Descartes
Miquel Alberti Palmer
Situado entre los grandes pensadores de todos los tiempos, el francés René Descartes posee una importancia nada desdeñable para la historia de las ideas: fue uno de los primeros autores —si no el primero— que defendió el uso sistemático de tarazón para abordar el estudio de las ciencias naturales. No resulta exagerado afirmar que su obra resultó decisiva para abrir una nuera vía intelectual en la que el pensamiento ocuparía un lugar central. Las ideas de Descartes desempeñaron un papel fundamental en la construcción de la ciencia y la filosofía modernas, que darían lugar a una forma de aproximarse a la realidad que aún pervive.Si excepcional es la importancia del pensamiento cartesiano, no lo es menos su riqueza y diversidad. Descartes se interesó por cuestiones propias de ámbitos tan diversos como la epistemología, la ética, la teología, la moral y las ciencias, entre otros. De este modo, si durante su juventud se dedicó al estudio de fenómenos físicos y naturales sobre todo de tipo lumínico y sonoro—, en su madurez centró su interés en los dos ámbitos por los que ha pasado a la posteridad: la filosofía y las matemáticas. Los cuatro capítulos que componen este libro analizan las bases matemáticas sobre las que se cimentó su filosofía y que dieron lugar al origen de una nueva rama de las ciencias exactas: la geometría analítica.
El primer capítulo del libro está dedicado a las primeras etapas de la vida del autor. Se repasan los años de infancia, adolescencia y juventud de Descartes, quien se educó en La Flêche, un colegio jesuita de élite, y combatió en Holanda y Alemania como mercenario en la Guerra de los Treinta Años. De aquel entonces data su primera obra de carácter matemático: un tratado sobre música dirigido a su amigo el físico y matemático Isaac Beeckman, a quien había conocido en Breda durante la campaña militar holandesa. Ese trabajo dio su respuesta a un problema primordial de la época, como era el de la creación de una escala musical.
También de su época de juventud son dos creaciones con las que el filósofo resolvió varios problemas clásicos de geometría y construyó curvas novedosas, distintas de las circunferencias: el mesolabio angular y el compás trisector, instrumentos que le permitieron aventurar que todos los problemas de geometría en el plano sobre rectas y círculos podían resolverse mediante ecuaciones de distinto grado.
Esos estudios tan prácticos condujeron a Descartes a sentar las bases de su filosofía, tal como quedaron establecidas en su célebre Discurso del método. Además de exponer las normas fundamentales que rigieron su pensamiento, en esta obra el filósofo propuso la máxima sobre la existencia más famosa y cierta de la historia- «pienso, luego existo». El hecho de que fuese el pensamiento y no Dios lo que ocupara el papel central de su discurso filosófico causó a Descartes algunos problemas morales y políticos que le condujeron a una especie de exilio voluntario en Holanda, donde pudo trabajar con mayor libertad.
El segundo capítulo del libro se abre con una visión panorámica de la notación simbólica del siglo XVII. Si las matemáticas poseen un lenguaje técnico y conciso es porque a lo largo del tiempo unos signos se han impuesto a otros.
En la época de Descartes, el signo de igualdad ahora utilizado en todo el mundo no era corriente ni siquiera en Europa. El pensador francés no lo utilizaba. De igual forma, las potencias tampoco se escribían como se hace en la actualidad, pero Descartes fue precursor en el uso de su notación moderna. También lo fue en algo conceptualmente más importante como es el hecho de considerar que un número elevado al cuadrado no tiene por qué representar un área.
En la segunda parte del capítulo se exponen los fundamentos de la geometría analítica, la más relevante de las aportaciones matemáticas cartesianas. Ahora bien, cabe señalar que Descartes no fue el único padre de esta rama de la geometría, pues comparte el mérito con su compatriota Pierre de Fermat. En la geometría analítica cada ecuación algebraica es una figura del plano y cada figura del plano posee una ecuación algebraica, y tanto Descartes como Fermat hicieron visible el álgebra e hicieron hablar a la geometría. Por este motivo, ambos matemáticos son considerados responsables de relacionar una y otra para dar vida a la geometría analítica.
El capítulo 2 se cierra con el problema del trazado de la recta tangente a una curva. Sin duda se trata de uno de los problemas cruciales de toda la historia de las matemáticas, que tanto Descartes como Fermat resolvieron, aunque desde perspectivas distintas, hecho que provocó una polémica sobre la autoría de la solución. En una época en la que las publicaciones científicas se producían a un ritmo distinto que los descubrimientos, eran frecuentes los enfrentamientos como el que hubo entre ambos.
El tercer capítulo del libro está dedicado al estudio cartesiano de la luz. En él se repasa la manera en que Descartes descubrió la ley de refracción de la luz —aunque expresándola de una forma distinta al matemático y astrónomo holandés Willebrord Snel van Royen—y pone acento en el modo en que explicó uno de los fenómenos meteorológicos más bellos y extraordinarios que se conocen: el arcoíris.
Protagonista de este capítulo es Isabel de Bohemia, princesa del Palatinado, una mujer unos veinte años más joven que Descartes, con quien el filósofo mantuvo una relación epistolar. La correspondencia, centrada en buena medida en cuestiones matemáticas y filosóficas, permite entrever unos sentimientos de atracción amorosa por parte del pensador francés que no fueron correspondidos por la princesa. Al margen de cuestiones sentimentales, algunas cartas tratan acerca del llamado «teorema de Descartes», referido a la condición que deben cumplir tres círculos para ser tangentes dos a dos.
El capitulo 4 repasa la importancia de Descartes tras su muerte y la influencia que su obra y su pensamiento ejercieron sobre matemáticos posteriores. El libro estudia cómo Isaac Newton y Gottfried Leibniz abordaron el ya citado problema del cálculo de la tangente a una curva que Descartes y Fermat habían resuelto siguiendo vías distintas. Dando un paso más allá, Newton y Leibniz desarrollaron un álgebra infinita con la que expresaban cualquier función mediante una suma infinita de términos. El trabajo de ambos —sumado a las aportaciones de John Wallis e Isaac Barrow— hizo posible la creación del cálculo diferencial que permitió resolver de forma definitiva el problema que suponía hallar el área encerrada por una curva. Ahora bien, cabe señalar que la principal aportación de Newton y Leibniz fue de carácter metodológico. Y precisamente fue debido al hecho de otorgar una importancia primordial al método por lo que se situaron en la estela de Descartes.
En el capítulo que cierra el libro también se aborda un problema referente a los poliedros tratado por Descartes, que el físico y matemático alemán Leonhard Euler acabó por completar y que se resume en la fórmula según la cual el número de caras de cualquier poliedro convexo menos su número de aristas más su número de vértices será siempre igual a 2. Se trata de una célebre relación que se conoce con el nombre de «característica de Euler-Descartes».
Cabe señalar, por último, que la influencia del matemático y filósofo francés, patente en una gran diversidad de ámbitos, no ha permanecido ajena al campo de la educación. Así, por ejemplo, resulta posible constatar que los preceptos del método cartesiano se encuentran en perfecta sintonía con la metodología de resolución de problemas elaborada por George Pólya a mediados del siglo XX. Gracias a las aportaciones de este influyente profesor de origen húngaro, que tan fundamentales han resultado para la transmisión del conocimiento matemático, el legado de René Descartes aún conserva su vigencia a principios del siglo XXI.
No resulta extraño que Descartes siga interpelándonos casi cuatro siglos después de la publicación del Discurso del método. Su obra, de carácter seminal, sentó bases de una nueva metodología para comprender y explicar el mundo que nos rodea. Gracias a ella, hizo posible la configuración de una manera de pensar renovadora, en la que las matemáticas desempeñan un papel importante. El filósofo francés contribuyó de forma decisiva a edificar el pensamiento moderno, el cual, en muchos sentidos, continúa siendo el nuestro.
Cronología | |
| 1596 | René Descartes nace el 31 de marzo en La Haye en Touraine, Francia Es el cuarto hijo de Jeanne Brochará, y Joachim Descartes, consejero en el Parlamento de Bretaña. |
| 1607 | Es Internado en el colegio jesuita de La Flêche. |
| 1614 | Termina su formación en La Flêche e inicia sus estudios en Poitiers. |
| 1616 | René Descartes obtiene la licenciatura en Derecho por la Universidad de Poitiers. |
| 1618 | Se alista en el ejército de Mauricio de Nassau, en Holanda, para combatir en la Guerra de los Treinta Años, donde conoce al científico e investigador Isaac Beeckman. |
| 1619 | Descartes se enrola en el ejército de Maximiliano de Baviera. La noche del 10 al 11 de noviembre, acampado en Neoburgo, a orillas del río Danubio, tiene tres sueños que le cambiarán la vida. En ellos vislumbra las bases de una ciencia admirable, tal y como la describe en su Olímpica, |
| 1620 | Trabaja en cuestiones de óptica y geometría. |
| 1629 | Descartes se registra como filósofo en la Universidad de Franeker (situada en Frisla) y estudia metafísica Se traslada a Amsterdam en otoño. |
| 1630 | Se inscribe en la Universidad de Leiden como matemático. Entabla amistad con Constantin Huygens, padre del célebre físico Christiaan Huygens. |
| 1631 | Resuelve el llamado «problema de Pappus», considerado origen de la creación de la geometría analítica. |
| 1837 | Publicación del Discurso del método, en Holanda. Uno de los anexos a ese ensayo filosófico es La geometría, considerada la publicación germinal de la geometría analítica. Se instala en la población holandesa de Santpoort. |
| 1641 | El 15 de marzo se publican las Meditaciones metafísicas. |
| 1643 | Inicia una relación epistolar con la princesa Isabel de Bohemia y del Palatinado, que se prologará hasta la muerte del filósofo. |
| 1644 | Publicación de sus Principios de filosofía, dedicados a la princesa Isabel. |
| 1649 | Gracias a la mediación de su amigo Pierre Chanot, Cristina de Suecia le invita a Estocolmo para que le de clases y funde una academia científica. |
| 1650 | El 1 de febrero entrega a la reina Cristina los estatutos para la creación de una academia de ciencias. El día siguiente, ya enfermo, debe guardar reposo. Fallece el día 11 de ese mismo mes y es enterrado en Estocolmo. |
Capítulo 1
De la matemática pitagórica a la cartesiana
Como los de tantos otros pensadores, los inicios de Descartes en las matemáticas fueron pitagóricos, seguramente como consecuencia del pensamiento imperante en el ámbito académico del colegio jesuita donde estudió. La perspectiva de que «todo es número» marcaría sus primeros escritos científicos.Cuando Descartes nació el 31 de marzo de 1596 en La Haye en Touraine, el sistema solar conocido acababa en Saturno y existía una seria controversia entre los partidarios del heliocentrismo y los del geocentrismo, una disputa que no se zanjarla basta 1633, formal y temporalmente, con la condena y retractación de Galileo Galilei (1564-1642). A pesar de ello, el físico y astrónomo italiano no tenía duda alguna que la Tierra giraba alrededor del Sol. De hecho, dos décadas antes, Galileo había descubierto los satélites de Júpiter, lo que causó gran impacto en Europa, pues por vez primera se hallaban astros que no obedecían la teoría geocéntrica del universo. Sin embargo, esta perspectiva heliocéntrica contravenía el pensamiento aristotélico y el poder de la Iglesia, que entonces supeditaba todo el conocimiento a una voluntad divina. Cualquier ataque o, incluso, la simple duda contra ella, era tenido por herejía y merecía condena. Y las condenas eran potestad de la autoridad depositaria del conocimiento, totalitario y reglamentado. La ciencia estaba supeditada a la teología.
En 1596 hacía apenas un siglo que se había descubierto América, hecho que había cambiado no solo la concepción del mundo, sino también aspectos prácticos como la dieta de quienes vivían en él. Fue un acontecimiento tan extraordinario como si hoy se supiera de la existencia de un nuevo planeta habitado.
Descartes fue el cuarto hijo de una familia bien acomodada de la baja nobleza. Su padre, Joachim, era abogado y consejero en el Parlamento de Bretaña. Su madre, Jeanne Brochard, murió a los trece meses de nacer René, el 13 de mayo de 1597. Su nombre completo era, pues, René Descartes Brochard. De la versión latina de su nombre, Renatus Cartesius, deriva el adjetivo «cartesiano» con el que se denominan sus obras y algunas de sus producciones. Sin duda, la más popular de ellas es el sistema de coordenadas cartesiano —o ejes cartesianos— que sirve de referente a los elementos geométricos en el plano, también llamado, a menudo, plano cartesiano.
A los once años, en 1607 (o en 1605, según algunos biógrafos), su padre lo internó en el colegio de La Flêche, que había sido fundado por el monarca Enrique IV cuatro años antes y que era regido por la Compañía de Jesús.
La importancia de la educación
Descartes había nacido en una época convulsa, un período en el que la Iglesia se hallaba en plena reacción contra la reforma protestante que Martin Lutero había iniciado en el siglo XVI. La división del cristianismo en católicos y protestantes fue la consecuencia de una fase de interrogantes en el seno de la Iglesia en los que esta se planteaba cuestiones como hasta qué punto debía hacer ostentación de sus riquezas y permitir el acceso a sus documentos, la educación era un tema candente.

Retrato anónimo de René Descartes, datado de 1620, en el que el retrato del filósofo muestra todavía un aspecto juvenil.
En Francia existían los colléges, en los que se educaba a la burguesía de la época y que servían tanto de distintivo de estatus (La Flêche era uno de ellos) como de medio para el ascenso social de las familias.

Representación de La Flêche, el colegio jesuita donde René Descartes cursó sus estudios.
Coincidente en el tiempo, y a partir de su aprobación papal de 1640, la Compañía de Jesús había comenzado un proceso de expansión en la que la fundación de centros educativos fue una de sus prioridades. Los jesuitas aprovecharon ese rol perverso de los colegios para hacerse cargo de la tarea educativa. Precisamente, el rey Enrique IV de Francia tuvo como guía espiritual y confesor a un jesuita y fue quien facilitó la cesión de los colegios a la Compañía.
De este modo, los colléges pasaron de educar a la burguesía cortesana a educar a la élite cristiana. El resultado no difería mucho del anterior, pues los ex alumnos de los jesuitas fueron quienes ocuparían los cargos más relevantes de la vida pública. No es de extrañar que el padre de Descartes quisiese eso para su hijo y que este dejase la casa de su abuela, en la que vivía, para ser internado en La Flêche, donde ya estudiaba su hermano mayor, Pierre.
La vida del adolescente Descartes como interno en La Flêche se desarrolló dentro de los límites del centro, es decir. Con pocas y breves salidas al exterior. El sistema educativo imperante en las escuelas jesuitas de entonces era muy rígido y se basaba en la autodisciplina, aunque ello no impidiese tomar en consideración las ideas pedagógicas de Erasmo de Rotterdam (1466-1536), en las que predominaba más el refuerzo que el castigo. Así, se promovía entre los estudiantes. La emulación de modelos positivos con premios y distintivos públicos. En cualquier caso, se trataba de un régimen de internado, en el que los alumnos no disponían de los fines de semana para pasar con las familias y las vacaciones eran inversamente proporcionales al nivel educativo.- podían reducirse a apenas una semana a lo largo de un curso completo.

