Bernoulli
Gustavo Ernesto Piñeiro
La historia de la ciencia registra muchos casos de parejas formadas por matemáticos de primer nivel que eran parientes cercanos, como Farkas Bolyai (1775-1866) y János Bolyai (1802-1860), matemáticos húngaros que eran padre e hijo; el inglés George Boole (1815-1864) y su hija Alicia Boole (1860-1940), y también los hermanos franceses Eugéne Marinee Cosserat (1866-1931) y François Nicolás Cosserat (1852-1914). Sin embargo, existe solamente un ejemplo, nada más que uno, de una familia que en el transcurso de apenas tres generaciones haya dado al mundo hasta ocho matemáticos de renombre internacional. Estamos hablando de los Bernoulli, la familia de científicos más famosa que jamás haya existido y de la que formó parte el protagonista de esta historia, Jakob Bernouili, el iniciador de esta estirpe de matemáticos. Lo siguieron su hermano menor, Johann; un sobrino de ambos, Nicolaus I; los tres hijos de Johann, Nicolaus II, Daniel y Johann II, y los dos hijos de este último, Johann III y Jakob II.Todos los miembros de la familia Bernoulli que se dedicaron a las ciencias estudiaron en la Universidad de Basilea (Suiza) y habitaron en esa ciudad la mayor parte de su vida. Sin embargo, sus antepasados provenían originalmente de los Países Bajos. Hasta mediados del siglo XV los Bernoulli residieron en Amberes —hoy en Bélgica—, donde hicieron una gran fortuna dedicándose a la importación de especias del Lejano Oriente. Desgraciadamente para ellos, la segunda mitad del siglo XV fue el tiempo de la Contrarreforma, la reacción de la Iglesia católica en contra de la Reforma de Lutero. Los Bernoulli eran protestantes y el tatarabuelo de Jakob huyó de Amberes (ciudad dominio del monarca español Felipe II y, por tanto, católica) con su esposa e hijos a Frankfurt. La familia logró quedarse allí solo dos generaciones, ya que en 1618 el abuelo de Jakob, con su familia, tuvo que huir nuevamente, esta vez hacia Basilea, como consecuencia de otro conflicto de origen religioso, La Guerra de Los Treinta Años.
En Basilea, a salvo finalmente de toda persecución, los Bernoulli retomaron el comercio de especias, tarea que en realidad nunca habían abandonado del todo, y volvieron a prosperar y a ganar asimismo influencia política. El mismo padre de Jakob, Nicolaus, fue miembro del Concejo de la ciudad. En el seno de una familia adinerada y aposentada formalmente en la ciudad de Basilea fue donde nació Jakob Bernoulli, el día 27 de diciembre de 1654.
El padre del pequeño Jakob habría querido que este dedicara su vida a la filosofía y la teología, con la intención de que llegara a ser ministro de la Iglesia. Pero cuando estaba en la universidad se vio atraído cada vez más por las matemáticas y la física, ciencias a las que se dedicaría. Esta rebeldía de Jakob ante los designios de su progenitor fue clave en la historia de los Bernoulli, ya que sirvió de inspiración para otros miembros de la familia que también siguieron el camino de la ciencia; entre ellos, Johann (1667-1748), el hermano menor de Jakob.
Jakob Bernoulli, además de estar en el comienzo de la «rama científica» de su familia, también fue testigo, o incluso artífice, del comienzo de muchas otras ramas, en este caso, de las matemáticas. En efecto, en 1684 el gran filósofo y matemático alemán Gottfried Wilhelm Leibniz publicó un artículo en el que se daban a conocer por primera vez los métodos del cálculo diferencial e integral, una de las ramas más poderosas, y con más aplicaciones, de las matemáticas. Poco más tarde, en 1687, Isaac Newton publicó ideas muy similares a las de Leibniz, que, si bien había desarrollado mucho antes de 1684, difundió después del alemán. De hecho, basado en algunas cartas que ambos habían Intercambiado antes de sus respectivas publicaciones, Newton acusó a Leibniz de plagio.
Esta acusación fue el inicio de una prolongada y amarga controversia, tal vez la más lamentable de la historia de las matemáticas, en la que tomaron partido casi todos los grandes matemáticos de la época y que durante mucho tiempo influyó negativamente en las relaciones entre los matemáticos ingleses y los de la Europa continental. Varios de los miembros de la familia Bernoulli, entre ellos Jakob y Johann, participaron de forma activa en esta polémica, todos ellos a favor de Leibniz.
Hoy, el cálculo diferencial es una de las ramas más potentes de las matemáticas. Sin embargo, esto no fue inmediatamente palpable en 1684, cuando Leibniz publicó su histórico trabajo. Más aún, por razones que se analizarán en detalle en el tercer capítulo, en sus inicios la validez de los métodos del cálculo fue muy controvertida. Jakob Bernoulli fue uno de los primeros en reconocer la importancia del cálculo, en buscar argumentos que pudieran justificar la corrección de sus métodos y también en desarrollar aplicaciones de estos métodos a la física y la geometría.
Es interesante destacar que en sus trabajos sobre la validez de los métodos del cálculo Jakob Bernoulli se ocupó de uno de los conceptos matemáticos más potentes y extraordinarios; el infinito. Este fue el concepto responsable de generar dudas sobre la corrección de los desarrollos que proponían Leibniz y Newton. Previamente al cálculo, Bernoulli ya lo había tratado al analizar sumas formadas por infinitos términos.
Ahora bien, como se verá, Bernoulli propuso zanjar las controversias sobre la validez del cálculo con una idea simple y genial: que las cantidades infinitamente pequeñas se ajustan a reglas de operación diferentes de las que rigen a las cantidades finitas. Durante todo el siglo XVIII esta propuesta de Bernoulli sirvió como base de sustentación para el cálculo, y, si bien en el siglo XIX fue desplazada por la idea de «límite», renació en los históricos trabajos del matemático de origen ruso Georg Cantor, quien demostró que la hipótesis de Bernoulli era cierta, es decir, que, efectivamente, las cantidades infinitas se rigen por reglas diferentes que las cantidades finitas.
Además de con el cálculo diferencial e integral, el nombre de Jakob Bernoulli está también asociado de forma indisoluble con la teoría, de probabilidades. Tanto es así que en 1975 el instituto Internacional de Estadística creó una sociedad para el estudio de la estadística matemática y la probabilidad llamada, precisamente, Jakob Bernoulli.
Desde sus orígenes a mediados del siglo XVI la probabilidad estuvo siempre asociada al análisis de los juegos de azar, especialmente si involucraban apuestas. De hecho, el que se considera que fue el primer libro dedicado al estudio del cálculo de probabilidades, Liber de ludo aleae, escrito hacia 1560 —pero publicado un siglo después—, no era más que una serie de consejos para ganar a ciertos juegos de naipes. Jakob Bernoulli fue el primero en ver que el cálculo de probabilidades podía trascender el mundo de los juegos de dados y naipes. Notó que la probabilidad se podía aplicar a cualquier hecho azaroso cuyas probabilidades de éxito podían ser calculadas, como el hecho de que un barco fletado para adquirir especias en Oriente llegara, o no, a su destino. Jakob volcó estas ideas en la que se considera su obra maestra, Ars conjectandi (El arte de la conjetura). En este libro Bernoulli presentó el hallazgo de una fórmula del azar, la conocida ley de los grandes números, así como la idea de esperanza matemática, conceptos que son la base de todas las aplicaciones modernas de la teoría de probabilidades, entre otras, al cálculo de seguros, a la organización de controles de calidad, al diseño de experimentos o a la distribución óptima de medicamentos.
A pesar de los tres siglos transcurridos, el trabajo de Jakob Bernoulli no ha perdido vigencia; al contrario, sigue vivo, guiando, como él quería, nuestras decisiones, y afectando gran parte de los aspectos importantes de nuestra vida.
| Cronología | |
| 1654 | El 27 de diciembre nace Jakob Bernoulli en Basilea (Suiza), en el seno de una familia de comerciantes, hijo de Nicolaus Bernoulli y Margaretha Schönauer. |
| 1657 | Nace Johann Bernoulli, hermano menor de Jakob, el 27 de julio, quien también se dedica a las matemáticas. Empiezan trabajando como colaboradores cercanos, hasta que más tarde se convierten en rivales y casi enemigos. |
| 1669 | Jakob ingresa en la Universidad de Basilea con la intención de estudiar filosofía y teología, siguiendo el desea de su padre. Sin embargo, pronto se siente atraído por la física y las matemáticas, ciencias a las que finalmente se dedica por completo. |
| 1677 | Comienza a escribir un diario científico, que continuará a lo largo de toda su vida y que finalmente se publicará de maneta póstuma bajo el titulo de Meditaciones. |
| 1678 | Empieza su viaje por varios países de Europa (Francia, Países Bajos y Gran Bretaña), que dura cinco años y en el que conoce a muchos científicos de renombre, con quienes mantiene un intenso intercambio postal durante muchos años. |
| 1682 | Publica su primer artículo sobre un tema de matemáticas. Se trata de un texto en el que intenta analizar la órbita de los cometas. |
| 1684 | Acepta una cátedra en la Universidad de Basilea, donde se dedica a enseñar física y matemáticas. Se casa con Judith Stupanus, con quien posteriormente tendrá un hijo y una hija. Aunque muchos miembros de la familia Bernoulli se dedican a las ciencias, no es este el caso de los hijos de Jakob. |
| 1685 | Descubre el número e. Su diario científico también registra, en ese mismo año, el descubrimiento de la ley de tos grandes números, pero esta no se publica hasta después de su muerte. |
| 1691 | Publica el primero de una serie de cuatro trabajos sobre geometría» en dos de los cuales estudia la espiral logarítmica, une curva cuyas características impresionan tanto a Jakob que la llama la «espiral milagrosa» y pide que se grabe en su epitafio una imagen de esta. |
| 1696 | Resuelve el problema de la braquistócrona y a la vez crea d cálculo de variaciones. |
| 1705 | El 16 de agosto Jakob Bernoulli muere en Basilea, a la edad de cincuenta años. |
| 1713 | Se publica póstumamente su obra más importante, Ars conjectandi (El arte de la conjetura). Entre otros descubrimientos, contiene aplicaciones de la teoría de probabilidades y la definición de los hoy llamados «números de Bernoulli». |
Capítulo 1
El problema de Basilea
En la ciudad suiza de Basilea vivió la familia Bernoulli, una estirpe notable por el hecho de haber dado al mundo, en el plazo de solamente un siglo, casi una decena de brillantes matemáticos y físicos, entre los que destacó Jakob Bernoulli. Jakob dedicó sus primeros trabajos matemáticos a analizar sumas infinitas y en uno de ellos ofreció una solución parcial al llamado «problema de Basilea».La ciudad de Basilea está situada en el extremo noroeste de Suiza, justo en el límite con Francia y Alemania, en la región que los franceses denominan «de las tres fronteras». Su símbolo, el río Rin, que la atraviesa en su primer tramo navegable, es inseparable de su historia jalonada por relevantes hechos como la fundación, en 1460, de la primera universidad del país, lo que la convirtió en un importantísimo centro intelectual. Es famosa además por haber sido el hogar de una familia que, a lo largo de más de cien años, entre mediados del siglo XVII y del XVIII, dio al mundo casi una decena de grandes matemáticos y físicos, un número que no ha podido ser igualado por ninguna otra estirpe en cualquier otro tiempo o lugar los Bernoulli. El primero de esta distinguida saga de científicos fue Jakob Bernoulli también conocido como Jakob I (por «primero»), quien nació en Basilea el 27 de diciembre de 1654.
Como dato curioso, es interesante mencionar que, según algunas biografías, la fecha de nacimiento de Jakob Bernoulli fue el 6 de enero de 1655, y no el 27 de diciembre de 1654. Esta discrepancia, en realidad, se debe solamente a circunstancias históricas, políticas, así como religiosas.

Retrato de Jakob Bernoulli obra de su hermano Nicolaus Bernoulli (1652-1716), quien además de pintor fue regidor de la ciudad da Basilea.

Vista desde el río Rin de la parte antigua de Basilea, en la que pueden apreciarse las torres de su catedral, donde yace el cuerpo de Jakob Bernoulli.
Viajes de juventud
La infancia del pequeño Jakob no se caracterizó precisamente por las privaciones o las penurias económicas. De hecho, su padre, Nicolaus, era un acaudalado comerciante que se dedicaba a la importación de especias del Lejano Oriente, un negocio que la familia Bernoulli había desempeñado, con mucho éxito, durante varias generaciones.

Parte vieja de la Universidad de Basilea, cuya fundación en 1460, la convierte en la más antigua de Suiza.
Ya desde temprana edad, Jakob dio muestras de una gran inteligencia, motivo por el cual su padre consideró que sería un desperdicio de talento que se dedicara al arduo y monótono trabajo de la importación de especias.
Le pareció mucho más adecuado, en cambio, que su hijo recibiera una educación universitaria para convertirse en teólogo, y llegar a ser, más tarde, ministro de la Iglesia.
Es así que Jakob, siguiendo los deseos de su padre, ingresó en 1669 en la Universidad de Basilea para estudiar filosofía, carrera de la que se graduó en 1671, y luego teología, cuyos estudios finalizó en 1676.
Sin embargo, durante esos años en la universidad, Jakob fue seducido gradualmente por las matemáticas, la física y la astronomía, ciencias a las que consagraría, de forma progresiva, cada vez más tiempo, en perjuicio de sus estudias filosóficos y teológicos.
«A través de su correspondencia con otros matemáticos de la época, Jakob Bernoulli se encontraba al corriente de los problemas que se habían hecho famosos, muchos de los cuales resolvió.»Para el momento en que dejó la universidad, Jakob estaba convencido de que su vocación era la ciencia y no la Iglesia. Pero su padre no aceptó de buen grado esta decisión. Jakob, en consecuencia, se fue a vivir durante un año a Ginebra, donde trabajó como tutor enseñando matemáticas. No mucho tiempo después, sin embargo, Nicolaus se reconcilió con los deseos de su hijo, y hasta accedió a costearle un viaje por Europa para que pudiera relacionarse con algunos de los más importantes científicos de la época.
Carl B. Boyer, historiador de las matemáticas.
De esta forma, en 1678 Jakob Bernoulli viajó a Francia, donde estudió durante un tiempo con antiguos discípulos de René Descartes (1596-1650). Tres años después pasó a los Países Bajos, donde conoció, entre otros, a Johannes Hudde (1628-1704), uno de los precursores del cálculo diferencial, rama de las matemáticas que, como se verá más adelante, Bernoulli contribuyó decisivamente a desarrollar. Poco después, en 1682, se dirigió a Gran Bretaña; allí se encontró, entre otros, con Robert Boyle (1627- 1691) y con Robert Hooke (1635-1703), dos célebres físicos y matemáticos.
En los años siguientes, Jakob mantuvo una intensa correspondencia científica con muchos de los hombres que conoció a lo largo de estos viajes. En una época en la que las comunicaciones eran lentas y difíciles, estas cartas sirvieron para mantenerlo informado sobre los últimos avances de la ciencia.
Primeros escritos
Fue también durante sus viajes cuando Jakob Bernoulli escribió su primer artículo científico. Este se publicó en Ámsterdam, en 1682, bajo los auspicios de Johannes Hudde, a quien Jakob menciona en la dedicatoria del escrito. Como todos los artículos que Jakob publicó, estaba escrito en latín, que en aquella época era el lenguaje de la ciencia por excelencia. El trabajo se llamó «Conamen novi systematis cometarum», que puede traducirse como «Propuesta para un nuevo sistema de cometas », y consiste, como el título sugiere, en un intento de predecir matemáticamente avistamientos futuros de cometas.
Con este artículo, Bernoulli se había adelantado a su época. En efecto, cualquier intento de solución al problema del movimiento de los cometas habría requerido, para ser exitoso, de una formulación precisa de las leyes del movimiento y de la ley de la gravitación universal, las cuales serían publicadas por Isaac Newton (1642-1727) poco después, en 1687. Por ese motivo, este primer artículo de Bernoulli, aunque fue muy bien recibido, resultó ser inexacto. En realidad, la primera predicción certera de la aparición de un cometa fue realizada pocos años más tarde, en 1695. Su autor fue Edmond Halley (1666-1742), quien, gracias a las leyes de Newton, calculó la órbita del cometa que hoy lleva su nombre y predijo que volvería, como efectivamente sucedió, en diciembre de 1758, El cometa Halley había sido avistado por última vez en 1682, año de la publicación del trabajo de Bernoulli.
Pero el artículo sobre los cometas no fue el único que el joven Jakob escribió durante su viaje por Europa. De hecho, en ese mismo año de 1682 se publicó en París el segundo de sus artículos científicos. En este, Bernoulli analizaba el diseño, presentado por un tal Alphonse Borell, de «una máquina para respirar bajo el agua», es decir, de una primitiva escafandra.
Ahora bien, aunque se publicaron después de su regreso, Bernoulli también comenzó a elaborar durante ese viaje algunos de sus primeros escritos sobre «matemáticas puras». Hablamos, concretamente, de cinco artículos sobre sumas infinitas, textos que fueron publicados en Basilea entre 1684 y 1704, y que, entre otros muchos resultados, contienen una solución parcial para el que, años más tarde, sería llamado «problema de Basilea».
Sobre sumas infinitas
Una suma infinita o, como suele decirse en matemáticas, una serie, es una suma formada por infinitos términos. Un primer ejemplo de serie es el siguiente:
1 + 1+1 + 1+1 + ...
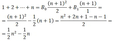
En la expresión anterior debe entenderse que los puntos suspensivos indican que los sumandos nunca se terminan, como en esta serie1 + 2 + 3 + 4 + 5 + 6 +...
Una pregunta que surge naturalmente es: ¿cuál es el resultado de sumar 1+1+1+1 +1+1+…? O, tal y como plantearía esta cuestión un matemático: «¿cuál es la suma de la serie?». Como respuesta, la intuición nos dice que si sumamos l + l + l + 1 + 1 + l infinitas veces el resultado será infinito, y efectivamente es así (el símbolo ∞ significa, precisamente, «infinito»):l + l + l + l + l + l + ...= ∞,
Por otra parte, también parece intuitivamente claro que si sumamos 1 + 2 + 3 + 4 + 5 + 6 +...el resultado será asimismo infinito:1 + 2 + 3 + 4 + 5 + 6 + ... = ∞
Johannes HuddeJohannes van Waveren Hudde (1628- 1704) nació en Amsterdam el 23 de abril de 1628, igual que Jakob Bernoulli, Hudde era hijo de un rico mercader que comerciaba con productos importados del Lejano Oriente y que también había llegado a ocupar altos cargos políticos en su ciudad.A la edad de veinte años ingresó en la Universidad de Leiden con la intención de estudiar leyes, pero allí se vio atraído por las matemáticas, a las que se dedicó a tiempo completo, al menos hasta 1663, año en que dejaría su trabajo científico para hacer carrera en la política. Durante sus escasos nueve años como matemático, entre 1654 y 1663, Hudde hizo importantes aportes a la geometría, la teoría de la resolución de ecuaciones y al cálculo de máximos y mínimos de curvas, trabajos que lo convierten en uno de los precursores del cálculo diferencial, rama de la matemática que sería iniciada en la década de 1680 por Gottfried Wilhelm Leibniz e Isaac Newton. En 1682 Hudde facilitó la publicación, en Amsterdam, del primer trabajo científico de Jakob Bernoulli, quien menciona elogiosamente al primero en la dedicatoria del texto. Hudde falleció en Amsterdam el 15 de abril de 1704.
¿Será cierto que cada vez que sumamos infinitos números positivos, el resultado «siempre» es infinito? Sorprendentemente, la respuesta a esta pregunta es negativa, ya que es posible sumar infinitos números de tal modo que el resultado sea, a pesar de ello, finito.
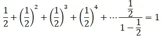
Como ejemplo, puede tomarse un cuadrado de área igual a 1, que imaginamos en blanco. A continuación, pintamos de algún color una de sus dos mitades (figura 1 izquierda). La parte pintada tiene, en consecuencia, un área igual a ½. Luego, de la parte aún en blanco, pintamos a su vez la mitad (figura 1 centro); el área pintada es ahora igual a la suma siguiente:
½ + ¼
Pintamos después, una vez más, la mitad de la parte que ha quedado en blanco, el área pintada ahora es:½ + ¼ + ⅛
y así sucesivamente hasta repetir la operación infinitas veces. La figura 1 derecha muestra la situación después de siete pasos. Al cabo de infinitos pasos, la parte coloreada tendrá un área igual a:½ + ¼ + ⅛ +1/16 + 1/32 + 1/64 …
Aquí, como antes, los puntos suspensivos indican que los términos continúan infinitamente. Por otra parte, a medida que vamos pintando el cuadrado, la sección que está en blanco se va reduciendo cada vez más y al cabo de infinitos pasos habrá desaparecido por completo. En otras palabras, después de infinitos pasos, «todo» el cuadrado habrá quedado pintado, y el área coloreada será, entonces, igual a 1. En consecuencia:
El cuadrado tiene un área igual a 1, pintamos primero la mitad superior, luego la mitad de lo que había quedado sin pintar, i así sucesivamente hasta el infinito
½ + ¼ + ⅛ +1/16 + 1/32 + 1/64 …
es convergente, mientras que l + 1 + l + l + l+ ... y 1 + 2 + 3+ 4 + 6 + ..., son divergentes.Áreas y seriesOtra serie que puede interpretarse en términos de áreas es la siguiente, en la que se parte de un triángulo equilátero de área igual a 1 (parte izquierda de la figura). A continuación, pintamos de color el triángulo central que, como puede verse, tiene un área igual a ¼(la cuarta parte del triángulo inicial. Realizamos después el mismo procedimiento en cada uno de los tres triángulos blancos que quedaron formados; de este modo, habremos pintado otros 3 triángulos de área (¼)2 cada uno. Después, repetimos el mismo procedimiento en los 9 triángulos en blanco, por lo que agregamos al área pintada 9 triángulos de área (¼)3 cada uno. Si seguimos así hasta el infinito habremos pintado por completo el triángulo inicial. Se deduce así lo siguiente:
Bernoulli comienza su estudio de las series
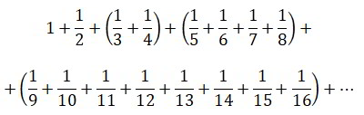
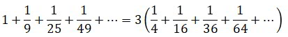
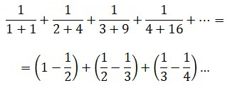
El primer trabajo que Jakob Bernoulli hizo sobre sumas infinitas fue publicado en 1684 con el título « Positiones arithmeticae de seriebus infinida», y en él el autor analizó la siguiente serie:

