A Ann Druyan En la vastitud del espacio y en la inmensidad del tiempo mi alegría es compartir un planeta y una época con Annie.
Llegará una época en la que una investigación diligente y prolongada sacará a la luz cosas que hoy están ocultas. La vida de una sola persona, aunque estuviera toda ella dedicada al cielo, sería insuficiente para investigar una materia tan vasta... Por lo tanto este conocimiento sólo se podrá desarrollar a lo largo de sucesivas edades. Llegará una época en la que nuestros descendientes se asombrarán de que ignoráramos cosas que para ellos son tan claras... Muchos son los descubrimientos reservados para las épocas futuras, cuando se haya borrado el recuerdo de nosotros. Nuestro universo sería una cosa muy limitada si no ofreciera a cada época algo que investigar... La naturaleza no revela sus misterios de una vez para siempre.
SÉNECA, Cuestiones naturales,
Libro 7, siglo primero
Después de que Anu hubiera creado el cielo,Tratamiento: Has de mezclar cerveza de segundo grado... y aceite; has de recitar tres veces el conjuro sobre la medicina y aplicarla luego sobre el diente.
y de que el cielo hubiera creado la tierra,
y de que la tierra hubiera creado los ríos,
y de que los ríos hubieran creado los canales,
y de que los canales hubieran creado el cenagal,
y de que el cenagal hubiera creado el gusano,
el gusano se presentó llorando ante Shamash,
derramando sus lágrimas ante Ea:
¿Qué vas a darme para que pueda comer?
¿Qué vas a darme para que pueda beber?
Te daré el higo seco y el albaricoque.
¿De qué me van a servir un higo seco y un albaricoque?
Levántame, y entre los dientes
Y las encías permíteme que resida...
Por haber dicho esto, oh gusano,
que Ea te castigue con el poder de su mano
(Conjuro contra el dolor de muelas.)
Nuestros antepasados estaban muy ansiosos por comprender el mundo, pero no habían dado todavía con el método adecuado. Imaginaban un mundo pequeño, pintoresco y ordenado donde las fuerzas dominantes eran dioses como Anu, Ea y Shamash. En este universo las personas jugaban un papel importante, aunque no central. Estábamos ligados íntimamente con el resto de la Naturaleza. El tratamiento del dolor de muelas con cerveza de segunda calidad iba unido a los misterios cosmológicos más profundos.
Actualmente hemos descubierto una manera eficaz y elegante de comprender el universo: un método llamado ciencia. Este método nos ha revelado un universo tan antiguo y vasto que a primera vista los asuntos humanos parecen de poco peso. Nos hemos ido alejando cada vez más del Cosmos, hasta parecernos algo remoto y sin consecuencias importantes para nuestras preocupaciones de cada día. Pero la ciencia no sólo ha descubierto que el universo tiene una grandeza que inspira vértigo y éxtasis, una grandeza accesible a la comprensión humana, sino también que nosotros formamos parte, en un sentido real y profundo, de este Cosmos, que nacimos de él y que nuestro destino depende íntimamente de él.
Los acontecimientos humanos más básicos y las cosas más triviales están conectados con el universo y sus orígenes. Este libro está dedicado a la exploración de estas perspectivas cósmicas.
En la primavera y otoño de 1976 yo formaba parte del equipo de imagen en vuelo del vehículo de aterrizaje Viking, y me dedicaba junto con cientos de científicos colegas a la exploración del planeta Marte. Por primera vez en la historia humana habíamos hecho aterrizar dos vehículos espaciales en la superficie de otro mundo. Los resultados, descritos de modo más completo en el capítulo 5, fueron espectaculares, y el significado histórico de la misión quedó claro para todos. Sin embargo, el público en general apenas sabía nada de estos grandes acontecimientos.
La prensa en su mayoría no les prestaba atención; la televisión ignoró la misión casi por completo. Cuando se tuvo la seguridad de que no se obtendría una respuesta definitiva sobre la posible existencia de vida en Marte, el interés disminuyó todavía más. La ambigüedad se toleraba muy poco. Cuando descubrimos que el cielo de Marte presentaba un color amarillo rosado en lugar del azul que se le había atribuido al principio, equivocadamente, el anuncio fue recibido por un coro de joviales silbidos por parte de los periodistas reunidos: querían que incluso en este aspecto Marte se pareciera a la Tierra.
Creían que su público se desinteresaría paulatinamente de Marte a medida que el planeta resultase cada vez más distinto de la Tierra. Y sin embargo, los paisajes de Marte son impresionantes, las vistas conseguidas imponentes. Yo sabía positivamente, por experiencia propia, que existe un enorme interés global por la exploración de los planetas y por muchos temas científicos relacionados con ella: el origen de la vida, la Tierra y el Cosmos, la búsqueda de inteligencias extraterrestres, nuestra conexión con el universo. Y estaba seguro que se podía estimular este interés a través del medio de comunicación más poderoso, la televisión.
Compartía mi opinión B. Gentry Lee, el director de análisis de datos y planificación de la misión Viking, hombre de extraordinarias capacidades organizativas. Decidimos, como una apuesta, enfrentarnos con el problema nosotros mismos. Lee propuso que formáramos una compañía productora dedicada a la difusión de la ciencia de un modo atractivo y accesible. En los meses siguientes nos propusieron un cierto número de proyectos. Pero el proyecto más interesante fue el propuesto por KCET, la rama del Servicio Público de Radiodifusión en Los Ángeles. Aceptamos finalmente producir de modo conjunto una serie de televisión en trece episodios orientada hacia la astronomía pero con una perspectiva humana muy amplia. Su destinatario sería un público popular, tenía que producir impacto desde el punto de vista visual y musical y tenía que afectar al corazón tanto como a la mente. Hablamos con guionistas, contratamos un productor ejecutivo y nos vimos embarcados en un proyecto de tres años llamado Cosmos.
En el momento de escribir estas líneas, el programa tiene un público espectador en todo el mundo estimado en 140 millones de personas, es decir el tres por ciento de la población humana del planeta Tierra. Su lema es que el público es mucho más inteligente de lo que se suele suponer; que las cuestiones científicas más profundas sobre la naturaleza y el origen del mundo excitan los intereses y las pasiones de un número enorme de personas. La época actual es una encrucijada histórica para nuestra civilización y quizás para nuestra especie.
Sea cual fuere el camino que sigamos, nuestro destino está ligado indisolublemente a la ciencia. Es esencial para nuestra simple supervivencia que comprendamos la ciencia. Además la ciencia es una delicia; la evolución nos ha hecho de modo tal que el hecho de comprender nos da placer porque quien comprende tiene posibilidades mayores de sobrevivir. La serie de televisión Cosmos y este libro son un intento ilusionado para difundir algunas de las ideas, métodos y alegrías de la ciencia.
Esta obra y la serie televisiva evolucionaron conjuntamente. En cierto modo cada una se basa en la otra. Muchas ilustraciones de este libro se basan en los impresionantes montajes visuales preparados para la serie televisiva. Pero los libros y las series televisivas tienen unos públicos algo diferentes y permiten enfoques distintos. Una de las grandes virtudes de un libro es que permite al lector volver repetidamente a los pasajes oscuros o difíciles; esta posibilidad no se ha hecho real en la televisión hasta hace poco con el desarrollo de la tecnología de los discos y las cintas de vídeo.
El autor, al elegir el alcance y profundidad de sus temas, dispone de mucha mayor libertad cuando escribe un capítulo de un libro que cuando elabora los cincuenta y ocho minutos con treinta segundos, dignos de Procusto, de un programa de televisión no comercial. Este libro trata muchos temas con mayor profundidad que la serie de televisión. Hay temas discutidos en el libro que no se tratan en la serie televisiva y viceversa. Cuando escribía estas líneas no era seguro que sobreviviera a los rigores del montaje televisivo la serie de dibujos basados en Tenniel de Alicia y sus amigos en ambientes de alta y baja gravedad. Me encanta haber podido acoger aquí estas preciosas ilustraciones del artista, Brown, y la discusión que las acompaña.
En cambio no aparecen aquí representaciones explícitas del calendario cósmico, que aparece en la serie televisiva, en parte porque el calendario cósmico se discute ya en mi obra los dragones del Edén; tampoco he querido tratar aquí muy detalladamente la vida de Robert Goddard, porque le dediqué un capítulo en El cerebro de Broca. Pero cada episodio de la serie televisiva sigue con bastante fidelidad el correspondiente capítulo de esta obra; y me gusta imaginar que el placer proporcionado por una obra aumentará gracias a las referencias que da sobre la otra.
En algunos casos y por razones de claridad he presentado una idea más de una vez: al principio de modo superficial y luego con mayor profundidad en sucesivas ocasiones. Esto sucede por ejemplo con la introducción a los objetos cósmicos del capítulo 1, que luego son examinados de modo más detallado; o en la discusión de las mutaciones, las enzimas y los ácidos nucleicos del capítulo 2. En unos pocos casos los conceptos se han presentado sin tener en cuenta el orden histórico. Por ejemplo, las ideas de los antiguos científicos griegos aparecen en el capítulo 7, bastante después de la discusión de Johannes Kepler en el capítulo 3: Pero creo que la mejor manera de apreciar a los griegos es ver primero lo que estuvieron en un tris de conseguir.
La ciencia es inseparable del resto de la aventura humana y por lo tanto no puede discutirse sin entrar en contacto, a veces de pasada, otras veces en un choque frontal, con un cierto número de cuestiones sociales, políticas, religiosas y filosóficas. La dedicación mundial a las actividades militares llega a introducirse incluso en la filmación de una serie televisiva dedicada a la ciencia. Cuando simulábamos la exploración de Marte en el desierto de Mohave con una versión a escala real del vehículo de aterrizaje Viking, continuamente nos veíamos interrumpidos por la Fuerza Aérea de los Estados Unidos que llevaba a cabo vuelos de bombardeo en el cercano campo de pruebas. En Alejandría, Egipto, cada mañana de nueve a once nuestro hotel se convertía en el objetivo de prácticas de hostigamiento de la Fuerza Aérea egipcia.
En Samos, Grecia, hasta el último momento no nos dieron permiso para filmar en ningún punto de la isla, debido a unas maniobras de la OTAN y a la construcción bajo tierra y en laderas de montañas de unas madrigueras destinadas claramente a emplazamientos de artillería y tanques. En Checoslovaquia la utilización de walkie talkies para organizar el apoyo logística en la filmación de una carretera rural atrajo la atención de un caza de la Fuerza Aérea checa que se puso a dar vueltas sobre nosotros hasta que pudimos convencerle en checo de que no estábamos perpetrando nada que amenazara la seguridad nacional.
En Grecia, Egipto y Checoslovaquia nuestros equipos de filmación iban acompañados en todas partes por agentes del aparato estatal de seguridad. Unas gestiones preliminares para filmar en Kaluga, URSS, e incluir unas secuencias en proyecto sobre la vida de un pionero ruso de la astronáutica, Konstantin Tsiolkovsky, toparon con una negativa: después descubrimos que se iban a celebrar allí unos juicios contra disidentes. Nuestros equipos de filmación fueron tratados con mucha amabilidad en todos los países que visitamos; pero la presencia militar global, el temor en el corazón de las naciones, era omnipresente. Esta experiencia confirmó mi decisión de tratar las cuestiones sociales que fueran relevantes, tanto en la serie como en el libro.
La esencia de la ciencia es que se autocorrige. Nuevos resultados experimentales y nuevas ideas están resolviendo continuamente viejos misterios. Por ejemplo en el capítulo 9 hablamos de que el Sol parece estar generando un número demasiado pequeño de neutrinos, unas partículas muy difíciles de captar. Allí se repasan algunas de las explicaciones propuestas. En el capítulo 10 nos preguntamos si hay materia suficiente en el universo para que llegue a detener en algún momento la recesión de las galaxias distantes, y si el universo es infinitamente viejo y por lo tanto increado. Los experimentos de Frederick Reines de la Universidad de California, pueden haber echado desde entonces algo de luz sobre estas cuestiones; este investigador cree haber descubierto:
- que los neutrinos existen en tres estados distintos, de los cuales sólo uno podía detectarse con los telescopios de neutrinos que estudian el Sol; y
- que los neutrinos al contrario que la luz poseen masa, de modo que la gravedad de todos los neutrinos en el espacio puede contribuir a cerrar el Cosmos y a impedir que se expanda indefinidamente.
Es imposible en un proyecto de esta magnitud dar las gracias a todos los que han contribuido a él. Sin embargo me gustaría expresar una gratitud especial a B. Gentry Lee; al personal de producción de Cosmos, entre ellos los productores principales Geoffrey Haines Stiles y David Kennard y el productor ejecutivo Adrian Malone; a los artistas Jon Lomberg (quien jugó un papel clave en el diseño original y en la organización de los montajes visuales de Cosmos), John Allison, Adolf Schaller, Rick Stembach, Don Davis, Brown y Anne Norcia; a los consejeros Donald Goldsmith, Owen Gingerich, Paul Fox y Diane Ackerman, a Cameron Beck; a la dirección de KCET, especialmente Greg Adorfer, que nos presentó por primera vez la propuesta de KCET, Chuck Allen, William Lamb, y James Loper; y a los subguionistas y coproductores de la serie televisiva Cosmos, incluyendo a la Atlantic Richfield Company, la Corporación para la Radiodifusión Pública, las Fundaciones Arthur Vining Davis, la Fundación Alfred P. Sloan, la British Broadcasting Corporation, y Polytel International.
Al final de la obra se dan los nombres de otros colaboradores que ayudaron a esclarecer cuestiones de detalle o de enfoque. Sin embargo, como es lógico la responsabilidad final del contenido del libro recae sobre mí. Doy las gracias al personal de Random House, especialmente a la encargada de la edición de mi obra, Anne Freedgood, y al diseñador del libro, Robert Aulicino, por su experta colaboración y por la paciencia que demostraron cuando las fechas límite para la serie televisiva y para el libro parecía que entraban en conflicto. Tengo una deuda especial de gratitud para con Shirley Arden, mi ayudante ejecutiva, por mecanografiar los primeros borradores de este libro y por conducir los borradores posteriores a través de todas las fases de producción con la alegre competencia que le caracteriza. Es éste únicamente uno de los muchos motivos de agradecimiento profundo que el proyecto Cosmos tiene con ella. Me siento más agradecido de lo que pueda expresar a la administración de la Universidad de Cornell por concederme una excedencia de dos años que me permitió llevar a cabo este proyecto, a mis colegas y estudiantes de la Universidad, y a mis colegas de la NASA, del JPL y del equipo de óptica del Voyager.
El agradecimiento más profundo por la elaboración de Cosmos se lo debo a Ann Druyan y a Steven Soter, mis coguionistas de la serie televisiva. Contribuyeron de modo fundamental y repetido a las ideas básicas y a sus conexiones, a la estructura intelectual general de los episodios, y a la justeza del estilo. Agradezco mucho sus lecturas intensamente críticas de las primeras versiones de este libro, sus sugerencias constructivas y creativas para la revisión de muchos borradores, y sus contribuciones importantes al guión de televisión que influyeron de muchas maneras en el contenido de este libro. La satisfacción que me proporcionaron las muchas discusiones sostenidas es una de mis recompensas principales por el proyecto Cosmos.
Ithaca y Los Ángeles, mayo de 1980. Agradezco a las siguientes instituciones el permiso concedido para reproducir materiales publicados con anterioridad:
- American Folklore Society: Fragmentos de "Chukchee Tales", de Waldemar Borgoras, en Journal of american folklore, volumen 41 (1928). Publicado con permiso de la American Folklore Society.
- Ballantine Books: Ilustración de Darrell K. Sweet para la cubierta de Redplanet, de Robert A. Heinlein, copyright 1949 de Robert A. Heinlein. renovado en 1976 por Robert A. Heinlein. Ilustración de Michael Whelan para la cubierta de With friends like these..., de Alan Dean Foster, copyright 1977 de Alan Dean Foster. Ilustración de The Brothers Hildebrandt para la cubierta de Stellar science-fiction stories 2, edición a cargo de Judy- Lynn del Rey, copyright 1976 de Random House, Inc. Todas estas ilustraciones están publicadas por Ballantine Books, una división de Random House, Inc., y reproducidas con permiso.
- Municipio de Bayeux: Se reproduce con autorización especial del municipio de Bayeux una escena de la Tapisserie de Bayeux.
- CoEvolution Quarterly: Una porción del Computerphoto map of Galaxies, CoEvolution Quarterly. A $5.00 por correo de CoEvolution Quarterly, apartado 428, Sausalito, CA 94966.
- J. M. Dent & Sons, Ltd.: Fragmentos de la traducción de The K oran por J. M. Rodwell (Colección Everyman's Library). Publicado con permiso de J. M. Dent & Sons, Ltd.
- J. M. Dent & Sons, Ltd., y E. P. Dutton: Fragmento de Pensées, de Blaise Pascal, traducido por W. F. Trotter (Colección Everyman's Library). Publicado con permiso del editor en los Estados Unidos, E. P. Dutton, y del editor en .Inglaterra, J. M. Dent & Sons, Ltd.
- Encyclopaedia Britannica, Inc.: Cita de Issac Newton (Optics), cita de Joseph Fourier (Analytic Theory of Heat), y pregunta formulada a Pitágoras por Anaxímenes (hacia el 600 a. de C.).Publicado con permiso del Great Books of the Western World. Copyright 1952 de Encyclopaedia Britannica, Inc.
- Harvard University Press: Cita de Demócrito de Abdera tomada de la Loeb Classical Library .Publicada con permiso de Harvard University Press.
- Indiana University Press: Fragmentos de las Metamorfosis de Ovidio, traducidas por Rolfe Humphries, copyright 1955 de Indiana University Press. Publicado con permiso del editor.
- Liveright Publishing Corporation: Versos del poema de Hart Crane The bridge, con permiso de Liveright Publishing Corporation. Copyright 1933, 1958 y 1970 de Liveright Publishing Corporation.
- Oxford University Press: Fragmento de Zurvan: A Zoroastrian Dilemma, de R. C. Zaehner (Clarendon Press, 1955). Publicado con permiso de Oxford University Press.
- Penguin Books, Ltd.: Un verso de Enuma Elish, Sumer, en Poems of Heaven and Hell from Ancient Mesopotamia, traducido por N. K. Sandars (Penguin Classics, 1971). Copyright N. K. Sandars, 1971. Doce versos de Lao Tse, Tao Te-ching, traducidos por D. C. Lau (Penguin Classics, 1963). Copyright D. C. Lau, 1963. Publicado con permiso de Penguin Books, Ltd.
- Pergamon Press, Ltd.: Fragmentos de Giant Meteorites, de E. L. Krinov, reproducidos con permiso de Pergamon Press Ltd.
- Simon & Schuster, Inc.: Cita de el Bhagavad Gita de Lawrence and Oppenheimer, de Nuel Pharr Oavis (1968, p. 239), y fragmento de The Sand Reckoner de Arquímedes reproducido de The World of Mathematics, de James Newman (1956, volumen 1, p. 420). Publicado con permiso de Simon & Schuster, Inc.
- Simon & Schuster, Inc., y Bruno Cassirer, Ltd.: Cita de The Last Temptation of Christ, de Nikos Kazantzakis. Publicado con permiso del editor en los Estados Unidos, Simon &Schuster, Inc., y del editor en Inglaterra, Bruno Cassirer (Editores), Ltd., Oxford. Copyright 1960 de Simon & Schuster, Inc.
- The University of Oklahoma Press: Fragmento de Popol Vuh: The Sacred Book of the Ancient Quiché Maya, de Adrian Recinos, 1950. Copyright 1950 de The University of Oklahoma Press.
Capítulo 1
En la orilla del océano cósmico
Los primeros hombres creados y formados se llamaron el Brujo de la Risa Fatal, el Brujo de la Noche, el Descuidado y el Brujo Negro... Estaban dotados de inteligencia y consiguieron saber todo lo que hay en el mundo. Cuando miraban, veían al instante todo lo que estaba a su alrededor, y contemplaban sucesivamente el arco del cielo y el rostro redondo de la tierra... 1 Entonces el Creador dijo]: Lo saben ya todo... ¿qué vamos a hacer con ellos? Que su vista alcance sólo a lo que está cerca de ellos, que sólo puedan ver una pequeña parte del rostro de la tierra... ¿No son por su naturaleza, simples criaturas producto de nuestras manos? ¿Tienen que ser también dioses?El cosmos es todo lo que eso lo que fue o lo que será alguna vez. Nuestras contemplaciones más tibias del Cosmos nos conmueven: un escalofrío recorre nuestro espinazo, la voz se nos quiebra, hay una sensación débil, como la de un recuerdo lejano, o la de caer desde lo alto. Sabemos que nos estamos acercando al mayor de los misterios.
El Popol Vuh de los maya-quichés
¿Has abrazado el conjunto de la tierra?
¿Por dónde se va a la morada de la luz,
y dónde residen las tinieblas?
Libro de Job
No debo buscar mi dignidad en el espacio, si no en el gobierno de mi pensamiento. No tendré más aunque posea mundos. Si fuera por el espacio, el universo me rodearía y se me tragaría como un átomo; pero por el pensamiento yo abrazo el mundo.
BLAISE PASCAL, Pensées
Lo conocido es finito, lo desconocido infinito; desde el punto de vista intelectual estamos en una pequeña isla en medio de un océano ¡limitable de inexplicabilidad. Nuestra tarea en cada generación es recuperar algo más de tierra.
T. H. HUXLEY, 1887

Un cúmulo de galaxias más extenso con una galaxia irregular (abajo a la derecha). (Pintura de Adolf Schaller y de Rick Sternbach
En una perspectiva cósmica la mayoría de las preocupaciones humanas parecen insignificantes, incluso frívolas. Sin embargo nuestra especie es joven, curiosa y valiente, y promete mucho. En los últimos milenios hemos hecho los descubrimientos más asombrosos e inesperados sobre el Cosmos y el lugar que ocupamos en él; seguir el hilo de estas exploraciones es realmente estimulante.

Una galaxia anular rara, una de cuyas estrellas brilla con color azul por una explosión de supernova. (Pintura de Adolfo Schaller).
Estas exploraciones exigieron a la vez escepticismo e imaginación. La imaginación nos llevará a menudo a mundos que no existieron nunca. Pero sin ella no podemos llegar a ninguna parte. El escepticismo nos permite distinguir la fantasía de la realidad, poner a prueba nuestras especulaciones. La riqueza del Cosmos lo supera todo: riqueza en hechos elegantes, en exquisitas interrelaciones, en la maquinaria sutil del asombro.
La superficie de la Tierra es la orilla del océano cósmico. Desde ella hemos aprendido la mayor parte de lo que sabemos. Recientemente nos hemos adentrado un poco en el mar, vadeando lo suficiente para mojamos los dedos de los pies, o como máximo para que el agua nos llegara al tobillo. El agua parece que nos invita a continuar. El océano nos llama. Hay una parte de nuestro ser conocedora de que nosotros venimos de allí. Deseamos retomar. No creo que estas aspiraciones sean irreverentes, aunque puedan disgustar a los dioses, sean cuales fueren los dioses posibles.

Una radiogalaxia en explosión con proyecciones simétricas. (Pintura de Adolf Schaller.)

La textura a gran escala del Cosmos: una pequeña muestra de un mapa con el millón de galaxias más brillantes, todas las cuales están a menos de mil millones de años luz de la Tierra. Cada cuadradito es una galaxia que contiene miles de millones de estrellas. El mapa se basa en un estudio telescópico que tardó en completarse doce años, realizado por Donald Shane y Carl Wirtanen, del observatorio Lick de la Universidad de California. (Cedido por Stewart Brand.)

Izquierda: una galaxia espiral barrada, llamada así por la barra de estrellas y de polvo que atraviesa el núcleo. (Pintura de Jon Lomberg.); derecha, una galaxia espiral típica. (Pintura de Jon Lomberg.)
Si adoptamos una perspectiva intergaláctica veremos esparcidos como la espuma marina sobre las ondas del espacio innumerables zarcillos de luz, débiles y tenues. Son las galaxias. Algunas son viajeras solitarias; la mayoría habitan en cúmulos comunales, apretadas las unas contra las otras errando eternamente en la gran oscuridad cósmica. Tenemos ante nosotros el Cosmos a la escala mayor que conocemos. Estamos en el reino de las nebulosas, a ocho mil millones de años luz de la Tierra, a medio camino del borde del universo conocido.
Una galaxia se compone de gas y de polvo y de estrellas, de miles y miles de millones de estrellas. Cada estrella puede ser un sol para alguien. Dentro de una galaxia hay estrellas y mundos y quizás también una proliferación de seres vivientes y de seres inteligentes y de civilizaciones que navegan por el espacio. Pero desde lejos una galaxia me recuerda más una colección de objetos cariñosamente recogidos: quizás de conchas marinas, o de corales, producciones de la naturaleza en su incesante labor durante eones en el océano cósmico.

La Vía Láctea desde un punto situado ligeramente por encima del plano de sus brazos espirales, que están iluminados por miles de millones de estrellas azules, calientes y jóvenes. En la distancia se ve el núcleo galáctico, iluminado por estrellas más viejas y rojas. (Pintura de Jon Lomberg.)
Pero ahora nuestro viaje nos lleva a lo que los astrónomos de la Tierra llaman con gusto el Grupo Local de galaxias. Tiene una envergadura de varios millones de años luz y se compone de una veintena de galaxias. Es un cúmulo disperso, oscuro y sin pretensiones. Una de estas galaxias es M31, que vista desde la Tierra está en la constelación de Andrómeda. Es, como las demás galaxias espirales, una gran rueda de estrellas, gas y polvo. M31 tiene dos satélites pequeños, galaxias elípticas enanas unidas a ella por la gravedad, por las mismas leyes de la física que tienden a mantenerme sentado en mi butaca. Las leyes de la naturaleza son las mismas en todo el Cosmos. Estamos ahora a dos millones de años luz de casa.
Más allá de M31 hay otra galaxia muy semejante, la nuestra, con sus brazos en espiral que van girando lentamente, una vez cada 250 millones de años. Ahora, a cuarenta mil años luz de casa, nos encontramos cayendo hacia la gran masa del centro de la Vía Láctea. Pero si queremos encontrar la Tierra, tenemos que redirigir nuestro curso hacia las afueras lejanas de la galaxia, hacia un punto oscuro cerca del borde de un distante brazo espiral.
La impresión dominante, incluso entre los brazos en espiral, es la de un río de estrellas pasando por nuestro lado: un gran conjunto de estrellas que generan exquisitamente su propia luz, algunas tan delicadas como una pompa de jabón y tan grandes que podrían contener en su interior a diez mil soles o a un billón de tierras; otras tienen el tamaño de una pequeña ciudad y son cien billones de veces más densas que el plomo. Algunas estrellas son solitarias, como el Sol, la mayoría tiene compañeras. Los sistemas suelen ser dobles, con dos estrellas orbitando una alrededor de la otra. Pero hay una gradación continua desde los sistemas triples pasando por cúmulos sueltos de unas docenas de estrellas hasta los grandes cúmulos globulares que resplandecen con un millón de soles.

Un cúmulo globular de estrellas orbitando el núcleo galáctico. (Pintura de Anne Norcia.)
Algunas giran con una elegancia señorial; otras dan vueltas de modo tan frenético que se deforman y quedan oblongas.

Izquierda: el núcleo de la galaxia Vía Láctea visto de canto. (Pintura de Adolf Schaller.); derecha, una estrella roja gigante (en primer término) y un brazo espiral en la distancia visto de canto. (Pintura de John Allison y de Adolf Schaller.)

Una nube de polvo negro, y estrellas incrustadas en las nebulosidades gaseosas: detrás de ellas está la Vía Láctea de canto. (Pintura de Adolf Schaller y John Allison.)
Cada sistema estelar es una isla en el espacio, mantenida en cuarentena perpetua de sus vecinos por los años luz. Puedo imaginar a seres en mundos innumerables que en su evolución van captando nuevos vislumbres de conocimiento: en cada mundo estos seres suponen al principio que su planeta baladí y sus pocos e insignificantes soles son todo lo que existe. Crecemos en aislamiento. Sólo de modo lento nos vamos enseñando el Cosmos.

Izquierda: interior de una nube de polvo negro, donde empiezan a brillar estrellas jóvenes. Planetas cercanos de hielo se están evaporando y el gas emitido es soplado hacia fuera como la cola de un cometa. (Pintura de Adolf Schaller.); derecha, un pulsar intermitente en rápida rotación, en el centro de un resto de supernova. (Pintura de John Allison.)
Quizás haya muchas estrellas que tengan sistemas planetarios bastante parecidos al nuestro: en la periferia grandes planetas gaseosos con anillos y lunas heladas, y más cerca del centro, mundos pequeños, calientes, azules y blancos, cubiertos de nubes. En algunos de ellos puede haber evolucionado vida inteligente que ha remodelado la superficie planetario con algún enorme proyecto de ingeniería.
Son nuestros hermanos y hermanas del Cosmos. ¿Son muy distintos de nosotros? ¿Cuál es su forma, su bioquímica, su neurobiología, su historia, su política, su ciencia, su tecnología, su arte, su música, su religión, su filosofía? Quizás algún día trabemos conocimiento con ellos.

La nebulosa, o nube de gas iluminado que rodea a una explosión de supernova. (Pintura de John Allison.)
Hemos llegado ya al patio de casa, a un año luz de distancia de la Tierra. Hay un enjambre esférico de gigantescas bolas de nieve compuestas por hielo, roca y moléculas orgánicas que rodea al Sol: son los núcleos de los cometas. De vez en cuando el paso de una estrella provoca una pequeña sacudida gravitatoria, y alguno de ellos se precipita amablemente hacia el sistema solar interior. Allí el Sol lo calienta, el hielo se vaporiza y se desarrolla una hermosa cola cometaria.Nos acercamos a los planetas de nuestro sistema: son mundos pesados, cautivos del Sol, obligados gravitatoriamente, a seguirlo en órbitas casi circulares, y calentados principalmente por la luz solar. Plutón, cubierto por hielo de metano y acompañado por su solitaria luna gigante, Caronte, está iluminado por un Sol distante, que apenas destaca como un punto de luz brillante en un cielo profundamente negro.

Izquierda: la otra cara de la Nebulosa de Orión, inobservable desde la Tierra. Las tres estrellas azules forman la cintura de Orión en la constelación terrestre convencional. (Pintura de John Allison.); derecha, una excursión al interior de la Gran Nebulosa de Orión. El gas, estimulado por la luz de estrellas calientes, brilla con varios colores. Parte de la nebulosa está oscurecida por una nube de polvo absorbente. La Nebulosa de Orión puede verse a simple vista desde la Tierra. (Pintura de John Allison.)
Finalmente, y acabando nuestro paseo, volvemos a nuestro mundo azul y blanco, diminuto y frágil, perdido en un océano cósmico cuya vastedad supera nuestras imaginaciones más audaces. Es un mundo entre una inmensidad de otros mundos. Sólo puede tener importancia para nosotros.
La Tierra es nuestro hogar, nuestra madre. Nuestra forma de vida nació y evolucionó aquí. La especie humana está llegando aquí a su edad adulta. Es sobre este mundo donde desarrollamos nuestra pasión por explorar el Cosmos, y es aquí donde estamos elaborando nuestro destino, con cierto dolor y sin garantías.
Bienvenidos al planeta Tierra: un lugar de cielos azules de nitrógeno, océanos de agua líquida, bosques frescos y prados suaves, un mundo donde se oye de modo evidente el murmullo de la vida.

Izquierda: después de pasar por el polvo oscuro de la Nebulosa de Orión emergemos a su oculto interior, iluminado brillantemente por estrellas calientes y jóvenes. (Pintura de John Allison.); centro, El Trapecio, cuatro estrellas apenas salidas del cascarón en la Nebulosa de Orión. (Pintura de John Allison.); derecha, Las Pléyades, estrellas jóvenes que han abandonado recientemente las nebulosas de donde nacieron, y que todavía arrastran nubes de polvo iluminado. (Pintura de Adolf Schaller.)

Izquierda: Plutón, cubierto con escarcha de metano, y su luna gigante, Caronte. Plutón es normalmente el planeta más exterior, pero su órbita le ha llevado recientemente al interior de la órbita de Neptuno. (Pintura de John Allison.); centro, Saturno. (Modelo de Adolf Schaller, Rick Sternbach y John Allison.), derecha, lo, la más interior de las grandes lunas de Júpiter. (Modelo de Don Davis.)
Era una observación que otros podrían haber ignorado con facilidad. Palos, sombras, reflejos en pozos, la posición del Sol: ¿qué importancia podían tener cosas tan sencillas y cotidianas? Pero Eratóstenes era un científico, y sus conjeturas sobre estos tópicos cambiaron el mundo; en cierto sentido hicieron el mundo. Eratóstenes tuvo la presencia de ánimo de hacer un experimento, de observar realmente si en Alejandría los palos verticales proyectaban sombras hacia el mediodía del 21 de junio. Y descubrió que sí lo hacían.
Eratóstenes se preguntó entonces a qué se debía que en el mismo instante un bastón no proyectara en Siena ninguna sombra mientras que en Alejandría, a gran distancia hacia el norte, proyectaba una sombra pronunciada. Veamos un mapa del antiguo Egipto con dos palos verticales de igual longitud, uno clavado en Alejandría y el otro en Siena.

Izquierda: Olympus Mons (el Monte Olimpo), una gigantesca construcción volcánica de 30 kilómetros de altura y 500 kilómetros de diámetro en la superficie de Marte. (Modelo de Don Davis.); derecha, un retrato del Sol. (Pintura de Anne Norcia.)
Eratóstenes comprendió que la única respuesta posible es que la superficie de la Tierra está curvada. Y no sólo esto: cuanto mayor sea la curvatura, mayor será la diferencia entre las longitudes de las sombras. El Sol está tan lejos que sus rayos son paralelos cuando llegan a la Tierra. Los palos situados formando ángulos diferentes con respecto a los rayos del Sol proyectan sombras de longitudes diferentes. La diferencia observada en las longitudes de las sombras hacía necesario que la distancia entre Alejandría y Siena fuera de unos siete grados a lo largo de la superficie de la Tierra; es decir que si imaginamos los palos prolongados hasta llegar al centro de la Tierra, formarán allí un ángulo de siete grados. Siete grados es aproximadamente una cincuentava parte de los trescientos sesenta grados que contiene la circunferencia entera de la Tierra. Eratóstenes sabía que la distancia entre Alejandría y Siena era de unos 800 kilómetros, porque contrató a un hombre para que lo midiera a pasos. Ochocientos kilómetros por 50 dan 40.000 kilómetros: ésta debía ser pues la circunferencia de la Tierra.

El ángulo A puede medirse a partir de la longitud de la sombra en Alejandría. Pero de acuerdo con la geometría elemental (“si dos rectas paralelas son cortadas por una tercera recta, los ángulos interiores alternos son iguales”) el ángulo B es igual al ángulo A. De este modo Eratóstenes, al medir la longitud de la sombra en Alejandría, llegó a la conclusión de que Siena estaba a A = B = 7° de distancia sobre la circunferencia de la Tierra.
El mundo mediterráneo de aquella época tenía fama por sus navegaciones. Alejandría era el mayor puerto de mar del planeta. Sabiendo ya que la Tierra era una esfera de dimensiones modestas, ¿no iba a sentir nadie la tentación de emprender viajes de exploración, de buscar tierras todavía sin descubrir, quizás incluso de intentar una vuelta en barco a todo el planeta? Cuatrocientos años antes de Eratóstenes, una flota fenicia contratada por el faraón egipcio Necao había circunnavegado África. Se hicieron a la mar en la orilla del mar Rojo, probablemente en botes frágiles y abiertos, bajaron por la costa oriental de África, subieron luego por el Atlántico, y regresaron finalmente a través del Mediterráneo. Esta expedición épica les ocupó tres años, casi el mismo tiempo que tarda una moderna nave espacial Voyager en volar de la Tierra a Saturno.
Después del descubrimiento de Eratóstenes, marineros audaces y aventurados intentaron muchos grandes viajes. Sus naves eran diminutas. Disponían únicamente de instrumentos rudimentarios de navegación. Navegaban por estima y seguían, siempre que podían, la línea costera. En un océano desconocido podían determinar su latitud, pero no su longitud, observando noche tras noche la posición de las constelaciones con relación al horizonte. Las constelaciones familiares eran sin duda un elemento tranquilizador en medio de un océano inexplorado. Las estrellas son las amigas de los exploradores, antes cuando las naves navegaban sobre la Tierra y ahora que las naves espaciales navegan por el cielo. Después de Eratóstenes es posible que hubiera algunos intentos, pero hasta la época de Magallanes nadie consiguió circunnavegar la Tierra. ¿Qué historias de audacia y de aventura debieron llegar a contarse mientras los marineros y los navegantes, hombres prácticos del mundo, ponían en juego sus vidas dando fe a las matemáticas de un científico de Alejandría?
En la época de Eratóstenes se construyeron globos que representaban a la Tierra vista desde el espacio; eran esencialmente correctos en su descripción del Mediterráneo, una región bien explorada, pero se hacían cada vez más inexactos a medida que se alejaban de casa. Nuestro actual conocimiento del Cosmos repite este rasgo desagradable pero inevitable. En el siglo primero, el geógrafo alejandrino Estrabón escribió:
Quienes han regresado de un intento de circunnavegar la Tierra no dicen que se lo haya impedido la presencia de un continente en su camino, porque el mar se mantenía perfectamente abierto, sino más bien la falta de decisión y la escasez de provisiones... Eratóstenes dice que a no ser por el obstáculo que representa la extensión del océano Atlántico, podría llegar fácilmente por mar de Iberia a la India... Es muy posible que en la zona templada haya una o dos tierras habitables... De hecho si [esta otra parte del mundo] está habitada, no lo está por personas como las que existen en nuestras partes, y deberíamos considerarlo como otro mundo habitado.
El hombre empezaba a aventurarse, en el sentido casi exacto de la palabra, por otros mundos.
La exploración subsiguiente de la Tierra fue una empresa mundial, incluyendo viajes de ¡da y vuelta a China y Polinesia. La culminación fue sin duda el descubrimiento de América por Cristóbal Colón, y los viajes de los siglos siguientes, que completaron la exploración geográfica de la Tierra. El primer viaje de Colón está relacionado del modo más directo con los cálculos de Eratóstenes. Colón estaba fascinado por lo que llamaba la Empresa de la Indias , un proyecto para llegar al Japón, China y la India, no siguiendo la costa de África y navegando hacia el Oriente, sino lanzándose audazmente dentro del desconocido océano occidental; o bien como Eratóstenes había dicho con asombrosa presciencia: pasando por mar de Iberia a la India.

Mirando desde el fondo de un pozo de la antigua Siena, cerca del actual Abu Simbel, en Egipto, donde según la tradición local tuvo su origen el estudio de la circunferencia de la Tierra por Eratóstenes.

Izquierda: mapa plano del antiguo Egipto. Cuando el Sol está directamente encima de la cabeza, los obeliscos verticales no proyectan sombras en Alejandría ni en Siena. Centro, mapa plano del antiguo Egipto. Cuando el Sol no está directamente encima de la cabeza, los obeliscos verticales proyectan sombras de longitud igual en Alejandría y en Siena. Derecha: Mapa curvo del antiguo Egipto. El Sol puede estar directamente encima de la cabeza en Siena y no en Alejandría, lo que explica el hecho de que el obelisco no proyecte sombra en Siena pero en Alejandría proyecte una sombra pronunciada.
Por lo tanto Colón hizo trampa con sus cálculos, como indicó muy correctamente la facultad de la Universidad de Salamanca que los examinó. Utilizó la menor circunferencia posible de la Tierra y la mayor extensión hacia el este de Asia que pudo encontrar en todos los libros de que disponía, y luego exageró incluso estas cifras. De no haber estado América en medio del camino, las expediciones de Colón habrían fracasado rotundamente.
La Tierra está en la actualidad explorada completamente. Ya no puede prometer nuevos continentes o tierras perdidas. Pero la tecnología que nos permitió explorar y habitar las regiones más remotas de la Tierra nos permite ahora abandonar nuestro planeta, aventuramos en el espacio y explorar otros mundos. Al abandonar la Tierra estamos en disposición de observarla desde lo alto, de ver su forma esférica sólida, de dimensiones eratosténicas, y los perfiles de sus continentes, confirmando que muchos de los antiguos cartógrafos eran de una notable competencia. ¡Qué satisfacción habrían dado estas imágenes a Eratóstenes y a los demás geógrafos alejandrinos!
Fue en Alejandría, durante los seiscientos años que se iniciaron hacia el 300 a. de C., cuando los seres humanos emprendieron, en un sentido básico, la aventura intelectual que nos ha llevado a las orillas del espacio. Pero no queda nada del paisaje y de las sensaciones de aquella gloriosa ciudad de mármol. La opresión y el miedo al saber han arrasado casi todos los recuerdos de la antigua Alejandría. Su población tenía una maravillosa diversidad.
Soldados macedonios y más tarde romanos, sacerdotes egipcios, aristócratas griegos, marineros fenicios, mercaderes judíos, visitantes de la India y del África subsahariana todos ellos, excepto la vasta población de esclavos, vivían juntos en armonía y respeto mutuo durante la mayor parte del período que marca la grandeza de Alejandría.

Mapas del mundo. a) En la época de Homero se pensaba que el mundo no alcanzaba más allá de la cuenca mediterránea (el mar de “en medio de la Tierra”) rodeada por un océano mundial. b) y c) Eratóstenes y Tolomeo introdujeron mejoras significativas. d) En el siglo once, los antiguos conocimientos geográficos habían sido bien preservados por los árabes (y ampliados a China), pero se habían perdido casi totalmente entre los europeos, quienes imaginaban una tierra plana centrada en Jerusalén (e)f) El último mapa antes del descubrimiento de América (en esbozo) es el del astrónomo florentino Toscanelli. Es probable que Colón llevase consigo el mapa de Toscanelli en su primer viaje. El nombre de América, en recuerdo del amigo de Colón Américo Vespucci, fue sugerido en el libro de Waldseemüller, introducción a la Cosmografía (1507). (Reproducidos por cortesía del Scottish Geographical Magazine.)

Pero la maravilla mayor de Alejandría era su biblioteca y su correspondiente museo (en sentido literal, una institución dedicada a las especialidades de las Nueve Musas). De esta biblioteca legendaria lo máximo que sobrevive hoy en día es un sótano húmedo y olvidado del Serapeo, el anexo de la biblioteca, primitivamente un templo que fue re-consagrado al conocimiento. Unos pocos estantes enmohecidos pueden ser sus únicos restos físicos. Sin embargo, este lugar fue en su época el cerebro y la gloria de la mayor ciudad del planeta, el primer auténtico instituto de investigación de la historia del mundo. Los eruditos de la biblioteca estudiaban el Cosmos entero. Cosmos es una palabra griega que significa el orden del universo. Es en cierto modo lo opuesto a Caos. Presupone el carácter profundamente interrelacionado de todas las cosas. Inspira admiración ante la intrincada y sutil construcción del universo. Había en la biblioteca una comunidad de eruditos que exploraban la física, la literatura, la medicina, la astronomía, la geografía, la filosofía, las matemáticas, la biología y la ingeniería. La ciencia y la erudición habían llegado a su edad adulta. El genio florecía en aquellas salas: La Biblioteca de Alejandría es el lugar donde los hombres reunieron por primera vez de modo serio y sistemático el conocimiento del mundo.
Además de Eratóstenes, hubo el astrónomo Hiparco, que ordenó el mapa de las constelaciones y estimó el brillo de las estrellas; Euclides, que sistematizó de modo brillante la geometría y que en cierta ocasión dijo a su rey, que luchaba con un difícil problema matemático: no hay un camino real hacia la geometría; Dionisio de Tracia, el hombre que definió las partes del discurso y que hizo en el estudio del lenguaje lo que Euclides hizo en la geometría; Herófilo, el fisiólogo que estableció, de modo seguro, que es el cerebro y no el corazón la sede de la inteligencia; Herón de Alejandría, inventor de cajas de engranajes y de aparatos de vapor, y autor de autómata, la primera obra sobre robots; Apolonio de Pérgamo, el matemático que demostró las formas de las secciones cónicas[2] elipse, parábola e hipérbola, las curvas que como sabemos actualmente siguen en sus órbitas los planetas, los cometas y las estrellas; Arquímedes, el mayor genio mecánico hasta Leonardo de Vinci; y el astrónomo y geógrafo Tolomeo, que compiló gran parte de lo que es hoy la seudo ciencia de la astrología: su universo centrado en la Tierra estuvo en boga durante 1500 años, lo que nos recuerda que la capacidad intelectual no constituye una garantía contra los yerros descomunales. Y entre estos grandes hombres hubo una gran mujer, Hipatia, matemática y astrónomo, la última lumbrera de la biblioteca, cuyo martirio estuvo ligado a la destrucción de la biblioteca siete siglos después de su fundación, historia a la cual volveremos.
Los reyes griegos de Egipto que sucedieron a Alejandro tenían ideas muy serias sobre el saber. Apoyaron durante siglos la investigación y mantuvieron la biblioteca para que ofreciera un ambiente adecuado de trabajo a las mejores mentes de la época. La biblioteca constaba de diez grandes salas de investigación, cada una dedicada a un tema distinto; había fuentes y columnatas, jardines botánicos, un zoológico, salas de disección, un observatorio, y una gran sala comedor donde se llevaban a cabo con toda libertad las discusiones críticas de las ideas.

Izquierda: Serapis, un dios sincrético, que combinaba atributos griegos y egipcios, introducido en Egipto por Tolomeo, en el siglo tercero a. de C. Tiene un cetro en sus manos, mientras Cerbero, el perro de tres cabezas del mundo subterráneo, vigila a sus pies. Derecha: Alejandro Magno, con gancho y mayal y tocado faraónico, tal como pudo estar representado en la Biblioteca de Alejandría.
Es difícil de estimar el número preciso de libros, pero parece probable que la biblioteca contuviera medio millón de volúmenes, cada uno de ellos un rollo de papiro escrito a mano.
¿Qué destino tuvieron todos estos libros? La civilización clásica que los creó acabó desintegrándose y la biblioteca fue destruida deliberadamente. Sólo sobrevivió una pequeña fracción de sus obras, junto con unos pocos y patéticos fragmentos dispersos.

Los libros perdidos de Aristarco, tal como podían estar guardados en los estantes de la Biblioteca de Alejandría.
Y qué tentadores son estos restos y fragmentos. Sabemos por ejemplo que en los estantes de la biblioteca había una obra del astrónomo Aristarco de Samos quien sostenía que la Tierra es uno de los planetas, que órbita el Sol como ellos, y que las estrellas están a una enorme distancia de nosotros. Cada una de estas conclusiones es totalmente correcta, pero tuvimos que esperar casi dos mil años para redescubrirlas. Si multiplicamos por cien mil nuestra sensación de privación por la pérdida de esta obra de Aristarco empezaremos a apreciar la grandeza de los logros de la civilización clásica y la tragedia de su destrucción.Hemos superado en mucho la ciencia que el mundo antiguo conocía, pero hay lagunas irreparables en nuestros conocimientos históricos. Imaginemos los misterios que podríamos resolver sobre nuestro pasado si dispusiéramos de una tarjeta de lector para la Biblioteca de Alejandría. Sabemos que había una historia del mundo en tres volúmenes, perdida actualmente, de un sacerdote babilonio llamado Beroso. El primer volumen se ocupaba del intervalo desde la Creación hasta el Diluvio, un período al cual atribuyó una duración de 432.000 años, es decir cien veces más que la cronología del Antiguo Testamento. Me pregunto cuál era su contenido.
Los antiguos sabían que el mundo es muy viejo. Intentaron investigar este remoto pasado. Sabemos ahora que el Cosmos es mucho más viejo de lo que ellos llegaron a imaginar. Hemos examinado el universo en el espacio y descubierto que vivimos en una mota de polvo que da vueltas a una vulgar estrella situada en el rincón más remoto de una oscura galaxia.

La Gran Sala de la antigua Biblioteca de Alejandría en Egipto. Reconstrucción basada en datos documentales.
Y si somos una mancha en la inmensidad del espacio, ocupamos también un instante en el cúmulo de las edades. Sabemos ahora que nuestro universo o por lo menos su encarnación más reciente tiene una edad de unos quince o veinte mil millones de años. Éste es el tiempo transcurrido desde un notable acontecimiento explosivo llamado habitualmente big bang (capítulo 10). En el inicio de este universo no había galaxias, estrellas ni planetas, no había vida ni civilización, sino una única bola de fuego uniforme y radiante que llenaba todo el espacio. El paso del Caos del big bang al Cosmos que estamos empezando a conocer es la transformación más asombrosa de materia y de energía que hemos tenido el privilegio de vislumbrar. Y hasta que no encontremos en otras partes a seres inteligentes, nosotros somos la más espectacular de todas las transformaciones: los descendientes remotos del big bang, dedicados a la comprensión y subsiguiente transformación del Cosmos del cual procedemos.Capítulo 2
Una voz en la fuga cósmica
Se me ordena que me rinda al Señor de los Mundos. Es él quien te creó del polvo...
EL CORÁN, sura 40
La más antigua de todas las filosofías, la de la evolución, estuvo maniatada de manos y de pies y relegada a la oscuridad más absoluta durante el milenio de escolasticismo teológico. Pero Darwin infundió nueva savia vital en la antigua estructura; las ataduras saltaron, y el pensamiento revivificado de la antigua Grecia ha demostrado ser una expresión más adecuada del orden universal de las cosas que cualquiera de los esquemas aceptados por la credulidad y bien recibidos por la superstición de setenta generaciones posteriores de hombres.
T. H. HUXLEY, 1887
Probablemente todos los seres orgánicos que hayan vivido nunca sobre esta tierra han descendido de alguna única forma primordial, a la que se infundió vida por primera vez... Esta opinión sobre el origen de la vida tiene su grandeza... porque mientras este planeta ha ido dando vueltas de acuerdo con la ley fija de la gravedad, a partir de un inicio tan sencillo han evolucionado y siguen evolucionando formas sin fin, las más bellas y las más maravillosas.
CHARLES DARWIN El origen de las especies, 1859
Parece que existe una comunidad de materia a lo largo de todo el universo visible, porque las estrellas contienen muchos de los elementos que existen en el Sol y en la Tierra. Es notable que los elementos difundidos más ampliamente entre las huestes de estrellas sean algunos de los elementos más estrechamente relacionados con los organismos vivientes de nuestro globo, entre ellos el hidrógeno, el sodio, el magnesio y el hierro. ¿No podría ser que por lo menos las estrellas más brillantes fuesen como nuestro sol, centros que mantienen y dan energía a sistemas de mundos, adaptados para ser lugar de residencia de seres vivientes?
WILLIAM HUGGINS, 1865

La vida en la Tierra. Microfotografía electrónica de barrido de un ácaro, con polen de hibisco (Cedida por Jean-Paul Revel, Instituto de Tecnología de California
Todos los seres vivos de nuestro planeta están constituidos por moléculas orgánicas: arquitecturas microscópicas complejas en las que el átomo de carbono juega un papel central. Hubo una época, anterior a la vida, en la que la Tierra era estéril y estaba absolutamente desolada. Nuestro mundo rebosa ahora de vida. ¿Cómo llegó a producirse? ¿Cómo se constituyeron en ausencia de vida moléculas orgánicas basadas en el carbono?

Nubes oscuras de polvo interestelar. Estos complejos nebulosos están llenos de gases orgánicos simples; los mismos granos individuales de polvo pueden estar compuestos en parte por moléculas orgánicas. (Pintura de Adolf Schaller.)
En las grandes tinieblas entre las estrellas hay nubes de gas, de polvo y de materia orgánica. Los radiotelescopios han descubierto docenas de tipos diferentes de moléculas orgánicas. La abundancia de estas moléculas sugiere que la sustancia de la vida se encuentra en todas partes. Quizás el origen y la evolución de la vida sea una inevitabilidad cósmica, si se dispone de tiempo suficiente. En algunos de los miles de millones de planetas de la galaxia Vía Láctea es posible que la vida no nazca nunca. En otros la vida puede nacer y morir más tarde, o bien no superar en su evolución las formas más sencillas. Y en alguna pequeña fracción de mundos pueden desarrollarse inteligencias y civilizaciones más avanzadas que la nuestra.
En ocasiones alguien señala hasta qué punto es afortunada la coincidencia de que la Tierra esté perfectamente adaptada a la vida: temperaturas moderadas, agua líquida, atmósfera de oxígeno, etc. Pero esto supone confundir por lo menos en parte causa y efecto. Nosotros, habitantes de la Tierra, estamos supremamente adaptados al medio ambiente de la Tierra porque crecimos aquí. Las formas anteriores de vida que no estaban perfectamente adaptadas murieron. Nosotros descendemos de organismos que prosperaron. No hay duda de que los organismos que evolucionan en un mundo muy diferente también cantarán sus alabanzas.
Toda la vida en la Tierra está estrechamente relacionada. Tenemos una química orgánica común y una herencia evolutiva común. Como consecuencia de esto nuestros biólogos se ven profundamente limitados. Estudian solamente un tipo único de biología, un tema solitario en la música de la vida. ¿Es este tono agudo y débil la única voz en miles de años luz? ¿O es más bien una especie de fuga cósmica, con temas y contrapuntos, disonancias y armonías, con mil millones de voces distintas tocando la música de la vida en la galaxia?
Permitid que cuente una historia sobre una pequeña frase en la música de la vida sobre la Tierra. En el año 1185 el emperador del Japón era un niño de siete años llamado Antoku.

Derecha: un samurai con la armadura del Japón feudal. En la literatura japonesa. La historia de los Heike tiene una significación comparable a la Ilíada en la literatura de Occidente. (Cedida por C. C. Lee.); izquierda, un cangrejo Heike del mar Interior del Japón.
Los Heike fueron superados en número y en táctica. Muchos murieron a manos del enemigo. Los supervivientes se lanzaron en gran número al mar y se ahogaron. La Dama Nii, abuela del emperador, decidió que ni ella ni Antoku tenían que caer en manos del enemigo.
La Historia de los Heike cuenta lo que sucedió después: El emperador había cumplido aquel año los siete de edad, pero parecía mucho mayor. Era tan hermoso que parecía emitir un resplandor brillante y su pelo negro y largo le colgaba suelto sobre la espalda. Con una mirada de sorpresa y de ansiedad en su rostro preguntó a la Dama Nii: ¿Dónde vas a llevarme? Ella miró al joven soberano mientras las lágrimas rodaban por sus mejillas y... lo consoló, atando su largo pelo en su vestido de color de paloma. Cegado por las lágrimas el niño soberano juntó sus bellas manitas. Se puso primero cara al Este para despedirse del dios de Ise y luego de cara al Oeste para repetir el Nembutsu [una oración al Buda Amida]. La Dama Nii lo agarró fuertemente en sus brazos y mientras decía en las profundidades del océano está nuestro capitolio, se hundió finalmente con él debajo de las olas.Toda la flota Heike quedó destruida. Sólo sobrevivieron cuarenta y tres mujeres. Estas damas de honor de la corte imperial fueron obligadas a vender flores y otros favores a los pescadores cercanos al escenario de la batalla. Los Heike desaparecieron casi totalmente de la historia. Pero un grupo formado por la chusma de antiguas damas de honor y su descendencia entre los pescadores fundó un festival para conmemorar la batalla. Se celebra hasta hoy el 24 de abril de cada año.
Los pescadores descendientes de los Heike visten de cáñamo con tocado negro y desfilan hasta el santuario de Akama que contiene el mausoleo del emperador ahogado. Allí asisten a una representación de los acontecimientos que siguieron a la batalla de Dan-no-ura. Durante siglos la gente imaginó que podía distinguir ejércitos fantasmales de samurais esforzándose vanamente en achicar el mar para lavarlo de sangre y eliminar su humillación.
Los pescadores dicen que los samurais Heike se pasean todavía por los fondos del mar Interior, en forma de cangrejos. Se pueden encontrar en este mar, cangrejos con curiosas señales en sus dorsos, formas e indentaciones que se parecen asombrosamente al rostro de un samurai. Cuando se pesca un cangrejo de éstos no se come sino que se le devuelve al mar para conmemorar los tristes acontecimientos de Dan-no-ura.
Este proceso plantea un hermoso problema. ¿Cómo se consigue que el rostro de un guerrero quede grabado en el caparazón de un cangrejo? La respuesta parece ser que fueron los hombres quienes hicieron la cara. Las formas en los caparazones de los cangrejos son heredadas. Pero entre los cangrejos, como entre las personas, hay muchas líneas hereditarias diferentes. Supongamos que entre los antepasados lejanos de este cangrejo surgiera casualmente uno con una forma que parecía, aunque fuera ligeramente, un rostro humano. Incluso antes de la batalla de Dan-no-ura los pescadores pueden haber sentido escrúpulos para comer un cangrejo así. Al devolverlo al mar pusieron en marcha un proceso evolutivo: Si eres un cangrejo y tu caparazón es corriente, los hombres te comerán. Tu linaje dejará pocos descendientes. Si tu caparazón se parece un poco a una cara, te echarán de nuevo al mar. Podrás dejar más descendientes. Los cangrejos tenían un valor considerable invertido en las formas grabadas en sus caparazones. A medida que pasaban las generaciones, tanto de cangrejos como de pescadores, los cangrejos cuyas formas se parecían más a una cara de samurai sobrevivían preferentemente, hasta que al final se obtuvo no ya una cara humana, no sólo una cara japonesa, sino el rostro de un samurai feroz y enfadado. Todo esto no tiene nada que ver con lo que los cangrejos desean. La selección viene impuesta desde el exterior. Cuanto más uno se parece a un samurai, mejores son sus probabilidades de sobrevivir. Al final se obtiene una gran abundancia de cangrejos samurai.
Este proceso se denomina selección artificial. En el caso del cangrejo de Heike, lo efectuaron de modo más o menos consciente los pescadores, y desde luego sin que los cangrejos se lo propusieran seriamente. Pero los hombres han seleccionado deliberadamente durante miles de años, las plantas y animales que han de vivir y las que merecen morir. Desde nuestra infancia nos rodean animales, frutos, árboles y verduras familiares, cultivados y domesticados. ¿De dónde proceden? ¿Vivían antes libremente en el mundo silvestre y se les indujo luego a seguir una forma de vida menos dura en el campo? No, la realidad es muy distinta. La mayoría de ellos los hicimos nosotros.
Hace diez mil años no había vacas lecheras, ni perdigueros ni espigas grandes de trigo. Cuando domesticamos a los antepasados de estas plantas y animales a veces seres que presentaban un aspecto muy distinto controlamos su crianza. Procuramos que algunas variedades cuyas propiedades considerábamos deseables se reprodujeran con preferencia a las demás. Cuando deseamos un perro que nos ayudara a controlar un rebaño de ovejas, seleccionamos razas que eran inteligentes, obedientes y que mostraban un cierto talento previo con el rebaño, talento que es útil para los animales que cazan en jaurías. Las ubres enormemente dilatadas del ganado lechero son el resultado del interés del hombre por la leche y el queso. Nuestro trigo o nuestro maíz se han criado durante diez mil generaciones para que sea más gustoso y nutritivo que sus escuálidos antepasados; ha cambiado tanto que sin la intervención humana no pueden ni reproducirse.
La esencia de la selección artificial tanto de un cangrejo de Heike, como de un perro, una vaca o una espiga de trigo es ésta: Muchos rasgos físicos y de comportamiento de las plantas y de los animales se heredan. Se reproducen enteros. Los hombres, por el motivo que sea, apoyan la reproducción de algunas variedades y reprimen la reproducción de otras. La variedad que se ha seleccionado se reproduce de modo preferente; llega a ser abundante; la variedad desechada se hace rara y quizás llega a extinguirse.
Pero si los hombres pueden crear nuevas variedades de plantas y de animales, ¿no ha de poder hacer lo mismo la naturaleza? Este proceso similar se denomina selección natural. Las alteraciones que hemos provocado en animales y vegetales durante la corta estancia de los hombres sobre la Tierra y la evidencia fósil demuestran claramente que la vida ha cambiado de modo fundamental a lo largo de las eras. Los restos fósiles nos hablan sin ambigüedad de seres presentes antes en números enormes y que actualmente han desaparecido de modo absoluto [3].
Las especies que se han extinguido en la historia de la Tierra son mucho más numerosas que las existentes actualmente; son los experimentos conclusos de la evolución.
Los cambios genéticos inducidos por la domesticación se han producido con mucha rapidez. El conejo no se domesticó hasta los primeros tiempos del Medioevo (lo criaron monjes franceses creyendo que los conejitos recién nacidos eran pescado y que por lo tanto quedaban exentos de la prohibición de consumir carne en ciertos días del calendario de la Iglesia); el café en el siglo quince; la remolacha azucarera en el siglo diecinueve; y el visón está todavía en las primeras fases de domesticación. En menos de diez mil años la domesticación ha aumentado el peso de la lana que crían las ovejas desde menos de un kilo de pelos duros hasta diez o veinte kilos de una pelusa fina y uniforme; o el volumen de leche producido por el ganado en un período de lactancia desde unos cuantos centenares de centímetros cúbicos hasta un millón. Si la selección artificial puede provocar cambios tan grandes en un período de tiempo tan corto, ¿de qué será capaz la selección natural trabajando durante miles de millones de años? La respuesta es toda la belleza y diversidad del mundo biológico. La evolución es un hecho, no una teoría.
El gran descubrimiento asociado con los nombres de Charles Darwin y de Alfred Russel Wallace es que el mecanismo de la evolución es la selección natural. Hace más de un siglo estos científicos hicieron hincapié en que la naturaleza es prolífica, en que nacen muchos más animales y plantas de los que pueden llegar a sobrevivir y en que, por lo tanto, el medio ambiente selecciona las variedades que son accidentalmente más adecuadas para sobrevivir. Las mutaciones, cambios repentinos en la herencia se transmiten enteras. Proporcionan la materia prima de la evolución. El medio ambiente selecciona las pocas mutaciones que aumentan la supervivencia, obteniéndose una serie de lentas transformaciones de una forma de vida en otra, que origina nuevas especies [4].
Las palabras de Darwin en El origen de las especies fueron:
El hombre de hecho no produce variabilidad; lo único que hace es exponer inintencionadamente seres orgánicos a nuevas condiciones de vida, y luego la Naturaleza actúa sobre la organización, y causa la variabilidad. Pero el hombre puede seleccionar y selecciona las variaciones que la Naturaleza le da, y de este modo, las acumula de cualquier modo que desee. Adapta así animales y plantas a su propio beneficio o placer. Puede hacerlo metódicamente o puede hacerlo inconscientemente preservando los individuos que le son más útiles de momento, sin pensar en alterar la raza... No hay motivo aparente para que los principios que han actuado con tanta eficacia en la domesticación no hayan actuado en la Naturaleza... Nacen más individuos de los que pueden sobrevivir... La ventaja más ligera en un ser, de cualquier edad o en cualquier estación, sobre los demás seres con los cuales entra en competición, o una adaptación mejor, por mínima que sea, a las condiciones físicas que le rodean, cambiará el equilibrio en su favor.T. H. Huxley, el defensor y popularizador más efectivo de la evolución en el siglo diecinueve, escribió que las publicaciones de Darwin y de Wallace fueron como un rayo de luz, que a un hombre que se ha perdido en una noche oscura revela de repente un camino que tanto si le lleva directamente a casa como si no es indudable que va en su dirección... Cuando dominé por primera vez la idea central de El origen de las especies mi reflexión fue: ¡Qué increíblemente estúpido por mi parte no haber pensado en esto! Supongo que los compañeros de Colón dijeron más o menos lo mismo... Los hechos de la variabilidad, de la lucha por la existencia, de la adaptación a las condiciones eran del dominio de todos; pero ninguno de nosotros sospechó que el camino hacia el centro mismo del problema de las especies pasaba entre ellos, hasta que Darwin y Wallace eliminaron las tinieblas.
Muchas personas quedaron escandalizadas algunas todavía lo están ante ambas ideas: la evolución y la selección natural. Nuestros antepasados observaron la elegancia de la vida en la Tierra, lo apropiadas que eran las estructuras de los organismos a sus funciones, y consideraron esto como prueba de la existencia de un Gran Diseñador. El organismo unicelular más simple es una máquina mucho más compleja que el mejor reloj de bolsillo. Y sin embargo los relojes de bolsillo no se montan espontáneamente a sí mismos, ni evolucionan por lentas etapas e impulsados por sí mismos, a partir por ejemplo de relojes abuelos. Un reloj presupone un relojero. Parecía fuera de lugar que los átomos y las moléculas pudiesen reunirse espontáneamente de algún modo para crear organismos de una complejidad tan asombrosa y de un funcionamiento tan sutil como los que adornan todas las regiones de la Tierra. El hecho de que cada ser vivo estuviera especialmente diseñado, de que una especie no se convirtiera en otra especie, era una noción perfectamente consistente con lo que nuestros antepasados, provistos de una limitada documentación histórica, sabían de la vida. La idea de que cada organismo hubiese sido construido meticulosamente por un Gran Diseñador proporcionaba a la naturaleza significado y orden, y a los seres humanos una importancia que todavía anhelamos. Un Diseñador constituye una explicación natural, atractiva y muy humana del mundo biológico. Pero, como demostraron Darwin y Wallace, hay otra explicación igualmente atractiva, igualmente humana y mucho más convincente: la selección natural, que hace la música de la vida más bella a medida que pasan los eones.
La evidencia fósil podría ser consistente con la idea de un Gran Diseñador; quizás algunas especies quedan destruidas cuando el Diseñador está descontento con ellas e intenta nuevos experimentos con diseños mejorados. Pero esta idea es algo desconcertante. Cada planta y cada animal está construido de un modo exquisito; ¿no debería haber sido capaz un Diseñador de suprema competencia de hacer desde el principio la variedad deseada? Los restos fósiles presuponen un proceso de tanteo, una incapacidad de anticipar el futuro, lo cual no concuerda con un Gran Diseñador eficiente (aunque sí con un Diseñador de un temperamento más distante e indirecto).
Cuando estudiaba en la universidad, a principios de los años 1950, tuve la fortuna de trabajar en el laboratorio de H. J. Muller, un gran genético y el hombre que había descubierto que la radiación produce mutaciones. Muller fue la persona que me señaló la existencia del cangrejo Heike como ejemplo de selección artificial. A fin de aprender el aspecto práctico de la genética, pasé muchos meses trabajando con moscas de la fruta, Drosophila melanogaster (que significa amante del rocío de cuerpo negro): diminutos y benignos seres con dos alas y unos grandes ojos. Las teníamos en botellas de leche de medio litro. Cruzábamos dos variedades para ver las nuevas formas que emergían gracias a la reordenación de los genes paternos y por acción de mutaciones naturales e inducidas. Las hembras depositaban sus huevos en una especie de melazas que los técnicos ponían dentro de las botellas; se tapaba las botellas y esperábamos dos semanas a que los huevos fertilizados se transformaran en larvas, las larvas en pupas, y las pupas emergieran en forma de moscas de la fruta adultas.
Un día estaba yo observando a través de un microscopio binocular de pocos aumentos un lote recién llegado de Drosophilas adultas inmovilizadas con un poco de éter, y estaba ocupado separando las diferentes variedades con un pincel de pelo de camello. Quedé asombrado al encontrarme con algo muy diferente: no se trataba de una pequeña variación, por ejemplo con ojos rojos en lugar de blancos, o con cerdas en el cuello en lugar de sin cerdas. Se trataba de otro tipo de criatura, y que funcionaba muy bien: moscas con alas mucho más prominentes y con antenas largas y plumosas. Llegué a la conclusión de que el destino había hecho en el propio laboratorio de Muller lo que él había dicho que no podría suceder nunca: un cambio evolutivo importante en una única generación. Me correspondía a mí la ingrata tarea de contárselo.
Con el corazón oprimido llamé a su puerta. Entre, dijo una voz apagada. Entré y vi que la habitación estaba a oscuras, a excepción de una única lamparita que iluminaba el soporte del microscopio donde él estaba trabajando. En este ambiente tenebroso comuniqué a trompicones mi descubrimiento: un tipo muy diferente de mosca. Estaba seguro que había emergido de una de las pupas en las melazas. No quería molestar a Muller, pero... ¿Tiene más bien aspecto de lepidóptero que de díptero?, me preguntó con el rostro iluminado desde abajo. Yo no sabía de qué me hablaba, y tuvo que explicármelo: ¿Tiene alas grandes? ¿Tiene antenas plumosas? Asentí tristemente.
Muller encendió la lámpara del techo y sonrió benignamente. Era una vieja historia. Había un tipo de polilla que se había adaptado a los laboratorios de genética que trabajaban con Drosophila. No era nada parecida a una mosca de la fruta ni quería ninguna relación con ella. Lo que quería era la melaza de las moscas de la fruta. En los breves momentos que el técnico de laboratorio necesitaba para destapar la botella de leche por ejemplo al añadir más moscas de la fruta y volverla a tapar, la polilla madre entraba en picado y precipitaba sus huevos volando sobre las deliciosas melazas. Yo no había descubierto una macro mutación, simplemente había dado con otra maravillosa adaptación de la naturaleza, producto a su vez de micro mutaciones y de la selección natural.
Los secretos de la evolución son la muerte y el tiempo: la muerte de un número enorme de formas vivas que estaban imperfectamente adaptadas al medio ambiente; y tiempo para una larga sucesión de pequeñas mutaciones que eran accidentalmente adaptativas, tiempo para la lenta acumulación de rasgos producidos por mutaciones favorables. ¿Qué significan setenta millones de años para unos seres que viven sólo una millonésima de este tiempo? Somos como mariposas que revolotean un solo día y piensan que aquello lo es todo.
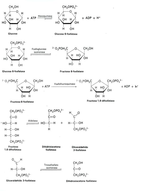
Lo que sucedió en la Tierra puede ser más o menos el curso típico de la evolución de la vida en muchos mundos; pero en relación a detalles como la química de las proteínas o la neurología de los cerebros, la historia de la vida en la Tierra puede ser única en toda la galaxia Vía Láctea. La Tierra se condensó a partir de gas y polvo interestelar hace 4.600 millones de años. Sabemos por los fósiles que el origen de la vida se produjo poco después, hace quizás unos 4.000 millones de años, en las lagunas y océanos de la Tierra primitiva. Los primeros seres vivos no eran tan complejos como un organismo unicelular, que ya es una forma de vida muy sofisticado. Los primeros balbuceos fueron mucho más humildes. En aquellos días primigenios, los relámpagos y la luz ultravioleta del Sol descomponían las moléculas simples, ricas en hidrógeno, de la atmósfera primitiva, y los fragmentos se recombinaban espontáneamente dando moléculas cada vez más complejas. Los productos de esta primera química se disolvían en los océanos, formando una especie de sopa orgánica cuya complejidad crecía paulatinamente, hasta que un día, por puro accidente, nació una molécula que fue capaz de hacer copias bastas de sí misma, utilizando como bloques constructivos otras moléculas de la sopa. (Volveremos más adelante a este tema.)
Éste fue el primer antepasado del ácido desoxirribonucleico, el ADN, la molécula maestra de la vida en la Tierra. Tiene la forma de una escalera torcida según una hélice, con escalones disponibles en cuatro partes moleculares distintas, que constituyen las cuatro letras del código genético. Estos escalones, llamados nucleótidos, deletrean las instrucciones hereditarias necesarias para hacer un organismo dado. Cada forma viva de la Tierra tiene un conjunto distinto de instrucciones, escrito esencialmente en el mismo lenguaje.
La razón por la cual los organismos son diferentes es la diferencia existente entre sus instrucciones de ácido nucleico. Una mutación es un cambio en un nucleótido, copiado en la generación siguiente y que se transmite entero. Puesto que las mutaciones son cambios casuales de los nucleótidos, la mayoría son nocivas o letales, porque hacen nacer a través del código enzimas no funcionales. Hay que esperar mucho para que una mutación haga trabajar mejor a un organismo. Y sin embargo este acontecimiento improbable, una pequeña mutación beneficiosa en un nucleótido con una longitud de una diezmillonésima de centímetro, es lo que impulsa a la evolución.
Hace cuatro mil millones de años, la Tierra era un paraíso molecular. Todavía no había predadores. Algunas moléculas se reproducían de modo ineficaz, competían en la búsqueda de bloques constructivos y dejaban copias bastas de sí mismas. La evolución estaba ya definitivamente en marcha, incluso al nivel molecular, gracias a la reproducción, la mutación y la eliminación selectiva de las variedades menos eficientes. A medida que pasaba el tiempo conseguían reproducirse mejor. Llegaron a unirse entre sí moléculas con funciones especializadas, constituyendo una especie de colectivo molecular: la primera célula. Las células vegetales de hoy en día tienen diminutas fábricas moleculares, llamadas cloroplastos, que se encargan de la fotosíntesis: la conversión de la luz solar, el agua y el dióxido de carbono en hidratos de carbono y oxígeno. Las células presentes en una gota de sangre contienen un tipo diferente de fábrica molecular, el mitocondrio, que combina el alimento con el oxígeno para extraer energía útil. Estas fábricas están actualmente dentro de las células vegetales y animales, pero pueden haber sido en otros tiempos células libres.
Hace unos tres mil millones de años se había reunido un cierto número de plantas unicelulares, quizás porque una mutación impidió que una sola célula sola se separara después de dividirse en dos. Habían evolucionado los primeros organismos multicelulares. Cada célula de nuestro cuerpo es una especie de comuna, con partes que antes vivían libremente y que se han reunido para el bien común. Y nosotros estamos compuestos por cien billones de células. Cada uno de nosotros es una multitud.
Parece que el sexo se inventó hace unos dos mil millones de años. Con anterioridad a esto las nuevas variedades de organismos sólo podían nacer a partir de la acumulación de mutaciones casuales: la selección de cambios, letra por letra, en las instrucciones genéticas. La evolución debió ser atrozmente lenta. Gracias al invento del sexo dos organismos podían intercambiar párrafos, páginas y libros enteros de su código de ADN, produciendo nuevas variedades a punto para pasar por el cedazo de la selección. Los organismos han sido seleccionados para que se dediquen al sexo; los que lo encuentran aburrido pronto se extinguen. Y esto no es sólo cierto en relación a los microbios de hace dos mil millones de años. También los hombres conservamos hoy en día una palpable devoción por intercambiar segmentos de ADN.

Trilobites fósiles. Arriba, tres especímenes ciegos de hace quinientos millones de años. Abajo, ejemplares más evolucionados. con sus ojos bellamente conservados. Los trilobites son uno de los muchos productos de la explosión del Cámbrico. (Reproducido de Trilobites por Riccardo Levi-Setti, con permiso de Chicago Press. © 1975 de la Universidad de Chicago.)
Los océanos estaban ya repletos de plantas verdes sencillas, y el oxígeno se estaba convirtiendo en un componente importante de la atmósfera de la Tierra, alterando irreversiblemente su carácter original, rico en hidrógeno, y dando por terminada la época de la historia de la Tierra en la que la sustancia de la vida estuvo constituida por procesos no biológicos. Pero el oxígeno tiende a provocar la descomposición de las moléculas orgánicas. A pesar del amor que le tenemos, se trata en el fondo de un veneno para la materia orgánica no protegida. La transición a una atmósfera oxidante planteó una crisis suprema en la historia de la vida, y una gran cantidad de organismos, incapaces de enfrentarse con el oxígeno, perecieron. Unas cuantas formas primitivas, como los bacilos del botulismo y del tétanos, consiguieron sobrevivir a pesar de todo en el ambiente actual de la Tierra rico en oxígeno. El nitrógeno de nuestra atmósfera es desde el punto de vista químico mucho más inerte y por lo tanto mucho más benigno que el oxígeno. Pero también está sostenido biológicamente, y por lo tanto el 99% de la atmósfera de la tierra es de origen biológico. El cielo es un producto de la vida.
Durante la mayor parte de los cuatro mil millones de años transcurridos a partir del origen de la vida, los organismos dominantes eran algas microscópicas de color azul y verde, que cubrían y llenaban los océanos. Pero hace unos 600 millones de años, el dominio monopolista de las algas quedó roto y se produjo una proliferación enorme de nuevas formas vivas, acontecimiento éste que se ha llamado la explosión del Cámbrico. La vida nació casi inmediatamente después del origen de la Tierra, lo cual sugiere que quizás la vida sea un proceso químico inevitable en un planeta semejante a la Tierra. Pero durante tres mil millones de años no evolucionó mucho más allá de las algas azules y verdes, lo cual sugiere que la evolución de formas vivas grandes con órganos especializados es difícil, más difícil todavía que el origen de la vida. Quizás hay muchos otros planetas que tienen hoy en día una gran abundancia de microbios pero a los que faltan animales y plantas grandes.
Poco después de la explosión cámbrica, en los océanos pululaban muchas formas distintas de vida. Hace 500 millones de años había grandes rebaños de trilobites, animales de bella construcción, algo parecidos a grandes insectos; algunos cazaban en manadas sobre el fondo del océano. Almacenaban cristales en sus ojos para detectar la luz polarizada. Pero actualmente ya no hay trilobites vivos; hace 200 millones de años que ya no quedan. La Tierra estuvo habitada a lo largo del tiempo por plantas y animales de los que hoy no queda rastro vivo. Y como es lógico hubo un tiempo en que no existía ninguna de las especies que hay hoy en nuestro planeta. No hay ninguna indicación en las rocas antiguas de la presencia de animales como nosotros. Las especies aparecen, viven durante un período más o menos breve y luego se extinguen.
Antes de la explosión del Cámbrico parece que las especies se sucedían unas a otras con bastante lentitud. En parte esto puede deberse a que la riqueza de nuestra información disminuye rápidamente cuanto más lejos escrutamos el pasado; en la historia primitiva de nuestro planeta, pocos organismos disponían de partes duras y los seres blandos dejan pocos restos fósiles. Pero el ritmo pausado de aparición de formas espectacularmente nuevas antes de la explosión cámbrica es en parte real; la penosa evolución de la estructura y la bioquímica celular no queda reflejada inmediatamente en las formas externas reveladas por los restos fósiles. Después de la explosión del Cámbrico nuevas y exquisitas adaptaciones se fueron sucediendo con una rapidez relativamente vertiginosa. Aparecieron en rápida sucesión los primeros peces y los primeros vertebrados; las plantas que antes se limitaban a vivir en los océanos empezaron la colonización de la Tierra; evolucionaron los primeros insectos y sus descendientes se convirtieron en los pioneros de la colonización de la tierra por los animales; insectos alados nacieron al mismo tiempo que los anfibios, seres parecidos en cierto modo al pez pulmonado, capaces de sobrevivir tanto en la tierra como en el agua; aparecieron los primeros árboles y los primeros reptiles; evolucionaron los dinosaurios; emergieron los mamíferos y luego los primeros pájaros; aparecieron las primeras flores; los dinosaurios se extinguieron; nacieron los primeros cetáceos, antepasados de los delfines y de las ballenas, y también en el mismo período nacieron los primates: los antepasados de los monos, los grandes simios y los humanos. Hace menos de diez millones de años, evolucionaron los primeros seres que se parecían fielmente a seres humanos, acompañados por un aumento espectacular del tamaño del cerebro. Y luego, hace sólo unos pocos millones de años, emergieron los primeros humanos auténticos.
Los hombres crecieron en los bosques y nosotros les tenemos una afinidad natural. ¡Qué hermoso es un árbol que se esfuerza por alcanzar el cielo! Sus hojas recogen la luz solar para fotosintetizarla, y así los árboles compiten dejando en la sombra a sus vecinos. Si buscamos bien veremos a menudo dos árboles que se empujan y se echan a un lado con una gracia lánguida. Los árboles son máquinas grandes y bellas, accionadas por la luz solar, que toman agua del suelo y dióxido de carbono del aire y convierten estos materiales en alimento para uso suyo y nuestro. La planta utiliza los hidratos de carbono que fabrica como fuente de energía para llevar a cabo sus asuntos vegetales. Y nosotros, los animales, que somos en definitiva parásitos de las plantas, robamos sus hidratos de carbono para poder llevar a cabo nuestros asuntos.

Parientes cercanos: una encina y un hombre. (Fotografía Bill Ray.)
Hay decenas de miles de millones de tipos conocidos de moléculas orgánicas. Sin embargo en las actividades esenciales de la vida sólo se utiliza una cincuentena. Las mismas estructuras se utilizan una y otra vez de modo conservador e ingenioso, para llevar a cabo funciones diferentes. Y en el núcleo mismo de la vida en la Tierra las proteínas que controlan la química de la célula y los ácidos nucleicos que transportan las instrucciones hereditarias descubrimos que estas moléculas son esencialmente las mismas en todas las plantas y animales. Una encina y yo estamos hechos de la misma sustancia. Si retrocedemos lo suficiente, nos encontramos con un antepasado común.
La célula viviente es un régimen tan complejo y bello como el reino de las galaxias y de las estrellas. La exquisita maquinaria de la célula ha ido evolucionando penosamente durante más de cuatro mil millones de años. Fragmentos de alimento se metamorfosean en maquinaria celular. La célula sanguínea blanca de hoy son las espinacas con crema de ayer. ¿Cómo consigue esto la célula? En su interior hay una arquitectura laberíntica y sutil que mantiene su propia estructura, transforma moléculas, almacena energía y se prepara para copiarse a sí misma. Si pudiéramos entrar en una célula, muchas de las manchas moleculares que veríamos serían moléculas de proteína, algunas en frenética actividad, otras simplemente esperando. Las proteínas más importantes son enzimas, moléculas que controlan las reacciones químicas de la célula. Las enzimas son como los obreros de una cadena de montaje, cada una especializada en un trabajo molecular concreto: por ejemplo el Paso 4 en la construcción del nucleótido fosfato de guanosina, o el Paso 11 en el desmontaje de una molécula de azúcar para extraer energía, la moneda con que paga para conseguir que se lleven a cabo los demás trabajos celulares. Pero las enzimas no dirigen el espectáculo. Reciben sus instrucciones y de hecho ellas mismas son construidas así mediante órdenes enviadas por los que controlan. Las moléculas que mandan son los ácidos nucleicos. Viven secuestrados en una ciudad prohibida en lo más profundo de todo, en el núcleo de la célula.
Si nos sumergiéramos por un poro en el núcleo de la célula nos encontraríamos con algo parecido a una explosión en una fábrica de espaguetis: una multitud desordenada de espirales e hilos, que son los dos tipos de ácidos nucleicos: el ADN, que sabe lo que hay que hacer, y el ARN, que lleva las instrucciones emanadas del ADN al resto de la célula. Ellos son lo mejor que han podido producir cuatro mil millones de años de evolución, y contienen el complemento completo de información sobre la manera de hacer que una célula, un árbol o una persona funcione. La cantidad de información en el ADN del hombre escrito en el lenguaje corriente ocuparía un centenar de volúmenes gruesos. Además de esto, las moléculas de ADN saben la manera de hacer copias idénticas de sí mismas con sólo muy raras excepciones. La cantidad de cosas que saben es extraordinaria.

Microfotografía de células sanguíneas humanas, cedida por D. Golde, UCLA. Las células en forma de dona son células sanguíneas rojas normales, que transportan oxígeno. Los grupos mayores son células sanguíneas blancas, que se tragan microorganismos extraños.
El ADN del núcleo, además de hacer copias exactas de sí mismo la herencia es precisamente esto dirige las actividades de la célula que es precisamente el metabolismo sintetizando otro ácido nucleico llamado ARN mensajero, el cual pasa a las provincias extra nucleares y controla allí la construcción, en el momento adecuado y en el lugar adecuado, de una enzima. Cuando todo ha finalizado el resultado es la producción de una molécula única de enzima que se dedica luego a ordenar un aspecto particular de la química de la célula.
El ADN del hombre es una escalera con una longitud de mil millones de nucleótidos. Las combinaciones posibles de nucleótidos son en su mayor parte tonterías: causarían la síntesis de proteínas que no realizarían ninguna función útil. Sólo un número muy limitado de moléculas de ácido nucleico, son de alguna utilidad para formas de vida tan complicadas como nosotros. Incluso así el número de maneras útiles de construir ácidos nucleicos es increíblemente elevado: probablemente muy superior al número total de electrones y de protones del universo. Por lo tanto el número de seres humanos posible es muy superior al del número de personas que hayan vivido nunca: el potencial no utilizado de la especie humana es inmenso. Ha de haber manera de construir ácidos nucleicos que funcionen mucho mejor sea cual fuere el criterio escogido que cualquier persona que haya vivido nunca. Por suerte todavía ignoramos la manera de montar secuencias distintas de nucleótidos que permitan construir tipos distintos de seres humanos. En el futuro es muy posible que estemos en disposición de montar nucleótidos siguiendo la secuencia que queramos, y de producir cualquier característica que creamos deseable: una perspectiva que nos hace pensar y nos inquieta.
La evolución funciona mediante la mutación y la selección. Se pueden producir mutaciones durante la reproducción de la molécula si la enzima polimerasa del ADN comete un error. Pero es raro que lo haga. Las mutaciones se producen también a causa de la radiactividad, de la luz ultravioleta del Sol, de los rayos cósmicos o de sustancias químicas en el medio ambiente, todo lo cual puede cambiar los nucleótidos o atar en forma de nudos a los ácidos nucleicos. Si el número de mutaciones es demasiado elevado, perdemos la herencia de cuatro mil millones de años de lenta evolución.

Microfotografías de barrido electrónico con aumentos cada vez mayores de células sanguíneas humanas. La mayoría de las células del cuadro superior son células sanguíneas rojas. La célula que va saliendo en primer plano y que ocupa la foto de abajo es un linfocito B, que describimos más adelante. Mide aproximadamente una diezmilésima parte de centímetro. (Cedidas por Jean-Paul Revel, Instituto de Tecnología de California.)
Un cambio en un único nucleótido del ADN provoca un cambio en un único aminoácido en la proteína codificada en este ADN. Las células rojas de la sangre de los pueblos de ascendencia europea tienen un aspecto más o menos globuloso. Las células rojas de la sangre de algunos pueblos de ascendencia africana tienen el aspecto de hoces o de lunas crecientes. Las células en hoz transportan menos oxígeno y por lo tanto transmiten un tipo de anemia. También proporcionan una fuerte resistencia contra la malaria. No hay duda que es mejor estar anémico que muerto. Esta influencia importante sobre la función de la sangre tan notable que se aprecia claramente en fotografías de células sanguíneas rojas es la consecuencia de un cambio en un único nucleótido entre los diez mil millones existentes en el ADN de una célula humana típica. Todavía ignoramos las consecuencias de la mayoría de los cambios en los demás nucleótidos.
Las personas tenemos un aspecto bastante diferente al de un árbol. No hay duda que percibimos el mundo de modo diferente a como lo hace un árbol. Pero en el fondo de todo, en el núcleo molecular de la vida, los árboles y nosotros somos esencialmente idénticos. Ellos y nosotros utilizamos los ácidos nucleicos para la herencia; utilizamos las proteínas como enzimas para controlar la química de nuestras células. Y lo más significativo es que ambos utilizamos precisamente el mismo libro de código para traducir la información de ácido nucleico en información de proteína, como hacen prácticamente todos los demás seres de este planeta[5].
La explicación usual de esta unidad molecular es que todos nosotros árboles y personas, pájaros, sapos, mohos y paramecios descendemos de un ejemplar único y común en el origen de la vida, en la historia primitiva de nuestro planeta. ¿Cómo nacieron pues las moléculas críticas?
En mi laboratorio de la Universidad de Cornell trabajamos entre otras cosas en la química orgánica prebiológica, tocando algunas notas de la música de la vida. Mezclamos y sometemos a chispas los gases de la Tierra primitiva: hidrógeno, agua, amoníaco, metano, sulfuro de hidrógeno, todos los cuales por otra parte están presentes actualmente en el planeta Júpiter y por todo el Cosmos. Las chispas corresponden a los relámpagos, presentes también en la Tierra antigua y en el actual Júpiter. El vaso de reacción es al principio transparente: los gases precursores son totalmente invisibles. Pero al cabo de diez minutos de chispas, vemos aparecer un extraño pigmento marrón que desciende lentamente por los costados del vaso. El interior se hace paulatinamente opaco, y se cubre con un espeso alquitrán marrón. Si hubiésemos utilizado luz ultravioleta simulando el Sol primitivo los resultados hubiesen sido más o menos los mismos. El alquitrán es una colección muy rica de moléculas orgánicas complejas, incluyendo a las partes constitutivas de proteínas y ácidos nucleicos. Resulta pues que la sustancia de la vida es muy fácil de fabricar.
Estos experimentos los llevó a cabo por primera vez a principios de los años 1950 Stanley Miller, un doctorado del químico Harold Urey. Urey sostenía de modo convincente que la atmósfera primitiva de la Tierra era rica en hidrógeno, como en la mayor parte del Cosmos; que luego el hidrógeno ha ido escapando al espacio desde la Tierra, pero no desde Júpiter, cuya masa es grande; y que el origen de la vida se produjo antes de perder el hidrógeno. Cuando Urey sugirió someter estos gases a chispas eléctricas, alguien le preguntó qué esperaba obtener con el experimento. Urey contestó: Beilstein. Beilstein es el voluminoso compendio en 28 tomos con la lista de todas las moléculas orgánicas conocidas por los químicos.

Un viaje al interior de la célula viva: El linfocito humano es una célula bastante típica de los organismos superiores de la Tierra. Las células suelen medir unos 100 micrómetros (μm) de diámetro (o sea, 0.1 milímetros, el objeto más pequeño que el ojo humano puede ver sin aumento). Después de pasar por la membrana de la célula, de un espesor de unos 0,01 m, nos encontramos con prolongaciones de la membrana en forma de cuerdas(a), llamadas retículo endoplasmático (RE), que juegan un papel importante en la arquitectura de la célula. Dentro del citoplasma (b), vemos a unos cuantos representantes de los numerosos ribosomas (por ejemplo, el racimo de cinco glóbulos oscuros), algunos fijos a las proteínas o ARN mensajero, enviado por el ADN del núcleo. Los ribosomas miden unos 0.02 m de diámetro. Los hilos son microtúbulos, que van hacia el núcleo (en color azul claro en el fondo). Las mitocondrias, en forma de salchichas (b, e) de un grueso de 1 μm una longitud de 10 μm, proporcionan energía a la célula. Tienen su propio ADN; Sus antepasados pueden haber sido microbios que vivían en libertad. El RE está conectado al núcleo de la célula (e, d). Si nos introducimos por un poro en forma de túnel (0,05 μm de diámetro) en la membrana nuclear (e) emergemos dentro del núcleo (f), lleno de hilos de ADN y que parece “una explosión en una fábrica de espaguetis”.

En g) aparecen cinco vueltas enteras de cada hélice de ADN, correspondientes a unos 4 000 átomos constitutivos. Una molécula entera de ADN humano tiene aproximadamente cien millones de vueltas como éstas y un centenar de miles de millones de átomos, número equivalente al de estrellas en una galaxia típica. En (h) aparece una de estas vueltas. Cada uno de los dos filamentos verdes, marcan el espinazo de la molécula, constituido por azúcares y fosfatos alternadamente. En color amarillo, gamuza, rojo y marrón están las bases de nucleótidos que contienen nitrógeno y que hacen de enlaces o de puntales entre las dos hélices (representan moléculas llamadas adenina. timina. guanina y citosina; la adenina enlaza únicamente con timina y la guanina sólo con citosina). El lenguaje de la vida está determinado por la secuencia de las bases de nucleótidos. Las esferas sueltas en este modelo concreto corresponden a los átomos de hidrógeno (las más pequeñas), carbono, nitrógeno, oxígeno y fósforo. La enzima que destornilla el ADN (llamada helicasa), en azul (i), supervisa la rotura de los enlaces químicos entre bases adyacentes de nucleótidos, previa a la reproducción del ADN: una molécula de la enzima polimerasa del ADN (azul) supervisa la unión de los cercanos bloques constructivos a uno de los filamentos de ADN (j). Cada filamento de una hélice doble original copia a la otra en la auto reproducción del ADN, Cuando uno de los nucleótidos que van a unirse no concuerda con su compañero, la polimerasa del ADN lo aparta, actividad ésta que los biólogos moleculares denominan “corrección de pruebas”. Un error en la corrección de pruebas, error raro, provoca una mutación: las instrucciones genéticas han cambiado. Una polimerasa del ADN del hombre suele unir unas cuantas docenas de nucleótidos por segundo. En un momento dado de la reproducción de una molécula de ADN pueden estar trabajando en ella diez mil polimerasas. Estas maquinarias moleculares tan exquisitas existen en todas las plantas, animales y microorganismos de la Tierra. (Pinturas a-f, de Frank Armitge, John Allison y Adolf Schaller. Gráficos por computadora, g-j de James Blinn y Pat Cole. Laboratorio de Propulsión a Chorro. Todos los colores son arbitrarios.)
Pero el hecho mismo de ordenar estos bloques constructivos en moléculas de cadena larga ha supuesto un progreso sustancial de laboratorio. Se han reunido aminoácidos en las condiciones de la Tierra primitiva formando moléculas que parecen proteínas. Algunas de ellas controlan débilmente reacciones químicas útiles, como hacen las enzimas. Se han reunido nucleótidos formando filamentos de ácido nucleico de unas cuantas docenas de unidades de largo. Si las circunstancias en el tubo de ensayo son correctas, estos ácidos nucleicos cortos pueden sintetizar copias idénticas de sí mismos.