Escultura del pensador emplazada frente al ayuntamiento de la población de Descartes, antiguamente conocida como La Haye en Touraine.
Un método precursor
El teólogo y crítico literario Adrien Baillet (1649-1706), en su biografía de Descartes publicada en 1691, describe que los compañeros de clase del futuro filósofo hacían referencia al método sistemático que utilizaba en sus intervenciones en los debates. Primero, formulaba algunas cuestiones para dejar claras las definiciones de los términos necesarios; segundo, trataba de averiguar qué entendían los asistentes sobre algunas ideas expuestas en las clases magistrales; tercero, buscaba el consenso en la determinación de verdades conocidas, y, por último, sobre estas bases argumentaba la defensa de su tesis. Se trata de un método precursor que el filósofo expondrá años después en la más célebre de sus obras.
«Gustaba, sobre todo, de las matemáticas, por la certeza y evidencia que poseen sus razones; pero aún no advertía cuál era su verdadero uso.»Descartes permaneció en esta institución situada en la región del País del Loira hasta 1614 (o hasta 1613, según otras Cuentes). En un principio, la delicada salud del joven filósofo le eximió de ir a clase por las mañanas, pero eso no le impidió mostrar sus grandes dotes intelectuales y, en consecuencia, ser muy valorado por sus profesores. Aquí estudió gramática, retórica y dialéctica, así como los clásicos del latín (Cicerón, Horacio, Virgilio) y del griego (Homero, Platón), y fue en los últimos años cuando profundizó en la lógica, la metafísica, la moral, la física y las matemáticas. En aquella época, estas incluían también las consideradas matemáticas aplicadas: astronomía, música y arquitectura. Todo ello bajo tina perspectiva escolástica que el propio Descartes criticaría años más tarde en su Discurso del método (1637).
René Descastes, En Discurso del método.
En La Flêche, Descartes conoció también los descubrimientos astronómicos de Galileo. De hecho, la impresión que estos le causaron le llevó a redactar un poema que leyó precisamente en el colegio en 1611, en la ceremonia que conmemoraba el traslado del corazón de Enrique IV a la capilla del centro jesuita.
Dos pensamientos filosóficos y científicos imperantes entonces estaban supeditados a la voluntad y existencia de Dios. Por una parte, las matemáticas más abstractas estudiadas por Descartes fueron la aritmética y la geometría sintética de los Elementos de Euclides y el álgebra de los árabes traducida al latín. Por otra, la astronomía y la música de la época estaban inspiradas por la concepción pitagórica de que todo es número y de que el universo y sus astros obedecen a proporciones numéricas.
En La Flêche, la obra de referencia para las matemáticas era la de Christopher Clavius (1538-1612), jesuita, matemático y astrónomo alemán. Clavius no fue un insigne teórico, pero sí un gran defensor del conocimiento de las matemáticas. Fue profesor, escribió libros de texto y realizó una versión de los Elementos de Euclides en 1574 con ideas propias. También fue autor de un álgebra y de varios libros de aritmética. Clavius distinguía dos tipos de matemáticas según la naturaleza del objeto de estudio, esto es, diferenciando lo abstracto de lo sensible. Consideraba pertenecientes al primero la geometría y la aritmética; del segundo eran la astrología, la música, la geodesia, la mecánica, el cálculo práctico, la perspectiva y la arquitectura. Se trata de una distinción entre la matemática abstracta y la aplicada, entendiendo por matemáticas abstractas aquellas cuyos objetos son los números y las figuras geométricas más objetivas, y por aplicadas las materias del ámbito sensible en las que se utilizan las matemáticas. Esas fueron las matemáticas que conoció y estudió el Descartes adolescente.
Los números sonoros
Al finalizar sus estudios en La Flêche, el pensador inició una etapa de viajes que se extendió durante casi una década, un período del que se sabe poco-, sí que se tiene constancia de que Descartes ingresó en la Universidad de Poitiers, donde se licenció en Derecho en 1616. En 1618, cuando contaba veintidós años, se dirigió a Holanda para enrolarse en el ejército protestante de Mauricio de Nassau que combatiría en la inminente Guerra de tos Treinta Años, un conflicto que iba a enfrentar a las principales potencias de la época.
Durante los dos años que pasó en Holanda, Descartes conoció al científico Isaac Beeckman (1588-1637), en quien el joven filósofo encontró un interlocutor a su altura y con quien inició una breve pero estrecha amistad. No en vano ambos mantuvieron una intensa correspondencia que se prolongó hasta la primavera del año siguiente, En esta época, Descartes se ocupó de muchos y diversos temas, sobre todo de cuestiones mecánicas, físicas y de filosofía natural acerca de la caída de los cuerpos e hidrostática Seguramente Impresionado por Beeckman —pues este utilizó las matemáticas para comprender la realidad física del mundo—, Descartes envió al científico holandés algunos escritos acerca de temas similares como «Sobre la presión del agua en un vaso» o «Sobre la caída de una piedra en el vacío». También, un tratado sobre música titulado Compendio de música.
«No se oye jamás un sonido sin que su octava superior no parezca resonar, de una manera u otra, en los oídos.»El compendio, escrito durante los ratos de ocio e inactividad de la campaña militar en Breda (Holanda), comienza con una dedicatoria, «De René para Isaac Beeckman», y concluye con una nota de modestia y de reconocida amistad en la que explicita la exclusividad del destinatario y el temor a lecturas críticas de su trabajo:
René Descartes, en el Compendio de música.
He omitido muchas cosas en mi afán de ser breve, muchas por olvido, pero, desde luego, más por ignorancia. Sin embargo, consiento que este hijo de mi espíritu, tan informal y semejante al feto de una osa recién nacida, llegue a tus manos para que sea como un recuerdo de nuestra amistad y el testimonio más auténtico del cariño que te tengo. Pero con esta condición, si te parece bien, que, oculto siempre en las sombras de tu archivo o de tu escritorio, no sufra el juicio de otros. Estos no llevarían sus ojos benévolos, como pienso que tú harás conmigo, desde las partes defectuosas hacia aquellas en las que no niego que, sin duda, se han expresado a lo vivo algunos rasgos de mi espíritu. Y no sabrían que ha sido compuesto, agitadamente, solo para ti, aquí, en medio de la ignorancia militar, por un hombre ocioso y libre y que piensa y actúa de modo absolutamente distinto.
La octava musicalLos pitagóricos hicieron famoso el instrumento llamado monocordio, compuesto de una sola cuerda y dos tablas: una grande y una más pequeña que se iba moviendo por la grande. Observaron que moviendo la tabla pequeña y, por tanto, haciendo más o menos larga la cuerda, al pinzar esta se obtenían distintos sonidos. Al tocar la cuerda completa, el resultado era la nota do grave; con dos tercios, sonaba cinco notas más agudo (un sol), y con tres cuartos, cuatro notas más agudo (un fa), si, en cambio, sólo se pinzaba la mitad, sonaba ocho notas más agudo (la octava nota), es decir, un do agudo. La octava, por tanto, es la repetición de un sonido con una cuerda con la mitad de largura. Su frecuencia es doble y corresponde a, exactamente, un salto de ocho teclas blancas del piano o doce trastes en la guitarra. El intervalo, por tanto, sería la diferencia de altura o frecuencia entre dos notas. Su expresión aritmética suele ser una proporción simple, por ejemplo, la relación de frecuencias entre dos sonidos a distancia de quinta (intervalo de cinco grados entre dos notas) es 3/2, y de cuarta (intervalo de cuatro grados entre dos notas), 4/3.En el caso de la guitarra, la relación entre los trastes, las fracciones de longitud de la cuerda que representan y las notas emitidas al pulsarla se ilustran en la figura siguiente:
Descartes fecha y sitúa también el tratado: «Terminado en Breda de los bravantinos, la víspera de las calendas de junio de 1618».
El texto está en latín, como so título: Compendium, musicae. Y si bien es cierto que la obra trata de música, su objetivo principal es establecer los grados de la escala musical que ascienden desde una nota a su octava inmediatamente superior. Se trata de un problema nada sencillo cuya solución no se dará por definitiva hasta un siglo después con el establecimiento de la escala temperada. El compositor alemán Johann Sebastian Bach (1685-1760) destacará sus bondades en la obra El clave bien temperado.
El Compendio de música cartesiano incluye además una serie de disertaciones sobre la percepción auditiva de los intervalos melódicos cuya consonancia o disonancia se asocia a sus correspondientes fracciones numéricas. La obra concluye con una serie de consejos para la composición de obras musicales, algunos de los cuales todavía imperan en ciertos ámbitos de la música clásica y el contrapunto.
Descartes propuso sus grados musicales basándose en relaciones numéricas, pues consideraba que son los números, las proporciones aritméticas y la divisibilidad los que determinan los llamados por él «números sonoros». De las diferentes consonancias que de esos números se derivan, basó su propuesta de escala musical; la escala musical cartesiana.
La lectura del compendio no resulta sencilla, pues Descartes utiliza el mismo nombre para diferentes conceptos. Así, el término «medida» puede referirse tanto a la duración de una nota como al número de tiempos de los que consta un compás (la unidad de medida del tiempo en música), al compás en sí mismo, al tempo musical (la velocidad con la que se ejecuta una pieza) o al ritmo.
Descartes comienza con unas consideraciones previas en las que anticipa un factor que gobernará su propuesta: la proporcionalidad aritmética. Inconscientemente o no, aplica la idea pitagórica de que son los números los que gobiernan el mundo, el sonido y también el modo en que los sonidos se perciben. Afronta, por tanto, la labor desde una perspectiva matemática y racionalista y, aunque tiene en consideración aspectos experimentales llevados a cabo con laúdes de la época, no trae a colación los factores culturales que pueden incidir en lo que suena bien y lo que suena mal. Es decir, los números son las causas y los grados de consonancia o disonancia son sus consecuencias. Desde esta perspectiva, su enfoque no difiere del pitagórico.
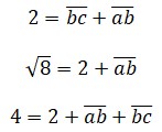
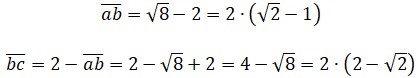
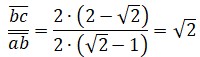
Tanto es así que ilustra geométricamente las dificultades que tiene la mente para percibir relaciones de proporcionalidad entre el todo y sus partes. Primero, observa que la proporción entre las partes o fracciones de una serie de líneas se percibe visualmente con mayor facilidad en aquellas cuya proporción es conmensurable (racional) que en otras de proporción inconmensurable (irracional). Ilustra el hecho con dos figuras de las que comenta que, a través de los ojos, distinguimos mejor las relaciones entre las líneas de una que las de la otra.
Justifica su opinión diciendo que, en un caso (figura 1, izquierda) basta con advertir la unidad como diferencia de cada línea, lo cual resulta obvio; mientras que en la segunda línea, las partes ab y bc son inconmensurables (figura 1, derecha).
Al contemplar esas líneas cabe preguntarse dónde se ha practicado la rayita divisoria en el segmento superior de la derecha. Sí el segmento mide 2 unidades, la división está claramente a la derecha de la unidad, pero no está claro si está a la derecha o a la izquierda del punto 1.3, de 1.4 o de 1.5. Podríamos medir esas longitudes para salir de dudas, pero en la versión sonora el problema continuaría, ya que habría que medir el tiempo. El fenómeno geométrico es estático; el musical es dinámico. Es imposible averiguar esas proporciones sin repetición o sin versión escrita o visual.
Pero si esas fracciones son inconmensurables y las longitudes de las líneas son 2, v8 y 4, ¿a qué fracción corresponden las marcas de cada línea y las letras a, b y c? Planteando y resolviendo el sistema de ecuaciones al que conduce la observación de la figura encontrarnos la respuesta:




v2 + 1
v2 + 1 + 1
v2 + 1 + 1+ v2
Descartes también hace este tipo de observaciones sobre el tiempo. En cuanto al compás, considera que el oído tiene dificultades para reconocer las diferencias entre medidas desiguales. Lo explica diciendo que la sucesión de dos notas de 4 y 1 tiempos da lugar a una complejidad rítmica mayor que la sucesión de tres notas de 4, 1 y 1 tiempos, ya que en el primer caso la segunda es 1/4 de la primera, y en el segundo, las dos últimas constituyen la mitad de la primera (2/4). Descartes incluso afirma que cantar cinco notas por una sería algo muy difícil. La ventaja está en que los números no sean primos entre sí, tal y como describe en Compendio de música:
Pero dirás que yo puedo poner cuatro notas por una, o bien ocho, así pues, debemos, incluso, avanzar hasta estos números. Ahora bien, yo respondo que esos números no son primos entre sí, y que por ello no generan nuevas proporciones, sino que solo multiplican por dos.
Los inconmensurablesPara medir se precisa una unidad de medida y su fraccionamiento en partes iguales más pequeñas. Se llaman «magnitudes inconmensurables» aquellas que no pueden medirse con fracciones de la misma unidad de medida. Esto es lo que ocurre con la diagonal y el lado de un cuadrado, por lo que ambas longitudes son inconmensurables. Supongamos construido un cuadrado de lado 1.
Aplicando el teorema de Pitágoras (el cuadrado de la hipotenusa es igual a la suma de los cuadrados de los catetos) a uno de los dos triángulos que su diagonal determina, sabemos que mide v2. Lo sorprendente es que con la misma regla gracias a la cual sabemos que el lado mide 1, y por muchas y reiteradas y finísimas fracciones que en él se practiquen, jamás podrá medirse de forma exacta la diagonal. La justificación del hecho reside en una cuestión de divisibilidad. Supongamos que esto fuese posible, es decir, que fraccionando la unidad 1 en n partes resultase que la diagonal v2 midiese exactamente una cantidad m de esas partes. Entonces, sería v2 m-(1/n) y, como consecuencia, 2n2 = m2. Pero esto es imposible, ya que en m2 y en n2 hay una cantidad par de todos y cada uno de los factores que dividen a m y a n. Sin embargo, en 2n2 hay un factor 2 de más que no está en m2. Por tanto, la igualdad es imposible y la diagonal y el lado del cuadrado unidad son inconmensurables. La inconmensurabilidad está directamente relacionada con la irracionalidad, solo que esta hace referencia al número y la aritmética: es irracional porque no puede expresarse como cociente de dos números naturales, lo que se traduce en que su expresión decimal es infinita y no periódica.
Con «no generan nuevas proporciones», Descartes quiere decir que las proporciones 1/2, 1/4, 1/8... no dan lugar a fracciones con denominadores distintos a potencias de 2. Si las fracciones tuviesen por denominadores números primos entre sí (es decir, si no tienen otro divisor común más que 1 y -1), entonces sí se generarían nuevos denominadores, como ocurriría al poner tres o cinco notas por una.
Sobre las consonancias
Lo mencionado hasta aquí pone de manifiesto, por una parte, que Descartes asocia y supedita el grado de comprensión de la relación de las partes y el todo de un fenómeno natural como son el tiempo y el sonido al grado de simplicidad o complejidad numérica; las mitades son más fáciles de percibir (visual y auditivamente) que los tercios; los tercios que los quintos; y así, sucesivamente. En este sentido, el Compendio tiene un marcado carácter psicológico y el diagnóstico de su autor es que la dificultad de comprensión es proporcional a la complejidad aritmética. El tratado es muy pitagórico, pues, al igual que hizo el creador de la primera escala musical, Descartes basa su estudio en las fracciones sucesivas de la unidad. Sin embargo, apenas menciona la cuerda vibrante.
Volviendo a los aspectos musicales, analicemos cómo Descartes rellena con grados el intervalo de octava para crear su escala musical. Primero crea las consonancias, que clasificará en simples, primeras y segundas. Las obtiene mediante la división de la unidad en 2, 3, 4, 5 y 6 partes iguales (figura 2).

Creación de las consonancias sonoras mediante fracciones de la unidad.
Con ello, Descartes consigue las «consonancias» (los sonidos que «suenan bien» al oído, y que se oponen a las «disonancias»), a las que llama simples (dentro de la primera octava), compuestas primeras (en la segunda octava) y compuestas segundas (ya en la tercera octava):

Consonancias y disonanciasLa «consonancia» es el término musical con el que se indica la sintonía compartida por dos notas. Expresado en lenguaje común, la consonancia suena bien y resulta placentera al oído, mientras que la disonancia suena mal o es poco agradable. Desde un punto de vista psicológico, las consonancias provocan una sensación de relajación; en cambio, las disonancias producen tensión. De ahí que, partiendo de una perspectiva clásica, las tensiones producidas por las disonancias tengan que acabar «resolviéndose» ó relajándose en consonancias. Esto no significa que una música sea más placentera cuanto más se eviten las disonancias. De hecho, la música surge del juego entre consonancias y disonancias, de la tensión y la relajación que producen, combinada con aspectos dinámicos, rítmicos, tímbricos y culturales.Si una serie excesiva de notas muy disonantes puede provocar la huida de quien la escucha, una serie excesiva de notas consonantes puede resultar aburrida.
Longitudes de cuerda e intervalos
Ya Pitágoras se dio cuenta de que la relación entre las sensaciones placenteras o desagradables estaba asociada con la fracción de la cuerda pulsada. Así, si se acorta la longitud de una cuerda vibrante a la mitad (1/2), se obtiene una nota que forma con la anterior el más consonante de los intervalos; la octava. El efecto puede compararse al de un niño que pronuncia la misma palabra que un adulto: el término es el mismo, pero uno suena más agudo que el otro. Tras la octava, las siguientes consonancias se obtienen recortando la longitud de la cuerda en 1/3 (quinta) y 1/4 (cuarta). Si partimos de la nota do, la quinta es sí, y la cuarta, fa. Estos tres intervalos fueron los más utilizados en la música griega y romana, hasta el punto de que quien los escucha suele asociarlos a la música de películas ambientadas en aquellas épocas.
Descartes observa qué ocurre cuando se duplican las consonancias:
si la octava forma otras consonancias, no multiplica los números de las proporciones como hacen todas las demás, y por eso es la única que puede duplicarse. En efecto, si se duplica, consigue solamente 4; u 8 si se duplica de nuevo. Pero si, por ejemplo, se duplica una quinta, que es la primera consonancia después de la octava, se obtiene 9; pues hay una quinta de 4 a 6; lo mismo del 6 al 9 [...].Tanto en la guitarra como en el piano es fácil experimentar consonancias y disonancias. Si se pulsa una tecla del piano al mismo tiempo que una de sus dos vecinas el resultado es el más tenso de los intervalos sonoros: una 2ª menor. En cambio, si se pulsan a la vez dos teclas blancas alternativas, dejando siempre otra en medio, el sonido es mucho más agradable, pues estamos ejecutando terceras mayores y menores cuyas fracciones tienen por denominadores múltiplos de 2, de 3 o de 5.
Con «duplicar», ya sea la octava o la quinta, Descartes se refiere a la aplicación de dos de esos intervalos de forma consecutiva: octava de octava o quinta de quinta. Los «números de las proporciones» son los denominadores de las fracciones asociadas a dichas consonancias. Teniendo en cuenta que las fracciones numéricas correspondientes a la octava y a la quinta son, respectivamente, 1/2 y 2/3, el significado de ese fragmento se explica a continuación.
Por una parte, las sucesivas duplicaciones de la octava y el hecho de que no generan nuevos denominadores, por lo que todo queda en potencias de 2:
Duplicación 8ª: ½×½ = ¼
Segunda duplicación 8ª: ¼×½ = 1/8
Por otra parte, las distancias de quinta que van del 4 al 6 y del 6 al 9:
9/6 = 6/4 = 3/2 = 5ª
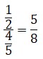
Obsérvese que en este contexto musical cuando Descartes habla de diferencias no se refiere a la resta sino al cociente: «[...] la octava: si a ella se le quita el dítono, quedará una sexta menor». Ciertamente, pues la proporción entre las fracciones correspondientes a la octava (1/2) y el dítono (4/5) da como resultado la fracción de la sexta menor (5/8):

Descartes basa en las fracciones sencillas con denominador primo el concepto de consonancia simple o de primer orden. De este modo, es una razón matemática, aritmética en este caso, la que determina la prioridad de la consonancia, y no la percepción auditiva ni otra cuestión física. Así, establece que los «números sonoros» son el 2, el 3 y el 5 (los tres primeros números primos). De ellos, la octava, obtenida dividiendo la cuerda vibrante o segmento unidad en dos partes iguales (1/2), es la consonancia de primer orden. La quinta y la duodécima constituyen las consonancias de segundo orden (obtenidas por división en 3 partes iguales). Y las consonancias de tercer orden (obtenidas por división en 5 partes iguales) son la decimoséptima, décima, sexta mayor y el «dítono» (nuestra actual tercera mayor). Luego vienen los números sonoros por accidente como el 4 y el 6, que no son primos sino compuestos y que dan lugar a la cuarta y a otros intervalos.
Dicha clasificación se basa en cuestiones de divisibilidad numérica y, como ya se ha apuntado antes, supedita razones de tipo físico o psicológico por los que una persona pueda considerar más o menos placenteros los intervalos musicales, o más fáciles o difíciles de reproducir, ya sean cantados por la voz o ejecutados en un instrumento musical.
Las inversas de dichas fracciones dan lugar a los factores proporcionales correspondientes a las dos notas que intervienen en un intervalo musical. Por ejemplo, para ascender una octava el factor es 2, para ascender una quinta el factor es 3/2, para ascender una cuarta el factor es 4/3, y así sucesivamente.
Hoy en día sabemos que dichos factores son aquellos por los que hay que multiplicar la frecuencia de una nota para ascender el intervalo correspondiente, que es lo que hace y a lo que se refiere Descartes, pero sin mencionar la naturaleza ondulatoria del sonido ni referirse a sus aspectos fundamentales, como son la frecuencia de onda (determinante del nivel agudo o grave), la amplitud (volumen) o el timbre (cualidad del sonido).
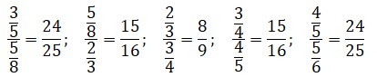
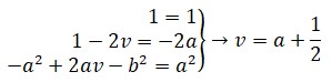
Llegado el momento de concretar los grados que ayuden a pasar de una a otra consonancia, Descartes observa que las consonancias distan entre sí las fracciones de 1/9, 1/10, 1/16 y 1/25. En efecto, ordenemos primero las fracciones correspondientes a las consonancias de menor a mayor
1/2 < 3/5 < 5/8 < 2/3 < 3/4 < 4/5 < 5/6 < 1
Y calculemos ahora las «diferencias», esto es, los cocientes entre las grados consecutivos interiores entre una nota y su octava (1/2). Obtenemos:

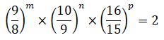
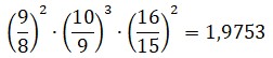
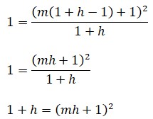
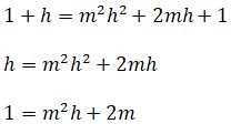
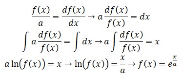
Un enfoque menos arbitrario y más matemático de la cuestión consistiría en considerar el problema de que, partiendo de una nota, hay que ir ascendiendo por esos grados hasta la octava superior. Para lograrlo podemos multiplicarla por factores que sean potencias de 9/8 (tono mayor), 10/9 (tono menor) y 16/15 (semitono mayor). Pero ascender una octava significa que el resultado de todo ello sea multiplicar por 2. Por tanto:

![]()

Ordenando de menor a mayor los números dentro del rango de la octava representada por ios denominadores 288 y 576 (su doble), hallamos la serie siguiente:

288, 320, 324, 360, 384, 405, 432, 480, 486, 540, 576
No hay dudas acerca de que la escala debe contener las consonancias simples o primeras: la quinta (288·3/2 = 432), la cuarta (288·4/3 = 384), el dítono (288·5/4 = 360), la sexta mayor (288·5/3 = 480) y la sexta y tercera menores. Pero la sexta y la tercera menores generan cifras decimales:





x12 = 2 ? x = 12v2 = 1,05946 ˜ 1,06 = 16/15
El Compendio de música no trata exclusivamente de música. Tampoco se dedica solo a la acústica, ya que Descartes no trae a colación un aspecto tan fundamental del sonido como es el de la frecuencia, pero este está implícitamente presente en su obra, pues la rueda de proporciones que establece para completar con grados sucesivos la octava sigue el patrón vigente hoy en día. De haber tenido presente el aspecto ondulatorio del sonido, sus resultados se habrían ajustado mucho más a los que ahora se conocen.Lo que sí se pone de manifiesto en el Compendio es una estructura similar a la que años después utilizará Descartes en su método de pensamiento filosófico. El pensador descompone el análisis en partes más pequeñas que estudia por separado para después recomponer el todo, y basa gran parte de sus argumentos en la razón, en este caso aritmética. Se excede, tal vez, en fundamentar en los números aspectos en los que la participación de estos es más que discutible, como por ejemplo que sean los tres primeros números primos los que determinen las consonancias de primer orden.
Pese a ello, si se interpreta que sus palabras son definiciones más que observaciones o asociaciones, el resultado sería impecable. Al fin y al cabo, nada impide a un autor definir un concepto según los referentes que considere oportunos. Que dicha definición se adapte a la idea común que de ella se tenía previamente es algo que en los últimos siglos no ha preocupado demasiado a los matemáticos. Por ejemplo, la definición matemática formal de lo que es una curva difiere bastante de la idea comente de lo que es una curva. Este proceso, muy comente en matemáticas, consiste en tomar un término del lenguaje corriente y darle un nuevo significado mediante una definición formal. Luego, el mismo término sirve para señalar tanto la idea corriente como la formal, si bien resulta necesario precisar en qué contexto estamos.
Quizá su amigo Isaac Beeckman, más físico que filósofo, debió de comentarle que estaba pasando por alto los aspectos físicos del sonido y que las reacciones emocionales a la audición de ciertos intervalos melódicos no pueden basarse exclusivamente en cuestiones de proporcionalidad numérica. La aritmética interviene en todo ello, pero no es su causa única ni basta para explicarlo. Con todo, el tratado supone el primer intento del joven Descartes de explicar un fenómeno mediante las matemáticas. Y alguna duda al respecto debía de albergar, cuando rogó a su amigo no difundir su trabajo.
Mecánica y dinamización de la geometría
En la geometría tradicional, la euclidiana propia de los Elementos, apenas interviene el movimiento. Este se necesita y usa para trazar tanto un segmento como un círculo, pero no para generar lugares geométricos formados por la acumulación de puntos. La geometría euclidiana atañe, sobre todo, a cuestiones relativas a figuras geométricas estáticas.
La correspondencia de Descartes con Beeckman permite observar la evolución del pensamiento de aquel en un período en el que se muestra implicado en la resolución dinámica de algunos problemas clásicos de geometría. Esa dinamización de la geometría, probablemente inspirada por los problemas de física, le llevará a idear varios instrumentos que le servirán de referente para sus «demostraciones». Se trata de varios compases originales cuya aplicación proporciona resoluciones que el propio filósofo tilda de «completamente nuevas» en una misiva a Beeckman del 26 de marzo de 1619: «La primera concierne al famoso problema de dividir un ángulo en tantas partes iguales como se desee. Las otras tres se refieren a tres clases de ecuaciones cúbicas». ¿Qué es lo que busca Descartes con eso? Más adelante, en la misma carta, lo explícita:
Deseo demostrar que […] ciertos problemas pueden ser resueltos solo con líneas rectas y círculos, otros pueden ser resueltos solo con otras curvas, diferentes a los círculos, pero que pueden ser generadas por un único movimiento y que pueden ser dibujadas usando un nuevo compás que no creo que sea menos preciso [...] que el compás usual para círculos. Finalmente, otros problemas solo pueden ser resueltos con curvas engendradas por movimientos no subordinados a ningún otro [...] como la cuadratriz.Además de destacar Descartes el uso de los compases como generadores de curvas y como recurso a la hora de resolver problemas de geometría, el pensador distingue entre los problemas geométricos resolubles con rectas de los resolubles con círculos, y alude a la cuadratriz, curva mediante la cual se resuelven dos de los tres problemas clásicos de la geometría (la cuadratura del círculo y la trisección del ángulo), irresolubles con regla y compás.
Por encima de todo, nos hallamos ante una perspectiva dinámica de la geometría.
La cuadratura del círculoLa cuadratura del círculo consiste en la construcción, con regla y compás y en un número finito de pasos, de un cuadrado que tenga la misma área que un círculo dado.El área del círculo es pr2 (siendo r la longitud del radio) y b2 la del cuadrado (b es el lado del cuadrado). Es decir, que para el cuadrado de área igual a la del círculo. b = rvp. No fue hasta 1882 que la imposibilidad de la tarea quedó demostrada por el matemático alemán Carl Louis Ferdinand von Lindemann (1852-1939) gracias a su demostración de que p es un número trascendente, es decir, que no es solución de una ecuación algebraica (ecuación polinómica con coeficientes racionales). Por ejemplo, v2 es irracional, pero no trascendente, ya que es solución de una sencilla ecuación algebraica como x2 = 2. Sin embargo, no es posible escribir una ecuación como la siguiente de la que p sea una solución.
En 1768 el matemático alemán de origen francés Johann Heinrich Lambert (1728-1777) había demostrado ya la irracionalidad de p, esto es, que no puede expresarse como cociente de dos números enteros. Antes que la de p, fue demostrada la trascendencia del número e, inventado mucho después que aquel.
Descartes no concibe los problemas geométricos como algo estático, sino como situaciones en las que interviene el movimiento. No se trata de una dinámica de fuerzas, como sería propio de los problemas físicos, sino de una en la que se crean los llamados «lugares geométricos». Cualquier círculo o segmento puede definirse como lugar geométrico, pero no es así como se concibieron en la Grecia clásica.
El mesolabio cartesiano
Uno de los compases a los que hace referencia Descartes es un «mesolabio». Eratóstenes de Cirene (276 aC.-194 aC.) construyó el primer mesolabio ya siglos antes de nuestra era. Servía para hallar medias proporcionales y resolver el tercer problema clásico de la geometría, la duplicación del cubo.
Se trata de un artefacto rectangular (figura 3) cuyo funcionamiento permitía trazar segmentos en progresión geométrica e incluso hallar el lado del cubo cuyo volumen duplica al de otro de lado conocido.
El mesolabio de Eratóstenes consiste en tres marcos rectangulares móviles en los que se han trazado sus diagonales y que se deslizan entre dos paralelas, como podrían ser los dos lados opuestos de una mesa rectangular.

Mesolabio de Eratóstenes

El mesolabio que diseñó Descartes no era una réplica del de Eratóstenes. En realidad, se trataba de un compás «mesolábico» cuyo dibujo incluyó en su obra La geometría. Merece llamarse «mesolabio» porque, como el de Eratóstenes, sirve para establecer medias proporcionales entre segmentos dados. Sin embargo, sirve para mucho más que eso y su propósito no fue ese, pues su papel como compás le permite crear curvas, unas circulares y otras insólitas para el mesolabio de Eratóstenes. El propio Descartes no se refiere a su artilugio como «mesolabio», sino que lo llama «compás». Aquí nos referiremos a él como «mesolabio angular» cartesiano o de Descartes.
El mesolabio angular cartesiano (figura 4) consta de dos regletas unidas por un extremo Y que se constituye en centro de apertura del compás.

Mesolabio angular cartesiano tal y como aparece en La geometría
Hasta alcanzar dicha posición, les puntos B, D, F y H han descrito círculos de radios YA, YD, YF e YH, respectivamente. En dicha posición, todos los triángulos rectángulos formados son semejantes entre sí, pues sus ángulos son idénticos (figura 5).

Triángulos rectángulos y semejantes creados por el mesolabio angular
De dicha semejanza de triángulos se deriva la proporcionalidad de sus lados, lo que permite establecer muchísimas medias proporcionales, de las que las siguientes son las más evidentes:


Sucesivas potencias de un segmento creadas por el mesolabio angular.
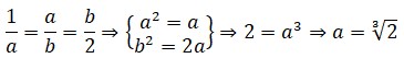
2 = YE = x3 ? YC = x = 3vx = 3v2
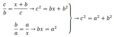
Del mesolabio angular puede derivarse una relación estática como es una demostración del teorema de Pitágoras.
Lados y ángulos de los triángulos rectángulos y semejantes creados por el mesolabio angular.
La duplicación del cuboLa leyenda del problema de la duplicación del cubo asocia su planteamiento a Délos, cuyos ciudadanos consultaron al oráculo en Delfos buscando soluciona problemas mucho más prácticos (algunos creen que relacionados con una plaga enviada por Apolo; otros los vinculan con cuestiones políticas). La respuesta del oráculo fue que los males desaparecerían si se duplicaba el altar cúbico dedicado al dios Apolo. Tan sorprendente respuesta fue presentada a Platón (ca. 427 a.C.-347 a.C.), quien la interpretó de la manera en que se conoce, es decir, partiendo de la premisa de que hay que hallar el cubo cuyo volumen es el doble de otro cubo dado de antemano. Suele atribuirse a Platón el ver una oportunidad de incitar a los ciudadanos de Délos a que estudiasen geometría para dominar sus pasiones. El problema fue resuelto mecánicamente, pero no en los términos de regla y compás que demandaba la geometría clásica. Hipócrates de Quios (ca. 470a.C. -ca- 410a.C.) vio que la cuestión era equivalente a encontrar dos medias proporcionales a y b entre un segmento de longitud 1 y otro de longitud doble 2:Sin embargo, esta solución algebraica de una ecuación cúbica no es construible con regla y compás, como demostró el matemático francés Pierre Wantzel (1814-1848) en 1837. En cualquier caso, ¿cómo saber a qué magnitud se refería el oráculo con la duplicación? El oráculo habló por boca de alguien, un sacerdote o sacerdotisa. Debió de ser a alguien a quien se le ocurrió la idea. ¿En qué estaría pensando? ¿En el volumen, como decía Platón? ¿Quizá tan solo en la arista del cubo? También pudo interpretarse
que la duplicación afectase a la superficie. Pero entonces el problema si habría tenido solución, y mucho más sencilla. Duplicar la arista es duplicar su longitud. Siendo a la arista a del cubo original, para obtener el cubo de superficie doble hay que resolver una ecuación de segundo grado;
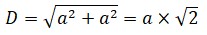
2·6·b2→ 6·b2 = a·√2
Por tanto, el cubo que tiene por arista la diagonal de una cara del cubo original le dobla en superficie. Se trata de un cubo cuyo volumen casi triplica el del cubo original:





La familia de curvas generadas en el primer vértice del mesolabio angular
Familia trayectorias punto D: x4 = m 2∙(x2 + y2)
Familia trayectorias punto F: x6 = m 2∙(x2 + y2)3
Familia trayectorias punto H: x12 = m 2∙(x2 + y2)6
Por último, recopilando el resultado en general:
x 4n = m2∙(x2 + y2) 2-1
A continuación se representan, para m = 1, Las cinco primeras curvas de esa familia infinita:
Las curvas cartesianas generadas por los puntos D, F, H, J, del mesolabio angular.
Descartes diseñó otro compás especial que utilizó para afrontar otro de los tres problemas clásicos de la geometría: el de la trisección de un ángulo cualquiera. De hecho, el propio filósofo observaría que su compás no solo permitiría la trisección, sino también la división de un ángulo en un número de partes cualesquiera.
Descartes presentó este compás disector en sus Cogitationes privatae. Es un compás de cuatro ejes, OP, OQ, OR y OS, que se unen en O y que están articulados por dos pares de regletas adicionales (figura 11).
La trisección de un ánguloEl tercer problema clásico de la geometría es el de la trisección de un ángulo mediante regla y compás. La tarea general, la trisección de cualquier ángulo, fue probada como imposible por Pierre Wantzel en 1837.Pero existen ángulos que sí pueden dividirse en tres partes iguales con regla y compás, como el ángulo recto. Sin embargo, un ángulo tan sencillo de construir como el de 60º no puede trisecarse con regla y compás. Otros métodos que no utilizan únicamente una regla sin marcas y el compás permiten trisecar ángulos, como sucede en técnicas de papiroflexia, pero sus normas no son las de la regla y el compás.
Un ángulo A = 2p/n puede trisecarse únicamente si n no es múltiplo de 3. Los ángulos de 360º, 180º, 90º y 45º pueden ser divididos en tres partes iguales: los de 60º y 120º, no.
Por una parte, el par AC y AC', por otra, el par BD y BD'.
Estos pares de regletas se han enganchado sobre los cuatro ejes principales del compás de forma que los puntos C y C' equidistan de O y de A. También D y D' equidistan de O y de B.

El compás trisector cartesiano
Las características mecánicas del artefacto hacen que su apertura máxima sea la de un ángulo de 270º, pues entonces los ángulos en los vértices A y R de los triángulos ACO y BDD' son llanos (de 180º). En la figura 12 vemos la trisección de un ángulo mayor de 180° mediante el compás trisector.
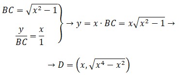
Al igual que el mesolabio angular, este compás trisector también genera nuevas curvas. Cuando el compás trisector se abre, el vértice A describe una circunferencia centrada en C, pues uno de sus brazos isósceles actúa como radio con centro en C (figura 11), en cambio B describe una espiral.

Trisección de un ángulo de 222,4º mediante un compás trisector construido con el software GeoGebra.
Circunferencia y espiral trazadas por el compás trisector.

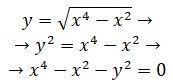
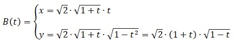
r(t) = v2·v(1+t)
Por tanto, las coordenadas del rastro del punto B(t) que determina el compás trisector son:

La nueva curva espiral B(I) generada por el compás trisector cartesiano.
Sueños e interpretaciones
En otra carta a Isaac Beeckman remitida un mes más tarde, d 29 de abril de 1619, Descartes contó a su amigo un encuentro que tuvo con un locuaz personaje, buen conocedor de la obra Ars brevis del místico y poeta mallorquín Ramón Llull (ca. 1232-1315 o 1316). Esa persona confesó a Descartes que su habilidad aplicando el método luliano podría permitirle pasar una hora, o el tiempo que fuese necesario (hasta un día entero), hablando sobre un tema cualquiera. Descartes, apreciando posibles sintonías con la idea del método de pensamiento que ya entonces tema en mente, quiso saber si tal procedimiento consistía en establecer unos principios dialécticos a partir de los cuales desarrollar los argumentos. El hombre le respondió afirmativamente, pero también señaló que Llull, en sus escritos, no había proporcionado ciertas claves que consideraba esenciales para desentrañar los secretos de dicho método. Descartes transmitió a Beeckman la opinión de que esta respuesta era más propia de quien quiere impresionar a un neófito que de quien pretende hablar sobre la verdad.
Como Descartes no poseía o no tenía a mano el citado libro de Ramón Llull, instó a su amigo Beeckman, que sí lo tenía, a escudriñarlo e indicarle si existía algún interés intelectual en el método desarrollado en él. El filósofo francés estaba sentando ya las bases de la más célebre de sus obras, Discurso del, método, que se publicaría casi veinte años después.
El 10 de noviembre de ese mismo año, Descartes se hallaba enrolado en las filas del duque Maximiliano de Baviera. Se encontraba acuartelado en Neoburgo, a orillas del Danubio, en el sureste de Alemania. Esa noche, Descartes tuvo tres sueños que le cambiaron la vida; sus interpretaciones le condujeron a transformar su forma de pensar. Fue entonces cuando nació el gran filósofo, cuyo espíritu y enfoque particulares darían lugar a la era moderna del pensamiento.
Era una noche fría, llovía y hacía viento. Las tropas estaban acampadas esperando a que llegara la primavera para luchar contra las tropas protestantes de Federico V, rey de Bohemia. Descartes apenas salía del habitáculo en el que se refugiaba, buscando el calor de la estufa. Concilió el sueño y fue transportado a otra realidad.
En su primer sueño, Descartes se encontraba caminando por una calle desconocida cuando se le aparecieron varios fantasmas. Quiso huir, pero se lo impidió la extrema debilidad que sentía en el lado derecho de su cuerpo y que le obligaba a apoyarse en el izquierdo. Con mucho esfuerzo intentó mantener el equilibrio, pero el fuerte viento se lo impidió, hasta el punto de hacerle girar sobre su pie izquierdo varias veces, como una peonza. Cuando cesaron las rotaciones y creía que se iba a caer, apareció ante él un colegio con la puerta abierta. ¿La Flêche, quizá? Entró pensando en el cobijo que le ofrecía esa puerta abierta. Entonces vio la entrada a la iglesia del colegio y pensó en acudir allí a rezar. Sin embargo, se dio cuenta de que había adelantado a alguien conocido a quien no había saludado. Debía, por tanto, volver atrás para decirle algo. Pero entonces el viento le empujó con violencia hacia atrás, impidiéndole avanzar. Mientras, en medio del patio del colegio una persona le llamó por su nombre, diciéndole: «¿Serías tan amable de llevar algo a uno de nuestros amigos?». Descartes preguntó qué era lo que tenía que llevar. No oyó respuesta alguna, pero creyó que era un melón de algún país lejano. Continuó su camino. La gente que encontraba andaba firme sobre sus pies; él, en cambio, lo hacía arrastrándose y vacilante. De repente, el viento cesó y se despertó.
En el segundo sueño, unas horas más tarde, oyó un fuerte y agudo ruido, como un trueno. Al parecer se había desatado un fuego en su habitación y, aunque había muchas chispas, no se sintió asustado, pues algo similar ya le había ocurrido antes. Algunos chisporroteos eran tan brillantes que le permitían ver los objetos a su alrededor.
El tercer sueño comenzó con la aparición de un libro en una mesa que había delante de él. Al abrirlo se percató de que era un diccionario. Junto a este había otro ejemplar en el que no había reparado: una antología poética. Hojeándola se topó con un verso escrito en latín cuyo significado era «¿qué camino escogeré en la vida?».
A continuación, un hombre desconocido se le presentó con un poema que comenzaba con «sí o no», lo que es y lo que no es. El soldado Descartes dijo: «Lo conozco, está en este libro de poemas». Pero cuando hojeó de nuevo el volumen, no dio con él. Entonces, cogió el diccionario y vio que faltaban algunas de sus páginas. Un rato después, los libros y el extraño se habían esfumado.
La interpretación de los sueños es algo personal e intransferible. Posiblemente Sigmund Freud habría desarrollado interpretaciones de esos sueños distintas a las de Descartes, muy vinculadas con la idea de un mensaje vital o divino. Lo que importa es que ese día el autor de esos sueños decidiese interpretarlos y tomar decisiones a partir de ellos. Estas sí le cambiaron la vida a él mismo y, como consecuencia de ello, a quienes vivieron después. A partir de esa noche, Descartes se preocuparía por discernir lo verdadero de lo falso.
De cómo hacerlo trata la obra más célebre del filósofo francés: Discurso del método. Su redacción incluye algunos referentes a las matemáticas que subyacen tanto en su método como en la filosofía del pensador. Da buena cuenta de la consideración que les profesa:
Gustaba yo sobre todo de las matemáticas, debido a la certeza y a la evidencia de sus razones; pero aún no me daba cuenta de su verdadero uso y, pensando que solo servían a las artes mecánicas, me extrañaba de que, con unos fundamentos tan firmes y tan sólidos, no se hubiera construido sobre ellas algo más elevado.Más adelante Descartes sitúa las verdades basadas en el razonamiento por encima de aquellas que se puedan dar por ciertas por reiteración de mucha gente o por motivos de autoridad:
Y así pensaba yo que las ciencias de los libros, al menos aquellas cuyas razones son solo probables y no tienen demostración de ningún tipo, por haberse compuesto y haber crecido paulatinamente a partir de opiniones de muchas persona» diversas, no están más cerca de la verdad que los sencillos razonamientos que puede hacer naturalmente un hombre de buen sentido acerca de las cosas que se presentan.Después hace explícitos los motivos que le inducen a buscar otro método de conocimiento:
(...) por lo que a la lógica se refiere, sus silogismos y la mayor parte de sus restantes instrucciones sirven más para explicar a otros las cosas que se saben o (…) a hablar sin juicio de las que se ignora, que para aprenderla» (...) en cuanto al análisis de los antiguos y al álgebra de los modernos, además de que se extienden solo a materias muy abstractas, y que no parecen ser de ningún uso, el primero se limita siempre a la consideración de las figuras que no puede ejercitar el entendimiento sin cansar excesivamente la imaginación, y en la última, uno está tan sujeto, uno se ve tan sometido a ciertas reglas y a ciertas cifras, que se han convertido en un arte confuso y oscuro que azora el espíritu, en vez de ser una ciencia que lo cultive.Una vez explicados los motivos, he aquí los cuatro preceptos del método cartesiano:
1. No admitir nada por verdadero hasta no conocerlo con evidencia por tal.
2. Dividir cada una de las dificultades que examinase en tantas partes como fuera posible y como requiere para resolverlas mejor.
3. Dirigir por orden mis pensamientos, comenzando por los objetos más simples y fáciles de conocer, para ir subiendo poco a poco, como por grados, hasta el conocimiento de los más compuestos, y suponiendo incluso un orden entre aquellos que no se preceden naturalmente unos a otros.
4. Hacer en todo, enumeraciones tan completas y revisiones tan generales que estuviera seguro de no omitir nada.
La estructura de pensamiento que esos cuatro puntos establecen ya fue esbozada en el Compendio de música. El tercer punto muestra especial sintonía con el contenido de dicho tratado, el ascenso por grados y pasar de lo simple a lo compuesto. Así construyó Descartes su escala musical, basándose en las consonancias simples derivarlas de fracciones con denominador primo (los números sonoros 2, 3 y 5) y ascendiendo por grados hasta las consonancias compuestas (números compuestos cuyos factores son potencias de 2, 3 o 5).
Nada más concluir la enumeración de los cuatro preceptos de su método, Descartes reconoce el papel de inspiración que han desempeñarlo los geómetras en dicho método:
Estas largas cadenas de razones, completamente simples y fáciles, de que los geómetras suelen servirse para llegar a sus demostraciones más difíciles me habían dado ocasión de pensar que todas las cosas que pueden caer bajo el conocimiento de los hombres se encadenan de igual forma (...)A continuación, destaca el papel preponderante de las matemática» en la búsqueda de la verdad:
(...) solo los matemáticos han podido encontrar algunas demostraciones, es decir, razones ciertas y evidentes (...)Por último, se anticipa al papel que dos partes de las matemáticas hasta entonces separadas, el álgebra y la geometría, van a desempeñar en su método.
[...] tomaría lo mejor del análisis geométrico y del álgebra, y corregiría todos los defectos del uno mediante la otra.He aquí la manifestación de la concepción de una nueva rama de las matemáticas y una declaración de intenciones por lo que se refiere a la fusión del álgebra con la geometría. En esa frase, publicada en 1637, nació la que mucho tiempo después se conocería como «geometría analítica». Esta es una rama de las matemáticas que ya rondaba la mente del joven Descartes unos tres lustros antes, cuando a finales de la década de 1610 había construido las nuevas curvas citadas anteriormente.
Capítulo 2
El álgebra fecunda la geometría
En 1637 Descartes publicó el Discurso del método, su trabajo filosófico más importante, realizado durante su etapa de madurez productiva. Uno de los tres epílogos que acompañaban la obra estaba dedicado a la geometría y contenía las ideas matemáticas que el pensador francés había desarrollado a lo largo del tiempo y que lo convirtieron en uno de los padres de la geometría analítica, disciplina nacida en la primera mitad del siglo XVII.Descartes propuso en el Discurso del método un método de pensamiento para dilucidar las verdades relativas a los fenómenos. Ilustró su método con una serie de apéndices al texto principal compuestos por una extensa serie de ejemplos, muchos de ámbito matemático y otros que, aunque naturales, se interpretaban, explicaban y comprendían mediante las matemáticas. Pese a que los apéndices se publicaron en 1637 junto con el Discurso, Descartes había desarrollado y madurado muchas de las ideas contenidas en ellos años antes. El más relevante de los apéndices, desde un punto de vista matemático, es La geometría, en el que el pensador se sirvió del álgebra para abordar dicho campo de estudio.
Hace tiempo que el término «álgebra» se relaciona con una serie de símbolos y con normas de cálculo susceptibles de realizarse con ellos. A principios del siglo XVII, dichos símbolos eran distintos de los de hoy. Tampoco se utilizaban de la misma forma ni muchos de ellos poseían el significado que se les otorga en la actualidad. Por eso, vale la pena detenerse, aunque sea de forma breve, en algunas de las cuestiones de tipo simbólico y algebraico con las que trabajaba Descartes.
El signo de igualdad, el más importante en matemáticas, se compone de dos pequeñas líneas paralelas dispuestas una encima de la otra. Apareció por vez primera en un libro de álgebra de Robert Recorde (ca. 1512-1558), publicado en Inglaterra en 1557.
El matemático inglés adoptó dicho signo por considerar que no existe nada más igual que dos líneas paralelas de la misma longitud. Por eso, en sus orígenes, las dos líneas de la igualdad eran mucho más extensas que las actuales (figura 1).

