus estudiantes y amigos.
Johann Friedrich Carl Gauss nació en Brunswick, la principal ciudad del ducado de Brunswick-Wolfenbüttel, el 30 de abril de 1777. Fue el único hijo del matrimonio entre Gerhard Dietrich Gauss, nacido en 1744, y Dorothea Benze. Su padre ya tenía un hijo de un matrimonio anterior. Gauss nunca utilizó su primer nombre de Johann y alteró el orden de los otros dos, de manera que siempre firmó sus trabajos como Carl Friedrich Gauss, que es como fue conocido por la posteridad.
Su nacimiento tuvo lugar en una pequeña calle llamada Werdengraben. Más tarde, la familia se mudó al número 30 de Wilhelmstrasse, cerca del canal de la ciudad, lo que dio lugar a una de las historias más conocidas de su infancia: cuando tenía tres o cuatro años de edad cayó al agua del canal, aunque por fortuna fue rescatado de inmediato por un labrador que pasaba por allí casualmente. La ciencia de las matemáticas tiene una deuda impagable con ese anónimo campesino.
La familia paterna del padre, originalmente pequeños granjeros, se mudó a Brunswick hacia 1740. Ello significó para la familia Gauss unas expectativas de prosperidad y la promesa de un futuro mejor en un período en el que el viejo feudalismo alemán estaba siendo sustituido por un nuevo estilo de gobiernos absolutistas. En cualquier caso, no había forma fácil de prosperan los gremios, que desde la Edad Media controlaban el acceso a los oficios, dominaban gran parte de la vida de la ciudad y no permitían su expansión económica. El padre de Gauss, en su condición de recién llegado a la ciudad, tuvo que ganarse la vida con diversos trabajos, tales como jardinero, carnicero ambulante o contable de una funeraria. El objetivo familiar era adquirir una casa propia dentro de la ciudad que les diese acceso a los derechos de ciudadanía. Lo curioso es que poco después de conseguirlo, el mundo donde vivía la familia Gauss se vino abajo con la invasión de los estados alemanes, entre los que se incluyó Brunswick, por las tropas de Napoleón.
Se sabe que el padre de Gauss era un hombre brusco, escrupulosamente honrado, cuya rudeza para con su hijo algunas veces lindaba en la brutalidad. Su honradez y tenacidad le permitieron cierto grado de comodidades, pero su vida jamás fue fácil. No ayudó a Gauss a hacer una carrera científica, y no entendió la necesidad de que su hijo adquiriera una educación adecuada a su capacidad. Si la opinión del padre hubiera prevalecido, el inteligente muchacho habría seguido una de las profesiones familiares, y fue tan solo una serie de felices incidentes la que salvó a Gauss de ser jardinero o albañil. Siendo niño era respetuoso y obediente, y aunque jamás criticó a su padre en su vida posterior, se comprende que nunca sintiera por él verdadero afecto. Gerhard murió en 1806.
La familia de la madre procedía de Velpke, una pequeña ciudad de la Baja Sajorna cercana a Brunswick. Dorothea Benze era una mujer despierta, de espíritu alegre y fuerte carácter. Vivió hasta la muy avanzada edad de noventa y siete años, cuidada por su hijo, con el que convivió los veinte últimos años de su vida en Gotinga. Siempre alentó a Gauss en sus estudios y se mostró muy orgullosa de sus logros científicos. Se cuenta que cuando Wolfgang Bolyai (1775-1866), uno de los mejores amigos de Gauss, le aseguró que su hijo pasaría a la historia como uno de los más grandes de entre todos los matemáticos, lloró de emoción.
Ninguno de los padres de Gauss tenía una gran educación, el padre, como se deduce de sus ocupaciones, al menos sabía leer y escribir y alguna aritmética elemental. Gauss, ya anciano, acostumbraba alardear de haber aprendido a contar antes que a escribir y de haber aprendido a leer por sí mismo, deletreando las letras de parientes y amigos de la familia. Él mismo contaba la anécdota que lo coloca entre los más precoces matemáticos cuando tenía tres años, una mañana de un sábado de verano, mientras su padre procedía a efectuar las cuentas para abonar los salarios de los operarios que tenía a su cargo, el niño le sorprendió afirmando que la suma estaba mal hecha y dando el resultado correcto, El repaso posterior de Gerhard dio la razón al niño. Nadie le había enseñado los números y menos a sumar. Posiblemente su madre sabía leer con dificultad, pero no escribir. Gauss nunca se sintió cercano a su padre, y durante toda su vida afirmó que sus capacidades las había heredado de su madre.
«No es el conocimiento, sino el acto de aprendizaje, y no la posesión, sino el acto de llegar allí, lo que concede el mayor disfrute.»La información más fiable disponible sobre el matemático alemán empieza en el año 1784, cuando el joven Carl entró en la escuela elemental. No todos los niños de su edad iban a la escuela en aquella época, pero para aquellos que crecían en las ciudades generalmente había mayores oportunidades, y en ese sentido Gauss tuvo mucha suerte. También la tuvo en otro sentido muy diferente; nos referimos a encontrar a un profesor que lo encaminase en sus primeros pasos académicos, Büttner, que era inusualmente competente. Büttner tuvo el mérito de reconocer la enorme capacidad del joven Gauss y distinguirlo con un interés personal de entre sus más de cincuenta condiscípulos. En 1786 solicitó y obtuvo de Hamburgo textos aritméticos especiales para tan excepcional estudiante, que pagó él mismo de su bolsillo. El asistente de Büttner durante aquellos años era Martin Bartels (1769-1836), que posteriormente sería profesor de matemáticas en la Universidad de Kazán y era solo ocho años mayor que Carl Friedrich.
Carl Frederick Gauss.
Él también reconoció rápidamente el genio de Gauss y le dedicó enorme atención. Ambos estudiaban juntos, se ayudaban para descifrar y entender los manuales de los que disponían sobre álgebra y análisis elemental. Durante esos años se empezaron a gestar algunas de las ideas y formas de ver las matemáticas que caracterizaron posteriormente a Gauss, En los libros de Bartels, Gauss se familiarizó con el binomio de Newton para exponentes no enteros y con las series infinitas, e inició los primeros pasos por el análisis matemático. Es curioso reseñar que, en la Universidad de Kazán, Bartels fue profesor de Nikolai Lobachevski (1792-1856), que será uno de los matemáticos que desarrollarían la geometría no euclídea, área cuyo iniciador fue Gauss.
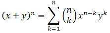
Mejorando a NewtonEn colaboración con su profesor J. C. Martin Bartels, el joven Gauss consiguió una nueva demostración del binomio de Newton con coeficientes naturales, que es una fórmula que permite desarrollar la potencia de un binomio:donde
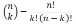
es el número combinatorio n sobre k y se llama factorial de un número, y
es el producto del número natural por todos aquellos que son menores que él.
Precocidad aritmética
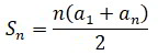
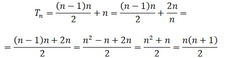
Hay una anécdota que ilustra la precocidad y facilidad de Gauss para los cálculos aritméticos. Cuando tenía nueve años, su profesor Büttner propuso a sus alumnos que sumaran los cien primeros números naturales, con la seguridad de que tardarían en resolverlo el tiempo suficiente para que él pudiera tomarse un merecido descanso. La costumbre dictaba que a medida que los alumnos terminaban el problema se levantaban y ponían su pizarra con la solución delante del maestro. Mientras los demás alumnos apenas se habían puesto a la tarea, en pocos segundos Gauss había dejado ya su pizarra sobre el escritorio del maestro, a la vez que exclamaba Ligget se! («¡Ahí está!»). Büttner pensó que Gauss estaba siendo insolente, pero cuando miró la pizarra vio que la respuesta, 5050, estaba allí, sin un solo paso de cálculo. El profesor pensó que había hecho trampa de alguna manera hasta que el jovencito Carl le explicó su razonamiento. Gauss no había abordado el problema directamente, acumulando sumas cada vez mayores y, por tanto, susceptibles de error, sino que se había aproximado a él «lateralmente». Se había dado cuenta de que la primera cifra (uno) y la última (cien) sumadas daban la misma cantidad (ciento uno) que la segunda y la penúltima, y el razonamiento se podía proseguir sin problema, o sea, 1 + 100 = 2 + 99 = 3 + 98 +... + 50 + 51 = 101, con lo que tenía 50 parejas de números que sumaban 101 y cuyo producto es 5050.
Gauss había aplicado, por supuesto sin saberlo, la fórmula de la suma de los términos de una progresión aritmética. En matemáticas, una progresión aritmética es una serie de números tales que la diferencia de dos términos sucesivos cualesquiera de la secuencia es una constante, cantidad llamadadiferencia de la progresión, diferencia simplemente o razón. En el caso del problema propuesto a Gauss, La diferencia era 1. La expresión de la suma de una progresión aritmética es bastante sencilla: Si los términos de nuestra sucesión son a1, a2, a3, .... la suma Sn es:


La demostración de la fórmula se puede hacer por varios procedimientos, algunos tan intuitivos como el uso de parejas que sumen igual, tal y como es posible que hiciera Gauss, pero para una demostración más formal se suele aplicar el llamado principio de inducción. Este método consiste en probar que un número natural n posee unas determinadas propiedades, y a continuación demostrar que si un natural cualquiera las posee, el siguiente lo hará también.
La fuerza de la demostración matemática es que podemos afirmar que esa fórmula es cierta para la suma de cualquier serie de números naturales; no hay necesidad de más comprobaciones. Sin embargo, si pusiésemos los más rápidos ordenadores actuales a realizar esas sumas y comprobáramos que siempre se verificaba la fórmula, ello no supondría una verdad universal. Siempre sería posible pensar que nos quedaban números con los que comprobar lo que afirmamos y en alguno podría fallar. Pues bien, esa fue una de las grandes aportaciones de Gauss a las matemáticas: la necesidad de la prueba rigurosa. Antes de sus trabajos, se hacía mucha matemática especulativa, con afirmaciones basadas en ejemplos concretos, con lagunas conceptuales y pruebas incompletas. Sin embargo, Gauss, que no publicaba sus trabajos hasta tener para sí mismo la demostración más rigurosa posible, en sus escritos no solía incluir las demostraciones completas de sus resultados, dificultando su comprensión por sus contemporáneos. Su idea de los trabajos matemáticos era presentarlos perfectos, y pensaba que las demostraciones detalladas quitaban brillantez a la obra. Para él era como mostrar un edificio en que todavía estuviesen los andamios que habían permitido su construcción.
El principio de inducciónEl principio de inducción aplicado a la demostración de la fórmula de la suma de los n números naturales tiene las tres premisas básicas siguientes:
a. Comprobamos la validez de nuestra hipótesis para el caso n = 1.
b. Suponemos que es cierto para n - 1.
c. Basándonos en a. y b. lo probamos para n.
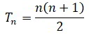
Si conseguimos probar c. usando a. y b. entonces la afirmación es cierta para todos los números naturales. La idea que subyace en b. y e. es que si es cierto para un número, también lo es para el siguiente. Como lo probamos para 1 en a, el resto es inmediato. Apliquemos el principio de inducción a la fórmula de la suma de los n primeros números naturales:a.Para n = 1 tenemos:
T1 = 1(1+1)/2 = 1 Cierto.
Suponemos que para n - 1 la suma vale:Tn-1 = (n - 1)n/2
c) Así, la suma Tn = Tn-1 + n, con lo que aplicando b) tenemos que:que completa la demostración.
Los números triangulares
La anécdota de la suma de los cien primeros números naturales y la fórmula general que hemos probado sirve también para introducir un tema al que Gauss dedicó mucho tiempo en su juventud: los números triangulares. De hecho, el matemático británico Marcus du Sautoy en su libro La música de los números primos (2003), incluye una novedosa explicación del modo en que Gauss llegó al resultado de 5050, usando números triangulares.
Un número triangular es aquel cuyas unidades pueden recomponerse en la forma de un triángulo equilátero (por convención, el primer número triangular es el 1). El concepto de número triangular fue introducido por Pitágoras, que estudió algunas de sus propiedades. Los pitagóricos estaban muy interesados en las cualidades estéticas de los números. En la figura se muestran los seis primeros números triangulares.

Un número triangular es aquel que puede expresarse en forma de triángulo. Aquí aparecen representados los seis primeros. Gauss descubrió que cualquier número entero positivo puede representarse como la suma de, como máximo, tres números triangulares.



Este resultado no sería publicado por Gauss hasta 1801 en su libro Disquisitiones arithmeticae. Gauss no publicaba sus resultados inmediatamente después de obtenerlos, sino que esperaba algunos años hasta tener los contenidos matemáticos suficientes para editar un libro. Esta forma de actuar fue fuente de diversas polémicas acerca de la primacía de Gauss en algunos descubrimientos matemáticos. De hecho, hubo resultados que Gauss encontró en primer lugar, pero que fueron publicados antes por otros matemáticos. No quiere decir que fuesen copiados, sino que simplemente habían llegado a resultados parecidos o iguales de forma independiente y sin conocer los avances de Gauss. Muchas de estas polémicas ni siquiera pudieron resolverse hasta muchos años después, cuando se pudo estudiar toda la correspondencia y los apuntes científicos de Gauss.
El teorema de los números triangulares recuerda a la famosa conjetura de Goldbach, enunciada por Christian Goldbach (1690-1764), que afirma que todo número natural par mayor que 2 se puede expresar como suma de dos números primos, lo que significa que todo número impar mayor que 5 se puede poner como suma de tres primos o menos, pues si no es directamente primo, basta con sumar el primo 3 a un número par tres unidades menor. Sin embargo, Gauss consiguió demostrar su resultado, mientras que la conjetura de Goldbach sigue sin haber sido probada de forma rigurosa. Este ejemplo explica el motivo por el cual las matemáticas dan tanto valor a la demostración de un aserto. La conjetura de Goldbach ha sido verificada para todos los números menores que 10 14, que es un número inimaginable por su magnitud, pero no está aceptada como resultado matemático y no ha alcanzado la categoría de teorema, quedándose en simple conjetura.
Formación académica de Gauss
Con once años de edad, en 1788, Gauss consiguió, con la ayuda de su mentor Büttner, que lo admitieran en el Gymnasium Catharineum, la escuela secundaria, a pesar de las reticencias de su padre a que continuase sus estudios. Fueron los esfuerzos de su madre y de su tío paterno los que lograron que el padre renunciara a la ayuda de su hijo en su trabajo y lograra una educación superior. Las lecciones en la nueva escuela eran ordenadas y regulares, y el número de alumnos en las clases, razonable. Allí estudió latín y griego, requisito indispensable para alcanzar una enseñanza superior y una carrera académica. El latín era en aquel tiempo la lengua franca de la ciencia Al cabo de dos años accedió al grado superior de la enseñanza secundaria.
Su fama se empezó entonces a extender por los círculos cultivados de Brunswick-Wolfenbüttel hasta que llegó a oídos del duque Karl Wilhelm Ferdinand (1735-1806), a quien fue presentado en 1791. El título de duque de Brunswick fue mantenido, desde 1235 en adelante, por varios miembros de la Casa de Welf, que gobernaron diversos pequeños territorios en el noroeste de Alemania. El elemento unificador de estos territorios era que estaban gobernados por un descendiente del duque, peso solo por la línea masculina, porque existía una ley sálica que impedía que las mujeres accedieran al poder. Impresionado por el joven Gauss, el duque le asignó un estipendio anual para que pudiera proseguir sus estudios. Recompensas como esas no eran habituales en ese tiempo, especialmente en un estado pequeño como Brunswick, lo que permitió a Gauss superar las barreras sociales a las que se encontraba sujeto por su humilde nacimiento. De hecho, Gauss no habría progresado nunca como lo hizo sin la ayuda de personas interesadas en promover su enorme talento. Una de las ayudas más importantes la recibió de E. A. W. Zimmerman (1743-1815), profesor del Collegium Carolinum y consejero provincial del duque, al que instó a ayudar al joven y talentoso Gauss. La benéfica influencia del duque se extendió hasta 1806, año en el que falleció a consecuencia de las heridas sufridas en la batalla de Jena, donde las tropas francesas derrotaron a Prusia y sus aliados, entre los que se encontraba el estado de Brunswick. Un año después de la muerte del duque y de que Gauss perdiera su ayuda económica, logró ser nombrado director del observatorio de Gotinga, con lo que pudo seguir manteniéndose económicamente. Así pues, con el impulso de Zimmerman, Gauss pasó a ser estudiante del Collegium Carolinum, donde fue alumno desde 1792 hasta el año 1795. La amistad entre Gauss y Zimmerman se mantuvo hasta la muerte de este último en julio de 1815.
Academias como el Collegium Carolinum no eran raras en Alemania, país que en aquel momento estaba formado por estados gobernados de forma independiente. Eran un paso intermedio entre los llamados Gymnasium, en los que los niños recibían una educación elemental, y la universidad. Futuros oficiales del ejército, arquitectos, ingenieros, mecánicos y comerciantes encontraban en las academias la oportunidad de conseguir una mejor educación general que les permitiera desarrollar sus trabajos en el futuro. Por otro lado, empezaban también a tener una cierta especialización dentro de las áreas de su interés. En estas academias se enseñaba lenguas antiguas y modernas, moral y dogmas cristianos, filosofía, historia y literatura, estadística, leyes, matemáticas, física e historia natural. También se incluían clases de dibujo y se potenciaban las cualidades artísticas de los estudiantes. Había también un nuevo espíritu de enseñanza; se trataba de formar personas y no solo de impartir conocimientos. En general, los alumnos tenían mucha libertad para estudiar con más profundidad aquellos temas por los que se sentían más atraídos.

Retrato de Gauss pintado hacia 1803, cuando el gran genio alemán contaba veintiséis años de edad. Esta fue la etapa más prolífica del joven matemático. Dos años antes vio publicada su primera gran obra, Disquisitiones arithmeticae.
La librería del Collegium Carolinum era inusualmente buena y contenía la mayoría de la literatura clásica matemática. Gauss permaneció en el collegium hasta 1795. Allí estudió lenguas clásicas, literatura, filosofía y, por supuesto, matemáticas superiores, siendo un alumno brillante en todas ellas. Entre sus lecturas de matemáticas de esa época están los Principia Mathematica de Newton (1642-1727), el Ars Conjectandi de Jakob Bernoulli (1654-1705), los trabajos de Lagrange (1736-1813) y algunas de las memorias de Euler. Se sintió especialmente atraído por les trabajos de Newton, al que consideraba un genio de las matemáticas y un ejemplo a seguir.
En el Collegium Carolinum, Gauss iniciará alguna de sus futuras investigadores matemáticas, según sus propias confesiones posteriores, como la distribución de los números primos o los fundamentos de la geometría. Los progresos de Gauss debieron de satisfacer al duque, que aumentó año a año las cantidades que debían serle pagadas.
En el Otoño de 1795, a la edad de dieciocho años, Gauss dejó su Brunswick natal y se trasladó a la Universidad Georgia Augusta de Gotinga, una pequeña ciudad situada a unos cien kilómetros al sur, dentro del Estado de Hannover.
Gauss escogió esta universidad en contra de los deseos del duque de Brunswick, que quería que su protegido continuase sus estudios en la universidad local de Helmstedt, aunque de todas formas mantuvo su apoyo financiero. La Universidad de Gotinga se llamó Georgia Augusta en honor del rey Jorge II de Inglaterra, que también era príncipe de Hannover. Fue concebida según el modelo de Oxford y Cambridge, lo que la dotó de mayor independencia de la influencia eclesiástica y aumentó la calidad de la enseñanza. Gauss recibió mucha libertad para la organización de sus obligaciones académicas y tenía manga ancha para escoger sus clases y tutores, lo que fue muy beneficioso para su formación.
GotingaGöttingen, el nombre alemán de Gotinga, es mencionado por primera vez como Gutingi en un documento del emperador Oten I del Sacro Imperio Romano. Para comienzos del siglo III, Gotinga ya poseía derechos de ciudad. A partir de 1584, perteneció al principado de Brunswick-Wolfenbüttel y en 1692, finalmente, al principado electoral de Hannover, siendo regida por un duque. A raíz de la muerte sin descendencia de la reina Ana de Gran Bretaña en 1714, el elector de Hannover se convirtió en rey de Gran Bretaña bajo el nombre de Jorge I. Desde ese momento, y hasta 1837, los intereses de Hannover y de Gran Bretaña caminaron conjuntamente bajo una unión dinástica, con un periodo de excepción que ocupó las guerras napoleónicas. En 1806 estuvo brevemente bajo control prusiano, y en 1807 pasó al reino napoleónico de Westfalia. Estas disposiciones territoriales se anularon después de le derrota de Napoleón, y en 1813 volvió bajo el control de Hannover, que sería elevado a reino en 1814. Fuera de este periodo de guerras, la ciudad donde vivió Gauss siempre fue tranquila, rodeada por las murallas medievales. Aunque la Teología había dominado los primeros años de la universidad, cuando Gauss fue nombrado profesor de astronomía y director del observatorio de la ciudad en 1807, ya era la ciencia la disciplina que más destacaba. Ni que decir tiene que el impulso de Gauss fue lo que hizo más famosa a esta universidad, atrayendo a estudiantes y científicos.
Auditorio de la universidad de Gotinga donde Gauss estudió y luego fue profesor. Grabado en madera a partir de un dibujo de Robert Geissler, 1865.
El profesor principal de matemáticas de la universidad era Gotthelf Abraham Kästner (1719-1800), que tenía por entonces setenta y seis años, pero como su dedicación a la investigación matemática había sido nula, Gauss no lo tuvo nunca como referente. En la universidad tuvo contactos sociales con numerosos profesores, entre los que destacan el físico Georg C. Lichtenberg (1742-1799), el astrónomo Karl P. Seyffer (1762-1322) y el lingüista Christian Gottlob Heyne (1729-1812). Sin embargo no hizo muchas amistades entre los estudiantes, si exceptuamos el caso de Wolfgang von Bolyai un noble de Transilvania, provincia que tenía una nutrida, minoría alemana. El resultado más importante de esta asociación es la correspondencia entre ambos, que se extiende durante más de cincuenta años, desde 1799, durante una temporada de ausencia de Gauss de Gotinga, hasta 1863, dos años antes de la muerte de Gauss.
Gauss llegó a afirmar que Bolyai fue el «espíritu más complicado que jamás conocí». Bolyai es más explícito al hablar de su amistad:
«Nos unía la pasión por las matemáticas y nuestra conciencia moral, y así paseábamos durante largas horas en silencio, cada uno ocupado en sus propios pensamientos ».
«Bolyai fue el único que supo interpretar mis criterios metafísicos sobre matemáticas.»Durante estos tres años en Gotinga, Gauss estudió enteramente a su manera. A finales de 1798 abandonó la universidad por razones que no están claras, pero ya había desarrollado las más importantes ideas matemáticas que publicaría en los siguientes veinticinco años. Gauss dejó Gotinga sin haber conseguido un diploma. A petición del duque, tal y como se recoge en la correspondencia con Bolyai, Gauss remitió su disertación doctoral a la Universidad de Helmstedt en 1799. El grado fue concedido in absentia, sin el usual examen oral.
Carl Friedrich Gauss sobre su amigo Wolfgang von Bolyai.
Farkas BolyaiTambién conocido en Alemania como Wolfgang von Bolyai (1775-1856) fue un matemático húngaro, reputado sobre todo por sus trabajos en geometría. Su obra principal, conocida como el Tentamen ( Tentamen Juventutem studiosam en elementa matheosos introducendi ), fue un intento de dar una base rigurosa y sistemática a la geometría, la aritmética, el álgebra y el análisis.En este trabajo expuso procedimientos iterativos para resolver ecuaciones. El problema de los procesos iterativos de resolución de problemas matemáticos es que no siempre puede garantizarse que el número de iteraciones sea finito; cuando un método puede asegurarlo se dice que es convergente. Los procedimientos que expuso Bolyai eran de este tipo. Otra aportación importante de su obra fue incluir una definición de igualdad entre dos figuras planas si las dos podían ser divididas en un número finito de partes equivalentes, dando lugar al teorema de Bolyai-Gerwien, Fue padre del también matemático Janos Bolyai, al que animó en sus trabajos de geometría no euclídea. Gauss reconoció que muchas de sus ideas sobre geometría las había discutido y mejorado con Wolfgang Bolyai.
Construcción con regla y compás del polígono regular de 17 lados
Desde su llegada a Gotinga, el joven Gauss siguió desarrollando de forma autónoma sus investigaciones sobre números que había iniciado en el Collegium. Sin duda más fruto de estas investigaciones que de las enseñanzas de Kästner, cuando Gauss estaba en su casa de Brunswick se produjo un descubrimiento que será clave, no solo en la carrera de Gauss, sino en el futuro de las matemáticas; el método de construcción con regla y compás del polígono regular de 17 lados.
El diario científico de Gauss y su interpretaciónLa construcción del heptadecágono en 1796 hizo que Gauss comprendiera que podría sacar el mayor partido de su talento si se dedicaba a las matemáticas en lugar de a la filosofía. Cuando se dio cuenta de la importancia de su descubrimiento, que daba solución a uno de los problemas de construcción con regla y compás que más tiempo había ocupado a los matemáticos, lo escribió en un pequeño diario científico y esa fue su primera anotación. Se inició así uno de los documentos matemáticos más interesantes de la historia de esta ciencia. La última anotación la hizo el 9 de julio de 1814. Son solo 19 páginas y contienen 146 entradas muy breves con descubrimientos o resultados de cálculos El diario no tuvo circulación científica hasta 1898, cuarenta y tres años después de la muerte de Gauss, cuando la Sociedad Real de Gotinga le pidió al nieto del matemático que prestase el libro para su estudio crítico, lo que permitió desentrañar la mayoría de los resultados que Gauss había encontrado y dirimir polémicas sobre la autoría de descubrimientos matemáticos. Este método de trabajo le permitía escribir de manera rápida todas las ideas que pasaban por su mente en un periodo extraordinariamente prolífica. Gauss escribía el resultado final, pero no incluía la demostración matemática. Ni siquiera el enunciado era evidente. Su forma de escribir era muy personal, con abreviaturas de las que solo él conocía el significado: algunas incluso no incluyen notación matemática. La mayoría se han logrado descifrar porque son resultados que más tarde Gauss publicó de manera más formal. Por ejemplo, las referidas a los números triangulares, al método de mínimos cuadrados o a la geometría diferencial. En el caso del teorema referido a números triangulares aparece en el diario como:El resultado lo publicó Gauss más tarde en su libro Disquisitiones arithmeticae en 1801, enunciado como que todo número se puede escribir como suma de, como mucho, tres números triangulares. Pero hay algunas anotaciones tan crípticas que no se han llegado a descifrar. El 11 de octubre de 1796 Gauss escribió « Vicimus GEGAN» («Vencimos al dragón»). No se tiene idea de cuál era el dragón al que se refería. El 8 de abril de 1799 escribió «REV. GALEN» dentro de un rectángulo y ha sido imposible hacer coincidir esa anotación con ninguno de los resultados conocidos de Gauss.
La importancia para las matemáticas de este descubrimiento deriva del hecho de que hizo que Gauss decidiera dedicar su vida a ésta disciplina. Al día siguiente, el 30 de marzo, justo un mes antes de cumplir los diecinueve años, Gauss hizo su primera, anotación en su diario de notas, el diario científico más importante de la historia de las matemáticas, en el que ida apuntando, a veces de forma críptica, pues ya sabemos lo reservado que era Gauss con sus descubrimientos, los resultados matemáticos que le iban viniendo a la cabeza. Por ese diario desfilaría un alto porcentaje de los descubrimientos matemáticos del agio XIX, pero no fueron recogidos todos los descubrimientos de Gauss en el período prolífico del 1796 a 1814. Muchos de los resultados anotados bastarían para establecer la prioridad de Gauss en campos donde algunos de sus contemporáneos se niegan a creer que les precediera. La anotación del 19 de marzo de 1797 muestra que Gauss había ya descubierto la doble periodicidad de ciertas funciones elípticas. Las funciones elípticas, que son una generalización de funciones trigonométricas como seno y coseno, eran interesantes porque estaban relacionadas con el cálculo de la medida de un arco de una elipse (de ahí su nombre), lo que a su vez resulta fundamental para los cálculos astronómicos. Gauss tenía entonces veinte años. Además, otra anotación muestra que él matemático alemán reconoció la doble periodicidad en el caso general. Este descubrimiento, por sí solo, de haber sido publicado, podría haberle hecho famoso inmediatamente, pero jamás lo publicó.
Otros muchos hallazgos que quedaron enterrados durante décadas en ese diario habrían encumbrado a media docena de grandes matemáticos de haber sido publicados. Algunos jamás se hicieron públicos durante la vida de Gauss, y nunca pretendió la prioridad cuando otros autores se le anticiparon, pues era demasiado orgulloso para entrar en ese tipo de disputas. Hablando de sí mismo, Gauss dice que emprendía sus estudios científicos tan solo como una respuesta a los impulsos más profundos de la naturaleza, y para él era algo completamente secundario publicarlos para el conocimiento de los demás.
Otra de las ideas de Gauss, comunicada en una ocasión a un amigo, explica tanto la existencia de su diario como la lentitud en la publicación. Gauss afirmaba que cuando tenía veinte años era tal la cantidad de nuevas ideas que pasaban por su mente que difícilmente podía recogerlas todas de manera extensa, y solo disponía para, ello de brevísimo tiempo. El diario contiene tan solo los juicios breves finales de los resultados de complicadas investigaciones, algunas de las cuales le ocuparon durante sananas. Cuando siendo joven contemplaba la serie de pruebas sintéticas que habían encadenado las inspiraciones de Arquímedes y Newton, Gauss resolvió seguir su gran ejemplo, y tan solo dejar obras de arte perfectas y completas, a las que nada pudiera ser añadido y a las que nada pudiera ser restado sin desfigurar el conjunto, la obra por sí debe ser completa, sencilla y convincente, sin que pueda encontrarse signo alguno que indique el trabajo que ha costado lograrla. Una catedral, decía, no es una catedral hasta que ha desaparecido de la vista el último andamio. Trabajando con ese ideal, Gauss prefería pulir una obra maestra varias veces, en vez de publicar los amplios esquemas de muchas de ellas, como pudo fácilmente hacer. Su sello, un árbol con pocos frutos, lleva el lema Pauca sed matura («pocos, pero maduros»). Y ese fue el lema de su vida científica en lo relativo a publicaciones. Como veremos, el diario sirvió para dirimir algunas controversias, especialmente las tenidas con Legendre.
La construcción con regla y compás, que tenía una larga tradición en los trabajos matemáticos, consiste en el trazado de puntos, segmentos de recta y ángulos usando exclusivamente una regla y un compás idealizados. A la regla se le supone longitud infinita y carencia de marcas que permitan medir o trasladar distancias. Al compás se le supone que se cierra cada vez que se separa del papel, de manera que no puede utilizarse directamente para trasladar distancias, porque «olvida» la separación de sus puntas en cuanto termina de trazar la circunferencia. La geometría griega impuso esa norma para las construcciones y se ha mantenido invariable desde entonces. Esta restricción del compás parece muy incómoda para los usuarios de compases reales, pero no supone un grave inconveniente, porque el traslado de distancias se puede realizar de forma indirecta, aunque con un mayor número de pasos.

