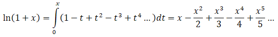
Euler: el maestro de todos los matemáticos
William Dunham
Hace 4 mil millones de años un gigantesco asteroide impactó con la Luna produciendo un enorme cráter de 1250 Km de diámetro. Quinientos millones de años más tarde grandes coladas de lava habían rellenado este cráter y destruido alguna de sus paredes. Había nacido el Mare Imbrium, el Mar de las Lluvias.
Sobre este fondo de lava otros objetos celestes dejaron su huella en forma de impacto. Uno de ellos produjo un cráter mediano de poco más de 20 Km de diámetro al norte de los Montes Cárpatos. El cráter Euler.
El cráter de Euler no guarda proporción con sus aportaciones al conocimiento matemático. A lo largo del siglo XVIII ensanchó las fronteras del conocimiento matemático en todos sus campos.
Leonhard Euler es, por la calidad y la cantidad de su obra, uno de los cuatro matemáticos más brillantes de la historia. Los otros tres, y que cada cual elija su orden, son Arquímedes, Newton y Gauss. Si la calificación la hiciésemos atendiendo a la cantidad de los trabajos de primer orden realizados por cada uno de ellos, sin duda ocuparía el primer lugar. A lo largo de su extensa vida Euler produjo más de 800 libros y trabajos. Sus obras completas Opera Omnia ocupan 86 volúmenes. Sin lugar a dudas es el matemático más prolífico de la historia.
Pero, con ser importante la cantidad de trabajos, el aprecio de los matemáticos contemporáneos y posteriores a él se debe más a la riqueza, originalidad, belleza y genial agudeza de su obra que a su volumen.
Y sin embargo, Leonhard Euler, un genio equiparable a William Shakespeare, a Juan Sebastián Bach o a Miguel Ángel, es un gran desconocido para el gran público y lo que es peor para muchos matemáticos.
Si los estudiantes de enseñanza secundaria y de los primeros cursos universitarios de matemáticas sospechasen cuántos de los resultados que estudian y aplican se deben al matemático suizo su figura se agigantaría hasta ocupar el lugar que realmente le corresponde, la cima de la historia de las matemáticas.
Por desgracia, la historia de las matemáticas ha sido durante décadas, y continua siéndolo en la actualidad, minusvalorada cuando no abiertamente ignorada por la sociedad en general, pero también por la colectividad matemática, no sólo por los estudiantes sino, lo que es mucho más grave, también por los profesores de todos los niveles, desaprovechando de paso uno de los recursos didácticos más valiosos de esta materia o al menos uno de los más atractivos.
William Dunham, uno de los más populares divulgadores científicos de la actualidad, ha levantado la bandera de Euler en un más que loable intento, además de justo, de colocarle en el pedestal que le corresponde. Si en publicaciones anteriores encarecía a los lectores a formar clubes de seguidores entusiastas de Euler, a escribir pancartas y a correr la voz de cualquier otra forma acerca de uno de los matemáticos más influyentes y más ingeniosos que han existido, en este libro levanta un hermoso monumento al genial matemático suizo.
La obra de cualquier científico, no responde exclusivamente a su genio personal, las circunstancias políticas, sociales y culturales determinan de forma concluyente su producción. Euler hubiese sido un matemático brillante en cualquier época histórica pero su ingente obra está marcada por el hecho de haber vivido en el siglo XVIII, el Siglo de las Luces.
A lo largo del siglo los conflictos bélicos, enmascarados en guerras sucesorias, van a perfilar el mapa político futuro de Europa. Y Euler va a presenciar en primera fila el nacimiento de dos nuevas potencias europeas: Prusia y Rusia.
El año en que nace Euler, 1707, Europa está en guerra. La pugna por la corona española entre el borbón Felipe de Anjou y el archiduque Carlos de Habsburgo va a desatar una verdadera guerra europea, que enfrentará a Francia y Castilla contra Austria, Inglaterra, Holanda, Prusia, Portugal y Saboya. El motivo sucesorio esconde en realidad el intento de las potencias europeas de acabar con la hegemonía francesa de Luis XIV en el continente. La paz de Utrecht (1713), además de la entrega de Gibraltar a Inglaterra, ratificará el reparto de las posesiones españolas en Europa: Nápoles, Sicilia, Cerdeña, el Milanesado y los Países Bajos. Pero al mismo tiempo va a otorgar al Elector de Brandeburgo el título de rey de Prusia lo que supondrá el nacimiento de una nueva potencia en la que Euler desarrollará su trabajo durante 25 años en la corte de Federico II.
En el extremo de Europa, Pedro I acomete la gran tarea de modernizar el vasto imperio ruso. Una de sus medidas europeizadoras será la fundación de San Petersburgo a orillas del Báltico y la de su Academia en la que Euler va a trabajar la mitad de su vida. Las dos nuevas potencias emergentes, además de repartirse Polonia, se van a disputar al genio.
En mitad de otra conflagración europea, la Guerra de Sucesión de Austria (1740-1748), esta vez el motivo aparente será la sucesión en el trono austríaco, aunque el motivo real fue la política de expansión de Federico II de Prusia, que para demostrarlo se anexionó Silesia, Euler va a abandonar la fría Rusia para ocupar una plaza en la reformada Academia de Berlín.
No será la última guerra europea de la que Euler será testigo. Una nueva contienda general, la Guerra de los Siete Años, que enfrentó a la beligerante Prusia junto a Inglaterra contra Francia, España, Rusia, Polonia y Suecia, intenta redefinir el inestable equilibrio político en el viejo continente. Y esta le afectó en primer grado ya que el ejército ruso saqueó una finca de campo de su propiedad. Por fortuna el prestigio de Euler en toda Europa era tal que el general al mando de las tropas, por orden directa de la corte rusa, tuvo que restituirle los daños pagándole 4000 florines.
Pero el movimiento de tropas no será el único, ni siquiera el principal, del que serán testigos los ciudadanos europeos del siglo de Euler. Otro movimiento, en este caso de ideas, va a recorrer Europa desde el Atlántico hasta las orillas del Báltico: la Ilustración, una larga fermentación intelectual y social que conducirá al final del siglo a la Revolución Francesa.
El siglo XVIII es el siglo de la pasión de las ideas. Los filósofos y científicos rechazando las soluciones teológicas y metafísicas y la autoridad de la tradición y de la religión van a realizar una revisión crítica de las nociones fundamentales acerca del destino del hombre y de la organización de la sociedad. Y todo ello bajo la luz exclusiva de la razón y una fe inquebrantable en el progreso humano.
Este movimiento, nacido en Francia en los salones, los cafés y los clubes alcanzará su expresión más completa en L'Encyclopédie de Diderot y del matemático D’Alembert.
Francia se va a convertir en el modelo para toda Europa. Esta influencia va a extenderse por todas las cortes europeas, incluso aquellas en guerra contra Francia. Federico II de Prusia y Catalina II de Rusia se van a rodear de los filósofos, científicos, artistas, músicos y literatos más prestigiosos de todo el continente.
Diderot vivió una temporada en San Petersburgo invitado por Catalina II; los hermanos Jakob y Nicolaus Bernoulli, Christian Goldbach y el propio D’Alembert, que rechazó la oferta, fueron invitados por la zarina a desarrollar su trabajo en Rusia. Federico II, que exigía hablar francés en su corte, acogió, además de a Euler, al propio Voltaire, a Lambert y a Maupertuis; aunque ferviente admirador de todo lo francés tampoco pudo contar con la presencia de D’Alembert.
En una Europa en casi continuo conflicto bélico, las ideas y sus creadores no conocían fronteras, aunque fuera de Francia se refugiaban en las cortes de los monarcas ilustrados.
Tenemos una tendencia natural a mirar el pasado con los parámetros del presente, y eso nos produce distorsiones muy graves. Algunos matemáticos han intentado minimizar la figura de Euler achacándole exclusivamente un innegable ingenio, una habilidad pasmosa en el manejo de algoritmos, sobre todo al trabajar con series infinitas, una capacidad pasmosa de secuestrar un problema de su campo natural para intentar resolverlo con herramientas matemáticas de campos completamente ajenos al del origen... pero todo ello con una ausencia de rigor casi insolente. Quizás por eso el nombre de Euler no aparece vinculado en los libros de texto a muchos resultados salidos de su pluma. No lo conseguirán, es imposible reducir a tamaño normal a un gigante.
Se olvidan que el rigor matemático es también una variable que cambia con el tiempo. Y se olvidan de la situación en que se encontraban las matemáticas al principio del siglo XVIII.
Leibniz murió en 1716, sólo y abandonado por todos, cuando Euler contaba nueve años. Newton fue enterrado en la abadía de Westminster con honores regios, entierro al que asistió Voltaire entonces exiliado en Londres, once años más tarde, justo cuando Jakob y Nicolaus Bernoulli invitan a Euler a sumarse a su aventura de San Petersburgo. En ese momento Euler ya contaba con un prestigio internacional al haber ganado dos premios convocados por la Academia de Ciencias de París.
Estos datos podían hacernos suponer que en los albores del siglo el cálculo diferencial y el cálculo integral estaban ampliamente difundidos por Europa y eran conocidos por la colectividad científica. Nada más lejos de la realidad.
Las ideas de Newton sobre desarrollos en series infinitas eran conocidas por un restringido grupo de amigos personales, si es que Newton tenía algún amigo; la obra en que aparecen sus resultados De analysis per equationes numero terminorum infinitas vio la luz pública en 1711; aunque desarrolló su sistema de cálculo diferencial y cálculo integral entre 1670 y 1671 en una extensa obra Methodus fluxionum et serierum infinitarum, esta se publicó en 1727, después de su muerte. El cálculo de fluxiones aparece brevemente en un apéndice de su Óptica, titulado Tractatus de quadratura curvarum, en 1704.
Leibniz por su parte hace la presentación pública de su cálculo diferencial e integral por entregas, a través de breves artículos en la revista Acta Eruditorum publicada en Leipzig, que también acogerá artículos sobre el mismo tema de Johann Y Jakob Bernoulli. La primera parte correspondiente al cálculo diferencial en 1684. A lo largo de la década de los noventa Leibniz y los Bernoulli van a publicar en la citada revista sus soluciones de problemas famosos: la catenaria, la braquistócrona, los isoperímetros... que van a demostrar el potencial de la nueva herramienta matemática.
El primer manual de cálculo diferencial con aplicación al estudio de curvas Analyse des infiniment petits lo publicó el Marqués de L’Hôpital (recogiendo las lecciones de Johann Bernoulli por cierto) en 1696. Las lecciones sobre cálculo integral de Johann Bernoulli no aparecerán publicadas hasta 1742.
Es decir, a principios del siglo muy pocos conocían la valiosa herramienta del cálculo y muchos menos se habían preocupado por validar sus fundamentos. Lo que sí conocían era su potencial a la hora de resolver complejos problemas de los campos más diversos desde la mecánica hasta la astronomía, desde la náutica hasta la acústica. Las matemáticas, y sobre todo su último invento, el cálculo, se convertían en una ciencia útil, lejos de las meras especulaciones estéticas. Euler tuvo la fortuna de introducirse desde su juventud en ese círculo selecto y de recibir lecciones del propio Johann Bernoulli, el más aguerrido difusor del cálculo de Leibniz en el continente.
A lo largo del siglo, las matemáticas entraron en los salones de la Francia ilustrada y en las cortes europeas a través de las Academias de Ciencias. En este ambiente poco importaba si los cimientos sobre los que se apoyaba el análisis eran sólidos y contaban con un rigor suficiente, ya había demostrado su validez resolviendo de forma certera problemas prácticos hasta el momento irresolubles. Nadie cuestionaría su eficacia. Las matemáticas eran un arma de progreso.
En el siglo XVIII los campos que abarcaban las matemáticas eran mucho más amplios que en la actualidad. En el árbol de la ciencia representado en L'Encyclopedie, de la rama genérica de las matemáticas surgen otras ramas que hoy son materias autónomas. Los enciclopedistas dividen las matemáticas en tres ramas principales: matemáticas puras, físico-matemáticas y matemáticas mixtas. Dentro de las matemáticas puras estarán la aritmética y la geometría. La aritmética se divide en aritmética numérica (teoría de números) y álgebra, que englobará el álgebra elemental, el álgebra infinitesimal y el cálculo diferencial e integral. De la rama de la geometría surgen brazos como la geometría elemental y la geometría trascendente que englobarán disciplinas como la teoría de cuerpos y figuras junto a otras tan ajenas hoy al quehacer matemático como la táctica o la arquitectura militar.
El panorama arbóreo dentro de la rama de las matemáticas mixtas es mucho más complicado y sorprendente para nuestros ojos ya que engloba disciplinas como la mecánica, la estática, la hidrostática, la dinámica, la óptica, la neumática o la geometría astronómica.
Si algo no le faltaba a un matemático profesional del Siglo de las Luces eran áreas del saber donde desarrollar su trabajo. Por eso no es tan extraño que el nombre de Euler aparezca en obras y trabajos no sólo de lo que hoy entendemos por materias matemáticas: teoría de números, álgebra, análisis, geometría... que de hecho constituyen, según la estadística elaborada por Adolf Juschkewitsch sobre la obra de Euler, sólo el 58% de sus trabajos.
Las obras de Euler sobre mecánica y física constituyen el 28% de su producción total, sobre astronomía el 11%, sobre náutica, arquitectura y artillería el 2% y sobre música y filosofía el 1%.
De hecho, de los más de 80 volúmenes de su ingente Opera Omnia, sólo 29 constituyen la Opera Mathematica.
Euler es el matemático más prolífico de la historia. Este hecho no lo discute nadie. Y eso a pesar de haber perdido la visión de un ojo antes de los 30 años y haber quedado completamente ciego en 1766 tras su retorno a San Petersburgo. Este lamentable hecho que habría frenado la actividad creadora de cualquier persona normal no frenó la inspiración del anciano Euler que contaba entonces 60 años.
Con su memoria prodigiosa, (se cuenta que era capaz de recitar en latín la Eneida completa), y con su increíble capacidad de cálculo mental, (era capaz de decir sin utilizar lápiz ni papel no sólo los 100 primeros números primos sino sus cuadrados, cubos y hasta sus potencias sextas), continuó dictando sus notas a alguno de sus hijos o a su amigo y colaborador Nikolaus Fuss y aún público más de 300 trabajos.
A pesar de haber pasado casi toda su vida en los ambientes cortesanos de San Petersburgo y Berlín, Euler era una persona de carácter sencillo y amable y poco dado a los fastos de la corte. Prefería la plácida vida hogareña, rodeado de alguno de sus hijos, tuvo trece aunque sólo cinco llegaron a la edad adulta, o de sus nietos. Esta vida tranquila junto a una inteligencia excepcional, una memoria prodigiosa, un dominio increíble de las técnicas algorítmicas y una disciplina de trabajo férrea pueden contribuir a explicar su gigantesca obra.
La cantidad y la importancia de sus descubrimientos nos hacen dudar a veces que puedan ser obra de una sola persona. Aunque Euler no era una persona normal, era un genio.
El lector ya se puede imaginar la imposibilidad de resumir en un libro como este la inmensa producción de Euler en todos estos campos. William Dunham, profundo conocedor y admirador de la obra de Euler, no lo pretende.
Su intención es presentar un muestrario muy selecto de resultados hermosos y espectaculares logrados por el genio suizo en las principales ramas de las matemáticas puras. Y lo hace poniendo al alcance de cualquier lector, con conocimientos elementales de matemáticas, sus aportaciones en campos tan dispares como la teoría clásica de números, los logaritmos de números complejos, las series infinitas (su gran especialidad), la teoría analítica de números, la variable compleja, el álgebra, la geometría o la combinatoria.
En cada uno de estos temas Dunham nos presenta la brillante respuesta a uno o varios problemas. Pero no lo hace de manera fría y neutra. Sitúa los precedentes del problema y los intentos de matemáticos anteriores para resolverlo, nos guía de forma detallada y muchas veces sorprendente por los razonamientos de Euler y nos informa de demostraciones o generalizaciones posteriores del mismo tema.
El lector tendrá con mucha frecuencia la sensación de estar leyendo por encima del hombro de Euler, mientras este rellena sus hojas, atrapando los destellos de ingenio, de agudeza mental, de dominio de los algoritmos o de simple genialidad que le hacen avanzar hasta obtener el resultado final. Se sorprenderá de la facilidad con que salta de una rama de las matemáticas a otra en apariencia alejada del problema con que se está enfrentando para sortear un obstáculo ante el que muchos antes que él han sucumbido.
Y todo con la elegancia y naturalidad que sólo el genio es capaz de imprimir a sus obras.
Antonio Pérez Sanz
Durante el curso académico 1997-98 tuve la oportunidad de disfrutar de la beca de investigación Donald B. Hoffman en el Muhlenberg College. Agradezco al Comité de Formación del Profesorado y Becas del Muhlenberg College, a su presidente Arthur Taylor y al decano Curtis Dretsch, su apoyo para que me fuera concedida dicha distinción. Nunca podría haber empezado, y menos acabado, este proyecto sin su ayuda.
Quiero, además, expresar mi gratitud a las dos bibliotecas cuyos fondos me han resultado esenciales durante el año pasado: la Biblioteca Trexler del Muhlenberg College, donde escribí este manuscrito, y la Biblioteca Fairchild-Martindale de la Lehigh University, donde se puede encontrar, en todo su esplendor, las Opera Omnia de Euler.
Entre los que alentaron esta obra, el más destacado es Don Albers, director de publicaciones y programas de la Asociación Matemática de América. Don ha sido una fuente permanente de ánimo y de buenos consejos. Le estaré siempre agradecido por su profesionalidad y su amistad.
Entre las personas que también colaboraron significativamente destacan Bruce Palka, que edita esta colección Dolciani de la Asociación Matemática de América; Elaine Pedreira y Beverly Ruedi, que se ocuparon del manuscrito durante su impresión; y Jerry Alexanderson y Leon Varjian, cuya cuidadosa lectura del texto vino acompañada de valiosos comentarios.
También quiero mostrar mi agradecimiento a mis compañeros y amigos del departamento de Ciencias Matemáticas del Muhlenberg College: George Benjamín, Roland Dedekind, Margaret Dodson, Linda Luckenbill, John Meyer, David Nelson, Bob Stump y Bob Wagner.
Fuera del campus del Muhlenberg College hay también personas que merecen una mención especial. Una de ellas es George Poe, querido amigo y profesor de francés en la University of the South, sin cuyas traducciones hubiera dado un fauxpas tras otro. Estoy igualmente agradecido a Claramae y Carol Dunham y Ruth y Bob Evans por su constante apoyo, y a nuestros hijos Brendan y Shannon, que fueron y son nuestro mayor sostén.
Por último, quiero reconocer muy sinceramente a mi esposa y colega Penny Dunham sus numerosas aportaciones al manuscrito final y su habilidad con el ordenador en la realización de los gráficos que en él aparecen. Por esa ayuda, y por mucho más, le dedico este libro con amor y gratitud.
William Dunham
Allentown, Pennsylvania.
“Leed a Euler, leed a Euler. El es el maestro de todos nosotros.”
Laplace
En la cripta de la catedral de San Pablo en Londres está la tumba de Christopher Wren, arquitecto de ese magnífico y hermoso edificio. La inscripción que figura sobre la lápida es uno de los epitafios más famosos:
Lector, si monumentum requiris, circumspice.
Que se traduce por:
“Visitante, si buscas su monumento conmemorativo, mira a tu alrededor”.
Por supuesto, que un arquitecto no podría tener mejor mausoleo que la inmensa iglesia que se yergue a su alrededor. Desde la nave hasta la cúpula, desde el crucero hasta el coro, San Pablo es la obra maestra de Wren.
Las matemáticas carecen de la solidez táctil de la arquitectura. Son intangibles, no existen ni en piedra ni en mortero; sólo en la imaginación humana. Sin embargo, al igual que la arquitectura, son reales. Y, como ésta, tienen sus maestros.
Este libro trata de uno de los genios indiscutidos de las matemáticas: Leonhard Euler. Su intuición fue imponente, su visión profunda y su influencia altamente significativa. Euler hizo aportaciones a ramas de las matemáticas establecidas desde hacía mucho tiempo, como la teoría de números, el análisis, el álgebra y la geometría. También se adentró en el inmenso e inexplorado territorio de la teoría analítica de números, en la teoría de grafos y en la geometría diferencial. Además, fue el más importante matemático aplicado de su siglo, como ampliamente demuestran sus trabajos sobre mecánica, óptica y acústica. Es difícil encontrar algún aspecto de las matemáticas que escape a la penetrante mirada de Euler. Como afirma André Weil, matemático del siglo XX: “Durante toda su vida...parece haber llevado en la cabeza la totalidad de las matemáticas de su época, tanto puras como aplicadas.”[1]
Si extraordinaria fue la calidad de sus logros, también lo fue su inmensa cantidad. Hasta ahora han sido publicados 73 volúmenes de Opera Omnia (Obras Completas), un proyecto editorial que comenzó en 1911 y del que faltan por aparecer muchos volúmenes de correspondencia científica y otros manuscritos. Euler fue un verdadero Niágara, que escribía matemáticas más rápido de lo que la mayor parte de la gente puede absorber.
Como divulgador no tuvo igual. Escribió textos clásicos de álgebra, cálculo diferencial e integral, y cálculo de variaciones; obras que continúan siendo la base de estos temas hasta el día de hoy. Aún más, su escritura era fresca y entusiasta, frente a la tendencia moderna a ocultar una pasión académica con el manto de una prosa técnica y postiza. Evidentemente, Euler se divertía dedicándose sólo por su propia satisfacción a estos temas, al mismo tiempo que mostraba una total confianza en que sus investigaciones acabarían teniendo éxito.
Ante tal productividad, uno tiene tendencia a ser humilde. Y, hablando con total franqueza, uno tiende a sentirse abrumado. Ningún autor puede hacerse cargo de las decenas de miles de páginas que Euler escribió a lo largo de las seis décadas que duró su carrera, y es difícil no sentir que se está haciendo algo inadecuado y temerario sólo con plantearse una tarea como ésa.
Sin embargo, hay que contemplar sus logros ya que, de todos los matemáticos que veneran su nombre, sólo unos pocos han tenido en sus manos un volumen de Opera Omnia y se han sumergido en él. Por el contrario, la costumbre de los matemáticos actuales es aprender sobre un tema en libros de texto antes que en las fuentes originales. Ésta no es intrínsecamente una mala idea, por los cambios de notación y énfasis que se dan con el paso del tiempo, sin mencionar los avances que hacen que una discusión anterior se vuelva obsoleta.
Pero algo se pierde si tratamos sólo con interpretaciones, sólo con sustitutos. Las matemáticas originales, aunque tengan una antigüedad de siglos, pueden ser tan sugerentes como los teoremas que se han demostrado la semana pasada. Esto es especialmente cierto en la obra de Euler, como Raymond Ayoub escribió convincentemente:
“La lectura de sus papeles es una experiencia estimulante; se siente uno impresionado por su imaginación) originalidad. A veces, un resultado con el que el lector está familiarizado, presenta un aspecto original y esclarecedor, y se desearía que escritores posteriores no lo hubiesen tergiversado.”[2]
Ningún estudiante de literatura se conformaría con una mera sinopsis de Hamlet. De la misma forma, ningún matemático debería avanzar en su carrera sin encontrarse con Euler cara a cara. Hacer otra cosa supone no sólo indiferencia ante el pasado, sino también, y fundamentalmente, un genuino egoísmo.
Las reglas básicas con las que he escrito este libro son sencillas: dedico cada capítulo a un tema en el que Euler hizo una aportación importante. Cada uno comienza con una exposición de lo que se conocía del tema antes de Euler; esto da la oportunidad de introducir a predecesores tales como Euclides, Herón, Briggs y Bernoulli, gigantes sobre cuyos hombros se subió Euler. Luego paso a examinar un gran teorema euleriano, de los que ampliaron las fronteras como sólo él podía hacerlo. Haciéndolo así, prometo ser tan fiel como sea posible a la hora de explicar su forma original de abordar el problema. Cada capítulo concluye con un epílogo, que, o bien desarrolla subsiguientes trabajos de Euler sobre ese tema, o bien describe cómo otros matemáticos posteriores desarrollaron sus ideas.
En consecuencia, este libro serpentea por la teoría de números, el análisis, las variables complejas, el álgebra, la geometría y la combinatoria, siendo éstas sólo algunas de las áreas en las que Euler causó impacto. La selección de los teoremas y de los temas es, por supuesto, mía. Además, como Euler fue un maestro a la hora de inventar demostraciones alternativas para llegar al mismo resultado, se ha de escoger entre caminos igualmente interesantes para llegar al mismo final. Cincuenta autores diferentes trabajando con las mismas reglas básicas llegarían a hacer cincuenta libros diferentes (y yo estaría interesado en leer los otros cuarenta y nueve). Pero éste es el mío.
¿Cuáles son los conocimientos matemáticos necesarios para entender los capítulos que siguen? Por un lado, este libro no está destinado al simple principiante. El lector debe estar familiarizado con conceptos tales como integración por partes, números primos, o progresiones geométricas. Me imagino que las matemáticas del bachillerato son base suficiente para todo lo que trato.
Por otro lado, la lectura del libro ciertamente no requiere una titulación en matemáticas. En un sentido muy real, eso sería un fracaso para mis propósitos. Espero haber hecho accesible el material al abanico más amplio posible de lectores con conocimientos matemáticos, de forma que sea, en el mejor sentido del término, explicativo.
Pero, antes de empezar, quiero hacer tanto una observación como un ruego.
La observación es que Euler distaba de ser infalible. Trabajaba en una época en la que las normas de rigor matemático eran bastante más primitivas de lo que lo son hoy. Como veremos, algunos de sus argumentos eran cuestionables, y otros estaban simplemente equivocados. Después de todo, fue Euler el que, sin dudarlo, introdujo expresiones como
o
El lector actual puede rechazar displicentemente estas aseveraciones con una sonrisa autosuficiente, pero no debería atreverse a reír antes de tiempo. Como ambos miembros de la primera ecuación son infinitos, ésta no es realmente' incorrecta (aunque el término 0,66215 que está en el segundo miembro parezca absurdamente superfluo). Y la segunda ecuación, aunque sea ligeramente modificada para ponerla de la forma

tiene perfecto sentido. Aquí, como ocurre a menudo con los errores de Euler, nos damos cuenta de que, aunque parezca una locura matemática, todavía hay método en ello.
También ruego que los lectores no se quejen si encuentran que su teorema favorito no figura en el libro. Ya al comienzo me declaro culpable por no haber incluido efectivamente todo el trabajo de Euler. Este libro representa sólo la punta del iceberg matemático, o más apropiadamente, del glaciar matemático.
Al menos espero haber compartido mi entusiasmo personal por un minúsculo fragmento de la notable visión de Euler. A pesar del paso de los siglos, sus aportaciones siguen siendo de la mayor importancia y su repercusión en las matemáticas es evidente en todas partes. Los matemáticos de hoy día, cualquiera que sea su especialidad, pueden ciertamente decir de Euler lo que una vez se dijo de Wren:
“Si buscas su monumento conmemorativo, mira a tu alrededor.”
La vida de Euler encaja perfectamente dentro del siglo XVIII ya que nació en la primavera de 1707 y murió en el otoño de 1783 cuando tenía 76 años. Esto hace que sea el contemporáneo más próximo de otra figura esencial de ese siglo, Benjamín Franklin (1706-1790). Aunque tenían temperamentos diferentes, intereses distintos y ni siquiera vivían en el mismo continente, ambos fueron ampliamente estimados en su propia época y ambos ejercieron una intensa influencia en el curso de la civilización occidental. Aunque este libro está dedicado básicamente a las matemáticas de Euler, tiene también que dar al menos un rápido repaso a su vida. En cierto sentido, ésta no fue especialmente excitante, ya que Euler fue una persona completamente convencional, siempre amable y generosa, pero que careció de la aureola de algunos de sus más conocidos contemporáneos. A diferencia de Washington (1732-1799), no condujo a ejércitos a la victoria; a diferencia de Robespierre (1758-1794), no lideró ni sucumbió a una revolución política; a diferencia del capitán Cook (1728-1779), no navegó los mares para explorar continentes desconocidos.
Pero en otro sentido Euler fue un gran aventurero. Pero por supuesto, sus aventuras eran de tipo intelectual y no le llevaron a través del mundo físico, sino a través de un maravilloso paisaje matemático. Después de todo, la exploración puede llevarse a cabo de muchas maneras.
Leonhard Euler nació cerca de Basilea, en Suiza. Su padre era un pastor protestante de medios modestos, que acariciaba la esperanza de que Leonhard le sucediera en el púlpito. Su madre procedía también de una familia de pastores, por lo que la suerte parecía estar echada: el joven Euler estaba destinado al ministerio sacerdotal.
Fue un joven precoz, dotado con un don especial para las lenguas y una memoria extraordinaria. Al fin y al cabo, Euler tenía en su cabeza una curiosa mezcla de información, que incluía oraciones, poemas y listas de potencias de números primos. Su capacidad mental de cálculo era fabulosa y era capaz de llevar a cabo intrincados cálculos aritméticos sin utilizar papel y lápiz. Estas dotes tan poco habituales le serían útiles más adelante en su vida.
Johann BernoulliJohann Bernoulli (1667-1748) nació en Basilea (Suiza) y
se dedicó a las matemáticas en contra de la opinión de su familia. En París dio clases a L’Hôpital sobre los métodos de Leibniz. Fue profesor en las universidades de Groningen (Holanda) y Basilea.
Se vio involucrado en la disputa entre Leibniz y Newton, tomando partido por el primero y demostrando como sus métodos podían resolver ciertos problemas que Newton no había conseguido resolver.
Disfrutó de fama en vida y fue conocido como el Arquímedes de su tiempo y, así figura inscrito en su tumba.
A. Pérez Sanz
A los 14 años, al entrar en la Universidad de Basilea, Leonhard encontró a su más famoso profesor, Johann Bernoulli (1667-1748). Hay que destacar dos aspectos sobre Bernoulli. El primero es (pie era una persona orgullosa y arrogante, y tan rápida en despreciar el trabajo de los demás como en elogiarse a sí mismo. El segundo es que tales elogios eran probablemente merecidos, ya que en 1721 Johann Bernoulli podía proclamarse como el mejor matemático en activo (Leibniz había muerto hacía unos años y el anciano Newton había dejado de trabajar en las matemáticas hacía tiempo). La casualidad hizo que viviera en Basilea justo en el mismo momento en que Euler necesitaba un tutor.
Bernoulli no fue un profesor para Euler en el sentido moderno de la palabra, sino más bien un guía que le sugería lecturas matemáticas y que estaba dispuesto a discutir con él aquellos puntos que parecían especialmente difíciles. Así fue como Euler lo recordaba años más tarde,
“Tenía autorización para visitar con toda libertad [a Johann Bernoulli] los sábados por la tarde; él amablemente me explicaba todo aquello quepo no podía entender”.[5]
Euler valoró esta forma de tutoría tan espontánea como “sin duda... el mejor método para tener éxito en temas matemáticos”, y el irritable Johann Bernoulli se dio cuenta de que su joven alumno era alguien especial. Según transcurrieron los años y maduró su relación, fue Bernoulli el que pareció convertirse cada vez más en el pupilo. Johann, un hombre que no era propenso a las alabanzas, escribió una vez a Euler estas generosas líneas:
“Yo represento el análisis superior como si estuviera en su infancia, pero tú lo estás llevando a su estado adulto”.[6]
Su educación universitaria no se dedicó a las matemáticas.

Billete del banco suizo con la imagen de Euler.
Disertó sobre el tema de la templanza, escribió sobre la historia de la ley y finalmente terminó la licenciatura en filosofía. Luego, cumpliendo su aparente destino, ingresó en la escuela de teología para convertirse en pastor.
Pero la llamada de las matemáticas fue demasiado fuerte. Como él mismo recordaba más tarde:
“Tuve que matricularme en la facultad de teología y dedicarme al estudio del griego y el hebreo, pero no progresé demasiado pues la mayor parte de mi tiempo lo dedicaba a los estudios matemáticos y, por suerte, las visitas de los sábados a Johann Bernoulli continuaron”.[7]
Dejó el ministerio para otros y decidió convertirse en matemático.
Su progreso fue rápido. A los veinte años ganó un premio en una competición científica internacional por su análisis sobre el emplazamiento de los mástiles en un barco de guerra. Esto es notable en una persona tan joven y tan rodeado de tierra (después de todo, hasta entonces había pasado su vida entera en Suiza). Era el presagio de los éxitos que vendrían luego.
Entonces, como ahora, no venía mal tener amigos en las altas esferas. En 1725, Daniel Bernoulli (1700-1782), hijo de Johann, llegó a Rusia para ocupar una plaza de matemáticas en la nueva Academia de San Petersburgo y, al año siguiente, Euler recibió la invitación para acompañarle. La única plaza vacante en aquel momento era en fisiología-medicina, pero como las plazas escaseaban Euler aceptó la oferta. Como no sabía nada de las artes médicas se puso a estudiar el tema con su característica laboriosidad, aunque desde un punto de vista algo geométrico.
Cuando llegó a San Petersburgo en 1727, Euler supo que había sido asignado a física en lugar de a fisiología, un cambio afortunado no sólo para él, sino seguramente también para aquellos pacientes a los que podría haber operado con regla y compás. Durante sus primeros años en Rusia residió en casa de Daniel Bernoulli y ambos se involucraron en amplias discusiones sobre física y matemáticas, que, en cierta forma, anticiparon el curso de la ciencia europea en las siguientes décadas.
Daniel BernoulliNació en 1700 en
Groningen (Holanda) cuando su padre Johann estaba dando clases en esa universidad.
Es el más renombrado miembro de la familia Bernoulli. Estudió Física y Medicina en varias universidades y fue profesor en San Petersburgo y en Basilea.
Sus contribuciones más importantes fueron en teoría de probabilidades y en hidrodinámica. Su obra Hydrodynamica recoge sus contribuciones en este último campo.
Antonio Pérez Sanz
En 1773 Daniel Bernoulli se trasladó a Suiza para ocupar un puesto académico. Por un lado, la marcha de su buen amigo produjo un vacío en la vida de Euler, pero por otro dejo libre una plaza que pronto éste ocuparía.
Ante tal progreso profesional, Euler se encontró cómodamente situado y poco después se casó. Su mujer fue Katharina Gsell (¿—1773), hija de un pintor suizo que vivía en Rusia. En las cuatro décadas que duró su feliz y productivo matrimonio tuvieron trece hijos, pero, desgraciadamente, como era normal en aquel tiempo, sólo cinco alcanzaron la adolescencia y sólo tres de ellos sobrevivieron a sus padres.
Las Academias de CienciasLa muerte en la hoguera de Giordano Bruno en una pequeña plaza romana en 1600 va a marcar, paradójicamente, el principio del fin de la revelación divina y la autoridad de Aristóteles como principios supremos de verdad de cualquier teoría científica. A pesar de la condena de Galileo por el Santo Oficio en el verano de 1633, el reconocimiento de la experimentación como validación de las ideas científicas y la utilidad social de los descubrimientos científicos se va a ir abriendo paso lentamente a lo largo del siglo XVII.
La manifestación más evidente de este cambio va a ser el nacimiento de las Academias de Ciencias, en las que un siglo más tarde Euler va tener un papel protagonista.
La primera, la Accademia dei Lincei fundada por Federico Cesi en Roma a los tres años de la muerte de Bruno, cuenta entre sus miembros con el propio Galileo. Su propio nombre, Academia del Lince, es toda una declaración de principios: “sus miembros han de ser filósofos que ansíen el conocimiento real y se entreguen al estudio de la naturaleza”, los sacerdotes estaban vedados.
Medio siglo más tarde, en 1657, en Florencia se crea la Accademia dei Cimento (Academia del Experimento) que pronto será disuelta por la Iglesia. Pero la simiente estaba plantada.
En 1660 en Inglaterra, un grupo de activos científicos capitaneados por Boyle, Hooke y los matemáticos Brouncker y Wallis redacta los estatutos de una asociación privada de científicos, el Philosophical College, el germen de la Royal Society de Londres que recibirá sólo dos años más tarde el beneplácito real y el permiso para dedicarse a la investiga! ion de las ciencias naturales.
En Alemania en 1687 la Academia Leopoldina obtendrá un privilegio similar de manos del emperador Leopoldo.Pero la academia que va a imponer su modelo en toda Europa va a ser la Academia de Ciencias de París, creada y auspiciada por el propio Estado. El ministro Colbert no sólo presidió el acto oficial de inauguración en 1666 sino que dotó a la Academia de la infraestructura y los fondos para su funcionamiento, incluido un salario para sus miembros y dotaciones económicas para premios de investigación, de los que Euler ganaría doce a lo largo de su vida.
Reproducción del acta fundacional del Philosophical College, germen de la Royal Society de Londres. Se distinguen, entre otras, las firmas de Barrow, Brouncker y Boyle.
Siguiendo el ejemplo francés y gracias al impulso de Leibniz, Federico I de Prusia crea en 1700 la Academia de Berlín con el nombre de Société des Sciences. Para revitalizarla Federico II invitará a Euler a trasladarse a Berlín en 1741. Euler será nombrado director de la sección de Matemáticas y trabajará en la Academia de Berlín durante 25 años.
A pesar de esta larga estancia en Berlín, la Academia de Ciencias más vinculada a Euler es la de San Petersburgo, fundada también bajo los consejos de Leibniz por Catalina I, en 1725, a la muerte de su esposo el zar Pedro I. A ella llegó Euler en 1727 y en ella pasó la mayor parte su juventud y de su vejez. A orillas del Báltico escribió más del sesenta por ciento de su inmensa producción científica.
A lo largo del siglo XVIII las Academias de Ciencias van a constituir el principal foco de producción científica en general y matemática en particular. En el siglo de las luces los científicos daban brillo a las cortes europeas y no era extraño que las potencias europeas se disputasen a los mejores cerebros del continente, tal como hoy se hace con los mejores futbolistas. En este sentido el retroceso de la humanidad, dando más importancia a los pies que a la cabeza, parece evidente
Pero este mecenazgo de los estados absolutistas no era gratuito. Los matemáticos resolvían al monarca de turno problemas prácticos de índole militar y económica. Por eso no es extraño que la producción de Euler y de otros académicos abarcase campos tan dispares como la balística, la navegación, la cartografía, la astronomía, las fortificaciones o la construcción de instrumentos de precisión, además de los que hoy consideramos puramente matemáticos.
Antonio Pérez Sanz
La vida intelectual de la Academia de San Petersburgo se acomodaba perfectamente a Euler. Dedicaba un importante esfuerzo a la investigación pero estaba constantemente a disposición del estado, que después de todo pagaba su salario. Ejercía una y otra vez como asesor científico del gobierno, y en esta función preparaba mapas, asesoraba a la armada rusa e incluso probaba diseños de bombas contra Incendios. Sin embargo, retrocedió cuando le pidieron hacer el horóscopo del joven zar, un trabajo que rápidamente pasó a otro.
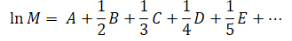
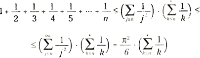
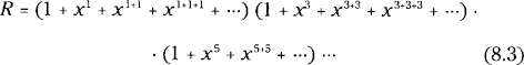
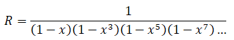
Mientras tanto, su fama crecía. Uno de sus primeros triunfos fue encontrar la solución del llamado “problema de Basilea”, que había dejado perplejos a los matemáticos durante la mayor parte del siglo anterior. La cuestión consistía en determinar el valor exacto de la serie infinita