Síntesis de materia orgánica en el Laboratorio de Estudios Planetarios de la Universidad de Cornell. Primeras chispas eléctricas en una mezcla transparente de los gases metano, amoniaco, sulfuro de hidrógeno y agua en un frasco de cristal (izquierda). Al cabo de unas nocas horas de chispas, el interior del frasco queda recubierto (derecha) por una rica variedad de moléculas orgánicas de importancia para el origen de la vida. (Cedidas por Bishun Khare.)
Los organismos independientes más pequeños que se conocen son los organismos parapleuroneumónicos y otros bichitos semejantes. Se componen de unos cincuenta millones de átomos. Estos organismos, han de confiar más en sí mismos, y son por lo tanto más complicados que los viroides y que los virus. Pero el medio ambiente actual de la Tierra no es muy favorable a las formas simples de vida. Hay que trabajar duramente para ganarse la vida. Hay que ir con cuidado con los predadores. Sin embargo, en la primitiva historia de nuestro planeta, cuando la luz solar producía en una atmósfera rica en hidrógeno enormes cantidades de moléculas orgánicas, los organismos muy simples y no parásitos tenían una posibilidad de luchar. Es posible que las primeras cosas vivas fueran semejantes a viroides que vivían libres y cuya longitud era sólo de unos centenares de nucleótidos. Quizás a fines de este siglo puedan comenzar los trabajos experimentales para producir seres de este tipo a partir de sus elementos. Queda todavía mucho por comprender sobre el origen de la vida, incluyendo el origen del código genético. Pero estamos llevando a cabo experimentos de este tipo desde hace sólo treinta años. La Naturaleza nos lleva una ventaja de cuatro mil millones de años. Al fin y al cabo no lo estamos haciendo tan mal.
No hay nada en estos experimentos que sea peculiar de la Tierra. Los gases iniciales y las fuentes de energía son comunes a todo el Cosmos. Es posible que reacciones químicas semejantes a las de nuestros vasos de laboratorios hagan nacer la materia orgánica presente en el espacio interestelar y los aminoácidos que se encuentran en los meteoritos. Han de haberse dado procesos químicos semejantes en mil millones de mundos diferentes de la galaxia Vía Láctea. Las moléculas de la vida llenan el Cosmos.
Pero aunque la vida en otro planeta tenga la misma química molecular que la vida de aquí, no hay motivo para suponer que se parezca a organismos familiares. Tengamos en cuenta la diversidad enorme de seres vivos sobre la Tierra, todos los cuales comparten el mismo planeta y una biología molecular idéntica. Los animales y plantas de otros mundos es probable que sean radicalmente diferentes a cualquiera de los organismos que conocemos aquí. Puede haber alguna evolución convergente, porque quizás sólo haya una solución óptima para un determinado problema ambiental: por ejemplo algo parecido a dos ojos para tener visión binocular en las frecuencias ópticas. Pero en general el carácter aleatorio del proceso evolutivo debería crear seres extraterrestres muy diferentes de todo lo conocido.
No puedo deciros qué aspecto tendría un ser extraterrestre. Estoy terriblemente limitado por el hecho de que sólo conozco un tipo de vida, la vida de la Tierra. Algunas personas como autores de ciencia ficción y artistas han especulado sobre el aspecto que podrían tener otros seres. Me siento escéptico ante la mayoría de estas visiones extraterrestres. Me parece que se basan excesivamente en formas de vida que ya conocemos.

Un extraterrestre de ciencia ficción creado por Edd Cartier. Compárese con la microfotografía de barrido electrónico de un ácaro terrestre, que aparece en la primera página de este capítulo. (Fuente: Hamlyn Group Picture Library.)
En un planeta gaseoso gigante como Júpiter, con una atmósfera rica en hidrógeno, helio, metano, agua y amoníaco, no hay superficie sólida accesible, sino una atmósfera densa y nebulosa en la cual las moléculas orgánicas pueden ir cayendo de los cielos como el maná, como los productos de nuestros experimentos de laboratorio. Sin embargo, hay un obstáculo característico para la vida en un planeta así: la atmósfera es turbulenta, y en el fondo de ella la temperatura es muy alta. Un organismo ha de ir con cuidado para no ser arrastrado al fondo y quedar frito.
Para demostrar que no queda excluida la vida en un planeta tan diferente, E. E. Salpeter, colega mío en Cornell, y yo mismo hemos hecho algunos cálculos. Como es lógico no podemos saber de modo preciso qué aspecto tendría la vida en un lugar así, pero queríamos saber la posibilidad de que un mundo de este tipo, cumpliendo las leyes de la física y de la química, estuviera habitado.

Un muestrario de extraterrestres de ciencia ficción.

Cazadores y flotantes, formas vivas imaginarias pero posibles en la atmósfera de un planeta de tipo joviano. Las formas de las nubes son en su mayoría las que el Voyager descubrió en Júpiter. Los cristales de hielo en la alta atmósfera causan el halo alrededor del Sol.

a) un rebaño de flotantes en las corrientes ascendentes de un sistema tempestuoso atmosférico; b) flotantes a través de un claro en las nubes; c) flotantes por encima de cirros (nubes) de amoniaco; d) y e) primeros planos de flotantes: obsérvense los dibujos de camuflaje, con coloraciones para protegerlos de los cazadores; j) un cazador en configuración de ataque; g) un rebaño de cazadores camuflados a grandes altitudes. (Pintura de Adolf Schaller.)
La física y la química permiten formas de vida de este tipo. El arte les presta un cierto encanto. Sin embargo la Naturaleza no tiene por qué seguir nuestras especulaciones. Pero si hay miles de millones de mundos habitados en la galaxia Vía Láctea, quizás habrá unos cuantos poblados por hundientes, flotantes y cazadores que nuestra imaginación, atemperada por las leyes de la física y de la química, ha generado.
La biología se parece más a la historia que a la física. Hay que conocer el pasado para comprender el presente. Y hay que conocerlo con un detalle exquisito. No existe todavía una teoría predictiva de la biología, como tampoco hay una teoría predictiva de la historia. Los motivos son los mismos: ambas materias son todavía demasiado complicadas para nosotros. Pero podemos conocemos mejor conociendo otros casos.
El estudio de un único caso de vida extraterrestre, por humilde que sea, desprovincializará a la biología. Los biólogos sabrán por primera vez qué otros tipos de vida son posibles. Cuando decimos que la búsqueda de vida en otros mundos es importante, no garantizamos que sea fácil de encontrar, sino que vale mucho la pena buscarla.
Hasta ahora hemos escuchado solamente la voz de la vida en un pequeño mundo. Pero al fin nos disponemos ya a captar otras voces en la fuga cósmica.
Capítulo 3
La armonía de los mundos
¿Conoces las leyes del cielo?
¿Puedes establecer su función en la Tierra?
Libro de Job
Todo el bienestar y la adversidad que acaecen al hombre y a otras criaturas llegan a través del Siete y del Doce. Los doce signos del Zodiaco, como dice la Religión, son los doce capitanes del bando de la luz; y se dice que los siete planetas son los siete capitanes del bando de la oscuridad. Y los siete planetas oprimen todo lo creado y lo entregan a la muerte y a toda clase de males: porque los doce signos del Zodiaco y los siete planetas gobiernan el destino del mundo.
Menok i Xrat, obra zoroástrica tardía
Decir que cada especie de cosa está dotada de una cualidad específica oculta por la cual actúa y produce efectos manifiestos, equivale a no decir nada; pero derivar de los fenómenos dos o tres principios generales de movimiento, y acto seguido explicar de qué modo se deducen de estos principios manifiestos las propiedades y las acciones de todas las cosas corpóreas, sería dar un gran paso.
Isaac Newton, óptica
No nos preguntamos qué propósito útil hay en el canto de los pájaros, cantar es su deseo desde que fueron creados para cantar. Del mismo modo no debemos preguntamos por qué la mente humana se preocupa por penetrar los secretos de los cielos... La diversidad de los fenómenos de la Naturaleza es tan grande y los tesoros que encierran los cielos tan ricos, precisamente para que la mente del hombre nunca se encuentre carente de su alimento básico.
JOHANNES KEPLER, Mysterium Cosmographicum

Detalle decorativo de una calculadora de papel destinada a determinar el tamaño de la sombra de la Tierra sobre la Luna durante un eclipse lunar. Impresa en 1540, tres años antes de la publicación de la obra de Copérnico y treinta y un años antes del nacimiento de Johannes Kepler. Del Astronomicum Caesarium de Petrus Apianus, Ingolstadt, Alemania.
Pero vivimos en un universo intermedio, donde las cosas cambian, aunque de acuerdo a estructuras, a normas, o según nuestra terminología, a leyes de la naturaleza. Si lanzo un palo al aire, siempre cae hacia abajo. Si el Sol se pone por el oeste, siempre a la mañana siguiente sale por el este. Y así comienza a ser posible explicarse las cosas. Podemos hacer ciencia y por mediación de ella podemos perfeccionar nuestras vidas.

Izquierda: La constelación boreal llamada en Norteamérica el Gran Cucharón. En Francia le llaman la Cacerola. Centro, el mismo grupo de siete estrellas (unidas por líneas rojas) recibe en Inglaterra el nombre de El Arado. Derecha: en China imaginaron que era la constelación del Burócrata Celeste, sentado sobre una nube y acompañado en sus vueltas repetidas alrededor del polo norte del cielo por sus eternamente esperanzados solicitantes. (Dibujos animados y fotografiados por Judy Kreijanovsky, Cartoon Kitchen.)
El cielo nocturno es interesante. Contiene ciertas formas. Podemos imaginar casi involuntariamente que son figuras. En el cielo del Norte, por ejemplo, hay una figura o constelación que parece un oso pequeño. Algunas culturas lo llaman la Osa Mayor. Otras ven en ella imágenes bastante distintas.

Izquierda: Europa medieval llamaba a esas mismas estrellas la Carreta de Carlos o el Carro. Centro, los antiguos griegos y los pueblos nativos de América veían esas estrellas como la cola de la Osa mayor, Ursa major. Derecha: Los antiguos egipcios representaron en este grupo mayor de estrellas que incluye a la Osa mayor, una curiosa procesión formada por un toro, un hombre o dios horizontal, y un hipopótamo con un cocodrilo a cuestas. (Dibujos animados y fotografiados por Judy Kreijanovsky, Cartoon Kitchen.)
De vez en cuando nuestros antepasados venían una estrella muy brillante con una cola, vislumbrada sólo un momento, precipitándose a través del cielo. La llamaron estrella fugaz, pero el nombre no es adecuado: las estrellas de siempre continúan allí después del paso de las estrellas fugaces. En algunas estaciones hay muchas estrellas fugaces, mientras que en otras hay muy pocas. También aquí hay una especie de regularidad.
Las estrellas salen siempre por el este y se ocultan por el oeste, como el Sol y la Luna; y si pasan por encima de nosotros, tardan toda la noche en cruzar el cielo. Hay diferentes constelaciones en las diferentes estaciones. Por ejemplo, al comienzo del otoño aparecen siempre las mismas constelaciones. No sucede nunca que de pronto aparezca una nueva constelación por el este. Hay un orden, una predictibilidad, una permanencia en lo referente a las estrellas. Se comportan de un modo casi tranquilizador.
Algunas estrellas salen justo antes que el Sol, o se ponen justo después que él, y en momentos y posiciones que dependen de la estación. Si uno realiza detenidas observaciones de las estrellas y las registra durante muchos años, puede llegar a predecir las estaciones. También puede calcular la duración de un año anotando el punto del horizonte por donde sale el Sol cada día. En los cielos había un gran calendario a disposición de quien tuviera dedicación, habilidad y medios para registrar los datos.
Nuestros antepasados construyeron observatorios para medir el paso de las estaciones. En el Cañón del Chaco, en Nuevo México, hay un gran kiva ceremonial, o templo sin tejado, que data del siglo once. El 21 de junio, el día más largo del año [6], un rayo de luz solar entra al amanecer por una ventana y se mueve lentamente hasta que cubre un nicho especial.

Izquierda: Casa Bonita, una casa de apartamentos anasazi del siglo once, con ochocientas habitaciones. Derecha: Casa Rincañada, un templo anasazi con una alineación casi perfecta este-oeste.
Algunos supuestos observatorios para la fijación del calendario es posible que se deban al azar y que, por ejemplo, la ventana y el nicho presenten el día 21 de junio una alineación accidental. Pero hay otros observatorios maravillosamente distintos. En un lugar del suroeste norteamericano hay un conjunto de tres losas verticales que fueron cambiadas de su posición original hace aproximadamente unos 1 000 años. En la roca ha sido esculpida una espiral, parecida en cierto modo a una galaxia. El día 21 de junio, primer día de verano, un haz de luz solar que entra por una abertura entre las losas, bisecando la espiral; y el día 21 de diciembre, primer día de invierno, hay dos haces de luz solar que flanquean la espiral. Se trata de un sistema único para leer el calendario en el cielo utilizando el sol de mediodía.
¿Por qué los pueblos de todo el mundo hicieron tales esfuerzos para aprender astronomía? Cazábamos gacelas, antílopes y búfalos cuyas migraciones aumentaban o disminuían según las estaciones. Los frutos y las nueces podían recogerse en algunas temporadas, pero no en otras. Cuando inventamos la agricultura tuvimos que ir con cuidado para plantar y recolectar nuestras cosechas en la estación adecuada. Las reuniones anuales de tribus nómadas muy dispersas se fijaban para fechas concretas. La posibilidad de leer el calendario en los cielos era literalmente una cuestión de vida y muerte. Los pueblos de todo el mundo tomaban nota de la reaparición de la luna creciente después de la luna nueva, del regreso del Sol después de un eclipse total, de la salida del Sol al alba después de su fastidiosa ausencia nocturna: esos fenómenos sugerían a nuestros antepasados la posibilidad de sobrevivir a la muerte. En lo alto de los cielos había también una metáfora de la inmortalidad.
El viento azota los cañones del suroeste norteamericano, y no hay nadie para oírlo, aparte de nosotros: un recordatorio de las 40 000 generaciones de hombres y mujeres pensantes que nos precedieron, acerca de los cuales apenas sabemos nada, y sobre los cuales está basada nuestra civilización.

Interior de Casa Rincañada, en la que aparecen seis nichos superiores y dos inferiores.
Pero luego, mucho después, surgió otra idea bastante curiosa, una invasión de misticismo y de superstición en lo que había sido principalmente una ciencia empírica. El Sol y las estrellas controlaban las estaciones, los alimentos, el calor.
La Luna controlaba las mareas, los ciclos de vida de muchos animales, y quizás el período menstrual [7] humano, de central importancia para una especie apasionada, dedicada intensamente a tener hijos.
Había otro tipo de cuerpos en el cielo, las estrellas errantes o vagabundas llamadas planetas. Nuestros antepasados nómadas debieron sentir cierta afinidad por los planetas. Podían verse solamente cinco planetas, sin contar el Sol y la Luna, que se movían sobre el fondo de las estrellas más distantes. Si se sigue su aparente movimiento durante varios meses, se les ve salir de una constelación y entrar en otra, y en ocasiones incluso describen lentamente una especie de rizo en el cielo. Si todos los demás cuerpos del cielo ejercían un efecto real sobre la vida humana, ¿qué influencia tendrían los planetas sobre nosotros?
En la sociedad contemporánea occidental, es fácil comprar una revista de astrología, en un quiosco de periódicos por ejemplo; es mucho más difícil encontrar una de astronomía. Casi todos los periódicos norteamericanos publican una columna diaria sobre astrología, pero apenas hay alguno que publique un artículo sobre astronomía ni una vez a la semana. En los Estados Unidos hay diez veces más astrólogos que astrónomos. En las fiestas, a veces cuando me encuentro con personas que no saben que soy un científico, me preguntan: ¿Eres Géminis? (posibilidad de acertar: una entre doce). O: ¿De qué signo eres? Con mucha menos frecuencia me preguntan: ¿Estabas enterado de que el oro se crea en las explosiones de supernovas? O: ¿Cuándo crees que el Congreso aprobará el vehículo de exploración de Marte?
La astrología mantiene que la constelación en la cual se hallan los planetas al nacer una persona influye profundamente en el futuro de ella. Hace unos miles de años se desarrolló la idea de que los movimientos de los planetas determinaban el destino de los reyes, de las dinastías y de los imperios. Los astrólogos estudiaban los movimientos de los planetas y se preguntaban qué había ocurrido la última vez en que, por ejemplo, Venus amanecía en la constelación de Aries; quizás ahora volvería a suceder algo semejante. Era una empresa delicada y arriesgada. Los astrólogos llegaron a ser empleados exclusivamente por el Estado. En muchos países era un grave delito leer los presagios del cielo si uno no era el astrólogo oficial: una buena manera de hundir un régimen era predecir su caída. En China los astrólogos de la corte que realizaban predicciones inexactas eran ejecutados. Otros apañaban simplemente los datos para que estuvieran siempre en perfecta conformidad con los acontecimientos. La astrología se desarrolló como una extraña combinación de observaciones, de matemáticas y de datos cuidadosamente registrados, acompañados de pensamientos confusos y de mentiras piadosas.
Pero si los planetas podían determinar el destino de las naciones, ¿cómo podrían dejar de influir en lo que me pasará a mí mañana? La noción de una astrología personal se desarrolló en el Egipto alejandrino y se difundió por los mundos griego y romano hace aproximadamente 2 000 años.

Izquierda: la luz solar entra por la ventana e ilumina un nicho en Casa Rincañada, poco después de salir el sol en un 21 de junio. Derecha: un sorprendente indicador del solsticio anasazi del año 1000 aproximadamente. (Fotografía Bill Ray.)
Según Plinio, a algunos romanos se les consideraba sideratio, “afectados por los planetas”. Se convirtió en opinión generalizada que los planetas eran causa directa de la muerte. O consideremos el verbo considerar que significa estar con los planetas lo cual era evidentemente un requisito previo para la reflexión seria.

“Rueda de la medicina” de los saskat chewan, construida alrededor del año 600 a. de C.: el observatorio astronómico más antiguo de las Américas. Su diámetro es de unos 80 m. El mojón de la izquierda sirve para situar la salida del sol en el solsticio de verano. (Foto doctor John Eddy.)
Y la astrología personal está todavía entre nosotros: examinemos dos columnas de astrología publicadas en diferentes periódicos, en la misma ciudad y el mismo día. Por ejemplo podemos analizar el New York Post y el Daily News de Nueva York del 21 de septiembre de 1979. Supongamos que uno es Libra, es decir nacido entre el 23 de septiembre y el 22 de octubre.

Causas de los fallecimientos en Londres en 1632. Extraído de Graunt.

Izquierda: movimiento retrógrado descrito por el planeta Marte a lo largo de muchos meses entre las constelaciones del fondo, delineado en rojo. Derecha: movimiento aparente de muchos planetas durante muchos meses, entre las mismas constelaciones.
Con las banderas de los países del planeta Tierra sucede algo bastante curioso. La bandera de los Estados Unidos tiene cincuenta estrellas; la de la Unión Soviética una, igual que la de Israel; Birmania, catorce; Grenada y Venezuela, siete; China, cinco; Irak, tres; Saõ Tomé e Príncipe, dos; las banderas del Japón, Uruguay, Malawi, Bangladesh y Taiwán, llevan el Sol; Brasil, una esfera celeste; Australia, Samoa Occidental, Nueva Zelanda y Papúa Nueva Guinea llevan la constelación de la Cruz del Sur; Bhután, la perla del dragón, símbolo de la Tierra; Camboya, el observatorio astronómico de Angkor Vat; India, Corea del Sur y la República Popular de Mongolia, símbolos cosmológicos. Muchas naciones socialistas lucen estrellas. Muchos países islámicos lucen lunas crecientes. Prácticamente la mitad de nuestras banderas nacionales llevan símbolos astronómicos. El fenómeno es transcultural, no sectario, mundial. Y no está tampoco restringido a nuestra época; los sellos cilíndricos sumerios del tercer milenio a. de C. y las banderas taoístas en la China prerrevolucionaria lucían constelaciones. No me extraña que las naciones deseen retener algo del poder y de la credibilidad de los cielos. Perseguimos una conexión con el Cosmos. Queremos incluimos en la gran escala de las cosas. Y resulta que estamos realmente conectados: no en el aspecto personal, del modo poco imaginativo y a escala reducida que pretenden los astrólogos, sino con lazos más profundos que implican el origen de la materia, la habitabilidad de la Tierra, la evolución y el destino de la especie humana, temas a los que volveremos.
La astrología popular moderna proviene directamente de Claudio Tolomeo, que no tiene ninguna relación con los reyes del mismo nombre. Trabajó en la Biblioteca de Alejandría en el siglo segundo. Todas esas cuestiones arcanas sobre los planetas ascendentes en tal o cual casa lunar o solar o sobre la Era de Acuario proceden de Tolomeo, que codificó la tradición astrológica babilónico. He aquí un horóscopo típico de la época de Tolomeo, escrito en griego sobre papiro, para una niña pequeña nacida el año 150: Nacimiento de Filoe, año décimo de Antonio César, 15 a 16 de Famenot, primera hora de la noche. El Sol en Piscis, Júpiter y Mercurio en Aries, Saturno en Cáncer, Marte en Leo, Venus y la Luna en Acuario, horóscopo, Capricornio. La manera de enumerar los meses y los años ha cambiado mucho más a lo largo de los siglos que las sutilezas astrológicas. Un típico pasaje de la obra astrológica de Tolomeo, el Tetrabiblos, dice: Cuando Saturno está en Oriente da a sus individuos un aspecto moreno de piel, robusto, de cabello oscuro y rizado, barbudo, con ojos de tamaño moderado, de estatura media, y en el temperamento los dota de un exceso de húmedo y de frío. Tolomeo creía no sólo que las formas de comportamiento estaban influidas por los planetas y las estrellas, sino también que la estatura, la complexión, el carácter nacional e incluso las anormalidades físicas congénitas estaban determinadas por las estrellas. En este punto parece que los astrólogos modernos han adoptado una postura más cautelosa.
Pero los astrólogos modernos se han olvidado de la precesión de los equinoccios, que Tolomeo conocía. Ignoran la refracción atmosférica sobre la cual Tolomeo escribió. Apenas prestan atención a todas las lunas y planetas, asteroides y cometas, quasares y pulsares, galaxias en explosión, estrellas simbióticas, variables cataclismáticas y fuentes de rayos X que se han descubierto desde la época de Tolomeo. La astronomía es una ciencia: el estudio del universo como tal. La astrología es una seudo ciencia: una pretensión, a falta de pruebas contundentes, de que los demás planetas influyen en nuestras vidas cotidianas. En tiempos de Tolomeo la distinción entre astronomía y astrología no era clara. Hoy sí lo es.
Tolomeo, en su calidad de astrónomo, puso nombre a las estrellas, catalogó su brillo, dio buenas razones para creer que la Tierra es una esfera, estableció normas para predecir eclipses, y quizás lo más importante, intentó comprender por qué los planetas presentan ese extraño movimiento errante contra el fondo de las constelaciones lejanas. Desarrolló un modelo de predicción para entender los movimientos planetarios y de codificar el mensaje de los cielos. El estudio de los cielos sumía a Tolomeo en una especie de éxtasis. Soy mortal escribió y sé que nací para un día. Pero cuando sigo a mi capricho la apretada multitud de las estrellas en su curso circular, mis pies ya no tocan la Tierra...
Tolomeo creía que la Tierra era el centro del Universo; que el Sol, la Luna, las estrellas y los planetas giraban alrededor de la Tierra. Ésta es la idea más natural del mundo. La Tierra parece fija, sólida, inmóvil, en cambio nosotros podemos ver cómo los cuerpos celestes salen y se ponen cada día. Toda cultura ha pasado por la hipótesis geocéntrica. Como escribió Johannes Kepler, es por lo tanto imposible que la razón, sin una instrucción previa, pueda dejar de imaginar que la Tierra es una especie de casa inmensa con la bóveda del cielo situada sobre ella; una casa inmóvil dentro de la cual el Sol, que es tan pequeño, pasa de una región a otra como un pájaro errante a través del aire. Pero, ¿cómo explicar el movimiento aparente de los planetas, por ejemplo el de Marte, que era conocido miles de años antes de la época de Tolomeo? (Uno de los epítetos que los antiguos egipcios dieron a Marte, sekded ef em khetkhet, significa que viaja hacia atrás, y es una clara referencia a su aparente movimiento retrógrado o rizado.)
El modelo de movimientos planetarios de Tolomeo puede representarse con una pequeña máquina, como las que existían en tiempos de Tolomeo para un propósito similar[9].

Izquierda: Nicolás Copérnico. (Pintura de Jean-Leon Huens, © National Geographic Society.) Derecha: Johannes Kepler. El retrato de Tycho Brahe cuelga de la pared. (Pintura de Jean-Leon Huens, © National Geographic Society.)
Se supuso que los planetas giraban alrededor de la Tierra unidos a esferas perfectas y transparentes. Pero no estaban sujetos directamente a las esferas sino indirectamente, a través de una especie de rueda excéntrica. La esfera gira, la pequeña rueda entra en rotación, y Marte, visto desde la Tierra, va rizando su rizo. Este modelo permitió predecir de modo razonablemente exacto el movimiento planetario, con una exactitud suficiente para la precisión de las mediciones disponibles en la época de Tolomeo, e incluso muchos siglos después.
Las esferas etéreas de Tolomeo, que los astrónomos medievales imaginaban de cristal, nos permiten hablar todavía hoy de la música de las esferas y de un séptimo cielo (había un cielo o esfera para la Luna, Mercurio, Venus, el Sol, Marte, Júpiter y Saturno, y otro más para las estrellas).

Izquierda: página del calendario correspondiente a noviembre, donde aparece Sagitario, el Arquero. De un manuscrito astrológico alemán, hacia 1450. Derecha: discusión medieval sobre las longitudes relativas del día y de la noche
El modelo permitía explicar el movimiento aparente de los planetas por lo menos tan bien como las esferas de Tolomeo. Pero molestó a mucha gente.

Izquierda: el universo geocéntrico, precopernicano en la Europa cristiana. En el centro, la Tierra está dividida en Cielo (color canela) e Infierno (marrón). Los elementos agua (verde), aire (azul), y fuego (rojo) rodean la Tierra. Moviéndose concéntricamente en el exterior están las esferas que contienen los siete planetas, la Luna y el Sol, así como las “Doce Órdenes de los Espíritus Benditos”, los Querubines y los Serafines. Manuscrito alemán hacia 1450. Derecha: los signos del zodíaco con el Sol y la Luna en el centro. Los colores significan los cuatro “elementos”: tierra (marrón), aire (azul), agua (verde) y fuego (rojo). Manuscrito astrológico alemán, hacia 1450
Pero la Sagrada Escritura nos dice que Josué ordenó pararse al Sol, y no a la Tierra . Incluso algunos de los admiradores de Copérnico dijeron que él no había creído realmente en un universo centrado en el Sol, sino que se había limitado a proponerlo como un artificio para calcular los movimientos de los planetas.
El enfrentamiento histórico entre las dos concepciones del Cosmos centrado en la Tierra o centrado en el Sol alcanzó su punto culminante en los siglos dieciséis y diecisiete en la persona de un hombre que, como Tolomeo, era astrólogo y astrónomo a la vez.

Calculadoras de papel con cuatro discos movibles para predecir eclipses solares y lunares. Del Asironomicum Caesarium de Petrus Apianus, 1540.

Izquierda: Una calculadora de papel para determinar cuándo la Luna alcanza uno de sus aspectos con respecto a un planeta. Una perla unida a un hilo servía de indicador. Del stronomicum Caesarium. Derecha: Una “página planetaria” dedicada a Mercurio, que aparece dibujado en el símbolo circular azul oscuro. Le rodean varias constelaciones (Casiopea sentada debajo mismo, Orión a su izquierda degollando a un animal), y en el suelo hay las diversas actividades humanas regidas, según los astrólogos, por los planetas. Manuscrito astrológico alemán, hacia 1450.
Pero Dios se convirtió para él en algo más que una cólera divina deseosa de propiciación. El Dios de Kepler fue el poder creativo del Cosmos. La curiosidad del niño conquistó su propio temor. Quiso conocer la escatología del mundo; se atrevió a contemplar la mente de Dios. Estas visiones peligrosas, al principio, tan insustanciales como un recuerdo, llegaron a ser la obsesión de toda una vida. Las apetencias cargadas de hybris de un niño seminarista iban a sacar a Europa del enclaustramiento propio del pensamiento medieval.
Las ciencias de la antigüedad clásica habían sido silenciadas hacía más de mil años, pero en la baja Edad Media algunos ecos débiles de esas voces, conservados por los estudiosos árabes, empezaron a insinuarse en los planes educativos europeos.

Izquierda: en el sistema geocéntrico de Tolomeo, la esfera pequeña llamada epiciclo y que contiene al planeta gira unida a una esfera mayor, también en rotación, produciéndose un movimiento retrógrado aparente sobre el fondo de las estrellas. Derecha: en el sistema de Copérnico, la Tierra y otros planetas se mueven en órbitas circulares alrededor del Sol. Al adelantar la Tierra a Marte, éste presenta un movimiento retrógrado aparente sobre el fondo de las estrellas distantes.
En 1589, Kepler dejó Maulbronn para seguir los estudios de sacerdote en la gran Universidad de Tübingen, y este paso fue para él una liberación. Confrontado a las corrientes intelectuales más vitales de su tiempo, su genio fue inmediatamente reconocido por sus profesores, uno de los cuales introdujo al joven estudiante en los peligrosos misterios de la hipótesis de Copérnico.
Un universo heliocéntrico hizo vibrar la cuerda religiosa de Kepler, y se abrazó a ella con fervor. El Sol era una metáfora de Dios, alrededor de la cual giraba todo lo demás. Antes de ser ordenado se le hizo una atractiva oferta para un empleo secular que acabó aceptando, quizás porque sabía que sus aptitudes para la carrera eclesiástica no eran excesivas. Le destinaron a Graz, en Austria, para enseñar matemáticas en la escuela secundaria, y poco después empezó a preparar almanaques astronómicos y meteorológicos y a confeccionar horóscopos. Dios proporciona a cada animal sus medios de sustento escribió, y al astrónomo le ha proporcionado la astrología.
Kepler fue un brillante pensador y un lúcido escritor, pero fue un desastre como profesor. Refunfuñaba. Se perdía en digresiones. A veces era totalmente incomprensible. Su primer año en Graz atrajo a un puñado escaso de alumnos; al año siguiente no había ninguno. Le distraía de aquel trabajo un incesante clamor interior de asociaciones y de especulaciones que rivalizaban por captar su atención. Y una tarde de verano, sumido en los intersticios de una de sus interminables clases, le visitó una revelación que iba a alterar radicalmente el futuro de la astronomía. Quizás dejó una frase a la mitad, y yo sospecho que sus alumnos, poco atentos, deseosos de acabar el día apenas se dieron cuenta de aquel momento histórico.
En la época de Kepler sólo se conocían seis planetas: Mercurio, Venus, la Tierra, Marte, Júpiter y Saturno. Kepler se preguntaba por qué eran sólo seis. ¿Por qué no eran veinte o cien? ¿Por qué sus órbitas presentaban el espaciamiento que Copérnico había deducido? Nunca hasta entonces se había preguntado nadie cuestiones de este tipo. Se conocía la existencia de cinco sólidos regulares o platónicos, cuyos lados eran polígonos regulares, tal como los conocían los antiguos matemáticos griegos posteriores a Pitágoras. Kepler pensó que los dos números estaban conectados, que la razón de que hubiera sólo seis planetas era porque había sólo cinco sólidos regulares, y que esos sólidos, inscritos o anidados uno dentro de otro, determinarían las distancias del Sol a los planetas. Creyó haber reconocido en esas formas perfectas las estructuras invisibles que sostenían las esferas de los seis planetas. Llamó a su revelación El Misterio Cósmico. La conexión entre los sólidos de Pitágoras y la disposición de los planetas sólo permitía una explicación: la Mano de Dios, el Geómetra.
Kepler estaba asombrado de que él, que se creía inmerso en el pecado, hubiera sido elegido por orden divina para realizar ese descubrimiento. Presentó una propuesta para que el duque de Württemberg le diera una ayuda a la investigación, ofreciéndose para supervisar la construcción de sus sólidos anidados en un modelo tridimensional que permitiera vislumbrar a otros la grandeza de la sagrada geometría. Añadió que podía fabricarse de plata y de piedras preciosas y que serviría también de cáliz ducal. La propuesta fue rechazada con el amable consejo de que antes construyera un ejemplar menos caro, de papel, a lo cual puso en seguida manos a la obra: El placer intenso que he experimentado con este descubrimiento no puede expresarse con palabras... No prescindí de ningún cálculo por difícil que fuera. Dediqué días y noches a los trabajos matemáticos hasta comprobar que mi hipótesis coincidía con las órbitas de Copérnico o hasta que mi alegría se desvaneciera en el aire. Pero a pesar de todos sus esfuerzos, los sólidos y las órbitas planetarias no encajaban bien. Sin embargo, la elegancia y la grandiosidad de la teoría le persuadieron de que las observaciones debían de ser erróneas, conclusión a la que han llegado muchos otros teóricos en la historia de la ciencia cuando las observaciones se han mostrado recalcitrantes. Había entonces un solo hombre en el mundo que tenía acceso a observaciones más exactas de las posiciones planetarias aparentes, un noble danés que se había exiliado y había aceptado el empleo de matemático imperial de la corte del sacro emperador romano, Rodolfo II. Ese hombre era Tycho Brahe. Casualmente y por sugerencia de Rodolfo, acababa de invitar a Kepler, cuya fama matemática estaba creciendo, a que se reuniera con él en Praga.
Kepler, un maestro de escuela provinciano, de orígenes humildes, desconocido de todos excepto de unos pocos matemáticos, sintió desconfianza ante el ofrecimiento de Tycho Brahe. Pero otros tomaron la decisión por él. En 1598 lo arrastró uno de los muchos temblores premonitorios de la venidera guerra de los Treinta Años. El archiduque católico local, inamovible en sus creencias dogmáticas, juró que prefería “ convertir el país en un desierto que gobernar sobre herejes[11]”.
Los protestantes fueron excluidos del poder político y económico, la escuela de Kepler clausurada, y prohibidas las oraciones, libros e himnos considerados heréticos. Después, se sometió a los ciudadanos a exámenes individuales sobre la firmeza de sus convicciones religiosas privadas: quienes se negaban a profesar la fe católica y romana eran multados con un diezmo de sus ingresos, y condenados, bajo pena de muerte, al exilio perpetuo de Graz. Kepler eligió el exilio: Nunca aprendí a ser hipócrita. La fe es para mí algo serio. No juego con ella. Al dejar Graz, Kepler, su mujer y su hijastro emprendieron el duro camino de Praga. Su matrimonio no era feliz. Su mujer, crónicamente enferma y que acababa de perder a dos niños pequeños, fue calificada de estúpida, malhumorada, solitaria, melancólica. No había entendido nada del trabajo de su marido; provenía de la pequeña nobleza rural y despreciaba la profesión indigente de él. Por su parte él la sermoneaba y la ignoraba alternativamente; mis estudios me hicieron a veces desconsiderado, pero aprendí la lección, aprendí a tener paciencia con ella. Cuando veía que se tomaba mis palabras a pecho, prefería morderme el propio dedo a continuar ofendiéndola . Pero Kepler seguía preocupado con su trabajo.

Los cinco sólidos perfectos de Pitágoras y Platón. Ver apéndice 2.

El Misterio Cósmico de Kepler: Las esferas de los seis planetas anidados en los cinco sólidos perfectos de Pitágoras y Platón. El sólido perfecto más exterior es el cubo. (Dibujos: Brown)
Empecé a pensar inmediatamente en posibles adiciones al número de los planetas que no trastornaran mi Mysterium Cosmographicum, según el cual los cinco sólidos regulares de Euclides no permiten más de seis planetas alrededor del Sol... Desconfío tan poco de la existencia de los cuatro planetas circumjovianos, que suspiro por tener un telescopio, para anticiparme a vos, si es posible, y descubrir dos más alrededor de Marte, como la proporción parece exigir, seis u ocho alrededor de Saturno y quizás uno alrededor de Mercurio y también de Venus.Marte tiene dos pequeñas lunas y el mayor accidente geológico de la mayor de ellas se llama hoy en día Sierra de Kepler, en honor de su descubridor. Pero se equivocó totalmente con respecto a Saturno, Mercurio y Venus; y Júpiter tiene muchas más lunas de las que Galileo descubrió. Todavía ignoramos por qué hay sólo unos nueve planetas, y por qué sus distancias relativas al Sol son como son. (Ver capítulo 8.)
Tycho realizó sus observaciones del movimiento aparente entre las constelaciones de Marte y de otros planetas a lo largo de muchos años. Estos datos, de las últimas décadas anteriores a la invención del telescopio, fueron los más exactos obtenidos hasta entonces. Kepler trabajó con una intensidad apasionada para comprenderlos: ¿Qué movimiento real descrito por la Tierra y por Marte alrededor del Sol podía explicar, dentro de la precisión de las medidas, el movimiento aparente de Marte en el cielo, incluyendo los rizos retrógrados que describe sobre el fondo de las constelaciones? Tycho había recomendado a Kepler que estudiara Marte porque su movimiento aparente parecía el más anómalo, el más difícil de conciliar con una órbita formada por círculos. (Kepler escribió posteriormente por si el lector se aburría con sus múltiples cálculos: Si te cansa este procedimiento tedioso, compadécete de mí que hice por lo menos setenta intentos.)
Pitágoras, en el siglo VI a. de C., Platón, Tolomeo y todos los astrónomos cristianos anteriores a Kepler, daban por sentado que los planetas se movían siguiendo caminos circulares. El círculo se consideraba una forma geométrica perfecta, y también los planetas colocados en lo alto de los cielos, lejos de la corrupción terrenal, se consideraban perfectos en un sentido místico. Galileo, Tycho y Copérnico creían igualmente en un movimiento circular y uniforme de los planetas, y el último de ellos afirmaba que la mente se estremece sólo de pensar en otra cosa, porque sería indigno imaginar algo así en una Creación organizada de la mejor manera posible. Así pues, Kepler intentó al principio explicar las observaciones suponiendo que la Tierra y Marte se movían en órbitas circulares alrededor del Sol.
Después de tres años de cálculos creyó haber encontrado los valores correctos de una órbita circular marciana, que coincidía con diez de las observaciones de Tycho con un error de dos minutos de arco. Ahora bien, hay 60 minutos de arco en un grado angular, y 90 grados en un ángulo recto desde el horizonte al cenit. Por lo tanto, unos cuantos minutos de arco constituyen una cantidad muy pequeña para medir, sobre todo sin un telescopio. Es una quinceava parte del diámetro angular de la luna llena vista desde la Tierra. Pero el éxtasis inminente de Kepler pronto se convirtió en tristeza, porque dos de las observaciones adicionales de Tycho eran incompatibles con la órbita de Kepler con una diferencia de ocho minutos de arco:
La Divina Providencia nos ha concedido un observador tan diligente en la persona de Tycho Brahe que sus observaciones condenan este... cálculo a un error de ocho minutos; es cosa buena que aceptemos el regalo de Dios con ánimo agradecido... Si yo hubiera creído que podíamos ignorar esos ocho minutos hubiera apañado mi hipótesis de modo correspondiente.Pero esos ocho minutos, al no estar permitido ignorarlos, señalaron el camino hacia una completa reforma de la astronomía.
La diferencia entre una órbita circular y la órbita real solamente podía distinguirse con mediciones precisas y con una valerosa aceptación de los hechos: El universo lleva impreso el ornamento de sus proporciones armónicas, pero hay que acomodar las armonías a la experiencia. Kepler quedó muy afectado al verse en la necesidad de abandonar una órbita circular y de poner en duda su fe en el Divino Geómetra. Una vez expulsados del establo de la astronomía los círculos y las espirales, sólo le quedó, como dijo él, una carretada de estiércol, un círculo alargado, algo así como un óvalo.
Kepler comprendió al final que su fascinación por el círculo había sido un engaño. La Tierra era un planeta, como Copérnico había dicho, y para Kepler era del todo evidente que la perfección de una Tierra arrasada por las guerras, las pestes, el hambre y la infelicidad, dejaba mucho que desear. Kepler fue una de las primeras personas desde la antigüedad en proponer que los planetas son objetos materiales compuestos, como la Tierra, de sustancia imperfecta. Y si los planetas eran imperfectos, ¿por qué no había de serio también sus órbitas? Probó con varias curvas ovaladas, las calculó y las desechó, cometió algunos errores aritméticos (que al principio le llevaron a rechazar la solución correcta), pero meses después y ya un tanto desesperado probó la fórmula de una elipse, codificada por primera vez en la Biblioteca de Alejandría por Apolonio de Pérgamo. Descubrió que encajaba maravillosamente con las observaciones de Tycho:
la verdad de la naturaleza, que yo había rechazado y echado de casa, volvió sigilosamente por la puerta trasera, y se presentó disfrazada para que yo la aceptara... Ah, ¡qué pájaro más necio he sido!
Kepler había descubierto que Marte giraba alrededor del Sol siguiendo no un círculo sino una elipse. Los otros planetas tienen órbitas mucho menos elípticas que Marte, y si Tycho le hubiera aconsejado estudiar el movimiento, por ejemplo de Venus, Kepler nunca hubiera descubierto las órbitas verdaderas de los planetas. En este tipo de órbitas el Sol no está en el centro, sino desplazado, en un foco de la elipse. Cuando un planeta cualquiera está en su punto más próximo al Sol, se acelera. Cuando está en el punto más lejano, va más lento. Es éste el movimiento que nos permite decir que los planetas están siempre cayendo hacia el Sol sin alcanzarlo nunca. La primera ley del movimiento planetario de Kepler es simplemente ésta: Un planeta se mueve en una elipse, con el Sol en uno de sus focos.
En un movimiento circular uniforme, un cuerpo recorre en tiempos iguales un ángulo igual o una fracción igual del arco de un círculo. Así, por ejemplo, se precisa el doble de tiempo para recorrer dos tercios de una circunferencia que para recorrer sólo un tercio de ella. Kepler descubrió que en una órbita elíptica las cosas son distintas.

Izquierda: Primera ley de Kepler: Un planeta (P) se mueve siguiendo una elipse con el Sol (S) en uno de los dos focos. Derecha: Segunda ley de Kepler: Un planeta barre áreas iguales en tiempos iguales. El tiempo necesario para ir de B a A es igual que para ir de F a E y de D a C; y las áreas sombreadas BSA, FSE y DSC son todas iguales.
Años después, Kepler descubrió su tercera y última ley del movimiento planetario, una ley que relaciona entre sí el movimiento de varios planetas, que da el engranaje correcto del aparato de relojería del sistema solar. La describió en un libro llamado Las armonías del Mundo. La palabra armonía tenía para Kepler muchos significados: el orden y la belleza del movimiento planetario, la existencia de leyes matemáticas explicativas de ese movimiento una idea que proviene de Pitágoras e incluso la armonía en sentido musical, la armonía de las esferas.

Tercera ley de Kepler, o ley armónica, que relaciona de modo preciso el tamaño de la órbita de un planeta y el periodo necesario para dar una vuelta alrededor del Sol. Es válida como se ve para Urano, Neptuno y Plutón, planetas descubiertos mucho tiempo después de la muerte de Kepler.
La tercera ley de Kepler, o ley armónica, afirma que los cuadrados de los períodos de los planetas (los tiempos necesarios para completar una órbita) son proporcionales a los cubos de sus distancias medias al Sol : cuanto más distante está el planeta, más lento es su movimiento, pero de acuerdo con una ley matemática precisa:
p2 = a3
donde P representa el período de rotación alrededor del Sol medido en años, y a la distancia del planeta al Sol, medida en unidades astronómicas. Una unidad astronómica es la distancia de la Tierra al Sol. Júpiter, por ejemplo, está a cinco unidades astronómicas del Sol, ya3 = 5 x 5 x 5 = 125.
¿Cuál es el número que multiplicado por sí mismo da 125? El 11, desde luego, con bastante aproximación. Y 11 años es el período de tiempo que Júpiter necesita para dar una vuelta alrededor del Sol. Un argumento similar es válido para cada planeta, asteroide y cometa.Kepler, no satisfecho con haber extraído de la naturaleza las leyes del movimiento planetario, se empeñó en encontrar alguna causa subyacente aún más fundamental, alguna influencia del Sol sobre la cinemática de los mundos. Los planetas se aceleraban al acercarse al Sol y reducían su velocidad al alejarse de él. Los planetas lejanos sentían de algún modo la presencia del Sol. El magnetismo era también una influencia percibido a distancia, y Kepler, en una sorprendente anticipación de la idea de la gravitación universal, sugirió que la causa subyacente estaba relacionada con el magnetismo:
Mi intención en esto es demostrar que la máquina celestial puede compararse no a un organismo divino sino más bien a un engranaje de relojería... Puesto que casi todos los múltiples movimientos son ejecutados por medio de una única fuerza magnética muy simple, como en el caso de un reloj en el cual todos los movimientos son producidos por un simple peso.El magnetismo no es, por supuesto, lo mismo que la gravedad, pero la innovación fundamental de Kepler es en este caso realmente impresionante: Kepler proponía que las leyes físicas cuantitativas válidas en la Tierra sostienen también las leyes físicas cuantitativas que gobiernan los cielos. Fue la primera explicación no mística del movimiento de los cielos; explicación que convertía a la Tierra en una provincia del Cosmos. La astronomía dijo, forma parte de la física. Kepler se yergue en una cúspide de la historia; el último astrólogo científico fue el primer astrofísico.
Kepler, que no era propenso a rebajar el tono de sus afirmaciones valoró sus descubrimientos con estas palabras:
Con esta sinfonía de voces el hombre puede tocar la eternidad del tiempo en menos de una hora, y puede saborear en una pequeña medida el deleite de Dios, Artista Supremo... Me abandono libremente al frenesí sagrado... porque la suerte está echada y estoy escribiendo el libro; un libro que será leído ahora o en la posteridad, no importa. Puede esperar un siglo para encontrar un lector, al igual que Dios mismo esperó 6 000 años para tener un testigo.Kepler creía que dentro de esta sinfonía de voces, la velocidad de cada planeta corresponde a ciertas notas de la escala musical latina popular en su época: do, re, mi, fa, sol, la, si, do.
En la armonía de las esferas, los tonos de la Tierra son, según él, fa y mi, y la Tierra está siempre canturreando fa y mi, notas que corresponden directamente a la palabra latina hambre. Decía, no sin razón, que esa única y lúgubre palabra era la mejor descripción de la Tierra.
Justamente ocho días después de que Kepler descubriese su tercera ley, se divulgó en Praga el incidente que desencadenó la guerra de los Treinta Años. Las convulsiones de la guerra afectaron a la vida de millones de seres, la de Kepler entre ellas. Perdió a su mujer y a su hijo en una epidemia que llegó con la soldadesca, su regio patrón fue depuesto y él mismo excomulgado por la Iglesia luterana a causa de su individualismo intransigente en materias doctrinales. De nuevo Kepler se convirtió en un refugiado. El conflicto, calificado de santo por católicos y protestantes, fue más bien una explotación del fanatismo religioso por gente hambrienta de poder y de tierras. Antes, las guerras acostumbraban a resolverse cuando los príncipes beligerantes agotaban sus recursos. Pero ahora se recurrió al pillaje organizado como un medio para mantener en pie de guerra a los combatientes. La devastada población europea estaba inerme mientras las rejas de los arados y los ganchos de poda eran requisados y convertidos literalmente en lanzas y espadas [13].
Oleadas de rumores y de paranoia inundaban el campo, afectando particularmente a los indefensos. Entre las muchas víctimas propiciatorias elegidas se contaban mujeres ancianas que vivían solas y a las que se acusaba de practicar la brujería: se llevaron así a media noche a la madre de Kepler, metida en una cesta de la colada. En la pequeña ciudad de Weil der Stadt, entre 1615 y 1629, un promedio de tres mujeres cada año, eran torturadas y ajusticiadas por brujas. Y Catalina Kepler era una vieja cascarrabias cuyas disputas molestaban a la nobleza local, y que además vendía drogas soporíferas y quizás también alucinógenos, como las actuales curanderas mexicanas. El pobre Kepler creyó que él mismo había contribuido a su detención.
Lo creyó, porque Kepler había escrito uno de los primeros libros de ciencia ficción, con el fin de explicar y popularizar la ciencia. Se llamaba Somnium, El sueño. Imaginó un viaje a la Luna y a los viajeros del espacio situados luego en la superficie lunar observando el encantador planeta Tierra que giraba lentamente en el cielo sobre ellos. Un cambio de perspectiva permite imaginar el funcionamiento de los mundos. En la época de Kepler una de las objeciones básicas a la idea de que la Tierra giraba era que la gente no siente este movimiento. En el Somnium, Kepler intentaba mostrar la rotación de la Tierra como algo verosímil, espectacular, comprensible:
Mi deseo, mientras la multitud no yerre, es estar de parte de la mayoría. Me esfuerzo, por tanto, en explicar las cosas al mayor número posible de personas. (En otra ocasión escribió en una carta:No me condenéis completamente a la rutina del cálculo matemático; dejadme tiempo para las especulaciones filosóficas, mi verdadero placer) [14]
Con la invención del telescopio se estaba haciendo posible aquello que Kepler llamó geografía lunar. En el Somnium describía la Luna llena de montañas, y de valles, y tan porosa como si la hubieran excavado totalmente con cavidades y cavernas continuas, una referencia a los cráteres lunares que Galileo había descubierto recientemente con el primer telescopio astronómico. También imaginó que la Luna tenía habitantes, bien adaptados a las inclemencias del ámbito local. Describe a la Tierra vista desde la superficie lunar, girando lentamente, e imagina que los continentes y océanos de nuestro planeta provocan alguna asociación de imágenes como la cara de la Luna. Describe la zona donde el sur de España y el norte de África entran casi en contacto por el estrecho de Gibraltar como una joven con el vestido suelto a punto de besar a su amante; aunque a mí me recuerda más a dos narices rozándose.
Kepler habla de la gran intemperancia del clima en la Luna y las violentas alternaciones de calores y fríos extremos, debidas a la longitud del día y de la noche lunar, lo cual es totalmente correcto. Por supuesto, no acertó en todo. Creía, por ejemplo, que la Luna tenía una atmósfera importante, océanos y habitantes. Más curiosa es su opinión sobre el origen de los cráteres lunares, que dan a la Luna un aspecto, dice, no muy diferente al de la cara de un chico desfigurado por la viruela. Afirmó correctamente que los cráteres son depresiones y no montículos. En sus propias observaciones notó la existencia de las murallas que circundan muchos cráteres y de picos centrales. Pero pensó que su forma circular tan regular suponía un nivel tal de perfección que sólo podía explicarlo la presencia de vidas inteligentes. No imaginó que la caída de grandes rocas desde el cielo produciría una explosión local, perfectamente simétrica en todas las direcciones, que excavaría una cavidad circular: éste es el origen de la mayoría de los cráteres de la Luna y de otros planetas terrestres. En lugar de esto dedujo la existencia de alguna raza racional capaz de construir esas cavidades en la superficie de la Luna. Esta raza debe contar con muchos individuos, para que un grupo pueda hacer uso de una cavidad mientras otro grupo está construyendo otra. Kepler respondió a la objeción de que eran improbables proyectos constructivos tan monumentales, aduciendo como contraejemplos las Pirámides de Egipto y la Gran Muralla china, que, de hecho, puede verse hoy en día desde una órbita terrestre. La idea de que el orden geométrico revela una inteligencia subyacente fue una idea central en la vida de Kepler. Su argumento sobre los cráteres lunares anticipa claramente la controversia sobre los canales de Marte (capítulo 5). Es notable que la búsqueda observacional de vida extraterrestre empezara en la misma generación que inventó el telescopio, y con el teórico más grande de la época.
Hay fragmentos del Somnium claramente autobiográficos. El protagonista, por ejemplo, visita a Tycho Brahe. Sus padres venden drogas. Su madre se comunica con espíritus y demonios, uno de los cuales por cierto le consigue los medios para viajar a la Luna. El Somnium nos explica, aunque no todos los contemporáneos de Kepler lo entendieran, que en un sueño hay que permitir la libertad de imaginar a veces lo que nunca existió en el mundo de la percepción de los sentidos. La ciencia ficción era una idea nueva para la época de la guerra de los Treinta Años y el libro de Kepler sirvió como prueba de que su madre era una bruja.

La Luna desde la Tierra: La perspectiva desde el límite exterior de la atmósfera.
Los desastres de la guerra privaron a Kepler de sus principales apoyos financieros, y pasó el final de sus días a rachas pidiendo dinero y buscando protectores. Confeccionó horóscopos para el duque de Wallenstein, como lo había hecho para Rodolfo II, y pasó sus últimos años en una ciudad de Silesia controlada por Wallenstein y llamada Sagan. Su epitafio, que él mismo compuso, reza: Medí los cielos y ahora mido las sombras. Mi mente tenía por límite los cielos, mi cuerpo descansa encerrado en la Tierra.

La Tierra desde la Luna: El panorama que Kepler soñó.
Johannes Kepler confiaba en que un día existirían naves celestes con velas adaptadas a los vientos del cielo, navegando por el firmamento llenas de exploradores que no temerían a la inmensidad del espacio. Hoy en día esos exploradores, hombres y robots, utilizan en sus viajes a través de la inmensidad del espacio, como guías infalibles, las tres leyes del movimiento planetario que Kepler aportó durante toda una vida de descubrimientos estáticos y de trabajo personal.
El esfuerzo de Johannes Kepler, proseguido durante toda una vida, para comprender los movimientos de los planetas, por buscar una armonía en los cielos, culminó treinta y seis años después de su muerte, en la obra de Isaac Newton. Newton nació el día de Navidad de 1642, tan pequeño que, como su madre le dijo después, hubiera cabido en una jarra de cuarto. Isaac Newton, dominado por el miedo de que sus padres le abandonasen, fue quizás el mayor genio científico que haya existido. Incluso de joven, Newton se preocupaba por cuestiones de tan poca monta como saber por ejemplo si la luz era una sustancia o un accidente, o conocer el mecanismo que permitía a la gravedad actuar, a pesar de un vacío intermedio. Pronto decidió que la convencional creencia cristiana en la Trinidad era una lectura errada de la Escritura. Según su biógrafo, John Maynard Keynes,... Era más bien un judío monoteísta de la escuela de Maimónides. Llegó a su conclusión no por motivos racionales o escépticos sino basándose totalmente en la interpretación de autoridades antiguas: Estaba persuadido de que los documentos revelados no apoyaban las doctrinas trinitarias, las cuales se debían a la falsificación posterior. El Dios revelado era un único Dios. Pero esto era un terrible secreto que Newton ocultó con gran sacrificio toda su vida.
Al igual que Kepler, no fue inmune a las supersticiones de su época y tuvo muchos contactos con el misticismo. De hecho, gran parte del desarrollo intelectual de Newton se puede atribuir a esta tensión entre racionalismo y misticismo. En la feria de Stourbridge, en 1663, a los veinte años, adquirió un libro de astrología, sólo por la curiosidad de ver qué contenía. Lo leyó hasta llegar a una ilustración que no pudo entender, porque desconocía la trigonometría. Compró entonces un libro de trigonometría pero pronto vio que no podía seguir los argumentos geométricos. Encontró pues un ejemplar de los Elementos de Geometría de Euclides y empezó a leerlo. Dos años después inventaba el cálculo diferencial.
De estudiante, Newton estuvo fascinado por la luz y obsesionado por el Sol. Se dedicó al peligroso experimento de mirar fijamente la imagen del Sol en un espejo:
En pocas horas había dejado mis ojos en tal estado que no podía mirar con ningún ojo ningún objeto brillante sin ver el Sol delante de mí, de modo que no me atreví a leer ni a escribir, sino que a fin de recuperar el uso de mis ojos me encerré en mi habitación después de oscurecerla, tres días seguidos, y utilicé todos los medios para distraer mi imaginación. Porque si pensaba en él al momento veía su imagen aunque estuviera a oscuras.En 1666, a la edad de veintitrés años, Newton estaba estudiando en la Universidad de Cambridge, cuando un brote epidémico le obligó a pasarse un año en cama en el pueblecito aislado de Woolsthorpe, en donde había nacido. Allí se dedicó a inventar el cálculo diferencial e integral, a realizar descubrimientos fundamentales sobre la naturaleza de la luz y a establecer las bases para la teoría de la gravitación universal. El único año parecido a éste en la historia de la física fue el año milagroso de Einstein en 1905. Cuando le preguntaban cómo había llevado a cabo sus sorprendentes descubrimientos, Newton contestaba enigmáticamente: Pensando en ellos. Su labor era tan importante que su profesor en Cambridge, Isaac Barrow, renunció a su cátedra de matemáticas y la cedió a Newton cinco años después de que el joven estudiante regresase a la universidad.
Newton fue descrito por su criado del siguiente modo:
No le vi nunca practicar ninguna diversión ni pasatiempo, ni montar a caballo para tomar el aire, ni pasear ni jugar a los bolos, u otro ejercicio cualquiera: él creía que cualquier hora que no estuviera dedicada a sus estudios era una hora perdida, y lo cumplía tanto que raramente dejaba su habitación excepto para dar clase en las horas prefijadas... donde tan pocos iban a escucharle, y aún menos le entendían, que a menudo a falta de oyentes hablaba, por decirlo así, para las paredes.Ni los estudiantes de Kepler ni los de Newton supieron nunca lo que se estaban perdiendo.
Newton descubrió la ley de la inercia, la tendencia de un objeto en movimiento a continuar moviéndose en una línea recta, a menos que sufra la influencia de algo que le desvíe de su camino. Newton supuso que si la Luna no salía disparada en línea recta, según una línea tangencial a su órbita, se debía a la presencia de otra fuerza que la empujaba en dirección a la Tierra, y que desviaba constantemente su camino convirtiéndolo en un círculo. Newton llamó a esta fuerza gravedad[15] y creyó que actuaba a distancia. No hay nada que conecte físicamente la Tierra y la Luna y sin embargo la Tierra está constantemente tirando de la Luna hacia nosotros. Newton se sirvió de la tercera ley de Kepler y dedujo matemáticamente la naturaleza de la fuerza de la gravedad. 9 Demostró que la misma fuerza que hacía caer una manzana sobre la Tierra mantenía a la Luna en su órbita y explicaba las revoluciones de las lunas de Júpiter, recientemente descubiertas en aquel entonces, en sus órbitas alrededor de aquel lejano planeta.

Newton. (Pintura de Jean-Leon Huens. National Geographic Society.)

El cometa West fotografiado en febrero de 1976 desde la Tierra por Martin Groosman de Gromau, Alemania Occidental. Un viento de protones y electrones procedente del Sol, que se acaba de poner bajo este horizonte, forma con su soplo la gran cola que parte del núcleo helado del cometa.
Las tres leyes de Kepler sobre el movimiento planetario pueden derivarse de los principios newtonianos. Las leyes de Kepler eran empíricas, basadas en las laboriosas observaciones de Tycho Brahe. Las leyes de Newton eran teóricas, abstracciones matemáticas bastante simples, a partir de las cuales podían derivarse, en definitiva, todas las mediciones de Tycho. Gracias a estas leyes, Newton pudo escribir con franco orgullo en los Principia: Demuestro ahora la estructura del Sistema del Mundo.
Más adelante, Newton presidió la Royal Society, una asociación de científicos, y fue director de la Casa de la Moneda, donde dedicó sus energías a suprimir la falsificación de monedas. Su malhumor y su retraimiento habitual aumentaron; decidió abandonar los asuntos científicos que provocaban broncas disputas con otros científicos, sobre todo por cuestiones de prioridad, y algunos propagaron historias contando que había sufrido el equivalente en el siglo diecisiete de una crisis nerviosa . En cualquier caso, Newton continuó sus experimentos de toda la vida en la frontera entre la alquimia y la química, y ciertos datos recientes sugieren que su mal no era tanto una enfermedad psicogénica como un fuerte envenenamiento de metales, provocado por la ingestión sistemática de pequeñas cantidades de arsénico y de mercurio. Era costumbre habitual entre los químicos de la época utilizar el sentido del gusto como instrumento analítico.
Sin embargo, sus prodigiosos poderes intelectuales se mantuvieron intactos. En 1696, el matemático suizo Johann Bernoulli retó a sus colegas a solucionar una cuestión irresoluble, llamada el problema de la braquistócrona; o sea determinar la curva que conecta dos puntos, desplazados lateralmente uno de otro, a lo largo de la cual un cuerpo caería en el menor tiempo posible bajo la única acción de la gravedad. Bernoulli fijó al principio un plazo límite de seis meses, pero lo alargó hasta un año y medio a petición de Leibniz, uno de los sabios principales de la época y el hombre que inventó, independientemente de Newton, el cálculo diferencial e integral. El reto fue comunicado a Newton el 24 de enero de 1697 a las cuatro de la tarde. Antes de salir a trabajar en la mañana siguiente, Newton había inventado una rama de las matemáticas totalmente nueva llamada cálculo de variaciones, la utilizó para resolver el problema de la braquistócrona y envió la solución que, por deseo de Newton, fue publicada anónimamente. Pero la brillantez y la originalidad del trabajo delataron la identidad del autor. Cuando Bernoulli vio la solución comentó: Reconocemos al león por sus garras. Newton tenía entonces cincuenta y cinco años.
El pasatiempo intelectual preferido de sus últimos años fue la concordancia y calibración de las cronologías de antiguas civilizaciones, muy en la tradición de los antiguos historiadores Maneto, Estrabón y Eratóstenes. En su última obra póstuma, La cronología de los Antiguos Reinos Amended, encontramos repetidas calibraciones astronómicas de acontecimientos históricos; una reconstrucción arquitectónica del Templo de Salomón; una provocativa propuesta según la cual todas las constelaciones del hemisferio norte llevan nombres de personajes, objetos y acontecimientos de la historia griega de Jasón y los argonautas; y la hipótesis lógica de que los dioses de todas las civilizaciones, con la única excepción de la de Newton, no eran más que reyes antiguos y héroes deificados por las generaciones posteriores.
Kepler y Newton representan una transición crítica en la historia de la humanidad, el descubrimiento de que hay leyes matemáticas bastante simples que se extienden por toda la naturaleza; que las mismas reglas son válidas tanto en la Tierra como en los cielos; y que hay una resonancia entre nuestro modo de pensar y el funcionamiento del mundo. Ambos respetaron inflexiblemente la exactitud de los datos observacionales, y la gran precisión de sus predicciones sobre el movimiento de los planetas proporcionó una prueba convincente de que los hombres pueden entender el Cosmos a un nivel insospechadamente profundo. Nuestra moderna civilización global, nuestra visión del mundo y nuestra exploración del Universo tienen una deuda profunda para con estas concepciones.
Newton era circunspecto con sus descubrimientos y ferozmente competitivo con sus colegas científicos. No le costó nada esperar una década o dos antes de publicar la ley del cuadrado inverso que había descubierto. Pero al igual que Kepler y Tolomeo, se exaltaba ante la grandiosidad y la complicación de la Naturaleza, y al mismo tiempo se mostraba de una modestia encantadora. Poco antes de morir escribió: No sé qué opina el mundo de mí; pero yo me siento como un niño que juega en la orilla del mar, y se divierte descubriendo de vez en cuando un guijarro más liso o una concha más bella de lo corriente, mientras el gran océano de la verdad se extiende ante mí, todo él por descubrir.
Recuerdo nueve mundosLa Tierra es un lugar encantador y más o menos plácido. Las cosas cambian pero lentamente. Podemos vivir toda una vida y no presenciar personalmente desastres naturales de violencia superior a una simple tormenta. Y de este modo nos volvemos relajados, complacientes, tranquilos. Pero en la historia de la naturaleza los hechos hablan por sí solos. Ha habido mundos devastados. Incluso nosotros, los hombres, hemos conseguido la dudosa distinción técnica de poder provocar nuestros propios desastres, tanto intencionados como inadvertidos.
Edda islandés de SNORRI STURLUSON, 1200
Me he convertido en muerte, en el destructor de mundos.
Bhagavad Gita
Las puertas del cielo y del infierno son adyacentes e idénticas.
NIKOS KAZANTZAKLS, La última tentación de Cristo
En los paisajes de otros planetas que han conservado las marcas del pasado, hay pruebas abundantes de grandes catástrofes. Todo depende de la escala temporal. Un acontecimiento que sería impensable en un centenar de años, puede que sea inevitable en un centenar de millones de años. Incluso en la Tierra, incluso en nuestro propio siglo, han ocurrido extraños acontecimientos naturales.
En las primeras horas de la mañana del 30 de junio de 1908, en Siberia Central, se observó una gigantesca bola de fuego moviéndose rápidamente a través del cielo.
Cuando tocó el horizonte se produjo una enorme explosión que arrasó 2.000 kilómetros cuadrados de bosque e incendió con una ráfaga de fuego miles de árboles cercanos al lugar del impacto.

El geólogo soviético L. A. Kulik (derecha) y un ayudante examinan la zona del Acontecimiento de Tunguska de 1908, en la Siberia Central. Primavera de 1930. Kulik está poniendo en estación el teodolito y lleva puesta una mosquitera. (Cedida por Sovfoto.)
El gobierno de Rusia, bajo los zares, no podía molestarse en investigar un incidente tan trivial, el cual después de todo, se había producido muy lejos, entre los retrasados tunguses de Siberia. Hasta diez años después de la Revolución no se envió una expedición para examinar el terreno y entrevistar a los testigos. He aquí algunas de las crónicas que trajeron consigo:
A primera hora de la mañana todo el mundo dormía en la tienda cuando ésta voló por los aires, junto con sus ocupantes. Al caer de nuevo a Tierra, la familia entera sufrió ligeras magulladuras, pero Akulina e Iván quedaron realmente inconscientes. Cuando recobraron el conocimiento oyeron muchísimo ruido y vieron a su alrededor el bosque ardiendo y en gran parte devastado.
Estaba sentado en el porche de la caseta de la estación comercial de Vanovara a la hora del desayuno y mirando hacia el Norte. Acababa de levantar el hacha para reparar un tonel, cuando de pronto el cielo se abrió en dos, y por encima del bosque toda la parte Norte del cielo pareció que se cubría de fuego. Sentí en ese momento un gran calor como si se hubiese prendido fuego a mi camisa... quise sacármela y tirarla, pero en ese momento hubo en el cielo una explosión y se oyó un enorme estruendo. Aquello me tiró al suelo a unos tres sayenes de distancia del porche y por un momento perdí el conocimiento. Mi mujer salió corriendo y me metió en la cabaña. Al estruendo le siguió un ruido como de piedras cayendo del cielo o de escopetas disparando. La Tierra temblaba, y cuando estaba caído en el suelo me cubrí la cabeza porque temía que las piedras pudieran golpearme. En aquel momento, cuando el cielo se abrió, sopló del Norte, por entre las cabañas, un viento caliente como el de un cañón. Dejó señales en el suelo.
Estaba sentado tomando el desayuno al lado de mi arado, cuando oí explosiones súbitas, como disparos de escopetas. Mi caballo cayó de rodillas. Una llamarada se elevó por el lado Norte, sobre el bosque... Vi entonces que los abetos del bosque se inclinaban con el viento y pensé en un huracán. Agarré el arado con las dos manos para que no volara. El viento era tan fuerte que arrancaba la tierra del suelo, y luego el huracán levantó sobre el Angara una pared de agua. Lo vi todo con bastante claridad, porque mi campo estaba en una ladera.
El rugido aterrorizó de tal modo a los caballos que algunos salieron galopando desbocados, arrastrando los arados en diferentes direcciones, y otros se desplomaron en el suelo.
Los carpinteros, tras el primer y el segundo estallido, se santiguaron estupefactos, y cuando resonó el tercer estallido cayeron del edificio sobre la madera astillada. Algunos estaban tan aturdidos e intensamente aterrorizados que tuve que calmarlos y tranquilizarlos. Todos dejamos el trabajo y nos fuimos hacia el pueblo. Allí, multitudes enteras de habitantes estaban reunidos en las calles, aterrorizados, hablando del fenómeno.
Yo estaba en el campo;... acababa de enganchar un caballo a la grada y empezaba a sujetar el otro cuando de pronto oí que sonaba como un fuerte disparo por la derecha. Me volví inmediatamente y vi un objeto llameante alargado volando a través del cielo. La parte frontal era mucho más ancha que la cola y su color era como de fuego a la luz del día. Su tamaño era varias veces mayor que el sol pero su brillo mucho más débil, de modo que se podía mirar sin cubrirse los ojos. Detrás de las llamas había una estela como de polvo. Iba envuelto en pequeñas humaredas dispersas y las llamas iban dejando detrás otras llamitas azules. Cuando hubo desaparecido la llama, se oyeron estallidos más fuertes que el disparo de una escopeta, podía sentirse temblar el suelo, y saltaron los vidrios de las ventanas de la cabaña.
... Estaba lavando ropa en el bancal del río Kan. De pronto se oyó un ruido como el aleteo de un pájaro asustado... y apareció en el río una especie de marea. Después se oyó un estallido único tan fuerte que una de las mujeres trabajadoras... se cayó al agua.

El bosque de la taiga devastado en Tunguska. La fotografía se tomó a 5 kilómetros del "punto cero", y 21 años después del acontecimiento. Todos los árboles señalan en dirección opuesta al punto del impacto. (Cedida por Sovfoto.)
En los vastos espacios que separan a los planetas hay muchos objetos, algunos rocosos, otros metálicos, otros de hielo, otros compuestos parcialmente de moléculas orgánicas. Son desde granos de polvo hasta bloques irregulares del tamaño de Nicaragua o Bhutan. Y a veces, por accidente, hay un planeta en su camino. El Acontecimiento de Tunguska fue provocado probablemente por un fragmento de cometa helado de cien metros aproximadamente el tamaño de un campo de fútbol, de un millón de toneladas de peso, y moviéndose a treinta kilómetros por segundo aproximadamente.
Si un impacto de este tipo acaeciese hoy en día podría confundirse, sobre todo en el momento inicial de pánico, con una explosión nuclear. El impacto cometario y la bola de fuego simularían todos los efectos de una explosión nuclear de un megatón, incluyendo la nube en forma de hongo, con dos excepciones: no habría radiaciones gamma ni precipitación de polvo radiactivo. ¿Es posible que un acontecimiento, raro aunque natural, el impacto de un considerable fragmento cometario, desencadene una guerra nuclear? Extraña escena: un pequeño cometa choca contra la Tierra, como lo han hecho ya millones de ellos, y la respuesta de nuestra civilización es la inmediata autodestrucción. Quizás nos convendría entender un poco mejor que hasta ahora los cometas, las colisiones y las catástrofes. Por ejemplo, un satélite norteamericano Vela detectó el 22 de septiembre de 1979 un doble e intenso destello luminoso procedente de la región del Atlántico Sur y de la parte occidental de Océano índico. Las primeras especulaciones sostenían que se trataba de la prueba clandestina de un arma nuclear de baja potencia (dos kilotones, la sexta parte de energía de la bomba de Hiroshima) llevada a cabo por Sudáfrica o Israel. En todo el mundo se consideró que las consecuencias políticas eran serias. Pero, ¿y si los destellos se debieran a un asteroide pequeño o a un trozo de cometa? Se trata de una posibilidad real, porque los reconocimientos en la zona de los destellos no mostraron ningún vestigio de radiactividad anormal en el aire. Esta posibilidad subraya el peligro que supone, en una época de armas nucleares, no controlar mejor los impactos procedentes del espacio.

Detalle del Tapiz de Bayeux del siglo once, rememorativo de la aparición del cometa Halley en abril de 1066. La inscripción latina a la izquierda del dibujo muy estilizado del cometa reza: “Estos se admiran de la estrella.” Un cortesano se apresura a comunicar el acontecimiento a Harold de Inglaterra, cuya derrota en manos de Guillermo el Conquistador se consideró popularmente que fue presagiada por el cometa (observar debajo de las figuras la invasión naval). El tapiz fue encargado por la reina Matilde, esposa de Guillermo.

La Adoración de los Reyes Magos de Giotto, hacia 1304. La estrella de Belén aparece en ella (seguramente) como un cometa no milagroso. Es muy probable que la aparición del cometa Halley en 1301 sirviese de modelo a Giotto. (Cedida por los Archivos Fotocolor de SCALA/Editorial.)

Descripción azteca de la visión que tuvo el emperador Moctezuma de un brillante cometa. Moctezuma aceptó la superstición popular de que los cometas presagian catástrofes, cayó en una profunda depresión y así colaboró inconscientemente con la conquista española. Es un ejemplo excelente de profecía que uno mismo ayuda a cumplir. De Historia de las Indias de Nueva España, de Diego Durán.

Izquierda: representación turca del Gran Cometa de 1577 (comparar con la figura siguiente). La excitación que suscitó la llegada del cometa contribuyó directamente a la fundación del observatorio de Estambul. (Cedida por la Biblioteca de la Universidad de Estambul.). Derecha: grabado impreso en Praga por Peter Codicillus, que muestra el Gran Cometa de 1577 extendiéndose sobre la Luna y Saturno mientras un artista lo dibuja a la luz de una linterna. Tycho Brahe dedujo que este cometa era más lejano que la Luna, expulsando así a los cometas del reino de los fenómenos terrestres y colocándolos correctamente entre los cuerpos celestes. De la colección Wilkiana, Zentralbibliothek, Zurich. (Fotografía de Owen Gingerich.)
El dato más antiguo sobre la aparición del cometa Halley (o de cualquier otro cometa) aparece en la obra china Libro del príncipe de Huai Nan, participante en la marcha militar del rey Wu contra Zhou de Yin. Fue en el año 105 7 a. de C. La aproximación del cometa Halley a la Tierra en el año 66 es la explicación más probable del relato de Josefo sobre una espada que estuvo colgando un año entero sobre Jerusalén. En 1066, los normandos presenciaron un nuevo regreso del cometa Halley. Pensaron que debía de presagiar la caída de algún reino, y así el cometa incitó, y en cierto modo precipitó la invasión de Inglaterra por Guillermo el Conquistador. El cometa fue notificado a su debido tiempo en un periódico de la época, el Tapiz de Bayeux. En 1301 Giotto, uno de los fundadores de la pintura realista moderna, presenció otra aparición del cometa Halley y lo introdujo en una escena de la Natividad. El Gran Cometa de 1466, de nuevo el Halley, aterrorizó a la Europa cristiana; los cristianos temieron que Dios, que envía los cometas, pudiera estar de parte de los turcos que acababan de apoderarse de Constantinopla.
Los principales astrónomos de los siglos dieciséis y diecisiete estuvieron fascinados por los cometas, e incluso a Newton le daban un poco de vértigo. Kepler describió los cometas precipitándose a través del espacio como peces en el agua, pero disipados por la luz solar, pues la cola cometaria siempre señala en dirección contraria al Sol. David Hume, en muchos casos un intransigente racionalista, jugó por lo menos con el concepto de que los cometas eran las células reproductoras los óvulos o el esperma de los sistemas planetarios, y que los planetas se producían practicando una especie de sexo interestelar. Cuando Newton era estudiante y no había inventado aún el telescopio reflector, pasó muchas noches seguidas en vela explorando a simple vista el cielo en búsqueda de cometas, con un fervor tal que cayó enfermo de agotamiento. Newton, secundando a Tycho y a Kepler, concluyó que los cometas vistos desde la Tierra no se mueven en el interior de nuestra atmósfera, como Aristóteles y otros habían pensado, sino que están bastante más lejos que la Luna, aunque más cerca que Saturno.

Representación muy estilizada del cometa de 1556 sobre una ciudad alemana, Nüremberg probablemente. Colección Wilkiana. (Fotografía de Owen Gingerich.)

Cometa Ikeya-Seki, descubierto en 1965 por dos buenos astrónomos aficionados japoneses. La cola tiene aproximadamente cincuenta millones de kilómetros de longitud. (Fotografiado en el observatorio Nacional de Kitt Peak, por Michael Belton.)

Una fotografía rara del cometa Halley tomada en 1910, con Venus abajo a la izquierda. (Cedida por Camera Press-Photo Trends.)
Pero eso no tranquilizó a casi nadie. Los titulares del Chronicle de San Francisco del 15 de mayo decían, por ejemplo, Cámara para cometas tan grande como una casa. El cometa llega y el marido se reforma. Fiestas cometarias, última novedad en Nueva York. El Examiner de Los Ángeles adoptaba un tono frívolo: Dime: ¿No te ha cianogenado aún este cometa?... Toda la raza humana tendrá un baño gratuito de gases, Se prevén grandes juergas. Muchos sienten el gusto del cianógeno. Una víctima se encarama a un árbol para intentar telefonear al Cometa. En 1910 se celebraron fiestas para divertirse antes de que la contaminación de cianuro acabara con el mundo. Los vendedores pregonaban píldoras anticometa y mascarillas de gas, que fueron una extraña premonición de los campos de batalla de la primera guerra mundial.
En nuestra época subsiste cierta confusión con respecto a los cometas. En 1957 yo trabajaba de licenciado en el Observatorio Yerkes de la Universidad de Chicago. Estaba solo en el observatorio a altas horas de la noche cuando oí sonar insistentemente el teléfono. Al contestar, una voz que delataba un avanzado estado de ebriedad dijo: Quiero hablar con un astrónomo. ¿Puedo ayudarle en algo? Sí, verá, estamos en el jardín con esta fiesta, aquí en Wilmette, y hay algo en el cielo. Pero lo bueno es e si lo miras directamente desaparece. Y si no lo miras está ahí. Es parte más sensible de la retina no está en el centro del campo de visión. Las estrellas débiles y otros objetos pueden verse desviando la vista ligeramente. Yo sabía que en el cielo y apenas visible en aquel momento había un cometa recién descubierto llamado Arend Roland. Le dije por tanto que lo que estaba viendo era probablemente un cometa. Hubo un largo silencio, seguido de la pregunta: ¿Y eso qué es? Un cometa, respondí, es una bola de nieve de una milla de ancho. Después de un largo silencio el borracho solicitó: Quiero hablar con un astrónomo de verdad. Cuando reaparezca en 1986 el cometa Halley me gustará saber qué dirigentes políticos se asustarán de la aparición, y qué otras estupideces nos tocará oír.
Los planetas se mueven en órbitas elípticas alrededor del Sol, pero sus órbitas no son muy elípticas. De entrada y a primera vista, son casi indistinguibles de un círculo. Son los cometas especialmente los cometas de largo período los que tienen órbitas espectacularmente elípticas. Los planetas son los veteranos del sistema solar interno; los cometas son recién llegados. ¿Por qué las órbitas planetarias son casi circulares y están netamente separadas unas de otras? Porque si los planetas tuvieran órbitas muy elípticas, de modo que sus trayectorias se cortasen, antes o después se produciría una colisión. En la historia inicial del sistema solar, hubo probablemente muchos planetas en proceso de formación. Los planetas cuyas órbitas elípticas se cruzaban tendieron a colisionar y a destruirse entre ellos. Los de órbitas circulares tendieron a crecer y a sobrevivir. Las órbitas de los planetas actuales son las órbitas de los supervivientes de esta selección natural mediante colisiones, la edad mediana y estable de un sistema solar dominado por impactos catastróficos iniciales.
En el sistema solar más exterior, en la oscuridad de más allá de los planetas, hay una vasta nube esférica de un billón de núcleos cometarios, orbitando al Sol no más rápidamente que un coche de carreras en las 500 millas de Indianápolis[17].
Un cometa más o menos típico tendría el aspecto de una bola gigante de nieve en rotación, de un kilómetro de diámetro aproximadamente. La mayoría de los cometas nunca atraviesan el límite marcado por la órbita de Plutón. Pero en ocasiones el paso de una estrella provoca una agitación y conmoción gravitatorias en la nube cometaria, y un grupo de cometas se encuentra trasladado a órbitas muy elípticas y precipitándose hacia el Sol. Su recorrido sufre luego más variaciones por encuentros gravitatorios con Júpiter y Saturno, y una vez cada cien años más o menos tiende a emprender una carrera hacia el interior del sistema solar. En algún punto entre las órbitas de Júpiter y Marte empezará a calentarse y a evaporarse. La materia que sale expulsada de la atmósfera del Sol, el viento solar, transporta fragmentos de polvo y de hielo hacia detrás del cometa, formando una cola incipiente. Si Júpiter tuviera un metro de longitud nuestro cometa sería más pequeño que una mota de polvo, pero su cola una vez desarrollada del todo es tan grande como las distancias entre los mundos. Cuando está a una distancia que le hace visible desde la Tierra provoca, en cada una de sus órbitas, estallidos de fervor supersticioso entre los terrestres. Pero con el tiempo, los terrestres comprenden que los cometas no viven en la misma atmósfera que ellos, sino fuera, entre los planetas. Calculan luego su órbita. Y quizás un día no muy lejano lancen un pequeño vehículo espacial dedicado a investigar a este visitante del reino de las estrellas.
Los cometas, más tarde o más temprano, chocan con los planetas. La Tierra y su acompañante la Luna tienen que estar bombardeadas por cometas y por pequeños asteroides, los escombros que quedaron de la formación del sistema solar. Puesto que hay más objetos pequeños que grandes, tiene que haber más impactos de pequeños objetos que de grandes.

La cabeza del cometa Halley, mayo de 1910. Fotografiada en el observatorio Helwan, Egipto, con un telescopio reflector de treinta pulgadas, por H. Knox Shaw.
Cuando un objeto pequeño o de hielo colisiona con un planeta o una luna, quizás no produzca una cicatriz muy señalada. Pero si el objeto que hace impacto es mayor o está formado principalmente por rocas, se produce en el impacto una explosión que excava un cuenco hemisférico llamado cráter de impacto.
Y si ningún proceso borra o rellena el cráter, puede durar miles de millones de años. En la Luna no hay casi erosión y cuando examinamos su superficie la encontramos cubierta con cráteres de impacto, en número muy superior al que puede explicar la dispersa población de residuos cometarios y asteroidales que ahora ocupa el sistema solar interior. La superficie de la Luna ofrece un elocuente testimonio de una etapa previa de la destrucción de mundos, que finalizó hace ya miles de millones de años. Los cráteres de impacto no son exclusivos de la Luna. Los encontramos en todo el sistema solar interior; desde Mercurio, el más cercano al Sol, hasta Venus, cubierto de nubes, y hasta Marte con sus lunas diminutas, Fobos y Deimos. Éstos son los planetas terrestres, nuestra familia de mundos, los planetas más o menos parecidos a la Tierra. Tienen superficies sólidas, interiores formados por roca y hierro, y atmósferas que van desde el vacío casi total hasta presiones noventa veces superiores a las de la Tierra. Se agrupan alrededor del Sol, la fuente de luz y calor, como excursionistas alrededor del fuego de campamento. Todos los planetas tienen unos 4 600 millones de años de edad. Todos ellos, al igual que la Luna, ofrecen testimonios elocuentes de una era de impactos catastróficos en la primitiva historia del sistema solar.
Más allá de Marte entramos en un régimen muy diferente: el reino de Júpiter y de otros planetas jovianos o gigantes.
Se trata de mundos inmensos compuestos principalmente de hidrógeno y de helio, con menos cantidades de gases ricos en hidrógeno, como el metano, amoníaco y agua. No vemos aquí superficies sólidas, solamente la atmósfera y las nubes multicolores. Son planetas serios, no pequeños mundos fragmentarios como la Tierra. Dentro de Júpiter podría caber un millar de Tierras.
Si en la atmósfera de Júpiter cayese un cometa o un asteroide, no esperaríamos que se formara un cráter visible, sino sólo un claro momentáneo entre las nubes. No obstante, sabemos también que en el sistema solar exterior ha habido una historia de colisiones que ha durado miles de millones de años; porque Júpiter tiene un gran sistema de más de una docena de lunas, cinco de las cuales fueron examinadas de cerca por la nave espacial Voyager.

Cometa Humason, fotografiado con un telescopio Schmidt de 48 pulgadas en los observatorios Hale, 1961, y nombrado después como su descubridor Milton Humason (véase capítulo 10). Las rayitas de esta exposición lenta son estrellas lejanas.
En la cara próxima de la Luna hay unos 10 000 cráteres visibles con el telescopio desde la Tierra. La mayoría de ellos están en antiguas montañas lunares y datan de la época de formación final de la Luna por acreción de escombros interplanetarios. Hay alrededor de un millar de cráteres mayores de un kilómetro de longitud en los maria (en latín mares), las regiones bajas que quedaron inundadas, quizás por lava, poco tiempo después de su formación, cubriendo los cráteres preexistentes.

Desintegración del cometa West en cuatro fragmentos (ver la portada de este capítulo). (Fotografiado por C. F. Knuckles y A. S. Murreil, observatorio de la Universidad del Estado de Nuevo México.)

Izquierda: Cráter del Meteorito, Arizona. Este cráter tiene un diámetro de 1,2 kilómetros y se formó hace probablemente 15 000 a 40 000 años, cuando una masa de hierro de 25 metros de longitud chocó contra la Tierra a una velocidad de 15 kilómetros por segundo. La energía liberada fue equivalente a la de una explosión nuclear de 4 megatones. Derecha: amanecer en el cráter Copérnico, exactamente al norte del ecuador lunar. Tiene 100 kilómetros de diámetro. Cuando, a diferencia de esta fotografía, el cráter está iluminado de cara, su sistema de rayos destaca mucho. Foto del vehículo orbital Apolo. (Cedida por la NASA.)

Amanecer de la Tierra sobre las colinas ondulantes y los cráteres superpuestos de modo complejo de la Luna. Foto del vehículo orbital Apolo. (Cedida por la NASA.)
Había una brillante luna nueva, y como es habitual en esta fase sus cuernos estaban inclinados hacia el Este. De pronto el cuerno superior se abrió en dos. En el punto medio de la división emergió una antorcha flameante, que vomitaba fuego, carbones calientes y chispas.
Los astrónomos Derral Mulholland y Odile Calame han calculado que un impacto lunar produciría una nube de polvo emanando de la superficie de la Luna con un aspecto bastante similar al descrito por los monjes de Canterbury.

El cráter con rayos, Bruno en la Luna, en la parte superior. Foto del vehículo orbital Apolo. (Cedida por la NASA.)
El meteoricista Jack Hartung ha señalado que un cráter muy reciente, un cráter pequeño de aspecto nuevo con un prominente sistema de rayos está en la región de la Luna indicada por los monjes de Canterbury. Se le llamó Giordano Bruno, un estudioso católico del siglo dieciséis, que sostenía la existencia de una infinidad de mundos, muchos de ellos habitados. Por éste y por otros crímenes fue quemado en la hoguera el año 1600.

Astronautas del Apolo 16 instalan el experimento de un retrorreflector de láser en la Luna. (Cedida por la NASA.)

Rayo láser dirigido a los retrorreflectores situados en la superficie lunar. El telescopio es el reflector de 82 pulgadas del observatorio McDonald, Universidad de Texas.
Estas pruebas son deductivas e indirectas. Como ya he dicho, no es probable que un fenómeno así haya sucedido en tiempos históricos. Pero las pruebas son, por lo menos, sugestivas. También nos hace pensar, como el Acontecimiento de Tunguska y el Cráter del Meteorito de Arizona, que no todas las catástrofes por impacto ocurrieron en la historia primitiva del sistema solar.

La superficie de la cara opuesta de la Luna, con una gran densidad de cráteres. Hasta el advenimiento de los vehículos espaciales esta perspectiva era totalmente desconocida para los habitantes de la Tierra. La observaron por primera vez los vehículos Luna de la Unión Soviética. Las mareas gravitatorias de nuestro planeta obligan a la Luna a efectuar su rotación una vez al mes, de modo que un hemisferio está siempre de cara a la Tierra y el otro mira hacia fuera. Las manchas oscuras arriba a la derecha son pequeños mares. Los llamados “mares” son más numerosos en el hemisferio que encara a la Tierra y crean los rasgos de la “cara” de la Luna. Foto del vehículo orbital Apolo. (Cedida por la NASA.)
La Tierra está muy cerca de la Luna. Si en la Luna los cráteres de impacto son tan numerosos, ¿cómo los ha evitado la Tierra? ¿Por qué el Cráter del Meteorito es tan extraño? ¿Piensan los cometas y los asteroides, que es imprudente chocar con un planeta habitado?

Formación de la Luna

Formación de la Luna. b)-d) Últimas fases de acreción hace 4 600 a 5 000 millones de años. La energía liberada por el impacto sobre la Luna de la última generación de escombros procedentes del espacio funde su superficie. La Luna barre la mayoría de los escombros próximos, y de este modo se enfría gradualmente. e) a i) Impacto de un asteroide hace 3 900 millones de años, que forma una cavidad, proyecta una lluvia de material, genera una onda expansiva de choque y va acompañado por un recalentamiento de la superficie. La cuenca resultante (i) queda inundada (j-k) probablemente por rocas basálticas fundidas, hace quizás 2 700 millones de años. Esta cuenca oscura y prominente se llama Mar de las Lluvias (Mare babriurn), y se ve desde la Tierra a simple vista y con facilidad. Impactos más recientes han producido los cráteres de rayos Eratóstenes (1) y Copérnico (m). La lenta erosión de la Luna ha reducido el contraste entre el Mare Imbrium y sus alrededores. (Dibujos de Don Davis, con la supervisión de la rama de Astro geología del Servicio Geológico de los EE.UU.)

Las provincias exteriores de la Gran Cuenca Caloris se ven a la izquierda como hendiduras y crestas concéntricas en la hirviente superficie de Mercurio. Fotocomposición del Mariner 10. (Cedida por la NASA.)
No hay una respuesta general que permita saber qué procesos dominan, los exteriores o los interiores, los fenómenos raros pero violentos, o los comunes y poco visibles. En la Luna los fenómenos exteriores, catastróficos, influyen poderosamente; en la Tierra dominan los procesos internos, lentos. Marte es un caso intermedio.

Hemisferio sur del planeta Mercurio. Los cráteres superpuestos y los prominentes cráteres de rayos se destacan bien en esta imagen del Mariner 10. Las superficies de Mercurio y de la Luna son tan parecidas porque ambas sufrieron grandes explosiones por impacto hace miles de millones de años, y porque desde entonces la erosión sufrida por su superficie ha sido pequeña. Ésta es una fotocomposición. Los recortes negros del extremo inferior corresponden a regiones que nunca han sido fotografiadas. (Cedida por la NASA.)
Es posible que el cinturón de asteroides sea un lugar en donde las mareas gravitatorias del cercano planeta gigante Júpiter impidieron que llegara a formarse un planeta; o quizás son los restos destrozados de un planeta que explotó por sí solo. Esto parece improbable, pues ningún científico en la Tierra sabe de qué manera podría explotar un planeta por sí solo, lo cual probablemente dé lo mismo.
Los anillos de Saturno guardan algún parecido con el cinturón de asteroides: billones de diminutas lunas heladas orbitando el planeta. Pueden representar los escombros que la gravedad de Saturno no dejó convertirse por acreción en una luna cercana, o puede que sean los restos de una luna que deambulaba demasiado próxima y que fue despedazada por las mareas gravitatorias. Otra explicación es que los anillos sean la posición de equilibrio estático entre el material expulsado por una luna de Saturno, por ejemplo Titán, y el material que cae en la atmósfera del planeta. Júpiter y Urano también tienen sistemas de anillos, no descubiertos hasta hace poco, y casi invisibles desde la Tierra. La posible existencia de un anillo en Neptuno es un problema prioritario en la agenda de los científicos planetarios. Es posible que los anillos sean un típico adorno de los planetas de tipo joviano en todo el Cosmos.
Un libro popular, Mundos en colisión, publicado en 1950 por un siquiatra llamado Immanuel Velikovsky, afirma que ha habido grandes colisiones recientes desde Saturno hasta Venus. Según el autor, un objeto de masa planetario, que él llama cometa, se habría formado de alguna manera en el sistema de Júpiter. Hace unos 3 500 años se precipitó hacia el sistema solar interior y tuvo repetidos encuentros con la Tierra y Marte, consecuencias accidentales de los cuales fueron la división del Mar Rojo que permitió a Moisés y a los israelitas escapar del Faraón, y el cese de la rotación de la Tierra por orden de Josué. También produjo, según Velikovsky, vulcanismos y diluvios importantes[19]. Velikovsky imagina que el cometa, después de un complicado juego de billar interplanetario, quedó instalado en una órbita estable, casi circular, convirtiéndose en el planeta Venus, planeta que, según él, no había existido antes.