Construcción del hexágono con regla y compás idealizados, siguiendo la tradición de los antiguos griegos, Gauss se sintió atraído por la construcción de estas figuras y a los diecinueve años demostró que se puede dibujar un polígono regular de 17 lados siguiendo este método.
Así, usando las reglas antes citadas, la construcción del hexágono con regla y compás es la expresada en la figura.
Trazamos dos rectas paralelas verticales y otra perpendicular a las primeras. Con radio AB trazamos circunferencias concentro A y B. Tomamos uno de los puntos de corte, digamos O. Ese es el centro del hexágono. Trazamos ahora la circunferencia de centro O y radio OA. Obtenemos los puntos P y Q como cortes con las circunferencias anteriores y los puntos R y S como corte de las rectas verticales con la circunferencia que acabamos de trazar. Uniendo los vértices obtenemos el hexágono regular buscado.
Después de la definición de las reglas que hicieron los griegos, la pregunta inmediata que surge evidente: ¿es posible construir cualquier polígono regular, es decir, aquel que tiene todos sus lados y ángulos iguales, con regla y compás? La respuesta es que depende de en qué polígono estemos Interesados. A partir de la construcción del hexágono es trivial la del triángulo equilátero, sin más que unir los vértices alternos. Otro problema clásico en las construcciones de regla y compás es trazar la bisectriz de un ángulo. Combinando los dos procesos podemos afirmar que podemos construir, al menos en teoría, todos los polígonos regulares con un número de lados que pueda expresarse de la forma 3×2n, donde n es un número natural Así, para n = 2 tenemos el dodecágono o polígono de doce lados, y para n = 3, el de 24 lados, y así podemos seguir sin más que aumentar el tamaño de n. Esta solución parcial dista mucho de contestar a la pregunta de forma satisfactoria. Y veremos que es un caso particular del caso general demostrado por Gauss.
Los griegos encontraron soluciones para el caso del pentágono, pero el problema general no avanzó mucho, ya que no se encontraba el método para la construcción del polígono de siete lados (ni de otros de los de menos de veinte). De hecho, ni siquiera se sabía sí tales procedimientos existían. Y así estaba el tema cuando Gauss se interesó por la cuestión y logró construir el heptadecágono. Él mismo, muchos años más tarde, recordaría el momento, en una carta dirigida a Gerling, fechada el 6 de enero de 1819:
Fue el día 29 de marzo de 1796, durante unas vacaciones en Brunswick, y la casualidad no tuvo la menor participación en ello ya que fue fruto de esforzadas meditaciones; en la mañana del citado día, antes de levantarme de la cama, tuve la suerte de ver con la mayor claridad toda esta correlación, de forma que en el mismo sitio e inmediatamente apliqué al heptadecágono la correspondiente confirmación numérica.Gauss dio una gran importancia a este logro que, como dijimos, lo convenció de que en las matemáticas estaba su futuro. Además incluyó este resultado en la sección VII de las Disquisiciones arithmeticae, de la que hablaremos posteriormente. Puede ser que sea esa la razón por la que mandó que se grabara un heptadecágono en su tumba, aunque al final el albañil encargado del asunto, al ver la dificultad de la construcción y que apenas se distinguiría de un círculo, terminó grabando una estrella de diecisiete picos. En su tumba actual tampoco aparece el heptadecágono.
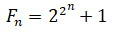
Gauss no solo encontró el método de construcción del heptadecágono, sino que trató de responder a la pregunta fundamental de si era posible la construcción de cualquier polígono regular con regla y compás. Dicho problema está muy relacionado con la división de la circunferencia, que preocupó a Gauss en numerosas ocasiones y sobre la que publicaría varios resultados. Gauss demostró, en 1801, que un polígono regular de n lados puede construirse con regla y compás utilizando los llamados números primos de Fermat (o también números de Fermat).
Pierre de FermatFermat (1601-1665) fue un jurista y matemático francés apodado por E. T. Bell «Príncipe de los aficionados a las matemáticas»».El sobrenombre se debe a que nunca se dedicó en exclusiva a dicha ciencia, que consideraba más bien un pasatiempo, y sin embargo Fermat fue, junto con René Descartes (1595- 1650), uno de los principales matemáticos de la primera mitad del siglo XVII. Un campo en el que realizó destacadas aportaciones fue el de la teoría de números, en la que empezó a interesarse tras consultar una edición de la Aritmética de Diofanto. En el margen de una página de dicha edición fue donde anotó el célebre teorema que fue conocido como al «último teorema de Fermat», nombre que no era correcto por tratarse solo de una conjetura. Dicha conjetura afirmaba que no existían números enteros x, y,z de forma que fuera posible la ecuaciónxn + yn = zn, con n ≥3. Obviamente para n = 2 si es posible, pues basta considerar 32 + 42 = 52. Gauss jamás se dedicó al último teorema de Fermat y tenía sus razones. En 1816, la Academia de París propuso, como premio para el período 1816-1818, la prueba (o la negación) de la conjetura de Fermat. El 7 de marzo de 1816 Ölbers, astrónomo amigo de Gauss, incitó al matemático alemán a presentarse: « Me parece justo, querido Gauss, que os ocupéis de ello »; pero Gauss resistió a la tentación. Al contestar, dos meses más tarde, expuso su opinión acerca del último teorema de Fermat. « Os estoy muy obligado por vuestras noticias respecto al premio en París pero confieso que el teorema de Fermat como proposición aislada tiene muy escaso interés para mí, pues fácilmente puedo encontrar una multitud de proposiciones semejantes que no es posible probar ni desechar. » El famoso enunciado no fue demostrado por completo hasta 1995 por el británico Andrew Wiles.
Un número de Fermat, llamado así en honor a Pierre de Fermat, el primero que los estudió, es un número de la forma siguiente:
![]()
Fermat había definido sus números primos con una intención muy distinta de la de resolver los problemas de construcción de polígonos con regla y compás (de hecho, se pudo comprobar posteriormente que no era cierto que todos los números de esa forma fuesen primos).
Gauss probó que para que fuese posible construir un polígono regular de n lados con regla y compás era necesario que los factores primos impares de n fuesen primos de Fermat distintos. Es decir, que un polígono regular es construible, si el número de lados del mismo es una potencia de 2, un primo de Fermat o producto de una cierta potencia de 2 (admitiendo 1 como potencia de 2) y varios primos de Fermat distintos. Esto es lo que en matemáticas se conoce como una condición suficiente. Así, si un polígono es de la forma dada por Gauss, es posible construirlo. La pregunta que surge de forma natural es si esa condición es también necesaria. O sea, verificar si solo es posible construir con regla y compás los polígonos de esa forma.
Pierre Wantzel, matemático francés, probó en 1837 que efectivamente la condición dada por Gauss también era necesaria, lo que convirtió el teorema en una caracterización de los polígonos regulares que se pueden construir con regla y compás. Lo que los matemáticos llaman un si, y solo si. Es decir, tenemos totalmente determinados los polígonos regulares que podemos construir con regla y compás. Así el triángulo (3 =220+ 1), el cuadrado (4 =221+ 1), el pentágono (5 =225+ 1), y el hexágono (6 =226+ 1) son construibles con regla y compás, pero el heptágono regular (7 ≠22n+ 1, para cualquier n ) no lo es. Continuando, el octógono regular (8 =228+ 1) sí es construible, pero él eneágono regular (9 =22n+ 1, para cualquier n) no lo es. Obviamente, el polígono de 17 lados construido por Gauss es un ejemplo de polígonos en que su número de lados coincide exactamente con un número de Fermat, pues F2= 223 + 1 = 17.
Eso no significa que no existan personas que dediquen su tiempo y energía, obviamente sin éxito, a tratar de encontrar métodos de construcción de heptágonos o a cualquiera de las construcciones que las matemáticas han demostrado que son imposibles con regla y compás, como son la cuadratura del círculo, la trisección de un ángulo o la duplicación del cubo. A la primera de ellas se dedicó con una pasión que le duraría toda su vida nada más y nada menos que Napoleón- Se trata de una batalla que, a diferencia de las mantenidas con los prusianos, Napoleón no pudo, ni hubiera podido nunca, ganar.
Capítulo 2
«Disquisitiones arithmeticae»
Gauss es el padre de la teoría de números, tal y como se la concibe hoy en día. Entre otros muchísimos logros, dio un empuje decisivo al uso de los números complejos, legándonos así la herramienta que permite abordar la resolución de cualquier tipo de ecuador polinómica. Su obra fundamental en este ámbito son las Disquisitiones arithmeticae, donde recogió sus numerosas investigaciones de juventudGauss llevó a las matemáticas del siglo XIX a metas insospechadas poco tiempo antes, y dedicó sus mayores esfuerzos a la aritmética superior o teoría de números. Su primera gran aportación al álgebra fue su tesis de licenciatura, que como ya hemos dicho presentó in absentia en 1799, en la Universidad de Helmstedt, siendo dispensado del examen oral. El director del trabajo fue Johann Friedrich Pfaff (1765-1826), uno de los grandes matemáticos de la época, que siempre lo trató con especial atención. Durante la época que Gauss pasó en Helmstedt, consultando su biblioteca y preparando su tesis, vivió como arrendatario de Pfaff. Gauss y Pfaff fueron excelentes amigos, aunque la familia Pfaff pocas veces vio a su huésped. Pfaff pensaba que era su deber cuidarse de que su joven amigo hiciera algún ejercicio y él y Gauss paseaban juntos durante la tarde hablando de matemáticas. Como Gauss no solo era modesto, sino también reservado acerca de su propia obra, Pfaff probablemente no aprendió tanto como hubiera podido de ser diferente el carácter de Gauss. Este admiraba mucho al profesor, que era entonces el mejor matemático de Alemania, no solo por su excelente labor, sino por su carácter sencillo y abierto. Con el tiempo Gauss lo superaría y hay una anécdota que así lo refleja. El barón Alexander von Humboldt (1769-1859), famoso viajero y amante de las ciencias, con el que Gauss llegó a colaborar en estudios de geomagnetismo, preguntó a Pierre Simón Laplace (1749-1827), uno de los matemáticos franceses más destacados, quién era el matemático más grande de Alemania; Laplace respondió: «Pfaff». «¿Y Gauss?», preguntó asombrado Van Humboldt, quien apoyaba a Gauss para el cargo de director del observatorio de Gotinga. «Oh —dijo Laplace—, Gauss es el matemático más grande del mundo.»
«Las matemáticas son la reina de las ciencias y la aritmética es la reina de las matemáticas.»El título de la tesis de Gauss es Demonstratio nova theorematis omnem functionem algebraicam raitonalem integram unius variabilis in factores reales primi vel secundí qradus resolvi posse («Nueva demostración del teorema que dice que toda función algebraica racional puede descomponerse en factores de primer o segundo grado con coeficientes reales»). El título contiene un ligero error que hizo aún más grande al joven Gauss dado que, lejos de ser «nueva», se trata en realidad de la primera demostración completa de la historia del teorema fundamental del álgebra.
Carl Friedrich Gauss.
Dicho teorema, en la versión que estudió Gauss (pues posteriormente fue generalizado), enuncia que todo polinomio en una variable tiene tantas raíces como indica su grado, aun admitiendo que algunas de estas raíces pueden ser múltiples. Un polinomio P es una expresión de la forma
P(x) = anxn +an-1xn-1 + an-2xn-2 + …+ a1x + a0
donde los coeficientes an, an-1, an-2, … a1, a0, son números reales. El grado de P es el exponente mayor al que se eleva la variable que con nuestra notación es n. Las raíces del polinomio son los puntos donde se anula, o sea los puntos x, tales que P(x)=0. Como consecuencia natural del teorema se deduce que todo polinomio de grado n con n raíces, no necesariamente todas diferentes, que notaremos por r1, r2,…, rn se puede descomponer en producto de monomios de la forma:P(x) = (x - r1) × (x - r2 ) × … ×(x - rn)
La resolución de este tipo de problemas, que se encuentran de forma natural en nuestra vida diaria, ha ocupado a los matemáticos desde los inicios de esta ciencia. Obviamente los problemas del tipo x - 3 = 0 tienen una única raíz, que es 3. Si consideramos el polinomio x + 3 = 0, para resolverlo tendremos que considerar los números negativos, ya que la solución es -3, es por ello que se vio la necesidad de ampliar el conjunto de los números naturales al conjunto de los números enteros, que incluyen también los negativos. Babilonios y egipcios se dieron cuenta de que la resolución de ecuaciones simples de grado 1 necesitaba de una nueva ampliación, en este caso las fracciones, puesto que la solución de la ecuación 3 x - 2 = 0 es la fracción 2/3. Al conjunto que incluía las fracciones se le denominó conjunto de los números racionales.Cuando se eleva el exponente del polinomio, las cosas se complican y una ecuación tan simple como x2 - 2 = 0 llevó a los griegos a un gran desconcierto, puesto que su solución no era posible expresarla en forma de fracción. De hecho encontraron una demostración analítica que probaba que √2 no era un número racional por medio de la reducción al absurdo.
√2 no es racionalLos matemáticos griegos encontraron una demostración ingeniosa y fácilmente comprensible de la irracionalidad de √2, usando la reducción al absurdo, que consiste en suponer lo contrario de lo que querernos probar y llegar a una contradicción lógica. Supongamos que √2 es racional, o sea, que se puede expresar mediante una fracción cualquiera p/q. Supongamos ahora, sin pérdida de generalidad, que la fracción es irreducible, o sea que p y q son primos entre sí. En otro caso, bastaría dividir los dos elementos de la fracción por el máximo común divisor. Como √2 = p/q, tenemos que elevando al cuadrado los dos términos. 2 = p2/q2, por lo que 2q2 = 2p2 o sea que p es un número par y por tanto, también lo es p. Como p es par, entonces existe un número k natural de manera que p = 2 k. Si sustituimos el nuevo valor de p en nuestra ecuación, tenemos 2q2 = 4k2, lo que implica que q2 = 2k2 ,o sea que q también es par, lo que contradice que la fracción de la que partirnos era irreducible, y por tanto la hipótesis de que √2 es racional es falsa.
Ante la imposibilidad de expresar números como √2 en forma de fracción, los matemáticos les asignaron el apelativo de irracionales. A pesar de las dificultades para describirlos de manera exacta, los números irracionales poseen un significado real, ya que se pueden ver como puntos marcados en la recta numérica. La raíz de 2 está entre 1,4 y 1,5 y si se construye un triángulo rectángulo cuyos dos catetos midan 1, sabemos que su hipotenusa es la raíz de 2, aplicando simplemente el teorema de Pitágoras. Al conjunto de números que incluía ambos tipos de números, los racionales y los irracionales, se le llamó números reales y se representan en la recta real.
El problema de la búsqueda de raíces de un polinomio se complicaba cuando se trataba de encontrar soluciones para ecuaciones tan aparentemente sencillas como x2 + l = 0. Parecía evidente que ningún número elevado al cuadrado puede dar un número negativo, tanto si es positivo como negativo. Así pues se tuvo que crear un nuevo tipo de números que resolvieran esas ecuaciones. El nuevo número, √-1, se llamó número imaginario y fue notado como i. El crear aparentemente de la nada una solución para esta ecuación parece un engaño, ¿por qué no aceptar que la ecuación no tiene soluciones? La respuesta es que esa solución aporta enormes avances aritméticos y no comporta contradicciones lógicas.
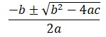
Sin ir más lejos, los aviones no habrían alzado jamás el vuelo si los ingenieros no hubieran entrado en el mundo de los números imaginarios. Así pues, si utilizamos la nueva notación y resolvemos x2 + 1 = 0, que es la ecuación de un polinomio cuadrático de la forma ax2 + bx + c = 0, con la conocida fórmula dé las ecuaciones de segundo grado:

El reparto de la recta real entre racionales e irracionalesLa recta real está formada por números racionales, o que se pueden representar mediante fracciones, e irracionales, aquellos para los que esto no es posible. La pregunta que nos podemos hacer es: ¿cómo se reparten los dos conjuntos en la recta? ¿Hay un reparto equilibrado que hace que la convivencia de los dos subconjuntos en los reales sea sencilla? Para responder a esta pregunta tenemos que hacer varias reflexiones, algunas muy sorprendentes. Dados dos números cualesquiera del conjunto de los números racionales, que se suele notar por Q, siempre se puede encontrar otro número racional que esté entre ellos. Ello es bastante evidente. Si q1, q2 ∈ Q entonces(q1 + q2)/2 ∈Q
y es un número que está entre los dos anteriores por construcción. Y podemos construir un número racional que está entre el que hemos calculado y alguno de los anteriores, iterando el proceso tantas veces como queramos. Como consecuencia podemos afirmar entonces que entre dos números racionales cualesquiera existen infinitos números racionales, no importa lo próximos que escojamos los números iniciales. Ello da una idea de que los racionales son números que estén tan cerca unos de los otros como nosotros deseemos. Esta propiedad recibe en matemáticas un nombre bastante ilustrativo de lo que significa, y es que se dice que Q es denso en el conjunto de los números reales. O sea, si x es un número real y es el centro de un intervalo de la recta real, dicho intervalo contendrá números racionales por pequeño que sea dicho intervalo. Nos podemos preguntar entonces ¿quedan huecos en la recta real para los números irracionales? La respuesta es sorprendente; el conjunto de los números racionales es de medida nula. ¿Y eso qué significa? Entre otras cosas, algo que podemos entender con facilidad: la probabilidad de que, al situarnos al azar en un punto de la recta real, dicho punto sea racional es cero, Y los matemáticos reservan lo probabilidad cero solo para los sucesos imposibles. Lo que sorprende y es algo frustrante es que se dedique tanto tiempo de nuestra vida escolar a dominarla aritmética de un conjunto que es tan minoritario en la recta real.
El primero en usar los números imaginarios, también llamados complejos, fue el matemático italiano Girolamo Cardano (1501-1676) quien los usó en la fórmula para resolver las ecuaciones cúbicas, pero el término «número complejo» fue introducido por Gauss en la demostración del teorema fundamental del álgebra en su tesis. Además Gauss comprendió en profundidad los números complejos y las implicaciones que podían tener en el futuro. La cuestión a la que también respondió Gauss era: ¿necesitaremos los matemáticos crear nuevos números para cada nueva ecuación que aparezca?, ¿y si quisiéramos resolver una ecuación como x4 + 1 = 0, tendríamos que buscar nuevos números para resolverla? Gauss probó que no era necesario: usando el número i, los matemáticos podrían resolver cualquier ecuación polinómica que se les pusiera por delante. Las soluciones eran una combinación de los habituales números reales y de este nuevo número i. Gauss descubrió que los números imaginarios no eran más que añadir una nueva dimensión a la habitual recta de los reales, por lo que cada número imaginario corresponde a un punto en el plano, al igual que cada número real corresponde a un punto de la recta. Además, Gauss creó una nueva forma de representarlos mediante un eje de coordenadas, tal y como vemos en la figura siguiente.

A pesar de tratarse de una representación muy eficaz, Gauss mantuvo escondido este «mapa del mundo» de los números imaginarios. Una vez concluida la demostración» como era su costumbre, retiró los «andamios» gráficos de manera que no quedara rastro de su visión. En esta ocasión era consciente, además, de que los matemáticos eran muy dados a mirar las gráficas con cierta sospecha; se prefería el lenguaje de las fórmulas y las ecuaciones, pues existía la idea de que las gráficas podían inducir a error. Gauss sabía que su representación gráfica de los números imaginarios hubiera sido vista con desconfianza y por ese motivo la excluyó de su demostración, lo que la hizo bastante incomprensible para muchos de sus contemporáneos. Tal es así que en algunos libros de historia de las matemáticas se dice que la primera demostración del teorema por parte del matemático alemán es errónea, cuando lo correcto sería decir incompleta. Y tal fallo se encuentra en la demostración que publicó, no en la que él mismo había construido.
El cuerpo de los complejosLos números complejos tienen la estructura algebraica de cuerpo con las operaciones de la suma y el producto. Para ello es necesario definirlas previamente y comprobar que son operaciones internas, es decir, que obtenemos números complejos al operar con ellos.La demostración de estas propiedades es elemental a partir de las definiciones, pero tener estructura de cuerpo permite trabajar con los números complejos con toda la comodidad y la potencia que da el álgebra.
- Suma; (a + bi) + (c + di) = a + c + (b + d)i
- Producto; (a + bi) × (c + di) = ac + adi + bci + bdi2 = ac - bd + (bc + ad)i
Pues bien, así definidas las operaciones tienen las propiedades necesarias para tener estructura algebraica de cuerpo:- Asociativa para las dos operaciones.
- Conmutativa para las dos operaciones.
- Existencia de neutro (0 para la suma y 1 para el producto).
- Existencia de opuesto para la suma e inverso para el producto.
- Propiedad distributiva.
La idea predominante en esa época era que los números eran entidades para ser sumadas y multiplicadas, no para ser dibujadas. Tuvieron que pasar cincuenta años hasta que Gauss se decidiera a revelar el andamiaje gráfico que había usado en su tesis doctoral. Y es que este teorema cautivó a Gauss de tal manera que llegó a realizar hasta tres demostraciones más del mismo.
Leonhard Paul EulerEuler (1707-1783) fue un matemático y físico suizo. Se trata del principal matemático del siglo XVIII y uno de los más grandes de todos los tiempos. Vivió durante muchos años en Rusia, donde fue ilustre invitado de Catalina I y sus sucesores (en aquella época, en Rusia, existía la tradición de invitar á los más grandes científicos la época a su Academia de Ciencias). Euler realizó importantes descubrimientos en áreas tan diversas como el cálculo o la teoría de grafos (los grafos son la modelización matemática de un conjunto de nodos y sus uniones mediante aristas orientadas o no; son de gran utilidad para representar una red de carreteras o el plano de una ciudad). También introdujo gran parte de la moderna terminología y notación matemática, en particular para el área del análisismatemático, como por ejemplo la noción de función matemática. Definió el número e, una de las constantes de más utilidad y que dio lugar a los logaritmos neperianos. Asimismo se le conoce por sus trabajos en los campos de la mecánica, la óptica y la astronomía. Euler ha sido uno de los matemáticos más prolíficos, y se calcula que sus obras completas reunidas podrían ocupar entre sesenta y ochenta volúmenes. De hecho, cincuenta años después de su muerte, la Academia de San Petersburgo aún estaba publicando artículos de Euler que guardaba en sus archivos. Una afirmación atribuida a Laplace expresa su influencia en los matemáticos posteriores: « Lean a Euler, lean a Euler, él es el maestro de todos nosotros ».
La segunda fue un año después de la defensa de su tesis y completaba algunas lagunas, pero difería un poco de la primera. Y la tercera, en 1815, basada en las ideas de Euler, rehúye los planteamientos geométricos y es el primer intento serio de una demostración exclusivamente algebraica, utilizando expresamente los números complejos. De paso realiza una crítica a los intentos de otros matemáticos basados en métodos analíticos. La última demostración, realizada en 1849 con motivo del cincuentenario de su tesis y el homenaje que recibió de la Universidad de Gotinga, es muy similar a la primera, pero en ella Gauss sí da todas las pistas de su construcción geométrica de la demostración. Para entender la importancia de la tesis de Gauss, baste señalar que el teorema había derrotado, entre otros, a Euler, Lagrange y Laplace, tres de los matemáticos más capaces de la historia.
A partir de tos trabajos de Gauss se pudo abordar la búsqueda de las raíces de un polinomio de grado n cualquiera. Hasta las ecuaciones de quinto grado (n = 5) se habían hallado fórmulas para encontrar sus raíces usando los coeficientes del propio polinomio, lo que se llama resolver por radicales. Las fórmulas eran del tipo de la que hemos usado para resolver las ecuaciones de segundo grado. Sin embargo, las llamadas químicas o polinomios de quinto grado se resistían a desvelar una fórmula con sus coeficientes que las resolviera. La solución vino de un muy joven matemático francés, Evaristo Galois (1811-1832), que murió en un duelo con apenas veintiún años. Galois probó que no era posible la resolución de las ecuaciones de quinto grado usando los coeficientes del propio polinomio, y encontró métodos alternativos para encontrar sus raíces, usando los resultados previos de Gauss.
Galois presentó sus resultados matemáticos, conocidos por teoría de Galois, a la Academia de Ciencias de París en 1830, para optar al premio en Matemáticas. Dicho trabajo nunca fue evaluado, pues tras pasar por las manos de Augustin Louis Cauchy (1789-1857), que se declaró incompetente para juzgarlo, fue remitido a Joseph Fourier (1768-1830) que, como secretario de la Academia, debía encontrar un nuevo especialista que juzgase el trabajo. La muerte sorprendió a Fourier antes de realizar esta tarea y el artículo de Galois se perdió y nunca se hizo público. Es por ello que la noche antes de su duelo Galois, que sabía que era muy difícil que sobreviviera a ese trance y conocía la importancia de sus descubrimientos, escribió unas notas apresuradas que resumían la conocida como teoría de Galois sobre resolución de ecuaciones. Y ese legado escrito incompleto es el que pasó a la historia, y permitió a matemáticos posteriores reconstruir los resulta dos de Galois. Bien es cierto que ese año el premio de la Academia recayó en Niels Henrik Abel (1802-1829) y Carl Gustav Jakob Jacobi (1804-1851), dos de los más talentosos matemáticos de su época, por lo que siempre quedará la duda de quién hubiera sido el ganador de no haberse perdido el trabajo original de Galois. Ciertamente, la precocidad de Galois en matemáticas solo es comparable a la del mismo Gauss.
Las «Disquisitiones Arithmeticae»
Gauss inició sus investigaciones sobre la teoría de números durante su estancia en el Collegium Carolinum, en 1795. Pero acometió la elaboración de la que será su obra fundamental, Disquisitiones Arithmeticae (Disquisiciones aritméticas), a lo largo de su estancia en la Universidad de Gotinga entre 1795 y 1798. Lo sabemos gracias a su diario científico en el que ya en 1796 aparecen dos de sus resultados más brillantes: la descomposición de todo número entero en tres triangulares y la construcción del heptadecágono regular, de los que ya hemos hablado en el primer capítulo. Ambos están recogidos en las Disquisitiones, que vieron la luz en Leipzig durante el verano de 1801, tres años después de la vuelta de Gauss a su ciudad natal de Brunswick. Como vemos, de nuevo Gauss retrasó la publicación de sus resultados hasta poder hacerlo en el formato de libro.
Con las Disquisitiones, Gauss dio una nueva orientación a la teoría de números, dejando de ser esta una acumulación de resultados anecdóticos aislados para convertirse en una rama de las matemáticas tan importante como el análisis o la geometría.
La obra está dividida en siete capítulos o secciones. De ellas, las tres primeras son introductorias, las secciones IV a V forman la parte central del trabajo y la Vil es una pequeña monografía dedicada a un tema relacionado, pero separado de los anteriores.
![]() | ![]() |
![]() | El joven Gauss tuvo la fortuna de contar con la ayuda económica del duque de Brunswick (arriba, a la Izquierda). quien sufragó su educación y mantuvo su protección hasta su muerte en 1806. Gracias a la influencia del duque, Gauss accedió en 1791 al Collegium Carollnum (abajo), donde inició algunas de sus investigaciones matemáticas más importantes, que reflejó en sus Disquisitiones arithmeticae, cuya portada se reproduce arriba a la izquierda. |
Las congruencias son un hallazgo fundamental en las matemáticas y ayudan a todo tipo de cálculos. La idea de las congruencias surge del mismo principio que los relojes convencionales, y de hecho también son conocidas como calculadoras de reloj. Si un reloj analógico convencional marca las 9 y pasan 4 horas, las manecillas se colocarán en la 1. Por así decirlo 13 = 1 (mod 12). Un cálculo como 7 2 = 7 × 7 da como resultado 1 en módulo 12, puesto que 49 dividido entre 12 da de resto 1. El resultado de la congruencia es siempre el resto que queda al dividir el número por el denominado módulo.
La potencia del sistema se pone de manifiesto cuando se trata de cálculos más complejos. Si se quiere calcular 73 =7×7×7, en lugar de multiplicar 49 por 7, Gauss podía limitarse a multiplicar 7 por la última congruencia obtenida, es decir 1, cuyo producto es obviamente 7. Así Gauss sabía que el producto se trataba de un número que dividido por 12 daba un resto 7. El método permite utilizarlo con grandes números, que sobrepasaban su capacidad de cálculo. Incluso sin tener ni idea del valor de 7 99, las congruencias le decían que él número dividido por 12 daba 7 como resto. Los estudios de Gauss sobre este tipo de aritmética revolucionaron las matemáticas de principios del siglo XIX, ayudando a los matemáticos a descubrir estructuras que habían permanecido ocultas. Hoy en día, la aritmética de congruencias, también llamada modular, es fundamental para la seguridad de Internet, donde se utilizan congruencias con cantidades que superan la de átomos del universo.
Además, la ventaja de esta notación es que recuerda la forma en que escribimos las ecuaciones algebraicas. Trata la divisibilidad aritmética, cuya descripción puede ser engorrosa, con una breve notación y permite sumar, restar y multiplicar congruencias, con tal de que el módulo sea el mismo en todas, para obtener otras congruencias. Y permite estudiar ecuaciones con congruencias: ax + +b = c (mod m).
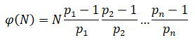
Como colofón a las dos primeras secciones, Gauss aplicó estos métodos a problemas históricos como el cálculo de la célebre función φ de Euler (también llamada función indicatriz de Euler). La función φ(N) se define como el número de enteros positivos menores o iguales a N coprimos con N. En matemáticas dos números se dicen coprimos si no tienen factores primos comunes, es decir, su máximo común divisor es 1. Por ejemplo 9 = 32 es coprimo con 10 = 5×2, y habría que contarlo a la hora del cálculo de φ(10), El conjunto φ(10) tiene por tanto cuatro elementos {1, 3, 7, 9} y, en consecuencia, φ(10) = 4.
Gauss dio una fórmula general para el cálculo de φ(N ). Si hacemos la descomposición de N en primos p1, p 2, ... pn se obtiene
![]()