La pregunta es si la suma de esas áreas es finita o infinita. Para responderla, agrupamos los cuadriláteros de la manera en que aparece en la figura 3.
En este «ordenamiento, el cuadrado inicial y el rectángulo que le sigue quedan solos. Colocamos después, uno sobre el otro, los dos rectángulos siguientes. A su lado situamos, uno sobre el otro, los cuatro rectángulos siguientes. Después los ocho rectángulos siguientes, y así sucesivamente.

Por tanto, el área total no puede ser menor que
½ + ½ + ½ + ½ + …
Pero sumar infinitas veces un mismo número positivo, por más pequeño que sea, siempre da como resultado «infinito». Es decir,½ + ½ + ½ + ½ + …= ∞
Por tanto, la suma de la serie analizada por Jakob Bernoulli no puede ser menos que infinito. En consecuencia, esta serie es divergente:
La paradoja de ZenónEn una de sus célebres paradojas, Zenón de Elea (siglo V a.C.) argumenta que si arrojamos una piedra en línea recta hacia un árbol ubicado a un metro de distancia, la piedra, contrariamente a lo que pueda percibirse, nunca llega a su destino. El razonamiento de Zenón sostiene que para llegar al árbol, la piedra debe recorrer, en un primer paso, la mitad de la distancia (½ m: en un segundo paso, la mitad de la distancia que le falta (¼ m); luego, la mitad de lo que aún le queda (⅛ m), y así sucesivamente. En resumen, para llegar a alcanzar el árbol la piedra deberla completar un número infinito de pasos y, como esto es imposible (al menos si esto tiene lugar en un tiempo finito), la piedra jamás llega a finalizar el recorrido. Sin embargo, contrariamente a la argumentación de Zenón, sí es posible cubrir infinitos pasos en un tiempo finito. Imaginemos que la piedra se mueve a una velocidad constante de un metro por segundo: por tanto, completará el primer paso en ½ s,el segundo en ¼ s, y así sucesivamente. El tiempo total que tarda la piedra, medido en segundos, se calcula, pues, de esta manera:
½ + ¼ + ⅛ + 1/16 + 1/32 + … = 1
Ahora bien, ¿cómo se puede realmente estar seguro de que todos los infinitos agrupamientos de rectángulos tendrán un área mayor que ½? ¿No podría estarse cayendo en algún tipo de autoengaño? Para estar seguros se debe plantear, tal como hizo Jakob Bernoulli en su artículo de 1684, una versión numérica de esta argumentación. Retomemos, entonces, su serie


1/3 + 1/4
El número 1/4 es el más pequeño de ambos, por lo que puede afirmarse que:1/3 + 1/4 ≥ 1/4 + 1/4
donde el símbolo «≥», que se lee «mayor o igual», indica que la expresión de la derecha no puede ser mayor que la de la izquierda. En efecto, sumar dos veces 1/4 es menos que sumarle 1/4 a un número mayor que él. Por otra parte, como1/4 + 1/4 = 1/2
puede concluirse;1/3 + 1/4 ≥ 1/2
Esta es la expresión aritmética de lo que se afirmó anteriormente en la versión geométrica del razonamiento, es decir, que el tercer y el cuarto rectángulo juntos suman un área mayor que 1/2. La misma deducción puede hacerse para el segundo paréntesis; este contiene cuatro números, el más pequeño de los cuales es 1/8, Por tanto, sumar esos cuatro números es mayor o igual que sumar cuatro veces 1/8. Es decir1/5 + 1/6 + 1/7 + 1/8 ≥ 1/8+ 1/8+ 1/8+ 1/8 = 1/2
La misma operación puede realizarse en el tercer paréntesis:1/9 + 1/10 + 1/11 + 1/12 + 1/13+ 1/14+ 1/15+ 1/16 ≥
1/8 + 1/8 + 1/8 + 1/8 + 1/8+ 1/8+ 1/8+ 1/8 = 1/2
Lo mismo sucede en todos los demás. Como cada paréntesis representa el área de uno de los agrupamientos de rectángulos de la figura 3, se confirma así de forma aritmética el razonamiento geométrico mostrado anteriormente. La tabla siguiente resume estos cálculos y muestra que la suma de la serie analizada por Bernoulli no puede ser menor que el resultado de sumar infinitas veces 1/2, y que, en consecuencia, esa suma es infinita.
La serie anterior tiene nombre propio, ya que es conocida como la «serie armónica», cuyo nombre proviene de la música: hace referencia a una sucesión de los sonidos cuyas frecuencias son múltiplos de la de una nota base (fundamental). En efecto, si hacemos vibrar una cuerda que está sostenida por sus dos extremos, como una de las cuerdas de una guitarra, esta emite un sonido cuyo tono exacto depende, entre otros factores, de la longitud de la cuerda.
Ahora bien, supongamos que, mientras la cuerda vibra, oprimimos con un dedo en su centro exacto. El sonido que se obtiene es conocido como el segundo armónico del sonido inicial (el primer armónico, o armónico fundamental, es el sonido inicial en sí mismo). De manera similar, como se ve en la figura 4, el tercer armónico se obtiene fijando dos puntos de la cuerda; el cuarto armónico, fijando tres puntos, y así sucesivamente.
La importancia de estas definiciones radica en que, como ya habían observado los pitagóricos, cuando el sonido de la cuerda completa suena a la vez que cualquiera de sus armónicos (es decir, cuando los dos sonidos se suman) se obtiene siempre una combinación que resulta, agradable al oído.

Una cuerda vibrante y sus armónicas, que se obtienen oprimiendo diversos puntos. El componente básico del sonido es la fundamental, que es el elemento qua más fuerte se oye, y que se identifica con la tonalidad de la nota.


Nicolas de OresmeA Nicolás de Oresme (ca. 1323-1382) se le suele calificar de matemático y astrónomo, pero en realidad su erudición se dedicó a múltiples disciplinas, ya que también destacó entre los sabios del siglo XIV por sus aportaciones en campos tan variados como la economía, la física, la filosofía, la música y la psicología. Nació en Normandía y estudió en el colegio de Navarra de París, del que fue nombrado «gran maestro» en 1356. En la carrera eclesiástica llego a ser obispo en la ciudad normanda de Lisieux (donde también murió), aunque es famoso por sus escritos científicos y culturales, en los que anticipó muchos de los aspectos de la matemática moderna. Una de sus peculiaridades fue que, además de en latín (como muchos de sus contemporáneos). Oresme escribió en lengua vulgar, es decir, en francés, idioma al que también tradujo algunos textos de Aristóteles.
Puede decirse, entonces, que en su artículo de 1684 Jakob Bernoulli demostró que la serie armónica es divergente.
Sin embargo, no fue el primero en hacerlo; aunque Bernoulli no lo sabía, ya había llegado a esa conclusión tres siglos antes el matemático y físico francés Nicolás de Oresme.
Un famoso problema
El segundo artículo de Jakob Bernoulli sobre series fue publicado en 1689 y tenía el mismo título que el anterior, « Positiones arithmetieae de seriebus inflnitis». En este trabajo Bernoulli estudió la siguiente suma infinita:

Observemos que en esta serie cada sumando es el cuadrado del correspondiente de la serie armónica. En efecto,


Observemos que los números 1, 4, 9, 16, 25,... pueden escribirse en forma genérica como n2, donde n se reemplaza sucesivamente por los números 1, 2, 3, 4,...

Interpretación geométrica de la segunda serie estudiada por Jakob Bernoulli.
n + n2 ≤ n2 + n2
n + n2 ≤ 2n2
De lo que se deduce:1/n2 ≤ 2/(n + n2)
Por ejemplo, para n = l, 2, 3 y 4, tenemos que









Ahora bien, cuando un matemático logra demostrar que una serie es convergente, inmediatamente se plantea el problema de determinar el valor exacto de la suma de esa serie. Como puede deducirse, calcular la suma de una serie es, en general, mucho más difícil que demostrar que es convergente; por ejemplo, ya desde los tiempos de Bernoulli se sabe que la serie

Volviendo a la serie cuya convergencia había demostrado Jakob Bernoulli, este no pudo determinar el valor exacto de la suma, pero, en sus intentos por conseguirlo, logró alcanzar resultados parciales interesantes. Por ejemplo, calculó que la suma de la serie es ligeramente menor a 1,645. Y, por otra parte, también probó que la suma de los sumandos que ocupan los lugares impares







Dos trabajos más sobre series
En el tercer trabajo que Jakob Bernoulli hizo sobre series, publicado en 1692 bajo el mismo título que los anteriores (« Positiones arithmeticae de seriebus infinitis»), el matemático suizo estudió la suma siguiente:

Leonhard EulerLa figura de Leonhard Euler (1707-1783), uno de los más grandes matemáticos —y científicos— de todos los tiempos, está estrechamente relacionada con la familia Bernoulli.Nació, como Jakob, en Basilea y, aunque asistió a una escuela muy pobre, en la que casi no se enseñaba matemática, desde muy temprana edad mostró un gran interés por esta ciencia, a la que pudo acceder a través de libros superiores de texto que lograba entender sin ayuda. A los trece años ingresó en la Universidad de Basilea para completar su formación general antes de continuar con los estudios superiores.
Fue allí donde Johann Bernoulli, el hermano menor de Jakob, descubrió el talento del jovencísimo Leonhard y se convirtió en su tutor y profesor particular. Euler completo sus estudios universitarios en 1726, tras graduarse en teología, filosofía y matemáticas. Un año más tarde, por recomendación de Daniel Bernoulli, hijo de Johann, Euler se trasladó a Rusia, donde se incorporó a la Academia de Ciencias de San Petersburgo. Aunque posteriormente volvió varias veces a su Suiza natal, y también pasó unos pocos años en Alemania, la capital rusa se transformó en su hogar.
Una actividad frenética
Durante su larga carrera, Euler hizo aportes fundamentales a casi todas las ramas de la física y de la matemática, algunas de las cuales el mismo creó (como es el caso de la topología y de la teoría analítica de números). De hecho, prácticamente no hay rama de la matemática en la que no exista una «constante de Euler», una «fórmula de Euler», una «ecuación de Euler» o una «función de Euler». Además, es el matemático que más trabajos ha escrito en la historia de esa ciencia: tanto es así que cincuenta años después de su muerte todavía se seguían publicando los trabajos que había dejado inéditos. A pesar de que Euler se quedó completamente ciego en 1771 —en parte por haber realizado observaciones astronómicas del sol sin usar los filtros adecuados—, su ritmo de trabajo no disminuyó, ya que su memoria prodigiosa le permitía redactar sus artículos y libros mentalmente, para después dictárselos a sus ayudantes. Gracias a esto, el genial matemático trabajó hasta el último día de su vida, que fue el 18 de septiembre de 1783.
En ésta, los numeradores (los números por encima de cada línea de fracción) valen 12, 22, 3 2, 42,... respectivamente; mientras que los denominadores (los números debajo de cada línea) tienen los valores de 21, 22, 23, 24...
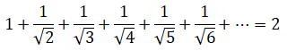
En ese mismo trabajo estudió también la serie mostrada a continuación:





«Bernoulli fue uno de los más importantes promotores de los métodos formales en el cálculo superior.»
Joseph Ehrenfried Hofmann, historiador de la matemática.
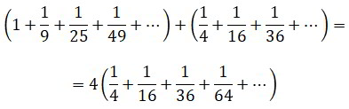
La descomposición de la figura 6 nos permite analizar la situación geométricamente. En efecto, en la figura 7 tomamos como base un cuadrado de área 1 similar al que hablamos visto en la figura 1. A partir de ese cuadrado, construimos un rectángulo de área 1/2, dos cuadrados de área 1/4, tres rectángulos de área 1/8, y así sucesivamente (véase la línea superior de la figura). La suma de todos estos infinitos cuadriláteros es igual a la suma de la serie:


Los términos de la serie de la línea superior se agrupan para formar dos series cuya suma es 1.

En la suma de serie interpretadas en términos de áreas, cuadrado de la izquierda corresponde la segunda línea de la figura 7; el de la derecha, a la línea inferior




2S = 1 + S + 1
de donde se concluye fácilmente que S = 2. Es decir, tal y como quería demostrarse:
En el cuarto trabajo de Bernoulli sobre series, publicado en 1704 (también con el mismo título que los anteriores), el matemático suizo demostró que la serie




El infinito y la necesidad del rigor
En la actualidad el estudio de las series forma parte del ámbito del cálculo diferencial (también llamado análisis matemático), una rama de la matemática que afínales del siglo XVII estaba en pleno proceso de creación. De manera imprecisa, aunque esencialmente correcta, podría definirse el cálculo diferencial como la rama de la matemática que se ocupa de los métodos que involucran lo infinitamente pequeño y lo infinitamente grande, como es el caso de las series. Sin embargo, en esa época las series todavía no se habían incorporado al cálculo diferencial, ni tampoco se entendía que requirieran un estudio muy específico. Se las veía como sumas bastante normales, solo que con una cantidad «muy grande» de sumandos.
Pero sucede que el infinito es propenso, en general, a provocar paradojas, y, en efecto, ya a finales del siglo XVII los matemáticos comenzaron a notar que estas «sumas muy grandes» podían tener comportamientos muy extraños. Consideremos, a modo de primer ejemplo, la siguiente serie, que estudió Jakob Bernoulli en su quinto y último trabajo sobre series, publicado, como el cuarto, en 1704, y asimismo bajo el título de «Positiones arithmeticae... ». Se trata de una serie que también fue estudiada por Leibniz, y años más tarde por Euler:
1 - 1 + 1 -1 + 1 - 1 + 1 +…
¿Es convergente esta serie? Y en caso afirmativo, ¿cuál es su suma? Una primera aproximación a la respuesta consiste en agrupar los términos de la siguiente manera:(1 - 1) + (1 - 1) + (1 - 1) + (1 - 1) + (1 - 1) +... =
= 0 + 0 + 0 + 0 + 0 + ... = 0
Gracias a esto se concluye que la suma es igual a 0. Sin embargo, también podrían agruparse los términos de este modo:1 - (1 - 1) - (1 - 1) - (1 - 1) - (1 - 1) -...
= 1 - 0 - 0 - 0 -... = 1.
Esta expresión, sin embargo, nos lleva a concluir que la suma es 1. Es decir, habría dos resultados para la operación, lo cual es imposible. Ahora bien, por razones más filosóficas que matemáticas, tanto Bernoulli como Leibniz rechazaron la validez del 0 y el 1 como resultados posibles para la suma, y adoptaron un tercer valor, que se obtiene del siguiente razonamiento, llamemos, para ello, S a la suma de la serie; entonces:S = 1 - 1 + 1 - 1 + 1 - 1 + 1 - 1 + 1 - 1 +...
Esta suma puede escribirse también de la siguiente manera:S = 1 - (1 - 1 + 1 - 1 + 1 - 1 + 1 - 1 + 1 - …)
S = 1 - S
De aquí se concluye que S debe ser 1/2, valor que, como se señaló antes, fue adoptado por Gottfried Wilhelm Leibniz y por Jakob Bernoulli como correcto, y también más tarde por Euler. Pero ¿por qué no es correcto el resultado de 0 o de 1? Esta multiplicidad de valores posibles para la suma surge, en realidad, de una manipulación imprecisa del infinito. La proliferación, a lo largo del siglo XVIII, de ejemplos como este situó a los matemáticos de la centuria siguiente ante la necesidad de definir con precisión todos aquellos conceptos que involucraran el infinito y, en particular, ante la necesidad de definir qué es exactamente la suma de una serie. La definición que los matemáticos del siglo XIX adoptaron para este concepto consiste en decir que la suma de una serie es el resultado de un proceso de aproximaciones sucesivas que, en realidad, nunca termina. Por ejemplo, antes se ha afirmado lo siguiente:

Series geométricasSe llama serie geométrica a cualquiera que tenga esta forma:r + r2 + r3 + r4 + …
Esta serie es convergente exactamente en los casos en que r está estrictamente comprendido entre -1 y 1. Cuando esto sucede, además, la suma de la serie es la siguiente:r + r2 + r3 + r4 + … = r/(1 - r )
Por ejemplo. cuando r = 1/2 obtenemos:Es decir:
En cuanto a la serie 1 - 1 + 1 - 1 + 1 - 1 + 1 - 1 + 1 - 1+..., si calculamos sus sumas sucesivas se obtiene:
1 = 1
1 - 1 = 0
1 - 1 + 1 = l
1 - 1 + 1 -1 = 0
1 - 1 + 1 -1 + 1 = 1
Como puede verse, las sumas oscilan entre 0 y 1, sin acercarse a ningún valor. La conclusión es que la suma de la serie «no existe». El símbolo S que hemos utilizado en nuestro razonamiento no designa a ningún objeto matemático existente, por lo que el razonamiento en sí es incorrecto.Otro ejemplo paradójico viene dado por la siguiente serie, que fue analizada, de manera independiente, por Leibniz y Mengoli:






«Así como lo finito está abarcado por una serie infinita, así el alma de la inmensidad habita en las minucias.»Esos mismos matemáticos determinaron bajo qué condiciones es lícito agrupar o reordenar los términos de las sumas infinitas. Si la serie es convergente y todos sus términos son positivos, entonces es posible reordenar o agrupar términos; por consiguiente, si los términos se reordenan o agrupan el valor de la suma no cambia.
Jakob Bernoulli»
Si la serie es convergente y tiene sumas y restas, entonces la condición que dice que es válido reordenar y agrupar términos es la siguiente: al transformar las restas en sumas debe obtenerse asimismo una serie convergente. Por ejemplo, la serie


Ahora bien, en los razonamientos presentados con anterioridad se ha optado por la reordenación y agrupación de los sumandos de series infinitas. A la luz de lo que acaba de decirse, surge naturalmente la pregunta de si esos razonamientos son válidos, la respuesta es afirmativa, ya que, con una sola excepción, solo se ha recurrido a series formadas por términos positivos. La única excepción apareció cuando se ha analizado la serie siguiente:



1 - (1 - 1) - (1 - 1)-(1- 1)-(1 - 1)-... = 1 - 0 - 0 - 0 -...= 1.
Pero, aun adoptando los estándares que se usan desde el siglo XIX, la conclusión de que

Es interesante observar que la afirmación de que la suma de la serie 1 - 1 + 1 - 1 + 1-... no existe, o que los términos de algunas series no pueden ser reordenados ni agrupados, habría sorprendido enormemente a los matemáticos de finales del siglo XVII. Para ellos, como ya se ha dicho, una suma infinita no era muy diferente de una suma habitual, salvo por la cantidad de términos; de modo que decir que la suma de una serie no existe les habría parecido tan absurdo como decir que el resultado de 1 + 2 + 3 + 4 +... no existe; y decir que los términos de algunas sumas no pueden reordenarse ni agruparse habría sido como afirmar que a + b + c + d no siempre es igual que (a + b)+(c + d).
Pero esta observación no debe tomarse como una crítica a Jakob Bernoulli y sus contemporáneos, sino como una reflexión en el sentido de que los métodos de la matemática no surgen ya perfectos y pulidos, sino que evolucionan perfeccionándose con el discurrir de las décadas, o de los siglos. Los matemáticos de finales de siglo XVII, e inclusive los del siglo XVIII, como Euler, trabajaron con las series usando los mejores recursos técnicos de los que se disponía en su época, poniendo en juego una gran dosis de talento, ingenio e imaginación. Fueron necesarios casi 150 años de desarrollo del cálculo diferencial para que sus métodos maduraran lo suficiente como para lidiar de forma adecuada con ejemplos como el de 1 - 1 + 1 - 1 + 1 - 1 + ... Y, tal como se constatará en siguientes capítulos, uno de los primeros en ver la necesidad de darle rigor lógico a los recién creados métodos del cálculo diferencial fue el protagonista de esta historia, Jakob Bernoulli.
Capitulo 2
La ley de los grandes números
En 1685, Jakob Bernoulli comenzó a publicar artículos en el Acta Eruditorum, una de las revistas científicas más prestigiosas de la época. Ese mismo año, además, descubrió el número e, una de las constantes fundamentales de la matemática, y la ley de los grandes números, un teorema fundamental de la teoría de probabilidades y, para muchos, el hallazgo más importante de su carrera.Aunque la historia de las matemáticas asocia indisolublemente el apellido Bernoulli con la ciudad de Basilea, los ancestros de Jakob no fueron suizos, sino que vivieron, hasta mediados del siglo XVI, en los Países Bajos; más aún, la partida de la familia Bernoulli de aquel país no fue voluntaria, sino que por el contrario, se trató de una huida forzada, producida en el contexto de la Contrareforma. Esta reacción de la iglesia católica frente a la Reforma protestante de Martín Lutero se inició hacia 1550 y duró aproximadamente un siglo. Implicó, en muchos casos acciones muy violentas. Por ejemplo, en la noche del 23 al 24 de agosto de 1572, centenares de personas fueron asesinadas en París en la llamada «matanza de San Bartolomé» (y, en los días sucesivos, muchas más, hasta un total de al menos 5000, en el resto de Francia), por el mero hecho de ser protestantes.
Hacia 1560 los Países Bajos estaban bajo el control del rey de España, Felipe II, quien en 1567 envío allí al duque de Alba con la orden de imponer la religión católica. Los Bernoulli, que eran protestantes, optaron por escapar del país. Esta decisión resultó ser muy sabia, ya que en los meses siguientes 8000 personas fueron pasados por las armas por los católicos. Ese mismo año de 1567, el tatarabuelo de Jakob se mudó a Francfort, y décadas más tarde, escapando, en este caso de la violencia de la Guerra de los Treinta Años (1618-1648), la familia se instaló definitivamente en Basilea. De modo que, ya sea por simple coincidencia, ya sea deliberadamente, cuando durante sus viajes de juventud Jakob Bernoulli publicó su primer trabajo científico en Ámsterdam, estaba, en cierto modo, rindiendo un homenaje a la tierra de sus antepasados.
Terminado este viaje, en 1683 Bernoulli regresó a Suiza y pocos meses más tarde, ya en 1684, se hizo cargo de una cátedra en la Universidad de Basilea, donde llegaría a ser un muy reconocido profesor de física y de matemáticas. Ese mismo año contrajo matrimonio con Judith Stupanus; tuvieron un hijo y una hija; pero, a pesar de los antecedentes paternos, ninguno de los dos se dedicó a la ciencia. Su hijo se llamó Nicolaus, como el padre de Jakob: de hecho, todos los primogénitos de la familia Bernoulli se llamaron Jakob (ese era también el nombre del tatarabuelo que escapó de los Países Bajos) o Nicolaus.
El Acta EroditorumEl Acta Eruditorum fue una revista científica que se publicó enLeipzig (en la actual Alemania) a partir del año 1682, y que rápidamente pasó a ser una de las más prestigiosas de la época. Sus páginas incluyeron artículos firmados por los más reconocidos pensadores de su tiempo: entre otras, además de la de Jakob Bernoulli, aparecen las firmas de Isaac Newton, Robert Boyle, Antón van Leeuwenhoek (el creador del microscopio), Gottfried Wilhelm Leibniz, Christiaan Huygens, Edmond Halley y Johann Bernoulli (el hermano menor de Jakob). También incluyó contribuciones póstumas de Blase Pascal y René Descartes. El Acta dejó de publicarse en 1731, pero al año siguiente fue sucedida por la Nova Acta Eruditorum, que a su vez se publicó hasta 1782.
Un año después de casarse, en 1685, Jakob comenzó a publicar regularmente en el Acta Eruditorum, una muy prestigiosa revista científica fundada en Leipzig y que se editó entre 1682 y 1782. El primero de los artículos científicos que Jakob envió al Acta, y que fue publicado en ese año de 1685, lleva por título «Questiones nonnullae de usuris» («Algunas cuestiones sobre los intereses») y en él aparece, podría decirse que por primera vez, el famoso número e.
Un problema financiero
Los siglos XVI y XVII fueron, para Europa, tiempos de una gran expansión económica; la extracción de las riquezas de América, Asia y África significó el comienzo del capitalismo, el ocaso definitivo de la sociedad medieval y el rápido ascenso de una nueva clase social, la burguesía, que, entre muchas otras acciones, contribuyó a costear viajes de exploración y de conquista a lo largo de todos los mares del mundo.
En este contexto social, dominado por la circulación del dinero y por los préstamos financieros, Jakob Bernoulli se planteó, muy oportunamente, la siguiente pregunta: digamos, por ejemplo, que Abel le presta a Bruno 100 florines para fletar un barco rumbo a América, y que el préstamo tiene un interés compuesto del 10% anual, ¿qué cantidad deberá devolver Bruno al cabo de un año? Bernoulli, por supuesto, no resolvió este problema específico, sino que, en su «Questiones nonnullae de usuris», de 1685, analizó la pregunta, mucho más general, de cuál es la «fórmula» que permite resolver cualquier problema de este estilo.
En el ejemplo, Abel le ha prestado a Bruno 100 florines a un interés compuesto del 10% anual. El interés compuesto implica que cada cierto tiempo (que es llamado el «período de capitalización») se procede a calcular el interés que se ha acumulado hasta ese momento y se lo suma al capital a devolver.
Imaginemos, por ejemplo, que la capitalización fuese anual; entonces, después de un año, ¿cuánto dinero deberá devolverle Bruno a Abel? Este caso no tiene mayores complicaciones: al terminar el año se calcula el interés correspondiente, que es el 10% de 100, y se lo suma al capital. Por tanto, Bruno deberá devolver 100 + 10 = 110 florines.
¿Qué sucede si, en cambio, la capitalización es semestral? En este caso, al terminar el primer semestre se calcula el interés acumulado. Ahora bien, dado que solamente pasa medio año, el interés debe calcularse como él 5% de 100 (la mitad del interés que correspondería a un año). El capital adeudado pasa a ser, entonces, de 100 + 5 = 105 florines. Finalmente, cuando transcurre el segundo semestre se suma el 5% de 105, que es 5,25, por lo que el capital adeudado al cabo de un año es 105 + 5,25 = 110,25 florines.
Si la capitalización es trimestral, al terminar el primer trimestre se suma el interés acumulado, y ya que un trimestre es la cuarta parte de un año, el interés será, en consecuencia, un cuarto del interés anual, es decir, el 2,5% de 100. La deuda pasa a ser así de 100 + 2,5 = 102,5 florines. Cuando termina el segundo trimestre se suma el 2,5% de 102,5, que es 2,56 (redondeando a las centésimas); el capital adeudado pasa a ser así de 102,5 + 2,56 = 105,06 florines. Al terminar el tercer trimestre se soma el 2,5% de 105,06, que es 2,63, por lo que la deuda es ahora de 105,06 + 2,63 = 107,69. Finalmente, al terminar el cuarto trimestre, se suma el 2,5% de 107,60 (que es 2,69), por lo que Bruno deberá pagar 110,38 florines, es decir, 107,69 + 2,69.


Grabado firmado por el artista Pierre Dupin El Viejo (ca. 1690- 1752) en el que se representa a un Jakob Bernoulli en su madurez, cuando ya era un reputado científico.
En busca de una regularidad
Calcular el 10% de una cierta cantidad equivale a multiplicarla por 0,1; por ejemplo, el 10% de 100 es 100×0,1 = 10. En consecuencia, sumarle a un capital de 100 florines su 10% equivale a calcular
100+100×0,1 = 100×(1 + 0,1)
Por tanto, para sumarle a una cierta cantidad su 10% puede, simplemente, multiplicarse por (1 + 0,1). De manera similar, si se quisiera sumar a un cierto capital su 5%, bastaría multiplicarlo por (1+0,05); si fuese el 8%, se multiplicaría por (1+0,08); y así con cualquier otra cantidad. Recordemos que, en el ejemplo de la capitalización semestral, al terminar el primer semestre se le han sumado a los 100 florines iniciales la mitad de su 10% (la mitad del interés anual, ya que ha pasado medio año). Puede, entonces, expresarse este cálculo de la siguiente manera:Sumarle a 100 la mitad de su 10% = 100×(1 + 0,1/2).
Al terminar el segundo semestre, al resultado anterior debemos sumarle otra vez la mitad de su 10%. Por tanto, se multiplica otra vez por(1 + 0,1/2)
Y si se suma al resultado anterior la mitad de su 10% es igual a100×(1 + 0,1/2)×(1 + 0,1/2)
Se concluye así que, en el caso de la capitalización semestral, al cabo de un año Bruno debe pagarle a Abel100×(1 + 0,1/2)2 florines
Los números 2 que aparecen en este cálculo, tanto el que se ve en el exponente como el que divide al 0,1, provienen del hecho de que hay dos períodos de capitalización (cada uno de ellos equivalente a la mitad de un año). Si el período de capitalización fuese cuatrimestral, es decir, si hubiera tres períodos de capitalización, entonces Bruno debería devolverle a Abel100×(1 + 0,1/3)3 ≈ 110,34 florines
Si hubiera cuatro períodos de capitalización (es decir, si la capitalización fuese trimestral) entonces Bruno debería devolver100×(1 + 0,1/4)4 ≈ 110,38 florines
Por tanto, si la capitalización fuese mensual, los 100 florines iniciales deberían multiplicarse por(1 + 0,1/12)12 ≈ 1,10471
(el 12 que aparece en el cálculo proviene del hecho de que hay 12 meses en el año); y si fuese diaria, el capital inicial debería multiplicarse por(1 + 0,1/365)365 ≈ 1,10516
Ahora bien, la pregunta que verdaderamente se planteó Bernoulli era qué sucedería si el préstamo tuviese una capitalización continua, es decir, si esta se produjera en cada instante puntual de duración cero o, dicho de otro modo, si hubiera una cantidad infinita de períodos de capitalización.Como ya se ha visto, cuando hay n períodos de capitalización (cada uno de los cuales equivale a la n -ésima parte de un año), para calcular cuánto dinero debe devolverle Bruno a Abel, los 100 florines iniciales se multiplican por
(1 + 0,1/n)n
En consecuencia, este caso planteado por Jakob Bernoulli de la capitalización continua correspondería a tomar n igual a infinito. Se necesitaría, pues, saber a qué valor se va aproximando el resultado cuando n va creciendo enormemente.
El número que iba a ser conocido como e
El descubrimiento que expuso Jakob Bernoulli en su artículo de 1685, «Questiones nonnullae de usuris», consiste en demostrar que, a medida que n va creciendo, el resultado de
(1 + 0,1/n)n
se acerca cada vez más al número e 0,1 al 1,05170918..., donde la letra e designa a un número irracional cuya expresión decimal comienza con 2,71828... Más aún, Bernoulli determinó que si se reemplaza 0,1 por cualquier otro número a entonces el resultado se acerca cada vez más a ea. En consecuencia, podría afirmarse que si se prestan 100 florines a un 10% de interés compuesto con capitalización continua, la cantidad que debe devolverse al cabo de un año puede expresarse como 100×e 0,1. Si la tasa de interés fuese, por ejemplo, del 12% anual, entonces el dinero que hay que reembolsar sería de 100×e 0,12 florines; si la tasa fuese del 5%, se deberían reintegrar 100× e 0,05 florines; y así sucesivamente.De este modo, Jakob Bernoulli logró resolver el problema planteado con anterioridad: hallar la fórmula que permite calcular en cuánto aumenta el capital adeudado cuando se tiene un interés compuesto con capitalización continua. En el proceso de esta resolución, Bernoulli descubrió el número e, que es el valor al que, cuando n se hace cada vez mayor, se va acercando el resultado de
(1 + 1/n)n
Sin embargo, no lo llamó e, ni le asignó tampoco ningún otro nombre específico. Fue Leonhard Euler quien utilizó por primera vez esta denominación en 1727, en su libro Mechanica, Bernoulli expresó su descubrimiento mediante una serie, es decir, mediante una suma infinita:
(1 + 1/n)n se acerca cada vez más a la suma de:


La gran utilidad de los logaritmos
Aunque Jakob Bernoulli fue, en efecto, el descubridor de la constante e, hubo matemáticos anteriores que se acercaron, sin saberlo, al hallazgo de ese número. El caso más notable es el de Jobst Bürgi (1552-1632) y John Napier (1550-1617). Estos dos matemáticos descubrieron —independientemente— los logaritmos, y fue durante esos trabajos que se aproximaron a e.
Los logaritmos fueron, hasta la invención de las calculadoras electrónicas en la década de 1970, el fundamento de los métodos más eficientes para realizar cálculos complejos, sobre todo si estos involucraban números grandes. Estos cálculos se realizaban mediante tablas de logaritmos o reglas de cálculo, instrumentos cuyo funcionamiento se basaba también en los logaritmos.
Una tabla de logaritmos consta de dos secuencias de números: la primera de ellas comienza con 1 y se construye multiplicando siempre por una misma constante—lo que se llama una sucesión geométrica—; la segunda secuencia, por su parte, se obtiene a partir del 0 sumando siempre por un mismo número —una sucesión aritmética—. Por ejemplo, la siguiente es una tabla de logaritmos, muy similar, en cuanto al tamaño, a la primera tabla de Bürgi:

![]()
Las tablas de logaritmos fueron, durante siglos, una ayuda indispensable para multiplicar o dividir números grandes, elevar a potencias o calcular raíces. Es decir, si a un número x le corresponde un cierto logaritmo L, entonces a la raíz cuadrada de x le corresponde la mitad de ese logaritmo L. Por ejemplo, a x = 16 le corresponde un logaritmo de L = 4, y a la raíz cuadrada de 16, que es 4, le corresponde el logaritmo 2.
En el caso del cálculo de aproximaciones, como el de la raíz cuadrada de 2, se busca en la fila superior el número 2 (el número del cual queremos calcular su raíz), y a continuación su logaritmo correspondiente en la fila inferior, que es 1. Por tanto, la raíz cuadrada de 2 es el número cuyo logaritmo es 0,5 (la mitad del).
Para aproximar el valor de la raíz de 2, puede realizarse la siguiente deducción; como en la fila inferior 0,5 es el valor que está justo en el punto medio entre 0 y 1, se supone que sucederá lo mismo en la fila superior y que, entonces, la raíz de 2 será (aproximadamente) el valor que está justo en medio entre 1 y 2. Como ese número es 1,5, se concluye así que √2 = 1,5. Dado que la raíz cuadrada de 2 es un número irracional cuya escritura comienza con 1,4142…, esta aproximación es bastante buena
Esta aproximación presupone que las dos filas de la tabla crecen más o menos a la misma velocidad; en efecto, esta es la suposición que justifica la idea de que al punto medio entre 0 y 1 le corresponde el punto medio entre 1 y 2, una deducción que resulta bastante acertada cuando las dos sucesiones se inician. Si se tienen en cuenta los tres primeros números de cada fila de la sucesión

Sin embargo, a medida que se avanza en la tabla la suposición se vuelve cada vez más inexacta. Por ejemplo, cuando la fila superior pasa de 16 a 32 (dieciséis unidades de aumento), la inferior pasa de 5 a 6 (solo una unidad). Como consecuencia de ello, a medida que se trabaja con valores más grandes, las aproximaciones que se obtienen van quedando cada vez más alejadas del resultado real. En efecto, si se usara este método para calcular la raíz cuadrada de 32, se obtendría √32 = 6, cuando en realidad √32 = 5,65685... En el cálculo de la raíz de 2 el error (la diferencia entre el valor calculado y el real) fue de menos de un décimo (1,5 contra 1,41...). Sin embargo, en este nuevo cálculo el error ya es del orden de 0,35; para raíces de números más grandes, el error sería cada vez mayor.
Napier y Bürgi observaron que una manera de lograr que los cálculos fueran más exactos (en otras palabras, que las aproximaciones sigan siendo buenas aun cuando se trabaje con números grandes) consistiría en tomar dos sucesiones que crezcan tan lentamente como sea posible, de modo que sus respectivos crecimientos tarden mucho en hacerse muy diferentes. Este objetivo, a su vez, se consigue cuando las dos secuencias se construyen, la superior, multiplicando por un número muy cercano a 1, y la inferior, sumando un número muy cercano a 0. Con esta idea en mente, Bürgi y Napier, cada uno por su lado, trabajaron con una tabla similar a la siguiente:

![]()
b(1/0,00001) = 1,0001
de donde, por aplicación de propiedades de la potenciación, se deduce queb = 1,000110000
b = (1 + 1/10000)10000
Es decir, la base b de la tabla con la que trabajaron Bürgi y Napier es el valor que tomab = (1 + 1/n)n
cuando n vale 10000. Por tanto, b es una buena aproximación de e concretamente b = 2,7181459...Es decir, Bürgi, y también Napier, trabajaron implícitamente con logaritmos cuyas bases eran muy buenas aproximaciones del númeroe. De hecho, con el correr de los siglos, los logaritmos en base e (al igual que el propio número e) se transformaron, mucho más allá de una ayuda para hacer cálculos, en una herramienta matemática muy importante para describir fenómenos naturales.
Ahora bien, aunque se «acercaron» a e, ni Napier ni Bürgi se plantearon, como sí hizo Bernoulli, el problema de analizar a qué valor se va acercando
(1 + 1/n)n
cuando n crece. Aunque obtuvieron aproximaciones de e, no puede decirse que lo descubrieran. No obstante, la constante e es llamada muchas veces el «número de Napier», pero nunca el «número de Bernoulli» (ni tampoco, en todo caso, el de Bürgi). Es esta una de esas pequeñas injusticias de la historia, una de las muchas que existen, también en las matemáticas.Un juego de azar
Jakob Bernoulli dedicó muchos años al estudio matemático de las probabilidades. Esto se sabe principalmente porque en 1677, cuando todavía era un estudiante en la Universidad de Basilea, comenzó a escribir un diario científico, el cual se publicaría muchos años más tarde, póstumamente, bajo el título de Meditaciones. En ese diario puede verse el germen de muchas de las ideas que Bernoulli desarrollaría en sus artículos sobre física y matemáticas; y es en él, también, donde se observa que comenzó a ocuparse de la teoría de probabilidades a principios de la década de 1680, en el inicio de su carrera científica.
La llamada ley de los grandes números, que es, para muchos historiadores, la aportación más importante de Bernoulli a las matemáticas, aparece por primera vez en las Meditaciones en 1686, por lo que este hallazgo es contemporáneo al descubrimiento del número e. Sin embargo, en ese momento Jakob no había podido encontrar todavía una justificación matemática para la ley. Es decir, en 1685 estaba convencido de que la ley de los grandes números era verdadera, pero todavía no había logrado desarrollar un razonamiento matemático que demostrara esa verdad más allá de toda duda; en consecuencia, decidió postergar su publicación. En realidad, pasaron muchos años antes de que Bernoulli pudiera, finalmente, elaborar una demostración de la ley de los grandes números; tanto es así, que esta se publicaría en su libro Ars conjectandi (El arte de la conjetura), editado póstumamente en 1713.
Para exponer en qué consiste la ley de los grandes números es necesario saber de qué trata la teoría de probabilidades, y para ello, se comenzará planteando un hipotético juego de apuestas.
Cardano y las apuestasEn sus orígenes, la teoría de probabilidades estuvo muy ligada al estudio de los juegos de azar, especialmente si estos involucraban apuestas.De hecho, el que es considerado el primer texto serio de probabilidades consiste, básicamente es un análisis de las mejores estrategias para ganar en ciertos juegos de naipes. Este libro, tituladoLiber de ludo aleae ( Libro de los juegos de azar) fue escrito por el matemático Italiano Girolamo Cardano (1501-1576) en la década de 1560, aunque se publicó, póstumamente, en 1663. Cardano, que era muy aficionado a apostar en juegos de naipes, comenzó a tener, gracias a sus análisis matemáticos, un éxito tan grande que muchos lo acusaron de hacer trampas. La situación llegó a tal punto que, en cierto momento, decidió llevar siempre consigo un puñal, por si algún perdedor despechado Intentaba atacarlo.
Imaginemos un juego en el que, para participar, se deben apostar 10 florines, y a continuación se tira un dado normal, de seis caras. Si sale un 1, perdernos los 10 florines apostados; en cualquier otro caso, ganamos un florín (es decir, nos devuelven los 10 y nos pagan uno adicional).
La pregunta es si merece la pena participar en el juego o no.
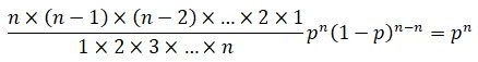
Cuando se tira un dado, hay seis resultados posibles, ya que puede salir cualquier número entre 1 y 6. Ahora bien, en este juego hay cinco resultados que nos favorecen y uno solo que no nos conviene, porque si sale un 1 perdemos, pero si sale cualquier otro número, ganamos. Intuitivamente, esto significa que tenemos cinco veces más posibilidades de ganar que de perder, por lo que la conclusión parece ser que sí que conviene jugar.
«Cualquiera se da cuenta de que cuantas más observaciones se hagan, menos erraremos el blanco; pero una demostración rigurosa de esta conjetura no es para nada trivial»Imaginemos que, convencidos por este análisis, decidimos jugar una vez. Podemos ganar o perder (no hay forma de predecirlo), pero supongamos que, en efecto, ganamos. Además, entusiasmados por este pequeño triunfo, tomamos la decisión de volver a jugar, y que lo hacemos una y otra vez, ¿Qué sucederá a la larga?
Jakob Bernoulli
Aunque no hay forma de saber qué número saldrá en una tirada específica del dado, sí puede afirmarse que, cuando lo tiremos muchas veces, los resultados obtenidos se sucederán de tal modo que, de cada seis tiros, aproximadamente uno de ellos será perdedor, y los cinco restantes serán ganadores. Desde luego, no estamos diciendo que los números se alternarán de forma ordenada (no podemos esperar que salga 1, 2, 3, 4, 6, 6, 1, 2, 3, 4, 5, 6...), pero, a la larga, cuando la cantidad de tiros se haga enormemente grande, el recuento de los resultados mostrará, casi con exactitud, un tiro perdedor por cada cinco ganadores. Por ejemplo, si jugamos 600 veces, la cantidad de unos (la cantidad de tiros perdedores) estará cerca de 100, mientras que la de números ganadores será de casi 600.
Por tanto, cuando el número de tiros es muy grande (cuando tiende al infinito), puede asegurarse que la cantidad de
tiros ganadores / tiros totales
será casi exactamente de 5/6, ya que hay cinco resultados ganadores sobre seis posibles, y que la detiros perdedores / tiros totales
será casi exactamente igual a 1/6. Ahora bien, esto significa que por cada seis tiros perderemos 10 florines y ganaremos solo 5 (uno por cada tiro ganador). Por tanto, si jugamos muchas veces, vamos a perder aproximadamente 5 florines por cada seis tiros; de este modo, si jugáramos 600 veces perderíamos aproximadamente 3000 florines. En resumen, si apostamos solo una vez, podemos ganar o perder, aunque las probabilidades de ganar sean mayores; en cambio, si jugamos muchas veces, con toda certeza perderemos nuestro dinero.La teoría de probabilidades
El análisis del juego de apuestas se encuadra dentro de la teoría de probabilidades, que es la rama de las matemáticas que estudia las leyes, o las regularidades, de los fenómenos que suceden al azar. Aunque la palabra «azar», por definición, se aplica a fenómenos que son impredecibles, el mismo ejemplo del juego muestra que, en realidad, hasta este azar puede tener regularidades. Cada tirada individual del dado es, en efecto, impredecible: cuando lanzamos un dado al azar no podemos saber a priori qué número saldrá. Sin embargo, si tiramos el dado un número muy grande de veces, los resultados nos mostrarán un «dibujo» en el que cada número entre 1 y 6 aparecerá, a la larga, en la misma cantidad de ocasiones.
En otras palabras, si lanzamos el dado cuatro veces, es perfectamente posible que en todas ellas salga el número 1; en cambio, si lo tiramos seiscientas veces, es virtualmente imposible —a menos que el dado esté trucado— que siempre salga un 1; más aún, hay una probabilidad del 99,99% de que la cantidad de unos obtenida está alrededor de 100.
La teoría de probabilidades, pues, no puede predecir resultados Individuales, pero sí puede anticipar cuál será el comportamiento global de una gran cantidad de resultados. Esta última característica de la teoría de probabilidades ya era conocida, aunque de un modo intuitivo, desde mucho tiempo antes de la época de Bernoulli. Casi medio siglo antes del nacimiento del matemático, por ejemplo, el duque de Toscana le planteó un problema al gran Galileo Galilei (1564-1642) claramente relacionado con esta teoría.
Según el juego anterior, la proporción de tiros ganadores cada vez que se lanzan los dados es de 5/6, es decir, de 0,8333... Por tanto, en cada tirada habrá, aproximadamente, un 83,33% de tiros ganadores y un 16,67% de perdedores. La probabilidad, pues, de obtener un tiro ganador es del 83,3396, mientras que la de obtener un tiro perdedor es del 16,67%.
Por supuesto, sí hubiera la misma cantidad de tiros ganadores que de perdedores, entonces habría un 60% de probabilidades, tanto de ganar como de perder, y a la larga la misma cantidad de tiros de ganadores y perdedores serla más o menos la misma.
El duque de Toscana, que era muy aficionado a los juegos de dados, había calculado que cuando se lanzan tres dados al azar, existen, aparentemente, seis formas diferentes de obtener una suma igual a 9:
1 + 2 + 6 = 9
1 + 3 + 5 = 9
1 + 4 + 4 = 9
2 + 2 + 6 = 9
2 + 3 + 4 = 9
3 + 3 + 3 = 9
Y, asimismo, había calculado que también existen seis formas diferentes de obtener un 10:1 + 3 + 6 = 10
1 + 4 + 5 = 10
2 + 2 + 6 = 10
2 + 3 + 5 = 10
2 + 4 + 4 =10
3 + 3 + 4 = 10
Dado que, aparentemente, hay la misma cantidad de resultados donde la suma es 9 que resultados donde la suma es 10, si se repite muchas veces el experimento de tirar tres dados al azar, a la larga, concluía el duque de Toscana, debería observarse aproximadamente la misma cantidad de tiradas en las que la suma sea 9 que de tiradas en las que la «urna sea 10.Sm embanco de su propia experiencia como jugador, el duque sabía que en realidad la suma 10 se producía sistemáticamente con más frecuencia que la suma 9. La realidad empírica, por tanto, favorecía a uno de ellos en detrimento del otro. La pregunta que el duque le planteó aGalileo fue simplemente ¿cómo es posible que suceda esto?
El duque, pues, era consciente, a principios del siglo XVII, de que si dos resultados tienen la misma probabilidad de producirse, ambos deberían, a la larga, darse siempre aproximadamente la misma cantidad de veces. El hecho de que esto no sucediera requería una explicación.
¿Cuál fue la respuesta de Galileo? Después de reflexionar sobre la cuestión, el gran científico italiano se dio cuenta de que el duque, en realidad, había hecho mal los cálculos. Para hacer más clara la explicación, imaginemos por un momento que los tres dados estuvieran pintados de colores diferentes (por ejemplo, que uno sea blanco, otro negro y el terrero, gris. Ahora bien, el duque calculaba que una de las formas de sumar 9 con tres dados es obtener un 2, un 3 y un 4, Galileo, sin embargo, le respondió que la suma 2 + 3 + 4 =9 no representa un solo resultado, sino seis diferentes. En efecto, dijo Galileo, el resultado en el que hay un 2 en el dado blanco, un 3 en el gris y un 4 en el negro debe contarse como diferente de aquel en el que hay, por ejemplo, un 2 en el negro, un 3 en el gris y un 4 en el blanco. Esta distinción implica que haya, como se acaba de decir, seis formas distintas de conformar la suma 2 + 3 + 4 = 9 (todas ellas se muestran en la figura 1).
En la misma línea de racionamiento, la suma 1 + 4 + 4 = 9 representa tres resultados diferentes, mientras que la suma 3 + 3 + 3 = 9, representa solamente uno (estos resultados se muestran en la Figura 2).

La probabilidad de la ruletaEn la ruleta francesa o europea aparecen los números del 0 al 36; de ellos, dieciocho son rojos, dieciocho son negros, y el restante, que es el 0, no es de ningún color. Esto significa que si apostamos a un color (ya sea al rojo o al negro), de 37 resultados pasibles hay 18 que nos hacen ganar y 19 que nos hacen perder (el 0 siempre juega en nuestra contra). Por tanto, si apostamos a color, nuestra probabilidad de ganar es del 48,65%, mientras que la de perder es del 51.35%. Es imposible saber quién ganará, o quién perderá, en una tirada individual de la ruleta: pero la teoría de probabilidades permite predecir con certeza que, cada día, de todos los apostadores que concurren a un casino y apuestan a color, aproximadamente el 48,65% ganará y el 51,35% perderá.Al terminar el día, esta diferencia sistemática entre apostadores ganadores y perdedores significa, por supuesto, dinero en los bolsillos del casino.
Generalizando, las sumas en las que hay tres números diferentes (como 2 + 3 + 4 = 9) representan seis resultados, las sumas con dos números iguales (como 1 + 4 + 4 = 9) representan tres, mientras que las sumas con los tres números iguales (la única es 3 + 3 + 3 = 9) representan solamente uno. Si se toma esto en consideración, vemos que hay 25 resultados donde la suma es 9, contra 27 en los que la suma es 10 (véase la tabla siguiente). Esta diferencia, concluía Galileo, es la que explica la aparente discrepancia: la suma 10 sucede más veces que la suma 9 simplemente porque hay más resultados en los cuales la suma es 10.
En otras palabras, la probabilidad de obtener un 10 es mayor que la de obtener un 9, y eso explica por qué, a la larga, aquel resultado ocurre más veces que este. Si se hacen los cálculos correspondientes, la probabilidad de sumar 9 es del 11,57%, mientras que la de sumar 10 es del 12,5%.

La fórmula del azar
Volviendo al juego en el que la proporción de
tiros ganadores / tiros totales
se acerca cada vez más a 5/6, puede generalizarse esta idea de la siguiente manera: en un experimento aleatorio, es decir, una acción cuyo resultado depende del azar, supongamos que tenemos un cierto resultado X (por ejemplo, «que no salga un 1», o «que la suma de los tres dados sea 9») y que la probabilidad de que ocurra ese resultado X es un número p (por ejemplo, si X es «no sale un 1» entonces p = 5/6). Bajo estas condiciones, si repetimos el experimento una y otra vez, entonces la proporciónveces que sucede X / cantidad total de repeticiones
se acercará cada vez más a p. Cada repetición se llama «ensayo de Bernoulli». En otras palabras, cuando la cantidad de estos ensayos de Bernoulli tiende al infinito, la proporción de veces que ocurre X se acerca cada vez más al valor calculado para la probabilidad de que ocurra X.La ley de los grandes números otorga a esta idea intuitiva un contenido «científicamente rigoroso», o «cuantitativo». Si se recuerda la situación hipotética en la que arrojamos un dado seiscientas veces, en esta situación la cantidad de unos, o de cualquiera de los otros cinco números posibles, no podrá alejarse mucho de 100, pero ¿cuánto puede alejarse realmente? La ley de los grandes números ofrece una respuesta matemáticamente rigurosa a preguntas como esta, proporcionando un método que permite calcular, con un grado de aproximación muy razonable, cuál es la probabilidad de que la cantidad de unos sea, por ejemplo, mayor que 130, o menor que 75.