Las aproximaciones numéricas habían revelado que la suma de la serie es un valor numérico próximo a 8/5, pero la respuesta exacta se había escapado a una sucesión de matemáticos que iban de Pietro Mengoli (1625-1686), que había planteado el problema en 1644, a Jakob Bernoulli (1654-1705), hermano de Johann y tío de Daniel, que lo había expuesto a la comunidad matemática en 1689. Bien entrado el siglo siguiente, el problema seguía sin resolver y cualquiera que fuera capaz de sumar la serie se apuntaría ciertamente un buen tanto.
La solución fue descubierta en 1735, y el tanto se lo apuntó Euler.[8] La respuesta no era sólo una muestra de auténtico esfuerzo matemático sino también una genuina sorpresa, ya que la serie suma π2/6. Este resultado, en absoluto intuitivo, convirtió a la solución en más espectacular y a su descubridor en más famoso. (El razonamiento de Euler se describe en el capítulo tercero de este libro).
Con el problema de Basilea ya resuelto y un buen horizonte por delante Euler continuó con sus investigaciones a un ritmo vertiginoso. Artículos y artículos salían de su pluma en dirección >a la revista de la Academia de San Petersburgo, llegando a darse el caso de que en algunos números la mitad de los artículos eran suyos. Parecía estar viviendo en el paraíso de un matemático.
Pero tres problemas ensombrecieron este periodo. El primero fue la inestabilidad política que se extendió como un torbellino a través de Rusia tras la inesperada muerte de Catalina I. Su ausencia dejó un vacío de poder que, en conjunción con las sospechas e intrigas de ese momento, tuvo consecuencias peligrosas. Entre ellas estaban la intolerancia hacia la disidencia y una creciente sospecha hacia los extranjeros. El hecho de que el personal de la Academia estuviera compuesto casi exclusivamente por no rusos llevó a Euler a describir su situación como “bastante difícil”.[9]
El segundo era que la Academia estaba dirigida por un pomposo burócrata, de nombre Johann Schumacher, cuya primera ocupación era, en palabras de Clifford Truesdell, “la supresión del talento allí donde pudiera asomar inconvenientemente”[10].
Aunque Euler fue diplomático en el trato con su jefe, seguro que no pudo haberse sentido cómodo trabajando a las órdenes de una persona tan ordenancista y de tan inmerecida autocomplacencia.
El último problema fue físico: el deterioro de la vista de Euler. Ya en 1738 experimentó una pérdida de visión en su ojo derecho que él atribuyó a un exceso de trabajo, y, particularmente, a su intenso esfuerzo en cartografía. Sin embargo, la opinión médica moderna cree más bien que fue la consecuencia de una severa infección que habría sufrido poco antes.
Pero el impacto de este mal sobre su dedicación a las matemáticas fue nulo. Con deficiencias visuales o sin ellas, Euler continuó con su programa de investigación y siguió escribiendo sobre construcción de buques, acústica y teoría de la armonía musical. Con la ayuda de su amigo Christian Goldbach (1690-1764), Euler hizo descubrimientos seminales en la teoría clásica de números (ver capítulo I) y entró en las inexploradas aguas de la teoría analítica de números (ver capítulo IV). En su respuesta a una carta de Philippe Naude (1684-1745), puso los cimientos a la teoría de particiones (capítulo VIII). Fue en este periodo cuando escribió su libro Mechaniea, que presentaba las leyes newtonianas del movimiento desde el punto de vista del cálculo. Por esto, la Mechaniea ha sido considerada “una pieza clave en la historia de la física”[11].Tal producción trajo consigo una reputación similar y, a su vez, atrajo una oferta de Federico el tirando de Prusia (1712-1786) para convertirle en miembro de la nuevamente revitalizada Academia de Berlín. A causa de la Inestable situación política en Rusia, que Euler describió como “un país en el que cada persona que habla es colgada”, la oferta le pareció atractiva.[12] Así, en 1741 Leonhard, Katharina y su familia se trasladaron a Alemania.
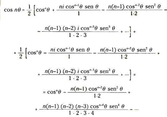
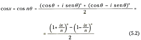
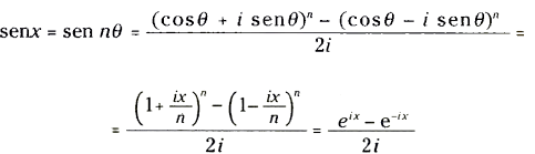
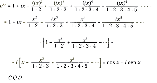
Berlín se convirtió en su casa durante un cuarto de siglo que coincidió con la fase intermedia de la carrera matemática de Euler. En este periodo publicó dos de sus grandes obras: un texto de 1748 sobre funciones, Introductio in analysin infinitorum (que analizaremos en el capítulo II) y un volumen de 1755 sobre cálculo diferencial, Institutiones calculi differentialis. Durante este periodo investigó también sobre números complejos y descubrió la llamada identidad de Euler (ei𝜃 = cos θ + i sen θ, ver capítulo V). Además presentó una demostración del teorema fundamental del álgebra (que trataremos en el capítulo VI).
Mientras estaba en Berlín, se le reclamó para dar clases de ciencia elemental a la princesa de Anhalt Dessau. El resultado fue una obra maestra de exposición que más tarde se publicaría con el título de Cartas de Euler dirigidas a una princesa alemana sobre diferentes temas de filosofía natural.[13] Esta recopilación de unas doscientas cartas desarrolla temas tan diversos como la luz, el sonido, la gravedad, la lógica, el lenguaje, el magnetismo y la astronomía. A lo largo de la obra, Euler explica por qué hace frío en lo alto de una alta montaña de los trópicos, por qué la luna parece más grande cuando surge por el horizonte y por qué el cielo es azul. Asimismo, Euler se extiende fuera de su terreno al tratar temas como el origen del demonio, la conversión de los pecadores y el intrigante asunto de la “electrización de los hombres y de los animales”.
Escribiendo sobre la visión en una carta fechada en agosto de 1760, Euler empezaba con estas palabras:
“Estoy ahora en condiciones de explicar fenómenos de la visión, que indudablemente son una de las grandes operaciones de la naturaleza que la mente humana puede contemplar.”[14]
El patetismo de esta afirmación, viniendo como venía de un autor que era parcialmente ciego, y que pronto lo sería totalmente, es sorprendente. Pero Euler no era una persona que dejase que sus infortunios personales interfirieran en su actitud hacia las maravillas de la naturaleza.
Las Cartas a una princesa alemana se convirtieron en un éxito internacional. El libro fue traducido a multitud de idiomas a lo largo de Europa y finalmente publicado (en 1833) en los Estados Unidos. En el prefacio a la edición americana el editor se deshizo en alabanzas sobre la habilidad como expositor de Euler, garantizando que
“la satisfacción del lector es, en cada paso, proporcional a su progreso y cada adquisición sucesiva de conocimiento se convierte en una fuente de mayor satisfacción.”[15]
Éste ha sido finalmente el libro de Euler más ampliamente leído. No suele darse el caso de que un académico que trabaje en la investigación más avanzada pueda escribir un tratado accesible al profano, pero Euler lo consiguió. Cartas a una princesa alemana permanece hasta hoy en la historia como uno de los mejores ejemplos de ciencia popular.[16]
A pesar de que Euler había abandonado a sus colegas en Rusia, éstos no le guardaron rencor. Desde Alemania, continuó editando la Revista de San Petersburgo, publicando artículo tras artículo en sus páginas y recibiendo un estipendio regularmente. Tal cordialidad se mantuvo incluso durante la guerra de los Siete Años, en la que las tropas rusas invadieron Berlín. Una relación amistosa con San Petersburgo demostraría luego su importancia en los años siguientes.
Euler estaba profundamente involucrado con las labores administrativas de la Academia de Berlín, además de sus investigaciones matemáticas. Aunque oficialmente no era el director de la Academia, desempeñaba tal puesto de una manera informal, asumiendo responsabilidades que iban desde administrar los presupuestos hasta vigilar los invernaderos Pero no todo le iba bien en Berlín, ya que Federico el Grande había desarrollado un inexplicable desprecio hacia el académico más famoso de su corte. La animosidad parecía provenir más de un conflicto de personalidades que de otra cosa, ya que Federico se consideraba a sí mismo como un erudito y un intelectual irónico.
Le gustaba la filosofía, la poesía y cualquier cosa que fuera francesa. De hecho, los asuntos de la Academia se trataban en francés, no en alemán. Para el rey, Euler era una especie de paleto, ciertamente brillante, pero paleto al fin y al cabo. Euler era convencional en sus gustos, un hombre hogareño muy trabajador y un protestante muy devoto:
“Hasta que perdió la vista, reunía todas las noches a su familia para leerles un capítulo de la Biblia acompañado de una exhortación. La teología era uno de sus estudios favoritos y las doctrinas en las que creía eran las más rígidas dentro del calvinismo.”[17]
De alguna forma su modo de vida era diferente al de los relucientes y sofisticados académicos de Berlín. No pasó mucho tiempo antes de que a Federico le diese por llamarle “mi cíclope”, una cruel referencia a la limitada vista de Euler.
VoltaireNombre por el que es conocido François Marie Arouet (1694-1778).Escritor satírico y pensador.
Una de sus obras más famosas fue Cartas filosóficas sobre Inglaterra, que causó un gran escándalo y le obligó a exiliarse en el castillo de Cirey en la Lorena, donde residía la marquesa de Chatelet. Su progresiva pérdida de prestigio en la corte francesa y la muerte de la marquesa le llevaron a aceptar la invitación de Federico II el Grande y trasladarse en 1750 a Potsdam, ciudad cerca Berlín donde el rey se había hecho construir según el gusto francés el palacio de Sans Souci. Tras una violenta ruptura con Federico II, en 1753 se instaló cerca de Ginebra.
Antonio Pérez Sanz
Otro factor que empeoraba las cosas era la fría relación que había entre Euler y Voltaire, la otra estrella de la Academia. Voltaire disfrutó, durante un tiempo al menos, de varias ventajas en el círculo de Federico el Grande: era famoso como autor y como escritor satírico, era tan sofisticado como el rey y era enteramente francés. Euler no se escapó a la cáustica inteligencia de Voltaire, que le describía como alguien que “nunca aprendió filosofía” y que, por tanto, tuvo que contentarse “con la fama de ser el matemático que en un cierto tiempo ha llenado más hojas de papel con cálculos”.[18]
Así, después de llevar a la Academia de Berlín a una gloria matemática que nunca volvería a alcanzar, Euler tuvo que marcharse. Las cosas en Rusia habían mejorado durante su ausencia, particularmente con el acceso al trono de Catalina la Grande (1729-1796), y Euler estaba feliz con el regreso. La Academia de San Petersburgo no debió de dar crédito a su buena suerte cuando, en 1766, dio la bienvenida de nuevo al mejor matemático del mundo. Esta vez, Euler se quedaría para siempre.
Aunque su vida científica continuó avanzando rápidamente, los siguientes años le iban a traer dos tragedias personales. La primera la sufrió con la pérdida casi completa del ojo bueno que le quedaba; hacia 1771 estaba virtualmente ciego. Esto le dejó sin la capacidad de escribir o de leer cualquier cosa que no estuviera escrita en caracteres muy grandes; la segunda desgracia ocurrió en 1773 cuando Katharina murió. Unido a su reciente ceguera, esta segunda pérdida bien pudo haber marcado el final de los años productivos de Euler.
Sin embargo, no era un hombre corriente. Aunque era incapaz de ver, no sólo mantuvo sino que incrementó su producción científica. Así, por ejemplo, en el año 1775 escribió un promedio de un artículo matemático a la semana. Tal productividad se produjo a pesar de que ahora eran otros los que tenían que leerle los contenidos de los artículos matemáticos, y que, a su vez, tenía que dictar su trabajo a escribas diligentes.

Retrato de Euler en su madurez.
Cuando se estaba quedando ciego escribió un influyente texto de álgebra, que era un tratado de 775 páginas sobre el movimiento de la luna, y un enorme compendio en tres volúmenes que desarrollaba el cálculo integral, Institutiones calculi integralis. Su prodigiosa memoria le fue más útil que nunca ahora que sólo podía ver las matemáticas a través de los ojos de la mente.
Que este hombre ciego y de avanzada edad continuase adelante con tal entusiasmo es una auténtica lección, una enseñanza para las generaciones venideras. El coraje, la determinación y el completo rechazo de Euler a ser vencido sirven, en el más propio sentido de la palabra, como inspiración para matemáticos y no matemáticos. La larga historia de las matemáticas nos proporciona el mejor ejemplo del triunfo del espíritu humano.
Euler se casó tres años después de la muerte de su mujer con la hermanastra de ésta, encontrando una compañera con la que compartir sus últimos años, que se extendieron hasta el 18 de septiembre de 1783. Ese día pasó un rato con sus nietos y luego se puso a trabajar en cuestiones matemáticas relativas al vuelo de los globos, ya que éste era un tema de interés provocado por el reciente ascenso de los hermanos Montgolfier sobre el cielo de París en un globo propulsado por aire caliente, acontecimiento del que fue testigo Benjamín Franklin, diplomático de los recientemente independientes Estados Unidos.[19]
Después de comer Euler hizo algunos cálculos sobre la órbita del planeta Urano, ya que sin duda habría encontrado en el comportamiento de Urano una rica fuente de nuevos problemas. En las siguientes décadas, la peculiar órbita del planeta, analizada a la luz de las ecuaciones que Euler había depurado, llevó a los astrónomos a buscar, y a descubrir, el todavía más distante planeta Neptuno. Si Euler hubiera tenido tiempo hubiera disfrutado del reto de buscar matemáticamente un nuevo planeta.
Pero no iba tener tal oportunidad. A media tarde de esa típica jornada atareada, tuvo una hemorragia masiva que le provocó la muerte en el acto. Llorado por su familia, por sus colegas de la Academia y por la comunidad científica mundial, Leonhard Euler fue enterrado en San Petersburgo. Sólo entonces se detuvo este gran motor de las matemáticas.
Dejó tras de sí un legado de proporciones épicas. Tan prolífico fue que la revista de la Academia de San Petersburgo todavía estaba publicando artículos atrasados suyos 18 anos después de su muerte. Difícilmente se encuentra un área de las matemáticas, o de la física, en que no jugase un papel fundamental.
En su elogio fúnebre, el marqués de Condorcet señaló que cualquiera que se dedicase a las matemáticas en el futuro sería “guiado y sostenido por el genio de Euler” y afirmó, con bastante justificación, que “todos los matemáticos son sus discípulos”.[20]
Sostenidos por su genio, en los ocho capítulos que siguen examinaremos una mínima parte de la producción de Euler. Es sólo un ejemplo, pero, haciendo caso a Laplace, estaremos leyendo la obra de un maestro.
Capítulo I
Euler y la teoría de números
De todas las ramas de la matemática, ninguna parece tan natural (ni tan engañosamente fácil) como la teoría de números. Su objeto es explicar los números enteros positivos, que seguramente son las entidades matemáticas más fundamentales. Para el no iniciado, la teoría de números parece mucho más sencilla que sus parientes más sofisticados como la trigonometría o el cálculo. Después de todo, alguien 'que tenga ocho años sabe contar hasta cincuenta, pero ¿cuántos saben el teorema del coseno y la regla de la cadena?
Se necesita una explicación teórica muy pequeña para desengañar al no iniciado sobre este concepto. De hecho, todos estos números que nos parecen tan inocentes son el origen de algunos de los más profundos e intrincados problemas de matemáticas. Escondiendo con desconcertante facilidad sus secretos, los números enteros son un reto respetable para los más grandes matemáticos.
Los números perfectos, que son el tema de este capítulo, fueron ya objeto de estudio para los clásicos. Euclides (c. 300 a.C.) incluyó un importante teorema sobre números en los Elementos, su obra maestra, y veinte siglos después Leonhard Euler retomó este tema para concluir lo que Euclides había comenzado. Sin embargo, incluso Euler dejó aspectos importantes sin resolver. Al día de hoy, como en tantos otros temas de teoría de números, todavía no se ha escrito el capítulo final y el análisis de números perfectos, en palabras de Víctor Klee y Stan Wagón, “es quizá el más antiguo proyecto aún inacabado de las matemáticas”.[21]
Prólogo
Los Elementos de Euclides están considerados incluso por los no matemáticos como el principal texto de geometría de los antiguos griegos, pero muchos se sorprenden cuando se enteran de que Euclides dedicó tres de los trece libros (o capítulos) de los Elementos a la teoría de números.
EuclidesDe Euclides se sabe que fue el primer director del departamento de matemáticas del Museo de Alejandría, que vivió aproximadamente desde el año 325 al 205 a ( y que en el año 300 a.C. ya se encontraba en dicha ciudad. Poco más se conoce de su vida, aunque se dice que tenía procedencia fenicia, que se educó en Atenas y que fue uno de los genios más grandes de su época.
(Página 32 de Arquímedes. Alrededor del círculo de R. Torija Herrera, número 1 de esta misma colección).
Esto refleja una tradición del pensamiento griego que se remonta a los filósofos pitagóricos del siglo VI a.C. Para ellos, los números naturales eran algo más que una abstracción matemática, eran objetos de reverencia y contemplación sacados de la naturaleza misma. Los pitagóricos atribuían a los números naturales una importancia que tenía tanto que ver con el misticismo como con las matemáticas.
En el marco de esta tradición, Euclides empezó el Libro VII de los Elementos con 22 definiciones, algunas de las cuales son fácilmente reconocibles todavía. Así, por ejemplo, Euclides definió como número primo a aquél que es medido por la sola unidad. Otras, como un número parmente impar, que Euclides definía como aquél que es medido por un número par según un número impar, nos resultan extrañas.
La definición que es importante para este capítulo, y que era la última de su lista era:
Definición: Número perfecto es aquél que es igual a sus propias partes.
El lector moderno puede confundirse con esta terminología; sin embargo, la definición se explica si nos damos cuenta de que para Euclides, parte significaba divisor propio y que igual a significaba igual a la suma de. Con estas modificaciones, transformamos las palabras de Euclides en su equivalente moderno:
Definición: Un número natural es perfecto si es igual a la suma de sus divisores propios.
Por ejemplo, el número 6 es perfecto porque sus divisores propios son 1, 2 y 3 y 1 + 2 + 3 = 6. Lo mismo sucede con 28: (1 + 2 + 4 + 7 + 14 = 28), 496: (1 + 2 + 4 + 8 + 16 + 31 + 62 + 124 + 248 = 496) y 8128: (1 + 2 + 4 + 8 + 16 + 32 + 64 + 127 + 254 + 508 + 1016 + 2032 + 4064 = 8128).
Estos cuatro eran los únicos números perfectos conocidos en la antigua Grecia y ningún otro inferior a 10000 muestra tal perfección. Hay claramente pocos y muy distantes unos de otros.
Nicómaco, un matemático griego del siglo I, les tenía en mucha estima. Observaba que los números perfectos son destacados y raros, “igual que las cosas dignas y excelentes son pocas... mientras las feas y demoníacas están extendidas”[22]. En siglos posteriores asociaban a los números perfectos un significado de lo más extravagante. Así, por ejemplo, se decía que el número 6 representaba la perfecta unión de los sexos porque 6 = 3 - 2, donde el 3 es un número masculino y el 2 es femenino (por razones que deben ser evidentes para todos excepto para los que ignoran la anatomía). Sin duda, nuestros predecesores hacían que los números perfectos cargasen con un equipaje demasiado pesado.
Euclides esquivó esta charlatanería numerológica y enfocó el tema desde un punto de vista puramente matemático. Aunque definió a los números perfectos al comienzo del Libro VII, no los volvió a mencionar otra vez hasta el final del Libro IX, es decir, hasta la última proposición teórica sobre los números en los Elementos. Sin duda, Euclides estaba dejando lo mejor para el final, ya que su teorema es un clásico que proporciona una espléndida caracterización de los números perfectos.
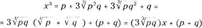
El resultado, la Proposición 36 del Libro IX, fue expuesto por Euclides como:
“Si tantos números como se quiera a partir de una unidad se disponen en proporción duplicada hasta que su suma total resulte un número primo, y sí la suma multiplicada por el ultimo produce algún número, el producto será un número perfecto”.
Al lector moderno puede necesitar alguna explicación. El texto anterior requiere cierta traducción.
Primero, la parte relativa a partir de tina unidad se disponen en proporción duplicada es la forma que Euclides tiene de describir la sucesión 1 + 2 + 4 + 8 +…, Supone que, continuando con este proceso, la suma produce un número primo; en otras palabras, asume que 1 + 2 + 4 +… + 2k-1 es un número primo. Luego, cuando esta suma es multiplicada por el último, esto es, cuando multiplicamos 1 + 2 + 4 +… + 2k-1 por 2k-1 (el último termino de la progresión), Euclides afirma que el resultado es un numero perfecto.
Antes de examinar la demostración, observemos que 1 + 2 + 4 + … + 2k-1 es una progresión geométrica finita cuya suma es:

Así, la proposición de Euclides redefinida en términos modernos se convierte en:
Teorema
Si 2k- 1 es primo y si N = 2k - 1 × 2k- 1, entonces N es perfecto.
Demostración
Sea p = 2k- 1 el número primo en cuestión. Por descomposición factorial única, los divisores propios de N = 2k - 1 × (2k– 1) = 2k - 1 × p deben contener ellos mismos solamente los números primos 2 y p. Esto significa que todos estos divisores propios pueden ser enumerados y sumados:
Suma de los divisores propios de N =
= 1 + 2 + 4 + … + 2k-1 + p + 2p + 4p + … + 2k-2 × p =
= (1 + 2 + 4 + - + 2k-1) + p × (l + 2 + 4 + - + 2k-2) =
= (2k- 1) + p × (2k-1 - 1) = p + p2k-1- p = p2k-1 = N
Dado que el número N de Euclides es igual a la suma de sus divisores propios, es perfecto. C.Q.D.
* * * *
Euclides estableció, por tanto, una condición suficiente para que un número fuera perfecto. Por ejemplo, si k = 2, entonces 22 - 1 = 3 es primo y entonces N = 2 × (22 - 1) = 6 es un número perfecto. Si k = 3 entonces 23 - 1 = 7 es primo y obtenemos el número perfecto N = 22-(23 - 1) = 28. Y si k = 13, vemos que 213 - 1 =8191 es primo, obteniéndose el ejemplo considerablemente menos obvio N = 212 - (213-1) = 33550336.
Éste es un buen fragmento de teoría de números de hace 2300 años. Euclides no sólo dio una demostración valida, sino que fue capaz, con los escasos números perfectos conocidos en aquel momento, de construir un modelo. Merece un aplauso tanto por su precisión como por su perspicacia matemática.
Por supuesto, el teorema de Euclides sustituyó un problema (el encontrar números perfectos) por otro (encontrar números primos de la forma p = 2k- 1.
Desgraciadamente este nuevo problema es cualquier cosa menos fácil. Tales números primos han jugado un importante papel en la teoría de números, son célebres entre los números primos y se les llama números primos de Mersenne, en honor a Marín Mersenne (1588-1648), su divulgador en el siglo XVII.
Mersenne
Marín Mersenne (1588-1648) fue un padre franciscano que pasó la mayor parte de su vida en un convento de París. Fue teólogo, filósofo y compañero de clase y amigo de Descartes. Escribió algunos trabajos matemáticos.
(Página 33 de Fermat. El mago de los números de Blas Torrecillas Jover, número 2 de esta misma colección).
Para dar una idea de su complejidad, diremos que si k es compuesto, entonces también lo es 2k- 1. Esto proviene del álgebra más sencilla ya que si k = a× b,
2k- 1 = (2a)b - 1 = [2a- 1] [(2a)b-1 + (2a)b-2 + (2a)b-3+ … + (2a) + 1]
del que 2a- 1 es obviamente un factor. Por ejemplo, si k = 6 = 2×3, tenemos 26 - 1 = (22)3 - 1 = [22 - 1][(22)2 + 22 + 1 ], que verifica el hecho trivial de que 63 (esto es, 26 - 1) es divisible por 3 (esto es, 22 - 1) y, por tanto, no es primo.
Esta observación nos permite rechazar a números enormes como 275 - 1 de entre los candidatos a ser primos de Mersenne porque su exponente es compuesto. Pero, y aquí es donde las cosas se complican, no se cumple que si k es primo, entonces lo sea 2k- 1. El más pequeño contraejemplo es 211 - 1, un número que, a pesar de tener exponente primo, se factoriza como 211 -1 = 2047 = 23 × 89.
La búsqueda de los primos de Mersenne es un reto importante. En una carta de 1772 dirigida por Euler a Daniel Bernoulli, anunció haber verificado que 231 - 1 es primo.[23]
Éste es el octavo más grande número de Mersenne y, si aplicamos el teorema de Euclides antes mencionado, genera el número perfecto,
230 × (231 - 1) = 2 305 843 008 139 952 128.
A principios de siglo XIX, este ejemplo era descrito como
“... el mayor [número perfecto] que quizá se descubra, ya que, como son solamente curiosos sin ser útiles, no es probable que nadie intente descubrir uno mayor”[24]
A pesar de tal pesimismo, la búsqueda continuó. Hoy en día, cuando los matemáticos consiguen encontrar con los ordenadores un nuevo número primo más grande, buscan invariablemente entre los números del tipo de Mersenne. Una vez encontrado, este nuevo megaprimo podría incluso conseguir aparecer en los periódicos en un artículo breve, como ocurrió en 1998 cuando se anunció que 23021377 - 1 era un primo (de Mersenne).
Este descubrimiento, combinado con el antiguo resultado de Euclides, establece como corolario que 23021376 × (23021377 - 1) es un número perfecto, pues Euclides así lo probó. Tal es el eterno y decisivo poder de la razón.
Euclides dio una condición suficiente para que un número fuera perfecto. Esto es, demostró que si un número tiene una cierta forma, entonces es perfecto. En ningún sitio se afirma que esta condición sea también necesaria, es decir, que si un número es perfecto, entonces debe ser de la forma descrita por Euclides.
Condición necesaria y condición suficiente son dos cosas muy diferentes. Considérese, por ejemplo, la afirmación “si X es una tortilla, entonces X contiene huevos”. Cierto, ya que el tratarse de una tortilla es suficiente para garantizar que tenga huevos, pero objetos que contengan huevos no son necesariamente tortillas (como les ocurre a un pastel, a una crépe o a una gallina). Euclides había demostrado la mitad del asunto, que, aunque es mejor que nada, está lejos de la situación óptima.
La confusión entre condición necesaria y suficiente condujo a un desdichado error muchos siglos más tarde. En 1509, Carolus Bovillus (1470-1553) demostró que todo número perfecto es par[25]. Su argumento comenzaba con un número perfecto y, citando a Euclides, Bovillus afirmaba que este número debía ser de la forma 2k-1 × (2k- 1), donde (2k- 1) es un número primo. Sin embargo, como se puede comprobar de forma inmediata, ese número tiene un factor 2 (por supuesto, lo es k - 1 veces), y es, obviamente, par.
Esta demostración es corta, fácil y falsa. Al afirmar que un número perfecto debe tener la estructura euclidiana, Bovillus confundió la condición suficiente con la necesaria. Su error es el equivalente lógico a deducir que una gallina es una tortilla.
Ya que estamos en el tema de los errores crasos, mencionaremos que en 1598 un matemático llamado Unicornus (1523-1610) mejoró el teorema de Euclides proclamando que si k es impar entonces N = 2k-1 × (2k- 1) es un número perfecto[26].
Esto garantizaría, entre otras cosas, que habría infinitos números perfectos, pues k puede ser impar en infinitos casos. Desgraciadamente, si k = 9 tenemos que N = 28 × (29 - 1) = 130816, la suma de cuyos divisores propios es 171696. Este resultado no contradice a Euclides de ninguna forma ya que 29 - 1 = 511 = 7 × 73 no es primo. El pobre Unicornus patinó de mala manera, como podría esperarse de alguien que lleva el nombre de una criatura mitológica.
A comienzos del siglo XVII, el teorema de Euclides era virtualmente casi todo lo que se conocía sobre números perfectos, ya que la distinción entre condición necesaria y suficiente no se había descubierto aún. René Descartes (1596-1650) en una carta dirigida a Mersenne el 15 de noviembre de 1638 afirmó que cada número perfecto par es euclídeo, es decir, que todo número perfecto par es de la forma 2k-1 × (2k- 1), para k > 1, y la expresión 2k- 1 es un número primo[27]. Desgraciadamente no nos ha llegado la prueba de su razonamiento. Si tenía una demostración que se perdió luego o si estaba simplemente especulando, nunca se sabrá.
Esta conjetura de Descartes no era sólo intrigante sino también correcta. Quedaría para otro, sin embargo, el dar los detalles.
Aparece Euler
La teoría de números parecer haber tenido para Euler un sabor especial. Cuando era joven, cayó bajo el encanto del cálculo diferencial e integral, que entonces era una nueva y excitante área de investigación. Los matemáticos estaban entusiasmados con el poder del cálculo y su amplio campo de aplicaciones. En lenguaje moderno se diría que este tema estaba caliente. Por comparación la teoría de números apenas se consideraba un objeto matemático serio.
GoldbachChristian Goldbach (1690-1764) fue profesor de matemáticas en San Petersburgo antes de marchar a Moscú para ejercer como tutor del zar Pedro II.
Hizo importantes trabajos en teoría de números, pero es recordado por la llamada conjetura de Goldbach (aún no probada) que afirma que todo número entero par mayor que dos puede escribirse como la suma de dos números primos. También conjeturó que todo número impar es la suma de tres números primos.
Antonio Pérez Sanz
Casi todo el mundo atribuye el entusiasmo de Euler por la teoría de números al proselitismo de Christian Goldbach que estaba en la Academia de San Petersburgo en 1727 cuando Euler llegó y que apreció pronto a su joven colega. Poco después Goldbach se trasladó a Moscú y desde allí intercambió correspondencia con Euler. En una de estas cartas, fechada el 1 de diciembre de 1729, Goldbach se refiere a la obra de Pierre de Fermat (1601-1665) cuando pregunta:
“¿Conoces la observación de Fermat relativa a que todos los números de la forma (22)n, son primos! Él afirma que no puede probarlo, ni lo ha hecho nadie más hasta donde yo sé”[28].
Euler se mostró indiferente al principio, pero una espoleante carta de Goldbach estimuló su interés. Euler descubrió que Fermat estaba equivocado en este punto ya que (22)5 + 1 = 4294967297 es divisible, según se puede comprobar, entre 641.[29]
Esto fue sólo el comienzo, ya que la teoría de números se convirtió en una pasión para Euler. Se han convertido en clásicos.
FermatPierre de Fermat (1601- 1665) es un personaje clave de la teoría de números. Su principal aportación a la misma fue hacer de ella una ciencia sistemática.
Fermat anotó sus hallazgos matemáticos, entre los que destaca el famoso teorema que lleva su nombre, en los márgenes de una copia de la Aritmética de Diofanto. Después de su muerte, el libro, junto con las notas de Fermat, fue publicado en 1670 por su hijo.
(Ver Fermat. El mago de los números de Blas Torrecillas Jover en esta misma colección).
Se zambulló en la obra de Fermat a la que consideró una fuente de belleza y fascinación sin límites. En el curso de su carrera, Euler estudió tanto temas de teoría de números de profunda importancia como los de significado menor. Entre estos últimos estaba el reto de encontrar cuatro números enteros diferentes, la suma de cualquier pareja de los cuales fuera un cuadrado perfecto. Con su abrumadora cuaterna compuesta por 18530, 38114, 45986 y 65570, Euler proporcionó una respuesta correcta aunque nada intuitiva[30].
Cuatro volúmenes de las Opera Omnia de Euler están dedicados a la teoría de números, y muchos de los resultados que allí figuran se Harold Edwards ha puntualizado, incluso si ésa fuera la totalidad de la producción matemática de Euler (y con toda seguridad no lo es), “sólo sus contribuciones a la teoría de números serían suficientes para establecer una reputación duradera en los anales de las matemáticas”[31].
Para Euler el problema de los números perfectos surge casi como un pensamiento secundario que ocupa menos de una página en un artículo titulado De numeris amicabilibus en el que analiza los llamados números amigos[32]. Para dejar constancia de ello, diremos que éstos son dos números m y n tales que la suma de los divisores propios de m es n y viceversa. Los pares de números amigos son bastante raros, el par más pequeño es 220 y 284. En los siglos previos a Euler sólo se descubrieron tres pares. ¡Él solo, en una verdadera explosión de penetración, proporcionó 59 pares!
En el curso de su argumentación, Euler introdujo el concepto siguiente, que se demostrará útil en el estudio de parejas de números amigos y de números perfectos.
Definición: σ(n) es la suma de todos los números naturales divisores de n. (En su artículo Euler utilizó la notación ∫n, pero los autores modernos utilizan en vez de este símbolo la letra griega sigma minúscula). Hay que observar que donde Euclides suma sólo los divisores propios de n, Euler suma todos ellos. Esto puede parecer un cambio insignificante, pero abrió la puerta a algunas observaciones cruciales.
Por ejemplo, vemos que σ(5) =1 + 5 = 6 y σ(6) =1 + 2 + 3 + 6 = 12. Se ve claramente que la suma de los divisores propios de n es σ(n) - n. Una pequeña reflexión nos revelará que, desde esta perspectiva, m y n son un par de números amigos si cumplen la hermosa condición
σ(m) = m + n = σ(n).
Más en relación con el tema que estamos tratando están las caracterizaciones de número primo y números perfectos:
1. p es primo si y sólo si σ(p) = p + 1.
2. N es perfecto si y sólo si σ(N) = N + N = 2N.
3. Además necesitaremos otras importantes propiedades: Si p es primo, entonces,
.
Esto es así porque los únicos divisores de pr son las potencias ps con 0 < s < r. En consecuencia,

En particular, para N = 2r, tenemos

Esto muestra que una potencia de 2 nunca es un número perfecto, porque para tales potencias a σ(N) le falta una unidad para dar 2N, condición requerida para la perfección. Cercano, pero no certero.
4. Si p y q son números primos diferentes, entonces σ(pq) = σ(p)×σ(q). Para demostrar esta proposición, hay que tener en cuenta que los únicos divisores de pq son 1, p, q y el propio pq. Así σ(pq) = 1 + p + q + pq = (1 + p) + q (1 + p) = (1 + p)(1 + q)=o (p) o (q). Un ejemplo sería σ(21)= 1 + 3 + 7 + 21 = 32 = 4 - 8 = σ(3) × σ(7).
5. Si a y ó son primos entre sí, entonces σ(ab) = σ(a) × σ(b).
Esta ampliación del apartado 4 indica que el factor clave no es que ay b sean primos, sino que lo sean entre sí. Mientras a y b no tengan otro factor común que el 1, el resultado de aplicar σ a su producto es igual que el producto de aplicarles σ separadamente. Esta característica (la llamada propiedad multiplicativa) es básica en lo que sigue y en la mayor parte de las consideraciones relativas a σ. El ojo penetrante de Euler lo percibió al instante.[33]
No daremos la demostración de este apartado 5 (que puede encontrarse en cualquier texto de teoría de números), pero su esencia puede percibirse al examinar el caso en el que a = p2 y b = qr, donde p, q y r son tres números primos diferentes (que, por tanto, hacen que a y b sean primos entre sí). Podemos fácilmente enumerar y sumar todos los divisores de ab:
σ(ab) = σ(p2qr) =
= 1 + p + p2 + q + pq + p2q + r + pr + p2r + qr + pqr + p2qr=
= (1 + p + p2) + p(1 + p + p2) + r(1 + p + p2) + pr(1 + p + p2) =
= (1 + p + p2)(1 + q + r + qr) = (1 + p + p2)(1 + p)(1 + r) =
=σ(p2)σ(p)σ(r) = (según el punto 4)
= σ(p2) σ(qr) =
= σ(a) σ(b)
De manera similar se establece el teorema general. Haciendo uso de él, podemos calcular rápidamente la suma de los divisores de cualquier número cuya descomposición factorial en números primos conocemos. Por ejemplo, sin tener que escribir todos los divisores de 4800, vemos que
(4800) = 𝜎(26 - 3 - 52) = 𝜎(26) 𝜎(3) 𝜎(52) = 127 – 4 - 31 = 15748
Pertrechado con estas armas, elementales pero poderosas, Euler regresó al teorema de Euclides relativo a los números perfectos y demostró que la condición de suficiencia de Euclides, restringida a los números perfectos pares, es también necesaria. Su demostración es la siguiente:
Teorema
Si N es un número perfecto y par, entonces N = 2k-1(2k - 1), donde (2k - 1) es un número primo.
Demostración
Supongamos que N es un número perfecto y par. Lo descomponemos factorialmente de la forma N = 2k-1'b, donde b es un número impar. Hay que tener en cuenta que k > 1 porque N es par y tiene por tanto al menos un 2 en su factorización. Como N es también perfecto, sabemos que
σ(N) = 2N = 2(2k-1b) = 2kb
Al mismo tiempo, como 2k-1 y b son primos entre sí, los apartados 3 y 5 anteriores nos garantizan que
σ(N) = σ(2k-1b) = σ(2k-1) σ(b) = (2k- 1) σ(b)
Igualando las dos expresiones anteriores, obtenemos
2kb = (2k- 1) σ(b),
o más simplemente

Como observó Euler, la fracción del primer miembro es mayor que 1 ya que el numerador es mayor que el denominador en una unidad. No está tan claro que la fracción del segundo miembro sea también mayor que 1. Lo más que pudo afirmar Euler fue que para algún c ≥ 1,

Consideró entonces dos casos según fuera el valor de c.
Caso 1. Supongamos que c > 1
Según (1.2) cada uno de los números naturales 1, b, c y 2k- 1 es un divisor de b. Nosotros afirmamos algo más fuerte: que son cuatro divisores diferentes de b. Para establecer este punto veamos que no son iguales dos a dos:
(a) 1 ≠ b, porque si no, tendríamos N = 2k-1b = 2k-1 , lo que es imposible porque una potencia de 2 no puede ser un número perfecto (ver apartado 3 anterior).
(b) 1 ≠ c, porque en este Caso 1 estamos suponiendo que c >1.
(c) 1 ≠ 2k- 1, porque en caso contrario sería 2b = 2 y entonces N = 22k-1b = 1 b = b.
Esto haría que N fuese impar, lo que contradice la hipótesis del problema.
(d)b ≠ c, porque si fuesen iguales, según (1.2), b = c(2k- 1) = b(2k- 1) y por tanto 1 = 2k - 1, que nos lleva a la ya eliminada condición (c) anterior.
(e) b ≠ 2k- 1, ya que si no, por (1.2), b = c(2k– 1) = cb
que implica c = 1, lo que nuevamente contradice la premisa del Caso 1.
(f) Finalmente, si c = 2k- 1, por (1.2), b = c(2k- 1) = c2 y b tendría al menos tres divisores: 1, c y c2 que serían todos diferentes porque c >1. En consecuencia, σ(b) (la suma de todos los divisores de b) debe ser al menos tan grande como 1 + c + c2. Por otro lado, según (1.1),
σ(b) = c2k = c[(2k- 1) + 1] = c[c + 1] = c2 + c
En consecuencia, c2 + c = σ(b) > 1 + c + c2, que es absurdo. Por tanto, c ≠ 2k- 1.
Como consecuencia de los apartados (a) a (f), vemos que los números 1, b, c y 2k- 1 son cuatro divisores diferentes de b, como se había afirmado. Por tanto, cada uno de ellos es un sumando independiente a la hora de calcular σ(b). Luego,
σ(b) ≥ 1 + b + c + (2k-1) = b + c + 2k= c(2k- 1) + c + 2k = por (2.2)
= 2k(c + 1) > c2k= σ(b) por (1.1)
La contradicción σ(b) > σ(b) confirma que el Caso 1 es imposible. Esto nos deja como única alternativa:
Caso 2.c =1.
Sabemos, por (1.2), que b = c(2k - 1) = 2k- 1 y por (1.1), tenemos
σ(b) = c2k = 2k = (2k- 1) +1 = b + 1
Como σ(b) = b + 1, se concluye (según el apartado 1 anterior) que b es un número primo.
Hemos demostrado para el Caso 2 (la única posibilidad que nos quedaba) que si N es un número perfecto par, entonces N = 2k-1b = 2k-1(2k - 1), donde 2k - 1 es un número primo. La condición necesaria del teorema de Euclides queda por tanto demostrada. C.Q.D.
* * * *
Este razonamiento, aunque requiere cuidado al escoger los casos, es elemental. No se precisa, ciertamente, ningún conocimiento amplio de teoría de números. La agudeza de Euler consistió en reformular el problema a través de σ(b) y plantearlo no en términos de la suma de los divisores propios sino de la suma de todos los divisores. Parece una cosa sencilla pero fue decisiva. Haríamos bien en recordar la afirmación de Truesdell de que “la simplicidad no viene por sí misma sino que debe ser creada”[34]. En este sentido, Euler era un maestro de la sencillez.
Con su demostración sobre los números pares perfectos, Euler acabó el trabajo que había empezado Euclides mucho tiempo antes. El resultado del trabajo de ambos (una colaboración que se extendió a lo largo de dos milenios) debería ser propiamente llamado el Teorema de Euclides-Euler. Esta denominación tiene un atractivo fonético, pero también sirve para unir a dos de los más grandes nombres de la historia de las matemáticas. Es como si Sófocles y Shakespeare hubiesen escrito juntos una obra, o Fidias y Miguel Ángel hubieran esculpido en conjunto una estatua.
Por supuesto, no hay libro que contenga tal obra ni museo que albergue tal estatua, pero el teorema de Euclides-Euler existe y es un monumento atemporal a sus dos brillantes creadores. No hay nada como él en todas las matemáticas.
Epílogo
A pesar de todo lo que Euclides y Euler descubrieron sobre los números perfectos, hay todavía lagunas en nuestro conocimiento. Por ejemplo, no se conoce aún si son infinitos. Según la afirmación de Euler, la infinitud de los números perfectos se derivaría inmediatamente de la infinitud de los números de Mersenne, pero este último problema está aún fuera del alcance de los matemáticos. La abundancia de los números perfectos sigue siendo una cuestión abierta.
Este epílogo va a centrarse en un misterio diferente, pero igualmente fascinante. El lector puede haberse dado cuenta de que todos los números perfectos que se han considerado hasta aquí (por ejemplo: 6, 28, 446, 8128) son pares. ¿Pero dónde están los impares?
Al comienzo hemos calculado σ(b) para los primeros números impares:
| σ(3) = 4 | σ(11) = 12 | σ(19) = 20 | σ(27) = 40 |
| σ(5) = 6 | σ(13) = 14 | σ(21) = 32 | σ(29) = 30 |
| σ(7) = 8 | σ(15) = 24 | σ(23) = 24 | σ(31) = 32 |
| σ(9) = 13 | σ(17) = 18 | σ(25) = 31 | σ(33) = 48 |
Téngase en cuenta que en todos los casos σ(N) < 2N. Estos números impares no llegan a ser perfectos.
Este fenómeno es correcto intuitivamente ya que, a diferencia de los números pares en los que uno de los divisores propios es ya la mitad del número dado, un número impar nunca tiene tal ayuda. Así, por tanto, mientras 496 es divisible por = 248, el mayor divisor propio de 497 es el relativamente pequeño 71. Para ser perfecto, el resto de los divisores propios de 496 tienen sólo que sumar 496 - 248 = 248, lo que por supuesto logran ya que 496 = 24 × (25-1). Pero para que 497 sea perfecto, el resto de sus divisores propios tienen que contribuir con 497 - 71 = 426, y ni siquiera se acercan. Los números impares parecen estar en una desesperante desventaja[35].
Después de páginas de ejemplos, el fatigado explorador numérico podría conjeturar que si N es impar, entonces σ(N) será siempre menor que 2N. Esto es así para cualquier número impar igual o menor que 943, para el que σ(943) = 1008 < 2 × 943. Si este hecho continuase indefinidamente no habría números perfectos impares.
Pero entonces se produce una de esas maravillosas sorpresas con las que las matemáticas son bendecidas a menudo: σ(945) = 1920 > 2 × 945. Tenemos un número impar cuya suma de divisores propios es mayor que el número. Este ejemplo destruye nuestra conjetura. Más aún, si la suma de los divisores propios de un número impar puede ser inferior o superior al número, no hay ninguna razón obvia por al que la suma no coincida de lleno con el número. Tenemos otra vez a los números perfectos impares en la parrilla de salida de la carrera.
El mismo Euler abordó este tema en un artículo de 1747 y admitió estar perplejo. “Si... hay algún número perfecto impar, es la cuestión más difícil (difficillima)”[36], observó en un pasaje profético.
Cuando Euler afirma que un problema es de lo más difícil, uno puede estar seguro de que lo es. Hasta hoy, la existencia de números perfectos impares sigue sin haberse resuelto. A pesar de los enormes esfuerzos hechos por los matemáticos y sus ordenadores (empleando lo mejor tanto del grafito como del silicio), ningún número perfecto impar ha sido encontrado. Pero sin embargo, nadie ha probado que tales números sean imposibles. El matemático Richard Guy lo expresa claramente: la existencia de números perfectos impares es “uno de los problemas más notables de la teoría de números todavía no resueltos”[37].
Sin embargo, esto no quiere decir que no se hayan hecho progresos en el tema, pues los matemáticos han desvelado muchas propiedades que un número impar ha de cumplir para ser perfecto. Como ejemplo, veremos la corta pero inteligente demostración hecha en 1888 por J. J. Sylvester (1814-1897)[38].
Teorema
Un número perfecto impar debe tener al menos tres factores primos diferentes.
Demostración
Supongamos primero que N es un número perfecto impar con un único factor primo. En otras palabras, N = p', dondepes un número primo impar y r ≥ 1. Entonces 2N = σ(N) y, por el apartado 3 anterior,