Eso ocurrió ochenta años antes de la publicación del Discurso del método, si bien lo cierto es que el signo de igualdad propuesto por Recorde tardó mucho tiempo en imponerse. Antes de su adopción por los matemáticos europeos, el mismo signo fue utilizado por el también francés François Viéte (1540-1603) en 1591 para la diferencia aritmética. Otros autores lo utilizaron con distintos significados.
El propio Descartes utilizó el signo de Robert Recorde en 1638, pero no para designar la igualdad, sino para representar el doble signo: ±. El signo de igualdad utilizado y propuesto por Descartes en La geometría de 1637 es otro formado por dos círculos tangentes con el izquierdo seccionado (figura 2).
Con la publicación del Discurso del método en Holanda, en 1637, el uso del signo de igualdad cartesiano so extendió por los Países Bajos. Entre otros, lo utilizó físico y astrónomo Christiaan Huygens (1629-1695). Por su parte, el matemático suizo Jakob Bernoulli (1654-1705) también empleó el signo cartesiano de igualdad en su Ars conjectandi un trabajo muy posterior.
Retrato de René Descartes realizado por el pintor Frans Hals en 1648, célebre retratista, considerado uno de los grandes del barroco holandés
El signo de igualdad de Robert RecordeLa relación más importante en matemáticas es la de igualdad. El símbolo con el que se representa hace tiempo que se hizo universal, y suele utilizarse incluso en ámbitos no matemáticos tan cotidianos como los mensajes de texto y de WhatsApp.
El inventor del símbolo
Robert Recorde nació en Tenby, una pequeña localidad de Gales, hacia 1512. Estudió en Oxford y enseñó matemática, aunque se trasladó a Cambridge para obtener el título de médico en 1545. De regreso en Oxford retomó su trabajo como profesor de matemáticas. Dedicó un par de obras al rey Eduardo VI y a la reina María, por lo que algunos investigadores creen que fue médico de los monarcas. Publicó varios trabajos de matemáticas y medicina en los que utilizaba el recurso del diálogo entre alumno y profesor. En sus obras trató cuestiones de aritmética, álgebra, geometría y astronomía. Fue en la segunda parte de su obra The Whetstone of Witte (La piedra de afilar de Witte), publicada en 1557, donde introdujo el símbolo que le haría pasar a la historia: el antecedente del actual signo de igualdad. El signo de Recorde solo se diferenciaba del actual en que las dos líneas paralelas eran mucho más largas:Los últimos días de Recorde estuvieron marcados por una demanda por difamación por parte de un enemigo político y por un posterior arresto por deudas. Murió en prisión a mediados de 1558 sin ser consciente de la popularidad que alcanzada el signo de su invención.
La ecuación 14x + 15 = 71, escrita con la notación de Recorde
Geometría sintética y geometría analítica
La geometría analítica se basa en la asociación que se ilustra en la figura 3.

Sin embargo, no es posible comprender la aportación a las matemáticas que supuso la geometría analítica sin conocer la geometría sintética preponderante hasta entonces. Para ello, se muestran a continuación algunos ejemplos de una y de otra.
Para la geometría sintética, por ejemplo, los dos puntos P y Q de la figura 4 son distintos porque han sido dibujados en lugares distintos del plano.
Prueba de ello es que puede trazarse una circunferencia con centro en P que no encierre a Q tomando un radio menor que el segmento PQ.
En la geometría analítica, en cambio, dos puntos son distintos porque tienen diferentes nombres o etiquetas (figura 5). Dichas etiquetas se componen con sus distancias respectivas a dos rectas que los separan, en el plano, de dos rectas que sirven de referente a todo cuanto en dicho plano acontece.
Los problemas y resoluciones típicos de la geometría sintética se llevan a cabo mediante regla y compás. La mayoría de ellos consisten en trazar o determinar ciertos elementos geométricos cuya caracterización se expresa con relación a otros. Por ejemplo, al dividir un segmento en tres partes iguales se obtienen tres marcas en los puntos del segmento que verifican la solución, pero no se sabe realmente de qué puntos del plano se trata.
Se conocen unos con relación a los otros y con relación al segmento, En la geometría analítica la solución al mismo problema no solo se expresa con las etiquetas concretas de cada uno de los elementos de la solución, sino que los datos del enunciado ya se concretan del mismo modo. Así, el segmento original a dividir en tres partes iguales no es un segmento de extremos P y Q, sin más, como sucede en la geometría sintética, sino que esos extremos del segmento tienen, por así decirlo, nombre y apellidos: P(a, b) y Q(c, d).
Esto no significa que la geometría analítica sea ni mejor ni peor que la sintética. Sin embargo, la analítica permite un análisis más fino (de ahí su nombre) de los elementos geométricos con los que se trabaja. Prueba de ello es que gracias a ella fueron posibles los avances en matemáticas desarrollados a partir del siglo XVII que dieron lugar al cálculo diferencial y, de modo más general, a la rama conocida como «análisis». Sus autores principales fueron Isaac Newton y el filósofo y matemático alemán Gottfried Leibniz (1646-1716). Esos avances habrían sido imposibles sin la geometría analítica.
En lo que respecta a las demostraciones que pueden ofrecerse de un teorema geométrico, cabría preguntarse cuál es mejor, la analítica o la sintética. Para responder a esta pregunta habría que precisar qué se entiende por «mejor demostración» o qué hace que una sea mejor que otra. Se puede tomar como referente la longitud, ya sea medida en páginas o palabras, de modo que la mejor demostración sería la más breve. Es posible tomar como referente el menor número de cálculos, numéricos o simbólicos. O la demostración más elegante, algo muy apreciado en matemáticas porque la elegancia suele estar asociada a la claridad. Sin embargo, quizás el aspecto más importante a tener en cuenta en una demostración radique en el hecho de que nos explique o no el teorema.
El discurso del métodoLa obra más importante de René Descartes es el Discurso del método. Para bien dirigir la razón y buscar la verdad en las ciencias, un libro fundamental para la historia de la filosofía, que ejercería asimismo una influencia notable en el desarrollo de la ciencia moderna. La obra, publicada en 1637 —cuando el Renacimiento había transformado de forma radical todo el pensamiento medieval, aunque la Iglesia aún ejercía su dominio sobre determinados campos del conocimiento—, propone un método para alcanzar un saber libre de contingencias y asentado sobre unos fundamentos intelectuales sólidos. Este trabajo, dividido en seis partes, venía acompañado de tres tratados, La dióptrica, Los meteoros y La geometría, de los que constituía una suerte de introducción.
Un método filosófico de inspiración matemática.
En las dos primeras partes del Discurso del método Descartes deja claro que la inspiración de su método posee raíces de carácter matemático. Por un lado, el autor reconoce haberse inspirado en los geómetras; por otra, las normas de su método son compartidas por el quehacer matemática
a. No admitir nada absolutamente evidente.
b. Dividir cada problema en tantos particulares como sea necesario para resolverlos mejor.
c. Dirigir por orden los pensamientos yendo de lo simple a lo complejo.
d. Enumerar los datos del problema revisando los elementos de solución de cada uno para asegurarse de que se ha hecho todo correctamente.
No obstante, este trabajo se encuentra lejos de ser libro impersonal, en el que los pensamientos se desarrollan en un mundo ajeno al autor. Por el contrario, las constantes alusiones a hechos corrientes y, sobretodo autobiográficos, aproximan el texto al lector.
En otras palabras, la mejor demostración sería la que permite hacemos una idea de dónde reside el quid de la cuestión, lo que se conoce como «comprensión del teorema». Muy difícilmente alguien podrá desarrollar una demostración elegante de un teorema sin comprenderlo en profundidad Aquí reside la diferencia entre explicación y demostración, pues no siempre las demostraciones son explicativas, es decir, no siempre facilitan una comprensión más profunda de los teoremas. En las matemáticas, la validación del conocimiento se realiza mediante demostraciones y no mediante explicaciones.
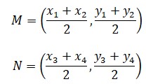
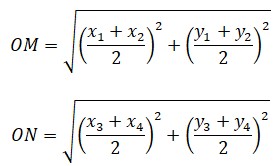
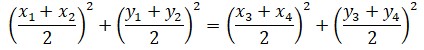
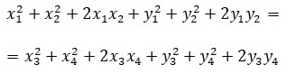
«Lo que ha inmortalizado el nombre de Descartes es la aplicación que ha sabido hacer del álgebra a la geometría, una idea de las más vastas y felices que haya tenido el espíritu humano.»Ahora se ofrecen dos demostraciones, una analítica y otra sintética, de un teorema geométrico que afirma que las cuerdas iguales equidistan del centro de su circunferencia. La demostración analítica comenzaría tomando expresiones algebraicas de los elementos geométricos que intervienen. Por ejemplo, sea x2 + y2 = r2 una circunferencia de radio r con centro en el origen de coordenadas O(0, 0) y sean A(x1, y1), B(x2, y2), C(x3, y3) y D(x4, y4) cuatro puntos sobre ella.
Jean Le Rond D'Alembert, en el discurso preliminar de la Enciclopedia.

Teorema (analítico) de las cuerdas
Las coordenadas de los puntos M y N son:




![]()
![]()

![]()
![]()
La demostración que acaba de desarrollarse transcurre en el mundo del álgebra. Los elementos del teorema se han convertido en símbolos con los que se ha realizado una serie de cálculos que han conducido a la igualdad de dos expresiones.
La traducción resulta fundamental. La manipulación algebraica hace el resto.
En la demostración sintética la situación puede ilustrarse con una figura similar (figura 7 izquierda), pero sin coordenadas. Se comienza la demostración sintética añadiendo dos líneas auxiliares, OB y OD, que son iguales por tratarse de radios de la circunferencia (figura 7 derecha).

Teorema sintético de las cuerdas y cuerdas con perpendiculares trazadas desde el «entro del círculo
Se trata de un resultado auxiliar que hay que demostrar previamente. Para hacerlo, puede tomarse, por ejemplo, la cuerda AR de la figura anterior. La perpendicular OM a ella se convierte en la altura del triángulo isósceles AOB que la cuerda y el centro de la circunferencia determinan. Es isósceles porque dos lados de dicho triángulo, OA y OB, son radios del círculo. Luego los dos ángulos en A y B de dicho triángulo también son iguales. En consecuencia, los dos triángulos rectángulos OMA y OMB son idénticos igualmente por tener los mismos ángulos y un lado igual (el radio del círculo). Por tanto, AM = MB y la perpendicular OM divide la cuerda en dos partes iguales, como se quería demostrar.
Continuando con la demostración del teorema, y puesto que las cuerdas AB y CD son iguales, se deduce que sus mitades MB y ND también son iguales. Por tanto, los triángulos rectángulos OMB y OND tienen la misma hipotenusa y el mismo cateto. Luego sus terceros lados también coinciden y OM = ON.
Ambas demostraciones justifican la veracidad del teorema. Para la demostración sintética se precisa de un conocimiento profundo de esta geometría y saber qué cosas pueden darse por sentadas y cuáles no. Ha sido necesario, además, un teorema adicional, por lo que la demostración no es directa: los datos del enunciado no eran suficientes. La demostración analítica es trabajosa por la carga que supone el cálculo simbólico y las complejas expresiones o fórmulas a las que conduce. Este es un problema al que tuvo que enfrentarse Descartes. Sin embargo, la demostración no precisa tanto conocimiento. Resulta mucho más directa al basarse en la traducción de los datos a fórmulas y ecuaciones y dejar que el álgebra haga su trabajo. El único teorema previo es el de Pitágoras.
De lo que no hay duda es que, por lo menos en este caso, la demostración sintética aporta una comprensión geométrica más profunda que la analítica, un aspecto posiblemente motivado por tratar de demostrar un teorema relativo a un contexto demasiado alejado del análisis. Está claro que otros teoremas geométricos más analíticos serían inabordables desde la perspectiva sintética. Tal vez ahí haya que buscar la motivación cartesiana. Dicho de otro modo: no conviene usar la geometría analítica para abordar problemas propios de la geometría sintética o viceversa.
Sucede además que la primera geometría fue la sintética y produjo muchísimos teoremas. Estos fueron los primeros en abordarse desde la perspectiva analítica (algo que ya hizo el propio Descartes, como se ha visto). Cabe afirmar que en la época de su nacimiento la geometría analítica no se llamaba así todavía porque no había encontrado su sustancia, es decir, un ámbito geométrico particular en el que desarrollar todo su potencial. Este se mostró, por una parte, en el cálculo y la geometría diferenciales, y por otro, en la geometría algebraica del espacio tridimensional.
La nueva geometría de René Descartes
La geometría publicada como apéndice al Discurso del método se compone de tres libros cuyos títulos no resultan muy esclarecedores de sus contenidos:
«Libro primero: sobre los problemas que pueden construirse usando solo círculos y líneas rectas»,
«Libro segundo: sobre la naturaleza de las líneas curvas» y
«Libro tercero: sobre la construcción de problemas sólidos y más que sólidos».
El primero trata acerca de cómo los cálculos aritméticos se relacionan con las operaciones geométricas y de cómo se hacen geométricamente la multiplicación, división y extracción de raíces cuadradas. Por último, aborda y resuelve un problema de Pappus de Alejandría, matemático griego de los siglos III-IV.
El segundo está dedicado a las curvas admisibles en geometría; a la explicación del problema de Pappus y a su completa resolución; al método para hallar las normales a las curvas, a la aplicación a la parábola, elipse y óvalos, y a varios problemas de óptica sobre la refracción de la luz en diversos tipos de lente.
El tercero viene a ser un tratado de lo que hoy podríamos llamar «funciones polinómicas», pues en él se habla de la naturaleza de las ecuaciones; de cuántas raíces pueden tener, de cuáles son falsas; de cómo pueden convertirse estas en auténticas y viceversa, y de cómo pueden ser imaginarias. También trata acerca de las ecuaciones cúbicas, de la regla para reducir el grado de una ecuación, de la trisección del ángulo y del método general para construir problemas cuya resolución requiere de curvas de grado no superior a seis.
Dada la extensión de esta obra cartesiana, conviene centrar la atención en las partes que permitan dilucidar los orígenes de la geometría analítica. El primer punto que hay que considerar está en el primer párrafo del libro primero:
[...] para hallar las líneas requeridas se necesita únicamente sumar o restar otras líneas [...], tomando una línea a la que llamaré unidad para relacionarla todo lo posible a los números y que en general puede elegirse arbitrariamenteY es de este modo, tomando un segmento AB como unidad, como Descartes construyó el segmento BE como resultado del producto de dos segmentos BC y BD, el cociente y la raíz cuadrada, Esto significa que Descartes hizo aritmética con los segmentos, lo que de hecho constituye el paso previo a su algebraización. Solo se requiere ir un poco más allá:
A menudo no es necesario dibujar las líneas en el papel, sino que basta con designar cada una de ellas con una letra. Así, para sumar las líneas BD y OH, llamo a una a y a la otra b, y escribo a + b. Entonces, a - b indica que b se resta de a; ab que a se multiplica por b, a/b que a se divide entre b; aa o a2 que a se multiplica por sí mismo [...] Aquí debe observarse que con a3, h3, y expresiones similares, me refiero solamente a líneas simples, a las cuales, sin embargo, llamo cuadrados, cubos, etc., de tal modo que hago uso de los términos utilizados en álgebra.Esto supone un cambio, pues en la época no se concebían expresiones como un cuadrado o un cubo que no se refiriesen al área de un cuadrado o al volumen de un cubo.
Pappus de AlejandríaConsiderado el último gran matemático de la Antigüedad, Pappus, también conocido como Pappo, nació en la ciudad egipcia de Alejandría y vivió entre los siglos III y IV. Poco se sabe de su vida, al margen de lo anotado en lo que se conserva de su obra de ocho volúmenes titulada Las colecciones, en la que se tratan diversas cuestiones aritméticas y, sobre todo, geométricas relativas a problemas clásicos (duplicación del cubo, trisección del ángulo), los polígonos y los poliedros. En dicha obra, Pappus recopila y explica sistemáticamente los resultados matemáticos más destacados de sus predecesores. El primero de los ocho capítulos se perdió. Partes de los restantes han sobrevivido al paso del tiempo. El libro IV contiene una generalización del teorema de Pitágoras en la que los cuadrados levantados sobre los lados de un triángulo rectángulo se sustituyen por paralelogramos. También confiere un problema que preocupará a René Descartes; el problema de circunscribir un circulo a otros tres círculos tangentes.
El teorema de Pappus
Se atribuye al matemático alejandrino el teorema que lleva su nombre; dado un trío A, B, C de puntos alineados y otro trío a, b, c de puntos también alineados, entonces los puntos de intersección X, Y, Z determinados por los pares de segmentos Ab y aB, Ac y aC, Bc y bC, están alineados. Dicha recta se llama recta de Pappus.
Un número o una letra elevados a 2 significaban el área de la figura geométrica cuyo lado era ese número o letra y de ahí su nombre (elevado al cuadrado); un número o una letra elevados a 3 significaban el volumen de la figura geométrica cuyo lado era ese número o letra y de ahí su nombre (elevado al cubo). Descartes introduce en la geometría de las líneas una terminología algebraica por la que los cuadrados y los cubos pueden ser áreas, volúmenes o longitudes de líneas.
El paso siguiente consistió en asignar, es decir, en identificar con ecuaciones algebraicas cada una de las líneas geométricas del problema, de tal suerte que resolver el problema equivaldría a resolver esas ecuaciones. Para ello fue necesario establecer de antemano las incógnitas:
(...) si queremos resolver cualquier problema, primero suponemos la solución ya obtenida, y nominaremos todas las líneas que parezcan necesarias para la construcción, tanto las desconocidas como las conocidas. Luego, sin distinguir entre unas y otras, debemos como sea que muestre de forma natural las relaciones entre esas líneas basta quesea posible expresar una sola cantidad de dos maneras. Esto constituirá una ecuación, ya que los términos de cada una de dichas expresiones son iguales a los de la otra.Descartes no ilustró con ejemplos lo que escribió. A este respecto, el filósofo francés siempre se mostró reticente a dar demasiadas explicaciones. Solía incluir en algunos de sus trabajos e, incluso, en algunas cartas, comentarios en los que manifestaba no querer robar el placer del descubrimiento y del análisis propios del aprendizaje a quienes leyesen sus obras. Cuando posteriormente recibió algunas críticas de sus lectores, Descartes afirmó que ellos no acababan de comprender su geometría.
Debemos hallar tantas ecuaciones como líneas desconocidas: pero si, tras considerar todo lo que está implicado, algunas no pueden hallarse, es evidente que 1a cuestión no está completamente determinada En tal caso podemos escoger arbitrariamente líneas de longitud conocida para cada una de las desconocidas para las que no hay ecuación.
Frans Van Schooten (1615-1660), traductor de La geometría al latín, seguramente siendo consciente de la dificultad que la falta de ejemplos suponía para la lectura, incluyó un par de problemas mediante los cuales pretendía ilustrar y ayudar a la comprensión de los párrafos de Descartes. Uno de ellos es el siguiente:
Dado un segmento AB y siendo C un punto arbitrario en él, extender el segmento AB hasta un punto D de tal modo que el rectángulo AD×BD sea igual al cuadrado sobre CD.Gráficamente, la situación es la representada en la figura 8.