El cráter Yuty a 22° N y a 34° o en Marte. A su alrededor hay diversas capas de material superficial proyectado por el impacto que produjo el cráter. La forma de las salpicaduras sugiere que el material excavado fluía hacia el exterior sobre algún lubricante, probablemente sobre una subsuperficie de hielo fundido por el impacto. Un pequeño cráter anterior situado justamente debajo de Yuty no ha quedado enterrado por el material proyectado, lo que indica que la capa de este material es delgada. Foto del Mariner 9. (Cedida por la NASA.)
Muchas hipótesis propuestas tanto por científicos como por no científicos resultan al final erróneas. Para ser aceptadas, todas las ideas nuevas deben superar normas rigurosas de evidencia.

Un cráter en el escarpamiento norte de Capri Chasma, Marte. El lento ensanchamiento del valle ha comenzado a quebrar y a erosionar el cráter. Fotocomposición del Mariner 9. (Cedida por la NASA.)
Venus tiene casi la misma masa[21], el mismo tamaño y la misma densidad que la Tierra. Al ser el planeta más próximo a nosotros, durante siglos se le ha considerado como hermano de la Tierra. ¿Cómo es en realidad nuestro planeta hermano? ¿Puede que al estar algo más cerca del Sol sea un planeta suave, veraniego, un poco más cálido que la Tierra? ¿Posee cráteres de impacto, o los eliminó todos, la erosión? ¿Hay volcanes? ¿Montañas? ¿Océanos? ¿Vida?
La primera persona que contempló Venus a través del telescopio fue Galileo en 1609. Vio un disco absolutamente uniforme. Galileo observó que presentaba, como la Luna, fases sucesivas, desde un fino creciente hasta un disco completo, y por la misma razón que ella: a veces vemos principalmente el lado nocturno de Venus y otras el lado diurno; digamos también que este descubrimiento reforzó la idea de que la Tierra gira alrededor del Sol y no al revés.
A medida que los telescopios ópticos aumentaban de tamaño y que mejoró su resolución (la capacidad para distinguir detalles finos), fueron sistemáticamente orientados hacia Venus. Pero no lo hicieron mejor que el de Galileo. Era evidente que Venus estaba cubierto por una densa capa de nubes que impiden la visión. Cuando contemplamos el planeta en el cielo matutino o vespertino, estamos viendo la luz del Sol reflejada en las nubes de Venus. Pero después de su descubrimiento y durante siglos, la composición de esas nubes fue totalmente desconocida.
La ausencia de algo visible en Venus llevó a algunos científicos a la curiosa conclusión de que su superficie era un pantano, como la de la Tierra en el período carbonífero.

Marcas oscuras variables dentro y cerca de cráteres, en Memnomia de Marte. Arena brillante y polvo en movimiento cubren y descubren el material oscuro subyacente. Finas partículas arrastradas por el viento también cubren y erosionan los cráteres y otras formas geológicas. Foto del Mariner 9. (Cedida por la NASA.)
- No puedo ver nada en Venus.
- ¿Por qué?
- Porque Venus está totalmente cubierto de nubes.
- ¿De qué están formadas las nubes?
- De agua, por supuesto.
- Entonces, ¿por qué son las nubes de Venus más espesas que las de la Tierra?
- Porque allí hay más agua.
- Pues si hay más agua en las nubes también habrá más agua en la superficie.
- ¿Qué tipo de superficies son muy húmedas?
- Los pantanos.
- Y si hay pantanos, ¿no puede haber también en Venus cicadáceas y libélulas y hasta dinosaurios?
Conclusión: El planeta tenía que estar cubierto de vida. Las nubes uniformes de Venus reflejaban nuestras propias predisposiciones. Nosotros estamos vivos y nos excita la posibilidad de que haya vida en otros lugares. Pero sólo un cuidadoso acopio y valoración de datos puede decimos qué mundo determinado está habitado. En el caso de Venus nuestras predisposiciones no quedan complacidas.

Material oscuro y posiblemente volcánico arrastrado por los vientos fuera de un cráter en Mesogea, Marte. Foto del Mariner 9. (Cedida por la NASA.)
Deba o del ultravioleta está la parte de rayos X del espectro, y debajo de los rayos X están los rayos gamma. En las frecuencias más bajas, al otro lado del rojo, está la parte infrarrojo del espectro. Se descubrió al colocar un termómetro sensible en una zona situada más allá del rojo, en la cual de acuerdo con nuestra vista hay oscuridad: la temperatura del termómetro aumentó. Caía luz sobre el termómetro, aunque esta luz fuera invisible para nuestros ojos. Las serpientes de cascabel y los semiconductores contaminados detectan perfectamente la radiación infrarrojo. Debajo del infrarrojo está la vasta región espectral de las ondas de radio. Todos estos tipos, desde los rayos gamma hasta las ondas de radio, son igualmente respetables. Todos son útiles en astronomía. Pero a causa de las limitaciones de nuestros ojos tenemos un prejuicio en favor, una propensión hacia esa franja fina de arco iris que llamamos el espectro de luz visible.
En 1844, el filósofo Auguste Comte estaba buscando un ejemplo de un tipo de conocimiento que siempre estaría oculto. Escogió la composición de las estrellas y de los planetas lejanos. Pensó que nunca los podríamos visitar físicamente, y que al no tener en la mano muestra alguna de ellos, nos veríamos privados para siempre de conocer su composición. Pero a los tres años solamente de la muerte de Comte, se descubrió que un espectro puede ser utilizado para determinar la composición química de los objetos distantes. Diferentes moléculas o elementos químicos absorben diferentes frecuencias o colores de luz, a veces en la zona visible y a veces en algún otro lugar del espectro. En el espectro de una atmósfera planetario, una línea oscura aislada representa una imagen de la hendidura en la que falta luz: la absorción de luz solar durante su breve paso a través del aire de otro mundo. Cada tipo de línea está compuesta por una clase particular de moléculas o átomos. Cada sustancia tiene su firma espectral característica. Los gases en Venus pueden ser identificados desde la Tierra, a 60 millones de kilómetros de distancia.
Podemos adivinar la composición del Sol (en el cual se descubrió por primera vez el helio, nombrado a partir de Helios, el dios griego del Sol); la composición de estrellas magnéticas A ricas en europio; de galaxias lejanas analizadas a partir de la luz que envían colectivamente los cien mil millones de estrellas integrantes.
La astronomía espectroscópica es una técnica casi mágica. A mí aún me asombra. Auguste Comte escogió un ejemplo especialmente inoportuno.

Espectro producido cuando la luz brillante atraviesa una hendidura y después un prisma de cristal. Si un gas que absorbe fuertemente la luz visible se interpusiera en el recorrido de la luz, la estructura de arco iris estaría interrumpida por un conjunto de rayas oscuras, características del gas.

Diagrama esquemático del espectro electromagnético, desde la longitud de onda más corta (rayos gamma) hasta la más larga (ondas de radio). La longitud de onda de la luz se calcula en Angstrom (Å), micrómetros (μm), centímetros (cm) y metros (m).
El primer indicio sobre la verdadera situación del planeta no provino de los estudios espectroscópicos en la parte visible del espectro o en la del infrarrojo cercano, sino más bien de la región de radio. Un radiotelescopio funciona más como un fotómetro que como una cámara fotográfica. Se apunta hacia una región bastante extensa del cielo y registra la cantidad de energía, en una frecuencia de radio dada, que llega a la Tierra.
Estamos acostumbrados a las señales de radio que transmiten ciertas variedades de vida inteligente, a saber, las que operan las estaciones de radio y televisión. Pero hay otras muchas razones para que los objetos naturales emitan ondas de radio. Una de ellas es que estén calientes. Cuando en 1956 se enfocó hacia Venus un radiotelescopio primitivo, se descubrió que el planeta emitía ondas de radio como si estuviera a una temperatura muy alta.
Pero la demostración real de que la superficie de Venus es impresionantemente caliente se obtuvo cuando la nave espacial soviética de la serie Venera penetró por primera vez en las nubes oscurecedoras y aterrizó sobre la misteriosa e inaccesible superficie del planeta más próximo.

Izquierda: Fobos, la luna más interior de Marte. El cráter Stickney aparece en el extremo superior. Si el objeto impactante que produjo este cráter hubiera sido un poco mayor, Fobos podría haberse desintegrado. Foto del vehículo orbital Viking 1. (Cedida por la Nasa). Derecha: primer plano del sistema de surcos de Fobos, causados posiblemente por las mareas gravitatorias de Marte. Fobos y su luna hermana Deimos parecen tener en su superficie una cantidad significativa de materia orgánica que explica su color oscuro. Ambos pueden ser asteroides capturados. Las dimensiones de esta pequeña luna son aproximadamente 27 x 21 x 19 kilómetros, con el eje longitudinal apuntando hacia el centro de Marte. Foto del vehículo orbital Viking 1. (Cedida por la NASA.)
Cuando yo saludo a una amiga la veo reflejada en luz visible, generada, por ejemplo, por el Sol o por una lámpara incandescente.
Los rayos de luz rebotan en mi amiga y entran en mis ojos. Pero los antiguos, incluyendo una figura de la categoría de Euclides, creían que veíamos gracias a rayos que el ojo emitía de algún modo y que entraban en contacto de modo tangible y activo con el objeto observado.

Izquierda: mapa de radar de las latitudes ecuatoriales de Venus. Las regiones brillantes reflejan eficazmente las ondas de radio hacia el espacio. Los círculos muestran las regiones estudiadas con mayor detalle, una de las cuales aparece abajo. Véase en la página 340 un mapa global y detallado de Venus. (Estación de seguimiento Goldstone, Laboratorio de Propulsión a Chorro.). Derecha: primer plano de una región ecuatorial de Venus vista por astronomía de radar desde la Tierra. La franja diagonal es una región de la cual no se obtuvieron datos útiles. Se observan diferentes cráteres, el mayor tiene casi 200 kilómetros de diámetro. Los cráteres de Venus son muy superficiales comparados con los cráteres de diámetros similares en otros mundos, lo cual sugiere un mecanismo de erosión especial. (Estación de seguimiento Goldstone, Laboratorio de Propulsión a Chorro.)
Se han obtenido imágenes de radar de Venus, algunas con telescopios de radar instalados en la tierra, otras desde el vehículo Pioneer Venus en órbita alrededor de aquel planeta. Estas imágenes contienen fuertes pruebas de la presencia de cráteres de impacto. El número de cráteres ni demasiado grandes ni demasiado pequeños presentes en Venus es el mismo existente en las altiplanicies lunares, y su número nos vuelve a confirmar que Venus es muy viejo. Pero los cráteres de Venus son notablemente superficiales, como si las altas temperaturas de la superficie hubieran producido un tipo de roca que fluyese en largos períodos de tiempo, como caramelo o masilla, suavizando gradualmente los relieves. Hay grandes altiplanicies, el doble de altas que las mesetas tibetanas, un inmenso valle de dislocación, posiblemente volcanes gigantes y una montaña tan alta como el Everest. Vemos ya ante nosotros un mundo que antes las nubes ocultaban totalmente; y sus rasgos característicos han sido explorados por primera vez con el radar y con los vehículos espaciales.
Las temperaturas en la superficie de Venus, deducidas por la radioastronomía y confirmadas por mediciones directas realizadas con naves espaciales, son de unos 480 °C, más altas que las del horno casero más caliente. La correspondiente presión en la superficie es de 90 atmósferas, 90 veces la presión que sentimos debido a la atmósfera de la Tierra, y equivalente al peso del agua a un kilómetro de profundidad bajo los océanos.

Calisto, la más exterior de las grandes lunas de Júpiter. Cada punto circular brillante es un gran cráter de impacto. Foto tomada por el Voyager 2 a una distancia de un millón de kilómetros. (Cedida por la NASA.)
Cerca de una docena de vehículos espaciales de la Unión Soviética y de los Estados Unidos han entrado en la densa atmósfera de Venus y han atravesado sus nubes; unos pocos han sobrevivido realmente durante casi una hora en su superficie[23]. Dos naves espaciales de la serie soviética Venera tomaron fotografías en su superficie. Sigamos los pasos de estas misiones exploradoras y visitemos otro mundo.
Las nubes ligeramente amarillentas pueden distinguirse en la luz visible y corriente, pero como Galileo observo por primera vez, no muestran prácticamente ningún rasgo. Sin embargo, si las cámaras captan el ultravioleta, vemos un elegante y complejo sistema meteorológico en rotación dentro de la alta atmósfera, con unos vientos que van aproximadamente a 100 metros por segundo, unos 360 kilómetros por hora.

Una región de Ganímedes, la mayor luna de Júpiter. Se observan cráteres de brillantes rayos y otras cicatrices de impactos. Io y Europa, los otros dos grandes satélites jovianos muestran, al igual que la Tierra, pocos o ningún cráter de impacto; la erosión debe de haber sido mucho más eficaz allí que en Ganímedes y en Calisto. Foto del Voyager 2. (Cedida por la NASA.)
Muy por encima de la superficie de las nubes visibles, a unos 70 km. de altitud, hay una continua neblina de pequeñas partículas. A 60 kilómetros nos sumergimos dentro de las nubes y nos encontramos rodeados por gotitas de ácido sulfúrico concentrado. A medida que vamos descendiendo, las partículas de las nubes tienden a hacerse más grandes. En la atmósfera inferior quedan sólo restos del gas acerbo, es decir del dióxido sulfúrico, SO2. Este gas circula sobre las nubes, es descompuesto por la luz ultravioleta del Sol, se recombina allí con agua formando ácido sulfúrico, el cual a su vez se condensa en gotitas, se deposita, y a altitudes más bajas se descompone por el calor en SO2 y en agua otra vez, completando así el ciclo. En Venus, en todo el planeta, siempre está lloviendo ácido sulfúrico, y nunca una gota alcanza la superficie.
La niebla teñida de sulfúrico se extiende hacia abajo hasta unos 45 kilómetros de la superficie de Venus; a esta altura emergemos en una atmósfera densa pero cristalina. Sin embargo, la presión atmosférica es tan alta que no podemos ver la superficie. La luz del Sol rebota en todas las moléculas atmosféricas hasta que perdemos toda imagen de la superficie. Allí no hay polvo, ni nubes, sólo una atmósfera que se hace palpablemente cada vez más densa. Las nubes que cubren el cielo transmiten bastante luz solar, aproximadamente la misma que en un día encapotado de la Tierra.
Venus, con su calor abrasador, con sus presiones abrumadoras, con sus gases nocivos, y con ese brillo rojizo y misterioso que impregna todas las cosas, parece menos la diosa del amor que la encarnación del infierno. Por lo que hemos podido descubrir hasta ahora, hay por lo menos en algunos lugares de la superficie campos cubiertos con un conjunto irregular de rocas desgastadas, un paisaje estéril y hostil, amenazado ocasionalmente por los restos erosionados de un pecio espacial procedente de un planeta lejano, absolutamente invisible a través de aquella atmósfera espesa, nebulosa e invisible [24].
Venus es una especie de catástrofe a nivel planetario. Parece bastante claro actualmente que la alta temperatura de su superficie se debe a un efecto de invernadero a gran escala. La luz solar atraviesa la atmósfera y las nubes de Venus, que son semitransparentes a la luz visible, y alcanza la superficie. La superficie, que se ha calentado, trata de irradiar de nuevo este calor hacia el espacio. Pero al ser Venus mucho más frío que el Sol emite radiaciones principalmente en el infrarrojo, y no en la región visible de] espectro. Sin embargo, el dióxido de carbono y el vapor de agua de la atmósfera de Venus [25] son casi perfectamente opacos a la radiación infrarrojo; el calor del Sol queda atrapado eficazmente, y la temperatura de la superficie aumenta hasta que la pequeña cantidad de radiación infrarrojo que escapa poco a poco de su enorme atmósfera equilibra la luz solar absorbida en la atmósfera inferior y en la superficie.
Nuestro mundo vecino resulta ser un lugar triste y desagradable. Pero volveremos a Venus. Es un planeta fascinante por propio derecho. Al fin y al cabo, muchos héroes míticos de la mitología griega y nórdica, hicieron esfuerzos famosos y reconocidos para visitar el infierno. También hay mucho que aprender sobre nuestro planeta, que es un cielo relativo, comparado con el infierno.

Casco de la construcción de plástico, antes (izquierda) y después (derecha) de una breve exposición a las temperaturas de la superficie de Venus. Fotografiado en el Instituto de Investigaciones del Suroeste, San Antonio, Texas.
La destrucción no sólo se da a través de una erosión de este tipo, lenta y uniforme, sino también por grandes y pequeñas catástrofes. La Esfinge ha perdido la nariz. Alguien disparó sobre ella en un momento de ociosa profanación: unos dicen que fueron los turcos mamelucos, otros los soldados napoleónicos.

Imágenes panorámicas de los Venera 9 y 10 en dos lugares diferentes de la superficie del planeta Venus. En ambas figuras el horizonte se sitúa arriba a la derecha. Obsérvense las formas erosionadas de las rocas de la superficie. (Cedida por el Instituto de Investigaciones Cósmicas, Academia Soviética de Ciencias, Moscú.)

Izquierda: el disco entero de Venus en luz ultravioleta, impreso en los tonos del espectro visible. Las formas se deben a las nubes, que giran de derecha a izquierda, en la alta atmósfera de Venus. Foto del vehículo orbital Pioneer Venus. (Cedida por la NASA.); derecha, Venus creciente en luz visible: solamente vemos las nubes ininterrumpidas de solución de ácido sulfúrico. El color amarillo puede deberse a pequeñas cantidades de azufre. Foto del vehículo orbital Pioneer Venus. (Cedida por la NASA.)
Hay un factor adicional que puede alterar el paisaje y el clima de la Tierra: la vida inteligente, capaz de realizar cambios ambientales en gran escala. Al igual que Venus, también la Tierra tiene un efecto de invernadero debido a su dióxido de carbono y a su vapor de agua. La temperatura global de la Tierra estaría por debajo del punto de congelación del agua si no fuese por el efecto de invernadero, que mantiene los océanos líquidos y hace posible la vida. Un pequeño invernadero es buena cosa. La Tierra tiene, al igual que Venus, unas 90 atmósferas de dióxido de carbono, pero no en la atmósfera sino incluido en la corteza en forma de rocas calizas y de otros carbonatos. Bastaría con que la Tierra se trasladara un poco más cerca del Sol, para que la temperatura aumentara ligeramente. El calor extraería algo de CO2 de las rocas superficiales, generando un efecto más intenso de invernadero que a su vez calentaría de modo incrementar la superficie. Una superficie más caliente vaporizaría aún más los carbonatos y daría más CO2, con la posibilidad de que el efecto de invernadero se disparara hasta temperaturas muy altas.

Dos reconstrucciones en maqueta de la superficie de Venus: la imagen derecha presenta una nave espacial Venera, con su electrónica frita ya desde hace tiempo, erosionándose lentamente en el ambiente hostil de nuestro planeta hermano.
Las principales fuentes de energía de nuestra actual civilización industrial son los llamados carburantes fósiles. Utilizamos como combustible madera y petróleo, carbón y gas natural, y en el proceso se liberan al aire gases de desecho, principalmente CO2. En consecuencia el dióxido de carbono contenido en la Tierra está aumentando de un modo espectacular. La posibilidad de que se dispare el efecto de invernadero sugiere que tenemos que ir con cuidado: incluso un aumento de uno o dos grados en la temperatura global podría tener consecuencias catastróficas. Al quemar carbón, petróleo y gasolina, también introducimos ácido sulfúrico en la atmósfera.

Procesos naturales que alteran el paisaje de un pequeño mundo habitable: la Tierra desde el espacio vista por las naves espaciales Apolo y Landsat a una altura de varios miles de kilómetros. a) el Oriente próximo, África y, visible a través de las nubes, el casquete polar antártico; b) y e) sistemas tormentosos tropicales sobre Florida y el Golfo de México; el tiempo en un planeta con una atmósfera modesta: d) las Montañas Rocosas cubiertas parcialmente de nieve, al oeste mismo de Denver; e) una montaña volcánica en la Tierra: la isla de Hawai; j) sistemas de fallas geológicas en el sur de Swazilandia; g) el delta del río Nilo.
Pero también hemos estado perturbando el clima en el sentido opuesto. Durante cientos de miles de años los seres humanos han estado quemando y talando los bosques, y llevando a los animales domésticos a pastar y a destruir las praderas. La agricultura intensiva, la deforestación industrial de los trópicos y el exceso de pastoreo son hoy desenfrenados. Pero los bosques son más oscuros que las praderas, y las praderas lo son más que los desiertos.
Como consecuencia, la cantidad de luz solar absorbida por el suelo ha ido disminuyendo y los cambios en la utilización del suelo han hecho bajar temperatura de la superficie de nuestro planeta. Es posible que este enfriamiento aumente el tamaño del casquete de hielo polar, el cual con su brillo reflejará aún más la luz solar desde la Tierra, enfriando aún más el planeta y disparando un efecto de albedo [27].
Nuestro encantador planeta azul, la Tierra, es el único hogar que conocemos. Venus es demasiado caliente, Marte es demasiado frío. Pero la Tierra está en el punto justo, y es un paraíso para los humanos. Fue aquí, al fin y al cabo, donde evolucionamos. Pero nuestro agradable clima puede ser inestable. Estamos perturbando nuestro propio planeta de un modo serio y contradictorio. ¿Existe el peligro de empujar el ambiente de la Tierra hacia el infierno planetario de Venus o la eterna era glacial de Marte?

h) el agua congelada es menos densa que el agua líquida: témpanos de hielo en la vía marítima del San Lorenzo; i) glaciares entre ríos en la cordillera Brooks de Alaska: j) formas modeladas por el agua líquida corriendo cuesta abajo sobre la topografía: Jurua, Embira y Tarauca, afluentes del río Amazonas; k) formas que adopta la arena arrastrada por el viento: alineación de dunas en el sur de la península Arábiga; l) el delta del Zhu Jiang. Apenas visibles en esta imagen están Cantón (centro) y Hong Kong (abajo a la derecha).

La costa del Caribe en Venezuela, con sedimentos conducidos hacia el interior del mar. (Cedidas por la NASA.)

La cabeza de la Esfinge, de la Description de l’Egypte publicada en 1809. Las zarpas de la Esfinge estaban entonces totalmente enterradas en la arena y protegidas de la erosión. Excavadas en época más reciente, están mucho mejor preservadas que la cara.

Figura 104 a Escarcha en Utopía. Una fina capa de escarcha de agua helada cubre el suelo a 440 de latitud norte en Marte, en octubre de 1977, al comienzo del invierno boreal. La estructura vertical sostiene la antena de alta ganancia para la comunicación directa del Viking 2 con la Tierra. Los cuadros coloreados y las rayas negras sirven para calibrar las cámaras. El cuadrado negro de bordes blancos; abajo a la izquierda, es un micro punto en el cual están escritas —en pequeño— las firmas de diez mil personas encargadas del diseño, fabricación, comprobación, lanzamiento y control de misión de la nave espacial Viking. Los humanos se han convertido, casi sin darse cuenta, en una especie multiplanetaria. (Cedida por la NASA.)
¿Valoramos por encima del bienestar de la Tierra las ventajas a corto plazo? ¿O pensaremos en escalas mayores de tiempo, preocupándonos por nuestros hijos y por nuestros nietos, intentando comprender y proteger los complejos sistemas que sostienen la vida en nuestro planeta? La Tierra es un mundo minúsculo y frágil. Hay que tratarlo con cariño.
Capítulo 5
Blues para un planeta rojo
En los huertos de los dioses contempla los canales...Hace muchos años, según reza la historia, un célebre editor de periódicos envió un telegrama a un astrónomo destacado: Telegrafíe inmediatamente quinientas palabras sobre posible existencia vida en Marte. El astrónomo respondió obedientemente: Lo ignoramos, lo ignoramos, lo ignoramos... 250 veces.
Enuma Elish Sumer hacia 2 500 a. de C.
Un hombre que opine como Copérnico, que esta Tierra nuestra es un planeta conducido alrededor de] Sol y alumbrado por él como los demás, no podrá evitar que le asalte alguna vez la fantasía... de que el resto de los planetas tienen su propio vestido y su mobiliario, incluso unos habitantes, al igual que esta Tierra nuestra... Pero siempre podíamos concluir diciendo que no valía la pena examinar lo que la naturaleza se había complacido en hacer allí, ya que no había probabilidad alguna de llegar alguna vez al final del examen... Pero hace poco, estaba yo pensando bastante seriamente sobre este tema (y no es que me considere un observador más fino que aquellos grandes hombres [del pasado], sino que he tenido la suerte de vivir después que la mayoría de ellos), cuando pensé que este examen no era tan impracticable ni el camino tan lleno de dificultades, sino que dejaba un margen muy bueno para posibles conjeturas.
CHRISTIAAN HUYGENS, Nuevas conjeturas referentes a los mundos planetarios, sus habitantes y sus producciones, hacia 1690.
Llegará un tiempo en que los hombres serán capaces de ampliar su mirada... y podrán ver los planetas como nuestra propia Tierra.
CHRISTOPHER WREN, Discurso inaugural, Gresham College, 1657.

Tres fotografías de la misma cara de Marte, en las que aparece un casquete polar y marcas brillantes y oscuras, pero no los clásicos canales. A la izquierda y en invierno, el casquete es prominente y queda suavizado el contraste entre las zonas luminosas y las oscuras. En el centro y en primavera, el casquete ha retrocedido y el contraste entre los rasgos brillantes y oscuros es pronunciado. Percival Lowell atribuyó estos cambios estacionales a la proliferación y marchitamiento de la vegetación marciana. A la derecha ya principios de verano, una gran nube de polvo blanco amarillento oscurece los rasgos de la superficie, y apunta a la respuesta correcta del misterio de los cambios estacionales de Marte. (Cedida por el observatorio de la Universidad del Estado de Nuevo México.)
En ambos bandos ha habido excesos. Estas fuertes pasiones han desgastado en cierto modo la tolerancia hacia la ambigüedad, que es esencial en la ciencia. Parece haber mucha gente que lo único que quiere es obtener una respuesta, cualquier respuesta, y que por eso evita el problema de contar con dos posibilidades simultáneas que se excluyen mutuamente. Algunos científicos creyeron que Marte estaba habitado basándose en lo que luego resultaron ser pruebas poco consistentes. Otros concluyeron que el planeta carecía de vida al fracasar o dar un resultado ambiguo la búsqueda de alguna manifestación particular de vida. Los azules del blues han sonado más de una vez para el planeta rojo

Figura 107a Percival Lowell a la edad de cincuenta y nueve años, en Flagstaff (Fotografía del observatorio Lowell.)
Sus perspectivas futuras nos intrigan más que el conocimiento de su pasado. En nuestra época hemos escudriñado las arenas de Marte, hemos afirmado allí una presencia, hemos dado satisfacción a un siglo de sueños.
Nadie hubiese creído en los últimos años del siglo diecinueve que este mundo estaba siendo observado intensa y atentamente por inteligencias mayores que la del hombre y sin embargo tan mortales como él, que mientras los hombres se ocupaban de sus asuntos estaban siendo escudriñados y estudiados, quizás con el mismo detenimiento con que un hombre examina en su microscopio los seres efímeros que pululan y se multiplican en una gota de agua. Los hombres, con una complacencia infinita, se movían ajetreados por este globo en pos de sus insignificantes negocios, tranquilos y seguros de dominar la materia. Es posible que los infusorios bajo el microscopio hagan lo mismo. Nadie se detuvo un momento a considerar los mundos más antiguos del espacio como fuentes de peligro para el hombre, o si alguien pensó en ellos se limitó a juzgar imposible o improbable la idea de que hubiese vida en ellos. Resulta curioso recordar ahora algunos de los hábitos mentales de aquellos días ya pasados. Los hombres terrestres imaginaban, como mucho, que podría haber otros hombres en Marte, quizás inferiores a ellos y dispuestos a aceptar una empresa misionera. Sin embargo, a través de los abismos del espacio, unas mentes que son a las nuestras lo que éstas son a las bestias perecederas, intelectos amplios, fríos y carentes de compasión, contemplaban con ojos envidiosos esta Tierra, y trazaban de modo lento y seguro sus planes contra nosotros.
Estas primeras líneas de la obra clásica de ciencia ficción La guerra de los mundos de H. G. Wells, escrita en 1897, todavía hoy conservan su obsesivo poder[28]. Durante toda nuestra historia ha existido el temor o la esperanza de que hubiese vida más allá de la Tierra. En los últimos cien años esta premonición se ha enfocado en un punto de luz rojo y brillante del cielo nocturno. Tres años antes de que se publicara La guerra de los mundos, un bostoniano llamado Percival Lowell fundó un importante observatorio de donde salieron las más elaboradas declaraciones a favor de la existencia de vida en Marte. Lowell se interesó de joven por la astronomía, marchó a Harvard, consiguió un puesto semioficial de diplomático en Corea, y se dedicó en general a las actividades típicas de la gente rica. Antes de morir, en 1916, había realizado importantes contribuciones a nuestro conocimiento de la naturaleza y evolución de los planetas, a la deducción de la expansión del universo y al descubrimiento del planeta Plutón, en el que intervino y que le debe su nombre. Las primeras dos letras del nombre Plutón son las iniciales de Percival Lowell. Su símbolo es un monograma planetario.

Un mapa de Marte, basado en el de Schiaparelli, dibujado por Brown. Las líneas rectas y curvas son los “canales”. Schiaparelli puso nombre a muchos rasgos y lugares según referencias clásicas y míticas, y sentó las bases de la nomenclatura moderna de Marte, incluyendo Crise y Utopia, puntos de aterrizaje de los Viking 1 y 2.
En 1892 Schiaparelli anunció, cuando su vista ya fallaba, que renunciaba a la observación de Marte. Lowell decidió continuar el trabajo. Quería un lugar de observación de primera categoría, no perturbado por nubes o luces ciudadanas y caracterizado por una buena visión, término que los astrónomos aplican a una atmósfera estática a través de la cual queda minimizado el temblor de una imagen astronómico en el telescopio.
La mala visión se debe a turbulencias de pequeña escala en la atmósfera situada encima del telescopio y es la causa del centelleo de las estrellas. Lowell construyó su observatorio lejos de casa, en Mars Hill de Flagstaff, Arizona[29]. Dibujó los rasgos de la superficie de Marte, especialmente los canales que lo hipnotizaban. Las observaciones de este tipo no son fáciles. Uno se pasa largas horas en el telescopio aguantando el frío del alba.
Con frecuencia la visión es pobre y la imagen de Marte se hace borrosa y distorsionada. Entonces uno debe ignorar lo que ha visto. En ocasiones la imagen se estabiliza y los rasgos del planeta destellan momentáneamente, maravillosamente. Hay que recordar entonces lo que se ha tenido la fortuna de ver y hay que anotarlo cuidadosamente en un papel. Hay que dejar de lado las ideas preconcebidas y dejar constancia con una mente abierta de las maravillas de Marte.
Los cuadernos de Percival Lowell están llenos de lo que creía ver: zonas brillantes y oscuras, un indicio de casquete polar, y canales, un planeta engalanado con canales; Lowell creía que estaba viendo una red, extendida por todo el globo, de grandes acequias de riego que conducían agua desde los casquetes polares en fusión a los sedientos habitantes de las ciudades ecuatoriales.

Lowell sentado ante el telescopio refractor de 24 pulgadas de su observatorio, en 1900. (Fotografía del observatorio Lowell.)
Lowell evocaba un Marte antiguo, árido, marchito, un mundo desierto. Pero continuaba pareciéndose a un desierto de la Tierra. El Marte de Lowell tenía muchos rasgos en común con el suroeste de los Estados Unidos, donde estaba situado el observatorio de Lowell. Imaginaba las temperaturas marcianas algo frías, pero tan soportables como las del Sur de Inglaterra. El aire estaba enrarecido, pero había suficiente oxígeno para hacerlo respirable. El agua era escasa pero la elegante red de canales conducía el líquido portador de vida a todo el planeta.
Ahora sabemos que el reto contemporáneo más serio a las ideas de Lowell tuvo un origen inverosímil. Alfred Russell Wallace, codescubridor de la evolución por selección natural, recibió en 1907 el encargo de comentar uno de los libros de Lowell. Wallace había sido ingeniero en su juventud, y aunque se mostraba algo crédulo en cuestiones de percepción extrasensorial, se mostró admirablemente escéptico en cuanto a la habitabilidad de Marte. Wallace demostró que Lowell se había equivocado al calcular las temperaturas medias de Marte; no eran tan suaves como las temperaturas del Sur de Inglaterra sino que, en todas partes y con poquísimas excepciones, eran inferiores al punto de congelación del agua. Tenía que haber un permafrost, una subsuperficie perpetuamente congelada.

Izquierda: uno de los globos de Marte preparados por Lowell, donde aparecen canales prominentes con sus nombres. (Cedida por el observatorio Lowell.). Derecha: dibujo de Marte realizado en Francia por E. M. Antoniadi, en 1900. Aparecen en él, el casquete polar y la neblina del limbo, pero en condiciones excelentes de observación prácticamente no podían distinguirse canales.
Cualquier intento de transportar este escaso excedente [de agua] por medio de canales de gravedad hasta el ecuador y el hemisferio opuesto, a través de regiones desérticas terribles y expuesta a cielos tan despejados como los que describe el señor Lowell, tendría que ser obra de un equipo de locos y no de seres inteligentes. Puede afirmarse con seguridad que ni una gota de agua escaparía a la evaporación o a la filtración a menos de cien millas de su lugar de procedencia.
Este análisis físico devastador y en gran parte correcto fue escrito por Wallace a los ochenta y cuatro años. Su conclusión fue que en Marte la vida es decir, la existencia de ingenieros civiles interesados en hidráulica era imposible. No dijo nada sobre los microorganismos.

Una ilustración moderna de las novelas de Edgar Rice Burroughs, protagonizadas por John Carter. (Cedida por Ballantine Books.)
Nosotros hemos enviado satélites de reconocimiento en órbita alrededor de Marte. Hemos cartografiado el planeta entero. Hemos hecho aterrizar en su superficie dos laboratorios automáticos. Puede decirse que, desde los días de Lowell, los misterios han aumentado en Marte. Sin embargo, después de estudiar fotografías mucho más detalladas de Marte que cualquier imagen que Lowell pudiera haber vislumbrado nunca, no hemos hallado un solo afluente de la pretendida red de canales, ni una sola esclusa.

Konstantin Eduardovich Tsiolkovsky (1857- 1935), pionero ruso de los cohetes y del espacio. Era profesor de una escuela de provincias, sordo y en gran parte autodidacta, que realizó contribuciones básicas a la astronáutica. Imaginó una época en la que los hombres serían capaces de remodelar el medio ambiente de otros mundos, y en 1896 escribió sobre la comunicación con inteligencias extraterrestres. En 1903 describió con todo detalle un cohete de varias fases y de combustible líquido que podría transportar personas más allá de la atmósfera de la Tierra. (Cedida por Sovfoto.)
Cuando Paul Fox, de Corneli, y yo comparamos los mapas de Lowell sobre Marte con las imágenes orbitales del Mariner 9 que en ocasiones tenían una resolución mil veces superior a la del telescopio refractor de veinticuatro pulgadas de Lowell, situado en la Tierra, no encontramos prácticamente ninguna correlación. Había que excluir que el ojo de Lowell hubiera conectado entre sí pequeños detalles inconexos de la superficie de Marte formando ilusorias líneas rectas. En la posición de la mayoría de sus canales no había manchas oscuras ni cadenas de cráteres. Allí no había rasgos en absoluto. Entonces, ¿cómo podía él haber dibujado los mismos rasgos año tras año? ¿Cómo pudieron otros astrónomos algunos de los cuales dijeron no haber examinado con detalle los mapas de Lowell hasta después de sus propias observaciones dibujar los mismos canales?

Izquierda: Robert Hutchings Goddard (1882-1954) a los once años. Cinco años después, la lectura por entregas de la obra de Wells La guerra de los mundos despertó su imaginación. Al año siguiente, antes de que nadie hubiese volado en un aeroplano o escuchado un aparato de radio, él, subido en un cerezo, ideó un aparato capaz de llegar a Marte. Dedicó el resto de su vida a construirlo. (Cedida por la Biblioteca Goddard, Universidad Clark.), derecha, Goddard a los treinta y cinco años, ajustando a un banco de pruebas una cámara de combustión en acero de un pequeño cohete de carburante sólido. (Cedida por la Biblioteca Goddard, Universidad Clark.)
Parece que los canales de Marte se deben a un funcionamiento defectuoso de la combinación humana mano/ojo/cerebro en condiciones difíciles de visión (por lo menos de la combinación de algunos hombres, porque muchos astrónomos observando con instrumentos de igual calidad en la época de Lowell y después, afirmaron que no había canales). Pero difícilmente puede ser esta explicación completa, y yo tengo la sospecha insistente de que algún aspecto esencial del problema de los canales marcianos está aún por descubrir. Lowell siempre dijo que la regularidad de los canales era un signo inequívoco de su origen inteligente. Y no se equivocaba. Sólo falta saber en qué lado del telescopio estaba la inteligencia.
Los marcianos de Lowell, que eran benignos y esperanzadores, incluso algo parecidos a dioses, eran muy diferentes a la maligna amenaza expuesta por Wells y Welles en La guerra de los mundos. Los dos tipos de ideas pasaron a la imaginación pública a través de los suplementos dominicales y de la ciencia ficción. Yo recuerdo haber leído de niño, fascinado y emocionado, las novelas marcianas de Edgar Rice Burroughs. Viajé con John Carter, caballero aventurero de Virginia, hasta Barsoom, el nombre que daban a Marte sus habitantes. Seguí a manadas de bestias de carga con ocho patas, los thoat. Y conseguí la mano de la bella Dejah Thoris, princesa de Helium. Me hice amigo de un luchador verde de cuatro metros, llamado Tars Tarkas. Me paseé por las ciudades en aguja y por las abovedadas estaciones de Barsoom, y a lo largo de las verdes veredas de los canales de Nylosirtis y Nephentes.
¿Era posible de hecho y no en la fantasía aventurarse realmente con John Carter en el reino de Helium del planeta Marte? ¿Podríamos aventuramos y salir al exterior una tarde de verano, con nuestro camino iluminado por las dos rápidas lunas de Barsoom, viviendo un viaje de altas emociones científicas? Todas las conclusiones de Lowell sobre Marte, incluyendo la existencia de los Tabulados canales, resultaron ser inconsistentes; pero su descripción del planeta tuvo por lo menos esta virtud: logró que generaciones de niños de ocho años, la mía entre ellas, consideraran la exploración de los planetas como una posibilidad real, se preguntaran si nosotros mismos podríamos volar algún día hasta Marte. John Carter consiguió llegar allí simplemente al situarse de pie en un campo extendiendo sus manos y deseándolo. Recuerdo haberme pasado, de niño, bastantes horas con los brazos resueltamente extendidos en un campo solitario implorando a lo que creía que era Marte, para que me trasladara hasta allí. Nunca dio resultado. Tenía que haber otros sistemas.
Las máquinas, al igual que los organismos, también tienen su evolución. El cohete empezó en China, como la pólvora que lo impulsó primeramente, y allí se utilizó para cometidos ceremoniales y estéticos. Fue importado a Europa hacia el siglo catorce, donde se aplicó a la guerra; a finales del siglo diecinueve, el ruso Konstantin Tsiolkovsky, un profesor de escuela, lo propuso como medio para trasladarse a los planetas, y el científico americano Robert Goddard lo desarrolló seriamente por primera vez para el vuelo a gran altitud. PI cohete militar alemán V2 de la segunda guerra mundial empleaba prácticamente todas las innovaciones de Goddard y culminó en 1948 con el lanzamiento de la combinación de dos fases V2/WAC Corporal a la altura entonces sin precedentes de 400 kilómetros.

El primer cohete de combustible líquido que llegó a volar. Lanzado por Robert Goddard el 16 de marzo de 1926, desde la granja de su tía Effie en Auburn, Massachussets, su vuelo duró dos segundos y medio. (Cedida por la Biblioteca Goddard, Universidad Clark.)
Había entre las primeras aplicaciones del cohete espacial, imaginadas con placer por Tsiolkovsky y Goddard (quien de joven había leído a Wells y se había sentido estimulado por las lecturas de Percival Lowell una estación científica orbital para estudiar la Tierra desde una gran altura, y una sonda para detectar vida en Marte. Estos dos sueños han sido ahora realizados.

Un cohete posterior de varias fases y combustible líquido, descendiente directo de los primeros intentos de Goddard. El Apolo 11, pilotado por Neil Armstrong, despegó el 16 de julio de 1969 de Cabo Cañaveral, Florida, para un vuelo de tres días a la Luna. (Cedida por la NASA.)

Búsqueda de vida en la Tierra en luz solar reflejada las imágenes con las que soñó Goddard: la Tierra creciente (a), con una resolución de cientos de kilómetros, muestra a través de las nubes el oeste africano, pero sin señales de vida. Imagen oblicua del Oriente próximo en las cercanías del mar Rojo (b), aparentemente sin vida, con una resolución de decenas de kilómetros. El litoral oriental de los EE. UU. (c), en color infrarrojo falso, con una resolución de unos diez kilómetros, no muestra rastro de vida en Nueva York ni en Washington. La isla Berry (d) en las Bahamas: los arrecifes de coral son fabricados por animales colonizadores, pero esto no es visible desde lo alto. Con una resolución de decenas de metros, la vida inteligente en la Tierra se hace evidente ya. Los cuadrados rojos (e) son terrenos de cultivo equipados con sistemas de riego en los alrededores de Yuma, Arizona, cerca del delta del río Colorado. Las colinas de arena de Coachella, al centro y arriba, están atravesadas por el Canal Interamericano.
Pero cuando mejoramos diez veces la resolución, cuando empezamos a ver detalles de sólo cien metros de longitud, la situación cambia. Muchos lugares de la Tierra parecen cristalizar de repente, revelando una estructura intrincada de cuadrados y rectángulos, de líneas rectas y círculos. Se trata de obras de ingeniería hechas por seres inteligentes: carreteras, autopistas, canales, tierras de labranza, calles urbanas; una estructura que revela las dos pasiones humanas por la geometría euclidiana y por la territorialidad.

El río Columbia (f g), que separa los estados de Washington y de Oregón, aparece con dos resoluciones diferentes. Los círculos son campos de trigo, regados por aspersión con dispositivos rotatorios.

La presencia de inteligencias urbanas queda revelada con resoluciones de decenas de metros, como en Baton Rouge, Louisiana (h), y Washington D. C. (i) Fotos Apolo, Landsat y RB-57. (Cedidas por la NASA.)

Área metropolitana de la ciudad de Nueva York. Vista vertical tomada por el Landsat en el infrarrojo cercano, que tiene como mucho una resolución efectiva de unos cien metros. Es impresionante la geometría horizontal de las calles, puentes y autopistas. Abajo a la derecha puede verse el aeropuerto internacional Kennedy. Los parques y las zonas boscosas aparecen rojas en esta imagen de color falso. En las masas azul oscuro de agua pueden verse las estelas de los barcos. La imagen inferior de la izquierda es una vista oblicua de Nueva York con luz visible tomada desde un avión de reconocimiento RB-57 con una resolución efectiva máxima en Brooklyn (primer término) de unas decenas de metros. Es notable aquí la geometría vertical de los rascacielos en la zona media e inferior de Manhattan, especialmente las torres gemelas del World Trade Center, que proyectan largas sombras. La Estatua de la Libertad puede distinguirse en el centro a la izquierda. Nueva Jersey se extiende en la distancia. (Cedidas por la NASA.) Cuando la resolución mejora hasta un metro o más, y el contraste es fuerte, se hace detectable la forma de vida dominante en el planeta. Pueden verse aquí varias docenas de formas de vida dominantes, esquiando montaña abajo. (Cedida por Photo Researches, fotografía de George Gerster.)
Y si con luz de día perfeccionamos nuestra resolución para poder distinguir objetos de un metro de longitud, empezaremos a detectar organismos individuales: ballenas, vacas, flamencos, personas.
La vida inteligente en la Tierra se manifiesta primeramente a través de la regularidad geométrica de sus construcciones. Si la red de canales de Lowell realmente existiese, la conclusión de que Marte está habitado por seres inteligentes resultaría igualmente convincente. Del mismo modo, para poder detectar fotográficamente la vida en Marte, incluso desde una órbita alrededor de Marte, debería haberse llevado a cabo una remodelación importante de su superficie. Las civilizaciones técnicas, constructoras de canales, podrían detectarse fácilmente. Pero si exceptuamos uno o dos rasgos enigmáticos, en la exquisita profundidad de detalles de la superficie marciana, descubiertos por las naves espaciales no tripuladas, no aparece nada de este tipo.
Sin embargo, hay muchas más posibilidades, existencia de grandes plantas y animales, de microorganismos, de formas extinguidas, o bien de un planeta que ahora está y estuvo siempre privado de vida.
Marte está más lejos del Sol que la Tierra, y sus temperaturas son considerablemente más bajas. Su aire está enrarecido y contiene principalmente dióxido de carbono, aunque haya también algo de nitrógeno molecular, de argón y cantidades muy pequeñas de vapor de agua, oxígeno y ozono.
Es imposible que haya hoy en día masas al aire libre de agua líquida, porque la presión atmosférica de Marte es demasiado baja para impedir que el agua, incluso fría, entre rápidamente en ebullición.

Derecha: Norteamérica de noche, con su perfil marcado por las luces de las grandes ciudades. Es posible incluso distinguir las formas del lago Michigan gracias a las luces del Gran Chicago. Esta imagen permite suponer que existe vida en la Tierra. Pero las luces más brillantes, las del creciente sobre Canadá, no se deben a la biología sino a la aurora boreal. (Cedida por el Programa de Satélites Meteorológicos de la Defensa.), izquierda, el Mediterráneo occidental de noche. Italia y Sicilia están claramente perfiladas por las luces de las ciudades, a la derecha del centro. Las luces más brillantes se deben al gas natural quemado en los campos petrolíferos de Argelia, que como se ve bastarían para iluminar gran parte de la Europa urbana. (Cedida por el Programa de Satélites Meteorológicos de la Defensa.)
Para examinar esta cuestión, hace muchos años, mis colegas y yo preparamos cámaras que simulaban el ambiente marciano entonces conocido, lo inoculamos con microorganismos terrestres y esperamos a ver si alguno sobrevivía. Estas cámaras se han llamado, como era de esperar, botes marcianos. Los botes marcianos hacían oscilar la temperatura según una típica escala marciana desde un punto algo superior al de congelación hacia el mediodía, hasta unos 80 °C poco antes del amanecer, dentro de una atmósfera anóxica compuesta principalmente de CO2 y N2. Unas lámparas ultravioletas reproducían el violento flujo solar. No había agua líquida excepto en películas muy finas que humedecían los granos de arena individualmente. Algunos microbios murieron por congelación después de la primera noche y nunca más volvieron a dar señales de vida. Otros dieron unas boqueadas y acabaron pereciendo por falta de oxígeno. Otros murieron de sed, y algunos quedaron fritos por la luz ultravioleta. Pero siempre quedó un número bastante elevado de variedades de microbios terrestres que no necesitan oxígeno; microbios que cerraron temporalmente el negocio cuando las temperaturas descendieron demasiado; que se ocultaron de la luz ultravioleta bajo los guijarros o bajo finas capas de arena. En otros experimentos cuando se dispuso de pequeñas cantidades de agua líquida, los microbios llegaron incluso a prosperar. Si los microbios terrestres pueden sobrevivir en el ambiente marciano, mucho mejor podrán hacerlo en Marte los microbios marcianos, si es que existen. Pero primero tenemos que llegar allí.

Imagen nocturna del mar del Japón. Las luces más brillantes provienen de unos 1300 buques japoneses y coreanos de las flotas pesqueras del calamar, utilizadas para reclamo. (Cedida por el Programa de Satélites Meteorológicos de la Defensa.)

Un sello soviético que muestra el descenso de la nave espacial Mars 3, todavía con su escudo de ablación, a través de una furiosa tormenta de arena el 2 de diciembre del año 1971.
La primera ilustración que pude ver del Mars 3 fue un sello soviético (valor, 16 kopeks), en el que aparecía dibujada la nave espacial descendiendo a través de una humareda purpúrea. Pienso que el artista intentaba ilustrar polvo y vientos intensos: Mars 3 entró en la atmósfera durante una enorme tormenta de arena de ámbito global. Tenemos pruebas procedentes de la misión americana Mariner 9 de que en aquella tormenta hubo vientos, cerca de la superficie, de más de 140 metros por segundo: velocidad superior a la mitad de la del sonido en Marte. Tanto nuestros colegas soviéticos como nosotros consideramos probable que esos vientos intensos pillaran a la nave espacial Mars 3 con el paracaídas desplegado, de modo que aterrizó suavemente en dirección vertical pero con una velocidad desbocada en la dirección horizontal. Una nave espacial que desciende colgada de los tirantes de un gran paracaídas es particularmente vulnerable a los vientos horizontales. Es posible que, después de aterrizar, el Mars 3 diera unos cuantos botes, golpeara una roca u otra muestra cualquiera del relieve marciano, volcara, perdiera el contacto por radio con el bus que lo había transportado y fallara.
Pero, ¿por qué entró el Mars 3 en medio de una gran tormenta de arena? La misión del Mars 3 fue organizada rígidamente antes de despegar. Cada paso que tenía que dar se registró, antes de partir de la Tierra, en la computadora de a bordo. No había manera de cambiar el programa de la computadora, aún después de darse cuenta de la magnitud de la gran tormenta de arena de 197 1. Puede decirse en la jerga de la exploración espacial, que la misión del Mars 3 era preprogramada, no adaptativa. El fallo del Mars 6 es más misterioso. No había tormenta de ámbito planetario cuando esta nave espacial entró en la atmósfera marciana, y no hay razón alguna para sospechar la existencia de una tormenta local, como a veces ocurre, en el punto de aterrizaje. Quizás se produjo un fallo de ingeniería en el momento justo de tocar la superficie. 0 quizás hay algo especialmente peligroso en relación con la superficie de Marte.
La combinación de éxitos soviéticos en los aterrizajes de Venus y de fallos soviéticos en los aterrizases de Marte, nos causó, como es lógico, una cierta preocupación al preparar la misión norteamericana Viking, que había sido fechada de modo informal, para que depositara suavemente una de sus dos naves sobre la superficie de Marte, coincidiendo con el bicentenario de los EE. UU., el 4 de julio de 1976. La maniobra de aterrizaje del Viking comprendía, como la de sus predecesores soviéticos, un escudo de ablación, un paracaídas y retrocohetes. La atmósfera marciana tiene una densidad de sólo un 1% de la atmósfera terrestre, y por ello se desplegó un paracaídas muy grande, de dieciocho metros de diámetro, para frenar la nave espacial cuando entrara en el aire enrarecido de Marte. La atmósfera es tan poco densa que si el Viking hubiera aterrizado a gran altura no hubiera habido atmósfera suficiente para frenar adecuadamente su descenso y se hubiera estrellado. Por lo tanto una de las condiciones era que el punto de aterrizaje estuviera en una región baja. Los resultados enviados por el Mariner 9 y los estudios de radar desde la Tierra nos habían hecho conocer muchas zonas de este tipo.

Fragmentos del gran Valle del Mariner. Vallis Marineris. Descubierto por el Mariner 9 en 1971-1972, tiene 5 000 kilómetros de longitud y aproximadamente 100 kilómetros de ancho. En la maqueta (arriba) se ven valles afluentes causados posiblemente por corrientes de agua y rayas dibujadas por el viento, relacionadas con cráteres de impacto. Las fotos del Mariner 9 (abajo) muestran las avalanchas que derrumbaron las paredes y ampliaron el valle y un campo de dunas gigantes de arena oscura en el suelo del Vallis Marineris. (Cedidas por la NASA. Maqueta de Don Davis.)
Los vientos que harían estrellarse al vehículo de aterrizaje tendrían probablemente fuerza suficiente para alzar polvo de la superficie. Si pudiésemos controlar que el lugar de aterrizaje propuesto no estaba cubierto con arena flotante y movediza, tendríamos por lo menos una cierta garantía de que los vientos no eran intolerablemente intensos. Esta fue una de las razones para trasladar cada vehículo de aterrizaje Viking con su vehículo orbital hasta la órbita de Marte, y allí retrasar el descenso hasta que el vehículo orbital hubo estudiado el lugar de aterrizaje. Habíamos descubierto con el Mariner 9 que en épocas de vientos intensos se producen cambios característicos en los rasgos brillantes y oscuros de la superficie marciana. Si las fotografías orbitales de un determinado punto de aterrizaje para el Viking hubieran mostrado tales estructuras movedizas, desde luego no lo habríamos considerado seguro. Pero nuestras garantías no podían ofrecer una seguridad del cien por cien. Podríamos imaginar, por ejemplo, un punto de aterrizaje donde los vientos fueran tan fuertes que se hubiesen llevado ya todo el polvo móvil. Entonces careceríamos de pistas sobre la posible presencia de vientos intensos en aquel punto. Las predicciones meteorológicas detalladas sobre Marte eran por supuesto mucho menos seguras que las de la Tierra. Uno de los muchos objetivos de la misión Viking era precisamente proporcionar información sobre la meteorología de ambos planetas.
A causa de las limitaciones impuestas por las comunicaciones y por la temperatura, el Viking no podía aterrizar en latitudes marcianas elevadas. A distancias hacia el polo superiores a unos 45º o 50º en ambos hemisferios, hubieran sido inoportunamente cortos tanto el útil de comunicación de la nave espacial con la Tierra como el tiempo durante el cual la nave espacial evitaría unas temperaturas peligrosamente bajas.
No deseábamos aterrizar en un lugar demasiado accidentado. La nave espacial podía volcar o estrellarse, o si no el brazo mecánico, al intentar obtener muestras del suelo marciano, podía quedar agarrotado o colgando y moviéndose inútilmente a un metro de la superficie. Tampoco queríamos aterrizar en lugares que estuvieran demasiado blandos. Si los tres pies de aterrizaje de la nave espacial se hubieran hundido profundamente en un suelo poco consistente, se habrían producido varias consecuencias indeseables, incluyendo la inmovilización del brazo de muestreo. Pero tampoco queríamos aterrizar en un lugar demasiado duro; si hubiésemos aterrizado en un campo de lava vítrea, por ejemplo, sin rastro de materia polvorienta en la superficie, el brazo mecánico no hubiese podido obtener las muestras vitales para los experimentos químicos y biológicos previstos.

Arriba: Composición en color tomada por el vehículo orbital Viking de tres de los cuatro grandes volcanes de Tarsis en Marte y las provincias occidentales del Vallis Mariners. Imagen del Mariner 9 (abajo izquierda) y maqueta (abajo derecha) del monte Olimpo, Olympus Mons, la mayor masa volcánica identificada hasta la fecha de modo inequívoco en el sistema solar. Su área tiene aproximadamente el tamaño de Arizona y su altitud es casi tres veces la del monte Everest. Se formó en una época de gran actividad geológica en Marte hace unos mil millones de años. (Cedidas por la NASA. Maqueta de Don Davis.)
Afortunadamente existía una técnica que nos capacitaba para determinar la aspereza o la blandura del lugar de aterrizaje propuesto: el radar. Un lugar muy accidentado dispersa el haz de radar procedente de la Tierra hacia sus lados y por lo tanto resulta escasamente reflector, es decir oscuro visto con el radar. Un lugar muy blando resulta escasamente reflector a causa de los muchos intersticios existentes entre cada grano de arena. No podíamos distinguir los lugares accidentados de los lugares blandos, pero no necesitábamos distinciones de este tipo para seleccionar el lugar de aterrizaje. Sabíamos que ambos terrenos eran peligrosos. Estudios preliminares de radar indicaban que de un cuarto a un tercio de la superficie de Marte podía ser oscura al radar, y por lo tanto peligrosa para el Viking. Pero a través de radares instalados en la Tierra no se puede examinar la totalidad de Marte: sólo una franja comprendida aproximadamente entre los 250 N y los 25o S. El vehículo orbital Viking no transportaba ningún sistema de radar para cartografiar la superficie.
Había muchas limitaciones, quizás demasiadas, nos temíamos. Nuestros puntos de aterrizaje no podían ser demasiado altos ni estar excesivamente expuestos al viento, ni ser demasiado duros, ni demasiado blandos, ni demasiado accidentados, ni demasiado próximos al polo. Resultaba notable que hubiese en todo Marte algunos lugares que satisficiesen simultáneamente todos nuestros criterios de seguridad. Pero también quedaba claro que nuestra búsqueda de puertos seguros nos dirigía a aterrizar en lugares que eran en su mayor parte aburridos.
Cuando cada una de las dos combinaciones vehículo orbital vehículo de aterrizaje del Viking quedaba insertada en órbita marciana estaba destinada ya, de modo inalterable, a aterrizar en una cierta latitud de Marte. Si el punto bajo de la órbita estaba a 210 de latitud norte marciana, el vehículo de aterrizaje descendería a 2 lo N, aunque bastaría esperar que el planeta girase debajo suyo para poder aterrizar en cualquier longitud.

Izquierda: neblina matutina y escarcha en el terreno profundamente erosionado de Noctis Labyrinthus, Laberinto de la Noche. Foto del vehículo orbital Viking. (Cedida por la NASA.), centro, una parte del Kasei Vallis, un antiguo valle fluvial en Marte. Kasei en japonés significa Marte. Los cráteres de impacto en el suelo del canal son una prueba de su gran antigüedad. La abundancia de agua líquida en los comienzos de la historia marciana hace suponer que alguna vez las condiciones de vida fueron más favorables. Foto del vehículo orbital Viking. (Cedida por la NASA.), derecha, terreno con cráteres cerca de la Cuenca de Crise, inundado hace tiempo por torrentes de agua líquida. Esta fue una razón para elegir a Crise como punto de aterrizaje del Viking 1, pero motivos de seguridad aconsejaron desplazar este punto fuera de la cuenca en sí. (Cedida por la NASA.)
Crise parecía satisfacer todos los criterios de seguridad. Pero las observaciones de radar habían estudiado zonas cercanas y no el mismo lugar de aterrizaje de Crise. A causa de la geometría de la Tierra y de Marte, hasta unas pocas semanas antes de la fecha nominal del aterrizaje no se realizaron las primeras observaciones de radar de Crise.
La latitud propuesta para el aterrizaje del Viking 2 era 44° N; el primer punto, un lugar llamado Cidonia, fue elegido porque, según ciertos argumentos teóricos, había una probabilidad significativa de hallar allí pequeñas cantidades de agua líquida, al menos en alguna temporada del año marciano. Los experimentos biológicos del Viking estaban muy orientados hacia organismos que se sienten cómodos en el agua líquida, y por ello algunos científicos afirmaban que la posibilidad de que el Viking encontrara vida aumentaría sustancialmente en Cidonia.
Por otro lado se decía que si había microorganismos en algún lugar de un planeta con vientos tan fuertes como los de Marte, estarían también en todas partes. Ambas posturas parecían justificadas y era difícil decidirse entre ellas. Pero lo que en definitiva estaba muy claro era que los 44° N eran totalmente inaccesibles a la comprobación por radar del punto de aterrizaje; teníamos que aceptar el importante riesgo de que el Viking 2 fracasara si lo enviábamos a las altas latitudes septentrionales. Se decía en ocasiones que si el Viking 1 descendía y funcionaba correctamente podríamos permitirnos un riesgo mayor con el Viking 2. Me encontré a mí mismo dando recomendaciones muy cautelosas sobre el destino de una misión que había costado mil millones de dólares. Podía imaginar, por ejemplo, el fallo de un instrumento clave en Crise justamente después de un desafortunado y violento aterrizaje en Cidonia. Para mejorar las opciones del Viking, se seleccionaron lugares de aterrizaje adicionales, muy diferentes geológicamente de Crise y de Cidonia, en la región comprobada por radar cerca de la latitud 4º S. Hasta prácticamente el último minuto no se tomó la decisión de que el Viking descendiera en una latitud alta o baja, y el punto elegido finalmente, en la misma latitud que Cidonia, fue un lugar con el esperanzador nombre de Utopía.
El lugar de aterrizaje previsto originalmente para el Viking 1, después de examinar las fotografías del vehículo orbital y los datos de última hora del radar con base en la Tierra, nos pareció inaceptablemente arriesgado. Durante un tiempo me imaginé al Viking 1 condenado, como el legendario holandés errante, a vagar para siempre por los cielos de Marte, sin encontrar nunca un puerto seguro. Por fin encontramos un lugar adecuado, también en Crise pero lejos de la confluencia de los cuatro viejos canales. El retraso nos impidió hacerlo aterrizar el 4 de julio de 1976, pero todos estaban de acuerdo en que un aterrizaje accidentado por aquellas fechas sería un regalo no muy satisfactorio para el doscientos cumpleaños de los Estados Unidos. Dieciséis días más tarde encendimos los retrocohetes para salir de órbita y entramos en la atmósfera marciana.
Después de un viaje interplanetario de año y medio, con un recorrido de cien millones de kilómetros dando un rodeo alrededor del Sol, cada combinación vehículo orbital / vehículo de aterrizaje se insertó en su órbita correcta alrededor de Marte; los vehículos orbitales estudiaron los lugares de aterrizaje propuestos; los vehículos de aterrizaje entraron en la atmósfera de Marte dirigidos por radio, orientaron correctamente sus escudos de ablación, desplegaron los paracaídas, se despojaron de las cubiertas, y encendieron los retrocohetes. Por primera vez en la historia de la humanidad, naves espaciales tocaron en Crise y en Utopía el suelo del planeta rojo, de modo suave y seguro. Estos triunfales aterrizases se debieron en gran parte a la gran capacidad técnica aplicada a su diseño, fabricación y puesta a prueba, y a la habilidad de los controladores de la nave espacial. Pero también, al ser Marte un planeta tan peligroso y misterioso, intervino por lo menos un elemento de suerte.
Inmediatamente después del aterrizaje tenían que enviarse las primeras imágenes. Sabíamos que habíamos elegido lugares poco interesantes. Pero podíamos tener esperanzas. La primera imagen que tomó el vehículo de aterrizaje del Viking 1 fue de uno de sus pies: si el vehículo se iba a hundir en las arenas movedizas de Marte, queríamos enteramos antes de que la nave espacial desapareciese. La imagen se fue formando, línea a línea, hasta que pudimos ver con gran alivio el pie asentado firmemente y sin mojarse sobre la superficie de Marte. Pronto se materializaron otras imágenes, con cada elemento de la fotografía transmitido por radio individualmente a la Tierra.
Recuerdo que me quedé asombrado ante la primera imagen del vehículo de aterrizaje que mostraba el horizonte de Marte. Aquello no era un mundo extraño, pensé; conocía lugares como aquél en Arizona, en Colorado y en Nevada. Había rocas y arena acumulada y una eminencia en la distancia, todo tan natural y espontáneo como cualquier paisaje de la Tierra. Marte era un lugar. Por supuesto, me hubiera sorprendido ver a un explorador canoso surgir de detrás de una duna, conduciendo su mula, pero al mismo tiempo la idea no parecía descabellada. No me había pasado por la cabeza nada remotamente parecido durante todas las horas que pasé examinando las imágenes de la superficie de Venus tomadas por los Venera 9 y 10. Sabía que de un modo u otro ése era el mundo al cual regresaríamos.
El paisaje es vigoroso, rojo y encantador: por encima del horizonte asoman rocas arrojadas en la creación de un cráter, pequeñas dunas de arena, rocas que han estado repetidamente cubiertas y descubiertas por el polvo de acarreo, plumas de un material de grano fino arrastradas por el viento.

Izquierda: el vehículo de aterrizaje Viking envuelto en su escudo de ablación en forma de caparazón aéreo (abajo), se separa del vehículo orbital y entra en la atmósfera enrarecida de Marte. Ambos vehículos están en órbita alrededor de Marte, situado a miles de kilómetros más abajo, con su prominente casquete polar. (Dibujo de Don Davis). Derecha: el vehículo de aterrizaje Viking 1, aún en su caparazón aéreo, cuando comienza a desplegar su paracaídas. Este dibujo de Don Davis, realizado antes del aterrizaje, presenta el descenso sobre el punto original de aterrizaje en Crise. Gracias a los datos obtenidos después del aterrizaje, sabemos ahora que el cielo marciano no es azul, sino una especie de amarillo rosáceo, debido a la presencia en suspensión de finas partículas oxidadas.
El Viking ha proporcionado respuestas definitivas, o por lo menos aceptables, a cada una de estas preguntas. El Marte que nos revela la misión Viking es de un enorme interés, especialmente si recordamos que los lugares de aterrizaje fueron elegidos por su aspecto aburrido. Pero las cámaras no revelaron signo alguno de constructores de canales, ni de coches volantes barsoomianos, ni de espadas cortas, ni de princesas u hombres luchando, ni de thoats o huellas de pisadas, ni siquiera de un cactus o de una rata canguro. En todo lo que alcanzaba la mirada, no había señal alguna de vida [30].
Quizás haya grandes formas de vida en Marte, pero no en nuestros dos lugares de aterrizaje. Quizás haya formas más pequeñas en cada roca y en cada grano de arena. Durante la mayor parte de su historia las regiones de la Tierra que no estaban cubiertas de agua se parecían bastante a lo que hoy en día es Marte: con una atmósfera rica en dióxido de carbono, con una luz ultravioleta incidiendo violentamente sobre la superficie a través de una atmósfera desprovista de ozono. Las plantas y animales grandes no colonizaron la Tierra hasta la última décima parte de la historia de nuestro planeta. Y sin embargo, durante tres mil millones de años hubo microorganismos por toda la Tierra. Si queremos buscar vida en Marte tenemos que buscar microbios.
El vehículo de aterrizaje Viking extiende las capacidades humanas a paisajes distintos y extraños. Según algunos criterios, es casi tan listo como un saltamontes; según otros, su inteligencia está al nivel de una bacteria. No hay nada insultante en estas comparaciones. La naturaleza tardó cientos de millones de años en crear por evolución una bacteria, y miles de millones de años para hacer un saltamontes. Tenemos solamente un poco de experiencia en estos asuntos, y ya nos convertiremos en expertos. El Viking tiene dos ojos como nosotros, pero a diferencia de los nuestros también trabajan en el infrarrojo; un brazo de muestreo que puede empujar rocas, excavar y tomar muestras del suelo; una especie de dedo que saca para medir la velocidad y la dirección de los vientos; algo equivalente a una nariz y a unas papilas gustativas, que utiliza para captar con mucha mayor precisión que nosotros la presencia de rastros de moléculas; un oído interior con el cual puede detectar el retumbar de los temblores marcianos y las vibraciones más suaves causadas por el viento en la nave espacial; y sistemas para detectar microbios. La nave espacial tiene su propia fuente independiente de energía radiactiva. Toda la información científica que obtiene la radia a la Tierra. Recibe instrucciones desde la Tierra, y de este modo los hombres pueden ponderar el significado de los resultados del Viking y comunicar a la nave espacial que haga algo nuevo.

Izquierda: el terreno suave de Crise Planitia donde aterrizó el Viking 1. El aterrizaje tuvo lugar a pocos kilómetros del punto pre-visto, marcado aquí con la cruz, tras un viaje interplanetario de varios cientos de millones de kilómetros. (Cedida por la NASA). Derecha: aterrizaje en el Valle de la Muerte, California, simulando el del Viking en Marte. Las últimas fases del descenso son frenadas por el encendido de los retrocohetes. (Fotografía. Bill Ray.)
Desarrolló un pequeño aparato para enviarlo a los planetas. Sus amigos lo llamaron la Trampa del Lobo. Había que transportar hasta Marte una pequeña ampolla de materia orgánica nutriente, obtener una muestra de tierra de Marte para mezclarla con ella, y observar los cambios en la turbidez del líquido a medida que los bacilos marcianos (suponiendo que los hubiese) crecían (suponiendo que lo hicieran). La Trampa del Lobo fue seleccionada junto con otros tres experimentos microbiológicos para viajar a bordo de los vehículos de aterrizaje del Viking. Dos de los otros tres experimentos también se basaban en dar comida a los marcianos. El éxito de la Trampa del Lobo depende de que a los bacilos les guste el agua. Algunos pensaron que Vishniac sólo conseguiría ahogar a sus marcianitos. Pero la ventaja de la Trampa del Lobo es que no imponía condiciones a los microbios marcianos sobre lo que debían hacer con su comida. Solamente tenían que crecer. Los demás experimentos formulaban suposiciones concretas sobre gases que los microbios iban a desprender o absorber, suposiciones que eran poco más que conjeturas.
La Administración Nacional de Aeronáutica y del Espacio (NASA), que dirige el programa de exploración planetario de los Estados Unidos, es propensa a recortar con frecuencia y de un modo imprevisible los presupuestos. Sólo en raras ocasiones hay incrementos imprevistos en los presupuestos. Las actividades científicas de la NASA tienen un apoyo gubernamental muy poco efectivo, y la ciencia es con frecuencia la víctima propiciatoria cuando hay que retirar dinero de la NASA. En 1971 se decidió que debía eliminarse uno de los cuatro experimentos microbiológicos y se cargaron la Trampa del Lobo. Esto fue una decepción abrumadora para Vishniac, que había dedicado doce años a esta investigación.
Muchos en su lugar se hubieran largado airadamente del Equipo Biológico del Viking. Pero Vishniac era un hombre apacible y perseverante. Decidió que como mejor podía servir a la causa de buscar vida en Marte era trasladándose al medio ambiente que en la Tierra más se parecía al de Marte: los valles secos de la Antártica. Algunos investigadores habían estudiado ya el suelo de la Antártica y llegaron a la conclusión de que los pocos microbios que pudieron encontrar no eran realmente nativos de los valles secos, sino que habían sido transportados allí por el viento desde otros ámbitos más clementes. Vishniac recordó los experimentos con los Botes marcianos, consideró que la vida era tenaz y que la Antártica era perfectamente consecuente con la microbiología.

Izquierda: Wolf Vladimir Vishniac, microbiólogo (1922-1973). Fotografiado en 1973 en la Antártida. (Cedida por Zeddíe Bowen). Derecha: El brazo de muestreo del Viking 1, en Mar-te, recoge del suelo muestras para los experimentos microbiológicos, dejando luego (derecha) una zanja superficial. (Cedida por la NASA.)
Muchas de las estaciones microbiológicas de Vishniac están aún instaladas en la Antártica. Pero las muestras recogidas fueron examinadas, siguiendo sus métodos, por sus colegas profesionales y sus amigos. Se encontró, en prácticamente cada lugar examinado, una amplia variedad de microbios que habrían sido indetectables con técnicas de tanteo convencionales. Su viuda, Helen Simpson Vishniac, descubrió entre sus muestras una nueva especie de levadura, aparentemente exclusiva de la Antártica. Grandes rocas traídas de la Antártica por esa expedición, y examinadas por lmre Friedmann, resultaron tener una fascinante microbiología: a uno o dos milímetros de profundidad dentro de la roca, las algas habían colonizado un mundo diminuto, en el cual quedaban aprisionadas pequeñas cantidades de agua y se hacían líquidas. Un lugar como éste hubiera sido más interesante todavía en Marte, porque la luz visible necesaria para la fotosíntesis penetraría hasta esa profundidad, pero la luz ultravioleta bactericida quedaría por lo menos parcialmente atenuada.
Como el plan de una misión espacial queda concluido muchos años antes del lanzamiento, y debido a la muerte de Vishniac, los resultados de sus experimentos antárticos no influyeron en el sistema seguido por el Viking para buscar vida en Marte. En general, los experimentos microbiológicos no se llevaron a cabo en la baja temperatura marciana, y la mayoría no preveían tiempos largos de incubación. Todos ellos formulaban suposiciones bastante concretas sobre cómo tenía que ser el metabolismo marciano. No había posibilidad de buscar vida dentro de las rocas.
Cada vehículo de aterrizaje del Viking iba equipado con un brazo de muestreo para sacar material de la superficie y retirarlo lentamente hacia el interior de la nave espacial, a fin de transportar luego las partículas en pequeñas tolvas, como un tren eléctrico, hacia cinco experimentos diferentes: uno sobre la química inorgánico del suelo, otro para buscar moléculas orgánicas en el polvo y en la arena, y tres para buscar vida microbiana.

Izquierda: Arena y polvo arrastrados por el viento al socaire de los cráteres de impacto de Sinus Meridiani. (Cedida por la NASA). Derecha: Arena y polvo arrastrados por el viento al socaire de pequeñas rocas en la zona del aterrizaje del Viking 1. (Cedida por la NASA.)
Cada uno de los tres experimentos microbiológicos responde a un tipo de pregunta, pero siempre a una pregunta sobre el metabolismo marciano. Si hay microorganismos en el suelo de Marte, deben ingerir alimento y desprender gases de desecho; o deben de tomar gases de la atmósfera y convertirlos, quizás con la ayuda de luz solar, en materiales utilizables. Por lo tanto, llevamos comida a Marte confiando en que los marcianos, suponiendo que haya alguno, la encuentren sabrosa. Luego esperamos que se desprenda del suelo algún nuevo gas interesante. O bien suministramos nuestros propios gases marcados radiactivamente para ver si se convierten en materia orgánica, en cuyo caso deducimos la existencia de pequeños marcianos.
De acuerdo con los criterios fijados antes del lanzamiento, dos de los tres experimentos microbiológicos del Viking parecen haber dado resultados positivos. Primero, al mezclar el suelo marciano con una sopa orgánica de la Tierra, algo del suelo descompuso químicamente la sopa; casi como si hubiera microbios respirando y metabolizando un paquete de comida de la Tierra. Segundo, al introducir los gases de la Tierra en la muestra del suelo marciano, los gases se combinaron químicamente con el suelo; casi como si hubiera microbios fotosintetizadores, que generaron materia orgánica a partir de los gases atmosféricos. Los resultados positivos de la microbiología marciana se obtuvieron en siete muestreos diferentes y en dos lugares de Marte separados por 5 000 kilómetros de distancia.
Pero la situación es compleja, y quizás los criterios de éxito experimental fueron inadecuados. Se hicieron enormes esfuerzos para montar los experimentos microbiológicos del Viking y ponerlos a prueba con toda una variedad de microbios. Pero se trabajó muy poco para calibrar los experimentos con probables materiales inorgánicos de la superficie de Marte. Marte no es la Tierra. Como nos recuerda el legado de Percival Lowell, podemos muy bien engañamos. Quizás el suelo marciano contiene una química inorgánico exótica, capaz por sí misma y en ausencia de microbios marcianos, de oxidar las materias comestibles. Quizás hay algún catalizador inorgánico especial en el suelo, no vivo, capaz de atrapar gases atmosféricos y convertirlos en moléculas orgánicas.
Experimentos recientes sugieren que quizás sea así. En la gran tormenta de polvo marciana del año 1971, el espectrómetro infrarrojo del Mariner 9 obtuvo datos espectrales del polvo. Al analizar ese espectro, O. B. Tollon, J. B. Pollack y yo nos encontramos con que ciertos rasgos parecían responder mejor a la montmorillonita y a otros tipos de arcilla. Observaciones posteriores por el vehículo de aterrizaje del Viking apoyan la identificación de las arcillas arrastradas por el viento en Marte. Ahora bien, A. Banin y J. Rishpon se han encontrado con que podían reproducir algunos de los aspectos claves tanto los que parecían fotosíntesis como los que parecían respiración de los experimentos microbiológicos positivos del Viking, si en los experimentos de laboratorio ponían tales arcillas en lugar del suelo marciano. Las arcillas tienen una superficie activa compleja, propensa a absorber y a emitir gases y a catalizar reacciones químicas. Es demasiado pronto para decir que todos los resultados microbiológicos del Viking pueden explicarse por la química inorgánico, pero un resultado de este tipo ya no nos sorprendería., La hipótesis de la arcilla no excluye de ningún modo que haya vida en Marte, pero nos lleva realmente a un punto tal que nos permite decir que no hay pruebas convincentes para la microbiología en Marte.

Izquierda: Roca con arena encima conocida como el "Gran Joe" en Crise. Si el Viking 1 hubiese aterrizado sobre ella, la nave espacial se habría estrellado. (Cedida por la NASA). Derecha: Ligero movimiento de arena, quizás provocado por el viento, en la base del "Gran Joe." (Cedida por la NASA.)
La superficie marciana muestra muchos cráteres de impacto, cada uno llamado según el nombre de una persona, normalmente de un científico. El cráter Vishniac está situado de modo idóneo en la región antártico de Marte. Vishniac no dijo que hubiese vida en Marte, simplemente que era posible, y que era extraordinariamente importante saber si la había. Si existe vida en Marte, tendremos una oportunidad única para poner a prueba la generalidad de nuestra forma de vida. Y si no hay vida en Marte, un planeta bastante similar a la Tierra, debemos entender el porqué; ya que en ese caso, como recalcó Vishniac, tenemos la clásica confrontación científica del experimento y del control.
El descubrimiento de que los resultados microbiológicos del Viking pueden ser explicados por las arcillas, de que no implican necesariamente la existencia de vida, ayuda a resolver otro misterio: el experimento de química orgánica del Viking no manifestó ni rastro de materia orgánica en el suelo de Marte. Si hay vida en Marte, ¿dónde están los cuerpos muertos? No pudo hallarse molécula orgánica alguna; ni los bloques constructivos de proteínas y de ácidos nucleicos, ni hidrocarbonos simples, es decir, ningún rastro de la sustancia de la vida en la Tierra. No es necesariamente una contradicción, porque los experimentos microbiológicos del Viking son un millar de veces más sensibles (por átomo de carbono equivalente) que los experimentos químicos del Viking, y parece que detectan materia orgánica sintetizada en el suelo marciano. Pero esto no deja mucho margen. El suelo terrestre está cargado con residuos orgánicos de organismos vivos anteriormente; el suelo de Marte tiene menos materia orgánica que la superficie de la Luna. Si nos aferramos a la hipótesis de vida, podemos suponer que los cuerpos muertos han sido destruidos por la superficie de Marte, que es químicamente reactiva y oxidante, como un germen en una botella de peróxido de hidrógeno; o que hay vida, pero de una clase en la cual la química orgánica juega un papel menos básico que el que tiene en la vida de la Tierra.
Pero esta última alternativa me parece un argumento especioso: soy, aunque me pese, un declarado chauvinista del carbono. El carbono abunda en el Cosmos. Construye moléculas maravillosamente complejas, buenas para la vida. También soy un chauvinista del agua. El agua constituye un sistema solvente ideal para que pueda actuar en él la química orgánica, y permanece liquida en una amplia escala de temperaturas. Pero a veces me pregunto: ¿Es posible que mi cariño por estos materiales se deba, en cierto modo, a que estoy compuesto principalmente por ellos? ¿Estamos basados en el carbono y en el agua porque esos materiales eran abundantes en la Tierra cuando apareció en ella la vida? ¿Es posible que la vida en otro lugar en Marte, por ejemplo esté compuesta de sustancias distintas?

El vehículo de aterrizaje Viking, simulando una operación en el Valle de la Muerte, California. Entre las dos torres que contienen las cámaras de televisión está la funda que guarda el brazo de muestreo todavía sin desplegar. (Fotografía, Bill Ray.)
Pero la esencia de la vida no son tanto los átomos y las simples moléculas que nos constituyen como la manera de combinarse entre sí. De vez en cuando alguien nos recuerda que las sustancias químicas que forman el cuerpo humano cuestan noventa y siete centavos o diez dólares o alguna cifra de este tipo; es algo deprimente descubrir que nuestros cuerpos están tan poco valorados. Sin embargo, estas estimaciones son válidas sólo para los seres humanos reducidos a sus componentes más simples posibles. Nosotros estamos constituidos principalmente por agua, que apenas cuesta nada; el carbono se valora en forma de carbón; el calcio de nuestros huesos en forma de yeso; el nitrógeno de nuestras proteínas en forma de aire (también barato); el hierro de nuestra sangre en forma de clavos herrumbrosos. Si sólo supiésemos esto, podríamos sentir la tentación de reunir todos los átomos que nos constituyen, mezclarlos en un gran recipiente y agitar. Podemos estamos todo el tiempo que queramos haciéndolo. Pero al final lo único que conseguiremos es una aburrida mezcla de átomos. ¿Qué otra cosa podíamos esperar?

Izquierda: Casquete polar septentrional de Marte, rodeado de campos de dunas de arena oscura. Este casquete está formado principalmente de agua helada; el casquete polar meridional lo está principalmente de dióxido de carbono congelado. Para oscurecer los casquetes sería más fácil desplazar la arena circundante que transportar el material desde la Tierra. Pero los vientos volverían a limpiar los casquetes. Foto del Mariner 9. (Cedida por la NASA.). Derecha: Grandes acantilados helados, de un kilómetro de altura en las terrazas, dispuestos como placas apiladas en el casquete polar septentrional de Marte. Los puntos forman-do trama son marcas de calibración del sistema de imagen del Mariner 9. (Cedida por la NASA.)
Pienso que las formas de vida de muchos mundos estarán compuestas en principio por los mismos átomos que tenemos aquí, quizás también por muchas de las mismas moléculas básicas, como proteínas y ácidos nucleicos; pero combinados de modos desconocidos. Quizás si hay organismos flotando en las densas atmósferas planetarias tendrán una composición atómica muy parecida a la nuestra, pero es posible que carezcan de huesos y que por lo tanto no necesiten mucho calcio. Quizás en otros lugares se utilice un solvente diferente del agua. El ácido fluorhídrico puede servir bastante bien, aunque no haya una gran cantidad de flúor en el Cosmos; el ácido fluorhídrico causaría mucho daño al tipo de moléculas de que estamos hechos; pero otras moléculas orgánicas, las ceras de parafina, por ejemplo, se mantienen perfectamente estables en su presencia. El amoníaco líquido resultaría un sistema solvente todavía mejor, ya que el amoníaco es muy abundante en el Cosmos. Pero sólo es líquido en mundos mucho más fríos que la Tierra o que Marte. El amoníaco es normalmente un gas en la Tierra, como le sucede al agua en Venus. 0 quizás haya cosas vivas que no tienen ningún sistema solvente: una vida de estado sólido donde en lugar de moléculas flotando hay señales eléctricas que se propagan.
Pero estas suposiciones no salvan la idea de que los experimentos del vehículo de aterrizaje Viking indican la presencia de vida en Marte. En ese mundo bastante parecido a la Tierra, con abundancia de carbono y de agua, la vida, si es que existe, debería estar basada en la química orgánica. Los resultados de química orgánica, como los resultados fotográficos y microbiológicos, coinciden todos ellos en que a finales de los setenta no hay vida en las partículas finas de Crise y Utopía. Quizás a algunos milímetros de profundidad bajo las rocas (como en los valles secos de la Antártica), o en algún otro lugar del planeta, o en una época anterior, de clima más benigno. Pero no en el lugar y en el momento en que nosotros buscábamos.
La exploración de Marte por el Viking constituye una misión de la mayor importancia histórica; es la primera búsqueda seria de otros posibles tipos de vida, la primera supervivencia de una nave espacial funcionando durante más de una hora en cualquier otro planeta (el Viking 1 sobrevivió durante años), el origen de una rica cosecha de datos de geología, sismología, mineralogía, meteorología y media docena más de ciencias de otro mundo.

Izquierda: Marcas lineales no explicadas en la meseta de Tarsis. Foto del Mariner 9. (Cedida por la NASA.). Derecha: Las pirámides de Elisio. Foto del Mariner 9. (Cedida por la NASA.)
Sin embargo, se nos plantea un nuevo problema: la contaminación de retorno. Si deseamos examinar en la Tierra muestras del suelo marciano en busca de microbios, no podemos por supuesto esterilizar de antemano las muestras. El objetivo de la expedición es traerlas vivas hasta aquí. Pero, ¿y entonces qué? ¿Podrían plantear un riesgo para la salud pública los microorganismos marcianos llegados a la Tierra? Los marcianos de H. G. Wells y de Orson Welles no se dieron cuenta hasta que fue demasiado tarde que sus defensas inmunológicas resultaban inútiles contra los microbios de la Tierra. ¿Es posible lo contrario? El problema es serio y difícil. Puede que no haya micro marcianos. Si existen, quizás podamos comemos un kilo sin sufrir efectos negativos. Pero no es seguro, y está en juego algo muy valioso. Si queremos llevar a la Tierra muestras marcianas sin esterilizar, hay que disponer de un sistema de contención asombrosamente seguro. Hay naciones que desarrollan y almacenan reservas de armas bacteriológicas. Parece que han sufrido accidentes ocasionales, pero sin producir todavía, según creo, pandemias globales: quizás sea posible enviar sin riesgo muestras marcianas a la Tierra. Quisiera estar muy seguro antes de proyectar una misión para el envío a la Tierra de estas muestras.
Hay otro modo de investigar Marte y todo el conjunto de delicias y descubrimientos que nos reserva este planeta heterogéneo. La emoción más constante que sentía al trabajar con las imágenes del vehículo de aterrizaje Viking fue la frustración provocada por nuestra inmovilidad. Inconscientemente empecé a pedir a la nave espacial que se pusiese al menos de puntillas, como si este laboratorio diseñado para la inmovilidad, se negara obstinadamente a dar un miserable saltito. ¡Cómo nos hubiese gustado quitar aquella duna con el brazo de muestreo, buscar vida debajo de aquella roca, comprobar si aquella cresta lejana era la muralla de un cráter! Sabía además que no muy lejos, hacia el sudeste, estaban los cuatro sinuosos canales de Crise. Los resultados del Viking eran tentadores y provocativos, pero yo conocía un centenar de lugares en Marte mucho más interesantes que nuestras zonas de aterrizaje. El instrumento ideal es un vehículo de exploración capaz de llevar a cabo experimentos avanzados, especialmente en el campo de la imagen, de la química y de la biología. La NASA está desarrollando prototipos de tales vehículos exploradores: saben por sí solos pasar sobre las rocas, evitar la caída en un barranco, salir de lugares difíciles. Entra dentro de nuestras posibilidades depositar un vehículo de exploración en Marte capaz de echar un vistazo a su entorno, descubrir el lugar más interesante de su campo de visión, y estar allí a la mañana siguiente. Cada día un nuevo lugar, una travesía compleja y zigzagueante por la variada topografía de este atractivo planeta.

Arriba: Retrato de otro mundo: rocas esparcidas y dunas de arena suavemente onduladas en la zona de aterrizaje del Viking 1 en Crise. (Cedida por la NASA.). Abajo: Fotografía de Marte creciente tomada por el Viking en su encuentro a distancia con el planeta: aparece un cráter en el casquete polar septentrional, y nubes orogénicas a socaire del gran volcán marciano, Monte Olimpo. (Cedida por la NASA.)
El área de la superficie de Marte equivale exactamente a la de la tierra firme en la Tierra. Es evidente que un reconocimiento completo nos ocupará durante siglos. Pero llegará un día en que Marte esté totalmente explorado; cuando aeronaves automáticas lo hayan cartografiado desde lo alto, cuando los vehículos de exploración hayan registrado con minuciosidad su superficie, cuando sus muestras hayan llegado sin peligro a la Tierra, cuando los hombres se hayan paseado por las arenas de Marte. ¿Y entonces qué? ¿Qué haremos con Marte?
Hay tantos ejemplos de abuso humano de la Tierra que el mero hecho de formular esta pregunta da escalofríos. Si hay vida en Marte creo que no deberíamos hacer nada con el planeta. Marte pertenecería entonces a los marcianos, aunque los marcianos fuesen sólo microbios. La existencia de una biología independiente en un planeta cercano es un tesoro incalculable y creo que la conservación de esa vida debe reemplazar a cualquier otra posible utilización de Marte. Sin embargo, supongamos que Marte no tiene vida. El planeta no constituye una fuente plausible de materias primas porque durante muchos siglos el flete desde Marte a la Tierra será demasiado caro. Pero, ¿podríamos vivir en Marte? ¿Podríamos en algún sentido hacer habitable Marte?
Se trata sin duda de un mundo encantador, pero desde nuestro limitado punto de vista hay muchas cosas inadecuadas en Marte, principalmente la escasa abundancia de oxígeno, la ausencia de agua líquida y el elevado flujo ultravioleta (las bajas temperaturas no suponen un obstáculo insuperable, como demuestran las estaciones científicas que funcionan todo el año en la Antártica).

Arriba: La primera imagen de la superficie de Marte que haya llegado a la Tierra, radiada el 20 de julio de 1976. A la derecha se observa parte del pie de aterrizaje número 2, asentado de modo seguro sobre la superficie. Más tarde se descubrió que otro pie de aterrizaje estaba enterrado en la arena. La roca vesicular del centro tiene unos diez centímetros de diámetro. Abajo: El paisaje de Utopía, desde el Viking 2. El brazo para tomar muestras de la superficie se extiende a la izquierda. El bote proyectado en el suelo a la derecha es su cubierta metálica. En las zonas de aterrizaje de los dos Vikings no se encontró nada parecido a un organismo vivo o a un objeto de origen inteligente.

Tres localidades del sistema solar: a la izquierda, Crise en Marte. Arriba a la derecha, las laderas del Mauna Kea, en Hawai. Abajo a la derecha, Utopía, de Marte, con el suelo cubierto de escarcha. Marte y la Tierra son mundos similares. (Cedidas por la NASA y Richard Wells.)
Algunos están en la subsuperficie helada. Pero la mayoría pueden estar en los actuales casquetes polares de hielo.
Para evaporar los casquetes tenemos que calentarlos; quizás podríamos cubrirlos con un polvo oscuro, que los calentara al absorber más luz solar, lo contrario de lo que hacemos en la Tierra cuando destruimos bosques y prados. Pero el área superficial de los casquetes es muy grande. Se precisarían 1200 cohetes Saturno 5 para transportar el polvo necesario desde la Tierra a Marte; incluso así los vientos podrían eliminar el polvo de los casquetes polares. Un sistema mejor sería inventar algún material oscuro capaz de realizar copias de sí mismo, una pequeña máquina de polvo que entregaríamos a Marte y que se dedicaría a reproducirse por todo el casquete polar utilizando los materiales indígenas.

Pequeñas zanjas excavadas en Crise a la búsqueda de vida en Marte (arriba). Primer plano de una zanja excavada a través de crestas formadas por la arena que el viento arrastra (abajo). Hemos empezado a remodelar a una muy pequeña escala la superficie de otro mundo. (Cedida por la NASA.)

Izquierda: Arena y pequeñas piedras de la superficie de Marte depositadas en el brazo de mues-treo del Viking 2 en la abertura de entrada del espectrómetro de fluorescencia de rayos X (desenfocada en la parte central inferior); este aparato sirve para determinar la química inorgánica del suelo marciano. Las aberturas de entrada cercanas conducen a experimentos de química y de microbiología. (Cedida por la NASA.). Derecha: Dos prototipos de futuros vehículos exploradores de Marte: una elegante máquina salvaobstáculos, construida en el Instituto Politécnico Rensselaer, y un vehículo de aterrizaje Viking montado sobre bandas de tractor. Las actuales naves exploradoras del futuro probablemente incluirán elementos de ambos diseños. (Fotografía superior, Bill Ray.)
Este concepto general se llama terraformación: el cambio de un paisaje extraño por otro más adecuado a los seres humanos. Durante miles de años los hombres con cambios en el efecto de invernadero y en el albedo, sólo han conseguido perturbar la temperatura global de la Tierra un grado aproximadamente, aunque si sigue el ritmo actual de quema de combustibles fósiles y de destrucción de los bosques y praderas podremos cambiar la temperatura de la Tierra un grado más en sólo un siglo o dos. Estas y otras consideraciones sugieren que la escala temporal de una terraformación significativa en Marte es probablemente de cientos a miles de años. En una época futura con una tecnología muy avanzada podríamos desear no solamente incrementar la presión atmosférica total y posibilitar la presencia de agua líquida, sino también conducir agua líquida desde los casquetes polares en fusión hasta las regiones ecuatoriales más calientes. Hay desde luego un método para esto: construir canales.
El hielo en fusión de la superficie y de la subsuperficie sería transportado a través de una gran red de canales. Pero esto fue propuesto, erróneamente, por Percival Lowell no hace aún cien años, como un hecho real que sucedía ya en Marte. Tanto Lowell como Wallace comprendieron que el carácter relativamente inhóspito de Marte se debía a la escasez de agua. Bastaba disponer de una red de canales para remediar esta escasez, y la habitabilidad de Marte se convertía en una realidad. Lowell realizó sus observaciones en unas condiciones visuales muy difíciles. Otros, como Schiaparelli, habían observado ya algo parecido a canales; recibieron el nombre de canali antes de que Lowell iniciara la relación amorosa que mantuvo con Marte toda su vida. Los seres humanos tienen un talento manifiesto para engañarse a sí mismos cuando se ven afectadas sus emociones, y hay pocos conceptos más conmovedores que la idea de un planeta vecino habitado por seres inteligentes.
Es posible en cierto modo que el poder de la idea de Lowell resulte una especie de premonición. Su red de canales fue construida por los marcianos. Incluso puede que esto sea una profecía correcta: si alguna vez se terraforma aquel planeta, será una obra realizada por hombres cuya residencia permanente y su afiliación planetaria será Marte. Los marcianos seremos nosotros.