En consecuencia, 2pr – pr-1 = 1, una contradicción porque el número primo p divide al primer miembro pero no al segundo. De aquí se deduce que un número perfecto impar no puede tener un único factor primo.
¿Qué ocurre si hay exactamente dos factores primos? Supongamos que N = pk × qr es impar y perfecto, donde p < q son números primos impares. Por el apartado 5 anterior sabemos que
2N = σ(N) = σ(pkqr) = σ(pk) σ(qr)
En otras palabras,
2N = (1 + p + p2 +…+ pk) × (1 + q + q2 +…+ qr)
Dividiendo ambos lados de esta expresión por N = pk × qry simplificando:

porque p, al ser un número primo impar, debe ser al menos el 3, y q, al ser mayor que él, debe ser al menos el 5. Si sustituimos estas progresiones geométricas finitas por su expresión en series infinitas y hacemos la suma, tenemos:

lo que constituye una contradicción.
Por tanto, si existe un número perfecto impar, debe tener al menos tres factores primos. C. Q. D.
* * * *
Más tarde, Sylvester demostró que un número perfecto impar debe tener al menos cuatro factores primos. Luego demostró que debían ser al menos cinco los factores primos[39]. La ventaja de estos teoremas es doble. Primero, limitan el ámbito de investigación. Un matemático que esté buscando un número perfecto impar no necesita (a la vista del trabajo de Sylvester) perder el tiempo con un número como 227529, cuya factorización 34 × 532 tiene sólo dos números primos diferentes. Este número queda descartado automáticamente.
Pero lo que resulta más atractivo es que teoremas como el de Sylvester pueden llevar a una demostración de no existencia. Así, supongamos que alguien demuestra que los números perfectos impares deben satisfacer dos condiciones que son mutuamente incompatibles (ejemplo, supongamos que sabemos que los números perfectos impares deben ser divisibles por 9, pero no pueden ser divisibles por 3). Entonces nuestra conclusión sería que los números perfectos impares no existen.
Desgraciadamente, nadie ha encontrado todavía una incompatibilidad entre las propiedades conocidas de los números perfectos impares. Esto es cierto a pesar de que muchas de estas propiedades, entre las que se encuentran las siguientes, han sido probadas:[40]
1. Un número perfecto impar no puede ser divisible por 105.
2. Un número perfecto impar debe tener al menos 8 factores primos diferentes (una ampliación del trabajo de Sylvester).
3. El número perfecto impar más pequeño debe ser mayor que 10300.
4. El segundo mayor factor primo de un número perfecto impar debe ser mayor que 1000.
5. La suma de los inversos de todos los números perfectos impares es finita. Simbólicamente se escribe:

Estas proposiciones tienen un encanto peculiar, porque identifican propiedades de entidades que podrían no existir. Si no estamos seguros de si hay algún número perfecto impar, ¿qué podemos predicar de su segundo mayor factor primo? Es como tratar de determinar el nombre de pila del ratoncito Pérez.
La quinta propiedad, aunque es tan poco concluyente como las demás, tiene especial interés ya que, como veremos en el Capítulo 2, la suma de los inversos de todos los números naturales, la llamada serie armónica, es infinita. Así sucede también con la suma de los inversos de todos los números pares, de todos los números impares, o incluso de todos los números primos (ver Capítulo 4). Dichos números son tan abundantes que la suma de sus inversos diverge hacia el infinito. Por el contrario, la suma de los inversos de los cuadrados perfectos es finita, como veremos en el Capítulo 3. Los cuadrados perfectos están tan dispersos entre los números enteros que la suma de sus inversos no alcanza un valor muy alto. En este sentido, la propiedad 5 nos dice que los números perfectos impares serán más bien como los cuadrados perfectos, es decir, bastante escasos. Por supuesto que, dado que no hay ninguno inferior a 1030’ (un número suficientemente grande como para causar problemas a un ordenador), esto no representa ninguna novedad.
Sylvester, revisando la cantidad de propiedades que debe cumplir un número perfecto impar, creyó que la evidencia estaba bastante cerca de ser concluyente. En 1888 escribió
“una prolongada meditación sobre este tema me ha convencido de que la existencia de uno cualquiera de ellos, mejor dicho, el que pudiera evadirse de la compleja maraña de condiciones que le constriñen por todos lados, sería casi un milagro”.[41]
Pero los milagros ocurren. A pesar de este justificable escepticismo, no podemos descartar lógicamente la existencia de un número perfecto impar. Eric Temple Bell, un estudioso de la teoría de números y un popular divulgador de las matemáticas, se quejó una vez: “Decir que la teoría de números es dueña de su propia esencia cuando no puede dominar una cosa infantil como [los números perfectos impares] es un elogio inmerecido”. Por supuesto que la teoría de números, que Bell llamó “el último gran continente por civilizar de las matemáticas”, es una eficaz cura de humildad[42].
Para evitar el desánimo, siempre podemos fantasear sobre el final perfecto de esta historia. Quizá la existencia de los números perfectos impares será finalmente resuelta por una joven genio de nombre Eunice Eubanks. Entonces podríamos bautizar a la proposición más fonéticamente afortunada de todas las matemáticas como el teorema de Euclides-Euler-Eubanks.
Hasta que ese feliz día llegue, debemos conformarnos con los resultados provisionales narrados en este capítulo. A través de los siglos, Euclides y Euler establecieron la naturaleza exacta de los números perfectos impares. Fue, literalmente, una colaboración para la eternidad.
Capítulo 2
Euler y los logaritmos
En 1748 Euler publicó una obra maestra en dos volúmenes, la Introductio in analysin infinitorum, que iba a convertirse en uno de los libros de matemáticas más influyentes de todos los tiempos. La Introductio era una colección de temas que eran requisito previo para el estudio del cálculo diferencial e integral. Como su título sugiere, Euler empleó procesos infinitos en el desarrollo de las fases previas de su cálculo, haciendo que el libro sea, para el lector moderno, una extraña mezcla de lo más elemental y de lo más sofisticado.
Refiriéndose a la Introductio, el historiador Cari Boyer escribió: “fue su trabajo el que hizo de la función un concepto básico en matemáticas”[43]. Antes de Euler, el análisis trataba sobre las propiedades de las curvas; después de él, sobre las propiedades de las funciones. El cambio fue profundo y alteró el paisaje matemático para siempre.
Al principio del volumen primero, Euler enunció su definición clave:
“una función de una cantidad variable es una expresión analítica compuesta de cualquier forma cualesquiera que sean la cantidad variable y las cantidades constantes’’[44]
Éste no es el concepto moderno. Al decir que una función es una expresión analítica; Euler parecía equiparar función y fórmula. No depuró la idea esencial de función', que a cada x del dominio le corresponde una única y en el recorrido (para hacerle justicia, su idea sobre las funciones se amplió más adelante en el transcurso de su carrera hasta acercarse a la formulación moderna)[45]. Sin embargo, su definición analítica supuso un gran avance sobre la poco clara noción geométrica de curva.
La Introductio de Euler se reveló como extremadamente trascendente, afectando a las matemáticas posteriores en contenido, estilo y notación. Boyer reconoció si influencia al escribir que “hizo por el análisis elemental lo que los Elementos hicieron por la geometría”, lo que es un gran elogio[46]. E. W. Hobson le dio su propio espaldarazo al afirmar:
"Difícilmente cualquier otra obra en la historia de la ciencia matemática provoca en el lector una impresión tan intensa sobre el genio de su autor como lo hace la Introductio”[47].
En el libro, Euler hizo mucho más que ofrecer una definición exacta de función. Destacó también a aquellas funciones que han sido utilizadas como los bloques esenciales para construir el análisis. Definió las polinómicas, las trigonométricas y las exponenciales (“potencias simples cuyos exponentes son variables”). Para añadir a continuación, refiriéndose a las funciones exponenciales: “de sus inversas, he llegado al concepto más sencillo y provechoso de logaritmo”[48].
A causa de las limitaciones de espacio, no podemos examinar el desarrollo de todas estas y nos vamos a centrar, por tanto, en una de las más importantes: el logaritmo. No es una elección poco razonable ya que los logaritmos estaban entre las herramientas analíticas favoritas de Euler y van a parecer repetidamente en los capítulos siguientes de este libro.
En primer lugar, es importante recalcar que las labias de logaritmos habían sido inventadas un siglo antes de que Euler naciera. Su contribución fue más conceptual ya que definió la función logarítmica, reconoció explícitamente la naturaleza inversa de logaritmos y exponenciales y percibió el significado de lo que se conoce como logaritmo natural, aplicando sus resultados a teoremas teóricos muy alejados del mero cómputo. Como ocurrió a menudo, Euler recibió en herencia un concepto matemático y dejó su indeleble huella en él.
Prólogo
Según afirmó Pierre Simón de Laplace (1749-1827), “al hacer más cortos los cálculos, los logaritmos doblaron la vida de los astrónomos”[49]. Aunque la ausencia de astrónomos de 140 años sugiere que Laplace exageró, su observación fue correcta. Por medio de los logaritmos, la multiplicación y la división se pueden reducir a las operaciones más simples de adición y sustracción y, como el propio Euler puntualizó, “los logaritmos son especialmente útiles a la hora de encontrar raíces complicadas”[50]. Una tabla de logaritmos era, en su tiempo, lo que el ordenador electrónico es en la era moderna: un dispositivo de gran utilidad para ahorrar tiempo.
NapierEn el verano de 1615, Briggs
emprendió un largo viaje de Londres a Edimburgo para ver a Napier.
En este encuentro Napier sugirió a Briggs que se debían construir tablas de logaritmos en base 10 y con log 1 = 0, y Briggs pasó a ocuparse de esta tarea.
Antonio Pérez Sanz
El término logaritmo fue acuñado por John Napier (1550-1617) al principio del siglo XVII. Aunque Napier fue el primero que comprendió la idea principal, fue su colega Henry Briggs (1561-1631) el que, durante varios años, construyó la conocida tabla de logaritmos comunes (de base 10). Briggs comenzó estableciendo que 0 = log 1; y que 1 = log 10 (si esto parece evidente, puede ser traumático el saber que en la idea original de Napier, 0 = log 10000000).
¿Cómo se determina, por ejemplo, log 5? Por supuesto, hoy día utilizamos una calculadora o, si tecnológicamente estamos atrasados, lo buscamos en una vieja y polvorienta tabla. Los creadores de los logaritmos no tuvieron tales opciones. Tuvieron que deducir los logaritmos desde la nada, una tarea que requería conocer las propiedades de los logaritmos, habilidad con el tedioso algoritmo para calcular raíces cuadradas y enorme perseverancia.
Para tener una idea del método de Briggs, vamos a calcular log 5 en base 10. Observemos en primer lugar que log √10 = log (10½) = ½ log 10 = 0,50000. Como log √10 = 3,1622777, hemos encontrado que log 3,1622777 = 0,50000, al menos aproximadamente.
El mismo razonamiento, y el cálculo de otra raíz cuadrada, nos da

Se continúa de esta forma (calculando reiteradamente raíces cuadradas y dividiendo entre dos los logaritmos). Aunque Briggs hizo sus cálculos a mano y hasta con 30 cifras decimales, damos debajo una tabla abreviada de resultados:

Los números de la columna de la izquierda, cuyos logaritmos se conocen exactamente, dan un marco de comparación para encontrar otros logaritmos.
Si volvemos al log 5 y obtenemos raíces cuadradas sucesivas:
√5 = 2,2360680, √√5 = 1,4953488.
y así sucesivamente. Finalmente los cálculos nos llevan a que 51/4096 = 1,0003930, un número que está entre los dos valores inferiores de la columna de la izquierda (sí, nos hemos metido en un buen lío).
Nuestro objetivo es estimar, por interpolación lineal, el siguiente logaritmo, designado por x, que debería aparecer en la columna de la derecha:
1,0005623 = 101/4096 0,00024414
1,0003930 = 51/4096 x
1,0002811 = 101/8192 0,00012207
Esto nos lleva a la proporción
de la que se deduce que log (51/4096) = x = 0,000170646. Por tanto, log 5 = 4096 × (0,000170646) = 0,698966.
Esta aproximación es bastante buena, ya que difiere del valor real de log 5 = 0,698970 en tan sólo 4 millonésimas. Pero, desgraciadamente, todo el esfuerzo de Briggs sólo ha servido para calcular log 5. Para determinar log 6 ó log 5,34 ó cualquiera de las otras entradas de una tabla de logaritmos hay que repetir el procedimiento. Esta horrible realidad nos obliga a mirar a Henry Briggs con dosis iguales de admiración y compasión.
La compasión es especialmente apropiada porque, en el curso de una generación, los matemáticos habían descubierto un método bastante más fácil para el cálculo de logaritmos. Este método utilizaba series infinitas, un tema en la frontera de la investigación de aquel tiempo. Entre otros, Nicholas Mercator (1620-1687), James Gregory (1638-1675), y el incomparable Isaac Newton (1642-1727) encontraron maneras de transformar expresiones complicadas en series infinitas y utilizar estas últimas para conseguir excelentes aproximaciones de las primeras.
Así, por ejemplo, Newton desarrolló (l + x)r como

Según Newton esta serie binomial generalizada era válida tanto si r “es entero o (por así decirlo) fraccionario, tanto si es positivo como negativo”[51]. Utilizándola con x = 1/5 y r = 1/2 y desarrollándola hasta el cuarto término, podía fácilmente aproximar una raíz cuadrada tal como

Este resultado se aproxima bastante al valor exacto con 5 decimales que es √1,2 ≈ 1,09545
Utilizar serles infinitas para aproximar raíces cuadradas es una cosa, pero utilizarlas para encontrar logaritmos es otra diferente Los primeros pasos en este dirección fueron dados por Gregory de Saint Vincent (1584-1667) y Alfonso de Sarasa (1618- 1667) cuyo trabajo sugirió que existía una relación entre los logaritmos y el área bajo un segmento de hipérbola. Su descubrimiento; resumido, simplificado y enmarcado en el contexto del cálculo actual; puede explicarse como sigue:
Sea A(x) el área bajo la hipérbola y = 1/t entre t = 1 y t = x (ver Figura 2.1).
Entonces,

donde la segunda integral se ha transformado utilizando la sustitución t = a u.
En consecuencia,

De la misma forma, la sustitución t = u’ nos da

Estas dos propiedades del área hiperbólica: A(ab)=A(a) + A(b) y A(ar)= r ∙A(a), son exactamente iguales a las correspondientes de los logaritmos. Ciertamente, algo se está tramando.

Figura 2.1
Sabemos ahora, por supuesto, que el área en cuestión es la así llamada logaritmo natural, pero a mediados del siglo XVII esta relación no era totalmente comprendida y no había en ningún caso medios disponibles para estimar el área bajo una hipérbola. Sin embargo, la solución no tardó en aparecer. En los años 60 de ese siglo, trabajando separadamente, Mercator y Newton aproximaron estas áreas hiperbólicas y, por tanto, también los logaritmos, mediante series infinitas. Permitiéndonos el lujo de utilizar otra vez notación moderna, vamos a seguir la idea de Newton.
En primer lugar, hacemos una modificación menor (que esencialmente es un desplazamiento a la izquierda de la hipérbola) y definimos

Entonces desarrollamos 1/(1+t) = (1+t)-1 utilizando el teorema del binomio generalizado de Newton para r = -1 e integramos sus términos hasta obtener

una serie simple y hermosa para el área de la hipérbola.
Newton reconoció que para pequeños valores numéricos de x, esta serie daría aproximaciones precisas de los logaritmos. De hecho, la usó para calcular

hasta el absurdo de 57 cifras decimales y con tales aproximaciones mostró cómo generar una tabla de logaritmos de base 10.[52]

Portada del libro de Napier Mirifici logarithmorum canonis descriptio de 1614.
Los académicos del siglo XVII habían recorrido un largo techo. Los logros de Napier y Briggs, de Mercator y Newton, habían sido, por supuesto, impresionantes. Los logaritmos eran ampliamente utilizados y, con las técnicas de las series infinitas, calculados fácilmente. Sin embargo, quedaba mucho por hacer. La teoría unificada de la función logarítmica tendría que esperar hasta el siglo siguiente y a su matemático más perspicaz.
Aparece Euler
Trataremos el desarrollo de los logaritmos que hace Euler en los capítulos VI y VII de la Introductio. Previamente ha definido las exponenciales, es decir, las funciones de la forma y = az, donde a > 1. A éstas las considera como bastante sencillas, y escribe:
“el grado en el que y depende de z, se comprende fácilmente a partir de la naturaleza de los exponentes”[53].
Pasa a considerar entonces el problema inverso:
“... Daremos un valor a z tal que a2 -y. Este valor de z, considerado como una función de y es llamado el logaritmo de y”.
Que en notación moderna es z = loga y si y sólo si az= y.
Euler había visto el asunto en su auténtica naturaleza ya que para él el logaritmo no era un mero instrumento de cálculo sino la función inversa de la exponencial. Y como había una cantidad infinita de bases posibles, había que considerar infinitas funciones logarítmicas.
En la parte final del capítulo VI, calculó log10 5 = 0,698970 usando el método de las raíces cuadradas anteriormente descrito. Observa entonces, aludiendo a las técnicas de cálculo con series de Newton y Mercator, que “se han encontrado formas de calcular mucho más cortas para obtener los logaritmos mucho más rápidamente”[54]. Promete describir estos métodos en el capítulo VII.
También enuncia Euler su “regla de oro para los logaritmos”, que afirma que si hemos calculado logay, entonces “es una tarea fácil” encontrar logby, donde b es cualquier otra base[55].
La idea es, al mismo tiempo, sencilla y potente. Hagamos z = log6 y; tenemos entonces que y = bz y, por tanto, logay = loga (bz) = z logab.
Por consiguiente,

Esta regla de oro no sólo transforma los logaritmos de una base a otra, sino que implica, como Euler rápidamente observó, que el cociente de los logaritmos de dos números es el mismo, cualquiera que sea la base que se utilice. Esto es,

Euler finaliza el capítulo VI con algunos problemas numéricos. Uno de ellos, relativo al cálculo del interés de la amortización de una deuda, podría ser trasladado intacto a un libro de texto actual. Otro, relativo al crecimiento de la población despide un aroma más bíblico, incluso quizá antediluviano:
“Como desde el diluvio todos los seres humanos descienden de un grupo de seis personas, si suponemos que después de dos mil años la población es de 1.000.000 de personas, querríamos calcular la tasa de crecimiento anual”.[56]
Es en el capítulo VII donde la inventiva matemática de Euler se hace más evidente. Su objetivo era obtener el desarrollo de series infinitas para las funciones exponencial y logarítmica, pero la naturaleza elemental de su obra le impedía usar tanto la diferenciación como la integración. El razonamiento resultante, en el que los símbolos son utilizados con cierta alegría, es tan inteligente como carente de rigor.
Calcula primero el desarrollo de la serie para la función exponencial y = ax, donde a > 1. Para conseguir esto, supone que ω sea un “número infinitamente pequeño, o una fracción tan pequeña que, aunque no sea igual a cero, se verifique aω = 1 + ψ, donde ψ es también un número infinitamente pequeño[57]. Para Euler, ω se aproxima a cero, de tal forma que a𝜔 ≈ a0 = 1, siendo la diferencia la cantidad infinitesimal ψ = a𝜔- 1.
Euler estaba haciendo juegos malabares con dos cantidades infinitamente pequeñas, ω y ψ. Para relacionarlas, hace que y = kω, de tal forma que a𝜔 = 1 + kω.
En este punto, inmerso en la infinita pequeñez, Euler da un ejemplo numérico para ayudar explicar la situación. Da valores a = 10 y ω = 0,000001, de tal forma que 100,000001 = 1 + k(0,000001). Se deduce (mediante una tabla de logaritmos) que k = 2,3026. Por otro lado, para a = 5 y 𝜔 = 0,000001, halló que k = 1,60944. De aquí deduce “que k es un número finito que depende del valor de la base a”[58].
Busca a continuación el desarrollo de ax para un número finito x. Sin timidez alguna a la hora de introducir nuevas variables, hace que j = x/𝜔, resultando que
ax = (a𝜔)𝜔 = (1 + k 𝜔)j = (1 + kx/j)j
Desarrolla lo anterior utilizando el binomio generalizado de la serie de Newton y obtiene:

Pero x es finita y ω infinitamente pequeña, por tanto, j = x/ω debe ser infinitamente grande. De ello se deduce, según Euler, que (j -1)/j = 1, (j -2)/j = 1 y así sucesivamente. En terminología moderna equivale a decir que enunció (correctamente) que para cualquier n > 1, aunque Euler no hablaba de límites sino de cantidades infinitamente pequeñas o grandes.
En cualquier caso, eliminando j del desarrollo anterior, Euler había llegado a:

De aquí obtuvo dos resultados inmediatos. El primero, haciendo x = 1, fue generar una serie para la base a en función de k, es decir,

El segundo fue escoger a como la base concreta para la que k = 1. Pues poco se había dicho hasta ahora sobre a, aparte de afirmar que era un número positivo mayor que 1.
Es decir, se selecciona inicialmente la base a de tal forma que aω = 1 + ω, donde ω es infinitamente pequeña. Haciendo x = k = 1 en (2.1) obtenemos la expresión para esta base concreta:

Euler calculó que este número era aproximadamente 2,71828182845904523536028, una constante a la que designó “en aras de la brevedad” por la ahora inmortal letra e. A los algoritmos asociados con esta base los llamó “naturales o hiperbólicos”[59]. Aún más, haciendo k = 1 y a = e en (2.1) tenemos

que es, por supuesto, una fórmula famosa.
Hasta aquí, muy bien. A continuación, Euler buscó el desarrollo en serie de la función logaritmo natural (al que llamaremos, según la notación actual, ln). Como para una ω infinitamente pequeña sabía que eω = 1 + ω, dedujo que ω = ln(1 + ω) y que j ω = j ln(l + ω) = ln(l + ω)j. Pero aunque ω es infinitamente pequeña, es, sin embargo, positiva, por lo que “es evidente que cuanto mayor sea el número escogido para j, más excederá (1 + ω)j a 1”[60]. De aquí dedujo que, para cualquier número positivo x podemos encontrar j tal que x = (1 + ω)j - 1, obteniendo tres conclusiones importantes:
Primera, 𝜔 = (1 + x)1/j - 1.
Segunda, 1 + x = (1 + ω)j = eωj, lo que supone que ln (1 + x) = jω.
Finalmente, como ln (1 + x) es finito mientras que ω es infinitamente pequeño, entonces j debe ser infinitamente grande.
Como antes, Euler desarrolla una serie infinita utilizando el desarrollo del binomio, aunque esta vez con exponentes fraccionarios:

La magnitud infinita de j garantiza, otra vez, que (j-1)/2j = ½, (2j-1)/3j = 2/3, (3j-1)/4j = ¾, y así sucesivamente.
Sustituyendo en (2.2), Euler obtiene la serie de Newton y Mercator:

Después de haber llegado tan lejos, Euler nos enseña a utilizar la expresión de (2.3) para construir tablas de logaritmos. Tal como está escrito, el desarrollo de esta serie sirve para poco.
Por ejemplo, si x = 5, la serie nos da

Euler reflexiona:
“Es difícil ver cómo puede ser esto, ya que los términos de esta serie son cada vez más grandes y la suma de varios de ellos no parece tender hacia ningún límite”[61].
No hay que preocuparse: Euler describió un rodeo para evitar este impedimento. Si en la serie logarítmica de (2.3) se sustituye x por -x, se tiene

Si luego se resta la serie (2.4) de (2.3):

En otras palabras,

Euler definió a esta serie como “fuertemente convergente” para pequeños valores de x y observó que podía hacer que el cálculo de los logaritmos fuera sorprendentemente sencillo. Por ejemplo, log10 5, que hemos calculado antes utilizando la maraña de raíces cuadradas de Briggs. Si en (2.5) sustituimos x por y, se tiene

De forma análoga, para x = 1/9, (2.5) da

Por tanto,

y
ln 10 = ln 5 + ln 2 = 1,609413 + 0693135 = 2,302548
Invocando “la regla de oro” de los logaritmos de Euler, llegamos a

Hasta el sexto decimal, coincide exactamente con el valor obtenido por Briggs. Pero mientras la aproximación anterior requería calcular más de dos docenas de raíces cuadradas, la resolución del mismo problema utilizando la serie no tiene ninguna raíz cuadrada por medio. El método de la serie infinita es claramente superior y es un incuestionable signo de progreso matemático. No se puede menos de recordar el comentario de James Gregory de que la potencia de los métodos anteriores guarda la misma relación con el de la serie infinita que la luz tenue del amanecer con el esplendor del sol a mediodía.[62]
Sin embargo, Euler tenía para la serie logarítmica planes más ambiciosos que el mero cálculo de tablas, ya que el desarrollo anterior era crítico en la deducción de una importante fórmula para el cálculo diferencial.
Comparemos primero: la evolución moderna de la serie logarítmica utiliza el cálculo para obtener el desarrollo descrito en (2.3); por el contrario, hemos visto que Euler llega a esta serie sin un uso explícito del cálculo diferencial o integral en su deducción (como era preciso debido a la naturaleza elemental de la Introductio). De esta forma, sin el riesgo de caer en un círculo vicioso, tenía la libertad de aplicar la serie a los problemas de cálculo.
Esto fue lo que hizo en 1755 en su libro Institutiones calculi differentialis. El problema era encontrar el diferencial de ln x. Con ligeros ajustes de notación, su razonamiento era el siguiente[63]:
Si y = ln x, entonces su diferencial es dy = ln (x + dx) - ln x
(Nota: dy es el numerador f(x + h) - f(x) en el cociente diferencial actual, con la h jugando el papel del dx de Euler). Haciendo uso de las propiedades de los logaritmos y de (2.3), Euler escribió:

Para Euler era evidente que los cuadrados, cubos y potencias mayores del infinitesimal dx eran insignificantes comparados con el propio infinitesimal.
Euler y los Bernoulli
Johann BernoulliLa vida de Leonhard Euler está íntimamente vinculada a la familia de matemáticos y científicos más famosa de la historia: los Bernoulli.
Dentro de esta larga saga, cuyos nombres se repiten para hacer más complicada la identificación, los hermanos Jakob y Johann se van a convertir en los paladines del cálculo de Leibniz en la Europa continental. Sus esfuerzos a favor de éste y en contra de Newton extendieron el cálculo integral por el continente asentando la notación que manejamos en la actualidad. De hecho el término Cálculo Integral y el propio símbolo de la integral es un invento de Jakob.
Las relaciones entre ellos, al menos en el terreno matemático, no fueron precisamente fraternales. Las palabras que el hermano menor dedica a Jakob aldescubrir la naturaleza de la catenaria no rezuman precisamente un cariño fraterno.
El padre de Euler era amigo de Jakob, y Euler y las matemáticas le deben mucho a esta amistad ya que seguramente contribuyó a hacer abandonar a Paul Euler, el padre de Leonhard, la idea de que su hijo fuera, como él, pastor calvinista y a consentir que dejase los estudios de teología para seguir su verdadera vocación, las matemáticas.
Y no pudo tener mejor profesor particular, el propio Johann Bernoulli, aunque parece que las clases se limitaban a comentar y evaluar los trabajos del joven Euler. Probablemente en estas clases particulares compartidas con los propios hijos de Johann, Nikolaus y Daniel, nació su profunda amistad con ellos.
Esta amistad va a marcar en gran medida la vida de Euler. En efecto son Daniel y Nikolaus, recién incorporados a la Academia de San Petersburgo, los que le invitan a desplazarse a la ciudad del Báltico para incorporarse a la sección de fisiología y medicina.
La prematura muerte de Nikolaus, por culpa de los rigores del clima, unos meses antes de la llegada de Euler y la incorporación de Daniel a la Universidad de Basilea en 1733 convierten al joven Euler, que entonces tenía 26 años, en el matemático más notable de la Academia.
La separación geográfica no va a romper los vínculos de Euler con su viejo profesor Johann Bernoulli y con su amigo Daniel. El intercambio de cartas y de trabajos matemáticos se prolongaría muchos años.
Esta correspondencia le obligó a asistir, casi como árbitro, a la agria polémica sobre la paternidad de la ecuación del movimiento de los fluidos entre el viejo Johann y el joven Daniel que acabó con una profunda enemistad entre padre e hijo.
El viejo Johann Bernoulli no sólo plagió los trabajos de su hijo, sino que hasta llegó a falsificar la fecha de publicación de su Hidráulica para que pareciese anterior a la Hidrodinámica de Daniel.
Decididamente, la más notable familia de matemáticos de la historia no era una familia bien avenida.
Antonio Pérez Sanz
Así, “como desaparecen todos los términos después del primero”, dedujo que dy = dx/x, que inmediatamente se transforma en la fórmula de diferenciación Dx[ln x] = dy/dx = 1/x. Nada en contra.
Tal razonamiento procede de una época en la que el rigor no era el actual. Sin embargo esto no quiere decir que deba despreciarse frívolamente. Por el contrario, refleja exactamente las normas de su tiempo y es, en ese contexto, tan ingeniosa como convincente. Dado su origen, es un razonamiento que merece atención.
Para Euler, los logaritmos eran una de las herramientas principales del análisis. Aparecen una y otra vez en su obra, a veces en los lugares más inesperados (como veremos en capítulos posteriores de este libro). La función logarítmica, a la que Euler definió como el “concepto más natural y fructífero”, estaba destinada a durar.
Epílogo
Para concluir este capítulo, relataremos ahora cómo Euler encontró una relación entre los logaritmos y la serie armónica. En el camino descubrió una de las más omnipresentes y complicadas constantes de todas las matemáticas.
Nuestra serie comienza con la serie armónica
. Su sencillez aparente esconde su sorprendente naturaleza. Los sumandos individuales 1, 1/2, 1/3,... decrecen hasta tender a cero, de tal forma que, hablando figuradamente, el ritmo al que crece la suma parece que llega a detenerse. Por ejemplo,

Se puede observar que la suma de los 20 primeros términos supera a la suma de los 200 siguientes, y ésta a su vez supera a la de los siguientes 20.000. Se dice a menudo que la serie armónica crece con lentitud glacial. Debido a esto, se podría pensar que la serie tiene un cierto límite superior que nunca supera.
Sin embargo, la serie armónica diverge hacia infinito. Es decir, su suma supera a cualquier cantidad prefijada, aunque la sucesión de sus términos individuales tienda a cero. Esta propiedad, que a menudo parece desafiar a la intuición del principiante, hace que la serie armónica sea uno de los primeros contraejemplos patológicos en análisis. Sumarla hasta el infinito es como conseguir algo a cambio de nada, o, para ser más preciso conseguir el todo a cambio de nada.
Este comportamiento había sido detectado mucho antes de que naciese Euler. Entre las primeras pruebas de divergencia encontradas, una especialmente elegante es debida a Jakob Bernoulli, hermano mayor del mentor de Euler. Fue publicada en 1689 en su clásico Tractatus de seriebus infinitis (Tratado sobre las series infinitas), un hermoso tratado sobre las series tal cómo eran entendidas en la generación anterior a Euler.
La demostración de Jakob Bernoulli, ligeramente simplificada es la siguiente:[64]
Teorema
La serie armónica diverge.
Demostración
Afirmamos primero que, si a > 1, entonces

Para demostrar esto, consideramos la suma
1/(a + 1) + 1/(a + 2) +…+1/a2
Como está formada por fracciones, cada una más grande que la siguiente, sabemos entonces que

Sumando 1/a, a ambos miembros de la expresión anterior, la afirmación inicial queda probada.
A partir de esto, Bernoulli dedujo que la serie armónica puede ser descompuesta en infinitas subsumas de la forma

cada una de los cuales es mayor o igual que 1. Es decir,

De lo que se deduce que la serie armónica crece más que cualquier cantidad finita. C.Q.D.
* * * *
Algo tan extraño fue una fuente de fascinación en el siglo XVII. Así, por ejemplo, Gottfried Wilhelm Leibniz (1646-1716) llegó a creer que los matemáticos ingleses habían descubierto una sencilla fórmula para la suma parcial de la serie armónica

Tal fórmula, que Leibniz había sido incapaz de encontrar, hubiera sido la réplica a la fórmula de la suma de una sucesión geométrica finita, a saber,

que ya fue utilizada en el capítulo anterior. Tan ansioso estaba Leibniz por obtener información sobre el descubrimiento británico que llegó a ofrecer dar detalles de su propio desarrollo de

a cambio del resultado de la serie armónica[65].
Esto no era otra cosa que intercambiarse cromos matemáticos. Ningún intercambio llegó, por supuesto, a tener lugar, porque los matemáticos ingleses no conocían tal fórmula.
No es sorprendente, por tanto, que Euler se sintiese también atraído hacia la serie armónica. En la Introductio, dio su propia demostración de la divergencia, que es considerablemente menos satisfactoria que la de Jakob Bernoulli:
Teorema
La serie armónica diverge.
Demostración
Euler basó su breve explicación en el desarrollo de (2.4)[66]. Es decir, haciendo x = 1 en la serie

llegó a

y, por tanto,

“porque el logaritmo de un número infinito es infinito”. C.Q.D.
* * * *
Pero Euler se dio cuenta de algo más: una extraña y sugestiva relación entre la serie armónica y los logaritmos. Comenzó haciendo x = 1/n en la serie (2.3):

En consecuencia

y para valores altos de n, su inverso 1/n es aproximadamente igual a ln (n+1)/n. Esto llevó a Euler a pensar que, en el fondo, sumar la serie armónica se parecía a sumar logaritmos. Iba bien encaminado para hacer un descubrimiento importante.
Sustituyendo n = 1, 2, 3,... 2n en (2.6), obtuvo:

al sumar columna a columna, Euler deduce que:

La suma de los logaritmos del primer corchete es igual al logaritmo de su producto, es decir, (n. (n + 1). Euler calculó aproximadamente el valor del resto de la serie y llegó a la estimación[67]

En consecuencia, para un valor alto de n, la suma parcial de la serie armónica es la suma de un logaritmo más una constante que es algo mayor que 0,577. Hoy día este número es representado por la letra griega γ minúscula y es llamado, muy apropiadamente, constante de Euler. Su definición exacta es

Cuando un matemático moderno se enfrenta a un concepto como éste se siente impelido a demostrar que un número definido de esta forma existe en realidad (un asunto que no es de importancia menor). Para no dejar incompleto el tema, damos su demostración:
Teorema
El

existe.
Demostración

y hagamos dos observaciones:
Primera


Figura 2.2
porque, como se ve en la Figura 2.2, la integral es el área sombreada debajo de la hipérbola y = 1/x , mientras que 1/n+1 es el área del rectángulo más grande que la contiene. Por tanto se deduce que c1< c2<… < cn < cn + 1 <…, por lo que la sucesión {cn} es creciente.
Segundo, como se puede ver claramente en la figura 2.3, la suma de los rectángulos es menor que el área correspondiente bajo la curva. Por tanto,

y, por ello

Ambas observaciones prueban que {cn} es una sucesión creciente y acotada superiormente por 1. La propiedad de completitud de los números reales garantiza que γ = lim cn existe. C.Q.D.
* * * *

Figura 2.3
Podemos comentar rápidamente que la definición de la constante de Euler que se encuentra en los libros de texto modernos es la ligeramente modificada

El cambio del término “ln(n + l)” por el actual “ln n” no supone ninguna diferencia en absoluto porque

Con sus bien conocidos parientes π y e, el número γ es una de las constantes más importantes de las matemáticas, de las que Euler calificó como “merecedoras de atención”[68]. Al igual que π y e, aparece por sorpresa de vez en cuando. Es una pieza clave para la comprensión de la función γ en análisis superior y figura en fórmulas tan bonitas y peculiares como

o

o

la última de las cuales tiene una hermosa simetría en x y n.
Como ocurre con muchas de las ideas clave en matemáticas, la constante de Euler se ha mostrado reacia a desvelar todos sus secretos. Así, por ejemplo, el geómetra italiano Lorenzo Mascheroni (1750-1800), en una obra titulada Adnotationes ad calculum intégrale Euleri, calculó el valor de γ con la impresionante precisión de 32 decimales. Unos años más tarde, Johann George von Soldner (1776-1833) dio a conocer un valor de γ diferente del de Mascheroni a partir de la vigésima cifra decimal, un hecho que fue considerado ligeramente desconcertante. Nada menos que un matemático como Carl Friedrich Gauss (1777-1855) tuvo que pedir a una tercera persona, un tal F. B. G. Nicolai (1793-1846), a quien describió como “calculista infatigable”, que resolviese definitivamente el problema[69]. Así lo hizo Nicolai, calculando el valor de la constante con cuarenta cifras decimales y demostrando que von Soldner tenía razón y Mascheroni se había equivocado.
Esta minicrisis sobre el valor de la aproximación de una constante bien definida nos hace ver lo mucho que hemos avanzado. Cuando los ordenadores calculan rutinariamente unos cuantos millones de cifras decimales del valor de π, un desacuerdo sobre el valor de la vigésima cifra decimal de γ parece casi cosa de risa.
Fue Mascheroni, dicho sea de paso, el que introdujo el símbolo γ para este número especial. A pesar del hecho de que calculó mal su valor, a veces se le llama “constante de Euler-Mascheroni”. A la vista de las circunstancias, parece un poco injusto que Mascheroni haya sido tan gloriosamente asociado al nombre de Euler.
El misterio más duradero sobre la constante de Euler es uno de los más fundamentales: ¿es γ racional o irracional? El propio Euler afirmó que determinar el carácter de dicho número era un “asunto muy importante”[70]. Sin embargo, el problema básico de su racionalidad o irracionalidad ha desconcertado hasta ahora a la comunidad matemática y sigue siendo un problema no resuelto.
Esto a pesar de que todo el mundo sabe cuál sería la respuesta. Una cifra tan complicada como γ no parece que vaya a ser un número racional, una fracción sencilla con un desarrollo decimal periódico. Pero su irracionalidad, aunque aceptada universalmente, no ha sido nunca demostrada.
Al igual que la existencia de números perfectos impares, la irracionalidad de γ es un desafío adecuado para cualquiera que quiera alcanzar la inmortalidad en matemáticas. Los dispuestos a aceptar el reto deben tomar precauciones: este problema ha derrotado a algunas de las mejores mentes de los últimos siglos y seguro que hay métodos más sencillos para hacerse famoso.
Este capítulo llega a su fin. En él hemos visto a Euler, que identificó a los logaritmos como funciones, desarrollar la serie de ln(1 + x) utilizando en toda su extensión los conceptos de infinitamente grande e infinitamente pequeño. Esto le permitió descubrir una relación entre los logaritmos y la serie armónica, lo que le llevó hasta su celebrada constante γ. Es una historia laberíntica, una tortuosa cadena de ideas. Y como ocurre con otras muchas en matemáticas, pasa directamente por Leonhard Euler
En el capítulo siguiente, volveremos a la serie armónica, haremos un pequeño cambio sugerido por Jakob Bernoulli y veremos uno de los grandes descubrimientos de Euler: la suma de la serie infinita

Capítulo 3
Euler y la serie infinita
Cuando el siglo XVII amanecía, las series infinitas estaban mal comprendidas y aparecían con poca frecuencia. Al acabar el siglo, había sido desarrollado un núcleo amplio de ejemplos específicos y teoremas generales. El Tractatus de serie bus infinitis (1689) de Jakob Bernoulli, mencionado en el capítulo anterior, presentaba los últimos avances de esta explosión de conocimiento. Fue una época excitante; los matemáticos tenían razón al sentirse orgullosos de sus progresos en esos últimos cien años.
A pesar de tales logros, había problemas importantes que seguían sin solución y que, por tanto, iban a servir de desafío a los académicos del siglo posterior. Euler era, por supuesto, uno de estos estudiosos y, en un caso famoso (el así llamado problema de Basilea), dio la talla de una forma espectacular. En este capítulo contaremos la historia de su triunfo matemático.
Prólogo
Jakob Bernoulli era un amante de las series infinitas. No sólo demostró la divergencia de la serie armónica sino que conocía el valor exacto de la suma de cierto número de series convergentes.
De entre ellas la más sencilla era la fórmula de la suma para la serie geométrica infinita:
a + ar + ar2 + … + ark + = a/(1 - r)
siempre que -1 < r < 1.

Jakob Bernoulli en un sello de correos suizo.
También podía calcularse la suma de otras series más sofisticadas. Por ejemplo, consideramos la serie 1 + 1/3 + 1/6 + 1/10 + 1/15 + … donde el denominador k-ésimo es el llamado número triangular késimo, k ∙ (k + 1)/2 . En el siglo XVII, el cálculo del valor de la suma de esta serie, hecho de forma breve y correcta era:

porque en el interior de la última expresión entre corchetes se cancelan entre sí todos los sumandos excepto el primero. Los estudiantes de cálculo deben reconocer en

a la conocida “serie telescópica”.
Menos difundido es el cálculo del valor de la suma, también hecho por Jakob Bernoulli, de la serie infinita

cuyos numeradores forman una progresión aritmética a, a + c, a + 2c, a + 3c,... y cuyos denominadores forman una progresión geométrica, b, b∙d,b∙d2, b∙d,...
Por ejemplo, si a = 1, b = 3, c = 5 y d = 7, tenemos

cuya suma exacta está lejos de resultar obvia.
En la Sección XIV del Tractatus, Jakob calcula esta serie[71]. Su intuición fue descomponerla de la siguiente forma:

Cada paréntesis contiene una serie geométrica infinita que es convergente siempre que d > 1. Sustituyéndolas por sus sumas tenemos:

porque la serie entre corchetes es también geométrica.
Así, para el ejemplo de antes, tenemos:

Y había otras. Por ejemplo, Jakob Bernoulli descubrió que

y

(resultados válidos hasta hoy)[72]. Con cada éxito se sintió probablemente más confiado en su capacidad. Con el tiempo dirigió su atención a las series de la forma

que hasta hoy son llamadas, por razones obvias, “series p”. Si p = 1, tenemos la serie armónica (divergente) que Jakob había manejado perfectamente. ¿Pero qué ocurría si p = 2? ¿Cuál es el valor exacto de la suma de la serie
?
El problema no era nuevo. Varias décadas antes, Pietro Mengoli había planteado la cuestión y había descubierto que era incapaz de resolverla. Lo mismo se podría decir de Leibniz, inventor del cálculo y señor de tantas series infinitas. Ahora le tocaba a Jakob Bernoulli. Nos podemos imaginar su creciente frustración ante una serie que, aparentemente, no era más difícil que aquellas cuyos secretos había descubierto antes.
Esto no quiere decir que no hubiera progresos. Por ejemplo, utilizando la desigualdad 2k2 ≥ k (k + 1), Bernoulli encontró que

y, por tanto,

donde esta última serie (telescópica) converge hacia 2, como se ha visto antes. Al tener la mayor de las dos series una suma finita, Bernoulli razonó que la más pequeña la debía tener también. Más explícitamente, estaba claro que

Y como 1/kp ≤ 1/k2 para todo p ≥ 2, el mismo argumento servía para afirmar

que converge para p = 3, 4, 5,... .
Lo anterior puede reconocerse como un ejemplo temprano y bien hecho de lo que ahora se llama el “test de comparación” para convergencia de series. Sin embargo, a pesar de toda su inteligencia, no proporciona la suma exacta de la serie en cuestión. En este problema más difícil, Jakob Bernoulli admitió la derrota. Desde Basilea escribió e incluyó en el Tractatus su petición de ayuda:
“Grande sea nuestra gratitud si alguien encuentra y nos comunica lo que hasta ahora ha escapado a nuestros esfuerzos”[73].
Con estas palabras se trasladó a la comunidad matemática de manera formal un reto formidable. Al final, el problema de Basilea perduró hasta más allá de Jakob Bernoulli y del siglo que lo había producido. Hasta el siglo XVIII no encontraría la horma de su zapato.
Aparece Euler
No está claro cuando consideró por primera vez Euler este tema, pero hacia 1731, cuando tenía 24 años, trabajaba intensamente en él. Se le ocurrió, como se les había ocurrido antes a otros, que un primer paso podía ser aproximar el valor de la suma de la serie infinita

sumando unos cuantos, o unos centenares, de términos. Desgraciadamente, como esta serie converge muy lentamente, tales ataques frontales no resultan especialmente esclarecedores. Por ejemplo,

Sabemos ahora que, a pesar de la elevada cantidad de términos, este último resultado sólo es correcto en sus dos primeras cifras decimales. Salvo el hecho reconfortante de que el resultado de estas sumas es inferior a 2 (como había demostrado el test de comparación de Bernoulli), la aproximación numérica directa sirve para poco.