«La ley de los grandes números fue la primera contribución teórica importante al cálculo de probabilidades.»Pero además de permitir conocer qué probabilidad hay de que aparezca una cantidad de unos, la tabla tiene otras aplicaciones importantes. Supongamos, por ejemplo, que tenemos un dado supuestamente trucado, de tal modo que parece favorecer más a ciertos números que a otros. ¿Existe alguna manera de verificar que la sospecha está justificada? Una manera de hacerlo es lanzar el dado al azar un número elevado de veces (600, por ejemplo) y anotar qué número sale cada vez. Si alguno de los números aparece más de 127 veces (o menos de 73) podemos abrigar razonables sospechas de que el dado no está bien equilibrado, y si algún número sale más de 136 veces (o menos de 64), la sospecha estará virtualmente demostrada: la tabla confirma que en un dado equilibrado es virtualmente imposible que eso suceda.
Jean Paul Collette, historiador de las matemáticas.
Razonamientos como este caen en el terreno de la estadística, que es la rama de las matemáticas que analiza la realidad (a partir de ensayos de Bernoulli) apoyándose en el Corpus de la teoría de probabilidades. De hecho, la ley de los grandes números tiene aplicaciones muy amplias, muchas de las cuales afectan de manera directa a la vida cotidiana.
La ley de los grandes números, así como otros desarrollos posteriores basados en ella, es, en una fábrica, la que le dice a los controles de calidad cuántos son los productos que se deben elegir, en una inspección al azar, para verificar adecuadamente si la producción está funcionando dentro de los parámetros normales. También le dice al biólogo, o al médico, cuántos resultados positivos debe acumular, en pruebas de laboratorio, un nuevo fármaco antes de ser considerado apto para el uso humano. Las aplicaciones de este tipo son innumerables.
A través de los siglos, la ley de los grandes números (y sus consecuencias) afecta de manera directa a las vidas. No es de extrañar, entonces, que sea considerada uno de los descubrimientos más relevantes de Jakob Bernoulli, o que este esperara años antes de publicarla, a fin de tener la certeza absoluta de su validez. Como tampoco es de extrañar que el Instituto Internacional de Estadística fundara, en 1975, una sociedad para la estadística matemática y la probabilidad que lleva el nombre, como no podía ser de otro modo, de Jakob Bernoulli.
Capítulo 3
El cálculo diferencial e integral
En 1684 Leibniz escribió el trabado en el que se hirieron públicos por primera vez los métodos del cálculo diferencial e integral. Sin embargo, pronto fue evidente que la explicación de por qué esos métodos funcionaban correctamente era, desde un punto de vista lógico, contradictoria en sí misma. Bernoulli fue uno de los primeros en enfrentarse al problema de justificar los métodos del cálculo, tarea en la que contó con la ayuda de su hermano menor, Johann.Durante el transcurso de su vida, Jakob Bernoulli participó en el desarrollo de varios campos de las matemáticas. Entre ellos, uno de los más relevantes fue el nacimiento del cálculo. Como se ha definido previamente, el cálculo es la rama de las matemáticas que emplea métodos en los que se hace uso de «lo infinitamente grande» o «lo Infinitamente pequeño». Esta definición, sin embargo, es imprecisa y, junto con el uso intuitivo del concepto de infinito, a menudo puede conducir a paradojas o a contradicciones, que generaron en la época muchas controversias. Fueron necesarios casi dos siglos de esfuerzos para depurar los procedimientos del cálculo hasta darles la forma precisa y rigurosa que tienen hoy en día.
Jakob, contando con la ayuda de su hermano menor, Johann, realizó importantes aportaciones en favor de la clarificación de los métodos del cálculo, logrando resolver así algunas de las cuestiones más importantes del momento, aunque dejando algunas otras aún abiertas.
El artículo en el que se exponen los primeros métodos del cálculo lúe escrito por Gottfried Wilhelm Leibniz y publicado en octubre de 1684, en el Acta Eruditorum, bajo el título « Un nuevo método para los máximos y los mínimos, así como para las tangentes, que no se detiene ante cantidades fraccionarias o irracionales, y es un singular género de cálculo para estos problemas ».
Pocos años después de publicarse este artículo, Isaac Newton acusó a Leibniz de haber plagiado ideas que le pertenecían. Esta acusación parecía estar en parte justificada, ya que, según se supo después, el matemático y físico inglés había descubierto los métodos del cálculo antes que Leibniz, aunque no los publicó hasta 1687, tres años después de la aparición del artículo del alemán.
Gottfried Wilhelm LeibnizGottfried Wilhelm Leibniz (1646-1716) nació en Leipzig (Alemania) el 1 de julio de 1646. Fue un niño muy precoz; tanto que en el momento de comenzar le escuela primaria, a los siete años de edad, ya tenía conocimientos muy avanzados de griego y de latín, lenguas que había estudiado por si mismo gracias a la biblioteca de su padre, y a los doce escribía ensayos sobre los defectos del sistema filosófico de Aristóteles. En 1661 ingresó en la universidad de Leipzig, donde estudió filosofía y matemáticas, disciplinas en las que destacaría notablemente, y quenunca vio como materias separadas sino, por el contrario, como dos ramas complementarias de la razón humana. En ese sentido, en la década de 1680 inició un ambicioso proyecto que tenía como objetivo aplicar las reglas del álgebra al pensamiento filosófico. Y si bien este proyecto no alcanzó el éxito que su autor esperaba, le sirvió de inspiración al gran matemático alemán David Hilbert (1662-1943), quien, en la década de 1920, intentó llevar adelante un programa similar para reducir el razonamiento matemático a reglas de operación mecánicas. Además de su actividad estrictamente académica, Leibniz se dedicó de forma muy intensa a promover la creación de sociedades científicas, como, por ejemplo, las de Berlín, Dresde, Viena y San Petersburgo. Falleció en Hanover el 14 de noviembre de 1716.
Newton argumentaba que antes de 1684 había expuesto algunas de esas ideas a Leibniz en diversas cartas que habían intercambiado. Leibniz, por su parte, defendía que no había tenido en cuenta las sugerencias del inglés, ya que eran demasiado vagas como para entenderlas o para llegar a ser significativas.
«La importancia histórica de los logros de los hermanos Bernoulli está a la altura de los clásicos más importantes de la ciencia matemática.»La disputa entre ambos científicos siguió durante años, sin llegar a ningún tipo de solución. Fue, en definitiva, una pelea enconada, amarga y muy desgastadora, emocionalmente para ambos. La polémica fue tan intensa que llegó a involucrar a casi todos los matemáticos europeos de la época: los ingleses se sintieron obligados a sostener la posición de Newton, mientras que los europeos continentales —entre ellos, Jakob Bernoulli y, con aún más fervor, su hermano Johann— defendieron, en su mayoría, a Leibniz.
J. O. Fleckenstein, historiador de las matemáticas.
Hoy en día, pasados los siglos, los historiadores de las matemáticas han llegado de forma unánime a la conclusión de que Newton y Leibniz descubrieron el cálculo cada uno por su lado sin que existiera plagio, por lo que el mérito del descubrimiento les corresponde a ambos por igual.
El problema de la velocidad
Para entender las aportaciones de Jakob Bernoulli al cálculo se debe partir del contenido del artículo de Leibniz de 1684, en el que el autor plantea el llamado «problema de la velocidad», cuyo objetivo es estudiar el movimiento desde un punto de vista matemático.
Imaginemos, por ejemplo, que se quiere estudiar el movimiento vertical de una piedra. Partiendo de la situación representada en la figura 1, donde un resorte, una suerte de «catapulta vertical», permite lanzar una piedra directamente hacia arriba, la piedra subirá hasta alcanzar una cierta altura máxima, para luego volver a caer, otra vez, al suelo.
La descripción matemática de este movimiento puede llevarse a cabo mediante una curva como la representada en el gráfico de la figura 2, en el que se muestran las diferentes alturas que va alcanzando la piedra a medida que pasa el tiempo, trazando así una curva de izquierda a derecha. Es decir, inicialmente, mientras la piedra va ascendiendo, la curva va subiendo hasta que ambas llegan a su máximo, para empezar un descenso que culmina en el punto de origen.
Un gráfico, sin embargo, no es la única forma de describir matemáticamente el movimiento de una curva, sino que también se puede utilizar una función, como, por ejemplo, la siguiente:
h(t) = -5t2 + 30t

En la situación en que una piedra es lanzada verticalmente hacia arriba, le curva representa gráficamente su movimiento.
h( 0) = -5×02 + 30×0 = 0
Esto significa que en el instante inicial, en el que la piedra está a punto de ser lanzada, su altura es 0 metros, es decir, se halla en el suelo. En cambio, la expresión correspondiente a la altura de la piedra un segundo después del inicio del movimiento, t = 1 s, esh( 1) = -5×12 + 30×1 = -5 + 30 = 25 m.
Por tanto, la piedra se encuentra a 25 metros de altura, de lo que se puede concluir que el impulso inicial fue ciertamente violento.Ahora bien, la pregunta que plantea y resuelve Leibniz en su artículo de 1684 es la siguiente: si h(t) es la función que nos permite calcular la altura de la piedra, ¿cuál es la que nos permite calcular su velocidad? Para encontrar la respuesta, Leibniz ataca el problema desde un punto de vista geométrico mediante el llamado «problema de las tangentes». Este problema pide, dada una curva, como por ejemplo la representada anteriormente, hallar la ecuación que permite calcular las rectas que son tangentes a ella, es decir, aquellas que tocan a la curva en un sólo punto, de tal modo que «acompañan» su crecimiento. En la figura 3 se pueden ver representadas cuatro rectas tangentes a la curva anterior.
El problema de las tangentes y el de la velocidad son equivalentes; es decir, la forma de calcular la expresión de las rectas tangentes es esencialmente la misma que la de calcular la velocidad del movimiento, debido a que la pendiente de las rectas —su inclinación— es la representación geométrica de la velocidad.

La curva de la figura 2, que representa el movimiento de la piedra, con cuatro de sus rectas tangentes trazados.
El camino hacia la solución
Solucionar el problema de la velocidad de forma aritmética implica encontrar la expresión de v(t), la velocidad en función del tiempo, a partir dela variación de la altura con el tiempo. Con este fin, Leibniz «inventa» una serie de reglas, llamadas «reglas de derivación», que permiten relacionar ambas ecuaciones y que definen v(t) como la derivada de h(t).
Recuperando la expresión de la altura de la piedra propuesta anteriormente y aplicando las reglas de derivación de Leibniz se puede obtener la velocidad de la piedra. Las reglas que se deben tener en cuenta en este caso implican que t2 se convierte en 2t, y que t se convierte en 1, de modo que se obtiene:
h(t) = -5t2 + 30t
v(t) = -5(2t) + 30 - 1 = -10t + 30 m/s.
Es decir, la velocidad, medida en metros por segundo, queda definida por la expresión:v(t) = -10t + 30
A partir de esta expresión se puede calcular el valor de la velocidad en cada instante de tiempo, y así estudiar, también, cómo ésta varía con la altura. Empezando por el instante inicial, t = 0, se obtiene v(0) = -10×0 + 30 = 30 m/s, que corresponde a la velocidad con la que sé lanza la piedra. Un segundo más tarde del lanzamiento (t = 1 s) la velocidad se calcularía con la siguiente expresión: v(1) =-10×1 + 30 = 20 m/s. Se puede observar que la velocidad va disminuyendo a medida que pasa el tiempo. Ahora bien, si se toma ahora el segundo 4 (t = 4 s), la velocidad se ha reducido tanto que ha pasado a ser negativa ( v(4) = -10×4 + 30 = -10 m/s), lo que significa que el objeto ya está bajando. Como puede observarse, todos los resultados obtenidos de forma aritmética se corresponden con los deducidos antes de forma geométrica mediante el problema de las tangentes.Es intuitivo pensar que si la velocidad está relacionada con la altura de la piedra también lo estará con la altura máxima que esta pueda alcanzar. Por ejemplo, si la velocidad inicial es de 1 m/s se intuye que la altura máxima será mucho menor que si la velocidad inicial es de 30 m/s. Efectivamente así es, y es por eso que calcular la altura máxima de la piedra es una de las cuestiones que Leibniz también trata en su artículo, y también uno de los motivos de que él titulo incluya las palabras «método para los máximos».
Rectas tangentesCada recta tangente a un punto se puede encontrar, además de mediante su expresión matemática, de manera gráfica. Para obtener una definición precisa de una recta tangente, puede marcarse en la curva un punto A (figura 1). El objetivo es definir la recta tangente a la curva en A y, para ello, dibujamos en la curva un segundo punto B, y se traza la recta (llamada «secante») que pasa por A y porB (figura 2). Imaginamos ahora que el punto B se va moviendo por la curva, acercándose a A (figura 3).Cuando ambos puntos coinciden (figura 4) la recta secante se transforma en tangente. A cada uno de los puntos de la curva le corresponde una única recta tangente, de modo que se podría elegir una recta secante que cortara en cualquier otro punto y el resultado final serla siempre el mismo.
Cuando la piedra alcanza su altura máxima, y durante un instante, su velocidad es cero, ya que debe parar de ascender para empezar a descender, como se puede observar en la figura 4. Considerando que no se conoce el tiempo en que esto sucede, pero se sabe que la velocidad es 0, puede deducirse lo siguiente:
v(t) = 0
-10t + 30 = 0
Resolviendo esta ecuación se obtiene que t = 3 s, es decir, la altura máxima se alcanza a los 3 segundos.
La piedra sube hasta alcanzar su punto más alto, donde se detiene instantáneamente para empezar a bajar.
Como se ha mostrado, este método deduce el movimiento de la piedra según los métodos establecidos por Leibniz, y permite calcular la velocidad de esta en todo momento, el momento en el que alcanza la altura máxima y el valor de esta última. Estas expresiones son necesarias para obtener la ley de la gravitación universal y las leyes del movimiento de Newton, quien atacó el problema desde un punto de vista más físico y menos matemático.
Ahora bien, a pesar de los buenos resultados obtenidos, el científico y matemático alemán no entró a justificar en su artículo las reglas de derivación que había establecido; de hecho, Leibniz sólo se limitó a enumerarlas y mostrar algunos ejemplos donde estas se aplicaban.
Las reglas de derivaciónA continuación pueden verse tres de las reglas de derivación que presenta Leibniz.
1. Dado h(t) constante, entonces v(t) = 0. El significado físico de que h(t) sea constante es que el objeto está quieto es decir, su posición no varía, por lo que su velocidad es nula.
2. Dado h(t) = tn, entonces v(t) = ntn-1. En el caso en el que n = 2, la derivada de t2 es 2t2 = 2t.
3. Dado h2(t) = h1(t), donde h1( t) y h2(t) son ecuaciones que dependen del tiempo y a es un número cualquiera, la derivada es v2(t) = av1(t ). Por ejemplo, si h(t) = 4t3, entonces v(t) = 4×3t2 = 12t2.
Leibniz comienza su ensayo exponiendo la primera y la tercera regla de la siguiente manera: «Si a es una cantidad constante dada, será:da = 0
d (ax) = adx»
En estas expresiones la letra d significa «derivada».
Jakob Bernoulli, quien había aplazado más de veinte años la publicación de su ley de los grandes números debido justamente a la falta de una demostración que la avalara, quedó muy sorprendido y escribió una carta al autor pidiéndole alguna justificación de sus reglas. Más tarde, los hermanos Bernoulli aplicaron estos métodos para resolver un número creciente de problemas.
Actualmente, el cálculo todavía es una herramienta matemática esencial en muchas áreas del conocimiento, como la física, la ingeniería, la biología y las ciencias económicas.
Los infinitésimos
Leibniz, en su resolución del problema de la velocidad, desarrolló nuevas herramientas de cálculo para aplicarlas posteriormente en el problema y darles un significado físico. Para entender la justificación de esos métodos que propuso el autor conviene definir algunos conceptos.
El primer concepto, que es el que da nombre al problema, es la velocidad. Esta es la magnitud que compara la distancia recorrida por un objeto en un tiempo determinado. Por ejemplo, que un ciclista vaya a una velocidad de 5 m/s significa que cada segundo recorrerá 5 metros. Asimismo, un automóvil que circule a una velocidad constante de 80 km/h avanzará 80 kilómetros cada hora. Cuando la velocidad del movimiento es constante, la relación entre la distancia recorrida, el tiempo invertido en recorrerla y la velocidad se expresan matemáticamente de la siguiente manera:
distancia / tiempo = velocidad
Ahora bien, pocas veces un cuerpo en movimiento mantiene siempre la misma velocidad: normalmente esta va cambiando, como sucede en el caso de la piedra lanzada hacia arriba. El análisis de estas situaciones se vuelve más complicado, y es necesario introducir el concepto de velocidad media. Esta se define como la velocidad constante que tendría un objeto móvil para recorrer una distancia concreta, Δh, en un tiempo determinado, Δt. El símbolo Δ es la letra griega delta mayúscula y representa un intervalo no concreto. De modo que la velocidad media se expresa como:velocidad media = Δh/Δt
En el caso de la piedra, por ejemplo, esta tiene una velocidad variable, pero se le puede otorgar una velocidad media en cada tramo de su recorrido. Consideremos que se quiere calcular la velocidad media durante la ascensión de la piedra, la cual se ha demostrado que tarda 3 segundos (Δt = 3 s) en cubrir una distancia de 45 metros (Δh = 45 m), entonces el resultado seria, este:velocidad media = 15 m/s.
Esos 15 m/s calculados corresponden a la velocidad media de la piedra; es decir, si la piedra subiera a una velocidad constante de 15 m/s tardaría exactamente 3 segundos en llegar al mismo punto; pero, en realidad, la velocidad de la piedra solo toma este valor durante un instante de tiempo.Ahora bien, la velocidad en un único instante correspondería a tomar Δt = 0. En efecto, cuando se destaca la velocidad de la piedra en «exactamente un segundo después de haber sido lanzada» no se habla de intervalo de tiempo, sino de un único y preciso instante. Según el razonamiento de Leibniz, para calcular la velocidad instantánea se deberla tomar, en la fórmula
Δh/Δt
el valor Δt = 0. Sin embargo, esto es imposible, porque en el ámbito de las matemáticas no puede dividirse por cero. Para superar este problema, Leibniz (también Newton) introdujo el concepto de «infinitésimo», al que también llamó un «indivisible», que era un número «infinitamente pequeño»; en otras palabras, un número positivo, distinto de cero, que es menor que cualquier otro número positivo.Un instante sería, entonces, un intervalo de tiempo de longitud infinitesimal, es decir, infinitamente pequeña. La expresión que introdujo Leibniz para representar esta longitud infinitesimal es la letra d, que significa diferencial; lo que da nombre a la rama de las matemáticas creada por Newton y él mismo, el cálculo diferencial e integral.
De este modo, para representar una longitud infinitesimal de tiempo se utiliza la notación dt, y dh para la distancia recorrida durante este dt. Asimismo, para expresar la velocidad en el mismísimo instante t, solo hace falta reemplazar la expresión por