Hay otros aspectos del método cartesiano que merecen destacarse. Primero, el hecho de incorporar, aunque implícitamente, el aspecto variable de algunas de las longitudes de las líneas que intervienen en la resolución del problema y que en un lenguaje posterior lo vincularía a las funciones. Segundo, un aspecto de completitud sobre la comprensión del problema que aporta la expresión algebraica y que resultaría difícil de apreciar desde la perspectiva geométrica, como es el caso de que la solución exista solo si a>b, es decir, siempre que AC > CB. Esta limitación se deduce del denominador a - b de la solución, pues, desde un punto de vista geométrico, no tiene sentido que la solución x sea negativa. Y tercero, que en algunos problemas no se precise de ningún teorema clásico para su resolución. Como, por ejemplo, en la duplicación del cuadrado.
En efecto, supóngase que se desea duplicar el cuadrado levantado sobre un segmento (figura 9). Una sencilla forma de hacerlo es obtener la solución levantando un cuadrado sobre la diagonal del primero, pues si este se compone de dos triángulos, aquel se compone de cuatro.Sin embargo, esta resolución no resuelve el problema de la longitud del lado del cuadrado doble. Para ello es necesario traer a colación el teorema de Pitágoras y calcular la diagonal D del cuadrado original como hipotenusa de un triángulo rectángulo e isósceles cuyos catetos tienen longitud a:
![]()
En este caso, siendo a la longitud del lado del cuadrado que duplicar, x el lado del cuadrado desconocido, la ecuación y la solución (considerando solamente la positiva) que de ella se obtienen son:
2a2 = x2→ x = av2.
Aquí no se precisa de ninguna figura geométrica ni hace falta tener una capacidad especial para visualizar que el cuadrado montado sobre la diagonal constituye la solución del problema. Tampoco hace falta la aplicación del teorema de Pitágoras. Basta nominar los elementos involucrados en el problema, plantear una sencilla ecuación, una igualdad entre sus áreas. En este sentido, el potencial del álgebra aplicada a la geometría es extraordinario.Al respecto puede aducirse que las resoluciones más geométricas conllevan un fin como es el de la propia construcción del elemento buscado, la incógnita, en este caso del cuadrado duplicador. En la geometría cartesiana, y dado que el cómo es siempre el mismo y figura establecido en las normas generales expuestas más arriba, lo que importa es el qué, es decir, cuál es la solución.
Más allá de la relevancia que tiene ese proceso de resolución de problemas como aplicación del método cartesiano defendido en el texto del Discurso del método, supone una aportación decisiva a la manera de enfocar la resolución de problemas matemáticos, tanto desde la perspectiva geométrica como desde una perspectiva general.
Las fases cartesianas son: en primer lugar, poner nombres a los datos conocidos y desconocidos; a continuación, establecer relaciones algebraicas (ecuaciones) entre ellos, y por último, realizar los cálculos necesarios para obtener la solución, esto es, resolver las ecuaciones planteadas.
Descartes no solo introdujo el álgebra en la geometría, sino también la idea de trabajar en el plano utilizando dos rectas que se cortan como ejes de referencia, aunque cabe señalar que en su época los ejes no eran perpendiculares ni incluían valores negativos. El resultado sería un sistema de coordenadas cartesiano que en lugar de producir una cuadrícula crearía una retícula sesgada de celdas romboidales.
Gran parte de la geometría, así como casi todas las funciones estudiadas en la educación secundaria, se desarrolla sobre un sistema de coordenadas cartesiano. Este se compone de dos rectas numéricas perpendiculares cuyo punto de intersección se utiliza como referente para todos los puntos del plano. El punto de intersección recibe el nombre de «origen de coordenadas» y las dos rectas perpendiculares se denominan «ejes del sistema».
En un plano con un sistema de coordenadas cartesiano, todos y cada uno de los infinitos puntos del plano poseen una etiqueta compuesta por dos números que identifican su posición con relación a los dos ejes. Ese par de números que determinan la posición de un punto hacen referencia a las distancias a las que este se halla de cada uno de los dos ejes y reciben el nombre de «coordenadas» (figura 10). La primera se llama «abscisa», y la segunda, «ordenada». El eje horizontal se llama «eje de abscisas», y el vertical, «eje de ordenadas».
Para cualquier punto del plano existen las dos distancias correspondientes a cada uno de los ejes
que determinan sus coordenadas y posición, y la inversa, dadas dos distancias a cada uno de los ejes, estas determinan un único punto del plano.Los orígenes del sistema de coordenadas cartesiano se hallan también en La geometría. En concreto, en la resolución cartesiana aun problema de Pappus de enunciado harto complejo que Descartes expuso del modo siguiente:
Teniendo tres, cuatro o un número mayor de rectas dadas en posición, se intenta hallar, en primer lugar, un punto desde el cual se pudiesen trazar tantas líneas rectas, una sobre cada una de las dadas, formando ángulos dados, de forma que el rectángulo formado por dos de las trazadas desde el mismo punto guarde una proporción dada con el cuadrado de la tercera, en el caso de que no haya sino tres; o bien con el rectángulo de las otras dos si no hay más que cuatro. O bien, si hay cinco, que el paralelepípedo rectángulo formar do por tres guarde la proporción dada con el paralelepípedo construido sobre las dos restantes y otra línea dada […]La situación planteada se ilustra en la figura 11 con tres rectas.

CB × CD = 3,614 × CF2.
Al afrontar el problema, Descartes escribió:Primero, supongo la cosa hecha, y puesto que tantas líneas llevan a confusión, puedo simplificar el asunto considerando una de las líneas dadas y otra de las por trazar (como, por ejemplo, AB y BC) como las líneas principales a las cuales intentaré referir todas las demás.Descartes abordó un caso particular del problema de Pappus con cuatro rectas paralelas y equidistantes una distancia o y de manera que la quinta recta trazada desde C corte a todas ellas en ángulos rectos. Esta es la primera condición. La segunda es que los segmentos determinados por los puntos de intersección B, D, E y F verifiquen (CB × CD × CE = a × CA × CF. Geométricamente, esto significa que el volumen del paralelepípedo BCDE y el de lados a, CA y CF sean iguales. Las referencias que tomó Descartes para hallar el lugar geométrico del punto C solución del problema no fueron otras que las que hoy en día se llamarían abscisa y ordenada de C con relación a dos de esas rectas, siendo A el origen de coordenadas (BC = x, MC = y).

Siguiendo los pasos de René Descartes en la resolución de este caso particular más sencillo, se podrá comprobar inefectividad de su método (figura 12) en una versión un tanto modificada para acercar a la terminología actual en pos de facilitar su comprensión.
Al imponer la condición según los términos de esta última figura, se obtiene la expresión del lugar geométrico o curva del plano con las soluciones C(x, y) del problema:

[...] todas las líneas rectas aplicadas por orden a su diámetro son iguales a aquellas de una sección cónica, los segmentos de su diámetro, que forman entre el vértice y esas líneas [...]Esto puede traducirse a un lenguaje actual diciendo que «todas las ordenadas son iguales a las de una sección cónica». Descartes destacó más adelántelas que consideraba bondades de su método con relación al método de trazar curvas mecánicamente, como es el caso de la espiral:
[...] hay una gran diferencia entre este método en el cual la curva se traza hallando varios de sus puntos, y el usado para la espiral y curvas similares. En el último, no es posible hallar cualquier punto que se desee de la curva, sino solamente aquellos que pueden determinarse de forma más simple que mediante la propia composición de la curva […] Por otro lado, no hay ninguno de los puntos de esas curvas que no proporcione una solución al problema planteado y que no pueda ser determinado por el método que he ofrecido.De este modo, Descartes acababa de crear la geometría algebraica No se trataba solamente de utilizar el álgebra en la geometría, sino de mucho más. El matemático francés creó un método que imbrica ambas disciplinas y que presenta una serie de características concretas. En primer lugar, las ecuaciones algebraicas asociadas a los problemas geométricos determinan todas las soluciones de dichos problemas; además, cada ecuación puede representarse en una curva, que es un elemento geométrico, y, a su vez, cada uno de los puntos de dicha curva constituye una solución del problema. El método es completo porque todas las posibles soluciones del problema están recogidas en la ecuación y representadas en su curva, y se basa en tomar como principales dos líneas rectas (ejes de coordenadas) a las cuales se refieren las que ahora llamamos «coordenadas de un punto».
«la geometría analítica [...] inmortaliza el nombre de Descartes y constituye el máximo paso hecho en el progreso de las ciencias exactas.»En efecto, al representarla curva solución del problema anterior una ecuación de tercer grado, las posibles soluciones al problema formaban una curva (figura 13) a la que Newton llamó el «tridente» de Descartes.
John Stuart Mill.
Las dificultades de representación gráfica propias del siglo XVII impedían tener la visión de conjunto que sin duda hubiese sido del agrado de Descartes y que inspiraron a Newton y Leibniz a desarrollar el cálculo infinitesimal por medio del cual la representación gráfica de las curvas se convirtió, en la mayoría de los casos, en una tarea abordable.
En el enfoque algebraico de la geometría señalado por el propio Descartes puede establecerse el origen de la geometría analítica.

El tridente de Descartes para a=1; x3-2ax2 - a2x - axy + 2a3 = 0
El primero es aquel en el que solo intervienen dos rectas r y s, que además son perpendiculares (r - s), de forma que los ángulos de las dos rectas trazadas desde el punto P sean perpendiculares a r y a s (A = 90º), tal como muestra la figura 14.

El problema de Pappus con dos rectas perpendiculares y ángulos rectos.
El segundo caso se obtiene eliminando la restricción de perpendicularidad entre r y s (figura 15).

Línea adicional fundamental para resolver un problema de Pappus
Teniendo en cuenta ahora que la proporción entre las distancias a y b es k > 0, y tomando b =1:
x2 - y2 + k - 1 = 0
Cabe preguntarse qué representa esta ecuación de segundo grado con dos incógnitas. Suponiendo que las dos rectas iniciales r y s son los ejes de coordenadas cartesianos, los puntos del plano que satisfacen esta ecuación forman una familia de hipérbolas, una para cada valor de k. El caso más sencillo, k = 1, reduce la ecuación a la siguiente:x2 - y2 = 0,
x2 = y2
x = ±y.

La familia de hipérbolas solución al problema de Pappus cuyas dos rectas dadas son los ejes de coordenadas x2 - y2 + k - 1 = 0 para k > 1 (izquierda), para k = 1 (derecha) y 0 < k < 1 (abajo)

Esquema que muestra cómo las bisectrices de un ángulo son perpendiculares
Más allá incluso del teorema de Pappus, tal vez habrá que considerar la perpendicularidad de las bisectrices de cualquier ángulo como el origen primigenio de la perpendicularidad de los actuales ejes de coordenadas.
Las tangentes y el otro padre de la geometría analítica
En el desarrollo de las matemáticas tras la creación de la nueva geometría cartesiana tuvieron un papel fundamental dos personajes, Newton y Leibniz, y dos problemas que acabaron por resolver se mediante el cálculo diferencial: el cálculo de las tangentes a una curva y el cálculo del área encerrada entre esta y el eje de abscisas.
Descartes mantuvo una controversia con el matemático Pierre de Fermat sobre el primero de dichos problemas. Otro motivo para justificar su presentación radica en el hecho de que era el preferido por el filósofo, según se desprende de sus propias palabras:
«[...] no es solo el problema más útil y general en geometría que conozco, sino también el que siempre he deseado conocer».De hecho, el problema que abordó Descartes fue el del cálculo de la recta normal en un punto de una curva, un problema directamente relacionado con el de las tangentes. Sobre esta cuestión dijo.
El ángulo formado entre dos curvas que se cortan puede medirse fácilmente como el ángulo entre dos líneas rectas, dando por sentado que una línea recta pueda trazarse formando ángulos rectos con una de esas curvas en el punto de intersección con la otra.

Dibujo con el que Descartes acompaña el problema de la normal a una curva. Para un lector actual, esta figura resulta de difícil comprensión.
Así las cosas, Descartes se hallaba en disposición de asignar letras a determinados segmentos que conducirían a la resolución del problema. Las dos primeras nominaciones fueron:
MA = y CM = x
Esto equivale a decir que estas son las coordenadas del punto C de la curva en un sistema de coordenadas cuyos ejes son FG y una recta paralela a CM y que no se ha trazado en el dibujo. Descartes planteó entonces que debería hallarse una ecuación que expresase la relación entre x e y. Puso también PC= s y PA = v, siendo A el punto de corte de la curva con el eje FG. De donde dedujo que PM = v - y.Puesto que el triángulo PMC es rectángulo, es posible aplicar en él el teorema de Pitágoras y escribir:

Con ello, Descartes pretendía hallar v, pues este valor determina el punto P de corte de la normal a la curva. La relación entre s y u es una ecuación cuadrática:
s2 - v2 + 2yv - (x2 + y2) = 0
Descartes ilustró su resolución aplicándola a un caso concreto de curva elíptica para cuya ecuación se remitió al teorema 13 del libro I de Sobre las secciones cónicas del geómetra griego Apolonio de Pérgamo (ca. 262-ca. 190 a.C.). Con objeto de simplificar una labor que incluye extensos cálculos algebraicos con gran cantidad de letras, aquí se utilizará la elipse de ecuación x2 = 2y - 2y2, con la cual la última ecuación se convierte en la siguiente:y2 + 2(v - 1)y + s2 - v2 = 0
Pero aunque se conozca el valor de y, pues el punto C de la curva es conocido, las dos incógnitas v y s persisten.Descartes resolvió la cuestión trayendo a colación un aspecto de la normal que todavía no había utilizado, como es su perpendicularidad de la curva, un detalle relacionado directamente con la tangente en el mismo punto de la curva. Ambos conceptos vienen a decir que la circunferencia con centro en P y radio s = PC cortará la curva en un único e idéntico punto: aquel en el que la normal es perpendicular, aquel en el que la tangente es tangente. Y dado que te ecuación de esta circunferencia es precisamente s2 = x2 + (v - y)2, la que figura a la derecha de una de las igualdades usadas para desarrollar la ecuación anterior. Por tanto, la conclusión es que esa última ecuación debe tener solución única.
En este punto entró en juego el genio algebraico de Descartes. Su argumentación fue que por ser esta una ecuación de segundo grado con solución única (el punto de tangencia) debería tener la misma forma que una ecuación estándar de segundo grado con una sola raíz. Esto supone compartir sus coeficientes con los de una ecuación de segundo grado estándar con raíz doble. La ecuación de segundo grado con incógnita y que tiene al valor e como única raíz es:
(e - y)2 = e2- 2ye + y2
Entonces, igualando los coeficientes de los términos de ambas ecuaciones (término en y2, término en y y el término independiente) es posible escribir tres nuevas ecuaciones. Una de ellas permite determinar el valor v buscado:
y1 + fy3 + g2y2 + h3y + k4
De tal forma, señala que, con este método, y sea cual sea la curva dada, se provee de tantas ecuaciones como necesitemos para hallar las incógnitas necesarias.Vamos a resolver el problema de hallar la normal a la curva y = vx en el punto C(a, b) según el método cartesiano.

(v - x) 2 + y2 = s2
Dado que este círculo debe pasar por el punto C, sus coordenadas deben verificar la ecuación:(v - a) 2 + b2 = s 2
a 2 - 2av + v2 + b2 = s2
Igualando las dos expresiones de s2 obtenidas:x 2 + y 2 - 2vx - a 2 +2av - b2 = 0.
Teniendo en cuenta ahora quex 2 + (1 - 2v)x - a2 + 2av - b 2 = 0.
Pero la solución debe ser única y coincidir con x = a, la abscisa del punto C de la curva. Luego, esta última expresión debe corresponderse con el desarrollo del polinomio de segundo grado cuya única solución (raíz doble) es el valor a:(z - a)2 = z2 - 2az + a2
Esto significa que ambas expresiones polinómicas deben compartir sus coeficientes:

La normal la curva y= vx en x = 1 corta el eje de abscisas en el punto (3/2, 0).
Si Descartes convertía este problema geométrico en algebraico, Fermat lo enfocaba desde una perspectiva más relacionada con lo que sería el cálculo diferencial que Newton y Leibniz desarrollarían a finales del siglo XVII y principios del XVIII.A continuación se aplicará el método de Fermat al cálculo de la recta tangente a la misma curva y = vx en el mismo punto P = (1, 1). La ecuación de la tangente será del tipo y = mx + n.Puesto que el punto P = (1,1) debe verificarla, será 1 =m×1 + n, De aquí n = 1 - m, y conocer la ecuación de la recta se reduce a conocer el valor de m:
y = mx + 1-m
y = m(x - 1) + 1
y/f(x) = 1
En particular, para la curva que nos ocupa:y2/x = 1
Dado que todos los puntos de la recta tangente, a excepción de P = (1, 1), están por encima de la curva, en ellos se verifica que y2/x > 1. Y puesto que en P = (1,1) se produce precisamente la igualdad, esto significa que en el punto de tangencia la expresión y2/x alcanza su valor mínimo, tanto si tomamos la ordenada y de la curva como la de la tangente, pues ambos valores coinciden en dicho punto. Por tanto, hallar el valor mínimo de y2/x equivale a hallar el mínimo de:
Pierre de Fermat y su teoremaNacido en Beaumont-de-Lomagne, población situada en el sur de Francia, Pierre de Fermat (1606-1665) fue un jurista y matemático muy conocido por un teorema que lleva su nombre. La anotación del «último teorema de Fermat» fue encontrada por su hijo escrita en el margen de un ejemplar de una ecuación de Diofanto, matemático griego del siglo III.
En dicha nota, Fermat decía que el margen era demasiado pequeño como para escribir en él lademostración del teorema. Nunca se encontró dicha demostración ni Fermat la mencionó en la correspondencia que mantuvo con sus colegas.
Así que el teorema ha supuesto un reto para los matemáticos. El teorema es una generalización del teorema de Pitágoras, que afirma que el cuadrado de la hipotenusa de un triángulo rectángulo es igual a la suma de los cuadrados de sus catetos, siendo estos a y b,y c la hipotenusa: c2 = a2 + b2. El teorema de Fermat no es geométrico, sino que se centra en los números que verifican esa igualdad afirmando que no existen tres enteros positivos a, b y c que verifiquen la ecuación cn = an + bn para ningún valor mayor que 2. Se trata de un teorema de teoría de números que no fue demostrado hasta 1994, tres siglos y medio después, por el británico Andrew Wiles (n. 1953), mediante unos recursos matemáticos que ni se imaginaban en la época de Fermat. El misterio de si Fermat halló una demostración maravillosa del teorema quedará para siempre.
Los hallaba en tres pasos que anticiparon el método de los cocientes incrementales que darían lugar a las derivadas: primero hay que resolver la ecuación f(x) = f(x + h), luego se debe dividir por h la solución obtenida, y finalmente es necesario sustituir h = 0 en la última expresión.
En nuestro caso, f(1) = 1. Y al resolver primero la ecuación f(1) = f(1+h), se obtiene:




Capítulo 3
Las curvas de la luz
El autor del Discurso del método mostró un gran interés por los fenómenos lumínicos, que le impulsó a realizar algunas de sus aportaciones científicas más importantes: la ley de refracción de la luz y el estudio de la formación del arcoíris. El filósofo elaboró interpretaciones matemáticas de los fenómenos naturales que se revelaron de gran valor para sus sucesores.Tras dejar el ejército en 1620, Descartes viajó por Europa durante algunos años. Pasó por Italia y Polonia. También visitó los observatorios del astrónomo danés Tycho Brahe (1546-1601), en la ciudad checa de Praga, y del matemático y astrónomo alemán Johannes Kepler (1571-1630), en la población bávara de Ratisbona. A su regreso a Francia se estableció en París, donde contactó con el círculo de pensadores de Marín Mersenne, a quien había conocido durante su internado en el colegio de La Flêche.
Durante esos años el filósofo llevó una vida algo disipada, en la que no faltaron ni la música ni el juerga. Sin embargo, un día tuvo lugar un acontecimiento que le haría retomar la senda de la filosofía. Descartes se encontraba con Mersenne y otras personas en Presidencia del nuncio del papa, Guidi di Bagno, escuchando una conferencia en la que un alquimista, Monsieur de Chandoux, exponía su nueva filosofía. Finalizada la exposición de Chandoux, Descartes evitó aplaudir como el resto de los asistentes. Fue entonces cuando uno de los presentes, el cardenal Bérulle, le invitó a dar su opinión a todo el público. Como respuesta, Descartes pidió al auditorio que le expusiese dos ideas, una comúnmente considerada verdadera y otra tomada por falsa. Entonces, mediante un discurso argumentado, acabó por demostrar que la tomada como cierta era falsa mientras que la asumida como falsa era verdadera.
Su tesis afirmaba, en primer lugar, que uno no puede valorar la veracidad de una exposición por el modo en que esta, se realiza —pues no son ni el entusiasmo ni la vehemencia los que certifican la verdad—y que, mediante su método natural, todo el mundo puede esclarecer la verdad. Su exposición dejó atónitos a los presentes.
«Los que buscan el camino recto de la verdad no deben ocuparse de ningún objeto sobre el que no puedan tener una certidumbre semejante a las demostraciones de la aritmética y de la geometría.»Descartes había mostrado cómo su método era además independiente del ámbito, tema, cuestión o fenómeno tratado. El método que llamaba «natural» era, en realidad, universal. De ahí que, pocos días después, durante una visita de Descartes a la residencia del propio cardenal Bérulle, este lo alentase a tratar de aplicar su método de pensamiento a la filosofía y a ciencias como la mecánica o la medicina.
René Descartes, en Reglas para la dirección del espíritu.
Reflexión y refracción de la luz
Descartes estudió la refracción de la luz, directamente asociada al fenómeno del arcoíris, que podía dar lugar al mayor descubrimiento científico de la época. El tiempo y las reflexiones dedicados a ambos se concretaron en la obra titulada La dióptrica. Este ensayo fue publicado junto a La geometría y Los meteoros como parte del apéndice a su Discurso del método, en 1637. Sin embargo, tal como sucede con los otros casos, las ideas que contiene fueron desarrolladas mucho antes, a finales de la década de 1620.
El tratado versa sobre la naturaleza de la luz y algunas de sus principales propiedades físicas, como la reflexión y la refracción. De hecho, se considera esta obra como la primera publicación acerca de la ley de refracción de la luz, aunque esta no se encuentre expresada en la forma trigonométrica con la que se conoce en actualidad.
El tratado permite saber cómo entendía Descartes la luz. Él consideraba que esta se desplazaba en línea recta, aunque sus rayos sufrían una deflación al toparse con otros cuerpos. Cabe señalar que las representaciones mentales
con las que el filósofo trataba de dar sentido a sus ideas se basaban en símiles de cuerpos en movimiento, pues constantemente se imaginaba las trayectorias lumínicas como las de una pelota de tenis golpeada por una raqueta En aquella época todavía no se sabía que la naturaleza de la luz era ondulatoria Descartes tampoco cayó en la cuenta de que tanto las trayectorias de los rayos luminosos como las de las pelotas de tenis podían verse afectadas por la fuerza de la gravedad.Descartes utilizó diminutas pelotitas de tenis para ilustrar las reflexiones de la luz sobre distintas superficies. Las ilustraciones dan a entender que los ángulos de incidencia y de reflexión son iguales, pero Descartes no mencionó este hecho ni especificó que el ángulo, en el caso de superficies curvas, era el ángulo de tangencia.
Mediante el principio del tiempo mínimo de Fermat puede deducirse de modo sencillo la ley de reflexión. Dicho principio afirma que la naturaleza, en este caso, la luz, se comporta de tal modo que siempre toma las soluciones óptimas. En el caso mostrado en la figura 1, el rayo de luz que refleja el que parte del punto P alcanza otro punto Q de manera que el tiempo invertido en hacerlo sea el más breve posible. La cuestión radica en explicar cómo se refleja entonces.

La ley de la refracción hace referencia al cambio que experimenta un rayo de luz al pasar de un medio a otro cuyas densidades son distintas.
Se trata de un fenómeno fácilmente observable introduciendo una cuchara en un vaso de agua (figura 2) y que todo el mundo ha podido experimentar alguna vez.
Ya en la Antigüedad se trató de explicar por qué sucedía esto y se dieron soluciones en la buena dirección, aunque aproximadas y de carácter empírico. La primera descripción precisa de la ley fue recogida en el manuscrito sobre Lentes y espejos incendiarios, del matemático persa Ibn Sahl (ca. 940-1000), en 984.


René Descartes demostró la ley utilizando un método heurístico algo impreciso en el que consideraba infinita la velocidad de la luz. Una explicación que no aprobó Fermat, quien se basó en el Principio del tiempo mínimo para afirmar que la luz, cuya velocidad consideraba finita, recorre el camino con el que puede desplazarse con mayor rapidez.
Willebrord Snel van RoyenNacido en Leiden (Holanda) en 1580, Willebrord Snel van Royen es conocido por la ley de la refracción de la luz que lleva su nombre. Fue un astrónomo y matemático que, como Descartes, comenzó estudiando Derecho en la Universidad deLeiden. Sin embargo, gracias a su capacidad e interés por las matemáticas, llegó a ocupar en 1613 el puesto de su padre como profesor de dicha disciplina en la universidad.
Cálculos precisos
En 1615 realizó un cálculo de la circunferencia de la Tierra mediante triangulación de un arco meridiano, lo que puede considerarse como el primer trabajo de geodesia tal como se entiende en la actualidad. El resultado fue publicado en 1617 en su obra Eratóstenes Batavus, sive de terrae ambitus vera quantilate (El Eratóstenes holandés: sobre la verdadera circunferencia de la Tierra), Según Snel, la circunferencia de la Tierra era de 38.653 kilómetros, no muy lejos de los 40075 kilómetros calculados en la actualidad. Snel enunció la ley de refracción de la luz en 1621, mientras que Descartes publicó el mismo resultado en 1637. Fue Christiaan Huygens quien, en 1703, observa que la paternidad del descubrimiento de la ley le había sido atribuida erróneamente a Descartes.
Antes de analizar cómo Descartes enfocó el problema y cómo Fermat dedujo la ley a partir del principio de optimización natural, conviene tener presentes algunos detalles acerca de la luz. Lo fundamental es que la línea más corta entre dos puntos es la línea recta. Esto significa que tanto en un medio como en otro la luz se desplazará siguiendo trayectorias rectilíneas. Ahora bien, si en un medio B (figura 3) la luz se desplaza a mayor velocidad que en otro medio A, recorrerá en el primero una distancia mayor que la recorrida en el segundo durante el mismo tiempo. Esto hará que la trayectoria más rápida para ir desde el punto real P hasta el ojo O no sea el segmento PO, sino la poligonal PCO. Aunque la luz tardará más tiempo en recorrer PC que PM, también tardará menos en recorrer CO que MO y, al desplazarse más deprisa en el medio B ambas diferencias no solo se cancelarán sino que también resultarán favorables al recorrido poligonal PCO. La solución rectilínea PMO es la más rápida solo cuando la luz se desplaza a igual velocidad en ambos medios o cuando el punto P y el punto O se hallan sobre la misma vertical.
Descartes enfocó el fenómeno de la refracción de un modo geométrico y utilizó, tal como hizo en el caso de la reflexión, pelotitas para ilustrarlo. La modelización geométrica de la refracción desarrollada por Descartes permitía conocer la trayectoria de un rayo de luz a partir de la refracción ya conocida de otro. Si se conoce la refracción del rayo luminoso que pasa por el punto O del medio A y que penetra en el medio B por el punto C refractándose en el rayo luminoso CO' (figura 4), es posible trazar la refracción de otro rayo XC en CX'.
Con anterioridad a la demostración de la ley de refracción, Descartes argumentó que cuando el rayo de luz pasaba de un medio a otro continuaba desplazándose en línea recta aunque se moviese a una velocidad distinta dentro de ese nuevo medio. En otras palabras, primero justificó la naturaleza rectilínea de la trayectoria del rayo luminoso en el nuevo medio.Descartes explicó su interpretación mediante una analogía. Imaginó lo que ocurriría con una pelota que, tras ser golpeada, chocase contra una tela extendida en posición horizontal y la atravesase de la misma forma que un cuerpo penetra en el agua. Argumentó que la pelota vería modificada su velocidad en lo que hoy en día expresaríamos como su componente vertical pues la componente horizontal de la velocidad no se vería afectada. Con ello, el ángulo de entrada seria distinto del ángulo de salida y el resultado sería la refracción.
El razonamiento de Descartes daba a entender que el movimiento en una dirección podía separarse en todas las partes de las que imaginamos que se compone. Así, podía imaginarse con facilidad que el movimiento de la pelota que se mueve desde un punto A hacia otro punto B se compone de otros dos movimientos: uno causa el descenso vertical, mientras que el otro provoca el desplazamiento horizontal hacia la derecha. La combinación de ambos dirige la pelota hada el punto B a lo largo de la línea recta AB. En términos actuales, Descartes estaba descomponiendo el vector desplazamiento en sus dos componentes, vertical y horizontal (figura 5).

Y en lo que se refiere al cambio experimentado por el ángulo al topar con un medio distinto (representado por la tela horizontal), Descartes arguyó que solo la parte del movimiento que hacía desplazar la pelota de arriba abajo sería la que cambiaría al topar con la tela. De este modo, la parte del movimiento que desplazaba la pelota hada la derecha permanecería siempre igual, ya que la tela no suponía ningún impedimento al movimiento en dicha dirección.
Se trata de una interpretación dinámica de la situación. Al representar la tela mediante el segmento AB (figura 6) es posible comprobar que, en efecto, la fuerza con la que la pelota impacta contra ella solo experimenta la variación de su componente vertical. El ángulo a que forma la fuerza F con la horizontal se verá reducido a la fuerza de resistencia F" de la tela se opone, como sería lo más corriente en una situación real, al movimiento vertical.

Por esta razón, René Descartes ilustró el hecho de que, en el nuevo medio, la velocidad de propagación de la luz es mayor imaginando una pelota que es golpeada de nuevo por la raqueta en cuanto alcanza el punto B de contacto con el nuevo medio. El filósofo y matemático francés explicó además que si, por ejemplo, la velocidad de la pelota aumentase en un tercio, entonces necesitaría dos momentos para recorrer, en el nuevo medio, la misma distancia que recorrería en tres momentos en el otro medio. Una vez dibujado el círculo y una vez trazados los segmentos AC, HB y FE de tal modo que hay un tercio menos de distancia entre F y B que entre B y C (figura 7), entonces el punto I, donde FE y el círculo se cortan, determina la localización hacia la cual la pelota debe dirigirse.

Refracción de la luz en el agua, a partir de un dibujo de Descartes
Sin embargo, no debe hacerse en función de ángulos como ABH e IBG, puesto que la proporción entre dichos ángulos varía de acuerdo con las inclinaciones de los rayos, mientras que la proporción entre las líneas AH, IG o similares permanece igual en todas las refracciones.
Así, por ejemplo, si un rayo viaja a través del aire desde A hacia B (figura 8), donde encuentra la superficie de una lente CBR en B, y es reflectado hacia I en la lente, mientras que otro rayo se desplaza desde K hacia B y es reflectado hacia L, y un tercero va de P hacia R y se reflecta hacia S, debe haber la misma proporción tanto entre las líneas KM y LN como entre AH e IG, pero no la misma entre los ángulos KHM y LBN y entre los ángulos ABH e IBG.

La ley de reflexión cartesiana, según un dibujo del propio Descartes.
He aquí la formulación de la ley de refracción con unos términos en los que no interviene el álgebra y que no dejan dudas acerca de la veracidad del resultado. Se trata de un modelo geométrico de la situación matemáticamente impecable, pero que adolece de la falta de perspectiva física, que Descartes suplió con imaginación e inteligencia matemática. En aquella época la naturaleza ondulatoria de la luz todavía era desconocida.
Una forma diferente de abordar el problema
Pierre de Fermat abordó el problema y criticó el procedimiento seguido por Descartes para resolverlo. Tal como sucedía en el caso de la reflexión, Fermat formuló el problema como una cuestión de optimización al considerar que un rayo de luz buscaría siempre el trayecto más rápido para ir de un punto a otra. Hay que suponer, pues, la existencia de un rayo de luz que va desde el punto O, situado en un medio A, hasta el punto O' en un medio B (figura 9 izquierda).

El problema de la refracción, según Fermat, y a la derecha la solución matemática al problema de la refracción.
Lo admirable de este enfoque basado en el principio físico de la optimización natural es que convierte un problema fisco en uno matemático. A continuación, se resolverá al modo de Fermat en lo que constituirá la demostración matemática definitiva de la ley de la refracción de la luz. Para hallar la solución a este problema de optimización es necesario introducir algunas líneas adicionales a las de la figura anterior. Para mayor comodidad, se tomará como la unidad la distancia entre los puntos A y B, los pies de las perpendiculares respectivas trazadas desde O y O' (figura 9 derecha).
Por una parte, los triángulos rectángulos OAC y CRO' en la figura 9 derecha, permiten la aplicación del teorema de Pitágoras:




Descartes y la explicación del arcoíris
Probablemente, de todos los fenómenos atmosféricos el más bello, extraordinario y el que más fascinación ha despertado siempre es el del arcoíris. Dicho fenómeno se produce cuando, en un día de lluvia, el sol se halla a espaldas del observador y sus rayos de luz se reflejan en la cortina de lluvia, contemplada
Ya en la Antigüedad algunos pensadores ofrecieron explicaciones más o menos acertadas de su formación. Los factores fundamentales que intervienen en la aparición del arcoíris son precisamente la reflexión y la refracción de la luz. Y, aunque todas las explicaciones de ese fenómeno pasan por modelaciones geométricas de las gotas de lluvia y de los rayos del sol, ninguna de ellas puede reducirse a cuestiones de óptica geométrica, pues el fenómeno es indisociable de la naturaleza de la luz que lo genera.
A mediados del siglo IV a.C., el filósofo griego Aristóteles intentó explicar el arcoíris como el resultado de una reflexión de la luz en las nubes que da lugar a un cono circular compuesto por los rayos que originan el fenómeno. Ya en la Edad Media el teólogo y filósofo inglés Roger Bacon (ca. 1219-ca. 1292) aventuró que el ángulo formado por los rayos del arcoíris y el de la luz que lo forma es de 42º. Por su lado, el dominico alemán Teodorico de Freiberg (ca. 1250-ca. 1310) sugirió que cada gota de lluvia podía dar lugar aun arcoíris y, con el objetivo de demostrar su teoría, realizó experimentos con un frasco esférico lleno de agua.
La explicación sobre la formación del arcoíris también preocupó a Descartes, quien afirmó de él que era una maravilla tan extraordinaria de la naturaleza que difícilmente podría escoger ejemplo más apropiado al cual aplicar su método de pensamiento,
De hecho, su explicación fue la más precisa de todas las desarrolladas hasta entonces. Sin embargo, no fue la definitiva, debida a que, tal como sucedía con otros fenómenos físicos analizados por el filósofo, la naturaleza de la luz no era lo suficientemente conocida en el siglo XVII. En la época en que Descartes abordó la cuestión hacía muy poco tiempo que se conocía la ley de Snell, a menudo conocida con el nombre de ley de Snell-Descartes, porque fue este último quien, en La dióptrica, la publicó por primera vez.
La explicación cartesiana del arcoíris apareció en un discurso titulado «El arcoíris» dentro del ensayo Los meteoros que acompañaba a otros en el apéndice del Discurso del método. Descartes comenzó su discurso diciendo que no podía encontrar un fenómeno natural tan notable, tan estudiado por muchos y, a la vez, tan poco comprendido al que poder aplicar su método. Su procedimiento se estructuró en diversas fases.
Descartes primero se aseguró de la esfericidad de las gotas de agua, lo que le proporcionó un modelo geométrico de los corpúsculos que componían tanto la lluvia como las fuentes de agua en las que podía verse el fenómeno.
Doctor MirabilisRoger Bacon, conocido también como Doctor Mirabilis, fue un franciscano y filósofo inglés que se centró en el estudio de la naturaleza mediante métodos empíricos. También fue conocido por diseñar y construir una cabeza mecánica de bronce supuestamente capaz de responder a cualquier pregunta que se le plantease, invención que sitúa a Bacon a la cabeza del diseño de autómatas. Pese a su defensa del método empírico, suele criticársele que obtuviese muchos de sus conocimientos a través de la lectura.
Las raíces aristotélicas
Bacon estudió en Oxford y enseñó allí el pensamiento de Aristóteles.A finales de la década de 1230 o principios de la siguiente, fue profesor en la Universidad de París, donde dio clases de gramática latina, lógica aristotélica, aritmética, geometría, astronomía y música. Además, estudió los tratados griegos y árabes sobre óptica. A finales de la década de 1260 envió al papa su Opus malus, obra en la que proponía el modo de incorporar la lógica aristotélica y la ciencia a una nueva teología. En la quinta parte de dicha obra, Bacon trató cuestiones relativas a la óptica y, en particular, acerca de cómo la distancia, la posición, el tamaño y la luz intervienen en la relación entre la vista, el ojo y el cerebro.
![]()
Torre del monasterio franciscano de Oxford que albergaba el estudio de Roger Bacon
En segundo lugar, se dio cuenta de que la apariencia del arcoíris no dependía del tamaño de las gotas, lo que le permitiría representarlas tan grandes como quisiera sin que ninguno de sus razonamientos perdiese rigor.

El arcoíris siempre ha fascinado a numerosos estudiosos a lo largo de los siglos, incluyendo a Descartes.
Posteriormente, dio por sentado, aunque sin justificarlo, que el ángulo máximo formado por los rayos de luz entrante y saliente en una gota de agua era de 42º, tal como había calculado Bacon siglos antes.
A continuación, Descartes averiguó la existencia de los arcoíris primario, secundario y terciario y los relacionó directamente con el número de reflexiones experimentadas por el rayo de luz dentro de la gota de agua. Descartes se valió de dos figuras para ilustrar la cuestión. Una de ellas (figura 10) era la modelización geométrica del fenómeno en general.

Formación del arcoíris, según un dibujo de Descartes
La otra figura era la interpretación geométrica de la trayectoria seguida por el rayo de luz al atravesar la gota de agua (figura 11).
Sobre esta última figura, Descartes acabó justificando que el ángulo máximo del arcoíris primario era de 42º. Ahora bien, tal como hizo en otros ensayos, entre los que se cuenta La geometría, lejos de escribir punto por punto sus demostraciones, se limitó a mencionarlas dándolas por sentadas.

Un rayo de luz atraviesa una gota de agua, de acuerdo con Descartes

Para Aristóteles, el arcoíris era el resultado de la refracción de la luz en las nubes que daba lugar a un cono circular
Primero, la luz se refracta a) chocar con la gota en B (figura 12), ya que pasa del aire al agua Luego, parte de ese rayo de luz se refleja en la pared interior de la gota en el punto C; otra parte la atraviesa refractándose. Por último, la luz cautiva dentro de la jota vuelve a refractarse al salir de ella por D, para pasar del agua al aire y alcanzar los ojos del observador.

Roger Bacon sostuvo que el ángulo formado por los rayos del arcoíris y la luz que lo forman es de 42º.
Averiguar dicho ángulo, al que se denominará A, supone considerar el cambio del ángulo incidente y refractado en el punto B con relación a la perpendicular a la superficie de la gota y que los ángulos de los rayos incidente y reflejado con la tangente a la gota en el punto C sean iguales (figura 13).

Para hallar el ángulo de deflación D = 180º - A experimentado por el rayo entre la entrada y salida de la gota A hay que eliminar los elementos innecesarios del dibujo anterior (figura 14).
Se aprecia entonces que la deflación D es la suma de dos ángulos derivados de la refracción y otros dos derivados de la reflexión interior.