Aplicando la fórmula N = 10,

La fórmula depende de los primos en que se descompone N, no de sus multiplicidades. En el caso de N = 180, tenemos que 180 = 22×32×5 por lo que

![]()
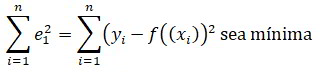
La sección III, titulada De residuis Potestatum (« El resto de las potencias»), aborda los residuos cuadráticos y de potencias superiores, Dados m y n números enteros, donde m no es divisible por n, si existe un número x tal que x2 = m (mod n), decimos que m es un residuo cuadrático de n; en caso contrario, decimos que m es un no-residuo cuadrático de n. Por ejemplo; 13 es residuo cuadrático de 17, pues la ecuación x2 = 13 (mod 17) tiene como soluciones x = 8, 25, 42, ya que 82 = 64, que dividido por 17 da 13 de resto, 252 = 625, que dividido entre 17 da, de nuevo, resto 13 y lo mismo ocurre con 422 = 1754.
La base de la sección es la demostración del pequeño teorema de Fermat que dice np-1 = 1 (mod p), donde p es un primo que no divide a n. O sea, que si p es un número primo que no divide a n, entonces np-1 - 1 es siempre divisible porp. Para el caso n = 8 y p = 5, tenemos que 8 4 - 1 = 4095, que es divisible por 5. Para este resultado Gauss usó la fórmula del binomio de Newton adaptada a congruencias. Como consecuencia obtiene también el teorema de Wilson, que dice que dado un número primo p, entonces se tiene
1×2×3×…×(p - 1) = (p - 1)! ≡ -1 (mod p)
O sea, el producto de todos los números menores que un número primo dado, aumentado en una unidad es siempre divisible por dicho número. Si por ejemplo escogemos 7, entonces 6! = 720, y 721 es divisible por 7.Esencialmente las tres primeras secciones constituyen una introducción sistemática a la teoría de números y preparan el terreno para las secciones IV y V.
El resultado central de la sección IV es la conocida como ley de reciprocidad cuadrática. El teorema (como conjetura) fue enunciado inicialmente por Euler en 1742 en una carta a Goldbach. Alrededor de medio siglo después, en 1798, Legendre publicó una demostración que se basaba en argumentos no probados. Así que la primera demostración correcta del resultado fue la de Gauss, que lo tenía en gran estima y lo denominó el teorema áureo, Dicho teorema se puede enunciar de la siguiente forma, que es tal y como aparece en el libro de Gauss.
Si p es primo de la forma 4n + 1, entonces +p será un residuo (o un no-residuo) de todo primo que tomado positivamente sea un residuo (o un no-residuo) de p. Si p es de la forma 4n + 3, -p tiene la misma propiedad.
Los paréntesis del teorema indican que el resultado puede leerse excluyendo el contenido de los paréntesis o incluyéndolos, sustituyendo a la expresión inmediatamente anterior. O dicho de un modo menos técnico: existe una reciprocidad entre el par de congruencias x2 ≡ q (mod p) yx2 ≡ p (mod q) en la que tanto p como q son primos. O sea, si podemos verificar la primera congruencia (x2 ≡ q (mod p)), entonces se verifica la segunda congruencia ( x2 ≡ p (mod q)) necesariamente; y si la primera no es cierta, la segunda tampoco lo es. Lo cual significa que ambas son ciertas o ambas son falsas. Hay una excepción, y es que tanto p como q den de resto 3 cuando se dividen, por cuatro, en cuyo caso una, y solo una, de las congruencias es cierta.
La demostración de Gauss empieza con consideraciones heurísticas y prueba la ley para determinados números primos. Después procedió, por inducción, a probar el caso general. Esta demostración de Gauss es muy laboriosa y trata de manera separada ocho diferentes casos. Peter Gustav Dirichlet, que fue alumno del matemático alemán y uno de los mayores estudiosos de este libro, simplificó la demostración, reduciendo el número de casos a dos. Gauss termina la sección con otros resultados que se deducen de su teorema. Solo por esta demostración Gauss ya debería ser considerado como uno de los matemáticos más importantes de la época. Pero habría más, y dentro de la misma obra.
La sección V es la parte central del libro. Está dedicada a las expresiones del tipo
F = ax2 + 2bxy + cy2
donde a, b, c son números enteros; estas expresiones fueron bautizadas por Euler como formas cuadráticas. Una parte sustancial de esta sección no es original y trata de reunir y unificar los resultados de Lagrange sobre la cuestión.El problema que resuelve Gauss es determinar qué números enteros M pueden representarse con la expresión
ax2 + 2bxy + cy2=M
donde x e y son números enteros. El inverso, y más interesante, que también resolvió, consiste en dados M y a, b y c, encontrar los valores de x e y que toman el valor M en la forma cuadrática. Para ello Gauss necesitó clasificar las formas cuadráticas y tratarlas de forma diferenciada. Con este propósito, utiliza dos propiedades básicas algebraicas de una forma cuadrática. Gauss estableció una clasificación de las formas cuadráticas y sus propiedades a partir de los discriminantes.Esta sección también incluye la demostración del teorema referido a números triangulares, del que ya hemos hablado.
La sección VI presenta numerosas aplicaciones importantes de los conceptos desarrollados en la sección anterior.
Discriminante de un polinomioEn álgebra, el discriminante de un polinomio es una cierta expresión de los coeficientes de dicho polinomio que es igual a cero, si y solo sí, el polinomio tiene raíces múltiples. Por ejemplo, el discriminante del polinomio cuadráticoax2 + bx + c es b2 - 4ac ya que la fórmula de la raíz de dicho polinomio es la siguiente:con lo que basta que el discriminante, tal y como lo hemos definido, sea cero para tener una única solución doble. Así, en el caso del polinomio x2 - 4x + 4, como tiene determinante nulo, tenemos una única raíz doble (2). por lo que aplicando el teorema fundamental del álgebra, tenemos x2 - 4 x + 4 = (x - 2)2
Las principales cuestiones tratadas son las fracciones parciales; esto es, la descomposición de una fracción en una suma de fracciones con los factores primos del denominador de la fracción original como denominadores de los sumandos. Esta técnica es de gran utilidad para la integración de funciones racionales, que son aquellas que se pueden representar como el cociente de polinomios. También trata de números decimales periódicos y resolución de congruencias por métodos propios de Gauss. Otro tema interesante es la búsqueda de criterios que permitan distinguirlos números primos sin cálculos muy tediosos. Como veremos, el estudio de los números primos fue una constante en toda su vida y lo estudiaremos de forma separada.
La sección VII es la parte más popular de las Disquisitiones. Su influencia histórica fue enorme. En esta sección trató de la división del círculo con regla y compás, que era un tema clásico en las matemáticas. Obviamente este tema está relacionado con la construcción de polígonos regulares, así que incluyó su famosa construcción del polígono de 17 lados, encontrando la condición suficiente para que un polígono regular pudiese ser construido con regla y compás.
En el mundo matemático todos reconocen que las Disquisitiones arithmeticae no son un simple compendio de observaciones sobre números, sino que suponen el anuncio del nacimiento de la teoría de números como disciplina independiente. Su publicación hizo de la teoría de números la reina de las matemáticas, como siempre le gustó a Gauss definirla. A pesar de ello, esta obra no fue muy bien recibida por la Academia de Matemáticas de París, que la consideró oscura y densa. Una de las causas de que las Disquisitiones no recibieran el aplauso inmediato es que Gauss se mantuvo voluntariamente críptico, eliminando o escondiendo las pistas que le habían llevado a sus descubrimientos. Desde luego esta filosofía no ayudó a que los matemáticos comprendieran la obra de Gauss. Tal es así que la obra ha sido llamada un «libro de siete sellos» por su hermetismo. Su lectura es difícil hasta para los especialistas, pero los tesoros que contiene, y en parte oculta en sus concisas demostraciones sintéticas, son ahora accesibles a todo el que desee participar de ellos, gracias especialmente a los trabajos de Dirichlet, que fue el primero que rompió los siete sellos. Se cuenta que Dirichlet utilizaba como almohada el libro de Gauss, con el fin de que por la noche algunos de los conocimientos pasaran a su cabeza.
Lagrange también alabó el libro sin reservas. En una carta a Gauss del 31 de mayo de 1804, te dice:
Vuestras Disquisitiones os han elevado rápidamente a la categoría de los primeros matemáticos, y considero que la última sección condene el más bello descubrimiento analítico que ha sido hecho desde hace largo tiempo… Creo, señor, que nadie aplaude más sinceramente vuestros triunfos que yo
Si se recapacita en el hecho de que todos los resultados expuestos fueron conseguidos por un Gauss con menos de treinta años, no hay más remedio que quedar asombrado. Es muy posible que por el ejemplo de Gauss, la medalla Fields, que es el galardón más importante que puede recibir un matemático, solo se entregue a personajes menores de cuarenta años. La consecuencia es que, a diferencia de los Nobel, que acostumbran concederse a científicos que se acercan al fin de su carrera, las medallas Fields están reservadas a jóvenes.
Primer y segundo matrimonios
A finales de 1798. Gauss volvió a Brunswick, donde vivió hasta 1807. Es obvio que estos años fueron críticos en su carrera. En un principio Gauss temió perder el favor del duque al terminar sus estudios en la Universidad de Gotinga, pero en enero de 1799 Gauss le contó a Wolfgang Bolyai que el duque seguía manteniendo su estipendio, el cual le permitía vivir dedicado a sus investigaciones. Es obvio que en esa época Gauss estaba satisfecho de sus logros matemáticos y que estaba colmando las expectativas que había puestas en él, particularmente las del duque: no solo había completado con brillantez sus estudios en la Universidad de Gotinga, sino que había resuelto el problema de la construcción del polígono regular de 17 lados.
Johann Peter Gustav Lejeune DirichletDirichlet (1805-1859) fue un matemático alemán del siglo XIX. Se educó en Alemania, y después en Francia, donde aprendió de muchos de los más renombrados matemáticos de su tiempo, relacionándose con algunos, como Fourier. Tras graduarse, fue profesor en las universidades de Breslau (1826-1828), Berlín (1828-1855) y Gotinga, en donde ocupó la cátedra dejada por Gauss tras su muerte. Dedicó muchos de sus trabajos a completar la obra de Gauss, aportando demostraciones completas a sus resultados de forma que fuesen más accesibles a las generaciones futuras de matemáticos.
Sus aportaciones más relevantes se centraron en el campo de la teoría de números, prestando especial atención al estudio de las series, y desarrolló la teoría de las series de Fourier. Su primera publicación comprendió una demostración particular del teorema de Fermat, para el caso n = 5, que también fue completada por Adrien-Marie Legendre, uno de sus revisores. Dirichlet completó su propia prueba casi al mismo tiempo; más adelante completó también la prueba para n = 14. Aplicó las funciones analíticas al cálculo de problemas aritméticos y estableció criterios de convergencia para las series. En el campo del análisis matemático perfeccionó la definición y concepto de función. De hecho, se atribuye a Dirichlet el concepto moderno de función en matemáticas.
Durante este segundo periodo en Brunswick se puede observar una enorme expansión de los intereses científicos de Gauss; por primera vez se dedicó sistemáticamente a cuestiones de matemáticas aplicadas específicamente a la astronomía teórica y práctica.
Los Nobel de la matemáticaLa medalla Fields es la mayor distinción que puede recibir un matemático y es concedida por la Unión Matemática Internacional cada cuatro años. Viene a ser un honor que se corresponde con el de recibir un premio Nobel. Y es que no existe el premio Nobel de Matemáticas. Alfred Nobel, cuando creó los premios que llevan su nombre, excluyó de forma explícita las matemáticas. Es por ello por lo que aunque la Fundación Nobel tiene potestad para admitir nuevas ramas de las ciencias en les que premiar a los científicos y, por ejemplo, existe un premio Nobel en Economía que se creó en 1969, no puede conceder un premio en Matemáticas.La razón hay que buscarla en la creencia de Alfred Nobel de que las matemáticas no eran una ciencia aplicada y práctica. Existen otras explicaciones que hablan de que el hecho deriva del enfado del creador de los premios con el gremio de los matemáticos por los amores de su esposa con el matemático sueco Gösta Mittag-Leffler (1846-1927), pero nada indica que esta explicación, muy extendida, se ajuste a la verdad, sobre todo porque Nobel nunca estuvo casado. La primera medalla Fields se concedió en 1936, pero la Segunda Guerra Mundial hizo que no se reanudara su concesión hasta 1950. El nombre formal del premio es Medalla internacional para Descubrimientos Sobresalientes en Matemáticas (aunque es mucho más conocida por el nombre de medalla Fields). El origen de su nombre hay que buscado en et matemático John Charles Fields (1863-1932), que fue el que des arrolló la idea.
Solo a los jóvenes
Como características propias de este galardón hay que citar que únicamente se concede a matemáticos con edades no superiores a los cuarenta años y su entrega tiene una periodicidad de cuatro. El premio en metálico que lo acompaña, unos 10000 euros» está muy alejado de las cantidades que distribuye el Nobel. Los ganadores en cada edición pueden ser hasta cuatro, pero en raras ocasiones el premio ha sido tan generoso. Físicamente la medalla está chapada en oro y fue diseñada por Robert T. McKenzie en 1933. En el anverso tiene la cabeza del matemático griego Arquímedes y la inscripción « Transire suum pectus mundoque potiri» (« Ir más allá de uno mismo y dominar el mundo »). En el reverso figura una esfera inscrita en un cilindro y la inscripción « Congregati ex toto orbe mathematici ob scrita insignia tribuere » (« Los matemáticos de todo el mundo se reunieron para dar esta medalla por escritos excelentes »).
Su vida personal también cambió en esta época, puesto que al final del período cortejó a Johanna Oshoff, con la que se casó en 1806. Ella fue la primera de sus dos esposas. Johanna, que era la hija de un curtidor, tenía tres años menos que Gauss y su familia había estado muy ligada a la de la madre de Gauss, ya que esta había trabajado para la familia de la futura esposa. De pequeño, Gauss había visitado con frecuencia la casa de los parientes de su nueva esposa y, cuando volvió a Brunswick, retomó la relación con ellos. Así es como conoció a Johanna.
Es difícil saber algo de la vida privada de la pareja, pues los únicos documentos que la mencionan son las cartas que Gauss mandó a sus amigos y ni tan siquiera ha quedado un retrato suyo. En cualquier caso, su apariencia era muy similar a la de la única hija que tuvieron ambos en común. En 1806, en una carta a Wolfgang Bolyai, describió a su esposa como inteligente y dulce, pero también inexperta y con escasa formación cultural.
A fínales de 1809, menos de dos años después de haberse mudado a Gotinga, con Gauss como director del observatorio astronómico, Johanna murió a consecuencia de su tercer parto, un mes después de que este se produjera. El matrimonio Gauss tenía dos hijos anteriores; Joseph y Minna. El último hijo de Johanna, el pobre Louis, como acostumbraba llamado su padre, siguió a su madre pocos meses después, sumiendo al padre en el desconsuelo y la depresión. Gauss había sido bastante feliz en su primer matrimonio; un año antes de que Johanna falleciera, describió su vida familiar en una nueva carta a su amigo Bolyai
Los días discurren felizmente dentro del curso uniforme de nuestra vida doméstica: cuando a la niña le sale un nuevo diente o el chico aprende nuevas palabras, eso es más importante que el descubrimiento de una nueva estrella o una nueva verdad matemática.Gauss era un hombre poco práctico en su vida diaria y el estado de viudedad le creaba numerosos problemas. Así, pocos meses después de la muerte de Louis, anunció el compromiso con Wilhelmine (Minna) Waldeck, la hija de un profesor de Derecho de la universidad. La señorita Waldeck había sido amiga de Johanna Gauss, pero no se sabe si esta amistad significaba mucho más que la relación convencional entre la hija de un profesor y la esposa de un joven colega de su padre. Cuando Gauss se le declaró, ella acababa de romper otro compromiso por razones que se desconocen. Gauss y Minna Waldeck se casaron con bastante rapidez, pero su compromiso no se desarrolló sin problemas. La urgencia y el deseo de formar una nueva unión tan pronto como fuera posible, para olvidar la tragedia de la muerte de Johanna y proporcionar a los hijos una nueva madre, parece que tuvieron más peso que el afecto que se tenían los esposos en este segundo matrimonio. El papel de pretendiente impetuoso y anhelante de un nuevo matrimonio disgustó a Gauss, que no se sentía cómodo en esa situación. De hecho, las cartas que se cruzaron los dos prometidos son bastante frías y carentes de emociones.
Minna Waldeck era de una extracción social muy diferente a la de Gauss y eso también dificultó el matrimonio, ya que la familia de la novia no estaba muy contenta de que su hija, que provenía de un profesor de la universidad, se casase con alguien de familia tan humilde como la de Gauss. De hecho, en una carta que Gauss dirige a su futura esposa con motivo de un viaje a Brunswick para conocer a su madre, le advierte del nivel cultural de su familia:
Una cosa más, la razón por la que no he escrito a mi madre es que quería darle una sorpresa y también porque mi madre no puede leer algunas cosas de las que le escribo y usted no querrá que ella tenga que mostrarlas a personas ajenas.En agosto de 1810, Gauss se convirtió en yerno del prestigioso profesor y miembro del Consejo Privado del Estado, Johann Peter Waldeck, y los dos hijos supervivientes del primer matrimonio consiguieron una nueva madre. Gauss fue padre nuevamente con su nueva esposa, en 1811 y en 1813, años en que nacieron Eugen y Wilhelm, respectivamente, y en 1816 su hija Therese, que se haría cargo de su padre hasta su muerte cuando quedó viudo de nuevo.
Durante sus primeros años en Gotinga, Gauss recibió invitaciones para instalarse en otras universidades, especialmente desde Rusia y Berlín. La propuesta rusa fue descartada porque a Gauss no le agradaba el clima del país. La segunda propuesta puso a Gauss en contacto por primera vez con Alexander von Humboldt, uno de los líderes del renacimiento de Prusia después de la caída de Napoleón.
Gauss se vio afectado en su vida, como no podía ser de otra manera, por el período de guerras que le tocó vivir. En 1808, el Gobierno francés, tras las derrotas de Prusia en las batallas de Austerlitz y Jena a manos de Napoleón, exigió unas enormes indemnizaciones por los gastos de guerra, como era lo normal en los armisticios firmados durante ese período. Gauss, como miembro de la universidad, también debía contribuir con 2000 francos, lo que era una cantidad muy considerable para un profesor recién llegado y que todavía no cobraba su sueldo de forma regular. Sin que él lo hubiera solicitado, Laplace, desde París, y Olbers, desde Bremen, le ofrecieron su ayuda, pero Gauss no quiso aceptar ningún dinero. Al final, la contribución fue pagada anónimamente, aunque años después se supo que el benefactor había sido él obispo de Frankfurt, lo que da idea de la creciente fama de Gauss. De hecho, Gauss, ya anciano, contaba que Napoleón se había abstenido de bombardear Gotinga para no poner en peligro su vida, lo que parece algo exagerado por su parte. Lo que sí es seguro y está documentado es que la matemática francesa Sophie Germain intercedió ante Napoleón para que la vida de Gauss, al que apreciaba enormemente por su talento para las matemáticas, fuera respetada.
En 1810, solo dos años después, Gauss ganó una medalla del Instituto de Matemáticas de Francia, pero rechazó el premio en metálico que la acompañaba, entre otras cosas porque no le agradaban los franceses, pues en ese momento tenían sometida su tierra y eran ya varios los años que llevaban en guerra.
Sin embargo, aceptó el reloj astronómico que había elegido para él, Sophie Germain, matemática con la que mantenía una relación epistolar. Con algunas excepciones dignas de mención, en el siglo XIX había pocas mujeres que se dedicaran a las matemáticas. De hecho, Sophie Germain mantuvo correspondencia con Gauss fingiendo que era un hombre para evitar que sus ideas fueran descartadas directamente. Había descubierto un tipo particular de números primos, ligados al último teorema de Fermat, por esa época todavía una conjetura, que hoy reciben el nombre de números primos de Germain. Gauss estaba impresionado por las cartas que recibía de un tal Monsieur Le Blanc y quedó maravillado al enterarse, tras larga correspondencia, de que el Monsieur era en realidad una Mademoiselle. Gauss no solo no demostró ningún prejuicio en contra de las mujeres, sino que lo valoró especialmente y le escribió en una carta:
El gusto por los misterios de los números es raro. La fascinación de esta ciencia sublime se revela en toda su belleza solo a aquellos que tienen el valor de desentrañarla. Pero cuando una mujer, que a causa de su sexo es víctima de nuestras costumbres y prejuicios, supera estos impedimentos y penetra en lo más profundo, es indudable que está dotada de un coraje notabilísimo, de un talento extraordinario y de un genio superior.Gauss intentó convencer a la Universidad de Gotinga para que concediera a Sophie un doctorado honoris causa, pero Germain murió antes de que Gauss lo consiguiera.
Más significativo de la importancia de Gauss entre sus contemporáneos que cualquier distinción o premio fue la forma en que el Gobierno de Westfalia, en ese momento en manos de los ocupantes franceses, se esforzó en cumplir su promesa de construir un nuevo observatorio. Se destinaron ingentes fondos para tal fin y en 1814, cuando el reino de Westfalia dejó de existir, se habían hecho notables progresos en un tiempo marcado por las grandes restricciones económicas, pues recordemos que Prusia había sido derrotada por Francia, incluso con esas limitaciones, Gauss siempre pudo adquirir el material que consideraba necesario para sus investigaciones. Durante su estancia en la universidad, Gauss consiguió dotar becas para estudiantes, entre los que se encuentran Christian Ludwig Gerling (1788-1854) y August Möbius (1799-1868), creador de la famosa cinta que lleva su nombre. El primero fue un físico de gran valía, y el segundo, un reconocido matemático y astrónomo.
Marie-Sophie GermainGermain (1776-1831) fue una matemática francesa que hizo importantes contribuciones a la teoría de números. Una de las atribuciones más notables fue el estudio de los que, posteriormente,fueron nombrados como números primos de Germain (números primos cuyo doble incrementado en una unidad es también un número primo), por ejemplo, 11 y 23.
Germain tuvo un interés especial en las enseñanzas de Joseph-Louis Lagrange y, bajo el seudónimo de Monsieur Le Blanc, uno de los antiguos estudiantes de Lagrange, le envió varios artículos. El matemático francés se impresionó tanto por estos artículos que le pidió a Le Blanc una entrevista y Germain se vio forzada a revelarte su identidad. Lagrange reconoció el talento matemático por encima de los prejuicios y decidió convertirse en su mentor. Germain también usó la misma estratagema para mantener correspondencia con Gauss. Una de las mayores contribuciones de Germain a la teoría de números fue la demostración matemática de proposiciones que permitían restringir de manera considerable las soluciones posibles de la famosa conjetura de Fermat. Algunos de estos resultados fueron presentados por primera vez en cartas dirigidas a Gauss.
Se ha apuntado con frecuencia que Gauss no estaba interesado en la enseñanza, y que su esfuerzo estaba mucho más orientado a la investigación. Tal generalización es engañosa. Hay que tener en cuenta que al tipo de universidad donde Gauss impartió docencia muchos estudiantes llegaban más por sus relaciones sociales que por su valía intelectual. La mayoría de los estudiantes que conoció no estaban demasiado interesados en aprender, tenían poca motivación y les faltaban conocimientos elementales. En una carta que escribió en 1810 a su íntimo amigo el astrónomo y matemático Friedrich Wilhelm Bessel (1784-1846), Gauss afirmaba:
Este invierno estoy dando dos cursos de conferencias a tres estudiantes, de los cuales uno está regularmente preparado, el otro menos que regularmente, y el tercero carece de preparación y capacidad. Tales son las cargas de una cátedra de Matemáticas.Cuando Gauss encontró estudiantes que eran capaces de aprovechar sus enseñanzas, se interesó enormemente por sus progresos y su correspondencia está llena de cartas y de consejos, explicando las cosas en detalle y repetidamente. Lo que sí es cierto es que demostraba poca paciencia con los incapaces o desmotivados. Gauss siempre esperaba que sus alumnos pudieran trabajar y pensar de forma autónoma. Sus propios esfuerzos, más que las clases o explicaciones de los profesores, debían ser el centro de sus estudios. Esta actitud no fue bien comprendida y entró en conflicto con las ideas pedagógicas del siglo XIX. Esa es una de las razones del retrato convencional de Gauss como un mal profesor, solo preocupado por sus propias investigaciones. Solo el hecho de haber sido maestro y mentor de Bernhard Riemann (1826-1866), acaso el matemático más notable de la segunda mitad del siglo XIX, ya debería haberlo redimido de cualquier acusación de no haber transmitido su saber a las nuevas generaciones.
Capítulo 3
Un método para encontrar planetas
Aunque con apenas veinticinco años Gauss había hecho ya notables aportaciones a las matemáticas, el resultado que le otorgó la fama en todo el continente fue de naturaleza astronómica; él cálculo de la órbita de Ceres. Gauss se sirvió para ello del método de mínimos cuadrados, uno de los descubrimientos matemáticos más relevantes de toda su carrera.Desde muy joven, Gauss era muy conocido y respetado por sus colegas y profesores y había obtenido el mecenazgo del duque de Brunswick. Sin embargo, la fama internacional no llegó hasta que consiguió su primer éxito en el campo de la astronomía. Todo se lo debió al cálculo de la órbita del que en aquel entonces se pensaba que era el planeta Ceres. En la actualidad está catalogado como un planeta enano.
La idea de que un planeta frío desconocido existiera entre las órbitas de Marte y Júpiter fue sugerida por Johann Elert Bode (1747-1826) en 1768. Sus consideraciones se basaban en la ley de Titius-Bode, una teoría propuesta por Johann Daniel Titius (1729- 1796) en 1766. Desde Copérnico se había puesto de manifiesto que la distancia entre Marte y Júpiter era anormalmente grande. Por ello, a medida que se fue adquiriendo un mejor conocimiento de las órbitas planetarias, los astrónomos intentaban encontrar una ley que explicara las distancias de dichas órbitas y con ella se pudieran descubrir nuevos planetas. La primera ley de este tipo, aunque desde un punto de vista riguroso debería llamarse regla, fue propuesta por el físico alemán Johann Daniel Titius, cuando solo se conocían los planetas del sistema solar hasta Saturno. Según esta ley, la distancia de cada planeta al Sol en unidades astronómicas (UA, que es la distancia de la Tierra al Sol) viene dada por la regla:
a = (n + 4)/10
siendo n = 0, 3, 6, 12, 24, 48, o sea, cada valor de n a partir de 3 es doble que el anterior, y a representa el semieje mayor de la órbita. Dicha ley la usó posteriormente el director del observatorio de Berlín, Johann Bode, de ahí que sea conocida por ley de Titius- Bode. Si generamos los ocho primeros números de la serie, se obtiene la siguiente tabla:

Como consecuencia del descubrimiento de Urano, los astrónomos empezaron a buscar un nuevo planeta a 2,8 UA del Sol, que era el que correspondía a n = 24. En el congreso astronómico de Gotha de 1800, en la actual Alemania, el francés Joseph Lalande (1732- 1807) recomendó su búsqueda En ese año, el astrónomo Franz Xaver (1754-1832), barón Von Zach, editor de la revista Monatliche Korrespondenz (Correspondencia Mensual)t la publicación alemana más importante en astronomía en aquel momento, reunió en Lilienthal a veinticuatro astrónomos con el objeto de organizar una búsqueda sistemática de ese hipotético planeta del sistema solar. Para ello dividieron el cielo en veinticuatro zonas y cada astrónomo quedó encargado de observar una de ellas. Sin embargo, la suerte no estuvo del lado del grupo de Lilienthal, aunque consiguieron otras notables observaciones astronómicas. El honor le correspondió a Giuseppe Piazzi (1746-1826), que difundió el 1 de enero de 1801, desde el observatorio de Palermo, que había descubierto un nuevo planeta, que llamó Ceres Ferdinandea, por Ceres, la diosa romana de la agricultura y el amor maternal y patrona de Sicilia, y por el rey Fernando IV de Nápoles y Sicilia, patrón de su obra. El apellido Ferdinandea se eliminó posteriormente por razones políticas. Piazzi dictaminó que Ceres giraba alrededor del Sol en una órbita que aparentemente le correspondía por la ley de Titius-Bode a n = 24. El descubrimiento de Ceres desató un entusiasmo generalizado y fue considerado un maravilloso augurio para el futuro de la nueva ciencia en el siglo que empezaba. Se pensó que era el planeta que se buscaba con tanto interés y que la humanidad era capaz de interpretar la naturaleza y hacer predicciones científicas.
Para entender la importancia que se le dio a este descubrimiento hay que situar el estado general de la ciencia en ese momento. Durante milenios, la humanidad se había creído gobernada por reglas caprichosas e inescrutables. La voluntad humana podía poco contra el capricho de los dioses y los portentos sobrenaturales.

Gauss empleó su método de mínimos cuadrados para calcular la órbita de Ceres, un objeto celeste que acababa de descubrirse y considerado hoy un planeta enano. La recreación permite comparar los tamaños de la Tierra, la Luna y Ceres (abajo, a la izquierda).
El entusiasmo se convirtió en decepción pocas semanas después, cuando el planeta desapareció de la vista. Durante 42 días, hasta la noche del 11 de febrero, Piazzi había realizado el sentimiento del nuevo objeto en su viaje por el espacio. Pero una gripe lo mantuvo alejado del telescopio las noches siguientes, y cuando se reincorporó a la observación el astro había dejado de ser visible durante la noche. Sencillamente había desaparecido ocultado por el Sol, El corto período de observaciones no le permitió fijar la órbita de Ceres y predecir dónde volvería a aparecer en el cielo nocturno. Sus datos abarcaban solo un arco de 9 grados de la órbita.
Los astrónomos del siglo XIX no disponían de suficientes instrumentos matemáticos para calcular su órbita completa a partir de la breve trayectoria que habían seguido durante las primeras semanas del siglo. Las observaciones de Ceres habían sido objeto de intercambio epistolar entre Piazzi, Bode y Lalande, que eran de los más afamados astrónomos de la época, lo que dio a la cuestión de la órbita de Ceres un carácter general. Von Zach convocó en Lilienthal una reunión con otros cinco astrónomos (Schröder, Harding, Olbers, Von Ede y Gildemeister), para tratar el tema de la determinación de la órbita del nuevo objeto celeste.

Gauss en el Observatorio de Gotinga, del que fue director desde 1807 hasta su muerte.
Como el supuesto planeta no aparecía por ninguna parte del firmamento, Von Zach envió los datos a un joven matemático de veinticuatro años afincado en Gotinga, cuya fama se empezaba extender por toda Alemania para que realizara su propia estimación de la órbita. Se trataba de Gauss, que anunció, tras realizar sus cálculos matemáticos, que sabía dónde debían los astrónomos buscar el objeto perdido. A falta de previsiones alternativas a su disposición, y aunque la posición del astro que se deducía de los cálculos de Gauss distaba mucho de todas las demás, Zach decidió por fin probar con las predicciones de Gauss: muy cerca de donde sus cálculos teóricos situaban el deseado objeto, apareció un pequeño punto brillante; era la noche del 7 de diciembre. Las observaciones se prolongaron todas las noches de diciembre, al menos todas en las que las condiciones meteorológicas lo permitieron, y por fin, el 1 de enero de 1802, otro astrónomo, que pertenecía al grupo de trabajo creado por Von Zach, Heinrich Olbers, en Bremen, pudo afirmar con toda certeza que el objeto observado encajaba a la perfección con los datos de las observaciones de Piazzi de un año atrás y con la órbita prevista teóricamente por Gauss.
Esta predicción asombrosa, sin precedentes en la astronomía, había sido hecha por un matemático que había identificado un orden allí donde otros habían visto simplemente un minúsculo e imprevisible planeta, usando para ello una herramienta matemática que se demostraría con los años como una de las más fructíferas a la hora de calcular órbitas planetarias; la ley de mínimos cuadrados, descubierta por Gauss unos seis años antes y que mantuvo sin publicar hasta 1809. Las aplicaciones de dicho método más allá de la astronomía, fueron enormes, hasta el punto de que su aplicación al cálculo de la trayectoria de Ceres no deja de ser anecdótica. Sin embargo, gracias a dicho descubrimiento, Gauss se convirtió de inmediato en una estrella de primera magnitud en la comunidad científica internacional.
¿Por qué es negra la noche?El astrónomo alemán Heinrich Olbers (1758-1849) fue médico en la ciudad de Bremen durante cuarenta años. Apasionado al mismo tiempo por la ciencia de la astronomía, pasaba gran parte de las noches observando el firmamento con un pequeño telescopio colocado en el tejado de su casa. En 1779 elaboró un nuevo método, llamado método de Olbers, para calcular la órbita de un cometa. El método demostró su eficacia en algunos casos particulares de órbitas circulares o parabólicas, pero fue ineficaz para la determinación de la órbita de Ceres, que era de tipo elíptico. El 1 de enero de 1802 Olbers localizó Ceres en la posición prevista por Gauss. Poco después descubrió Palas, y propuso que ambos objetos astronómicos estaban relacionados con los fragmentos de un cuerpo más grande, lo que lo llevó a buscar otros fragmentos en el firmamento. Para el cálculo de la órbita de Palas invitó a Bremen al matemático alemán, que permaneció en dicha ciudad durante tres semanas, y Olbers fue testigo de la aplicación de sus novedosos métodos matemáticos, especialmente del método de mínimos cuadrados. Durante el resto de su vida, Olbers mantuvo relación con Gauss.
La paradoja de Olbers
En la actualidad se recuerda a Olbers fundamentalmente por proponer en el año 1823 la famosa paradoja que lleva su nombre, según la cual, en un universo euclídeo, infinito, estático y uniformemente poblado de estrellas, el cielo nocturno debería brillar como la superficie solar. Las explicaciones que se han propuesto para dar una solución a esta paradoja han consistido históricamente en negar que el universo sea infinito, o esté ocupado por estrellas de una manera uniforme. La teoría de la relatividad encuentra una razón evidente, ya que las galaxias alejadas de la Tierra en más de 14000 millones de años luz (que es la edad que se le supone al universo) no han podido todavía hacernos llegar su luz, debido a la velocidad finita de esta. Eso significa que, al menos por lo que respecta a la luz de las galaxias que vemos, el universo es finito, Por otro lado, el universo está en expansión, por lo que no es estático.
Su gesta fue un símbolo del poder de la predicción de las matemáticas en un periodo, la primera mitad del siglo XIX, en el que, como ya se ha comentado anteriormente, la ciencia estaba en plena eclosión. Si bien es cierto que los astrónomos habían descubierto el planeta por casualidad, un matemático había puesto en juego la capacidad analítica necesaria para explicar qué ocurriría en el futuro. Gracias a la predicción de la órbita del planeta Ceres, al final del primer año del nuevo siglo Gauss era, además de uno de los matemáticos más notables, el astrónomo más popular de Europa.
En marzo de 1802, Olbers descubrió Palas, otro objeto astronómico de tamaño menor que Ceres, y le planteó a Gauss la fijación de su órbita durante su estancia de tres semanas en Bremen por invitación del propio Olbers. El método de los mínimos cuadrados volvió a manifestar su potencia y Olbers fue testigo del uso que hacía Gauss de las técnicas matemáticas. Cuando surgieron las disputas sobre la precedencia de la invención del método de mínimos cuadrados, Gauss pondría a Olbers como testigo de que él usaba el método desde principios de siglo.
En noviembre el joven Gauss, que contaba veinticinco años, fue nombrado miembro de la Real Sociedad de Ciencias de Gotinga. El éxito le trajo a Gauss muchos más honores, entre ellos la invitación para dirigir el observatorio astronómico de la Academia de Ciencias de San Petersburgo. Rusia tenía una gran tradición de invitar a investigadores extranjeros a instituciones científicas propias, como en el caso de Leonhard Euler. En 1802, cuando Gauss aún no había decidido nada acerca de la invitación, Olbers alertó a su amigo Von Heeren, un profesor en la Universidad de Gotinga y asesor del gobierno de Hannover. Olbers no quería que Gauss dejase Alemania y movió los hilos necesarios para que le propusieran a Gauss la dirección del nuevo observatorio de Gotinga, aún por construir. Las negociaciones para el traslado de Gauss de nuevo a Gotinga no entraron en una fase seria hasta 1804 y concluyeron con éxito en 1807, cuando finalmente se hizo efectivo su retorno.
El método de mínimos cuadrados
El problema que le propusieron a Gauss sobre el cálculo de trayectorias de planetas a partir de un número mínimo de observadores (al menos tres) era de una extraordinaria dificultad matemática, puesto que había que resolver seis ecuaciones con seis incógnitas. Estas ecuaciones son tan complicadas que hay que aproximar las soluciones, no es posible calcularlas con precisión la dificultad estriba en que el sistema de ecuaciones no es lineal, ya que la resolución de un sistema lineal de un problema con el mismo número de incógnitas que ecuaciones puede ser arduo, pero no ofrece dificultades técnicas. El cálculo original de la órbita de Ceres incluía, como casi todos los cálculos de Gauss, un uso habilísimo de interpolaciones y aproximaciones sucesivas. Cabe destacar el pragmatismo de Gauss, que usaba cualquier herramienta matemática disponible. Introdujo muchas ideas cuya justificación completa dista de ser trivial, pero que aplicó, sin embargo, de manera maestra.
En un primer paso, había que determinar la posible órbita, y a continuación, aún más complicado, la corrección gradual de la órbita. Básicamente hay tres tipos de órbitas posibles elípticas, parabólicas e hiperbólicas. Las técnicas existentes antes de Gauss habían obtenido algunos éxitos, como la determinación de la órbita de Urano, pero esta era particularmente sencilla, porque la suposición inicial de que era circular alrededor del Sol era bastante buena, ya que su excentricidad es muy pequeña, y además existían numerosas observaciones que podían corregir cualquier error. Con Ceres, Gauss solo contaba con 41 días de observación; además, su órbita presentaba un alto grado de excentricidad, por lo que la hipótesis circular en la que se basaron Olbers y Von Zach no era válida y de hecho les condujo a error. Gauss, al contrario que sus contemporáneos, no hizo ninguna suposición inicial. Su método de trabajo estaba basado solo en las observaciones que tenía, sin ninguna hipótesis adicional, y para su solución usaba métodos heurísticos, o sea haciendo mejoras de sus estimaciones paso a paso. En los métodos heurísticos se usa un método iterativo de manera que las soluciones parciales encontradas sirven de base para encontrar nuevas soluciones más cercanas a la solución real del problema
El método de mínimos cuadrados creado por Gauss es una técnica de análisis numérico encuadrada dentro de la optimización matemática. El objetivo es encontrar la función que mejor se ajuste a unos datos dados. La idea matemática es la siguiente: sean (x1, y1), (x2, y2),..., ( xn, yn) unas parejas de datos obtenidos de observaciones reales de una variable X y otra Y. Suponemos ahora que entre la variable X e Y existe una relación definida por una función f, de forma que f(xi) = yi. Para el caso del planeta Ceres que estudió Gauss, las parejas estaban formadas por la situación en el espacio (variable Y) y el tiempo (variable X). Determinar la trayectoria del planeta era equivalente a encontrar la forma de la función f, de manera que introduciendo el dato del tiempo (xi), pudiésemos calcular su situación partir del valor de f(xi). Lo que busca el método es encontrar la función que haga mínimos los errores o residuos, que se definen como la diferencia entre el valor real de la variable Y (la posición del planeta) y su estimación por medio de la función f. Dichos errores se notan como ei = yi - f(xi). La idea es que la suma de estos errores sea lo menor posible. Para que los errores no se compensen entre los negativos y los positivos, lo que se hace es elevarlos al cuadrado, procedimiento que cuenta con la ventaja adicional de que reduce la importancia de los errores más pequeños, la mayoría de ellos debidos a imprecisiones en la toma de datos. Así pues, el problema de los mínimos cuadrados se reduce a encontrar la función f de manera que se minimice la suma de los cuadrados de los residuos, o sea que:


Polémica con Legendre
La autoría del desarrollo del método de mínimos cuadrados dio lugar a una gran polémica con el matemático francés Adrien-Marie Legendre. Dicha polémica se debió a los métodos de trabajo de los matemáticos de principios del siglo XIX y especialmente a los de Gauss. La producción de matemática de Gauss iba a una mayor velocidad que sus publicaciones. Gauss, como otros muchos matemáticos contemporáneos, no publicaba de forma inmediata sus descubrimientos en artículos cortos, como se hace hoy en día, sino que esperaba a tener una gran colección de ellos para editar un libro completo con sus avances. A ello se unía su afán por no dar demasiadas pistas sobre su trabajo. En el caso del planeta Ceres dio la solución, que se reveló exacta, pero no explicó el método usado para llegar a las conclusiones que le dieron fama. Gauss no publicó sus trabajos sobre el método de mínimos cuadrados hasta 1809 en su Theoria motus corporum coelestium in section ibus conicis solem ambientiuvi (El movimiento de las secciones cónicas de cuerpos celestes del sistema solar) , casi una década después de usarlo en el cálculo de la órbita de Ceres. En esa publicación discute el método y alude a una publicación, de Adrien-Marie Legendre sobre el tema. De hecho, Legendre, aunque no fue el primero en utilizar el método, sí que fue d primero en publicarlo en Nouvelles méthodes pour la détermination des orbites des cometes (Nuevos métodos para la determinación de órbitas de cometas), que se publicó en 1805 (cuatro años antes de la publicación de Gauss) y fue el que le puso el nombre con el que se lo conoce hoy en día. Por ello, Legendre, a raíz de la publicación del libro de Gauss, le dirigió una carta de enhorabuena, reivindicando no obstante la autoría del método de los mínimos cuadrados.
En 1820, Legendre publicó un suplemento a su memoria de 1805, atacando de nuevo a Gauss por la prioridad de los mínimos cuadrados. El estudio posterior del cuaderno de notas de Gauss y el testimonio de Olbers, que aseguró que Gauss le había enseñado las notas del método en 1802, cuando ambos trabajaban en la determinación de la órbita de Palas, dan la razón a Gauss en la polémica. No fue la última vez en que estos dos grandes matemáticos polemizaron sobre la autoría de resultados matemáticos.
La disputa redundó en perjuicio del desarrollo de la matemática, pues Legendre contagió sus injustificadas sospechas de ser copiado por Gauss a su alumno más ilustre, Carl Gustav Jakob Jacobi, e impidió que este matemático, que más tarde iba a desarrollar las funciones elípticas, colaborara con Gauss, quien desde muy joven, como demuestra su cuaderno de notas, había trabajado en esas funciones. En este tema, y en otros que veremos posteriormente, Gauss marchó a la cabeza de Legendre. Sin embargo, cuando Legendre le inculpó de haber procedido mal, Gauss acusó el golpe. En una carta al astrónomo Heinrich Christian Schumacher (1780-1850) de 1806, se quejó de que:
Parece que es mi destino coincidir en casi todos mis trabajos teóricos con Legendre. Así ha ocurrido en aritmética superior, en las investigaciones sobre las funciones trascendentes relacionadas con la rectificación [el proceso de encontrar la longitud del arco de una curva] de la elipse, en los fundamentos de la geometría, y ahora otra vez aquí en el método de los mínimos cuadrados.Con la publicación detallada de los trabajos póstumos de Gauss y de gran parte de su correspondencia de los últimos años, todas estas antiguas disputas han sido resueltas en favor del matemático alemán.
Este tipo de polémicas era muy frecuente entre los matemáticos de la época, puesto que, además del retraso en la publicad de resultados, la comunicación entre científicos, mediante cartas, podía ser dificultosa, lo que daba lugar a que varios de ellos estuvieran trabajando en el mismo problema y llegaran de manera independiente a los mismos resultados. En la actualidad, con la ayuda de los medios electrónicos, especialmente Internet, y con la exigencia de publicar los resultados lo más rápido posible, un investigador matemático puede estar al día del trabajo de sus colegas de forma inmediata, evitando este tipo de discusiones.
Adrien-Marie LegendreLegendre (1752-1833) protagonizó con Laplace, Lagrange y Cauchy la edad de oro de la matemática francesa. Recibió una excelente educación en el Collége Mazarin de París, donde se doctoró en física y matemáticas en 1770. Desde 1775 hasta 1780 enseñó en la escuela militar y desde 1795 en la École Normal.En 1782 le fue concedido el premio ofrecido por la Academia de Berlín por su estudio sobre proyectiles. Hizo importantes contribuciones a la estadística, la teoría de números y el análisis matemático. Sus trabajos sirvieron de base para posteriores avances matemáticos. Los trabajos del noruego Niels Henrik Abel en las funciones elípticas se construyeron sobre los postulados elaborados por Legendre, que realizó una labor fundamental en este ámbito, incluyendo la clasificación de las integrales elípticas. Su obra en este campo fue completada por su alumno Carl Gustav Jakob Jacobi. Parte de la obra de Gauss sobre estadística y teoría de números complementaba la de Legendre, con el que tuvo diversas polémicas a lo largo de su vida sobre la preeminencia de los descubrimientos. En 1830 presentó una demostración para n = 5 de la entonces conjetura de Fermat. También realizó trabajos pioneros en te distribución de los números primos y en la aplicación del análisis a la teoría de números, en los que de nuevo coincidió con Gauss.
Aplicación del método de mínimos cuadrados a la estadística
Además de para el cálculo de órbitas espaciales, el método de mínimos cuadrados tiene una gran potencialidad en otros muchos campos de la matemática, especialmente en la estadística, como veremos. La resolución de las ecuaciones del método de mínimos cuadrados depende del conocimiento que tengamos de la función que liga a las variables de las que tenemos los datos, y de la complejidad de dicha función. El caso más sencillo es aquel en que la función es una recta, o sea Y = a + bX. El cálculo de los parámetros a y b se obtiene con un cálculo sencillo a partir de n parejas de datos bidimensionales (x1 , y1), (x2, y2),..(xn, yn) Aplicando la técnica de mínimos cuadrados obtenemos, después de derivar e igualar a cero, unas ecuaciones conocidas por el nombre de ecuaciones normales.