La gran Mancha Roja de Júpiter, un sistema tormentoso gigante de 40.000 kilómetros de longitud y 11.000 de ancho que se eleva por encima de las nubes adyacentes. Robert Hooke lo observó por primera vez en 1664 y lo confirmó más tarde Christiaan Huygens. El material de la Mancha Roja gira una vez cada seis días terrestres; el óvalo blanco, abajo a la derecha, gira en sentido contrario. Arriba a la izquierda hay nubes que están adelantando a la Mancha Roja de derecha a izquierda. Se desconoce el motivo de que la Mancha sea roja, y la razón de que haya solamente una Mancha Roja de este tamaño. Imagen del Voyager 2. (Cedida por la NASA.)
Capítulo 6
Historias de viajeros
¿Existen muchos mundos o existe sólo un único mundo? Ésta es una de las más nobles y elevadas cuestiones planteadas en el estudio de la Naturaleza.
Alberto Magno, siglo trece
En las primeras edades del mundo, los habitantes de una isla cualquiera se consideraban los únicos habitantes de la Tierra, o en caso de que hubiera otros, no podían concebir que llegaran nunca a establecer comercio con ellos, porque estaban separados por el profundo y ancho mar, pero las épocas posteriores conocieron la invención del barco... Del mismo modo, quizás puedan inventarse otros medios de transporte para trasladarse a la Luna... Nos falta ahora un Drake o un Colón capaz de emprender este viaje, o un Dédalo que invente un transporte por el aire. Sin embargo, no dudo que el tiempo, que continúa siendo el padre de las verdades futuras y que nos ha revelado muchas cosas que nuestros antepasados ignoraban, también manifestará a nuestros sucesores lo que nosotros ahora deseamos saber y no podemos.
John Wilkins, El descubrimiento de un mundo en la Luna, 1638
Podemos ascender por encima de esta Tierra insípida, y contemplándola desde lo alto considerar si la Naturaleza ha volcado sobre esta pequeña mota de polvo todas sus galas y riquezas. De este modo, al igual que los viajeros que visitan otros países lejanos, estaremos más capacitados para juzgar lo que se ha hecho en casa, para poderlo estimar de modo real, y dar su justo valor a cada cosa. Cuando sepamos que hay una multitud de Tierras tan habitadas y adornadas como la nuestra, estaremos menos dispuestos a admirar lo que este nuestro mundo llama grandeza y desdeñaremos generosamente las banalidades en las que deposita su afecto la generalidad de los hombres.
Christiaan Huygens, Los mundos celestiales descubiertos, hacia 1690

La nave espacial Voyager expuesta en el Laboratorio de Propulsión a Chorro. En el brazo de la izquierda están los generadores de energía nuclear. Dentro del compartimento central, hexagonal, que contiene la electrónica, están las computadoras de a bordo; el disco de oro en el exterior es el Disco Interestelar Voyager (véase capítulo 11). En el brazo de la derecha está la plataforma orientable que permite apuntar varios instrumentos, incluyendo la cámara de gran resolución, abajo a la derecha. (Cedida por la NASA.)
El 9 de julio de 1979, una nave espacial llamada Voyager 2 llegó al sistema de Júpiter. Había estado navegando casi dos años a través del espacio interplanetario. La nave está hecha de millones de piezas separadas montadas de modo redundante, para que si falla algún componente otros se hagan cargo de sus responsabilidades. La nave espacial pesa 0,9 toneladas y llenaría una sala de estar grande. Su misión le lleva tan lejos del Sol que no puede obtener su energía de él, como otras naves. El Voyager cuenta por ello con una pequeña planta de energía nuclear, que extrae cientos de vatios de la desintegración radiactiva de una pastilla de plutonio. Sus tres computadores integrados y la mayoría de sus funciones de mantenimiento —por ejemplo, el sistema de control de temperatura— están localizados en el centro. Recibe órdenes de la Tierra y radia sus descubrimientos hacia la Tierra a través de una gran antena de 3,7 m de diámetro. La mayoría de sus instrumentos científicos están en una plataforma de exploración, que va apuntando hacia Júpiter o a alguna de sus lunas cuando la nave espacial pasa disparada por su lado. Hay muchos instrumentos científicos —espectrómetros ultravioleta e infrarrojo, aparatos para medir las partículas cargadas, los campos magnéticos y las emisiones de radio de Júpiter—, pero los más productivos han sido las dos cámaras de televisión, preparadas para tomar decenas de miles de imágenes de las islas planetarias del sistema solar exterior.
Júpiter está rodeado por una cáscara de partículas cargadas de alta energía, invisibles pero muy peligrosas. La nave espacial debe pasar a través del límite exterior de este cinturón de radiaciones para examinar de cerca a Júpiter y sus lunas, y para continuar su misión hacia Saturno y más allá. Pero las partículas cargadas pueden estropear los delicados instrumentos y quemar la electrónica. Júpiter está también rodeado, como descubrió hace cuatro meses el Voyager 1, por un anillo de escombros sólidos, que el Voyager 2 tuvo que atravesar. Una colisión con una pequeña piedra podía haber enviado a la nave espacial dando tumbos violentamente y fuera de control, incapaz de enfocar su antena y de entrar en contacto con la Tierra, y con sus datos perdidos para siempre. Poco antes del Encuentro, los controladores de la misión estaban intranquilos. Hubo algunas alarmas y emergencias, pero la inteligencia combinada de los hombres de la Tierra y de los robots del espacio evitó el desastre.

Control de la misión en el Laboratorio de Propulsión a Chorro. (Cedida por la NASA.)
Estos viajes de exploración y descubrimientos son los últimos de una larga serie que han caracterizado y dado categoría a la historia humana. En los siglos quince y dieciséis, se podía ir de España a las Azores en unos cuantos días, el mismo tiempo que ahora se tarda en cruzar el canal-que separa la Tierra de la Luna. Se tardaba entonces unos cuantos meses en atravesar el océano Atlántico y alcanzar el llamado Nuevo Mundo, las Américas. Hoy se tardan unos cuantos meses en atravesar el océano del sistema solar interior y realizar aterrizajes planetarios en Marte o en Venus, que de modo verídico y literalmente son nuevos mundos que nos esperan. En los siglos diecisiete y dieciocho se podía viajar de Holanda a China en un año o dos, el tiempo que se ha tardado en viajar de la Tierra a Júpiter[32]. Los costes anuales eran, en comparación, más altos que ahora, pero en ambos casos inferiores al uno por ciento del correspondiente producto nacional bruto. Nuestras actuales naves espaciales con sus tripulaciones robots son los precursores, las vanguardias de futuras expediciones humanas a los planetas. Hemos recorrido este camino antes.
Los siglos quince al diecisiete representan un gran momento decisivo de nuestra historia. Empezó a quedar claro que podíamos aventuramos a cualquier lugar de nuestro planeta. Naves intrépidas de media docena de naciones europeas se dispersaron por todos los océanos. Hubo muchas motivaciones para estos viajes: la ambición, la codicia, el orgullo nacional, el fanatismo religioso, la remisión de penas, la curiosidad científica, la sed de aventuras, la imposibilidad de encontrar un buen empleo en Extremadura.

El puerto de Middleburg, Holanda, a principios del siglo diecisiete. Pintura de Adriaen van de Venne. (Cedida por el Rijksmuseum, Amsterdam.)
La República revolucionaria holandesa del siglo diecisiete es un paradigma de la época de exploraciones y descubrimientos navales. Se había declarado recientemente independiente del poderoso Imperio español, y por ello abrazó con más fuerza que cualquier otro país europeo de su época la Ilustración europea. Fue una sociedad racional, ordenada, creativa.

Atlas sosteniendo los cielos estrellados. Escultura del Ayuntamiento de Amsterdam. (Fotografía, Bill Ray.)
La Compañía Holandesa de las Indias Orientales, una empresa conjunta del gobierno y la iniciativa privada, envió barcos a los rincones más lejanos del mundo para adquirir mercancías raras y revenderlas provechosamente en Europa. Estos viajes fueron la sangre viva de la República. Las cartas y los mapas de navegación se consideraban secretos de estado. Con frecuencia los barcos embarcaban con órdenes selladas. Los holandeses hicieron de repente su aparición en todo el planeta. El mar de Barents en el océano Ártico y Tasmania en Australia tienen el nombre de capitanes de barco holandeses. Estas expediciones no eran simples empresas de explotación comercial, aunque de eso hubo mucho. Entraban en ellas poderosos elementos de aventura científica, y la obsesión por descubrir nuevas tierras, nuevas plantas y animales, nuevos pueblos; la búsqueda del conocimiento en sí.
El Ayuntamiento de Amsterdam refleja la imagen confiada y secular que tenía de sí la Holanda del siglo dieciséis. Se precisaron naves enteras cargadas de mármol para construirlo. Constantjin Huygens, un poeta y diplomático de la época, dijo que el Ayuntamiento dejaba de lado "la miseria y el bizqueo del gótico”. En el Ayuntamiento hay todavía hoy una estatua de Atlas sosteniendo los cielos adornados con constelaciones. Debajo está la Justicia, de pie entre la Muerte y el Castigo, blandiendo una espada de oro y las balanzas, y pisando a la Avaricia y a la Envidia, los dioses de los mercaderes. Los holandeses, cuya economía estaba basada en el beneficio privado, comprendieron sin embargo que la búsqueda desenfrenada del beneficio suponía una amenaza para el alma de la nación.
Un símbolo menos alegórico puede encontrarse debajo de Atlas y de la Justicia, en el suelo del Ayuntamiento. Un gran mapa embutido, que data de finales del siglo diecisiete o principios del dieciocho, y alcanza desde África occidental hasta el océano Pacífico. El mundo entero era un escenario para Holanda. Y en este mapa los holandeses, con una modestia encantadora se omitieron a sí mismos, utilizando sólo el viejo nombre latino de Belgium para la parte de Europa que les correspondía.
En un año corriente muchos barcos partían para recorrer medio mundo, navegaban descendiendo por la costa occidental de África, atravesaban el mar que ellos llamaban Etíope, doblaban la costa sur de África, pasaban entre los estrechos de Madagascar, alcanzaban la punta más meridional de la India, y se dirigían finalmente a uno de sus puntos de mayor interés: las Islas de las Especies, la actual Indonesia.
Algunas expediciones fueron desde allí hasta una tierra bautizada Nueva Holanda y llamada hoy Australia. Unos cuantos se aventuraron por los estrechos de Malaca, bordearon Filipinas y llegaron a China.

Galileo Galilei (1564-1642). En esta pintura de Jean-Leon Huens, Galileo intenta convencer a los escépticos eclesiásticos de que en la Luna hay montañas y de que el planeta Júpiter tiene varias lunas propias. La jerarquía católica no se dejó convencer. Galileo fue procesado por "sospecha grave de herejía". Condenado gracias a un documento falsificado, pasó los últimos ocho años de su vida bajo arresto domiciliario, en su pequeña casa de las afueras de Florencia. Galileo fue la primera persona que utilizó el telescopio en el estudio de los cielos. (Pintura de Jean-Leon Huens © National Geographic Society.)
Holanda no había sido ni volvió a ser una potencia mundial de tal magnitud. Era un país pequeño, obligado a vivir de su propio talento, y que infundía a su política extranjera un fuerte aire pacifista. Su gran tolerancia por las opiniones no ortodoxas le convirtió en un paraíso para los intelectuales que huían de la censura y del control de pensamiento practicado en el resto de Europa; del mismo modo los EEUU se beneficiaron enormemente del éxodo de intelectuales que huían en los años treinta de la Europa dominada por los nazis. Así, en el siglo diecisiete Holanda fue el hogar del gran filósofo judío Espinoza, admirado por Einstein; de Descartes, una figura primordial en la historia de las matemáticas y de la filosofía; y de John Locke, un científico político que influyó sobre un grupo de revolucionarios de inclinación filosófica llamados Paine, Hamilton, Adams, Franklin y Jefferson. Nunca, ni antes ni después, ha estado Holanda adornada con una galaxia tal de artistas y de científicos, de filósofos y de matemáticos. Fue la época de los maestros pintores Rembrandt, Vermeer y Frans Hals; de Leeuwenhoek, el inventor del microscopio; de Willebrord Snell, que descubrió la ley de la refracción de la luz.
La Universidad de Leiden, siguiendo la tradición holandesa de apoyar la libertad de pensamiento, ofreció una cátedra a un científico italiano llamado Galileo, a quien la Iglesia católica había obligado bajo amenaza de tortura a retractarse de su herética afirmación de que la Tierra se movía alrededor del Sol y no al revés[34]. Galileo mantenía relaciones intensas con Holanda, y su primer telescopio astronómico fue el perfeccionamiento de un catalejo de diseño holandés. Con él descubrió manchas solares, las fases de Venus, los cráteres de la Luna, y las cuatro grandes lunas de Júpiter llamadas, por este motivo, satélites galileanos. La descripción que el propio Galileo hace de sus dolores eclesiásticos está contenida en una carta que escribió en el año 1615 a la gran duquesa Cristina:
Como bien sabe vuestra Serena Majestad, hace algunos años descubrí en los cielos muchas cosas que no se habían visto antes de nuestra época. La novedad de estas cosas, y algunas consecuencias que de ellas se derivaban en contradicción con las nociones físicas comúnmente sostenidas por los filósofos académicos, han excitado contra mí a un no pequeño número de profesores (muchos de ellos eclesiásticos), como si yo hubiese colocado con mis propias manos esas cosas en el cielo a fin de trastornar la Naturaleza y de trastocar las ciencias. Parecen olvidar que el incremento en las verdades estimula la investigación, la fundación y el desarrollo de las artes. [35]
La conexión entre Holanda como potencia exploradora y Holanda como centro cultural e intelectual fue muy fuerte. El perfeccionamiento de los barcos fomentó todo tipo de tecnología. La gente disfrutaba trabajando con sus manos. Los inventos se apreciaban. El avance tecnológico exigía la búsqueda del conocimiento lo más libre posible, y así Holanda se convirtió en el principal editor y librero de Europa, traduciendo trabajos escritos en otras lenguas y permitiendo la publicación de libros prohibidos en otros países. Las aventuras en países exóticos y los encuentros con sociedades extrañas pusieron en tela de juicio la satisfacción propia, retaron a los pensadores a reconsiderar la sabiduría convencional y demostraron que ideas aceptadas durante milenios -en geografía, por ejemplo- eran fundamentalmente erróneas. En una época en que reyes y emperadores mandaban en casi todo el mundo, la República Holandesa estaba más gobernada por el pueblo que cualquier otra nación. El carácter abierto de su sociedad y el estímulo que daba a la vida del pensamiento, su bienestar material y sus ansias de exploración y de utilización de nuevos mundos, generaron una alegre confianza en la empresa humana. [36]
En Italia, Galileo había anunciado otros mundos, y Giordano Bruno había especulado sobre otras formas de vida. Por esto sufrieron brutalmente. Pero en Holanda, el astrónomo Christiaan Huygens, que creía en ambas cosas, fue colmado de honores. Su padre era Constantjin Huygens, un diplomático importante de la época, literato, poeta, compositor, músico, amigo intimo y traductor del poeta inglés John Done, y cabeza de una gran familia arquetípica.

Retrato de Christiaan Huygens (1629 - 1695) por Bernard Vaillant. (Cedido por Huygensmuseum "Hofwijck", Voorburg, Holanda.)
La luz era un tema de la época: la ilustración simbólica de la libertad de pensamiento y de religión, de los descubrimientos geográficos; la luz que impregnaba las pinturas de la época, especialmente el exquisito trabajo de Vermeer; y la luz como objeto de investigación científica, como el estudio de la refracción por Snell, el invento del microscopio por Leeuwenhoek y la teoría ondulatoria de la luz del propio Huygens [37]. Eran actividades relacionadas, y sus practicantes se trataban libremente. Es significativo que los interiores de Vermeer están cargados de artefactos náuticos y mapas murales. Los microscopios eran curiosidades de salón. Leeuwenhoek fue el albacea testamentario de Vermeer, y un visitante frecuente de la mansión de Huygens en Hofwijck.
El microscopio de Leeuwenhoek se desarrolló a partir de la lupa utilizada por los lenceros para examinar la calidad de la tela. Con él se descubrió un universo en una gota de agua: los microbios, a los que llamó “animálculos” y que calificó de “lindos”. Huygens había construido el diseño del primer microscopio y él mismo realizó muchos descubrimientos con él. Leeuwenhoek y Huygens fueron de las primeras personas que vieron células de esperma humano, un requisito previo para comprender la reproducción humana. Huygens, para explicar el lento desarrollo de microorganismos en agua previamente esterilizada por ebullición, propuso que eran tan pequeños que podían flotar por el aire y reproducirse al posarse en el agua. De este modo ofreció una alternativa a la generación espontánea: la teoría según la cual la vida puede surgir en el zumo de uva fermentado o en carne en descomposición, con total independencia de la vida preexistente. La especulación de Huygens no demostró ser correcta hasta la época de Louis Pasteur, dos siglos después. La búsqueda de vida en Marte por el Viking deriva en más de una línea de Leeuwenhoek y de Huygens. También son los abuelos de la teoría del germen en la enfermedad, y por lo tanto de parte de la medicina moderna. Pero ellos no buscaban resultados prácticos. Ellos se limitaban a manipular un poco dentro de la sociedad tecnológica.
El microscopio y el telescopio, desarrollados ambos en Holanda, a principios del siglo diecisiete, representan una ampliación de las perspectivas humanas hacia los reinos de lo muy pequeño y de lo muy grande.

Detalle de los cuadernos de Christiaan Huygens, donde apuntaba sus observaciones de espermatozoides procedentes de los fluidos seminales de un perro (izquierda) y de un hombre, realizadas con uno de los microscopios de Leeuwenhoek.
Huygens hizo mucho más. Un problema clave para la navegación marítima en aquella época era la determinación de la longitud. La latitud se podía determinar fácilmente por las estrellas; cuanto más al sur se estaba, más constelaciones meridionales se podían ver. Pero la longitud necesitaba de un cronómetro preciso. Un exacto reloj a bordo marcaría el tiempo del puerto de partida; la salida y puesta de Sol y de las estrellas determinaría el tiempo local de a bordo; y la diferencia entre los dos tiempos daría la longitud. Huygens inventó el reloj de péndulo (su principio fue descubierto con anterioridad por Galileo), que se utilizó, aunque no con éxito absoluto, para calcular la posición en medio del gran océano. Sus esfuerzos introdujeron una exactitud sin precedentes en las observaciones astronómicas y científicas en general, y estimularon adelantos posteriores en los relojes náuticos. Inventó el resorte espiral de balancín utilizado aún hoy en algunos relojes; realizó contribuciones fundamentales a la mecánica —por ejemplo, el cálculo de la fuerza centrífuga—. Y a la teoría de la probabilidad, basándose en un estudio del juego de los dados. Perfeccionó la bomba de aire, que revolucionó después la industria minera, y la “linterna mágica”, el antecesor del proyector de diapositivas.
También inventó un llamado “motor de pólvora”, que influyó en el desarrollo de otra máquina, el motor de vapor.
A Huygens le encantaba que la visión copernicana de la Tierra como planeta en movimiento alrededor del Sol fuese ampliamente compartida por la gente común de Holanda.
De hecho, decía, Copérnico era aceptado por todos los astrónomos excepto por los que “eran algo torpes o estaban sometidos a las supersticiones impuestas por autoridades meramente humanas”.
En la Edad Media, los filósofos cristianos solían decir con gusto que los cielos difícilmente podían ser infinitos puesto que daban una vuelta a la Tierra cada día, por lo tanto un número infinito de mundos, o incluso un gran número de ellos (o incluso otro mundo más), era algo imposible.

Un detalle del Systema Saturnium de Christiaan Huygens, publicado en 1659. Muestra su explicación correcta del aspecto cambiante de los anillos de Saturno a lo largo de los años, a medida que cambia la geometría relativa de la Tierra y de Saturno. En la posición B, los anillos relativamente tan finos como el papel desaparecen porque los vemos de canto. En la posición A presentan la máxima extensión visible desde la Tierra, con una configuración ante la cual Galileo, que tenía un telescopio muy inferior, se sintió consternado.
Si el firmamento es de tan incomparable magnitud, como le atribuyen esos gigantes copernicanos..., tan vasto y lleno de innumerables estrellas, hasta ser de una extensión infinita... ¿no podemos suponer también que... esas estrellas infinitas visibles en el firmamento son otros tantos soles, con sus correspondientes centros fijos, y que tienen asimismo sus correspondientes planetas subordinados, como tiene el Sol los suyos danzando tranquilos a su alrededor?... Hay por lo tanto infinitos mundos habitados; ¿qué lo impide?... a estos y otros intentos parecidos, osados e insolentes, a estas paradojas prodigiosas deben seguir las correspondientes inferencias, si se acepta lo que... Kepler y otros afirman del movimiento de la Tierra.Pero la Tierra se mueve. Merton, si hoy viviese, estaría obligado a deducir “mundos infinitos, habitables”. Huygens no se acobardó por esa conclusión, él la aceptó alegremente: a través del mar del espacio, las estrellas son otros soles. Huygens razonó por analogía con nuestro sistema solar que aquellas estrellas tendrían sus propios sistemas planetarios, y que muchos de esos planetas podían estar habitados: “Si sólo concediésemos a los planetas vastos desiertos... y les privásemos de todas aquellas criaturas que pregonan del modo más claro su arquitectura divina, los pondríamos debajo de la Tierra en belleza y dignidad, lo cual es muy poco razonable.”[39]
Estas ideas se exponen en un libro extraordinario que lleva el triunfante título de Los mundos celestiales descubiertos: Conjeturas relativas a los habitantes, plantas y producciones de los mundos en los planetas. Compuesto poco tiempo antes de la muerte de Huygens en 1690, la obra fue admirada por muchas personas, entre ellas Pedro el Grande, que la hizo publicar en Rusia como el primer producto de la ciencia occidental. El libro trata en gran parte de la naturaleza o los ambientes de los planetas. Hay una de las láminas de la primera edición, primorosamente impresa, en la que se ve, a escala, el Sol y los planetas gigantes Júpiter y Saturno. Son, en comparación, bastante pequeños. También hay un grabado de Saturno al lado de la Tierra: nuestro planeta es un círculo diminuto.
Huygens pensó que los ambientes y los habitantes de otros planetas eran bastante parecidos a los terráqueos del siglo diecisiete. Imaginó “planetarianos” cuyos “cuerpos enteros y cada parte de ellos pueden ser bastante distintos y diferentes de nosotros... Es una opinión muy ridícula... afirmar que es imposible que un alma racional pueda morar en otra forma distinta de la nuestra”. En definitiva, uno puede ser listo aunque parezca extraño. Pero luego Huygens seguía argumentando que tampoco podían ser muy extraños, que debían tener manos y pies, y caminar derechos, que tendrían escritura y geometría, y que Júpiter tiene sus cuatro satélites galileanos para ayudar en la navegación por los océanos jovianos.
Huygens era por supuesto un ciudadano de su tiempo. ¿Quién de nosotros no lo es? Llamaba a la ciencia su religión, y luego afirmaba que los planetas debían estar habitados porque de lo contrario Dios hubiera hecho las cosas por nada. Como vivió antes de Darwin, sus especulaciones sobre la vida extraterrestre resultan inocentes en la perspectiva evolutiva. Pero basándose en observaciones consiguió desarrollar algo parecido a las perspectivas cósmicas modernas:
Qué maravillosa y asombrosa perspectiva tenemos aquí de la inmensidad del universo... ¡Tantos soles, tantas tierras... y cada una de ellas provista con tantos animales, plantas y árboles, adornadas con tantas montañas, y mares!... ¡Y cómo debe crecer nuestro asombro y admiración cuando consideramos la distancia y la multitud prodigiosa de estrellas!La nave espacial Voyager es el descendiente lineal de aquellos viajes navales de exploración, y de la tradición científica y especulativa de Christiaan Huygens.
Los Voyager son carabelas que navegan hacia las estrellas, y que en su camino van explorando aquellos mundos que Huygens conocía y amaba tanto.
Una de las mercancías principales que llegaban en aquellos viajes de hace siglos eran los relatos de viajeros [40], historias sobre países extraños y sobre seres exóticos que despertaban nuestra sensación de maravilla y estimulaban futuras exploraciones.

Una jirafa conducida desde África a China alrededor de 1420 a raíz de los grandes viajes y descubrimientos comerciales del almirante Zheng He de la dinastía Ming. La presencia de este animal de fábula en la Corte Imperial china fue considerado como un signo de buen augurio. Las primeras narraciones de viajeros sobre la jirafa debieron de ser recibidos con un escepticismo considerable. La época de exploración de los Ming, mediante flotas de juncos de alta mar, que casi seguramente doblaron el cabo de Buena Esperanza, con la consiguiente aparición de una marina china en el Océano Atlántico, acabó poco antes de que los portugueses entraran en el Océano índico, invirtiendo el vector de los descubrimientos. Shen Du: La jirafa de tributo y su guardián. (Cedido por el Museo de Arte de Filadelfia, donación de John T. Dorrance.)
Los Voyager modernos también nos traen relatos de viajeros, historias de un mundo roto como una esfera de cristal, de un globo cuyo suelo está cubierto de polo a polo por algo parecido a una tela de araña, de lunas diminutas en forma de patatas, de un mundo con un océano subterráneo, de un país que huele a huevos podridos y parece una pizza, con lagos de azufre fundido y erupciones volcánicas que lanzan el humo directamente al espacio, de un planeta llamado Júpiter que deja enano al nuestro, un planeta tan grande que cabrían en él mil Tierras.
Cada uno de los satélites galileanos de Júpiter es casi tan grande como el planeta Mercurio. Podemos medir sus tamaños y masas y calcular de este modo su densidad, la cual nos da una indicación de la composición de su interior.
Vemos así que los dos más interiores, lo y Europa, tienen una densidad elevada como la roca. Los otros dos, Ganímedes y Calisto, tienen una densidad muy inferior, intermedia entre la roca y el hielo.
Pero la mezcla de hielo y de rocas dentro de estas lunas exteriores ha de contener, como sucede con las rocas de la Tierra, rastros de minerales radiactivos, que calientan sus entornos. No hay un sistema efectivo para que este calor, acumulado a lo largo de miles de millones de años, alcance la superficie y se pierda en el espacio, y por lo tanto la radiactividad del interior de Ganímedes y Calisto ha de haber fundido sus interiores helados.
Creemos que hay océanos subterráneos de lodo y agua en estas lunas, lo cual nos sugiere, antes de que hayamos visto de cerca las superficies de los satélites galileanos, que pueden ser muy diferentes unos de otros. Cuando los miramos de cerca, a través de los ojos del Voyager, la predicción se cumple. No se parecen entre sí. Son diferentes de cualquier mundo que hayamos visto hasta ahora.

Imagen lejana de Júpiter (arriba) tomada por el Voyager 1 a una distancia de 28 millones de kilómetros. Abajo: El Voyager se acerca a Júpiter, con las dos lunas lo y Calisto en primer plano. (Cedida por la NASA.)
¿Cómo llega hasta nosotros una imagen procedente del sistema solar exterior? La luz del sol brilla sobre Europa en su órbita alrededor de Júpiter y es reflejada de nuevo al espacio, donde una parte choca contra los fósforos de las cámaras de televisión del Voyager, generando una imagen. La imagen es leída por las computadoras del Voyager, radiada a través de la inmensa distancia de 500 millones de kilómetros a un radiotelescopio, a una estación basada en la Tierra. Hay una en España, una en el desierto Mojave de California meridional y una en Australia (en aquella mañana de julio de 1979 fue la estación australiana la que estaba apuntando hacia Júpiter y Europa). La estación pasa luego la información a través de un satélite de comunicaciones en órbita terrestre a California meridional, desde donde es retransmitida mediante un conjunto de torres de enlace por microondas a una computadora del Laboratorio de Propulsión a Chorro, donde se procesa. La imagen es básicamente idéntica a una fotografía de prensa transmitida por teléfono, y está constituida casi por un millón de puntos distintos, cada uno con un tono distinto de gris, puntos tan finos y apretados que vistos desde una cierta distancia los puntos constitutivos resultan invisibles. Sólo vemos su efecto acumulativo. La información de la nave espacial especifica el grado de brillo o de oscuridad de cada punto. Después de ser procesados, los puntos se almacenan en un disco magnético, parecido a un disco fonográfico.

Izquierda: Trayectorias del vuelo del Voyager 1 (cruzando la órbita de Urano, arriba a la izquierda) y del Voyager 2 (en su encuentro con Urano en enero de 1986). También aparece la trayectoria alternativa suponiendo que el Voyager tenga que pasar cerca de Titán, como hizo el Voyager 1. Derecha: El paso del Voyager 1 (arriba) y del Voyager 2 (abajo) entre los satélites galileanos de Júpiter el 5 de marzo y el 9 de julio de 1979.
La luna joviana Europa, vista por el Voyager 2 al pasar cerca de ella el 9 de julio de 1979. Europa tiene aproximadamente el tamaño de nuestra luna, pero topográficamente es muy distinta.
La ausencia de cráteres y de montañas hace pensar que una costra espesa de hielo, quizás de 100 kilómetros de profundidad, envuelve y aprieta el interior silíceo. La estructura compleja de líneas oscuras pueden ser fracturas en el hielo rellenadas con sustancia proveniente del interior de la costra. El fuerte brillo de Europa avala esta hipótesis. (Cedida por la NASA.)

La luna joviana Europa, vista por el Voyager 2 al pasar cerca de ella el 9 de julio de 1979. Europa tiene aproximadamente el tamaño de nuestra luna, pero topográfica-mente es muy distinta. La ausencia de cráteres y de montañas hace pensar que una costra espesa de hielo, quizás de 100 kilómetros de profundidad, envuelve y aprieta el interior silíceo. La estructura compleja de líneas oscuras pueden ser fracturas en el hielo rellenadas con sustancia proveniente del interior de la costra. El fuerte brillo de Europa avala esta hipótesis. (Cedida por la NASA.)

Izquierda: Imagen tomada por el Voyager 2, el 6 de julio de 1979, que muestra una región de la atmósfera joviana a unos 25° N del ecuador. El "chorro" de nubes de la zona templada septentrional es la franja oxidada que atraviesa en diagonal la parte central y superior de la figura. Estas nubes se desplazan a una velocidad de 540 km por hora. Las zonas blancas azuladas de abajo muestran claros en las nubes altas de amoníaco. Miramos hacia abajo desde unos 60 km. (Cedida por la NASA.) Derecha: Un claro en las nubes de color marrón claro de Júpiter (sin nubes blancas de amoniaco sobre ellas) nos permite ver una capa de nubes marrón oscuro más profunda, y que contiene posiblemente materia orgánica compleja. Las mediciones en infrarrojo muestran que la nube de color marrón oscuro está más caliente que su entorno. (Cedida por la NASA.)
Vemos en Europa una red intrincada e increíble de líneas rectas y curvas que se cortan. ¿Son cordilleras, es decir terreno elevado, son cuencas, es decir terreno deprimido? ¿Cómo están hechas? ¿Forman parte de un sistema tectónico global, producido quizás por la fracturación de un planeta en expansión o en contracción? ¿Están relacionadas con la tectónica de placas de la Tierra? ¿Qué cosas permiten deducir sobre los demás satélites del sistema joviano?
En el momento del descubrimiento, la tan loada tecnología había producido algo asombroso. Pero la tarea de comprenderlo corresponde a otro instrumento, el cerebro humano. Europa resulta ser tan lisa como una bola de billar a pesar de la red de alineaciones. La ausencia de cráteres de impacto puede deberse al calentamiento y flujo del hielo superficial después del impacto. Las líneas son surcos o grietas y su origen todavía se está debatiendo pasado tanto tiempo después de la misión.

Una proyección en "piel de serpiente" o cilíndrica de las formaciones de nubes jovianas vistas por el Voyager 1. Abajo se indican las longitudes y a la izquierda las latitudes. Los símbolos marcados a la derecha son, por orden, la Zona Templada Septentrional, la Zona Tropical Septentrional, el Cinturón Ecuatorial Septentrional, la Zona Ecuatorial, el Cinturón Ecuatorial Meridional, la Zona Tropical Meridional, y la Zona Templada Meridional. Las zonas tienden a cubrirse con nubes blancas de amoníaco de gran altura, al contrario de los cinturones de color. La gran Mancha Roja, a unos 75° de longitud, vive cerca del límite entre el SEB y la STrZ. Los lugares más profundos y calientes que vemos corresponden a las manchas azuladas al comienzo de las plumas blancas regularmente espaciadas del NEB. (Cedida por la NASA.)
- Día 1. Después de muchas preocupaciones por las provisiones y los instrumentos, que al parecer no funcionaban bien, despegamos con éxito de Cabo Cañaveral emprendiendo nuestro largo viaje hacia los planetas y las estrellas.
- Día 2. Un problema en el despliegue del brazo que sostiene la plataforma de exploración científica. Si no se resuelve el problema perderemos la mayor parte de nuestras imágenes y de los restantes datos científicos.
- Día 13. Hemos mirado hacia atrás y hemos tomado la primera fotografía en la historia de la Tierra y la Luna juntas en el espacio. Una buena pareja.
- Día 150. Se han encendido los motores de modo nominal para llevar a cabo una corrección de trayectoria a medio camino.
- Día 170. Funciones rutinarias de mantenimiento. Han pasado unos cuantos meses sin nada que anotar.
- Día 185. Hemos conseguido tomar imágenes de calibración de Júpiter.
- Día 207. Resuelto el problema del brazo, pero ha habido un fallo en el transmisor principal de radio. Hemos conectado el de reserva. Pero si éste falla nadie en la Tierra volverá a saber nada de nosotros.
- Día 215. Cruzamos la órbita de Marte. El planeta está al otro lado del Sol.
- Día 295. Entramos en el cinturón de asteroides. Hay por ahí muchas rocas de gran tamaño dando tumbos, que son los arrecifes y bajíos del espacio. La mayoría no están cartografiados.
- Día 475. Emergimos enteros del cinturón principal de asteroides, felices de continuar con vida. Los vigías están en sus puestos. Confiamos evitar una colisión.
- Día 570. Júpiter empieza a crecer en el cielo. Podemos ya distinguir en su disco detalles más finos de los conseguidos hasta ahora por los mayores telescopios de la Tierra.
- Día 615. Los colosales sistemas meteorológicos y las nubes cambiantes de Júpiter, girando en el espacio ante nosotros, nos han hipnotizado. El planeta es inmenso. Su masa es el doble de la de los demás planetas juntos. No hay montañas, ni valles, ni volcanes, ni ríos; no hay límite entre la tierra y aire, sólo un vasto océano de gas denso y de nubes a la deriva: un mundo sin superficie. Todo lo que vemos en Júpiter está flotando en su cielo.
- Día 630. El tiempo atmosférico de Júpiter continúa siendo espectacular. Este mundo tan pesado gira sobre su eje en menos de diez horas. Sus movimientos atmosféricos están impulsados por la rápida rotación, por la luz solar y por el calor que sale a borbotones de su interior.
- Día 640. Las formas de las nubes son distintivas y vistosas. Nos recuerdan un poco a la Noche estrellada de Van Gogh o a obras de William Blake o de Edvard Munch. Pero sólo un poco. Ningún artista pintó nada parecido porque ninguno de ellos salió nunca de nuestro planeta. Ningún pintor atrapado dentro de la Tierra pudo imaginar un mundo tan extraño y hermoso. Observamos desde cerca los cinturones y bandas multicolores de Júpiter. Se cree que las bandas blancas son nubes altas, probablemente cristales de amoníaco; los cinturones de color marronoso son lugares más profundos y calientes, donde la atmósfera se está hundiendo. Los lugares azules son al parecer agujeros profundos en las nubes superiores a través de las cuales vemos un cielo claro. Ignoramos el motivo de este color rojo marronoso de Júpiter. Quizás se deba a la química del fósforo o del azufre. Quizás se deba a moléculas orgánicas complejas de colores brillantes producidas cuando la luz ultravioleta del Sol descompone el metano, el amoníaco y el agua de la atmósfera joviana, y los fragmentos moleculares se recombinan. De ser esto así, los colores de Júpiter nos hablan de hechos químicos que hace cuatro mil millones de años condujeron allá en la Tierra al origen de la vida.
- Día 647. La Gran Mancha Roja. Una gran columna de gas que llega a más altura que las nubes adyacentes, y tan grande que podría contener media docena de Tierras. Quizás es roja porque saca a relucir las moléculas complejas producidas o concentradas a profundidades mayores. Quizás sea un gran sistema tempestuoso de un millón de años de antigüedad.
- Día 650. Encuentro. Un día de milagros. Hemos superado con éxito los traidores cinturones de radiación de Júpiter con sólo un instrumento dañado, el fotopolarímetro. Conseguimos cruzar el plano del anillo y no sufrimos ninguna colisión con las partículas y las rocas de los recientemente descubiertos anillos de Júpiter. Y además imágenes maravillosas de Amaltea, un mundo diminuto, rojo y oblongo que vive en el corazón del cinturón de radiaciones; de lo multicolor; de las señales lineales de Europa; los rasgos de Ganímedes, como de tela de araña, la gran cuenca de Calisto con multitud de anillos. Damos la vuelta a Calisto y pasamos por la órbita de Júpiter 13, la más exterior de las lunas conocidas del planeta. Navegamos hacia el exterior.
- Día 662. Nuestros detectores de partículas y campos indican que hemos dejado atrás los cinturones de radiación de Júpiter. La gravedad del planeta ha dado un empujón a nuestra velocidad. Por fin nos hemos liberado de Júpiter y navegamos por el mar del espacio.
- Día 874. Hemos perdido el enfoque de la nave con la estrella Canopo, que en la tradición de las constelaciones es el timón de un buque. También es nuestro timón, esencial para que la nave se oriente en la oscuridad del espacio, para encontrar nuestro camino en esta parte inexplorada del océano cósmico. Hemos recuperado el enfoque con Canopo. Parece ser que los sensores ópticos confundieron Alpha y Beta Centauri con Canopo. El puerto siguiente donde tocaremos dentro de dos años es el sistema de Saturno.

Imagen de la gran Mancha Roja en color falso, donde la computadora ha exagerado los rojos y los azules a costa de los verdes. Nubes altas cubren temporalmente un tercio de la Mancha. Imagen del Voyager 1. (Cedida por la NASA.)

Imagen de la superficie de lo tomada por el Voyager 1. Cada una de las manchas oscuras, aproximadamente circulares, es un volcán recientemente activo. El volcán con un halo brillante en el centro aproximado del disco fue visto en erupción quince horas antes de que se adquiriese esta imagen; desde entonces se le llama Prometeo. Se cree que los colores negro, rojo, anaranjado y amarillo son azufre helado, arrojado originalmente por los volcanes en estado liquido, con temperaturas iniciales más altas para los depósitos negros y más bajas para los amarillos. Los depósitos blancos, incluyendo los situados alrededor de Prometeo, pueden ser de dióxido de azufre helado. lo tiene 3 640 kilómetros de diámetro. (Cedida por la NASA.)

Izquierda: Dos volcanes en erupción en el limbo o borde de lo creciente. Parece que han estado en erupción continua durante cuatro meses. El penacho inferior es del volcán Maui Patera. Imagen del Voyager 2. (Cedida por la NASA.). Derecha: Corrientes recientes de azufre fundido procedentes del volcán Ra Patera en lo. Estamos contemplando casi directamente desde arriba la caldera volcánica. Imagen del Voyager 1. (Cedida por la NASA.)
Cuando el Voyager se acercó a esta luna gigante, descubrimos una superficie multicolor y extraña, sin par en todo el sistema solar. lo está cerca del cinturón de asteroides.

Penacho volcánico del volcán Loki Patera en Io. La luz ultravioleta está aquí transcrita en azul. Alrededor del penacho perceptible con luz visible hay una gran nube, brillante en luz solar ultravioleta reflejada y compuesta de partículas muy pequeñas. El efecto es parecido al tono azul de la luz reflejada por finas partículas de humo. La parte superior de la nube ultravioleta está a más de 200 kilómetros sobre la superficie de Io y puede proyectar directamente al espacio partículas muy pequeñas y átomos. La materia proyectada quedará en órbita alrededor de Júpiter, como el mismo Io, y contribuirá al gran tubo de átomos que rodea a Júpiter a la distancia de Io. Imagen del Voyager 1. (Cedida por la NASA.)

Izquierda: Amaltea, la luna pequeña de Júpiter de formación irregular, vista por el Voyager 1. Las manchas brillantes son probablemente cráteres de impacto. El color rojizo puede ser un tinte procedente del material que lo pierde y que Amaltea barre al recorrer su órbita alrededor de Júpiter a 181 000 kilómetros, en el interior de la órbita de lo. Amaltea tiene unos 200 kilómetros de diámetro, y su eje longitudinal apunta hacia Júpiter. (Cedida por la NASA.). Derecha: Maqueta del interior de Júpiter cortada transversalmente. A esta escala, las nubes visibles son más finas que la pintura en la superficie exterior de la maqueta. El núcleo es una esfera de roca y metal, un poco como la Tierra, alrededor de la cual hay un gran océano de hidrógeno metálico líquido.

La zona antártica de lo. Puede observarse (izquierda) una gran profusión de paisajes, incluyendo suaves planicies, calderas volcánicas, corrientes de azufre, escarpamientos abruptos, y abajo a la derecha, rodeadas de un halo brillante, montañas accidentadas y aisladas. La imagen coge unos 1 700 kilómetros de amplitud. Derecha: hay un primer plano de un accidente que en la imagen superior vemos en el centro a la izquierda, una estructura de flujo volcánico de 225 kilómetros de diámetro, emanando de una caldera que contiene en su interior una isla irregular. Imágenes del Voyager 1. (Cedidas por la NASA.)
La superficie de lo está cambiando en una escala temporal de meses. Habrá que publicar mapas regularmente, como los partes meteorológicos de la Tierra. Los futuros exploradores de lo tendrán que estar muy atentos a lo que pisan.
El Voyager descubrió que la atmósfera muy tenue y delgada de lo está compuesta principalmente de dióxido de azufre. Pero esta atmósfera delgada puede tener un fin útil, porque quizás tenga el grueso suficiente para proteger a la superficie de las partículas de carga intensa del cinturón de radiación de Júpiter donde está metido lo. De noche la temperatura baja tanto que el dióxido de azufre debería condensarse formando una especie de escarcha blanca; las partículas cargadas inmolarían entonces la superficie y probablemente sería aconsejable pasar las noches un poco enterrados.
Los grandes penachos volcánicos de lo llegan tan alto que les falta poco para inyectar directamente sus átomos en el espacio alrededor de Júpiter. Es probable que los volcanes sean la fuente del gran anillo de átomos en forma de donut que rodea a Júpiter en la posición de la órbita de lo. Estos átomos, descendiendo paulatinamente en espiral hacia Júpiter, deberían recubrir la luna interior Amaltea y quizás expliquen su coloración rojiza. Es posible incluso que el material exhalado de lo contribuya después de muchas colisiones y condensaciones al sistema de anillos de Júpiter.
Es mucho más difícil imaginar una presencia humana sustancial en el mismo Júpiter, aunque supongo que la instalación de grandes ciudades-globo flotando permanentemente en su atmósfera es una posibilidad tecnológica del futuro remoto. Este mundo inmenso y variable visto desde las caras próximas de lo o de Europa llena gran parte del cielo, colgando de lo alto, sin nunca salir ni ponerse, porque casi todos los satélites del sistema solar tienen una cara girada constantemente hacia su planeta, como hace la Luna con la Tierra. Júpiter será un motivo continuo de provocación y de interés para los futuros exploradores humanos de las lunas jovianas.
Cuando el sistema solar se condensó a partir del gas y el polvo interestelares, Júpiter adquirió la mayor parte de la masa que fue proyectada hacia el espacio interestelar y que no cayó hacia adentro, hacia el Sol. Si Júpiter hubiese tenido una masa doce veces superior, la materia de su interior hubiese sufrido reacciones termonucleares, y Júpiter hubiese empezado a brillar con luz propia. El planeta mayor es una estrella fracasada. Incluso así, sus temperaturas interiores son lo bastante elevadas para emitir casi el doble de la energía que recibe del Sol. En la parte infrarroja del espectro, podría incluso ser correcta la afirmación de que Júpiter es una estrella. Si se hubiese convertido en una estrella de luz visible, habitaríamos hoy un sistema binario o de dos estrellas, con dos soles en nuestro cielo, y las noches serían menos frecuentes, hecho esto que creo muy corriente en innumerables sistemas solares de la galaxia Vía Láctea. Sin duda encontraríamos esta circunstancia muy natural y bella.
A gran profundidad por debajo de las nubes de Júpiter el peso de las capas superiores de atmósfera produce presiones muy superiores a las existentes en la Tierra, presiones tan grandes que los electrones salen estrujados de los átomos de hidrógeno produciendo un estado físico no observado nunca en los laboratorios terrestres, porque no se han conseguido nunca en la Tierra las presiones necesarias. (Hay esperanzas de que el hidrógeno metálico sea un superconductor a temperaturas moderadas. Si pudiese fabricarse en la Tierra constituiría una revolución en electrónica.) En el interior de Júpiter, donde las presiones son unos tres millones de veces superiores a la presión atmosférica de la superficie de la Tierra, apenas hay otra cosa que un gran océano oscuro y chapoteante de hidrógeno metálico. Pero en el núcleo mismo de Júpiter puede haber una masa de roca y de hierro, un mundo semejante a la Tierra dentro de una camisa de fuerza oculto para siempre en el centro del mayor planeta.
Las corrientes eléctricas en el interior del metal líquido de Júpiter pueden ser el origen del enorme campo magnético del planeta, el mayor del sistema solar, y de su correspondiente cinturón de electrones y protones cautivos. Estas partículas cargadas son emitidas por el Sol en el viento solar, y capturadas y aceleradas por el campo magnético de Júpiter. Hay un gran número de ellas atrapadas muy por encima de las nubes, condenadas a rebotar de polo a polo hasta que dan por casualidad con alguna molécula atmosférica de gran altura y quedan eliminadas del cinturón de radiación. lo se mueve en una órbita tan cercana a Júpiter que se abre paso en medio de esta radiación intensa creando cascadas de partículas cargadas, que a su vez generan violentas descargas de energía de radio. (Pueden influir también en los procesos eruptivos de la superficie de lo.) Es posible predecir estallidos de radio procedentes de Júpiter, con mayor seguridad que las previsiones meteorológicas de la Tierra, calculando la posición de lo.
El hecho de que Júpiter sea una fuente de emisión de radio se descubrió por casualidad en los años 1950, en los primeros días de la radioastronomía. Los jóvenes norteamericanos Bemard Burke y Kenneth Franklin estaban examinando el cielo con un radiotelescopio recién construido y muy sensible para aquella época. Estaban buscando el ruido de fondo cósmico en radio: es decir, fuentes de radio situadas mucho más allá de nuestro sistema solar. Descubrieron sorprendidos la existencia de una fuente intensa y no citada hasta entonces que no parecía corresponder a ninguna estrella, nebulosa o galaxia prominente. Es más, esta fuente se iba moviendo gradualmente en relación a las estrellas distantes con una rapidez muy superior a la que podía tener un objeto remoto [41]. Después de no encontrar ninguna explicación probable de todo esto en sus mapas del Cosmos lejano, salieron un día del observatorio y miraron al cielo a simple vista para ver si pasaba algo interesante por allí arriba. Notaron, intrigados, la presencia de un objeto de brillo excepcional en el lugar correcto, que pronto identificaron como el planeta Júpiter. Digamos de paso que este descubrimiento accidental es algo muy típico en la historia de la ciencia.

Izquierda: Imagen de Ganímedes tomada por el Voyager 2 el 8 de julio de 1979. Las rayas paralelas brillantes que se extienden sobre la planicie oscura a la derecha quizás se deban, como las ondas concéntricas en un charco, a un antiguo impacto en esta superficie helada. No hay cráteres en el supuesto lugar de impacto, quizás por la lenta deformación viscosa producida a lo largo de las eras. (Cedida por la NASA.). Derecha: Ganímedes, la mayor luna de Júpiter. Los rasgos visibles más pequeños de esta imagen del Voyager tienen unos tres kilómetros de diámetro. Destacan numerosos cráteres de impacto, muchos con rayos brillantes. Las bandas que se tuercen suavemente y se cortan están compuestas de surcos paralelos de origen incierto. (Cedida por la NASA.)
Saturno, por su composición y por muchos otros aspectos, es semejante a Júpiter, pero más pequeño. Da una vuelta cada diez horas y presenta una serie de bandas ecuatoriales coloreadas, que sin embargo no son tan prominentes como las de Júpiter. Tiene un campo magnético y un cinturón de radiaciones más débil que Júpiter y un conjunto más espectacular de anillos circumplanetarios. Y también está rodeado por una docena de satélites, o más.
La más interesante de las lunas de Saturno parece ser Titán, la luna mayor del sistema solar y la única que posee una atmósfera sustancial. Antes del encuentro del Voyager 1 con Titán en noviembre de 1980, nuestra información sobre Titán era escasa pero tentadora. El único gas conocido cuya presencia estaba fuera de dudas era el metano, CH4, descubierto por G. P. Kuiper. La luz ultravioleta del sol convierte el metano en moléculas de hidrocarbonos más complejas y en gas hidrógeno. Los hidrocarbonos tendrían que quedarse en Titán, cubriendo la superficie con un lodo orgánico alquitranado y marronoso, algo parecido al que se obtiene con los experimentos sobre el origen de la vida en la Tierra. El gas hidrógeno, ligero, debería escapar rápidamente hacia el espacio gracias a la baja gravedad de Titán, mediante un proceso violento llamado “soplido”, que debería arrastrar consigo al metano y a otros constituyentes atmosféricos. Pero Titán tiene una presión atmosférica por lo menos igual a la del planeta Marte. No parece que exista este soplido. Quizás haya un elemento atmosférico constituyente importante y todavía por descubrir —por ejemplo nitrógeno— que mantiene a un nivel elevado el peso molecular medio de la atmósfera e impide el soplido. O quizás haya soplido pero los gases que se pierden en el espacio sean sustituidos por otros gases emitidos por el interior del satélite. La densidad del conjunto de Titán es tan baja que ha de haber una gran reserva de agua y de otros hielos, entre ellos probablemente el metano, los cuales son liberados a la superficie por el calentamiento interno, a un ritmo desconocido.

Calisto, fotografiado por el Voyager 1, el día 6 de marzo de 1979, a una distancia de 350.000 kilómetros. Calisto tiene aproximadamente el tamaño de Mercurio. Los numerosos cráteres de impacto de Calisto hacen pensar que tiene la superficie más vieja de todas las lunas galileanas de Júpiter, datando posiblemente de la era de acreción final hace unos 4 000 a 4 500 millones de años. Calisto tiene aproximadamente la mitad de albedo que Ganímedes, lo cual sugiere que su corteza helada está “sucia” (aún así es dos veces más brillante que nuestra luna). El “blanco” de la derecha se formó en un gran impacto. La mancha brillante en su centro tiene unos 600 kilómetros de diámetro. (Cedida por la NASA.)
Todavía se discute la temperatura superficial y el grueso de la atmósfera. Hay algunos indicios de una temperatura superficial superior a causa de un efecto de invernadero atmosférico.

Doce dibujos de Titán realizados por Audouin Dollfus en el observatorio de Pie du Midi, en los Pirineos franceses. Vista desde la Tierra la imagen de Titán es tan pequeña que su disco es apenas discernible. Las observaciones hacen pensar en nubes blancas variables, quizás cirros de metano, sobre un estrato oscuro, probablemente las nubes de materia orgánica que otros datos sugirieron. Es obvia la necesidad de enviar allí un vehículo espacial que tome fotografías en primer plano, como las programadas para el Voyager 1 en noviembre de 1980. (Cedidos por Audouin Dollfus.)
A través de un claro en las nubes de Titán se podrían vislumbrar Saturno y sus anillos, con su color amarillo pálido, difuminado por la atmósfera interpuesta. El sistema de Saturno está a una distancia del Sol diez veces superior a la de la Tierra, y por lo tanto la luz solar en Titán tiene sólo un uno por ciento de la intensidad a la que estamos acostumbrados, y la temperatura debería estar muy por debajo del punto de congelación del agua, aunque el efecto de invernadero atmosférico fuera importante. Pero la abundancia de materia orgánica, luz solar y quizás puntos calientes volcánicos hace que no pueda eliminarse fácilmente la posibilidad de que haya vida en Titán[42]. En un medio ambiente tan diferente, tendría que ser, como es lógico, muy distinta de la vida de la Tierra. No hay pruebas fuertes, ni a favor ni en contra, de la vida en Titán.

Imagen de Calisto en color falso. Cada mancha brillante es un cráter de impacto. Imagen del Voyager 1. (Cedida por la NASA.)
Si queremos examinar las partículas individuales que componen los anillos de Saturno tenemos que aproximamos mucho a ellas, porque las partículas son pequeñas: bolas de nieve, pedazos de hielo y diminutos glaciares, de un metro más o menos.

Los anillos de Júpiter, descubiertos por el Voyager 1 y fotografiados aquí por el Voyager 2. Júpiter está fuera de la fotografía, abajo a la derecha. Están compuestos de pequeñas partículas y parece que se prolongan descendiendo hasta la misma parte superior de las nubes jovianas; esto indica un estado de equilibrio entre la producción, quizás a base de material que escapó de lo, y la destrucción al entrar el material en las nubes de Júpiter. Son mucho más pequeños y oscuros que los anillos de Saturno, lo que explica que antes del Voyager no se llegaran a descubrir de un modo seguro desde la Tierra. (Cedida por la NASA.)
¿A qué se debe que no haya un único gran satélite en lugar de un sistema de anillos alrededor de Saturno? Cuanto más cerca está de Saturno una partícula del anillo, más alta es su velocidad orbital (más rápidamente va “cayendo” alrededor del planeta: tercera ley de Kepler); las partículas interiores van más rápidas que las exteriores (nosotros diríamos que el “carril para avanzar” está siempre a la izquierda). Aunque todo el conjunto se está precipitando alrededor del mismo planeta a unos veinte kilómetros por segundo, la velocidad relativa de dos partículas adyacentes es muy baja, sólo unos cuantos centímetros por minuto. A causa de este movimiento relativo las partículas no pueden llegar a pegarse por su gravedad mutua. Cuando lo intentan, sus velocidades orbitales, ligeramente distintas, las separan inmediatamente. Si los anillos no estuvieran tan próximos a Saturno, este efecto no sería tan intenso, y las partículas podrían aglomerarse, formando pequeñas bolas de nieve que crecerían formando eventualmente satélites. Por lo tanto probablemente no es una coincidencia que en el exterior de los anillos de Saturno haya un sistema de satélites cuyo tamaño varía desde unos cuantos centenares de kilómetros de diámetro hasta Titán, una luna gigante casi tan grande como el planeta Marte. La materia de todos los satélites y de los mismos planetas pudo estar al principio distribuida en forma de anillos, que se condensaron y acumularon formando las actuales lunas y planetas.
Al igual que sucede en Júpiter el campo magnético de Saturno captura y acelera las partículas cargadas del viento solar. Cuando una partícula cargada rebota de un polo magnético al otro, ha de cruzar el plano ecuatorial de Saturno. Si hay una partícula del anillo en su camino, el protón o electrón es absorbido por esta pequeña bola de nieve. En consecuencia los anillos de ambos planetas van limpiando los cinturones de radiación, que existen solamente en el interior y el exterior de los anillos de partículas. Una luna próxima a Júpiter o a Saturno se engullirá también las partículas del cinturón de radiación, y de hecho una de las nuevas lunas de Saturno se descubrió de este modo: el Pioneer 11 encontró un vacío inesperado en los cinturones de radiación, causado por el barrido de partículas cargadas que llevaba a cabo una luna desconocida anteriormente.
El viento solar se va difundiendo hacia el sistema solar exterior mucho más lejos de la órbita de Saturno. Cuando el Voyager alcance a Urano y las órbitas de Neptuno y de Plutón, si los instrumentos continúan funcionando es casi seguro que captarán su presencia, el viento entre los mundos, la parte superior de la atmósfera del Sol impulsada hacia el exterior, hacia el reino de las estrellas.

Abajo, derecha: Imagen tomada por el Pioneer 11 de Saturno y sus anillos, obtenida a una distancia de 2,5 millones de kilómetros, el 29 de agosto de 1979, tras un viaje de más de cinco años. (Cedida por la NASA.). Tres Gráficos por computadora de Saturno en tres orientaciones diferentes con respecto a nuestra línea de visión, desde los anillos casi de canto (arriba), hasta los anillos casi de frente (abajo), perspectiva no conseguida nunca desde la Tierra. La interrupción principal de los anillos es la División de Cassini; a su través pueden verse estrellas, aunque no falten en ella las partículas del anillo. Por este motivo, se abandonó el proyecto de atravesar con el Pioneer 11 la División de Cassini. El número preciso, la posición y la opacidad de otras divisiones de los anillos está por determinar aún. (Cedidas por J. Blinn y C. Kohlhase, Laboratorio de Propulsión a Chorro.)

Mapas de nuevos mundos. Arriba, cartografía de lo por el Servicio Geológico Norteamericano, basada en la información de los Voyager 1 y 2. Se indican los accidentes Ra, Loki, Maui y Prometeo, que aparecen en anteriores imágenes del Voyager de este capítulo. Abajo, el primer mapa mostrando las Américas, recopilado en el año 1 500 por Juan de la Cosa, un oficial que estuvo al servicio de Colón. (Cedido por la Colección de la Sociedad Geográfica Americana de la Universidad de Wisconsin- Milwaukee.)
Este lugar, llamado la heliopausa, es una definición de la frontera exterior del Imperio del Sol. Pero la nave espacial Voyager continuará adelante, penetrará en la heliopausa a mitades del siglo veintiuno y entrará surcando el océano del espacio, sin que vuelva a entrar más en otro sistema solar, destinado a errar por toda la eternidad lejos de las islas estelares y a completar su primera circunnavegación del centro masivo de la Vía Láctea dentro de unos cuantos centenares de millones de años. Nos hemos embarcado en viajes épicos.
Capítulo 7
El espinazo de la noche
Llegaron a un agujero redondo en el cielo... que resplandecía como el fuego. Esto, dijo el Cuervo, era una estrella.Cuando yo era pequeño vivía en la sección de Bensonhurst de Brooklyn, en la ciudad de Nueva York. Conocía a fondo todo mi vecindario inmediato, los edificios, los palomares, los patios, las escalinatas de entrada, los descampados, los olmos, las barandas ornamentales, los vertederos de carbón y las paredes para jugar al frontón, entre ellas la fachada de ladrillo de un teatro llamado Loew's Stillwell, que era inmejorable. Sabía dónde vivía mucha gente: Bruno y Dino, Ronald y Harvey, Sandy, Bemie, Danny, Jackie y Myra. Pero pasadas unas pocas travesías, al norte de la calle 86, con su retumbante tráfico de coches y su tren elevado, se extendía un territorio extraño y desconocido, que quedaba fuera de mis vagabundeas. Sabía yo tanto de aquellas zonas como de Marte.
Mito esquimal de la creación
Preferiría comprender una sola causa que ser Rey de Persia.
Demócrito de Abdera
Pero Aristarco de Samos sacó un libro conteniendo algunas hipótesis, en el cual las premisas conducían al resultado de que el tamaño del universo es muchas veces superior a lo que ahora recibe este nombre. Sus hipótesis son que las estrellas fijas y el Sol se mantienen inmóviles, que la Tierra gira alrededor del Sol en la circunferencia de un círculo, con el Sol situado en el centro de la órbita, y que la esfera de las estrellas fijas, situada alrededor del mismo centro que el Sol, es tan grande que el círculo en el cual supone que gira la Tierra está en la misma proporción a la distancia de las estrellas fijas que el centro de la esfera a su superficie.
Arquímedes, El calculador de arena
Si se diera una fiel relación de las ideas del Hombre sobre la Divinidad, se vería obligado a reconocer que la palabra dioses se ha utilizado casi siempre para expresar las causas ocultas, remotas, desconocidas, de los efectos que presenciaba; que aplica este término cuando la fuente de lo natural, la fuente de las causas conocidas, deja de ser visible: tan pronto como pierde el hilo de estas causas, o tan pronto como su mente se ve incapaz de seguir la cadena, resuelve la dificultad, da por terminada su investigación, y lo atribuye a sus dioses... Así pues, cuando atribuye a sus dioses la producción de algún fenómeno... ¿hace algo más, de hecho, que sustituir la oscuridad de su mente por un sonido que se ha acostumbrado a oír con un temor reverencial?
Paul Heinrich Dietrich, barón Von Holbach, Systéme de la Nature, Londres 1770
Aunque me fuera pronto a la cama, en invierno se podía ver a veces las estrellas. Me las miraba y las veía parpadeantes y lejanas; me preguntaba qué eran. Se lo preguntaba a niños mayores y a adultos, quienes se limitaban a contestar: “Son luces en el cielo, chaval.” Yo ya veía que eran luces en el cielo, pero ¿qué eran? ¿Eran sólo lamparitas colgando de lo alto? ¿Para qué estaban allí? Me inspiraban una especie de pena: era un tópico cuya extrañeza de algún modo no afectaba a mis indiferentes compañeros. Tenía que haber alguna respuesta más profunda.

El espinazo de la noche, pintura de Jon Lomberg que describe una metáfora sobre la naturaleza de la Vía Láctea contada por el pueblo ¡Kung de la República de Botswana
Imaginemos que cogemos el Sol y lo vamos alejando hasta quedar convertido en un puntito parpadeante de luz. ¿A qué distancia habría que desplazarlo? En aquel entonces yo desconocía la noción de tamaño angular. Desconocía la ley del cuadrado inverso para la propagación de la luz. No tenía ni la más remota posibilidad de calcular la distancia a las estrellas. Pero podía afirmar que si las estrellas eran soles, tenían que estar a una distancia muy grande: más lejos que la calle 85, más lejos que Manhattan, más lejos probablemente que Nueva Jersey. El Cosmos era mucho mayor de lo que yo había supuesto.
Más tarde leí otra cosa asombrosa. La Tierra, que incluye a Brooklyn, es un planeta, y gira alrededor del Sol. Hay otros planetas. También giran alrededor del Sol; algunos están cerca de él y otros más lejos. Pero los planetas no brillan por su propia luz, como le sucede al Sol. Se limitan a reflejar la luz del Sol. Si uno se sitúa a una gran distancia le será imposible ver la Tierra y los demás planetas; quedarán convertidos en puntos luminosos muy débiles perdidos en el resplandor del Sol. Bueno, en este caso, pensé yo, lo lógico era que las demás estrellas también tuvieran planetas, planetas que todavía no hemos detectado, y algunos de estos planetas deberían tener vida (¿por qué no?), una especie de vida probablemente diferente de la vida que conocemos aquí, en Brooklyn. Decidí pues que yo sería astrónomo, que aprendería cosas sobre las estrellas y los planetas y que si me era posible iría a visitarlos.
Tuve la inmensa fortuna de contar con unos padres y con algunos maestros que apoyaron esta ambición rara, y de vivir en esta época, el primer momento en la historia de la humanidad en que empezamos a visitar realmente otros mundos y a efectuar un reconocimiento a fondo del Cosmos. Si hubiese nacido en otra época muy anterior, por grande que hubiese sido mi dedicación no hubiese entendido qué son las estrellas y los planetas. No habría sabido que hay otros soles y otros mundos. Es éste uno de los mayores secretos, un secreto arrancado a la naturaleza después de un millón de años de paciente observación y de especulación audaz por parte de nuestros antepasados.
¿Qué son las estrellas? Preguntas de este tipo son tan naturales como la sonrisa de un niño. Siempre las hemos formulado. Nuestra época se diferencia en que por fin conocemos algunas de las respuestas. Los libros y las bibliotecas constituyen medios fáciles para descubrir las respuestas. En biología hay un principio de aplicación poderosa, aunque imperfecta, que se llama recapitulación: en el desarrollo embrionario de cada uno de nosotros vamos siguiendo los pasos de la historia evolutiva de la especie. Creo que en nuestros propios desarrollos intelectuales existe también una especie de recapitulación. Seguimos inconscientemente los pasos de nuestros antepasados remotos. Imaginemos una época anterior a la ciencia, una época anterior a las bibliotecas. Imaginemos una época situada a cientos de miles de años en el pasado. Éramos más o menos igual de listos, igual de curiosos, igual de activos en lo social y lo sexual. Pero todavía no se habían hecho experimentos, todavía no se habían hecho inventos. Era la infancia del género Homo. Imaginemos la época en que se descubrió el fuego. ¿Cómo eran las vidas de los hombres en aquel entonces? ¿Qué eran para nuestros antepasados las estrellas? A veces pienso, fantaseando, que hubo alguien que pensaba del modo siguiente:
“Comemos bayas y raíces. Nueces y hojas. Y animales muertos. Algunos son animales que encontramos. Otros los cazamos. Sabemos qué alimentos son buenos y cuáles son peligrosos. Si comemos algunos alimentos caemos al suelo castigados por haberlo hecho. Nuestra intención no era hacer nada malo. Pero la dedalera y la cicuta pueden matarte. Nosotros amamos a nuestros hijos y a nuestros amigos. Les advertimos para que no coman estos alimentos.”
“Cuando cazamos animales, es posible que ellos nos maten a nosotros. Nos pueden comer. 0 pisotear. 0 comer. Lo que los animales hacen puede significar la vida y la muerte para nosotros; su comportamiento, los rastros que dejan, las épocas de aparejarse y de parir, las épocas de vagabundeo. Tenemos que saber todo esto. Se lo contamos a nuestros hijos. Ellos se lo contarán luego a los suyos.”
“Dependemos de los animales. Les seguimos: sobre todo en invierno cuando hay pocas plantas para comer. Somos cazadores itinerantes y recolectores. Nos llamamos pueblo de cazadores.”
“La mayoría de nosotros se pone a dormir bajo el cielo o bajo un árbol o en sus ramas. Utilizamos para vestir pieles de animal: para calentamos, para cubrir nuestra desnudez y a veces de hamaca. Cuando llevamos la piel del animal sentimos su poder. Saltamos con la gacela. Cazamos con el oso. Hay un lazo entre nosotros y los animales. Nosotros cazamos y nos comemos a los animales. Ellos nos cazan y se nos comen. Somos parte los unos de los otros.” “Hacemos herramientas y conseguimos vivir. Algunos de nosotros saben romper las rocas, escamarlas, aguzarías y pulirlas, y además encontrarlas. Algunas rocas las atamos con tendones de animal a un mango de madera y hacemos un hacha. Con el hacha golpeamos plantas y animales. Atamos otras rocas a palos largos. Si nos estamos quietos y vigilantes a veces podemos aproximamos a un animal y clavarle una lanza.”
“La carne se echa a perder. A veces estamos hambrientos y procuramos no damos cuenta. A veces mezclamos hierbas con la carne mala para ocultar su gusto. Envolvemos los alimentos que no se echan a perder con trozos de piel de animal o con hojas grandes o en la cáscara de una nuez grande. Es conveniente guardar comida y llevarla consigo. Si comemos estos alimentos demasiado pronto, algunos morirán más tarde de hambre. Tenemos pues que ayudarnos los unos a los otros. Por éste y por muchos otros motivos tenemos unas regias. Todos han de obedecer las reglas. Siempre hemos tenido regias. Las reglas son sagradas.”
“Un día hubo una tormenta con muchos relámpagos y truenos y lluvia. Los pequeños tienen miedo de las tormentas. Y a veces tengo miedo incluso yo. El secreto de la tormenta está oculto. El trueno es profundo y potente; el relámpago es breve y brillante. Quizás alguien muy poderoso esté muy irritado. Creo que ha de ser alguien que esté en el cielo.”
“Después de la tormenta hubo un chisporroteo y un crujido en el bosque cercano. Fuimos a ver qué pasaba. Había una cosa brillante, caliente y movediza, amarilla y roja. Nunca habíamos visto cosa semejante. Ahora le llamamos 'llama'. Tiene un olor especial. En cierto modo es una cosa viva. Come comida. Si se le deja come plantas y brazos de árboles, incluso árboles enteros. Es fuerte. Pero no es muy lista. Cuando acaba toda su comida se muere. Es incapaz de andar de un árbol a otro a un tiro de lanza si no hay comida por el camino. No puede andar sin comer. Pero allí donde encuentra mucha comida crece y da muchas llamas hijas.”
“Uno de nosotros tuvo una idea atrevida y terrible: capturar la llama, darle un poco de comer y convertirla en amiga nuestra. Encontramos algunas ramas largas de madera dura. La llama empezó a comérselas, pero lentamente. Podíamos agarrarlas por la punta que no tenía llama. Si uno corre deprisa con una llama pequeña, se muere. Sus hijos son débiles. Nosotros no corrimos. Fuimos andando, deseándole a gritos que le fuera bien. 'No te mueras' decíamos a la llama. Los otros cazadores nos miraban con ojos asombrados.”
“Desde entonces siempre la hemos llevado con nosotros. Tenemos una llama madre para alimentar lentamente a la llama y que no muera de hambre. [43] La llama es una maravilla, y además es útil; no hay duda que es un regalo de seres poderosos. ¿Son los mismos que los seres enfadados de la tormenta?”
“La llama nos calienta en las noches frías. Nos da luz. Hace agujeros en la oscuridad cuando la Luna es nueva. Podemos reparar las lanzas de noche para la caza del día siguiente. Y si no estamos cansados podemos vemos los unos a los otros y conversar incluso en las tinieblas. Además y esto es algo muy bueno el fuego mantiene alejados a los animales. Porque de noche pueden hacemos daño. A veces se nos han comido incluso animales pequeños, como hienas y lobos. Ahora esto ha cambiado. Ahora la llama mantiene a raya a los animales. Les vemos aullando suavemente en la oscuridad, merodeando con sus ojos relucientes a la luz de la llama. La llama les asusta. Pero nosotros no estamos asustados con ella. La llama es nuestra. Cuidamos de ella. La llama cuida de nosotros.”
“El cielo es importante. Nos cubre, nos habla. Cuando todavía no habíamos encontrado la llama nos estirábamos en la oscuridad y mirábamos hacia arriba, hacia todos los puntos de luz. Algunos puntos se juntaban y hacían una figura en el cielo. Uno de nosotros podía ver las figuras mejor que los demás. Él nos enseñó las figuras de estrellas y los nombres que había que darles. Nos quedábamos sentados hasta muy tarde en la noche y explicábamos historias sobre las figuras del cielo: leones, perros, osos, cazadores. Otros, cosas más extrañas. ¿Es posible que fueran las figuras de los seres poderosos del cielo, los que hacen las tormentas cuando se enfadan?”
“En general el cielo no cambia. Un año tras otro hay allí las mismas figuras de estrellas. La Luna crece desde nada a una tajada delgada y hasta una bola redonda, y luego retorna a la nada. Cuando la Luna cambia, las mujeres sangran. Algunas tribus tienen reglas contra el sexo en algunos días del crecimiento y la mengua de la Luna. Algunas tribus marcan en huesos de cuerno los días de la Luna o los días en que las mujeres sangran. De este modo pueden preparar planes y obedecer sus reglas. Las reglas son sagradas.”
“Las estrellas están muy lejos. Cuando subimos a una montaña o escalamos un árbol no quedan más cerca. Y entre nosotros y las estrellas se interpolen nubes: las estrellas han de estar detrás de las nubes. La Luna, mientras avanza lentamente pasa delante de las estrellas. Luego se ve que las estrellas no han sufrido ningún daño. La Luna no se come las estrellas. Las estrellas han de estar detrás de la Luna. Parpadean. Hacen una luz extraña, fría, blanca, lejana. Muchas son así. Por todo el cielo. Pero sólo de noche. Me pregunto qué son.”
“Estaba una noche después de encontrar la llama sentado cerca del fuego del campamento pensando en las estrellas. Me vino lentamente un pensamiento: las estrellas son llama, pensé. Luego tuve otro pensamiento: las estrellas son fuegos de campamento que encienden otros cazadores de noche. Las estrellas dan una luz más pequeña que la de los fuegos de campamento. Por lo tanto han de ser fuegos de campamento muy lejanos. Ellos me preguntan: '¿Pero cómo puede haber fuegos de campamento en el cielo? ¿Por qué no caen a nuestros pies estos fuegos de campamento y estos cazadores sentados alrededor de las llamas? ¿Por qué no cae del cielo gente forastera?' ”
“Son preguntas interesantes. Me preocupan. A veces pienso que el cielo es la mitad de una gran cáscara de huevo o de una gran nuez. Pienso que la gente que está alrededor de aquellos lejanos fuegos de campamento nos está mirando a nosotros, aquí abajo -pero a ellos les parece que estamos arriba-, y me dicen que estamos en su cielo, y se preguntan por qué no les caemos encima, si entiendes lo que digo. Pero los cazadores dicen: 'Abajo es abajo y arriba es arriba.' También esto es una buena respuesta.”
“Uno de nosotros tuvo otra idea. Su idea era que la noche es una gran piel de un animal negro, tirada sobre el cielo. Hay agujeros en la piel. Nosotros miramos a través de los agujeros. Y vemos llamas. Él piensa que la llama no está solamente en los pocos lugares donde vemos estrellas. Piensa que la llama está en todas partes. Cree que la llama cubre todo el cielo. Pero la piel nos la oculta. Excepto en los lugares donde hay agujeros.”
“Algunas estrellas se pasean. Como los animales que cazamos. Como nosotros. Si uno mira con atención durante muchos meses, ve que se han movido. Sólo hay cinco que lo hagan, como los cinco dedos de la mano. Se pasean lentamente entre las estrellas. Si la idea del fuego de campamento es cierta, estas estrellas deben ser tribus de cazadores que van errantes llevando consigo grandes fuegos. Pero no veo posible que las estrellas errantes sean agujeros en una piel. Si uno hace un agujero allí se queda. Un agujero es un agujero. Los agujeros no se pasean. Además tampoco me gusta que me rodee un cielo de llamas. Si la piel cayera el cielo de la noche sería brillante -demasiado brillante-, como si viéramos llamas por todas partes. Creo que un cielo de llama se nos comería a todos. Quizás hay dos tipos de seres poderosos en el cielo. Los malos, que quieren que se nos coman las llamas, y los buenos, que pusieron la piel para tener alejadas las llamas de nosotros. Debemos encontrar la manera de dar las gracias a los seres buenos.”
“No sé si las estrellas son fuegos de campamento en el cielo, o agujeros en una piel a través de los cuales la llama del poder nos mira. A veces pienso una cosa. A veces pienso una cosa distinta. En una ocasión pensé que no había fuegos de campamento ni agujeros, sino algo distinto, demasiado difícil para que yo lo comprendiera.”
“Apoya el cuello sobre un tronco. La cabeza caerá hacia atrás. Entonces podrás ver únicamente el cielo. Sin montañas, sin árboles, sin cazadores, sin fuego de campamento. Sólo cielo. A veces siento como si fuera a caer hacia el cielo. Si las estrellas son fuegos de campamento me gustaría visitar a estos otros pueblos de cazadores: los que van errantes. Entonces siento que me gustaría caer hacia arriba. Pero si las estrellas son agujeros en una piel me entra miedo. No me gustaría caer por un agujero y meterme en la llama del poder.”
“Me gustaría saber qué es lo cierto. No me gusta no saber.”

Reconstrucción del templo de Hera en la isla griega de Samos. Es el templo mayor de su época, con una longitud de 120 metros. La construcción empezó en el año 530 a. de C. y continuó hasta el siglo tercero a. de C. Reproducido de Der Heratempel von Samos de Oscar Reuther (1957).
Las metáforas de este tipo sobre fuegos celestiales de campamento o espinazos galácticos fueron sustituidos más tarde en la mayoría de las culturas humanas por otra idea: Los seres poderosos del cielo quedaron promovidos a la categoría de dioses. Se les dieron nombres y parientes, y se les atribuyeron responsabilidades especiales por los servicios cósmicos que se esperaba que realizaran. Había un dios o diosa por cada motivo humano de preocupación. Los dioses hacían funcionar la naturaleza.

La única columna sobreviviente de! templo de Hera en Samos. (Fotografía, Bill Ray.)
Poco queda del Heraion de la isla egea de Samos, una de las maravillas del mundo antiguo, un gran templo dedicado a Hera, que había iniciado su carrera como diosa del cielo. Era la deidad patrona de Samos, y su papel era el mismo que el de Atenas en Atenas. Mucho más tarde se casó con Zeus, el jefe de los dioses olímpicos. Pasaron la luna de miel en Samos, según cuentan las viejas historias. La religión griega explicaba aquella banda difusa de luz en el cielo nocturno diciendo que era la leche de Hera que le salió a chorro de su pecho y atravesó el cielo, leyenda que originó el nombre que los occidentales utilizamos todavía: la Vía Láctea. Quizás originalmente representaba la noción importante de que el cielo nutre a la Tierra; de ser esto cierto, el significado quedó olvidado hace miles de años.
Casi todos nosotros descendemos de pueblos que respondieron a los peligros de la existencia inventando historias sobre deidades impredecibles o malhumoradas. Durante mucho tiempo el instinto humano de entender quedó frustrado por explicaciones religiosas fáciles, como en la antigua Grecia, en la época de Homero, cuando, había dioses del cielo y de la Tierra, la tormenta, los océanos y el mundo subterráneo, el fuego y el tiempo y el amor y la guerra; cuando cada árbol y cada prado tenía su dríada y su ménade.

Mapa del Mediterráneo oriental en la época clásica, mostrando las ciudades relacionadas con los grandes científicos antiguos.
Esta revolución creó el Cosmos del Caos. Los primitivos griegos habían creído que el primer ser fue el Caos, que corresponde a la expresión del Génesis, dentro del mismo contexto: “sin forma”. Caos creó una diosa llamada Noche y luego se unió con ella, y su descendencia produjo más tarde todos los dioses y los hombres. Un universo creado a partir de Caos concordaba perfectamente con la creencia griega en una naturaleza impredecible manejada por dioses caprichosos. Pero en el siglo sexto antes de Cristo, en Jonia, se desarrolló un nuevo concepto, una de las grandes ideas de la especie humana. El universo se puede conocer, afirmaban los antiguos jonios, porque presenta un orden interno: hay regularidades en la naturaleza que permiten revelar sus secretos. La naturaleza no es totalmente impredecible; hay reglas a las cuales ha de obedecer necesariamente. Este carácter ordenado y admirable del universo recibió el nombre de Cosmos.
Pero, ¿por qué todo esto en Jonia, en estos paisajes sin pretensiones, pastorales, en estas islas y ensenadas remotas del Mediterráneo oriental? ¿Por qué no en las grandes ciudades de la India o de Egipto, de Babilonia, de China o de Centroamérica? China tenía una tradición astronómica vieja de milenios; inventó el papel y la imprenta, cohetes, relojes, seda, porcelana y flotas oceánicas. Sin embargo, algunos historiadores atinan que era una sociedad demasiado tradicionalista, poco dispuesta a adoptar innovaciones. ¿Por qué no la India, una cultura muy rica y con dotes matemáticas? Debido según dicen algunos historiadores a una fascinación rígida con la idea de un universo infinitamente viejo condenado a un ciclo sin fin de muertes y nuevos nacimientos, de almas y de universos, en el cual no podía suceder nunca nada fundamentalmente nuevo. ¿Por qué no las sociedades mayas y aztecas, que eran expertas en astronomía y estaban fascinadas, como los indios, por los números grandes? Porque, declaran algunos historiadores, les faltaba la aptitud o el impulso para la invención mecánica. Los mayas y los aztecas no llegaron ni a inventar la rueda, excepto en juguetes infantiles.
Los jonios tenían varias ventajas. Jonia es un reino de islas. El aislamiento, aunque sea incompleto, genera la diversidad. En aquella multitud de islas diferentes había toda una variedad de sistemas políticos. Faltaba una única concentración de poder que pudiera imponer una conformidad social e intelectual en todas las islas. Aquello hizo posible el libre examen. La promoción de la superstición no se consideraba una necesidad política. Los jonios, al contrario que muchas otras culturas, estaban en una encrucijada de civilizaciones, y no en uno de los centros. Fue en Jonia donde se adaptó por primera vez el alfabeto fenicio al uso griego y donde fue posible una amplia alfabetización. La escritura dejó de ser un monopolio de sacerdotes y escribas. Los pensamientos de muchos quedaron a disposición de ser considerados y debatidos. El poder político estaba en manos de mercaderes, que promovían activamente la tecnología sobre la cual descansaba la prosperidad. Fue en el Mediterráneo oriental donde las civilizaciones africana, asiática y europea, incluyendo a las grandes culturas de Egipto y de Mesopotamia, se encontraron y se fertilizaron mutuamente en una confrontación vigorosa y tenaz de prejuicios, lenguajes, ideas y dioses. ¿Qué hace uno cuando se ve enfrentado con varios dioses distintos, cada uno de los cuales reclama el mismo territorio? El Marduk babilonio y el Zeus griego eran considerados, cada uno por su parte, señores del cielo y reyes de los dioses. Uno podía llegar a la conclusión de que Marduk y Zeus eran de hecho el mismo dios. Uno podía llegar también a la conclusión, puesto que ambos tenían atributos muy distintos, que uno de los dos había sido inventado por los sacerdotes. Pero si inventaron uno, ¿por qué no los dos?
Y así fue como nació la gran idea, la comprensión de que podía haber una manera de conocer el mundo sin la hipótesis de un dios; que podía haber principios, fuerzas, leyes de la naturaleza, que permitieran comprender el mundo sin atribuir la caída de cada gorrión a la intervención directa de Zeus. Creo que China, la India y Centroamérica, de haber dispuesto de algo más de tiempo, habrían tropezado también con la ciencia. Las culturas no se desarrollan con ritmos idénticos ni evolucionan marcando el paso. Nacen en tiempos diferentes y progresan a ritmos distintos.

Pomo de puerta en forma de mano en la plaza de la ciudad de Mili, en la actual Samos. El respeto por el trabajo manual fue una de las claves del Despertar Jónico centrado en Samos, de los siglos sexto al cuarto antes de Cristo. (Foto de Ann Druyan.)
Esta gran revolución en el pensamiento humano se inició entre los años 600 y 400 a. de C. La clave de esta revolución fue la mano. Algunos de los brillantes pensadores jonios eran hijos de marineros, de campesinos y de tejedores. Estaban acostumbrados a hurgar y a reparar, al contrario de los sacerdotes y de los escribas de otras naciones que, criados en el lujo, no estaban dispuestos a ensuciarse las manos. Rechazaron la superstición y elaboraron maravillas. En muchos casos sólo disponemos de relaciones secundarias o indirectas sobre lo sucedido. Las metáforas que se utilizaban entonces pueden ser oscuras para nosotros. Es casi seguro que hubo un esfuerzo consciente unos siglos después para eliminarlas nuevas concepciones. Las figuras señeras de esta revolución eran hombres de nombre griego, que en su mayor parte nos suenan extraños, pero que fueron los pioneros auténticos del desarrollo de nuestra civilización y de nuestra humanidad.
El primer científico jonio fue Tales de Mileto, una ciudad de Asia separada por un estrecho canal de agua de la isla de Samos. Había viajado hasta Egipto y dominaba los conocimientos babilónicos. Se dice que predijo un eclipse solar. Aprendió la manera de medir la altura de una pirámide a partir de la longitud de su sombra y el ángulo del Sol sobre el horizonte, método utilizado hoy en día para determinar la altura de las montañas de la Luna. Fue el primero que demostró teoremas geométricos como los que Euclides codificó tres siglos después: por ejemplo la proposición de que los ángulos en la base de un triángulo isósceles son iguales. Hay una evidente continuidad en el esfuerzo intelectual desde Tales hasta Euclides hasta la compra por Isaac Newton de los Elementos de geometría en la Feria de Stourbridge en 1663 (véase página 68), el acontecimiento que precipitó la ciencia y la tecnología modernas.
Tales intentó comprender el mundo sin invocar la intervención de los dioses. Creía, como los babilonios, que el mundo había sido antes agua. Los babilonios para explicar la tierra firme añadían que Marduk puso una estera sobre la superficie de las aguas y amontonó tierra encima de ella. [46] Tales tenía una idea semejante, pero como señala Benjamín Farrington, dejó fuera a Marduk. Sí, todo había sido antes agua, pero la Tierra se formó a partir de los océanos por un proceso natural, semejante, pensaba, a la sedimentación que había observado en el delta del Nilo. Pensaba que el agua era un principio común subyacente a toda la materia, como podríamos hablar hoy de los electrones, los protones, los neutrones o los quarks. Lo importante no es que la conclusión de Tales fuera correcta o no, sino el método utilizado: El mundo no fue hecho por los dioses, sino por la labor de fuerzas materiales en interacción dentro de la naturaleza. Tales trajo de Babilonia y de Egipto las semillas de las nuevas ciencias de la astronomía y la geometría, ciencias que brotarían y crecerían en el suelo fértil de Jonia.
Se sabe muy poco sobre la vida personal de Tales, pero Aristóteles cuenta en su Política una anécdota reveladora:
Se le reprochaba [a Tales] su pobreza, la cual demostraba que al parecer la filosofía no sirve de nada. Según la historia, su capacidad [para interpretar los cielos] le permitió saber en pleno invierno que en el año siguiente habría una gran cosecha de aceitunas; como disponía de algo de dinero, depositó unas sumas reservándose el uso de todas las prensas de aceite de Quíos y de Mileto, que alquiló a bajo precio porque nadie pujó contra él. Cuando llegó la época de la cosecha y había mucha necesidad de utilizarlas todas, las alquiló al precio que quiso y reunió mucho dinero.De este modo demostró al mundo que los filósofos pueden hacerse ricos fácilmente si lo desean, pero que su ambición es de otro tipo.
Fue famoso también por su sabiduría política; animó con éxito a los milesios a que opusieran resistencia a la asimilación por el reino de Creso, rey de Lidia, y propuso sin éxito una federación de todos los estados insulares de Jonia para que se opusieran a los lidios.
Anaximandro de Mileto, que era amigo y colega de Tales, fue una de las primeras personas de quien sabemos que llevó a cabo un experimento. Examinando la sombra móvil proyectada por un palo vertical determinó con precisión la longitud del año y de las estaciones. Los hombres habían utilizado durante eras los palos para golpearse y lancearse entre sí.
Anaximandro los utilizó para medir el tiempo. Fue la primera persona en Grecia que construyó un reloj de sol, un mapa del mundo conocido y un globo celeste que mostraba las formas de las constelaciones.