Euler
En un artículo escrito en 1731, el joven Euler encontró una forma de mejorar radicalmente tales aproximaciones numéricas. Su descubrimiento destacaba por su visión y por su audacia en el uso de los símbolos y era verdaderamente genial[74].
El truco de Euler consistía en calcular la integral (impropia)

de dos formas diferentes. Por un lado, sustituyó ln(1 - t) por el desarrollo de su serie (ver capítulo 2) e integró término a término hasta conseguir:


Por otro lado, hizo la sustitución integral original de la forma siguiente:

porque 1/(1 – z) es la suma de la serie geométrica 1 + z + z2 + z3 + …
Integrando por partes

y esta última expresión se convierte en:


Euler simplemente descartó el producto [ln 1]∙[ln 0], aunque un lector actual podría preferir invocar la regla de L’Hôpital para verificar que lim [ln z] [ln(1 - z)] = 0. En cualquier caso, llegó a:

Igualó entonces las expresiones (3.1), (3.2) para I y obtuvo:

A estas alturas, el lector se habrá dado cuenta de ciertas manipulaciones de símbolos que requieren un tratamiento cuidadoso. Euler no prestó atención a asuntos tales como la existencia de integrales impropias o la integración término a término de la serie infinita. Sin embargo, su fusión de la serie logarítmica, la serie geométrica y la integración por partes (con el objetivo de llegar a calcular el valor de

resultó una jugada maestra. Lo que hizo que este esfuerzo mereciera la pena fue que el resultado

es una serie que converge rápidamente (gracias a la presencia del término 2k-1 en el denominador) a la que se suma el número [ ln 2]2, que Euler había calculado con docenas de cifras decimales. Empleando sólo catorce términos de esta nueva fórmula, se encuentra que

es 1,644934 , una respuesta que es correcta en sus seis primeras cifras decimales. Esto resulta bastante más exacto que sumar mil términos de la serie original. La ingenuidad de Euler había fructificado.
Pero, ¿había dado resultado? A pesar del hecho de que esta estimación era más exacta, era sólo una estimación. Recordemos que Jakob Bernoulli había desafiado al mundo a encontrar el valor exacto de la suma. En este sentido, el problema estaba, como lo había estado siempre, lejos de estar resuelto.
Pero se acercaba el final. Cuatro años después, en 1735, Euler tuvo finalmente éxito donde otros habían fracasado. Reconociendo que sus anteriores esfuerzos se habían quedado cortos y que “parecía de lo más improbable ser capaz de encontrar algo nuevo sobre este tema”, Euler escribió con ostensible felicidad[75]:
“Sin embargo, he encontrado ahora y contra todo pronóstico una expresión elegante para la suma de la serie 1 + 1/4 + 1/9 + 1/16+ etc., que depende de la cuadratura del círculo.... He encontrado que seis veces la suma de esta serie es igual al cuadrado de la longitud de la circunferencia de un círculo cuyo diámetro es 1”
A nosotros, toda este lenguaje de diámetros y circunferencias nos parece como dar un rodeo (tanto geométrica como metafóricamente) pero como la longitud de dicha circunferencia es π, Euler estaba afirmando (en notación moderna) que

Desde entonces, este resultado se ha alzado como una de las fórmulas matemáticas más maravillosas. Aquellos que lo ven por primera vez se sorprenden de la aparición inesperada del número π en una serie de cuadrados perfectos y, a primera vista, parece más una errata que un teorema. No hay nada que temer: Euler tenía razón.
Su breve razonamiento requería dos modestas observaciones y un acto de fe típicamente euleriano. En primer lugar, observemos que si P(x) = 0 es una ecuación polinómica de grado n con raíces a1, a2, a3,…, an distintas de cero y tal que P(0) = 1, entonces lo factorizamos de la forma

Que es obvia, porque sustituyendo x = 0 se obtiene P(0) = 1, igual que al sustituir x = ak se obtiene Pa(k) = 0 para k = 1, 2,... n.
En segundo lugar, necesitaba el desarrollo de la serie de sen x, es decir,

Esta fórmula, que cualquier estudiante de cálculo reconocerá era bien conocida por Euler (en el Capítulo 5 discutiremos la deducción de este desarrollo, en el que el uso de los conceptos de infinitamente grande e infinitamente pequeño nos recuerda su desarrollo de la serie log (1 + x) del Capítulo 2).
Estos eran los requisitos previos en que se apoyaba su gran descubrimiento. Su acto de fe consistía en creer que aquello que se cumple para un polinomio ordinario se cumple también para un polinomio de infinitos términos. En este caso, asume que una expresión polinómica con infinitas raíces puede descomponerse en factores de la misma forma que P(x) lo fue antes. Euler no ofreció ninguna demostración de esto, pero para alguien que creía en la universalidad de las fórmulas, era una prolongación simbólica natural.
Estamos ya preparados para ver la solución de Euler al problema de Basilea[76]
Teorema

Demostración
Euler introdujo

que consideró como un polinomio infinito. Claramente P(0) = 1. Para encontrar las raíces de P(r) = 0 hay que observar que para x distinto de cero,

Así P(x) = 0 implica que sen x = 0, que a su vez nos lleva a que x = ± kπ para k = 1, 2,.... Observamos que x = 0 no es una solución de P(x) = 0 porque P(0) = 1.
A la vista de la observación anterior, Euler factorizó P(x) como:

Esta es la fórmula más importante del capítulo. Euler había escrito P(x) de dos formas diferentes e igualado la suma infinita de la izquierda con el producto infinito de la derecha.
¿Qué vendría a continuación? Para Euler nada podría resultar más natural que desarrollar el segundo miembro de (3.3) y obtener:

donde los coeficientes de x4 y otras potencias (pares) superiores son innecesarios y, por el momento, desconocidos. Iguala entonces los coeficientes de x2 en (3.4) para obtener

y finaliza espectacularmente calculando

Como había prometido, seis veces la suma de la serie es igual al cuadrado de π. El problema de Basilea había sido resuelto.
Por supuesto que Euler puede ser acusado de jugar con ligereza y descuido con la lógica. Con el paso del tiempo, incluso él pareció estar preocupado por el giro que su razonamiento había tomado y en escritos posteriores proporcionó deducciones alternativas de la misma fórmula que él consideró más rigurosas.

John Wallis
Veremos una de ellas en el epílogo de este capítulo. Aunque ninguna de ellas es enteramente satisfactoria de acuerdo con las normas actuales, el lector puede estar seguro de que demostraciones totalmente rigurosas han confirmado con posterioridad el resultado de Euler[77].
Aparte de estos recelos, Euler estaba confiado de haber solucionado el problema no resuelto de Bernoulli. Había indicaciones internas que reforzaban esta certeza. Por ejemplo, un cálculo rápido revelaba que π2/6 = 1,644934, la estimación exacta que Euler había descubierto unos años antes. Numéricamente había acertado.
Además su línea de razonamiento condujo a un tesoro que ya era conocido previamente: la fórmula de Wallis. En 1655, el matemático inglés John Wallis (1616-1703), considerando un problema diferente y siguiendo un camino lógico distinto, había demostrado que

En la Introductio, Euler mostró como el producto infinito de (3.3) llevaba a un resultado alternativo de la fórmula de Wallis. Haciendo x = π/2 en esa expresión tenemos

que simplificando nos da

Que es en resumen,

Aquí tenemos como corolario la fórmula de Wallis. Lo que demuestra que no había error en la línea de pensamiento de Euler, ya que si su razonamiento permitía recuperar resultados como éste que eran previamente conocidos, parecía de lo más razonable aceptar el supuesto inicial[78].

Una de las figuras que aparecen en el libro Introductio in analysin infinitorum de Euler.
El descubrimiento de Euler se extendió rápidamente como un relámpago por la comunidad matemática europea (“como un relámpago” son las palabras que mejor describen el funcionamiento del servicio de correos en el siglo XVIII). Cuando la solución llegó a Johann Bernoulli, escribió
Utinam Frater superstes effet!
(¡Si viviera mi hermano!)[79]
André Weil afirmó que este “era uno de los más sensacionales descubrimientos de Euler, quizá aquél que consolidaba su creciente reputación más firmemente”[80]. Después de este logro, todo aquél que pintaba algo en las matemáticas europeas conocía al joven genio que había tenido éxito donde todos los demás habían fracasado.
Podemos imaginarnos que un éxito como éste puede llevar a mucha gente a cruzarse de brazos, recibir los aplausos de los colegas y vivir de las rentas de la reputación adquirida. Pero éste no era el estilo de Euler; por el contrario, una vez pillada una idea fructífera, la sujetaba con mano de hierro exprimiendo hasta la última gota de información en una imponente demostración tanto de genio como de tenacidad. Así fue en este caso.
Por ejemplo, dedicó su atención a la búsqueda de la suma exacta de la serie p para p > 2. Se dio cuenta de que esto requeriría determinar explícitamente los coeficientes de x4, x6 y sucesivos en la ecuación (3.4). Afortunadamente, las herramientas necesarias para hacer este cálculo estaban disponibles en lo que ahora se denominan fórmulas de Newton, que estaban publicadas en su Arithmetica Universalis. Éstas describen la relación entre las raíces y los coeficientes de un polinomio. En palabras de Newton:
“... el coeficiente del segundo término de una ecuación es, cambiado de signo, igual a la suma de todas las raíces con su propio signo; el del tercer término es igual a la suma de los productos resultantes al multiplicar las raíces de dos en dos; el del cuarto, cambiado de signo, a la suma de los productos resultantes de multiplicar las raíces de tres en tres; el del quinto igual a la suma de los productos que se obtienen al multiplicar las raíces de cuatro en cuatro;y así indefinidamente”[81] .
Aquí expondremos la deducción de estas fórmulas hecha por Euler (equivalente a la de Newton) para relacionar raíces y coeficientes[82]. Su demostración, que data de 1750, siguió una senda poco previsible teniendo en cuenta el fin deseado e introdujo inesperadamente las técnicas del cálculo diferencial para resolver un problema de álgebra. Es más, Euler prometió que
“aunque [esta deducción] parezca sumamente remota, sin embargo, resuelve perfectamente el problema”.
Su razonamiento es tan delicioso y tan completamente euleriano que merece nuestra atención.
Teorema
Si el polinomio de grado n
P(y) = yn – Ayn-1 + Byn-2 – Cyn-3 + … ± N
se descompone en factores de la forma
P(y) = (y – r1)(y – r2) … (y – rn),
entonces

El objetivo de Euler era relacionar los coeficientes del polinomio A, B, C,... , Ny sus raíces r1, r2,…, rn. Su primer paso fue, sorprendentemente, tomar logaritmos:
ln P(y) = ln (y-r1) + ln (y-r2) + … + ln (y-rn)
El siguiente paso fue todavía menos previsible, diferenció ambos términos y obtuvo:

Como paso final de esta particular magia analítica, Euler convirtió cada fracción 1/(y - r1) en su serie geométrica equivalente:

Por tanto, según (3.5)

Obsérvese que esto expresa P’(y)/P(y) en función de las raíces del polinomio original.
Como
P(y) = yn – Ayn-1 + Byn-2 – Cyn-3 + … ± N
tenemos la alternativa obvia

expresada en función de los coeficientes del polinomio. Una vez más Euler encuentra fórmulas diferentes para la misma cantidad, una estrategia que ya le hemos visto utilizar dos veces en este capítulo con buenos resultados.
Igualando las expresiones de (3.6) y (3.7) y operando llega a:

Los dos miembros de esta ecuación empiezan con nyn-1. Por lo tanto, si comparamos los coeficientes de los términos del mismo grado en y obtenemos las relaciones buscadas. Por ejemplo, si igualamos los coeficientes de yn-2 tenemos:

De los coeficientes de yn-3 se obtiene:

Por supuesto, uno puede seguir comparando coeficientes en este desarrollo (como hizo Euler) y obtener

y así sucesivamente donde cada nueva suma se expresa a través de las anteriores. Éstas son las relaciones prometidas. C.Q.D.
¿Queda claro? Seguramente hay aquí puntos que merecen una atención más detallada, por ejemplo, cuando considera ln (y – rk), Euler asume implícitamente que y > rk. Cuando se desarrolla

como una progresión geométrica, se supone implícitamente que es convergente. Tales asuntos son problemáticos cuando uno extrapola estas reglas a un polinomio infinito, que es exactamente lo que Euler hizo.
Con todo, es imposible no impresionarse con la brillantez de Euler al abordar un teorema algebraico sobre raíces y coeficientes mediante logaritmos, derivadas y progresiones geométricas, que son herramientas de su arsenal analítico. Su mente era extremadamente ágil.
¡Qué tienen que ver estas fórmulas con la suma de la serie p!. Para resolver esta cuestión consideremos un polinomio que contenga sólo potencias pares de x y descompongámoslo en factores de la forma siguiente:

Sustituyendo x2 por 1/y:

Multiplicando luego ambos términos por y” obtenemos:
yn – Ayn-1 + Byn-2 – Cyn-3 + … ± N = (y – r1) (y - r2) ... (y - rn)
Precisamente este es el caso que Euler consideró antes. Por lo tanto, de (3.8) tenemos también las fórmulas

Euler asumió que estas relaciones entre coeficientes y raíces eran válidas incluso cuando ambos se dan en cantidad infinita, es decir, cuando la suma se desarrolla desde k = 1 a ∞. Regresó luego a (3.3)

que parece exactamente la versión infinita de (3.8) con

Según (a),

Por supuesto, éste es el sensacional resultado de Euler obtenido anteriormente. Pero (b) y (c) proporcionan información totalmente nueva:

Estos valores son muy extraños. En su trabajo original Euler apuntó más lejos y calculó la suma de una serie p para valores de p = 8, 10 y 12. Más adelante, en una publicación de 1744, dio el valor exacto de la suma para valores pares de p llegando a obtener el colosal aunque ligeramente absurdo valor[83],

Euler estaba dando respuesta a preguntas que nadie había nunca antes planteado. Aún más, su trabajo contenía las semillas de futuras investigaciones, incluyendo una relación con lo que ahora llamamos los números de Bernoulli y un antecedente de la función zeta de Riemann que demostraría su importancia en el siglo XIX[84]. Fue una impresionante exhibición por parte de un joven matemático cabalmente descrito por François Arago como la encarnación del análisis.[85]
Epílogo
Trataremos ahora tres temas relacionados con este capítulo. En primer lugar, daremos la solución alternativa de Euler al problema de Basilea. En segundo lugar, veremos la aplicación que hace Euler de los descubrimientos anteriores. Finalmente, comentaremos un desafío derivado de lo visto en el capítulo y que ha resistido los esfuerzos de Euler y los de todos aquellos que lo han intentado después.
Como ya se ha dicho, algunos de los contemporáneos de Euler, aunque aceptaron su solución para el problema de Basilea, reflexionaron sobre la validez del razonamiento que llevaba hasta ella. Especialmente preocupado estaba Daniel Bernoulli, que llegó a escribir a Euler sobre este tema[86]. Para intentar disipar tales dudas, Euler concibió una solución alternativa, bastante diferente, para probar que

Aunque es diferente a la primera es, en cada paso, tan magistral como aquélla[87].
Su razonamiento necesita de tres resultados preliminares, que se pueden encontrar dentro de un curso moderno de cálculo.
A. Demostrar la igualdad
.
Que se resuelve con el cambio de variable u = arcsen t.
B. Efectuar el desarrollo en serie de arcsen x;
Recordamos que

si sustituimos el integrando por su serie binomial e integramos término a término, obtenemos

C. Demostrar la relación

se aplica integración por partes haciendo u = tn+1 y

y se obtiene el resultado buscado.
¡Bien! Veremos como encaja Euler estas piezas para volver a demostrar su fórmula. Hagamos simplemente x = 1 en (A) y obtenemos:

Luego, sustituimos arcsen t por su desarrollo en serie obtenido en (B) e integremos término a término:

Sabiendo que

calculamos las otras integrales utilizando la fórmula de (C):

expresión en la que aparecen sólo los cuadrados de los números impares.
A partir de este punto Euler sólo necesitaba la sencilla observación que sigue para alcanzar lo que deseaba.
Teorema

Demostración

Por tanto,

y de este modo

* * * *
Tenemos ante nosotros la solución del problema de Basilea. Esta deducción, tan diferente de la primera, es la obra de un analista en la cima de su fuerza creativa; de alguien que, además, parece estar disfrutando inmensamente.
El segundo objetivo de este epílogo es mostrar cómo Euler aplica sus fórmulas a otros temas aparentemente no relacionados con ellas. Llega a afirmar, incluso, que el “principal uso” de estos resultados “es el cálculo de logaritmos”[88]. Aunque su pretensión pueda parecer extraña, veamos lo que tenía en mente.
Consideremos de nuevo la ecuación clave de este capítulo, la llamada (3.3):

Si recordamos que P(x) = sen x/x para x ≠ 0, transfiriendo x al segundo miembro se obtiene el producto infinito

que se cumple incluso si x = 0.
Cada vez que se enfrentaba a este (o a cualquier otro) producto, parece que Euler no podía evitar tomar logaritmos. Así ocurrió aquí y, como es habitual, le dio resultado:

que, para x = π/n, se convierte en

A estas alturas, puede que el lector esté suficientemente familiarizado con los métodos de Euler como para poder anticipar que su siguiente paso es introducir el desarrollo en serie de ln (1 - x) y obtener:

Podemos observar que esta fórmula contiene precisamente la serie p que Euler había calculado. De ello se deduce que

Lo que sale a la luz es una serie para ln (sen π/n) que converge rápidamente. Para verla en acción vamos a considerar el valor n = 7 y aproximando

que, con sólo cinco términos es exacto con un error de ±0,00000005.
Euler había encontrado un método de gran eficacia para calcular logaritmos de senos y, lo que es más destacable, lo hizo sin necesidad de calcular los valores numéricos de dichos senos, como él mismo observó al escribir:
“... con estas fórmulas, podemos encontrar tanto el logaritmo natural como el neperiano del seno y del coseno de cualquier ángulo, incluso sin conocerlos senos y los cosenos”[89]
A pesar de tal éxito, Euler no avanzó nada en un problema fundamental: calcular el valor de la serie p para valores impares de p. Incluso para el más sencillo de éstos,

no encontró la solución explícita. La demostración original de Euler, tal como aparece en la ecuación (3.3), estaba obviamente orientada hacia las potencias pares de x, y por tanto, a valores pares de p. Los exponentes impares se colaron a través de su red.
Euler era profundamente consciente de la situación pero lo mejor que pudo hacer, en su artículo de 1735, fue calcular la serie lejanamente relacionada[90]

La respuesta era sugestiva pero, desgraciadamente, lo era a la pregunta equivocada.
En busca de orientación, Euler volvió otra vez a las aproximaciones numéricas[91] .
Como

conjeturó entonces que

para algún entero m que podría tomar valores entre 6 y 90. Con su celo habitual, Euler calculó

e, igualando a π3/m, dedujo que m = 25,79435; lo que no era un resultado prometedor.
Más tarde, Euler supuso que

siendo 𝛼y𝛽 números racionales[92]. A pesar de ser una propuesta interesante, no le condujo a ninguna parte.
Por tanto, ¿qué sabemos hoy de
?
La respuesta es: “decepcionantemente poco”. El progreso en los últimos siglos ha sido mínimo. Sólo en 1978 Roger Apéry consiguió demostrar que su es un número irracional[93]. La suya fue una respuesta hábil a una pregunta difícil, pero la conclusión fue tan poco sorprendente como insatisfactoria; poco sorprendente porque la irracionalidad de esta suma se daba universalmente por descontada aunque no se hubiera nunca demostrado e insatisfactoria porque hubiera sido preferible una respuesta exacta y no una clasificación vaga cómo la de irracional. Es como si estuviéramos buscando el tesoro del capitán Kidd[94] y Apéry demostrase brillantemente que podría ser encontrado en alguna parte del sistema solar. Los matemáticos querían algo un poco más concreto.
Peor aún, la irracionalidad de la serie para p = 3 no tiene correlato para p = 5, p = 7 ó cualquiera de las potencias impares superiores. Para éstas nos encontramos en la misma situación que cuando Euler se puso a trabajar sobre ello hace dos siglos.
En este sentido, el problema de Jakob Bernoulli permanece a nuestro lado después de 300 años. Cuando nos enfrentamos al misterio de la serie p para valores impares, se siente la tentación de abandonar y realizar de nuevo el llamamiento que Jakob hizo en 1689:
“Si alguien encuentra y nos comunica eso que hasta ahora ha escapado a nuestros esfuerzos, nuestra gratitud será enorme’’.
Esperemos entonces al Euler del siglo XXI.
Capítulo 4
Euler y la teoría analítica de números
“A menudo nuestras expectativas fallan, y la mayoría de las veces allí donde más prometen; y con frecuencia hieren donde la esperanza es más débil y la desesperación más fuerte”
Bien está lo que bien acaba. William Shakespeare.
En contra de la opinión de Shakespeare, nuestras expectativas normalmente se cumplen. Las personas tienen una idea bastante clara de lo que va a tener éxito o de lo que va a fracasar. Un globo de plomo, un toro en una tienda de porcelana o un batido de cebolla son combinaciones que, instantáneamente, son vistas como impracticables.
Sin embargo, en algunas ocasiones una combinación inverosímil, y en la que nuestra “esperanza es más débil”, resulta sorprendentemente provechosa. Esto es cierto tanto en la vida real, como Shakespeare nos recuerda, como en las matemáticas. Ciertas subdisciplinas han sido creadas relacionando dos aspectos de un tema que aparentemente no guardaban conexión entre sí, como la topología algebraica, el álgebra combinatoria o, la más significativa de todas, la geometría analítica.
Se puede, sin embargo, sostener que la unión más inesperada, la que parece más antinatural, es la teoría analítica de números. Esta rama de las matemáticas aplica las técnicas del cálculo/análisis al campo de los números naturales. Lo que lo hace tan peculiar es que el análisis estudia fenómenos continuos, que fluyen. Sus principales herramientas, convergencia y divergencia, derivadas e integrales requieren la continuidad de los números reales. Por el contrario, la teoría de números es claramente discreta. Por más vueltas que le demos, no podemos imaginar a un número natural fluir hacia otro. Los números enteros son entidades separadas y aisladas que requieren un conjunto de herramientas muy diferente.
Son, pues, extraños compañeros de cama. La fusión del análisis y la teoría de números parece ser el equivalente matemático del batido de cebolla. Sólo un loco perdería el tiempo en tal combinación.
Sólo un loco... o un genio.
Euler y FermatSin duda, Leonhard Euler tuvo que soñar muchas noches con Pierre de Fermat. El hecho de que revisase una por una las famosas anotaciones de Fermat a la edición de la Aritmética de Diofanto preparada por Bachet, y que consiguiese demostrar todas salvo una, el último teorema de Fermat (aunque lo demostró para n = 3), es buena prueba de ello.
Esta obsesión con Fermat le llevó a encargar a un amigo que registrase la casa del matemático francés y comprase todos los manuscritos y legajos que encontrase en ella. Por desgracia, o mejor por suerte, no se encontraron las maravillosas demostraciones de Fermat a sus conjeturas, por lo que Euler tuvo que agudizar su genio y su ingenio para obtenerlas por él mismo.
El caso es que Euler recogió el guante lanzado por Fermat a la comunidad matemática casi cien años antes y respondió con éxito a casi todos sus retos.
Echó por tierra la única conjetura fallida de Fermat, que los números de la forma (22)2 - 1 son primos, al encontrar, cuando sólo contaba 25 años, que (22)5 - 1 es un número compuesto. También demostró, con técnicas elementales, el pequeño teorema de Fermat que afirma que si p es primo y a un número entero no divisible por p entonces ap - 1 -1 es divisible por p. Y si Fermat había encontrado la segunda pareja de números amigos de la historia: 17296 y 18416, desafiando de paso a Descartes a encontrar otras, a lo que este respondió con la sorprendente pareja 9363584 y 9437056, Euler amplió la lista a más de 60 parejas, aunque ya en el siglo XX se demostrase que una de ellas era incorrecta.
Euler no sólo demostraba las conjeturas de Fermat, siempre que podía generalizaba el resultado. El único escollo que no pudo vencer, el último teorema, le llevó a formular una conjetura más general:
“Si n > 2, son necesarias al menos n potencias n-ésimas para obtener al sumarlas otra potencia n-ésima”
Su demostración supondría demostrar, como un simple caso particular, el último teorema de Fermat. Pero si Fermat había errado en una de sus conjeturas, Euler también se equivocó en esta ocasión. Aunque habría que esperar hasta 1966 para encontrar un contraejemplo:275 + 845 + 1105 + 1355 = 1445
Es decir, basta con cuatro potencias quintas para obtener una potencia quinta.
Los genios, aunque pocas veces, también tienen fallos...
Antonio Pérez Sanz
De hecho, la teoría analítica de números es una de las joyas de la corona matemática. Difícil y profunda, es un tema que se hizo sitio en el siglo XIX pero cuyos balbuceos iniciales pueden remontarse a Euler, el sabio más perspicaz del XVIII.
Prólogo
El Capítulo 1 fue dedicado a la teoría clásica de números. Incluso un novato puede percibir claramente el papel central que juegan los números primos. Como todos los enteros positivos mayores que 1 pueden descomponerse de manera única en factores primos, éstos se convierten en los elementos fundamentales, algo así como los ladrillos y el mortero, de la teoría de números. Aprendiendo sobre los números primos se tiene recorrido un largo camino en el aprendizaje de los números naturales en general.
Hace dos milenios Euclides se planteó, y dio respuesta, a una cuestión sobre los números primos en lo que es una de las grandes demostraciones jamás ideadas. Según la Proposición 20 del Libro IX de los Elementos, ningún conjunto finito de números primos, por muy grande que sea, puede incluirlos a todos. Aunque su razonamiento ha sido reproducido incontables veces, siempre es bueno un rápido recordatorio.
Teorema
Ningún conjunto finito de números primos los incluye a todos.
Demostración
Sea p1, p2, …, pn, cualquier conjunto finito de números primos. El objetivo es demostrar que hay un número primo que no está incluido entre ellos. Para esto, sea M = (p1, p2,…, pn) + 1 y consideremos las dos alternativas posibles:
Caso 1. Si M es primo, entonces es un nuevo número primo que no está en el conjunto original porque es más grande que cualquiera de los p1, p2,…, pn.
Caso 2. Si M es un número compuesto entonces tiene un factor primo q. Supongamos que q no es uno de los primos originales. Si q = pk para algún k, entonces q tiene que dividir tanto a M como a p1, p2,…, pn y, por tanto, a su diferencia M - p1∙p2∙…∙pn = 1.
Pero el número primo q, que es igual o mayor que 2, no puede dividir a 1. Esta contradicción significa que q, diferente de todos los pk, es el nuevo número primo que estamos buscando.
De los casos 1 y 2 se deduce que cualquier conjunto finito de números primos puede ser incrementado. En resumen, que hay infinitos números primos. C.Q.D.
Se aconseja al lector saborear esta demostración porque no hay otra tan elegante en todas las matemáticas.
Euclides dejó aquí el tema pero las características, la estructura y la distribución de los números primos se encuentran entre los objetos matemáticos más estudiados, ejerciendo una fascinación tan ilimitada como los propios números primos.
Por ejemplo, consideremos la dicotomía entre los primos impares: cada uno de ellos es o de la forma 4k + 1 ó 4k - 1. Es decir, un primo impar (y, por supuesto, cualquier número impar) es una unidad más o una unidad menos de un múltiplo de 4.
Podríamos inicialmente intentar valorar la relativa abundancia de estos dos tipos de números primos. Entre los cien primeros números, los primos de cada familia son:
4k + 1: 5, 13, 17, 29, 37, 41, 53, 61, 73, 89, 97
4k- 1: 3, 7, 11, 19, 23, 31, 43, 47, 59, 67, 71, 79, 83
Entre los cien siguientes, tenemos:
4k + 1: 101, 109, 113, 137, 149, 157, 173, 181, 193, 197
4k - 1: 103, 107, 127, 131, 139, 151, 163, 167, 179, 191, 199
No parece que sigan ningún modelo aparente, pero ante estos escasos datos uno está tentado de proponer que en cualquier sucesión de números que comiencen por el 1 hay ligeramente más primos del tipo 4k - 1 que del tipo 4k + 1. En otras palabras, se podría suponer que, con independencia del valor de n, los primos del tipo 4k - 1 son mayoritarios entre los números 1, 2, 3,..., n.
Esta conjetura es falsa. Los números del tipo 4k + 1 pueden llegar a superar a los del tipo 4k - 1, pero (curiosamente) esto no ocurre a no ser que consideremos una sucesión muy larga como 1, 2, 3,..., 26861. Sólo entonces la balanza se inclina en favor de los números del tipo 4k + 1. Poco después se inclina del otro lado y luego de nuevo del otro. El matemático J. E. Littlewood (1885-1977) demostró que estos cambios se producen infinitamente según avanzamos en los números enteros positivos[95]. Es como una carrera de dos caballos en la que ninguno de ellos puede mantener su ventaja.
Mucho antes de Littlewood, otros matemáticos habían planteado el tema de la abundancia global de los dos tipos de números primos. Como hay infinitos números primos, está claro que al menos una de las dos familias debe ser ella misma infinita. Con un razonamiento similar al de Euclides demostramos:
Teorema
Hay infinitos primos del tipo 4k- 1.
Demostración
Para empezar, observamos que el producto de primos del tipo 4k + 1, que ciertamente no es un número primo, es otro número de la forma 4k + 1. Lo demostramos haciendo su producto:
(4r + 1) (4s + 1) = 16rs + 4r + 4s + 1 = 4 (4rs + r + s) + 1
que claramente es superior en una unidad a un múltiplo de 4. El resultado para cualesquiera productos se obtiene por inducción.
Asumamos ahora que tenemos un conjunto finito de números primos del tipo 4k - 1, es decir, p1 = 4k1 -1, p24k2 -1,... y pn = 4kn - 1. En nuestra búsqueda de otro número primo de esta forma introducimos M = 4 (p1∙p2∙…pn) – 1.
Caso 1. Si M es un número primo, ya lo hemos encontrado, porque M es evidentemente mayor que p1, p2,…, o pn y, por tanto, es un nuevo número primo de la forma 4k -1.
Caso 2. Si M es un número compuesto, entonces uno de sus divisores primos debe ser de la forma 4k - 1. Esto es así porque si todos los factores primos de M fueran del tipo 4k + 1, entonces su producto (es decir M) tendría que ser también de la misma forma según hemos visto anteriormente. Éste no es, por supuesto, el caso.
Por tanto, M tiene un factor primo q de la forma 4k - 1. Pero si q = pi para cualquier i, entonces q dividirá tanto a M como a 4(p1∙p2∙…∙pn) y también a su diferencia (p1∙p2∙…∙pn) - M = 1.
Esto es una contradicción porque q > 3. Por tanto, q no sólo es un primo de la forma 4k - 1, sino uno que es diferente de p1, p2, …, ó pn.
De los Casos 1 y 2, deducimos que cualquier conjunto finito de números primos del tipo 4k - 1 no puede contener a todos ellos. Hay, por tanto, infinitos números primos de este tipo. C.Q.D.
¿Qué se puede decir de la cantidad de números primos del tipo 4k + 1? El teorema precedente no nos permite aseverar nada en esa dirección. Es cierto que sabemos que hay infinitos números primos y que dentro de ellos, hay infinitos de la forma 4k - 1, pero esto es insuficiente para determinar la finitud o infinitud del otro tipo. La existencia de infinitos números primos del tipo 4k + 1 resultó ser, aunque cierta, mucho más difícil de demostrar. Más adelante en este capítulo veremos lo que Euler tiene que decir sobre este tema.
En lo que respecta a la abundancia y la distribución relativa, los dos tipos de números primos impares parecen ser esencialmente equivalentes. Quizá esto es lo que uno supondría. Pero hay un tema fundamental en el que ambas familias difieren. Fue Fermat el que primero conjeturó, y Euler el primero que demostró esta sorprendente proposición:
Un primo de la forma 4k + 1 se puede expresar como la suma de dos cuadrados perfectos en una única forma, mientras que un número primo de la forma 4k - 1 no puede descomponerse de ninguna forma como la suma de dos cuadrados perfectos.
Invitamos al lector a que busque tales descomposiciones entre los primos de la familia 4k + 1. Por ejemplo,
37 = 1 + 36 = 12 + 62
137 = 16 + 121 = 42 + 112
281 = 25 + 256 = 52 + 162
Más aún, estas descomposiciones en cuadrados son únicas. Por otro lado, como la suma de dos cuadrados perfectos no puede valer nunca una unidad menos de un múltiplo de 4, los primos de la otra clase no pueden descomponerse en cuadrados. Esta curiosa propiedad, que establece una espectacular y nada intuitiva diferencia entre las dos clases de números primos es uno de los grandes teoremas de las matemáticas.
Los resultados que hemos razonado hasta ahora caen dentro del epígrafe de la teoría clásica de números. Se refieren a propiedades de divisibilidad y números primos, pero se mantienen enteramente dentro del mundo de lo discreto. Todo esto cambiará con el sorprendente hallazgo de que las técnicas analíticas pueden utilizarse en el estudio de los números.
Aparece Euler
Como todos los teóricos de los números, Euler estaba intrigado con los primos. Recordemos, del Capítulo 1, que fue él quien demostró que no se cumplía la conjetura de Fermat de que todos los números de la forma (22)n + 1 son primos. Como acabamos de mencionar, fue también Euler el primero que demostró la gran dicotomía existente entre las dos clases de números primos impares en relación con su descomposición en sumas de cuadrados. ¿Quién sino un enamorado de los números primos publicaría un artículo con el impresionante título de Sobre una tabla de números primos hasta el millón y superiores como Euler hizo en 1774?[96].
Sin embargo, en 1737, sus investigaciones cruzaron la línea de la teoría de números pura para pasar a una variedad más audaz y analítica. Examinaremos aquí un artículo clave, Variae observationes circa series infinitas, en el que Euler se dedicó a uno de sus pasatiempos favoritos: la suma de series infinitas[97].
Empezaba el artículo investigando algunas series altamente irregulares que tenían poca relación con la teoría de números. Por ejemplo, propuso encontrar la suma exacta de la serie infinita
1/15 + 1/63 + 1/80 + 1/255 + 624
El término general es cualquier cosa menos evidente. Sólo un lector muy perspicaz puede calcular el siguiente término y mucho menos determinar la suma de la serie.
Euler observó que los términos de la serie son los inversos de aquellos números “inferiores en una unidad a los cuadrados perfectos que simultáneamente también son otras potencias”. El primer caso es 16 = 42 = 24, y como 16 es un cuadrado perfecto y es también una potencia cuarta, entonces 16 -1 = 15 cumple la condición y puede ser un denominador de un término de la serie. También lo hace 64 - 1 = 63, ya que el cuadrado perfecto 64 (= 82 = 43) es también un cubo perfecto. Sin embargo el cuadrado perfecto 36 no puede escribirse como otra potencia y, por tanto, 1/35 no aparece en la serie. (Por cierto, el siguiente término de la serie, además de los ya escritos, es 1/728.
¿Pero cuál es su suma? Euler comenzó con su famoso resultado del capítulo 3,

que reagrupó de la forma siguiente:

Calculó entonces el valor de la progresión geométrica en el interior de los distintos paréntesis y obtuvo:

Obsérvese, y éste es el punto crítico, que cada denominador en la serie anterior es una unidad inferior a un cuadrado perfecto que no se puede escribir como potencia de otra forma. Aquellos cuadrados que también pueden expresarse como potencias más elevadas, como 1/16 y 1/64, están incorporados en una de las progresiones geométricas de (4.1).
Euler sumó fácilmente los inversos de todos los números inferiores en una unidad a los cuadrados perfectos:

porque es una serie telescópica.
Para terminar el problema, Euler sólo tenía que restar:

un resultado tan raro es imposible de imaginar. Es el mejor Euler manipulando fórmulas a placer.
Unas páginas más adelante en dicho artículo, abordó la serie armónica con el mismo ánimo. Por supuesto, sabía que la serie armónica diverge a infinito, pero tal conocimiento difícilmente iba a detenerle. Dedujo una extraña y maravillosa relación entre la serie armónica y los números primos demostrando que

“donde”, explicó, “el numerador de la derecha es el producto de todos los números primos y el denominador es el producto de todos los números inferiores en una unidad a los números primos”[98].
Euler comenzó su demostración haciendo

Aunque x, al ser infinito, no es en ningún caso un número, lo manejó con las reglas habituales del álgebra. Dividiendo por dos y restando obtuvo:

“en donde”, observó, “ningún denominador es par”. Dividiendo la serie (4.2) por 3, encontró

y restando este resultado de (4.2) obtuvo:

o simplemente

“cuyos denominadores no son divisibles ni por 2 ni por 3”. Dando un paso más, calculó luego

de tal forma que

Para Euler el modelo estaba claro. En cada paso desaparecía un número primo y sus múltiplos de los denominadores. Se generaba así una serie reducida que empezaba con 1 + 1/p, donde p es el primer número primo no alterado. Tratándose de una persona que no se inmutaba con los procesos infinitos, dedujo que una infinitud de tales divisiones y restas llevaría a

y despejando x se obtiene el resultado deseado:

Desde una perspectiva moderna este razonamiento es, con sus reiteradas operaciones con series divergentes, tan poroso como un queso de la patria de Euler. Sin embargo, presenta cierta sugestión y un innegable atractivo.
Para ver por qué, supongamos primero que nos piden sumar los inversos de todos los enteros positivos cuyos únicos factores primos sean 2 y 3. Es decir, buscamos

Los denominadores son todos los números de la forma 2m 3n, por lo que podríamos escribir igualmente

Esta forma de razonamiento puede extrapolarse. Así, por ejemplo, la suma de los inversos de todos los números cuya descomposición en factores primos contenga sólo a 2, 3 y 5 será:

¿Por qué detenerse aquí? Después de todo, todos los números se pueden descomponer de forma única como producto de números primos y, por tanto,

que es precisamente la conclusión que Euler había obtenido.
En notación moderna, este resultado se expresa como

donde la suma (divergente) de la izquierda se extiende a todos los enteros positivos y donde el producto (divergente) de la derecha se extiende a todos los números primos. Por supuesto, hay que tener paciencia para arreglar las insuficiencias lógicas. Esto lo hizo Leopold Kronecker (1823—1891)[99] en 1876. Demostró que

para s > 1 y luego interpretó el teorema de Euler como el resultado de hacer s → 1+ .
Dejando aparte cuestiones de rigor, vemos que la poderosa intuición de Euler había tendido un puente en el abismo entre la serie armónica y los números primos, es decir, entre el análisis y la teoría de números. Tras cruzar este puente, los matemáticos no iban a retroceder.
Consideremos, por ejemplo, esta consecuencia del resultado de Euler:
Corolario
Hay infinitos números primos.
Demostración
Sabemos que Σ(1/k) es infinita. También lo es, por tanto,

Por supuesto, esta conclusión no es nueva ya que es la misma a la que llegó Euclides hace más de 2000 años. Lo que hace que esta demostración sea memorable son los medios utilizados para hacerla, es decir, deducir la infinitud de los números primos de la divergencia de la serie armónica, una idea notablemente original.
En el mismo artículo de 1737, la atención de Euler se dirigió hacia un teorema más sutil relativo a la distribución de los números primos, que requiere una o dos palabras de introducción. Obviamente la suma de todos los primos
2 + 3 + 5 + 7 + 11 + 13 + 17 +…
es infinita. Mucho menos obvio es el comportamiento de la suma de los inversos de los primos:
1/2 + 1/3 + 1/5 + 1/7 + 1/11 + 1/13 + 1/17 +…
Por un lado, esta serie infinita puede comportarse como la serie armónica y ser divergente. Esto sugeriría que los números primos son razonablemente abundantes en su distribución entre la totalidad de los números. Por otro lado, la serie podía parecerse a

y converger hacia una suma finita. Éste sería el caso si los números primos, como los cuadrados, fueran relativamente inhabituales entre los números enteros. ¿Qué ocurre con
?
Esta es la cuestión que Euler planteó.
Para simplificar la notación, hizo que

fuera la serie armónica. Por el teorema anterior Euler sabía que

Hizo entonces lo que parecía natural, tomar logaritmos en ambos miembros y obtener:

Euler desarrolló los logaritmos mediante

que calculamos en el Capítulo 2. Obtuvo así una infinitud de series infinitas

Euler sumó las columnas:

Que escribió más concisamente como
ln M = A + 1/2B + 1/3C + 1/4D + 1/5E + …
donde

y así sucesivamente, con estas sumas en las que los denominadores son los números primos.
En este punto, Euler observó casi casualmente que: “no sólo B, C, D, etc. tienen valores finitos sino que la suma A + 1/2B + 1/3C + 1/4D + 1/5E +… tiene también un valor finito”.
Empezó entonces a dedicarse completamente a la demostración[100].
¡No tan rápido Leonhard! Aunque estas observaciones le pudieran haber parecido evidentes a él, añadiremos una breve disgresión para verificar su aseveración. Afortunadamente, esto puede hacerse con dos lemas sencillos:
Lema 1
para n ≥ 2
Demostración
Consideremos los rectángulos sombreados por debajo de la gráfica de y = 1/xn, en la figura 4.1, vemos que


Figura 4.1
Observamos que esto verifica la afirmación de Euler de que “B, C, D, etc. tienen valores finitos” porque para cualquier n ≥ 2,

Lema 2
A + 1/2B + 1/3C + 1/4D + 1/5E + …es finito
Demostración


Por tanto (aunque bastante confusamente en este punto en su artículo de 1737) Euler estaba en lo cierto. C.Q.D.
Regresamos ahora al resultado principal de Euler. Lo formuló como sigue: “la suma de los inversos de los números primos... es infinita, sin embargo, de una infinitud menor que la de la suma de la serie armónica”[101]. En terminología moderna se convierte en:
Teorema
diverge
Demostración
Como