Representación de los puntos y la recta de regresión calculada por el método de los mínimos cuadrados.
Y = 0.808×179 - 68,021 = 75,71.
Cuanto más compleja sea la fundón f, más difíciles serán los cálculos, pero mayor precisión obtendremos en los resultados. Una parte fundamental de la estadística es hacer inferencias, o sea, sacar conclusiones de los parámetros de una población a partir de una muestra representativa. Estas conclusiones se extraen mediante una función de la muestra llamada estimador (y que se supone estima el comportamiento de la población objetivo). Pues bien» dentro de la inferencia estadística tiene un papel fundamental el teorema de Gauss-Markov. Dicho teorema afirma que, bajo determinadas hipótesis, el estimador obtenido por método de mínimos cuadrados es óptimo.La «Theoria Motos Corporum Coelestium»
Como ya hemos dicho, en 1807 Gauss volvió a Gotinga con el cargo de director del observatorio astronómico. Aunque estuvo interesado por la astronomía toda su vida, y de hecho eso mermó su posibilidad de hacer más aportaciones a la matemática tradicional, es en estos primeros anos en Gotinga cuando dedicó sus mayores esfuerzos a la recopilación de sus trabajos previos sobre astronomía y a realizar nuevas aportaciones. Así, en 1809, Gauss publicó su obra más importante de contenido astronómico: Theoria motus corporum coelestium in sectionibus conicis Solem ambientium. Contiene los resultados obtenidos por Gauss, pero como es habitual, no siempre incluye los métodos usados para llegar a sus conclusiones.
El libro se publicó en latín, aunque la primera versión de Gauss había sido escrita en alemán, pero el editor consideró que era más fácil de vender en latín por ser posible una mayor difusión.
Gauss y su campanaGauss no fue el descubridor de la curva que lleva su nombre. La distribución normal o curva de Gauss, como pasó a conocerse, también conocida por campana de Gauss en estadística, fue presentada por primera vez por Abraham de Moivre (1667-1754) en un artículo del año 1733, bastantes años antes de que Gauss viera la luz. La función de densidad de una distribución normal (que describe la probabilidad de que encontremos valores de la variable en un determinado conjunto), que aparece de manera natural en el estudio del comportamiento de fenómenos reales, es:donde μ y σ2 son la media y la varianza de la distribución. Su representación aparece en la figura siguiente, con μ = 0.
Los motivos por los que Gauss aparece en el nombre de esta distribución son dos: por una parte, usó profusamente la distribución normal en el análisis de errores de experimentos cuando analizaba datos astronómicos, y, por otra, existe un tipo de funciones denominadas gaussianas (en honor de Gauss), de las cuales la distribución normal no es más que un caso particular con los valores de
En la distribución normal la mayoría de los valores de la variable se agrupan en torno a los valores centrales, por lo que la gráfica alcanza mayor altura. Cuanto más nos alejemos de estos valores, menos probable es encontrar datos, por lo que la gráfica es decreciente a! separarnos del valor de la media.
La materia principal de la obra es la determinación de las órbitas elípticas e hiperbólicas de los planetas y cometas, usando solo un número mínimo de observaciones y sin suposiciones adicionales. En el prefacio, Gauss recuerda el ejemplo de Ceres, que tanta fama le había procurado» El libro tiene un marcado carácter pedagógico, con numerosos ejemplos de aplicación. Está dividido en dos partes; una primera que contiene el material preliminar y otra con te soluciones del problema general, Es la primera aplicación rigurosa de las leyes de Kepler para el cálculo de las órbitas de los cuerpos celestiales. Hasta los métodos descubiertos por Gauss, como el de los mínimos cuadrados, los astrónomos usaban métodos que cariaban caso a caso sin buscar una regla general. La contribución esencial de Gauss es una combinación de conocimientos teóricos, una facilidad inusual para los cálculos algebraicos y su experiencia práctica en astronomía. A diferencia de sus predecesores (incluyendo a Isaac Newton, que había resuelto problemas similares mediante una aproximación geométrica), Gauss no presupone el conocimiento del tipo de órbita del objeto observado. Esto complica los cálculos, pero permite abordar el problema sin saber si el objeto estudiado es un planeta, un cometa o un asteroide, lo que no siempre es fácil con pocas observaciones.
Las cuatro secciones de la primera parte del libro describen los movimientos de un cuerpo celestial alrededor del Sol. La sección I contiene muchas de las definiciones necesarias, como radio o excentricidad, por ejemplo, además de las fórmulas trigonométricas para describir la posición de un cuerpo en un punto dado de su órbita. También aporta consejos prácticos sobre los métodos para extrapolar tablas numéricas y para aproximar parábolas con elipses e hipérbolas. La sección II está dedicada a la determinación del lugar de un cuerpo celestial como una función de tres coordenadas. Gauss comenzó con la definición: de los siete parámetros que definen el movimiento de un cuerpo celestial, longitud media, movimiento medio, semieje mayor, excentricidad, longitud del nodo ascendente, inclinación de la órbita y masa. Luego describe las relaciones entre esos elementos y explicó los criterios para la identificación de las diferentes secciones cónicas. Y para terminar la sección, estableció las ecuaciones diferenciales del movimiento de un cuerpo celeste, dando algunos ejemplos prácticos. En la sección III entró en el problema del cálculo de la órbita a partir de varias observaciones y cómo encontrar todos los parámetros que describen el movimiento del cuerpo mediante relaciones matemáticas. En la última sección se ocupó del caso de varias observaciones que estén en el mismo plano que el Sol (como ocurre con el movimiento de la Tierra, por ejemplo), para las que dedujo sus relaciones trigonométricas. Esta sección es corta y concluye con la ecuación para órbitas elípticas.
«El principio consiste en que la suma de los cuadrados de las diferencias entre lo observado y las cantidades calculadas debe ser mínimo.»Después de la preparación de la primera parte del libro, Gauss abordó en la segunda parte el problema principal: la determinación de la órbita de un cuerpo celestial a partir de observaciones.
Gauss, definición del método de mínimos cuadrados.
El problema es resuelto en dos pasos: en el primero se calcula una solución aproximada a partir de tres o cuatro observaciones, y en el segundo va mejorando este primer resultado con la ayuda de los restantes datos observados. Los apartados 1 y 2 de esta sección del libro se ocupan del primer paso, y el 3 y el 4, del segundo.
Como hemos mencionado anteriormente, son siete los elementos del movimiento que se han de calcular para determinar la órbita. En la sección 1 de la segunda parte del libro, Gauss explica cómo calcular seis de ellos usando tres observaciones; el séptimo, la masa, se ha de determinar de forma independiente. Teniendo en cuenta que cada observación proporciona dos parámetros, longitud y latitud, tres observaciones son suficientes para los cálculos, salvo que la órbita observada se encuentre en la eclíptica o muy próxima a ella Cuando se habla de eclíptica nos referimos al plano en el cual la Tierra se desplaza alrededor del Sol describiendo una elipse. Para tratar este caso, que es el objeto de la sección II de la segunda parte, es para lo que se necesitan cuatro nuevas observaciones independientes. Gauss consideró el caso de cuatro observaciones independientes, de las cuales solo dos están completas. Metodológicamente no es novedoso respecto a lo visto anteriormente, pero es importante si la órbita mencionada es próxima a la eclíptica de la Tierra. En tal caso, errores pequeños en las observaciones pueden llevar a cálculos erróneos, si se trabaja solo con las cuatro observaciones mencionadas.
Las últimas dos secciones del libro están dedicadas a los métodos de mejora del cálculo aproximado de las órbitas calculadas en las dos primeras secciones. En la sección III Gauss publicó por primera vez el método de mínimos cuadrados, como su herramienta más eficiente para la mejora del cálculo de órbitas. Como ya hemos visto, este principio fue usado con éxito para el cálculo de la órbita de Ceres, precediendo en su uso a Legendre, aunque no en su publicación. En la sección IV, que es bastante corta, Gauss hizo algunas observaciones sobre las perturbaciones de las órbitas elíptica causadas por la influencia de planetas mayores, lo que le permití hacer el cálculo de la masa de Júpiter a partir de la órbita de Ceres, aunque sin entrar en demasiados detalles. El libro termina con una serie de larguísimas tablas que clarifican las relaciones entre los diversos parámetros que definen una órbita.
Se puede afirmar que Theoria motus corporum coelestium in sectionibus conicis solera ambientium fue el más importante influyente texto astronómico hasta bastantes décadas después de su publicación. Gauss marcó el inicio de la astronomía moderna y también en el planteamiento de un nuevo estándar de exigencia, precisión y fidelidad en las observaciones astronómicas y en su reducción. El método de mínimos cuadrados resultó ser una herramienta básica: inicialmente solo una técnica, pero se transformó en uno de los pilares de la filosofía natural de Gauss, que la usó en numerosas ocasiones. Y también llegó a ser un instrumento indispensable en otras muchas ramas de las matemáticas.
Como astrónomo, Gauss realizó también experimentos sobre la modificación de la gravedad por la rotación terrestre, la determinación de la longitud geográfica, la identificación de cometas, el análisis de las dificultades en la óptica de los telescopios.
Capítulo 4
Poniendo orden entre los números primos
Todo número se puede descomponer en primos, lo que convierte a estos últimos en la base misma de la aritmética. Sin embargo, no es sencillo saber si un número de gran tamaño es primo, ni disponemos de fórmulas que generen primos de forma ininterrumpida y ni siquiera sabemos cuál es su distribución. Al abordar el problema, Gauss tuvo la lucidez de buscar nuevos caminos y poner orden donde hasta entonces solo había caos.Como hemos visto, Gauss dedicó su interés a áreas matemáticas muy diversas: álgebra, aritmética, astronomía, construcciones con regla y compás y alguna más. Pero si de un tema se puede decir que fue una constante en su vida científica, este sería el estudio de los números primos y sus propiedades. Bien podríamos decir que si Gauss hizo de la teoría de números «La reina de las matemáticas », las mejores joyas que adornaban a esa reina eran los descubrimientos sobre los números primos» los números que habían fascinado (y atormentado) a generaciones enteras de matemáticos.
La prueba más antigua del interés de la humanidad por los números primos es un hueso que está datado en el año 6600 a.C. El hueso de Ishango se descubrió en 1960 en África ecuatorial, tiene grabadas varias columnas con distintas muescas. Lo interesante es que en una de sus columnas tiene 11, 13, 17 y 19 marcas, que son los números primos que están entre 10 y 20. También la antigua civilización china se sintió atraída por el estudio de los números primos. Para los chinos tenían cualidades viriles, porque no se dejaban descomponer en producto de números menores. Sin embargo, fueron los antiguos griegos los que encontraron la primera propiedad importante de los números primos: todo número natural se puede descomponer de forma única como producto de números primos. Por así decirlo probaron que los primos eran los elementos que construían toda la aritmética de los números, al igual que los elementos químicos de la tabla periódica constituyen la base de todo el universo.
Hasta donde se sabe, Eratóstenes (276 a.C.-194 a.C.), el bibliotecario de Alejandría, fue el primero en construir tablas de números primos en el siglo III aC. Ideó un procedimiento razonablemente sencillo para saber qué números eran primos entre dos cantidades, por ejemplo 1 y 1000. Dejando aparte el número 1, que no todos los matemáticos consideran primo, buscaba el primer primo, el número 2. A partir de ahí, tachaba todos los números que fuesen múltiplos de 2 (los pares) y que, por tanto, ya no podían ser primos. Con la lista de números no tachados, buscaba el primer número no tachado, que era automáticamente primo, en este caso 3, y volvía a proceder de la misma manera, tachando todos los múltiplos de 3. Eratóstenes seguía con este procedimiento sabiendo que el primer número de su lista de números no tachados era primo (siguen el 5, 7, 11...) y que era el que determinaba cuáles serían los siguientes en ser quitados de la lista (todos sus múltiplos). Con este procedimiento sistemático construyó tablas de números primos. El método recibió el acertado nombre de criba de Eratóstenes, pues se construía una red que descartaba los números que no podían ser primos, de la misma forma que el cedazo de los mineros les ayuda a buscar las pepitas de oro. Obviamente en cada fase la malla de Eratóstenes cambia de dimensión, por lo que el proceso se acelera.
Euclides también se ocupó de los números primos y se hizo la siguiente pregunta: ¿es infinito el conjunto de los números primos? ¿Habríamos de seguir encontrando primos indefinidamente en el conjunto de los números naturales o, por el contrario, hay un momento en que estos dejan de aparecer? La pregunta tiene respuesta y Euclides la encontró: el conjunto de números primos es infinito. El matemático griego lo expresó diciendo que la cantidad de números primos es mayor que cualquier número que se pueda pensar. La demostración es bastante elemental y prueba la potencia del razonamiento matemático, que es capaz de responder a esta pregunta sin necesidad de encontrar números primos más grandes cada vez.
El conjunto de números primos es infinitoSe hace por reducción al absurdo. Suponemos, en primer lugar, que el conjunto de los números primos es finito, o sea P = {2,3, …, pj,.... pn} es el conjunto de todos los primos que existen y pn es el mayor de ellos. Se considera el producto de todos ellos más uno, o sea calculamos q = 2×3×…× pj ...×pn+1 Este número es obviamente mayor que 1 y que pn por lo que no puede ser primo, pues entonces tendríamos un primo mayor que el máximo pn. Así pues, hay que suponer por el contrario que q es un número compuesto. Como todo número compuesto se puede descomponer en producto de números primos menores que él, eso significa que todos los factores primos de q están en el conjunto de primos P. Por tanto, existe al menos un elemento del conjunto P,que notamos por pj que divide a q. Pero por construcción pj también divide al producto 2 × 3 × …× pn, ya que pj es uno de los factores de ese producto. Lo que significa que pj divide a q y a q - 1, por lo que debe dividir a su diferencia que es 1, pero ningún número primo mayor que 1 divide a 1. Es decir, se ha llegado a un absurdo. La consecuencia es que el conjunto P que se escogió no es exhaustivo, ya que existen números primos que no pertenecen a él. y por tanto el conjunto de números primos es infinita.
Con la argumentación de Euclides se desvanecía la posibilidad de construir una tabla que contuviera todos los números primos, y por tanto la posibilidad de encontrar la forma mágica que nos permitiera describirlos se desvanece. Mucho más fuerte que el resultado de Euclides es el que demostró Euler en 1737, que dice que la suma de los recíprocos de los números primos diverge. Lo que expresado mediante fórmula matemática queda:

Cuando Gauss era joven recibió como regalo un libro que contenía una lista de varios millares de números primos, posiblemente determinados con algún tipo de criba numérica del tipo las usadas por Eratóstenes. Gauss observó que los números aparecían de forma desordenada. Parecía casi imposible determinar cuál era su patrón de comportamiento o determinar la fórmula que permitiese encontrarlos en el conjunto infinito de los números naturales. Para un científico que había determinado la órbita cuerpos celestes a partir de unas cuantas observaciones, parece un reto hecho a su medida. La idea de que los matemáticos podían encontrar reglas en la distribución de los números primos aguijoneaba la mente de Gauss. Su reto era encontrar orden y regularidad donde solo parecía haber caos.
«Cualquier bobo puede plantear preguntas sobre los números primos a las que la persona más inteligente no puede responderDurante generaciones se había intentado comprender los números primos y se habían realizado especulaciones interesantes Por ejemplo, existe una conjetura que dice que es posible encontrar infinitos números primos gemelos (separados por dos unidades), es decir, sí p es primo también lo es p + 2. Se han encontrado parejas de primos gemelos en valores muy avanzados, como la formada por 1000037 y 1000039. Euclides demostró hace más de dos mil años que hay infinitos números primos, pero nadie sabe si existe un número más allá del cual no hay más de esas parejas de primos vecinos. Y es que en matemáticas una cosa son las conjeturas y otra bien distinta los teoremas, separados de las primeras por el abismo de la demostración, Es por ello por lo que la demostración matemática es la base fundamental del avance de dicha ciencia.
Godfrey Harold Hardy (1877-1947) en referencia a los números primos.
Una de las primeras cuestiones que intentaron los matemáticos fue encontrar fórmulas que proporcionaran una lista ilimitada de números primos. Era un objetivo más modesto que el de encontrar una fórmula general que generara todos los números primos, lo cual es imposible, y a ello se aplicaron grandes matemáticos. Fermat creyó haber hallado una: su idea era sumarle 1 a un tipo especial de potencias de 2. Según Fermat, los números de la forma n + 1, siendo n un número natural, que notaremos porFn y llamamos primos de Fermat o números de Fermat, eran siempre primos. Para potencias bajas de dos el sistema funciona, y así con n = 1 obtenemos 5; para n = 2, obtenemos 17. Fermat estaba convencido de que su fórmula siempre proporcionaría un primo, pero no tenía medios para comprobarlo experimentalmente, ya que el tamaño de los números aumentaba rápidamente y era imposible calcularlos. Sin embargo, en esta ocasión su intuición no era cierta. El quinto número primo de Fermat, que tiene 10 cifras y por tanto no era calculable para él, ya no es primo, porque es divisible por 641, como probó Euler. Como se había encontrado lo que en matemáticas se llama un contraejemplo, la intuición de Fermat dejó de ser una conjetura y pasó a ser simplemente una proposición falsa. Es por ello por lo que algunos autores se resisten a llamarlos primos de Fermat y aluden a ellos como números de Fermat.
Los números de Fermat fueron muy estimados por Gauss, pero él les dio un uso diferente. En las Disquisitiones arithmeticae, Gauss demostró que si un número de Fermat es primo, es posible construir un polígono regular con ese número de lados con regla y compás. Diecisiete son los lados del polígono cuya construcción dio a conocer el nombre del joven Gauss, y 17 es el segundo número de Fermat. El cuarto número de Fermat, 65537, es primo, y ello significa que se puede construir un polígono regular perfecto con ese número de lados. Obviamente se necesita mucha precisión y paciencia para lograrlo, pues ya vimos que el encargado de grabar la lápida de Gauss renunció a hacerlo con los 17 lados.
Así pues, aparte del uso que Gauss le dio a la fórmula de los números primos de Fermat, el procedimiento se reveló bastante ineficaz para lo que se había concebido. Este es un templo más de que teorías matemáticas que pueden considerarse de poca utilidad pueden encontrar su aplicación en el futuro. Es por ello por lo que a los matemáticos les cuesta tanto calificar de poco útiles las matemáticas que hacen, por teóricas que sean.
Fermat trató de determinar algunas de las propiedades de lo primos que, como 5, 13, 17 o 29, al dividirlos por 4 dan de resto 1. Tales números se pueden escribir como suma de cuadrado (13 = 32 + 2 2, 29 = 22 + 52, etc.). Así que Fermat conjeturó que la suma de cuadrados daba números primos e incluso afirmó poseer una demostración. Efectivamente, Fermat era muy dado a construir conjeturas y a sobreestimar su capacidad de demostrarlas, ya que por ejemplo 25=42+32 no es primo. De hecho, como ya se ha comentado, muchos matemáticos de esa generación no proporcionaban la demostración de propiedades que decían haber descubierto.
El día de Navidad de 1640, Fermat escribió sobre su descubrimiento (que ciertos primos se podían expresar como suma de cuadrados) en una carta que envió al monje Marín Mersenne, que era también músico. Mersenne era interlocutor habitual de muchos matemáticos de la época y tuvo correspondencia con casi todos los franceses e incluso alguno de fuera, como Galileo Galilei (1564-1642). El grupo de matemáticos que se unieron a través de la correspondencia con Mersenne fue el germen de la Academia de Ciencias de París.
Mersenne también se interesó por la cuestión de construir números primos e ideó una fórmula que se reveló más útil que las pensadas por Fermat. Partía de considerar las potencias de 2, pero en lugar de sumar 1 al resultado como hacía Fermat con sus primos, decidió restarlo. Por ejemplo 23- 1 = 7, que es primo. Mersenne descubrió en seguida que su fórmula no siempre daba un número primo, ya que 24 - 1 = 15, que no es primo. Entendió que necesitaba alguna condición adicional e impuso que la potencia de 2 fuese a su vez un número primo. Así afirmó que para valores de n no superiores a 257, los números de la forma 2n- l eran primos sí y solo si n era primo. O sea, una caracterización matemática, pues contiene una condición necesaria y suficiente. Su teorema tenía una única excepción pues 211 - 1 = 2047, que es el producto de 23 por 89, así que no es primo. Y en matemáticas, la excepción no confirma la regla. En consecuencia, el teorema era falso. Lo que sigue siendo un misterio es cómo pudo afirmar Mersenne que 2257 - 1 era primo, dado que es un número de setenta y siete cifras, absolutamente fuera de sus posibilidades de cálculo.
La Academia de Ciencias de ParísLa Academia de Ciencias fue fundada en París en el año 1666 por Colbert, ministro de finanzas de Luis XIV. En su creación tuvo mucha importancia el grupo de matemáticos que se relacionaban a través de su correspondencia con Marín Mersenne (1588-1648), reproducido en el grabado de la derecha. Entre los miembros más importantes de su primera época estaban René Descartes, Pierre de Fermat y Blaise Pascal (1623-1662).Desde su creación incluía miembros no franceses, como el holandés Christiaan Huygens (1629-1695), que tuvo durante toda su vida una ayuda económica de la Academia. En 1699 la Academia fue reorganizada bajo el patronato real de Luis XIV y se ubicó su sede en el palacio del Louvre. Estaba dividida en dos categorías principales, ciencias matemáticas y ciencias físicas, que a su vez se subdividían en tres ramas: geometría, mecánica y astronomía, en la parte de ciencias matemáticas, y química; botánica y anatomía, en la de cencías físicas. La geometría ha de entenderse en el sentido de la Grecia clásica y comprendía todas las ramas de las matemáticas. Durante el siglo XVIII contribuyó al movimiento científico de su tiempo por medio de sus publicaciones. Además realizaba acciones de asesoría científica para el poder político. Tras la supresión de las academias que siguió a la Revolución, en 1816 recuperó su autonomía y se unió al Instituto de Francia, estatuto que conserva en la actualidad.
El incentivo de los premios
En 1721 la Academia había establecido un prestigioso sistema de premios, que perduró en el tiempo. Estos premios fueron de gran Impacto en el desarrollo de las matemáticas y otras ciencias, y dieron lugar a trabajos de destacada importancia en diversas áreas, Existía un comité de expertos para juzgar cada gran premio y sus archivos guardan detalles de las deliberaciones de los encargados de concederlos. Algunos años la Academia decidía sobre qué tema deberían remitirse los trabajos que optasen al premio, como por ejemplo en 1816 y 1857, que se dedicó a la solución del último teorema de Fermat que, por supuesto, no ganó nadie. Gauss nunca optó a dicho premio, pues mantenía una cierta distancia con las instituciones francesas, debido a las guerras que Francia mantuvo con su país.
En parte, las ideas de Mersenne siguen siendo estudiadas, pues no se sabe si su fórmula seguirá proporcionando números primos de forma indefinida. Aún se está a la espera de que se demuestre que los primos de la forma 2n-l, con n primo, no se acabarán nunca.
La pasión de Euler por los números primos había sido estimulada por su correspondencia con Christian Goldbach, que era secretario de la Academia de Ciencias de San Petersburgo.
Goldbach, al igual que Mersenne, no era un matemático profesional, pero encontraba fascinante jugar con números y ejecutar experimentos numéricos. Fue a Euler a quien primero comunicó Goldbach su famosa conjetura. Euler utilizó a Goldbach para ayudarle a verificar sus demostraciones sobre números primos, ya que sus argumentaciones contenían pasos que no eran totalmente rigurosos. En particular estuvo muy interesado en algunas de las conjeturas de Fermat sobre estos números.
La Academia de Ciencias de San PetersburgoLa Academia de Ciencias fue fundada por Pedro I en San Petersburgo en enero de 1724 y mantuvo este nombre de 1724 a 1917. Los primeros invitados a trabajar en ella fueron reconocidos científicos europeos, como los matemáticos Leonhard Euler, Christian Goldbach, Nicolás y Daniel Bernoulli, el embriologista Gaspar Friedrich Wolff (1734-1793), el astrónomo y geógrafo Joseph-Nicolas Delisle (1688-1768), el físico Georg Wolfgang Krafft (ca. 1700- 1754) o el historiador Gerhard Friedrich Müller (1705-1733). Gauss fue uno de los científicos relevantes que fue invitado a la Academia, con motivo de la celebridad alcanzada con el cálculo de la órbita de Ceres, aunque rechazó tal invitación. La Academia ha realizado una gran labor de promoción de las ciencias qua admite pocas comparaciones, tanto a nivel europeo como mundial. Mantuvo su actividad, a pesar de las convulsiones a las que se vio sometida Rusia, hasta 1934, cuando su sede se trasladó a Moscú con la mayoría de los institutos de investigación de la Unión Soviética.
A Euler el trabajo con números primos se le daba especialmente bien, pues le permitía aprovechar sus excepcionales capacidades de cálculo, y era muy hábil manipulando fórmulas para que aparecieran las conexiones que ocultaban. Otro colega matemático, François Arago (1786-1853), uno de los reformadores de la Academia de Ciencias de París, dijo de él: « Euler calcula sin esfuerzo aparente, como los hombres respiran o las águilas se sostienen con el viento ».
Euler disfrutaba calculando números primos, ocupación a la que Gauss también dedicaba su tiempo. Confeccionó tablas de todos los primos menores de 100 000 y de algunos mayores. Entre otras cosas, como ya hemos visto anteriormente, consiguió demostrar que el quinto primo de Fermat no era primo por procedimientos teóricos, porque su capacidad de cálculo no alcanzaba la magnitud del número. Uno de sus descubrimientos más curiosos fue una fórmula que parecía generar una cantidad enorme de números primos. En 1772 calculó todos los resultados que se obtienen cuando a x se le dan valores entre 0 y 39 en la ecuación x2 + x + 41. Obtuvo la siguiente lista:
41, 43, 47, 53, 61, 71, 83, 97, 113, 131, 151, 173, 197, 223, 251, 281, 313, 347, 383, 421, 461, 503, 547, 593, 641, 691, 743, 797, 853, 911, 971, 1033, 1097, 1163, 1231, 1301, 1373, 1447, 1523, 1601.
Todos ellos eran números primos. Parecía un inicio prometedor, pero con los valores de x = 40 y x = 41 la fórmula encontraba números que no eran primos. Y es que de nuevo los primos se resistían a revelar una fórmula que los produjera de forma constante y sin fin. Descubrió, además, que cambiando el término independiente de la ecuación y poniendo 2, 3, 5, 11, 17 en vez de 41 también obtenía números primos, pero siempre se terminaba por interrumpir la serie. Eso hizo que Euler en 1751 escribiera: « Hay algunos misterios que la mente humana no penetrará jamás. Para convencernos de ello basta con que echemos un vistazo a las tablas de números primos. Observaremos que en ellas no reina orden ni ley ». Si el gran Euler tira la toalla es que el problema es serio. Así estaban las cosas cuando Gauss se interesó por la cuestión. Y conste que él sentía una admiración enorme por Euler, del que había dicho, refiriéndose a la teoría de números, que:
Las particulares bellezas de estos campos han atraído a todos los que se han dedicado activamente a su cultivo; pero ninguno ha expresado este hecho tan a menudo como Euler quien, en casi todos sus numerosos escritos dedicados a la teoría de números, cita continuamente el placer que obtiene de esas investigaciones, y el grato cambio que halla respecto a las labores más directamente ligadas a aplicaciones prácticas.Las conjeturas de Gauss sobre los números primos
Durante muchos siglos se había tratado, sin éxito, de conseguir fórmulas que proporcionaran números primos de forma ilimitada Gauss aportó al problema un nuevo enfoque y una estrategia distinta. Desde muy joven, Gauss había demostrado su genialidad para encontrar caminos nuevos con los que abordar los problemas, huyendo de lo evidente y demasiado trillado. Así, Gauss abandonó la búsqueda de fórmulas que proporcionasen números primos, un camino que había acabado siempre en callejones sin salida, y trató de encontrar un orden en la distribución de los números primos, y si era posible, las expresiones matemáticas que definiesen ese orden. Este cambio supuso un punto de inflexión en el tratamiento del problema y se revelaría muy acertado, proporcionando materia de estudio a nuevas generaciones de matemáticos y propiciando descubrimientos que aún hoy dan sus frutos. La idea de Gauss era relacionar la distribución de los números primos con los logaritmos de base e, tal y como veremos. La idea surgió muy pronto en su despierta mente matemática, aunque tardaría años en madurar y sus consecuencias le trascenderían y llegarían a sus alumnos.
A sus catorce años, Gauss recibió como regalo un libro de logaritmos, una herramienta imprescindible para todo aquel que se interesaba por la aritmética. Los logaritmos han perdido con las modernas calculadoras matemáticas parte de su utilidad, y ahora no se estudian con la intensidad con la que se hacía en décadas pasadas. La razón es que los logaritmos permitían una gran simplificación en las operaciones matemáticas.
Aplicaciones de los logaritmosDados dos números reales b y z diremos que z es el logaritmo de x con base b si b elevado a z da x. En expresión matemática:logb x = z ↔ bz = x
Los logaritmos tienen dos propiedades que los hacen muy adecuados para hacer operaciones aritméticas de forma cómoda. Por una parte, el logaritmo de un producto es la suma de logaritmos y su división se convierte en una diferencia. Así:lo que permitía calcular multiplicaciones y divisiones como sumes y restas con la ayuda da las tablas de logaritmos, por lo que en el pasado todos los escolares las utilizaban en sus estudios. Gracias al diálogo que los logaritmos permiten entre la multiplicación y la suma se dinamizó la navegación y el comercio; las tablas de logaritmos y sus inversos se volvieron muy populares. La primera tabla de logaritmos se concibió en 1614, por el escocés John Napier (1550-1617). Los matemáticos se dieron cuenta de que la base de un logaritmo podía cambiarse, haciéndose muy popular, por su gran utilidad, el logaritmo con base e, un número irracional que toma el valor de 2,718182…, determinado por primera vez por Euler, y que está presente en numerosas expresiones matemáticas. El número e puede obtenerse a través del cálculo:
donde n! es el factorial del numero natural n,
Los logaritmos en base e son conocidos, en honor a Napier, como logaritmos neperianos y se notan por ln.
El libro de logaritmos contenía también una tabla de números primos al final, así que la aguda mente de Gauss empezó a especular sobre si existía alguna relación entre los dos tipos de tablas. Y esa fue su gran aportación al tema de los números primos. En lugar de intentar prever la posición precisa de un primo respecto al anterior, intentó comprender si era posible averiguar cuántos primos existían inferiores a 100, o a 1000 o en generala cualquier número dado. ¿Había alguna manera de estimar cuántos números había comprendidos entre 1 y N para un N natural dado? Para ello definió la función:
![]()

Eso dio pie a que Gauss formulase la siguiente hipótesis: para, números comprendidos entre 1 y N, la separación media de los primos será ln (N). En consecuencia, podíamos estimar el valor de la función π, como:

Una vez más, sin embargo, Legendre volverla a cruzarse en sus investigaciones. El matemático francés también estaba interesado en la teoría de números y en 1798, con seis años de retraso con respecto a Gauss, anunció un nexo experimental entre números primos y logaritmos. La estimación que propuso Legendre era mejor, puesto que la estimación de Gauss se comprobó que se alejaba progresivamente de los valores reales a medida que se alejaba de N. La fórmula de Gauss, por su parte, los subestimaba, como podemos ver en la figura siguiente:


Por ese motivo, no es de sorprender que Gauss dedicara los últimos años de su vida a perfeccionar su estimación, buscando una fórmula más precisa y mejor fundamentada matemáticamente. Así que se planteó el problema como un cálculo de probabilidades. Era evidente que cuando aumentaba N, la probabilidad de encontrar un primo disminuía, la idea era usar probabilidades basadas en la expresión
1 / ln (N)
así, la estimación de Gauss tenía una nueva expresión:

Con la ayuda de modernos métodos de cálculo se comprobó que la estimación de Gauss de los números primos menores que 10 16 se aparta del valor correcto en apenas una diezmillonésima del 1%, mientras que la estimación de Legendre multiplica por varios miles de millones esta desviación. Podemos afirmar que la estimación de Gauss, basada en razonamientos de tipo matemático, superó los ajustes de Legendre para hacer coincidir su función con los datos disponibles hasta ese momento.
Además de esta primera conjetura, de que la función π(N) podía ser estimada con precisión por Li(N) sin tener límites para N. Gauss hizo una segunda, pues creía que la función Li(N) terminaría por sobreestimar la cantidad real de números primos (siempre en porcentajes infinitesimales) y que esta tendencia sería uniforme. Esta segunda afirmación recibió el nombre de segunda conjetura de Gauss. Y su demostración o refutación no era tarea sencilla, habida cuenta de que los cálculos de los más modernos ordenadores no la desmienten. Sin embargo, la confirmación o no de las conjeturas de Gauss habría que hacerla mediante demostraciones matemáticas: no se podía dejar a su comprobación experimental, porque por más larga que fuese la tabla de números primos construida, siempre se tendría la duda de si al aumentar el alcance de las tablas seguiría dándose la misma ocurrencia. Para los matemáticos, que se pueda comprobar experimentalmente para números inimaginables por su tamaño no es suficiente. Es la diferencia de las matemáticas con otras ciencias y no parece que se vaya a renunciar a ella.
En la comprobación de las conjeturas de Gauss tendría un papel destacado quien posiblemente fue su mejor alumno, Bernhard Riemann.
La hipótesis de Riemann
En 1809, Wilhelm von Humboldt (1767-1835) se convirtió en ministro de Educación de Prusia y revolucionó el sistema educativo. El estudio de las matemáticas constituyó por primera vez una parte importante de los nuevos Gymnasium y universidades; se animaba a los estudiantes a estudiar matemáticas por su valor en sí mismas, y no solo como ciencia auxiliar al servicio de otras disciplinas. Esta actitud contrastaba con la que se había tenido durante el dominio francés, donde el conocimiento utilitarista era el que primaba. Uno de los beneficiados por este cambio de actitud fue Riemann, que había nacido en 1826 y era uno de los estudiantes de matemáticas más dotados del momento en Alemania. Cuando terminó sus estudios en Lüneburgo, en el estado de Hannover» se matriculó, en 1846, en la Universidad de Gotinga por deseo expreso de su padre, un eclesiástico que prefería esa universidad porque en ella se enseñaba teología. Esta decisión pondría en contacto a Riemann con un Gauss ya anciano. De hecho, poco después de llegar, su padre hubo de dar permiso al joven Bernhard para cambiar los estudios de teología por los de matemáticas. Riemann completó su formación en la Universidad de Berlín durante dos años, pues Gotinga ofrecía, salvo el anciano Gauss, escasos estímulos intelectuales según su parecer. En Berlín trabó contacto con Dirichlet, que sería el sustituto de Gauss en Gotinga, y quien le propuso los primeros problemas de números primos. Durante su estancia en Berlín consiguió estudiar los papeles de Gauss sobre sus conjeturas sobre los números primos.
Riemann volvió a Gotinga en 1849 para completar su tesis doctoral y someterla al criterio de su maestro Gauss. Logró presentar su tesis en 1854, un año antes de la muerte de Gauss.
Cundo Riemann empezó a hacer sus aportaciones sobre números primos estaban pendientes de ser demostradas las dos hipótesis de Gauss, que eran en primer lugar que la fundón π(N) podía ser estimada con precisión por Li( N) para cualquier N, o sea que su diferencia era un infinitésimo, lo que significa que su límite era cero. Y la segunda que Li(N) ≥ π(N) para cualquier valor de N. Para abordar el problema Riemann definió su famosa función zeta, que está definida de la siguiente manera:


El interés de los matemáticos por esta suma infinita, lo que se conoce en matemáticas por una serie, proviene del mundo de la música y su origen es anterior a Euler, aunque fuera este quien la estudiara de manera más profunda y encontrara los primeros resultados que la ligaban con los números primos. Pitágoras comprobó que el sonido que emitía un recipiente con agua dependía de la cantidad de liquido que contuviera Así, se dio cuenta de que los sonidos eran armoniosos si la cantidad de agua era una fracción del total cuyo numerador fuese 1.0 sea, 1, 1/2, 1/3, 1/4,... Pitágoras llamó a esta serie, por sus virtudes musicales, armónica. La suma de la serie armónica era el resultado de darle a x el valor 1 en la función zeta de Euler. Se puede probar que la suma de esa serie es infinito. Podría pensarse que ese es un resultado evidente, pues si sumamos un número infinito de términos positivos, necesariamente la suma cada vez será mayor y terminará divergiendo, o tomando valor infinito. Lo cierto es que no es así para x = 2 la serie converge. De hecho, Euler demostró que el valor de

Sin duda, el primer gran resultado que liga a la función zeta con los números primos fue el obtenido por Euler en 1737, que afirma;


Euler y la tortugaZenón de Elea (ca 490 a.C-ca. 430 a.C) fue un filósofo griego que ideó una serie de paradojas, ó aporías, para apoyar la doctrina de su maestro Parménides, que afirmaba que las sensaciones que obtenemos del mundo son ilusorias, y concretamente, que no existe el movimiento físico, como pretendía probar por razonamientos lógicos. La más famosa de sus paradojas tiene por protagonistas a Aquiles, « el de los pies ligeros», y una tortuga. Aquiles y la tortuga se retaron a una carrera. Vio que el guerrero corría mucho más rápido le dio a aquella una gran ventaja. Al darse la salida, Aquiles recorrió la distancia que los separaba inicialmente, pero al llegar allí descubrió que la tortuga ya no estaba sino que había avanzado un pequeño trecho. Sin desanimarse siguió corriendo, pero al llegar de nuevo donde estaba la tortuga, esta había avanzado un poco más. Y así siguió ocurriendo hasta el infinito. De este modo, Aquiles no alcanzaba nunca a la tortuga; la conclusión es evidente: como nuestros sentidos nos dicen que Aquiles alcanza a la tortuga, entonces es que nuestros sentidos nos engañan y Parménides tenía razón. El razonamiento es falso y fácil de desmontar. Los tiempos en los que Aquiles recorre la distancia que lo separa del punto anterior en el que se encontraba 1a tortuga son cada vez más y más pequeños, y su suma da un resultado finito, por lo que Aquiles alcanzará a la tortuga. Supongamos que Aquiles le da a la tortuga una ventaja iniciar de D y que el guerrero solo corre al doble de la velocidad de la tortuga. Cuando Aquiles llega donde estaba la tortuga, el animal ha recorrido (1/2)D. Reiteramos el razonamiento y sabemos que cuando Aquiles llega aD + (1/2)D. La tortuga ha avanzado (1/4) D adicional. Por ponerlo de forma matemática, la distancia que ha de recorrer Aquiles hasta que alcance a la tortuga viene dada por la sumaD + D/2 + D/4 + D/8 + …
Por lo que en el peor de los casos, tenemos que Aquiles ha de recorrerpero sabemos, por el resultado de Euler, que la suma de la serie es finita, de hecho vale π2/6, por lo que la distancia que ha de recorrer Aquiles es también finita. Es más. la distancia que recorre antes de alcanzar a la tortuga y que notaremos per d, verifica
SI hacemos las cuentas nos queda que d = 2.144 × D. De hecho, es elemental calcular que la distancia que recorre Aquiles para alcanzar a la tortuga al doble de velocidad es d = 2D
Cuando se extiende el campo de definición a los complejos, la función es más difícil de manejar. Por lo pronto, ya no es posible representarla gráficamente. La función zeta que usaba Euler es una función real de variable real, es decir, para un valor real obtenemos un resultado que es un valor real. Por ejemplo, sabemos que

Si consideramos, tal como hizo Euler, que un número complejoa+bi se puede representar como un par (a, b) ∈ R2, y lo mismo ocurre para su imagen ζ(a +bi) que también es un número complejo, resulta que su representación gráfica ha de hacerse en R4, que es un espacio de cuatro dimensiones. Hacer gráficas en espacios de cuatro dimensiones queda fuera de nuestro alcance.
Sin embargo, Riemann fue capaz de imaginar dicha función en cuatro «dimensiones y se dio cuenta de que existía una conexión entre los números primos y los ceros no triviales de la función, es decir, aquellos cuya parte real está comprendida estrictamente entre 0 y 1. Para llegar a esa conclusión empezó por calcular los ceros no triviales de la función y, a partir de esos cálculos y una profunda compresión de la función zeta, conjeturó que la parte real de todo cero no trivial de la función es 1/2. Esta afirmación es conocida como la hipótesis de Riemann.
Riemann se dio cuenta de inmediato de que su hipótesis podía explicar el motivo por el que la estimación de Gauss sobre π(N) se mantenía tan precisa usando la función Li(N). Posteriormente, se probaría de forma rigurosa que la hipótesis de Riemann era equivalente a la primera conjetura de los números primos de Gauss.
Los problemas del milenioCon el propósito de celebrar la llegada del nuevo milenio, el Instituto Clay seleccionó siete problemas matemáticos que habían resistido todos los intentos de resolución. Se pretendía con ello emular a David Hilbert que, cien años antes, había planteado un conjunto de 23 problemas que han sido una referencia para todos los matemáticos durante el siglo XX. El único problema que está incluido en las dos listas es la hipótesis de Riemann. La lista de problemas abarca las más importantes áreas de las matemáticas y es la siguiente:
1. P versus NP. Formulado por Stephen Cook en 1971. Puede ser el problema central de las ciencias de la computación, Básicamente los problemas matemáticos en la actualidad se clasifican en las clases P y NP. La clase P contiene todos aquellos problemas que pueden ser resueltos con un algoritmo en un período de tiempo polinomial, lo que significa que el número de iteraciones está acotado por un polinomio en el que la variable es el tamaño del problema. Esos problemas son tratables con ayuda electrónica. La clase NP está formada por todos aquellos problemas para los que no existen algoritmos en tiempo polinomial, pero que, al menos, si tenemos una posible solución, podemos determinar si es buena o no. en un tiempo polinomial. De la definición anterior se deduce que todo problema P es también NP, esto es, todo problema resoluble en tiempo polinomial mediante un algoritmo adecuado (P), es también un problema que admite una comprobación rápida de una posible solución (NP). El problema consiste en probar (o refutar) el recíproco, que todo problema NP es también P.
2. La conjetura de Hodge. Relacionada con la investigación de las formas de objetos complicados mediante la aproximación a partir de combinaciones de bloques geométricos más simples de dimensión creciente.
3. La conjetura de Poincaré. Propuesta en 1904 por el famoso matemático francés Julos Henri Poincaré (1854-1912). En su expresión más simple dice que solo hay una variedad cerrada y simplemente conexa de dimensión 3: la esfera tridimensional. Es el único problema resuelto de la lista. El ruso Grigori Perelman (n. 1966) presentó en 2003 una demostración correcta. Tal hallazgo le supuso la concesión de la medalla Fields, que rechazó.
4. la hipótesis de Riemann. Que afirma que la parte real da los ceros no triviales de la función zeta de Riemann vale 1/2.
5. El problema de Yang-Mills. Está planteado como un problema matemático y se refiere al estudio de las ecuaciones de Yang-Mills, fundamentales en la unificación de la electrodinámica cuántica con la teoría electrodébil.
6. El problema de Navier-Stokes. El estudio de la existencia de soluciones para las ecuaciones básicas del movimiento de los fluidos incompresibles.
7. La conjetura de Birch y Swinnerton-Dyer. Conduce al estudio del carácter infinito o finito del número de soluciones racionales de una curva algebraica elíptica o de género 1.
El paralizante perfeccionismo que había aquejado a Riemann en su época de aprendizaje casi le impidió poner por escrito sus descubrimientos. Sin duda estaba influido por la insistencia de Gauss sobre la necesidad de publicar solo demostraciones perfectas, absolutamente libres de lagunas. En noviembre de 1859, Riemann publicó en las notas mensuales de la Academia de Berlín un ensayo sobre sus descubrimientos. Aquellas diez páginas de densa matemática estaban destinadas a ser las únicas que Riemann publicaría sobre la cuestión de los números primos, y a pesar de ello habrían de tener un efecto fundamental sobre la forma en que serían percibidos en el futuro. Sin embargo, y a pesar de su brillante intuición, el ensayo era frustrante. Como su maestro Gauss, Riemann había borrado las pistas de su trabajo al escribir. La tesis fundamental del ensayo era que la función Li(N) de Gauss proporcionaría una aproximación cada vez mejor de la función π(N), a medida que avanzáramos en el cómputo. Aunque había proporcionado el instrumento para la demostración de la conjetura de Gauss, la solución quedó fuera de su alcance Sin embargo, Riemann introdujo la forma en la que en el futuro se abordaría el problema. La demostración de la hipótesis de Riemann ha apasionado a los matemáticos desde que se expuso por primera vez.
«Si yo despertara después de dormir mil años, mi primera pregunta sería: ¿se ha probado ya la hipótesis de Riemann?»
—David Hilbert, matemático que propuso la famosa lista de los veintitrés problemas sin resolver en 1900.En 1890, a propuesta de Charles Hermite (1822-1901), uno de los mayores expertos franceses en teoría de números, la Academia de París dedicó el Grand Prix des Sciencies Mathematiques a la demostración de la primera conjetura de Gauss sobre los números primos. Y fue un alumno de Hermite, Jacques Salomón Hadamard (1865-1963), quien presentó un trabajo sobre el tema. Si bien no proporcionó una demostración completa, sus ideas bastaron para convertirlo en ganador del premio. Estimulado por el galardón, en 1898 Hadamard consiguió salvar las lagunas de su primera demostración y no le fue necesario apoyarse en la hipótesis de Riemann de que los ceros no triviales tenían parte real igual aun medio. Para su nueva demostración le bastaba con probar que ningún cero no trivial tenía parte real mayor que uno, y eso sí pudo probarlo.
Un siglo después de que Gauss descubriera una relación entre los números primos y una función logarítmica, finalmente se disponía de una demostración de la conjetura de Gauss sobre los números primos. Puesto que ya no se trataba de una conjetura, a partir de aquel momento pasó a llamarse teorema de los números primos de Gauss. Obviamente, Hadamard no habría podido obtener su resultado sin el trabajo de Riemann. Hadamard tuvo que compartir la gloria con un matemático belga: Charles de la Valleé-Poussin (1866-1962), que había hallado en el mismo año una demostración distinta del mismo resultado.
Quedaba, por tanto, pendiente la demostración o refutación de la segunda conjetura de Gauss sobre los números primos. Si probar una conjetura de Gauss era una hazaña formidable, tratar de probar que su intuición no era cierta entraba dentro de otra categoría. Sin embargo, John Edensor Littlewood (1885-1977), matemático inglés de la primera mitad del siglo XX, se puso manos a la obra. Littlewood era alumno destacado de Godfrey Harold Hardy (1877-1947) y era conocido par sus estudios sobre teoría de números, desigualdad y teoría de funciones. En 1912 descubrió que 1a hipótesis de Gauss era un espejismo, que había regiones donde la estimación subestimaba la verdadera cantidad de primos. La demostración la realizó por razonamientos matemáticos, puesto que ninguna evidencia numérica permitía afirmar que Gauss estaba equivocada. De hecho hasta hoy nadie ha conseguido avanzar lo suficiente como para llegar a una región numérica donde la conjetura de Gauss resulte falsa. Algunos años más tarde, en 1933, un estudiante de Littlewood, llamado Stanley Skewes (1899-1988), estimó que solo cuando se encontraran números primos del orden de

Capítulo 5
Aportaciones en geometría y en física
Gauss se sintió atraído por la geometría desde muy joven. Su extraordinaria inventiva le llevó a buscar alternativas a la geometría euclídea, considerada en su época como la única posible. También hizo aportaciones fundamentales a la geometría diferencial y a la aplicada, en especial en geodesia En el ámbito de la física colaboró con figuras ilustres como Weber y Humboldt y dejó su impronta en ámbitos tan diversos como el magnetismo o la dinámica.Gauss fue un hombre de costumbres fijas, que no deseaba alterarse por motivos que él consideraba nimios. Los viajes largos no entraban dentro de sus necesidades y no le gustaba hacerlos, salvo que tuvieran como fin conseguir material para el observatorio de la Universidad de Gotinga. Se sentía cómodo en Gotinga o Brunswick y su vida discurrió alrededor de estas ciudades y sus contornos.
Como los grandes matemáticos de su época, Gauss recibía numerosas invitaciones para viajar y dar charlas e incluso para cambiar de residencia. Gotinga estaba considerada como una pequeña y tranquila ciudad de provincias y se pensaba que el mayor genio de las matemáticas de Alemania debería estar en el centro más innovador y pujante del país: Berlín. Durante los años 1822 y en el período 1824-1825 hubo negociaciones serias entre las autoridades académicas de Berlín y Gauss con el fin de que este se trasladara a la universidad de la capital prusiana Prusia acababa de sacudirse de encima el dominio francés, y un nuevo espíritu de renacimiento nacional recorría la nación, donde los hermanos Humboldt, Alexander (1769-1859), el científico y explorador, y Wilhelm (1767-1835), el político ilustrado, trataban de crear un nuevo sentimiento patriótico. Para ellos era importante que Gauss estuviera en el centro del sitio que sería el germen del nuevo país. Por otro lado, su segunda esposa, Minna, como el resto de su familia política, lo animaban a trasladarse a Berlín, donde veían nuevas oportunidades. A esto hay que añadir la muerte del secretario de la sección científica de la Academia de Berlín, que abrió la posibilidad de ofrecerle a Gauss un puesto prestigioso y mucho mejor pagado que el que tenía en Gotinga.
Berlín era la cabeza del estado alemán más pujante y parecía natural que los mejores científicos alemanes residieran allí. Obviamente, Gauss ocupaba un sido de honor entre dichos científicos. Sin embargo, él no participó nunca personalmente en las negociaciones de su traslado, lo que es indicativo de su poco interés personal en el asunto. A pesar de los esfuerzos de Carl Heinrich Lindenau (1755-1842), nuevo jefe del ministerio. Gauss nunca fue muy explícito con sus peticiones y no mostraba interés en contestar a las propuestas que se le hacían.
Personalmente conservador, se encontraba demasiado cómodo en una ciudad tranquila y poco abierta a los cambios que sí estaban sucediendo en toda Europa como para que tomase la decisión de mudarse. Pese a todo, tuvo ofertas inmejorables y a finales del año 1825 parecía que las negociaciones llegarían a buen término. Gauss incluso informó al gobierno de Hannover, estado donde se encuentra Gotinga, de que estaba haciendo planes para irse a Berlín y que entraría al servicio del estado de Prusia. Pero las cosas se desarrollaron de manera diferente. Después de algunas reticencias iniciales, Hannover incrementó su salario para igualarlo a lo ofrecido por Berlín. Además le prometieron mejora en su situación y en el observatorio, que era donde Gauss hacía su vida. Así pues, estando ya de antemano muy poco convencido de su mudanza, decidió quedarse y no salir de Gotinga. Esta decisión disgustó a muchos de sus amigos, que estaban involucrados en el movimiento patriótico de renacimiento del país, como Olbers, Friedrich Wilhelm Bessel (1784-1846), matemático y astrónomo con el que Gauss mantenía correspondencia, y, por supuesto, Lindenau, que se sintieron decepcionados. Para ellos Berlín era el sitio natural de Gauss. Querían que el estado de Prusia fuera la semilla de una Alemania unificada. Aunque Gauss permaneció en la pequeña y aislada Gotinga, su influencia real no fue menor que si hubiera ido a Berlín para comenzar una nueva carrera en Prusia. Gauss tenía un prestigio personal enorme, debido al impacto de sus publicaciones, lo que ayudó a establecer una base firme, no solo para la expansión de la actividad científica, sino también para la evolución tecnológica y económica de su país en el primer tercio del siglo XIX.