El túnel de Eupalinos, que atraviesa el monte Ampelo en Samos. Heródoto lo describe como una de las tres grandes obras de la ingeniería griega (las otras dos, el templo de Hera y la escollera del actual puerto de Pitagorion, también se construyeron en la isla de Samos). Concluido por los esclavos de Polícrates hacia el 525 a de C.
Afirmaba que al nacer estamos tan desvalidos, que si los primeros niños hubiesen quedado abandonados y solos en el mundo habrían muerto inmediatamente. Anaximandro dedujo de esto que los seres humanos procedían de otros animales cuyos hijos nacen más resistentes: Propuso el origen espontáneo de la vida en el barro, siendo los primeros animales peces cubiertos de espinas. Algunos descendientes de estos peces abandonaron luego el agua y se adentraron en tierra firme, donde evolucionaron dando otros animales mediante transmutaciones de una forma a otra. Creía en un número infinito de mundos, todos habitados, y todos sujetos a ciclos de disolución y de regeneración. Y san Agustín se queja tristemente de que “ni él ni Tales atribuyeron la causa de toda esta incesante actividad a una mente divina”.
En el año 540 a. de C., más o menos, llegó al poder en la isla de Samos un tirano llamado Polícrates. Parece que empezó su carrera como proveedor de comida y que luego pasó a la piratería internacional. Polícrates fue un mecenas generoso de las artes, las ciencias y la ingeniería. Pero oprimió a su pueblo; hizo la guerra a sus vecinos y tenía fundados motivos para temer una invasión. Por consiguiente rodeó su capital con una gran muralla, de unos seis kilómetros de largo, cuyos restos se conservan todavía. Ordenó la construcción de un gran túnel que llevara agua de una fuente distante a través de las fortificaciones. Tiene un kilómetro de longitud y atraviesa una montaña. Se hicieron dos catas a ambos lados que coincidieron casi a la perfección en el centro. El proyecto tardó unos quince años en ser completado, y quedó como testamento de la ingeniería civil de la época y como indicación de la extraordinaria capacidad práctica de los jonios. Pero hay otro aspecto más siniestro de esta empresa: lo construyeron en parte esclavos encadenados, muchos capturados por los buques piratas de Polícrates.
Esta fue la época de Teodoro, el ingeniero maestro de la época, a quien los griegos atribuyen la invención de la llave, de la regla, de la escuadra, del nivel, del tomo, de la fundición de bronce y de la calefacción central. ¿Por qué no hay monumentos dedicados a este hombre? Quienes soñaban y especulaban con las leyes de la naturaleza también conversaban con los tecnólogos y los ingenieros. A menudo eran las mismas personas. Los teóricos y los prácticos eran unos.
Hacia la misma época, en la isla próxima de Cos, Hipócrates estaba fundando su famosa tradición médica, apenas recordada hoy en día por el juramento hipocrático. Fue una escuela de medicina práctica y eficiente, basada, según insistió Hipócrates, en los equivalentes contemporáneos de la física y de la química[47]. Pero también tuvo su aspecto teórico. Hipócrates escribió en su obra Sobre la antigua medicina: “Los hombres creen que la epilepsia es divina, simplemente porque no la entienden. Pero si llamaran divino a todo lo que no entienden, realmente las cosas divinas no tendrían fin.”
Con el tiempo, la influencia jonia y el método experimental se extendieron a la Grecia continental, a Italia, a Sicilia. Era una época en la que apenas nadie creía en el aire. Se conocía desde luego la respiración, y se creía que el viento era el aliento de los dioses. Pero la idea de aire como una sustancia estática, material, pero invisible, no existía. El primer experimento documentado con aire fue realizado por un médico [48] llamado Empédocles, que floreció hacia el 450 a. de C. Algunas historias dicen que se calificó a sí mismo de dios. Pero quizás fue su inteligencia lo que le hizo pasar ante los otros por un dios. Creía que la luz se desplaza a gran velocidad pero no a una velocidad infinita. Enseñó que en otras épocas había habido una variedad mucho mayor de seres vivientes en la Tierra, pero que muchas razas de seres “debieron haber sido incapaces de generar y continuar su especie. Porque en el caso de todas las especies existentes, la inteligencia o el valor o la rapidez los han protegido y preservado desde los inicios de su existencia”. Empédocles, como Anaximandro y Demócrito (ver a continuación), al intentar explicar de este modo la hermosa adaptación de los organismos a sus medios ambientes, se anticipó en ciertos aspectos a la gran idea de Darwin de la evolución por selección natural.
Empédocles llevó a cabo su experimento con un cacharro doméstico que la gente había estado utilizando desde hacía siglos, la llamada clepsidra o ladrón de agua, que servía de cucharón de cocina. Se trata de una esfera de cobre con un cuello abierto y pequeños agujeros en el fondo que se llena sumergiéndola en el agua. Si se saca del agua con el cuello sin tapar el agua se sale por los agujeros formando una pequeña ducha. Pero si se saca correctamente, tapando con el pulgar el cuello, el agua queda retenida dentro de la esfera hasta que uno levanta el dedo. Si uno trata de llenarlo con el cuello tapado el agua no entra. Ha de haber alguna sustancia material que impida el paso del agua. No podemos ver esta sustancia. ¿De qué se trata? Empédocles afirmó que sólo podía ser aire. Una cosa que somos incapaces de ver puede ejercer una presión, puede frustrar mi deseo de llenar el cacharro con agua si dejo tontamente el dedo sobre el cuello. Empédocles había descubierto lo invisible. Pensó que el aire tenía que ser materia tan finamente dividida que era imposible verla.
Se dice que Empédocles murió en un ataque apoteósico arrojándose a la lava ardiente de la caldera de la cima del gran volcán Etna. Pero yo pienso a veces que debió resbalar durante una expedición audaz y pionera propia de la geofísica observacional.
Estos indicios, este soplo sobre la existencia de los átomos, fue explotado mucho más a fondo por un hombre llamado Demócrito, procedente de la lejana colonia jónica de Abdera en el norte de Grecia. Abdera era una especie de ciudad chiste. Si en el año 430 a. de C. uno contaba una historia sobre alguien de Abdera las carcajadas estaban aseguradas. Era en cierto modo el Brooklyn de la época. Demócrito creía que había que disfrutar y comprender todo lo de la vida; comprender y disfrutar era una misma cosa. Dijo que “una vida sin regocijo es un largo camino sin una posada”.
Demócrito podía haber nacido en Abdera, pero no era tonto. Creía que se habían formado espontáneamente a partir de la materia difusa del espacio un gran número de mundos, para evolucionar y más tarde decaer. En una época en la que nadie sabía de la existencia de cráteres de impacto, Demócrito pensó que los mundos a veces entran en colisión; creyó que algunos mundos erraban solos por la oscuridad del espacio, mientras que otros iban acompañados por varios soles y lunas; que algunos mundos estaban habitados, mientras que otros no tenían ni plantas ni animales ni agua; que las formas más simples de vida nacieron de una especie de cieno primordial. Enseñó que la percepción -la razón por la cual pienso, por ejemplo, que tengo una pluma en la mano- era un proceso puramente físico y mecanicista; que el pensamiento y la sensación eran atributos de la materia reunida de un modo suficientemente fino y complejo, y no de algún espíritu infundido por los dioses en la materia.
Demócrito inventó la palabra átomo, que en griego significa que no puede cortarse. Los átomos eran las partículas últimas, que frustraban indefinidamente nuestros intentos por reducirlas a piezas más pequeñas. Dijo que todo está hecho de una reunión de átomos, juntados intrincadamente. Incluso nosotros. “Nada existe -dijo-, aparte de átomos y el vacío.”
Cuando cortamos una manzana, el cuchillo ha de pasar a través de espacios vacíos entre los átomos, afirmaba Demócrito. Si no hubiese estos espacios vacíos, este vacío, el cuchillo toparía con los átomos impenetrables y no podríamos cortar la manzana. Cortemos por ejemplo una tajada de un cono y comparemos las secciones de las dos piezas. ¿Son las áreas que han quedado al descubierto iguales? No, afirmaba Demócrito. La inclinación del cono obliga a que una cara del corte tenga una sección ligeramente más pequeña que la otra. Si las dos áreas fueran exactamente iguales tendríamos un cilindro, no un cono. Por afilado que esté el cuchillo, las dos piezas tienen secciones de corte desiguales: ¿Por qué? Porque a la escala de lo muy pequeño, la materia presenta una granulosidad determinada e irreductible. Demócrito identificó esta escala fina de granulosidad con el mundo de los átomos. Sus argumentos no eran los que utilizamos actualmente, pero eran sutiles y elegantes, derivados de la vida diaria. Y sus conclusiones eran fundamentalmente correctas.
Demócrito, en un ejercicio parecido, imaginó el cálculo del volumen de un cono o de una pirámide mediante un número muy grande de placas muy finas una encima de la otra, y cuyo tamaño disminuía de la base hasta el vértice. De este modo formulaba el problema que en matemáticas se denomina teoría de los límites. Estaba llamando a la puerta del cálculo diferencial e integral, la herramienta fundamental para comprender el mundo y que según los documentos escritos de que disponemos no se descubrió hasta la época de Isaac Newton. Quizás si la obra de Demócrito no hubiese quedado casi totalmente destruida, hubiese existido el cálculo diferencial hacia la época de Cristo.[49]
Thomas Wright se maravillaba en 1750 de que Demócrito hubiese creído que la Vía Láctea está compuesta principalmente por estrellas sin resolver: “Mucho antes de que la astronomía hubiese sacado beneficio de las ciencias ópticas mejoradas, él vio por así decirlo con los ojos de la razón, penetrando en el infinito tan lejos como hicieron luego los astrónomos más capaces en tiempos más ventajosos.” La mente de Demócrito se elevó hacia lo alto dejando atrás la Leche de Hera y el Espinazo de la Noche.
Parece ser que Demócrito fue personalmente algo raro. Las mujeres, los niños y el sexo le desconcertaban, en parte porque quitaban tiempo para pensar. Pero valoraba la amistad, consideró el buen humor como el objetivo de la vida y dedicó una importante investigación filosófica al origen y naturaleza del entusiasmo. Vía ó hasta Atenas para visitar a Sócrates y descubrió entonces que era demasiado tímido para presentarse. Fue amigo íntimo de Hipócrates. La belleza y elegancia del mundo físico le inspiraban reverencia. Creía que la pobreza en una democracia era preferible a la riqueza en una tiranía. Creía que las religiones dominantes en su época eran malas y que no existían ni almas inmortales ni dioses inmortales: “Nada existe, aparte de átomos y el vacío.”
No hay noticia de que Demócrito fuera perseguido por sus opiniones; pero en definitiva procedía de Abdera. Sin embargo, la breve tradición de tolerancia ante las ideas no convencionales empezó a erosionarse en su época y luego a hundirse. Se llegó a castigar a las personas que tenían ideas insólitas. En los billetes griegos actuales de cien dracmas hay un retrato de Demócrito. Pero sus ideas fueron suprimidas, y se consiguió rebajar fuertemente el nivel de su influencia sobre la historia. Los místicos empezaron a ganar la partida.
Anaxágoras fue un experimentalista jónico que floreció hacia el 450 a. de C. y que vivió en Atenas. Era un hombre rico, indiferente ante su riqueza y apasionado por la ciencia. Cuando le preguntaron cuál era el objetivo de su vida contestó: “la investigación del Sol, de la Luna y de los cielos”, respuesta digna de un astrónomo auténtico. Llevó a cabo un inteligente experimento en el que una sola gota de líquido blanco, como crema, no pudo aclarar de modo perceptible el contenido de un gran jarro de líquido oscuro, como vino. Dedujo de ello que había cambios deducibles por experimento pero demasiado sutiles para ser percibidos directamente por los sentidos.
Anaxágoras no era tan radical como Demócrito, ni mucho menos. Ambos eran completos materialistas, en el sentido no de valorar las posesiones, sino de creer que la materia proporcionaba por sí sola el sostén del mundo. Anaxágoras creía en una sustancia mental especial, y negaba la existencia de átomos. Creía que los hombres somos más inteligentes que los demás animales a causa de nuestras manos, idea ésta muy jónica.
Fue la primera persona que afirmó claramente que la Luna brilla con luz reflejada, y en consecuencia ideó una teoría de las fases de la Luna. Esta doctrina era tan peligrosa que el manuscrito que la contenía tuvo que circular en secreto, como un samizdat ateniense.

Reconstrucción moderna de la clepsidra o "ladrón de agua", con la cual Empédocles dedujo que el aire se componía de innumerables y finas partículas. (Fotografía, Bill Ray.)

Un reciente billete griego de 100 dracmas con un átomo simbólico (litio), un retrato de Demócrito, y un moderno instituto griego de investigación nuclear que lleva el nombre de Demócrito.
Anaxágoras fue llevado a Atenas por Pericles, su dirigente, en la época de mayor gloria, pero también el hombre cuyas acciones provocaron la guerra del Peloponeso, que destruyó la democracia ateniense. A Pericles le encantaban la filosofía y la ciencia, y Anaxágoras fue uno de sus principales confidentes. Algunos piensan que Anaxágoras contribuyó de modo significativo con este papel a la grandeza de Atenas. Pero Pericles tenía problemas políticos. Era demasiado poderoso para que lo atacaran directamente y sus enemigos atacaban a las personas próximas a él. Anaxágoras fue condenado y encarcelado por el crimen religioso de impiedad: porque había enseñado que la Luna estaba constituida por materia ordinaria, que era un lugar, y que el Sol era una piedra al rojo en el cielo. El obispo John Wilkins comentó en 1638 refiriéndose a estos atenienses: “Estos idólatras celosos [consideraban] que era una gran blasfemia que su Dios fuera una piedra, y sin embargo, tenían tan poco sentido en su adoración de los ídolos que convertían a una piedra en su Dios.” Parece ser que Pericles organizó la salida de Anaxágoras de la prisión, pero ya era demasiado tarde. En Grecia la corriente había cambiado de dirección, aunque la tradición jónica continuara luego en Alejandría, Egipto, doscientos años más tarde.
En los libros de historia de la filosofía se suele calificar “presocráticos” a los grandes científicos, desde Tales hasta Demócrito y Anaxágoras, como si su misión principal hubiese consistido en ocupar la fortaleza filosófica hasta la llegada de Sócrates, Platón y Aristóteles, y quizás influir algo sobre ellos. De hecho los antiguos jonios representan una tradición diferente y muy contrapuesta, una tradición que está más de acuerdo con la ciencia moderna. Su influencia se ejerció de modo intenso solamente durante dos o tres siglos, y esto fue una pérdida irreparable para todos los hombres que vivieron entre el Despertar jonio y el Renacimiento italiano.

Antigua moneda de Samos del siglo tercero a. de C. con una representación de Pitágoras y la leyenda griega ''Pitágoras de Samos". (Reproducido por cortesía de los administradores del Museo Británico.)
Él o sus discípulos descubrieron el teorema de Pitágoras: la suma de los cuadrados de los lados más cortos de un triángulo recto es igual al cuadrado del lado más largo. Pitágoras no se limitó a enumerar ejemplos de este teorema; desarrolló un método de deducción matemática para demostrarlo de modo general. La moderna tradición de la argumentación matemática, esencial para toda la ciencia, le debe mucho a Pitágoras. Fue el primero en utilizar la palabra Cosmos para indicar un universo bien ordenado y armonioso, un mundo capaz de ser entendido por el hombre.
Muchos jonios creían que la armonía subyacente del universo era accesible a la observación y al experimento, método éste que domina la ciencia actual. Sin embargo, Pitágoras empleó un método muy distinto. Enseñó que las leyes de la naturaleza podían deducirse por el puro pensamiento. El y sus seguidores no fueron fundamentalmente experimentalistas.[51] Eran matemáticos. Y eran místicos convencidos. Según dice Bertrand Russell en un pasaje quizás poco caritativo, Pitágoras “fundó una religión, los principios más importantes de la cual eran la transmigración de las almas y lo pecaminoso que es comer judías. Su religión estaba encarnada en una orden religiosa, que en algunas ocasiones consiguió el control del Estado y fundó un gobierno de santos. Pero quienes no querían regenerarse anhelaban las judías y más tarde o más temprano se rebelaron”. Los pitagóricos se deleitaban con la certeza de la demostración matemática, la sensación de un mundo puro e incontaminado accesible al intelecto humano, un Cosmos en el cual los lados de triángulos rectángulos obedecen de modo perfecto a relaciones matemáticas simples. Esto contrastaba de modo acentuado con la desordenada realidad del mundo de cada día. Creían haber vislumbrado en sus matemáticas una realidad perfecta, un reino de los dioses, del cual nuestro mundo familiar es sólo un reflejo imperfecto. En la famosa parábola de la caverna Platón imaginó unos prisioneros amarrados que sólo veían las sombras de los pasantes y que creían que estas sombras eran reales, sin llegar nunca a suponer la compleja realidad que descubrirían con sólo girar la cabeza. Los pitagóricos iban a influir intensamente a Platón y más tarde a la cristiandad.

Los cinco sólidos perfectos de Pitágoras y Platón sobre una repisa en el exterior de una cueva situada en la cima del monte Kerkis, en Samos, donde según la tradición local vivió Pitágoras. Los sólidos que descansan sobre la repisa son (de izquierda a derecha) el tetraedro, el cubo, el octaedro y el icosaedro. Encima del cubo que representa la tierra está el dodecaedro, que los pitagóricos asociaban místicamente con los cielos.
En la discusión lo que debe exigirse no es tanto el peso de la autoridad como la fuerza de los argumentos. De hecho, la autoridad de quienes profesan la enseñanza es a menudo un obstáculo positivo para quienes desean aprender; para saldar la cuestión, dejan de utilizar su propio juicio y aceptan lo que consideran como el veredicto del maestro escogido. En realidad no me siento en disposición de aceptar la práctica atribuida tradicionalmente a los pitagóricos, quienes preguntados sobre los fundamentos de cualquier afirmación que hacían en un debate se dice que solían responder: “El Maestro lo dijo”, donde “el Maestro” es Pitágoras. Tan poderosa era una opinión ya decidida, que hacía prevalecer una autoridad carente del apoyo de la razón.
Los pitagóricos estaban fascinados por los sólidos regulares, objetos tridimensionales simétricos con caras que son todas un solo polígono regular. El cubo es el ejemplo más sencillo, porque tiene por lados a seis cuadrados. Hay un número infinito de polígonos regulares, pero sólo hay cinco sólidos regulares. (La demostración de esta afirmación, que constituye un ejemplo famoso de razonamiento matemático, se da en el apéndice 1.) Resulta que por algún motivo el conocimiento de un sólido llamado dodecaedro, que tiene por lados a doce pentágonos, pareció peligroso a los pitagóricos. El sólido estaba relacionado místicamente con el Cosmos. Los cuatro sólidos regulares restantes fueron identificados de algún modo con los cuatro “elementos” que en aquel entonces se suponía que constituían el mundo: tierra, fuego, aire y agua. Pensaron pues que el quinto sólido regular sólo podía corresponder a la sustancia de los cuerpos celestiales (este concepto de una quinta esencia ha dado origen a la palabra quintaesencia). Había que ocultar a las personas vulgares la existencia del dodecaedro.
Los pitagóricos, enamorados de los números enteros, creyeron que todas las cosas podían derivarse de ellos, empezando por todos los demás números. Se produjo una crisis en esta doctrina cuando descubrieron que la raíz cuadrada de dos (la razón entre la diagonal y el lado de un cuadrado) era irracional, es decir que √2 no puede expresarse de modo preciso como la razón de dos números enteros determinados, por grandes que fueran estos números. Este descubrimiento (reproducido en el apéndice 1) se llevó a cabo utilizando irónicamente como herramienta el teorema de Pitágoras. Irracional significaba en principio que un número no podía expresarse como una razón. Pero para los pitagóricos llegó a suponer algo amenazador, un indicio de que su concepción del mundo podía carecer de sentido, lo cual es el otro sentido que tiene hoy la palabra “irracional”. En vez de compartir estos importantes descubrimientos matemáticos, los pitagóricos callaron el conocimiento de √2 y del dodecaedro. El mundo exterior no tenía que saber nada de esto. [52] Todavía hoy hay científicos opuestos a la popularización de la ciencia; creen que hay que reservar el conocimiento sagrado para los cultos, sin dejar que lo mancille la comprensión del público.
Los pitagóricos creyeron que la esfera era perfecta, porque todos los puntos de su superficie están a la misma distancia del centro. Los círculos también eran perfectos. Y los pitagóricos insistieron en que los planetas se movían siguiendo caminos circulares a velocidades constantes. Al parecer creían que no era muy decoroso que un Planeta se moviera más lento o más rápido en puntos diferentes de la órbita; el movimiento no circular era en cierto modo un movimiento defectuoso, impropio de los planetas, los cuales por ser libres con respecto a la Tierra se consideraban “perfectos”.
Los pros y los contras de la tradición pitagórica pueden verse claramente en la obra de Johannes Kepler (capítulo 3). La idea pitagórica de un mundo perfecto y místico, que los sentidos no podían percibir, fue aceptada fácilmente por los primitivos cristianos y fue elemento integral de la formación temprana de Kepler. Por una parte, Kepler estaba convencido de que en la naturaleza existían armonías matemáticas (en una ocasión escribió que “el universo estaba marcado con los adornos de las proporciones armónicas”), de que ha de haber relaciones numéricas sencillas que determinen el movimiento de los planetas. Por otra parte, y siguiendo también a los pitagóricos, creyó durante largo tiempo que el único movimiento admisible era el circular uniforme. Comprobó repetidamente que los movimientos observados de los planetas no podían explicarse de este modo y lo intentó una y otra vez. Pero al contrario que muchos pitagóricos, Kepler creía en las observaciones y en los experimentos en el mundo real. Al final, observaciones detalladas del movimiento aparente de los planetas le obligaron a abandonar la idea de los caminos circulares y a comprender que los planetas seguían elipses. La atracción ejercida por la doctrina pitagórica inspiró a Kepler en su búsqueda de la armonía del movimiento planetario, y al mismo tiempo fue un obstáculo para él.
Un desdén por todo lo práctico inundó el mundo antiguo. Platón animó a los astrónomos a pensar en los cielos, pero a no perder el tiempo observándolos. Aristóteles creía que “los de clase inferior son esclavos por naturaleza, y lo mejor para ellos como para todos los inferiores es que estén bajo el dominio de un amo... El esclavo comparte la vida de su amo; el artesano está relacionado con él menos estrechamente, y sólo llega a la excelencia de modo proporcional cuando se hace esclavo. La clase más vil de mecánico tiene una esclavitud especial y separada”. Plutarco escribió: “No se sigue necesariamente que si la obra te encanta con su gracia, el que la hizo sea merecedor de aprecio.” La opinión de Jenofonte era: “Las artes llamadas mecánicas tienen un estigma social y es lógico que merezcan la deshonra de nuestras ciudades.” A consecuencia de tales actitudes, el método experimental jónico brillante y pro metedor fue en gran parte abandonado durante dos mil años. Sin experimentación no hay posibilidad de escoger entre hipótesis contradictorias, es imposible que la ciencia avance. La infección antiempírica de los pitagóricos sobrevive incluso hoy. Pero, ¿por qué? ¿De dónde vino esta aversión al experimento?
El historiador de la ciencia Benjamín Farrington ha dado una explicación de la decadencia de la ciencia antigua: La tradición mercantil que desembocó en la ciencia jónica, también desembocó en una economía de esclavos. La posesión de esclavos abría el camino a la riqueza y al poder. Las fortificaciones de Polícrates fueron construidas por esclavos. Atenas en la época de Pericles, Platón y Aristóteles tenía una vasta población de esclavos. Todas las grandes formulaciones atenienses sobre la democracia eran válidas únicamente para unos pocos privilegiados. La tarea característica de los esclavos es el trabajo manual. Pero la experimentación científica es trabajo manual, trabajo del cual los propietarios de esclavos prefieren mantenerse alejados; pero los únicos que disponen de ocio para dedicarse a la ciencia son los propietarios de esclavos, llamados cortésmente gentiles hombres en algunas sociedades. Por lo tanto, casi nadie se dedicó a la ciencia. Los jonios eran perfectamente capaces de construir máquinas bastante elegantes. Pero la disponibilidad de esclavos minó la motivación económica necesaria para el desarrollo de la tecnología. De este modo la tradición mercantil contribuyó al gran despertar jonio de hacia el 600 a. de C., y es posible que debido a la esclavitud haya sido también la causa de su decadencia unos dos siglos después. El caso tiene su ironía.
Tendencias semejantes se observan en todo el mundo. El punto culminante de la astronomía china indígena se produjo hacia 1280, con la obra de Guo Shoujing, quien se sirvió de una línea base observacional de 1 500 años y mejoró los instrumentos astronómicos y las técnicas matemáticas de cálculo. Se cree en general que la astronomía china sufrió después una rápida decadencia. Nathan Sivin cree que esto se debe en parte “a un aumento en la rigidez de la elites, de modo que las personas educadas se sentían menos inclinadas a sentir curiosidad por las técnicas y menos dispuestas a valorar la ciencia como una dedicación digna de un caballero”. La ocupación de astrónomo se convirtió en un cargo hereditario, sistema éste inconciliable con el avance de la materia. Además, “la responsabilidad por la evolución de la astronomía quedó centrada en la corte imperial, y se dejó principalmente en manos de técnicos extranjeros”, sobre todo de jesuitas, que habían presentado a Euclides y Copé mico a los asombrados chinos, pero que al producirse la censura de este último tenían interés en disfrazar y suprimir la cosmología heliocéntrica. Quizás la ciencia nació muerta en las civilizaciones india, maya y azteca por motivos idénticos a los de su decadencia en Jonia, la omnipresencia de la economía esclavista. Un problema básico en el actual Tercer Mundo (político) es que las clases educadas tienden a ser los hijos de los ricos, interesados en mantener el status quo, o bien no acostumbrados a trabajar con sus manos o a poner en duda la sabiduría convencional. La ciencia ha arraigado allí con mucha lentitud.
Platón y Aristóteles se sentían confortables en una sociedad esclavista. Dieron justificaciones para la opresión.
Estuvieron al servicio de tiranos. Enseñaron la alienación del cuerpo separado del alma (ideal muy natural en una sociedad esclavista); separaron la materia del pensamiento; divorciaron a la Tierra de los cielos: divisiones éstas que iban a dominar el pensamiento occidental durante más de veinte siglos.
Platón, quien creía que “todas las cosas están llenas de dioses”, utilizó concretamente la metáfora de la esclavitud para conectar su política con su cosmología.

Vidas aproximadas de científicos jonios y griegos entre el siglo séptimo a. de C. y el siglo quinto. La decadencia de la ciencia griega queda marcada por la escasez relativa de científicos en la tabla después del siglo primero a. de C.
Pitágoras y Platón, al reconocer que el Cosmos es cognoscible y que hay una estructura matemática subyacente en la naturaleza, hicieron avanzar mucho la causa de la ciencia. Pero al suprimir los hechos inquietantes, al creer que había que reservar la ciencia para una pequeña elite, al expresar su desagrado por la experimentación, al abrazar el misticismo y aceptar fácilmente las sociedades esclavistas, hicieron retroceder la empresa del hombre. Después de un sueño místico en el cual yacían enmoheciéndose las herramientas del examen científico, el método jonio, transmitido en algunos casos a través de los sabios de la Biblioteca de Alejandría, fue al final redescubierto. El mundo occidental despertó de nuevo. La experimentación y la investigación abierta se hicieron otra vez respetables. Se leyeron de nuevo libros y fragmentos olvidados. Leonardo, Colón y Copé mico fueron inspirados por esta antigua tradición griega o siguieron independientemente parte de sus huellas. En nuestra época hay mucha ciencia jónica, aunque falte en política y en religión, y hay en grado considerable un valeroso libre examen. Pero también hay supersticiones detestables y ambigüedades éticas mortales. Llevamos la marca de antiguas contradicciones.
Los platónicos y sus sucesores cristianos sostenían la idea peculiar de que la Tierra estaba viciada y de que era en cierto modo repugnante mientras que los cielos eran perfectos y divinos. La idea fundamental de que la Tierra es un planeta, de que somos ciudadanos del universo, fue rechazada y olvidada. Aristarco fue el primero en sostener esta idea. Aristarco, nacido en Samos tres siglos después de Pitágoras, fue uno de los últimos científicos jonios. En su época el centro de la ilustración intelectual se había desplazado a la gran Biblioteca de Alejandría. Aristarco fue la primera persona que afirmó que el centro del sistema planetario está en el Sol y no en la Tierra, que todos los planetas giran alrededor del Sol y no de la Tierra. Es típico que sus escritos sobre esta cuestión se hayan perdido. Dedujo a partir del tamaño de la sombra de la Tierra sobre la Luna durante un eclipse lunar que el Sol tenía que ser mucho mayor que la Tierra y que además tenía que estar a una distancia muy grande. Quizás esto le hizo pensar que era absurdo que un cuerpo tan grande como el Sol girara alrededor de un cuerpo tan pequeño como la Tierra. Puso al Sol en el centro, hizo que la Tierra girara sobre su eje una vez al día y que orbitara el Sol una vez al año.
Ésta es la misma idea que asociamos con el nombre de Copérnico, a quien Galileo llamó restaurador y confirmador, no inventor, de la hipótesis heliocéntrica.[53] Durante la mayor parte de los 1 800 años que separan a Aristarco de Copé mico nadie conoció la disposición correcta de los planetas, a pesar de haber sido expuesta de modo perfectamente claro en el 280 a. de C. La idea escandalizó a algunos de los contemporáneos de Aristarco. Hubo gritos, como los dedicados a Anaxágoras, a Bruno y a Galileo, pidiendo que se les condenara por impiedad. La resistencia contra Aristarco y Copérnico, una especie de egocentrismo en la vida diaria, continúa vivo entre nosotros: todavía decimos que el Sol se levanta y que el Sol, se pone. Han pasado 2 200 años desde Aristarco y nuestro lenguaje todavía pretende que la Tierra no gira.
La distancia existente entre los planetas cuarenta millones de kilómetros de la Tierra a Venus en el momento de máxima aproximación, seis mil millones de kilómetros hasta Plutón habría asombrado a aquellos griegos que se escandalizaban ante la afirmación de que el Sol pudiera ser tan grande como el Peloponeso. Era algo natural imaginar el sistema solar como una cosa más compacta y local. Si levanto un dedo delante de los ojos y lo examino primero con el ojo izquierdo y luego con el derecho parece desplazarse sobre el fondo lejano. Cuanto más cerca ponga el dedo más parecerá desplazarse. Puedo estimar la distancia de mi dedo midiendo este desplazamiento aparente, o paralaje. Si mis ojos estuviesen más separados, el dedo parecería desplazarse bastante más. Cuanto más larga es la línea base a partir de la cual hacemos dos observaciones, mayor es el paralaje y mejor podremos medir la distancia a objetos remotos. Pero nosotros vivimos en una plataforma en movimiento, la Tierra, que cada seis meses va de un extremo a otro de su órbita, una distancia de 300.000.000 km. Si observamos con una separación de seis meses objetos celestiales inmóviles, estaremos en disposición de medir distancias muy grandes. Aristarco sospechó que las estrellas eran soles distantes. Puso al Sol entre las estrellas fijas. La falta de un paralaje estelar detestable a medida que la Tierra se desplazaba sugería que las estrellas estaban mucho más lejos que el Sol. Antes de la invención del telescopio, el paralaje, incluso de las estrellas más próximas, era demasiado pequeño para ser detectado. El primer paralaje de una estrella no se midió hasta el siglo diecinueve. Quedó claro entonces, aplicando directamente la geometría griega que las estrellas estaban a años luz de distancia.
Hay otro sistema para medir la distancia a las estrellas que los jonios eran perfectamente capaces de descubrir, aunque por lo visto no hicieron uso de él. Todos sabemos que cuanto más lejos está un objeto más pequeño parece. Esta proporcionalidad inversa entre el tamaño aparente y la distancia es la base de la perspectiva en el arte y la fotografía. Por lo tanto, cuanto más lejos estamos del Sol más pequeño y oscuro aparece. ¿A qué distancia tendríamos que estar del Sol para que pareciera tan pequeño y oscuro como una estrella? O bien de modo equivalente, ¿qué tamaño ha de tener un pequeño fragmento del Sol para que sea del mismo brillo que una estrella?
Christiaan Huygens llevó a cabo un primer experimento para responder a esta cuestión, muy en la onda de la tradición jonia. Huy- gens practicó pequeños agujeros en una placa de latón, puso la placa contra el Sol y se preguntó cuál era el agujero cuyo brillo equivalía al de la brillante estrella S¡rio, brillo que recordaba de la noche anterior. El agujero resultó ser[54] 1/28 000 del tamaño aparente del Sol. Dedujo: o por lo tanto que Sirio tenía que estar 28.000 veces más lejos de nosotros que el Sol, o sea aproximadamente a medio año luz de distancia. Es difícil recordar el brillo que tiene una estrella muchas horas después de haberla visto, pero Huygens lo recordó muy bien. Si hubiese sabido que el brillo de Sirio era intrínsecamente superior al del Sol, hubiese dado con una respuesta casi exacta: Sirio está a 8.8 años luz de distancia. El hecho de que Aristarco y Huygens utilizaran datos imprecisos y consiguieran respuestas imperfectas apenas importa. Explicaron sus métodos tan claramente que si luego se disponía de mejores observaciones podían derivarse respuestas más precisas.
Entre las épocas de Aristarco y de Huygens los hombres dieron respuesta a la pregunta que me había excitado tanto cuando yo era un chico que crecía en Brooklyn: ¿Qué son las estrellas? La respuesta es que las estrellas son soles poderosos a años luz de distancia en la vastitud del espacio interestelar.
El gran legado de Aristarco es éste: ni nosotros ni nuestros planetas disfrutamos de una posición privilegiada en la naturaleza.
Desde entonces esta intuición se ha aplicado hacia lo alto, hacia las estrellas y hacia nuestro entorno, hacia muchos subconjuntos de la familia humana, con gran éxito y una oposición invariable.

Reconstrucción simple de la placa de latón perforada utilizada por Christiaan Huy- gens en el siglo diecisiete para determinar la distancia a las estrellas. (Fotografía, Bill Ray.)
El legado de Aristarco se ha extendido mucho más allá del reino de las estrellas. A fines del siglo dieciocho, William Herschel, músico y astrónomo de Jorge III de Inglaterra, completó un proyecto destinado a cartografiar los cielos estrellados y descubrió que había al parecer un número igual de estrellas en todas direcciones en el plano o faja de la Vía Láctea; dedujo razonablemente de esto que estábamos en el centro de la Galaxia [55]. Poco antes de la primera guerra mundial, Harlow Shapley, de Missouri, ideó una técnica para medir las distancias de los cúmulos globulares, estos deliciosos conjuntos esféricos de estrellas que parecen enjambres de abejas. Shapley había descubierto una candela estelar estándar, una estrella notable por su variabilidad, pero que tenía siempre el mismo brillo intrínseco. Shapley comparó la disminución en el brillo de tales estrellas presentes en cúmulos globulares con su brillo real, deducido de representantes cercanos, y de este modo pudo calcular su distancia: del mismo modo en un campo podemos estimar la distancia a que se encuentra una linterna de brillo intrínseco conocido a partir de la débil luz que llega a nosotros, es decir siguiendo en el fondo el método de Huygens. Shapley descubrió que los cúmulos globulares no estaban centrados alrededor de las proximidades solares sino más bien alrededor de una región distante de la Vía Láctea, en la dirección de la constelación de Sagitario, el Arquero. Pensó que era muy probable que los cúmulos globulares utilizados en esta investigación, casi un centenar, estuviesen orbitando y rindiendo homenaje al centro masivo de la Vía Láctea.
Shapley tuvo el valor en 1915 de proponer que el sistema solar estaba en las afueras y no cerca del núcleo de nuestra galaxia. Herschel se había equivocado a causa de la gran cantidad de polvo oscurecedor que hay en la dirección de Sagitario; le era imposible conocer el número enorme de estrellas situadas detrás. Actualmente está muy claro que vivimos a unos 30 000 años luz del núcleo galáctico, en los bordes de un brazo espiral, donde la densidad local de estrellas es relativamente reducida. Quizás haya seres viviendo en un planeta en órbita alrededor de una estrella central de uno de los cúmulos globulares de Shapley, o de una estrella situada en el núcleo. Estos seres quizás nos compadezcan por el puñado de estrellas visibles a simple vista que tenemos, mientras que sus cielos están incendiados con ellas. Cerca del centro de la Vía Láctea serían visibles a simple vista millones de estrellas brillantes, mientras que nosotros sólo tenemos unos miserables miles. Podría ponerse nuestro Sol u otros soles, pero no habría nunca noche.
Hasta bien entrado el siglo veinte, los astrónomos creían que sólo había una galaxia en el Cosmos, la Vía Láctea, aunque en el siglo dieciocho Thomas Wright, de Durban, e Immanuel Kant, de Königsberg, tuvieron separadamente la premonición de que las exquisitas formas luminosas espirales que se veían a través del telescopio eran otras galaxias. Kant sugirió explícitamente que M31 en la constelación de Andrómeda era otra Vía Láctea, compuesta por un número enorme de estrellas, y propuso dar a estos objetos la denominación evocativa e inolvidable de universos islas. Algunos científicos jugaron con la idea de que las nebulosas espirales no eran universos islas distantes sino nubes cercanas de gas interestelar en condensación, quizás en camino de convertirse en sistemas solares. Para comprobar la distancia de las nebulosas espirales, se necesitaba una clase de estrellas variables intrínsecamente mucho más brillantes que proporcionara una nueva candela estándar. Se descubrió que estas estrellas, identificadas en M31 por Edwin Hubble en 1924, eran alarmantemente débiles, y que por lo tanto M31 estaba a una distancia prodigiosa de nosotros, distancia que hoy se calcula en algo más de dos millones de años luz. Pero si M31 estaba a tal distancia no podía ser una nube de simples dimensiones interestelares, tenía que ser mucho mayor: una galaxia inmensa por derecho propio. Y las demás galaxias, más débiles, debían estar todavía a distancias mayores, un centenar de miles de millones de ejemplares esparcidas a través de la oscuridad hasta las fronteras del Cosmos conocido.

Representación esquemática de la Vía Láctea vista de canto, rodeada por un enjambre de cúmulos estelares globulares, cada uno de los cuales contiene entre cien mil y diez millones de estrellas. A esta escala el Sol y la Tierra están situados cerca del borde exterior de los brazos en espiral, sobresaliendo del núcleo galáctico. (Pintura de Jon Lomberg.)

Los cúmulos estelares globulares gravitan alrededor del centro masivo de la galaxia Vía Láctea y lo demarcan. Muchos están situados en un gran halo esférico de estrellas y cúmulos estelares que envuelven nuestra galaxia espiral. Unos pocos, como los de la foto, se concentran hacia el núcleo galáctico. El cielo, visto desde los planetas de uno cualquiera de estos soles, estaría llameando con estrellas. La designación de estos cúmulos globulares es NGC 6522 y NGC 6528, siendo NGC la abreviatura de "New General Catalog" (Nuevo Catálogo General), una compilación de cúmulos y de galaxias. Era nuevo cuando se compiló por primera vez en 1888. (Cedida por el observatorio nacional de Kitt Peak. © Association of Universities for Research in Astronomy, Inc.)
Desde Aristarco, cada paso en nuestra investigación nos ha ido alejando del escenario central del drama cósmico. No hemos dispuesto de mucho tiempo para asimilar estos nuevos descubrimientos. Los hallazgos de Shapley y de Hubble tuvieron lugar cuando ya vivían muchas personas que todavía están entre nosotros. Hay quien deplora secretamente estos grandes descubrimientos, porque considera que cada paso ha sido una degradación, porque en lo más íntimo de su corazón anhela todavía un universo cuyo centro, foco y fulero sea la Tierra. Pero para poder tratar con el Cosmos primero tenemos que entenderlo, aunque nuestras esperanzas de disfrutar de un status preferencial conseguido de balde se vean contravenidas en el mismo proceso. Una condición previa esencial para mejorar nuestra vecindad es comprender dónde vivimos. También ayuda saber el aspecto que presentan otros barrios. Si deseamos que nuestro planeta sea importante hay algo que podemos hacer para contribuir a ello. Hacemos importante a nuestro mundo gracias al valor de nuestras preguntas y a la profundidad de nuestras respuestas.
Nos embarcamos en nuestro viaje cósmico con una pregunta formulada por primera vez en la infancia de nuestra especie y repetida en cada generación con una admiración inalterada: ¿Qué son las estrellas? Explorar es algo propio de nuestra naturaleza. Empezamos como pueblo errante, y todavía lo somos. Estuvimos demasiado tiempo en la orilla del océano cósmico. Ahora estamos a punto para zarpar hacia las estrellas
Capítulo 8
Viajes a través del espacio y del tiempo
Nadie ha vivido más tiempo que un niño muerto, y Matusalén[56] murió joven.Las subidas y bajadas del rompiente se deben en parte a las mareas. La Luna y el Sol están a gran distancia, pero su influencia gravitatoria es muy real y perceptible aquí en la Tierra. La playa nos recuerda el espacio. Granos finos de arena, todos ellos de tamaño más o menos uniforme, producidos a partir de rocas mayores después de eras de empujones y roces, de abrasión y erosión, de movimientos impulsados también, a través de las olas y del tiempo atmosférico, por la Luna y el Sol. La playa nos recuerda también el tiempo. El mundo es mucho más antiguo que la especie humana.
El Cielo y la Tierra son tan viejos como yo, y las diez mil cosas son una sola.
Zhuang Zi, hacia el 300 a. de C.
Hemos amado con demasiado fervor a las estrellas para temer a la noche. (Epitafio en la lápida mortuoria de dos astrónomos aficionados.)
Las estrellas garabatean en nuestros ojos heladas epopeyas, cantos resplandecientes del espacio inconquistado.
Hart Crane, El puente
Un puñado de arena contiene unos 10 000 granos, un número superior al de las estrellas que podemos ver a simple vista en una noche despejada. Pero el número de estrellas que podemos ver es sólo una mínima fracción del número de estrellas que existen. Las que nosotros vemos de noche son un pequeño resumen de las estrellas más cercanas. En cambio el Cosmos tiene una riqueza que supera toda medida: el número total de estrellas en el universo es mayor que todos los granos de arena de todas las playas del planeta Tierra.

Un hipotético planeta helado en el sistema de la nebulosa anular de la Lira. La estrella central se ha despojado de su atmósfera exterior produciendo una cáscara de gas brillante y multicolor en lenta expansión. Este sistema, que está a una distancia de nosotros de 1 500 años luz, es un objetivo para la exploración humana en un futuro distante. (Pintura de David Egge, 1979.)
A esto se debe que las formas que adoptan las estrellas en una constelación dada no cambien cuando nos desplazamos por ejemplo del Asia central soviética al Medio oeste norteamericano. Desde el punto de vista astronómico, la URSS y los Estados Unidos están en el mismo lugar. Las estrellas de cualquier constelación están tan lejos que no podemos reconocerlas como una configuración tridimensional mientras permanecemos atados a la Tierra.

La Osa Mayor, vista desde la Tierra (arriba), de lado (en el centro) y desde detrás (abajo). Veríamos las dos últimas perspectivas si pudiésemos desplazarnos a los puntos de vista respectivos, a unos 150 años luz de distancia.
Hasta el momento nuestra tecnología es totalmente incapaz de llevar a cabo estos magníficos viajes interestelares, por lo menos con una duración razonable. Pero podemos enseñar a nuestras computadoras las posiciones tridimensionales de todas las estrellas cercanas, y pedirles que se nos lleven en un pequeño viaje, por ejemplo para circunnavegar el conjunto de estrellas brillantes que constituyen la Osa Mayor, y observar entonces el cambio de las constelaciones. Para relacionar las estrellas de las constelaciones típicas utilizamos los diagramas usuales de punto y raya.

Imágenes generadas por computadora de la Osa Mayor tal como se hubiese visto desde la Tierra hace un millón de años, y hace medio millón de años. Su aspecto actual es el del dibujo inferior.
El aspecto de las constelaciones cambia no sólo en el espacio sino también en el tiempo; no sólo al cambiar nuestra posición sino también al dejar que transcurra un tiempo suficientemente largo. A veces las estrellas se desplazan conjuntamente en grupo o en cúmulo; a veces, una estrella sola puede moverse muy rápidamente con relación a sus compañeras. Puede suceder que una de estas estrellas abandone una constelación y entre en otra. A veces, un miembro de un sistema de dos estrellas explota, rompiendo las trabas gravitacionales que mantenían atada a su compañera, la cual sale disparada hacia el espacio con su anterior velocidad orbital, un disparo de honda en el cielo. Además las estrellas nacen, las estrellas evolucionan, las estrellas mueren. Si esperamos lo suficiente aparecerán nuevas estrellas y desaparecerán estrellas viejas. Las figuras del cielo se funden lentamente y van cambiando.
Las constelaciones han cambiado incluso en el transcurso de la vida de la especie humana: unos cuantos millones de años. Consideremos la actual configuración de la Osa Mayor, o Carro. Nuestra computadora nos puede trasladar no sólo por el espacio sino también por el tiempo. Si pasamos hacia atrás la película de la Osa Mayor, y dejamos que las estrellas se muevan, nos encontramos que hace un millón de años su aspecto era muy distinto. La Osa Mayor se parecía entonces más bien a una lanza. Si una máquina del tiempo nos soltara abruptamente en una edad desconocida del pasado remoto, podríamos en principio determinar la época por la configuración de las estrellas: si la Osa Mayor es como una lanza, tenemos que estar a mediados del pleistoceno.
También podemos pedir al computador que pase hacia delante la película de una constelación. Consideremos Leo, el León. El zodíaco es una faja de doce constelaciones que parece envolver el cielo en la zona que recorre aparentemente el Sol a lo largo del año. La raíz de la palabra es la misma que la de zoo, porque a las constelaciones zodiacales, como Leo, se han atribuido principalmente nombres de animales. Dentro de un millón de años Leo se parecerá todavía menos a un león que ahora. Quizás nuestros remotos descendientes le llamarán la constelación del radiotelescopio, aunque sospecho que dentro de un millón de años el radiotelescopio habrá quedado más superado que la lanza con punta de piedra en la actualidad.

Dibujo generado por computadora de la constelación Leo, tal como aparece ahora (arriba) y tal como aparecerá vista desde nuestro planeta dentro de un millón de años.
La vecindad del Sol, los alrededores inmediatos del Sol en el espacio, incluye el sistema estelar más próximo, Alpha Centauri. Se trata en realidad de un sistema triple, en el que dos estrellas giran una alrededor de la otra y una tercera estrella, Próxima Centauri, está orbitando el primer par a una distancia discreta. En algunas posiciones de su órbita Próxima es la estrella conocida más próxima al Sol: de ahí su nombre. La mayoría de estrellas en el cielo forman parte de sistemas estelares dobles o múltiples. Nuestro solitario Sol es en cierto modo una anomalía.
El espacio y el tiempo están entretejidos. No podemos mirar hacia el espacio sin mirar hacia atrás en el tiempo. La luz se desplaza con mucha rapidez. Pero el espacio está muy vacío y las estrellas están muy separadas. Distancias de setenta y cinco años luz o inferiores son muy pequeñas comparadas con otras distancias de la astronomía. Del Sol al centro de la Vía Láctea hay 30.000 años luz. De nuestra galaxia a la galaxia espiral más cercana, M31, también en la constelación de Andrómeda, hay 2.000.000 años luz. Cuando la luz que vemos actualmente de M31 partió de allí hacia la Tierra no había hombres en nuestro planeta, aunque nuestros antepasados estaban evolucionando rápidamente hacia nuestra forma actual. La distancia de la Tierra a los quásares más remotos es de ocho o diez mil millones de años luz. Los vemos tal como eran antes de la acumulación que creó la Tierra, antes de que se formara la Vía Láctea.
Esta situación no es exclusiva de los objetos astronómicos, pero sólo los objetos astronómicos están a suficiente distancia para que la velocidad finita de la luz resulte importante. Si uno mira a una amiga a tres metros de distancia en la otra punta de la habitación no la ve como es “ahora”, sino tal como “era” hace una centésima de millonésima de segundo:
(3m) / (3 x 108 m / seg) = 1/(108 / seg) = 10-8 seg
es decir una centésima de microsegundo. En este cálculo nos hemos limitado a dividir la distancia por la velocidad para obtener el tiempo transcurrido. Pero la diferencia entre tu amiga ahora y ahora menos una cien millonésima de segundo es demasiado pequeña para que cuente.En cambio si miramos un quásar a ocho mil millones de años luz de distancia, el hecho de que la estemos mirando tal como era hace ocho mil millones de años puede ser muy importante. (Por ejemplo algunos piensan que los quásares son fenómenos explosivos que pueden darse con probabilidad en la historia primitiva de las galaxias. En este caso, cuanto más distante esté la galaxia, más temprana es la fase de su historia que estamos observando, y más probable es que la veamos como un quásar. De hecho el número de quásares aumenta cuando observamos a distancias superiores a unos cinco mil millones de años.)
Las dos naves espaciales interestelares Voyager, las máquinas más rápidas que se hayan lanzado nunca desde la Tierra, se están desplazando ahora a una diez milésima parte de la velocidad de la luz.
Necesitarían 40 000 años para situarse a la distancia de la estrella más próxima. ¿Tenemos alguna esperanza de abandonar la Tierra y de atravesar distancias inmensas para llegar aunque sólo sea a Próxima Centauri al cabo de períodos convenientes de tiempo? ¿Podemos hacer algo para aproximarnos a la velocidad de la luz? ¿Estaremos algún día en disposición de ir a velocidad superior a ella?
Quien se hubiese paseado por el agradable paisaje campestre de la Toscana en los años 1890, hubiese podido encontrarse, quizás, con un adolescente de cabellos algo largos que había dejado la escuela y que iba de camino a Pavía. Sus maestros en Alemania le habían asegurado que no llegaría nunca a nada, que sus preguntas destruían la disciplina de la clase, y que lo mejor era que se fuera. En consecuencia se fue de la escuela y se dedicó a vagabundear por el norte de Italia disfrutando de una libertad que le permitía meditar sobre materias alejadas de los temas que le habían obligado a estudiar en su muy disciplinada escuela prusiana. Su nombre era Albert Einstein y sus meditaciones cambiaron el mundo.

Albert Einstein (1879-1955). Retrato de Jean-Leon Huens, @ National Geographic Society. Su interés latente por la ciencia se despertó a los doce años al leer un libro de divulgación científica que le regaló un estudiante indigente llamado Max Talmey, al que los padres de Einstein habían invitado a cenar en un acto de caridad y compasión.
Algo raro sucede a la velocidad de la luz. Cuanto más pensaba Einstein sobre estos temas más inquietantes se hacían. Parece que las paradojas surgen por doquier si uno puede desplazarse a la velocidad de la luz. Se habían dado por ciertas algunas ideas sin haberlas pensado con suficiente cuidado. Einstein planteó preguntas sencillas que podían haber sido formuladas siglos atrás. Por ejemplo, ¿qué significa exactamente que dos acontecimientos son simultáneos?
Supongamos que voy en bicicleta y me acerco hacia ti. Al acercarme a un cruce estoy a punto de chocar, o así me lo parece, con un carro arrastrado por un caballo. Hago una ese y consigo por los pelos que no me atropelle. Ahora imaginemos de nuevo este acontecimiento y supongamos que el carro y la bicicleta van a velocidades cercanas a la de la luz. Tú estás mirando desde el fondo de la carretera y el carro se desplaza en ángulo recto a tu visual.
Tú ves que me acerco hacia ti gracias a la luz solar que reflejo. ¿No es lógico que mi velocidad se añada a la velocidad de la luz, de modo que mi imagen te llegaría mucho antes que la imagen del carro? ¿No deberías verme hacer una ese antes de ver llegar al carro? ¿Es posible que el carro y yo nos acerquemos simultáneamente al cruce desde mi punto de vista pero no desde el tuyo? ¿Es posible que yo evite por los pelos la colisión con el carro pero que tú me veas dar una ese alrededor de nada y continuar pedaleando alegremente hacia la ciudad de Vinci?
Estas preguntas son curiosas y sutiles. Ponen en tela de juicio lo evidente. Es comprensible que nadie pensara en ellas antes que Einstein. A partir de preguntas tan elementales Einstein elaboró una revisión fundamental de nuestro concepto del mundo, una revolución en la física.
Para poder comprender el mundo, para evitar paradojas lógicas de este tipo al desplazamos a velocidades elevadas, hay que obedecer algunas reglas, algunos mandamientos de la naturaleza. Einstein codificó estas reglas en la teoría especial de la relatividad.

La paradoja de la simultaneidad en relatividad especial. El observador está mirando desde el brazo meridional de un cruce. Un ciclista se acerca desde el norte a una velocidad indicada por la flecha de trazo continuo. La luz reflejada por el ciclista se acerca al observador a una velocidad más alta, indicada por la flecha de trazos. Un coche se acerca al cruce desde el oeste a una velocidad indicada por la flecha de trazo continuo, y una luz se refleja de él hacia el ser a una velocidad dada por la correspondiente flecha de trazos. Si fuera correcto sumar la velocidad del ciclista a la velocidad de la luz (puesto que el ciclista se aproxima al observador), la luz del ciclista llegaría antes que la luz del coche, y lo que tanto el ciclista como el conductor del coche ven como un choque evitado en el último momento es presenciado de modo muy distinto por el observador. Experimentos cuidadosos demuestran que no es esto lo que sucede. La paradoja sólo se nota si la bicicleta se desplaza a una velocidad muy próxima a la de la luz. La solución de la paradoja consiste en afirmar que la velocidad de la luz ha de ser independiente de la velocidad del objeto en movimiento.
Los europeos a principios de siglo solían creer en marcos de referencia privilegiados: que la cultura o la organización política alemana, o francesa o británica era mejor que la de otros países; que los europeos eran superiores a otros pueblos que habían tenido la fortuna de ser colonizados.

Una señal de tráfico erigida brevemente en la ciudad italiana de Vinci. Dice: "Bienvenidos a Vinci. Límite de la velocidad de la luz, 40 kilómetros [por hora]." (Fotografía, Ann Druvan.)
Cuando oímos el restallido de un látigo se debe a que su punta se está desplazando a una velocidad superior a la del sonido, creando una onda de choque, un pequeño búa sónico. El trueno tiene un origen semejante. Se creía, antes, que los aviones no podrían ir a velocidad superior a la del sonido. Hoy en día el vuelo supersónico es algo trivial. Pero la barrera de la luz es distinta de la barrera del sonido. No se trata simplemente de un problema de ingeniería, como el que resuelve el avión supersónico. Se trata de una ley fundamental de la naturaleza, tan básica como la gravedad. Y no hay fenómenos en nuestra experiencia como el restallido de un látigo o el estampido de un trueno que sugieran la posibilidad de desplazarse en un vacío a velocidad superior a la de la luz. Por el contrario, hay una gama muy amplia de experiencias con aceleradores nucleares y relojes atómicos por ejemplo que concuerdan de modo cuantitativo y preciso con la relatividad especial.
Los problemas de la simultaneidad no se aplican al sonido como se aplican a la luz, porque el sonido se propaga a través de algún medio material, normalmente el aire. La onda sonora que nos llega cuando un amigo está hablando es el movimiento de moléculas en el aire. En cambio la luz se desplaza en un vacío. Hay restricciones sobre la manera de desplazarse las moléculas de aire que no son válidas en un vacío. La luz del Sol nos llega a través del espacio vacío intermedio, pero por mucho que nos esforcemos no podemos oír el crepitar de las manchas solares o el estallido de las erupciones solares. Se había creído, en la época anterior a la relatividad, que la luz se propagaba a través de un medio especial que llenaba todo el espacio, llamado éter luminífero. Pero el famoso experimento de Michelson Morley demostró que este éter era inexistente.
A veces oímos hablar de cosas que pueden desplazarse a velocidad superior a la de la luz. Se pone como ejemplo, a veces, algo llamado la velocidad del pensamiento. Esta idea es de una tontería excepcional: sobre todo teniendo en cuenta que la velocidad de los impulsos a través de las neuronas de nuestros cerebros es más o menos la misma que la de un carro de burro. El hecho de que los hombres hayan sido lo suficientemente listos para idear la relatividad demuestra que pensamos bien, pero no creo que podamos enorgullecemos de pensar rápido. Sin embargo los impulsos eléctricos en las computadoras modernas van casi a la velocidad de la luz.
La relatividad especial, elaborada totalmente por Einstein a sus veinticinco años, está confirmada por todos los experimentos realizados para comprobarla. Quizás mañana alguien inventará una teoría consistente con todo lo que ya sabemos y que salva las paradojas de la simultaneidad, evita marcos de referencia privilegiados y permite además ir a velocidad superior a la de la luz. Pero lo dudo mucho. La prohibición de Einstein contra un desplazamiento más rápido que la luz puede chocar con nuestro sentido común. Pero, ¿por qué tenemos que confiar al tratar este tema en nuestro sentido común? ¿Puede condicionar nuestra experiencia a 10 kilómetros por hora las leyes de la naturaleza válidas a 300 000 kilómetros por segundo? La relatividad pone límites a lo que los hombres pueden llegar a hacer en último extremo.

Busto de Leonardo da Vinci (1452-1519) en el museo Leonardo, Vinci. (Foto del autor.)
Supongamos, siguiendo a George Gamow, que hay un lugar donde la velocidad de la luz no tiene su valor real de 300 000 kilómetros por segundo, sino un valor muy modesto: 40 kilómetros por hora, y además un valor que todos obedecen (no hay penas por conculcar las leyes de la naturaleza, porque nadie comete crímenes: la naturaleza se regula a sí misma y se limita a organizar las cosas de modo que sea imposible transgredir sus prohibiciones).
Imaginemos que nos estamos acercando a la velocidad de la luz conduciendo un scooter. (La relatividad abunda en frases que empiezan con “Imaginemos...” Einstein llamó a este tipo de ejercicios Gedankenexperiment, experimento mental.) A medida que nuestra velocidad aumenta empezamos a ver por detrás de los objetos que adelantamos. Si estamos mirando con la cabeza dirigida rígidamente hacia delante, las cosas que estaban detrás irán apareciendo dentro del campo delantero de visión. Al acercamos a la velocidad de la luz, el mundo toma desde nuestro punto de vista, un aspecto muy raro: todo acaba comprimido en una pequeña ventana circular que está constantemente delante de nosotros.
Desde el punto de vista de un observador estacionario, la luz que nosotros reflejamos se enrojece cuando partimos y se azulea cuando volvemos. Si nos desplazamos hacia el observador a una velocidad cercana a la de la luz nos vemos envueltos en un fantástico resplandor cromático: nuestra emisión infrarrojo normalmente invisible se desplazará hacia las longitudes de onda visibles, más cortas.
Nos quedaremos comprimidos en la dirección del movimiento, nuestra masa aumentará, y el tiempo, nuestra sensación del tiempo, se hará más lento, lo que constituye una extraordinaria consecuencia de este desplazamiento próximo a la velocidad de la luz llamada dilatación temporal. Pero desde el punto de vista de un observador que se desplazara con nosotros -alguien de paquete- ninguno de estos efectos serían percibidos.
Estas predicciones peculiares y a primera vista sorprendentes de la relatividad especial son ciertas en un sentido más profundo que cualquier otra cosa en física. Dependen de nuestro movimiento relativo. Pero son reales, no ilusiones ópticas. Pueden demostrarse mediante simples matemáticas, casi todas con álgebra de primer curso, y por lo tanto las puede entender cualquier persona educada.

Dos diseños de máquinas voladoras debidos a Leonardo. Arriba: modelo de un helicóptero helical del Museo Leonardo, Vinci. Este diseño inspiró a Igor Sikorsky el desarrollo del moderno helicóptero. Abajo: página de los cuadernos de Leonardo, con el texto en su "escritura espejo", mostrando el diseño de un semiornitóptero en el cual el ala interior fija es un cuerpo ascensional aerodinámico y la punta del ala batía. Fue un cambio importante en relación a la idea inicial de Leonardo de que un vehículo más pesado que el aire necesitaba alas que batieran como las de un pájaro. Este diseño influyó en los planeadores suspendidos de Lilienthal de 1891-1896, que precedieron inmediatamente a los inventos de Wilbur y Orville Wright. El cuaderno fue escrito entre 1479 y 1500.
Al viajar a una velocidad próxima a la de la luz uno apenas envejece, pero los amigos y los parientes que se han quedado en casa siguen envejeciendo a su ritmo normal. ¡Qué diferencia pues entre una persona que vuelve de un viaje relativista y sus amigos, que han envejecido décadas, por ejemplo, mientras él apenas ha envejecido! Un viaje a velocidad próxima a la de la luz es una especie de elixir de la vida. Puesto que el tiempo va más lento a una velocidad cercana a la de la luz, la relatividad especial nos proporciona un medio para alcanzar las estrellas. ¿Pero es posible desde el punto de vista de la ingeniería práctica viajar a una velocidad próxima a la de la luz? ¿Es realizable una nave estelar?
La Toscana no fue solamente la caldera donde se cocieron algunas de las ideas del joven Albert Einstein; fue también la patria de otro gran genio que vivió 400 años antes, Leonardo da Vinci, a quien le encantaba encaramarse a las colinas toscanas y contemplar la tierra desde gran altura, como si estuviera planeando como un pájaro. Fue él quien dibujó las primeras perspectivas aéreas de paisajes, ciudades y fortificaciones. Leonardo, entre sus muchos intereses y realizaciones pintura, escultura, anatomía, geología, historia natural, ingeniería militar y civil tenía una gran pasión: idear y fabricar una máquina que pudiese volar. Trazó dibujos, construyó modelos, fabricó prototipos de tamaño natural, pero ninguno de ellos funcionó. No existía en aquel entonces un motor suficientemente potente y ligero. Sin embargo, los diseños eran brillantes y animaron a los ingenieros de futuros tiempos. El mismo Leonardo quedó muy desanimado por estos fracasos. Pero no era culpa suya, porque estaba atrapado en el siglo quince.
Sucedió un caso semejante en 1939 cuando un grupo de ingenieros que había tomado el nombre de Sociedad Interplanetaria Británica diseñó una nave para trasladar personas a la Luna, utilizando la tecnología de 1939. La nave no era en absoluto idéntica al diseño de la nave espacial Apolo que llevó a cabo exactamente esta misión tres décadas después, pero sugería que algún día una misión a la Luna podía ser una posibilidad práctica de ingeniería.
Hoy en día disponemos de diseños preliminares de naves capaces de llevar personas a las estrellas. No está previsto que ninguna de estas naves parta directamente de la Tierra. Se trata de construirlas en una órbita terrestre, a partir de la cual zarparán hacia sus largos viajes interestelares. Uno de ellos recibió el nombre de Proyecto Orión, el de la constelación, recordando así que el objetivo último de la nave son las estrellas. Orión se movía impulsado por explosiones de bombas de hidrógeno, armas nucleares, contra una placa de inercia, proporcionando cada explosión una especie de puf-puf, como si fuera una enorme canoa nuclear en el espacio. Orión parece totalmente práctico desde el punto de vista de su ingeniería. Por su misma naturaleza produciría grandes cantidades de desechos radiactivos, pero si se calculaba bien la misión esto sólo sucedería en las soledades del espacio interplanetario o interestelar. Orión se estuvo desarrollando seriamente en los Estados Unidos hasta la firma del tratado internacional que prohíbe hacer estallar armas nucleares en el espacio. Creo que fue una gran lástima. La nave espacial Orión es el mejor destino que puedo imaginar para las armas nucleares.


Naves estelares: Anteproyectos muy esquemáticos de tres diseños propuestos seriamente para el vuelo espacial interestelar. Los tres utilizan un tipo u otro de fusión nuclear. Orion está arriba, Daedalus abajo y el Bussard Ramjet, a continuación. En principio sólo el Ramjet podría desplazarse a velocidad suficiente próxima a la de la luz para que fuera válida la dilatación temporal de la relatividad especial. El área de recogida efectiva, a la derecha, de materia interestelar tendría que ser mucho mayor de lo indicado. (Anteproyectos de diseños existentes por Rick Sternbach.)


Tres proyectos de naves estelares: Orion (Theodore Taylor, Freeman Dyson y otros) arriba a la izquierda; Daedalus (Sociedad Interplanetaria Británica), arriba a la derecha; Ramjet Interestelar (R. W. Bussard y otros), debajo. (Pinturas de Rick Sternbach.)
Hay que encontrar algo distinto para poder emprender viajes más allá de las estrellas más próximas. Quizás Orión y Daedalus podrían servir de naves multigeneracionales, de modo que sólo llegarían a un planeta de otra estrella los descendientes remotos de los que partieron unos siglos antes. 0 quizás se descubra un sistema seguro de hibernar personas que permita congelar a los viajeros del espacio y despertarlos siglos después. Estas naves estelares no relativistas, por enormemente caras que sean, parecen en cambio, de diseño, construcción y uso, relativamente fáciles en comparación con naves estelares que se desplacen a velocidades cercanas a las de la luz. Hay otros sistemas estelares accesibles a la especie humana, pero sólo después de grandes esfuerzos.
El vuelo espacial interestelar rápido con la velocidad de la nave aproximándose a la de la luz no es un objetivo para dentro de un siglo sino para dentro de mil o diez mil años. Pero en principio es posible. R. W. Bussard ha propuesto una especie de nave interestelar a reacción que va recogiendo la materia difusa, principalmente átomos de hidrógeno, que están flotando entre las estrellas, la acelera en un motor de fusión y la expulsa por detrás. El hidrógeno serviría tanto de combustible como de masa de reacción. Pero en el espacio profundo sólo hay un átomo en cada diez centímetros cúbicos aproximadamente, es decir en un volumen del tamaño de un racimo de uvas. Para que el reactor funcione se necesita un área frontal de recogida de centenares de kilómetros de diámetro.
Cuando la nave alcanza velocidades relativistas, los átomos de hidrógeno se desplazarán en relación a la nave a una velocidad cercana a la de la luz. Si no se toman precauciones, adecuadas, la nave y sus pasajeros se freirán por la acción de estos rayos cósmicos inducidos. Una solución propuesta se basa en privar con un láser a los átomos interestelares de sus electrones y de este modo dejarlos eléctricamente cargados mientras están todavía a una cierta distancia; un campo magnético muy potente desviaría entonces a los átomos cargados hacia la pantalla de recogida y lejos del resto de la nave. El esfuerzo de ingeniería que esto supone es de una escala sin precedentes hasta ahora en la Tierra. Estamos hablando de motores del tamaño de pequeños mundos.
Pero dediquemos un momento a pensar en esta nave. La Tierra nos atrae gravitatoriamente con una cierta fuerza, que si estamos cayendo experimentamos en forma de aceleración. Si caemos de un árbol cosa que debió sucederles a muchos de nuestros antepasados protohumanos bajaremos a plomo cada vez más de prisa y nuestra velocidad de caída aumentará en diez metros por segundo cada segundo.
Esta aceleración que caracteriza a la fuerza de la gravedad que nos mantiene sobre la superficie de la Tierra, se llama 1 g, donde g es la gravedad de la Tierra. Con aceleraciones de 1 g nos sentimos a gusto; hemos crecido con 1 g.
Si viviéramos en una nave interestelar que pudiese acelerar a 1 g, nos encontraríamos en un ambiente perfectamente natural. De hecho uno de los rasgos más importantes de la teoría general de la relatividad, teoría posterior debida a Einstein, es la equivalencia entre las fuerzas gravitatorias y las fuerzas que sentiríamos en una nave espacial en aceleración. Después de un año de estar en el espacio con una aceleración continua de 1 g tendríamos una velocidad próxima a la de la luz:
(0.01 km/seg2) x (3 x 107 seg) = 3 x 105 km/seg.
Supongamos que una nave espacial acelera a 1 g, acercándose cada vez más a la velocidad de la luz hasta el punto medio del viaje; y que luego se le da la vuelta y desacelera a 1 g hasta llegar a su destino.Durante la mayor parte del viaje la velocidad sería muy próxima a la de la luz y el tiempo se haría enormemente lento. Un objetivo para una misión de cercanías y un sol con posibles planetas es la estrella de Barnard, situada a unos seis años luz de distancia.
Se podría llegar a ella en unos ocho años medidos por el reloj de a bordo; al centro de la Vía Láctea, en veintiún años; M31, la galaxia de Andrómeda, en veintiocho años. No hay duda que quienes se quedaran en la Tierra verían las cosas de modo distinto. En lugar de veintiún años para llegar al centro de la Galaxia medirán un tiempo transcurrido de 30 000 años. Cuando volvamos a casa no quedarán muchos amigos para damos la bienvenida.
En principio un viaje así con los puntos decimales más próximos todavía a la velocidad de la luz nos permitiría dar la vuelta al universo conocido en unos cincuenta y seis años de tiempo de la nave. Regresaríamos a decenas de miles de millones de años en el futuro, y encontraríamos la Tierra convertida en un montón de ceniza y al Sol muerto.
El vuelo espacial relativista hace el universo accesible a las civilizaciones avanzadas, pero únicamente a quienes participan en el viaje. No parece que haya ningún modo de conseguir que la información llegue a los que se quedaron en casa a una velocidad superior a la de la luz.
Es probable que los diseños de Orión, Daedalus y el Ramjet Bussard estén más alejados de la nave interestelar auténtica que algún día construiremos que los modelos de Leonardo de nuestros actuales transportes supersónicos. Pero si conseguimos no destruimos creo que algún día nos aventuraremos hacia las estrellas. Cuando hayamos explorado todo nuestro sistema solar, nos harán señas los planetas de otras estrellas.
El viaje espacial y el viaje por el tiempo están relacionados. Podemos viajar rápido por el espacio porque viajamos rápido hacia el futuro. Pero, y del pasado, ¿qué? ¿Podemos volver al pasado y cambiarlo? ¿Podemos lograr que los hechos se desarrollen de modo distinto a lo que dicen los libros de historia? Nos estamos desplazando continuamente hacia el futuro a una velocidad de un día por día.
Con naves espaciales relativistas podríamos ir hacia el futuro a mayor velocidad. Pero muchos físicos creen que un viaje al pasado es imposible. Según ellos, aunque dispusiéramos de un aparato capaz de ir hacia atrás en el tiempo, no podríamos hacer nada importante. Si alguien viaja al pasado e impide que sus padres se casen, evitará haber nacido, lo cual es en cierto modo una contradicción, porque es evidente que este alguien existe. Como sucede con la demostración de la irracionalidad de V2, o en la discusión de la simultaneidad en relatividad espacial, se trata de un argumento que permite dudar de la premisa porque la conclusión parece absurda.

Siete sistemas solares generados por el programa de computadora ACCRETE, y un sistema real, el nuestro (B). Las distancias de los planetas a sus estrellas están indicadas en el eje horizontal inferior (1 unidad astronómica = 150 000 000 de kilómetros). Las masas de los planetas se indican en unidades de la masa de la Tierra. Los planetas terrestres están dibujados como círculos rellenos, los planetas jovianos como círculos vacíos. Los sistemas A y C son muy semejantes al nuestro, con planetas terrestres cercanos a la estrella y planetas jovianos más alejados. El sistema D tiene la disposición inversa. En E y F los planetas terrestres y jovianos están intercalados. En G se han producido planetas jovianos de gran masa, y en H el quinto planeta es tan grande que se ha convertido en estrella y la configuración es la de un sistema estelar doble. Basados en cálculos de Stephen Dole, Richard Isaacman y el autor.
Esto equivale a poner en marcha una secuencia diferente de acontecimientos históricos, que quienes hemos abandonado en nuestra línea temporal no llegarán a conocer nunca. Si fuese posible este tipo de viaje temporal podría existir en cierto modo cualquier historia alternativa imaginable.
La historia es en su mayor parte un haz complejo de hilos profundamente entretejidos, fuerzas sociales, culturales y económicas difíciles de desenredar. Los acontecimientos pequeños, impredecibles y casuales que en número incontable van fluyendo continuamente, no tienen a menudo consecuencias de largo alcance. Pero algunos acontecimientos, los que tienen lugar en intersecciones críticas o puntos de ramificación, pueden cambiar el aspecto de la historia. Puede haber casos en los que resulte posible provocar cambios profundos mediante ajustes relativamente triviales.
Cuanto más lejos esté situado en el pasado este acontecimiento, más poderosa podrá ser su influencia: porque el brazo de la palanca del tiempo se hace más largo.
Un virus de poliomielitis es un diminuto microorganismo. Cada día topamos con muchos de ellos. Pero por suerte es un hecho raro que nos infecten y provoquen esta temida enfermedad. Franklin D. Roosevelt, el presidente número treinta y dos de los Estados Unidos, tuvo la polio. Se trata de una enfermedad que deja lisiado y quizás esto hizo que Roosevelt sintiera una mayor compasión por los desvalidos; o quizás aumentó sus ansias de éxito. Si la personalidad de Roosevelt hubiese sido distinta, o si no hubiese tenido nunca la ambición de llegar a presidente de los Estados Unidos, es posible que la gran depresión de los años 1930, la segunda guerra mundial y el desarrollo de las armas nucleares hubiesen tenido un desenlace distinto. El futuro del mundo hubiese podido cambiar. Pero un virus es una cosa insignificante, que mide sólo una millonésima de centímetro. Apenas es nada.
Supongamos en cambio que nuestro viajero del tiempo hubiese convencido a la reina Isabel de que la geografía de Colón era errónea, de que según la estimación por Eratóstenes de la circunferencia de la Tierra Colón no podía alcanzar nunca el Asia. Es casi seguro que en unas pocas décadas otro europeo se habría presentado y habría zarpado hacia el Nuevo Mundo. Las mejoras en la navegación, el incentivo del comercio de las especias y la competencia entre las potencias europeas rivales hacían más o menos inevitable el descubrimiento de América. Como es lógico, hoy no existiría una nación llamada Colombia, ni el Distrito de Columbia ni Columbus, Ohio, ni la Universidad de Columbia en las Américas. Pero el curso general de la historia podría haber sido más o menos el mismo. Para poder afectar el futuro de modo profundo es probable que un viajero del tiempo tuviese que haber intervenido en un número determinado de acontecimientos cuidadosamente escogidos, a fin de cambiar el tejido de la historia.

Representación simbólica del viaje por el tiempo. Máquina del Tiempo construida para la película de George Pal basada en la historia de H. G. Wells. (Fotografía, Edwardo Castañeda.)
¿Qué pasaría si la tradición científica de los antiguos griegos jonios hubiese sobrevivido y florecido? Hubiese sido preciso que muchas de las fuerzas sociales de la época fuesen distintas, entre ellas la creencia dominante de que la esclavitud era natural y justificada.

Sello emitido coincidiendo con la Exposición Colombina de 1892, donde aparece Cristóbal Colón presentando sus argumentos geográficos y económicos a la reina Isabel. ¿Qué gran viaje de descubrimiento estará en marcha en el año 1992, cuando se cumpla el quinientos aniversario del descubrimiento de América por Colón?
Pero el decidir qué esperma conseguirá fertilizar un óvulo depende de los factores más mínimos e insignificantes, tanto internos como externos. Habría bastado un cambio en una pequeña cosa hace 2 500 años para que ninguno de nosotros estuviera aquí. Habría miles de millones de otras personas viviendo en nuestro lugar.

Una bombilla eléctrica, que representa una estrella distante, y una pequeña esfera que representa un compañero planetario carente de luz propia. Las estrellas son tan brillantes que los planetas normalmente se perderían del todo en su resplandor. Al eclipsar artificialmente la luz de la estrella con un disco de ocultación en primer plano (o con la superficie lunar) el planeta que brilla con luz reflejada se ve mejor. Cuando la estrella queda totalmente oculta, el planeta emerge de su resplandor. Observaciones repetidas de este tipo podrían determinar la posición, movimiento y quizás otras propiedades de un planeta no descubierto hasta entonces. (Las tres fotografías son de Bill Ray.)
En la línea temporal de nuestro mundo las cosas han ido algo más lentas. No estamos listos aún para las estrellas. Pero quizás en un siglo o dos más, cuando todo el sistema solar esté explorado, habremos puesto también nuestro planeta en orden, y tendremos la voluntad, los recursos y el conocimiento técnico para ir a las estrellas. Habremos examinado ya desde grandes distancias la diversidad de otros sistemas planetarios, algunos muy parecidos al nuestro y algunos muy distintos. Sabremos qué estrellas tenemos que visitar. Nuestras máquinas y nuestros descendientes se adentrarán entonces por los años luz, hijos auténticos de Tales y de Aristarco, de Leonardo y de Einstein.
Todavía no sabemos seguro cuántos sistemas planetarios hay además del nuestro, pero parece que su abundancia es grande. En nuestra vecindad inmediata no hay uno solo sino en cierto sentido cuatro: Júpiter, Saturo y Urano disponen cada cual de un sistema de satélites que por sus tamaños relativos y el espaciamiento de las lunas se parecen mucho a los planetas que giran alrededor del Sol. Una extrapolación de las estadísticas de estrellas dobles cuya masa respectiva es muy dispar sugiere que casi todas las estrellas solitarias como el Sol deberían tener compañeros planetarios.
Todavía no podemos ver directamente los planetas de otras estrellas, porque son diminutos puntos de luz sumergidos en el brillo de sus soles locales. Pero estamos consiguiendo detectar la influencia gravitatoria de un planeta invisible sobre una estrella observada. Imaginemos una estrella así con un movimiento propio importante que durante décadas se va desplazando sobre el fondo de las constelaciones más distantes; y con un planeta grande, por ejemplo de la masa de Júpiter, cuyo plano orbital esté por casualidad alineado formando un ángulo recto con nuestra visual. Cuando el planeta oscuro está desde nuestra perspectiva a la derecha de la estrella, la estrella se verá arrastrada un poco a la derecha, y al revés si el planeta está a la izquierda. En consecuencia el curso de la estrella quedará alterado o perturbado y en lugar de ser una línea recta será una línea ondulada. Las interacciones complejas de las tres estrellas en el sistema de Alpha Centauri harían muy difícil la búsqueda de un compañero de poca masa. Incluso en el caso de la Estrella de Barnard la investigación es penosa, buscando desplazamientos microscópicos de posición sobre placas fotográficas expuestas en un telescopio a lo largo de décadas. Se han llevado a cabo dos intentos de este tipo para encontrar planetas alrededor de la Estrella de Barnard, y según algunos criterios ambos intentos han tenido éxito e indican la presencia de dos o más planetas de masa joviana moviéndose en una órbita (calculada por la tercera ley de Kepler) algo más cercana a su estrella de lo que Júpiter y Saturno están con respecto al Sol. Pero, por desgracia, los dos conjuntos de observaciones parecen mutuamente incompatibles. Es posible que se haya descubierto un sistema planetario alrededor de la Estrella de Barnard, pero para una demostración sin ambigüedades hay que esperar otros estudios.

Un mundo lunar y un planeta más prometedor para la vida alrededor de una estrella cerca de la nebulosa de la Cabeza de caballo, a 1 500 años luz de distancia. La exploración de un sistema así sólo sería un objetivo posible para la humanidad si se desarrollaran naves espaciales capaces de desplazarse a una velocidad próxima a la de la luz. (Pintura de David Egge, 1978.)
En años recientes, las observaciones infrarrojas han revelado la presencia de un cierto número de nubes de gas y de polvo en forma de disco, probablemente preplanetarias, alrededor de algunas estrellas próximas. Mientras tanto algunos estudios teóricos provocativos han sugerido que los sistemas planetarios son una banalidad galáctica. Un conjunto de investigaciones con computadora ha examinado la evolución de un disco plano de gas y de polvo en condensación como los que se suponen que dan origen a estrellas y planetas. Se inyectan pequeñas masas de materia las primeras condensaciones del disco dentro de la nube a intervalos aleatorios.
Estas masas acumulan por acreción partículas de polvo a medida que se mueven. Cuando su tamaño es suficiente atraen también gravitatoriamente al gas, principalmente hidrógeno, de la nube. Cuando dos masas de éstas chocan, el programa de la computadora las deja unidas. El proceso continúa hasta que todo el gas y el polvo se han gastado de este modo. Los resultados dependen de las condiciones iniciales, especialmente de la distribución de la densidad de gas y de polvo con la distancia al centro de la nube. Pero dentro de una gama de condiciones iniciales plausibles se generan sistemas planetarios -unos diez planetas, de tipo terrestre cerca de la estrella, de tipo joviano en el exterior- que presentan un aspecto semejante a los nuestros. En otras circunstancias no hay planetas, sólo una multitud de asteroides; o pueden generarse planetas jovianos cerca de la estrella; o un planeta joviano puede acumular tanto gas y polvo que se convierta en una estrella, originando un sistema estelar binario. Todavía es demasiado pronto para estar seguros, pero parece que podremos encontrar una espléndida variedad de sistemas planetarios por toda la Galaxia, y con una frecuencia elevada, porque creemos que todas las estrellas deben de proceder de estas nubes de gas y polvo. Puede haber un centenar de miles de millones de sistemas planetarios en la Galaxia esperando que los exploren.
Ninguno de estos mundos será idéntico a la Tierra. Unos cuantos serán acogedores; la mayoría nos parecerán hostiles. Muchos serán maravillosamente bellos. En algunos mundos habrá muchos soles en el cielo diurno, muchas lunas en los cielos de la noche, o tendrán grandes sistemas de anillos de partículas cruzando de horizonte a horizonte. Algunas lunas estarán tan próximas a su planeta que surgirán en lo alto de los cielos cubriendo la mitad del firmamento. Y algunos mundos tendrán como panorámica una vasta nebulosa gaseosa, los restos de una estrella normal que fue y ya no es. En todos estos cielos, ricos en constelaciones distantes y exóticas, habrá una débil estrella amarilla, quizás apenas visible a simple vista, quizás visible únicamente a través del telescopio: la estrella madre de una flota de transportes interestelares que explorarán esta diminuta región de la gran galaxia Vía Láctea.
Como hemos visto, los temas del espacio y del tiempo están interrelacionados. Los mundos y las estrellas nacen, viven y mueren como las personas. La vida de un ser humano se mide en décadas, la vida del Sol es cien millones de veces más larga.

Un planeta sin aire en un sistema estelar binario. Todos los objetos proyectan dos sombras, antirrojo y antiazul (pintura de David Hardy). David A. Hardy, de El desafío de las estrellas (Rand McNally).
En todos estos mundos del espacio hay una secuencia de acontecimientos, hay hechos que determinarán sus futuros. Y en nuestro pequeño planeta, este momento de la historia es un punto crítico de bifurcación tan importante como la confrontación de los científicos jonios con los místicos hace 2 500 años. Lo que hagamos con nuestro mundo en esta época se propagará a través de los siglos y determinará de modo eficaz el destino de nuestros descendientes y su suerte, si llega, entre las estrellas.

Un planeta en órbita alrededor de un cúmulo estelar globular. Pintura de Don Dixon. (© Don Dixon, 1978.)

Izquierda: Una binaria de contacto, una gigante roja y una enana azul; esta última está sufriendo una explosión de nova. El acontecimiento ha asolado el paisaje planetario (pintura de David Hardy). © David Hardy, de El desafío de las estrellas (Rand McNally). Derecha: Un planeta hipotético en el sistema de Pleyone. Pleyone, que forma parte del cúmulo estelar de las Pléyades, gira tan rápidamente que ha quedado distorsionado en forma oblonga, y la sustancia estelar se está vertiendo al espacio a lo largo del ecuador estelar. Pintura de Don Dixon. (© Don Dixon. 1974.)

Un planeta hipotético alrededor de una binaria de contacto; las dos estrellas pierden sus atmósferas estelares en el espacio siguiendo la forma de una gran espiral que orbita a las dos estrellas (pintura de David Hardy). © David A. Hardy, de El desafío de las estrellas (Rand McNally).

Las Pléyades de noche desde una caverna de hielo en un hipotético planeta cercano. El cúmulo estelar de las Pléyades se formo recientemente, y por lo tanto se trata de un mundo muy joven. (Pintura de David Egge.)
Capitulo 9
Las vidas de las estrellas
[Ra, el dios Sol] abrió sus dos ojos y proyectó luz sobre Egipto, separó la noche del día. Los dioses salieron de su boca y la humanidad de sus ojos. Todas las cosas nacieron de él, el niño que brilla en el loto y cuyos rayos dan vida a todos los seres.
Conjuro del Egipto tolemaico
Dios es capaz de crear partículas de materia de distintos tamaños y formas... y quizás de densidades y fuerzas distintas, y de este modo puede variar las leyes de la naturaleza, y hacer mundos de tipos diferentes en partes diferentes del universo. Yo por lo menos no veo en esto nada contradictorio.
Isaac Newton, Óptica
Teníamos el cielo allá arriba, todo tachonado de estrellas, y solíamos tumbamos en el suelo y mirar hacia arriba, y discutir si las hicieron o si acontecieron sin más.
Mark Twain, Huckleberry Finn
Tengo... una terrible necesidad... ¿diré la palabra?... de religión. Entonces salgo por la noche y pinto las estrellas.
Vincent Van Gogh

La estrella más cercana: el Sol visto a la luz de helio ionizado en el ultravioleta lejano. La prominencia solar que se proyecta arriba a la derecha se extiende momentáneamente unos 300 000 kilómetros dentro del espacio hasta que vuelve a caer sobre el gas ardiente que es la superficie visible del Sol. Las manchas más pequeñas de gas caliente visibles en esta imagen de la superficie solar tienen aproximadamente el tamaño de la Tierra. Fotografía del Skylab 4. (Cedida por la NASA.)
Supongamos que cogemos una tarta de manzana y la cortamos por la mitad; tomemos una de las dos partes y cortémosla por la mitad; y continuemos así con el espíritu de Demócrito.

Átomos en movimiento: una película de las perturbaciones creadas en un fondo de carbono (que aparece azul-negro) por los movimientos aleatorios de átomos de uranio (que aparecen en rojo). Demócrito hubiese disfrutado con esta película. (Cedida por Albert Crewe, Universidad de Chicago.)
La naturaleza del átomo se entendió por primera vez en la Universidad de Cambridge en Inglaterra en los cuarenta y cinco años centrados en 1910: uno de los sistemas seguidos fue disparar contra átomos piezas de átomos y observar cómo rebotaban. Un átomo típico tiene una especie de nube de electrones en su exterior. Los electrones están cargados eléctricamente, como su nombre indica. La carga se califica arbitrariamente de negativa. Los electrones determinan las propiedades químicas del átomo: el brillo del oro, la sensación fría del hierro, la estructura cristalina del diamante de carbono. El núcleo está dentro, en lo profundo del átomo, oculto muy por debajo de la nube de electrones, y se compone generalmente de protones cargados positivamente y de neutrones eléctricamente neutros. Los átomos son muy pequeños: un centenar de millones de átomos puestos uno detrás de otro ocuparían una longitud igual a la punta del dedo meñique. Pero el núcleo es cien mil veces más pequeño todavía, lo que explica en cierto modo que se tardara tanto en descubrirlo. [57] Sin embargo, la mayor parte de la masa de un átomo está en su núcleo; los electrones comparados con él no son más que nubes de pelusilla en movimiento. Los átomos son en su mayor parte espacio vacío. La materia se compone principalmente de nada.
Yo estoy hecho de átomos. Mi codo, que descansa sobre la mesa que tengo delante, está hecho de átomos. La mesa está hecha de átomos. Pero si los átomos son tan pequeños y vacíos y si los núcleos son todavía más pequeños, ¿por qué me sostiene la mesa? ¿A qué se debe, como solía decir Arthur Eddington, que los núcleos que forman mi codo no se deslicen sin esfuerzo a través de los núcleos que forman la mesa? ¿Por qué no acabo de bruces en el suelo? ¿O cayendo directamente a través de la Tierra?
La respuesta es la nube de electrones. La pared exterior de un átomo de mi codo tiene una carga eléctrica negativa. Lo mismo sucede con todos los átomos de la mesa. Pero las cargas negativas se repelen. Mi codo no se desliza a través de la mesa porque los átomos tienen electrones alrededor de su núcleo y porque las fuerzas eléctricas son fuertes. La vida cotidiana depende de la estructura del átomo. Si apagamos estas cargas eléctricas todo se hundirá en forma de polvo fino e invisible. Sin fuerzas eléctricas, ya no habría cosas en el universo: sólo nubes difusas de electrones, de protones y de neutrones, y esferas gravitando de partículas elementales, restos informes de los mundos.
Si nos proponemos cortar una tarta de manzana y continuar más allá de un átomo solo, nos enfrentamos con una infinidad de lo muy pequeño. Y cuando miramos el cielo nocturno nos enfrentamos con una infinidad de lo muy grande. Estas infinidades representan una regresión sin fin que continúa, no para llegar muy lejos, sino para seguir sin tener nunca fin. Si uno se pone entre dos espejos por ejemplo en una barbería verá un gran número de imágenes de sí mismo, cada una reflexión de otra. No podemos ver una infinidad de imágenes porque los espejos no están perfectamente planos ni alineados, porque la luz no se desplaza a una velocidad infinita, y porque estamos en medio. Cuando hablamos del infinito hablamos de una cifra superior a cualquier número por grande que sea.
El matemático norteamericano Edward Kasner pidió en una ocasión a su sobrino de nueve años que inventara un nombre para un número muy grande: diez elevado a cien (10100), un uno seguido por cien ceros. El niño le llamó un gugol. He aquí el número:
10 000 000 000 000 000 000 000 000 000 000 000 000 000 000 000 000 000 000 000 000 000 000 000 000 000 000 000 000 000 000 000 000 000.
Cada uno de nosotros puede hacer números muy grandes y darles nombres extraños. Inténtalo. Tiene un cierto encanto, especialmente si la edad de uno resulta ser nueve años.Si un gugol parece grande, consideremos un gugolple. Es diez elevado a la potencia de un gugol: es decir un uno seguido por un gugol de ceros. Como comparación, el número total de átomos en nuestro cuerpo es aproximadamente 1028, y el número total de partículas elementales -protones y neutrones y electrones- en el universo observable es aproximadamente 1080. Si el universo fuera, por ejemplo, una masa sólida[58] de neutrones, de modo que no quedara ningún espacio vacío, sólo habría unos 10 128 neutrones en su interior, bastante más que un gugol pero algo trivialmente pequeño comparado con un gugolple. Y sin embargo estos números, el gugol y el gugolple, no se acercan a la idea de infinito, ni la rozan. Un gugolple está exactamente a la misma distancia del infinito que el número uno. Podríamos intentar escribir un gugolple, pero es una ambición sin salida. Una hoja de papel lo suficientemente grande para poder escribir en ella explícitamente todos los ceros de un gugolple no se podría meter dentro del universo conocido. Afortunadamente hay un método más simple y muy conciso para escribir un gugolple. 10(10)100; e incluso para escribir infinito: (pronunciado “infinito”).
En una tarta de manzana quemada, la mayor parte de lo negro es carbono. Con noventa cortes llegaríamos a un átomo de carbono, con seis protones y seis neutrones en su núcleo y seis electrones en la nube exterior. Si fuéramos a extraer un fragmento del núcleo - por ejemplo con dos protones y dos neutrones en él- no sería el núcleo de un átomo de carbono, sino el núcleo de un átomo de helio.

Átomos del mineral marcasita, aumentados 4.5 millones de veces con un microscopio que utiliza luz visible y rayos X. La marcasita es un cristal donde se repite la unidad FeS2: Fe indica hierro y está representado por las manchas grandes, S indica azufre y está representado por los pares de puntos pequeños que flanquean cada átomo de hierro. (Cedida por el Instituto Profesor Martin J. Buerger, Instituto de Tecnología de Massachusetts.)
Pero supongamos que seguimos adelante. Los átomos están compuestos de protones, neutrones y electrones. ¿Podemos cortar un protón? Si bombardeamos protones con otras partículas elementales a grandes energías otros protones, por ejemplo empezamos a vislumbrar unidades más fundamentales que se ocultan dentro del protón. Los físicos proponen actualmente que las llamadas partículas elementales como los protones y los neutrones, están compuestas en realidad por partículas más elementales, llamadas quarks, que se presentan en una variedad de colores y de sabores, tal como se han denominado sus propiedades en un conmovedor intento por hacer algo más familiar el mundo subnuclear. ¿Son los quarks los elementos constitutivos últimos de la materia, o también ellos están compuestos por partículas más pequeñas y más elementales? ¿Llegaremos alguna vez al final en nuestra comprensión de la naturaleza de la materia, o hay una regresión infinita hacia partículas cada vez más fundamentales? Éste es uno de los grandes problemas sin resolver de la ciencia.
En los laboratorios medievales se perseguía la transmutación de los elementos: una actividad llamada alquimia. Muchos alquimistas creían que toda la materia era una mezcla de cuatro sustancias elementales: agua, aire, tierra y fuego, una antigua especulación jónica. Alterando por ejemplo las proporciones relativas de tierra y de fuego sería posible, pensaban ellos, cambiar el cobre en oro. En esta actividad pululaban fraudes encantadores, timadores como Cagliostro y el conde de Saint-Germain, que pretendían no sólo transmutar los elementos sino poseer también el secreto de la inmortalidad. A veces se ocultaba el oro en una varilla con un falso fondo de modo que aparecía milagrosamente en un crisol al final de alguna ardua demostración experimental. La nobleza europea, con el señuelo del dinero y de la inmortalidad, acabó transfiriendo grandes sumas a los practicantes de este dudoso arte. Pero hubo alquimistas más serios, como Paracelso e incluso Isaac New- ton. El dinero no se malgastó totalmente: se descubrieron nuevos elementos químicos, como el fósforo, el antimonio y el mercurio. De hecho el origen de la química moderna puede relacionarse directamente con estos experimentos.
Hay noventa y nueve tipos químicamente distintos de átomos existentes de modo natural. Se les llama elementos químicos, y hasta hace poco no había más que esto en nuestro planeta, aunque se encuentran principalmente combinados formando moléculas. El agua es una molécula formada por átomos de hidrógeno y de oxígeno. El aire está formado principalmente por los átomos nitrógeno (N), oxígeno (O), carbono (C), hidrógeno (H) y argón (Ar), en las formas moleculares N2, O2 CO2, H2O y Ar. La misma Tierra es una mezcla muy rica de átomos, principalmente silicio, [59] oxígeno, aluminio, magnesio y hierro. El fuego no está compuesto en absoluto de elementos químicos. Es un plasma radiante en el cual la alta temperatura ha arrancado algunos de los electrones de sus núcleos.
Ninguno de los cuatro antiguos elementos jonios y alquímicos es un elemento en el sentido moderno: uno es una molécula, dos son mezclas de moléculas, y el último es un plasma.

Representación de una parte de los 92 elementos químicos presentes de modo natural en la naturaleza. Cada elemento tiene en rojo el número atómico (igual al número de protones, o de electrones). El número de neutrones de cada elemento está en negro. El peso atómico es igual al número de protones más neutrones en el núcleo atómico. En las presiones y temperaturas típicas de la tierra algunos elementos son sólidos (por ejemplo, selenio, número atómico 34), otros líquidos (bromo, 35) y otros gaseosos (kriptón, 36). (Fotografía, Bill Ray.)
El que los átomos están compuestos por tres tipos de partículas elementales protones, neutrones y electrones es un descubrimiento relativamente reciente. El neutrón no se descubrió hasta 1932. La física y la química modernas han reducido la complejidad del mundo sensible a una simplicidad asombrosa: tres unidades reunidas de maneras distintas lo forman esencialmente todo.
Los neutrones, como hemos dicho y como su nombre sugiere, no llevan carga eléctrica. Los protones tienen una carga positiva y los electrones una carga negativa igual.

La superficie turbulenta del Sol. Aparece en ella la granulación, provincias solares en las que el gas caliente sube y se hunde. Cada célula turbulenta tiene un diámetro de unos 1000 kilómetros, la distancia de Paris a Kiev. Fotografía en luz amarilla ordinaria del observatorio de Pic du Midi, Francia.

Izquierda: Primer plano de un grupo de manchas solares en luz roja de hidrógeno. Las manchas solares son regiones relativamente más frías, con intensos campos magnéticos. Las "espículas" oscuras adyacentes están ordenadas por el magnetismo local, como las limaduras de hierro por un imán. Las "playas" brillantes adyacentes están relacionadas con la aparición de grandes tormentas llamadas erupciones solares. (Cedida por el observatorio solar Big Bear.)

Derecha: La fotosfera del Sol, la región de la atmósfera solar desde la cual se radia al espacio la luz visible ordinaria. Esta fotografía se tomó cerca de un máximo en la actividad de las manchas solares, que se repite cada 11.2 años. En estos momentos pueden verse hasta 100 manchas solares separadas. Son más oscuras que su entorno porque están a unos 2 000 °C menos de temperatura. Galileo descubrió por primera vez las manchas solares, aunque si las condiciones son favorables, por ejemplo al ponerse el sol, pueden verse a simple vista. Cedida por Gary Chapman, observatorio de San Fernando, Universidad del estado de California, Northridge.