Euler sabía que

El primer miembro (M) es la serie armónica y es, por tanto, infinitamente grande. En consecuencia, el segundo miembro también debe ser infinito. Pero el Lema 2 establece que es finito, por tanto,1/2B + 1/3C + 1/4D +…, también es e 1/2B + 1/3C + 1/4D +… finito. Como la infinitud del segundo miembro debe provenir de alguna parte, Euler dedujo que eA es infinito. Por tanto, A = ln(eA) = ln(∞) = ∞
En sus propias palabras,

y el teorema está demostrado. La serie de los inversos de los números primos diverge. C.Q.D.
Esta demostración es el sueño de un manipulador de símbolos, un razonamiento que revela la mano de un maestro. Y es significativo por otra razón. En palabras de André Weil: “Se podría considerar que estas investigaciones marcan el nacimiento de la teoría analítica de números”[102].
Epílogo
Nos planteamos tres objetivos en este epílogo: dar una demostración alternativa y completamente rigurosa de la divergencia de la serie de los inversos de los números primos; discutir la infinitud de los números primos del tipo 4k + 1 y describir brevemente el florecimiento de la teoría analítica de números en el siglo XIX.
Los matemáticos posteriores a Euler, sometidos a exigencias de precisión lógica mucho más estrictas que las del tiempo de Euler, volvieron a menudo a demostrar sus teoremas de acuerdo a estas normas más exigentes. Por tanto, no es sorprendente encontrar demostraciones alternativas de la divergencia de

En aras del rigor, daremos un razonamiento del año 1971 del especialista en teoría de números Ivan Niven[103].
Antes de empezar, observemos que cualquier número natural puede escribirse como el producto de dos factores, uno de ellos un cuadrado perfecto y el otro sin potencia. Es decir, cualquier n puede únicamente expresarse como n = j2∙k, donde k no tiene ningún factor (distinto del 1) que sea un cuadrado perfecto. Esta proposición es evidente, ya que al factorizar n en números primos separamos aquellos que pueden ponerse como potencia par de aquellos que no lo son. Por ejemplo, si n = 25∙34∙52∙73∙11, descompondríamos n = (24∙34∙52∙72) ∙ (2∙7∙11) = 12602 ∙ 154, en el que el segundo factor no es una potencia porque engloba a diferentes números primos.
Siguiendo el razonamiento de Niven, adoptamos una convención notacional: hagamos que

represente la suma de los inversos de los números enteros sin potencia que sean menores o iguales que n (incluyendo al 1). Por ejemplo,

Con esta mínima base definimos un lema previo y luego presentamos la demostración de Niven.
Lema

Demostración
Afirmemos primero que para cualquier n > 1,

Esto es consecuencia de la observación anterior, ya que cualquier r < n puede expresarse únicamente como r = j2k, donde k no tiene exponente. Por tanto, 1/r aparece una y sólo una vez en el producto de la derecha. Por supuesto, este producto contiene más que los meros 1 + ½ + 1/3 +…+1/n
Por ejemplo,

genera no solo los términos 1 + ½ + 1/3 +…+1/13 sino también fracciones como
1/40 = 1/22∙1/10 y 1/150 = 1/52∙1/6
Sin embargo, para nuestros propósitos, la desigualdad es suficiente
De la afirmación deducimos

donde la suma de Euler del capítulo anterior aparece de nuevo.
Por tanto, para todo n,

la divergencia de la serie armónica garantiza que

Que expresado en palabras quiere decir que la suma de los inversos de los números enteros diverge. C.Q.D.
Teorema

diverge.
Demostración (por contradicción).
Supongamos que no fuera así y que
= A < ∞
Recordemos que en el Capítulo 2 vimos el desarrollo de Euler para la serie ex = 1 + x + x2/2! + x3/3! +…+xn/n!
De ello se deduce que, para x > 0, ex> 1 + x. Sea ahora n > 2 cualquier número natural y sea q el número primo más grande que sea menor o igual que n. Entonces

La última desigualdad se cumple porque desarrollando los productos, donde no hay ningún número primo repetido, se obtienen los inversos de los números enteros hasta n no elevados al cuadrado (junto con los inversos de otros números más grandes que tampoco están elevados al cuadrado). Se deduce por tanto que para cualquier n > 2,

Lo que entra en contradicción con el Lema anterior, que afirmaba que la serie del primer miembro divergía. Esto nos lleva otra vez al teorema de Euler que afirmaba que la suma de los inversos de los números primos era una serie divergente. C.Q.D.
Esta demostración moderna, que trata cuidadosamente el tema de la serie divergente con una lógica impecable, es el contrapunto a la demostración más informal de Euler y pone de manifiesto como matemáticos de épocas diferentes han llegado al mismo resultado. Por supuesto que hay que reconocer que nosotros tenemos la ventaja de estar siguiendo caminos trillados, mientras que Euler abría un nuevo camino.
Como segundo asunto de este epílogo, vamos a volver a los números primos de la forma 4k + 1. Un artículo de Euler de 1775 plantea la cuestión de su abundancia[104]. Considera la serie infinita

que contiene los inversos de los números primos impares, los primos del tipo 4k- 1 viene precedidos de un signo positivo, y los del tipo 4k + 1 de un signo negativo. Después de manipular la serie tan sorprendentemente como siempre, calculó que el valor aproximado de su suma era 0,3349816, que aunque no sea un resultado extremadamente exacto, al menos sirvió para convencerle de que la serie convergía hacia un valor próximo a 1/3 . Con esto, afirmó que había infinitos números primos del tipo 4k + 1. Aquí está su justificación:
Sean

y

las series de los inversos de los números primos agrupadas por su tipo. Obviamente

y, por tanto,

Hemos visto (dos veces) que el miembro de la izquierda de esta expresión es infinito. Por tanto,

debe ser divergente, un hecho que sucederá sólo si hay infinitos números primos del tipo 4k + 1.
Euler planteó, simultáneamente, una conjetura más ambiciosa: que si se escogen los números primos de la forma 100k + 1 (de los que los primeros son 101, 401, 601, 701, 1201), entonces la suma de sus inversos es también infinita; de lo que se deduciría que habría infinitos números primos de ese tipo[105]. Una generalización natural de estas ideas es afirmar que cualquier progresión aritmética
a, a + b, a + 2b, a + 3b, … , a + kb, …
tiene infinitos números primos (donde añadimos la restricción trivial de que a y b sean primos entre sí).
Euler no demostró su conjetura, que quedó sin probar hasta bien entrado el siglo XIX. Su demostración en 1837 por Peter Gustav Lejeune-Dirichlet (1805-1859) fue como el sonido de una trompeta que anunciaba que la teoría analítica de números era ya una subdisciplina madura y poderosa de las matemáticas[106].
Entre otras cosas, el teorema de Dirichlet garantizaba que había infinitos números primos en las progresiones aritméticas
1, 5, 9, 13, 17,..., 4k + 1,... y 3, 7, 11, 15, 19,..., 4k - 1,...,
y, por tanto, demostró simultáneamente la infinitud de ambos tipos de números primos. Obviamente, se trataba de un resultado formidable y, aunque de mayor alcance que el trabajo original de Euler, el éxito de Dirichlet era deudor de la labor de su ilustre predecesor.
Según avanzaba el siglo XIX, los teóricos de la teoría analítica de números se pusieron un objetivo que destacaba sobre los demás: la demostración del, así llamado, teorema del número primo. Los matemáticos retornaron al aparentemente intratable misterio de cómo estaban distribuidos los números primos entre los números naturales. El teorema del número primo identificaba, al menos aproximadamente, un modelo. Acabaremos este capítulo echando un vistazo a uno de los más profundos teoremas de todas las matemáticas[107].
Una forma de valorar la distribución de los números primos es hacer un inventario. Es decir, determinar la proporción de números menores que 100 que son primos, hacer luego lo mismo para los inferiores a 1000 ó a 1000000. Por convenio de notación se llama n(x) al número de primos menor o igual que x. Por tanto, es la proporción buscada.
Un rápido vistazo nos indica que n(10) = 4 porque 2, 3, 5 y 7 son los números primos iguales o inferiores a 10. De la misma forma n (100) = 25, n(1000) = 168 y n(1000000) = 78498. Esto significa que el 40% de los números inferiores a 10 son primos, que el 25% de los inferiores a 100 lo son y que el 7,85% de los inferiores a 1000000 lo son. La frecuencia relativa de los números primos disminuye evidentemente según aumenta x, pero ¿qué ley describe esta tendencia?
En los últimos años del siglo XVIII, el joven Gauss realizó una conjetura sobre el comportamiento de la proporción π(x)/x cuando x crecía ilimitadamente. Sugirió que

cuando x es grande o, en términos de límites,

Por ejemplo, si x = 1000000, la proporción exacta de números primos inferiores a x es
n(1000000)/1000000 = 0,078498
mientras que
1/ln (1000000) = 0,072382.
La aproximación dista de ser perfecta, pero también es cierto que 1000000 está lejos de ser el infinito. La aproximación mejora según aumenta x.
La transformación de este resultado de conjetura en teorema llevó casi exactamente cien años. Este largo retraso no fue debido a la ausencia de intentos. Matemáticos como Legendre (1752-1833), Riemann (1826-1866) y Chebyshev (1821-1894) tuvieron primero que depurar las herramientas de la teoría analítica de números hasta alcanzar el nivel necesario para esta labor. Finalmente, en 1896, Jacques Hadamard (1865-1963) y C. J. de la Vallée Poussin (1866-1962) lo demostraron simultánea e independientemente y la teoría analítica de números alcanzó su mayor triunfo.
Aquellos familiarizados con el teorema del número primo pueden no apreciar lo maravilloso que es relacionar los números primos con las funciones naturales logarítmicas. Sin embargo, es precisamente este tipo de relación, entre lo discreto y lo continuo, la que Euler percibió por primera vez en las proposiciones que hemos examinado antes.
Con el teorema del número primo concluimos nuestra narración sobre estos extraños compañeros de cama. Esperamos haber logrado justificar los versos de Shakespeare que aparecen al comienzo de este capítulo y que el lector esté dispuesto a reconocer lo que Dirichlet, Hadamard y Vallée Poussin deben a Euler. Aunque quizá Euler no merezca completamente ser llamado el padre de la teoría analítica de números, concedámosle al menos el ser claramente su abuelo.
Capítulo 5
Euler y la variable compleja
En su obra maestra Geometría, escrita en 1637, René Descartes estudió el desconcertante problema de las raíces cuadradas de los números negativos. “Ni la raíz verdadera (es decir, la positiva) ni la falsa (es decir, la negativa) son siempre reales”, escribió, “algunas veces son imaginarias”[108].
El término imaginario no inspira demasiada confianza. Se presta a confusión, como si una discusión sobre números imaginarios tuviera que empezar con la frase “érase una vez”. Los números imaginarios parecen no tener ningún significado real.
Nada más lejos de la verdad. Una vez que los matemáticos superaron sus reparos sobre las raíces cuadradas de los números negativos, descubrieron que tales entidades jugaban un papel clave en las matemáticas. Los números complejos (como preferentemente son ahora llamados) eran cualquier cosa menos irrelevantes. Por el contrario, el campo complejo ofrecía no sólo retos nuevos y excitantes sino que también proporcionaba información inesperada sobre los números reales en él contenidos. De esta forma, los matemáticos vieron lo familiar a través de una lente inhabitual, pero indiscutiblemente útil.
No es sorprendente que la comprensión y la aceptación completa de la variable compleja no se diera de inmediato. Analizaremos en este capítulo los orígenes de este tema antes de pasar a examinar los descubrimientos de uno de sus grandes pioneros. Leonhard Euler, cuya imaginación matemática se adaptaba perfectamente al número imaginario matemático.
Prólogo
Parecería razonable asumir que a las raíces cuadradas de los números negativos se les prestó atención por primera vez seriamente cuando los matemáticos se afanaban en resolver la ecuación de segundo grado. Después de todo, la solución de x2 + 1 = 0 conduce directamente a x2 = -1 y lleva a x = ± √-1.

Figura 5.1
Nos equivocaríamos al suponer eso ya que, de hecho, los matemáticos rechazaron rápidamente ecuaciones del tipo x2 + 1 = 0 por ser irresolubles cuando no absurdas. No había necesidad de perder el tiempo en un problema tan carente de sentido, del mismo modo que tampoco se perdía en la resolución de ex = -1 ó cos x = 2. Tales cosas eran imposibles. Caso cerrado.
Los números imaginarios traspasaron el umbral matemático más bien a propósito del problema de la ecuación cúbica. Ya que los números imaginarios se hicieron inevitables a la hora de analizar las soluciones reales de la misma. Este fenómeno, tan importante como imprevisible, es donde nuestra historia debe comenzar.
Supongamos que queremos resolver la ecuación cúbica x3 = 6x + 4 (un ejemplo tomado del propio Euler y al que volveremos en este capítulo más tarde)[109]. Un primer paso natural para nosotros es representar la función f(x) = x3 - 6x - 4 y buscar los puntos de intersección con el eje de las x, como se ve en la Figura 5.1.
La gráfica nos permite ver claramente que nuestra ecuación cúbica tiene tres soluciones reales de las que dos son negativas y una es positiva. Por supuesto que todas las gráficas de ecuaciones cúbicas comparten el hecho de tener puntos por encima y por debajo del eje x. Como las funciones cúbicas son continuas, el teorema del valor intermedio nos garantiza que la función debe cortar al eje en algún punto y este valor de x será una solución de la ecuación. Sabemos, en consecuencia, que toda ecuación cúbica real tiene al menos una solución real.
En Italia, durante el siglo XVI y antes de la aparición de la geometría analítica, los matemáticos buscaban soluciones explícitas para las ecuaciones y no vagas afirmaciones de existencia. Es más, tenían que expresar sus soluciones de forma verbal sin beneficiarse del simbolismo algebraico para cuya aparición quedaban muchas décadas. El objetivo era sin embargo ambicioso: proporcionar una regla a prueba de fallos que proporcionase una solución siempre que la hubiese.
Su modelo fue la fórmula de la ecuación de segundo grado que (en notación moderna) afirma que la ecuación ax2 + bx + c = 0 tiene por soluciones
-b ± √(b2 - 4ac)
Un resultado como éste, que emplea sólo los coeficientes a, b y c de la ecuación original y las operaciones algebraicas básicas de suma, resta, multiplicación, división y extracción de raíces, se conoce como solución por radicales.
El reto para los algebristas italianos del siglo XVI era encontrar para la ecuación cúbica una réplica de la solución de la ecuación de segundo grado, es decir, una solución por radicales para la ecuación de tercer grado. En 1515 Scipione del Ferro (1465-1526) de Bolonia la descubrió para un caso especial, la llamada ecuación de tercer grado incompleta, que es una ecuación de tercer grado a la que le falta el término de segundo grado, es decir, de la forma x3 = mx + n.
No queremos pasar por alto su cálculo, pero antes que recoger la demostración arcaica del siglo XVI, escogeremos una variante más inteligente tomada, muy apropiadamente, del libro de Euler de 1770 Elementos de Álgebra”[110].
Teorema
Una solución de la ecuación cúbica reducida del tipo x3 = mx + n viene dada por

Demostración
Sea x = 3√p + 3√q, Euler elevó al cubo ambos miembros y obtuvo:

La ecuación resultante, (es decir,

tene idéntica estructura que la ecuación reducida x3 = mx + n. Ello sugiere una estrategia algebraica de igualación de coeficientes
33√(pq) = m y p + q = n ;
de donde se deducen los valores de p y q en función de m y n, presentándose entonces la solución por radicales como x = 3√p + 3√q.
Euler hizo justamente eso. De 33√pq = m dedujo que 4pq = 4m3/27 y de p + q = n, obtuvo que p2 + pq + q2 =n2. Combinando estos resultados llegó a

o simplificadamente (p - q)2 = n2 - 4m2/27.
De esta forma

Sumando p + q (igual a n) a ambos miembros se obtiene
C. Q. D.
“Para hacerlo más claro”, como le gustaba decir a Euler, vamos a resolver la ecuación x3 = 6x + 9, donde m = 6 y n = 9, de forma que

que efectivamente satisface la ecuación.
El hecho de que esta fórmula sirva sólo para ecuaciones cúbicas incompletas no es una restricción importante ya que hacia la mitad del siglo XVI, Gerolamo Cardano (1501-1576) demostró que la ecuación cúbica general del tipo z3 + az2 + bz + c = 0 podía transformarse en una del tipo x3 = mx + n, haciendo el cambio de variable z = (x - a)/3. Una solución para esta ecuación en x (por el procedimiento anteriormente descrito) nos proporciona una solución inmediata para z en la ecuación original. De este modo, la resolución de ecuaciones cúbicas incompletas resultó ser suficiente.
Después de una serie de episodios demasiado complicados y extraños para ser contados aquí (ver el libro Cardano y Tartaglia. Las matemáticas en el Renacimiento italiano, nº 4 de esta colección), Cardano fue el primero que publicó este hallazgo en 1545 en su obra Ars Magna. Desde entonces, el procedimiento de resolución de ecuaciones cúbicas se conoce como fórmula de Cardano[111].
Hasta ahora, vemos que todo parece estar en orden.
Pero consideremos nuestro ejemplo inicial x3 = 6x + 4, que difiere ligeramente de la ecuación cúbica x3 = 6x + 9 que acabamos de resolver. Si aplicamos la fórmula para m = 6 y n = 4, obtenemos

El resultado, que contiene la raíz cuadrada de un número negativo, es sorprendente y parece sugerir que no hay solución. Sin embargo, nuestro gráfico demostró que esta ecuación cúbica no tiene sólo una sino tres soluciones. Algo parece haber salido mal en algún paso.
Los matemáticos se enfrentaban a una de estas dos posibilidades: o bien la fórmula de Cardano era incorrecta, proclive a errores y de valor limitado; o bien esta solución imaginaria era de hecho un número real de incógnito.
Rafael Bombelli (c.1526-1573) respaldó la segunda opción en su obra Álgebra, escrita en 1570. Adelantó la idea de que podemos transformar estos números complejos en una solución real de la ecuación cúbica reducida. Según esto los números imaginarios serían sólo una molestia temporal cuya inverosimilitud podría ser pasada por alto manteniéndose así la validez de la fórmula de Cardano. Fue una idea audaz, aunque no del todo comprendida.
Por ejemplo, supongamos que olvidamos cualquier prejuicio sobre las raíces cuadradas de los números negativos y que desarrollamos algebraicamente:

De lo anterior se deduce razonablemente que

Del mismo modo, vemos que
y se llega a

esto arroja nueva luz sobre el resultado de la fórmula de Cardano para el ejemplo anterior, ya que ahora tenemos

Después de todo resulta que x es un número real que es claramente una solución de la ecuación x3 = 6x + 4. La fórmula de Cardano se había salvado.
Pero quedan todavía dos cuestiones sin resolver. La primera, ¿cómo sabemos inicialmente cuál es el número complejo que tenemos que elevar al cubo para obtener 2 + 2 √-1? ¿Existe algún algoritmo que nos sugiera probar con -1 + √-1 , o debemos confiar en un destello de inspiración?
La segunda, ¿dónde están las otras raíces reales? Ya que sabemos que esta ecuación cúbica tiene tres soluciones. ¿Pueden las otras estar escondidas en algún sitio bajo el manto de la fórmula de Cardano?
Bombelli no tenía las respuestas. Según escribió en un párrafo revelador, “todo el asunto parece depender de la sofisticación más que de la verdad”[112]. Su confusión era comprensible y tuvo su reflejo en los matemáticos del siglo y medio siguiente, que cuando utilizaban los números imaginarios parecían ligeramente desconcertados. Incluso Leibniz, creador del cálculo, calificó a √-1 como “ese anfibio entre ser y no ser”[113]. Parece como si los números imaginarios fueran incapaces de hacerse respetar.
Para avanzar se precisaba un individuo que fuera capaz de superar tales prejuicios. Se requería alguien de una agilidad mental excepcional que combinase una fe inquebrantable en el poder de los símbolos junto con una propensión a la osadía matemática. Afortunadamente, tal persona estaba a punto de aparecer.
Aparece Euler
Euler describió a √-1 en sus Elementos de Álgebra como “...ni nada, ni más grande que nada, ni menos que nada...” y observó
“…somos llevados hacia la idea de números que son imposibles por su propia naturaleza y que, por tanto, son habitualmente llamados cantidades imaginarias, ya que existen únicamente en la imaginación'.”[114]
Por si acaso alguien lo interpretaba como una condena, continuó:
“... no obstante, estos números aparecen en nuestra mente, existen en nuestra imaginación y tenemos suficiente idea de ellos;... nada nos impide hacer uso de estos números imaginarios y emplearlos en el cálculo”.
En comparación con las despreciativas palabras de Bombelli, Descartes y Leibniz esto parece un respaldo incondicional. Y ciertamente, Euler cumplió su promesa de utilizarlos libremente en su investigación.
Por ejemplo, en un artículo de 1751 exploró lo que hoy llamamos las “raíces de la unidad”[115]. El número 1 (es decir, la unidad) tiene dos raíces cuadradas ±1 obtenidas resolviendo x2 - 1 = 0. De la misma forma, Euler observó que la unidad tiene tres raíces cúbicas, que son las soluciones de
0 = x3 - 1 = (x - 1)∙(x2 + x + 1)
Del primer factor obtenemos x = 1. Aplicando la fórmula de la ecuación de segundo grado al segundo factor se obtiene (-1 ± √-3)/2.
Si alguien duda de que éstas sean las raíces cúbicas de 1, sólo tiene que operar y verificar que (-1 ± √-3)/2)3
¿Por qué detenerse aquí? Al considerar x4 - 1 = 0, Euler mostró que las cuatro raíces cuartas de la unidad son 1, -1, √-1 y - √-1 . Algo más difícil le resultó identificar las cinco raíces quintas de la unidad, es decir, las soluciones de x5 - 1 =0, como:

Cuatro de estas cinco raíces son imaginarias. Merece la pena destacar que Euler ni pedía disculpas ni estaba acosado por las dudas sobre la validez de estas respuestas. Para él, los números imaginarios se habían convertido en compañeros habituales en su aventura matemática.
Como veremos, Euler encontró un magnífico atajo para encontrar las raíces de la unidad o las de cualquier otro número, real o complejo. Con él le fue posible mostrar que
“cualquier cantidad tiene dos raíces cuadradas, tres raíces cúbicas, cuatro raíces cuartas y así sucesivamente”[116].
Esta fenómeno, que seguramente resultaba atractivo para el sentido del orden de Euler, requería para su justificación de un resultado, que ahora se conoce como el teorema de De Moivre, que examinaremos brevemente. Si se consulta la obra de Abraham De Moivre (1667-1754), se puede ver una versión inicial del teorema[117]. Sin embargo, justo es decir que fue Euler el primero en captar su importancia y aprovecharlo de una forma moderna. Este teorema de De Moivre/Euler es hoy una pieza clave del álgebra compleja.
A partir de este punto, adoptaremos la notación que Euler normalizó, es decir, i = √-1 como la unidad imaginaria. Que se ha convertido, naturalmente, en uno de los símbolos más conocidos de las matemáticas.
En su Introductio, Euler considera las expresiones de la forma cos θ ± i sen θ, que aparecen en la factorización de
1 = cos2 θ + sen2 θ = (cos θ + i sen θ)∙(cos θ- i sen θ)
Estas muestran una notable estabilidad multiplicativa ya que
(cos θ ± i sen θ) (cos θ ± i sen θ) = (cos θ cos θ - sen θ sen θ) ± i (sen θ cos θ + cos θ sen θ) cos (θ + θ ) ± i sen (θ + θ)
que son las bien conocidas identidades trigonométricas. Por consiguiente, para θ = 0, tenemos
(cos θ + i sen θ)2 = cos (2θ) + i sen (2θ)
y
(cos θ- i sen θ)2 = cos (2θ) - i sen (2θ)
Una pequeña reflexión convenció a Euler de que el mismo razonamiento servía para potencias de grado superior, formulando el resultado general, es decir, el teorema de De Moivre, como:
(cos θ ± i sen θ)n = cos (nθ) ± i sen (nθ) para todo n > 1
Como veremos, Euler utilizó con gran éxito este resultado en numerosos problemas que van desde encontrar las raíces de los números complejos a desarrollar en serie de potencias cos x y sen x, deduciendo una de las más extraordinarias identidades de todas las matemáticas. Durante el proceso, hizo que los números imaginarios parecieran desde entonces más naturales, más respetables.
La regla de Euler para el cálculo de las raíces de los números complejos apareció en un largo y magnífico artículo de 1749 titulado Recherches sur les racines imaginaires des équations (Investigaciones sobre las raíces imaginarias de las ecuaciones), que sirve, hasta hoy día, como una excelente introducción a la variable compleja[118]. Comenzó con un número complejo distinto de cero, z = a + bi cuya raíz n-ésima se desea obtener. Introdujo c = √(a2 + b2) y encontró un ángulo θ entre –π/2 y π/2 tal que sen θ = b/c. Por tanto,

De lo que se deduce que z = a + bi = c(cos θ + i sen θ).
Euler afirmó a continuación que z tiene n diferentes raíces n-ésimas,

o, de forma equivalente, por

El verificarlo era tan simple como elevar estas expresiones a la potencia n-ésima utilizando el teorema de De Moivre:

“Es evidente”, observó Euler, “que n√(a + bi)... toma la forma M + Ni”. En otras palabras, las raíces de los números complejos son también números complejos. En lenguaje moderno, esto significa que el dominio imaginario está cerrado en lo relativo a la extracción de raíces, una propiedad que no comparten los números enteros, racionales o reales y que es una de las propiedades algebraicamente más significativas de los números complejos.
Hay que decir que encontrar las raíces de la unidad pasa a ser ahora una tarea sencilla. Empezamos con z = 1 = 1 + 0i, de lo que se deduce que c = 1 y θ = 0. Por tanto, las raíces n-ésimas de la unidad, que se representan habitualmente por ω0, ω1, ... ωn-1 viene dadas por

Comprender las raíces complejas nos permite también resolver el último dilema asociado a la fórmula de Cardano. Como vimos antes, aplicando la fórmula a la ecuación x3 = 6x + 4, nos daba la solución

Las raíces cúbicas que aparecen aquí pueden ahora ser calculadas. Tomemos primero

donde a = b = 2, c = √8yθ = arcsen b/c = arcsen 1/√2 = π/4
Las tres raíces cúbicas de 2 + 2i, que se obtienen a partir de los ángulos π/4, π/4 + 2π = 9π/4 y π/4 + 4π = 17π/4, son

Las raíces de 2 - 2√-1 = 2 - 2i son tratadas de forma parecida. Aquí c = √8, θ = arcsen -1/√2 = - π/4 los tres ángulos cruciales son

Por lo tanto, las raíces cúbicas de 2 - 2i son
Además de observar que
, algunas otras identidades trigonométricas permiten una simplificación mayor, como cos (-θ) = cos θ y sen (-θ) = sen θ . Es más, de la fórmula del ángulo doble, cos (2θ) = 2 cos2 θ-1, deducimos que

De la misma forma,

Aplicando estos resultados a la fórmula de Cardano, obtenemos las tres raíces reales:

La segunda raíz es:

(que es la anteriormente hallada).
Y finalmente, se tiene:

Esta cadena de razonamiento necesitó una buena dosis de trabajo de equipo: de Cardano a De Moivre, y de éste a Euler; del álgebra a la trigonometría y de ésta a la variable compleja. Operando con los números imaginarios, la fórmula de Cardano nos da las tres raíces reales de x3 = 6 + 4, es decir,

que, por supuesto, son los tres valores de la intersección con el eje x visibles en la Figura 5.1. La feliz resolución de este problema refuerza el entusiasmo de Euler hacia “el empleo [de números imaginarios] en los cálculos”.
Es importante repetir que, al encontrar las raíces reales de esta ecuación cúbica, nos desviamos hacia los números complejos. Uno se acuerda de la astuta observación de Hadamard: “El camino más corto entre dos verdades del campo real pasa a través del campo complejo”[119].
En la Introductio, Euler utiliza, de forma muy diferente, el teorema de De Moivre para calcular dos famosos desarrollos en serie:[120]
Teorema

Demostración
Para cualquier n > 1, Euler sabía que

Sumando y dividiendo por 2, llegó a

Utilizando el teorema del binomio para el desarrollo de las potencias del segundo miembro, obtuvo:

En este punto, Euler “se fue al infinito”, es decir, hizo que x = nθ, donde n es infinitamente grande y, por tanto, θ = x/n es infinitamente pequeña. Haciendo esto, se dio cuenta que cos θ = 1 y sen θ= θ =x/n, que equivale a reconocer, utilizando terminología moderna, que

Como n era infinitamente grande, no existiría seguramente ninguna diferencia entre ella y n - 1, n - 2, n - 3, etc.; por lo tanto, Euler simplemente sustituyó cada una de estas expresiones por n.
Tales triquiñuelas matemáticas pueden parecer poco ortodoxas para el gusto actual. Sin embargo, permitieron a Euler transformar la serie anterior en

y demostrar, por tanto, el famoso desarrollo de cos x.
De forma similar, después de restar primero las expresiones en (5.1) y dividirlas por 2, concluyó que

de donde dedujo la serie asociada

C. Q. D.
Euler aplicó el teorema de De Moivre de una manera todavía más espectacular para demostrar una extraordinaria relación que lleva su nombre: la identidad de Euler[121].
Teorema
Para cualquier x real, eix = cos x + i sen x
Demostración
Como antes, Euler empezó con

De nuevo, hizo que n fuera un número infinito, de tal forma que θ = x/n fuera infinitamente pequeña y, de esta forma cos θ = 1 y sen = θ = x/n.
Sustituyendo se obtiene:

Como vimos en el Capítulo 2, Euler igualó eω y 1 + ω para valores de ω infinitamente pequeños. Por tanto, si a es un número finito y n tiende a infinito, tenemos

Sustituyendo a por las cantidades finitas (aunque imaginarias) ix y -ix, transformó la ecuación (5.2) en

A continuación, Euler siguió el mismo procedimiento para la función seno y obtuvo:

Sumó finalmente estos resultados y obtuvo la fórmula que figurará siempre entre los mayores descubrimientos de Euler:

Euler observó, con evidente satisfacción, que “ante estas ecuaciones podemos comprender cómo exponenciales complejos pueden ser expresados en la forma de senos y cosenos reales”. Su entusiasmo ha sido, desde entonces, compartido por los matemáticos. Pocos discutirán que la identidad de Euler es una de las fórmulas más hermosas.
Como era su costumbre, Euler dio demostraciones alternativas de un teorema tan importante. Parecía trabajar bajo la máxima de que cualquier resultado que merezca demostración, merece demostrarse una y otra vez. Con este espíritu, vamos a ver otras dos demostraciones que dio a lo largo de su carrera.
La primera de ellas, bastante atrevida, requiere estar familiarizado con el cálculo integral y la confianza euleriana en el poder de los símbolos[122].
Teorema
Para cualquier x real, eix = cos x + i sen x
Demostración
Euler hizo sen x = y, y, por tanto,

donde la última expresión es una conocida integral. En un abrir y cerrar de ojos realizó un cambio de variable compleja haciendo y = iz y dy = idz y obtuvo

(Se puede calcular esta integral haciendo una sustitución trigonométrica, buscando en una tabla de integrales o simplemente comprobándolo por derivación). Como z = y/i = (sen x)/i, entonces z2 = (sen x)2 = - sen2x, y de esta forma (5.3) se convierte en

Por tanto,

aplicando exponenciales completamos la demostración:

De nuevo hemos visto a Euler aplicar a números imaginarios las reglas que son habituales para los números reales. En el siglo XVIII, esto era tanto un problema de fe como de lógica, pero Euler, el gran manipulador de símbolos, nunca estuvo tan en su elemento.
Todavía dio otra demostración de la identidad que apareció en un importante artículo sobre logaritmos de números imaginarios que veremos en el epílogo[123]. Esta vez Euler formuló el teorema de otra forma:

donde n es un número infinito.
Como hemos visto, el segundo miembro era para él igual a eix.
Teorema
Para cualquier x real, eix = cos x + i sen x
Demostración
Reconociendo que “...la validez [de la identidad] ha sido suficientemente demostrada en otros sitios”, Euler utilizó los desarrollos del cos x y sen x vistos antes, al igual que el desarrollo

que hemos visto en el Capítulo 2. Sustituyendo x por ix en esta última serie, Euler simplemente operó hasta llegar al resultado buscado:

Voilá! Tres demostraciones de la identidad de Euler deberían ser suficientes para cualquier escéptico.
Concluimos esta sección con un corolario que merece la pena. Si hacemos x = π en esta identidad, tenemos

El lector atento recordará que hacia el principio de este capítulo mencionamos el ejemplo de ex = -1 como un absurdo, una ecuación irresoluble. Ahora, gracias a Euler, tenemos una solución: x = iπ. Liberado de las limitaciones de los números reales, consiguió resolver lo irresoluble.
Por supuesto, la ecuación (5.4) puede escribirse de la forma eiπ + 1 = 0.Como les gusta recordar a los profesores de matemáticas, esta ecuación reúne a las cinco constantes matemáticas más importantes, que son
0, el elemento neutro de la suma
1, el elemento neutro de la multiplicación
π, la constante circular
e, la base de los logaritmos naturales
i, la unidad imaginaria.
Que estos cinco números estelares se puedan relacionar de una forma tan sencilla es verdaderamente sorprendente. El que Euler desvelara tal relación, es un homenaje a su poder matemático.
Esta sorprendente fórmula puede ser el lugar adecuado para tomar un respiro. A estas alturas, apreciaremos mejor tanto a Euler como a los números complejos. A partir de su inteligente utilización de la fórmula de De Moivre y de sus múltiples razonamientos sobre la identidad que lleva su nombre, Euler dio legitimidad a los números imaginarios de una forma irreversible y sin precedentes.
Epílogo
Como tantas veces se ha puesto de manifiesto en este libro, Leonhard Euler fue un pionero. Sintiéndose cada vez más cómodo con los fundamentos de los números complejos, profundizó aún más en terreno incierto. Por ejemplo, se preguntaba si se podría definir el seno y el coseno de lo que él llamaba “un arco imaginario”, que, por supuesto, era una idea osada[124]. Y resolvió el largamente debatido problema de los logaritmos de cantidades complejas. Trataremos brevemente en este epílogo estas dos innovaciones.

Sello de correos de la R. D. Alemana dedicado a Euler
En primer lugar, ¿qué se hace con cos (a + bi)? Euler procedió paulatinamente, considerando inicialmente sólo cos bi. Aplicando el desarrollo en serie del coseno, escribió:

Esta última igualdad, que Euler detectó al instante, puede verificarse sustituyendo los términos exponenciales por sus desarrollos en serie y simplificando. Se llega, de modo inesperado, a que el coseno del número imaginario bi es un número real.
Provistos de esta fórmula, podemos resolver la otra ecuación irresoluble que vimos al comienzo del capítulo, es decir, cos x = 2. Haciendo x = bi, tenemos

o, simplificadamente (eb)2 - 4(eb) + 1 = 0. Resolviendo esta ecuación de segundo grado, tenemos eb = 2 ± √3, es decir, b = ln (2 ± √3). Por tanto, la ecuación cos x = 2 dista de ser irresoluble, sino que tiene soluciones complejas de la forma x= bi = i ln (2 ± √3).
De forma similar, pero empezando con el desarrollo en serie del seno, Euler encontró que

A continuación, para calcular el seno y el coseno de un número complejo cualquiera, Euler empleó las identidades trigonométricas

y obtuvo:

Hay que decir que, al utilizar otra vez estas identidades con valores complejos, Euler hacía de nuevo (otra vez) un acto de fe.
Las dudas reiteradas ante resultados tan extraños pueden calmarse de varias formas. Por ejemplo, si escribimos el número real a en forma de número complejo a + 0 ∙ i, entonces las fórmulas quedan de la forma

Igualmente estimulante es que:

En este caso, la identidad (real) más importante y famosa de trigonometría se conserva en el campo complejo. Como creyente en el poder de los símbolos, Euler debe haber encontrado esto muy reconfortante.
¿Qué ocurre con los logaritmos de los números complejos? Esta cuestión puede remontarse a la controversia entre Johann Bernoulli y Gottfried Wilhelm Leibniz que tuvo lugar a principios del siglo XVIII. Entonces el reto fue más limitado: averiguar la naturaleza de los logaritmos de los números negativos.
La solución de Bernoulli fue sencilla: creía que ln(-x) = ln x para cualquier x > 0. Para él, esto se deducía de las reglas de los logaritmos, de modo que

y ln (-x) = ln x. Por si a alguien le quedaban todavía dudas, Bernoulli dio una demostración alternativa utilizando el cálculo diferencial. Haciendo uso de la regla de la cadena, se tiene que

e igualando estas derivadas Bernoulli deduce que ln(-x) = ln x. Un resultado inmediato es que ln( - 1) = ln l = 0, un resultado con el que Johann Bernoulli se sentía a gusto.
El que no lo estaba era Leibniz. Observó que si se hacía x = -2 en el desarrollo de la serie

el resultado era

En consecuencia, es la suma de infinitos números negativos y, por tanto, no vale 0 como Johann Bernoulli había afirmado.
Como si fuera para añadir insulto a la injuria, Leibniz rechazó también la demostración de Bernoulli. Creía que la regla de diferenciación Dx [ln x] = 1/x era sólo válida para números positivos. Aplicarla a ln (-x) como había hecho Johann, era inadmisible.
Estas discrepancias dejaron el tema sin resolver, y así estuvo hasta que entró en escena Euler. Conocedor de la controversia entre Bernoulli y Leibniz, asumió el mismo la tarea de encontrar una respuesta definitiva, lo que hizo en un par de artículos de 1747 y 1749.
En primer lugar repasó los razonamientos de sus ilustres predecesores y rechazó firmemente la pretensión de Leibniz que la regla de derivación para logaritmos era sólo válida para x > 0. Euler afirmó que si Leibniz tuviera razón,
“haría añicos la base de todo el análisis, que consiste principalmente en que la generalidad de reglas y operaciones son verdaderas, cualquiera que sea la naturaleza que uno suponga a las cantidades a las que se aplican”[125].
¡Habla como un verdadero creyente! Euler no aceptaba una regla de derivación de aplicabilidad restringida.
Bernoulli no salía mejor parado. Aunque apoyó su razonamiento de que
Dx [ln (-x)] = Dx [ln x],
Euler hizo hincapié en que derivadas iguales no garantizan funciones iguales. Por ejemplo, apuntó que
Dx [ln (2x)] = Dx [ln x],
pero de esto no se puede deducir que 2x = x. La conclusión correcta es, por supuesto, que funciones con derivadas iguales difieren en una constante, como
ln(2x) = ln x + ln 2.
De forma análoga Euler tenía claro que
ln(-x) = ln[(- 1)x] = ln x + ln (-1)
La constante en la que ln(-x) y ln x difieren era el escurridizo ln (-1). Que no valía 0, como había afirmado Bernoulli. La tarea de Euler iba a ser encontrar su valor.
Esta búsqueda resultó ser fácil a la vista de lo anteriormente tratado. Basta con tomar logaritmos en ambos términos de la ecuación eiπ = -1 y obtener ln (-1) = ln (eiπ) = iπ.
De esta forma, los logaritmos de los números negativos fueron calculados finalmente: si x > 0, ln(-x) = ln x + iπ. Una vez más, los números imaginarios aparecen en los lugares más sorprendentes.
Pero Euler excavó mucho más profundo y planteó la cuestión de cuántos logaritmos (complejos) tiene un número distinto de 0. Regresando a su caracterización favorita, razonó que si y = ln x, entonces

donde n es un número infinito.
Según Euler, el número x tiene tantos logaritmos diferentes como valores de y hay que satisfagan esta ecuación de grado infinito.
Razonó que si la ecuación de segundo grado
(1+ y/2)2 = x
tiene dos soluciones y la cúbica
(1+ y/3)3 = x
tiene tres, por analogía, si n es un número infinito, debe haber infinitas y para las que
(1+ y/n)n = x
Resumiendo, un número distinto de cero debería tener infinitos logaritmos.
Esta justificación de una afirmación tan provocativa difícilmente convencería incluso a sus admiradores más leales, pero pronto iba a demostrar la infinitud de los logaritmos de la forma más concreta imaginable: dando una regla explícita para generarlos[126].
Dado el número complejo a + bi ≠ 0, hizo de nuevo c = √(a2 + b2) y escogió b de tal forma que sen θ = b/c. Afirmó entonces que para cada k = 0, 1, 2, ...,
ln(a + bi) = ln c + i (θ ± 2πk)
Como demostración, sólo hay que tomar exponenciales en el segundo miembro y aplicar la identidad de Euler:

Fue otro triunfo. No sólo había corregido a Bernoulli y a Leibniz, sino que había descubierto la definición de los logaritmos complejos.
Concluimos este capítulo con la consecuencia más inesperada de estas ideas, una que Euler menciona en una carta a Christian Goldbach de junio de 1746[127]. En ella asumió lo que parece un reto ridículo: determinar el valor numérico de i1 o, como él escribía, de
(√-1)√-1
¿Puede alguien encontrar la potencia imaginaria de un número imaginario?
Por supuesto que Euler pudo. De hecho encontró infinitas. Ya que si z = i1, entonces ln z = i∙ln z. Según la fórmula anterior, los logaritmos de i = 0 + 1∙i, son

y, por tanto, ln z = i∙ln i = -𝜋/2 ± 2∙π∙k . En consecuencia

un resultado que, en palabras de Euler, “es más destacable porque es real e incluye infinitos valores reales diferentes”[128]. Por ejemplo, si k = 0, tenemos

“lo que me parece extraordinario”, escribió a Goldbach. Pocos le reñirán por tal afirmación.
Los números complejos estaban destinados a permanecer. Un concepto que había sido sólo débilmente comprendido por su papel en la solución de las ecuaciones cúbicas se había visto legitimado por los descubrimientos y la influencia de Leonhard Euler. Les trató como a todos en la escena matemática, sin dar explicaciones y sin complejos y mostró cómo obtener sus raíces, logaritmos, senos y cosenos. Haciendo esto, dio a los números complejos su inestimable imprimatur.
La antorcha pasó a un grupo de sucesores brillantes. El siglo XIX trajo a Gauss, Cauchy (1789-1857), Riemann y Weierstrass (1815-1897), que avanzaron de forma notoria. Por supuesto, los cien años siguientes a Euler pueden ser descritos como el Siglo de la Variable Compleja, un tema del que su trabajo fue la base sólida.
Como todos los grandes pioneros, había señalado el camino hacia lo desconocido.
El álgebra tiene sus raíces, por decirlo de alguna manera, en la resolución de ecuaciones. Se pueden rastrear descubrimientos hasta la antigüedad clásica, pero el primer florecimiento del álgebra se debe a los matemáticos árabes del siglo IX. En particular, Mohammet ibn Mose Al-Khwarizmi (c. 825) escribió un tratado sobre ecuaciones de primer y segundo grado que influyó no sólo en sus colegas sino también en los académicos europeos que lo redescubrieron seis siglos después. El texto de Al-Khwarizmi es, junto con los Elementos de Euclides y la Introductio de Euler, uno de los libros matemáticos más importantes de todos los tiempos.
Comentamos en el capítulo anterior que el álgebra se convirtió en una pasión en la Italia del siglo XVI. El eco de su historia trae los nombres de Scipione del Ferro, Gerolamo Cardano y Rafael Bombelli. Pero a pesar de todos los logros de estos algebristas italianos, la suya fue un álgebra que carecía de símbolos. A falta de notación, daban complejas reglas verbales para resolver ecuaciones, un procedimiento que hoy día nos parece incómodo. El simbolismo algebraico tuvo que esperar hasta 1591 en que François Viète (1540-1603) publicó su Arte Analítica.
Como en otras muchas ramas de las matemáticas, el siglo XVII trajo importantes avances en álgebra. La Geometría de Descartes de 1639 contenía, por ejemplo, ecuaciones escritas esencialmente en forma moderna. Cuando un siglo después apareció Euler, la notación algebraica se había convertido ya en parte del edificio de las matemáticas. No sorprenderá, por tanto, que el gran divulgador matemático escribiera un libro de texto sobre este tema: Elementos de Álgebra. En él Euler definió sucintamente al álgebra como “la ciencia que enseña cómo encontrar cantidades no conocidas utilizando aquellas que sí lo son”[129].
Al-Khwarizmi, Cardano, Viète y Euler son algunos de los creadores del álgebra elemental. Lo que no quiere decir que resolviesen satisfactoriamente todos los temas. En la época de Euler, dos de los mayores problemas algebraicos permanecían sin solución. De ambos nos ocuparemos en este capítulo. Uno era el problema de la resolución de ecuaciones polinómicas de cualquier grado. El otro era lo que ahora llamamos, obviamente de forma reverente, el teorema fundamental del álgebra.
Euler hizo contribuciones a los dos, aunque su trabajo no fue finalmente decisivo en ninguno de ambos casos. Se podría decir, por razones diferentes, que falló en cada uno de ellos. Pero sus investigaciones fueron tan atinadas y su perspicacia tan penetrante, que merecen nuestra atención.
Prólogo
En el Capítulo V vimos cómo el trabajo de Del Ferro y Cardano trajo la resolución algebraica de la ecuación de tercer grado e, indirectamente, los números complejos. Pero los algebristas italianos no se detuvieron aquí. Alrededor de 1540, Ludovico Ferrari (1522-1565), protegido y amigo de Cardano, describió una solución por radicales para la ecuación de cuarto grado. El método de Ferrari se publicó por primera vez en el Capítulo 39 del Ars Magna, en el que Cardano menciona generosamente a su descubridor. Por supuesto, tuvo que ser presentado enteramente en forma verbal, lo que no era una tarea fácil para un procedimiento tan complicado. Los matemáticos del siglo siguiente y, en particular, Descartes y Newton, tuvieron la ventaja de contar con el simbolismo algebraico a la hora de resolver las ecuaciones de cuarto grado[130].