El retrato más conocido de Gauss, realizado en 1840, por el pintor danés Christian Albrecht Jansen (1792-1870), cuando el gran genio alemán contaba sesenta años
Aunque la vida de pareja con Minna era bastante satisfactoria para el matemático, no puede decirse lo mismo de las relaciones con sus hijos, especialmente los tenidos en su segundo matrimonio, salvo en el caso de Therese, que se ocupó de Gauss hasta su muerte. Con el único hijo, además de Therese, con el que mantuvo una relación cordial fue con el mayor de los habidos en su primer matrimonio, Joseph, que incluso colaboró con él en algunos trabajos de los que hablaremos posteriormente. Aunque sus contactos con su padre eran esporádicos, pues Joseph era militar, Gauss disfrutó de esta relación y de sus éxitos en su vida profesional, de los que daba cuenta en sus cartas personales. Las relaciones con los dos menores, hijos de Minna, fueron tormentosas, y ambos, Eugen y Wilhelm, emigraron a América del Norte huyendo de los conflictos con su padre. Eugen, en particular, siempre reprochó a su padre haberle obligado a estudiar leyes, carrera por la que no se sentía interesado.
A pesar de que Gauss era una figura respetada y podía haber usado su prestigio e influencia para diversas causas, su carácter natural hacía que se mantuviera al margen, dedicado a sus estudios y tratando de pasar desapercibido, incluso en situaciones en las que podía haber ayudado a sus amigos. En este sentido es esclarecedor de lo dicho el suceso conocido como el asunto de los siete de Gotinga, ocurrido en 1837. Ese año murió Guillermo IV de Inglaterra, y le sucedió la reina Victoria; sin embargo, la ley sálica que regía en el estado de Hannover impedía que reinase una mujer, a pesar de que en ese momento el estado formaba parte de la corona inglesa. Se produjo un acuerdo para salvar la situación y un tío de Victoria, Ernesto Augusto, duque de Cumberland, pasó a reinar en Hannover. Un año después, el nuevo rey declaró abolida la Constitución y otras libertades, lo que originó una reacción en contra de este recorte de libertades de siete profesores, entre ellos Wilhelm Weber, con el que Gauss llevaba años colaborando en estudios de física, y Georg Heinrich August Ewald (1803-1875), orientalista, yerno de Gauss y gran colaborador suyo. Los siete profesores firmaron una protesta formal, oponiéndose a estos actos absolutistas muy alejados del espíritu de los tiempos. El rey Ernesto Augusto reaccionó con soberbia, afirmando que « puedo encontrar nuevos profesores con la misma facilidad que bailarinas de ballet », despreciando a valiosos científicos. Como consecuencia de ello, los siete firmantes perdieron su empleo y fueron despedidos de la universidad. Gauss no hizo nada públicamente en favor de los firmantes, aunque parece que intervino de forma privada, encontrándose con el rey y proponiendo un acuerdo para la restitución de los científicos expulsados. El acuerdo supeditaba la permanencia de Weber y Ewald a unas condiciones humillantes e inaceptables, de forma que no transigieron y tuvieron que marcharse. Para Gauss, la marcha de Weber marcó el final de una etapa de colaboración intensa, aunque hasta 1840 se mantuvieron los proyectos comunes: La Revista de la Universidad y el Atlas de Geomagnetismo.
La medición del reino
En 1818, el reino de Hannover encargó a Gauss la triangulación y medición del Estado. Era una práctica muy habitual en la época, sobre todo tras la medición del meridiano realizada por los franceses, y venía impuesta por las necesidades militares. Los trabajos geodésicos disfrutaban de la benevolencia oficial por los beneficios militares y económicos que podían proporcionar unos buenos mapas. La geodesia trata, además de medir las superficies, de la construcción de mapas que representen La topografía de la tierra, incluyendo sus accidentes naturales, para lo que se necesita determinar un conjunto de coordenadas que definan los puntos principales de la orografía de la zona a estudiar.
En busca del arco del meridianoUno de los principales empeños científicos en el siglo XVIII, una vez que ya se sabía que la Tierra era aproximadamente esférica, era conocer su tamaño exacto y su forma, es decir, si el grado de esfericidad era perfecto o estaba achatada en algún punto, ya fuera por los polos (la opinión de Newton) o, por el contrario, por el ecuador (la de Descartes). Para resolver ambas cuestiones y a iniciativa de la Academia de Ciencias de París, se proyectó un experimento que consistía en realizar una serie de mediciones del arco del meridiano a la altura del ecuador (con lo que tras las oportunas operaciones matemáticas, se averiguaría el perímetro de la Tierra) y compararlas con otras mediciones a la altura de los polos. Así, en 1735 partió de Rúan una expedición hacia Laponia dirigida por Pierre-Louis Moreau de Maupertuis, al que acompañaron otros científicos franceses. En 1736 otra expedición se embarcó hacia Perú, bajo la dirección del astrónomo y matemático Louis Godin, llevando a algunos de los más reputados sabios de la época, y a los marinos y científicos españoles Jorge Juan y Antonio de Ulloa, representantes de la monarquía bajo cuya soberanía se hallaban los territorios objeto de estudio. Esta expedición, que duró casi una década (regresaron a Europa entre 1744 y 1745), terminaría convirtiéndose en una auténtica gesta científica y, aunque se demostró que era el inglés Newton quien estaba en lo cierto, para descontento de los impulsores de la expedición, abrió muchos caminos de futuro para diversas ramas del saber: geodesia, astronomía, navegación botánica, etc. De muchos de los viajeros que participaron en las dos expediciones quedaron testimonios bibliográficos muy interesantes.
Grabado realizado en 1773 por Castro Carmona que ilustra una de las triangulaciones llevadas a cabo en el Virreinato del Perú para determinar la longitud de un arco de meridiano. La difícil orografía andina, con alturas superiores a los 4000 m, hacía particularmente complicadas las mediciones.
El método usado principalmente se conoce con el nombre de triangulación, y en él se usa la trigonometría, la disciplina que se ocupa de los ángulos y sus relaciones, para determinar posiciones de puntos, medidas de distancias o áreas de figuras. La medición de una altura solo se podía realizar a partir de la construcción de diferentes triángulos, uno de cuyos vértices había de ser la cota que se quiere establecer, midiendo los ángulos formados desde distancias determinadas previamente. La altura se determinaba mediante fórmulas trigonométricas. La técnica usada era muy simple en teoría. Empezando por una base de determinadas distancias calculadas con precisión, el área objeto de estudio debía ser cubierta por una malla de triángulos cuyos vértices estuvieran visualmente conectados, y a partir de ese momento se trataba de establecer los ángulos que definían dichos triángulos. Este procedimiento requiere de mucho tiempo y esfuerzo para el trabajo de campo. Además, en ausencia de calculadoras modernas, también era muy costoso por la necesidad de realizar operaciones aritméticas complejas.
Una parte de Hannover había sido medida durante el dominio napoleónico y había sido conectada con la triangulación realizada en los Países Bajos, pero el trabajo no había sido completado y no era lo suficientemente preciso. Iniciativas de este tipo eran corrientes en toda Europa y Schumacher, astrónomo con el que Gauss mantenía una muy buena relación, le pidió a este que se involucrara en el proyecto. Schumacher tenía la experiencia previa de la triangulación de Holstein, que le permitió extender los estudios geodésicos a Dinamarca. Gauss se sintió inmediatamente atraído por la idea y presentó al Gobierno de Hannover un proyecto completo de las necesidades y la ayuda que requeriría. La respuesta fue rápida y positiva y Gauss fue nombrado director del proyecto, y se le proporcionaron algunos soldados como ayudantes. En ese momento, Gauss no podía sospechar que el proyecto sería la principal tarea de su vida durante los siguientes ocho años, pues las mediciones presentaron más dificultades de las que parecía aparentemente. La idea original era completar lo existente, pero pronto se vio que era mejor cartografiar el Estado entero, pues lo que se tenía era defectuoso, e incluir además la ciudad independiente de Bremen. Además, la zona presentaba dificultades adicionales, especialmente en su parte oeste y en la costa, porque era bastante llana y estaba cubierta de bosques, Así que no era fácil encontrar lugares de amplias vistas para establecer las triangulaciones, y en algunas direcciones era directamente imposible.
Gauss no era un director nominal del proyecto, sino que trabajó personalmente sobre el terreno. Durante los meses de primavera y verano de esos años, en rara ocasión pasó alguna noche en su cama y pocas noches en un solo lugar, viajando de pueblo en pueblo, víctima de los inconvenientes de la vida en zonas rurales y el calor en el verano.
Durante casi ocho años, hasta 1825, Gauss dedicó sus esfuerzos a una práctica rutinaria y agotadora, al alcance de cualquier calculista mediano: efectuaba mediciones durante el día y realizaba los cálculos durante la noche, que obviamente lo apartaron de actividades mucho más productivas en el ámbito de las matemáticas. Tras el desgaste de los ocho primeros años, Gauss siguió colaborando, pero solo haciendo cálculos, pues dejó parte del trabajo de campo en manos de su hijo Joseph. Así que podemos afirmar que durante casi veinte años el genial Gauss perdió gran parte de su tiempo en tediosos cálculos astronómicos y geodésicos. Pero fruto de esta tarea nacerían, más de setenta escritos sobre geodesia y la aplicación del método de mínimos cuadrados a medidas terrestres.
Una contribución importante de Gauss a la instrumentación, básica para el éxito del proyecto cartográfico, fue la invención del heliotropo (1821). Se trata de un instrumento para facilitar la visibilidad de y desde estaciones lejanas. La idea es muy simple: se trata de reflejar la luz solar hacia la estación que se observa, de manera que permite una observación de gran precisión y con facilidad, incluso en condiciones atmosféricas no completamente favorables y sobre distancias en las que anteriormente la observación era inimaginable En diversas formas, el heliotropo subsistió hasta el advenimiento de la aerofotogrametría, que en la actualidad ha reemplazado, junto con la fotografía desde satélites, a los levantamientos topográficos a gran escala, como el que dirigió Gauss en Hannover. Después de un parón de tres años, la triangulación de Hannover se reinició en 1828, y duró hasta 1844,
De las publicaciones de Gauss sobre geodesia destacan especialmente dos, tituladas Bestimmung des Breitenunterschieds zwischen den Sternwarten von Gotinga und Altona durch Beobachtungen am Ramsdenschen Zenithsektor («Determinación de la diferencia de latitud entre los observatorios de Gotinga y Altona mediante observaciones con el ocular Ramsden del sector cenital»), de 1828, y Untersuchungen über Gegenstände der Höheren Geodäsie I y II («Investigaciones sobre los elementos de la alta geodesia I y II»), que se publicaron en 1843 y 1846, respectivamente. Ambos trabajos tendrían una enorme influencia en el desarrollo posterior de la geodesia. En dichos trabajos, que tienen interés solo para especialistas, Gauss estudia el caso de pasar a planos partes de una esfera, usando trigonometría esférica. La trigonometría esférica es la adaptación de la trigonometría plana a superficies esféricas. Esta adaptación es necesaria porque la aplicación de las fórmulas trigonométricas tradicionales sobre triángulos planos no es posible para triángulos esféricos.
Entre otras cosas, en el caso de estos segundos no se cumple la ley fundamental de que la suma de los ángulos de un triángulo es 180 grados. Por ejemplo, los ángulos del triángulo esférico que se muestra en la figura suman 270 grados.En esas dos obras, Gauss también dedicó un espacio al tratamiento de los triángulos en elipsoides, de los que las esferas son casos particulares, porque sus secciones transversales son elipses y no círculos como en el caso de la esfera. Un balón de rugby puede ser un buen ejemplo de elipsoide.
Con el fin de facilitar los cálculos, Gauss incluyó tablas realizadas por él mismo que resolvían las ecuaciones necesarias en casos particulares.
Otra geometría es posible
Como fruto de sus trabajos en geodesia, Gauss retomó un especial interés por la geometría, que ya había sido objeto de estudio en sus años de formación, A Gauss se le considera, de hecho, uno de los padres de la geometría no euclídea y de la geometría diferencial.
Desde los tiempos de Euclides, se había considerado que el genial matemático, en su obra Elementos de geometría, había definido toda la geometría que se podía hacer y que salirse de sus postulados era casi una herejía matemática.
Euclides había presentado su geometría a partir de unos postulados que él consideraba axiomas. En matemáticas, los axiomas son verdades evidentes que no necesitan demostración. Para su construcción, Euclides planteó cinco postulados, basados en sus definiciones básicas de punto, plano, recta, etc.:
1. Dados dos puntos se puede trazar una y solo una recta que los una.
2. Cualquier segmento puede prolongarse de manera continua en cualquier sentido.
3. Se puede trazar una circunferencia con centro en cualquier punto y de cualquier radio.
4. Todos los ángulos rectos son congruentes, esto es, miden lo mismo y coinciden si los superponemos por traslación
5. Por un punto exterior a una recta, se puede trazar una única recta paralela a la dada.
En realidad, Euclides debería haber incluido dos postulados más que usa en sus demostraciones y que son:
- Dos circunferencias cuyos centros estén separados por una distancia menor a la suma de sus radios, se cortan en dos puntos (Euclides lo utiliza en su primera construcción),
- Dos triángulos con dos lados iguales y los ángulos comprendidos también iguales son congruentes, es decir, tienen todos los ángulos y todos los lados iguales y, por tanto, tienen la misma forma y tamaño.
EuclidesEuclides (325 aC.-265 a.C) fue un matemático y geómetra griego. Se le conoce como «el padre de la geometría». Su vida es poco conocida, salvo que vivió en Alejandría durante el reinado de Ptolomeo I. Su obra Elementos de geometría es uno de los trabajos científicos más conocidos del mundo y es, después de la Sibila, la obra más editada y traducida; se trata de una recopilación del conocimiento impartido en la biblioteca de Alejandría y abarca todo el saber geométrico de su época. En ella se presenta de manera formal, partiendo únicamente de cinco postulados, el estudio de las propiedades de líneas y planos, círculos y esferas, triángulos y conos, etc.; es decir, de las formas regulares, Probablemente ninguno de los resultados de los Elementos haya sido demostrado por primera vez por Euclides, pero la organización del material y su exposición sin duda alguna se deben a él. Las demostraciones más famosas de Euclides corresponden a los siguientes teoremas:· La suma de los ángulos interiores de cualquier triángulo es 180º.
Página de los Elementos de Euclides perteneciente al llamado Manuscrito d'Orville escrito en griego de Constantinopla, en el año 868, y que se conserva en la Biblioteca Bodleiana de la Universidad de Oxford.
· En un triángulo rectángulo el cuadrado de la hipotenusa es igual a la suma de los cuadrados de los catetos, el famoso teorema de Pitágoras.
La geometría de Euclides, además de ser un poderoso instrumento de razonamiento deductivo, ha sido extremadamente útil en muchos campos del conocimiento, por ejemplo en la física, la astronomía, la química y diversas Ingenierías. Fue una obra que perduró sin variaciones hasta el siglo XIX, cuando Gauss planteó algunos tipos de geometría no euclídea, al no admitir el quinto de sus postulados,
Euclides había asumido que todos los postulados eran evidentes y no requerían demostración y así se había aceptado a lo largo de la historia. Tal es así que Kant, en su Crítica de la razón pura, había afirmado que los conceptos de Euclides eran un componente esencial de nuestra visión del mundo. Sin embargo, resultó que el último postulado es en cierto modo independiente y se puede negar sin entrar en contradicción con los anteriores. La idea es definir de una nueva forma el significado de líneas paralelas, trasladando el concepto a espacios no planos.
A partir de 1813, Gauss elaboró una geometría que negaba el último postulado de Euclides, desarrollando ideas que había tenido durante sus años de estudio en el Collegium Carolinum en charlas con su amigo Wolfgang von Bolyai. De hecho, en 1816, se las expresó por carta a Schumacher, amigo y profesor de astronomía. Pero, una vez más, no publicó nada sobre el tema. Puede haber varias razones para esta negativa de Gauss para publicar sobre el tema y no entrar en discusiones públicas sobre la cuestión. Obviamente todo lo que fuera discutir los postulados de Euclides sería objeto de controversia y polémica, y a Gauss no le gustaba verse envuelto en este tipo de discusiones, que le parecían, además, más de tipo filosófico que matemático.
Cuando en 1831 Janos Bolyai (1802-1860), hijo de Wolfgang, le expuso sus ideas sobre una geometría no euclídea, Gauss le respondió que « no puedo alabar su trabajo porque al hacerlo me alabaría a mí mismo, ya que las ideas que me expone coinciden con las que yo desarrollé treinta o treinta y cinco años antes ». Sin embargo, Gauss reconoció a Janos Bolyai y a Nikolai Lobachevski, otro de los creadores de la geometría no euclídea, como genios de primera magnitud. Tal es así que aprendió ruso para poder leer todos los trabajos de Lobachevski en su lengua original. Además, consiguió que en 1842 fuera nombrado miembro de la Academia de Gotinga. Hoy en día todos reconocen a Gauss, Lobachevski y Janos Bolyai como los creadores de la geometría no euclídea. En la actualidad se admiten, además de la geometría euclídea, las geometrías hiperbólicas y elípticas, dependiendo del tipo de curvatura, positiva o negativa, que admitamos para las rectas paralelas.
Geometría no euclídeaSe denomina no euclídea a cualquier forma de geometría cuyos postulados y propiedades difieren en algún punto de los cinco establecidos por Euclides en su tratado los elementos. No existe un solo tipo de geometría no euclídea, sino muchos, aunque si se restringe la discusión a espacios homogéneos, en los que la curvatura del espacio es la misma en cada uno de sus puntos y en los que todos los puntos son indistinguibles, pueden distinguirse tres tipos de geometrías:
- La geometría euclídea satisface los cinco postulados de Euclides y tiene curvatura cero.
- La geometría hiperbólica satisface únicamente los cuatro primeros postulados de Euclides y tiene curvatura negativa. Con respecto al quinto postulado de Euclides, en esta geometría, por cada punto exterior a una recta pasan infinitas rectas paralelas a la primera.
- La geometría elíptica satisface tan solo los cuatro primeros postulados de Euclides y tiene curvatura positiva. Con respecto al quinto postulado de Euclides. en esta geometría, por cada punto exterior a una recta no pasa ninguna recta paralela a la primera (recuérdese que en la geometría euclídea pasaba una única recta paralela). Es el caso de los meridianos de la Tierra que en geometría esférica (caso particular de la elíptica) se consideran paralelos. En la figura se representan rectas en los distintos espacios.
Como ejemplo de la importancia que el gran matemático alemán concedía a esta parte de las matemáticas, Bernhard Riemann, el alumno más destacado de Gauss, dedicó su tesis doctoral, a petición de su director, el propio Gauss, a la geometría y versó sobre generalizaciones de geometría no euclídea.
Aportaciones a la geometría diferencial
Aunque Gauss no publicó nada sobre geometría no euclídea, ello no significa que no produjera importantes trabajos en geometría. De hecho, en 1827 publicó una obra fundamental sobre geometría diferencial, usando elementos del análisis matemático. El libro, titulado Disquisitiones generales circa superficies curvas (Disquisiciones generales sobre superficies curvas), fruto de las ideas sobre la geometría de superficies nacidas de sus observaciones geodésicas, constituye la contribución definitiva de Gauss a la geometría diferencial. En este trabajo Gauss creó la geometría diferencial de superficies, iniciando un programa completado por el trabajo de muchos matemáticos en décadas posteriores El problema que da origen a sus ideas es cómo conseguir proyectar en un mapa plano la geometría de otros tipos de superficies. En los casos más sencillos (los de curvatura constante) aparecen las geometrías homogéneas; euclídea, elíptica e hiperbólica (que fue la que desarrollaron Bolyai y Lobachevski). Gauss fue mucho más allá de estos espacios homogéneos e introdujo lo que en la actualidad se denomina curvatura de Gauss, una generalización para superficies de la curvatura definida en el plano.
Este concepto le permitió hallar el llamado Theorema Egregium (teorema destacable), un resultado fundamenta! de la geometría diferencial. Informalmente, el teorema dice que la curvatura gaussiana de una superficie diferenciable puede determinarse por completo midiendo ángulos y distancias sobre la propia superficie, sin hacer referencia a la forma particular en que se curva dentro del espacio euclídeo tridimensional. Es decir, el concepto de curvatura es una propiedad local.
La curvatura de GaussEn geometría se define una curva (en forma paramétrica) en el plano como la aplicaciónx(s) = (x(s)×y(s)), siendos número real y las funciones x(s) e y(s) nos dan las coordenadas en el plano. Reciben el nombre de paramétricas aquellas ecuaciones en que las variables x e y, cada una separadamente, están expresadas en función de de una misma tercera variable o parámetro, en nuestro caso s. La curva ha de ser una función continua y diferenciable, es decir, de trazo suave y sin picos. Por ser diferenciable, en cada punto s de la curva se puede definir la tangente de esa curva. Por definición la curvatura de α en s se define como el ángulo que forma la tangente a la curva en el puntos, s, t(s), con una dirección fija del plano, que por comodidad suele tomarse como el eje OX de coordenadas, es decirθ (s) = ángulo formado entre <t(s), eje OX>
Así que la curvatura ordinaria k(s) de una curva se define como el diferencial de la función θ, o sea:k(s) = θ'(s)
k(s) en realidad lo que mide es la separación de la curva con su recta tangente. La curvatura de Gauss, que en cierta forma generaliza este concepto para superficies, se puede definir de varias maneras, siendo la más sencilla la dada por la expresión:K = k1×k2
donde k1 y k2 son las curvaturas principales en cada punto de la superficie.
Una isometría es una aplicación matemática entre dos espacios que mantiene invariante las distancias entre puntos. Un ejemplo de isometría en un espacio euclídeo de tres dimensiones son las rotaciones. Pues bien, un corolario del Theorema Egregium es que entre dos superficies solo existen isometrías si aquellas tienen la misma curvatura gaussiana. Un ejemplo muy ilustrativo es el siguiente: una esfera de radio R tiene curvatura constante gaussiana que es igual R-2, mientras que él plano tiene curvatura nula. Por tanto, y como corolario del Theorema Egregium, una hoja de papel no puede doblarse para formar una porción de la esfera sin arrugarse o rasgarse, Y recíprocamente, la superficie de la esfera no puede plasmarse sobre un plano sin distorsionar las distancias.
Este hecho tiene una consecuencia importante para la cartografía; implica que no puede construirse un mapa de la Tierra en el que la escala sea perfectamente constante en cada punto del plano. Por consiguiente, las proyecciones usadas habitualmente alteran la escala en diferentes puntos y producen cierta distorsión. Es decir: el mapa perfecto de la Tierra no existe ni puede existir.
En su libro sobre geometría diferencial se puso definitivamente de manifiesto que en las superficies que no son planas la línea más corta que une dos puntos no es necesariamente la línea recta, tal y como ocurre en los espacios euclídeos. Es por ello por lo que hubo que introducir un nuevo concepto: la geodésica, que designa a la línea más corta que une dos puntos de una superficie. Este principio es utilizado en la navegación aérea y marítima, donde se usa para localizar las rutas más cortas sin usar líneas rectas. Veamos un ejemplo en la figura siguiente:

Gauss y la teoría de la relatividadLa teoría general de la relatividad es el nombre comúnmente aceptado para designar la teoría gravitatoria publicada por Albert Einstein en 1915. De acuerdo con la teoría general de la relatividad, la fuerza de la gravedad es una manifestación local de la geometría del espacio-tiempo. No es posible construir el modelo relativista en espacios euclídeos convencionales. La teoría de la relatividad necesita que el quinto postulado de Euclides, referido a las líneas paralelas, no tenga solución única. Como ya hemos visto, Gauss, Lobachevski y Bolyai probaron que dicho axioma era independiente de los anteriores y que se podía negar sin entrar en contradicción. Riemann desarrolló las matemáticas generales de la geometría no euclídea en su tesis doctoral, que fue dirigida por Gauss. Sin esas herramientas matemáticas, Einstein no hubiera podido desarrollar sus trabajos. De hecho, sus aportaciones fueron las que hicieron populares las geometrías no euclídeas, revelando su verdadera importancia y valor. Hasta ese momento se creía que no tenían más que un valor teórico; tal es así que Gauss no llegó a publicar nada sobre el tema.
La distancia real más corta en un viaje aéreo desde el de Madrid, hasta el de Nueva York es la que se hace recorriendo la línea curva que está por encima de la recta que une las dos ciudades a través del océano. En el plano, obviamente, no ocurre eso, pero en una superficie parecida a la esférica (como es la Tierra), la geodésica, la línea más corta que une dos puntos, no es recta.
En su estudio de superficies Gauss utilizó de forma magistral la representación paramétrica introducida por Euler, realizando una visión intrínseca de la superficie como una variedad bidimensional Las coordenadas (x,y,z) de un punto vienen dadas por tres ecuaciones dependiendo de dos parámetros: x = x(u,v), y = y(u, v) y z = z(u,v). Así se puede decir que estilísticamente Disquisitiones generales circa superficies curvas es quizá su trabajo más perfecto. Su exposición es analítica, directa y muy concisa, de forma que cada idea geométrica se presentaba de forma completa. En opinión de Einstein, « La teoría de la relatividad no existiría sin la geometría de Gauss ».
Gauss y la física
El año 1831 fue clave en la vida de Gauss. Si un año antes su hijo Eugen emigró a Estados Unidos por desavenencias familiares, ese año murió Minna, su segunda esposa, posiblemente de tuberculosis, Desde entonces fue su hija Therese la que se encargó de los asuntos domésticos. Pero a fínales de ese año llegó a Gotinga Wilhelm Weber para ocupar la plaza de profesor de Física. A partir de ese momento un decaído Gauss encontró otra vez en la ciencia la solución a sus males familiares.
Tanto en el aspecto científico como en el personal, hubo armonía entre Gauss y Weber, que introdujo al matemático en nuevas áreas de investigación, algunas de ellas de tipo experimental. Su cooperación fue fructífera y la presencia de Weber hizo interesante un período que de otra forma habría sido, desde el punto de vista personal, más difícil de llevar para Gauss. Él siempre había estado interesado por la física, pero muchas de sus primeras investigaciones, excluyendo las astronómicas y geodésicas, eran muy teóricas. Antes de conocer a Weber, Gauss se había dedicado al cálculo variacional, que había sido uno de los temas centrales en el siglo XVIII. El cálculo variacional se puede tratar como un problema matemático, pero es fundamental en numerosos problemas de la física. Los problemas variacionales son problemas de optimización, es decir, problemas en los que se trata de encontrar el mejor valor, pero el óptimo no es un valor, sino una función.
Estamos acostumbrados a considerar problemas de optimización, que matemáticamente se formulan como:
Min: f(x)
sujeto a : x ∈S
donde S es el conjunto de los valores entre los que podemos buscar la solución, lo que se llama conjunto factible. La función f es también denominada función objetivo. Desde el punto de vista matemático no existe ninguna diferencia entre que el problema sea de maximizar o de minimizar, pues el cambio se puede hacer sin más que variar el signo de la función objetivo, por lo que el siguiente problema es equivalente al anterior:Max: -f(x)
sujeto a : x ∈S
Dependiendo del tipo de función f y de las propiedades del conjunto factible tendremos un tipo de problema u otro, la solución de este tipo de problemas puede ser tanto un número como, en caso de que la función esté definida en un espacio de varias dimensiones, una serie de ellos (un vector).Wilhelm WeberWeber (1804-1891) físico alemán de la primera mitad del siglo XIX, cursó estudios en la Universidad de Halle y siguió en la misma como profesor hasta1831, año en el que ingresó en la Universidad de Gotinga. Allí entabló amistad con Gauss, con quien colaboró en estudios sobre electricidad y magnetismo. En 1833 inventaron un nuevo tipo de telégrafo, conocido como galvanómetro reflectante de Gauss-Weber.
Posteriormente llegó a ser expulsado de la Universidad de Gotinga por su oposición al poder político. En 1843 entró como profesor en la Universidad de Leipzig hasta 1849, año en el que volvió a Gotinga, y algún tiempo después fue nombrado director del observatorio astronómico de esta ciudad, cargo que habla ocupado Gauss. Weber trabajó para al establecimiento de las unidades absolutas de medida de corrientes eléctricas y dedicó los últimos años de su vida al estudio de la electrodinámica, sentando las bases para el posterior desarrollo de la teoría electromagnética de la luz.
Veamos un ejemplo sencillo. Un panadero hornea diariamente un tipo de barras de pan. Por una parte, quiere satisfacer a su clientela y tener el pan suficiente para que todos sus clientes tengan su pan, pero por otro lado no quiere tener género sobrante que no puede vender al otro día. Haciendo un estudio de costes y de demanda, podríamos llegar a encontrar la solución que le da mayor ganancia, y es perfectamente asumible que la solución será un número natural. Si hace varios tipos de piezas de pan, por ejemplo de centeno, maíz y trigo, la solución no sería un único número, sino un conjunto de tres números que dijese cuántas piezas de cada tipo ha de fabricar. Esa solución sería un vector.
Pensemos ahora en otro ejemplo de optimización. Estamos en la calle y alguien nos pregunta cómo ir a la estación de autobuses de la manea más rápida posible. La respuesta no puede ser un número, ni siquiera una lista de números. La respuesta lógica seria una explicación del camino, por dónde hay que avanzar y cuántos metros, dónde hay que girar y en qué sentido y ese tipo de indicaciones. Ese tipo de respuesta se adapta mejor a describirla matemáticamente con una función, que le dé al que la usa un criterio de actuación, dependiendo del sitio en que se encuentra en cada momento de su camina. Estos problemas de optimización en los que la solución es una función es lo que se conoce como problemas variacionales y son de gran aplicación en física.
En 1829 apareció una publicación corta de Gauss acerca de un problema de cálculo variacional sobre mecánica, en el que introdujo el principio de mínima ligadura. Por «ligadura», Gauss entendía las restricciones a las que está sometido el movimiento en todo sistema físico. Pues bien, Gauss postuló que la naturaleza tiende a hacer mínima la ligadura. En palabras del propio Gauss:
Es muy notable que los movimientos libres, cuando no pueden coexistir con las condiciones necesarias, resultan ser modificados por la naturaleza exactamente de la misma manera que el matemático, según el método de los mínimos cuadrados, reconcilia observaciones ligadas entre al por dependencias necesarias. Podría proseguirse más allá con esta analogía, pero no pretendo hacerlo ahora.La idea es que la naturaleza actúa de la forma más libre de entre las que le permiten las restricciones impuestas. Como vemos, de nuevo, vuelve a aparecer referencia a uno de sus más fundamentales hallazgos: el principio de mínimos cuadrados.
Gauss hizo mucho por conseguir que las matemáticas pudiesen combinarse de forma natural con la física. En su obra Principia generalia theoriae figurae fluidorum in statu aequilibrii (Los principios generales del esquema teórico de los fluidos en estado de equilibrio), de 1830, introdujo, de nuevo, un problema variacional asociado a la determinación de la figura de equilibrio de la superficie de un fluido, teniendo en cuenta la gravedad y las fuerzas de capilaridad y de adhesión al recipiente:
Lo que obtenemos como resultado de una investigación delicada y difícil es una condición de equilibrio que es accesible el sentido común, y que muestra el ajuste que ocurre cuando hay varias fuerzas prevalentes en conflicto.Otra vez la misma idea del principio de mínima ligadura, esta vez aplicado a la mecánica de fluidos.
Dentro del mismo orden de ideas, Gauss trabajó en la formalización y propiedades matemáticas de la atracción newtoniana, originando la llamada teoría del potencial. Es en ese contexto en el que aparece la famosa ley de Gauss: « El flujo del campo gravitatorio a través de una superficie cerrada arbitraria es proporcional a la masa total contenida en el interior », siendo un campo gravitatorio el conjunto de fuerzas que representan la gravedad. Este resultado reduce a cálculos elementales desarrollos que anteriormente requerían técnicas elaboradas, lo que demuestra su importancia.
Así que a la llegada de Weber no puede decirse que Gauss fuera ajeno a la física, pero este consiguió que se involucrase de forma más decidida en problemas de la física, y esta vez, de manera más aplicada. Su nueva visión es tratar de responder a problemas técnicos y de ingeniería.
En 1832, y en paralelo con su interés por la electricidad, Gauss inició también investigaciones en el campo del magnetismo terrestre. Conviene advertir que la visión actual de la electricidad y el magnetismo como dos aspectos de un mismo fenómeno, hoy es completamente asumida, distaba entonces de ser una evidencia. La iniciativa de implicar a Gauss en el estudio del magnetismo a correspondió a Alexander von Humboldt, que buscó su cooperación para establecer una red de puntos de observación del campo magnético terrestre en todo el mundo. Se trata del primer intento en la historia de plantear una observación a escala global, con sus nuevas exigencias: establecimiento de estándares comunes, de técnicas de medición, de requerimientos de precisión y fiabilidad. Los objetivos del programa consistían en el estudio de la distribución del magnetismo terrestre, de sus cambios temporales en intensidad, declinación e inclinación, y ambiciosamente de la determinación del origen del campo magnético terrestre.
Alexander von HumboldtHumboldt (1769-1859) fue un geógrafo, naturalista y explorador alemán, hermano menor del lingüista y ministro de Educación Wilhelm von Humboldt. Ha sido denominado el «Padre de la Geografía Moderna Universal». Fue un naturalista de una polivalencia extraordinaria, que no volvió a repetirse tras su desaparición. Los viajes de exploración le llevaron de Europa a América del Sur, parte del actual territorio de México, Estados Unidos, Canarias y Asia Central. Se especializó en diversas áreas de la ciencia, como etnografía, antropología, física, zoología, ornitología, climatología, oceanografía» astronomía geografía, geología, mineralogía, botánica, vulcanología y humanismo. Colaboró con Gauss en le elaboración de un Atlas de Geomagnetismo.
Ya en 1832 Gauss publicó un trabajo importante sobre la medición absoluta del campo magnético terrestre, titulado Intensitas vis magneticae terrestris mensuram absolutam revocata (Medida de la intensidad absoluta del campo magnético terrestre).
Siguen otros dos trabajos fundamentales en 1839, de los que destaca Allgemeine Theorie Erdmagnetismus (Teoría general del magnetismo terrestre) y un Atlas de Geomagnetismo, publicado en 1840 conjuntamente por Gauss, Weber y Benjamín Goldschmidt, ayudante de Gauss en el observatorio de Gotinga. El análisis del contenido de estas obras es interesante, Gauss definió por vez primera el campo magnético como vinculado a la fuerza causada por un imán, pero aún habla de un «fluido magnético» responsable de dichos fenómenos. A pesar de todo, fue capaz de probar que en la Tierra solo puede haber dos polos magnéticos y especificó la ubicación del Polo Sur magnético (cercana al Polo Norte geográfico). Esta predicción fue confirmada muy precisamente por la expedición del explorador capitán Wilkes en 1841. Y, finalmente, introdujo una serie de relaciones nuevas entre las componentes horizontal y vertical del campo magnético en diferentes puntos (relaciones correctas que Humboldt se negó a aceptar durante bastante tiempo).
La colaboración de Humboldt y Gauss condujo a varios resultados notables sobre el magnetismo terrestre, que eran totalmente desconocidos anteriormente. Por ejemplo, que el campo magnético varía con el tiempo. Y que ocasionalmente hay variaciones temporales bruscas (hasta del 10% en términos relativos) que además ocurren simultáneamente en toda la Tierra (tormentas magnéticas). El mecanismo último tras ambos fenómenos aún no está bien explicado. El trabajo de 1840 es la culminación de esas investigaciones. Gauss discutió la determinación absoluta del campo magnético mediante el magnetómetro, un aparato inventado por Gauss y Weber para determinar la componente horizontal de la fuerza magnética. Probó que la determinación de la intensidad de la componente horizontal de la fuerza magnética, junto con el ángulo de inclinación, determina completamente el campo magnético. Se trata de la primera medida absoluta de la fuerza que ejerce el campo magnético de la Tierra sobre una brújula, fuerza muy débil, cuya medida requirió precauciones extremas. El ambiente de experimentación debía estar totalmente libre de perturbaciones magnéticas, lo que obligó a construir un laboratorio exento de hierro y de cualquier otro material magnético y en el que no debía haber la más mínima corriente de aire: se hizo de madera, con clavos de cobre. Gauss tomó el modelo del observatorio y de los procedimientos previamente desarrollados por Humboldt, reduciendo el tiempo de observación necesario e incrementando su exactitud, lo que dio lugar a una polémica entre ambos, ya que Humboldt no estaba seguro de que Gauss hubiera tomado las precauciones necesarias y dudó de la validez de los resultados.
Como otra consecuencia práctica de sus investigaciones en electricidad, Gauss y Weber desarrollaron dos modelos de telégrafo entre 1833 y 1838. Las señales se observaban en el receptor mediante la desviación de una aguja magnética (una brújula) a derecha o izquierda, según el voltaje aplicado en el extremo emisor. Desarrollaron un código e instalaron el telégrafo entre el laboratorio de Weber y el observatorio astronómico, separados unos 1500 metros. El telégrafo funcionó (aunque hubo que reparar el hilo, pues se rompía frecuentemente) hasta que un rayo alcanzó el sistema y lo destruyó. Gauss parece haber sido consciente de las posibilidades que abrían las comunicaciones eléctricas: sugirió que en las líneas de ferrocarril (entonces iniciando una rápida expansión) un raíl se usara como conductor para facilitar las comunicaciones a larga distancia. El invento de Gauss y Weber no era el primer intento de comunicación eléctrica a distancia, ni fue el que sobrevivió, privilegio que correspondió al sistema de Samuel Morse, que lo patentó nueve años después de ser usado por Gauss y Weber. Se sabe que algunos colegas lo consideraban como una aberración frívola y acientífica. Pero Weber profetizaba en 1835:
Cuando el globo terráqueo esté cubierto con una red de ferrocarriles y de alambres telegráficos, esta red prestará servicios comparables a los del sistema nervioso en el cuerpo humano, en parte como un medio de transporte, en parte como un medio para la propagación de ideas y sensaciones, con la velocidad de la luz.
Tras la marcha definitiva de Weber de Gotinga, por el famoso asunto de la carta de los siete y su oposición a las decisiones absolutistas del rey, la producción científica de Gauss disminuyó de forma rotunda.