Velocidad y aceleraciónEl concepto de derivada se asocia con la idea de ritmo de variación de una variable. Por ejemplo, la velocidad de un automóvil indica el ritmo al que varía su posición, ya que cuanto más rápido se mueva, más distancia recorrerá el vehículo. Otro ejemplo podría ser si h(t) representara la cantidad de bacterias en un cultivo realizado en un laboratorio. En este caso su derivada indicaría el ritmo al que dicha cantidad de bacterias aumenta o disminuye. La variación de la velocidad es, a su vez, la aceleración; por tanto, la aceleración de un objeto móvil se calcula como la derivada de su velocidad. En el caso del ejemplo de la piedra lanzada verticalmente hacia arriba, la posición o la altura de esta se calcula como h(t) = -5t2 + 30t y su velocidad como v(t) = -10t + 30. De este modo, para obtener te aceleración sobre la piedra solo se debe derivar v(t), cuyo resultado en este caso es un valor constante igual a a(t) = -10 m/s2. Este indica que la velocidad disminuye en 10 m/s cada segundo. El signo negativo indica que la aceleración «favorece» la caída de la piedra, es decir, cuando la piedra esta ascendiendo la velocidad disminuye, mientras que durante el descenso su valor absoluto aumenta.
Más simple aún: supongamos ahora que la función que describe la altura en función del tiempo es h(t) = t2. En este caso en concreto sería h(t + dt) - h(t) = (t + dt)2 - t2, y la fórmula de la velocidad instantánea quedaría, entonces, así:



v(t) = 2t + dt
Para acabar su razonamiento, Leibniz, determinó que, como dt es un número infinitamente pequeño, casi nulo, el hecho de sumar d t a otra cantidad es despreciable. Por tanto:2t + dt = 2t
v(t) = 2t
En otras palabras, la derivada de h(t) = t2 es v(t) = 2t. Este razonamiento justifica que, anteriormente, al calcular la velocidad de la piedra, la expresión t2 fuera reemplazada por 2t.La verdadera derivada de h(t)En el ejemplo de la piedra expuesto anteriormente se ha considerado que la variación de la altura en función del tiempo es h(t) = -5t2 + 30t. Por tanto, derivando esta expresión se obtiene la función que expresa la dependencia de su velocidad con el tiempo:v(t) = (h(t+dt) - h(t)) /dt
Reemplazando h(t) y h(t+dt) por las expresiones correspondientes, se obtiene:Aplicando a continuación algunas de las reglas del álgebra:
Como dt es prácticamente igual a cero y, por tanto, despreciable, el resultado final es:
v(t) = -10t + 30.
Ahora bien, esta explicación conlleva algunos problemas graves de coherencia lógica. En primer lugar, con el fin de calcular el resultado de v(t) se ha escrito la expresión que puede verse a continuación:
v(t) = dh/dt
Debido a que no es matemáticamente posible dividir entre cero, esta expresión solo tiene sentido si dt ≠ 0. Pero, por otra parte, se ha considerado que dt = 0 en la expresión 2t + dt = 2t, de modo que dt tiene dos valores distintos en un mismo razonamiento lógico.Se llega así a una contradicción, a una paradoja. Considerando este hecho, los hermanos Bernoulli definieron que la justificación de Leibniz «más que una explicación, era un enigma». La paradoja no llegó a solucionarse hasta mediados del siglo XIX gracias al matemático alemán Karl Weierstrass y a su definición del concepto de límite.
En busca de la unidad de los símbolos
Jakob Bernoulli, a pesar de tener varios familiares que se dedicaron al estudio de las matemáticas, trabajó especialmente unido a su hermano Johann, con el que creó nuevas formas de entender el cálculo. Johann nació en Basilea el 27 de julio de 1667 y su padre, Nicolaus, decidió que sería él quien se hiciera cargo del negocio familiar de importación de especias, así que en 1682 Johann se incorporó a esa tarea con el fin de aprender el oficio. Pero, al cabo de pocos meses, Nicolaus tuvo que admitir, a regañadientes, que su hijo era demasiado brillante para esa profesión, esencialmente rutinaria. En 1683, el mismo año en que Jakob regresaba de su viaje por Europa, Johann ingresó en la Universidad de Basilea con la Intención de estudiar medicina.
Sin embargo, Johann tampoco encontró su vocación en la medicina, sino que, como le había sucedido antes a su hermano, se vio atraído por la física y las matemáticas, ciencias que comenzó a estudiar, sin ayuda alguna, a través de textos, tanto clásicos como modernos. Hacia 1685 comenzó a asistir a las clases y conferencias que impartía Jakob en la universidad; y ya ese mismo año comenzaron a colaborar en pie de igualdad en el estudio de los problemas provocados por las contradicciones implícitas en la explicación de Leibniz.
La primera conclusión a la que llegaron los hermanos Bernoulli fue que el cálculo necesitaba una simbología matemática clara, precisa y unificada, es decir, que a cada expresión le correspondiera un único símbolo. Según los Bernoulli las contradicciones del cálculo ya eran de por sí bastante complejas como para agregarles confusiones en la escritura.
«El genio de uno [se refiere a Johann] y la profundidad del otro [Jakob] alcanzaron su punto más alto a través de la influencia que tuvieron sus soluciones sobre Euler y Lagrange.»Hasta la segunda mitad del siglo XVII, cuando comenzó a usarse una simbología matemática uniforme y estandarizada, en parte gracias a las aportaciones de Jakob y Johann Bernoulli, cada matemático usaba los símbolos que le parecían más adecuados a sus necesidades, y que en muchos casos eran de su propia invención. En el caso de la multiplicación, por ejemplo, había bastantes discrepancias en la escritura.
— Ernst Mach, físico austríaco.
Pina indicar esa operación, el matemático alemán Michael Stiffel (1487-1567) usaba simplemente la letra M. El mismo símbolo era utilizado por el gran matemático e ingeniero belga Simón Stevin (1548-1620) y por Rene Descartes (1596-1650). Por otra parte, el matemático francés François Viéte (1540-1608) expresaba el producto de A por B como «A in B»,
Fue en 1631 cuando el matemático inglés William Oughtred (1574-1660) propuso que se usara el símbolo «×», inspirado, aparentemente, en la cruz de San Andrés, que se empleaba en algunos algoritmos para multiplicar. Leibniz, por su parte, no estaba de acuerdo con el uso de este símbolo; en efecto, en 1698 le expresó esta idea en una de sus múltiples cartas a Johann Bernoulli: « No me gusta (la ×) como símbolo para la multiplicación, pues se confunde demasiado fácilmente con la [letra] x; [...] a menudo relaciono dos cantidades con un punto interpuesto, e indico la multiplicación mediante ZC-LM ».
Hoy en día se acepta el uso de ambos símbolos, la × y el punto, para expresar una multiplicación entre dos cantidades.
En septiembre de 1685, los Bernoulli publicaron un artículo, titulado «Paralelismus rationici logici et algebraici» (« Paralelismos entre el razonamiento lógico y algebraico»), en el que proponían unificar el uso de los símbolos matemáticos asociados a las operaciones, o relaciones, más usuales. Es en este artículo donde proponían el uso del símbolo «+» para representar la suma, para la que hasta ese momento también se usaba la palabra «plus» o la letra «p»; el símbolo «-» para la resta, en lugar de usar también «minus» o «m», y el símbolo «=» para la igualdad. De hecho, este último había sido propuesto más de un siglo atrás, en 1557, por el inglés Robert Recorde (1510-1558). Sin embargo, en la época de los Bernoulli era todavía muy frecuente indicar la igualdad mediante la expresión «aeq», abreviatura de aequalis, que en latín significa «igual».
La unificación de la notación matemática facilitó, por supuesto, la comunicación de las ideas matemáticas en general, y, en particular, la discusión de los problemas asociados al cálculo.
La naturaleza de los diferenciales
La explicación de Leibniz del uso de la cantidad infinitamente pequeña, dt, implicaba una contradicción importante, ya que a veces era tratada como distinta de cero, y otras como igual a cero. Sin embargo, esta no era la única paradoja que implicaba esta definición; según Leibniz, dt se entiende como un número positivo que es menor que cualquier otro número positivo.
Los paréntesisUno de los cambios más importantes que se produjo en la simbología matemática fue el caso de los paréntesis. La palabra «paréntesis» proviene del sustantivo griego parhéntesis, que deriva, a su vez, del verbo parentithemi, que significa «introducir* o «insertan». El primer símbolo en cumplir las funciones del paréntesis actual fue el «vínculo», una línea horizontal que se trazaba sobre los términos que se querían agrupar y que fue de uso bastante generalizado a lo largo de los siglos XVI y XVII. Utilizando esta terminología, por ejemplo, la raíz cuadrada de (A + B) se escribíadonde «r», es la inicial de radix —raíz en latín—. Esta expresión se fue deformando hasta adquirir la forma que tiene actualmente: √A+B. Quien propuso por primera vez el uso de unos paréntesis similares a los actuales fue el italiano Rafael Bombelli (1526-1572), que los representaba de la siguiente manera;
Francote Viéte (1573-1582) adoptó el símbolo de Bombelli, aunque lo escribía de este modo:
[ ]
Quien propuso escribir loa paréntesis de le manera actual fue, en el año 1629, el matemático francés Albert Girard (1595-1632).
Ahora bien, si dt es positivo, entonces dt/2 también es positivo; y como dt es «menor que cualquier otro número positivo» entonces
dt < dt/2
de donde se concluye que l < 1/2, lo cual es matemáticamente imposible Por tanto, la misma definición de infinitésimo es autocontradictoria, ya que conduce a una falsedad.Los hermanos Bernoulli presentaron una solución a estas contradicciones. Sin embargo, la diferente forma de ver las matemáticas produjo graves discrepancias entre ellos. Johann valoraba, por encima de todo, el desarrollo de nuevos métodos para resolver problemas. Siempre que el método demostrara, en la práctica, que daba respuestas correctas, la cuestión del rigor lógico le parecía de interés secundario.

Retrato da Jakob y Johann Bernoulli comentando uno de los múltiples problemas matemáticos que resolvieron juntos
Johann se dio cuenta de que si uno dejaba de lado las contradicciones inherentes al uso y a la definición de los diferenciales y se limitaba a aceptar «a ciegas» la validez de las reglas de Leibniz, estas siempre daban la solución correcta. En el problema de la piedra lanzada de forma vertical, por ejemplo, si simplemente se acepta, como propuso Leibniz, que las derivadas de t2 y t son 2 t y 1 respectivamente, la expresión que se obtiene es, en realidad, la velocidad de la piedra.

Retrato de Johann Bernoulli quien juntamente con su hermano Jakob contribuyó con importantes aportaciones e leí matemática».

Estatua de Leibniz obra del escultor alemán Ernst Hähnel (1811-1891), situada en el campus de la Universidad de Leipzig.
La primera explicación de Jakob fue tomar los diferenciales meramente como «ficciones útiles», es decir, como objetos que se introducen para dar una explicación a los cálculos pero que en realidad no existen. Poco después, sin embargo, se sintió insatisfecho con esta explicación y planteó, en su lugar, que las cantidades infinitamente pequeñas sí existían, pero que estaban sometidas a reglas de operación diferentes a las de las cantidades finitas.
En particular, debía entenderse que era posible que 2t + d t = 2t sin que dt fuese igual a cero.
Esta idea, según la cual las cantidades infinitas —ya sean infinitamente grandes o infinitamente pequeñas— están sujetas a reglas diferentes que las cantidades finitas, significó un salto muy significativo en el pensamiento matemático. Y, en efecto, el tiempo demostró que esta intuición de Bernoulli resultó ser totalmente correcta. De hecho, esta propiedad se cumple también en las series, otra rama estudiada por Jakob, en las cuales las sumas infinitas no siempre cumplen la regla de ser conmutativas, como sí sucede con las sumas finitas.
«A mi juicio, y según yo lo veo, la sola familiaridad con tu hermano, insigne varón, ya sería suficiente para retenerte allí ligado, pues mutuamente os ayudáis y estimuláis.»A pesar de que otros matemáticos de la época siguieron buscando respuestas alternativas, la propuesta de Jakob de que « el infinito sigue reglas diferentes» fue, en líneas generales, muy bien recibida por los especialistas del cálculo. Además, dos siglos más tarde, a finales del siglo XIX, el matemático ruso-alemán Georg Cantor (1845-1918) descubriría que las cantidades infinitamente grandes fallan asimismo en cumplir la regla aristotélica de que « el todo es siempre mayor que sus partes».
Carta de Leibniz a Johann Bernoulli (marzo de 1694).
La solución definitiva a las contradicciones provocadas por los diferenciales llegó durante la década de 1860, cuando el matemático alemán Karl Weierstrass (1815-1897) propuso la noción de «límite». La propuesta de Weierstrass consistió en entender dt no como una cantidad fija muy pequeña, sino como una cantidad variable que se va acercando a cero tanto como se quiera.
Karl WeierstrassKart Theodor Wilhelm Weierstrass (1815-1897) nació en Ostenfelde (Alemania) el 31 de octubre de 1815. Para satisfacer los deseos de su padre, en 1834 ingresó en la Universidad de Bonn, donde estudió leyes, finanzas y ciencias, con vistas a seguir una carrera en la administración pública. Durante sus estudios se sintió cada vez más atraído por las matemáticas, hasta que después de cuatro años en la universidad optó finalmente por estudiar la carrera científica. Weierstrass hizo contribuciones decisivas al desarrollo del cálculo; sin embargo, nunca fue sistemático en la publicación de sus ideas y descubrimientos, ya que las exponía oralmente en sus clases y conferencias, las cuales eran famosas por su claridad y profundidad. La mayoría fueron publicadas mucho después, a partir de los apuntes que tomaban sus alumnos o los asistentes a sus conferencias. En la década de 1890 sus discípulos y amigos encararon la tarea de reunir, editar y publicar en una sola obra todos los trabajos de Weierstrass. Estas Obras completas, donde se explicaban la mayoría de sus ideas, llegaron a abarcar hasta siete volúmenes, el primero de los cuales fue publicado en 1894, y el último, treinta años después de su muerte, en 1927. Karl Weierstrass falleció en Berlín el 19 de febrero de 1897.
De hecho, Newton había estado cerca de esa noción; en un artículo publicado en 1723, titulado « Tratado de la cuadratura de las curvas», declaraba que abandonaba la idea de los infinitésimos a favor de la de trabajar con «cantidades evanescentes». Sin embargo, no logró darle a este concepto una forma suficientemente precisa.
Ahora bien, los hermanos Bernoulli no se limitaron a discutir los problemas vinculados a la fundamentación de los métodos del cálculo, sino que fueron pioneros en aplicar esos métodos a la resolución de muchos problemas, tanto geométricos como físicos.
Sin embargo, debido a las diferencias de estilo —tumultuoso y arriesgado el de Johann, y reflexivo y prudente el de Jakob—, los dos hermanos entraron en discusiones que progresivamente les fueron separando. También contribuyó a esta separación la diferente percepción que cada uno tenía de su relación mutua, en efecto, según cuenta Johann en su autobiografía, él siempre se vio a sí mismo como un matemático autodidacta, que simplemente colaboraba con su hermano mayor. Por el contrario, Jakob percibía a Johann como un alumno a quien estaba formando.
El distanciamiento se fue agudizando cada vez más a causa de diversas discusiones, cada vez más duras y frecuentes, acerca de la prioridad de ciertos descubrimientos publicados en conjunto. Con el correr de los años, los hermanos Bernoulli dejaron de ser colaboradores para transformarse en rivales, e incluso en enemigos. Durante este período, y en aguerrida competencia con su hermano, Jakob logró resolver el problema de la isócrona y otros similares a este.
Finalmente, en 1697 cortaron toda relación; ese mismo año, Johann, con su esposa y su hijo primogénito recién nacido, abaldonó Basilea y se instaló en Groninga (Países Bajos), donde aceptó una cátedra universitaria de matemáticas.
Nunca más volvió a haber ningún tipo de contacto directo entre los hermanos, jamás intercambiaron correspondencia de manera directa, y ni mucho menos volvieron a verse. Sin embargo, cada uno de ellos siguió atacando al otro, endilgándole diversos plagios, pero siempre a través de artículos publicados, o en cartas enviadas a terceras, como, por ejemplo, a Leibniz. No fue hasta años después de la muerte de su hermano mayor que Johann volvió a su dudad natal.
Capítulo 4
La braquistócrona y otros problemas
Después del primer artículo sobre el cálculo diferencial, Leibniz siguió desarrollando esta nueva rama de las matemáticas para resolver el problema del área, e introdujo el cálculo integral. Muchos matemáticos de la época también empezaron a utilizarlo para resolver antiguas y nuevas cuestiones, como las ecuaciones diferenciales, una herramienta matemática que Jakob Bernoulli empleó para solucionar el problema de la «braquistócrona» y crear, al mismo tiempo, el cálculo de variaciones.En 1686, dos años después de la publicación del primer artículo sobre el cálculo diferencial en Acta Eruditorum, Gottfried Wilhelm Leibniz sacó a la luz su segundo trabajo, en esa misma revista, bajo el título « De geometría recondite et analysi indivisibillum atque infinitorum » (« Sobre una geometría oculta y el análisis de los indivisibles e infinitos »). En él introdujo un nuevo concepto para resolver el llamado «problema del área»: la integral. De esta manera, el autor continuó desarrollando, juntamente con otros matemáticos (como Jakob Bernoulli), esta nueva rama de las matemáticas.
En aquella época ya se conocía la forma de hallar él área de algunas figuras geométricas concretas, como et triángulo, el cuadrado o el rectángulo, y también de polígonos más complejos formados a partir de la composición de estas figuras básicas. Sin embargo, en el caso de figuras formadas por líneas curvas, solo se conocía la fórmula para encontrar el área de algunas muy específicas; por ejemplo, del círculo, de la elipse y de muy pocas más. El objetivo del problema del área, por tanto, era proveer un método que permitiera calcular el área de una figura curva cualquiera.
Para empezar con el razonamiento que siguió Leibniz para solucionar este problema, puede utilizarse el ejemplo de la curva del movimiento de la piedra lanzada verticalmente comentado con anterioridad, cuya altura en función del tiempo se expresa como h(t) = -5t2 + 30t y se representa de forma gráfica como la curva de la figura 1.