Gerolamo Cardano
Ya en la época de Euler, ese descubrimiento tenía dos siglos, pero como repetidamente demostraría en su larga carrera, se pueden buscar nuevos caminos para destinos conocidos. En sus Elementos de Algebra, describe un método para solucionar las ecuaciones de cuarto grado que es “completamente diferente” a lo que se había visto hasta entonces[131]. Para transmitir una impresión de la visión del álgebra que tenía Euler, sin pasar por alto las particularidades de la resolución de ecuaciones en el pasado, vamos a examinar en detalle su solución.
Supongamos que tenemos una ecuación general de cuarto grado
Ay4 + By3 + Cy2 + Dy + E = 0.
“Debemos empezar destruyendo el segundo término”, indica Euler.
Ludovico Ferrari
La vida en un destelloPoco se sabe de la vida de Ludovico Ferrari. Nació en Bolonia en 1522... En noviembre de 1536, a la edad de 14 años, fue enviado a Milán acompañado de su primo Lúea, para entrar al servicio de Gerolamo Cardano... Con Cardano, y en muy poco tiempo, aprendió latín, griego y matemáticas, convirtiéndose pronto en una especie de secretario amanuense de éste y después en su colega y amigo...
Ferrari fue probablemente la mente más lúcida en el ámbito de las matemáticas de todo el Renacimiento italiano (de Cardano y Tartaglia de Las matemáticas en el Renacimiento italiano de Francisco Martín Casalderrey, número 4 de esta colección. En este libro pueden encontrarse más detalles sobre Del Ferro, Cardano, Ferrari y Bombelli).
Esta expresión ligeramente violenta quiere decir solamente que vamos a sustituir la ecuación de cuarto grado por una similar a la que le falta el término de tercer grado. Esto se logra dividiendo por A, haciendo la sustitución y = x – B/4A , agrupando términos y simplificando. El resultado es de la forma (utilizando la notación de Euler) x4 - ax2 - bx - c = 0. Es la llamada ecuación incompleta de cuarto grado, equivalente a la ecuación incompleta de tercer grado que vimos en el capítulo anterior.
Euler asume a continuación que la solución de la ecuación de cuarto grado incompleta es de la forma
x = √p + √q + √r (6.1)
donde los coeficientes desconocidos p, q y r, han de ser calculados en función de a, b y c.
Para ello, Euler eleva al cuadrado (6.1) y simplifica hasta obtener

Introduce luego las variables auxiliares

La ecuación (6.2) ha sido reformulada como

que, cuando se la compara con la ecuación incompleta de cuarto grado original
x4 - ax2 - bx - c = 0
revela que:
a) 2f = a y, por tanto, f = a/2 ,
b) 8 √h = b y, por tanto, h = b2/64, y
c) 4g - f2 = c y, por tanto, g = (4c + a2)/16
De esta forma, Euler relaciona los coeficientes de la ecuación incompleta de cuarto grado con las variables auxiliares f, g y h. Por supuesto, su verdadero objetivo es relacionar estos coeficientes con p, q y r, y el secreto para hacerlo está en las ecuaciones (6.3).
Es decir, Euler identifica p, q y r como las raíces de
0 = (z - p)(z - g)(z - r) =
= z3 - (p + q + r~)z2 + (pq + pr + qr)z - pqr =
= z3 - fz2 + gz - h
Y aquí está finalmente la clave del puzzle. Pues de los valores conocidos de a, b y c, obtenemos f, g y h. Con éstos, construimos la ecuación cúbica z3 - fz2 + gz - h = 0, cuyas soluciones (encontradas utilizando la fórmula de Cardano) son z = p, z = q y z = r. Por último, la solución de la ecuación incompleta de cuarto grado es
x = √p + √q + √r
y la solución de la ecuación original (completa) de cuarto grado la obtenemos deshaciendo el cambio y = x – B/4A
Como ejemplo del procedimiento, vamos a ver un problema tomado del mismo Euler: resolver la ecuación de cuarto grado y4 - 8y3 + 14y2 + 4y - 8 = 0. El primer paso es reducirla mediante el cambio y = x - (-8)/4 = x + 2. Después de hacer la sustitución, la ecuación de cuarto grado se convierte en x4 - 10x2 - 4x + 8 = 0. Hacemos luego
f = a/2 = 10/2 = 5
g = (4c + a2)/16 = [4(-8) + 100]/16 = 17/4
h = b2/64 = 42/64 = 1/4
Por tanto, p, q y r son las soluciones de la ecuación de tercer grado auxiliar z3 - 5z2 + 17z/4 – 1/4 = 0 que Euler encontró difícil de manejar. Por ello hizo el cambio z = u/2 y simplificó hasta obtener una ecuación equivalente más manejable:
u3- 10u2 + 17u - 2 = 0
En teoría, ésta podría resolverse utilizando el método de Cardano, pero Euler (que tenía la suerte que sólo se concede a los escritores de libros de texto) se dio cuenta de que una solución obvia era u = 2. La ecuación de tercer grado se puede factorizar entonces de la forma
0 = u3 - 10u2 + 17u - 2 = (u - 2) (u2 - 8u + 1)
cuyas tres soluciones son u = 2, u = 4 + √15 y u = 4 - √15 . Deshaciendo los cambios, como z = u/2, las soluciones de la ecuación de tercer grado en z son
p = 1, q = (4+√15)/2 y r = (4+√15)/2
de lo que se sigue que

El ojo perspicaz de Euler se dio cuenta de algo más: cómo se puede comprobar fácilmente, el término 8 + 2√15 puede escribirse como
(√5 + √3)∙(√5 + √3) = (√5 + √3)2
En consecuencia,

De la misma forma, está claro que

Esto permite simplificar más aún:

Avanzando hacia la solución, Euler observó que

y como en este ejemplo b = 4 > 0, hay que atribuir signos a las tres raíces cuadradas de forma que su producto sea positivo. La ecuación incompleta de cuarto grado tiene, por tanto, las cuatro soluciones siguientes:

Finalmente (!), la soluciones de la ecuación de cuarto grado original y4 - 8y3 + 14y2 + 4y - 8 = 0se calculan (a partir de la relación y = x + 2) y son y = 3 ± √5 e y = 1 ± √3. Ni que decir tiene que la comprobación es satisfactoria.
Un aspecto de este problema, aparte de su extensión, merece un comentario particular: la solución de la ecuación de cuarto grado depende de la habilidad para resolver una ecuación de tercer grado relacionada. Esto es parecido a la resolución de una ecuación de tercer grado, que como vimos en el Capítulo 5, requería la resolución de una ecuación de segundo grado asociada.
Si esto es así, parece razonable pensar que para resolver la ecuación de quinto grado primero debería ser transformada en una ecuación de quinto grado incompleta, introducir luego variables auxiliares cuyos valores se determinarían a partir de una ecuación de cuarto grado relacionada, resolver esta ecuación utilizando los métodos ya descritos y, una vez hecho, reagrupar las soluciones de la ecuación de cuarto grado para obtener las soluciones de la de quinto.
Sin embargo, Euler no sigue tal desarrollo sino que, al contrario, su tratamiento de la ecuación de cuarto grado es seguido no por una solución de la de quinto sino por estas palabras:
“Esto es lo más lejos que hemos llegado en la resolución de ecuaciones algebraicas. Todos los esfuerzos realizados para resolver las ecuaciones de quinto o mayor grado, de la misma forma o, al menos, reducirlas a ecuaciones degrado inferior, no han tenido éxito; de tal forma que no podemos dar ninguna regla general para hallar las raíces de ecuaciones degrado mayor que cuatro”[132].
Dicho crudamente, Euler se había quedado atascado. Ciertamente, hubiera codiciado la distinción de ser el primer matemático en resolver la ecuación de quinto grado, y pienso que no fue la mera complejidad algebraica lo que le detuvo. Pero se quedó en blanco. La resolución de la ecuación polinómica general es la primera de las grandes cuestiones algebraicas mencionadas en la introducción de este capítulo que quedaron sin respuesta en tiempos de Euler. Regresaremos al tema en el epílogo.
En relación con el segundo tema, el teorema fundamental del álgebra, Euler tuvo más que decir. En el siglo XVIII este resultado se enmarcaba en el contexto de la descomposición factorial completa de un polinomio real. Es decir, los matemáticos conjeturaron que cualquier polinomio real se podía expresar como el producto de factores reales de primer o segundo grado.
Como ejemplo, consideremos la factorización:
3x5 + 5x4 + 10x3 + 20x2 - 8x = x (3x - 1) (x + 2) (x2 + 4)
Donde una ecuación de quinto ha sido descompuesta en el producto de tres factores de primer grado y uno de segundo grado irreducible, siendo reales todos los polinomios. La conjetura afirma que tal factorización existe para cualquier polinomio real, cualquiera que sea su grado. Insistimos en que ésta es una afirmación de mera existencia y no da una fórmula explícita para los diferentes factores.
Anticipando un poco, vemos que podemos factorizar aún más ecuaciones irreducibles de segundo grado si operamos con números complejos. En nuestro ejemplo, tenemos:
3x5 + 5x4 + 10x3 + 20x2 - 8x = x (3x - 1) (x + 2) (x – 2i) (x + 2i)
Que es una descomposición completa en cuanto que un polinomio real de quinto grado ha sido factorizado en cinco factores complejos de primer grado, que es a lo más que se puede llegar. Es en este contexto, la factorización de un polinomio de grado n en n factores de primer grado, en el que se enmarca el teorema fundamental del álgebra.
Hubo buenas razones por las que nuestros predecesores matemáticos aceptaron esta conjetura como verosímil. Recordemos, por ejemplo, el razonamiento de Euler sobre raíces complejas del Capítulo 5. Vimos que la ecuación polinómica xn - 1 = 0 tiene n soluciones complejas, las raíces n-ésimas de la unidad, dadas por:

Esto nos proporciona inmediatamente una descomposición de xn - 1 en n factores complejos de primer grado:

Por supuesto, xn - 1 es un polinomio de grado n muy especial, pero quizá un fenómeno similar se da en sus hermanos más sofisticados.
Por otro lado, también había escépticos. Nada menos que una autoridad como Leibniz dudaba de que todo polinomio real pudiera factorizarse en términos de primer y/o segundo grado[133].
Peor aún, Nicolaus Bernoulli (1687-1759) afirmó haber encontrado un contraejemplo, que era, x4 – 4x3 + 2x2 + 4x + 4, que no podía factorizarse de esta forma. Si hubiera estado en lo cierto, se habría zanjado el asunto, el teorema fundamental del álgebra hubiera quedado refutado automáticamente.
Saliendo en defensa de esta conjetura, Euler demostró que Bernoulli se equivocaba. En una carta a Christian Goldbach de 1742 (en la que Euler cae en el molesto hábito de pasar del alemán al latín a mitad de la frase), factorizó lo supuestamente no factorizable y descompuso el polinomio de cuarto grado en un producto de polinomios de segundo grado[134]

Esta factorización parece estar a medio camino entre lo milagroso y lo absurdo. Parece un error de imprenta pero es perfectamente correcta. Cualquiera al que le guste hacer operaciones puede comprobar que estos dos factores llenos de raíces dan, al multiplicarse, el polinomio de cuarto grado de Bernoulli. Un reto mayor es, por supuesto, imaginar cómo halló Euler por primera vez esta factorización (Pista: no lo hizo adivinando).
Así que el pretendido contraejemplo se quedó en nada y la conjetura siguió siendo viable. Jean D’Alembert (1717-1783) fue uno de los que la suscribió entusiásticamente. En 1746 dio una demostración[135]. Para D’Alembert, el teorema tenía un doble significado, ya que no sólo trataba un tema fundamental de álgebra sino que también resolvía un importante problema de cálculo integral.
Como ejemplo de esto último, tomemos la integral indefinida

Ni que decir tiene que no aparece en ninguna tabla de integrales. Además, incluso para un ordenador resulta una tarea ardua (y en el siglo XVIII, en cualquier caso, no estaban disponibles).
Pero, como antes se indicó, el denominador del integrando puede factorizarse y quedar

A continuación realizamos la descomposición en fracciones simples e integramos:

Aunque no es evidente a primera vista, puede comprobarse que esta expresión es, por supuesto, la integral de

Si se demostrase la validez general del teorema fundamental del álgebra se deduciría, en consecuencia, que para cualquier función racional P(x)/Q(x) donde P y Q son polinomios reales, la integral indefinida

existe como una combinación de funciones simples. Sólo tenemos que hacer una división larga para reducir esta expresión racional a una en la que el grado del numerador sea menor que el grado de Q(x); luego descomponemos Q(x) en el producto de sus factores reales de primer y segundo grado y luego se aplica el método de fracciones simples para descomponer la integral en sumandos de la forma

para finalmente calcular estas integrales indefinidas usando algo tan poco complicado como los logaritmos naturales, arcotangentes o sustitución trigonométrica. Bastante apropiadamente, Euler lo definió como “una consecuencia hermosa e importante” del teorema fundamental[136].
Cómo antes se indicó, el teorema fundamental no viene acompañado de un algoritmo para encontrar los factores del denominador; pero, igual que garantiza la existencia de tal factorización, también queda establecida la existencia de integrales simples para cualquier función racional.
Desgraciadamente, el intento de D’Alembert de probar el teorema no tuvo éxito porque las dificultades que presentaba eran demasiado importantes como para ser fácilmente superadas[137]. En consecuencia, hacia 1746 la situación era confusa y los matemáticos se enfrentaban a una proposición de gran importancia, tanto para el álgebra como para el análisis, cuya validez no había sido demostrada. Alguien tenía que dar un paso adelante e intentarlo.
Aparece Euler
Euler creía en la conjetura. Ya en 1742 declaró a Goldbach que “todos las expresiones algebraicas 𝛼 + βx + γx2 + δx3 + εx4 + etc pueden descomponerse bien en factores reales simples del tipo p + qx o bien en factores reales de segundo grado del tipo p + qx + rx2[138]. Más tarde, escribió en la Introductio: “Aunque existiese alguna duda de que todo polinomio puede ser expresado como un producto de factores reales de primer y de segundo grado, ahora esa duda debe de estar casi completamente disipada”[139].
Euler y D’AlembertD'Alembert nació diez años después que Eulery murió el mismo año que éste. La vida de Lean le Rond, que así llamaron sus padres adoptivos a D’Alembert es lo más parecido a una telenovela.
Hijo de Madame de Tencin, aristócrata y hermana de un cardenal y del caballero Destouches, un general, fue abandonado a las puertas de la iglesia Saint Jean Baptiste le Rond de París y recogido por unos vidrieros a los que siempre consideró como sus verdaderos padres. Gracias a una herencia de su padre natural, recibió una educación esmerada en medicina, filosofía natural y matemáticas. A los 24 años ingresó en la Academia de Ciencias de París, siendo nombrado secretario perpetuo de la misma, 12 años más tarde.
Hoy quizás sea más conocido por su participación junto a Denis Diderot en la publicación de la Encyclopédie francesa, para la que escribió el discurso preliminar y la mayoría de los artículos de matemáticas. En dos de estos artículos, uno sobre la diferencial y otro sobre límite, D’Alembert anticipa la idea actual de límite y se enfrenta a las concepciones de Euler sobre las diferenciales como cantidades infinitamente pequeñas.
Trabajó en todas las ramas de las matemáticas, desde el análisis a la teoría de números pasando por el cálculo de probabilidades, con aportaciones notables eclipsadas en parte por el talento deslumbrante de Euler, del que fue amigo y admirador. Prueba de esta admiración es el hecho de que D’Alembert declinó la oferta de Federico II de Prusia para que asumiera la presidencia de la Academia de Berlín, cuando Euler era aún miembro de la misma, diciendo al emperador que ni él ni ningún otro matemático podían estar por encima de Euler.
La correspondencia entre ambos fue extensa y amistosa y las diferencias en temas como el logaritmo de -1 o las ecuaciones diferenciales de la cuerda vibrante no quebraron esta amistad.
Fue un defensor a ultranza de la racionalidad y la aplicación de las matemáticas para resolver problemas sociales. De hecho a él le debemos el concepto de esperanza de vida, ya que realizó estudios sobre este tema con la población de París. Gracias a él sabemos que a mediados del siglo XVIII la vida media de un ciudadano de París era de sólo 26 años.
Si Euler no hubiese existido, D’Alembert sería calificado, sin duda, como el matemático más brillante del siglo XVIII.
Antonio Pérez Sanz
Por supuesto que decir “casi completamente disipada” no es lo mismo que decir “demostrada” y, por eso, Euler presentó en 1749 su propia demostración del resultado general. Formaba parte del artículo, ya mencionado en el Capítulo 5, titulado Recherches sur les racines imaginaires des équations. Ya hicimos hincapié al comienzo en que no tuvo éxito a la hora de demostrar el teorema general del álgebra. Pues su razonamiento, como veremos, adolecía de deficiencias lógicas. Aún así, no queda más remedio que reconocer en él la habilidad de un maestro.
Más que abordar directamente el polinomio general, Euler comenzó con casos sencillos y continuó trabajando con casos progresivamente más difíciles (lo que casi siempre es un proceder sabio). Se enfrentó en primer lugar al polinomio de cuarto grado[140].
Teorema
Cualquier polinomio de cuarto grado x4 + Ax3 + Bx2 + Cx + D donde A, B, C y D son reales puede descomponerse en dos factores reales de segundo grado.
Demostración
Utilizando la estrategia habitual para comenzar, Euler hizo primero la sustitución x = y - A/4para reducir la ecuación, ya que factorizar una ecuación de cuarto grado incompleta es más fácil que factorizar la ecuación original; la factorización de la primera nos da también la factorización de la segunda mediante la sustitución inversa y = x + A/4.
Por tanto, para él era suficiente tomar x4 + Bx2 + Cx + D , donde B, C y D son reales. Llegados hasta aquí, pueden darse dos casos.
Caso 1: C = 0.
Tenemos entonces una ecuación de cuarto grado del tipo x4 + Bx2 + D , que resulta ser una ecuación de segundo grado en x2. Surgen un par de posibilidades:
Primero, si B2 - 4D > 0, aplicamos la fórmula de la ecuación de segundo grado para descomponerla en dos factores reales de segundo grado:

Por ejemplo, x4 + x2 - 12 = (x2 - 3)∙(x2 + 4) Veamos ahora la posibilidad de que factoricemos x4 + Bx2 + D cuando B2 - 4D < 0. La descomposición anterior no sirve porque los factores que contienen el término √(B2 - 4D) no son reales. Sin embargo, la ecuación de cuarto grado puede reformularse como una diferencia de cuadrados y factorizarse de la forma

Hay que hacer algunas observaciones a este resultado. La primera, que la condición B2 – 4D < 0 implica que 4D > B2 ≥ 0, y, por tanto, la expresión √D de la factorización anterior es real. De la misma forma, 4D > B2 garantiza que 2√D > |B| ≥ B, lo que significa que √[(2√D) – B] es también un número real. En resumen, los factores anteriores son dos ecuaciones de segundo grado reales.
Por ejemplo, si factorizamos x4 + x2 +4, tenemos B2-4D=-15 < 0, y nuestro procedimiento da x4 + x2 +4 = [x2 - x√3 + 2]∙[ x2 + x√3 + 2] Caso 2. C ≠ 0.
Este es un caso más difícil. Euler observó que cualquier factorización de la ecuación incompleta de cuarto grado en ecuaciones de segundo grado reales debe ser de la forma

donde u, a y p deben ser calculados todavía. Esto es necesario porque el término ux de un factor debe tener un término compensatorio -ux en el otro, para que al operar se cancele el término de tercer grado.
Euler desarrolló el segundo miembro de (6.4) para obtener

luego igualó los coeficientes de los términos de igual grado y llegó a tres ecuaciones:

Recordemos que B, C y D son los coeficientes conocidos de la ecuación incompleta de cuarto grado, mientras que u, α y β son números reales desconocidos que Euler debía hallar.
A partir de las dos primeras ecuaciones llegó a la conclusión de que
α + β = B + u2 y β - α= C/u
Como comentario al margen, debemos decir que como 0 ≠ C = (β – α)∙u, entonces u es distinto de cero y su presencia en el denominador no es motivo de alarma.
A continuación, Euler sumó y restó estas dos ecuaciones y obtuvo

pero D = αβ y, por tanto,

Finalmente, multiplicando esta ecuación por u2 y simplificando llegó a:

Puede parecer que las cosas han empeorado, porque Euler ha cambiado una ecuación de cuarto grado en x por una ecuación de sexto grado en u. Es verdad que (6.6) también es una ecuación de tercer grado en u2 y como cada ecuación de este tipo tiene una solución real, se podría concluir que hay un valor real para u2 que satisface la ecuación (6.6). Sin embargo, si reflexionamos un momento, veremos que esto no nos garantiza la existencia de un valor real para u (por ejemplo, si u2 = -1), que era el verdadero objetivo de Euler.
Sin inmutarse, aprovecha cuatro propiedades claves de (6.6):
(a) B, C y D son conocidos, el único valor desconocido es u.
(b) B, C y D son reales.

Figura 6.1
(c) Todos los términos del polinomio son de grado par y, por tanto, su gráfica es simétrica respecto al eje y.
(d) El término independiente de este polinomio de sexto grado es -C2< 0.
Por tanto, Euler había generado un polinomio real de sexto grado en u cuya gráfica es parecida a la mostrada en la Figura (6.1). Corta al semieje negativo de las y en el punto (0, -C2) porque C es un número real distinto de cero, y su gráfica tiende a según aumenta el valor de u tanto en el semieje positivo como en el negativo. Por la continuidad polinomial y por el teorema del valor intermedio, que Euler tomó como intuitivamente claro, se garantizaba la existencia de números reales u0> 0 y -u0< 0 que fueran raíces de este polinomio de sexto grado.
Utilizando la solución positiva u0, Euler calculó β y α en (6.5), obteniendo las soluciones reales

y, como u0> 0, estas fracciones están bien definidas.

Figura 6.2
Resumiendo, en el caso en que C ≠ 0, Euler había hallado números reales u0, α0 y β0 tales que
x4 + Bx2 + Cx + D = (x2 + u0x + a0) (x2 – u0x + p0)
Había probado, por tanto, que cualquier ecuación de cuarto grado incompleta con coeficientes reales (y, por extensión cualquier ecuación real de cuarto grado) podía ser factorizada en dos ecuaciones reales de segundo grado, fuera o no fuera C = 0. C.Q.D.
* * * *
Llegado a este punto Euler observó que “también es evidente que cualquier ecuación de quinto grado puede descomponerse en tres factores reales de los cuales uno es de primer grado y dos de segundo grado”[141]. Su razonamiento era sencillo (ver Figura 6.2). Un polinomio de grado impar (y, en particular, un polinomio P(x) de quinto grado) tiene garantizado, por el teorema del valor intermedio, el tener al menos un punto de corte con el eje x, pongamos en x = a. Sea P(x) = (x - a)∙Q(x), donde Q(x) es un polinomio de cuarto grado. El resultado previo nos permite descomponer Q(x) en dos factores de segundo grado.
A estas alturas, una estrategia estaba madurando en la mente de Euler. Más que considerar polinomios de grado 6, 7, 8 y así sucesivamente, vio una forma de simplificar el reto. Se dio cuenta de que si pudiera demostrar su descomposición para polinomios reales de grados 4, 8, 16, 32 y en general de grado 2n, entonces podría demostrarlo para cualquier polinomio real.
¿Por qué es esto? Supongamos, por ejemplo, que Euler quisiera demostrar que el polinomio
x12 - 3x9 + 52x8 + 3x3 - 2x + 17
puede escribirse como el producto de factores reales de primer y/o de segundo grado. Multiplicaría por x4 para obtener
x16 - 3x13 + 52x12 + 3x7 - 2x5 + 17x4
y luego (asumiendo que el resultado hubiera sido demostrado para el grado 16) sabría que este polinomio tiene tal factorización, que contiene obviamente a los cuatro factores de primer grado x, x, x y x. Cancelando éstos, se quedaría necesariamente con los factores de primer y/o segundo grado del polinomio original de grado 12.
Adoptando esta estrategia, el siguiente objetivo de Euler era demostrar que “cualquier ecuación de grado ocho puede siempre descomponerse en dos factores de cuarto grado”[142]. Como cada uno de estos factores de cuarto grado sería a su vez descomponible en un par de ecuaciones de segundo grado, que serían descomponibles en factores de primer grado (posiblemente complejos), hubiera tenido éxito a la hora de factorizar el polinomio de octavo grado en ocho términos de primer grado.
Desgraciadamente, tal aproximación a un polinomio de octavo grado es excesivamente complicada. Primero se reduce la ecuación de grado ocho y se factoriza en un par de ecuaciones de cuarto grado:
x8 + Bx6 + Cx5 + Dx4 + Ex3 + Fx2 + Gx + H =
= (x4 + ux3 + αx2 + βx + γ) (x4 - ux3 + δx2 + 𝜀x + ϕ) (6.7)
Se multiplican las ecuaciones de cuarto grado y se igualan los coeficientes resultantes a los coeficientes B, C, D,... y se consiguen siete ecuaciones con siete incógnitas, afirmándose que existen valores reales de u, α, β, γ,... que satisfacen este sistema.
El parecido con el caso previo es evidente, pero lo que lo hace tan insatisfactorio es la admisión por Euler de que
“cuando pase a ecuaciones degrado muy alto, será muy difícil e incluso imposible encontrar la ecuación por la que se calcula u”.
En resumen, fue incapaz de resolver explícitamente este sistema para u. La demostración se había derrumbado.
Siempre lleno de recursos, Euler decidió regresar en busca de inspiración a la ecuación incompleta de cuarto grado (6.4). Una línea de razonamiento enteramente diferente apareció espontáneamente, una línea que él pensaba que podría extender natural y eficazmente a los casos de grado ocho y mayores[143].
Empezó por asumir que la ecuación de cuarto grado incompleta (6.4) tiene cuatro raíces p, q, r y s, de tal forma que
(x2 + ux + αx)∙(x2 - ux + β) = x4 + Bx2 + Cx + D =
= (x - p)∙(x - q)∙(x - r)∙(x - s) (6.8)
De esta factorización hipotética sacó tres conclusiones.
Primera, al multiplicar los cuatro factores lineales de (6.8) vemos que el coeficiente de x3 es - (p + q + r + s). Por tanto, p + q + r + s = 0 porque la ecuación de cuarto grado es incompleta.
Segunda, el factor de segundo grado (x2 - ux + β) debe surgir como el resultado de multiplicar dos de los cuatro factores lineales. Es decir, (x2 - ux + β) podría ser (x - p) (x - r) = x2 - (p + r) x + pr; podría ser también (x - q) (x - r) = x2 - (q + r)∙x + qr; y así sucesivamente. Esto implica que, en el primer caso, u = p + r, mientras que en el segundo u = q + r. De hecho, Euler tenía claro que u podía tomar cualquiera de los = 6 valores:

Como u es una incógnita que tiene estos seis valores posibles, debe ser calculada por el polinomio de sexto grado
(u - R1)∙(u - R2)∙(u - R3)∙(u - R4)∙(u - R5)∙(u - R6)
Lo que es consecuente con el polinomio de sexto grado en u que Euler encontró en (6.6).
Hizo además una observación adicional. A partir de p + q + r + s = 0, se obtiene que R4 = - R1, R5 = - R2 y R6 = - R3. Por tanto, el polinomio de sexto grado se convierte en:

El término independiente del mismo (y, por tanto, el punto de corte con el eje de las y) es:

Esta constante, afirmaba Euler, era un número real negativo, lo que concordaba con las conclusiones que había extraído de la ecuación (6.6).
Resumiendo, Euler había dado un razonamiento enteramente diferente para establecer que, en el caso de cuarto grado, u viene determinada por un polinomio de grado (42) = 6 que corta al eje de las y en un valor negativo. Ésta era la conclusión clave que ya había obtenido antes (y de la que se deduce un resultado como el anterior) pero aquí la obtiene sin encontrar explícitamente la ecuación para u.
La ventaja de esta segunda aproximación al caso de cuarto grado era que podía ser aplicada también al caso reducido de octavo grado. Asumiendo que el polinomio de octavo grado de (6.7) se podía descomponer en ocho factores de primer grado, Euler repitió el razonamiento anterior para deducir que por cada combinación diferente de cuatro de estos ocho factores, obtenemos un valor diferente de u. Por tanto, u viene dada por un polinomio de grado (84) = 70 que corta al semieje negativo y. A continuación utilizó el teorema del valor intermedio para postular la existencia de una raíz real, deduciendo a partir de aquí que los otros números reales α0, β0, γ0, δ0, ε0, y ϕ0 también existen.
Euler razonó de forma similar para el caso de grado 16, afirmando que “...la ecuación que determina los valores de la incógnita u debe ser necesariamente de grado 12870”[144]. Es decir, el grado de esta ecuación (obviamente sin especificar) es (168) o = 12870. Claramente, la observación de Euler de que sería “muy difícil o incluso imposible” encontrar estos polinomios explícitamente era un eufemismo.
A partir de aquí, el procedimiento era análogo para llegar al caso general: que cualquier polinomio real de grado 2n podría ser factorizado en dos polinomios reales de grado 2n-1. Con esto terminaba la demostración de Euler.
¿O no?
Desgraciadamente, su tratamiento del caso de grado ocho, del de grado dieciséis y del caso general tenía lagunas lógicas. Por ejemplo, si volvemos la vista a la ecuación de cuarto grado, ¿cómo podía afirmar Euler que tenía cuatro raíces? ¿Cómo podía afirmar que la de octavo grado tenía ocho?
Y lo que es más significativo, ¿cuál es la naturaleza de estas supuestas raíces? ¿Son reales? ¿Son complejas? ¿O son de un tipo de número no especificado (y quizá nunca antes hallado)? Si es así, ¿pueden sumarse y multiplicarse de la manera habitual?
Éstas no son preguntas sin importancia. En la ecuación de cuarto grado de (6.8), por ejemplo, si no estamos seguros de la naturaleza de las raíces p, q, r y s, entonces tampoco lo estaremos de sus sumas R1, R2 y R3 En consecuencia no existe ninguna garantía de que la expresión - (R1∙R2∙R3)2 sea un número real negativo, y si el punto de corte con el eje de ordenadas no es un número real negativo, el teorema del valor intermedio no puede ser invocado.
Parece, pues, que Euler tuvo un buen comienzo en busca del teorema fundamental pero luego fue perdiendo impulso. Su primera demostración funcionó bastante bien al operar con los polinomios reales de cuarto y quinto grado pero, según avanzaba en su búsqueda de este escurridizo teorema, las complicaciones relativas a la existencia de sus deseados factores reales se hicieron insuperables. En cierto sentido, se perdió entre los atrayentes polinomios de grados elevados y su demostración general se desvaneció.
El teorema quedó sin demostrar, y así seguiría otro medio siglo más hasta que otro matemático, aupándose en los hombros de Euler, fuera capaz de ver lo que Euler no pudo.
Euler, Gauss y el teorema fundamental del álgebraA la muerte de Euler en 1783, Carl Friedrich Gauss era un niño de seis años de la pequeña ciudad alemana de Braunsweig. Tan solo quince años después este joven prodigio va a hacer saltar el muro contra el que se habían estrellado no sólo Euler sino los matemáticos más notables del siglo XVIII: D’Alembert, Lagrange, Laplace, Foncenex...
GaussEn 1798 lee su tesis doctoral en la Universidad de Helmstadt. En el título Gauss se muestra modesto aunque él conoce la importancia de su contenido: “Nueva demostración del teorema que afirma que toda función algebraica racional y entera de una variable puede resolverse en factores reales de primer o de segundo grado.”
No se trata de una nueva demostración, es la primera demostración completa y coherente del teorema fundamental del álgebra.
¿Qué había hecho triunfar a Gauss donde había fracasado Euler? Algo tan simple como huir del enfoque algebraico y analítico del problema, como única herramienta para su resolución, y recurrir a un enfoque geométrico. Para ello contaba con un instrumento muy valioso, la representación gráfica en el plano de los números complejos, publicada por Caspar Wessel en un artículo en la revista de la Academia de Ciencias danesa ese mismo año, aunque es muy posible que Gauss no tuviese noticia de ese artículo. De cualquier manera Gauss fue prudente en su tesis y enmascaró la utilización de esta herramienta ante las suspicacias y recelos que existían sobre los complejos.
No sería ésta la única demostración del teorema que Gauss nos proporcionará. Encontró otras tres demostraciones que publicó en los años 1815, 1816 y 1848. En la de 1816 ya se atrevió a utilizar de forma expresa los números complejos.
En la publicación que contiene esta demostración, Gauss hace un comentario iluminador sobre los intentos de sus predecesores:
“... Todas las demostraciones mencionadas son puramente analíticas... El autor del presente trabajo ha tratado este asunto... de una forma completamente diferente y ha dado una demostración sumamente sencilla que posee la propiedad de que se basa en parte en la geometría de la posición y que, por otra parte, no parece dejar ningún cabo suelto en lo que al rigor se refiere” (Gauss, c. E, werke, Vol. III ).
Gauss no desistió en su intento de encontrar una demostración exclusivamente algebraico-analítica. La demostración de 1848 vino a culminar sus sueños aunque no de forma tan satisfactoria como él hubiese querido... Hoy sabemos que, por desgracia, el teorema fundamental del álgebra depende de consideraciones topológicas.
Antonio Pérez Sanz
Portada de una obra de Gauss
Epílogo
En beneficio de la precisión histórica aprovecharemos este epílogo para contar lo que ocurrió con las dos cuestiones algebraicas de este capítulo, temas en los que la contribución de Euler no fue concluyente.
La primera era la solución por radicales de las ecuaciones de grado mayor que cuatro. Los matemáticos de la generación posterior a Euler tampoco tuvieron éxito al intentar resolver la ecuación de quinto grado algebraicamente. Finalmente, bastante después de que Euler reconociera que “no podemos dar ninguna regla general para encontrar las raíces de las ecuaciones de grado superior a cuatro”, el problema quedó resuelto de forma negativa: se demostró que una solución por radicales para la ecuación general de quinto grado era imposible.
Fue el noruego Niels Abel (1802-1829) el que estableció este resultado en dos artículos de 1824 y 1826[145]. Abel, cuya prematura muerte privó al mundo de un matemático extraordinariamente dotado, demostró que la ecuación de quinto grado no es resoluble por radicales. Con esto no se quiere decir que su solución sea difícil o todavía sin descubrir o más allá de los límites actuales del conocimiento matemático. Demostró justamente que para la ecuación general de quinto grado no puede haber una solución formal articulada en torno a los coeficientes de la ecuación y a las operaciones algebraicas de suma, resta, multiplicación, división y extracción de raíces. La fórmula de la solución de la ecuación de cuarto grado no tiene equivalente para grado mayor o igual que cinco.
La demostración de Abel no es sencilla y no va a ser explicada aquí. Basta decir que, asumiendo que la ecuación general de quinto grado es resoluble, llegó finalmente a la contradicción de que una cierta expresión, desde un punto de vista tomaba exactamente cinco valores diferentes, pero vista desde otro, tomaba 5! = 120 valores distintos. Tal absurdo permitió a Abel, volviendo al origen de su argumento, concluir que su inicial hipótesis de solubilidad era insostenible.
Así pues, la búsqueda durante todo ese tiempo había resultado inútil. Una solución por radicales para la ecuación de quinto grado (o para cualquier ecuación de grado superior) era tan imposible como intentar encontrar una fracción cuyo cuadrado sea 2. Las operaciones algebraicas habituales no son lo suficientemente poderosas como para resolver ecuaciones salvo que sean de grado pequeño.
Consideraciones de este tipo demostraron ciertamente las limitaciones del álgebra, pero también llevaron a un nuevo y más profundo conocimiento de la materia. Se puede encontrar el origen de conceptos tales como grupo y cuerpo (piedras angulares del álgebra abstracta moderna) en problemas concretos como éste provenientes del siglo XIX[146].
Por cierto, observamos que el descubrimiento de Abel tiene otra consecuencia (menor): sacó a Euler del apuro por su fracaso en resolver la ecuación de quinto grado. Difícilmente se puede culpar a alguien por no conseguir lo imposible.
Peor parado sale Euler en relación con el teorema fundamental del álgebra ya que se logró una demostración sin que hubiesen transcurrido dos décadas desde su fallecimiento[147]. Apareció en 1799 en la disertación doctoral de Cari Friedrich Gauss, un tratado con el prolijo título de Una nueva demostración del teorema de que toda función algebraica racional y entera [es decir, todo polinomio con coeficientes reales] puede ser descompuesta en factores reales de primer o segundo grado”[148].
Gauss comenzó su tesis con una crítica a los intentos de demostración anteriores. Cuando analizó el razonamiento de Euler, mencionó los argumentos anteriormente citados y calificó a las misteriosas e hipotéticas raíces de Euler como indefinidas. Para Gauss, el intento de Euler carecía de “la claridad que se requiere en matemáticas”[149]. Él intentó proporcionar esta claridad no sólo en su disertación sino también en demostraciones de los años 1815, 1816 y 1848.
En nuestros días, el teorema fundamental del álgebra tiende a ser demostrado dentro de un curso de análisis complejo. Allí, se consideran funciones que aplican números complejos a números complejos y se analizan sus propiedades analíticas, es decir, condiciones de contorno, diferenciabilidad e integrabilidad. Como se comentó en el capítulo anterior, tales temas se convirtieron en la pasión de matemáticos del siglo XIX como Cauchy, Riemann y Weierstrass. Aunque no podemos proporcionar los detalles completos en el espacio de que disponemos, acabaremos este epílogo con un esbozo de la demostración del problema fundamental. Lo formulamos primero en su forma moderna:
Cualquier polinomio de grado n (n > 1) con coeficientes complejos puede ser factorizado en n factores complejos lineales.
Más formalmente,
Si

donde n ≥ 1 y cn > cn-1>…>c2>c1 > c0 son números complejos con cn ≠ 0, entonces existen números complejos α1, α2,..., αn tales que

Esta proposición se ve hoy con mayor generalidad que en la época de Euler. Ahora la transferimos enteramente al campo de los números complejos, donde al polinomio con el que empezamos no se le pide que tenga coeficientes reales. Estamos considerando por tanto expresiones como

A pesar del aparente incremento en dificultad, el teorema fundamental es todavía válido. Garantiza que existen, para este ejemplo específico, siete factores de primer grado que tienen, por supuesto, coeficientes complejos.
Como requisito previo para demostrar el teorema, se necesitan varias ideas. Una de las más importantes es la interpretación geométrica de un número complejo. La idea, avanzada después de la muerte de Euler por Caspar Wessel (1745-1818), Jean- Robert Argand (1768-1822) y Gauss, consiste en introducir el así llamado plano complejo que tiene un eje real horizontal y un eje imaginario vertical.
Como se muestra en la Figura 6.3, el número complejo z = a + bi es representado geométricamente como el punto (a, b) en el plano complejo. Aunque es un concepto sencillo, esta relación entre el álgebra y la geometría de los números complejos es extremadamente potente.
Un segundo requisito previo es la noción de módulo,que es el equivalente al valor absoluto en las magnitudes reales. Dado un número complejo z = a + bi, definimos módulo de z como |z| = √(a2 + b2). En la representación geométrica antes mencionada, el módulo es exactamente la longitud del segmento que une el origen con el punto (a,b) y representa, en este sentido, la longitud del número complejo.