D = (i - r) + (180º - 2r) + (i - r)
D = 180º + 2i - 4r


i = 59,588°
A = 41,826°
He aquí los aproximadamente 42º utilizados por Descartes, medidos por Roger Bacon y que Pierre de Fermat habría calculado usando una metodología más próxima al cálculo diferencial. La figura 15 proporciona dos valores aproximados de los ángulos i y A., pero no exactos. Solo mediante el cálculo con derivadas podemos obtenerlos. Para ello, basta tener presentes las reglas de derivación de la función arcoseno y de la composición de funciones:



Ninguno de los cálculos efectuados considera los aspectos cromáticos de la luz. Se ha tomado la trayectoria de la luz como un segmento que al entrar en contacto con un círculo experimenta una serie de alteraciones geométricas de tipo angular. Sin embargo, el rasgo maravilloso del arcoíris reside en su colorido. La realidad del fenómeno no se puede reducir a una cuestión geométrica tan simple como la expuesta. Descartes ya se dio cuenta de ello. Por eso, basó sus ideas en el fenómeno similar del prisma triangular del que obtuvo una explicación para el aspecto cromático de la refracción.
Pese a ello, Descartes no ofreció una elucidación para la formación de los colores del arcoíris. Sus explicaciones fueron relativas a la formación y a la forma. Décadas más tarde, Isaac Newton reconocería que no comprendía cómo se formaban las franjas de colores del arcoíris. Ahora bien, en la época de Newton tampoco existían conocimientos suficientes sobre la luz como para saber que son sus diferentes longitudes de onda las que dan lugar a los distintos colores y que existe un índice de refracción para cada una de ellas. La siguiente tabla muestra los índices de refracción entre el aire y el agua para distintas longitudes de onda, es decir, colores, de la luz expresadas en nanómetros:

La princesa, el filósofo y su teorema
Descartes nunca se casó con Helena Jans, sirvienta en una de las hospederías en las que el filósofo vivió en Holanda y madre de su hija. Seguramente la causa de esto fue la diferencia de clase social entre ambos. De haberse casado, el filósofo habría visto mermada su reputación y él anhelaba alcanzar un prestigio social que un enlace con una criada le habría dificultado. Descartes incluso fue testigo en la boda de Helena, celebrada en 1644, y la ayudó económicamente. No es descabellado pensar que Descartes actuó así para resarcirse de un sentimiento de culpabilidad y distanciarse con dignidad de una persona incómoda en su vida, más teniendo en cuenta que su hija Francine había muerto cuatro años antes, con lo que su lazo con Helena había desaparecido.
El vínculo entre dos mentes excepcionales
La relación de Descartes con Isabel de Bohemia, princesa del Palatinado, fue muy distinta. El vínculo con Descartes comenzó en 1640 cuando ella solicitó que el filósofo le diese clases de filosofía y moral. Descartes acabó experimentando un sentimiento situado en algún punto entre el enamoramiento platónico y la devoción por Isabel. Las cartas escritas por Descartes a la princesa desprenden admiración por la capacidad intelectual de la dama, capaz de seguir, superar, e incluso poner en dificultades los razonamientos del filósofo.
«Y no conozco caso como el de Vuestra Alteza, quien tiene igual facilidad de entendimiento para todas las cosas.»La correspondencia entre Isabel de Bohemia y Descartes se inició en mayo de 1643 y concluyó con una última carta escrita por Isabel el 4 de diciembre de 1649, apenas un par de meses antes del fallecimiento del filósofo. Isabel escribió desde La Haya, entre 1613 y 1647, luego desde Berlín, hasta 1647, y, finalmente, desde la localidad holandesa de Crossen.
René Descartes, carta a Isabel de Bohemia, noviembre de 1643.
La admiración de Descartes por Isabel debió de ser fruto del impacto que hubo de causarle el hecho de que una mujer pudiese situarse al mismo nivel que un hombre cultivado en cuestiones filosóficas, religiosas, morales y matemáticas.
La princesa intelectualIsabel de Bohemia y del Palatinado nació en la ciudad alemana de Heidelberg, en 1618, y falleció en Herford, en 1680. Fue la primera hija de Federico V del Palatinado y de Isabel Estuardo, reyes protestantes de Bohemia entre 1619 y 1620. Tras pasar su infancia en Berlín, como consecuencia de la pérdida del reinado de su padre, se trasladada a la localidad holandesa de Leiden junto con sus hermanos. Allí estudia lengua y literatura clásica y moderna, además de mostrar gran interés por la filosofía. Se pensó en casarla con el rey de Polonia, pero Isabel se negó a contraer matrimonio con un católico. En cualquier caso, ella se distinguió como una aristócrata calvinista y filósofa que se relacionó con los mas destacados intelectuales de su época, entre tos que se contaban Descartes y Leibniz.
Profesora y abadesa
Cuando el tratado de Westfalia permitió que Carlos Luis I del Platinado, hermano de Isabel, recuperase el trono del Palatinado Inferior, la aristócrata se trasladó a Heidelberg, donde enseñó filosofía. En 1667 Isabel se estableció en la abadía de Herford, en la que sucedió como abadesa a su hermana pequeña cuando esta se trasladó a Francia, y donde residiría hasta su fallecimiento.
Sin duda, Isabel trastocó sus esquemas y le provocó fascinación. Primero, desde un punto de vista intelectual, y después, emocionalmente. Descartes le manifestó un afecto en ocasiones rayano en la sumisión que no dejaban lugar a dudas acerca de su enamoramiento: «No hay lugar en el mundo tan rudo y tan falto de comodidades en el que no me considerase dichoso de pasar el resto de mis días si Vuestra Alteza estuviera en él y yo pudiera servirle de alguna manera».
Ahora bien, los sentimientos del filósofo no parecen haber sido correspondidos por Isabel. No hay duda de que ella lo admiraba y lo apreciaba, pero sus cartas no mostraban un grado de afecto similar al que él profesaba por ella.
Las cartas entre Descartes e Isabel de Bohemia trataban acerca de cuestiones filosóficas y, particularmente, sobre la ética, la moral y las pasiones. Sin embargo, también hubo lugar para las matemáticas, como lo ejemplifica un problema geométrico planteado por Descartes a la princesa en 1643. La solución propuesta por ella le pareció a él más elegante que la suya propia. Lo que motivó algunas reflexiones del filósofo sobre la importancia de la economía y la elegancia en las demostraciones matemáticas.
El problema en cuestión se inspiraba en un antiguo problema geométrico referente a círculos tangentes. El planteamiento de Descartes se conoce como «teorema de Descartes» y dice que cuatro círculos tangentes entre sí dos a dos verifican una ecuación cuadrática. De este modo, dados tres círculos tangentes entre sí, puede determinarse el cuarto círculo tangente a los otros tres. Dos círculos se dicen tangentes si su intersección es un único punto.Aquí se abordará el problema comenzando por un caso consistente en trazar un tercer círculo tangente a otros dos tangentes entre sí y tangentes a una recta común (figura 16).
Supongamos conocidos los radios R y r de dichos círculos y la distancia d que separa sus puntos de contacto con la recta (figura 17).
La cuestión ahora consiste en determinar cuál será el radio del tercer círculo, el más pequeño, tangente a ambos y tangente también a la recta.

(R + r)2 = (R - r)2 +d2
R2 + 2Rr + r2 = R2 - 2Rr +r2 + d2
4Rr = d2




Con las operaciones realizadas hasta el momento es postile colmar los intersticios entre los dos círculos y la recta tangente común a todos ellos. Otra cosa es colmar el espacio restante entre los tres círculos tangentes entre sí. En ello radica la mayor dificultad del problema.
El caso resuelto con los tres círculos tangentes entre sí y tangentes a una recta constituye de hecho un caso particular de cuatro círculos tangentes, pues la recta puede considerarse un círculo de radio infinito. Extendiendo la expresión anterior al cuarto círculo:

![]()

Tres círculos tangentes entre sí y las dos soluciones para el cuarto círculo.
Del interés de Descartes por los fenómenos lumínicos se desprendieron algunas de sus más valiosas aportaciones: la ley de la refracción de la luz y la explicación del arcoíris. Todo ello inspirado por fenómenos físicos naturales y reales de los cuales el filósofo desarrolló interpretaciones geométricas y luego algebraicas que le llevaran a concluir primero y confirmar después la sentencia con la que abrió su geometría: que todos los problemas referentes a rectas y círculos pueden resolverse mediante ecuaciones.
Sin duda es esta la mayor aportación matemática de Descartes, haber imaginado, experimentado y corroborado el potencial del álgebra en una época en la que su lenguaje y su sintaxis no se habían terminado de formalizar. Las consecuencias fueron extraordinarias porque quienes se dedicaron a las matemáticas y la física ya partieron de la confianza que proporciona el hecho de pensar que si se dispone de las ecuaciones correctas, por fuerza se dispone también de las soluciones correctas, y que la naturaleza de aquellas determina la naturaleza de estas.
No es extraño que quienes llevaron a cabo los avances matemáticos más relevantes tras la desaparición de Descartes fuesen Newton, físico y matemático, y Leibniz, filósofo y matemático como el autor del Discurso del método.
Capítulo 4
Descartes tras Descartes
René Descartes falleció el 11 de febrero de 1650 en Estocolmo, a donde se había trasladado en busca de un ambiente que le permitiera desarrollar su trabajo con mayor tranquilidad. Su legado para la ciencia matemática se reveló extraordinario, el autor francés contribuyó de manera decisiva a la gestación de la geometría analítica y edificó un método de aproximación a la realidad que ejerció una gran influencia en el pensamiento científico de centurias posteriores.En febrero de 1650 Descartes se hallaba en Estocolmo, ciudad a la que había sido invitado por la reina Cristina de Suecia en septiembre de 1649, de manera que apenas llevaba cinco meses en la corte del país. Había tomado la decisión de mudarse a Estocolmo con la esperanza de dejar atrás el ambiente de cierta hostilidad que lo atormentaba en Francia y en Holanda, y que se había generado como consecuencia de sus creencias y escritos. Por una parte, en un entorno protestante como el sueco se encontraría más cómodo que en uno católico, como lo era el francés. Por otra, en Holanda sus obras no tenían el apoyo que deseaba y en Suecia podía albergar la esperanza de que su filosofía fuera conocida en círculos más amplios. Además, a Descartes le interesaba relacionarse con la alta sociedad, si soñaba con tener algo más que una relación epistolar con la princesa palatina Isabel de Bohemia. Probablemente estas fueron las principales razones por las que aceptó la invitación de la reina Cristina de Suecia a convertirse en su preceptor de filosofía. En Estocolmo, Descartes se alojó en casa de su amigo Pierre Chanut (1601-1662), embajador francés en Suecia, quien había mediado con la corte del país para que la reina invitara al filósofo. La residencia se hallaba a apenas medio kilómetro del castillo real de las Tres Coronas, un enclave que sería destruido por un incendio en 1697 en el que se perdieron la mayoría de los archivos reales.
Un gélido final en Estocolmo
La experiencia nórdica no fue positiva para Descartes. Más allá de las afinidades entre la soberana y el filósofo, se sabe que la reina Cristina no le dispensaba la atención que el filósofo se esperaba antes de emprender el viaje. Apenas se veían, y los encuentros entre ambos, dedicados a reflexionar sobre cuestiones religiosas y filosóficas, se producían a horas intempestivas en el frío castillo real.
«Descartes, mediante un nuevo método, hizo pasar de las tinieblas a la luz cuanto en las matemáticas había permanecido inaccesible a los antiguos y todo cuanto los contemporáneos habían sido incapaces de descubrir.»La última carta que escribió Descartes a Isabel de Bohemia desde Estocolmo da cuenta del sentimiento de insatisfacción que invadía al filósofo. En ella explicaba a la princesa palatina que desde su anterior misiva solo había visto a la reina en cuatro o cinco ocasiones, por la mañana, en la biblioteca de ella y acompañado del estudioso alemán Johann Freinsheim (1608-1660). Le informaba también de que la reina Cristina se había ausentado a Upsala, que él no la había acompañado y que desde su regreso a Estocolmo tampoco la había visto.
Baruch Spinoza, en los principios de la filosofía cartesiana.
Descartes en la corte de la reina Cristina de Suecia (1684) de Nils Farsberg a partir de una obra original de Pierre Louis Dumesnil realizada en el siglo XVII. Descartes, primero por la derecha, aparece junto a la monarca sueca.
Lo que ha quedado de Descartes tras su muerte es mucho más de lo que tuvo en vida El filósofo ejerció una gran influencia sobre las ideas de los pensadores que le sucedieron, en todos los ámbitos. En el matemático, fueron Newton y Leibniz quienes al crear el cálculo diferencial llevaron a cabo la transformación más significativa tras la creación de la geometría analítica cartesiana.
El álgebra infinita de Newton y Leibniz
Newton nació en 1642, ocho años antes de la muerte de Descartes. Cuando ingresó en el Trinity College de Cambridge en 1661 tenía diecinueve años. Fue allí donde tuvo conocimiento de la obra del filósofo francés, pese a que este no formaba parte del plan de estudios de la academia. En aquel entonces, Aristóteles seguía reinando en los currículos educativos de la época. Por fortuna, Newton osó leer los apéndices que acompañaban el Discurso del método.
El joven Newton se interesó por las mismas cuestiones que Descartes, y lo hizo adoptando el primero de los cuatro puntos del método cartesiano: dudar de todo. Empezó reflexionando sobre la luz y puso en cuestión lo que Descartes había escrito acerca de su naturaleza y el arcoíris. Eso condujo a Newton a realizar sus propios experimentos y comprobaciones. Al final, las explicaciones de Newton acerca de la luz y el arcoíris fueron más precisas que las de sus predecesores. Newton, menos filósofo que Descartes pero más físico, ofreció un enfoque que acabaría enriqueciendo las matemáticas.

Retrato de Gottfried Leibniz, por Johann Friedrich Wentzel








Se trataba del cálculo de las áreas encerradas por curvas.

Isaac Newton, retrato por Godfrey Kneller



y3 - 2y - 5 = 0
Para resolver esta ecuación Newton utilizó un método iterativo. Comenzó observando que y = 2 era una solución aproximada de esta ecuación, ya que 23 - 2×2 - 5 = -l. A continuación, basándose en esa primera solución aproximada y1 = 2, tomó un valor próximo a ella, y2 = 2 + p, que luego sustituyó en la ecuación:
10p - 1 = 0 → p = 0,1 → y2 = 2 + 0,1 = 2,1.
Ya tenemos dos soluciones aproximadas: y1 = 2 e y2 = 2,1. En efecto, la última es más precisa que la primera, puesto que sustituyéndola en la ecuación original se obtiene 0,061. A continuación, Newton tomó y3 = 2 + 0,1 + q:q3 + 6,3q2 + 11,23q + 0,061 = 0.
Eliminando de nuevo los términos no lineales (con exponentes mayores que la unidad), halló la siguiente solución aproximada11,23q + 0,061 = 0 → q = 0,0054?y3 = 2,0846.
Esa tercera solución aproximada es ya muchísimo más precisa. Sustituida en la ecuación original, el resultado no es 0, pero casi: 0,00054155.De este modo, Newton fue creando una sucesión de soluciones aproximadas cada vez más cercanas a la solución verdadera. Para decirlo en un lenguaje moderno, se estaba creando una sucesión cuyo límite convergía hacia la solución de la ecuación.
Pero esto lo hizo Newton de forma «artesanal», sin desarrollar los conceptos de límite ni de convergencia de una sucesión. Menos todavía dilucidó la naturaleza de dicha solución, si sería un número racional o irracional.
Estos fueron los inicios del desarrollo más relevante que las matemáticas experimentaron en la época posterior a Descartes. Un desarrollo que se produjo en un doble sentido. Por una parte, el álgebra se hizo infinita con la incorporación de las series numéricas, las cuales proporcionaban soluciones a ecuaciones que antes no se sabía cómo tratar y, a la vez, permitían cálculos de funciones radicales tan exactos como se deseasen. Por otra, ese nuevo cálculo se aplicó a problemas ya tradicionales que había abordado Descartes, como el de las tangentes a curvas. Este y el de las áreas encerradas por las curvas dieron lugar a la creación del cálculo infinitesimal.
Gottfried Leibniz también abordó el problema de la convergencia de las series infinitas. No se trataba de saber si esas sumas infinitas daban un resultado finito, sino qué significaban realmente; la cuestión no se resolvería hasta un siglo más tarde, cuando el matemático suizo Leonhard Euler (1707-1783), mediante el concepto de limite, definió la suma de una serie infinita como el valor a que se aproximan sus sumas finitas parciales.
«Y todo lo que el análisis común lleva a cabo por medio de ecuaciones constituidas por un número finito de términos (cuando puede ser posible), este método [de series y fluxiones] puede llevarse a cabo siempre mediante ecuaciones infinitas.»Junto con el cálculo de las áreas cerradas por curvas, el cálculo de las tangentes impulsó el avance más significativo de las matemáticas desde la creación de la geometría analítica por parte de Descartes. Ese avance se concretó en la creación del cálculo diferencial y constituyó el primer paso en la «domesticación» de un concepto que pasaría a ser fundamental en las matemáticas: el infinito. Esa quimera imprecisa que Euclides había evitado y con la que solo los algebristas árabes e indios de la Edad Media europea habían lidiado por medio de sus algoritmos recurrentes comenzó a comprenderse gracias a los matemáticos que sucedieron a Descartes.
Isaac Newton
Descartes había resuelto el problema de la tangente planteando una ecuación algebraica cuya solución se obtenía por comparación de los coeficientes de dos expresiones polinómicas que debían tener las mismas raíces. El enfoque del problema por parte de Newton sintonizaba más con la perspectiva de Fermat. La divergencia con la perspectiva cartesiana se produjo porque Newton abordó la cuestión buscando la cuantificación del cambio que se producía entre puntos distintos de la misma curva, una idea que lleva implícito el concepto de función. Sería posible referirse a ella como una visión física y no mecánica de la curva
Supóngase que se busca la tangente en un punto de abscisa x = a de la curva y = x2. La situación se representa en la figura 1. El valor e corresponde al aumento experimentado por la variable x, lo que en términos contemporáneos sería el incremento de dicha variable.
Tasa de cambio entre dos puntos parábola y = x2.



El problema de las sumas infinitas relacionadas con las cuadraturas, esto es, calcular áreas de figuras curvilíneas, fue abordado por Leibniz, quien se refirió a esas series infinitas como «cuadraturas aritméticas». Si Françoise Viéte y René Descartes habían demostrado que los problemas de la geometría rectilínea se resolvían mediante ecuaciones algebraicas, Leibniz puso en evidencia que los de geometría curvilínea lo hacían mediante la aritmética de las progresiones. De esta forma, las aproximaciones tan precisas como se desee de una suma infinita irrumpieron en las matemáticas como nunca antes lo habían hecho y dieron lugar al concepto de «límite». Con ello, Leibniz no soto consideró haber perfeccionado la geometría, sino también la matemática pura, simplificando el cálculo mediante el medio aritmético diseñado por él: el cálculo diferencial.
Leibniz llamó «curva analítica» a aquella cuyos puntos pueden determinarse de forma exacta mediante el cálculo, y «cálculo analítico exacto» al cálculo que permite hallar con una ecuación el valor exacto buscado.
El filósofo alemán se refería a menudo al francés en sus escritos. Decía de Descartes que él mismo era consciente de lo imperfecta que es una solución al reconocer que nada mejor podía hacer para precisar la naturaleza de una línea que no es analítica. Leibniz se atrevió incluso a decir que Descartes no reconocería sus dificultades si no estuviese seguro de que nadie iba a mejorar lo que había hecho. Al parecer, y aunque fuese solo a través de sus escritos, el filósofo alemán llegó a conocer bien al autor del Discurso del método. Leibniz afirmó a su vez que fue esa confesión de solución imperfecta por parte de «tan gran geómetra» la que despertó su curiosidad para estudiar la curva de tal tipo y que su propio método de análisis, un medio desconocido por Descartes, le permitió dar con la curva logarítmica. Leibniz admitió también que el problema que frustró a Descartes era uno de los más difíciles del método de las tangentes.
El problema en cuestión fue propuesto a Descartes en 1639 por el jurista y matemático francés Florimond de Beaune (1601-1652), y el filósofo francés intentó resolverlo sin éxito. El problema consistía en hallar la curva cuya subtangente sea una constante dada. En términos más actuales, se trataría de hallar una curva y = f(x) cuya recta tangente r corte el eje de abscisas en un punto c del eje OX de tal modo que la diferencia entre la abscisa de cada punto y c sea siempre constante.

La disputa entre Newton y Leibniz por el cálculoEl escocés John Kell (1671-1720) aseguró en 1709 que no había duda de que Newton había sido el primero en la invención del cálculo diferencial, puesto que las cartas que le había escrito en 1676 al matemático inglés John Wallis (1616-1703) así lo demostraban, Sin embargo, Leibniz había desarrollado su cálculo diferencial de modo independiente entre 1670 y 1680, aunque era difícil demostrarlo. La decisión que tomó la Royal Society fue que Kell se ocupase de redactar un informe defendiendo los derechos de su presidente. Como Leibniz también era miembro de la Royal Society, solicitó una revisión cuando tuvo conocimiento del informe.El fallo se produjo el 6 de marro de 1712 y se resume en las afirmaciones siguientes:
![]()
Reunión de la Royal Society, con Newton como presidente
1) ambos métodos eran solo uno, únicamente se distinguían por el nombre y la potación;
2) la cuestión no era quién los había inventado, sino quién había sido el primero en hacerlo;
3) quienes habían atribuido la primicia a Leibniz lo hicieron porque desconocían la correspondencia de Newton;
4) Newton tuvo el método preparado quince años antes de que Leibniz publicase el suyo en la revista Acta Eruditorum de Leipzig;
5) se reconocía a Newton como el primero;
6) Keill no había ofendido a Leibniz.
Lejos de resolverse la cuestión, en 1713 Leibniz insistió en que Newton no había publicado nada antes que él y que, por tanto, debía haberle copiado el método al conocerlo en 1684. Las disputas se sucedieron hasta la muerte de Leibniz en 1716.
Dicha proporción sería la misma que existe entre dy y dx. Por tanto:




La «característica de Descartes-Euler»
Las representaciones planas de las constelaciones son figuras compuestas por puntos (estrellas) y segmentos (conexiones) que conforman una figura, como sucede con la constelación de Orión (figura 3).