En la figura puede verse la curva del movimiento de la piedra

Aproximación del área de la curva obtenida a partir de rectángulos de área conocida
La curva de KochEl cálculo diferencial abunda en ejemplos de curvas o superficies cuyas propiedades son totalmente ajenas a la intuición.Uno de los casos más curiosos es el proporcionado por la curva de Koch, también conocida como «curva copo de nieve», que tiene la extraña propiedad de que, a pesar de encerrar un área finita, la longitud de su perímetro es infinita. Para construir esta curva se comienza trazando un triángulo equilátero cualquiera (figura a), y en el tercio central de cada uno da sus lados se construye otro triángulo equilátero más pequeño (figura b). Después se vuelve a trazar otro sobre et tercio central de cada segmento (figura c), y este proceso debe repetirse de forma sucesiva sobre los nuevos segmentos que van apareciendo. La curva de Koch es el borde de la figura que se obtiene al cabo de infinitas iteraciones.
El área de un rectángulo se obtiene multiplicando su base por su altura. La base de cada rectángulo tiene el valor del incremento de tiempo que la define, y la altura corresponde al valor de la curva en el punto de corte con el lado del rectángulo.
La suma de las áreas de esos rectángulos, sin embargo, no es más que una aproximación del área real bajo la curva. Como se puede observar en la figura 2, los rectángulos no llegan a cubrir completamente la región y dejan espacios en blanco, por lo que estos trozos no se suman a los rectángulos, pero sí forman parte del área total.
Cuanto más estrechos sean los rectángulos, menor será la superficie que quede sin cubrir, pero, dado que tienen un borde superior rectilíneo, nunca podrán ser suficientemente delgados para que lleguen a llenar toda el área. Podrían, por tanto, llegar a conseguirse aproximaciones muy buenas, pero nunca el valor exacto.
En apariencia, la única forma de cubrir la zona completamente sería reducir el grosor de los rectángulos hasta transformarlos en segmentos cuya anchura sea igual a cero. Pero esta solución implica otro grave problema: si la anchura de un segmento es cero, también lo es su área. Por tanto, la región a calcular queda cubierta con objetos de área cero, y la suma total es 0 + 0 +0 + 0 + 0 + ... = 0. Es decir, se llega a la falsa conclusión de que el área de la región entre la curva y el eje horizontal es 0.
Esta situación se convierte en un embrollo, ya que si se usan rectángulos con una base distinta de cero se dejan intersticios sin cubrir, pero si se reduce la base de los rectángulos hasta convertirlos en segmentos, aunque el área queda cubierta por completo, su valor es 0. Leibniz usó el cálculo diferencial e integral para encontrar una solución, también, a este problema.
Una solución integral
Para calcular el área de una curva es necesario que esta quede cubierta con rectángulos cuya anchura sea —casi, pero no exactamente—cero. La solución a este dilema consiste en utilizar rectángulos cuya base sea un infinitésimo, es decir, una base infinitamente pequeña, de modo que permita llenar los intersticios y que al mismo tiempo su área no sea nula.
La anchura de la base de cada uno de estos rectángulos mide dt, mientras que su altura está dada por h(t). Por tanto, el área de cada rectángulo se calcula como h(t) × d t. En consecuencia, el área de la región bajo la curva es la suma de todos los rectángulos de área h(t) × d t. Esta operación se conoce hoy como una integral y, conservando la notación que inventó Leibniz, se expresa de la siguiente manera:


Jakob Bernoulli usó públicamente esta palabra por primera vez en 1696, en el artículo en el que resolvió él llamado «problema de la braquistócrona». Tiempo después, cuando la relación con su hermano Johann se había deteriorado por completo, este lo acusó de haberle robado la idea de usar la palabra «integral» para referirse a esta parte del cálculo. Lo reivindicó, por ejemplo, en una carta que le escribió a Leibniz en 1706. Sin embargo, los documentos conservados no parecen darle la razón a Johann, y los historiadores coinciden en atribuir a Jakob la creación del nombre «cálculo Integral».
El método práctico
Se ha demostrado de manera teórica que los rectángulos de base infinitesimal son una herramienta para calcular el área delimitada por una línea curva. Ahora bien, ¿cómo se traduce esta idea, en la práctica, a un cálculo concreto del área de una región? Para ello, es necesario recuperar el concepto de derivada, pero, en lugar de calcular la derivada de una función, tiene que realizarse el procedimiento inverso. Es decir, en el caso de la piedra, por ejemplo, debe hallarse una función H(t), que, al ser derivada, su resultado sea h(t). Por eso a H(t) se la llama la «antiderivada» de h(t).





La igualdad

dH(t) = h(t) dt
de modo que, junto con la manera presentada anteriormente de calcular las áreas, se obtiene la siguiente relación:

Imaginemos, por ejemplo, que estamos escalando una montaña: en concreto, que nos encontramos a 100 metros de altura y que vamos subiendo lentamente, con incrementos muy pequeños, hasta una altura de 300 metros. De este modo, el total de la suma de todos estos pequeños incrementos será de 200 metros. De manera similar, si se remonta la curva H(t) con pequeños incrementos, la suma de todos los ascensos será H(6) - H(0), es decir, la diferencia de la altura de H(t) entre t = 6 y t = 0 (figura 3). En consecuencia:




Esta deducción puede extrapolarse a un caso general de una curva generada por una función cualquiera h(t), cuya área entre t = a y t = b se calcula de esta manera:


Los sólidos de revoluciónDe la misma manera que se usan las integrales para calcular el área bajo una curva, se pueden usar para obtener el volumen da un sólido de revolución, que es cualquier cuerpo que se obtenga al hacer girar una superficie alrededor de un cierto eje recto. Un ejemplo es la esfera, que es el resultado de hacer girar un semicírculo alrededor de su diámetro y otroes el cono, que se consigue al hacer girar un triángulo alrededor de uno de sus lados. Si un sólido de revolución está definido por la superficie comprendida entre una curva h(t) y el eje horizontal, como se muestra en la figura, el volumen de este cuerpo se calcula como:
Aplicando esta manera de calcular volúmenes se pueden deducir las expresiones para determinar el volumen de varias figuras geométricas, como el de une esfera o un cono.
Actualmente, la aplicación práctica del método para resolver el problema del área—basada en el concepto de antiderivada— sigue siendo válido. Sin embargo, la justificación de por qué este funciona sí ha sido modificada con el paso del tiempo. Leibniz justificaba el método basándose en la existencia de los infinitésimos, pero durante el siglo XIX el cálculo abandonó la idea de los infinitésimos y los reemplazó por otra más rigurosa: los límites. Estos reemplazan las cantidades que son infinitamente grandes o infinitamente pequeñas por cantidades variables que van aumentando 0 disminuyendo su magnitud, es decir, cantidades que, respectivamente, «tienden a infinito» o «tienden a cero».
En este contexto, en la década de 1850, el matemático alemán Bernhard Riemann (1826-1866) redefinió el concepto de integral. Riemann dejó de lado la idea de rectángulos de base infinitesimal y la reemplazó por un proceso en el que el valor del área se va aproximando sucesivamente por rectángulos cada vez más delgados; de modo que el valor de la integral es el número hacia el cual ese proceso se va acercando cada vez más.
La invención del cálculo de variaciones
Jakob Bernoulli se interesó mucho por las cuestiones asociadas a la fundación del Cálculo, uno de los muchos aspectos de esta rama de las matemáticas estudiados por el científico suizo. Junto con su hermano Johann, fue pionero en la aplicación del cálculo en la resolución de problemas de física y de geometría.
El primero en aplicar el cálculo diferencial a la descripción de fenómenos físicos fue Isaac Newton, quien, de hecho, creó el cálculo —a la vez que Leibniz pero por separado— precisamente con ese propósito, motivo por el cual en la actualidad se le considera el padre de la física moderna. Después, los hermanos Bernoulli ampliaron las aplicaciones del cálculo a la física, diversificando los problemas tratados y los métodos para resolverlos. Es por eso por lo que Jakob Bernoulli es considerado el creador del cálculo de variaciones.
Para explicar qué es el cálculo de variaciones se puede plantear la siguiente pregunta; ¿por qué las pompas de jabón son esféricas? Estas se forman debido a la existencia de una fuerza, llamada tensión superficial, del agua jabonosa que las envuelve, cuya función es mantener la cohesión de ese líquido alrededor del aire que contienen. Por otro lado, las leyes de la física indican que las burbujas adoptarán aquella forma que implique un menor consumo de energía; por tanto, que haga que esa tensión sea la mínima posible, de modo que las burbujas adquirirán la forma que encierre un volumen fijo de aire con un mínimo de área superficial, disminuyendo así la tensión. La pregunta matemática suscitada es cuál es la superficie que encierra un volumen dado, con un mínimo de área.
«Bernoulli promovió el avance del álgebra, el cálculo infinitesimal, él cálculo de variaciones, la mecánica, la teoría de series y la teoría de probabilidades. Era obstinado y estaba firmemente convencido de sus propias capacidades.»Por ejemplo, supongamos que el volumen de aire que contiene una burbuja es de 10 cm3; si este quedara encerrado por un cubo, sus aristas deberían ser de 2,15 cm de longitud, y en consecuencia su área total sería aproximadamente de 27,86 cm2. Por otro lado, si se envolviera con una esfera, su radio sería de 1,34 cm, y su área superficial, de unos 22,47 cm2. Por tanto, a igual volumen, la esfera tiene menor área que el cubo. De hecho, puede demostrarse que la esfera tiene una superficie menor que cualquier otra figura que encierre el mismo volumen, razón por la cual las pompas de jabón tienen forma esférica.
Joseph Ehrenfried Hoffmann, historiador de las matemáticas.
Este problema se puede extrapolar a una versión bidimensional, cuyo objetivo es determinar la curva de menor longitud que encierra un área dada. La solución, construyendo un paralelismo con el caso anterior, es que se trata de la circunferencia (figura 4) (en matemáticas, una curva es cualquier tipo de trazo aun cuando contenga líneas rectas, por lo que se ha considerado el cuadrado y el rectángulo para el ejemplo).

Diferentes curvas que encierran un área de 10 cm2
Los tres problemas anteriores—hallar la menor superficie que contenga un volumen dado, la curva de menor longitud que englobe un área concreta y la curva de longitud específica que encierre la mayor área— pertenecen a la rama de las matemáticas conocida como el cálculo de variaciones. Más en concreto, este aplica los métodos del cálculo diferencial para hallar las curvas, o superficies, que maximicen o minimicen una determinada magnitud. Su creador fue Jakob Bernoulli, quien lo inició con el fin de hallar la solución del problema de la braquistócrona.
El intervalo de tiempo más corto
El problema de la braquistócrona plantea la forma que debe tener una rampa sin rozamiento para que el tiempo de caída de una pelota desde un punto A hasta otro punto B sea el mínimo posible. Precisamente, la palabra «braquistócrona» proviene de combinar las palabras griegas brachistos, que significa «el más corto» y chronos, «intervalo de tiempo».
De forma intuitiva se puede pensar que la respuesta es que la rampa debería ser recta (figura 5 izquierda), ya que así tendría la menor longitud posible.
Esa respuesta sería la correcta si la pelota mantuviera la misma velocidad a lo largo de todo el recorrido, ya que en ese caso el tiempo transcurrido es directamente proporcional a la distancia recorrida. Sin embargo, cuando una pelota cae, su velocidad aumenta con el tiempo, lo que implica que la rampa, para ser de forma ideal, debe tener una caída empinada al comienzo (figura 5 derecha) y así ganar velocidad rápidamente mi los primeros segundos del movimiento.

Tres rampas posibles por las que una pelota puede caer entre dos puntos A y B.
Ahora bien, en 1696 Johann Bernoulli intuyó que los métodos del cálculo podrían dar una respuesta al problema de la braquistócrona, y así lo planteó en una breve nota publicada en Acta Eruditorum en junio de ese mismo año. Dos meses más tarde, en un artículo publicado en la misma revista, bajo el título de «Solutio problematis fratemi» (« Solución a un problema de mi hermano»), Jakob dio, finalmente, la respuesta correcta. Este trabajo de Jakob Bernoulli fue el primero en la historia en hablar del cálculo de variaciones, además de ser en el que se usa por primera vez la palabra «integral».
La manera como Jakob Bernoulli justificaba su método para resolver el problema se basaba en la aplicación de las ecuaciones diferenciales, tema en el que también fue pionero y experto. Una ecuación diferencial es una igualdad matemática cuya incógnita no representa un número, sino una función, y en la cual se relaciona esta con su derivada. Por ejemplo, si h(t) representa una función desconocida, la ecuación diferencial que la define podría ser la siguiente:



Ahora bien, el método de Jakob para resolver el problema de la braquistócrona consiste en suponer que la forma de la rampa viene dada por una curva que corresponde a una función h(t) desconocida, así que plantea una ecuación diferencial que, al ser resuelta, da la solución del problema.
Los cálculos que prosiguen al planteamiento del problema son demasiado complejos y farragosos para ser expuestos aquí, pero la respuesta que se obtiene es que la rampa debe tener la forma de un arco de cicloide, que es la curva que describe un punto cualquiera del borde de una rueda cuando esta va girando (figura 6).

A la izquierda, la determinación gráfica de un «arco de cicloide; derecha, un segmento de arco de cicloide»
Ahora bien, el problema de la braquistócrona fue solamente el primero de los muchos que se resolvieron gracias a la invención del cálculo de variaciones, rama de las matemáticas que se fue convirtiendo en una de las más fructíferas a la hora de aplicar el cálculo diferencial para la resolución de problemas físicos y geométricos. Entre los que continuaron desarrollando el cálculo de variaciones, así como otras aplicaciones de las ecuaciones diferenciales, se encuentran algunos de los sobrinos y sobrinos nietos de Jakob Bernoulli.
La prolífica saga de los Bernoulli
La familia Bernoulli es famosa por la cantidad de científicos que entregó al mundo entre mediados del siglo XVII y mediados del XVIII; excepto Johann, todos fueron sobrinos o sobrinos nietos de Jakob.
De entre todos los familiares se puede considerar a Nicolaus I Bernoulli (1687-1759) como el heredero de Jakob, ya que fue él quien editó y publicó los escritos póstumos de su tío, y quien preparó la edición definitiva de sus obras completas. Se pueden encontrar ciertos paralelismos entre la vida de ambos y entre sus carreras profesionales.
Nicolaus I era el único que no era descendiente directo de Johann. Su padre, que también se llamaba Nicolaus y era hermano de Jakob y Johann, no tenía relación con las ciencias, sino que se dedicaba a la política y era pintor aficionado.

Tres años después, en 1712, viajó por los Países Bajos, Inglaterra y Francia, donde conoció a muchos físicos y matemáticos; entre ellos, a Pierre Rémond de Montmort (1678-1719), un muy reconocido especialista en la teoría de probabilidades, con quien Nicolaus colaboró durante muchos años. Coincidiendo con los intereses de su tío y profesor, también mantuvo una intensa correspondencia con varios de los científicos más destacados del momento acerca de las aplicaciones del cálculo. Además, encontró argumentos muy convincentes a favor de Leibniz en su polémica con Newton, basados en el hallazgo de ciertos errores que aparecían en los escritos de Newton, pero que Leibniz no había cometido.
Cuatro años después de su viaje, en 1716, Nicolaus I se hizo cargo, en la Universidad de Padua (Italia), de la que antes había sido la cátedra de matemáticas de Galileo. Más tarde, en 1722, regresó a la Universidad de Basilea para enseñar cálculo, geometría y lógica, donde, al cabo de un tiempo, fue elegido rector de la institución. Falleció en la ciudad suiza más de tres décadas después, el 29 de noviembre de 1759.
«Como veo que tu sobrino [Nicolaus I] es un joven inteligente y fértil, te envío otro apunte extraído de Newton, a fin de que, si os parece, pueda ejercitar provechosamente su ingenio.»Nicolaus I y Jakob no fueron los únicos de la familia Bernoulli que se dedicaron a investigar la probabilidad a la resolución de problemas legales, también lo hizo Nicolaus II Bernoulli (1695- 1726), quien fue el mayor de los hijos varones de Johann y, según se dice, también su favorito. Nicolaus II nació en Basilea el 6 de febrero de 1695. A la edad de trece años ya ingresó a la Universidad de Basilea para estudiar matemáticas y leyes y, en 1713, después de graduarse, comenzó a trabajar con su padre. Juntos se dedicaron a la resolución de problemas relacionados con la geometría y con las aplicaciones del cálculo, e intervinieron en la polémica entre Newton y Leibniz, planteando argumentos a favor del alemán.
Carta de Leibniz a Johann Bernoulli (junio 1708).
Debido a que Nicolaus II era considerado una joven promesa con un futuro muy brillante, pronto se le ofreció hacerse cargo de un puesto muy importante en la Academia de Ciencias de San Petersburgo. Así que, a finales del año 1725, se trasladó a la ciudad rusa; pero, lamentablemente, falleció apenas ocho meses después de su llegada, el 31 de julio de 1726, con treinta y un años de edad.
El segundo, y tal vez el más famoso de los hijos de Johann, fue Daniel Bernoulli (1700-1782), quien nació en Groninga (Países Bajos) el 8 de febrero de 1700, adonde se habían mudado Johann y su familia debido a las peleas con su hermano.

Retrato de Daniel Bernoulli, segundo y más famoso de los hijos de Johann y creador del llamado «principio de Bernoulli»