Figura 6.3
Al hilo de todo ello se introduce la idea de función complejaw = f(z), donde tanto z como w son complejos. Como vimos en el capítulo anterior, Euler hizo justamente esto cuando definió el seno, el coseno, la exponencial y el logaritmo de variables complejas.
Especificaremos ahora lo que significa que una función compleja esté acotada.Una vez más, nuestra motivación proviene del concepto análogo que existe en los números reales. Decimos que f está acotada en un conjunto S de números complejos si existe un número real positivo M tal que |f(z)| ≤ M para cualquier z de S. Esto significa geométricamente que, cuando z recorre los números complejos de S, su imagen f(z) está dentro de un círculo de radio M con centro en el origen.
Necesitaremos finalmente las nociones de límite complejo y derivada compleja. Ésta última, cuyo antecedente obvio es la derivada del cálculo, se define por

siempre que exista el límite. Si la derivada compleja existe para todos los puntos z de un conjunto dado, decimos que la función f es analítica en ese conjunto. Una función analítica en el conjunto de todos los números complejos se dice que es entera.
Después de esta rápida introducción, pasamos a enunciar un importante teorema llamado con el nombre del matemático del siglo XIX Joseph Liouville (1809-1882):
Teorema de Liouville
Una función compleja entera y acotada es constante.
A primera vista, esto parece incoherente. Afirma que si una función compleja es entera (es decir, derivable en todas partes) y también acotada (de tal forma que aplica todos los números complejos en un círculo de radio finito), entonces la función debe ser constante, que es lo mismo que decir trivial.
Nadie va a poner reparos, ya que una función constante es entera y acotada. Que la recíproca se dé también sí que es una sorpresa. El escéptico podría mencionar la función f(x) = cos x como contraejemplo. Después de todo, sabemos por el cálculo que cos x es derivable en todos los puntos (entera) y acotada (porque |cos x| ≤ 1 para todo x real). Sin embargo, la función coseno no es constante.
Bastante cierto. Pero Liouville estaba considerando funciones cuyo dominio es el conjunto de todos los números complejos.
Como vimos en el último capítulo. Euler definió con éxito la función coseno para cualquier complejo z. Por supuesto, el resultado era entero y no constante. Pero, igual que hemos resuelto cos z = 2, podríamos también haber resuelto cos z = M para cualquier M ≥ 1. Por supuesto, la función coseno no está acotada en el conjunto de todos los números complejos y, por lo tanto, no nos proporciona un contraejemplo para el teorema de Liouville.
Insistimos en que, cuando se hacen en su totalidad, los prolegómenos antes mencionados pueden llevar varios meses de un curso de análisis complejo. Aquí se está condensando inmisericordemente. Sin embargo, ahora podemos abordar el teorema fundamental del álgebra. Comenzamos con un lema clave:
Lema
Si P(z) es un polinomio complejo no constante, entonces la ecuación P(z) = 0 tiene al menos una solución compleja.
Demostración
Razonamos por reducción al absurdo. Si P no es nunca cero, entonces la función inversa f(z) = 1/P(z) = 0 es tal que:
- f está definida para todo z complejo;
- f es entera y con derivada, por la regla de la cadena, f’(z) = - P’(z)/[P(z)]2
- f está acotada.
Esta última condición trae consigo detalles que nos llevarían más allá de los propósitos de este capítulo.
Por tanto, es una función entera y acotada que, según el teorema de Liouville, debe ser constante. Pero si f es constante, también lo es su inversa P, lo que está en contradicción con la hipótesis de que P es un polinomio no constante. C.Q.D.
* * * *
Dejando atrás el lema, el teorema fundamental del álgebra se obtiene fácilmente:
Teorema
Cualquier polinomio de grado n (n ≥ 1) con coeficientes complejos puede ser factorizado en n factores complejos lineales.
Demostración
Sea P tal polinomio. Según el lema, existe un número complejo α1 para el que P(α1) = 0. Esto significa que z - α1 es un factor de P(z), y, por tanto, P(z) = (z – α1)∙Q(z), donde Q es un polinomio de grado (n - 1). Aplicamos el lema a Q y encontramos un α2 tal que P(z) = (z – α1) (z - α2)∙R (z), donde R es de grado n - 2. Prosiguiendo de esta forma y reduciendo un grado en cada paso, llegamos a
P(z) = cn(z- α1) (z - α2) ... (z – αn)
y el teorema fundamental del álgebra está demostrado. C. Q. D.
* * * *
Insistimos de nuevo en que completar todos los detalles es una empresa de gran calado. En particular, el teorema de Liouville se apoya en una extensa base matemática, una base que quedaba fuera del alcance de la visión (del siglo XVIII) de Euler.
Hemos concluido con estas dos historias algebraicas, relatos que nos dan una valiosa lección no sólo sobre matemáticas sino también sobre nuestros predecesores matemáticos. En ambos casos, la solución final esquivó a Euler, y los nombres reconocidos en los libros de historia (Abel, Gauss y Liouville) son los de sus sucesores.
Que hasta Euler se quedase corto puede reconfortar a matemáticos menores (una categoría en la que virtualmente están incluidos casi todos en la historia). Sin embargo, antes de que arrojemos su trabajo a la papelera, podríamos al menos dar a Euler un modesto aplauso por la característica inteligencia, audacia y agilidad mental demostrada en los resultados algebraicos de este capítulo. Incluso cuando tropezaba, Leonhard Euler daba toda una lección. Es, quizá, la marca del genio.
Capítulo 7
Euler y la geometría
Nadie sostendría que el legado matemático de Euler se basa principalmente en sus contribuciones a la geometría. Vivió más de 20 siglos después de la edad de oro de Grecia y unas décadas antes de la revolución no-euclídea, pero en el panteón de nombres ilustres de la geometría, donde los nombres de Euclides y Arquímedes, Apolonio y Lobachevski están grabados en grandes letras, Leonhard Euler tendría un lugar en un lateral próximo al corredor principal.
Sin embargo, es erróneo deducir de ello que Euler ignorase esta materia fascinante y eterna. Por el contrario, cuatro volúmenes de su Opera Omnia, que totalizan casi 1600 páginas, están dedicados a la investigación en geometría. Una parte de su trabajo se puede clasificar bajo el epígrafe de geometría sintética, es decir, la geometría habitual de Euclides que no utiliza ejes de coordenadas en el plano. Sin embargo, la mayoría de sus trabajos geométricos son del tipo analítico, en la que nos auxiliamos de ejes y en la que aplicó libremente sus poderes algebraicos a diferentes temas de interés.
Veremos en este capítulo dos ejemplos de la geometría de Euler: su demostración de la fórmula de Herón y su descubrimiento de lo que ahora se denomina recta de Euler de un triángulo. La primera es sintética, la otra es analítica. La primera abría un camino nuevo para un destino ya conocido, la segunda era un camino nuevo que llevaba a un nuevo destino. Tomadas en conjunto, nos sugieren que en geometría, como en tantos otros temas, Leonhard Euler era un talento con el que había que contar.
Preparemos el escenario con algunas nociones previas, pero esto nos hace necesario volver la vista atrás, como era de esperar, hacia el trabajo de los antiguos griegos.
Prólogo
El período clásico de la civilización griega se extendió a lo largo de varios siglos y vio la llegada de avances extraordinarios en ciencia, literatura, arte y filosofía. Incluso hoy, más de 2000 años después, las personas cultas de todo el mundo identifican los nombres de Homero, Platón y Aristóteles. Pero quizá ningún logro de la antigua Grecia resultó más glorioso que la creación de la matemática axiomática y demostrativa. Y es importante recordar que para los griegos, matemáticas era más bien sinónimo de geometría.
La forma en que las abordaban se ha convertido en normal: a partir de un limitado conjunto de postulados cuidadosamente seleccionados, se deducen proposiciones cada vez más sofisticadas, basándose cada demostración en la anterior. De esta forma, el matemático erige un edificio de ideas sobre una base de axiomas sencillos.
Un esquema deductivo de este tipo se aprecia sobre todo en los Elementos de Euclides, un trabajo que influiría directa o indirectamente en todo lo que vino a continuación. Fue el matemático árabe Al-Qifti (fallecido hacia 1248) el que observó: “no, no hubo nadie, incluso en fechas muy posteriores que no siguiese los pasos [de Euclides]”[150]. Discípulos como Arquímedes, Apolonio, Ptolomeo y Herón, por citar sólo unos pocos, extenderían la obra de Euclides y dejarían sus propias marcas indelebles en el paisaje geométrico.
Para hacer comprensibles las contribuciones de Euler, vamos a comenzar con unos cuantos resultados sobre triángulos que eran bien conocidos para los geómetras griegos. Más específicamente, estudiaremos cuatro puntos: ortocentro, baricentro, incentro y circuncentro, que existen en todos los triángulos, junto con el teorema de Herón para determinar el área de un triángulo a partir de las longitudes de sus lados.
Puntos notables de un triángulo
A lo largo de este capítulo vamos a considerar un triángulo genérico ABC, con lados de longitud a, b y c y ángulos de medida 𝛼, 𝛽 y γ, como se puede ver en la Figura 7.1 (en ella se ha dibujado un triángulo escaleno, pero las demostraciones pueden modificarse para adaptarlas a triángulos rectángulos y obtusángulos). Hay cuatro puntos notables asociados al triángulo:

Figura 7.1
1. El ortocentroes la intersección de las tres alturas del triángulo. Es un asunto rutinario demostrar que las tres alturas se cortan en un punto, que llamaremos O en la Figura 7.2 y en todo este capítulo. Ya de paso diremos que se pueden encontrar libros de texto antiguos en los que el ortocentro es llamado el punto arquimediano de un triángulo, lo que atestigua su origen clásico[151].

Figura 7.2
2. El baricentro es la intersección de las tres medianas, es decir, las rectas que van de cada vértice al punto medio del lado opuesto. Es otra vez un ejercicio rutinario demostrar que las medianas son concurrentes y que el baricentro se encuentra exactamente a dos tercios de la distancia de cada vértice al punto medio opuesto. El baricentro, señalado como G en la Figura 7.3, es también el centro de gravedad del triángulo y, tiene por tanto un significado importante en física. Arquímedes lo estudió en su proposición 13 del primer libro de Sobre el equilibrio de los planos, fechado alrededor del 225 a.C. (para más detalles consultar el Capítulo 6 de Arquímedes. Alrededor del círculo, nº 1 de esta misma colección)[152].

Figura 7.3
3. El circuncentro,como su nombre sugiere es el centro de la circunferencia circunscrita al triángulo. Es la intersección de las mediatrices de los tres lados y es denominado H en la Figura 7.4. Obviamente, el radio de la circunferencia circunscrita es r = AH = BH = CH. Este tema fue tratado por Euclides en la proposición 5 del Libro IV de los Elementos.

Figura 7.4
4. El incentroes el centro de la circunferencia inscrita en el triángulo. Como se demuestra en el Libro IV, proposición 4 de los Elementos, el incentro es la intersección de las bisectrices de los tres ángulos del triángulo.

Figura 7.5
Se le ha denominado I en la Figura 7.5. El radio de la circunferencia inscrita es la distancia perpendicular desde I a cualquiera de los tres lados, es decir, r = IS = IT = IU.
De estos cuatro puntos, el incentro es quizá el más especial de todos, ya que conduce a la descomposición de cualquier triángulo en tres subtriángulos (ver Figura 7.5):

donde s = (a + b +c)/2 es el semiperímetro de ABC. En otras palabras, el área de cualquier triángulo es el producto de su semiperímetro por el radio de la circunferencia inscrita. Además de ser importante por derecho propio, esta propiedad es crítica a la hora de demostrar la fórmula de Herón.
El incentro tiene otro significado. Volvamos de nuevo a la Figura 7.5, la recta IA no sólo es la bisectriz del ángulo BAC, sino que es también la hipotenusa que comparten los triángulos ISA e IUA, por lo que la igualdad de ambos triángulos es inmediata. Por tanto x = AS = AU. Un argumento análogo nos permite ver que y = BT = BS y z = CT = CU.
Pero todavía hay más. Claramente se ve que a = y + z, b = x + z y c = x + y, y, por tanto:

En consecuencia

Todo esto, aunque sin utilizar la moderna notación algebraica, ya era conocido por los griegos.
Fórmula de Herón pan» el área de un triángulo
Aquí tenemos uno de los tesoros de la geometría clásica. No resulta sorprendente decir que las longitudes de los tres lados de un triángulo determinan inequívocamente su área. Lo que resulta sorprendente, sin embargo, es la complejidad de la fórmula necesaria para calcularla.
Hacia el siglo II. Herón de Alejandría demostró que el área de un triángulo con lados de longitud a, b y c viene dada por

donde s es el semiperímetro antes mencionado. Esta fórmula parece demasiado complicada para una idea tan simple, pero así son las peculiaridades de la geometría euclídea.
Una demostración de Herón era perversamente inteligente. Comenzaba inscribiendo una circunferencia dentro del triángulo, luego trataba una multitud de líneas auxiliares, invocaba datos conocidos sobre cuadriláteros inscritos en circunferencias y hacía un uso reiterado de triángulos similares de tal forma que daba la impresión de que iba a la deriva. Sin embargo, en el último momento, juntaba todas las piezas y demostraba el resultado. Los lectores quedaban perplejos por un desenlace tan sorprendente.
Hay tres razones que nos llevan a no ver en profundidad los detalles del razonamiento de Herón. Primero, que aunque éstos contienen algunas de las deducciones más espectaculares de la geometría griega, nos apartarían de nuestro propósito. Segundo, la demostración se halla en muchos otros sitios[153]. Finalmente, el hecho de que vamos a examinar la demostración de Euler, y otras dos más, antes que este capítulo haya finalizado.
Aparece Euler
Leonhard Euler conocía, por supuesto, la fórmula de Herón, a la que calificaba de “regla memorable". En un artículo de 1747 que llevaba el poco Imaginativo título de Variue demonstrationes geometricae, Euler proporcionaba una demostración sintética de la fórmula de Herón, más o menos al estilo griego, en la que proclamaba que “no se ve ningún vestigio de análisis”. Como pronto será evidente, cumplió su promesa[154] (Advertencia: pedimos disculpas por adoptar la práctica habitual de la época de Euler y no distinguir entre un ángulo y su medida o entre congruencia e igualdad).
Teorema
Si el triángulo ABC tiene por lados a, b y c y como semiperímetro s = (a + b + c)/2, entonces su área es √[s(s - a)(s - b)(s - c)]

Figura 7.6
Demostración
Comenzamos como siempre con un triángulo ABC de lados a, b y c y ángulos α, β y γ. Siguiendo el camino marcado por Herón, Euler inscribe primero una circunferencia dentro del triángulo. Sea I el centro de esta circunferencia inscrita de radio r = IS = IU, como se aprecia en la Figura 7.6. Recordamos que cuando vimos la construcción del incentro vimos que las rectas IA, IB e IC son las bisectrices de los ángulos del triángulo ABC, siendo los ángulos IAB = α/2, IBA = β/2 y ICA = γ/2
Euler prolongó la recta BI y trazó una perpendicular a ella que pasaba por el punto A y que cortaba a la recta en V (Euler dibujó todas estas rectas en el interior del triángulo, pero la demostración puede modificarse si caen fuera de la figura). Euler llamó N a la intersección de las prolongaciones del segmento AV y del radio IS. Luego prescindió de la regla y el compás ya que no se necesitaban más construcciones en esta demostración, lo que hacía que los preliminares fueran mucho más sencillos que en la demostración de Herón de hacía 1600 años.
Como el ángulo AIV es un ángulo exterior del triángulo AIB, Euler observó que
AIV = IAB + IBA = α/2 + β/2
Más aún, como el triángulo AIV es rectángulo, sabía que el ángulo AIV y el IAV eran complementarios. De ello se deduce que
α/2 + β/2 +IAV = 90º
Pero α/2 + β/2 + γ/2 es igual también a 90°, por lo que el ángulo IAV = γ/2 = ICU.
Con esto dedujo Euler la semejanza de los triángulos rectángulos IAV e ICU y, por tanto, la proporción
AV/IV = CU/IU = z/r (7.1)
Claramente se ve que los triángulos NIV y NAS son semejantes al igual que lo son el NAS y el BAV, por lo que también deben serlo el NIV y el BAV. Por tanto,
AV/AB = IV/IN
o de forma equivalente
AV/IV = AB/IN (7.2)
Combinando las expresiones (7.1) y (7.2) se tiene
z/r = AB/IN = (x + y)/(SN – r)
y, por tanto,
z∙(SN) = r∙(x + y + z) = rs (7.3)
se necesita todavía un ingrediente más, el valor de SN. Como los ángulos BIS y VIN son opuestos por el vértice, son iguales, y en consecuencia
IBS = 90° - BIS = 90º - VIN = ANS
En consecuencia el triángulo NAS y el BIS son semejantes, de lo que Euler dedujo la proporción
SN/AS = BS/IS
Esto hace que,
SN/x = y/r
o más sencillamente,
SN = (xy)/r
Euler concluyó triunfalmente:

C.Q.D
* * * *
Ésta es una demostración muy ingeniosa del teorema de Herón, que nos proporciona una visión de Euler el Elegante.
Pero Euler estaba haciendo ejercicios de calentamiento. En un artículo de 1767, Euler volvió a dedicar su atención a la más sencilla de las figuras en el plano, el triángulo. Pero esta vez, en lugar de centrar su atención en el área del triángulo, examinó las relaciones entre los puntos notables del triángulo vistos anteriormente. Al hacer esto, descubrió un hecho destacable: el ortocentro, el baricentro y el circuncentro de cualquier triángulo están sobre la misma recta, estando el baricentro dos veces más lejos del ortocentro que del circuncentro. Los miles de geómetras que le habían precedido, de Euclides y Arquímedes a Herón, habían pasado por alto esta propiedad fundamental de los triángulos. En homenaje a su descubridor, este segmento que contiene esos tres puntos recibe actualmente el nombre de recta de Euler.
Vamos a examinar en detalle su razonamiento[155]. En el curso de éste se pide al lector que observe cómo utiliza Euler las herramientas de la geometría clásica: triángulos equivalentes, bisectrices perpendiculares y, de forma estelar, la fórmula de Herón. Pero tendrá que observar también, en contraste con la demostración que acabamos de ver, que Euler también emplea las técnicas de la geometría analítica. Ya desde el principio, sitúa los ejes de coordenadas sobre el plano y, después de algunos preliminares, hace uso de la fórmula cartesiana de la distancia entre dos puntos
d = √[(x1 - x2)2 + (y1 - y2)2]
para alcanzar su objetivo. Esto proporciona a su trabajo un aire decididamente algebraico en el que la conclusión surge de una maraña de fórmulas. En cierto sentido, la demostración es una mezcla de intuición geométrica y de perseverancia algebraica.

Figura 7.7
Comienza con un triángulo arbitrario ABC que tiene lados de longitud a, b y c. Sin pérdida de generalidad, lo sitúa en un plano cartesiano con A en el origen y B en el eje x, como se representa en la Figura 7.7.
Euler emplea la fórmula de Herón. Por simplificar la notación llamaremos K al área del triángulo ABC, de tal forma que

Elevando al cuadrado y simplificando, se convierte en:

Esta ecuación va a aparecer repetidamente en la demostración de Euler.
Su estrategia era tan directa como disuasoria: iba a calcular las coordenadas de los tres puntos notables en términos de a, b, c y K para luego utilizar estas coordenadas para determinar la relación entre el ortocentro, el baricentro y el circuncentro.
El ortocentro (O)
Comencemos con el ortocentro O de la Figura 7.8, donde AM y CP son las alturas.

Figura 7.8
Aplicando primero el teorema del coseno al triángulo ABC:
a2 = b2 + c2 - 2bc cos α = b2 + c2 - 2bc(AP/b) = b2 + c2 - 2c AP
De esta forma
AP = (b2 + c2 - a2)/2c
El mismo razonamiento sirve para mostrar que
BM = (a2 + c2 - b2)/2a
Más aún,
K = Área (∆ ABC) = (BC)∙(AM)/2, por tanto, AM = 2K/a
La semejanza de los triángulos ABM y AOP implica que
BM/AM = OP/AP
por lo que

Por tanto, el ortocentro O tiene como coordenadas

El baricentro (G)
En la Figura 7.9, R es el punto medio de AB y L el punto medio de BC. Hemos dibujado las medianas CR y AL que se cortan en el baricentro G. También hemos dibujado la altura CP que se consideró al tratar del ortocentro.

Figura 7.9
Observamos que K = Área (∆ ABC) = 1/2 AB∙CP , por lo que CP = 2K/c
Trazamos la recta GQ perpendicular a AB. Se ve que el triángulo RQG es semejante al RPC, por lo que
RQ/RP = RG/RC = 1/3
según el conocido teorema del baricentro ya mencionado en el prólogo de este capítulo. Utilizando esto y la definición de mediana, deducimos que:

según nuestro razonamiento anterior sobre AP.
Ésta es la abscisa del baricentro.
Para determinar su ordenada, regresamos a los triángulos semejantes RQG y RPC.
De GQ/CP = RG/RC = 1/3, se deduce que GQ = 1/3 (CP) = 2K/3c.
Por tanto las coordenadas del baricentro son

El circuncentro (H)
El diagrama correspondiente es ahora la Figura 7.10, donde (otra vez) R es el punto medio de AB y D es el punto medio de AC.

Figura 7.10
Trazamos por estos puntos las mediatrices que se cortan en el circuncentro H. Trazamos también la altura AM cuya longitud, anteriormente calculada, es AM = 2K/a.
Aplicando el teorema del coseno al triángulo ABC obtenemos
c2 = a2 + b2 - 2ab cos γ = a2 + b2 - 2ab(CM/b) = = a2 + b2 - 2aCM
por lo que
CM = (a2 + b2 + c2)/2a
A continuación, refiriéndonos a la circunferencia circunscrita, vemos que la medida del ángulo ACB es la mitad del arco que abarca AB, que es lo mismo que decir, el arco AX. Pero la medida del ángulo central AHR es también la del arco AX.
Vemos que el ángulo ACB es igual a AHR y que, por tanto, el triángulo ACM es semejante al AHR. De aquí se deduce la proporción
HR/AR = CM/AM
En consecuencia,

y el circuncentro H tiene por coordenadas

En resumen, Euler encontró las coordenadas de los tres puntos notables:
Ortocentro O:

Baricentro G:

Circuncentro:

Desgraciadamente, estaba todavía lejos de su objetivo, porque le faltaba por determinar las longitudes de los segmentos OG, OH y GH. Muchos matemáticos hubieran caído en la desesperación, pero Euler continuó tan contento. Su única concesión al aburrimiento, menor, fue utilizar los cuadrados de las longitudes antes que las mismas longitudes. Nos remitimos a las coordenadas anteriormente vistas, respiramos profundamente y le seguimos en su viaje.

La fórmula de Herón, tal como se expresa en la ecuación (7.4), puede utilizarse para simplificar el numerador del segundo miembro, obteniéndose

lo que (afortunadamente) es suficiente para lo que necesitamos.
Lo siguiente fue:

Aplicando, como antes (7.4), simplificamos el numerador del segundo miembro:

Finalmente, calculamos:

Llegado aquí, Euler junta todos los elementos algebraico/geométricos necesarios para llegar a su conclusión.
Teorema
En cualquier triángulo, el ortocentro O, el baricentro G y el circuncentro H están alineados, con OG = 2(GH) y OH = 3(GH)
Demostración
Sea d = GH y considerando los resultados anteriores:

Por tanto OG = 2 (GH) = 2d. Esto significa que el baricentro dista del ortocentro el doble que del circuncentro.


Figura 7.11
Estos cálculos muestran que los tres puntos son diferentes salvo que d = 0, un fenómeno que se da sólo en un triángulo equilátero. Y, lo que es más significativo, garantizan que O, G y H están en la misma recta, ya que
OH = 3d = 2d + d = OG + GH
como se muestra en la Figura 7.11. Si los puntos no estuvieran alineados, se tendría que verificar que
OH < OG + GH C.Q.D.
Éste es, por tanto, el origen de la recta de Euler, una propiedad de los triángulos que fue muy adecuadamente calificada por David Wells como el famoso teorema de Euler[156]. Es por esto, más que por cualquier otra cosa, por lo que Euler tiene un sitio en el panteón de nombres ilustres de la geometría.
Hemos incluido su razonamiento junto con su demostración de la fórmula de Herón por dos razones. La primera, porque demuestran que el gran analista, algebrista y teórico de los números del siglo XVIII era capaz de hacer cosas significativas en geometría. Su versatilidad matemática no tenía límites.
Pero estas dos demostraciones sirven para un propósito adicional: representar a los bandos enfrentados en una controversia que se remonta a la época de Descartes. El objeto del debate era el papel que en la geometría debía representar la recién llegada álgebra.
Consideremos la demostración de Euler para la fórmula de Herón. Ésta es una muestra (en palabras de Euler) de pura geometría. Por el contrario, la recta de Euler era hija de la revolución cartesiana. Euclides no hubiera entendido nada.
En opinión de ciertos matemáticos del pasado, ésta última es inferior a la antigua. Su objeción a la geometría analítica era principalmente estética, ya que la geometría pura requiere a menudo un punto de intuición, que habitualmente se conoce como inspiración. Por ejemplo, ¿cómo supo construir Euler el triángulo NIV en su demostración de la fórmula de Herón? ¿Cómo sabía él que los triángulos semejantes le serían útiles para llegar a la conclusión deseada? En resumen, ¿cómo sabía qué hacer?
En última instancia, la respuesta a esta pregunta se halla en el misterioso territorio de la imaginación humana. Por lo mismo, también se podría preguntar a Shakespeare por qué incluyó la escena del balcón en Romeo y Julieta. Sí, es un elemento importante en el desarrollo de los personajes y en la trama, pero los amantes bien pudieran haberse encontrado en un jardín, un bosque o una plaza. La elección del balcón fue estética y no necesita más justificación que decir que funcionó, y funcionó maravillosamente. Se nos permite apreciar la absoluta belleza del momento. De la misma forma, apreciamos los elementos estéticos presentes en la mejor geometría sintética.
Esto contrasta con el segundo de los argumentos anteriores. Después de haber determinado que necesitaba las coordenadas de los tres puntos notables Euler los calculó algebraicamente[157]. Fue brutal (seremos aquí sinceros). Sus cálculos, según la apropiada descripción de Eduard Study, resuenan con “el estruendo del molino de coordenadas”. Por supuesto, uno puede preguntarse si la geometría analítica es realmente geometría. Carente de gracia y elegancia, dependiente de lo que Carnot llamó “los jeroglíficos del análisis”, ¿no es una mera aplicación de una fuerza algebraica inexorable?[158].
Hubo una vez un tiempo en que el desdén hacia la geometría analítica fue grande, llevando a matemáticos como Michel Chasles (1793-1880), Gaspard Monge (1746-1818) y Jakob Steiner (1796-1863) a rechazar tales métodos por no resultar ni bellos ni elegantes. Igual que rechazaríamos a un montañero que alcanzase la cima del Everest tirándose desde un avión en paracaídas, también los puristas despreciaban las demostraciones geométricas que eran tan algebraicas como la demostración de la recta de Euler. Algunos incluso lamentaban la invención de la geometría analítica y, en palabras del historiador Morris Kline, buscaban vengarse de Descartes.
No es sorprendente que hubiera una réplica. La geometría analítica, después de todo, tenía una fuerza incuestionable, ilustrada ampliamente por la demostración anterior, ya que proporcionaba un método general. Establecía relaciones cuyo significado geométrico podía estar poco claro, pero cuya validez algebraica era indiscutible. Y no dependía de instantes de divina inspiración. Jean-Victor Poncelet (1788-1867), que no era un gran admirador de la geometría cartesiana, admitía este último punto al escribir:
“Mientras la geometría analítica ofrece su característico método general y uniforme como forma de proceder en la resolución de problemas. la otra [la geometría clásica] actúa al azar y depende completamente de la sagacidad de los que la emplean”[159]
El tiempo es capaz de transformar álgidas discusiones en inofensivas notas a pie de página. Pocos matemáticos se sienten obligados hoy día a tomar partido en la batalla entre la geometría sintética y la analítica. Por el contrario, las dos demostraciones de Euler que hemos visto ilustran perfectamente la importancia de disponer de varias herramientas en el taller geométrico. En la primera demostración, vimos a Euler el Elegante, en la segunda nos encontramos con Euler el Laborioso.
Epílogo
Como habíamos prometido, el epílogo contendrá dos demostraciones adicionales de la fórmula de Herón. Ambas comienzan, al igual que hicieron Herón y Euler, a partir del incentro del triángulo. Pero ahora vamos a aprovecharnos de la capacidad de la trigonometría, y vamos por tanto a mejorar significativamente estas demostraciones[160].
Teorema
El área del triángulo ABC es

Demostración
Figura 7.12
En la Figura 7.12 vamos a considerar el triángulo ABC en dos formas diferentes, ambas vistas anteriormente. A la izquierda hemos dibujado el triángulo con su incentro 1, a la derecha hemos dibujada la altura CP de longitud h.
Del dibujo de la izquierda, deducimos que

y del de la derecha deducimos que sen α = h/b. Por tanto,

y, en consecuencia,

Multiplicando en cruz y simplificando llegamos a:
s(r2 + x2) = x(x + y)(x + z) = x[x(x + y +z)] = x[xs + yz]
De lo que se deduce que sr2 + sx2 = sx2 + xyz , que equivale a
sr2 =xyz
Pero entonces
Área (∆ ABC) = rs = √[s(sr2)] = √[s(xyz)] = √[s(s - a)(s-b)(s-c)]
que es la fórmula de Herón. C.Q.D.
* * * *
Esta demostración muestra el interés que tiene combinar lo viejo (la circunferencia inscrita de Herón) y lo nuevo (la trigonometría). Pero en lo relativo a eficiencia total, es difícil batir a la siguiente demostración[161]:
Teorema
El área del triángulo ABC es

Demostración
Observemos que si δ y θ son positivas, de tal forma que δ + θ = π/2, entonces (tan δ)(tan θ) = (tan δ)(cotan δ) = 1. Por tanto, si el triángulo ABC tiene como ángulos α, β y γ sabemos que

y, por tanto,

Aplicando esta igualdad a nuestro triángulo y a su circunferencia inscrita como aparece en la Figura 7.13:

Figura 7.13

Simplificando, tenemos
xyz = z2 (x + y + z) = r2s ,
y el razonamiento continúa a partir de aquí como en la demostración anterior. C.Q.D.
* * * *
Después de haber demostrado tres veces en este capítulo la fórmula de Herón, confiamos en que el lector la crea incondicionalmente.
¿Y qué pasa con la recta de Euler? Recordemos que Euler publicó su descubrimiento en 1767. Hay que puntualizar que la geometría experimentó un cierto renacimiento en el siglo siguiente y lo que parecía ser una disciplina muerta se revitalizó de repente. Es seguramente inexacto atribuir esto enteramente a la influencia de Euler, aunque sus sucesores no pudieron dejar de constatar que este matemático eminente había considerado a la geometría del plano tan merecedora de su atención.
Por supuesto, que una buena parte de este interés renovado puede explicarse por el descubrimiento en la primera mitad del siglo XIX de la geometría no euclídea y por el casi simultáneo florecimiento de la geometría proyectiva. Pero una gran parte del esfuerzo de investigación se orientó hacia la geometría euclídea clásica. “Es verdaderamente sorprendente”, escribió el historiador de las matemáticas Florian Cajori, “que... se hayan descubierto nuevos teoremas relativos a figuras tan sencillas como el triángulo y la circunferencia, que habían sido examinadas cuidadosamente por los griegos y por la larga lista de geómetras que continuaron su labor”[162].
Antes de que hubiese transcurrido un siglo desde el descubrimiento de la recta de Euler, los matemáticos habían descubierto nuevas y curiosas propiedades del triángulo y la geometría euclídea incluía ahora conceptos como el punto de Nagel, el punto de Georgonne y la circunferencia de Feuerbach. Hasta el emperador francés hizo un descubrimiento que hoy se conoce como el teorema de Napoleón. Si los griegos nos proporcionaron la edad de oro de la geometría, el siglo posterior a Euler bien pudiera considerarse como la edad de plata.

Figura 7.14
Veremos aquí sólo uno de estos temas, la circunferencia de Feuerbach, porque se relaciona directamente con la recta de Euler. Comenzamos en el triángulo ABC de la Figura 7.14 y, siendo consecuentes con la notación anteriormente empleada, llamemos R, L y D a los puntos medios de los tres lados y AM, BY y CP a las tres alturas que se cortan en el ortocentro O. Llamemos además al punto medio del segmento AO, al punto medio del segmento OB y M3 al punto medio de OC.
Estamos ya en condiciones de formular el teorema y para ello vamos a utilizar las palabras de sus descubridores : Poncelet y C. J. Brianchon (1785-1864):
“La circunferencia que pasa por los pies de las rectas perpendiculares trazadas desde los vértices de cualquier triángulo a los lados opuestos, pasa también por los puntos medios de estos lados y por los puntos medios de los segmentos que unen los vértices con el punto de intersección de las perpendiculares”[163].
Es decir, los nueve puntos M, Y y P (los pies de las tres alturas); R, L y D (los puntos medios de los lados); y M1 M2 y M3están todos en la misma circunferencia. Más aún, y aquí la trama se hace más compleja, el centro de esta circunferencia es el punto medio de la recta de Euler y su radio es la mitad del de la circunferencia circunscrita. Dentro del aparentemente sencillo triángulo, los geómetras habían descubierto una maravillosa maraña de relaciones.
Desgraciadamente, la circunferencia de Feuerbach, como ocurre con muchas otras cosas dentro de las matemáticas, se denomina así equivocadamente. Como ya se ha dicho, fue descrita por primera vez por Poncelet y Brianchon en 1821. Un año más tarde Karl Wilhelm Feuerbach (1800-1834) se encontró trabajando con ideas parecidas, aunque no idénticas. Inspirado en el trabajo de Euler, Feuerbach publicó un artículo y, de alguna manera consiguió, que su nombre se asociase a la circunferencia de Poncelet/Brianchon.
Hoy en día, existe la tendencia a llamarla la circunferencia de los nueve puntos, una denominación menos colorista pero más exacta. Llamémosla como queramos, su existencia sigue siendo misteriosa, pues después de todo, estos nueve puntos eran perfectamente conocidos por los griegos y, sin embargo, nadie se percató de la circunferencia que los contenía hasta 1821. Esto nos recuerda de nuevo uno de los permanentes encantos de las matemáticas: su habilidad para sorprendernos.
Si la circunferencia de nueve puntos nos parece extraña, un descubrimiento posterior debe figurar entre los teoremas más peculiares de toda la geometría. Su resultado, conocido como el teorema de Morley, fue enunciado por el matemático americano Frank Morley (1860-1937) en 1899 y nos da ocasión para una rápida digresión antes de terminar este capítulo.
Mientras Euclides encontró el incentro de un triángulo trazando las bisectrices de sus tres ángulos, Morley se preguntó qué sucedería si empezásemos por trisecarlos. Por supuesto, ya en su época, se había demostrado la imposibilidad de construir una trisección con regla y compás, pero las trisectrices existen aunque no puedan construirse con las herramientas euclídeas. Morley se preguntó qué pasaría cuando se cortasen dentro del triángulo (ver Figura 7.15).

Figura 7.15
La respuesta es espectacular: sea cuál sea la naturaleza del triángulo original, las tres parejas de trisectrices forman los vértices de un triángulo equilátero. Si modificamos el triángulo original, este triángulo equilátero interno puede cambiar de orientación o de tamaño, pero los tres lados iguales y los tres ángulos de 60º están siempre presentes. Por alguna razón no intuitiva, las trisectrices crean dentro una regularidad invariante[164]. El teorema de Morley es sorprendente, difícil de demostrar y absolutamente hermoso.
La geometría ha sido descrita como la rama de las matemáticas que “más sujeta está a los cambios de moda de una época a otra”[165]. Desde su cima en la época clásica a su renacimiento en el siglo XIX o a su relativo descuido en la actualidad, la geometría ha sufrido grandes oscilaciones en su popularidad. Pero, como los teoremas de este capítulo dejan claro, la geometría de Euclides discurre más en profundidad de lo que se podría al principio imaginar, escondiendo propiedades maravillosas y extrañas detrás de fachadas engañosamente elementales. La belleza de la buena geometría, desde Herón a Euler, desde Poncelet a Morley, es indiscutible.
A aquellos que sean aún escépticos, les aconsejaría dibujar un triángulo grande, coger regla y compás y ver como el ortocentro, el baricentro y el circuncentro se alinean como por arte de magia en medio del remolino de los arcos de circunferencia necesarios para obtenerlos. La recta de Euler sigue siendo una maravilla de la geometría y un tributo digno a su descubridor, un personaje para el que la variedad era, por supuesto, la salsa de las matemáticas.
Capítulo 8
Euler y la combinatoria
La combinatoria es una rama extensa e importante de las matemáticas discretas, uno de cuyos objetivos principales es hacer recuentos de colecciones finitas de objetos. Esto puede parecer una tarea fácil, ya que, después de todo, contar no requiere habilidades de razonamiento de alto nivel.
Si, por ejemplo, tres clientes entran en una pastelería, podemos preguntar en cuántas formas diferentes pueden hacer cola ante el mostrador. Si les llamamos a, b y c, éstas son todas las posibles combinaciones
abc, acb, bac, bca, cab, cba
y si las contamos, vemos que son seis. Fácil en principio.
Algo menos sencilla es la siguiente pregunta: si en la pastelería hay 15 clases de pasteles, ¿de cuántas formas puede seleccionar una docena un cliente hambriento? Aquí debemos considerar todas las posibilidades, desde una compra en que todos los pasteles son iguales a una en que todos son de una variedad diferente.
Esta vez las posibilidades son 9 657 700. Dicho de otra forma, hay casi diez millones de cajas distintas de pasteles que un cliente podría llevarse de la pastelería. Claramente, esta respuesta no se obtuvo enumerando todas las opciones y contándolas como hicimos en el primer problema, sino que más bien el problema de los pasteles requiere el empleo de la teoría combinatoria.
Aunque la combinatoria surgió como una rama formal de las matemáticas hace relativamente poco tiempo, los problemas de enumeración tienen una larga historia. No debería ser una sorpresa el decir que Leonhard Euler hizo también su porción de descubrimientos en esta materia. Después de un breve repaso al trabajo de sus predecesores, analizaremos en detalle dos investigaciones fascinantes de Euler: una en relación con lo que él denominó un problema curioso de permutaciones restringidas y otra relativa a su perspicaz análisis de las descomposiciones de números.
Prólogo
Es imposible especificar cuál es el descubrimiento más antiguo en combinatoria, pero problemas de este tipo aparecen en la obra del matemático indio Bhaskara (1114-c. 1185). Algún tiempo después, en el sur de Francia, Levi ben Gerson (1288-1344) escribió el Maasei Hoshev o El arte del calculista, el mejor tratado premoderno sobre este tema[166]. En él, Ben Gerson demostró algunas de las fórmulas clave de la combinatoria elemental utilizando al mismo tiempo una versión anticipada de la inducción matemática.
Otros matemáticos se interesaron por el tema en los siglos siguientes. En la generación anterior a Euler, los resultados básicos de combinatoria fueron reunidos por Jakob Bernoulli en su clásico Ars Conjectandi, escrito a finales del siglo XVII, pero publicado póstumamente en 1713. Como su título sugiere, el libro estaba dedicado a la teoría de la probabilidad, y su resultado más espectacular, conocido ahora como la ley de los grandes números, es ciertamente un pilar de esa teoría. A la hora de calcular las probabilidades, Bernoulli necesitó contar las posibilidades, es decir, calcular el número de posibles ordenaciones de ciertos objetos. Esto se desarrolla en “La doctrina de las permutaciones y las combinaciones”, el segundo capítulo del Ars Conjectandi, donde proporcionó una valiosa visión general de la combinatoria alrededor de 1700.
Bernoulli comienza por reconocer la infinita variedad de la naturaleza que sobrepasa no sólo la capacidad humana para comprender sino también la de enumerar explícitamente todas las posibilidades de una determinada situación. Sin embargo, “de la mayor utilidad a la hora de contar es el arte, llamado Combinatoria, que remedia este defecto de nuestras mentes”[167].
Con el objetivo de remediar estos defectos, lo primero que hace Bernoulli es investigar las permutaciones,es decir, agrupamientos de objetos en los que importa el orden de colocación. Dio la siguiente regla: n objetos diferentes pueden agruparse en n (n - 1)(n - 2) … 3, 2, 1 formas diferentes. Por supuesto, esta expresión se escribe ahora más concisamente como n! (n factorial). Jakob calculó una tabla de valores de n! hasta 12! = 479 001 600.
Esta regla de permutación es la consecuencia inmediata del principio de multiplicación de la combinatoria, que seguramente es uno de los teoremas de las matemáticas de apariencia más inocente y que menos lo es de hecho. Afirma que si tenemos un proceso de dos pasos, el primer paso puede hacerse de m y el segundo de n formas diferentes, por tanto, el proceso entero puede completarse de m n formas distintas.
Por ejemplo, si tenemos tres letras mayúsculas A, B y C, y cuatro minúsculas e, f, g y h, el número de formas en que se puede escoger primero una mayúscula y luego una minúscula es 3∙4 = 12, como rápidamente se confirma al enumerar las posibilidades:
| Ae | Be | Ce |
| Af | Bf | Cf |
| Ag | Bg | Cg |
| Ah | Bh | Ch |
Observemos que las tres mayúsculas determinan las tres columnas y las cuatro minúsculas las cuatro filas, proporcionándonos una tabla de 3 por 4 con 3∙4 = 12 elementos. El principio de multiplicación extiende este proceso de manera obvia para tres, cuatro o cualquier otro número de pasos.
Para ilustrar el principio, Bernoulli pregunta de cuántas formas se pueden tocar algunas o todas las notas de una octava de un órgano[168]. Para cada una de las doce notas, desde un Do hasta el siguiente, hay dos opciones: tocarla o no. Por tanto, hay 2∙2∙2∙2∙= 212 = 4096 formas de proceder. Sin embargo, como una de éstas equivale a no tocar ninguna de las notas y, por tanto, a permanecer en absoluto silencio, debe ser descartada, dejando 4095 sonidos posibles. Bernoulli se olvidó de mencionar que la mayoría de éstos serían insoportablemente cacofónicos.
Volviendo a las permutaciones de n objetos distinguibles, Bernoulli observó que había n formas de escoger el primer objeto, luego n-1 formas de escoger el siguiente objeto, luego n - 2 formas de escoger el siguiente y así sucesivamente. El principio de multiplicación garantiza que hay n∙(n - 1)∙(n-2)…3∙2∙1 = n! permutaciones en total. Si sólo escogemos r ≤ n objetos, un razonamiento similar nos muestra que hay n∙(n - 1)∙(n - 2)∙(n - r + 1) variacionesde tamaño r.
Jakob Bernoulli también tuvo en cuenta las combinaciones,es decir, agrupamientos de subconjuntos no ordenados, elegidas de un conjunto mayor. Al contrario de la cola de la panadería, en una combinación de personas no importa el orden; lo que importa es quién está presente y no donde está.
En notación moderna,

indica el número de subconjuntos de r miembros escogidos dentro de un grupo de n miembros diferentes. Para calcular una fórmula para este número, aprovechamos el principio de multiplicación de la forma que sigue.
Vamos a contar en dos formas diferentes el número de permutaciones de r objetos escogidos de estos n. Por una parte, acabamos de ver que hay n(n - 1)(n - 2) … (n - r + 1) disposiciones de este tipo. Por otra, podemos considerar la creación de agrupamientos ordenados como un proceso que consta de dos pasos: primero se coge un grupo de r objetos sin que importe el orden; y, segundo, se ordenan estos r objetos de una forma especificada. Con nuestra notación, se diría que hay subconjuntos de r objetos y cada uno de ellos puede ordenarse de r! formas diferentes.
Por el principio de multiplicación, en total hay

permutaciones.
Habiendo contado dos veces las permutaciones igualamos ahora los resultados:

y, por tanto,

Por ejemplo, el número de subconjuntos diferentes formados por cuatro letras de un grupo de 26 del alfabeto es

Esta regla para las combinaciones había sido descubierta por Bhaskara y demostrada por Levi ben Gerson hace mucho tiempo. Luego, hasta aquí, Jakob Bernoulli sólo estaba proporcionando una base para el principiante.
Introduciéndose más en el tema, Bernoulli consideró el número de combinaciones de r objetos que pueden tomarse de entre n objetos si permitimos a estos n objetos ser reutilizados tan a menudo como queramos. Ésta es exactamente la situación a la que se enfrenta el cliente que entra a la tienda de pasteles. Como el orden en que le son servidos los productos en una caja no importa, tenemos entonces una combinación y no una permutación. Sin embargo, después de haber escogido un pastel glaseado, el cliente puede perfectamente escoger otro pastel igual, y luego otro. En este sentido, un objeto elegido una vez sigue estando disponible para ser elegido otra.
¿Cuántas combinaciones son posibles en el caso del pastel? Jakob Bernoulli dio la siguiente regla:
“Formemos dos progresiones aritméticas crecientes, comenzando la primera de ellas con el número de objetos que tienen que ser combinados)/ la segunda con la unidad. En ambas la diferencia es la unidad. Cada una de ellas tendrá tantos términos como unidades tiene el grado de la combinación. Dividamos luego el producto de los términos de la primera progresión por el producto de los términos de la segunda y el cociente sea el número de combinaciones buscado”.[169]
Su significado es cualquier cosa menos transparente. Por supuesto, es difícil tanto comprender lo que está diciendo como por qué es efectivo. Comenzaremos por esto último.
Si estamos contando combinaciones de r objetos escogidos entre n objetos distinguibles que pueden ser reutilizados, las dos progresiones aritméticas de Bernoulli son:

Para encontrar el número de combinaciones, afirmó que deberíamos dividir el producto de los términos de la primera progresión por los de la segunda, para obtener

Un vistazo a lo anterior servirá para convencer al lector de que, en notación moderna, esto equivale a.