Si se cuenta el número de vértices (extremos de segmentos), aristas (segmentos) y caras (polígonos) presentes en las constelaciones de las figuras 3 y 4 y se organizan en la siguiente tabla de datos, tal vez se llegue a alguna conclusión:

Para comprobar la veracidad de tal afirmación, cabe reflexionar sobre lo que ocurre cuando añadimos un vértice (punto) o una arista (segmento) a cualquier constelación ya existente.
Añadir un punto solo es posible sí se pone en un segmento ya trazado, pues de lo contrario quedaría aislado. Entonces, se crean un vértice y una arista más, pues la que ya existía se ha dividido en dos. Por tanto, el valor de C + V aumenta una unidad, como también lo hace A + 1, y la relación de igualdad se conserva.
Agregar un segmento de forma no aislada puede hacerse, en primer lugar, en un vértice de la constelación, con lo cual se añade una arista y un vértice (su extremo). En tal caso, C + V aumenta una unidad, lo mismo que A + 1. También puede realizarse conectando dos vértices ya existentes, con lo cual se crea una nueva cara, ya que, de lo contrario, dichos vértices estarían desconectados o serían aislados. Esa nueva cara no aporta más vértices, pero sí la cara y la arista que la cierra, por lo que C + V aumenta una unidad, como también lo hace el valor de A + 1.
Por último, puede hacerse en medio de una arista, con lo que se crean un vértice y una arista más. Así, los valores de C + V y de A + 1 crecen también en una unidad conservándose su igualdad.
En todos los casos, el número de unidades aumentadas en C + V se corresponde con las que aumenta el valor de A + 1, y la igualdad se conserva. La relación característica de las constelaciones planas es, por tanto, la siguiente:
C + V = A + 1
La conocida como «característica de Euler-Descartes» es la equivalente a los poliedros en el espacio. Afirma que las caras, los vértices y las aristas de un poliedro cumplen la relación:C +V = A + 2.
Pese a que fue Euler el primero en establecer esa fórmula, sus orígenes se atribuyen a Descartes, pues en 1630 d filósofo francés demostró una relación fundamental para obtener la relación que algunos consideran equivalente a la de Euler. Sin embargo, Descartes nunca expresó el resultado del modo en que lo hizo este último, quien le dio la forma conocida en la actualidad. Siendo fieles al desarrollo histórico, el nombre de «característica de Descartes-Euler» de los poliedros convexos resulta más apropiado que el de «característica de Euler-Descartes» o simplemente «característica de Euler», como a menudo suele citarse.La aportación más relevante de Descartes a la fórmula C + V = A + 2 tiene que ver con lo que en su época se llamaba la «deficiencia» de un ángulo sólido, esto es, el ángulo que falta a los ángulos planos de un vértice para completar los 360° del ángulo plano circular. Imaginemos, por ejemplo, el vértice de un cubo. En él confiaren tres caras cuadradas de ángulos rectos. Por tanto, la deficiencia en un vértice del cubo es de 360º - 3×90° = 3600 - 2700 = 90°, un ángulo recto.
Descartes demostró que la deficiencia angular total D en cualquier poliedro convexo es siempre de ocho ángulos rectos:
D = 8×90º = 720° =4p radianes
Es fácil observar que así es en toda los poliedros regulares, tal como muestra la tabla siguiente:

Pentaedro por disección del cubo
Cualquier poliedro convexo puede abrirse por una de sus caras, extenderse sobre el plano y formar una red de polígonos. En dicha configuración el valor de C + V - A es una unidad inferior al real porque hemos eliminado una cara para poder allanar el poliedro. Sin embargo, cualquier red poligonal conexa en el plano verifica que C + V - A=1. Por tanto, la red compuesta por la versión plana extendida del poliedro verifica también dicha relación. Luego, el resultado es que al añadir esa cara el total de la fórmula pasa de 1 a 2 y C + V - A = 2.
Se puede constatar que eso se cumple en el pentaedro irregular anterior obtenido cortando el cubo.

Desarrollo del pentaedro (izquierda) y extensión sobre el plano abriendo una cara triangular (derecha).
Descartes y la resolución de problemas
La cuestión de la característica de Descartes-Euler ha sido tratada extensamente por matemáticos interesados en los procesos científicos y de desarrollo del conocimiento matemático, como los húngaros George Pólya (1887-1985) e Imre Lakatos (1922-1974). Este último puso a prueba el modo en que suelen concebirse tres de los elementos sobre los que se fundamenta el conocimiento matemático: los axiomas, las definiciones y las demostraciones. Y lo hizo atacando precisamente la característica de Descartes-Euler sobre los poliedros. Su método fue ver que mediante contraejemplos a las afirmaciones vertidas se tambaleaba la definición de poliedro dada de antemano y que el teorema debía ser reformulado limitando su campo de aplicación.
Así, es posible imaginar un poliedro compuesto por un cubo que encierra una pequeña burbuja cúbica en su interior. Este raro poliedro posee 12 caras, 24 aristas y 16 vértices, por lo que en su caso la fórmula es C + V = A + 4.
El método de Lakatos tiene el mismo punto de partida que el cartesiano; dudar de todo. Sin embargo, diverge de él cuando se basa en el diálogo y la argumentación no ya para escudriñar unas realidades tangibles y experimentables, como son el arcoíris y su causa, la refracción de la luz, sino para crear los medios con los que se va a decidir la veracidad o falsedad acerca de una afirmación, que afecta a la concepción de los objetos a los que dicha afirmación se aplica. Sin embargo, el método de Lakatos vuelve a aproximarse al cartesiano al analizar multitud de casos posibles de los que se derivará al fin la propiedad universal. Lakatos acaba dividiendo un todo en partes analizables, pero dicha totalidad no es tangible, sino imaginada.
Donde más se percibe la influencia del método cartesiano es en la propuesta metodológica formulada por Pólya en 1945 para resolver problemas matemáticos. Recuérdense los cuatro postulados del método cartesiano de pensamiento:
a) no admitir nada absolutamente evidente;
b) dividir cada problema en tantos particulares como sea necesario para resolverlos mejor;
c) dirigir por orden los pensamientos yendo de lo simple a lo complejo, y
d) enumerar los datos del problema revisando los elementos de solución de cada uno para asegurarse de que se ha hecho todo correctamente.
Compárense con los postulados que Pólya estableció en su obra How to Solve It (¿Cómo resolverlo?) acerca de la resolución de un problema matemático mediante procesos heurísticos:
a) comprender el problema;
b) desarrollar un plan;
c) llevarlo a cabo, y
d) revisar lo realizado y ver si puede mejorarse.
Si no se halla la forma de solucionarlo, Pólya aconseja la analogía; «Si no es posible resolver el problema, quizá conozcas varo parecido y más sencillo que ya hayas resuelto o que sí puedas resolver y cuya estrategia de resolución te sirva para el más difícil».
Más sintonías con el método cartesiano se aprecian en las especificaciones que el matemático húngaro da para desarrollar el plan de la segunda de sus fases. Esas especificaciones, más allá del desarrollo de estrategias, sirven pena comprender mejor el problema, pues a menudo es la escasa comprensión del problema lo que impide hallar un modo de resolverlo: conjetura y comprueba, haz una lista, elimina posibilidades, utiliza la simetría, considera casos especiales, usa el razonamiento directo y resuelve una ecuación.
Un problema de construcción, por George PólyaEl matemático húngaro George Pólya distinguía tres tipologías principales de problemas: de construcción, de demostración y de ratio o proporción. La siguiente serie de viñetas ilustra la solución al problema de construir dentro de un triángulo el mayor cuadrado posible con un lado sobre la base del triángulo y con un vértice sobre otro lado.
![]()
1) El triángulo. 2) Un par de intentos entre los que se intuye la solución. 3) Más pruebas para ver su relación con la solución intuida. 4) Las cosas se llevan al límite. 5) El cuarto vértice del cuadrado límite da sentido a todos los demás. 6) La solución queda determinada por el cuadrado de lado igual a la altura del triángulo. Uniendo el cuarto vértice de este cuadrado con el vértice inferior izquierdo del triángulo se obtiene un punto de corte con el lado del triángulo la altura de este punto de corte es el lado del cuadrado buscado.
Obsérvese que el método newtoniano para crear una sucesión de soluciones aproximadas, pero cada vez más cercanas a la solución exacta de una ecuación, coincide con uno de los principios estipulados por Pólya, Newton partía de una solución incorrecta pero fácil de hallar (basarse en un problema más fácil y asequible o que sí pueda resolverse). Luego aplicaba una técnica de corrección para ajustar dicha solución incorrecta y mejorarla, paso a paso, para acercarla al resultado exacto. Dado que Newton antecedió en dos siglos a Pólya, este pudo inspirarse en aquel.
Para ilustrar el método de Pólya se intentará demostrar por qué funciona un criterio de divisibilidad que los niños de todo el mundo suelen aprender a usar ya en la escuela primaría: si la suma de las cifras de un número es múltiplo de tres, entonces dicho número es múltiplo de tres.
En primer lugar es necesario comprender el problema, la experimentación ayuda mucho a la comprensión. El enunciado es cierto para múltiplos de 3 como 18777 y 12345678, ya que las divisiones de todos entre 3 son exactas (los restos de esas divisiones son todos nulos). Además, cumplen con que la suma de sus cifras también es un múltiplo de tres:
1 + 8 = 9 = 3×3,
7 + 7 + 7 = 21 = 3×7,
1 + 2 + 3 + 4 + 5 + 6 + 7 + 8 = 36 = 3×12.
El aspecto formal puede crecer hasta hacerse omnipresente: N es múltiplo de 3 si el resto de la división N/3 es nulo. N es múltiplo de 3 si existe k (el cociente de la división de N/3) tal que N =3k.
Por otra parte, un número de varias cifras en nuestro sistema decimal posee unidades, decenas, centenas, millares y, quizá, muchas más. Lo que llamamos cifras son, en realidad, coeficientes de potencias de 10:
1234567 = 1×106 + 2×105 + 3×104 + 4×103 + 5×102 + 6×101 +7×100
A continuación conviene elaborar un plan. Si a uno no se le ocurre nada, quizá sea de ayuda resolver antes una versión más sencilla del problema, como la siguiente: si las cifras de un número son múltiplos de 3, dicho número también es múltiplo de 3. En efecto, números como 33 y 6309 son múltiplos de 3, ya que sus divisiones por 3 son exactas. Los cocientes son:33 = 3×11,
6309 = 3×2103.
33 = 3×101 + 3,
6309 = 6×103 + 3×102 + 9.
33 = 3×(10+1).
En el caso del 6309 el factor 3 solo puede extraerse de los coeficientes:6309 = 2×3×103 + 3×102 + 3×3 = 3×(2×103 + 102 + 1).
Por tanto, en el caso de que todos los coeficientes sean múltiplos de tres, siempre podrá extraerse al menos un 3 como factor común, y el número total será múltiplo de 3. ¿Cómo pasar de este caso al más general?Imagínese la peor de las situaciones: aquella en la que ningún coeficiente sea múltiplo de 3. De ser así, ¿de dónde sacar un 3 como factor común? Tómese, por ejemplo, un número cuyas cifras sumen un múltiplo de 3 sin que ninguna de ellas lo sea:
1257 = 1×103 + 2×102 + 5×101 + 7
Ninguno de los números que aparecen en ese desarrollo es múltiplo de 3: ni 1, ni 2, ni 5, ni 7, ni 10, ni 100 ni 1000 lo son. ¿Cómo es posible que 1257 acabe siendo múltiplo de 3?Tal vez sea posible basarse en una ley similar a la que afirma que los múltiplos de 5 acaban en 0 o en 6, aunque ninguna de sus cifras restantes sea 0 o 5. Por ejemplo, el 235 es múltiplo de 5. ¿De dónde obtiene el 235 el factor 5? A continuación se muestra que lo obtiene de las decenas y centenas que lo componen, esto es, del 10 y del 100.
235 = 2×100 + 3×10 + 6 =
= 2×(5×20) + 3×(5×2) + 5 =
= 5×(2×20 + 3×2 + 1).
1257 = 1×1000 + 2×100 + 5×10 + 7=
= l×(999 + l) + 2×(99 + l) + 5×(9 + 1) + 7 =
= 999 + 2×99 + 5×9 + 1 + 2 + 5 + 7=
= (múltiplo de 3) + (1+2+6+7).
ABCDE... = (múltiplo de 3) + (A + B + C + D + E +...)
De ahí la norma que es criterio de divisibilidad: si las cifras de un número suman un múltiplo de 3, dicho número es múltiplo de 3.A continuación debe emprenderse la revisión del proceso. En un intento de generalización se podría intentar lo expuesto anteriormente con los múltiplos de 7. Es sabido que la norma no vale para ellos (34 no es múltiplo de 7 aunque sus cifras sumen 7), pero quizá con un pequeño ajuste sea posible obtener una regla similar a la de los múltiplos de 3. Se seguirá el mismo proceso. Ahora se trata de buscar el múltiplo de 7 más próximo a 1000, 100 y 10:
ABCD =
= A×1000 + B×100 + C×10 + D =
= A×(994 + 6) + B×(98 + 2) + C×(7 + 3) + D =
= A×994 + B×98 + C×7 + 6×A + 2B + 3C + D)=
= (múltiplo de 7) + (6A + 2B + 3C + D).
... A7A6A5A4A3A2A1 =
= (múltiplo de 7) + (A7 + 6A6 + 4A5 + 6A4 + 2A1 + 3A2 + A1)
2016 = 6×2+2×0 + 3×1 + 6 = 21 = múltiplo de 7.
La estela de DescartesLos cambios que se produjeron en las matemáticas de los siglos XVII y XVIII fueron, sobre todo, metodológicos. Si bien las técnicas de Descartes no alcanzaron directamente a Newton y Leibniz en la medida en que estos no las utilizaron, la estela de la metodología cartesiana, basada en la necesidad de abordar viejos problemas con un modo nuevo de hacer las cosas, no solo les alcanzó, sino que llegó hasta el siglo XX con la metodología de Pólya.
El trazado de tangentes, la rectificación de curvas y el cálculo de las áreas encerradas por curvas dieron lugar al cálculo diferencial desarrollado por Newton y Leibniz. Pero la relevancia y lo maravilloso de ese período de la historia de las matemáticas fue la creación de dos ramas nuevas: la geometría analítica, por parte de Descartes y Fermat, y el cálculo diferencial, por parte de Newton y Leibniz. En ambos casos lo prioritario fue la metodología, es decir, el cómo y no el qué. Muchos de los problemas que ese nuevo método del cálculo infinitesimal logró resolver hacía siglos que ya habían sido planteados. Abordarlos de otra forma fue Lo que permitió su resolución definitiva.
Lo fundamental de la filosofía cartesiana es el método, que está por encima de las soluciones concretas. Newton y Leibniz dieron con el método apropiado, pero fue el pensador francés el primero en conceder a aquel la importancia que merecía. Por encima de la resolución de problemas matemáticos concretos, el método fue la mayor aportación de René Descartes a las matemáticas.
- AA.VV., Matemáticas en el mundo moderno, Barcelona, Editorial Blume, 1974.
- Bono, C. B., Historia de la matemática, Madrid, Alianza Editorial, 1986.
- Coica Blas, Á., Descartes. Geometría y método, Madrid, Nivola, 2001.
- Descartes, R., Compendio de música, Madrid, Tecnos, 2001. Correspondencia con Isabel de Bohemia y otras cartas, Barcelona, Alba, 1999. Discurso del método, Madrid, Akai, 2015. Los principios de la filosofía, Madrid, Alianza, 1995.
- Lomz, G., Obras filosóficas y científicas, Volumen 7a, Granada, Comares, 2014. Obras filosóficas y científicas, Volumen 7b, Granada, Coma- res, 2015.
- Polta, G., Cómo plantear y resolver problemas, México, Trillas, 1965.


Aplicando el teorema de Pitágoras (el cuadrado de la hipotenusa es igual a la suma de los cuadrados de los catetos) a uno de los dos triángulos que su diagonal determina, sabemos que mide v2. Lo sorprendente es que con la misma regla gracias a la cual sabemos que el lado mide 1, y por muchas y reiteradas y finísimas fracciones que en él se practiquen, jamás podrá medirse de forma exacta la diagonal. La justificación del hecho reside en una cuestión de divisibilidad. Supongamos que esto fuese posible, es decir, que fraccionando la unidad 1 en n partes resultase que la diagonal v2 midiese exactamente una cantidad m de esas partes. Entonces, sería v2 m-(1/n) y, como consecuencia, 2n2 = m2. Pero esto es imposible, ya que en m2 y en n2 hay una cantidad par de todos y cada uno de los factores que dividen a m y a n. Sin embargo, en 2n2 hay un factor 2 de más que no está en m2. Por tanto, la igualdad es imposible y la diagonal y el lado del cuadrado unidad son inconmensurables. La inconmensurabilidad está directamente relacionada con la irracionalidad, solo que esta hace referencia al número y la aritmética: es irracional porque no puede expresarse como cociente de dos números naturales, lo que se traduce en que su expresión decimal es infinita y no periódica.
El área del círculo es pr2 (siendo r la longitud del radio) y b2 la del cuadrado (b es el lado del cuadrado). Es decir, que para el cuadrado de área igual a la del círculo. b = rvp. No fue hasta 1882 que la imposibilidad de la tarea quedó demostrada por el matemático alemán Carl Louis Ferdinand von Lindemann (1852-1939) gracias a su demostración de que p es un número trascendente, es decir, que no es solución de una ecuación algebraica (ecuación polinómica con coeficientes racionales). Por ejemplo, v2 es irracional, pero no trascendente, ya que es solución de una sencilla ecuación algebraica como x2 = 2. Sin embargo, no es posible escribir una ecuación como la siguiente de la que p sea una solución. 
que la duplicación afectase a la superficie. Pero entonces el problema si habría tenido solución, y mucho más sencilla. Duplicar la arista es duplicar su longitud. Siendo a la arista a del cubo original, para obtener el cubo de superficie doble hay que resolver una ecuación de segundo grado;
Pero existen ángulos que sí pueden dividirse en tres partes iguales con regla y compás, como el ángulo recto. Sin embargo, un ángulo tan sencillo de construir como el de 60º no puede trisecarse con regla y compás. Otros métodos que no utilizan únicamente una regla sin marcas y el compás permiten trisecar ángulos, como sucede en técnicas de papiroflexia, pero sus normas no son las de la regla y el compás. 
Se atribuye al matemático alejandrino el teorema que lleva su nombre; dado un trío A, B, C de puntos alineados y otro trío a, b, c de puntos también alineados, entonces los puntos de intersección X, Y, Z determinados por los pares de segmentos Ab y aB, Ac y aC, Bc y bC, están alineados. Dicha recta se llama recta de Pappus.
demostración del teorema. Nunca se encontró dicha demostración ni Fermat la mencionó en la correspondencia que mantuvo con sus colegas.
Leiden. Sin embargo, gracias a su capacidad e interés por las matemáticas, llegó a ocupar en 1613 el puesto de su padre como profesor de dicha disciplina en la universidad.
Isabel de Bohemia y del Palatinado nació en la ciudad alemana de Heidelberg, en 1618, y falleció en Herford, en 1680. Fue la primera hija de Federico V del Palatinado y de Isabel Estuardo, reyes protestantes de Bohemia entre 1619 y 1620. Tras pasar su infancia en Berlín, como consecuencia de la pérdida del reinado de su padre, se trasladada a la localidad holandesa de Leiden junto con sus hermanos. Allí estudia lengua y literatura clásica y moderna, además de mostrar gran interés por la filosofía. Se pensó en casarla con el rey de Polonia, pero Isabel se negó a contraer matrimonio con un católico. En cualquier caso, ella se distinguió como una aristócrata calvinista y filósofa que se relacionó con los mas destacados intelectuales de su época, entre tos que se contaban Descartes y Leibniz.