Una forma viva y su estrella. A través de un telescopio equipado con un filtro que sólo deje pasar la luz roja emitida por el gas hidrógeno caliente, las manchas solares aparecen oscuras. En primer término, sobre una montaña, un ser humano exultante. (Cedida por la Administración Nacional del Océano y la Atmósfera. Fotografía de Joseph Sutorick.)
Dos protones y dos neutrones forman el núcleo de un átomo de helio, que resulta ser muy estable. Tres núcleos de helio forman un núcleo de carbono; cuatro, oxígeno; cinco, neón; seis, magnesio; siete, silicio; ocho, azufre y así sucesivamente. Cada vez que añadimos uno o más protones y neutrones suficientes para mantener unido el núcleo, hacemos un elemento químico nuevo. Si restamos un protón y tres neutrones del mercurio hacemos oro, el sueño de los antiguos alquimistas. Más allá del uranio hay otros elementos que no existen de modo natural en la Tierra. Los sintetizan los hombres y en la mayoría de los casos se fragmentan rápidamente. Uno de ellos el elemento 94, se llama plutonio y es una de las sustancias más tóxicas conocidas. Por desgracia se desintegra bastante lentamente.
¿De dónde proceden los elementos existentes de modo natural? Podríamos imaginar una creación separada de cada especie atómica. Pero el universo en su totalidad y en casi todas partes está formado por un 99% de hidrógeno y de helio,[60] los dos elementos más simples. De hecho el helio se detectó en el Sol antes de ser descubierto en la Tierra, de ahí su nombre (de Helios, uno de los dioses sol de Grecia). ¿Es posible que los demás elementos químicos hayan evolucionado de algún modo a partir de hidrógeno y de helio? Para equilibrar la repulsión eléctrica hay que aproximar mucho las piezas de materia nuclear de modo que entren en acción las fuerzas nucleares de corto alcance. Esto sólo puede suceder a temperaturas muy altas, cuando las partículas se mueven con tanta velocidad que la fuerza repulsiva no tiene tiempo de actuar: temperaturas de decenas de millones de grados. En la naturaleza estas temperaturas tan elevadas y sus correspondientes presiones sólo se dan de modo corriente en los interiores de las estrellas.
Hemos examinado nuestro Sol, la estrella más próxima, en varias longitudes de onda, desde las ondas de radio hasta la luz visible normal y los rayos X, radiaciones que proceden únicamente de las capas más exteriores. El Sol no es exactamente una piedra al rojo vivo, como pensó Anaxágoras, sino una gran bola gaseosa de hidrógeno y de helio, que brilla por su elevada temperatura, del mismo modo que un atizador brilla si se le pone al rojo. Anaxágoras tenía razón, por lo menos en parte. Las violentas tempestades solares producen erupciones brillantes que perturban las comunicaciones de radio en la Tierra; y penachos inmensos y arqueados de gas caliente, guiados por el campo magnético del Sol, las prominencias solares, que dejan enana a la Tierra. Las manchas solares, visibles a veces a simple vista al ponerse el sol, son regiones más frías donde la intensidad del campo magnético es más elevada. Toda esta actividad incesante desbordada y turbulenta se da en la superficie visible, relativamente fría. Sólo vemos unas temperaturas de unos 6.000 °C. Pero el interior oculto del Sol donde se genera la luz solar está a 40 millones de grados.
Las estrellas y sus planetas acompañantes nacen debido al colapso gravitatorio de una nube de gas y de polvo interestelar. La colisión de las moléculas gaseosas en el interior de la nube la calienta hasta el punto en el cual el hidrógeno empieza a fundirse dando helio: cuatro núcleos de hidrógeno se combinan y forman un núcleo de helio, con la emisión simultánea de un fotón de rayos gamma. El fotón sufre absorciones y emisiones por parte de la materia situada encima suyo y se va abriendo paso paulatinamente hacia la superficie de la estrella, perdiendo energía en cada paso, y llegando al final después de una épica jornada que ha durado un millón de años hasta la superficie, donde emerge en forma de luz visible y es radiado hacia el espacio. La estrella empieza a funcionar. El colapso gravitatorio de la nube preestelar ha quedado detenido. El peso de las capas exteriores de la estrella está sostenido ahora por las temperaturas y presiones elevadas generadas en las reacciones nucleares del interior. El Sol ha estado en esta situación estable durante los últimos cinco mil millones de años. Reacciones termonucleares como las que tienen lugar en una bomba de hidrógeno proporcionan energía al Sol gracias a una explosión contenida y continua, que convierte unos cuatrocientos millones de toneladas (4 x 1014 g) de hidrógeno en helio cada segundo. Cuando de noche miramos hacia lo alto y contemplamos las estrellas todo lo que vemos está brillando debido a fusiones nucleares distantes.
En la dirección de la estrella Deneb, en la constelación del Cisne, hay una enorme superburbuja brillante de gas muy caliente, producida probablemente por explosiones de supernovas (las muertes de estrellas) cerca del centro de la burbuja. En la periferia, la materia interestelar se ve comprimida por la onda de choque de la superno- va, poniendo en marcha nuevas generaciones de colapsos de nubes y de formación de estrellas. En este sentido las estrellas tienen padres; y como a veces sucede entre los hombres, un padre puede morir cuando nace el niño.

Bucles de gas caliente e ionizado sobre una región solar activa que se ven obligados a seguir las líneas de fuerza magnética locales, como las limaduras de hierro en el campo de un imán. Esta foto del Skylab se tomó en luz del ultravioleta lejano. Esta luz queda absorbida fácilmente por la atmósfera de la Tierra, y por lo tanto estas fotografías sólo pueden tomarse desde satélites terrestres o sondas interplanetarias.

Agujero en la corona del Sol. Alrededor de la fotosfera solar está la delgada atmósfera exterior del Sol, a una temperatura de un millón de grados, que cambia su forma con el ciclo solar de 11,2 años. La corona se ve aquí en rayos X blandos como un halo rojo alrededor del Sol. El agujero de la corona está en el centro y tiene forma de bota. Los protones y electrones del viento solar escapan por estos agujeros en su camino hacia los planetas y el espacio interestelar. Foto obtenida por el Skylab. (Cedida por la NASA.)
Cuando levanto mis ojos hacia el Sol, durante un segundo pasan por ellos mil millones de neutrinos. Como es lógico no quedan detenidos en la retina, como les sucede a los fotones normales, sino que continúan sin que nada les moleste y atraviesan toda mi cabeza. Lo curioso es que si de noche miro hacia el suelo, hacia la parte donde debería estar el Sol (si no hubiese interpuesta la Tierra), pasa por mi ojo un número casi exactamente igual de neutrinos solares que fluyen a través de esta Tierra interpuesta tan transparente para los neutrinos como una placa de cristal es transparente para la luz visible.
Si nuestro conocimiento del interior solar es tan completo como imaginamos, y si además entendemos la física nuclear que origina los neutrinos, deberíamos poder calcular con bastante precisión los neutrinos solares que debería recibir un área dada -como la de mi ojo- en una unidad dada de tiempo, por ejemplo un segundo. La confirmación experimental del cálculo es mucho más difícil. Los neutrinos pasan directamente a través de la Tierra y es imposible atrapar un neutrino dado. Pero si su número es grande, una pequeña fracción entrará en interacción con la materia, y si las circunstancias son apropiadas podrá detectarse. Los neutrinos pueden convertir en raras ocasiones a los átomos de cloro en átomos de argón, átomos con el mismo número total de protones y de neutrones.
Para detectar el flujo solar predicho de neutrinos se necesita una cantidad inmensa de cloro, y en consecuencia unos físicos norteamericanos vertieron grandes cantidades de líquido detergente en la Mina Homestake de Lea, en Dakota del Sur. Se microfiltra luego el cloro para descubrir el argón de reciente producción. Cuanto más argón se detecta, más neutrinos se supone que han pasado. Estos experimentos indican que el Sol es más débil en neutrinos de lo que los cálculos predicen.

La muerte de la Tierra y del Sol. Dentro de varios miles de millones de años, habrá un último día perfecto (arriba a la izquierda). Luego, durante un período de millones de años, el Sol se hinchará, la Tierra se calentará, muchas formas vivas se extinguirán y el borde del mar retrocederá (arriba a la derecha). Los océanos se evaporarán rápidamente (abajo a la izquierda) y la atmósfera escapará al espacio. A medida que el Sol evolucione para convertirse en una gigante roja (abajo a la derecha) la Tierra se convertirá en un lugar seco, estéril y sin aire. Al final el Sol casi llenará el cielo y quizás se trague la Tierra. (Pinturas de Adolf Schaller.)

La nebulosa Trífida en la constelación de Sagitario, a varios miles de años luz de distancia. Las estrellas incrustadas en la nebulosa inducen al gas a brillar. La mayoría de las estrellas que vemos aquí están relacionadas con la nebulosa, pero están situadas entre ella y nosotros. Las pistas oscuras dentro de la nebulosa están compuestas de polvo interestelar. (Cedida por los observatorios Hale.)
Pero la fusión del hidrógeno no puede continuar indefinidamente: en el Sol o en cualquier otra estrella hay una cantidad limitada de hidrógeno combustible en su caliente interior. El destino de una estrella, el final de su ciclo vital depende mucho de su masa inicial. Si una estrella, después de haber perdido en el espacio una cantidad determinada de su masa, conserva de dos a tres veces la masa del Sol, finaliza su ciclo vital de un modo impresionantemente distinto al del Sol. Pero el destino del Sol ya es de por sí espectacular.

La nebulosa de Orión, el mayor complejo de gas y polvo conocido en la galaxia Vía Láctea. La primera persona que resolvió estrellas individuales en la región interior de esta nebulosa fue Christiaan Huygens en 1656. El gas es excitado por la luz de estrellas calientes y jóvenes, formadas recientemente, quizás de sólo 25000 años de edad. La nebulosa puede verse hoy en día a simple vista. ¿La conocieron nuestros antepasados de hace 100 000 años? (Cedida por los observatorios Hale.)
Este proceso generará los elementos carbono y nitrógeno, y proporcionará energía adicional para que el Sol continúe brillando durante un tiempo limitado. Una estrella es un fénix destinado a levantarse durante un tiempo de sus cenizas.[61]

Las Pléyades en la constelación de Tauro, examinadas por primera vez con el telescopio por Galileo. El espectro de la nebulosidad azul es el mismo que el de las estrellas cercanas, demostrando que la nebulosidad es polvo, que refleja la luz de estrellas acabadas de formar. Las estrellas más brillantes, situadas a unos 400 años luz de distancia, recibieron por parte de los antiguos griegos el nombre de las hijas de Atlas, el titán que sostenía los cielos. (Cedida por los observatorios Hale.)

La nebulosa de Roseta, que parece una nebulosa planetaria, pero que está relacionada con muchas estrellas y no con una sola; estas estrellas son calientes y jóvenes (tienen menos de un millón de años), mientras que la estrella central en una nebulosa planetaria suele ser caliente pero de miles de millones de años de edad. La presión de la radiación procedente de las estrellas centrales está empujando el gas rojo de hidrógeno hacia el espacio. (Cedida por los observatorios Hale.)

Fotografía de una pintura mural Anasazi en la cara inferior de un saliente de la región de cañones de Nuevo México. La pintura es de mediados del siglo once y probablemente describe la supernova de 1054 en su situación correcta en relación a la luna creciente cuando fue descubierta. (Fotografía, Bill Ray.)

Una auténtica nebulosa planetaria en la constelación de Acuario, compuesta por una cáscara delgada de hidrógeno caliente que se desplaza hacia fuera. Estas nebulosas suelen tener unos cuantos años luz de diámetro y se expanden a unos 50 kilómetros por segundo a partir de una estrella central que tiene una temperatura superficial de más de 100 000 grados. Dentro de cinco mil millones de años, al final de la fase de gigante roja en la evolución de nuestro Sol, el sistema solar puede presentar de lejos este aspecto. (Cedida por los observatorios Hale.)

La nebulosa Cangrejo en Tauro, a 6 000 años luz de distancia; está formada por los restos de la explosión de la supernova presenciada en el año 1054 en la Tierra. Sus filamentos se están desenmarañando a unos 1 100 kilómetros por segundo. Después de casi un milenio de expansión todavía está perdiendo en el espacio 100 000 veces más energía por segundo que el Sol. En su núcleo hay una estrella de neutrones condensada, un pulsar que destella unas 30 veces por segundo. El período se conoce con mucha precisión. El 28 de junio de 1969 el período era de 0.033099324 segundos, e iba disminuyendo a un ritmo de unos 0.0012 segundos por siglo. La correspondiente pérdida de energía rotacional es suficiente para explicar el brillo de la nebulosa. El Cangrejo es rico en elementos pesados que está devolviendo al espacio para futuras generaciones de formación de estrellas. (Cedida por los observatorios Hale.)
Dos estrellas de idéntica masa evolucionarán más o menos paralelamente. Pero una estrella de masa superior gastará más rápidamente su combustible nuclear, se convertirá antes en una gigante roja e iniciará primero el descenso final hacia una enana blanca. Tendría que haber, y así se comprueba, muchos casos de estrellas binarias en los que una componente es una gigante roja y la otra una enana blanca. Algunos de estos pares están tan próximos que se tocan, y una atmósfera solar incandescente fluye de la hinchada gigante roja a la compacta enana blanca y tiende a caer en una provincia concreta de la superficie de la enana blanca. El hidrógeno se acumula, comprimido a presiones y temperaturas cada vez más elevadas por la intensa gravedad de la enana blanca, hasta que la atmósfera robada a la gigante roja sufre reacciones termonucleares y la enana blanca experimenta una breve erupción que la hace brillar. Una binaria de este tipo se llama una nova y tiene un origen muy distinto al de una supernova. Las novas se dan únicamente en sistemas binarios y reciben su energía de la fusión del hidrógeno; las supernovas se dan en estrellas solas y reciben su energía de la fusión del silicio.
Los átomos sintetizados en los interiores de las estrellas acaban normalmente devueltos al gas interestelar. Las gigantes rojas finalizan con sus atmósferas exteriores expulsadas hacia el espacio; las nebulosas planetarias son las fases finales de estrellas de tipo solar que hacen saltar su tapadera. Las supernovas expulsan violentamente gran parte de su masa al espacio. Los átomos devueltos son, como es lógico, los que se fabrican más fácilmente en las reacciones termonucleares de los interiores de las estrellas: el hidrógeno se fusiona dando helio, el helio da carbono, el carbono da oxígeno, y después en estrellas de gran masa, y por sucesivas adiciones de más núcleos de helio, se construyen neón, magnesio, silicio, azufre, etc.: adiciones que se realizan por pasos, dos protones y dos neutrones en cada paso hasta llegar al hierro. La fusión directa del silicio genera también hierro: un par de átomos de silicio cada uno con veintiocho protones y neutrones se funden a una temperatura de miles de millones de grados y hacen un átomo de hierro con cincuenta y seis protones y neutrones.
Todos éstos son elementos químicos familiares. Sus nombres nos suenan. Estas reacciones nucleares no generan fácilmente erbio, hafnio, disprosio, praseodimio o itrio, sino los elementos que conocemos de la vida diaria, elementos devueltos al gas interestelar, donde son recogidos en una generación subsiguiente de colapso de nube y formación de estrella y planeta. Todos los elementos de la Tierra, excepto el hidrógeno y algo de helio, se cocinaron en una especie de alquimia estelar hace miles de millones de años en estrellas que ahora son quizás enanas blancas inconspicuas al otro lado de la galaxia Vía Láctea. El nitrógeno de nuestro ADN, el calcio de nuestros dientes, el hierro de nuestra sangre, el carbono de nuestras tartas de manzana se hicieron en los interiores de estrellas en proceso de colapso. Estamos hechos, pues, de sustancia estelar.
Algunos de los elementos más raros se generan en la misma explosión de supernova. El hecho de que tengamos una relativa abundancia de oro y' de uranio en la Tierra se debe únicamente a que hubo muchas explosiones de supernovas antes de que se formara el sistema solar. Otros sistemas planetarios pueden tener cantidades diferentes de nuestros elementos raros. ¿Existen quizás planetas cuyos habitantes exhiben, orgullosos, pendientes de niobio y brazaletes de protactinio, mientras que el oro es una curiosidad de laboratorio? ¿Mejorarían nuestras vidas si el oro y el uranio fueran tan oscuros y poco importantes en la Tierra como el praseodimio?

La nebulosa del Velo, parte de un antiguo resto esférico de supernova, llamado Bucle del Cisne. La explosión de supernova que lo formó ocurrió hace unos 50 000 años. Todavía se está expandiendo a unos 100 kilómetros por segundo, y brilla por las colisiones con el gas y el polvo interestelar. Los átomos del Velo se van frenando con estas colisiones y acabarán formando parte del medio interestelar. (Cedida por los observatorios Hale.)

La galaxia Vía Láctea vista de canto y de cara, indicándose en ella la posición del Sol y de las supernovas históricas. Las estrellas de gran masa tienden a estar situadas en el plano de la galaxia y por lo tanto sus productos finales, las supernovas, también están allí. Pero el polvo oscurecedor también se concentra en el plano galáctico, y las supernovas tienden a ser visibles únicamente a distancias relativamente próximas: no se han registrado nunca explosiones de éstas al otro lado de la galaxia, aunque no hay duda de que ocurrieron. La explosión que hizo la nebulosa del Cangrejo y la supernova de Tycho de 1572 ocurrieron en brazos espirales galácticos exteriores a la posición del Sol. La supernova de Kepler de 1604 ocurrió cerca del centro de la galaxia, pero fue visible desde la Tierra porque estaba encima del plano galáctico y relativamente libre de polvo oscurecedor. El diámetro de la galaxia es de unos 100 000 años luz. (Cedidos por Scientific American. De Historical Supernovas, por F. Richard Stephenson y David H. Clark. © 1976 de Scientific American, Inc. Todos los derechos reservados)

La Gran Nube de Magallanes, una galaxia satélite de la Vía Láctea, pequeña e irregular. Como en todas las galaxias también aquí hay explosiones de supernovas. Se captó un estallido sin precedentes de rayos X y rayos gammas provenientes de una pequeña región del cielo correspondiente al resto de supernova N49 en la Gran Nube de Magallanes el 5 de marzo de 1979, casualmente el día en que el Voyager 1 se encontró con el sistema de Júpiter. (Cedida por el observatorio de Yerkes, Universidad de Chicago.)

Fases posteriores de la evolución estelar. La atmósfera estelar luminosa de una binaria de contacto fluye de la estrella gigante roja (izquierda) al disco de acreción alrededor de una estrella pulsar de neutrones (derecha). El disco brilla en rayos X y otras radiaciones en el punto de contacto. (Pintura de Don Davis.)
Supongamos que llevamos un contador Geiger y un trozo de mineral de uranio a algún lugar situado en las profundidades de la Tierra: por ejemplo una mina de oro o un tubo de lava, o una caverna excavada a través de la Tierra por un río de roca fundida.
El sensible contador suena cuando está expuesto a rayos gamma o a partículas cargadas de alta energía como protones y núcleos de helio. Si lo acercamos al mineral de uranio, que está emitiendo núcleos de helio por una desintegración nuclear espontánea, el contaje, el número de chasquidos del contador por minuto, aumenta espectacularmente. Si metemos el mineral de uranio dentro de un bote pesado de plomo, el contaje disminuye sustancialmente; el plomo ha absorbido la radiación del uranio. Pero todavía pueden oírse algunos chasquidos. Una fracción del contaje restante procede de la radiactividad natural de las paredes de la caverna. Pero hay más chasquidos de lo que esta radiactividad explica. Algunos son causados por partículas cargadas de alta energía que entran por el tejado. Estamos escuchando los rayos cósmicos, producidos en otra era en las profundidades del espacio. Los rayos cósmicos, principalmente protones y electrones, han estado bombardeando la Tierra durante toda la historia de la vida en nuestro planeta. Una estrella se destruye a sí misma a miles de años luz de distancia y produce rayos cósmicos que viajan en espiral por la galaxia Vía Láctea durante millones de años hasta que por puro accidente algunos de ellos chocan con la Tierra y con nuestro material hereditario. Quizás algunos pasos clave en el desarrollo del código genético, o la explosión del Cámbrico, o la estación bípeda de nuestros antepasados, fueron iniciados por los rayos cósmicos.
El 4 de junio del año 1054, astrónomos chinos anotaron la presencia de lo que ellos llamaban estrella invitada en la constelación de Tauro, el Toro. Una estrella no vista nunca hasta entonces se hizo más brillante que cualquier otra estrella del cielo. A medio mundo de distancia, en el suroeste norteamericano, había entonces una cultura superior, rica en tradición astronómica, que también presenció esta nueva y brillante estrella. [63] La datación con el carbono 14 de los restos de un fuego de carbón nos permiten saber que a mediados del siglo once algunos anasazi, antecesores de los actuales hopi, vivían bajo una plataforma saliente en el actual Nuevo Méjico.

Influencia de la gravedad en la materia y la luz. Alicia, la Liebre de marzo, el Sombrerero chiflado y el Gato de Cheshire de Alicia en el País de las Maravillas de Lewis Carroll están tomando tranquilamente el té en condiciones normales de gravedad terrestre (a) iguales a 1 g. El rayo de luz de la linterna de la derecha no es desviado por la gravedad de la Tierra. Cuando nos acercamos a 0 g, el menor movimiento proyecta a nuestros amigos dando piruetas por el espacio (b, c); el té toma la forma de grandes gotas esféricas flotantes. Cuando volvemos a 1 g, Alicia y sus compañeros regresan a la Tierra y se produce una breve lluvia de té (d). A varios ges de gravedad, no pueden ni moverse (e, f), pero el rayo de luz no se ve afectado. Cuando alcanzamos los 100 000 ges todo el paisaje queda aplasta do y plano. A mil millones de ges, la gravedad desvía perceptiblemente la luz, y a varios miles de millones de ges, la luz vuelve a caer al suelo (g). En este momento la intensa gravedad ha convertido el País de las Maravillas en un agujero negro. (Dibujos inspirados en Tenniel por Brown.)
Esta estrella notable, a 5 000 años luz de distancia, se denomina actualmente la Supernova Cangrejo, porque a un astrónomo, siglos más tarde, le pareció ver, inexplicablemente, un cangrejo cuando observaba los restos de la explosión a través de su telescopio. La Nebulosa Cangrejo está formada por los restos de una estrella de gran masa que autoexplotó. La explosión se vio en la Tierra a simple vista durante tres meses. Era fácilmente visible a plena luz del día, y con su luz se podía leer de noche. Una supernova se da en una galaxia, como promedio, una vez por siglo. Durante la vida de una galaxia típica, unos diez mil millones de años, habrán explotado un centenar de millones de estrellas: un número grande, pero que en definitiva sólo afecta a una de cada mil estrellas. En la Vía Láctea, después del acontecimiento de 1054, hubo una supernova observada en 1572, y descrita por Tycho Brahe, y otra poco después en 1604 descrita por Johannes Kepler.[64] Por desgracia no se ha observado ninguna explosión de supernova en nuestra Galaxia después de la invención del telescopio, y los astrónomos han tenido que reprimir su impaciencia durante algunos siglos.
Las supernovas se observan actualmente de modo rutinario en otras galaxias. Entre mis candidatas para escoger la frase que asombraría más profundamente a un astrónomo de principios de siglo tengo la siguiente sacada de un artículo de David Helfand y Knox Long en el número del 5 de diciembre de 1979 de la revista británica Nature: El 5 de marzo de 1979, nueve naves espaciales interplanetarias de la red de sensores de estallidos registraron un estallido muy intenso de rayos X y rayos gamma y lo localizaron mediante determinaciones del tiempo de vuelo en una posición coincidente con el resto de supernova N49 de la Gran Nube de Magallanes. (La Gran Nube de Magallanes, llamada así porque el primer habitante del hemisferio Norte que se dio cuenta de ella fue Magallanes, es una pequeña galaxia satélite de la Vía Láctea, a 180 000 años luz de distancia. Como puede suponerse hay también una Pequeña Nube de Magallanes.)

La muerte de un sistema solar. Perspectivas esquemáticas de la pérdida de atmósferas planetarias y vaporización de mundos cuando el sol local se convierte en una supernova. Las ondas de choque que vemos propagarse más allá del sistema local comprimen el gas y el polvo interestelares, y provoca la formación de nuevos sistemas planetarios. (Pinturas de Adolf Schaller, Rick Sternbach y John Allison.)

El mando de una máquina mágica de gravedad con la que podríamos escoger la aceleración local debida a la gravedad. El valor normal en la superficie de la Tierra es 1 g. En el otro extremo del di al empezamos a aproximamos a las fuerzas gravitatorias que hacen estrellas de neutrones y agujeros negros.
El destino del sistema solar interior cuando el Sol se convierta en una gigante roja ya es bastante triste. Pero, por lo menos, los planetas no quedarán derretidos y arrugados por la acción de una supernova en erupción. Este destino está reservado a planetas situados cerca de estrellas de mayor masa que el Sol. Puesto que estas estrellas con temperaturas y presiones superiores gastan más rápidamente sus reservas de combustible nuclear, sus tiempos de vida son mucho más breves que el Sol.

Fotografía del cielo en rayos X, con la fuente brillante Cygnus X-1 (en el centro), probablemente un agujero negro. Imagen del Observatorio Astrofísico de Alta Energía 2, en órbita terrestre. (Cedida por Ricardo Giacconi y la NASA.)
La fase previa esencial para una explosión de supernova es la generación de un núcleo de hierro de gran masa por fusión de silicio. Los electrones libres del interior estelar, sometidos a una presión enorme, se ven obligados a fundirse con los protones de los núcleos de hierro cancelándose entonces las cargas eléctricas iguales y opuestas; el interior de la estrella se convierte en un único y gigantesco núcleo atómico que ocupa un volumen mucho menor que los electrones y núcleos de hierro que lo precedieron.

Representación esquemática de la distorsión de un espacio plano por un objeto de gran masa, que ayuda a entender la gravitación y los agujeros negros.
La terrible explosión de una supernova proyecta al espacio la mayor parte de la materia de la estrella precursora: un poco de hidrógeno residual y helio y cantidades importantes de otros átomos, carbono y silicio, hierro y aluminio. Queda un núcleo de neutrones calientes, sujetos entre sí por fuerzas nucleares, formando un único núcleo atómico de gran masa con un peso atómico aproximado de 1056, es decir un sol de unos treinta kilómetros de diámetro; un fragmento estelar diminuto, encogido, denso y marchito, una estrella de neutrones en rotación rápida.

Bajorrelieve con estrellas de cinco puntas de las ruinas de un templo faraónico en Dendera, Egipto. (Foto de Ann Druyan.)

Motivos del Sol y las estrellas en las tumbas reales del Valle de los Reyes en la orilla occidental del Nilo, cerca de Luxor, Egipto. Arriba: Los rayos del Sol caen a través del espacio sobre lo que parece ser una representación de la Tierra esférica. En medio: El escarabajo, cuyo ciclo vital representaba para los antiguos egipcios una metáfora de los procesos cíclicos de la naturaleza, en especial el retorno diario del Sol. Abajo: Los dioses de las estrellas, que en algunas tumbas están alineados por centenares. (Fotografías del autor.)
La materia de una estrella de neutrones pesa, si tomamos de ella una cucharadita de té, más o menos lo mismo que una montaña corriente: pesa tanto que si sujetáramos un trozo de esta materia y luego lo soltáramos (no nos quedaría otra alternativa), podría pasar sin esfuerzo a través de la Tierra como hace una piedra que cae por el aire, se abriría por sí solo un agujero a través de nuestro planeta y emergería por el otro lado de la Tierra. Los habitantes de aquel lado, que estarían dando un paseo u ocupándose de sus cosas, verían salir disparado del suelo un pequeño fragmento de estrella de neutrones que se pararía a una cierta altura y volvería de nuevo al fondo de la Tierra, ofreciendo así, por lo menos, algo de diversión a su rutina diaria. Si cayera del espacio cercano un trozo de materia de estrella de neutrones y la Tierra estuviera girando debajo de él penetraría repetidamente a través de ella y perforaría centenares de miles de agujeros en su cuerpo en rotación antes de que detuviera su movimiento la fricción con el interior de nuestro planeta. Antes de pararse definitivamente en el centro de la Tierra, el interior de nuestro planeta presentaría brevemente el aspecto de un queso suizo, hasta que el flujo subterráneo de roca y de metal curase las heridas. No importa que se desconozcan en la Tierra fragmentos grandes de materia de estrellas de neutrones, porque los fragmentos más pequeños están en todas partes. El poder asombroso de la estrella de neutrones nos acecha en el núcleo de cada átomo, oculto en cada cucharilla de té y en cada lirón, en cada hálito del aire, en cada tarta de manzana. La estrella de neutrones nos infunde respeto hacia las cosas corrientes.
Una estrella como el Sol finalizará sus días como una gigante roja y luego como una enana blanca, tal como hemos visto. Una estrella en proceso de colapso con masa doble a la del Sol se convertirá en una supernova y luego en una estrella de neutrones. Pero una estrella de masa superior, que después de pasar por la fase de supernova quede con la masa, por ejemplo de cinco soles, tiene ante sí un destino todavía más notable: su gravedad la convertirá en un agujero negro. Supongamos que dispusiéramos de una máquina mágica de gravedad: un aparato que nos permitiera controlar la gravedad de la Tierra, girando por ejemplo una aguja. Al principio la aguja está en 1 g[65] y todo se comporta como estamos acostumbrados a ver.
Los animales y las plantas de la Tierra y las estructuras de nuestros edificios han evolucionado o se han diseñado para 1 g. Si la gravedad fuera mucho menor podría haber formas altas y delgadas que no caerían ni quedarían aplastadas por su propio peso. Si la gravedad fuese muy superior, las plantas, los animales y la arquitectura tendrían que ser bajos y rechonchos para no sufrir el colapso gravita- torio. Pero incluso en un campo de gravedad de bastante intensidad la luz se desplazaría en línea recta, como hace desde luego en la vida corriente.
Consideremos un posible grupo típico de seres terrestres. Cuando disminuimos la gravedad, las cosas pesan menos. Cerca de 0 g el movimiento más ligero proyecta a nuestros amigos por los aires flotando y dando tumbos. El té vertido fuera de la taza, o cualquier otro líquido, forma glóbulos esféricos palpitantes en el aire: la tensión superficial del líquido supera a la gravedad. Hay por todas partes bolas de té. Si marcamos de nuevo en el aparato 1 g provocamos una lluvia de té. Cuando aumentamos algo la gravedad, de 1 g a 3 o 4 g, por ejemplo, todos quedan inmovilizados: se requiere un esfuerzo enorme incluso para mover una pierna. Sacamos por compasión a nuestros amigos del dominio de la máquina de la gravedad antes de poner la aguja en gravedades más altas todavía. El haz de luz de una linterna sigue una línea perfectamente recta (según la precisión de nuestras observaciones) cuando la gravedad es de unos cuantos g, al igual que a 0 g. A 1 000 g el haz es todavía recto, pero los árboles han quedado aplastados y aplanados; a 100 000 g las rocas se aplastan por su propio peso. Al final no queda ningún superviviente excepto el gato de Cheshire, por una dispensa especial. Cuando la gravedad se acerca a mil millones de g sucede algo todavía más extraño. El haz de luz que hasta ahora subía directo hacia el cielo empieza a curvarse. Incluso la luz queda afectada por intensas aceleraciones gravitatorias. Si aumentamos todavía más la gravedad, la luz no puede levantarse y cae al suelo cerca de nosotros. Ahora el gato cósmico de Cheshire ha desaparecido, sólo queda su sonrisa gravitatoria.
Cuando la gravedad es lo bastante elevada no deja escapar nada, ni siquiera la luz. Un lugar así recibe el nombre de agujero negro. Es una especie de gato cósmico de Cheshire enigmáticamente indiferente a lo que le rodea. Cuando la densidad y la gravedad alcanzan un valor suficientemente elevado el agujero negro parpadea y desaparece de nuestro universo. Por esto se llama agujero negro: no puede escapar luz alguna de él. Es posible que en su interior, con tanta luz atrapada, las cosas presenten una atractiva iluminación. Aunque un agujero negro sea invisible desde el exterior, su presencia gravitatoria puede ser palpable. Si no vamos con cuidado, en un viaje interestelar podemos ser arrastrados de modo irrevocable y nuestros cuerpos quedar estirados desagradablemente formando un hilo largo y delgado. Pero la materia que se iría con centrando en forma de disco alrededor del agujero negro nos ofrecería un espectáculo digno de recordar, en el caso improbable de que sobreviviéramos a la excursión.
Las reacciones termonucleares en el interior solar sostienen las capas exteriores del Sol y aplazan durante miles de millones de años un colapso gravitatorio catastrófico. En el caso de las enanas blancas la presión de los electrones arrancados de sus núcleos sostiene la estrella. En el caso de las estrellas de neutrones la presión de los neutrones compensa la gravedad. Pero en el caso de una estrella anciana que ha sobrevivido a las explosiones de supernova y a otras impetuosidades y cuya masa es varias veces superior a la del Sol, no hay fuerzas conocidas que puedan impedir el colapso. La estrella se encoge increíblemente, gira, enrojece y desaparece. Una estrella con una masa veinte veces superior a la del Sol se encogerá hasta tener el tamaño del Gran Los Ángeles; la aplastante gravedad llega a ser de 1010 g, y la estrella se desliza por una fisura que ella misma ha creado en el continuo del espacio tiempo y desaparece de nuestro universo.
Los agujeros negros fueron imaginados por primera vez por el astrónomo inglés John Michell en 1783. Pero la idea parecía tan extravagante que se ignoró de modo general hasta hace muy poco, cuando ante el asombro de muchos, incluyendo a muchos astrónomos, se descubrieron pruebas concretas de la existencia de agujeros negros en el espacio. La atmósfera de la Tierra es opaca a los rayos X. Para poder determinar si los objetos astronómicos emiten luz de una longitud de onda tan corta hay que transportar el telescopio de rayos X sobre la atmósfera.

La galaxia Vía Láctea amaneciendo sobre un océano de otro mundo, a gran altura sobre el plano galáctico. (Pintura de Adolf Schaller.)
Un buen sistema para comprender los agujeros negros es pensar en la curvatura del espacio. Consideremos una superficie bidimensional plana, flexible y con líneas, como un trozo de papel de grafo hecho de caucho. Si soltamos encima una pequeña masa, la superficie se deforma formando un hoyo. Una canica gira alrededor del hoyo en una órbita semejante a la de un planeta alrededor del Sol. En esta interpretación, que debemos a Einstein, la gravedad es una distorsión en el tejido del espacio. Vemos en nuestro ejemplo que un espacio bidimensional ha quedado deformado por una masa dando una tercera dimensión física. Imaginemos que vivimos en un universo tridimensional deformado localmente por materia que lo convierte en una cuarta dimensión física que no podemos percibir directamente. Cuanto mayor sea la masa local, más intensa será la gravedad local y más hondo el hoyo, la distorsión o deformación del espacio. El agujero negro es en esta analogía una especie de pozo sin fondo. ¿Qué le sucede a una persona que cae en él? Vista desde el exterior se necesitaría una cantidad infinita de tiempo para caer dentro, porque todos los relojes de esta persona mecánicos y biológicos se percibirían como relojes parados. Pero desde el punto de vista de esta persona, todos los relojes continuarían funcionando normalmente. Si pudiese sobrevivir a las mareas gravitatorias y al flujo de radiación, y si el agujero negro estuviera en rotación (una hipótesis probable) es muy posible que esta persona pudiera emerger en otra parte del espacio tiempo: en algún otro lugar del espacio y en algún otro momento del tiempo. Se ha sugerido seriamente la existencia de estas galerías en el espacio, como las que hace un gusano en una manzana, aunque no se ha demostrado en absoluto que existan. ¿Es posible que los túneles de gravedad proporcionen una especie de metro interestelar o intergaláctico que nos permita desplazamos a lugares inaccesibles mucho más rápidamente que del modo normal? ¿Pueden servir de máquinas del tiempo estos agujeros negros, transportándonos al pasado remoto o al futuro distante? El hecho de estar discutiendo estas ideas aunque sea de modo semiserio demuestra lo surrealista que puede ser el mundo.
Somos hijos del Cosmos en el sentido más profundo de la palabra. Pensemos en el calor del Sol que sentimos sobre el rostro en un día despejado de verano; pensemos en lo peligroso que es mirar directamente al Sol: reconocemos su poder desde 150 millones de Kilómetros de distancia. ¿Qué sentiríamos en su abrasadora superficie autoluminosa, o sumergidos en el corazón de sus fuegos nucleares? El Sol nos calienta y nos alimenta y nos permite ver. Fecundó la Tierra. Tiene un poder que supera la experiencia humana. Los pájaros saludan la salida del Sol con un éxtasis audible. Incluso algunos organismos unicelulares saben la manera de nadar hacia la luz. Nuestros antepasados adoraron el Sol [66], y no eran tontos, ni mucho menos. Y sin embargo el Sol es una estrella ordinaria, incluso mediocre. Si tenemos que adorar a un poder superior a nosotros, ¿no tiene sentido reverenciar el Sol y las estrellas? Oculto dentro de toda investigación astronómico, a veces enterrado tan profundamente que el mismo investigador no se da cuenta de su presencia, hay siempre una especie de temor reverenciar.
La Galaxia es un continente inexplorado lleno de seres exóticos de dimensiones estelares. Hemos llevado a cabo un reconocimiento preliminar y hemos encontrado a algunos de sus habitantes. Unos cuantos se parecen a seres que ya conocemos. Otros son de una rareza que supera nuestras más desenfrenadas fantasías. Pero nuestra exploración apenas ha empezado. Los antiguos viajes de exploración sugieren que muchos de los habitantes más interesantes del continente galáctico continúan siendo por ahora desconocidos e imposibles de imaginar. No muy lejos de la Galaxia hay, de modo casi seguro, planetas situados en órbita alrededor de estrellas de las Nubes de Magallanes y de los cúmulos globulares que rodean la Vía Láctea. Estos mundos proporcionarían un panorama imponente de la Galaxia amaneciendo: una forma enorme en espiral con 400 000 millones de habitantes estelares, con nubes de gas en proceso de colapso, con sistemas planetarios condensándose, con supergigantes luminosas, con estrellas estables de media edad, con gigantes rojas, con enanas blancas, nebulosas planetarias, novas, supernovas, estrellas de neutrones y agujeros negros. Desde este mundo quedaría bien claro, como ya empieza a serlo para nosotros, que nuestra materia, nuestra forma y gran parte de nuestro carácter está determinado por la profunda relación existente entre la vida y el Cosmos.
Capítulo 10
El filo de la eternidad
Hay una cosa formada confusamente,Hace diez mil o veinte mil millones de años, sucedió algo, la Gran Explosión (big bang), el acontecimiento que inició nuestro universo.
Nacida antes que el Cielo y la Tierra.
Silenciosa y vacía
Está sola y no cambia,
gira y no se cansa.
Es capaz de ser la madre del mundo.
No conozco su nombre
y por lo tanto le llamo El camino.
Le doy el nombre improvisado de Lo Grande.
Siendo grande se le puede describir también como retrocediendo,
si retrocede se le puede describir como remoto
si es remoto se le puede describir retornando.
Lao Tse, Tao Te-ching; China, hacia el 600 a. de. C
Hay un camino en lo alto, visible en los cielos transparentes, llamado la Vía Láctea, que resplandece con brillo propio. Los dioses van por ella a la morada del gran Tonante y su residencia real... Allí los famosos y poderosos habitantes del cielo han sentado sus reales. Ésta es la región que podría atreverme a llamar la [Vía] palatina del Gran Cielo.
Ovidio, Metamorfosis; Roma, siglo primero
Algunos necios declaran que un Creador hizo el mundo. La doctrina de que el mundo fue creado es equivocada y hay que rechazarla.
Si Dios creó el mundo, ¿dónde estaba Él antes de la creación?... ¿Cómo pudo haber hecho Dios el mundo sin materiales? Si dices que los hizo primero y luego hizo el mundo te enfrentas con una regresión infinita...
Has de saber que el mundo es increado, como el mismo tiempo, sin principio ni fin. Y que se basa en los principios...
Mahapurana (La Gran Leyenda), Jinasena, India, siglo noveno

La Danza de la Creación. El dios hindú Shiva en su manifestación como Señor de la Danza, baila la Danza de la Creación. La aureola de fuego (el prabhamandala) de este bronce Chola del siglo décimo representa el ritmo del universo y emana de un pedestal de loto, símbolo hindú de la iluminación. Shiva danza sobre la forma postrada del apasma-rapurusa, símbolo de la ignorancia humana. La mano derecha posterior lleva el damaru, un pequeño tambor que simboliza la creación. La mano izquierda posterior tiene el agni, el fuego de la destrucción. La mano izquierda anterior está en la posición gajahasta ("tronco de elefante"). La mano derecha anterior se sostiene en el gesto abhaya-mundra (literalmente, "no te asustes"). (Cedida por el museo Norton Simon, Pasadena, California. El bronce se devolverá a la India.)

La gran galaxia de Andrómeda, M31, es el objeto más distante del Cosmos visible desde la Tierra a simple vista. Tiene por lo menos siete brazos en espiral y se parece a nuestra propia Vía Láctea. Forma parte del Grupo Local de galaxias, y está a unos 2.3 millones de años luz de distancia. Alrededor de M31 orbitan dos galaxias elípticas enanas, NGC 205 y encima mismo de la espiral, M32. (Cedida por los observatorios Hale.)

La galaxia Remolino, M51 (objeto número 51 del catálogo de Charles Messier), llamada también NGC 5194. William Parsons, tercer barón de Rosse, descubrió en 1845 la estructura espiral de esta "nebulosa", la primera galaxia cuya estructura fue observada. Está a trece millones de años luz de distancia, y la está distorsionando gravitatoriamente su pequeño e irregular compañero galáctico, NGC 5195 (abajo). (Cedida por los Observatorios Hale.)
El primitivo universo estaba lleno de radiación y de un plénum de materia, al principio hidrógeno y helio, formado a partir de las partículas elementales en la densa bola de fuego primigenio. Había muy poco que ver, suponiendo que hubiese alguien para contemplarlo. Luego empezaron a crecer pequeñas bolsas de gas, pequeñas inuniformidades. se formaron zarcillos de vastas y sutiles nubes de gas, colonias de cosas grandes que se movían pesadamente, girando lentamente, haciéndose cada vez más brillantes, cada cual como una especie de bestia que al final contendría cien mil millones de puntos brillantes se habían formado las estructuras reconocibles mayores del universo. Las estamos viendo hoy. Nosotros mismos habitamos algún rincón perdido de una de ellas. Las llamamos galaxias.
Unos mil millones de años después del big bang, la distribución de materia en el universo se había hecho algo grumosa, quizás porque el mismo big bang no había sido perfectamente uniforme. La materia estaba empaquetada más densamente en estos grumos que en otras partes. Su gravedad atraía hacia ellos cantidades sustanciales del cercano gas, nubes en crecimiento de hidrógeno y de helio que estaban destinadas a convertirse en cúmulos de galaxias. Una inuniformidad inicial muy pequeña basta para producir condensaciones sustanciales mucho después.
A medida que el colapso gravitatorio continuaba, las galaxias primordiales empezaron a girar cada vez más rápido, debido a la conservación del momento angular. Algunas se aplanaron, aplastándose a lo largo del eje de rotación donde la gravedad no queda compensada por la fuerza centrífuga. Se convirtieron así en las primeras galaxias espirales, grandes ruedas de materia girando en el espacio abierto. Otras protogalaxias con gravedad más débil o con menor rotación inicial se aplanaron muy poco y se convirtieron en las primeras galaxias elípticas. Hay galaxias similares, como salidas del mismo molde por todo el Cosmos, debido a que estas simples leyes de la naturaleza la gravedad y la conservación del momento angular son iguales en todo el universo. La física que actúa en la caída de los cuerpos y en las piruetas de los patinadores sobre hielo, aquí en el macrocosmos de la Tierra, hace galaxias allá arriba, en el macrocosmos del universo.

La galaxia Sombrero, M104 (llamada también NGC 4594). Los brazos en espiral, marcados por pistas de polvo, están estrechamente arrollados alrededor de su núcleo de estrellas. Está a unos 40 millones de años luz de distancia, más allá de las estrellas de la constelación de Virgo, y puede contener un billón de soles. Nuestra galaxia espiral, Vía Láctea, vista de canto desde una distancia comparable, tendría el aspecto de M104 (Cedida por los observatorios Hale.)
Las explosiones de supernova de las primitivas estrellas de gran masa produjeron ondas de choque sucesivas y sobrepuestas en el gas adyacente, comprimiendo el medio intergaláctico y acelerando la generación de cúmulos de galaxias. La gravedad es oportunista y amplifica incluso pequeñas condensaciones de materia.

NGC 147, una galaxia elíptica pequeña acompaña a M31. Contiene quizás mil millones de soles. Desde los planetas de algunas de estas estrellas se tiene una maravillosa visión de M31. (Cedida por los observatorios Hale.)
Los cúmulos de galaxias llenan hoy en día el universo. Algunos son colecciones insignificantes y modestas de unas cuantas docenas de galaxias. El llamado cariñosamente grupo local contiene sólo dos grandes galaxias de un cierto tamaño: la Vía Láctea y M31. Otros cúmulos contienen hordas inmensas de miles de galaxias en mutuo abrazo gravitatorio. Algunos indicios dan para el cúmulo de Virgo decenas de miles de galaxias.
A la escala mayor habitamos un universo de galaxias, quizás un centenar de miles de millones de ejemplos exquisitos de arquitectura y de decadencia cósmicas, que manifiestan tanto el orden como el desorden: espirales normales, encaradas formando diversos ángulos con nuestra visual terrestre (si están de cara vemos los brazos en espiral, si están de canto la faja central de gas y de polvo donde se forman los brazos); espirales barradas con un río de gas y de polvo y de estrellas atravesando su centro; galaxias elípticas gigantes, majestuosas, que contienen más de un billón de estrellas y que han crecido tanto porque se han tragado y se han fundido con otras galaxias; toda una plétora de elípticas enanas, las miniaturas galácticas, cada una de las cuales contiene unos miserables millones de soles; una variedad inmensa de misteriosas irregulares, que de muestran que en el mundo de las galaxias hay lugares en los que desgraciadamente algo ha ido mal; y galaxias que orbitan una alrededor de otra, tan próximas que sus bordes se curvan por la gravedad de sus compañeras y en algunos casos saltan gravitatoria- mente estelas de gas y de estrellas que forman un puente entre las galaxias.

Una galaxia espiral vista de canto. NGC 891 tiene un núcleo mucho menos prominente que M 104 (p. 247), y en comparación con ella pistas de polvo mucho menos prominentes en los brazos en espiral. Las estrellas de su alrededor están en el primer plano, dentro de nuestra galaxia. (Cedida por los observatorios Hale.)

M81, otra galaxia espiral cercana como la Vía Láctea; está a siete millones de años luz de distancia y no forma parte del Grupo Local. No vemos esta galaxia ni de canto ni de cara sino en un ángulo oblicuo. Las galaxias están orientadas al azar con respecto a nuestra visual. (Cedida por los observatorios Bale.)
El desarrollo de las computadoras rápidas ha permitido llevar a cabo experimentos numéricos sobre el movimiento colectivo de miles o de decenas de miles de puntos, cada uno de los cuales representa una estrella y está sometido a la influencia gravitatoria de todos los demás puntos. En algunos casos se forman por si mismos brazos en espiral en una galaxia que ha quedado ya aplanada en forma de disco. A veces se puede producir un brazo en espiral por el encuentro gravitatorio de dos galaxias, cada una compuesta desde luego por miles de millones de estrellas. El gas y el polvo esparcidos de modo difuso a través de estas galaxias entrarán en colisión y se calentará.

NGC 1300, una espiral barrada. Un tercio aproximadamente de las galaxias en espiral tienen una "barra" visible de gas, polvo y estrellas, que es una extensión del núcleo de los brazos en espiral. Parece ser que la barra gira como un cuerpo sólido, al igual que el núcleo. Todas las espirales conocidas giran dejando atrás los brazos, y no al revés.

NGC 7217 en la constelación de Pegaso. Los brazos en espiral están estrechamente enrollados alrededor del núcleo galáctico. Desde una distancia mucho mayor esta galaxia podría parecer un punto de luz semejante a una estrella. Las galaxias muy distantes no son fácilmente reconocibles por su forma. (Cedida por los observatorios Hale.)
La frecuencia de suicidios entre las galaxias es alta. Algunos ejemplos próximos a decenas o centenares de años luz de distancia son fuentes potentes de rayos X, de radiación infrarrojo y de ondas de radio; tienen núcleos muy luminosos y su brillo fluctúa en escalas temporales de semanas.

Dos representaciones esquemáticas de quásares en el centro de galaxias de gran masa. Arriba, un disco de gas y polvo en acreción rodea un agujero negro invisible que está girando. A lo largo de los chorros se proyecta material a una velocidad cercana a la de la luz. Abajo, una masa en condensación de miles de millones de soles aumenta su rotación y refuerza su campo magnético. (Pinturas de Adolf Schaller.)

La galaxia de mayor masa conocida, M87 es una galaxia elíptica gigante cerca del centro del gran cúmulo de galaxias en Virgo, a unos 40 millones de años luz de distancia. Apenas hay gas y polvo en las regiones centrales, porque todo se ha convertido en estrellas o se ha disipado en el espacio. Este objeto de aspecto inofensivo es la tercera fuente más brillante de ondas de radio del cielo, después del Sol y la Luna, y una de las fuentes más brillantes de rayos X. Las estimaciones de su masa van de billones de soles a un centenar de billones. El núcleo está proyectando un chorro de gas de 100 000 años luz de longitud; este núcleo puede contener un agujero negro de gran masa. M87 está rodeada por miles de cúmulos estelares globulares, algunos de los cuales pueden verse en la fotografía. (Cedida por los observatorios Hale.)
La palabra “quásar” es un acrónimo de “quasi stellar radio source”, fuente de radio cuasi-estelar. Cuando se descubrió que no todos eran potentes fuentes de radio, se les denominó QSO (objetos cuasi- estelares). Su apariencia es estelar y se pensó de modo natural que eran estrellas situadas dentro de nuestra galaxia. Pero las observaciones espectroscópicas de su desplazamiento hacia el rojo (ver más adelante) demuestran que es probable que estén a distancias inmensas de nosotros. Parece que participan vigorosamente en la expansión del universo, y que algunos retroceden con respecto a nosotros a más del 90% de la velocidad de la luz. Si están muy alejadas, han de ser intrínsecamente muy brillantes para que puedan ser visibles a tales distancias; algunas son tan brillantes como mil supernovas explotando a la vez. Como sucede con Cyg X-1, sus rápidas fluctuaciones demuestran que su enorme brillo está confinado a un volumen muy pequeño, en este caso inferior al tamaño del sistema solar. Ha de haber procesos notables causantes de las vastas cantidades de energía que emite un quásar. Entre las explicaciones propuestas están:
- los quásar son versiones monstruo de los pulsar, con un núcleo de masa enorme en rotación muy rápida asociado a un fuerte campo magnético;
- los quásar se deben a colisiones múltiples de millones de estrellas densamente empaquetadas en el núcleo galáctico, explosiones que arrancan las capas exteriores y exponen a plena vista las temperaturas de mil millones de grados del interior de las estrellas de gran masa;
- idea relacionada con la anterior, los quásar son galaxias en las que las estrellas están empaquetadas tan densamente que una explosión de supernova en una estrella arranca las capas exteriores de otra y la convierte también en supernova produciendo una reacción estelar en cadena;
- los quásar reciben su energía de la aniquilación mutua y violenta de materia y de antimateria que de algún modo se ha conservado en el quásar hasta el presente;
- un quásar es la energía liberada cuando gas, polvo y estrellas caen en un inmenso agujero negro en el núcleo de estas galaxias, agujero que quizás es a su vez el resultado de eras de colisión y coalescencia de agujeros negros más pequeños; y
- los quásar son agujeros blancos, la otra cara de los agujeros negros, la caída en embudo y eventual emergencia ante nuestros ojos de la materia que se pierde en una multitud de agujeros negros de otras partes del universo, o incluso de otros universos.
Al considerar los quásar nos enfrentamos con profundos misterios. Sea cual fuere la causa de una explosión de quásar, algo parece claro: un acontecimiento tan violento ha de provocar estragos increíbles. En cada explosión de quásar pueden quedar totalmente destruidos millones de mundos, algunos con vida y con inteligencia para comprender lo que está sucediendo. El estudio de las galaxias revela un orden y una belleza universales. También nos muestra una violencia caótica a una escala hasta ahora insospechada. Es notable que vivamos en un universo que permite la vida. También es notable que vivamos en un universo que destruye galaxias, estrellas y mundos. El universo no parece ni benigno ni hostil, simplemente indiferente a las preocupaciones de seres tan insignificantes como nosotros.
Incluso una galaxia tan bien educada como la Vía Láctea tiene sus estremecimientos y sus contorsiones. Las observaciones de radio muestran dos nubes enormes de gas hidrógeno, suficientes para hacer miles de soles, que salen disparadas del núcleo galáctico, como si allí tuviera lugar de vez en cuando una explosión suave. Un observatorio astronómico de alta energía en órbita terrestre ha descubierto que el núcleo galáctico es una fuente intensa de una línea espectral particular de rayos gamma, lo cual concuerda con la idea de que allí hay oculto un agujero negro de gran masa. Las galaxias como la Vía Láctea pueden representar una media edad estable en una secuencia evolutiva continua, que incluye en su adolescencia violenta a quásar y galaxias en explosión: los quásar están tan distantes que los vemos en plena juventud, tal como eran hace miles de millones de años.

Centauro A (NGC 5128) constituye quizás la colisión de una galaxia elíptica gigante y de una galaxia espiral cuyos brazos destrozados estamos viendo de canto. Actualmente se suele considerar más bien como una elíptica gigante, con un escaso complemento de gas y de polvo, y completamente rodeada por un disco de gas y de polvo, y quizás algunas estrellas. Es una fuente intensa de ondas de radio, que surgen de dos grandes lóbulos orientados en ángulo recto con el disco de polvo; también rayos X y rayos gamma. Las rápidas fluctuaciones en la emisión de rayos X pueden deberse a que un agujero negro gigante oculto en su centro se está engullendo cúmulos enteros de estrellas. Centauro A está a 14 millones de años luz de distancia; sus lóbulos de radio tienen una longitud de 3 millones de años luz. (Cedida por los observatorios Hale.)
La velocidad de una estrella dada alrededor del centro de la Galaxia no suele ser la misma que la de una forma espiral. El Sol ha entrado y ha salido con frecuencia de los brazos en espiral durante las veinte vueltas que ha dado a la Vía Láctea a 200 kilómetros por segundo. El Sol y los planetas pasan en promedio cuarenta millones de años en un brazo en espiral, ochenta millones fuera, otros cuarenta dentro, etc.
Los brazos en espiral marcan la región donde se está formando la última cosecha de estrellas acabadas de incubar, pero no necesariamente la región donde resulta que hay estrellas de media edad como el Sol. En esta época nosotros vivimos entre brazos en espiral.

El efecto Doppler. Una fuente estacionaria de sonido o de luz emite un conjunto de ondas esféricas. Si la fuente está moviéndose de derecha a izquierda, emite ondas esféricas que se van centrando progresivamente en los puntos indicados del 1 al 6. Pero un observador situado en B ve las ondas estiradas, mientras que un observador en A las ve apretadas. Una fuente que se aleja se ve desplazada hacia el rojo (las longitudes de onda resultan más largas) y una fuente que se acerca se ve desplazada hacia el azul (las longitudes de onda resultan más cortas). El efecto Doppler es la clave de la cosmología.
El descubrimiento del big bang y de la recesión de las galaxias se basó en un tópico de la naturaleza llamado el efecto Doppler. Estamos acostumbrados a notario en la física del sonido. Un conductor de automóvil toca la bocina cuando pasa por nuestro lado. Dentro del coche el conductor oye un sonido constante de tono fijo. Pero fuera del coche nosotros oímos un cambio característico del tono. El sonido de la bocina pasa para nosotros de las frecuencias altas a la bajas. Un coche de carreras a 200 kilómetros por hora va casi a una quinta parte de la velocidad del sonido. El sonido es una sucesión de ondas en el aire, una cresta y un valle, una cresta y un valle. Cuanto más juntas están las ondas, más alta es la frecuencia o tono; cuanto más separadas están las ondas, más grave el tono. Si el coche se aleja a gran velocidad de nosotros, estira las ondas de sonido, desplazándolas desde nuestro punto de vista a un tono más grave y produciendo el sonido característico que todos conocemos. Si el coche viniera hacia nosotros las ondas sonoras se apretarían, la frecuencia aumentaría, y sentiríamos un gemido agudo. Si supiéramos el tono normal de la bocina cuando el coche está en reposo podríamos deducir a ciegas su velocidad, a partir del cambio de tono.
La luz es también una onda. Al contrario del sonido se desplaza perfectamente bien en el vacío. El efecto Doppler actúa también aquí. Si por algún motivo el automóvil en lugar de sonido emitiera por delante y por detrás un haz de luz amarilla pura, la frecuencia de la luz aumentaría ligeramente al acercarse el coche y disminuiría ligeramente al alejarse. El efecto semi imperceptible a velocidades ordinarias. Sin embargo si el coche corriera a una fracción considerable de la velocidad de la luz, podríamos observar que el color de la luz cambia hacia a una frecuencia superior, es decir hacia el azul cuando el coche se nos acerca, y hacia frecuencias inferiores, es decir hacia el rojo, cuando el coche se aleja.

Galaxias en colisión a unos 50 millones de años luz de distancia. NGC 4038 y NGC 4039 son probablemente galaxias que fueron normales y que ahora están emergiendo de un encuentro gravitatorio. Es evidente que sus interiores han quedado desorganizados. Cuando estas galaxias se fotografían con exposiciones más largas, los detalles interiores desaparecen y destacan zarcillos de luz largos y curvados apenas visibles en esta imagen. Los zarcillos están compuestos por mil millones de estrellas esparcidas por el espacio intergaláctico y explican el nombre dado a estos dos objetos: "Las antenas". Esta colisión duró desde el principio al final más de cien millones de años. (Cedida por los observatorios Hale.)

NGC2623, otro ejemplo de galaxias en colisión con vastas estelas de estrellas esparcidas por el espacio intergaláctico. (Cedida por los observatorios Hale.)

El Quinteto de Stephan. Un grupo de cinco galaxias que parecen estar en interacción descubierto en 1877, el año en que Schiaparelli "descubrió" canales en Marte, y que plantean un enigma algo semejante. Se cree que cuatro de ellas están a unos 250 millones de años luz de distancia. Tienen velocidades de recesión idénticas (6000 kilómetros por segundo), según se deduce del desplazamiento al rojo de sus líneas espectrales, excepto NGC 7320, debajo a la izquierda ( que tiene una velocidad Doppler de 800 kilómetros por segundo). Si NGC 7320 está realmente conectada por un puente de estrellas con las demás galaxias, el argumento de observación en favor de un universo en expansión pasaría algunos apuros. Pero datos recientes independientes sugieren que NGC 7320 está realmente mucho más cerca de nosotros y que la conexión con las demás galaxias es aparente. (© Association of Universities for Research in Astronomy, Inc., observatorio de Kilt Peak.)

Cúmulo de galaxias llamado a veces Sexteto de Seyfert. Todos los miembros tienen aquí el mismo desplazamiento al rojo, excepto la galaxia que parece una espiral de cara, la cual tiene un desplazamiento al rojo cuatro veces superior a las demás. El Quinteto de Stephan y el Sexteto de Seyfert son quizás las regiones más grandes del Cosmos bautizadas por personas con nombres de personas. (Cedida por los observatorios Hale.)
Después de la primera guerra mundial llegó a Monte Wilson Edwin Hubble, que pronto iba a ser famoso: una persona brillante, refinada, sociable fuera de la comunidad astronómico, con un acento inglés adquirido en su único año con la beca Rhodes en Oxford. Fue Hubble quien proporcionó la demostración definitiva de que las nebulosas espirales eran en realidad .l universos islas, agregados distantes de cantidades enormes de estrellas, como nuestra propia galaxia Vía Láctea; había descubierto la candela estelar estándar necesaria para medir las distancias a las galaxias. Hubble y Humason se llevaron espléndidamente, formando una pareja, quizás impredecible, que trabajaba conjuntamente y de modo armonioso en el telescopio. Siguieron una indicación del astrónomo V. M. Slipher del observatorio Lowell, y empezaron a medir los espectros de galaxias distantes. Pronto quedó claro que Humason era más capaz de obtener espectros de alta cualidad de galaxias distantes que cualquier astrónomo profesional del mundo. Se convirtió en miembro de plantilla del observatorio Monte Wilson, aprendió muchos de los elementos científicos básicos de su obra y murió acompañado por el respeto de la comunidad astronómico.
La luz de una galaxia es la suma de la luz emitida por los miles de millones de estrellas que contiene. Cuando la luz abandona estas estrellas algunas frecuencias o colores son absorbidas por los átomos de las capas más exteriores de las estrellas. Las líneas resultantes permiten afirmar que unas estrellas situadas a millones de años luz de nosotros contienen los mismos elementos químicos que nuestro Sol y que las estrellas cercanas. Humason y Hubble descubrieron asombrados que los espectros de todas las galaxias distantes estaban desplazados hacia el rojo y, algo más asombroso todavía, que cuanto más distaba una galaxia, más desplazadas hacia el rojo estaban sus líneas espectrales.
La explicación más obvia del desplazamiento hacia el rojo se basaba en el efecto Doppler: las galaxias se estaban alejando de nosotros; cuanto más distante estaba la galaxia mayor era la velocidad de recesión. Pero, ¿por qué tenían que estar huyendo de nosotros las galaxias? ¿Era posible que nuestra situación en el universo tuviera algo especial, como si la Vía Láctea hubiese llevado a cabo, por inadvertencia, algún acto ofensivo en la vida social de las galaxias? Lo más probable era que el universo mismo se estuviera expandiendo y arrastrando a las galaxias consigo. Cada vez estaba más claro que Humason y Hubble habían descubierto el big bang: si no el origen del universo por lo menos su encarnación más reciente.
Casi toda la cosmología moderna y especialmente la idea de un universo en expansión y de un big bang se basa en la idea de que el desplazamiento hacia el rojo de las galaxias lejanas es un efecto Doppler y se debe a su velocidad de recesión. Pero hay otros tipos de desplazamientos hacia el rojo en la naturaleza.

Una porción del Cúmulo de galaxias de Hércules, con unos 300 miembros conocidos, que se aleja de nuestra región del Cosmos a unos 10 000 kilómetros por segundo. En esta fotografía hay más galaxias (distantes más de 300 millones de años luz) que estrellas en primer término, pertenecientes a nuestra galaxia Vía Láctea. Si el Cúmulo de Hércules no está volando en pedazos es preciso que contenga cinco veces más masa de la que vemos en sus galaxias para mantenerla pegada gravitatoriamente. Si este "defecto de masa" fuera un elemento corriente del espacio intergaláctico, sería una contribución importante para cerrar el universo. (Cedida por los observatorios Hale.)
Nosotros suponemos que puede haber agujeros negros de gran masa en los centros de algunas galaxias, y por lo tanto, esta es una explicación imaginable de sus desplazamientos hacia el rojo. Sin embargo, las líneas espectrales concretas que se observan son a menudo características de un gas muy tenue y difuso y no de la densidad increíblemente elevada que ha de prevalecer en las proximidades de los agujeros negros.

Nuevas estrellas están naciendo en el "puente" que conecta dos galaxias (ESo B138-IG29, 30). Imagen en falso color realzada por computadora. (Cedida por Arthur Hoag y el observatorio nacional de Kitt Peak.)

Milton Humason, astrónomo (18911957). (Cedida por los observatorios Hale.)
La recesión aparente de las galaxias, con el desplazamiento hacia el rojo interpretado de acuerdo con el efecto Doppler, no es la única prueba en favor del big bang. Una prueba independiente y muy persuasiva deriva de la radiación de fondo cósmica de cuerpo negro, la débil estática en las ondas de radio que proviene muy uniformemente de todas las direcciones del Cosmos y que tiene la intensidad precisa que hay que esperar en nuestra época si procede de la radiación fuertemente enfriada del big bang. Pero también aquí hay algo intrigante. Las observaciones con una antena de radio sensible volando encima de la atmósfera de la Tierra en un avión U-2 han demostrado que la radiación de fondo es en primera aproximación de igual intensidad en todas las direcciones: como si la bola de fuego del big bang se expandiera con mucha uniformidad, y origen del universo tuviera una simetría muy precisa. Pero si se examina con una precisión más fina la radiación de fondo resulta que tiene una simetría imperfecta. Hay un pequeño efecto sistemático que podría comprenderse si la entera galaxia Vía Láctea (y probablemente otros miembros del grupo local) estuviera volando hacia el cúmulo de galaxias Virgo a más de 600 kilómetros por segundo. A esta velocidad llegaremos allí en diez mil millones de años, y la astronomía extragaláctica será entonces bastante más fácil. El cúmulo de Virgo es ya la colección de galaxias más rica que conocemos, repleta de espirales, elípticas e irregulares, un estuche lleno de joyas en el cielo. Pero ¿por qué tendríamos que ir disparados hacia allí? George Smoot y sus colegas, que hicieron estas observaciones de gran altitud, sugieren que la Vía Láctea es arrastrada gravitatoriamente hacia el centro del cúmulo de Virgo; que el cúmulo tiene muchas más galaxias de las que se han detectado hasta ahora, y algo más asombroso, que el cúmulo es de proporciones inmensas y se extiende a través de mil o dos mil millones de años luz de espacio. El mismo universo observable tiene sólo unas cuantas decenas de miles de millones de años luz de diámetro, y si hay un vasto supercúmulo en el grupo de Virgo, quizás haya otro supercúmulo a distancias mucho mayores, que por lo tanto son más difíciles de detectar. Parece ser que en la vida del universo no ha habido tiempo suficiente para que una inuniformidad gravitatoria inicial haya podido recoger la cantidad de masa que parece contener el supercúmulo de Virgo. Por ello Smoot llega a decir que el big bang fue mucho menos uniforme de lo que sugieren sus demás observaciones, que la distribución original de material en el universo era muy desigual. (Hay que esperar un cierto grado de desigualdad, incluso es preciso que ésta haya existido para comprender la condensación de las galaxias, pero una desigualdad a esta escala constituye una sorpresa.) Quizás la paradoja puede resolverse imaginando dos o más big bangs casi simultáneos.
Si el cuadro general de un universo en expansión y de un big bang es correcto, tenemos que enfrentamos con preguntas aún más difíciles. ¿Cómo eran las condiciones en la época del big bang? ¿Qué sucedió antes? ¿Había un diminuto universo carente de toda materia y luego la materia se creó repentinamente de la nada? ¿Cómo sucede una cosa así? Es corriente en muchas culturas responder que Dios creó el universo de la nada. Pero esto no hace más que aplazar la cuestión. Si queremos continuar valientemente con el tema, la pregunta siguiente que debemos formular es evidentemente de dónde viene Dios. Y si decidimos que esta respuesta no tiene contestación ¿por qué no nos ahorramos un paso y decidimos que el origen del universo tampoco tiene respuesta? O si decimos que Dios siempre ha existido, ¿por qué no nos ahorramos un paso y concluimos diciendo que el universo ha existido siempre?

Antigua imagen china de la creación con dos dobles hélices entrelazadas, representando la interacción de los contrarios, que da por resultado la Creación. Detrás de los dioses creadores hay imágenes de constelaciones. (Cedida por el Museo de Bellas Artes, Boston.)
Al principio de todo, las cosas estaban descansando en una noche perpetua: la noche lo oprimía todo como una maleza impenetrable.
El mito del Gran Padre del pueblo aranda de Australia Central
Todo estaba en suspenso, todo en calma, todo silencioso; todo inmóvil y tranquilo; y los espacios del cielo estaban vacíos.
El Popol Vuh de los mayas quiché
Na Arean estaba sentado solo en el espacio como una nube que flota en la nada. No dormía porque no había el sueño; no tenía hambre porque todavía no había hambre. Estuvo así durante mucho tiempo, hasta que se le ocurrió una idea. Se dijo a sí mismo: Voy a hacer una cosa.
Mito de Maia, islas Gilbert

La concepción budista tántrica del ""Ser puro" en forma de "'huevo del mundo". El huevo al ser fertilizado se diferencia en una "fuerza vital" femenina en el centro y una energía activadora masculina (las líneas divisorias). Emerge la vida consciente. Fotografía de Ajit Mookerjee en Tantra: The lndian Cult o! Ecstasy de Philip Rawson. (© 1973 de Thames & Hudson Ltd. Reproducido con permiso de Thames & Hudson, Londres y Nueva York.)
Hubo primero el gran huevo cósmico. Dentro del huevo había el caos, y flotando en el caos estaba Pan Gu, el No desarrollado, el Embrión divino. Y Pan Gu salió rompiendo el huevo, cuatro veces más grande que cualquier hombre actual, con un martillo y un cincel en la mano con los cuales dio forma al mundo.
Mitos de Pan Gu, China, hacia el siglo tercero
Antes de que el cielo y la tierra hubiesen tomado forma todo era vago y amorfo... Lo que era claro y ligero se desplazó hacia arriba para convertirse en el cielo, mientras que lo pesado y turbio se solidificó para convertirse en tierra. Fue muy fácil que el material puro y fino se reuniera, pero muy difícil que el material pesado y turbio se solidificara. Por eso el cielo quedó completado primero y la tierra tomó su forma después. Cuando el cielo y la tierra se unieron en vacuidad y todo era una simplicidad tranquila, las cosas llegaron al Ser sin ser creadas. Esta fue la Gran Unidad. Todas las cosas salieron de esta Unidad pero todas se hicieron diferentes.
Huainan Zi, China, hacia el siglo I a. de C.

Una pintura huichol de cera de abejas e hilaza procedente de México, que describe la Creación. Vemos en esta imagen a los primeros seres. Las cinco serpientes son las Madres del Agua y representan las aguas terrestres. A la derecha aparece la primera planta, con flores masculinas y femeninas. A la izquierda el Padre Sol está flanqueado por la estrella del Alba. (Cedida por Peter Furst, Delmar, Nueva York.)

La visión tradicional judeo-cristiana de la creación del Cosmos. Dios (arriba) crea la Tierra y sus habitantes (los primeros hombres, Adán y Eva, están en el centro). Alrededor de la Tierra hay pájaros, nubes, el Sol, la Luna y las estrellas, encima de ella están "las aguas del firmamento". De la Biblia de Martín Lutero publicada por Hans Luft, Wittenberg, 1534.

Pintura navaja de arena. “El Padre Cielo y la Madre Tierra." Dentro de la imagen negra del Padre Cielo a la izquierda están las diversas constelaciones, entre ellas, en el centro, la Osa Mayor. La Madre Tierra, a la derecha, contiene en su interior las cuatro plantas sagradas de los navajos: judías, maíz, tabaco y calabacero. Arriba a la derecha hay un murciélago con una bolsa de la medicina (el pequeño "diamante amarillo" que representa el "bien"). (Cedido por el museo de arte de Denver, Denver, Colorado.)

Pintura huichol que muestra el origen del Sol. En la parte superior izquierda el Sol todavía no nato es saludado por la Diosa Tierra, mientras que su hijo dispara flechas a la rueda solar poco antes de su sacrificio y transformación en la deidad solar. La forma con rayas en la parte inferior izquierda es el lago occidental al cual desciende el muchacho en su viaje subterráneo hacia el este y la primera salida del sol. (Cedida por Peter Furst, Delmar, Nueva York.)

Reproducción moderna de un antiguo y común motivo egipcio de la Creación. En esta descripción, Shu, el dios de la luz y del aire (con los brazos levantados), separa a Nut, la diosa del cielo, de Geb, el dios de la Tierra, reclinado debajo. Deidades menores prestan su ayuda. La figura de halcón ala izquierda es Horus, el dios del Bajo Egipto, identificado más tarde con el faraón reinante. (Pintura de Brown.)
Me gusta pensar que estas imágenes profundas y hermosas son una especie de premonición de las ideas astronómicas modernas. [69] Es muy probable que el universo haya estado expansionándose desde el big bang, pero no está en absoluto claro que continúe expansionándose indefinidamente. La expansión puede hacerse cada vez más lenta hasta detenerse e invertirse. Si hay menos de una cierta cantidad crítica de materia en el universo, la gravitación de las galaxias en recesión será insuficiente para detener la expansión, y el universo continuará su fuga para siempre.

Imagen dogon de la Creación procedente de la República de Mali y que presenta a Nommo, un dios fálico de la Creación, sorprendido en el instante de metamorfosearse en un cocodrilo. (Cedida por Lester Wunderman, Nueva York.)
Es posible que ninguna de estas modernas cosmologías sea totalmente de nuestro agrado. En una de ellas el universo fue creado de algún modo hace diez o veinte mil millones de años y se expande indefinidamente, huyendo las galaxias unas de otras hasta que la última desaparezca más allá del horizonte cósmico. Entonces los astrónomos galácticos se quedan sin ocupación, las estrellas se enfrían y mueren, la misma materia degenera y el universo se convierte en una niebla fina y fría de partículas elementales. En la otra el universo es oscilante, el Cosmos carece de principio y de fin, y estamos en medio de un ciclo infinito de muertes y renacimientos cósmicos sin que escape ninguna información por las cúspides de la oscilación. Nada se filtra de las galaxias, estrellas, planetas, formas de vida o civilizaciones que evolucionaron en la encarnación anterior del universo, ni pasa por la cúspide o se insinúa más allá del big bang, para que podamos conocerlo en nuestro universo actual. El destino del universo en ambas cosmologías puede parecer algo deprimente, pero podemos consolarnos con las escalas temporales en juego. Estos acontecimientos ocuparán decenas de miles de millones de años, o más. Los seres humanos y nuestros descendientes, sean cuales fueren, pueden conseguir muchas cosas en decenas de miles de millones de años, antes de que el Cosmos muera.
Si el universo oscila realmente se plantean cuestiones todavía más extrañas. Algunos científicos piensan que cuando la expansión va seguida por la contracción, cuando los espectros de las galaxias distantes están todos desplazados hacia el azul, la causalidad quedará invertida y los efectos precederán a las causas. Primero las ondas se propagan a partir de un punto de la superficie de agua y luego tiro la piedra en el estanque. Primero la linterna da luz y luego la enciendo. No podemos aspirar a entender lo que esta inversión de la causalidad significa. ¿Nacerán las personas de aquella época en la tumba y morirán en la matriz? ¿Irá el tiempo hacia atrás? ¿Tienen algún sentido estas cuestiones?
Los científicos se preguntan qué sucede en las cúspides, en la transición de la contracción a la expansión de un universo oscilante. Algunos piensan que las leyes de la naturaleza se reordenan al azar, que el tipo de física y de química que ordena este universo representa únicamente un caso de una gama infinita de posibles leyes naturales. Si las leyes de la naturaleza quedan reordenadas de modo impredecible en las cúspides, es una coincidencia realmente extraordinaria que precisamente ahora la máquina tragaperras cósmica haya sacado un universo que es consistente con nosotros. [70]
¿Vivimos en un universo que se expande indefinidamente o en un universo en el cual hay un conjunto infinito de ciclos? Hay maneras de decidirlo: haciendo un censo preciso de la cantidad total de materia en el universo, o bien observando el borde del Cosmos.
Los radiotelescopios pueden detectar objetos muy débiles y muy distantes. Cuando profundizamos en el espacio también nuestra vista retrocede en el tiempo. El quásar más cercano está quizás a quinientos millones de años luz de distancia. El más alejado puede estar a diez o doce o más miles de millones. Pero si vemos un objeto situado a doce mil millones de años luz de distancia, lo vemos tal como era hace doce mil millones de años. Mirando hacia la profundidad del espacio miramos también hacia el pasado lejano, hacia el horizonte del universo, hacia la época del big bang.
El Dispositivo de Muy Gran Amplitud (Very Large Array: vLa) es un conjunto de veintisiete radiotelescopios separados en una región remota de Nuevo México. Es un dispositivo en fase: los telescopios individuales están conectados electrónicamente como si fueran un único telescopio del mismo tamaño que sus elementos más alejados, como si fuera un radiotelescopio de decenas de kilómetros de diámetro. El VLA es capaz de resolver o de discriminar detalles finos en las regiones de radio del espectro, de modo comparable a lo que pueden hacer los telescopios terrestres más grandes en la región óptica del espectro.
A veces estos radiotelescopios se conectan con telescopios en la otra cara de la Tierra formando una línea base comparable al diámetro de la Tierra: en cierto sentido un telescopio tan grande como el planeta. En el futuro podremos situar telescopios en la órbita de la Tierra, al otro lado del Sol, formando de modo efectivo un radiotelescopio tan grande como el sistema solar interior.

Algunos de los radiotelescopios del Dispositivo de Muy Gran Amplitud en Socorro, Nuevo Méjico, manejado por el Observatorio Nacional de Radioastronomía. Los telescopios se desplazan sobre vías de tren; su separación determina la resolución de la imagen de radio resultante. (Fotografía, Bill Ray.)
Alguna materia, especialmente la materia de las estrellas, brilla con luz visible y es fácil de ver. Otra materia, por ejemplo el gas y el polvo de las afueras de las galaxias no se detecta tan fácilmente.

Izquierda: Representación convencional en dos dimensiones de un cubo. Derecha: Representación convencional en tres dimensiones de un teseracto o hipercubo (el modelo tridimensional ha quedado reducido una dimensión más sobre esta página).
Pero observaciones más recientes de Ricardo Giacconi pueden haber resuelto este brillo de rayos X en puntos individuales, que son quizás una horda inmensa de quásar distantes.
Contribuyen también al universo con una masa anteriormente desconocida. Cuando se haya completado el repertorio cósmico y se haya sumado toda la masa de todas las galaxias, quásar, agujeros negros, hidrógeno intergaláctico, ondas gravitatorias y habitantes todavía más exóticos del espacio, sabremos el tipo de universo que habitamos.
A los astrónomos, cuando discuten la estructura a gran escala del Cosmos, les gusta decir que el espacio es curvo, o que el Cosmos carece de centro, o que el universo es finito pero ilimitado. ¿De qué están hablando? Imaginemos que habitamos un país extraño donde todos somos perfectamente planos. De acuerdo con Edwin Abbott, un estudioso de Shakespeare que vivió en la Inglaterra victoriana, le llamaremos Flatland. Algunos somos cuadrados; algunos son triángulos, algunos tienen formas más complejas.

Imagen de radio de la galaxia elíptica NGC 3266. Imagen en falso color del Dispositivo de Muy Gran Amplitud.
Ellos nos dicen: “Todo es muy fácil. Imagina el derecha-izquierda. Imagina el delante atrás. ¿Sigues? Imagina ahora otra dimensión que forma ángulo recto con las otras dos.” Y nosotros decimos: “¿Pero de qué nos hablas? ¿Cómo puede formar ángulo recto con las otras dos? Sólo hay dos dimensiones. Enséñanos esta tercera dimensión. ¿Dónde está?” Y los matemáticos, desanimados, se largan. Nadie escucha a los matemáticos. Todo ser plano de Flatland ve a otro cuadrado como un corto segmento de línea, el lado del cuadrado que está más cerca de él. Para poder ver el otro lado del cuadrado ha de dar un corto paseo. Pero el interior del cuadrado permanece eternamente misterioso, a no ser que algún terrible accidente o una autopsia rompan los lados y deje expuestas las partes interiores.
Un día un ser tridimensional, por ejemplo en forma de pera, llega a Flatland y se queda mirándolo desde arriba. Al ver que un cuadrado especialmente atractivo y de aire sociable entra en su casa plana, la pera decide en un gesto de amistad interdimensional saludarlo. “¿Cómo estás?”, le dice el visitante de la tercera dimensión. “Soy un visitante de la tercera dimensión.” El desgraciado cuadrado mira por toda su casa que está cerrada y no ve a nadie. Peor todavía: se imagina que el saludo que entra desde arriba es una emanación de su propio cuerpo plano, una voz de su interior. La familia ha estado siempre algo charada, piensa quizás para darse ánimos.
La pera, exasperada al ver que la toman por una aberración psicológica, desciende a Flatland. Pero un ser tridimensional sólo puede existir parcialmente en Flatland, sólo puede verse una sección de él, sólo los puntos de contacto con la superficie plana de Flatland. Una pera deslizándose por Flatland aparecería primero como un punto y luego como rodajas cada vez mayores y aproximadamente circulares. El cuadrado ve que aparece un punto en una habitación cerrada de su mundo bidimensional que crece lentamente hasta formar casi un círculo. Un ser de forma extraña y cambiante ha surgido de la nada.
La pera, desairada, irritada por la obtusidad de los muy planos da un golpe al cuadrado y lo proyecta por los aires revoloteando y dando vueltas por esta misteriosa tercera dimensión. Al principio el cuadrado es incapaz de entender lo que está sucediendo: es algo que escapa totalmente a su experiencia. Pero al final se da cuenta de que está viendo Flatland desde una perspectiva especial: desde “arriba”. Puede ver el interior de habitaciones cerradas. Puede ver el interior de sus congéneres planos. Está contemplando su universo desde una perspectiva única y arrolladora. El viaje por otra dimensión ofrece como una ventaja adicional una especie de visión con rayos X. Al final nuestro cuadrado desciende lentamente hasta la superficie como una hoja que cae. Desde el punto de vista de sus compañeros de Flatland desapareció inexplicablemente de una habitación cerrada y luego se materializó penosamente de la nada. “Por Dios”, le dicen, “¿qué te ha pasado?” “Me parece”, contesta él mecánicamente, “que estuve arriba”. Le dan unos golpecitos en los costados y le consuelan. La familia siempre tuvo visiones.
En estas contemplaciones interdimensionales no tenemos que limitamos a las dos dimensiones. Podemos imaginar, siguiendo a Abbott, un mundo de una dimensión, donde cada cual es un segmento de línea, o incluso el mundo mágico de los animales de cero dimensiones, los puntos. Pero quizás sea más interesante la cuestión de las dimensiones superiores. ¿Podría existir una cuarta dimensión física? [71]
Podemos imaginar que generamos un cubo de la siguiente manera: Tomemos un segmento de línea de una cierta longitud y desplacémoslo una longitud igual en ángulo recto a sí mismo. Tenemos un cuadrado. Desplacemos el cuadrado una longitud igual en ángulos rectos a sí mismo y tendremos un cubo. Sabemos que este cubo proyecta una sombra, que dibujamos normalmente en forma de dos cuadrados con sus vértices conectados. Si examinamos la sombra de un cubo en dos dimensiones, nos damos cuenta de que no todas las líneas aparecen iguales, y de que no todos los ángulos son ángulos rectos. El objeto tridimensional no ha quedado perfectamente representado en su transfiguración a dos dimensiones. Este es el coste que hay que pagar por perder una dimensión en la proyección geométrica: no derecha izquierda, no delante atrás, no arriba abajo, sino simultáneamente en ángulos rectos a todas estas direcciones. No puedo decir qué dirección es ésta pero puedo imaginarme que existe. En este caso habremos generado un hipercubo cuadridimensional, llamado también teseracto. No puedo enseñar un teseracto, porque estamos encerrados en tres dimensiones. Pero lo que puedo enseñar es la sombra en tres dimensiones de un teseracto. Se parece a dos cubos anidados, con todos los vértices conectados por líneas. Pero en el teseracto real de cuatro dimensiones todas las líneas tendrán longitud igual y todos los ángulos serán ángulos rectos.
Imaginemos un universo igual que Flatland, con la excepción de que, sin que sus habitantes lo sepan, su universo bidimensional está curvado a través de una tercera dimensión física. Cuando los habitantes de Flatland hacen excursiones cortas, su universo les resulta suficientemente plano. Pero si uno de ellos hace un paseo lo bastante largo por lo que él imagina ser una línea perfectamente recta, descubre un gran misterio: a pesar de no haber llegado a ninguna barrera ni de haber en ningún momento dado la vuelta, ha acabado de algún modo llegando al lugar de donde partió. Su universo bidimensional tiene que haber sido deformado, doblado o curvado a través de una misteriosa tercera dimensión. Él no puede imaginar esta tercera dimensión, pero puede deducirla. Si sumamos en esta historia una dimensión a todas las citadas tenemos una situación que puede ser válida para nosotros.
¿Dónde está el centro del Cosmos? ¿Tiene el universo algún borde? ¿Qué hay detrás de él? En un universo bidimensional, curvado a través de una tercera dimensión no hay centro, por lo menos no lo hay sobre la superficie de una esfera. El centro de este universo no está en este universo; está situado inaccesiblemente en la tercera dimensión, dentro de la esfera. Aunque en la superficie de la esfera el área está limitada, este universo carece de borde: es finito pero ilimitado. Y la pregunta: ¿qué hay más allá? carece de sentido. Los seres planos no pueden por sí solos escapar de sus dos dimensiones.
Si incrementamos por uno todas las dimensiones citadas tenemos una situación que puede ser válida para nosotros: el universo como una hiperesfera cuadridimensional sin centro ni borde, y sin nada más allá. ¿A qué se debe que todas las galaxias parece que huyan de nosotros? La hiperesfera se está expandiendo a partir de un punto como si se hinchara un balón cuadridimensional, creando a cada instante más espacio en el universo. En algún momento posterior al inicio de la expansión, las galaxias se condensan y son transportadas hacia el exterior sobre la superficie de la hiperesfera. Hay astrónomos en cada galaxia, y la luz que ven también está atrapada en la superficie curva de la hiperesfera. A medida que la esfera se expande, un astrónomo de cualquier galaxia pensará que todas las demás galaxias huyen de él. No hay marcos de referencia privilegiados. [72] Cuanto más lejos está la galaxia más rápidamente retrocede. Las galaxias están incrustadas, sujetas al espacio, y el tejido del espacio se está expansionando. Y la respuesta a la pregunta ¿en qué parte del universo presente ocurrió el big bang? es clara: en todas partes.
Si hay insuficiente materia para impedir que el universo continúe expandiéndose indefinidamente ha de tener una forma abierta, curvada como una silla de montar, con una superficie que se extienda al infinito en nuestra analogía tridimensional. Si hay suficiente materia, tiene una forma cerrada, curvada como una esfera en nuestra analogía tridimensional. Si el universo está cerrado, la luz está atrapada en su interior. En los años 1920 unos observadores encontraron en una dirección opuesta a M31 un par distante de galaxias espirales. Se preguntaron si era posible que estuviesen viendo la Vía Láctea y M31 desde la otra dirección: como si viéramos nuestro cogote gracias a la luz que ha circunnavegado el universo. Sabemos ahora que el universo es mucho mayor de lo que se imaginaba en los años 1920. La luz tardaría más de la edad del universo en circunnavegarlo. Y las galaxias son más jóvenes que el universo. Pero si el Cosmos está cerrado y la luz no puede escapar de él, puede ser perfectamente correcto describir el universo como un agujero negro. Si queremos saber qué aspecto tiene el interior de un agujero negro miremos a nuestro alrededor.
Hemos mencionado antes la posibilidad de que existan galerías para ir de un lugar a otro del universo sin cubrir la distancia intermedia: a través de un agujero negro. Podemos imaginar estas galerías como tubos a través de una cuarta dimensión física. No sabemos que existan estas galerías. Pero suponiendo que existan ¿han de acabar siempre desembocando en otro lugar de nuestro universo? ¿O es posible que las galerías conecten con otros universos, con lugares que de otro modo serían siempre inaccesibles para nosotros? Nada se opone a que existan muchos más universos. Quizás están en cierto sentido anidados uno dentro del otro.

Estudio del cielo profundo en rayos X (arriba) dentro de la constelación de Eridano, llevado a cabo por el Observatorio Astrofísico de Alta Energía Einstein en órbita terrestre. La misma región en luz visible aparece debajo, con indicación de tres quásar. (Cedido por Ricardo Giacconi y la NASA.)

Regresión infinita. Representación del paso de un universo al de magnitud siguiente en un Cosmos con una regresión infinita de universos anidados uno dentro del otro. Ningún universo es el nuestro. (Pintura de John Lomberg.)
Capítulo 11
La persistencia de la memoria
Una vez determinados los destinos de Cielo y Tierra, habiendo recibido zanjas y canales su curso adecuado, establecidas ya las orillas del Tigris y del Éufrates,
¿qué nos queda por hacer?
¿qué más tenemos que crear?
Oh Anunaki, grandes dioses del cielo, ¿qué nos queda por hacer?
Narración asiria de la creación del hombre, 800 a. de C.
Cuando él, sea cual fuere de los dioses, hubo dispuesto ordenadamente de este modo y resuelto aquella masa caótica, y la hubo reducido, resuelta de este modo, a partes cósmicas, empezó moldeando la Tierra como una bola poderosa para que su forma fuera la misma por todos lados... Y para que ninguna región careciera de sus formas propias de vida animada, las estrellas y las formas divinas ocuparon el suelo del cielo, el mar correspondió a los peces relucientes para que fuera su hogar, la Tierra recibió a los animales y el aire móvil a los pájaros... Luego nació el Hombre:... todos los animales van con la cabeza baja y fijan su mirada en el suelo, pero él dio al Hombre un rostro levantado y le ordenó que estuviera erecto y que elevara sus ojos al cielo.
Ovidio, Metamorfosis, siglo primero

Un ser inteligente: Una ballena yubarta irrumpe en la superficie de las aguas del estrecho Frederick, Alaska, verano de 1979. Las ballenas yubartas destacan por sus saltos notables y por sus extraordinarias comunicaciones. Una ballena yubarta pesa en promedio 50 toneladas, y tiene 15 metros de largo. Sus cerebros son mucho mayores que los de las personas. (Cedida por Dan McSweeny.)
Consideremos un planeta raro entre estos millones de mundos habitados por inteligencias avanzadas, el único de su sistema con un océano superficial de agua líquida. En este rico medio ambiente acuático, viven muchos seres relativamente inteligentes: algunos con ocho apéndices para coger cosas, otros que se comunican entre sí actuando sobre un intrincado sistema de manchas brillantes y oscuras en sus cuerpos; incluso pequeños e inteligentes seres de tierra firme que hacen breves incursiones por el océano en naves de madera o de metal. Pero nosotros buscamos a las inteligencias dominantes, a los seres más maravillosos del planeta, los dueños sensibles y graciosos del océano profundo, a las grandes ballenas.
Son los animales más grandes[74] que hayan evolucionado nunca sobre el planeta Tierra, mucho mayores que los dinosaurios. Una ballena azul adulta puede tener treinta metros de longitud y pesar 150 toneladas. Muchas ballenas, especialmente las ballenas yubartas, son animales que pacen plácidamente, recorriendo vastos volúmenes de océano en búsqueda de los animales con que se apacientan; otros comen pescado y pequeños crustáceos. Las ballenas son unos recién llegados al océano. Hace sólo setenta millones de años sus antepasados eran mamíferos carnívoros que migraron por pasos lentos de la tierra al océano.
Entre las ballenas las madres dan de mamar y se ocupan tiernamente de sus vástagos. Éstos tienen una infancia larga durante la cual los adultos enseñan a los jóvenes. El juego es un pasatiempo típico. Todo esto es característico de los mamíferos, e importante para el desarrollo de seres inteligentes.
El mar es poco transparente. La vista y el olfato, que son muy útiles para los mamíferos en tierra, no sirven de mucho en las profundidades del océano. Los antepasados de las ballenas que contaban en estos sentidos para localizar una pareja o una cría o un predador no dejaron mucha descendencia.

Las "canciones" de la ballena yubarta registradas en un espectrógrafo de máquina. En cada línea el tiempo corre horizontalmente y la frecuencia del sonido va de las notas bajas a las notas altas, verticalmente. Las líneas casi verticales representan glissandos, siguiendo la escala musical de varias octavas. Estas grabaciones hidrofónicas fueron llevadas a cabo bajo el agua por F. Watlington, de la Estación Palisades Sofar, Bermudas, el 28 de abril de 1964. Roger Payne comenta: "Las canciones que grabamos en 1964 y en 1969 son tan diferentes como Beethoven de los Beatles". En su opinión la música (de ballenas) de los años sesenta era más bella que la de los setenta. (Cedido por la Asociación Americana para el Progreso de la Ciencia.)
Con mucha frecuencia los miembros del grupo cantan juntos la misma canción. La pieza, por algún consenso mutuo, por algún sistema de composición colectiva, va cambiando de mes en mes, lentamente y de modo predecible.