Pero, ¿es correcto? Y si así es, ¿por qué?
La fórmula más sencilla de verificar la fórmula de Bernoulli es quizá comenzar con un ejemplo fácil. Supongamos que intentamos comprar tres pasteles en una pastelería que vende cuatro clases diferentes: glaseado, azucarado, de chocolate y normal, a los que llamaremos g, a, c y n. Si hubiera un solo pastel de cada tipo, tendríamos (43)= 4 posibles formas de hacer nuestra compra.
Sin embargo, nuestra hipótesis es que las existencias de cada variedad son inagotables (como uno esperaría de una pastelería bien provista). Para facilitar la explicación supongamos que el pastelero no coloca los pasteles directamente en la caja, sino que lo hace en bolsas específicas: una para glaseados, otra para azucarados, otra para los de chocolate y otra para los normales. Cuando un cliente escoge, los pasteles son colocados en sus correspondientes bolsas y luego las cuatro bolsas, ya estén llenas o vacías, se colocan en la caja.
Si, por ejemplo, pedimos dos glaseados y un azucarado, describiríamos la caja como
g g |a| |
La barra (|) representa la división entre bolsas, estando las dos últimas vacías. De hecho, si adoptamos el criterio de que las bolsas se clasifican siempre de izquierda a derecha como glaseada, azucarada, de chocolate y normal, entonces lo anterior puede simplificarse de la forma xx |x| | , que significa que en la primera bolsa hay dos pasteles, uno en la segunda y ninguno en las dos últimas. De la misma forma, una selección de un pastel glaseado, uno de chocolate y uno normal se describiría como x | | x | x , y una elección de tres pasteles de chocolate sería | |xxx |.
Un momento de reflexión nos revela que en este esquema tenemos que rellenar sólo seis posiciones con tres x y tres barras. Según asignemos las tres x y las tres barras a estas seis posiciones tendremos una compra diferente de pasteles y viceversa, cada compra corresponde a una disposición concreta de las x y las barras.
Así, el problema original se transforma en el más abstracto de contar el número de formas en que seis posiciones se pueden llenar con tres x y tres barras. Por supuesto, una vez que elegimos las tres posiciones que se van a completar con una x, no hay nada más que hacer, ya que las otras contendrán una barra.
Concluimos por tanto que hay

formas diferentes de colocar las tres x y, en consecuencia, 20 formas diferentes de comprar los pasteles. Para los escépticos, ésta es su relación:
ggg gga ggc ggn gaa gcc gnn gac gan gen
aaa aac aan acc ann acn ccc ccn enn nnn
Siguiendo minuciosamente este proceso de razonamiento, se llega a la regla general. Tenemos n objetos que pueden ser reutilizados y deseamos escoger r de estos objetos sin tener en cuenta el orden de selección. Exactamente como antes, traducimos el problema al de una fila de n + r - 1 posiciones, en la que el número de veces que aparece x es r y el número de barras n - 1. De éstas debemos escoger las r posiciones que se llenan con una x, una elección que puede hacerse en

formas diferentes.
Esto es exactamente lo que Jakob Bernoulli escribió en su Ars Conjectandi.
Por tanto, refiriéndonos al problema al comienzo de este capítulo, podemos escoger una docena de pasteles (r = 12) de una pastelería bien provista con quince variedades (n = 15) en

formas diferentes. Cuando la boca se hace agua, la mente se nubla.
Esperamos que este minicurso de combinatoria haya convencido al lector de que el tema es de tal complejidad, que situaciones aparentemente inocuas revelan no serlo tanto. El problema de contar posibilidades no requiere conocimientos profundos ni de cálculo ni de números complejos, pero sin embargo, presenta retos que, según nos adentramos, son perfectamente asimilables a los de ramas más avanzadas de las matemáticas.
Una persona que no se cansó nunca de estos retos fue Leonhard Euler. Sus eclécticos intereses matemáticos le llevaron a estos problemas de recuento y, como veremos más adelante, no sólo planteó cuestiones curiosas sino que también encontró algunas respuestas hermosas.
Aparece Euler
En octubre de 1779, Euler preparó para la Academia de San Petersburgo un artículo sobre “una cuestión interesante de la teoría de las combinaciones”[170]. Tan grande era la acumulación de escritos de Euler, que éste no fue publicado en las Actas de la Academia hasta 1811, más de un cuarto de siglo después de su muerte. A pesar de este retraso, Euler proporcionó no sólo un ejemplo de un problema interesante, sino también un método para abordar problemas (la iteración) que se ha convertido en uno de los principales métodos en combinatoria.
El problema había sido planteado y resuelto varias décadas antes. En 1708, Pierre Remond de Montmort (1678-1719) analizó un juego de cartas llamado Treize o, más descriptivamente Rencontre (coincidencia). Las reglas son éstas: un jugador baraja un grupo de trece cartas desde el as hasta el rey. Luego las levanta una a una diciendo uno cuando levanta la primera carta, dos cuando hace lo mismo con la segunda, y así sucesivamente. Se gana si la carta levantada tiene el mismo número que la palabra dicha, por ejemplo, si la cuarta carta levantada es un cuatro.
Montmort calculó la probabilidad de ganar y consiguió un lugar de honor en la historia de la combinatoria. En los años siguientes, mantuvo correspondencia sobre este tema con Nicolaus Bernoulli, siendo este asunto estudiado también de forma independiente por Abraham De Moivre en su obra La doctrina de las probabilidades de 1718. Es obvio que el problema de las coincidencias estaba resuelto bastante tiempo antes de que apareciera Euler; entonces, ¿por qué lo estamos tratando aquí?
Hay varias razones.
La primera, que es un problema con una conclusión no trivial, impactante incluso, que atraía la capacidad de asombro de Euler.
La segunda, que Euler no tenía aparentemente conocimiento del trabajo de sus predecesores. En palabras de Anders Hald, cronista de la primera época de la combinatoria,
“El problema de coincidencias es un ejemplo de un problema que se da en contextos muy diferentes y que es, por tanto, resuelto por muchos autores diferentes, muchos de los cuales no conocen las fundamentales contribuciones de Montmort, Nicolaus Bernoulli y De Moivre”[171].
Cuando Euler trata este problema, no menciona a estos adelantados pioneros. Dado que fue siempre generoso a la hora de otorgar elogios y compartir reconocimientos, la omisión de Euler sugiere que no sabía que se le habían adelantado. Sacamos, por tanto, la conclusión de que su trabajo era original.
La tercera, su enfoque del problema está escrito con la claridad y estilo que son característicos de Euler al exponer algo: hace que su versión destaque de las demás.
Finalmente, parece justo analizar el trabajo de Euler en un tema que ya había sido tratado por otros, porque hay docenas de ejemplos en matemáticas en los que resultados que había descubierto Euler en primer lugar, son atribuidos a otros. Casos de este tipo serían, por ejemplo, la serie de Fourier, las funciones de Bessel e incluso los diagramas de Venn, que se denominan así erróneamente y que se deberían llamar serie de Euler, funciones de Euler y diagramas de Euler. Si lo recíproco es válido, quizá podríamos entonces analizar la solución de Euler para el problema de las coincidencias sin causar un daño irreparable.
En cualquier caso, Euler planteó el problema de la forma siguiente:
“Dada cualquier serie de n letras a, b, c, d, e, etc. encontrar el número de maneras distintas en que pueden colocarse sin que ninguna regrese a la posición que inicialmente ocupaba”.
Por ejemplo, si numeramos las cartas de Montmort del 1 al 13, Euler estaba tratando de calcular el número de ocasiones en que se destapa la carta sin que se dé la coincidencia. Utilicemos otra ilustración, imaginémonos que un mecánico quita las cuatro ruedas de un coche para inspeccionarlas. Nos podríamos preguntar en cuántas formas diferentes pueden ser reinstalados los neumáticos sin que ninguno de ellos vaya a su posición original. Pero aquí es posible enumerar los casos, contarlos y ver que hay nueve disposiciones de ruedas. Más difícil sería responder a la misma cuestión si el vehículo fuera un tráiler de 18 ruedas. Euler apuntó a que si no imponemos ninguna restricción sobre la posición final de las letras, habrá claramente n! disposiciones. Recordemos, por ejemplo, los 3! = 6 ordenamientos de los clientes de la pastelería a, b y c vistos al comienzo de este capítulo. Obviamente no todos estos satisfacen las condiciones del problema, ya que en algunos a ocupa la posición inicial o b ocupa el lugar intermedio, o c ocupa el último.
Siguiendo su costumbre, Euler comenzó por analizar ejemplos sencillos esperando poder extrapolar un principio más amplio. Amante, como siempre, de los símbolos, estableció la notación Π(n) para representar el número de permutaciones de las n letras a, b, c, d,... en los que ninguna letra ocupa su posición original (tal permutación se llama ahora con desplazamiento). Analizó luego los diferentes casos.
Si n = 1, tenemos solamente la letra a, cuya única permutación la deja donde está. Por tanto, Π(1) = 0.
Si n = 2, empezamos con a b. Hay dos permutaciones (ab y ba), pero sólo la última desplaza cada letra una posición diferente. Por tanto, Π(2) = 1.
Si n = 3, tenemos las permutaciones de abc. Como se puede ver en el ejemplo de la cola de la pastelería, sólo dos de las seis permutaciones son desplazamientos: bea y cab. Por tanto, Π(3) = 2.
Para n = 4, hay 4! = 24 permutaciones de a b c d, pero (como vimos en el ejemplo anterior de los neumáticos) sólo nueve llevan todas las letras a un lugar diferente. Estos desplazamientos están marcados en negrita entre las 24 permutaciones del cuadro siguiente:

Los lectores emprendedores pueden analizar las 5! = 120 permutaciones de a b c d e y verificar que 44 no mantienen a ninguna letra en su posición original.
Por tanto, la investigación inicial de Euler le llevó a la secuencia:

A partir de esta breve lista, ¿quién estaría dispuesto a predecir Π(6)? Y ¿cómo se podría encontrar Π(12)? Teóricamente, se podrían enumerar las 12! = 479 001 600 permutaciones de las letras a b c d e f g h i j k l ya continuación determinar cuáles de entre estas casi 500 millones de posibilidades desplazan las doce letras, pero es imposible imaginarnos algo más penoso.
Para tener alguna esperanza de resolver este problema, necesitamos tener la regla por la que se rige Π(n). Euler no sólo la descubrió sino que dio una demostración (que va asociada a una iteración) de cómo funciona. Su razonamiento es tan elemental como ingenioso[172].
Teorema
Para n ≥ 3

Demostración
Euler comenzó con n letras a b c d e... Al recolocarlas de forma que ninguna de ellas vuelva a su posición original, encontramos que hay n - 1 posibilidades para la primera letra, ya que no puede ser la a. No importa cuál de las otras n - 1 letras ocupe el primer lugar, ya que se aplicaría un razonamiento similar. En aras de la sencillez, Euler asumió que la primera letra de su nueva disposición fuera la b y que “cualquiera que fuera el número de posibilidades que uno encuentra cuando la letra b ocupa la primera posición, éstas se multiplicarían por n - 1 para dar...”. El lector habrá observado que aquí se aplica el principio de multiplicación.
Por tanto, la nueva permutación empieza con la letra b. Esto llevó a Euler a considerar dos casos: uno en el que la letra a figura en segunda posición y otro en el que no es así.
Caso 1. Bajo este supuesto, nuestra secuencia comienza con b a... Estamos por tanto obligados a colocar las n - 2 letras restantes cde... de forma que ninguna regrese a su posición original. Pero éste es el mismo problema con el que empezamos aunque “reducido en dos”. Utilizando la notación anterior, hay n(n - 2) formas posibles de hacer esto.
Caso 2. Aquí indicamos que la primera letra es b y la segunda no es a. El reto es volver a colocar las letras a c d e... en las n - 1 posiciones a la derecha de b de forma que ni c regrese a la tercera posición, ni d a la cuarta, ni e a la quinta. Más aún, debe ocurrir también que a no ocupe la segunda posición, ya que estamos en el Caso 2 en el que a no puede seguir a b, porque si lo hiciera estaríamos en el Caso 1.
Por tanto, sin contar la letra b inicial, vemos que el número de permutaciones es exactamente el número de disposiciones de las n - 1 letras a c d e f... en las que ninguna ocupa su lugar original.
Esto fue llamado antes Π(n - 1).
Por tanto, según los Casos 1 y 2, hay Π(n - 1) + Π(n - 2) reordenamientos que empiezan con b. Y como hemos visto que hay n - 1 posibilidades para esa primera posición, el número total de permutaciones de n letras sin dejar a ninguna en su posición inicial es

Esta es la fórmula iterativa de Euler, que no da para Π(n) un valor explícito, sino que lo pone en función de valores conocidos de Π(k) para k < n. Esto puede no ser ideal, pero es mejor que enumerar y contar.
Comenzando con Π(1) = 0 y Π(2) = 1 , la fórmula de Euler nos da:

Avanzando más, calculamos el número de desplazamientos cuando hay 12 letras, que son:

Euler se percató de algo más, a lo que llamó una “excelente relación”[173]. Observó que

y en general

Esta fórmula iterativa puede preferirse a (8.1), porque a diferencia de ésta, calculamos Π(n) a partir de un único valor de n y no de dos.
“Parece milagroso” que ambas fórmulas arrojen el mismo resultado, comentó Euler. Pero de la segunda dedujo fácilmente la primera ya que
Π(n) = n Π(n - 1) + (-1)n
y
Π(n - 1) = (n - 1) Π(n - 2) + (-1)n-1
Sumando estas dos tenemos

porque, como Euler explicó muy gráficamente, (-1)n y (-1)n-1“se destruyen el uno al otro”. Una sencilla transposición de términos nos lleva a
Π(n) = (n - 1)[Π(n - 1) + Π(n-2)]
por lo que había vuelto a la primitiva versión de la regla.
También es posible moverse en sentido contrario. Para ello hagamos n = r en (8.1) y obtenemos
Π(r) = (r - 1) [Π(r - 1) + Π(r - 2)]
que puede ser expresado en la forma
Π(r) - r∙Π(r - 1) = - [Π(r - 1) - (r - 1)∙ Π(r - 2)]
Sustituimos en esta fórmula r = n, r = n - 1, r = n - 2,... hasta r = 3 y obtenemos:

Por tanto, Π(n) = n Π(n - 1) + (-1)n, que es la fórmula iterativa de (8.2).
De esta forma, Euler modificó la expresión para Π(n) desde una doble iteración en la que estaban Π(n - 1) y Π(n - 2) a una única iteración en función sólo de Π(n - 1). Pero observó algo aún más sorprendente sobre los desplazamientos: que se podría encontrar una fórmula explícita para Π(n) únicamente en función de n; una fórmula que permitiría el cálculo directo de Π(12) sin tener primero que calcular Π(1), Π(2), ..., Π(10) y/o Π(11). Examinaremos esta fórmula y sus inesperadas consecuencias en el epílogo.
Parece claro que Euler tenía cierta maña para contar cosas. La demostración que acabamos de ver presagia las técnicas iterativas que, siglos más tarde, se convertirían en la marca distintiva de la combinatoria. Pero, interesante como es, este teorema es sólo un modesto primer paso comparado con lo que veremos a continuación: los descubrimientos de Euler en relación con la descomposición de los números.
Comenzamos definiendo la descomposiciónde un número natural n como la representación de n como suma de otros números naturales. Por ejemplo, el número 6 puede ser escrito como
6, 5 + 1, 4 + 2, 4 + 1 + 1, 3 + 3, 3 + 2 + 1, 3 + 1 + 1 + 1, 2 + 2 + 2, 2 + 2 + 1 + 1, 2 + 1 + 1 + 1 + 1 y l + l + l + l + l + l,
lo que hace un total de 11 descomposiciones. No incluimos simultáneamente a 4 + 2 y a 2 + 4 porque estas sumas conmutadas se consideran idénticas. Por otra parte, consideremos al número 6 como una descomposición unitaria.
Otras subclasificaciones también son importantes. Por ejemplo, Euler consideró la descomposición en sumandos diferentes (es decir, sin repetir). Para el 6, hay cuatro casos:
6, 5 + 1, 4 + 2, 3 + 2 + 1
De forma análoga, analizó las descomposiciones formadas sólo por números impares (pero no necesariamente distintos). Para el caso anterior, también hay cuatro:
5 + 1, 3 + 3, 3 + 1 + 1 + 1, l + l + l + l + l + l
Como segundo ejemplo, enumeramos debajo las treinta posibilidades de descomposición del número 9. Están subrayadas aquéllas en que los sumandos son diferentes, y en cursiva y en negrita aquéllas formadas por números impares. El lector puede confirmar que, como en el caso del número 6 anterior, ambos tipos de descomposiciones son igualmente abundantes. Es un extremo que no pasó desapercibido a Euler.

De la misma forma, vemos que hay diez formas de escribir el número 10 como la suma de distintos sumandos y diez formas de escribir 10 como la suma de sumandos impares. Cada caso refuerza el fenómeno, parece haber exactamente tantas formas de descomponer un número natural en sumandos diferentes como las hay de descomponerlo en sumandos impares (aunque no necesariamente diferentes).
Desgraciadamente, la experimentación caso a caso es imposible. Cualquiera que haya seguido el desarrollo de este capítulo puede darse cuenta de que, incluso para valores bastante pequeños de n, habrá un verdadero aluvión de descomposiciones. El relativamente diminuto número 24 produce, por ejemplo, 1575 formas diferentes. Éste es un fenómeno típico de la combinatoria: un problema que parece sencillo pero que es, de hecho, extraordinariamente difícil.
Euler se fijó en el tema de la descomposición en 1740 con motivo de una carta de Philippe Naudé[174]. Éste le había escrito para preguntarle por su reciente descubrimiento de la suma de

pero también le preguntó a Euler por lo que sabía sobre el número de formas diferentes en que un número entero y positivo m podría expresarse como la suma de n sumandos naturales distintos. También le preguntó por lo que ocurriría si los sumandos no fueran distintos.
Aparentemente, nunca había tratado antes un problema como éste pero estaba dispuesto a ello. Respondió a Naudé en pocas semanas, y atribuyó su tardanza (!) a problemas con su deteriorada visión. Más destacable incluso que la rapidez de su respuesta es la intuición matemática que desplegó en ella. Una exposición completa de las ideas de Euler puede encontrarse en el Libro I, Capítulo 16 de su Introductio. Veremos aquí sólo la demostración de que el número de descomposiciones en sumandos diferentes es igual que en sumandos impares.
Reflexionando sobre este tema, Euler de alguna forma vio una relación entre contar descomposiciones y multiplicar binomios algebraicos. Lo expresó de esta forma:
“Si el producto Q = (1 + x)(1 + x2)(1 + x3)(1 + x4)(1 + x5)(1 + x6) se desarrolla, se tiene la serie 1 + x + x2 + 2x3 + 2x4 + 3x5 + 4x6 + 5x7 + 6x8 + 8x8 + 10x10 + … en la que los coeficientes indican los números de formas diferentes en que el exponente puede expresarse como la suma de números distintos”.
Esta afirmación requiere alguna reflexión, pero, una vez que se comprende, parece autoevidente.
Tomemos, por ejemplo, el coeficiente de x6 en el desarrollo de Q. Se ve claramente que el término x6 aparece en el producto
(1 + x) (1 + x2) (1 + x3) (1 + x4) (1 + x5) (1 + x6) …
cuando el x6 del sexto factor multiplica a los 1 de los otros factores. También resulta cuando el término x5 se multiplica por x, dando como resultado x5+1 = x6. Un tercer x6 aparece de x4 ∙ x2 = x4+2 = x6, y el último se genera en el producto de tres términos x3 ∙ x2 ∙ x = x3+2+1 = x6.
Por tanto, hay exactamente tantos términos de x6 en el desarrollo de Q como formas hay de descomponer 6 en suma de números naturales diferentes. La razón por la que decimos diferente es, por supuesto, porque no hay repetición en los factores del producto. Por tanto, x6 se da en cuatro ocasiones porque 6 tiene cuatro descomposiciones en sumandos distintos: 6, 5 + 1, 4 + 2 y 3 + 2 + 1.
De forma análoga, el término 8x9 del desarrollo de Q surge como la suma de
x9, x8+1, x7+2, x6+3, x6+2+1, x5+3+1 y x4+3+2
Estos exponentes son precisamente las ocho descomposiciones subrayadas anteriormente.
Euler se dio cuenta de la relación entre descomposiciones de números enteros y los desarrollos algebraicos. Pero todavía guardaba un as en la manga: introducir el inverso de un producto infinito

¿Qué relación guarda con el tema?
El nexo se pone de manifiesto cuando Euler invoca la fórmula de la suma de una serie geométrica infinita:
1/(1-a) = 1 + a + a2 + a3 + a4 +…
Empleando repetidamente esta fórmula para a = x, a = x3, a =x5, etc., concluye que

que no es meramente un producto infinito sino ¡un producto infinito de series infinitas!
Lo que hace que esté relacionado con nuestro problema es que cada exponente puede considerarse como la suma de números impares. Es decir, Euler reescribió el producto de la forma:

Multiplicando y agrupando términos, se obtiene
R = 1 + x + x2 + 2x3 + 2x4 + 3x5 + 4x6 + 5x7 + 6x8 + 8x9 + 10x10 + …
Otra vez nos preguntamos “¿por qué tenemos cuatro términos en x6 en este desarrollo?”. Se ve claramente por la forma de los productos en (8.3), que es porque hay cuatro formas de representar al número 6 como la suma de números impares, y éstas son los únicos exponentes disponibles. Es decir, tenemos x5+1; x4+2, x3+1+1+1; x1+1+1+1+1+1. Estos exponentes son precisamente la descomposición de 6 en números impares, como se vio antes. De forma similar hay 8 términos en x9 porque 9 puede descomponerse como suma de números impares en las ocho formas marcadas anteriormente en negrita y cursiva.
El lector debe comparar los primeros términos de la serie R con los primeros de la serie Q. Su absoluta coincidencia debe haber llevado a Euler a un estado de euforia, ya que no podía tratarse de una casualidad.
En resumen, Euler había observado que el número de formas de escribir n como la suma de números naturales distintos era el coeficiente de xn en el desarrollo de
Q = (1 + x) (1 + x2) (1 + x3) (1 + x4) (1 + x5) …
mientras que el número de formas de escribir n como la suma de números naturales impares (no necesariamente diferentes) es el coeficiente de xn en el desarrollo de

El escenario estaba preparado para una de las más ingeniosas deducciones de Euler. En sus propias palabras[175]:
Teorema
El número de formas diferentes en que un número dado puede expresarse como la suma de números naturales distintos es el mismo que el número de formas en que el citado número puede expresarse como la suma de números impares, ya sean iguales o diferentes.
Demostración
Haciendo de nuevo
Q = (1 + x) (1 + x2) (1 + x3) (1 + x4) (1 + x5) …
Euler introduce
P = (1 - x) (1 - x2) (1 - x3) (1 - x4) (1 - x5)…
de tal forma que

Como “todos los factores de PQ están contenidos en P', se deduce que

y por lo tanto

En resumen, Q y R son lo mismo. En consecuencia, el coeficiente de xn en el desarrollo de Q debe ser igual al coeficiente de xn en el desarrollo de R. Pero, como se vio anteriormente, estos coeficientes (iguales) son, respectivamente, el número de descomposiciones de n en sumandos distintos y en sumandos impares. La demostración está completa. C.Q.D.
* * * *
Es difícil decir qué es más destacable, si la igualdad que describe el teorema o la demostración que Euler da. Esta última es sencilla, elegante y general en cuanto que da resultados para n con un único razonamiento.
Tanto en literatura como en arte o en teatro, nos encontramos de vez en cuando con una obra tan original y con tanta fuerza como para dejarnos sin respiración. Tales reacciones difícilmente ocurren en matemáticas, ya que nuestra disciplina apela a lo racional antes que a lo emocional. La demostración de Euler, enviada casi a vuelta de correo al inquisitivo Naudé, está tan cerca de dejarnos sin respiración como pueda hacerlo algo en matemáticas.
Epílogo
Como este capítulo se ha centrado en dos resultados particulares de la combinatoria, también lo hará el epílogo. Invirtiendo el orden, comentaremos primero algo sobre las descomposiciones y luego volveremos al intrigante problema de los desplazamientos.
Las investigaciones de Euler sobre la descomposición de números no se limitaron sólo al teorema antes mencionado. Como ya se apuntó, el Capítulo 16 del Libro I de su Introductio contiene un desarrollo completo de sus ideas. Después de haber consumido muchas páginas en estos temas, escribió: “todavía quedan algunos problemas de este tipo que merecen reseñarse y que también son útiles en el conocimiento de la naturaleza de los números”. Como un niño con juguete nuevo, parecía estárselo pasando demasiado bien como para dejarlo.
Así, introduce el producto infinito
P(x) = (1 + x) (1 + x2) (1 + x4) (1 + x8) (1 + x16) …
“en el que cada exponente es el doble del anterior”. Razonando como antes, Euler sabía que, desarrollando este producto, iba a obtener tantos términos en xn como formas hubiera de escribir n como la suma de las potencias de 2. Para calcular exactamente el producto infinito, empleó la siguiente estrategia.
Asumamos que, después de multiplicar, uno se encuentra
(1 + x) (1 + x2) (1 + x4) (1 + x8) (1 + x16) … = P(x) =
= 1 + αx + βx2 + γx3 + δx4 + εx5 + … (8.4)
donde los coeficientes α, β, γ, δ, ε ... han de determinarse todavía. Euler observó que
P(x)/(1 + x) = (1 + x2) (1 + x4) (1 + x8) (1 + x16) …
Donde el término del segundo miembro es obviamente P(x2), y, por tanto:
P(x)/(1 + x) = P(x2) = 1 + αx2+ βx4+ γx6+ δx8+ εx10
Multiplicando en cruz tenemos:
P(x) = (1 + x) (1 + αx2 + βx4 + γx6 + …) =
= 1 + x + αx2 + αx3 + βx4 + βx5 + γx6 + γx7 +…
Comparando el resultado con la expresión original de P(x) en (8.4), Euler dedujo que α = 1, β = α, γ= α, δ = β, ε =β,… y así sucesivamente. En consecuencia, todos los coeficientes originales son iguales a 1, y, por tanto:
(1 + x)(1 + x2)(1 + x4)(1 + x8)(1 + x16) … = 1 + x + x2 + x3 + x4 + x5 + …
Euler hizo hincapié en que “Puesto que cada número natural aparece una única vez como exponente en la serie... se deduce que cada número natural puede expresarse como la suma de los términos de la progresión geométrica ... 1, 2, 4, 8, 16, 32,... y esta suma es única” [se ha añadido la negrita][176].
Había determinado por tanto la única representación en función de potencias de 2 de cada número entero.
Lo que aquí merece la pena destacarse no es tanto el resultado final, que era anterior a Euler, sino el inhabitual camino por el que lo obtuvo: utilizando los productos infinitos que se habían mostrado tan útiles en su análisis de las descomposiciones. Esto nos muestra otra vez a una mente que es capaz de examinar un problema ya conocido con una luz nueva y penetrante.
Como se prometió, el otro tópico de este epílogo consiste en volver a la expresión iterativa de Euler para el cálculo del número de desplazamientos de n objetos distinguibles. Habíamos visto a Euler pasar de la fórmula de la doble iteración
Π(n) = (n - 1)[ Π(n - 1) + Π(n - 2)]
a la de una única iteración Π(n) = nΠ(n - 1) + (-1)n. Pero aún avanzó más hasta llegar a una expresión de Π(n) que no requería el cálculo previo de ningún Π(k). Más aún, el resultado tiene algunas consecuencias profundas[177].
Teorema
Para todo, n ≥ 1
Π(n) = n![1 – 1/1! + 1/2! -1/3! + ¼!-…+(-1)n/n!]
Demostración
Se trata de una inducción bastante clara. Si n = 1, Π(1) = 0 que es 1!∙[1 – 1/1!]. Asumamos a continuación que el resultado se mantiene para n = k. Por la fórmula de iteración de Euler,

y el teorema se cumple. C.Q.D.
* * * *
Con este resultado, se ve inmediatamente que el número de desplazamientos de un grupo de seis objetos es

que es exactamente el resultado que encontramos antes. De forma análoga, podemos calcular directamente (sin necesidad de iteración) que Π(12) = 176214841.
Esto nos permite responder a una cuestión relacionada con el tema: si un conjunto ordenado de objetos se permuta aleatoriamente, ¿cuál es la probabilidad de que ninguno de dichos objetos vuelva a su posición original? En otras palabras, ¿cuál es la probabilidad de un desplazamiento? Por ejemplo, si extraemos una docena de huevos de una huevera, lavamos cada uno y luego los volvemos a colocar aleatoriamente, ¿cuál es la probabilidad de que ningún huevo esté donde originalmente estaba?
Está claro que n objetos distinguibles pueden permutarse en n! formas diferentes, de las que n(n) son los desplazamientos en los que ninguno de los objetos regresa al punto inicial. Por tanto, la probabilidad de que ningún objeto regrese a su lugar original es:

Construimos una tabla para pequeños valores de n

En nuestro ejemplo, la probabilidad de que ningún huevo regrese a su lugar primitivo en la huevera es

Observamos que esta respuesta es muy parecida a p6. Más aún, si la huevera tuviera dos docenas de huevos, la probabilidad de que ninguno volviese a su ubicación primitiva sería

resultado que es extremadamente próximo a la respuesta para el caso de una docena.
Esta estabilización de las probabilidades no ocurre casualmente, como Euler explicó en un artículo de 1751[178]. Si n crece indefinidamente, tenemos

donde volvemos a encontrarnos con el desarrollo en serie de ex de Euler visto en el Capítulo 2.
Observamos también que la velocidad de convergencia es extremadamente rápida. Como estamos sumando una serie de términos alternos positivos y negativos, sabemos que su suma parcial para un valor n difiere de su límite 1/e en menos que 1/(1+n!).
Por ello, la posibilidad de un desplazamiento se estabiliza rápidamente alrededor del valor 0,36788. El mismo Euler observó que este valor prácticamente no cambia para todo n ≥ 20, lo que indica que la probabilidad de que ningún huevo regrese a su posición de partida es la misma tanto si empezamos con dos docenas como con dos billones de docenas de huevos[179]. Y esta probabilidad, huelga decirlo, es casi exactamente 1/e.
Parece milagroso que e aparezca, casi surgiendo de la nada, en este problema de combinatoria. No hay ciertamente ninguna relación aparente entre los huevos que se mueven en una huevera y la base de los logaritmos naturales, pero los estudiantes de cálculo recordarán que el número e está presente en todas las aplicaciones matemáticas. Aparece de repente en los sitios más extraños, y ninguno lo es más que éste.
Se pueden escribir tomos sobre los avances en teoría combinatoria producidos en los siglos siguientes a que Euler hiciese estas consideraciones[180]. Es suficiente decir que la combinatoria, un tema que ha tenido un gran desarrollo en el siglo XX, tiene raíces que se remontan muy atrás en el pasado matemático. Y al menos, algunas de ellas arrancan de Leonhard Euler, que parece que nunca encontró un problema de matemáticas que no le gustase. Tanto en el terreno de la combinatoria, como en los de teoría de números, análisis y geometría, dejó huellas profundas y duraderas.
Revisando una vez más las Opera Omnia de Euler en las estanterías combadas de la biblioteca, recordaba las palabras de André Weil:
“Ningún matemático alcanzó tal posición de indiscutible liderazgo en todas las ramas de las matemáticas, puras y aplicadas, como la tuvo
Euler durante la mayor parte del siglo XVIII”[181].
Espero que estos ocho capítulos hayan confirmado ampliamente la afirmación de Weil. En conjunto, he analizado tres docenas de demostraciones originales de Euler, extraídas de trece volúmenes diferentes de las Opera Omnia, que
muestran su habilidad para manejar temas viejos y nuevos, discretos y continuos, algebraicos y analíticos; y de camino, para llevar a las matemáticas a lugares no soñados hasta entonces.
Sin embargo, mi libro ignora completamente extensas áreas del trabajo de Euler. No menciono sus contribuciones a las ecuaciones diferenciales o al cálculo de variaciones. Omito su solución al problema de los puentes de Königsberg, que dio origen a la moderna teoría de grafos; su desarrollo de la función gamma, que extendió inteligentemente los factoriales a números no enteros; y su artículo sobre la llamada fórmula de Euler-Descartes (es decir, Vértices + Caras = Aristas + 2), que jugó un papel central en la primera topología combinatoria.
Es incluso quizá más llamativa mi omisión de sus aplicaciones. Las Opera Omnia constan de casi cuarenta volúmenes de lo que ahora llamamos matemática aplicada, que van desde la mecánica a la óptica, desde la música a la ciencia naval y que podrían ser terreno abonado para multitud de temas.
Voy a terminar con algunas palabras sobre el legado de Euler.
Como se ha visto a lo largo de este libro, sus matemáticas no siempre mostraron el rigor y precisión de las de hoy, y, más en concreto, en su informal uso del infinito. Estos defectos han suministrado munición a matemáticos que critican su trabajo calificándolo de primitivo, intuitivo y decididamente premoderno. Tienen un punto de razón.
Por otro lado, uno podría razonablemente preguntarse si las matemáticas modernas existirían sin él. Es cierto que a veces procedió heurísticamente, confiando tanto en la intuición como en la lógica. Pero si hubiera sido disuadido por unas exigencias de rigor lejos de su alcance, ¿hubiera Euler renunciado a su notable viaje? No puedo evitar recordar el agudo comentario de Horace Lamb:
“Un viajero que rechaza pasar por un puente hasta que ha probado personalmente la solidez de cada parte de él no es probable que vaya lejos; hay que arriesgar algo, incluso en matemáticas”[182].
Euler asumió su parte en estos riesgos, y creo que, por esto, el mundo matemático le debería estar siempre agradecido.
Con este espíritu, voy a citar un pasaje de Galileo en Diálogos relativos a dos nuevas ciencias en el que describe los pros y los contras de la innovación. Aunque está escrito un siglo antes, las palabras de Galileo sirven perfectamente para los logros de Euler.
“Mis respetos para el inventor del arpa, escribió, “no son menores cuando sé que el ínstrumento fue construido toscamente y todavía más toscamente tocado. Más bien, admiro [al inventor] más que a los cientos de artesanos que han llevado este arte a su mayor grado de perfección en los siglos siguientes...”.
Y Galileo concluye con esta sorprendente afirmación:
“Dedicarse uno mismo a las grandes invenciones, empezando a partir de los más pequeños orígenes, no es una tarea para mentes vulgares”[183]
Leonhard Euler fue un inventor, un explorador y un artista. Con un entusiasmo que aún resuena pasados más de dos siglos, se aventuró en zonas desconocidas; no del mundo físico sino del mundo interior donde, como Bertrand Russell dijo una vez: “el pensamiento puro puede vivir como en su propia casa”[184]. Como ocurrió con los grandes exploradores, de vez en cuando tomó el camino equivocado y se olvidó de alguna referencia importante. Sin embargo, como el antiguo arpista de Galileo, Euler se merece nuestra total admiración. Trabajando en la semioscuridad, y sólo con el poder de su inigualable imaginación, llegó hasta la frontera de las matemáticas y aún más allá.
Espero que en estos ocho capítulos haya quedado claro que no fue una mente ordinaria la que nos legó estas matemáticas extraordinarias.
Las Opera Omnia de Euler
El principal recurso para cualquier interesado en las matemáticas de Leonhard Euler son sus obras completas, las Opera Omnia. Su publicación, que comenzó en 1911, ha ocupado el resto del siglo XX. Hasta el momento han aparecido (más o menos) seis docenas de volúmenes, pero el torrente euleriano no se ha secado todavía.
Para editarlas hubo que superar varios problemas. Como es normal en una empresa de esta magnitud, uno fue el económico. Otro fue la devastación causada en su transcurso por las dos Guerras Mundiales. Ni que decir tiene que especialmente molesta fue la sencilla tarea de identificar todo lo que Euler escribió. Cuando murió habían aparecido impresos 560 documentos, pero la Academia de San Petersburgo continuo publicando artículos póstumos durante décadas. Un censo de 1843 contabilizaba 756 documentos[185]. Entonces, cuando se pensaba que el atraso había sido superado, fueron descubiertos otros 61 manuscritos desconocidos hasta ese momento. Cuando Gustaf Eneström (1852- 1923) consiguió completar a principios del siglo XX un informe con todos los trabajos de Euler, su número había aumentado hasta 866. La lista de Eneström se empleó para organizar las Opera Omnia[186].
La Academia Suiza de Ciencias acordó en 1909 publicar la colección, cualquiera que fuera su tamaño, y escogió a Ferdinand Rudio (1856-1929) para supervisar la tarea. Ésta demostró ser una excelente elección, ya que Rudio era un entusiasta de Euler de primer orden. Se entregó al proyecto sin descanso, a pesar de saber que no viviría para verlo completo.
Un volumen típico de las Opera Omnia es grande, de 400 a 500 páginas, aunque algunos tienen más de 700. En tamaño y peso se parecen a los de la Encyclopedia Britannica. Nadie que no sea un atleta puede llevar más de cinco o seis de una vez, y cargar la colección entera (en total unas 25000 páginas) requiere una carretilla.
En términos de organización, las Opera Omnia están divididas en cuatro grandes partes o series, cada una de las cuales tiene varios volúmenes. La matemática pura de Euler (álgebra, análisis, teoría de números, etc.) está recogida en los 29 volúmenes de la Serie I. Su mecánica, ingeniería y astronomía ocuparán (cuando estén completas) los 31 volúmenes de la Serie II. La Serie III contendrá los 12 volúmenes sobre física y temas varios. Se espera que la relativamente nueva Serie IV contenga 8 volúmenes con la correspondencia científica de Euler (en la Parte IV A) y 7 volúmenes de otros manuscritos (en la Parte IV B). Hay dos casos (el Volumen 16 de la Serie I y el 11 de la Serie II) en que los volúmenes están repartidos en dos libros.
La mayoría de los volúmenes se abre con un resumen de los contenidos y algunos contienen artículos relevantes de otros autores. Por ejemplo, los editores añadieron a la incorrecta demostración de Euler del teorema fundamental del álgebra (ver Capítulo 6) la crítica de Gauss al mismo. De la misma forma, la segunda parte del Volumen 11 de la Serie II es el libro (en inglés) de Clifford Truesdell sobre los orígenes de la teoría de los cuerpos elásticos. A pesar de ello, la gran mayoría de las páginas de las Opera Omnia contienen sólo trabajos de Euler.
Se decidió al principio que los artículos serían publicados en la lengua en la que habían aparecido originalmente. Por tanto, las Opera Omnia tienen muchas páginas en latín y en francés con algunos fragmentos en alemán. Además, las traducciones al inglés de los libros y artículos de Euler son escasas. Ya se comentó antes que su texto sobre álgebra, su clásico Introductio in analysin infinitorum y sus Cartas a una princesa alemana han sido traducidos, pero esto es más bien la excepción que la regla.
La disponibilidad es otro problema. Debido a su naturaleza y a su coste, los volúmenes de las Opera Omnia no se pueden encontrar en cualquier biblioteca. Hay que desplazarse a la biblioteca de un gran centro de investigación para tener la posibilidad de ver personalmente la colección.
Algunos artículos han sido traducidos al inglés y se pueden encontrar fácilmente. Por ejemplo, se pueden consultar A Source Book in Mathematics de David Smith, A Source Book in Mathematics: 1200-1800 de Dirk Struik, Classics of Mathematics de Ronald Calinger o The History of Mathematics: A Reader de John Fauvel y Jeremy Gray; todos ellos están mencionados en las notas de este libro. Un famoso artículo sobre fracciones continuas ha sido traducido por Myra Wyman y Bostwick Wyman[187].
Otra fuente para los que no dominen el latín, el francés o el alemán es el número de noviembre de 1983 de Mathematics Magazine. Realizado para conmemorar el bicentenario del fallecimiento de Euler, contiene una selección de artículos (aunque no traducciones directas) sobre su obra y un extenso glosario de términos matemáticos que llevan su nombre.
Obras de Euler en el mercado español. (N. del T.)
Las Cartas a una princesa de Alemania, fueron traducidas al castellano en 1990 por Carlos Mínguez Pérez para la editorial Prensas Universitarias de Zaragoza.
La obra Reflexiones sobre el espacio, la fuerza y la materia fue publicada en Alianza en 1985 en edición de Ana Rioja.
El Método de máximos y mínimos ha sido publicado en 1993 en castellano y catalán por la Universitat Autónoma de Barcelona en edición de Alberto Dou.
Notas:


se dedicó a las matemáticas en contra de la opinión de su familia. En París dio clases a L’Hôpital sobre los métodos de Leibniz. Fue profesor en las universidades de Groningen (Holanda) y Basilea.
Groningen (Holanda) cuando su padre Johann estaba dando clases en esa universidad.
Una de sus obras más famosas fue Cartas filosóficas sobre Inglaterra, que causó un gran escándalo y le obligó a exiliarse en el castillo de Cirey en la Lorena, donde residía la marquesa de Chatelet. Su progresiva pérdida de prestigio en la corte francesa y la muerte de la marquesa le llevaron a aceptar la invitación de Federico II el Grande y trasladarse en 1750 a Potsdam, ciudad cerca Berlín donde el rey se había hecho construir según el gusto francés el palacio de Sans Souci. Tras una violenta ruptura con Federico II, en 1753 se instaló cerca de Ginebra.
Marín Mersenne (1588-1648) fue un padre franciscano que pasó la mayor parte de su vida en un convento de París. Fue teólogo, filósofo y compañero de clase y amigo de Descartes. Escribió algunos trabajos matemáticos.
emprendió un largo viaje de Londres a Edimburgo para ver a Napier.
descubrir la naturaleza de la catenaria no rezuman precisamente un cariño fraterno.