Retratos de Gauss y de Wilhelm Weber. Ambos colaboraran durante muchos años en temas de electricidad y magnetismo (arriba). Fruto de este trabajo conjunto es, por ejemplo» la invención de un nuevo tipo de telégrafo, conocido como galvanómetro reflectante de Gauss-Weber. (Abajo).
La dióptrica, que estudia la forma, disposición, diseño y defectos de las lentes y sus limitaciones intrínsecas, es seguramente el campo más especializado de la investigación empírica que Gauss abordó. Su interés proviene de las necesidades y dificultades de la observación astronómica; en 1807, Repsold, un reputado fabricante de instrumentos, le consultó sobre un objetivo doble acromático, iniciando así una larga colaboración. Gauss se interesó, entre otras cosas, en disminuir la aberración cromática de un sistema de lentes. La línea iniciada por esta colaboración propició, andando el tiempo, el importantísimo desarrollo industrial de la óptica en Alemania: Reichenbach (1772-1826), Fraunhofer (1787-1826) y Steinheil (1801-1870) fueron los antecesores de Carl Zeiss (1816-1888) en Jena, quien fundó una fábrica de lentes cuyo director científico fue Ernst Carl Abbe (1840-1905), conocido en óptica por haber estableado él límite efectivo de ampliación de un microscopio óptico. Gauss, aun en los tiempos de máxima restricción económica, tuvo fondos para la compra de instrumentos ópticos para su observatorio. De hecho, sus viajes más importantes, aparte de los necesarios para sus estudios geodésicos, los realizó para adquirir instrumentos ópticos. La publicación más importante de Gauss en este campo es Dioptrische Untersuchungen (Investigaciones m Dioptría), de 1840, en la que estudia la trayectoria de la luz a través de un sistema de lentes en la aproximación llamada paraxial, en la que las lentes se suponen infinitamente delgadas y los rayos infinitamente cercanos al eje óptico. En esta aproximación todo sistema es equivalente a una sola lente efectiva. Este trabajo trata desde luego de las etapas básicas en el diseño de sistemas ópticos, paro su interés actual es conceptualmente reducido, y matemáticamente es bastante elemental; de hecho, Gauss dudó en publicarla.
Capítulo 6
El legado del «Príncipe de los matemáticos»
La marcha de su buen amigo y fuente de inspiración Wilhelm Weber hizo que la actividad científica de Gauss en sus últimos años no tuviera el brillo de otras etapas vitales. A pesar de ello, siguió activo en la esfera docente y gozó en vida del reconocimiento generalizado del mundo científico al conjunto de una obra monumental.La salida de Weber de la universidad marcó el inicio de la última etapa de la vida de Gauss, una época caracterizada sobre todo por le ausencia de colegas con los que compartir sus inquietudes científicas. Además de Weber, y por el mismo motivo —oponerse al rey—, tuvo también que partir Ewald, eficaz ayudante de Gauss y marido de su querida hija Minna, que lo acompañó en su exilio.
Los años posteriores a la salida de Weber de Gotinga fueron especialmente tristes y dolorosos para Gauss. En 1839 murió su ya anciana madre, lo que supuso un duro golpe para su hijo, que le tenía gran aprecio y la había acogido en su casa en sus últimos años. Pocos meses más tarde, en 1840, con solo treinta y tres años, falleció Minna, su nieta mayor y su preferida, hija de Joseph. Su gran amigo Olbers, compañero en tantos estudios astronómicos, también murió en 1840.
De su familia inmediata, solo su hija Therese permaneció junto a él. Ella nunca se casó y desde la muerte de su madre se hizo cargo de todas las cuestiones prácticas relativas al mantenimiento de la casa. Aunque Gauss era muy dependiente de ella, no parece que padre e hija tuviesen mucho en común, excepto un fuerte vínculo de mutuo aprecio, debido a la gratitud en el caso del padre y a la admiración por parte de la hija.
En esta última época existen muchos más informes de Gauss sobre sus estudiantes, lo que demuestra que durante esos años el viejo profesor disfrutaba mucho más de la enseñanza en general y de sus clases en particular que en sus años de juventud, en los que demostraba poca paciencia con los alumnos poco dotados. Gauss fue, sin duda, un buen docente y un profesor competente. Una de las razones de este cambio, además de una mayor paciencia con los alumnos poco brillantes, es que encontró estudiantes mejor preparados y más motivados. La reforma educativa promovida por el ministro Humboldt tuvo sus efectos positivos en la formación de las nuevas generaciones de estudiantes. Entre los últimos alumnos de Gauss podemos encontrar a luminarias tales como Georg Cantor y Richard Dedekind.
Dedekind tenía muy buen concepto de Gauss como docente y dejó al respecto un testimonio muy valioso:
Por lo general se sentaba en una actitud cómoda, mirando hacia abajo, ligeramente encovado, con las manos cruzadas sobre su regazo. Hablaba con bastante libertad, muy claramente, simple y llanamente, pero cuando quería hacer hincapié en un nuevo punto de vista [...] entonces levantaba la cabeza, se volvía hacia alguno de los que estaban sentados junto a él, y lo miraba con sus hermosos ojos azules penetrantes durante el discurso enfático. [...] Si se trataba de una explicación de los principios para el desarrollo de fórmulas matemáticas, entonces se levantaba, y en una postura muy erguida, majestuosa, escribía en una pizarra junto a él con su puño y letra peculiarmente hermosa: él siempre tenía éxito a través de la economía y la disposición deliberada en un espacio más bien pequeño. Para los ejemplos numéricos, a los que a su cuidadosa terminación daba especial valor, llevaba consigo los datos necesarios sobre pequeños trozos de papelGauss estaba todavía activo en esa época en sus observatorios magnéticos y astronómicos, entre otras ocupaciones, y recopilaba datos que compartía con otros científicos. También se dedicaba a problemas teóricos matemáticos, pero más elementales que los que le habían ocupado hasta entonces. Se ocupaba de algunos problemas combinatorios que le planteaba su amigo Schumacher y algunos de física aplicada y teórica. También dedicaba tiempo a aprender nuevas lenguas.
Cantor y DedekindGeorg Cantor (1845-1918). Julius Wilhelm» Richard Dedekind (1831-1916), ambos alumnos de Gauss, y Gottlob Frese (1748-1825) fueron los creadores de la teoría de conjuntos, el área de las matemáticas que aporta los fundamentos sobre los que se sostiene buena parte del resto de la disciplina de la matemática. Gracias a sus audaces y atrevidas investigaciones.Cantor fue el primero en formalizar la noción de infinito. Descubrió así que los conjuntos infinitos no tienen siempre el mismo tamaño. Por ejemplo, el conjunto de los números racionales es numerable, es decir, se puede establecer una relación uno a uno con los números naturales, mientras que el de los irracionales no lo es. Cantor vivió aquejado por episodios de depresión, atribuidos en parte a la dureza de las críticas recibidas, en especial las procedentes de un ilustre colega, Leopold Kronecker (1823-1891), quien llegó a calificarlo de «renegado», «charlatán» e incluso «corruptor de la juventud estudiosa».
En la actualidad, toda la comunidad matemática reconoce plenamente su trabajo y admite que ha significado un salto cualitativo importante en el raciocinio lógico. Por su parte, Richard Dedekind influyó decisivamente en el campo del álgebra y la teoría de números algebraicos. Se dice de él que fue el primero en impartir clases universitarias sobre la teoría de las ecuaciones de Galois. Fue además el primero en comprender el significado fundamental de las nociones de grupo, cuerpo ideal en el campo del algebra, la teoría de números y la geometría algebraica.
En 1849, con motivo del cincuentenario de su doctorado, impartió su famosa conferencia en la que presentó su cuarta demostración del teorema fundamental del álgebra, una variación de la presentada en su tesis, incorporando ya de manera abierta los coeficientes complejos, que no había querido presentar en sus primeras demostraciones. Dirichlet, que lo sustituiría en la universidad, fue un testigo excepcional. El reconocimiento de Gauss era general en Alemania y en toda Europa.
Uno de los trabajos más curiosos de Gauss de estos años estuvo dedicado al fondo de pensiones para las viudas de los profesores universitarios de la Universidad de Gotinga. Gauss estaba preocupado por comprobar si se podría mantener el nivel de cobertura a largo plazo. Para este trabajo usó tablas de mortalidad y otras informaciones obtenidas de compañías de seguros. Hizo numerosos cálculos; usando todos los datos reales de que pudo disponer. La conclusión la presentó en 1851, después de seis años de trabajo, y era bastante sorprendente: el sistema era sostenible e incluso se podría aumentar las cantidades pagadas. Una de las razones por las que Gauss se tomó tanto interés en este trabajo es que le permitió aplicar sus conocimientos de economía práctica. A diferencia de Newton en sus últimos años, Gauss jamás se sintió atraído por los cargos públicos, aunque su agudo interés y sagacidad en todas las cuestiones correspondientes a la ciencia de la estadística, seguros y aritmética política habrían hecho de él un excelente gestor público. En su libro Gauss zum Gedächtniss (Memoria de Gauss), Sartorius von Waltershausen (1809-1876), su amigo personal, expuso que podría haber sido perfectamente el encargado de las finanzas del Estado. De hecho, a su muerte disponía de una fortuna más que mediana, que era fruto de inversiones exitosas en acciones de compañías y bonos de estados, no solo alemanes. Y ello a pesar de que tuvo una inversión ruinosa, al invertir en la línea de ferrocarril del norte de Hesse, que fue nacionalizado por el Gobierno, perdiendo el 90% de su inversión.
En sus últimos años vivió como un perfecto burgués de clase media, lejos de conflictos, pues políticamente Gauss era un hombre conservador. Profesaba unas creencias religiosas bastante personales. No era ateo, pero podría ser considerado como deísta, aceptando la existencia y la naturaleza de Dios a través de la razón. Sus convicciones religiosas eran heterodoxas para la época y era contrario a las ideas liberales de la Iglesia protestante de Alemania. Una parte esencial de sus creencias era su confianza en la armonía e integridad del gran diseño de la creación. Las cartas más personales de Gauss muestran que creía firmemente en la inmortalidad del alma y en la existencia de una vida después de la muerte, pero no ciertamente en concordancia con los postulados del cristianismo.
«La vida está antes que yo, como una eterna primavera con nueva y brillante ropaLe atraía especialmente la literatura inglesa. Leía ávidamente las novelas históricas de su contemporáneo sir Walter Scott en cuanto aparecían. La facilidad con que dominó los idiomas durante su juventud la conservó durante toda su vida. Las lenguas eran para él una verdadera diversión. Cuando ya era anciano quiso comprobar la flexibilidad de su cerebro aprendiendo un nuevo idioma. Creía que este ejercicio le ayudaría a mantener joven su mente, y además estaba empeñado en leer los trabajos de Lobachevski antes de que se tradujeran. En efecto, con sesenta y ocho años comenzó a estudiar ruso sin ayuda de nadie. A los dos años leía las obras rusas en prosa y en verso con facilidad, y escribía en ruso sus cartas a los amigos científicos de San Petersburgo. En opinión de los rusos que le visitaron en Gotinga, hablaba su idioma perfectamente. Gauss situaba la literatura rusa al nivel de la inglesa por el placer que le proporcionaba.
Carl Friedrich Gauss
Al final de su vida, no fue un científico encerrado en su propio mundo. A Gauss le interesaba la política mundial, a la que dedicaba una hora al día; visitaba las bibliotecas con regularidad y se mantenía al corriente de los acontecimientos leyendo todos los diarios recibidos, desde el Times de Londres a las revistas locales de Gotinga.
En política era claramente conservador, pero no en el sentido de «reaccionario». No se oponía a las reformas por principio, aunque exigía de ellas un sustento lógico muy estricto. Sus amigos progresistas atribuían el conservadurismo de Gauss al aislamiento a que le obligaba su obra. Puede que en parte sea verdad. En los últimos veintisiete años de su vida solo durmió una vez fuera de su observatorio, cuando asistió a una reunión científica en Berlín para satisfacer a Alexander von Humboldt
«Nada me demostraría de un modo tan lisonjero y tan poco equívoco que los atractivos de esta ciencia que ha enriquecido mi vida con tantas alegrías no son una quimera, igual que no lo es la predilección con la que usted la ha honrado.»La época en que se desarrolló su vida era turbulenta, con guerras y revoluciones, tanto en su país como en el extranjero. El gobierno del populacho y los actos de violencia política producían en Gauss un indescriptible horror. La revuelta de París en 1848, que llevó al poder a la Comuna, lo llenó de pesadumbre.
Gauss, en respuesta a Sophie Germain tras revelarle esta su verdadera identidad.
En general detestaba a los demagogos que arrastraban a las masas. Al haber nacido en una familia pobre, Gauss sabía muy bien que las personas ignorantes eran muy fáciles de manipular. Ya anciano creía que la paz y el simple bienestar constituían lo único bueno para cualquier país. Si la guerra civil hubiera estallado en Alemania, decía, pronto habría muerto. Las conquistas en la forma napoleónica le parecían una incomprensible locura, siempre guardó un cierto desapego por todo lo francés, derivado del efecto devastador de las guerras napoleónicas.
Gauss era un anciano vigoroso que defendía con ardor sus opiniones. Una de las causas de su vigor se encuentra en su serenidad científica y en la ausencia de ambiciones personales. Toda su ambición era el progreso de la matemática. Si Gauss era algo frío en sus expresiones impresas, era suficientemente cordial en su correspondencia personal y en sus relaciones científicas. Como ya sabemos, mantuvo una relación científica con Sophie Germain, a la que admiraba por su sagacidad matemática. La apertura de mente respecto al tema de la dedicación de las mujeres a la ciencia es muy notable para cualquier hombre de su generación y educación.
Se sabe poco de los últimos años de su vida, en los que dedicó parte de su tiempo a leer, y no solo literatura científica y periódicos, como ya hemos señalado. En jumo de 1854, Gauss se hizo un chequeo médico completo. El diagnóstico fue poco favorable, pues le encontraron una dilatación del corazón, con pocas esperanzas de vida. Su último acto académico, en junio de 1854, fue ejercer como presidente del tribunal en la prueba para la habilitación de Riemann como profesor de matemáticas. A petición del presidente del tribunal, Riemann leyó su famosa exposición Sobre las hipótesis en que se fundamenta la geometría, que sin duda impactó al anciano Gauss por lo que suponía de reconocimiento de las geometrías no euclídeas en las que había sido pionero. A principios de agosto su salud volvió a deteriorarse otra vez. En diciembre parecía que su última hora había llegado. De cualquier manera, el corazón del anciano Gauss, aquejado de hidropesía, estaba dando sus últimos latidos. Y dejó de latir de forma irremediable en la madrugada del 23 de febrero de 1855, mientras dormía plácidamente. Tenía 77 años, 10 meses y 22 días y dejaba tras de sí la obra matemática más grandiosa de la historia. No en vano el mismísimo rey Jorge V de Hannover acuñó una moneda en su honor en la cual le otorgó el calificativo de Mathematicorum Princeps, Príncipe de los matemáticos.
Gauss fue un matemático muy reconocido en su tiempo. Gozó de una gran popularidad desde muy joven, y alcanzó fama a nivel internacional antes de cumplir los veinticinco años por su descubrimiento del método de mínimos cuadrados y su aplicación al cálculo de la órbita de Ceres. A pesar de ello, y como dejó recogido Sartorius en su memoria:
Gauss fue sencillo y sin afectación desde su juventud hasta el día de su muerte. Un pequeño estudio, una mesita de trabajo con un tapete verde, un pupitre pintado de blanco, un estrecho sofá, y, después de cumplir los setenta años, un sillón, una lámpara con pantalla, una alcoba fresca, alimentos sencillos, una bata y un gorro de terciopelo eran todas sus necesidades.Las generaciones posteriores han sabido reconocer su grandeza, y los honores recibidos desde su muerte son incontables. En la actualidad existe un premio matemático que lleva su nombre, instituido en 2002 de forma conjunta por la Unión Matemática Internacional (IMU) y la Deutsche Mathematiker-Vereinigung (Sociedad Matemática Alemana, DMV). El galardón se otorga cada cuatro arios a quienes hayan hecho «contribuciones matemáticas relevantes con aplicaciones significativas fuera de las matemáticas». La dotación es de 10000 euros y, contrariamente a la medalla Fields, no hay límite de edad. Los dos primeros galardonados fueron Kiyoshi Ito (1915-2008) en 2006, por sus trabajos en probabilidad y procesos estocásticos, e Yves Meyer (n. 1939) en 2010 por sus estudios sobre ondas oscilatorias. La medalla que acredita el premio tiene en su anverso una representación de la órbita de Ceres, y un cuadrado adicional simboliza el método de mínimos cuadrados usado por Gauss para la determinación de dicha órbita.
Su patria, Alemania, ha rendido homenaje al genio de Gauss en diversos sellos postales, y antes de la llegada del euro, muchos alemanes estaban familiarizados con el rostro de Gauss, aunque tal vez no supieran a quién correspondía. Eso es así porque durante varios años la semblanza amable del Gauss maduro, tocado con su típico gorro de terciopelo, adornaba el billete de diez marcos, acompañado de una representación de la campana que lleva su nombre.
Como se decía en la introducción, todos los matemáticos, sin importar la especialidad, podemos contar a Gauss entre los nuestros. Suyos son resultados fundamentales en prácticamente todas las áreas de la disciplina: álgebra, análisis matemático, geometría, estadística, teoría de números, aritmética, astronomía y matemática aplicada. Sus aportaciones en cualquiera de ellas le hubieran garantizado pasar a la posteridad como un gran matemático; el hecho de haberlas protagonizado todas constituye una hazaña casi sin parangón.
Las ideas de Gauss cambiaron las matemáticas de su tiempo y su influencia persiste en la actualidad con mayor fuerza si cabe. Sin los números imaginarios no se podrían resolver las ecuaciones que permiten que los cohetes despeguen de la Tierra. Sin la geometría no euclídea, Einstein no habría dispuesto de las herramientas necesarias para desarrollarla teoría de la relatividad. Sin el método de los mínimos cuadrados, los problemas de ajuste de funciones y las estimaciones a partir de conjuntos de datos serian imposibles.
Muchos de sus resultados habrían sido encontrados eventualmente por otros matemáticos, porque eran necesarios para el avance de la ciencia, pero es seguro que se habrían retrasado décadas. Y de lo que no puede caber duda es que esos avances no habrían sido fruto de un solo hombre. En ocasiones nacen personas especiales que hacen que esta lenta acumulación de conocimientos que forma la cultura humana crezca de forma significativa, logrando ellas solas avances que corresponderían a varias generaciones. Son personas dotadas de un genio y unas capacidades especiales que encuentran las condiciones necesarias para desarrollar su talento. Gauss fue uno de esos pocos escogidos.
- Bell, E.T., Los grandes matemáticos, Buenos Aires, Losada, 2010.
- Boyer, C., Historia de la matemática, Madrid, Alianza Editorial, 2007.
- Kehlmann, D., La medición del mundo, Madrid, Maeva Ediciones, 2006.
- Sautdy, M., La música de los números primos, Barcelona, Acantilado, 2007.
- Stewart, L, Historia de las matemáticas, Madrid, Crítica, 2008.
- Villa, R.; Aranda, A. et al., Un paseo entre las matemáticas y la realidad, Sevilla, Secretariado de Publicaciones del Vicerrectorado de Investigación de la Universidad de Sevilla. 2010.





En este trabajo expuso procedimientos iterativos para resolver ecuaciones. El problema de los procesos iterativos de resolución de problemas matemáticos es que no siempre puede garantizarse que el número de iteraciones sea finito; cuando un método puede asegurarlo se dice que es convergente. Los procedimientos que expuso Bolyai eran de este tipo. Otra aportación importante de su obra fue incluir una definición de igualdad entre dos figuras planas si las dos podían ser divididas en un número finito de partes equivalentes, dando lugar al teorema de Bolyai-Gerwien, Fue padre del también matemático Janos Bolyai, al que animó en sus trabajos de geometría no euclídea. Gauss reconoció que muchas de sus ideas sobre geometría las había discutido y mejorado con Wolfgang Bolyai.
El sobrenombre se debe a que nunca se dedicó en exclusiva a dicha ciencia, que consideraba más bien un pasatiempo, y sin embargo Fermat fue, junto con René Descartes (1595- 1650), uno de los principales matemáticos de la primera mitad del siglo XVII. Un campo en el que realizó destacadas aportaciones fue el de la teoría de números, en la que empezó a interesarse tras consultar una edición de la Aritmética de Diofanto. En el margen de una página de dicha edición fue donde anotó el célebre teorema que fue conocido como al «último teorema de Fermat», nombre que no era correcto por tratarse solo de una conjetura. Dicha conjetura afirmaba que no existían números enteros x, y,z de forma que fuera posible la ecuaciónxn + yn = zn, con n ≥3. Obviamente para n = 2 si es posible, pues basta considerar 32 + 42 = 52. Gauss jamás se dedicó al último teorema de Fermat y tenía sus razones. En 1816, la Academia de París propuso, como premio para el período 1816-1818, la prueba (o la negación) de la conjetura de Fermat. El 7 de marzo de 1816 Ölbers, astrónomo amigo de Gauss, incitó al matemático alemán a presentarse: « Me parece justo, querido Gauss, que os ocupéis de ello »; pero Gauss resistió a la tentación. Al contestar, dos meses más tarde, expuso su opinión acerca del último teorema de Fermat. « Os estoy muy obligado por vuestras noticias respecto al premio en París pero confieso que el teorema de Fermat como proposición aislada tiene muy escaso interés para mí, pues fácilmente puedo encontrar una multitud de proposiciones semejantes que no es posible probar ni desechar. » El famoso enunciado no fue demostrado por completo hasta 1995 por el británico Andrew Wiles.
matemático, como por ejemplo la noción de función matemática. Definió el número e, una de las constantes de más utilidad y que dio lugar a los logaritmos neperianos. Asimismo se le conoce por sus trabajos en los campos de la mecánica, la óptica y la astronomía. Euler ha sido uno de los matemáticos más prolíficos, y se calcula que sus obras completas reunidas podrían ocupar entre sesenta y ochenta volúmenes. De hecho, cincuenta años después de su muerte, la Academia de San Petersburgo aún estaba publicando artículos de Euler que guardaba en sus archivos. Una afirmación atribuida a Laplace expresa su influencia en los matemáticos posteriores: « Lean a Euler, lean a Euler, él es el maestro de todos nosotros ».



Dirichlet (1805-1859) fue un matemático alemán del siglo XIX. Se educó en Alemania, y después en Francia, donde aprendió de muchos de los más renombrados matemáticos de su tiempo, relacionándose con algunos, como Fourier. Tras graduarse, fue profesor en las universidades de Breslau (1826-1828), Berlín (1828-1855) y Gotinga, en donde ocupó la cátedra dejada por Gauss tras su muerte. Dedicó muchos de sus trabajos a completar la obra de Gauss, aportando demostraciones completas a sus resultados de forma que fuesen más accesibles a las generaciones futuras de matemáticos. 
fueron nombrados como números primos de Germain (números primos cuyo doble incrementado en una unidad es también un número primo), por ejemplo, 11 y 23.
En 1782 le fue concedido el premio ofrecido por la Academia de Berlín por su estudio sobre proyectiles. Hizo importantes contribuciones a la estadística, la teoría de números y el análisis matemático. Sus trabajos sirvieron de base para posteriores avances matemáticos. Los trabajos del noruego Niels Henrik Abel en las funciones elípticas se construyeron sobre los postulados elaborados por Legendre, que realizó una labor fundamental en este ámbito, incluyendo la clasificación de las integrales elípticas. Su obra en este campo fue completada por su alumno Carl Gustav Jakob Jacobi. Parte de la obra de Gauss sobre estadística y teoría de números complementaba la de Legendre, con el que tuvo diversas polémicas a lo largo de su vida sobre la preeminencia de los descubrimientos. En 1830 presentó una demostración para n = 5 de la entonces conjetura de Fermat. También realizó trabajos pioneros en te distribución de los números primos y en la aplicación del análisis a la teoría de números, en los que de nuevo coincidió con Gauss.


Desde su creación incluía miembros no franceses, como el holandés Christiaan Huygens (1629-1695), que tuvo durante toda su vida una ayuda económica de la Academia. En 1699 la Academia fue reorganizada bajo el patronato real de Luis XIV y se ubicó su sede en el palacio del Louvre. Estaba dividida en dos categorías principales, ciencias matemáticas y ciencias físicas, que a su vez se subdividían en tres ramas: geometría, mecánica y astronomía, en la parte de ciencias matemáticas, y química; botánica y anatomía, en la de cencías físicas. La geometría ha de entenderse en el sentido de la Grecia clásica y comprendía todas las ramas de las matemáticas. Durante el siglo XVIII contribuyó al movimiento científico de su tiempo por medio de sus publicaciones. Además realizaba acciones de asesoría científica para el poder político. Tras la supresión de las academias que siguió a la Revolución, en 1816 recuperó su autonomía y se unió al Instituto de Francia, estatuto que conserva en la actualidad. 






1831, año en el que ingresó en la Universidad de Gotinga. Allí entabló amistad con Gauss, con quien colaboró en estudios sobre electricidad y magnetismo. En 1833 inventaron un nuevo tipo de telégrafo, conocido como galvanómetro reflectante de Gauss-Weber.
Humboldt (1769-1859) fue un geógrafo, naturalista y explorador alemán, hermano menor del lingüista y ministro de Educación Wilhelm von Humboldt. Ha sido denominado el «Padre de la Geografía Moderna Universal». Fue un naturalista de una polivalencia extraordinaria, que no volvió a repetirse tras su desaparición. Los viajes de exploración le llevaron de Europa a América del Sur, parte del actual territorio de México, Estados Unidos, Canarias y Asia Central. Se especializó en diversas áreas de la ciencia, como etnografía, antropología, física, zoología, ornitología, climatología, oceanografía» astronomía geografía, geología, mineralogía, botánica, vulcanología y humanismo. Colaboró con Gauss en le elaboración de un Atlas de Geomagnetismo.
Cantor fue el primero en formalizar la noción de infinito. Descubrió así que los conjuntos infinitos no tienen siempre el mismo tamaño. Por ejemplo, el conjunto de los números racionales es numerable, es decir, se puede establecer una relación uno a uno con los números naturales, mientras que el de los irracionales no lo es. Cantor vivió aquejado por episodios de depresión, atribuidos en parte a la dureza de las críticas recibidas, en especial las procedentes de un ilustre colega, Leopold Kronecker (1823-1891), quien llegó a calificarlo de «renegado», «charlatán» e incluso «corruptor de la juventud estudiosa».
En la actualidad, toda la comunidad matemática reconoce plenamente su trabajo y admite que ha significado un salto cualitativo importante en el raciocinio lógico. Por su parte, Richard Dedekind influyó decisivamente en el campo del álgebra y la teoría de números algebraicos. Se dice de él que fue el primero en impartir clases universitarias sobre la teoría de las ecuaciones de Galois. Fue además el primero en comprender el significado fundamental de las nociones de grupo, cuerpo ideal en el campo del algebra, la teoría de números y la geometría algebraica.