La biblioteca genética del virus T7. Este hilo corto de ADN contiene unos veinte genes con todo lo que este organismo ha de saber para invadir una bacteria y apoderarse totalmente de la célula huésped. La información, escrita en lenguaje de ADN a través de la secuencia de nucleótidos, incluye instrucciones para duplicar sus instrucciones de ADN y su cabeza y cola proteínica, y para hacer uso de la maquinaria química de la bacteria atacada. La célula bacterial deja de ser una fábrica para hacer más bacterias y se convierte en una fábrica para hacer más T7. (De la obra DNA Replication de Arthur Komberg, W. H. Freeman and Company, 1980. © 1980.)
El principal peligro de las ballenas es un recién llegado, un animal escalador que sólo recientemente y gracias a la tecnología se ha hecho competente en los océanos, un ser que se denomina a sí mismo humano. Durante el 99.99% de las historia de las ballenas, no había hombres dentro o sobre el océano profundo.
Durante este período las ballenas crearon por evolución su extraordinario sistema de audiocomunicación. Las ballenas yubartas, por ejemplo, emiten sonidos muy altos a una frecuencia de unos veinte Hertz, cerca de la octava más baja del teclado de un piano. (Un Hertz es una unidad de frecuencia sonora que representa una onda de sonido, una cresta y un valle, entrando en nuestro oído cada segundo.) Estos sonidos de tan baja frecuencia apenas son absorbidos en el océano. El biólogo norteamericano Roger Payne ha calculado que utilizando el canal de sonido del océano profundo, dos ballenas podrían comunicarse entre sí a veinte hertz esencialmente en cualquier punto del mundo. Una podría estar a lo largo de la Plataforma de Hielo de Ross, en la Antártida, y comunicarse con otra en las Aleutianas. Quizás las ballenas durante la mayor parte de su historia han dispuesto de una red de comunicaciones global. Quizás cuando están separadas a 15 000 kilómetros de distancia sus vocalizaciones son canciones de amor, emitidas con toda la esperanza hacia la vastitud del piélago.
Durante decenas de millones de años estos seres enormes, inteligentes y comunicativos han evolucionado sin tener, de hecho, enemigos naturales. Luego el desarrollo del buque a vapor en el siglo diecinueve introdujo una siniestra fuente de polución sonora. A medida que los buques comerciales y militares se han hecho más abundantes, el ruido del fondo de los océanos, especialmente en la frecuencia de veinte hertz, se ha hecho perceptible. Las ballenas, que se comunicaban a través de los océanos, han tenido que experimentar dificultades cada vez mayores. La distancia a través de la cual podían comunicar tuvo que disminuir continuamente. Hace doscientos años, una distancia típica a través de la cual las yubartas podían comunicarse era quizás de 10 000 kilómetros. Hoy en día la cifra correspondiente es quizás de unos pocos centenares de kilómetros. ¿Saben las ballenas sus respectivos nombres? ¿Pueden reconocerse como individuos a base sólo de los sonidos? Hemos segregado a las ballenas de nosotros. Unos seres que se comunicaron de modo efectivo durante decenas de millones de años han quedado reducidos de modo efectivo al silencio. [75]
Y hemos hecho cosas aún peores, porque todavía persiste un tráfico con los cuerpos muertos de las ballenas. Hay hombres que cazan y sacrifican ballenas y venden los productos en el mercado para fabricar lápices de labios o lubricante industrial. Muchas naciones entienden que el asesinato sistemático de tales seres inteligentes es monstruoso, pero el tráfico continúa, promovido principalmente por el Japón, Noruega y la Unión Soviética. Los seres humanos, como especie, estamos interesados en comunicar con inteligencias extraterrestres. ¿No sería un buen principio mejorar la comunicación con las inteligencias terrestres, con otros seres humanos de culturas y lenguajes diferentes, con los grandes simios, con los delfines y especialmente con estos dueños inteligentes de las profundidades, las grandes ballenas?
Una ballena para poder vivir ha de saber hacer muchas cosas. Este conocimiento está almacenado en sus genes y en sus cerebros. La información genética explica cómo convertir el plancton en grasa de ballena, o cómo aguantar la respiración en una zambullida que la lleva a un kilómetro por debajo de la superficie. La información en los cerebros, la información aprendida incluye, por ejemplo, quién es tu madre, o el significado de la canción que estás escuchando ahora. La ballena, como todos los demás animales de la Tierra, tiene una biblioteca de genes y una biblioteca de cerebro.

Una pequeña región de la biblioteca genética de un hombre o de una ballena, si estuviera disponible en forma de libros normales y no codificada en los ácidos nucleicos. Cada título corresponde a un conjunto completo de funciones que los organismos han de llevar acabo expertamente sin mediación alguna de sus cerebros. Las instrucciones en los genes son libros "prácticos". (Fotografía Edwardo Castañeda.)

Una diminuta fracción de la información existente en la biblioteca genética: los primeros pasos en la digestión del azúcar glucosa. Cada vértice de los hexágonos que representan la glucosa y el pentágono que representa la fructosa, está ocupado por un átomo de carbono. La molécula de seis carbonos fructosa-1 ,6-difosfatasa se descompone en dos fragmentos de tres carbonos. Cada paso químico es orquestado cuidadosamente y presidido por una enzima concreta, cuyo nombre aparece encima de las flechas. La molécula de ATP proporciona la energía necesaria para impulsar esta compleja actividad química. Entran dos moléculas de ATP y salen cuatro (porque hay dos fragmentos de tres carbonos); se obtiene una ganancia de energía. Los organismos como las ballenas y las personas que respiran aire combinan luego el piruvato (abajo a la derecha) con el oxígeno extraen todavía más energía. Esta bomba química de evolución compleja impulsa gran parte de la vida en la Tierra.
Una ballena o un ser humano necesitan unos cinco mil millones de bits. Si escribiéramos, por ejemplo en inglés, los 5 x 109 bits de información de nuestra enciclopedia de la vida -en el núcleo de cada una de nuestras células- llenarían un millar de volúmenes. Cada una de nuestras cien billones de células contiene una biblioteca completa con las instrucciones necesarias para hacer todas nuestras partes. Cada célula de nuestro cuerpo proviene, por sucesivas divisiones celulares, de una única célula, un óvulo fertilizado generado por nuestros padres. Cada vez que esta célula se dividió en los numerosos pasos embriológicos recorridos para fabricamos, el conjunto original de instrucciones genéticas fue duplicado con gran fidelidad. De este modo las células de nuestro hígado tienen algún conocimiento no utilizado sobre la manera de fabricar nuestras células óseas, y al revés. La biblioteca genética contiene todo lo que nuestro cuerpo sabe hacer por sí mismo. La antigua información está escrita con un detalle exhaustivo, cuidadoso, redundante: cómo reír, cómo estornudar, cómo caminar, cómo reconocer formas, cómo reproducirse, cómo digerir una manzana. Las instrucciones de los primeros pasos en la digestión del azúcar de una manzana, si estuviesen expresados en el lenguaje de la química, tendrían el aspecto del esquema de las páginas anteriores.

La biblioteca del cerebro: tres perspectivas del cerebro humano, que almacena quizás cien billones de bits de información en una masa de unos 1 400 gramos. La fotografía superior de la página anterior muestra los dos hemisferios de la corteza cerebral, conectados por un ancho haz de fibras nerviosas. Las circunvoluciones en la corteza cerebral sirven para aumentar la superficie del cerebro dentro de un volumen fijo. Debajo hay una perspectiva de la base del cerebro del hombre. La corteza cerebral es una parte tan importante del cerebro que resulta parcialmente visible incluso en esta perspectiva: porciones de los lóbulos frontal y temporal en la parte superior de esta fotografía. Los componentes cerebrales más visibles aquí son los más primitivos: los que controlan el ritmo cardíaco, la temperatura corporal, el tacto, el dolor y cosas semejantes. En esta página vemos una perspectiva oblicua. Incluso con esta orientación el complejo R -que rodea el tallo encefálico- y el sistema límbico quedan ocultos en gran parte en el interior del cerebro. (Fotografías de estudio de Fried, Paul y Scheibel. Fotografiados por Peter Duong. Cedidas por Arnold Scheibel, Instituto de Investigación del Cerebro, UCLA.)
Pero supongamos que lo que tuviésemos que hacer fuese tan complicado que fueran insuficientes incluso varios miles de millones de bits de información. Supongamos que el medio ambiente estuviese cambiando tan rápidamente que la enciclopedia genética precodificada que sirvió perfectamente hasta entonces ya no fuera del todo adecuada. En este caso no sería suficiente ni una biblioteca genética de 1 000 volúmenes. Es por esto que tenemos cerebros.
Como todos nuestros órganos el cerebro ha evolucionado, ha aumentado su complejidad y su contenido informativo a lo largo de millones de años. Su estructura refleja todas las fases por las que ha pasado. El cerebro evolucionó de dentro a fuera. En lo hondo está la parte más antigua, el tallo encefálico, que dirige las funciones biológicas básicas, incluyendo los ritmos de la vida, los latidos del corazón y la respiración. Según un concepto provocativo de Paul MacLean, las funciones superiores del cerebro evolucionaron en tres fases sucesivas. Coronando el tallo encefálico está el complejo R, la sede de la agresión, del ritual, de la territorialidad y de la jerarquía social, que evolucionó hace centenares de millones de años en nuestros antepasados reptilianos. En lo profundo de nuestro cráneo hay algo parecido al cerebro de un cocodrilo. Rodeando el complejo R está el sistema límbico del cerebro
de los mamíferos, que evolucionó hace decenas de millones de años en antepasados que eran mamíferos pero que todavía no eran primates. Es una fuente importante de nuestros estados de ánimo y emociones, de nuestra preocupación y cuidado por los jóvenes.
Y finalmente en el exterior, viviendo en una tregua incómoda con los cerebros más primitivos situados debajo, está la corteza cerebral, que evolucionó hace millones de años en nuestros antepasados primates. La corteza cerebral, donde la materia es transformada en consciencia, es el punto de embarque de todos los viajes cósmicos. Comprende más de las dos terceras partes y es el reino de la intuición y del análisis crítico. Es aquí donde tenemos ideas e inspiraciones, donde leemos y escribimos, donde hacemos matemáticas y componemos música. La corteza regula nuestras vidas conscientes. Es lo que distingue a nuestra especie, la sede de nuestra humanidad. La civilización es un producto de la corteza cerebral.
El lenguaje del cerebro no es el lenguaje del ADN de los genes. Lo que sabemos está ahora codificado en células llamadas neuronas: elementos de conexión electroquímica, microscópicos, en general de unas centésimas de milímetro de diámetro. Cada uno de nosotros tiene quizás un centenar de miles de millones de neuronas, cifra comparable al número de estrellas en la galaxia Vía Láctea. Muchas neuronas tienen miles de conexiones con sus vecinas. Hay aproximadamente cien billones, 1014, de estas conexiones en la corteza del cerebro humano.
Charles Sherrington imaginó las actividades de la corteza cerebral al despertar:
[La corteza] se convierte ahora en un campo chispeante de puntos de luz destellando rítmicamente con trenes de chispas que se desplazan afanosamente por todas partes. El cerebro se está despertando y con él retorna la mente. Es como si la Vía Láctea iniciase alguna danza cósmica. [La corteza] se transforma rápidamente en un telar encantado donde millones de lanzaderas veloces tejen una forma en disolución, siempre una forma con sentido, pero nunca permanente, una armonía de subformas desplazándose. Ahora, a medida que el cuerpo se despierta, subformas de esta gran armonía de actividad descienden hacia las rutas no iluminadas del [cerebro inferior].Incluso en el sueño el cerebro está pulsando, palpitando y destellando con el complejo negocio de la vida humana: soñar, recordar, imaginar cosas. Nuestros pensamientos, visiones y fantasías poseen una realidad física. Si nos encogiéramos al nivel de las neuronas, podríamos presenciar formas elaboradas, intrincadas y evanescentes. Una podría ser la chispa de un recuerdo o el olor de lilas en un camino campestre de nuestra infancia. Otra podría ser un ansioso boletín enviado a todos los puntos: “¿Dónde he dejado mis llaves?”
Rosarios de chispas destellantes y en movimiento conectan sus enlaces. Esto significa que el cuerpo se ha levantado y se está enfrentando con su día de vigilia.
Hay muchos valles en las montañas de la mente, circunvoluciones que aumentan mucho la superficie disponible en la corteza cerebral para almacenar información en un cráneo de tamaño limitado. La neuroquímica del cerebro es asombrosamente activa, son los circuitos de una máquina más maravillosa que todo lo que han inventado los hombres. Pero no hay pruebas de que su funcionamiento se deba a algo más que a las 1014 conexiones neurales que construyen una arquitectura elegante de la consciencia. El mundo del pensamiento está dividido más o menos en dos hemisferios. El hemisferio derecho de la corteza cerebral se ocupa principalmente del reconocimiento de formas, la intuición, la sensibilidad, las intuiciones creadoras.

Un cúmulo de neuronas en el cerebro humano. La amplificación de esta micro- fotografía electrónica de rastreo es de 15 000 aumentos. La biblioteca cerebral se almacena, se procesa y se consulta en estas conexiones neurónicas. (Fotografías de estudio de Fried, Paul y Scheibel. Fotografiados por Peter Duong. Cedidas por Arnold Scheibel, Instituto de Investigación del Cerebro, UCLA.)
El contenido de información del cerebro humano expresado en bits es probablemente comparable al número total de conexiones entre las neuronas: unos cien billones (1014) de bits. Si por ejemplo escribiéramos en inglés esta información llenaría unos veinte millones de volúmenes, como en las mayores bibliotecas del mundo. En el interior de la cabeza de cada uno de nosotros hay el equivalente a veinte millones de libros. El cerebro es un lugar muy grande en un espacio muy pequeño. La mayoría de los libros del cerebro están en la corteza cerebral. En el sótano están las funciones de las que dependían principalmente nuestros antepasados remotos: agresión, crianza de los hijos, miedo, sexo, la voluntad de seguir ciegamente a los líderes. Algunas de las funciones cerebrales superiores -lectura, escritura, lenguaje- parecen localizadas en lugares concretos de la corteza cerebral. En cambio las memorias están almacenadas de modo redundante en muchos puntos. Si existiera la telepatía, una de sus maravillas sería la oportunidad de leer los libros de las cortezas cerebrales de nuestros seres queridos. Pero no hay pruebas seguras de la telepatía, y la comunicación de este tipo de información continúa siendo tarea de artistas y escritores.
El cerebro hace mucho más que recordar. Compara, sintetiza, analiza, genera abstracciones. Tenemos que inventar muchas más cosas de las que nuestros genes pueden conocer. Por esto la biblioteca del cerebro es unas diez mil veces mayor que la biblioteca de los genes. Nuestra pasión por aprender, evidente en el comportamiento de cualquier bebé, es la herramienta de nuestra supervivencia. Las emociones y las formas ritualizadas de comportamiento están incrustadas profundamente en nosotros. Forman parte de nuestra humanidad. Pero no son característicamente humanas. Muchos otros animales tienen sentimientos. Lo que distingue a nuestra especie es el pensamiento. La corteza cerebral es una liberación. Ya no necesitamos estar encerrados en las formas de comportamiento heredadas genéticamente de las lagartijas y los babuinos. Cada uno de nosotros es responsable en gran medida de lo que se introduce en nuestro cerebro, de lo que acabamos valorando y sabiendo cuando somos adultos. Sin estar ya a merced del cerebro reptiliano, podemos cambiamos a nosotros mismos.
La mayoría de las grandes ciudades del mundo han ido creciendo de cualquier modo, poco a poco, respondiendo a las necesidades del momento; muy raramente se trata de una ciudad planeada para el futuro remoto. La evolución de una ciudad es como la evolución del cerebro: se desarrolla a partir de un pequeño centro y crece y cambia lentamente, dejando que continúen funcionando muchas partes antiguas. La evolución no dispone de sistemas para derribar el interior antiguo del cerebro a causa de sus imperfecciones y sustituirlo por algo de fabricación más moderna. El cerebro ha de funcionar durante la renovación. Por esto el tallo encefálico está rodeado por el complejo R, luego por el sistema límbico y finalmente por la corteza cerebral. Las partes viejas están encargadas de demasiadas funciones fundamentales para que puedan ser reemplazadas. Continúan pues funcionando, jadeantes, pasadas de moda y a veces contraproducentemente, pero son una consecuencia necesaria de nuestra evolución.
En la ciudad de Nueva York la disposición de muchas de las calles importantes data del siglo diecisiete, la bolsa del siglo dieciocho, las conducciones de agua del diecinueve, la red de energía eléctrica del veinte. La disposición podría ser más eficiente si todos los servicios cívicos estuvieran construidos en paralelo y fueran sustituidos periódicamente (por este motivo los incendios desastrosos las grandes conflagraciones de Londres y de Chicago por ejemplo a veces constituyen una ayuda para la planificación urbana).
Pero la lenta acumulación de nuevas funciones permite que la ciudad funcione de modo más o menos continuo a lo largo de los siglos. En el siglo diecisiete se pasaba con transbordador de Brooklyn a Manhattan a través del río Este. En el siglo diecinueve se dispuso de la tecnología necesaria para construir un puente colgante sobre el río. Se construyó precisamente donde había la terminal del transbordador, porque la ciudad era propietaria del terreno y porque había ya rutas urbanas principales que convergían sobre el servicio preexistente de transbordador.
Más tarde, cuando fue posible construir un túnel debajo del río, también se construyó en el mismo lugar por idénticos motivos, y también porque durante la construcción del puente se habían instalado pequeños precursores de túneles, luego abandonados, los llamados caissons. Este aprovechamiento y reestructuración de sistemas previos para nuestros objetivos se parece mucho al sistema seguido por la evolución biológica.

La constelación del camello. De Abd al- Rahman al Sufi al Kitab al-Kawakib Wa 's Suwar Razi ("Libro de estrellas y constelaciones"), Persia, 1632. (Cedida por la Colección Spencer, Biblioteca Pública de Nueva York, Fundaciones Astor, Lenox y Tilden. Fotografía Bill Ray.)

Cuatro adquisiciones tempranas de la biblioteca de libros humanos. Arriba, dos páginas de Sphaera Mundi de Joannes de Sacro Bosco. Publicado por Erhard Ratdult, Venecia, 1485. Se discute el origen de los eclipses lunares y solares. Arriba en la página siguiente, la ascensión de Mahoma sobre Buraq. Del manuscrito turco del siglo dieciséis Da ver Si yar-e Nabi ("Vida del Profeta") de Mustafá ibn Yusuf. Debajo, ilustración sobre tela de cosmología y cosmografía jainista. Publicada en Gujarat, India, en el siglo dieciséis. Debajo, en la página siguiente, la constelación de Acuario, el Aguador. De De Sideribus Tractatus por Caius Hygnius, Italia, hacia 1450. Todos los libros cedidos por la Colección Spencer, Biblioteca Pública de Nueva York, Fundaciones Astor, Lenox y Tilden. (Fotografía Bill Ray.)

Dos páginas de un manuscrito tai del siglo diecinueve sobre astrología y astronomía. (Cedidas por la Colección Spencer, Biblioteca Pública de Nueva York, Fundaciones Astor, Lenox y Tilden. Fotografías Bill Ray.)
Un libro se hace a partir de un árbol. Es un conjunto de partes planas y flexibles (llamadas todavía “hojas”) impresas con signos de pigmentación oscura. Basta echarle un vistazo para oír la voz de otra persona que quizás murió hace miles de años. El autor habla a través de los milenios de modo claro y silencioso, dentro de nuestra cabeza, directamente a nosotros. La escritura es quizás el mayor de los inventos humanos, un invento que une personas, ciudadanos de épocas distantes, que nunca se conocieron entre sí. Los libros rompen las ataduras del tiempo, y demuestran que el hombre puede hacer cosas mágicas.
Algunos de los primeros autores escribieron sobre barro. La escritura cuneiforme, el antepasado remoto del alfabeto occidental, se inventó en el Oriente próximo hace unos 5 000 años. Su objetivo era registrar datos: la compra de grano, la venta de terrenos, los triunfos del rey, los estatutos de los sacerdotes, las posiciones de las estrellas, las plegarias a los dioses. Durante miles de años, la escritura se grabó con cincel sobre barro y piedra, se rascó sobre cera, corteza o cuero, se pintó sobre bambú o papiro o seda; pero siempre una copia a la vez y, a excepción de las inscripciones en monumentos, siempre para un público muy reducido. Luego, en China, entre los siglos segundo y sexto se inventó el papel, la tinta y la impresión con bloques tallados de madera, lo que permitía hacer muchas copias de una obra y distribuirla. Para que la idea arraigara en una Europa remota y atrasada se necesitaron mil años. Luego, de repente, se imprimieron libros por todo el mundo. Poco antes de la invención del tipo móvil, hacia 1450 no había más de unas cuantas docenas de miles de libros en toda Europa, todos escritos a mano; tantos como en China en el año 100 a. de C., y una décima parte de los existentes en la gran Biblioteca de Alejandría. Cincuenta años después, hacia 1500, había diez millones de libros impresos. La cultura se había hecho accesible a cualquier persona que pudiese leer. La magia estaba por todas partes.
Más recientemente los libros se han impreso en ediciones masivas y económicas, sobre todo los libros en rústica. Por el precio de una cena modesta uno puede meditar sobre la decadencia y la caída del Imperio romano, sobre el origen de las especies, la interpretación de los sueños, la naturaleza de las cosas. Los libros son como semillas. Pueden estar siglos aletargados y luego florecer en el suelo menos prometedor.
Las grandes bibliotecas del mundo contienen millones de volúmenes, el equivalente a unos 1014 bits de información en palabras, y quizás a 10 15 en imágenes. Esto equivale a diez mil veces más información que la de nuestros genes, y unas diez veces más que la de nuestro cerebro. Si acabo un libro por semana sólo leeré unos pocos miles de libros en toda mi vida, una décima de un uno por ciento del contenido de las mayores bibliotecas de nuestra época. El truco consiste en saber qué libros hay que leer. La información en los libros no está preprogramada en el nacimiento, sino que cambia constantemente, está enmendada por los acontecimientos, adaptada al mundo. Han pasado ya veintitrés siglos desde la fundación de la Biblioteca alejandrina. Si no hubiese libros, ni documentos escritos,
pensemos qué prodigioso intervalo de tiempo serían veintitrés siglos. Con cuatro generaciones por siglo, veintitrés siglos ocupan casi un centenar de generaciones de seres humanos. Si la información se pudiese transmitir únicamente de palabra, de boca en boca, qué poco sabríamos sobre nuestro pasado, qué lento sería nuestro progreso. Todo dependería de los descubrimientos antiguos que hubiesen llegado accidentalmente a nuestros oídos, y de lo exacto que fuese el relato. Podría reverenciarse la información del pasado, pero en sucesivas transmisiones se iría haciendo cada vez más confusa y al final se perdería. Los libros nos permiten viajar a través del tiempo, explotar la sabiduría de nuestros antepasados. La biblioteca nos conecta con las intuiciones y los conocimientos extraídos penosamente de la naturaleza, de las mayores mentes que hubo jamás, con los mejores maestros, escogidos por todo el planeta y por la totalidad de nuestra historia, a fin de que nos instruyan sin cansarse, y de que nos inspiren para que hagamos nuestra propia contribución al conocimiento colectivo de la especie humana. Las bibliotecas públicas dependen de las contribuciones voluntarias. Creo que la salud de nuestra civilización, nuestro reconocimiento real de la base que sostiene nuestra cultura y nuestra preocupación por el futuro, se pueden poner a prueba por el apoyo que prestemos a nuestras bibliotecas.
Si la Tierra iniciara de nuevo su carrera con todos sus rasgos físicos repetidos, es muy improbable que volviera a emerger algo parecido a un ser humano. El proceso evolutivo se caracteriza por una poderosa aleatoriedad. El choque de un rayo cósmico con un gene diferente, la producción de una mutación distinta, puede tener consecuencias pequeñas de entrada, pero consecuencias profundas más tarde. La casualidad puede jugar un papel poderoso en biología, como lo hace en historia. Cuanto más atrás ocurran los acontecimientos críticos, más poderosa puede ser su influencia sobre el presente.
Consideremos por ejemplo nuestras manos. Todos tenemos cinco dedos, incluyendo un pulgar oponible. Nos van muy bien. Pero creo que nos irían igual de bien con seis dedos incluyendo un pulgar, o con cuatro dedos incluyendo un pulgar, o quizás con cinco dedos y dos pulgares. No hay nada intrínsecamente superior en nuestra configuración particular de dedos, que consideramos normalmente como algo natural e inevitable. Tenemos cinco dedos porque descendemos de un pez del devónico que tenía cinco falanges o huesos en sus aletas. Si hubiésemos descendido de un pez con cuatro o seis falanges, tendríamos cuatro o seis dedos en cada mano y lo consideraríamos perfectamente natural. Utilizamos una aritmética de base diez únicamente porque tenemos diez dedos en nuestras manos. [76] Si la disposición hubiese sido distinta, utilizaríamos base ocho o base doce para la aritmética y relegaríamos la base diez a las nuevas matemáticas. Creo que lo mismo es válido para aspectos más esenciales de nuestro ser: nuestro material hereditario, nuestra bioquímica interna, nuestra forma, estatura, sistemas de órganos, amores y odios, pasiones y desesperaciones, ternuras y agresión, incluso nuestros procesos analíticos: todos los cuales son, por lo menos en parte, el resultado de accidentes aparentemente menores en nuestra historia evolutiva inmensamente larga. Quizás si una libélula menos se hubiese ahogado en los pantanos del carbonífero, los organismos inteligentes de nuestro planeta tendrían hoy en día plumas y enseñarían a sus jóvenes en nidadas de grajas. La estructura de la causalidad evolutiva es un tejido de una complejidad asombrosa; nuestra comprensión es tan incompleta que nos hace humildes.
Hace exactamente sesenta y cinco millones de años nuestros antepasados eran los mamíferos menos atractivos de todos: seres con el tamaño y la inteligencia de topos o musarañas arbóreas. Se hubiese precisado un biólogo muy audaz para imaginar que estos animales llegarían eventualmente a producir un linaje que dominaría actualmente la Tierra. La Tierra estaba llena entonces de lagartos de pesadilla; terribles, los dinosaurios, seres de inmenso éxito que llenaban virtualmente todos los nichos ecológicos. Había reptiles que nadaban, reptiles que volaban y reptiles -algunos con la estatura de un edificio de seis pisos- que tronaban sobre la faz de la Tierra.

La constelación Cáncer de la obra de Julius Schiller Coelum Stillatum Christianum Concauum (páginas 72-73). Este libro, publicado en el monasterio Augusta Vindelicorum en Alemania en 1627, fue un intento fracasado por eliminar la mitología "pagana" de los cielos. Aquí el autor ha sustituido Cáncer por San Juan el Evangelista. (Cedida por la Colección Spencer, Biblioteca Pública de Nueva York, Fundaciones Astor, Lenox y Tilden. Fotografía Bill Ray.)
Nadie sabe qué barrió a los dinosaurios. Una idea evocadora propone que fue una catástrofe cósmica, la explosión de una supernova cercana, una supernova como la que produjo la Nebulosa Cangrejo. Si hubiese habido por casualidad una supernova a diez o veinte años luz del sistema solar hace unos sesenta y cinco millones de años, habría esparcido por el espacio un flujo intenso de rayos cósmicos, y algunos de estos rayos habrían penetrado la envoltura aérea de la Tierra y habrían quemado el nitrógeno de la atmósfera. Los óxidos de nitrógeno generados así habrían eliminado la capa protectora de ozono de la atmósfera, incrementando el flujo de radiación solar ultravioleta en la superficie y friendo y mutando la gran cantidad de organismos imperfectamente protegidos contra una luz ultravioleta intensa. Algunos de estos organismos pueden haber sido elementos básicos de la dieta de los dinosaurios.

Calendario astrológico indonesio de Palintangatan, impreso sobre lino en Bali, siglo diecinueve. (Cedido por la Colección Spencer, Biblioteca Pública de Nueva York, Fundaciones Astor, Lenox y Tilden.)
Hace veinte millones de años nuestros antepasados inmediatos probablemente todavía vivían en los árboles. Más tarde se bajaron porque los bosques retrocedieron durante una gran era glacial y fueron sustituidos por sabanas herbosas.
No es muy bueno estar adaptado de modo perfecto a vivir en los árboles si quedan muy pocos árboles. Muchos primates arbóreos debieron desaparecer con los bosques. Unos cuantos se ganaron a duras penas la existencia en el suelo y sobrevivieron. Y una de estas líneas evolucionó y se convirtió en nosotros. Nadie sabe la causa de este cambio climático.
Puede haber sido una pequeña variación de la luminosidad intrínseca del Sol o de la órbita de la Tierra; o erupciones volcánicas masivas que inyectaron polvo fino en la estratosfera, la cual reflejó entonces más luz solar al espacio y enfrió la Tierra. Puede haberse debido a cambios en la circulación general de los océanos. 0 quizás al paso del Sol a través de una nube de polvo galáctico. Sea cual fuere la causa, vemos de nuevo hasta qué punto está ligada nuestra existencia a acontecimientos astronómicos y geológicos casuales.

Primera página con el título de la edición en folio de las Obras de Shakespeare publicada en Londres en 1623. (Cedida por la División de Libros Raros de la Biblioteca Pública de Nueva York, Fundaciones Astor, Lenox y Tilden. Fotografía Bill Ray.)

La muerte de los dinosaurios. Una hipótesis astronómica la atribuye a la explosión de una supernova cercana, que en esta pintura de Don Davis aparece en el cielo a la derecha. Otra hipótesis supone que un gran asteroide chocó contra la Tierra; los escombros finos del impacto se mantuvieron en la estratosfera, redujeron la luz solar disponible para las plantas que los dinosaurios comían, y enfriaron la Tierra. Estos dos acontecimientos debieron suceder por lo menos una vez a lo largo de centenares de millones de años. La extinción de los reptiles inteligentes bípedos dejó el escenario libre para la evolución de los mamíferos y de los humanos.
Sus cerebros pueden muy bien haber evolucionado de dentro hacia fuera. Pueden tener elementos de conexión análogos a nuestras neuronas. Pero las neuronas pueden ser muy diferentes; quizás superconductores que funcionan a temperaturas muy bajas en lugar de aparatos orgánicos que funcionan a temperatura ambiente, en cuyo caso su velocidad de pensamiento sería 107 veces superior a la nuestra. O quizás el equivalente de las neuronas en otros mundos no está en contacto físico directo, sino comunicándose por radio, de modo que un único ser inteligente podría estar distribuido entre muchos organismos diferentes, o incluso muchos planetas distintos, cada uno con una parte de la inteligencia total, cada uno contribuyendo por radio a una inteligencia mucho mayor que él mismo. [78] Puede haber planetas en los que los seres inteligentes tengan unas 1014 conexiones neurales como nosotros. Pero puede haber lugares donde el número sea 1024 o 1034. Me pregunto qué pueden saber estos seres. Porque habitamos el mismo universo que ellos y por lo tanto tenemos que compartir información sustancial. Si pudiésemos entrar en contacto, en sus cerebros habría muchas cosas que serían de gran interés para nosotros. Pero lo contrario también es cierto. Creo que las inteligencias extraterrestres incluso seres que han evolucionado bastante más que nosotros estarán interesadas en nosotros, en lo que sabemos, en lo que pensamos, en la estructura de nuestros cerebros, en el curso de nuestra evolución, en nuestras perspectivas de futuro.
Si hay seres inteligentes en los planetas de estrellas bastante próximas, ¿es posible que sepan de nosotros? ¿Es posible que tengan alguna idea de la larga progresión evolutiva, desde los genes a los cerebros y a las bibliotecas, que ha ocurrido en el oscuro planeta Tierra? Si estos extraterrestres se quedan en casa, hay por lo menos dos maneras posibles para enterarse de nuestra existencia. Una sería escuchar con grandes radiotelescopios. Durante miles de millones de años habrían oído solamente una débil e intermitente estática de radio provocada por los relámpagos y los electrones y protones silbando atrapados dentro del campo magnético de la Tierra. Luego, hace menos de un siglo, las ondas de radio que salen de la Tierra se habrán vuelto más potentes, más intensas, menos parecidas a ruidos y más semejantes a señales. Los habitantes de la Tierra han descubierto al final la comunicación por radio. Hoy en día hay un vasto tráfico de comunicaciones internacionales por radio, televisión y radar. En algunas frecuencias de radio la Tierra se ha convertido con mucho en el objeto más brillante, la fuente de radio más potente del sistema solar, más brillante que Júpiter, más brillante que el Sol. Una civilización extraterrestre que siguiera la emisión de radio de la Tierra y recibiera estas señales no podría dejar de pensar que algo interesante está ocurriendo aquí en los últimos tiempos.
A medida que la Tierra gira, nuestros transmisores de radio más potentes barren lentamente el cielo. Un radioastrónomo en un planeta de otra estrella estaría en disposición de calcular la longitud del día en la Tierra a base de los tiempos de aparición y desaparición de nuestras señales. Algunas de nuestras fuentes más potentes son transmisores de radar; unos cuantos se utilizan para la astronomía de radar, para sondear con dedos de radio las superficies de los planetas cercanos. El tamaño del haz de radar proyectado contra el cielo es mucho mayor que el tamaño de los planetas, y gran parte de la señal se va más lejos, fuera del sistema solar y hacia las profundidades del espacio interestelar, a disposición de cualquier receptor sensible que pueda estar a la escucha. La mayoría de las transmisiones de radar sirven objetivos militares; rastrean los cielos temiendo constantemente un lanzamiento masivo de misiles con cabezas nucleares, un augurio con quince minutos de adelanto del fin de la civilización humana. El contenido informativo de estos pulsos es negligible: una sucesión de formas numéricas sencillas codificadas en forma de bips.
En general la fuente más difundida y perceptible de transmisiones de radio procedentes de la Tierra son nuestros programas de televisión. Puesto que la Tierra gira, algunas emisoras de televisión aparecerán en un horizonte de la Tierra mientras las otras desaparecen por el otro. Habrá un revoltijo confuso de programas. Una civilización avanzada en un planeta de una estrella cercana podría incluso separarlos y ordenarlos. Los mensajes repetidos con mayor frecuencia serían las sintonías de las emisoras y los llamamientos en favor de la compra de detergentes, desodorantes, tabletas contra la jaqueca, automóviles y productos petrolíferos. Los mensajes más obvios serían los transmitidos simultáneamente por muchas emisoras en muchas zonas temporales: por ejemplo discursos en tiempos de crisis internacional por el presidente de los Estados Unidos o por el primer ministro de la Unión Soviética. Los contenidos obtusos de la televisión comercial y los integumentos de las crisis internacionales y de las guerras intestinas dentro de la familia humana son los mensajes principales sobre la vida en la Tierra que seleccionamos para emitir hacia el Cosmos. ¿Qué pueden pensar de nosotros?
Es imposible hacer regresar estos programas de televisión. No hay manera de enviar un mensaje más rápido que les dé alcance y revise la transmisión anterior. Nada puede ir a velocidad mayor que la de la luz. La transmisión en gran escala de programas de televisión en el planeta Tierra no se inició hasta fines de los años 1940. Por lo tanto hay un frente de onda esférico centrado en la Tierra que se expande a la velocidad de la luz que contiene a Howdy Doody, el discurso de las Damas del entonces vicepresidente Richard M. Nixon y las inquisiciones televisadas del senador Joseph McCarthy. Puesto que estas transmisiones se emitieron hace sólo unas décadas, están a sólo unas decenas de años luz de distancia de la Tierra. Si la civilización más próxima está más lejos todavía, podemos respirar tranquilos un rato. En todo caso confío que encuentren estos programas incomprensibles.
Las dos naves espaciales Voyager van camino de las estrellas. Llevan cada una un disco fonográfico de cobre con un cartucho, una aguja y en una cubierta de aluminio del disco instrucciones para su uso. Enviamos algo sobre nuestros genes, algo sobre nuestros cerebros, y algo sobre nuestras bibliotecas a otros seres que podrían estar surcando el mar del espacio interestelar. Pero no quisimos enviar primariamente información científica. Cualquier civilización capaz de interceptar al Voyager en las profundidades del espacio interestelar, con sus transmisores muertos hace mucho tiempo, sabrá mucha más ciencia que nosotros. Quisimos en cambio decir a todos estos seres algo sobre lo que parece ser exclusivo de nosotros. Los intereses de la corteza cerebral y del sistema límbico están bien representados; el complejo R menos. Aunque los receptores quizás no sepan ninguno de los lenguajes de la Tierra, incluimos saludos en sesenta idiomas humanos, y además saludos de las ballenas yubartas. Enviamos fotografías de hombres de todas las partes del mundo que cuidan de sus semejantes, que aprenden, que fabrican herramientas y arte, y que se enfrentan con problemas. Hay una hora y media de música exquisita procedente de muchas culturas, música que expresa nuestra sensación de soledad cósmica, nuestro deseo de acabar con nuestro aislamiento, nuestras ansias de entrar en contacto con otros seres del Cosmos. Y hemos enviado grabaciones de los sonidos que se habrían oído en nuestro planeta desde los primeros días, antes del origen de la vida, hasta la evolución de la especie humana y de nuestra más reciente tecnología, en pleno crecimiento. Es, como los sonidos de cualquier ballena yubarta, una especie de canción de amor lanzada a la vastitud de las profundidades. Muchas partes de nuestro mensaje, quizás la mayoría, serán indescifrables. Pero lo hemos enviado porque era importante intentarlo.
De acuerdo con este espíritu incluimos en la nave espacial Voyager los pensamientos y sensaciones de una persona, la actividad eléctrica de su cerebro, corazón, ojos y músculos, que se grabaron durante una hora, se transcribieron en sonido, se comprimieron en el tiempo y se incorporaron al disco. En cierto sentido hemos lanzado al Cosmos una transcripción directa de los pensamientos y sensaciones de un ser humano en el mes de junio del año 1977 en el planeta Tierra. Quizás los receptores no sacarán nada de él, o pensarán que es una grabación de un pulsar, porque se parece a ella de un modo superficial. O quizás una civilización increíblemente más avanzada que nosotros será capaz de descifrar estos pensamientos y sensaciones grabadas y de apreciar nuestros esfuerzos por compartirnos con ellos.
La información de nuestros genes es muy vieja: la edad de gran parte de ella es de millones de años, algunas partes tienen miles de millones de años. En cambio la información de nuestros libros tiene como máximo unos miles de años de edad, y la de nuestros cerebros es de sólo unas décadas. La información de más larga vida no es la información característicamente humana. Debido a la erosión de la Tierra nuestros monumentos y artefactos no sobrevivirán, en el curso natural de los acontecimientos, hasta un futuro distante. Pero el disco Voyager está viajando hacia el exterior del sistema solar. La erosión en el espacio interestelar debida principalmente a rayos cósmicos y a los impactos de granos de polvo es tan lenta que la información en el disco durará mil millones de años.

El disco interestelar Voyager. Las dos naves espaciales Voyager, después de explorar los planetas gigantes, abandonarán el sistema solar, y por ello llevan mensajes dirigidos a cualquier civilización interestelar que pueda encontrarlos. La cubierta del disco (derecha) da instrucciones en notación científica para tocar el disco e indicaciones sobre la posición y época actual de la Tierra. Dentro está el disco (izquierda). Durará mil millones de años.
El mensaje Voyager se desplaza a una lentitud desesperante. Es el objeto más rápido lanzado nunca por la especie humana, pero tardará decenas de miles de años en recorrer la distancia que nos separa de la estrella más próxima. Cualquier programa de televisión atraviesa en horas la distancia que el Voyager ha cubierto en años. Una transmisión de televisión que acaba de estar ahora mismo en el aire, en unas cuantas horas dará alcance a la nave espacial Voyager en la región de Saturno, y más allá, y continuará su carrera hacia las estrellas. Si va en la correspondiente dirección alcanzará Alpha Centauri en algo más de cuatro años. Si dentro de unas décadas o de unos siglos alguien en el espacio exterior oye nuestras emisiones de televisión, espero que piense bien de nosotros, porque somos el producto de quince mil millones de años de evolución cósmica, la metamorfosis local de la materia en consciencia. Nuestra inteligencia nos ha dotado recientemente de poderes terribles. No está todavía claro que tengamos la sabiduría necesaria para evitar nuestra propia destrucción. Pero muchos de nosotros están luchando duro por conseguirlo. Confiamos que muy pronto, en la perspectiva del tiempo cósmico, habremos unificado pacíficamente nuestro planeta con una organización que respete la vida de todo ser vivo que lo habita, y que esté dispuesta a dar el siguiente gran paso, convertirse en parte de una sociedad galáctica de civilizaciones en comunicación.
Capítulo 12
Enciclopedia galáctica
“¿Tú qué eres? ¿De dónde viniste? Nunca vi nada semejante a ti.” El Cuervo Creador miró al Hombre y... se sorprendió de que este extraño y nuevo ser fuera tan parecido a él.
Mito esquimal de la creación
El cielo ha sido fundado,
La Tierra ha sido fundada,
¿Quién ha de vivir ahora, oh dioses?
Crónica azteca, La historia de los Reinos
Sé que algunos dirán que soy demasiado atrevido con estas afirmaciones sobre los planetas, y que subimos allí a través de muchas probabilidades, y si por casualidad una de ellas es falsa y contraria a lo supuesto, arruinaría como un mal fundamento todo el edificio, y lo haría caer por los suelos. Pero... si suponemos, tal como hicimos, que la Tierra es uno de los planetas, de dignidad y honor igual al resto, ¿quién se atrevería a decir que no puede encontrarse en otro lugar nadie que disfrute del glorioso espectáculo de las obras de la naturaleza? ¿O que si hubiese otros espectadores que nos acompañan nosotros deberíamos ser los únicos que han entrado a fondo en sus secretos y su conocimiento?
Christiaan Huygens, Nuevas conjeturas referentes a los mundos planetarios, sus habitantes y sus producciones, hacia 1690
El autor de la Naturaleza ha hecho imposible que en nuestro estado actual tengamos alguna comunicación desde esta tierra con los demás grandes cuerpos del universo; y es posible que haya cortado de igual modo toda comunicación entre los demás planetas, y entre los diferentes sistemas... Observamos en todos ellos cosas suficientes para provocar nuestra curiosidad, pero no para satisfacerla... No parece conforme con la sabiduría que resplandece a través de toda la naturaleza suponer que deberíamos ver tan lejos y que nuestra curiosidad debería ser excitada hasta tal punto... sólo para quedar defraudado al final... Esto nos conduce, pues, de modo natural a considerar nuestro estado actual sólo como el alba o inicio de nuestra existencia, como un estado de preparación o de examen para futuros avances...
Colin MacLaurin, 1748
No puede haber un lenguaje más universal y más simple, más libre de errores y de oscuridades... más digno de expresar las relaciones invariables de las cosas naturales [que las matemáticas]. Interpreta [todos los fenómenos] con el mismo lenguaje, como si quisiera atestiguar la unidad y simplicidad del plan del universo, y hacer aún más evidente este orden inalterable que preside todas las causas naturales.
Joseph Fourier, Teoría analítica del color, 1822

El mensaje interestelar de Arecibo. El día 16 de noviembre de 1974 se transmitió una señal de radio desde el observatorio de Arecibo hacia el cúmulo globular M13, que dista unos 25 000 años luz, lejos del plano de la galaxia Vía Láctea. La señal contenía 1 679 bits de información. Pero 1 679 = 73 x 23, es el producto de dos números primos, lo cual sugiere ordenar los bits en una matriz de 73 x 23, que da esta imagen. La fila superior establece una convención para contar en binario; la segunda especifica los números atómicos de los elementos químicos hidrógeno, carbono, nitrógeno, oxígeno y fósforo, de los cuales estamos compuestos (capítulo 9). Los bloques verde y azul representan en estos términos, de modo respectivo y numérico, el espinazo del ADN formado por nucleótidos y fosfato de azúcar (capítulo 2). El bloque blanco vertical representa el número de nucleótidos en los genes del ser rojo, cuya población total es el número de la derecha, y cuya estatura está indicada por el número de su izquierda (en unidades de la longitud de onda de la transmisión, 12.6 centímetros). El sistema planetario de este ser está en amarillo, y su tercer planeta tiene alguna importancia especial. En violeta está el radiotelescopio que transmitió el mensaje. Su tamaño viene dado entre las líneas horizontales. (Cedido por el observatorio de Arecibo; Centro Nacional de Astronomía y de la Ionosfera, Universidad de Cornell.)

Jean François Champollion (1790-1832), que descifró los jeroglíficos egipcios. Retrato de Leon Cogniet, 1831. (Cedido por el Louvre, Réunion des musées nationaux, París.)
Es una atracción que los hombres ya hemos sentido en otras ocasiones.
En 1801 un físico llamado Joseph Fourier[79] era el prefecto de un departement de Francia llamado Isere. Mientras inspeccionaba las escuelas de su provincia, Fourier descubrió a un chico de once años cuya notable inteligencia y perspicacia con las lenguas orientales le había ganado ya la atención admirada de los estudiosos. Fourier le invitó a casa para charlar un rato.
El chico quedó fascinado por la colección que Fourier poseía de objetos egipcios, reunidos durante la expedición napoleónica en la que él se había encargado de catalogar los monumentos astronómicos de aquella antigua civilización. Las inscripciones jeroglíficos provocaron una sensación de maravilla en el chico.
“¿Pero, qué significan?”, preguntó. “Nadie lo sabe”, fue la respuesta. El nombre del chico era Jean François Champollion. Entusiasmado por el misterio del lenguaje que nadie podía leer, se convirtió en un magnífico lingüista y se sumergió apasionadamente en la antigua escritura egipcia.
En aquella época, Francia estaba inundada de objetos egipcios, robados por Napoleón y puestos luego a disposición de los estudiosos occidentales. Se publicó la descripción de la expedición y el joven Champollion la devoró. Cuando Champollion era adulto triunfó al fin: se cumplieron sus ambiciones de niño y descifró de modo brillante los antiguos jeroglíficos egipcios.
Pero hasta 1828, veintisiete años después de su entrevista con Fourier, Champollion no puede desembarcar en Egipto, el país de sus sueños. Allí navegó río arriba hasta El Cairo, siguiendo el curso del Nilo, y rindiendo homenaje a la cultura en cuyo desciframiento había trabajado tan duramente.

Las ruinas de Karnak. Portada de Descrition de l'Egypte, que Napoleón hizo publicar en 1809 después de su expedición a Egipto. (Cedida por Colecciones Especiales de UCLA.)
Llegamos finalmente a Dendera en la tarde del 16. Había una luna magnífica y estábamos a sólo una hora de los Templos. ¿Podría resistir la tentación? Se lo pregunto al más frío de los mortales... Las órdenes del momento fueron cenar y partir inmediatamente: solos y sin guías, pero armados hasta los dientes cruzamos los campos... al fin el Templo apareció ante nosotros... Se podía medir bien, pero era imposible dar una idea de su grandeza, que unía la gracia y la majestad en grado superlativo. Estuvimos allí dos horas en éxtasis, corriendo a través de las enormes salas... y tratando de leer las inscripciones exteriores a la luz de la luna. No regresamos al barco hasta las tres de la madrugada, para volver al Templo a las siete... Lo que había sido magnífico a la luz de la luna continuaba siéndolo cuando la luz del sol nos reveló todos sus detalles... En Europa no somos más que enanos y no hay nación antigua o moderna que haya concebido el arte de la arquitectura en un estilo tan sublime, grande e imponente como los antiguos egipcios. Lo ordenaron todo para que sirviera a personas de treinta metros de altura.Champollion estaba encantado al ver que podía leer casi sin esfuerzo las inscripciones de las paredes y columnas de Karnak en Dendera y en todo Egipto. Muchos antes que él habían intentado sin conseguirlo descifrar los hermosos jeroglíficos, palabra que significa esculturas sagradas.

El templo de Dendera, inundado parcialmente por las arenas del desierto. Las columnas muestran la cabeza de la diosa Hathor. De Description de l'Egypte. (Cedida por Colecciones Especiales de UCLA.)

La piedra de Rosetta, hecha de basalto legro de un metro de altura (arriba) muestra a misma inscripción en jeroglíficos egipcios, demótico y griego. Cada cartucho en el texto jeroglífico (encima del dedo, en el centro) corresponde al nombre de Tolomeo (Ptolemaios) en el texto griego (encima del dedo, abajo).
Champollion se opuso a la idea de que los jeroglíficos fueran simples metáforas pictóricas. En lugar de esto, y ayudado por una idea brillante del físico inglés Thomas Young, procedió del modo siguiente: La piedra de Rosetta había sido descubierta en 1799 por un soldado francés que trabajaba en las fortificaciones de la ciudad de Rashid situada en el Delta del Nilo, ciudad que los europeos, que en general ignoraban el árabe, llamaron Rosetta. Era una losa de un templo antiguo que contenía un mensaje que parecía idéntico en tres escrituras diferentes: con jeroglíficos en la parte superior, con una especie de jeroglífico en cursiva llamado demótico en medio, y como clave del conjunto, en griego en la parte inferior. Champollion, que dominaba el griego antiguo, leyó que la piedra había recibido aquella inscripción para conmemorar la coronación de Tolomeo V Epifanes, en la primavera del año 196 a. de C. En aquella ocasión el rey dejó en libertad a presos políticos, rebajó impuestos, hizo donaciones a los templos, perdonó a rebeldes, mejoró la preparación militar y en definitiva hizo todo lo que harían los gobernantes modernos cuando tienen intención de permanecer en su cargo.
El texto griego menciona Tolomeo muchas veces. Aproximadamente en los mismos puntos del texto jeroglífico hay un conjunto de símbolos rodeados por un oval o cartucho. Champollion razonó que aquello muy probablemente denotaba también a Tolomeo. Si eso era cierto, la escritura no podía ser fundamentalmente pictográfica o metafórica, sino que la mayoría de los símbolos tenían que corresponder a letras o sílabas. Champollion tuvo también la presencia de ánimo de contar el número de palabras griegas y el número de jeroglíficos individuales en los supuestos textos equivalentes. Los primeros eran mucho menos numerosos, lo cual sugería que los jeroglíficos eran principalmente letras y sílabas. Pero ¿qué jeroglíficos correspondían a qué letras? Por fortuna Champollion disponía de un obelisco excavado en File, que incluía el jeroglífico equivalente al nombre griego de Cleopatra. Los dos cartuchos de Tolomeo y Cleopatra reordenados para poderlos leer de izquierda a derecha aparecen en la página 296. Tolomeo empieza con P en griego (Ptolemaios); el primer símbolo del cartucho es un cuadrado. Cleopatra tiene una P como quinta letra, y en el cartucho de Cleopatra hay el mismo cuadrado en la quinta posición. Se trata de una P. La cuarta letra de Tolomeo es una L ¿está representada por el león? La segunda letra de Cleopatra es una L, y en el jeroglífico vuelve a parecer un león. El águila es una A, que aparece dos veces en Cleopatra, como era de esperar. Se está perfilando un sistema claro. Una parte significativa de los jeroglíficos egipcios son un simple código de sustitución. Pero no todo jeroglífico es una letra o una sílaba. Algunos son pictogramas. El final del cartucho de Tolomeo significa “Viviente para siempre, amado del dios Ptah”.

Los restos del Antiguo Egipto. Encima a la izquierda, una estela faraónica cubierta por las hierbas, en el Valle de los Reyes (fotografía del autor). Arriba a la derecha, los Colosos de Memnon, guardianes de un gran templo mortuorio de Amenofis III. El templo fue desmontado y aprovechado para la construcción hace 1 900 años. Las acuarelas muestran el aspecto que tenían en el siglo diecinueve los antiguos edificios egipcios, algunos parcialmente enterrados en la arena. Acuarelas encargadas por el Rey de Prusia, Federico IV. (De R. Lepsius, Denkmaeler... aus Aegypten, 1849-1859.)
Visto retrospectivamente parece casi fácil. Pero tuvieron que pasar muchos siglos para descubrirlo, y quedaba mucho trabajo por hacer, especialmente para descifrar los jeroglíficos de épocas muy anteriores. Los cartuchos eran la clave dentro de la clave, como si los faraones de Egipto hubiesen rodeado con una línea sus propios nombres para facilitar la tarea a los egiptólogos de dos mil años más tarde. Champollion se paseó por la Sala hipóstila de Karnak leyendo tranquilamente las inscripciones que habían intrigado a todo el mundo, respondiendo él mismo a la pregunta que de niño había hecho a Fourier. ¡Qué placer debió causar abrir este canal unilateral de comunicación con otra civilización, permitir que una cultura muda durante milenios hablara de su historia, magia, medicina, religión, política y filosofía!

Transliteración de un cartucho de Tolomeo de la piedra de Rosetta y de uno de Cleopatra del obelisco de File.
Las leyes de la naturaleza son idénticas en todas partes. Las formas de los espectros de estrellas y galaxias lejanas son las mismas que las del Sol o las de experimentos adecuados de laboratorio: no sólo existen los mismos elementos químicos en todas partes del universo, sino que las mismas leyes de la mecánica cuántica que gobiernan la absorción y emisión de radiación por los átomos son válidas en todas partes.
Las galaxias distantes que giran una alrededor de la otra siguen las mismas leyes de la física gravitatoria que gobiernan el movimiento de la caída de una manzana en la Tierra, o la ruta del Voyager hacia las estrellas. Las estructuras de la naturaleza son las mismas en todas partes. Un mensaje interestelar destinado a que lo comprenda una civilización emergente debería ser fácil de descifrar.
No esperamos encontrar una civilización técnica avanzada en ningún otro planeta de nuestro sistema solar. Si estuviera atrasa da sólo un poco con relación a nosotros -por ejemplo 10 000 años- no dispondría de ningún tipo de tecnología avanzada; si estuviera un poco más avanzada que nosotros -que estamos explorando ya el sistema solar- sus representantes deberían estar ya entre nosotros. Para comunicar con otras civilizaciones necesitamos un método que no sólo sea adecuado para distancias interplanetarias, sino también para distancias interestelares.
Lo ideal sería que el método fuese económico, para poder enviar a coste muy bajo enormes cantidades de información; rápido, para hacer posible un diálogo interestelar; y obvio, de modo que cualquier civilización tecnológica, sea cual fuere su camino evolutivo, lo descubra pronto. Es sorprendente, pero este método existe. Se llama radioastronomía.
El mayor observatorio semiorientable de radio/radar del planeta Tierra es la instalación de Arecibo, que la Universidad de Cornell opera para la Fundación Nacional de Ciencia. Está situado en el remoto interior dé la isla de Puerto Rico y tiene un diámetro de 305 metros, siendo su superficie reflectante una sección de una esfera aplicada a un valle preexistente en forma de olla. Recibe las ondas de radio de las profundidades del espacio y las enfoca en la antena de alimentación situada muy por encima del disco, que a su vez está conectada electrónicamente con la sala de control, donde la señal es analizada.

El observatorio de radio/radar de Arecibo en Puerto Rico. El disco hemisférico reflector está coronado por los brazos de alimentación sostenidos por tres grandes obeliscos, dos de los cuales aparecen deformados en la foto de la izquierda, tomada por Bill Ray con una lente de ojo de pez al nivel de los paneles que forman el disco. (Cedidas por el Centro Nacional de Astronomía y de la Ionosfera, Universidad de Cornell.)
El observatorio de Arecibo podría transmitir en un período de pocas semanas a un observatorio comparable de un planeta de una estrella próxima toda la Encyclopædia Britannica. Las ondas de radio se desplazan a la velocidad de la luz, 10 000 veces más rápido que un mensaje incluido en nuestra nave espacial más veloz. Los radiotelescopios generan en gamas estrechas de onda señales tan intensas que pueden detectarse a distancias interestelares inmensas. El observatorio de Arecibo podría comunicarse con un radiotelescopio idéntico situado en un planeta a 15 000 años luz de distancia, a medio camino del centro de la galaxia Vía Láctea, si supiéramos exactamente hacia dónde dirigirlo. Y la radioastronomía es una tecnología natural. Prácticamente toda atmósfera planetario, sea cual fuere su composición, tendría que ser parcialmente transparente a las ondas de radio. Los mensajes de radio no sufren mucha absorción o dispersión por el gas situado entre las estrellas, del mismo modo que una emisora de radio de San Francisco puede oírse fácilmente en Los Ángeles aunque la contaminación haya reducido allí la visibilidad en las longitudes de onda ópticas a unos pocos kilómetros. Hay muchas fuentes cósmicas de radio que son naturales y que no tienen ninguna relación con vida inteligente: pulsares y quásares, los cinturones de radiación de los planetas y las atmósferas exteriores de las estrellas; en las primeras fases del desarrollo local de la radioastronomía hay fuentes brillantes de radio a descubrir en casi cada planeta. Además la radio representa una fracción importante del espectro electromagnético. Cualquier tecnología capaz de detectar radiaciones de cualquier longitud de onda tendría que descubrir con bastante rapidez la parte de radio del espectro.
Puede haber otros métodos efectivos de comunicación que tengan méritos importantes: las naves interestelares, los láseres ópticos o infrarrojos, los neutrinos pulsados, las ondas de gravedad moduladas, o algún otro tipo de transmisión que no descubriremos ni en mil años. Las civilizaciones avanzadas pueden haberse graduado mucho más allá de la radio en sus propias comunicaciones. Pero la radio es potente, barata, rápida y sencilla. Sabrán que una civilización atrasada como la nuestra que desea recibir mensajes de los cielos es probable que recurra primero a la tecnología de radio. Quizás tendrán que sacar con ruedas los radiotelescopios de su Museo de Tecnología Antigua. Si tuviéramos que recibir un mensaje de radio, por lo menos tendríamos algo de qué hablar: de radioastronomía.
Pero, ¿hay alguien ahí fuera con quien hablar? ¿Es posible, habiendo una tercera parte o una mitad de un billón de estrellas en nuestra galaxia Vía Láctea, que la nuestra sea la única acompañada por un planeta habitado? Es mucho más probable que las civilizaciones técnicas sean una trivialidad, que la galaxia esté pulsando y vibrando con sociedades avanzadas, y por lo tanto que no esté muy lejos la cultura de este tipo más próxima: quizás esté transmitiendo con antenas instaladas en un planeta de una estrella visible a simple vista, en la casa de al lado. Quizás cuando miramos el cielo nocturno, cerca de uno de esos débiles puntos de luz hay un mundo en el cual alguien muy distinto de nosotros esté contemplando distraídamente una estrella que nosotros llamamos Sol y acariciando, sólo por un momento, una insultante especulación.
Es muy difícil estar seguros. Puede haber impedimentos graves en la evolución de una civilización técnica. Los planetas pueden ser más raros de lo que pensamos. Quizás el origen de la vida no es tan fácil como sugieren nuestros experimentos de laboratorio. Quizás la evolución de formas avanzadas de vida sea improbable. O quizás las formas de vida compleja evolucionan fácilmente pero la inteligencia y las sociedades técnicas requieren un conjunto improbable de coincidencias: del mismo modo que la evolución de la especie humana dependió del fallecimiento de los dinosaurios y de la recesión de los bosques en la era glacial; de aquellos árboles sobre los cuales nuestros antepasados se rascaban y se sorprendían vagamente de algo. 0 quizás las civilizaciones nacen de modo repetido e inexorable, en innumerables planetas de la Vía Láctea, pero son en general inestables; de modo que sólo una pequeña fracción consigue sobrevivir a su tecnología y la mayoría sucumben a la codicia y a la ignorancia, a la contaminación y a la guerra nuclear. Es posible continuar explorando este gran tema y hacer una estimación basta de N, el número de civilizaciones técnicas avanzadas en la Galaxia. Definimos una civilización avanzada como una civilización capaz de tener radioastronomía. Se trata desde luego de una definición de campanario, aunque esencial. Puede haber innumerables mundos en los que los habitantes sean perfectos lingüistas o magníficos poetas pero radioastrónomos indiferentes. No oiremos nada de ellos. N puede escribirse como el producto o multiplicación de unos cuantos factores, cada uno de los cuales es un filtro y, por otro lado, cada uno ha de tener un cierto tamaño para que haya un número grande de civilizaciones:
| N*, | número de estrellas en la galaxia Vía Láctea; |
| fp, | fracción de estrellas que tienen sistemas planetarios, |
| ne, | número de planetas en un sistema dado que son ecológicamente adecuados para la vida, |
| fl, | fracción de planetas adecuados de por sí en los que la vida nace realmente, |
| fi, | fracción de planetas habitados en los que una forma inteligente de vida evoluciona, |
| fc, | fracción de planetas habitados por seres inteligentes en los que se desarrolla una civilización técnica comunicativa; y |
| fL, | fracción de una vida planetario agraciada con una civilización técnica. |
Esta ecuación escrita se lee
N = N* fp ne fl fi fc fL.
Todas las efes son fracciones que tienen valores entre 0 y 1; e irán reduciendo el valor elevado de N*.Para derivar N hemos de estimar cada una de estas cantidades. Conocemos bastantes cosas sobre los primeros factores de la ecuación, el número de estrellas y de sistemas planetarios. Sabemos muy poco sobre los factores posteriores relativos a la evolución de la inteligencia o a la duración de la vida de las sociedades técnicas. En estos casos nuestras estimaciones serán poco más que suposiciones. Os invito, si estáis en desacuerdo con las estimaciones que doy, a proponer vuestras propias cifras y ver cómo afectan al número de civilizaciones avanzadas de la Galaxia. Una de las grandes virtudes de esta ecuación, debida originalmente a Frank Drake, de Cornell, es que incluye temas que van desde la astronomía estelar y planetario hasta la química orgánica, la biología evolutiva, la historia, la política y la psicología anormal. La ecuación de Drake abarca por sí sola gran parte del Cosmos.
Conocemos N*, el número de estrellas en la galaxia Vía Láctea, bastante bien, por recuentos cuidadosos de estrellas en regiones del cielo, pequeñas pero representativas. Es de unos cuantos centenares de miles de millones; algunas estimaciones recientes lo sitúan en 4 x 1011. Muy pocas de estas estrellas son del tipo de gran masa y corta vida que despilfarran sus reservas de combustible nuclear. La gran mayoría tienen vidas de miles de millones de años o más durante los cuales brillan de modo estable proporcionando una fuente de energía adecuada para el origen y evolución de la vida de planetas cercanos.

En nuestro propio sistema solar hay varios cuerpos que pueden ser adecuados para algún tipo de vida: la Tierra seguro, y quizás Marte, Titán y Júpiter. Una vez la vida nace, tiende a ser muy adaptable y tenaz. Tiene que haber muchos ambientes diferentes adecuados para la vida en un sistema planetario dado. Pero escojamos de modo conservador ne = 2. Entonces el número de planetas en la Galaxia adecuados para la vida resulta:
N* fp ne « 3 x 1011.
Los experimentos demuestran que la base molecular de la vida, los bloques constructivos de moléculas capaces de hacer copias de sí mismas, se constituye de modo fácil en las condiciones cósmicas más corrientes. Ahora pisamos un terreno menos seguro; puede haber por ejemplo impedimentos en la evolución del código genético, aunque yo creo que esto es improbable después de miles de millones de años de química primigenio. Escogemos fl « 1/3, implicando con esto que el número total de planetas en la Vía Láctea en los cuales la vida ha hecho su aparición por lo menos una vez es N* fp ne fl « 1 x 1011, un centenar de miles de millones de mundos habitados. Esta conclusión es de por sí notable. Pero todavía no hemos acabado.La elección de fi y de fc es más difícil. Por una parte tuvieron que darse muchos pasos individualmente improbables en la evolución biológica y en la historia humana para que se desarrollara nuestra inteligencia y tecnología actuales. Por otra parte tiene que haber muchos caminos muy diferentes que desemboquen en una civilización avanzada de capacidades específicas. Tengamos en cuenta la dificultad aparente que para la evolución de grandes organismos supone la explosión del cámbrico, y escojamos fi x fc = 1/100; es decir que sólo un uno por ciento de los planetas en los cuales nace la vida llegan a producir una civilización técnica. Esta estimación representa un punto medio entre opiniones científicas opuestas.
Algunos piensan que el proceso equivalente al que va de la emergencia de los trilobites a la domesticación del fuego se da de modo fulminante en todos los sistemas planetarios; otros piensan que aunque se disponga de diez o de quince mil millones de años, la evolución de civilizaciones técnicas es improbable. Se trata de un tema que no permite muchos experimentos mientras nuestras investigaciones estén limitadas a un único planeta. Multiplicando todos estos factores obtenemos N* fp ne fl fi fc « 1 x 109, mil millones de planetas donde han aparecido por lo menos una vez civilizaciones técnicas. Pero esto es muy distinto a afirmar que hay mil millones de planetas en los que ahora existe una civilización técnica. Para ello tenemos que estimar también fL.
¿Qué porcentaje de la vida de un planeta está marcado por una civilización técnica? La Tierra ha albergado una civilización técnica caracterizada por la radioastronomía desde hace sólo unas décadas, y su vida total es de unos cuantos miles de millones de años. Por lo tanto, si nos limitamos a nuestro planeta fL por ahora inferior a í/íos, una millonésima de uno por ciento. No está excluido en absoluto que nos destruyamos mañana mismo. Supongamos que éste fuera un caso típico, y la destrucción tan completa que ninguna civilización técnica más o de la especie humana o de otra especie cualquiera fuera capaz de emerger en los cinco mil millones de años más o menos que quedan antes de que el Sol muera. Entonces N = N* fp ne fl fi fc « 10 y en cualquier momento dado sólo habría una reducida cantidad, un puñado, una miseria de civilizaciones técnicas en la Galaxia, y su número se mantendría continuamente a medida que las sociedades emergentes sustituirían a las que acababan de autoinmolarse.
El número N podría incluso ser de sólo 1. Si las civilizaciones tienden a destruirse poco después de alcanzar la fase tecnológica, quizás no haya nadie con quien podamos hablar aparte de nosotros mismos, y esto no lo hacemos de modo muy brillante. Las civilizaciones tardarían en nacer miles de millones de años de tortuosa evolución, y luego se volatilizarían en un instante de imperdonable negligencia.
Pero consideremos la alternativa, la perspectiva de que por lo menos algunas civilizaciones aprendan a vivir con una alta tecnología; que las contradicciones planteadas por los caprichos de la pasada evolución cerebral se resuelvan de modo consciente y no conduzcan a la autodestrucción; o que, aunque se produzcan perturbaciones importantes, queden invertidas en los miles de millones de años siguientes de evolución biológica. Estas sociedades podrían vivir hasta alcanzar una próspera vejez, con unas vidas que se medirían quizás en escalas temporales evolutivas de tipo geológico o estelar.
Si el uno por ciento de las civilizaciones pueden sobrevivir a su adolescencia tecnológica, escoger la ramificación adecuada en este punto histórico crítico y conseguir la madurez, entonces Íl « 1 / 100, N « 107, y el número de civilizaciones existentes en la Galaxia es de millones. Por lo tanto, si bien nos preocupa la posible falta de confianza en la estimación de los primeros factores de la ecuación de Drake, que dependen de la astronomía, la química orgánica y la biología evolutiva, la principal incertidumbre afecta a la economía y la política y lo que en la Tierra denominamos naturaleza humana. Parece bastante claro que si la autodestrucción no es el destino predominante de las civilizaciones galácticas, el cielo está vibrando suavemente con mensajes de las estrellas.
Estas estimaciones son excitantes. Sugieren que la recepción de un mensaje del espacio es, incluso sin descifrarlo, un signo profundamente esperanzador. Significa que alguien ha aprendido a vivir con la alta tecnología; que es posible sobrevivir a la adolescencia tecnológica. Esta razón, con toda independencia del contenido del mensaje, proporciona por sí sólo una poderosa justificación para la búsqueda de otras civilizaciones.
Si hay millones de civilizaciones distribuidas de modo más o menos casual a través de la Galaxia, la distancia a la más próxima es de unos doscientos años luz. Incluso a la velocidad de la luz un mensaje de radio tardaría dos siglos en llegar desde allí. Si hubiésemos iniciado nosotros el diálogo, sería como si Johannes Kepler hubiese preguntado algo y nosotros recibiéramos ahora la respuesta. Es más lógico que escuchemos en lugar de enviar mensajes, sobre todo porque, al ser novicios en radioastronomía, tenemos que estar relativamente atrasados y la civilización transmisora avanzada. Como es lógico, si una civilización estuviera más avanzada, las posiciones se invertirían.
Estamos en las primeras fases de la búsqueda por radio de otras civilizaciones en el espacio. En una fotografía óptica de un campo denso de estrellas, hay centenares de miles de estrellas. Si nos basamos en nuestras estimaciones más optimistas, una de ellas es sede de una civilización avanzada. Pero ¿cuál? ¿Hacia qué estrella tenemos que apuntar nuestros radiotelescopios? Hasta ahora, de los millones de estrellas que pueden señalar la localización de civilizaciones avanzadas, sólo hemos examinado por radio unos pocos millares. Hemos llevado a cabo una décima parte de un uno por ciento del esfuerzo necesario. Pero una investigación seria, rigurosa y sistemática no puede tardar. Los pasos preparatorios están ya en marcha, tanto en los Estados Unidos como en la Unión Soviética. Es algo relativamente barato: el coste de una unidad naval de tamaño intermedio -por ejemplo un moderno destructor- sería suficiente para pagar un programa de una década de duración en busca de inteligencias extraterrestres.
Los encuentros benevolentes no han sido lo normal en la historia humana, cuando los contactos transculturales han sido directos y físicos, cosa muy diferente de la recepción de una señal de radio, un contacto tan suave como un beso. Sin embargo, es instructivo examinar uno o dos casos del pasado, por lo menos para calibrar nuestras expectativas: entre las épocas de las revoluciones norteamericana y francesa, Luis XVI de Francia organizó una expedición al océano Pacífico, un viaje con objetivos científicos, geográficos, económicos y nacionalistas. El comandante era el conde de La Pérouse, un explorador de fama que había luchado a favor de los Estados Unidos en su guerra de Independencia. En julio de 1786, casi un año después de hacerse a la mar, alcanzó en la costa de Alaska un lugar llamado hoy Bahía Lituya.

Los habitantes tlingit de Port Français (actualmente Bahía Lituya, Alaska) donde lean François de Galaup, conde de La Pérouse (1741-hacia 1788) tomó tierra en 1786. (De la obra de L. M. A. D. Milet-Mureau Voyage de La Perouse autour du monde, 1797.)
Observé la presencia de algunos salvajes, que hacían señales de amistad desplegando y ondeando capas blancas y diferentes pieles. Algunas de las canoas de estos indios estaban pescando en la bahía... [Nos] rodeaban continuamente las canoas de los salvajes, quienes nos ofrecían pescado, pieles de nutria y de otros animales y diversos artículos menores de vestir a cambio de nuestro hierro. Nos sorprendió mucho observar que parecían muy acostumbrados a traficar, y que regateaban con nosotros con tanta habilidad como cualquier comerciante europeo.Los nativos americanos pedían cada vez más a cambio de sus mercancías. Recurrieron también al robo, sobre todo de objetos de hierro, con la consiguiente irritación de La Pérouse, pero en una ocasión robaron los uniformes de oficiales de la marina francesa que ellos habían ocultado debajo de sus almohadones cuando dormían por la noche rodeados de guardias armados: una hazaña digna de Harry Houdini. La Pérouse cumplía sus órdenes reales de comportarse pacíficamente, pero se quejó de que los nativos creyesen que podíamos aguantarlo todo. Su sociedad le inspiraba desdén, pero no se causó ningún daño serio por parte de una cultura a la otra. La Pérouse, después de aprovisionar sus dos buques, partió de la Bahía de Lituya, para no regresar jamás. La expedición se perdió en el sur del Pacífico en 1788; perecieron La Pérouse y todos los miembros de su tripulación excepto uno. [80]
Exactamente un siglo después Cowee, un jefe de los tlingit, relató al antropólogo canadiense G. T. Emmons una historia del primer encuentro de sus antepasados con el hombre blanco, una narración transmitida únicamente de palabra. Los tlingit no tenían documentos escritos, ni Cowee había oído hablar nunca de La Pérouse. He aquí una paráfrasis de la historia de Cowee:
A fines de una primavera, un grupo importante de tlingit se aventuró hacia Yakutat, al norte, para comerciar con cobre. El hierro era aún más precioso, pero no había modo de conseguirlo.Los tlingit habían preservado en su tradición oral una relación absolutamente reconocible y exacta de su primer encuentro, casi totalmente pacífico, con una cultura extraña.[81]
Al entrar cuatro canoas en la Bahía de Lituya fueron tragadas por las olas. Mientras los supervivientes acampaban y lloraban a sus compañeros perdidos, dos objetos entraron en la Bahía. Nadie sabía qué eran. Parecían grandes pájaros negros con inmensas alas blancas. Los tlingit creían que el mundo había sido creado por un gran pájaro que a menudo tomaba la forma de un cuervo, un pájaro que había liberado al Sol, la Luna y las estrellas de las cajas donde estaban prisioneros. Mirar el Cuervo equivalía a quedar convertido en piedra. Los tlingit, asustados, huyeron al bosque y se escondieron. Pero al cabo de un tiempo, al ver que extraños no habían sufrido ningún daño, algunos con más iniciativa se arrastraron hasta fuera y arrollaron hojas de yaro en forma de primitivos telescopios creyendo que esto les impediría convertirse en piedra. A través de la hoja de col parecía que los grandes pájaros estaban plegando sus alas y que rebaños de pequeños mensajeros negros salían de sus cuerpos y se arrastraban sobre sus plumas.
Entonces un viejo guerrero, casi ciego, reunió a su gente y anunció que su vida se había cumplido hacía tiempo; estaba decidido, en bien de todos, a comprobar si el Cuervo quería convertir a sus hijos en piedra. Se puso su traje de piel de nutria, se metió en su canoa y le llevaron remando hacia el Cuervo, dentro del mar. Se encaramó encima suyo y oyó extrañas voces. Su vista debilitada apenas le permitía distinguir la gran cantidad de formas negras que se movían ante él. Quizás eran cuervos. Cuando regresó sin daño su gente se amontonó a su alrededor admirada de verle vivo. Le tocaron y le olieron para ver si era realmente él. Después de pensarlo mucho, el anciano se convenció de que aquello no era el dios cuervo que les visitaba sino una canoa gigante construida por personas. Las figuras negras no eran cuervos sino personas de un tipo distinto. Convenció a los tlingit, quienes se decidieron a visitar los buques y a intercambiar sus pieles por muchos artículos extraños, especialmente hierro.
Si algún día entramos en contacto con una civilización extraterrestre más avanzada, ¿será el encuentro esencialmente pacífico, aunque poco intenso, como el de los franceses con los tlingit, o seguirá otro prototipo más terrible, en el cual la sociedad algo más avanzada destruye a la sociedad técnicamente más atrasada?
A principios del siglo dieciséis floreció en el México central una alta civilización. Los aztecas tenían una arquitectura monumental, un sistema elaborado de registro de datos, un arte exquisito y un calendario astronómico superior a cualquiera de Europa.

Visión azteca de la conquista de México, siglo dieciséis. Los caballos y las armas de fuego, incluyendo "el gran cañón Lombardo" fueron elementos importantes en la completa derrota infligida por Cortés. Del Lienzo Tlaxcala. (Cedida por Colecciones Especiales UCLA.)
Moctezuma [el emperador azteca] quedó conmovido, horrorizado por lo que oyó. Quedó muy perplejo por su comida, pero lo que le hizo casi desmayarse fue la historia del gran cañón lombardo que obedeciendo a los españoles, lanzaba una descarga que retumbaba al salir. El ruido debilitaba y mareaba a quien lo oía. Salía de él una especie de piedra, seguida por una lluvia de fuego y de chispas. El humo era asfixiante, tenía un olor que mareaba, fétido. Y cuando el disparo daba contra una montaña la hacía pedazos, la disolvía. Reducía un árbol a aserrín: el árbol desaparecía como llevado por un soplo... Cuando contaron todo esto a Moctezuma quedó aterrorizado. Se sintió enfermo. El corazón le fallaba.Continuaron llegando más informes: “No somos tan fuertes como ellos”, dijeron a Moctezuma. “No somos nada comparados con ellos”. Los españoles empezaron a recibir el nombre de “Dioses llegados de los Cielos”. Sin embargo, los aztecas no se hacían ilusiones sobre los españoles, a los que describían con estas palabras:
Se apoderaban del oro como si fueran monos, con el rostro congestionado. Era evidente que su sed de oro no tenía límites: querían atiborrarse de oro como cerdos. Iban hurgando por todas partes, se llevaban los gallardetes de oro y los trasladaban de un lado a otro, agarrándolos para que no se les escaparan, balbuceando, contándose necedades unos a otros.Pero sus intuiciones sobre el carácter español no les sirvieron para defenderse. En 1517 se había visto en México un gran cometa. Moctezuma, obsesionado por la leyenda del retorno del dios azteca Quetzalcóatl en forma de hombre de piel blanca, que llegaría por el mar oriental, ejecutó rápidamente a sus astrólogos. No habían predicho el cometa, ni lo habían explicado.

El Sol mira impasible mientras los conquistadores y sus aliados mexicanos -uno de ellos con el tocado ceremonial de un pájaro acuático- hacen una carnicería con los aztecas mal armados y desmoralizados. Del Lienzo Tlaxcala. (Cedida por Colecciones Especiales UCLA.)
Somos necesariamente la sociedad técnica más atrasada de la Galaxia. Una sociedad más atrasada ya no dispondría de radioastronomía. Si la triste experiencia del conflicto cultural en la Tierra fuera la norma en la Galaxia, parece que nos tendrían que haber destruido ya, quizás después de expresar una cierta admiración por Shakespeare, Bach y Vermeer. Pero no ha sido así. Quizás las intenciones de los extraterrestres son de una benignidad a toda prueba, más afín a La Pérouse que a Cortés. ¿O quizás a pesar de todas las pretensiones sobre ovnis y antiguos astronautas, nuestra civilización no ha sido descubierta todavía?
Por una parte hemos afirmado que si hay una fracción, incluso pequeña, de civilizaciones técnicas que aprenden a vivir consigo mismo y con sus armas de destrucción masiva, tendría que haber actualmente un número enorme de civilizaciones avanzadas en la Galaxia. Tenemos ya vuelos interestelares lentos, y pensamos que el vuelo interestelar rápido es un objetivo posible de la especie humana. Por otra parte afirmamos que no hay pruebas creíbles sobre visitas a la Tierra, ahora o antes. ¿No es esto una contradicción? Si la civilización más cercana está digamos a 200 años luz de distancia, se necesitan sólo 200 años para ir hasta allí a una velocidad cercana a la de la luz. Incluso a uno por ciento de la velocidad de la luz, los seres procedentes de civilizaciones cercanas podrían haber llegado durante la tenencia de la Tierra por la humanidad. ¿Por qué no están ya aquí? Hay muchas respuestas posibles. Quizás somos los primeros, aunque esto está en contradicción con la herencia de Aristarco y de Copérnico. Alguna civilización técnica tiene que ser la primera en emerger en la historia de la Galaxia. Quizás estamos equivocados al creer que hay por lo menos alguna civilización que evita la autodestrucción. Quizás haya algún problema imprevisto que se opone al vuelo espacial; aunque a velocidades muy inferiores a las de la luz parece difícil entender en qué consistiría un impedimento de este tipo. 0 quizás estén ya aquí, pero ocultos por respeto a alguna Lex Galáctica, a alguna ética de no interferencia con civilizaciones emergentes. Podemos imaginárnoslos curiosos y desapasionados, observándonos, como nosotros observaríamos un cultivo bacteriano en un plato de agar, preguntándose si también en este año conseguiremos evitar la autodestrucción.

Representación esquemática de una civilización técnica avanzada que reconstruye su sistema solar formando una cáscara esférica de materia que rodea el Sol local para que la valiosa luz solar no se pierda casi toda en el espacio. Pintura de Jon Lomberg.
Una civilización técnica emergente, después de explorar su sistema planetario original y de desarrollar el vuelo espacial interestelar, empezaría a explorar de modo lento y por tanteo las estrellas cercanas. Algunas estrellas carecerán de planetas adecuados: quizás todos serán mundos gaseosos gigantes o diminutos asteroides. Otros contarán con un séquito de planetas adecuados, pero algunos estarán ya habitados o la atmósfera será venenosa o el clima inconfortable. En muchos casos los colonos tendrán que cambiar un mundo -o como diríamos en casa, terraformarlo- para hacerlo más adecuado y benigno. La reingenierización de un planeta exigirá tiempo.

Una gran nube de estrellas en la constelación de Sagitario, en la dirección del centro de la galaxia Vía Láctea. Las pistas de polvo oscurecedor contienen moléculas orgánicas; algunas contienen estrellas en las primeras fases de formación. En esta fotografía hay unos diez millones de estrellas. Según las estimaciones del presente capítulo, una de ellas es el sol de una civilización más avanzada que la nuestra. (Cedida por los observatorios Hale.)
Es posible que en una época posterior, con colonias de tercer orden u orden superior desarrollando nuevos mundos, se descubrirá otra civilización independiente en expansión.

Tres instantáneas de una película que muestra la difusión, a través de una pequeña región de la galaxia, de una civilización viajera del espacio interestelar, capaz de desplazarse recorriendo únicamente en cada misión unos cuantos años luz. Funda entonces una colonia local que con posterioridad organiza nuevas misiones. (Animación de Dov Jacobson.)
Incluso civilizaciones próximas podrían pasar millones de años en empresas coloniales de ese tipo, conjuntas o separadas, sin tropezar nunca con un oscuro sistema solar.
Ninguna civilización puede probablemente sobrevivir a una fase de viajes espaciales si no limita antes su número. Cualquier sociedad con una notable explosión de población se verá obligada a dedicar todas sus energías y su habilidad técnica a alimentar y cuidar de la población de su planeta de origen. Esta conclusión es muy potente y no se basa en absoluto en la idiosincrasia de una civilización concreta. En cualquier planeta, sea cual fuere su biología o su sistema social, un aumento exponencial de población se tragará todos los recursos. En cambio, toda civilización que se dedique a una exploración y colonización interestelar seria tiene que haber practicado durante muchas generaciones un crecimiento cero de población o algo muy próximo a él. Pero una civilización con un ritmo lento en el crecimiento de su población necesitará largo tiempo para colonizar muchos mundos, aunque después de encontrar algún fértil Edén se levanten las restricciones que impiden un crecimiento rápido de la población.
Mi colega William Newman y yo hemos calculado que si hubiese emergido hace un millón de años una civilización de viajeros espaciales con un ritmo de crecimiento lento de la población a doscientos años luz de distancia y se hubiese extendido hacia el exterior colonizando en su camino los mundos adecuados, hasta ahora no estarían entrando sus naves estelares de exploración en nuestro sistema solar. Si la civilización más próxima es más joven de lo indicado, todavía no nos habrían alcanzado. Una esfera de doscientos años luz de radio contiene 200 000 soles y quizás un número comparable de mundos de posible colonización. Nuestro sistema solar sería descubierto accidentalmente, si el proceso sigue un desarrollo normal, después de haberse colonizado 200 000 mundos más, y entonces se comprobaría que contiene una civilización indígena.
¿Qué significa que una civilización tenga un millón de años de edad? Tenemos radiotelescopios y naves espaciales desde hace unas cuantas décadas; nuestra civilización técnica tiene unos cuantos centenares de años de edad, las ideas científicas de tipo moderno unos cuantos milenios, los seres humanos evolucionaron en este planeta hace sólo unos millones de años. Si una civilización sigue un ritmo semejante en cierto modo a nuestro actual progreso técnico, una edad de millones de años significa estar mucho más avanzados de nosotros que nosotros de un bebé bosquimano o de un macaco. ¿Podríamos captar siquiera su presencia? ¿Estaría interesada en la colonización o en el vuelo interestelar una sociedad que nos llevara un millón de años de adelanto? La gente tiene su vida limitada en el tiempo por algún motivo. Un progreso enorme en las ciencias biológicas y médicas permitiría descubrir este motivo y aplicar los remedios correspondientes.

Una civilización colonial interestelar, que se difunde de un sistema estelar a otro dando saltos relativamente cortos (verde) se encuentra con otra civilización (rojo) capaz de realizar viajes más largos. (Animación de Dov Jacobson.)
Un tema estándar de la ciencia ficción y de la literatura sobre ovnis es suponer que los extraterrestres son más o menos capaces de lo mismo que nosotros. Quizás disponen de un tipo distinto de nave espacial o de un cañón de rayos, pero en las batallas y a la ciencia ficción le gusta describir batallas entre civilizaciones ellos y nosotros estamos más o menos igualados. De hecho es casi imposible que dos civilizaciones galácticas entren en interacción al mismo nivel. En cualquier enfrentamiento una de ellas dominará de modo absoluto a la otra. Un millón de años son muchos años. Si llegara una civilización avanzada a nuestro sistema solar, seríamos totalmente impotentes ante ella. Su ciencia y su tecnología superarían en mucho a la nuestra. Es inútil preocuparse sobre las posibles intenciones malévolas de una civilización avanzada con la cual podríamos entrar en contacto. Es muy probable que el solo hecho de que hayan sobrevivido tanto tiempo demuestra que han aprendido a vivir con ellos mismos y con los demás. Quizás el miedo a un contacto extraterrestre sea una simple proyección de nuestro retraso, una expresión de nuestra consciencia culpable ante nuestra historia pasada: los estragos causados en civilizaciones que estaban sólo algo más atrasadas que las nuestras. Recordemos a Colón y los arawaks, a Cortés y los aztecas, incluso el destino de los tlingit en las generaciones posteriores a La Pérouse. Lo recordarnos y nos preocupamos. Pero si una armada interestelar aparece en los cielos yo predigo que será muy acomodaticio.
Es mucho más probable un tipo de contacto muy diferente: el caso que ya hemos discutido en el cual nosotros recibimos un mensaje rico y complejo, probablemente por radio, procedente de otra civilización en el espacio, pero con la cual y por lo menos durante un tiempo no entramos en contacto físico. En este caso la civilización transmisora no dispone de medios para saber si hemos recibido el mensaje. Si encontramos el contenido ofensivo o atemorizador, no estamos obligados a contestar. Pero si el mensaje contiene información valiosa, las consecuencias para nuestra civilización serán asombrosas: penetrar en la ciencia y la tecnología de los extraterrestres, su arte, música, política, ética, filosofía y religión, y sobre todo conseguir una desprovincialización profunda de la condición humana. Veremos qué cosas más son posibles.

Mundos hipotéticos de la Encyclopædia Galactica. Arriba derecha e izquierda: Un planeta y sus dos lunas con sus superficies destruidas por una explosión de una supernova cercana. Centro izquierda y derecha: Un mundo oceánico semejante a la Tierra con dos grandes lunas. Abajo izquierda: Un planeta terrestre con grandes obras de ingeniería visibles en su lado nocturno. Es una civilización algo más avanzada que nosotros y que podría enviar nuestro primer mensaje interestelar de radio. Abajo a la derecha: Una civilización todavía más avanzada que construye un sistema habitable en anillo alrededor de su planeta madre. (Pinturas, respectivamente, de Rick Sternbach, David Egge, Rick Sternbach, David Egge, John Allison y Jon Lomberg.)

Posibles resúmenes por computadora de dos civilizaciones avanzadas tomados de la Encyclopaedia Galáctica (Por Jor Lomberg y el autor)

Resumen posible de una civilización técnica de reciente emergencia sacado de la Encyclopaedia Galactica. (Por Jon Lomberg y el autor.)
Sería fácil para los extraterrestres hacer un mensaje interestelar artificial carente de ambigüedad. Por ejemplo los primeros números primos, los números que sólo son divisibles por ellos mismos y por la unidad son 1, 2, 3,5, 7, 11, 13, 17, 19, 23. Es muy improbable que cualquier proceso físico natural pueda transmitir mensajes de radio que sólo contenga números primos. Si recibiéramos un mensaje de este tipo deduciríamos que allí fuera hay una civilización que por lo menos se entusiasma con los números primos. Pero el caso más probable es que la comunicación interestelar sea una especie de palimpsesto, como los palimpsestos de antiguos escritores que no disponían de papiro o piedra suficiente y sobreponían sus mensajes a los ya existentes. Quizás en una frecuencia adyacente o con un ritmo más rápido habrá otro mensaje que será una especie de texto elemental, de introducción al lenguaje del discurso interestelar. El texto elemental se irá repitiendo una y otra vez porque la civilización transmisora no sabrá en absoluto cuándo empezaremos a sintonizar el mensaje. Y luego, a un nivel más profundo del palimpsesto, por debajo de la señal de sintonía y del texto elemental, habrá el mensaje real. La tecnología de la radio permite que este mensaje sea increíblemente rico. Quizás cuando lo sintonicemos nos encontraremos a mitad del volumen 3 267 de la Encyclopaedia Galactica.
Descubriremos entonces la naturaleza de otras civilizaciones. Habrá muchas, compuestas cada cual por organismos asombrosamente diferentes de cualquier organismo de nuestro planeta. Su visión del universo será algo distinta. Tendrán diferentes funciones artísticas y sociales. Estarán interesadas en cosas que nunca imaginamos. Al comparar nuestro conocimiento con el suyo, creceremos de modo inmenso. Y después de distribuir la información recién adquirida dentro de la memoria de una computadora, estaremos en disposición de ver qué tipo de civilización vivió en qué lugar de la Galaxia. Imaginemos una gran computadora galáctica, un almacén de información, más o menos al día, sobre la naturaleza y actividades de todas las civilizaciones de la galaxia Vía Láctea, una gran biblioteca de la vida en el Cosmos. Quizás entre las materias contenidas en la Encyclopaedia Galactica haya un conjunto de resúmenes sobre estas civilizaciones, con una información enigmática, tentadora, evocativa, incluso después de haber conseguido traducirla.
Al final, y después de haber esperado todo el tiempo que hubiésemos querido, nos decidiríamos a contestar. Transmitiríamos alguna información sobre nosotros -sólo lo básico para empezar- que sería el inicio de un largo diálogo interestelar, diálogo que nosotros empezaríamos, pero que, a causa de las vastas distancias del espacio interestelar y de la velocidad finita de la luz, sería continuado por nuestros remotos descendientes. Y algún día, en un planeta de una estrella muy distante, un ser muy diferente de nosotros solicitará un ejemplar de la última edición de la Encyclopaedia Galactica y recibirá un poco de información sobre la última sociedad que entró en la comunidad de civilizaciones galácticas.
Capítulo 13
¿Quién habla en nombre de la Tierra?
¿Por qué motivo tendría que ocuparme en buscar los secretos de las estrellas si tengo continuamente, ante mis ojos a la muerte y a la esclavitud?
Pregunta planteada a Pitágoras por Anaxímenes (hacia 600 a. de C.), según Montaigne
Qué vastitud la de estos orbes y qué poco considerable es comparada con ellos la Tierra, el teatro sobre el cual se juegan todos nuestros poderosos designios, todas nuestras navegaciones, y todas nuestras guerras. Una consideración muy pertinente, y materia de reflexión para los reyes y príncipes que sacrifican las vidas de tantas personas sólo para halagar su ambición y convertirse en dueños de algún lamentable rincón de este pequeño lugar.
Christiaan Huygens, Nuevas conjeturas referentes a los mundos planetarios, sus habitantes y sus producciones, hacia 1690
“Al mundo entero -agregó nuestro Padre el Sol-, doy mi luz y mi resplandor, doy calor a los hombres cuando tienen frío; hago que sus campos fructifiquen y que su ganado se multiplique; cada día que paso doy la vuelta al mundo para estar más enterado de las necesidades del hombre y para satisfacer estas necesidades. Seguid mi ejemplo.”
Mito inca incluido en los Comentarios reales de Garcilaso de la Vega, 1556
Miramos hacia el pasado a través de millones incontables de años, y vemos la gran voluntad de vivir que lucha por salir del fango situado entre las mareas, que lucha de forma en forma y de poder en poder, que se arrastra por el suelo y luego camina con confianza sobre él, que lucha de generación en generación por dominar el aire, que se insinúa en las tinieblas de lo profundo; la vemos levantarse contra sí misma con rabia y hambre y cambiar su forma por otra nueva, contemplamos cómo se nos acerca y se hace más parecida a nosotros, cómo se expande, se elabora a sí misma, persigue su objetivo inexorable e inconcebible, hasta alcanzamos al final y latir su ser a través de nuestros cerebros y nuestras arterias... Es posible creer que todo el pasado no es más que el principio de un principio, y que todo lo que es y ha sido es sólo el crepúsculo del alba. Es posible creer que todo lo conseguido por la mente humana no es sino el sueño antes del despertar... Surgirán... de nuestro linaje mentes que volverán su atención a nosotros en nuestra pequeñez y nos conocerán mejor de lo que nos conocemos nosotros. Llegará un día, un día en la sucesión infinita de días, en que seres, seres que están ahora latentes en nuestros pensamientos y escondidos en nuestros lomos, se erguirán sobre esta tierra como uno se yergue sobre un escabel y reirán y con sus manos alcanzarán las estrellas.
H. G. Wells, “El descubrimiento del futuro” Nature, 65,326 (1902)

Un emisario de la Tierra: el Apolo 14 dispuesto para su lanzamiento nocturno a la Luna. El mismo cohete y la misma tecnología nuclear que, mal utilizada, puede provocar un holocausto global, puede llevarnos también a los planetas y las estrellas. (Foto de Dennis Milon.)
Como ya sabían los antiguos creadores de mitos, somos hijos tanto del cielo como de la Tierra. En nuestra existencia sobre este planeta hemos acumulado un peligroso equipaje evolutivo, propensiones hereditarias a la agresión y al ritual, sumisión a los líderes y hostilidad hacia los forasteros, un equipaje que plantea algunas dudas sobre nuestra supervivencia. Pero también hemos adquirido compasión para con los demás, amor hacia nuestros hijos y hacia los hijos de nuestros hijos, el deseo de aprender de la historia, y una inteligencia apasionada y de altos vuelos: herramientas evidentes para que continuemos sobreviviendo y prosperando. No sabemos qué aspectos de nuestra naturaleza predominarán, especialmente cuando nuestra visión y nuestra comprensión de las perspectivas están limitadas exclusivamente a la Tierra, o lo que es peor a una pequeña parte de ella. Pero allí arriba, en la inmensidad del Cosmos, nos espera una perspectiva inescapable. Por ahora no hay signos obvios de inteligencias extraterrestres, y esto nos hace preguntamos si las civilizaciones como la nuestra se precipitan siempre de modo implacable y directo hacia la autodestrucción. Las fronteras nacionales no se distinguen cuando miramos la Tierra desde el espacio. Los chauvinismos étnicos o religiosos o nacionales son algo difíciles de mantener cuando vemos nuestro planeta como un creciente azul y frágil que se desvanece hasta convertirse en un punto de luz sobre el bastión y la ciudadela de las estrellas. Viajar ensancha nuestras perspectivas.
Hay mundos en los que nunca nació la vida. Hay mundos que quedaron abrasados y arruinados por catástrofes cósmicas. Nosotros hemos sido afortunados: estamos vivos, somos poderosos, el bienestar de nuestra civilización y de nuestra especie está en nuestras manos. Si no hablamos nosotros en nombre de la Tierra, ¿quién lo hará? Si no nos preocupamos nosotros de nuestra supervivencia, ¿quién lo hará?
La especie humana está emprendiendo ahora una gran aventura que si tiene éxito será tan importante como la colonización de la tierra o el descenso de los árboles. Estamos rompiendo de modo vacilante y en vía de prueba las trabas de la Tierra: metafóricamente al enfrentamos con las admoniciones de los cerebros más primitivos de nuestro interior y domarlos, físicamente al viajar a los planetas y escuchar los mensajes de las estrellas.
Estas dos empresas están ligadas indisolublemente. Creo que cada una de ellas es condición necesaria para la otra. Pero nuestras energías se dirigen mucho más hacia la guerra. Las naciones, hipnotizadas por la desconfianza mutua, sin casi nunca preocuparse por la especie o por el planeta, se preparan para la muerte. Y lo que hacemos es tan horroroso que tendemos a no pensar mucho en ello. Pero es imposible que resolvamos algo que no tomamos en consideración.

La Gran Cadena del Ser. Entre átomos y copos de nieve a la escala de lo muy pequeño, y soles y galaxias a la escala de lo muy grande, los hombres estamos tomando conciencia de nuestro lugar en el Cosmos. (Pintura de Jon Lomberg.)
Las bombas convencionales de la segunda guerra mundial recibieron el calificativo de revientamanzanas. Se llenaban con veinte toneladas de TNT y podían destruir una manzana de casas de una ciudad. Todas las bombas lanzadas sobre todas las ciudades en la segunda guerra mundial sumaron unos dos millones de toneladas, dos megatones, de TNT: Coventry y Rotterdam, Dresde y Tokio, toda la muerte que llovió de los cielos entre 1939 y 1945, un centenar de miles de revientamanzanas, dos megatones. A fines del siglo veinte, dos megatones era la energía que se liberaba en la explosión de una sola bomba termonuclear más o menos del montón: una bomba con la fuerza destructiva de la segunda guerra mundial. Pero hay cientos de miles de armas nucleares. Hacia la novena década del siglo veinte los misiles estratégicos y las fuerzas de bombarderos de la Unión Soviética y de los Estados Unidos apuntaban sus cabezas de guerra a más de 15 000 objetivos designados. No había lugar seguro en todo el planeta. La energía contenida en estas armas, en estos genios de la muerte que esperaban pacientemente que alguien restregara las lámparas, era superior a 10 000 megatones: pero con toda su destrucción concentrada de modo eficiente, no a lo largo de seis años si no en unas pocas horas, un revientamanzanas para cada familia del planeta, una segunda guerra mundial nuclear cada segundo durante toda una tarde de ocio.
Las causas inmediatas de muerte por un ataque nuclear son la onda explosiva, que pueden aplanar edificios fuertemente reforzados a muchos kilómetros de distancia, la tempestad de fuego, los rayos gamma y los neutrones que fríen de modo efectivo las entrañas de un transeúnte.

Precipitación radiactiva en una guerra nuclear. Estos puntos de lanzamiento de misiles balísticos intercontinentales Titán y Minuteman en el Medio oeste norteamericano son, de entre 15 000 objetivos de un intercambio nuclear completo, objetivos probables para un ataque de superficie con un par de armas termonucleares de un megatón. La energía liberada por estas dos únicas explosiones sería igual a toda la destrucción causada en todo el mundo por toda la aviación de la segunda guerra mundial. La nube de escombros radiactivos sería empujada por los vientos dominantes hacia la costa oriental de los Estados Unidos, siguiendo el mismo camino de los escombros volcánicos del monte Santa Helena después de su erupción de 1980. El contorno exterior de la curva incluye el área donde los fallecimientos debidos únicamente a la precipitación radiactiva superarían el 50 por ciento. Horrores comparables sufriría la Unión Soviética por la explosión de dos bombas de un megatón, por ejemplo en Ucrania occidental. (Cedido por Scientific American. De Limited Nuclear War por Sidney D. Drell y Frank Von Hippel. © de Scientific American. Todos los derechos reservados.)
A través de una oscuridad como el fondo del infierno podía oír las voces de las demás estudiantes que llamaban a sus madres. Y en la base del puente, dentro de una gran cisterna que habían excavado, estaba una madre llorando, aguantando por encima de su cabeza un bebé desnudo quemado por todo el cuerpo, de color rojo brillante. Y otra madre estaba llorando y sollozando mientras daba su pecho quemado a su bebé. En la cisterna las estudiantes estaban de pie asomando sólo las cabezas encima del agua, con las dos manos apretadas mientras gritaban y chillaban implorando y llamando a sus padres. Pero todas las personas que pasaban sin excepción, estaban heridas y no había nadie, no había nadie a quien pedir ayuda. Y el pelo chamuscado en las cabezas de las personas estaba rizado y blancuzco y cubierto de polvo. No parecía que fueran personas, que fueran seres de este mundo.La explosión de Hiroshima, al contrario de la subsiguiente explosión de Nagasaki, fue una explosión en el aire muy por encima de la superficie, de modo que la lluvia radiactiva fue insignificante. Pero el 1 de marzo de 1954 una prueba con armas termonucleares en Bikini, en las islas Marshall, detonó a un rendimiento superior al esperado. Se depositó una gran nube radiactiva sobre el pequeño atolón de Rongalap, a 150 kilómetros de distancia, donde los habitantes compararon la explosión a un Sol levantándose por el Oeste. Unas horas más tarde la ceniza radiactiva cayó sobre Rongalap como nieve. La dosis media recibida fue de sólo 175 rads, algo inferior a la mitad de la dosis necesaria para matar a una persona normal. El atolón estaba lejos de la explosión y no murieron muchas personas. Como es lógico, el estroncio radiactivo que comieron se concentró en sus huesos y el yodo radiactivo se concentró en su tiroides. Dos tercios de los niños y un tercio de los adultos desarrollaron más tarde anormalidades tiroideas, retraso en el crecimiento y tumores malignos. Los habitantes de las islas Marshall recibieron a cambio cuidados médicos especializados.
El rendimiento de la bomba de Hiroshima fue de sólo trece kilo- tones, el equivalente a trece millares de toneladas de TNT. El rendimiento de la prueba de Bikini fue de quince megatones. En un intercambio nuclear completo, en el paroxismo de la guerra termonuclear, caerían en todo el mundo el equivalente a un millón de bombas de Hiroshima. Si se aplica el porcentaje de mortalidad de Hiroshima de unas cien mil personas muertas por cada arma de trece kilotones, sería suficiente para matar a cien mil millones de personas. Pero a fines del siglo veinte había menos de cinco mil millones de personas en el planeta. Desde luego que en un intercambio de este tipo no todo el mundo morirá por la explosión y la tormenta de fuego, la radiación y la precipitación radiactiva, aunque esta precipitación dura algo más de tiempo: el 90 por ciento del estroncio 90 se habrá desintegrado en 96 años, el 90 por ciento del cesio 137 en 100 años, el 90 por ciento del yodo 131 en sólo un mes.
Los supervivientes vivirán consecuencias más sutiles de la guerra. Un intercambio nuclear completo quemará el nitrógeno de la parte superior del aire, convirtiéndolo en óxidos de nitrógeno, que a su vez destruirán una porción significativa del ozono en la alta atmósfera, con lo que ésta admitirá una dosis intensa de radiación solar ultravioleta.[84] Este aumento en el flujo ultravioleta se mantendrá durante años. Producirá cáncer de la piel, preferentemente en personas de piel clara. Y algo más importante: afectará la ecología de nuestro planeta de un modo desconocido. La luz ultravioleta destruye las cosechas. Muchos microorganismos morirán, no sabemos cuáles ni cuántos, o cuáles podrán ser las consecuencias. No sabemos si los organismos muertos estarán precisamente en la base de una vasta pirámide ecológica sobre cuya cima nos balanceamos nosotros.
El polvo introducido en el aire en un intercambio nuclear completo reflejará la luz solar y enfriará un poco la Tierra. Basta un pequeño enfriamiento para que las consecuencias en la agricultura sean desastrosas. Los pájaros mueren más fácilmente por la radiación que los insectos. Las plagas de insectos y los desórdenes agrícolas adicionales que les seguirán serán una consecuencia probable de una guerra nuclear. Hay otro tipo de plaga preocupante: la plaga de los bacilos es endémica en toda la Tierra. A fines del siglo veinte los hombres no fallecían mucho a consecuencia de la plaga, y no porque ésta faltara, sino porque la resistencia era elevada. Sin embargo, la radiación producida en una guerra nuclear debilita el sistema inmunológico del cuerpo, entre sus muchos otros efectos, provocando una disminución de nuestra capacidad para resistir a la enfermedad. A plazo más largo hay mutaciones, nuevas variedades de microbios y de insectos que podrían causar todavía más problemas a cualquier superviviente humano de un holocausto nuclear; y quizás al cabo de un tiempo cuando ya ha pasado el tiempo suficiente para que se recombinen y se expresen las mutaciones recesivas, haya nuevas y horrorizantes variedades de personas. La mayoría de estas mutaciones al expresarse serán letales. Unas cuantas no. Y luego habrá otras agonías: la pérdida de los seres queridos, las legiones de quemados, ciegos y mutilados; enfermedades, plagas, venenos radiactivos de larga vida en el aire y en el agua, la amenaza de los tumores y de los niños nacidos muertos y malformados; la ausencia de cuidados médicos, la desesperada sensación de una civilización destruida por nada, el conocimiento de que podíamos haberío impedido y no lo hicimos.
L. F. Richardson era un meteorólogo británico interesado en la guerra. Quería comprender sus causas. Hay paralelos intelectuales entre la guerra y el tiempo atmosférico. Los dos son complejos. Los dos presentan regularidades, implicando con ello que no son fuerzas implacables sino sistemas naturales que pueden comprenderse y controlarse. Para comprender la meteorología global hay que reunir primero un gran conjunto de datos meteorológicos; hay que descubrir cómo se comporta realmente el tiempo. Richardson decidió que el sistema para llegar a comprender la guerra tenía que ser el mismo. Por consiguiente reunió datos sobre centenares de guerras acaecidas en nuestro pobre planeta entre 1820 y 1945.
Los resultados de Richardson se publicaron póstumamente en una obra llamada Las estadísticas de las disputas mortales. Richardson estaba interesado en saber el tiempo que hay que esperar para que una guerra se lleve un número determinado de víctimas y para ello definió un índice, M, la magnitud de una guerra, la medición del número de muertes inmediatas que causa. Una guerra de magnitud M = 3 podría ser una simple escaramuza, que mataría sólo a mil personas (103). M = 5 o M = 6 denotan guerras más serias, en las que mueren cien mil (105) personas o un millón (106). Las guerras mundiales primera y segunda tuvieron magnitudes superiores. Richardson descubrió que cuantas más personas morían en una guerra menos probable era que ocurriera, y más tiempo pasaría antes de presenciarla, del mismo modo que las tormentas violentas son menos frecuentes que un chaparrón. A partir de sus datos podemos construir un gráfico que muestra el tiempo promedio que habría que haber esperado durante el siglo y medio pasado para presenciar una guerra de magnitud M.


La siniestra forma de la guerra nuclear: dos explosiones nucleares. Arriba: Fotografía a gran velocidad de la onda explosiva en expansión de un arma nuclear de fisión. Obsérvense los árboles en silueta. (Cedida por Harold Edgerton, Instituto de Tecnología de Massachusetts.) Derecha: La nube en forma de hongo de una explosión termonuclear envía las futuras precipitaciones radiactivas a la estratosfera, donde permanecen años. (Cedida por el Departamento de Energía de EE.UU.)

Diagrama de Richardson. El eje horizontal muestra la magnitud de una guerra (M=5 significa 105 personas muertas; M=10 significa 1010, es decir, toda la población del planeta). El eje vertical indica el tiempo que hay que esperar para que estalle una guerra de magnitud M. La curva se basa en los datos de Richardson referentes a guerras entre 1820 y 1945. Una extrapolación sencilla sugiere que se necesitarán unos mil años para llegar a M=10 (1 820 + 1 000 = 2 820). Pero la proliferación de armas nucleares ha desplazado probablemente la curva hacia la zona sombreada, y el tiempo de espera para el Juicio Final puede ser angustiosamente corto. La forma de la curva de Richardson es controlable por nosotros, pero sólo si los hombres están dispuestos a asumir el desarme nuclear y a reestructurar profundamente la comunidad planetaria.
Cuando nuestro bienestar se ve amenazado, cuando se ven desafiadas nuestras ilusiones sobre nosotros mismos, tendremos -por lo menos algunos- a estallar en rabias asesinas. Y cuando las mismas provocaciones se aplican a estados nacionales, también ellos estallan a veces en rabias asesinas, que fomentan con demasiada frecuencia los que buscan el poder o el provecho personales. Pero a medida que la tecnología del asesinato mejora y que aumenta el castigo de la guerra, hay que hacer que muchas personas sientan simultáneamente rabias asesinas para poder pasar revista a una guerra importante. Pero esto puede generalmente arreglarse, porque los órganos de comunicación de masas están a menudo en manos del Estado. (La guerra nuclear es la excepción. Puede ponerla en marcha un número muy reducido de personas.)
Tenemos aquí un conflicto entre nuestras pasiones y lo que a veces se llama nuestra mejor naturaleza; entre la parte antigua reptiliana y profunda de nuestro cerebro, el complejo R, encargado de las rabias asesinas, y las partes del cerebro mamíferas y humanas evolucionadas más recientemente, el sistema límbico y la corteza cerebral.
Cuando los hombres vivían en pequeños grupos, cuando nuestras armas eran relativamente modestas, un guerrero por rabioso que estuviera sólo podía matar a unas cuantas personas. A medida que nuestra tecnología mejoró, mejoraron también los medios de guerra. En el mismo breve intervalo también nosotros hemos mejorado. Hemos atemperado con la razón nuestras iras, frustraciones y desesperaciones. Hemos mejorado a una escala planetario injusticias que hasta hace poco eran globales y endémicas. Pero nuestras armas pueden matar ahora miles de millones de personas. ¿Hemos mejorado lo bastante rápido? ¿Estamos enseñando la razón del modo más eficaz posible? ¿Hemos estudiado valientemente las causas de la guerra?
Lo que se llama a menudo la estrategia de la disuasión nuclear se caracteriza por basarse en el comportamiento de nuestros antepasados no humanos. Henry Kissinger, un político contemporáneo, escribió: “La disuasión depende sobre todo de criterios psicológicos. Para lograr la disuasión un bluff tomado en serio es más útil que una amenaza seria interpretada como un bluff” Sin embargo, un efectivo bluff nuclear incluye posturas ocasionales de irracionalidad, un distanciamiento de los horrores de la guerra nuclear. De este modo el enemigo potencial se ve tentado a someterse en los puntos en disputa en lugar de desencadenar una confrontación real, que el aura de irracionalidad ha hecho plausible. El riesgo principal al adoptar una pose creíble de irracionalidad es que para tener éxito en el engaño hay que ser muy bueno. Al cabo de un rato uno se acostumbra. Y deja de ser un engaño.
El equilibrio global de terror, promovido por los Estados Unidos y la Unión Soviética, tiene como rehenes a los ciudadanos de la Tierra. Cada parte traza unos límites a la conducta permisible de la otra. El enemigo potencial recibe la seguridad de que transgredir el límite supone una guerra nuclear. Sin embargo, la definición del límite va cambiando con el tiempo. Cada parte ha de tener confianza en que la otra entiende los nuevos límites. Cada parte está tentada de aumentar su ventaja militar, pero no de forma tan pronunciada que alarme seriamente al otro. Cada parte explora continuamente los límites de la tolerancia de la otra, como los vuelos de bombarderos nucleares sobre los desiertos árticos, la crisis de los misiles en Cuba, las pruebas de armas antisatélite, las guerras de Vietnam y Afganistán: unas cuantas partidas de una lista larga y dolorosa. El equilibrio global de terror es un equilibrio muy delicado. Depende de que las cosas no se estropeen, de que no se cometan errores, de que las pasiones reptilianas no se exciten seriamente.
Volvemos pues a Richardson. En el diagrama la línea continua es el tiempo que hay que esperar para una guerra de magnitud M, es decir el tiempo medio que tendríamos que esperar para presenciar una guerra que mate a 10M personas (donde M representa el número de ceros después del uno en nuestra aritmética exponencial usual). Aparece también como una barra vertical a la derecha del diagrama la población mundial en años recientes, que alcanzó mil millones de personas (M = 9) hacia 1835 y que es ahora de unos 4 500 millones de personas (M = 9.7). Cuando la curva de Richardson interseca a la barra vertical tenemos especificado el tiempo que hay que esperar para el día del Juicio final, los años que transcurrirán hasta que la población de la Tierra sea destruida en una gran guerra. De acuerdo con la curva de Richardson y la extrapolación más simple sobre el crecimiento futuro de la población humana, las dos curvas no se cortan hasta el siglo treinta, más o menos y el Juicio final queda aplazado.
Pero la segunda guerra mundial fue de magnitud 7.7 y murieron en ella unos cincuenta millones de personas, personal militar y no combatientes. La tecnología de la muerte avanzó de modo siniestro. Se usaron por primera vez armas nucleares. Hay pocos indicios de que las motivaciones y las propensiones hacia la guerra hayan disminuido desde entonces, y tanto las armas convencionales como las nucleares se han hecho mucho más mortíferas. Por lo tanto la parte superior de la curva de Richardson se está desplazando hacia abajo en una cantidad desconocida. Si su nueva posición ha quedado en algún punto de la región sombreada de la figura, disponemos solamente de unas cuantas décadas más hasta el día del Juicio final. Una comparación más detallada de la incidencia de las guerras antes y después de 1945 podría esclarecer esta cuestión. El tema no es en absoluto trivial.
Es ésta otra manera sencilla de decir lo que ya sabemos desde hace décadas: el desarrollo de las armas nucleares y sus sistemas de entrega provocarán más tarde o más temprano un desastre global. Muchos de los científicos norteamericanos y europeos emigrados que desarrollaron las primeras armas nucleares quedaron anonadados por el demonio que habían dejado suelto en el mundo. Apelaron en favor de la abolición global de las armas nucleares. Pero nadie les hizo caso: la perspectiva de una ventaja estratégica nacional galvanizó tanto a la URSS como a los Estados Unidos y empezó la carrera de armas nucleares.
Durante el mismo período hubo un floreciente tráfico internacional de las devastadoras armas no nucleares que se califican tímidamente de convencionales. En los últimos veinticinco años, el comercio internacional de armas ha subido desde 300 millones de dólares a mucho más de 20 000 millones, cifra ésta corregida de inflación. En los años entre 1950 y 1968, para los cuales parece que se dispone de buenas estadísticas, hubo, en promedio y en todo el mundo, varios accidentes por año con participación de armas nucleares, aunque quizás no más de una o dos explosiones nucleares accidentales. Los grupos de presión armamentista de la Unión Soviética, de los Estados Unidos y de otras naciones son grandes y poderosos. En los Estados Unidos incluyen a empresas importantes, famosas por sus productos casi hogareños. Según una estimación, los beneficios de las empresas que fabrican armas militares son de un 30% a un 50% superiores a los de empresas en un mercado civil igualmente tecnológico pero competitivo. Aumentos de coste en los sistemas de armas militares son aceptados en una escala que sería inaceptable en la esfera civil. En la Unión Soviética los recursos, calidad, atención y cuidados prodigados a la producción militar contrastan fuertemente con lo poco que queda para los bienes de consumo. Según algunas estimaciones casi la mitad de los científicos y altos tecnólogos de la Tierra están empleados de modo total o parcial en cuestiones militares. Quienes participan en el desarrollo y fabricación de armas de destrucción masiva reciben salarios, participación en el poder e incluso si es posible honores públicos en los niveles más altos existentes en sus sociedades respectivas. El secreto que envuelve el desarrollo de armas, llevado a extremos extravagantes en la Unión Soviética, implica que las personas con estos empleos casi nunca tienen que aceptar la responsabilidad de sus acciones. Están protegidos y son anónimos. El secreto militar hace que lo militar sea en cualquier sociedad el sector más difícil de controlar por los ciudadanos. Si ignoramos lo que hacen, es muy difícil detenerlos. Los premios son tan sustanciosos, y los grupos de presión militares de países hostiles mantienen un abrazo mutuo tan siniestro, que al final el mundo descubre que se está deslizando hacia la destrucción definitiva de la empresa humana.
Cada gran potencia tiene alguna justificación ampliamente difundida para conseguir y almacenar armas de destrucción masiva, a menudo incluyendo un recordatorio reptiliano del supuesto carácter y de los defectos culturales de enemigos potenciales (al contrario de nosotros, gente sana), o de las intenciones de los demás, y nunca de las nuestras, de conquistar el mundo. Cada nación parece tener su conjunto de posibilidades prohibidas, en las que hay que prohibir a toda costa que sus ciudadanos y partidarios piensen seriamente. En la Unión Soviética están el capitalismo, Dios, y la renuncia a la soberanía nacional; en los Estados Unidos, el socialismo, el ateísmo y la renuncia a la soberanía nacional. Sucede lo mismo en todo el mundo.

La atmósfera superior del planeta Tierra, vista al anochecer. Una guerra nuclear total destruiría parcialmente la capa protectora de ozono y la estratosfera se llenaría de escombros radiactivos. Un visitante de otro mundo preferiría quizás pasar de largo. {Cedida por la NASA.)
Unas dos terceras partes de la masa del cerebro humano están en la corteza cerebral, dedicada a la intuición y a la razón. Los hombres hemos evolucionado de modo gregario. Nos encanta la compañía de los demás; nos preocupamos los unos de los otros. Cooperamos. El altruismo forma parte de nuestro ser. Hemos descifrado brillantemente algunas estructuras de la Naturaleza. Tenemos motivaciones suficientes para trabajar conjuntamente y somos capaces de idear el sistema adecuado. Si estamos dispuestos a incluir en nuestros cálculos una guerra nuclear y la destrucción total de nuestra sociedad global emergente, ¿no podríamos también imaginar la reestructuración total de nuestras sociedades? Desde una perspectiva extraterrestre está claro que nuestra civilización global está a punto de fracasar en la tarea más importante con que se enfrenta: la preservación de las vidas y del bienestar de los ciudadanos del planeta. ¿No deberíamos pues estar dispuestos a explorar vigorosamente en cada nación posibles cambios básicos del sistema tradicional de hacer las cosas, un rediseño fundamental de las instituciones económicas, políticas, sociales y religiosas?
Enfrentados con una alternativa tan inquietante, nos sentimos tentados continuamente a minimizar la gravedad del problema, de afirmar que quienes se inquietan por el día del Juicio son unos alarmistas; de asegurar que los cambios fundamentales en nuestras instituciones no son prácticos o están en contra de la “naturaleza humana”, como si la guerra nuclear fuera práctica, o como si sólo hubiera una naturaleza humana. Una guerra nuclear a toda escala no se ha dado nunca. Se supone de algún modo que según esto no se dará nunca. Pero sólo podemos pasar una vez por esta experiencia. En aquel momento será demasiado tarde para reformular la estadística.
Los Estados Unidos son uno de los pocos gobiernos que apoyan realmente una agencia destinada a invertir el curso de la carrera de armamentos. Pero los presupuestos comparados del Departamento de Defensa (1 5 3 000 millones de dólares por año en 1980) y de la Agencia para el Control de Armas y el Desarme (18 millones de dólares por año) nos recuerdan la importancia relativa que hemos asignado a las dos actividades. ¿No gastaría más dinero una sociedad racional en comprender y prevenir que en prepararse para la siguiente guerra? Es posible estudiar las causas de la guerra. Actualmente nuestra comprensión de ella es limitada, probablemente porque los presupuestos de desarme desde la época de Sargón de Akkad han sido entre inefectivos e inexistentes. Los microbiólogos y los médicos estudian las enfermedades principalmente para curar a las personas. Raramente se dedican a hacer propaganda del patógeno. Estudiamos la guerra como si fuera una enfermedad de la infancia, como la denominó Einstein de modo pertinente. Hemos alcanzado el punto en que la proliferación de las armas nucleares y la resistencia contra el desarme nuclear amenazan a todas y cada una de las personas del planeta. Ya no hay intereses especiales o casos especiales. Nuestra supervivencia depende de que comprometamos nuestra inteligencia y nuestros recursos en una escala masiva para asumir nuestro propio destino, para garantizar que la curva de Richardson no se desplace hacia la derecha.
Nosotros, los rehenes nucleares -todos los pueblos de la Tierra- tenemos que educarnos sobre la guerra convencional y nuclear. Luego tenemos que educar a nuestros gobiernos. Tenemos que aprender la ciencia y la tecnología que proporcionan las únicas herramientas concebibles de nuestra supervivencia. Tenemos que estar dispuestos a desafiar valientemente la sabiduría convencional social, política, económica y religiosa. Tenemos que hacer todos los esfuerzos posibles para comprender que nuestros compañeros, que los ciudadanos de todo el mundo, son humanos. No hay duda que estos pasos son difíciles. Pero como replicó Einstein muchas veces cuando alguien rechazaba sus sugerencias por no prácticas o no consistentes con la naturaleza humana: ¿Qué otra alternativa hay?
Es característico de los mamíferos que acaricien a sus hijos, con el hocico o con las manos, que los abracen, los soben, los mimen, los cuiden y los amen, un comportamiento que es esencialmente desconocido entre los reptiles. Si es realmente cierto que el complejo R y el sistema límbico viven en una tregua incómoda dentro de nuestros cráneos y que continúan compartiendo sus antiguas predilecciones, podríamos esperar que la indulgencia paterna animara nuestras naturalezas de mamífero y que la ausencia de afecto físico impulsara el comportamiento reptiliano. Algunas pruebas apuntan en este sentido. Harry y Margaret Harlow han descubierto en experiencias de laboratorio que los monos criados enjaulas y físicamente aislados aunque pudiesen ver, oír y oler a sus compañeros simios desarrollaban toda una gama de características taciturnas, retiradas, autodestructivas y en definitiva anormales. Se observa lo mismo en los hijos de personas que se han criado sin afecto físico -normalmente en instituciones- donde es evidente que sufren mucho.
El neurosicólogo James W. Prescott ha llevado a cabo un análisis estadístico transcultural sorprendente de 400 sociedades preindustriales y ha descubierto que las culturas que derrochan afecto físico en sus hijos tienden a no sentir inclinación por la violencia. Incluso las sociedades en las que no se acaricia mucho a los niños desarrollan adultos no violentos siempre que no repriman la actividad sexual de los adolescentes. Prescott cree que las culturas con predisposición a la violencia están compuestas por individuos a los que se ha privado de los placeres del cuerpo durante por lo menos una de las dos fases críticas de la vida, la infancia y la adolescencia. Allí donde se fomenta el cariño físico, son apenas visibles el robo, la religión organizada y las ostentaciones envidiosas de riqueza; donde se castiga físicamente a los niños tiende a haber esclavitud, homicidios frecuentes, torturas y mutilaciones de los enemigos, cultivo de la inferioridad de la mujer, y la creencia en uno o más seres sobrenaturales que intervienen en la vida diaria.

Madres sustitutas para monos. Las crías de mono, si pueden escoger entre dos madres sustitutas —una estructura de alambre equipada con una botella de leche, y la misma estructura cubierta de paño y con una botella de leche— escogen sin dudar esta última. Los hombres y los demás primates tienen una necesidad, genéticamente determinada, de interacción social y de amor y calor físicos. (Cedida por Harry F. Harlow, Laboratorio de Primates de la Universidad de Wisconsin.)
Si las inclinaciones hacia la esclavitud y el racismo, la misoginia y la violencia están relacionadas -tal como sugieren el carácter individual y la historia humana, así como los estudios transculturales-, queda margen para un poco de optimismo. Todos estamos rodeados por cambios recientes y fundamentales de la sociedad. En los dos últimos siglos se ha eliminado casi del todo, en una revolución que ha conmovido a todo el planeta, la abyecta esclavitud, con sus miles o más años de vida. Las mujeres, tratadas durante milenios con aire protector, privadas tradicionalmente de poder político y económico real, se están convirtiendo paulatinamente, incluso en las sociedades más atrasadas, en compañeras iguales de los hombres. Por primera vez en la historia moderna, se consiguió detener grandes guerras de agresión gracias en parte a la revulsión experimentada por los ciudadanos de las naciones agresoras. Las antiguas exhortaciones en bien del fervor nacionalista y del orgullo patriotero han empezado a perder su efectividad. Los niños reciben un trato mejor en todo el mundo, quizás gracias al aumento del nivel de vida. En unas pocas décadas han empezado a producirse cambios globales radicales en la dirección precisa para la supervivencia humana. Se está desarrollando una nueva consciencia que reconoce que somos una especie.
“La superstición es cobardía ante lo Divino”, escribió Teofrasto, que vivió durante la fundación de la Biblioteca de Alejandría. Habitamos un universo donde los átomos se fabrican en los centros de las estrellas, donde cada segundo nacen mil soles, donde la vida nace entre estallidos gracias a la luz solar y a los relámpagos en los aires y las aguas de planetas jóvenes; donde la materia prima de la evolución biológica se fabrica a veces en la explosión de una estrella a medio camino del centro de la Vía Láctea, donde una cosa tan bella como una galaxia se forma cien mil millones de veces: un Cosmos de quásares y de quarks, de copos de nieve y de luciérnagas, donde puede haber agujeros negros y otros universos y civilizaciones extraterrestres cuyos mensajes de radio pueden estar alcanzando en este momento la Tierra. ¡Qué pálidas son en comparación con esto las pretensiones de la superstición y de la seudociencia! ¡Qué importante es que hagamos progresar y comprendamos la ciencia, esta empresa característicamente humana!
Cada aspecto de la naturaleza revela un profundo misterio y provoca en nosotros una sensación de maravilla y de reverencia. Teofrasto estaba en lo cierto. Quienes se asustan del universo tal como es, quienes proclaman un conocimiento inexistente y conciben un Cosmos centrado en los seres humanos, preferirán los consuelos pasajeros de la superstición. En vez de enfrentarse con el mundo, lo evitan. Pero quienes tienen el valor de explorar el tejido y la estructura del Cosmos, incluso cuando defiere de modo profundo de sus deseos y prejuicios, penetrarán en sus misterios más profundos.
No hay ninguna otra especie en la Tierra que haga ciencia. Hasta ahora es una invención totalmente humana, que evolucionó por selección natural en la corteza cerebral por una sola razón: porque funciona. No es perfecta. Puede abusarse de ella. Es sólo una herramienta. Pero es con mucho la mejor herramienta de que disponemos, que se autocorrige, que sigue funcionando, que se aplica a todo. Tiene dos reglas. Primera: no hay verdades sagradas; todas las suposiciones se han de examinar críticamente; los argumentos de autoridad carecen de valor. Segunda: hay que descartar o revisar todo lo que no cuadre con los hechos. Tenemos que comprender el Cosmos tal como es y no confundir lo que es con lo que queremos que sea. Lo obvio es a veces falso, lo inesperado es a veces cierto. Las personas comparten en todas partes los mismos objetivos cuando el contexto es lo suficientemente amplio. Y el estudio del Cosmos proporciona el contexto más amplio posible. La actual cultura global es una especie de arrogante advenedizo. Llega a la escena planetario siguiendo a otros actos que han tenido lugar durante cuatro mil quinientos millones de años, y después de echar un vistazo a su alrededor, en unos pocos miles de años, se declara en posesión de verdades eternas. Pero en un mundo que está cambiando tan de prisa como el nuestro, esto constituye una receta para el desastre. No es imaginable que ninguna nación, ninguna religión, ningún sistema económico, ningún sistema de conocimientos tenga todas las respuestas para nuestra supervivencia. Ha de haber muchos sistemas sociales que funcionarían mucho mejor que los existentes hoy en día. Nuestra tarea, dentro de la tradición científica, es encontrarlos.

Reconstrucción de los armarios de la Gran Biblioteca de Alejandría. En su época de máximo esplendor contenía más de medio millón de volúmenes, casi todos los cuales se han perdido irremediablemente.
Alejandría era la capital editorial del planeta. Como es lógico no había entonces prensas de imprimir. Los libros eran caros, cada uno se copiaba a mano. La Biblioteca era depositaria de las copias más exactas del mundo. El arte de la edición crítica se inventó allí. El Antiguo Testamento ha llegado hasta nosotros principalmente a través de las traducciones griegas hechas en la Biblioteca de Alejandría. Los Tolomeos dedicaron gran parte de su enorme riqueza a la adquisición de todos los libros griegos, y de obras de África, Persia, la India, Israel y otras partes del mundo. Tolomeo III Evergetes quiso que Atenas le dejara prestados los manuscritos originales o las copias oficiales de Estado de las grandes tragedias antiguas de Sófocles, Esquilo y Eurípides. Estos libros eran para los atenienses una especie de patrimonio cultural; algo parecido a las copias manuscritas originales y a los primeros folios de Shakespeare en Inglaterra. No estaban muy dispuestos a dejar salir de sus manos ni por un momento aquellos manuscritos. Sólo aceptaron dejar en préstamo las obras cuando Tolomeo hubo garantizado su devolución con un enorme depósito de dinero. Pero Tolo- meo valoraba estos rollos más que el oro o la plata. Renunció alegremente al depósito y encerró del mejor modo que pudo los originales en la Biblioteca. Los irritados atenienses tuvieron que contentarse con las copias que Tolomeo, un poco avergonzado, no mucho, les regaló. En raras ocasiones un Estado ha apoyado con tanta avidez la búsqueda del conocimiento.
Los Tolomeos no se limitaron a recoger el conocimiento conocido, sino que animaron y financiaron la investigación científica y de este modo generaron nuevos conocimientos. Los resultados fueron asombrosos: Eratóstenes calculó con precisión el tamaño de la Tierra, la cartografió, y afirmó que se podía llegar a la India navegando hacia el oeste desde España. Hiparco anticipó que las estrellas nacen, se desplazan lentamente en el transcurso de los siglos y al final perecen; fue el primero en catalogar las posiciones y magnitudes de las estrellas y en detectar estos cambios. Euclides creó un texto de geometría del cual los hombres aprendieron durante veintitrés siglos, una obra que ayudaría a despertar el interés de la ciencia en Kepler, Newton y Einstein. Galeno escribió obras básicas sobre el arte de curar y la anatomía que dominaron la medicina hasta el Renacimiento. Hubo también, como hemos dicho, muchos más.
Alejandría era la mayor ciudad que el mundo occidental había visto jamás. Gente de todas las naciones llegaban allí para vivir, comerciar, aprender. En un día cualquiera sus puertos estaban atiborrados de mercaderes, estudiosos y turistas. Era una ciudad donde griegos, egipcios, árabes, sirios, hebreos, persas, nubios, fenicios, italianos, galos e íberos intercambiaban mercancías e ideas. Fue probablemente allí donde la palabra cosmopolita consiguió tener un sentido auténtico: ciudadano, no de una sola nación, sino del Cosmos. [85] Ser un ciudadano del Cosmos...
Es evidente que allí estaban las semillas del mundo moderno. ¿Qué impidió que arraigaran y florecieran? ¿A qué se debe que Occidente se adormeciera durante mil años de tinieblas hasta que Colón y Copérnico y sus contemporáneos redescubrieron la obra hecha en Alejandría? No puedo daros una respuesta sencilla. Pero lo que sí sé es que no hay noticia en toda la historia de la Biblioteca de que alguno de los ilustres científicos y estudiosos llegara nunca a desafiar seriamente los supuestos políticos, económicos y religiosos de su sociedad. Se puso en duda la permanencia de las estrellas, no la justicia de la esclavitud. La ciencia y la cultura en general estaban reservadas para unos cuantos privilegiados. La vasta población de la ciudad no tenía la menor idea de los grandes descubrimientos que tenían lugar dentro de la Biblioteca. Los nuevos descubrimientos no fueron explicados ni popularizados. La investigación les benefició poco. Los descubrimientos en mecánica y en la tecnología del vapor se aplicaron principalmente a perfeccionar las armas, a estimular la superstición, a divertir a los reyes. Los científicos nunca captaron el potencial de las máquinas para liberar a la gente. [86] Los grandes logros intelectuales de la antigüedad tuvieron pocas aplicaciones prácticas inmediatas. La ciencia no fascinó nunca la imaginación de la multitud. No hubo contrapeso al estancamiento, al pesimismo, a la entrega más abyecta al misticismo. Cuando al final de todo, la chusma se presentó para quemar la Biblioteca no había nadie capaz de detenerla.
El último científico que trabajó en la Biblioteca fue una matemática, astrónomo, física y jefe de la escuela neoplatónica de filosofía: un extraordinario con unto de logros para cualquier individuo de cualquier época. Su nombre era Hiparía. Nació en el año 370 en Alejandría. Hiparía, en una época en la que las mujeres disponían de pocas opciones y eran tratadas como objetos en propiedad, se movió libremente y sin afectación por los dominios tradicionalmente masculinos. Todas las historias dicen que era una gran belleza. Tuvo muchos pretendientes pero rechazó todas las proposiciones matrimoniales. La Alejandría de la época de Hiparía -bajo dominio romano desde hacía ya tiempo- era una ciudad que sufría graves tensiones. La esclavitud había agotado la vitalidad de la civilización clásica. La creciente Iglesia cristiana estaba consolidando su poder e intentando extirpar la influencia y la cultura paganas. Hiparía estaba sobre el epicentro de estas poderosas fuerzas sociales. Cirilo, el arzobispo de Alejandría, la despreciaba por la estrecha amistad que ella mantenía con el gobernador romano y porque era un símbolo de cultura y de ciencia, que la primitiva Iglesia identificaba en gran parte con el paganismo. A pesar del grave riesgo personal que ello suponía, continuó enseñando y publicando, hasta que en el año 415, cuando iba a trabajar, cayó en manos de una turba fanática de feligreses de Cirilo. La arrancaron del carruaje, rompieron sus vestidos y, armados con conchas marinas, la desollaron arrancándole la carne de los huesos. Sus restos fueron quemados, sus obras destruidas, su nombre olvidado. Cirilo fue proclamado santo.
La gloria de la Biblioteca de Alejandría es un recuerdo lejano. Sus últimos restos fueron destruidos poco después de la muerte de Hiparía. Era como si toda la civilización hubiese sufrido una operación cerebral infligida por propia mano, de modo que quedaron extinguidos irrevocablemente la mayoría de sus memorias, descubrimientos, ideas y pasiones. La pérdida fue incalculable. En algunos casos sólo conocemos los atormentadores títulos de las obras que quedaron destruidas. En la mayoría de los casos no conocemos ni los títulos ni los autores. Sabemos que de las 123 obras teatrales de Sófocles existentes en la Biblioteca sólo sobrevivieron siete. Una de las siete es Edipo rey.
Cifras similares son válidas para las obras de Esquilo y de Eurípides. Es un poco como si las únicas obras supervivientes de un hombre llamado William Shakespeare fueran Coriolano y Un cuento de invierno, pero supiéramos que había escrito algunas obras más, desconocidas por nosotros pero al parecer apreciadas en su época, obras tituladas Hamlet, Macbeth, Julio César, El rey Lear, Romeo y Julieta.

Línea temporal de algunas de las personas, máquinas y acontecimientos descritos en esta obra. La máquina de Anticitera era una calculadora astronómica desarrollada en la antigua Grecia. Herón de Alejandría experimentó con motores de vapor. El vacío en la mitad del diagrama constituye una gran oportunidad que la especie humana desaprovechó.
Nuestros logros se basan en los logros de 40 000 generaciones de predecesores humanos nuestros, de los cuales, excepto una diminuta fracción, ignoramos el nombre y los olvidamos. De vez en cuando damos por azar con una civilización importante, como la antigua cultura de Ebla, que floreció hace sólo unos miles de años y sobre la cual lo ignorábamos todo. ¡Qué ignorantes somos de nuestro pasado! Inscripciones, papiros, libros, enlazan a la especie humana a través del tiempo y nos permiten oír las voces dispersas y los gritos lejanos de nuestros hermanos y hermanas, de nuestros antepasados. ¡Y qué placer reconocer que se parecen tanto a nosotros!
Hemos dedicado la atención de este libro a algunos de nuestros antepasados cuyos nombres se han perdido: Eratóstenes, Demócrito, Aristarco, Hiparía, Leonardo, Kepler, Newton, Huy- gens, Champollion, Humason, Goddard, Einstein, todos pertenecientes a la cultura occidental, porque la civilización científica que está emergiendo en nuestro planeta es principalmente una civilización occidental; pero todas las culturas -China, India, África occidental, América central- han hecho contribuciones importantes a nuestra sociedad global y tuvieron sus pensadores semanales. Gracias a los avances tecnológicos en comunicaciones, nuestro planeta está en las fases finales del proceso que lo convertirá al galope en una sociedad global única y entrelazada. Si podemos conseguir la integración de la Tierra sin borrar las diferencias culturales ni destruirnos, habremos logrado una gran cosa.
Cerca del lugar que ocupó la Biblioteca alejandrina hay actualmente una esfinge sin cabeza esculpida en la época del faraón Horemheb, en la dinastía dieciocho, un milenio antes de Alejandro. Desde este cuerpo leonino se ve fácilmente una moderna torre de enlace por microondas. Entre ellos corre el hilo ininterrumpido de la historia de la especie humana. De la esfinge a la torre hay un instante de tiempo cósmico: un momento dentro de los quince mil millones de años, más o menos, que han transcurrido desde el big bang. Los vientos del tiempo se han llevado casi todo rastro del paso del universo de entonces al de ahora. Las pruebas de la evolución cósmica han quedado asoladas de modo más absoluto que los rollos de papiro de la Biblioteca alejandrina. Y sin embargo, gracias al valor y a la inteligencia, hemos llegado a vislumbrar algo de este camino serpenteante por el cual han avanzado nuestros antepasados y nosotros mismos.
El Cosmos careció de forma, durante un número desconocido de eras que siguieron a la efusión explosiva de materia y energía del big bang. No había galaxias, ni planetas, ni vida. En todas partes había una oscuridad profunda e impenetrable, átomos de hidrógeno en el vacío. Aquí y allí estaban creciendo imperceptiblemente acumulaciones más densas de gas, se estaban condensando globos de materia: gotas de hidrógeno de masa superior a soles. Dentro de estos globos de gas se encendió por primera vez el fuego nuclear latente en la materia. Nació una primera generación de estrellas que inundó el Cosmos de luz. No había todavía en aquellos tiempos planetas que pudieran recibir la luz, ni seres vivientes que admiraran el resplandor de los cielos. En el profundo interior de los hornos estelares la alquimia de la fusión nuclear creó elementos pesados, las cenizas de la combustión del hidrógeno, los materiales atómicos para construir futuros planetas y formas vivas. Las estrellas de gran masa agotaron pronto sus reservas de combustible nuclear. Sacudidas por explosiones colosales, retornaron la mayor parte de su sustancia al tenue gas de donde se habían condensado. Allí, en las nubes oscuras y exuberantes entre las estrellas, se estaban formando nuevas gotas constituidas por muchos elementos, generaciones posteriores de estrellas que estaban naciendo. Cerca de ellas crecieron gotas más pequeñas, cuerpos demasiado pequeños para encender el fuego nuclear, pequeñas gotas en la niebla estelar que seguían su camino para formar los planetas. Y entre ellos había un mundo pequeño de piedra y de hierro, la Tierra primitiva.
La Tierra, después de coagularse y de calentarse, liberó los gases de metano, amoníaco, agua e hidrógeno que habían quedado encerrados en su interior, y formó la atmósfera primitiva y los primeros océanos. Luz estelar procedente del Sol bañó y calentó la Tierra primigenio, provocó tempestades, generó relámpagos y truenos. Los volcanes se desbordaron de lava. Estos procesos fragmentaron las moléculas de la atmósfera primitiva; los fragmentos se juntaron de nuevo dando formas cada vez más complejas, que se disolvieron en los primitivos océanos. Al cabo de un tiempo los mares alcanzaron la consistencia de una sopa caliente y diluida. Se organizaron moléculas, y se dio impulso a complejas reacciones químicas, sobre la superficie de arcillas. Y un día surgió una molécula que por puro accidente fue capaz de fabricar copias bastas de sí misma a partir de las demás moléculas del caldo. A medida que pasaba el tiempo surgían moléculas autorreproductoras más complicadas y precisas. El cedazo de la selección natural favoreció las combinaciones más aptas para ser reproducidas de nuevo. Las que copiaban mejor producían más copias. Y el primitivo caldo oceánico se fue diluyendo a medida que se consumía y se transformaba en condensaciones complejas de moléculas orgánicas autorreproductoras. La vida había empezado de modo paulatino e imperceptible.
Evolucionaron plantas unicelulares, y la vida empezó a generar su propio alimento. La fotosíntesis transformó la atmósfera. Se inventó el sexo. Formas que antes vivían libres se agruparon para constituir una célula compleja con funciones especializadas. Evolucionaron los receptores químicos, y el Cosmos pudo catar y oler. Organismos unicelulares evolucionaron dando colonias multicelulares, que elaboraban sus diversas partes transformándolas en sistemas de órganos especializados. Evolucionaron ojos y oídos, y ahora el Cosmos podía ver y oír. Las plantas y los animales descubrieron que la tierra podía sostener la vida. Los organismos zumbaban, se arrastraban, barrenaban, rodaban, se deslizaban, se agitaban, temblaban, escalaban y flotaban. Bestias colosales hacían resonar las junglas humeantes. Emergieron pequeñas criaturas, nacidas vivas y no en recipientes de cáscara dura, con un fluido parecido a los primeros océanos que les recorrían las venas. Sobrevivieron gracias a su rapidez y a su astucia. Y luego, hace sólo un momento, unos determinados animales arbóreos se bajaron de los árboles y se dispersaron. Su postura se hizo erecta y se enseñaron a sí mismos el uso de herramientas, domesticaron otros animales, plantas y el fuego, e idearon el lenguaje. La ceniza de la alquimia estelar estaba emergiendo ahora en forma de consciencia. A un ritmo cada vez más acelerado inventó la escritura, las ciudades, el arte y la ciencia y envió naves espaciales a los planetas y a las estrellas. Éstas son algunas de las cosas que los átomos de hidrógeno hacen si se les da quince mil millones de años de evolución cósmica.
Suena como un mito épico, y con razón. Pero es simplemente una descripción de la evolución cósmica tal como la ciencia de nuestro tiempo nos la revela. Somos difíciles de conseguir y un peligro para nosotros mismos. Pero cualquier historia de la evolución cósmica demuestra con claridad que todas las criaturas de la Tierra, lo último que ha manufacturado la industria del hidrógeno galáctico, son seres dignos de aprecio. En otras partes puede haber otras transmutaciones de la materia, igualmente asombrosas, y por esto intentamos captar, esperanzados, un zumbido en el cielo.
Hemos sostenido la idea peculiar de que una persona o una sociedad algo diferente de nosotros, seamos quienes seamos, es algo extraño o raro, de lo cual hay que desconfiar o que ha de repugnarnos. Pensemos en las connotaciones negativas de palabras como forastero o extranjero. Y sin embargo los monumentos y culturas de cada una de nuestras civilizaciones representan simplemente maneras diferentes del ser humano. Un visitante extraterrestre que estudiara las diferencias entre los seres humanos y sus sociedades, encontraría estas diferencias triviales en comparación con las semejanzas. Es posible que el Cosmos esté poblado por seres inteligentes. Pero la lección darviniana es clara: no habrá humanos en otros lugares. Solamente aquí. Sólo en este pequeño planeta. Somos no sólo una especie en peligro sino una especie rara. En la perspectiva cósmica cada uno de nosotros es precioso. Si alguien está en desacuerdo contigo, déjalo vivir. No encontrarás a nadie parecido en cien mil millones de galaxias.
La historia humana puede entenderse como un lento despertar a la consciencia de que somos miembros de un grupo más amplio. Al principio nos debimos lealtad a nosotros mismos y a nuestra familia inmediata, luego a bandas de cazadores-recolectores nómadas, luego a tribus, pequeños asentamientos, estados-ciudad, naciones. Hemos ampliado el círculo de las personas a las cuales amamos. Hemos organizado ahora lo que calificamos modestamente de superpotencias, que incluyen grupos de personas de orígenes étnicos y culturas divergentes que en cierto sentido trabajan unidas; lo cual es desde luego una experiencia humanizadora y formadora del carácter. Para poder sobrevivir tenemos que ampliar todavía más el ámbito de nuestra lealtad para incluir a la comunidad humana entera, a todo el planeta Tierra. Muchos de los que gobiernan las naciones encuentran desagradable una idea así. Temerán perder poder. Tendremos ocasión de oír muchos discursos sobre traición y deslealtad. Las naciones Estado ricas tendrán que compartir su riqueza con las pobres. Pero nuestra alternativa, como dijo H. G. Wells en un contexto diferente, es claramente o el universo o nada.
Hace unos pocos millones de años no había hombres. ¿Quién estará aquí dentro de unos cuantos millones de años? En los 4 600 millones de años de la historia de nuestro planeta puede decirse que nunca salió nada de él. Pero ahora diminutas naves espaciales exploradoras sin tripulación procedentes de la Tierra se están desplazando, relucientes y elegantes, a través del sistema solar. Hemos llevado a cabo un reconocimiento preliminar de veinte mundos, entre ellos todos los planetas visibles a simple vista, todas estas luminarias nocturnas y errantes que provocaron en nuestros antepasados el deseo de comprender y el éxtasis. Si sobrevivimos, nuestra época será famosa por dos motivos: porque en este momento peligroso de la adolescencia técnica conseguimos evitar la autodestrucción, y porque es ésta la época en que iniciamos nuestro camino hacia las estrellas.
La elección es dura e irónica. Los mismos cohetes impulsores utilizados para lanzar sondas a los planetas están instalados y a punto para enviar cabezas de guerra nucleares a las naciones. Las fuentes radiactivas de energía en los Viking y Voyager derivan de la misma tecnología que fabrica armas nucleares. Las técnicas de radio y de radar utilizadas para seguir y guiar misiles balísticas y para defenderse contra ataques se utilizan también para controlar y dirigir las naves espaciales hacia los planetas y para escuchar señales de civilizaciones cercanas a otras estrellas. Si utilizamos estas tecnologías para destruimos, es seguro que no nos aventuraremos más hacia los planetas y las estrellas. Pero la inversa es también cierta. Si continuamos hacia los planetas y las estrellas, nuestro chauvinismo recibirá un golpe más. Ganaremos una perspectiva cósmica. Reconoceremos que nuestras exploraciones sólo pueden llevarse a cabo en beneficio de toda la gente que habita el planeta Tierra. Invertiremos nuestras energías en una empresa dedicada no a la muerte sino a la vida: la expansión de nuestra comprensión de la Tierra y de sus habitantes y la búsqueda de vida en otros lugares. La exploración espacial -con tripulación y sin ella- utiliza muchas de las mismas capacidades tecnológicas y organizativas, y exige las mismas cualidades de valor y de osadía que la empresa de la guerra.

Exploración por radar de dos mundos. La superficie de Venus, envuelta perpetuamente por las nubes, se revela por primera vez a escala global en estos mapas. Los datos fueron obtenidos por el vehículo orbital Pioneer Venus, que transmitió una señal de radar por encima mismo de las nubes de Venus a la superficie inferior; luego detectó la señal reflejada. El planeta presenta montañas, cráteres y dos grandes continentes elevados (en color naranja) Ishtar Terra y Aphrodite Terra.

Arriba a la derecha aparece una visión artística de Ishtar Terra. Las naves espaciales Venera 9 y 10 aterrizaron cerca de Beta Regio. Los espacios negros son regiones que todavía no se han explorado por radar. Un aparato parecido de radar, destinado a la exploración de Venus, se puso a prueba sobre las junglas cubiertas de nubes de Guatemala y Belize, en la Tierra. El arqueólogo R. E. W. Adams descubrió con gran sorpresa (centro, derecha) una red intrincada de líneas rectas y curvas, desconocidas antes, que investigada luego sobre el terreno resultó ser un sistema de canales de los antiguos mayas (250 a. de C. a 900). Son invisibles en las fotografías ordinarias de la misma zona (abajo, derecha). Con esto queda explicado el misterio de cómo los mayas mantenían una alta civilización de varios millones de personas. Algunos historiadores creen que todas las altas civilizaciones de la Tierra empezaron con la construcción de una red de canales (véase capítulo 5). La exploración de otros mundos sirve de muchas maneras para comprender mejor al nuestro. (Cedidas por la NASA.)

El presupuesto anual de las ciencias del espacio en los Estados Unidos desde la fundación de la NASA. Se han corregido las cifras de inflación, convirtiéndolas en dólares de 1961. El aumento experimentado a principios de los años 1970 refleja el desarrollo de la misión Viking a Marte. Un programa vigoroso de exploración planetaria y la búsqueda por radio de inteligencias extraterrestres costaría en estas unidades un dólar aproximadamente al año por cada ciudadano de los EE. UU.
El coste de proyectos importantes del espacio -por ejemplo bases permanentes en la Luna o la exploración humana de Marte- es tan grande que no creo que se intenten en un futuro muy cercano si no conseguimos progresos espectaculares en el desarme nuclear y “convencional”. Incluso en este caso es probable que haya necesidades más urgentes en la Tierra. Pero no dudo que si evitamos la autodestrucción, más tarde o más temprano llevaremos a cabo estas misiones.
Es casi imposible mantener una sociedad estática. Hay una especie de interés sicológico compuesto: basta una pequeña tendencia a las economías, a volverle la espalda al Cosmos, para que el resultado sumado al cabo de muchas generaciones sea una decadencia señalada. Y a la inversa, basta un ligero compromiso para aventurarse más allá de la Tierra -en lo que siguiendo a Colón podríamos denominar “la empresa de las estrellas”- para que se acumule al cabo de muchas generaciones y dé una presencia humana señalada en otros mundos, el placer de participar en el Cosmos.
Hace unos 3.6 millones de años, en lo que es actualmente el norte de Tanzania, un volcán entró en erupción; la nube resultante de cenizas cubrió la sabana de los alrededores.

Dos huellas humanas. Arriba, en Tanzania, hace 3.6 millones de años. Abajo, en el Mare Tranquilitatis, 1969. (Cedida por Mary Leakey y la National Geographic Society, y por la NASA.)
Porque nosotros somos la encarnación local de Cosmos que ha crecido hasta tener consciencia de sí. Hemos empezado a contemplar nuestros orígenes: sustancia estelar que medita sobre las estrellas; Conjuntos organizados de decenas de miles de billones de billones de átomos que consideran la evolución de los átomos y rastrean el largo camino a través del cual llegó a surgir la consciencia, por lo menos aquí. Nosotros hablamos en nombre de la Tierra. Debemos nuestra obligación de sobrevivir no sólo a nosotros sino también a este Cosmos, antiguo y vasto, del cual procedemos.

El planeta madre de una civilización técnica emergente, que trata desesperadamente de evitar la autodestrucción. Este mundo está siendo observado desde un puesto avanzado provisional cerca de su solitario satélite natural. La Tierra se desplaza unos 2.5 millones de kilómetros cada día alrededor del Sol; ocho veces más rápidamente todavía alrededor del centro de la galaxia Vía Láctea, y quizás todavía el doble más de rápido al caer la Vía Láctea hacia el cúmulo de galaxias de Virgo. Hemos sido desde siempre viajeros del espacio. (Cedida por la NASA.)
La reducción al absurdo y la raíz cuadrada de dos
El argumento pitagórico original sobre la irracionalidad de la raíz cuadrada de 2 dependía de una clase de argumento llamado reducción al absurdo: suponemos de entrada la verdad de una afirmación, seguimos sus consecuencias y desembocamos en una contradicción, lo que nos permite determinar su falsedad. Tomemos un ejemplo moderno y consideremos el aforismo del gran físico del siglo veinte, Niels Bohr: "Lo contrario de cualquier gran idea es otra gran idea."
Si la afirmación fuera cierta, sus consecuencias podrían ser como mínimo algo peligrosas. Consideremos por ejemplo lo contrario de la Regla de Oro evangélica, o de las prescripciones contra la mentira, o del precepto “no mataras”. Consideremos pues si el mismo aforismo de Bohr es en sí una gran idea. Si así es, la afirmación contraria, "LO contrario de cualquier gran idea no es una gran idea" también debe ser cierta. Hemos llegado entonces a una reducción al absurdo. Si la afirmación contraria es falsa podemos dejar de lado el aforismo porque ha confesado claramente que no es una gran idea.
Presentamos aquí una versión moderna de la demostración de la irracionalidad de la raíz cuadrada de 2 utilizando la reducción al absurdo y un álgebra sencilla en lugar de la demostración exclusivamente geométrica descubierta por los pitagóricos. El estilo del argumento, el modo de pensar, son por lo menos tan interesantes como la conclusión:

12 + 12 = x2
Pero 12 + 12 = 12 + 12 = 2, por lo tanto x2 = 2 y escribiremos x = √2, raíz cuadrada de dos. Supongamos que √2 sea un número racional: √2 = p/q, donde p y q son números enteros. Pueden ser tan grandes como queramos y representar los números enteros que queramos. Podemos exigir desde luego que no tengan factores comunes. Si quisiéramos afirmar por ejemplo que √2 = 14/10, eliminaríamos el factor común 2 y escribiríamos p = 7 y q = 5, no p = 14 y q = 10. Hay que eliminar cualquier factor común de numerador y denominador antes de empezar. Tenemos para escoger un número infinito de pes y de qus. Si elevamos al cuadrado los dos términos de la ecuación √2 = p/q, obtenemos 2 = p2/q2, y luego multiplicando ambos términos de 'la ecuación por q2 llegamos a:p2 = 2q2 (Ecuación 1)
Por lo tanto p2 es algún número multiplicado por 2. Es decir que p2 es un número par. Pero el cuadrado de cualquier número impar es también impar (12 = 1, 32 = 9, 52 = 25, 72 = 49, etc.). Por lo tanto también p ha de ser par, y podemos escribir p = 2s, siendo s algún entero. Si sustituimos este valor de p en la ecuación (1) obtenemos:p2 = (2s)2 = 4s2 = 2q2
Dividiendo ambos miembros de esta última igualdad por 2, obtenemos:q2 = 2s2
Por lo tanto q2 es también un número par y se deduce por el mismo argumento utilizado con p que q también es un número par. Pero si p y q son ambos números pares, ambos divisibles por 2, no se redujeron a su mínimo común denominador, lo cual contradice uno de nuestros supuestos. Reducción al absurdo. El argumento no puede decirnos que esté prohibido reducir los factores comunes, que 14/10 esté permitido y en cambio 7/5 no lo esté. Luego el supuesto inicial ha de ser erróneo; p y q no pueden ser números enteros, y √2 es irracional.De hecho √2 = 1.4142135...
¡Qué conclusión más asombrosa e inesperada! ¡Qué demostración más elegante! Sin embargo los pitagóricos se sintieron obligados a ocultar este gran descubrimiento.
Apéndice 2
Los cinco sólidos pitagóricos
Un polígono (que significa en griego "de muchos ángulos") regular es una figura bidimensional con un cierto número n de lados iguales. Si n = 3, el polígono es un triángulo equilátero; si n = 4 es un cuadrado; si n = 5 es un pentágono, etc. Un poliedro (que significa en griego "de muchas caras") es una figura tridimensional cuyas caras son todas polígonos: un cubo, por ejemplo, cuyas caras son 6 cuadrados. Un poliedro simple, o sólido regular, es un poliedro sin agujeros. Un hecho fundamental en la obra de los pitagóricos y de Johannes Kepler es que sólo hay y puede haber 5 sólidos regulares. La demostración más fácil deriva de una relación descubierta mucho después por Descartes y por Leonhard Euler que relaciona el número de caras, C, el número de aristas, A y el número de vértices, V, de un sólido regular
V - A + C = 2 (Ecuación 2)
En un cubo, por ejemplo, hay 6 caras (C = 6), y 8 vértices (V = 8) ,8 - A + 6 = 2, 14 - A = 2, y A = 12; la ecuación (2) predice que el cubo tiene 12 aristas, y así es. Puede consultarse una demostración geométrica sencilla de la ecuación (2) en la obra de Courant y Robbins citada en la bibliografía. A partir de la ecuación (2) podemos demostrar que sólo hay cinco sólidos regulares.Toda arista de un sólido regular es compartida por los lados de dos polígonos adyacentes. Imaginemos de y nuevo el cubo en el cual cada arista hace de frontera entre dos cuadrados. Si contamos todos los lados de todas las caras de un poliedro, nC, habremos contado dos veces todas las aristas. Por lo tanto
nC = 2A (Ecuación 3)
Sea r el número de aristas que convergen en cada vértice. En un cubo r = 3. También ahora cada arista conecta dos vértices. Si contamos todos los vértices, rV, habremos contado del mismo modo dos veces cada arista. Por lo tanto,rV = 2a (Ecuación 4)
Si sustituimos los valores de V y C de las ecuaciones (3) y (4), en la ecuación (2) obtenemos
(Ecuación 5)
Si n = 3, la ecuación (5) se convierte en
(1/3)+ (1/r) = (1/2)+ (1/A),
o bien:
(Ecuación 6)
Si r= 3, la ecuación (5) se convierte en:

No hay más valores enteros posibles de n y r, y por lo tanto sólo hay 5 sólidos regulares, conclusión deducida de la matemática más abstracta y bella, y que como hemos visto tuvo un impacto muy profundo sobre los asuntos prácticos de la humanidad.
Lecturas complementarias
(Las obras científicas de carácter más técnico llevan asterisco)
Capítulo 1
- Boeke, Kees, Cosmic View: The Universe in FortyJumps, Nueva York, John Day, 1957.
- Fraser, Peter Marshall, Ptolemaic Alexandria, Tres volúmenes, Oxford, Clarendon Press, 1972.
- Morison, Samuel Eliot, Admiral of the Ocean Sea: A Life of Christopher Columbus, Boston, Little, Brown, 1942.
- Sagan, Carl, Broca’s Brain: Reflections on the Romance of Science, Nueva York, Random House, 1979.
Capítulo 2
- Attenborough, David, Life on Earth: A Natural History, Londres, British Broadcasting Corporation, 1979. *Dobzhansky, Theodosius; Ayala, Francisco J.; Stebbins, G. Ledyard, y Valentine, James, Evolution, San Francisco, W. H. Freeman, 1978.
- Evolution, A Scientific American Book, San Francisco, W. H. Freeman, 1978.
- Gould, Stephen Jay, Ever Since Darwin: Reflections on Natural History, Nueva York, W. W. Norton, 1977. Handler, Philip(ed.), Biology and the Future of Man, Committee on Science and Public Policy, National Academy of Sciences, Nueva York, Oxford University Press, 1970.
- Huxley, Julian, New Bottles for New Wine: Essays, Londres, Chatto and Windus, 1957.
- Kennedy, D. (ed.), Cellular and Organismal Biology, A Scientific American Book, San Francisco, W. H. Freeman, 1974.
· Komberg, A., DNA Replication, San Francisco, W. H. Freeman, 1980. (*)
· Miller, S. L., y Orgel, L., The Origins of Life on Earth, Englewood Cliffs, N. J., Prentice-Hall, 1974. (*)
- Orgel, L., Origins of Life, Nueva York, Wiley, 1973.
· Roemer, A. S., "Major Steps in Vertebrate Evolution”, Science, vol. 158, p. 1629, 1967. (*)
· Roland, Jean Claude, Atlas of Cell Biology, Boston, Litde,’Brown, 1977. (*)
- Sagan, Carl, "Life", Encyclopaedia Britannica, 1970 y ediciones posteriores.
· Sagan, Carl, y Salpeter, E. E., "Particles, Environments and Hypothetical Ecologies in the Jovian Atmosphere", Astrophysical Journal Supplement, vol. 32, p. 737,1976. (*)
- Simpson, G. G., The Meaning of Evolution, New Haven, Yale University Press, 1960.
- Thomas, Lewis, Lives of a Cell: Notes of a Biology Watcher, Nueva York, Bantam Books, 1974.
· Watson, J. D., Molecular Biology of the Gene, Nueva York, W. A. Benjamin, 1965. (*)
- Wilson, E. O.; Eisner, T .; Briggs, W. R.; Dickerson, R. E.; Metzenberg, R. L.; O’Brien, R. D.; Susman, M., y Boggs, W. E., Life on Earth, Stamford, Sinauer Associates, 1973.
Capítulo 3
- Abell, George, y Singer, B. (eds.), Science and the Paranormal, Nueva York, Simon and Schuster, 1980.
· Beer, A. (ed.), Vistas in Astronomy: Kepler, vol. 18, Londres, Pergamon Press, 1975. (*)
- Caspar, Max, Kepler, Londres, Abelard-Schuman, 1959.
- Cumont, Franz, Astrology and Religion Among the Greeks and Romans, Nueva York, Dover, 1960. Koestler, Arthur, The Sleepwalkers, Nueva York, Grosset and Dunlap, 1963.
- Krupp, E. C. (ed.), In Searr:h of Ancient Astronomies, Nueva York, Doubleday, 1978.
- Pannekoek, Anton, A History of Astronomy, Londres, George Allen, 1961.
- Rey, H. A., The Stars, A New Way to See Them, tercera edición, Boston, Houghton Mimin, 1970.
- Rosen, Edward, Kepler's Somnium, Madison, Wis., University of Wisconsin Press, 1967.
- Standen, A., Forget Your Sun Sign, Baton Rouge, Legacy, 1977.
- Vivian, Gordon, y Raiter, Paul, The Great Kivas ofChaco Canyon, Albuquerque, University ofNew Mexico Press, 1965.
Capítulo 4
- Charney, J. G. (ed.), Carbón Dioxide and Climate, A Scientific Assessment, Washington, D. C., National Academy of Sciences, 1979.
- Chapman, C., The Inner Planets, Nueva York, Scribner's, 1977.
- Cross, Charles A., y Moore, Patrick, The Atlas of Mercury, Nueva York, Crown Publishers, 1977
· Delsemme, A. H. (ed.), Comets, Asteroids, Meteorites, Toledo, University of Ohio Press. 1977. (*)
- Ehrlich, Paul R; Ehrlich, Anne H., y Holden, John P., Ecoscience: Population, Resources, Environment.
- San Francisco, W. H. Freeman, 1977.
· Dunne, James A., y Burgess, Eric, The Voyage of Mariner 10, NASA SP-424, Washington, D. C., U. S. Government Printing Office, 1978. (*)
· El-Baz, Farouk, "The Moon After Apollo”, Icarus. vol. 25, p. 495, 1975. (*)
- Goldsmith, Donald ( ed. ), Scientists Confront Velikolisky, Ithaca, Comell University Press, 1977. Kaufmann, William J., Planets and Moons. San Francisco, W. H. Freeman, 1979.
· Keldysh, M. V., "Venus Exploration with the Venera 9 and Venera 10 Spacecraft", Icarus. vol. 30, p. 605, 1977.
· Kresak, L., "The Tunguska Object A Fragment of Comet Encke?", Bulletin of the Astronomical Institute of Czechoslovakia. vol. 29, p. 129, 1978(*)
- Krinov, E. L., Gian tMeteorites, Nueva York, Pergamon Press, 1966.
- Lovelock, L;, Gaia, Oxford, Oxford University Press, 1979. ;
· Marov, M. Ya., "Venus: A Perspective at the Beginning of Planetary Exploration", Icarus. vol. 16, p. 115, 1972. (*)
- Masursky, Harold; Colton, C. W., y El-Baz, Farouk (eds.), Apollo Over the Moon: A Viewfrom Orbit. NASA SP-362, Washington, D. C., U. S. Govemment Printing Office, 1978.
· Mulholland, J. D., y Calame, O., "Lunar Crater Giordano Bruno: AD 1178 Impact Observations Consistent with Laser Ranging Results", Science. vol. 199, p. 875, 1978. (*)
· Murray, Bruce, y Burgess, Eric, Flight to Mercury, Nueva York, Columbia University Press, 1977. (*)
· Murray, Bruce, Greeley, R., y Malin, M., Earthlike Planets, San Francisco; W. H. Freeman, 1980. (*)
- Nicks, OranW. (ed.), This Island Earth, NASA SP-250, Washington, D. C., U. S. Government Printing
- Office, 1970.
- Oberg, James, "Tunguska: Collision with a Comet", Astronomy, vol. 5, núm. 12, p. 18, diciembre de 1977.
· Pioneer Venus Results, Science, vol. 203, núm. 4382, p. 743, 23 febrero de 1979. (*)
· Pioneer Venus Results, Science, vol. 205, núm. 4401, p. 41, 6 de julio de 1979. (*)
- Press, Frank, y Siever, Raymond, Earth, segunda edición, San Francisco, W. H. Freeman, 1978.
- Ryan, Peter, y Pesek, L., SolarSystem, Nueva York, Viking, 1979.
· Sagan, Carl; Toon, 0. B., y Pollack, J. B., " Anthropogenic Albedo Changes and the Earth's Climate", Science. vol. 206, p. 1363, 1979. (*)
- Short, Nicholas M.; Lowman, Paul D.; Freden, Stanley C., y Finsh, William A.,Mission to Earth: LAND- SAT Views the World, NASA SP-360, Washington, D. C., U. S. Govemment Printing Office, 1976. Skylab Explores the Earth, NASA SP-380, Washington, D. C., U. S. Govemment Printing Office, 1977.
- The Solar System, A. Scientific American Book, San Francisco, W. H. Freeman, 1975.
- Urey, H. C., "Cometary Collisions in Geological Periods", Nature, vol. 242, p. 32,2 de marzo de 1973. Vita- liano, Dorothy B.,Legends oftheEarth, Bloomington, Indiana University Press, 1973.
· Whipple, F. L., Comets, Nueva York, John Wiley, 1980. (*)
Capítulo 5
- American Geophysical Union, Scientific Results of the Viking Project, reproducido de Journal of Geop- hysical Research. vol. 82, p. 3959, 1977. (*)
- Batson, R. M.; Bridges, T. M., e Inge, J. L., Atlas of Mars: The 1:5,000,000 Map Series, NASA SP-438, Washington, D. C., U. S. Govemment Printing Office, 1979.
- Bradbury , Ray; Clarke, Arthur C.; Murray, Bruce; Sagan, Carl, y Sullivan, W alter, Mars and the Mind of Man , Nueva York, Harper and Row, 1973.
- Burgess, Eric, To the Red Planet, Nueva York, Columbia University Press, 1978.
- Gerster, Georg, Grand Design: The Herat from Above, Nueva York, Paddington Press, 1976.
- Glasstone, Samuel, Book of Mars , Washington, D. C., U. S. Govemment Printing Office, 1968.
- Goddard, Robert H., Autobiography, Worcester, Mass., A. J. St. Onge, 1966.
· Goddard, Robert H., Papers, tres volúmenes, Nueva York, McGraw-Hill, 1970. (*)
- Hartmann, W. H., y Raper, O., TheNewMars: The Discoveries of Mariner 9, NASA SP-337, Washington, D. C., U. S. Govemment Printing Office, 1974.
- Hoyt, William G., Lowell and Mars, Tucson, University of Arizona Press, 1976.
- Lowell, Percival, Mars. Boston, Hougthon Mimin, 1896.
- Lowell, Percival, Mars and Its Canals, Nueva York, Macmillan, 1906.
- Lowell, Percival, Mars as an Abode of Life, Nueva York, Macmillan, 1908.
- Mars as Viewed by Mariner 9, NASA SP-329, Washington, D. C., U. S. Govemment Printing Office, 1974. Morowitz, Harold, The Wine o f Life, Nueva York, St. Martin's, 1979.
· Mutch, Thomas A.; Arvidson, Raymond E.; Head, James W.; Jones, Kenneth L., y Saunders, R. Stephen, The Geology of Mars. Princeton, Princeton University Press, 1976. (*)
· Pittendrigh, Colin S.; Vishniac, Wolf, y Pearman, J. P. T. (eds.), Biology and the Exploration of Mars, Washington, D. C., National Academy of Sciences, National Research Council, 1966. (*)
- The Martian Landscape, Viking Lander Imaging Team, NASA SP-425, Washington, D. C., U. S. Govern- ment Printing Office, 1978.
· Viking I Mission Results, Science, vol. 193, núm. 4255, Agosto de 1976. (*)
· Viking I Mission Results, Science, vol. 194, núm. 4260, Octubre de 1976. (*)
· Viking 2 Mission Results, Science, vol. 194, núm. 4271, Diciembre de 1976. (*)
· "The Viking Misión and the Question of Life on Mars”, Journal of Molecular Evolution, vol. 14, núms. 13, Berlín, Springer-Verlag, Diciembre de 1979. (*)
- Wallace, Alfred Russel, Is Mars Habitable? Londres, Macmillan, 1907.
- Washbum, Mark, Mars At Last!, Nueva York, G. P. Putnam, 1977.
Capítulo 6
· Alexander, A. F. O., The Planet Saturn, Nueva York, Dover, 1980. (*)
- Bell, Arthur E., Christiaan Huygens and the Development of Science in the Seventeenth Century, Nueva York, Longman's Green, 1947.
- Dobell, Clifford, Anton Van Leeuwenhoek and His “Little Animals”, Nueva York, Russell and Russell, 1958.
- Duyvendak, J. J. L., China's Discovery of Africa, Londres, Probsthain, 1949.
· Gehrels, T. (ed.), Jupiter: Studies of the Interior, Atmosphere, Magnetosphere and Satellites, Tucson, University of Arizona Press, 1976. (*)
- Haley, K. H., The Dutch in the Seventeenth Century, Nueva York, Harcourt Brace, 1972.
- Huizinga Johan, Dutch Civilization in the Seventeenth Century, Nueva York, F. Ungar, 1968.
· Hunten, Donald (ed.), The Atmosphere of Titan, NASA SP-340, Washington, D. C., U. S. Government Printing Office, 1973. (*)
· Hunten, Donald, y Morrison, David (eds.), The Saturn System, NASA Conference Publication 2068, Washington, D. C., U. S. Govemment Printing Office, 1978. (*)
- Huygens, Christiaan, The Celestial Worlds Discover’d: Conjectures Concerning the Inhabitants, Planets and Productions of the Worlds in the Planets, Londres, Timothy Childs, 1798.
· "First Scientific Results from Voyager 1", Science, vol. 204, núm. 4396, 1 de junio de 1979. (*)
· "First Scientific Results from Voyager 2", Science, vol. 206, núm. 4421,p. 927,23 de noviembre de 1979. Manuel, Frank E., A Portrait of Isaac Newton; Washington, New Republic Books, 1968. (*)
- Morrison, David, y Samz, Jane, Voyager to Jupiter, NASA SP-439, Washington, D. C., U. S. Govemment Printing Office, 1980.
- Needham, Joseph, Science and Civilization in China, vol. 4, parte 3, pp. 468-553, Nueva York, Cambridge University Press, 1970.
· Palluconi, F. D., y Pettengill, G: H. (eds.), The Rings of Saturn, NASA SP-343, Washington, D. C., U. S. Govemment Printing Office, 1974. (*)
- Rimmel, Richard O.; Swindell, William, y Burgess, Eric, Pioneer Odyssey, NASA SP-349, Washington, D. C., U. S. Govemment Printing Office, 1977.
· "Voyager 1 Encounter with Júpiter and Io”, Nature, vol. 280, p. 727, 1979. (*)
- Wilson, Charles H., The Dutch Republic and the Civilization of the Seventeenth Century, Londres, Wei- denfeld and Nicolson, 1968.
- Zumthor, Paul, Daily Life in Rembrandt's Holland, Londres, Weidenfeld and Nicolson, 1962.
Capítulo 7
- Baker, Howard, Persephone's Cave, Atenas, University of Georgia Press, 1979.
- Berendzen, Richard; Hart. Richard, y Seeley, Daniel, Man Discovers the Galaxies, Nueva York, Science History Publications, 1977.
- Farrington, Benjamin, Greek Science, Londres, Penguin, 1953.
- Finley, M. I., Ancient Slavery and Modern Ideology, Londres, Chatto, 1980.
- Frankfort. H.; Frankfort, H. A.; Wilson, J. A., y Jacobsen, T., Before Philosophy: The Intellectual Adven- ture of Ancient Man, Chicago, University of Chicago Press, 1946.
- Heath, T., Aristarchus of Samos, Cambridge, Cambridge Uniyersity Press, 1913.
- Heidel, Alexander, The Babylonian Genesis, Chicago, University of Chicago Press, 1942. es, Henry, Technology in the Ancient World, Londres, Allan Lane, 1970.
- Jeans James, The Growth of Physical Science, segunda edición, Cambridge, Cambridge University Press,
- 1951.
- Lucretius, The Nature of the Universe, NuevaYork, Penguin, 1951.
- Murray, Gilbert, Five Stages of Greek Religion, Nueva York, Anchor Books, 1952.
- Russell, Bertrand, A History of Western Philosophy, Nueva York, Simon and Schuster, 1945.
- Sarton, George, A History of Science, vols. I y 2, Cambridge, Harvard University Press, 1952, 1959. Schrodinger, Erwin, Nature and the Greeks, Cambridge, Cambridge University Press, 1954.
- Vlastos, Gregory, Plato's Universe, Seattle, University of Washington Press, 1975.
Capítulo 8
- Barnett, Lincoln, The Universe and Dr. Einstein, Nueva York, Sloane, 1956.
- Bemstein, Jeremy, Einstein, Nueva York, Viking, 1973.
- Borden, M., y Graham, O. L., Speculations on American History, Lexington, Mass., D. C. Heath, 1977. ..
· Bussard, R. W ., "Galactic Matter and Interstellar Flight", Astronautica Acta, vol. 6, p. 179, 1960. (*)
- Cooper, Margaret, The Inventions of Leonardo Da Vinci, Nueva York, Macmillan, 1965.
· Dole, S. H., "Formation of Planetary Systems by Aggregation: A Computer Simulation", Icarus, vol. 13, p. 494, 1970. (*)
- Dyson, F. J., "Death of a Project" [Orion], Science, vol. 149, p.141, 1965.
- Gamow, George, Mr. Tompkins in Paperback, Cambridge, Cambridge University Press, 1965.
- Hart, Ivor B., Mechanical Investigations of Leonardo Da Vinci, Berkeley, University of Califomia Press, 1963.
- Hoffman, Banesh, Albert Einstein: Creator and Rebel, Nueva York, New American Library , 1972.
· Isaacman, R., y Sagan, Carl, "Computer Simulation of Planetary Accretion Dynamics: Sensitivity to Initial Conditions",Icarus, vol. 31, p. 510,1977. (*)
- Lieber, Lillian R., y Lieber, Hugh Gray, The Einstein Theory of Relativity. Nueva York, Holt, Rinehart and Winston, 1961.
- MacCurdy, Edward (ed.), Notebooks of Leonardo, dos volumenes, Nueva York, Reynal and Hitchcock, 1938.
· Martin, A. R. (ed.), "Project Daedalus: Final Report of the British Interplanetary Society Starship Study", Journal of the British Interplanetary Society, suplemento, 1978. (*)
- McPhee, John A., The Curve of Binding Energy, Nueva York, Farrar, Straus and Giroux, 1974.
· Mermin, David, Space and Time and Special Relativity, Nueva York, McGraw-Hill, 1968. (*)
- Richter, Jean-Paul, Notebooks of Leonardo Da Vinci, Nueva York, Dover, 1970.
- Schlipp, Paul A. (ed.), Albert Einstein: Philosopher-Scientist, tercera edición, dos volúmenes, La Salle, III., Open Court, 1970.
Capítulo 9
- Eddy, John A., The New Sun: The Solar Results from Skylab, NASA SP-402, Washington, D. C., U. S. Govemment Printing Office, 1979.
· Feynman, R. P.; Leighton, R. B., y Sands, M., The Feynman Lectures on Physics, Reading, Mass., Addison- Wesley , 1963. (*)
- Gamow, George, One, Two. Three... lrifnity, Nueva York, Bantam Books, 1971.
- Kasner, Edward, y Newman, James R., Mathematics and the Imagination, Nueva York, Simon and Schuster, 1953.
- Kaufmann, William J., Stars and Nebulas, San Francisco, W. H. Freeman, 1978.
- Maffei, Paolo, Monsters in the Sky, Cambridge, M. I. T. Press, 1980.
- Murdin, P., y Allen, D., Catalogue of the Universe, Nueva York, Crown Publishers, 1979.
· Shklovskii, I. S., Stars: Their Birth, Life and Death, San Francisco, W. H. Freeman, 1978. (*)
- Sullivan, Walter, Black Holes: The Edge of Space. The End of Time, Nueva York, Doubleday, 1979. Weisskopf, Victor, Knowledge and Wonder, segunda edición, Cambridge, M. I. T. Press, 1979.
- Entre los mejores manuales escolares de astronomía figuran:
- Abell, George, The Realm of the Universe, Filadelfia, Saunders College, 1980.
- Berman, Louis, y Evans, J. C., Exploring the Cosmos, Boston, Little, Brown, 1980.
- Hartmann, William K., Astronomy: The Cosmic Journey, Belmont, Cal., Wadsworth, 1978.
- Jastrow, Robert, y Thompson, Malcolm H., Astronomy: Fundamentals and Frontiers , tercera edición. Nueva York. Wiley, Pasachoff, Jay M., y Kutner, M. L., University Astronomy, Filadelfia, Saunders, 1978. (*)
- Zeilik, Michael, Astronomy: The Evolving Universe, Nueva York, Harper and Row, 1979.
Capítulo 10
- Abbott, E., Flatland, Nueva York, Bames y Noble, 1963.
- Arp, Halton, "Peculiar Galaxies and Radio Sources", Science, vol. 151, p. 1214, 1966. (*)
- Bok, Bart, y Bok, Priscilla, The Milky Way, cuarta edición, Cambridge, Harvard University Press, 1974. Campbell, Joseph, The Mythic Image, Princeton, Princeton Úniversity Press, 1974.
- Ferris, Timothy, Galaxies, San Francisco, Sierra Club Books, 1980.
- Ferris, Timothy, The Red Limit: The Search by Astronomers for the Edge of the Universe, Nueva York, William Morrow, 1977.
- Gingerich, Owen (ed.), Cosmology + 1. A Scientific American Book, San Francisco, W. H. Freeman, 1977.
· Jones, B., "The Origin of Galaxies: A Review of Recent Theoretical Developments and Their Confrontation with Observation", Reviews of Modern Physics, vol. 48, p. 107, 1976. (*)
- Kaufmann, William J., Black Holes and Warped Space-Time, San Francisco, W. H. Freeman, 1979. Kaufmann, William J., Galaxies and Quasars, San Francisco, W. H. Freeman, 1979.
- Rothenberg, Jerome (ed.), Technicians of the Sacred, Nueva York, Doubleday, 1968.
- Silk, Joseph, The Big Bang: The Creation and Evolution of the Universe, San Francisco, W. H. Free- man, 1980.
- Sproul, Barbara C., Primal Myths: Creating the World, Nueva York, Harper and Row, 1979.
- Stockton, A. N., "The Nature of QSO Red Shifts", Astrophysical Journal, vol. 223, p. 747, 1978. Weinberg, Steven, The First Three Minutes: A Modern View of The Origin of the Universe, Nueva York, Basic Books, 1977. (*)
· White, S. D. M., y Rees, M. J., "Core Condensation in Heavy Halos: A Two-Stage Series for Galaxy Formation and Clustering", Monthly Notices of the Royal Astronomical Society, vol. 183, p. 341, 1978. (*)
- Human Ancestors, Readings from Scientific American, San Francisco, W. H. Freeman, 1979.
- Koestler, Arthur, The Act o fCreation, Nueva York, Macmillan, 1964.
- Leaky, Richard E., y Lewin, Roger, Origins, Nueva York, Dutton, 1977.
· Lehninger, Albert L., Biochemistry, Nueva York, Worth Publishers, 1975. (*)
· Norris, Kenneth S. (ed.), Whales, Dolphins and Porpoises, Berkeley, University of Califomia Press, 1978. (*)
- Payne, Roger, y McVay, Scott, "Songs ofHumpback Whales”, Science, vol. 173, p. 585, agosto de 1971. Restam, Richard M., The Brain, Nueva York, Doubleday, 1979. (*)
- Sagan, Carl, The Dragons of Eden: Speculations of the Evolution of Human Intelligence, Nueva York, Random House, 1977.
- Sagan, Carl; Drake, F. D.; Druyan, A.; Ferris, T.; Lomberg, J., y Sagan, L. S., Murmurs of Earth: The Vo- yager Interestellar Record, Nueva York, Random House, 1978.
· Stryer, Lubert, Biochemistry, San Francisco, W. H. Freeman, 1975. (*)
- The Brain, A Scientific American Book, San Francisco, W. H. Freeman, 1979.
· Winn, HowardE., y Olla, Bori L. (eds.), Behavior of Marine Animals, vol. 3, Cetaceans, Nueva York, Plenum, 1979. (*)
Capítulo 12
- Asimov, Isaac, Extraterrestrial Civilizations, Nueva York, Fawcett, 1979.
- Budge, E. A. Wallis, Egyptian Language: Easy Lessons in Egyptian Hieroglyphics, Nueva York, Dover Publications, 1976.
- De Laguna, Frederica, UnderMount St. Elias: History and Culture ofYacutat Tlingit, Washington, D. C., U. S. Government Printing, 1972.
- Emmons, G. T., The Chilkat Blanket, Nueva York, Memoirs of the American Museum of Natural History, 1907.
- Goldsmith, D., y Owen, T., The Searchfor Life in the Universe, Menlo Park, Benjamin/Cummings, 1980. Klass, Philip, UFO's Explained, Nueva York, Vintage, 1976.
- Krause, Aurel, The Tlingit Indians, Seattle, University of Washington Press, 1956.
- La Pérouse, Jean F. de G., comte de, Voyage de La Pérouse Autour du Monde, cuatro volúmenes, París, Imprimerie de la Republique, 1797.
- Mallove, E.; Forward, R. L.; Paprotny, Z., y Lehmann, J., "Interestellar Travel and Communication: A Bibliography", Journal of the British Interplanetary Society, vol. 33, núm. 6, 1980.
· Morrison, P.; Billingham, J., y Wolfe, J. (eds.), The Search for Extraterrestnal Intelligence, Nueva York, Dover, 1979. (*)
· Sagan, Carl, Communication with Extraterrestrial Intelligence (CETI), Cambridge, M. I. T. Press, 1973. (*)
· Sagan, Carl, y Page, Thornton (eds.), UFO's: A Scientific Debate, Nueva York, W. W. Norton, 1974. (*)
· Shklovkii, I. S., y Sagan, Carl, Intelligent Life in the Universe, Nueva York, D.ell, 1967. (*)
- Story, Ron, The Space-Gods Revealed, A Close Look at the Theories of Erich von Daniken, Nueva York, Harper and Row, 1976.
- Vaillant, George C., Aztecs of Mexico, Nueva York, Pelican Books, 1965.
Capítulo 13
- Drell, Sidney D., y Von Hippel, Frank, "Limited Nuclear War", Scientific American, vol. 235, p. 2737, 1976.
- Dyson, F., Disturbing the Universe, Nueva York, Harper and Row, 1979.
- Glasstone, Samuel (ed.), The Effects of Nuclear Weapons, Washington, D. C., U. S. Atomic Energy Com- mission, 1964.
- Humboldt, Alexander von, Cosmos, cinco volúmenes, Londres, Bell, 1871.
- Murchee, G ., The Seven Mysteries of Life , Boston, Hougthon Mimin, 1978.
- Nathan, Otto, y Norden, Heinz (eds.), Einstein on Peace, Nueva York, Simon and Schuster, 1960.
- Perrin, Noel, Giving Up the Gun: Japan.s Reversion to the Sword 1543-1879, Boston, David Godine, 1979.
- Prescott, James W., "Body Pleasure and the Origins of Violence", Bulletin of the Atomic Scientists, p. 10, Noviembre de 1975.
- Richardson, Lewis F., The Statistics of Deadly Quarrels, Pittsburgh, Boxwood Press, 1960. (*)
- Sagan, Carl, The Cosmic Connection. An Extraterrestrial Perspective, Nueva York, Doubleday, 1973.
- World Armaments and Disarmament, SIPRI Yearbook, 1980 y años anteriores, Stockholm Intemational Peáce Reasearch Institute, Nueva York, Crane Russak and Company, 1980 y años anteriores.
Apéndices
Courant, Richard, y Robbins, Herbert, What Is Mathematics? An Elementary Approach to Ideas and Methods, Nueva York, Oxford University Press, 1969. 9.
Notas:
Las enseñanzas del ying-yang en Japón nada tienen que decir sobre la cuestión de los días de Lengua Roja. Antes la gente no evitaba esos días, pero últimamente —y me pregunto quién es el responsable de que haya empezado esta costumbre— a la gente le ha dado por decir cosas como “un proyecto que comienza en un día de Lengua Roja nunca se verá acabado”, o “cualquier cosa que digas o hagas en un día de Lengua Roja seguro que resulta baldío: pierdes lo que has ganado y tus planes se desbaratan”. ¡Qué tontería! Si uno contara los proyectos iniciados en “días de suerte”, cuidadosamente elegidos, que al final fracasan, probablemente serán tan numerosos como las empresas infructuosas comenzadas en días de Lengua Roja.
“Desde mis veintitrés años me he dedicado tanto a la alquimia como a los estudios celestiales.” Pero consideraba que ambas seudo ciencias guardaban secretos demasiado peligrosos para el pueblo en general (aunque totalmente seguros, pensaba, en manos de los príncipes y reyes a los que solicitaba apoyo económico). Brahe continuaba la ya larga y ciertamente peligrosa tradición de algunos científicos que creen que solamente a ellos ya los poderosos temporales y eclesiásticos se pueden confiar los conocimientos arcanos: “Poner en general conocimientos de este tipo de cosas no sirve de nada útil y es poco razonable.”Kepler, por el contrario, daba clases de astronomía en las escuelas, publicó extensamente y con frecuencia, astrología, a cuenta de su propio bolsillo, y escribió ciencia ficción, que desde luego no iba destinada en principio a sus colegas científicos. Puede que no haya sido un escritor popular de ciencia en el sentido moderno, pero el cambio de actitud en esta sola generación que separa a Tycho de Kepler es revelador.
Dar una vuelta alrededor del Sol ocupa mucho tiempo si uno vive en los dominios extremos del sistema solar. La órbita cometaria tiene una longitud de 2pa = 2p x 105 x 1,5 x 108 km » 1014 km, y su velocidad es por lo tanto de sólo 1014 km / 10 15 s = 0.1 km/s
El desarrollo de la ciencia en la Tierra fue estimulado fundamentalmente por la observación de las regularidades de las estrellas y de los planetas. Pero Venus está totalmente cubierto de nubes. La noche es agradablemente larga, ocupa aproximadamente 59 días terrestres, pero si uno quisiera contemplar el cielo nocturno de Venus no alcanzaría a ver nada del universo astronómico. Incluso el Sol sería invisible durante el día, porque su luz se dispersaría y se difundiría por todo el cielo; del mismo modo los buceadores submarinos sólo ven un resplandor uniforme y envolvente. Si en Venus se construyera un radiotelescopio, podría detectar el Sol, la Tierra y otros objetos distantes. Si la astrofísica estuviera desarrollada, la existencia de las estrellas podría finalmente deducirse de los principios de la física, pero serían únicamente construcciones teóricas. A veces me pregunto cuál sería la reacción de los seres inteligentes de Venus si un día aprendieran a volar, a navegar en el aire denso, a atravesar el misterioso velo de nubes situado a 45 kilómetros sobre ellos, para emerger al final por encima de las nubes y mirar y presenciar por primera vez ese universo glorioso del Sol, los planetas y las estrellas.
Sin duda sabréis que Galileo fue recientemente censurado por los Inquisidores de la Fe, y que sus opiniones sobre el movimiento de la Tierra fueron condenadas por heréticas. Debo deciros que todas las cosas que expliqué en mi tratado, y que incluían la doctrina del movimiento de la Tierra, son tan interdependientes que basta descubrir que una de ellas es falsa para saber que todos los argumentos que utilizo carecen de fundamento. Aunque yo pensé que se basaban en pruebas muy ciertas y evidentes no desearía por nada del mundo mantenerlas contra la autoridad de la Iglesia... Quiero vivir en paz y continuar la vida que inicié con la divisa: para vivir bien has de vivir sin que te vean.