Retrato de Nicolas II Bernoulli, el mayor de los hijos de Johann

Edificio de la Academia de Ciencias de San Petersburgo, en la que varios Bernoulli ocuparon importantes puestos.
Debido a estos trabajos, Daniel fue ganándose la fama de gran matemático y físico, por lo que, a la vez que a su hermano mayor Nicolaus II, a finales de 1725 se le ofreció una importante plaza en la Academia de Ciencias de San Petersburgo. Sin embargo, Daniel quedó muy afectado por la muerte de su hermano mayor y cayó en una profunda tristeza; tanto es así que le escribió a su padre manifestándole su deseo de regresar a Basilea.
Johann, quien se supone que también estaría muy conmovido por la pérdida de su hijo mayor, lo alentó a no abandonar el puesto tan importante que tenía en Rusia Además, como consideró que la compañía de un compatriota podría ayudarlo a superar su pena, recomendó que la Academia de San Petersburgo contratara aun «joven discípulo, muy prometedor» que en esos momentos trabajaba con él. Se trataba del que pocos años después se convertiría en el matemático más importante de su tiempo, Leonhard Euler.
Entre 1727 y 1733 Euler y Daniel Bernoulli trabajaron en estrecha colaboración en el que fue uno de los períodos de mayor productividad de este último en matemáticas y física. En esos años Daniel formuló el que hoy se conoce como el «principio de Bernoulli», un principio de aerodinámica que es la base teórica del diseño de las alas de los aviones.
Hermanos y matemáticosAparte de la familia Bernoulli, hay muy pocos casos de hermanos que hayan sido, al mismo tiempo, matemáticos de primer nivel. Entre los ejemplos más notables se encuentran los hermanos Banu Musa, «hijos de Moisés»: Jafar Muhammad ibn Musa Ibn Shakir, Ahmad ibn Musa ibn Shakir y Al-Hasan Ibn Musa ibn Shakir, quienes vivieron en Bagdad entre los años 600 y 870. Normalmente escribían sus trabajos de forma conjunta, por lo que es difícil distinguir cuál fue el aporte individual de cada uno de ellos. Se sabe, sin embargo, que Jafar Muhammad se dedicó sobre todo a la astronomía y, como su hermano Al-Hasan, también a la geometría, mientras que Ahmad se especializó en física matemática. Los hermanos Banu Musa se contaron entre los primeros matemáticos de su tiempo que no se limitaron a estudiar los textos de la Antigüedad clásica, sino que fueron más allá y propusieron nuevos problemas y métodos de resolución.De hecho, contribuyeron de manera decisiva a iniciar el notable desarrollo que vivió la matemática árabe entre los siglos IX y XII.
El llamado Libro de mecanismos ingeniosos fue publicado en el año 850 por los tres hermanos Banu Musa
En 1734, Daniel finalmente regresó a Basilea. Ese mismo año participó en el Gran Premio de la Academia de Ciencias de París, que ganó gracias a un trabajo sobre astronomía, en el que aplicaba algunas ideas que había desarrollado en San Petersburgo. Pero Johann, que también había aspirado a ese premio, se molestó tanto por haber sido vencido por su hijo que lo echó de su casa y cortó toda relación con él.
«No existe una filosofía que no se funde en el conocimiento de los fenómenos, pero para obtener algún beneficio de este conocimiento es absolutamente necesario ser un matemático.»Dolido por la reacción de su padre, Daniel abandonó el estudio de las matemáticas y la física; pero no abandonó la ciencia, sino que se volcó en la astronomía y la botánica, temas que abordó también con tanta maestría que en los años sucesivos ganó otras diez veces el Gran Premio de la Academia de París.
Daniel Bernoulli.
A lo largo de su vida, Daniel Bernoulli recibió muchos honores; entre ellos, fue elegido miembro de las academias de ciencias de Bolonia, Berlín, París, Londres, Turín y Zúrich. Falleció en Basilea el 17 de marzo de 1782.
El tercer hijo varón de Johann fue Johann II Bernoulli (1710- 1790), quien nadó en Basilea el 28 de mayo de 1710. A la edad de diecisiete años, Johann II se graduó en leyes por la Universidad de Basilea, aunque durante toda su vida también se dedicó a las matemáticas, bajo la enseñanza de su padre. Sus principales estudios se basaron en investigar lo descripción matemática de la propagación de la luz y del calor.
Dos de los hijos varones de Johann II, Johann III Bernoulli (1744-1807) y Jakob II Bernoulli (1759-1789), también fueron científicos. Como varios miembros de su familia habían hecho anteriormente, ambos entraron en la Universidad de Basilea para estudiar leyes, y no fue hasta más tarde que se dedicaron al estudio de las ciencias y las matemáticas. Johann III fue un niño prodigio que desde muy temprana edad dio muestras de un gran talento. Tanto es así que a la edad de diecinueve años ya era miembro de la Academia de Ciencias de Berlín. En sus estudios científicos se volcó en las matemáticas, más específicamente en la astronomía matemática y la teoría de probabilidades.
Además, heredó todas las cartas que Johann, Jakob y todos los demás científicos de la familia habían guardado a lo largo de los años. Se trataba de más de 2800 cartas que los Bernoulli habían recibido de Leibniz, Huygens, Euler y muchísimos otros matemáticos y físicos notables de la época. Johann III donó esta colección a la Academia de Ciencias de Estocolmo, de la que era miembro. Finalmente, el tercero de los Johann falleció en Berlín el 13 de julio de 1807.
Jakob II, por su parte, se dedicó especialmente a la teoría de la elasticidad, la hidrostática y la balística. Como antes a sus tíos Daniel y Nicolaus II, se le ofreció una plaza en la Academia de Ciencias de San Petersburgo, ciudad donde se casó con una nieta de Euler. Sin embargo, su futuro quedó truncado porque murió trágicamente, ahogado mientras nadaba en el río Neva, a los veintinueve años de edad.
Capitulo 5
La conjetura y la espiral milagrosa
Jakob Bernoulli tardó muchos años en madurar la que sería su obra máxima, Ars conjectandi (El arte de la conjetura), trabajo que se publicó póstumamente, en 1713. El libro contiene muchas ideas originales e innovadoras para la época, como, por ejemplo, la resolución del problema que dio origen a los llamados «números de Bernoulli», y el estudio de la espiral logarítmica, una curva cuyas propiedades maravillaron tanto a Jakob que incluso llegó a llamarla la «espiral milagrosa».La mayoría de los matemáticos, incluso aquellos de primerísimo nivel, suelen escribir su obra más importante en los primeros años de su carrera científica, ya que es en ese período cuando alcanzan la plenitud de su talento creativo. Sin embargo, existen algunas excepciones notables: un ejemplo reciente es el matemático británico Andrew Wiles, nacido en 1953, quien entró en la historia en 1995, con cuarenta y dos años de edad, al demostrar el último teorema de Fermat, un famoso problema que había desafiado a todos los matemáticos del mundo durante más de 360 años. Otra ilustre excepción es Jakob Bernoulli, quien, fiel a su estilo de pensamiento lento y profundo, comenzó a escribir la versión definitiva de su obra máxima hacia 1703, con casi cincuenta años.
El libro se titula Ars conjectandi(El arte de la conjetura), ya que Bernoulli definió este concepto como la «habilidad de medir, del modo más preciso posible, la probabilidad de un evento, con el objetivo de que este conocimiento sirva de guía al momento de tomar una decisión», La obra consiste fundamentalmente en una investigación sobre la teoría de probabilidades y es considerada un trabajo extraordinario y fundacional del cálculo de probabilidades.
Ars conjectandi está dividido en cuatro partes, cada una de las cuales está dedicada a desarrollar un aspecto diferente de la probabilidad. En la definición que da el autor del título de la obra en el segundo capítulo de la cuarta parte, se manifiestan los dos aspectos de la teoría de probabilidades que más le interesaban: la búsqueda de resultados cuantitativos concretos y su importancia en la toma de decisiones de forma objetiva. Estos dos aspectos (que Jakob Bernoulli introdujo en el estudio de las probabilidades hoy en día son esenciales en cualquier investigación en ese campo.
El último teorema de FermatPierre de Fermat (1501-1665) fue un abogado francés que solía dedicar su tiempo libre a las matemáticas, y en esos momentos de ocio logró hacer más avances y descubrimientos que muchos matemáticos profesionales. Fermat fue uno de los precursores del cálculo, ya que desarrolló un método para calcular máximos y mínimos, aplicable a un tipo específico de fórmulas. También hizo aportaciones decisivas a la aritmética, el cálculo de probabilidades y la geometría analítica. En 1621, Fermat conjeturó que es imposible escribir un cubo como suma de dos cubos, una cuarta potencia como suma de dos cuartas potencias, y así sucesivamente con cualquier potencia mayor que 2 (zn = xn + yn) no tiene soluciones enteras positivas si n>2). Fermat afirmó que tenía una demostración maravillosa de ese hecho; sin embargo, sí es que realmente la poseía, nunca la reveló. Esta conjetura llegó a conocerse como el «último teorema de Fermat» y se convirtió, con el correr de los siglos, en uno de los problemas no resueltos más famosos de las matemáticas.Finalmente, en 1995, el matemático británico Andrew Wiles consiguió demostrarlo en el que fue el primero de sus trabajos de fama internacional.
La distribución de Bernoulli
En la primera parte de la obra, el matemático suizo expuso el desarrollo de la distribución de Bernoulli, que es una distribución de probabilidad discreta. Más concretamente, es la función que define la probabilidad de que un evento suceda o no al realizar repetidas veces un experimento aleatorio con sucesos independientes, lo que significa que el resultado de cada repetición no puede predecirse de antemano y, además, no depende de los obtenidos anteriormente. A cada una de las repeticiones que constituyen una distribución de Bernoulli se la llama un «ensayo de Bernoulli».

Portada da Ars conjectandi, la gran obra de Bernoulli, en la que recopilaba la mayoría de sus estudios y descubrimientos
Otro experimento aleatorio consistiría en extraer una carta de un mazo mezclado previamente. Sin embargo, este puede ser dependiente o independiente en función del procedimiento que se siga para llevarse a cabo. Es decir, si al extraer una carta de un mazo, ésta no es devuelta a la baraja sino que se descarta, el experimento es dependiente, ya que si en una extracción se obtiene, por ejemplo, el as de espadas, esta carta ya nunca volverá a salir. En otras palabras, obtener el as de espadas o cualquier otra carta condiciona lo que puede suceder en todas las extracciones siguientes. Por otro lado, si después de cada extracción la carta obtenida es restituida al mazo, y este es mezclado antes de realizar la extracción siguiente, entonces sí se cumple que el resultado de cada ensayo es independiente de los demás.
En cualquier experimento, antes de comenzar las repeticiones, se elige un resultado específico al que se le llama «éxito». Para determinar la función de probabilidad solo es necesario saber si ese éxito se produce o no. Por ejemplo, si el experimento consiste en tirar un dado, el éxito podría ser que salga un uno; al lanzar una moneda, que salga cara, y en el de elegir un naipe, obtener una carta de copas.
«Mi hermano prepara desde hace muchos años una obra, que titulará. El arte de la conjetura, donde trata matemáticamente no solo toda clase de juegos, sino que también reducirá al cálculo todas probabilidades de toda clase de situaciones de la vida.»La pregunta que Jakob Bernoulli plantea y resuelve en el Ars conjectandi es la siguiente: ¿cuál es la probabilidad de que al realizar n veces un experimento aleatorio e independiente no suceda ningún éxito? ¿Y de que suceda solo uno? ¿Y cualquier otra cantidad? En la primera parte de Ars conjectandi Bernoulli demuestra que la probabilidad de que no suceda ningún éxito es iguala
Johann Bernoulli, carta a Leibniz (26 de febrero de 1697).
(1 - p)n
donde n es la cantidad de realizaciones del experimento y p es la probabilidad de obtener un éxito en una repetición cualquiera. En el caso de lanzar un dado, si se considera éxito el hecho de que salga un 1, p es 1/6, ya que el uno es un único resultado entre seis posibles. En cambio, si el éxito es que salga cara en una moneda, entonces p = 1/2. Si es extraer una carta de copas de un mazo, p = 1/4, porque una de cada cuatro cartas es de copas.Al calcular la probabilidad de que sucedan uno o más éxitos, la fórmula obtenida por Jakob se ajusta a la siguiente regularidad:


La hipótesis de independenciaPara que la fórmula de la distribución de Bernoulli pueda aplicarse, los resultados de las sucesivas repeticiones del experimento aleatorio deben ser independientes entre sí. Si esta hipótesis no se cumple, utilizar esta distribución puede conducir a deducciones erróneas. Por ejemplo, se considera la situación en que dos amigos, Alicia y Bruno, están conversando en un café, y Bruno afirma que es prácticamente imposible que al salir a la calle las primeras 50 personas que vean sean todas hombres, es decir, que no se crucen con ninguna mujer. El razonamiento de Bruno es un experimento aleatorio, en el que se llama «éxito» al hecho de que al ver a una persona al azar en la calle sea un hombre. En principio, la probabilidad de que esto ocurra es un medio, p = l/2. Entonces, según la fórmula de Bernoulli, la probabilidad de 50 éxitos consecutivos es igual a(1/2)50 = 9×10-16
es decir, una probabilidad menor a mil billonésimos y que en la práctica puede considerarse igual a cero. Para poner a prueba su deducción de que es virtualmente imposible cruzarse sucesivamente con 50 hombres, Bruno sale a la calle ¡y se encuentra con un desfile militar donde ve, consecutivamente, a unos 200 hombres! El razonamiento de Bruno falla porque las personas que transitan por la calle no lo hacen en forma independiente sino que tienden a agruparse en familias, en conjuntos de niños que van a la misma escuela, en grupos de amigos, etcétera. El desfile militar constituye un caso extremo, aunque posible, de fallo de la hipótesis de independencia.
Por ejemplo, si se lanza un dado 8 veces, n = 8, la probabilidad de obtener exactamente 4 veces un uno es igual a

Es decir, la probabilidad de obtener exactamente 4 unos en 8 tiradas de un dado es de, aproximadamente, el 2,6%. Para saber cuál es la probabilidad de obtener de 4 a 8 unos, se deben sumar las probabilidades que corresponden a 4 unos, 5 unos, 6 unos, 7 unos y 8 unos, lo que da un resultado del 3,07% aproximadamente.
En consecuencia, la probabilidad de obtener 3 unos o menos es casi del 97%; en otras palabras, si se repite una y otra vez la acción de arrojar un dado 8 veces, aproximadamente el 97% de las ocasiones se obtendrán 3 unos o menos. En la tabla siguiente se muestran las diferentes probabilidades de obtener un número concreto de unos, y se puede apreciar que las probabilidades de que salgan 0 y 3 suman casi el 97%, así como que lo más probable es que solo salga un uno.

Para responder esta pregunta se puede realizar una analogía con una enorme bolsa que contiene un millón de bolas rojas y una sola bola blanca: si se saca una bola al azar, el resultado esperado es que sea roja. Si se repite esta operación varias veces, siempre devolviendo la bola a la bolsa, muy probablemente una abrumadora mayoría de las veces la bola seguirá siendo roja, no porque estas se pongan de acuerdo en postergar a la bola blanca, sino, simplemente, porque son muchas más.
Del mismo modo, si se consideran todas las secuencias de resultados que pueden obtenerse al arrojar 8 dados (desde 1-1-1- l-1-1-1-1 hasta 6-6-6-6-6-6-6-6), lo que da un total de 1679616 secuencias posibles, hay solamente una en la que los ocho resultados son un uno; hay 40 en la que siete de los resultados son unos
2-1-1-1-1-1-1-1
3-1-1-1-1-1-1-1,
4-1-1-1-1-1-1-1,
5-1-1-1-1-1-1-1,
6-1-1-1-1-1-1-1,
1-2-1-1-1-1-1-1,… etcétera
mientras que hay 390626 secuencias en las que no hay ningún uno. En la tabla siguiente se indica cuántas secuencias de cada tipo existen.
Tomar decisiones gracias a la probabilidad
Según Jakob Bernoulli, el hecho de conocer la probabilidad de un evento es útil para tomar decisiones racionales. Aunque la mayoría de la gente no hace estudios de probabilidad para tomar las decisiones de su día a día, sí se hacen estudios en el mundo empresarial.
Un ejemplo para explicar la utilidad de un estudio de las probabilidades en el comercio es el caso del dueño de una tienda en la que se venden, entre otras cosas, relojes de precio elevado. Un día, uno de sus proveedores habituales le ofrece un nuevo modelo de reloj, de una marca concreta, para poner a la venta en su negocio. El dueño de la tienda observa el nuevo reloj y, aunque es bastante caro, le parece que podría interesarle a algunos de sus clientes.
Ahora bien, como el reloj tiene un precio alto, le gustaría no comprar demasiados. En otras palabras, querría tener una razonable certeza de que en un período de tiempo específico habrá vendido todos, o casi todos, los relojes que compre. Sin embargo, tampoco le gustaría comprar de menos, es decir, no querría verse en la situación de perder alguna venta por no tener suficientes existencias del producto. Debe plantearse, entonces, cuál es la cantidad de relojes que debe comprar para que la probabilidad de venderlos todos y a la vez no perder ninguna venta sea la más alta posible. Para resolver esta cuestión, el comerciante utiliza una distribución de Bernoulli.
Basado en su propia experiencia, el dueño de la tienda sabe que durante el próximo año llegarán a su negocio unos 60 compradores potenciales del reloj (n = 60). Además, también sabe que cada cliente tiene una probabilidad de, más o menos, un 5% de comprar el reloj (p = 0,05). Considerando que la llegada de cada comprador es un ensayo de Bernoulli, se puede aplicar la fórmula de Bernoulli y se obtiene que la probabilidad de vender diferentes cantidades de relojes es la que puede verse en la tabla.

Esta es una descripción muy simplificada de la situación, en la que, además, se basan los cálculos en estimaciones intuitivas. Sin embargo, actualmente las empresas sí que toman sus decisiones basándose en análisis similares, aunque mucho más detallados. A menudo, antes de sacar al mercado un nuevo producto, se analiza el número de compradores potenciales que existen y cuánto estarían dispuestos a pagar por el producto. Sin embargo, en estos casos no se basan en datos intuitivos, sino que son obtenidos a partir de encuestas de opinión, estudios de mercado y otros análisis similares.
«Quien estudió todo esto [la teoría de probabilidades] con mayor precisión y claridad fue mi hermano, ampliando el tratamiento a cuestiones morales y naturales, y al cálculo de probabilidades de vidas y muertes.»La utilidad de la combinatoria
Johann Bernoulli, carta a Leibniz (1 de septiembre de 1708).
La segunda parte de Ars conjectandi, que está dedicada a la combinatoria, se considera un auxiliar indispensable para el cálculo de probabilidades. Se entiende por combinatoria la rama de las matemáticas que estudia las diferentes formas de agrupar u ordenar los elementos de un conjunto, y sirve para responder preguntas como de cuántas formas diferentes pueden sentarse 10 personas alrededor de una mesa circular, cuántos números de cuatro cifras pueden formarse mezclando las cifras del número 1124, o también en cuántas tiradas de 8 dados sucede que sale exactamente un uno.
Supongamos, por ejemplo, que se desea conocer la probabilidad de que, al extraer tres cartas diferentes de una baraja, todas sean de espadas. Imponer la condición de que las cartas sean distintas implica que estas no se devuelven a la baraja, por lo que no se cumple la hipótesis de independencia y, consecuentemente, no se corresponde con una distribución de Bernoulli.
Para poder calcular la probabilidad de obtener tres cartas de espadas, se debe tener en cuenta, por un lado, la cantidad de temas diferentes de cartas que pueden obtenerse, y, por otro, en cuántas de ellas sucede que las tres cartas son espadas. Según las leyes de la combinatoria, el resultado viene dado por la siguiente expresión:
Cantidad total de extracciones de tres cartas
Ahora bien, una baraja tiene 40 cartas, la primera carta puede ser cualquiera de las 40, la segunda es una de las 39 restantes, y la tercera, una de las 38 que quedan, por lo que la cantidad total de ternas que pueden obtenerse es de 40×39×38 = 58280. Siguiendo el mismo razonamiento, la cantidad total de ternas formadas solo por espadas es de 10×9×8 = 720. La primera carta es una cualquiera de las 10 espadas, la segunda es una de las 9 restantes, y la tercera, una de las 8 que quedan. Por tanto, la probabilidad de obtener tres espadas es aproximadamente del 12,15%:
720/59280 = 0,1215.
Sin embargo, a pesar de estar dedicada principalmente a la combinatoria, la segunda parte de la obra Ars conjectandi es más famosa por desarrollar un problema que no se enmarca en esa rama de las matemáticas, sino que cae en el terreno del álgebra y es conocido por ser el origen de los llamados «números de Bernoulli».La gran idea de los números de Bernoulli
El problema algebraico que plantea Jakob Bernoulli en la segunda parte de su obra es cómo calcular la suma de los primeros n números cuadrados (12 + 22 + 32 + ... + n2), la de los primeros» cubos, de las primeras n cuartas potencias, y así sucesivamente. Mediante diversos razonamientos algebraicos, Bernoulli llega a la siguiente conclusión:





Leonhard Euler, por ejemplo, encontró que los números de Bernoulli están involucrados en el cálculo de la cantidad de números primos que hay entre 1 y n —se denominan números primos aquellos que son divisibles solo entre 1 y ellos mismos—.

Una igualdad sorprendente en el que intervienen los números de Bernoulli y se relacionan con el número e.
La esperanza o valor esperado
En la tercera parte de Ars conjectandi, Bernoulli analiza, desde el punto de vista de la teoría de probabilidades, diversos juegos de cartas. El tipo de estudio que realiza el matemático suizo es muy similar al que se ha presentado en el capítulo 2, en el que se expone si es conveniente participar de cierto juego de dados. El aspecto esencial del juego era que existía una probabilidad de 6/6 de ganar, contra una probabilidad de 1/6 de perder. Sin embargo, las reglas también indicaban que cada vez que se ganaba se recibía un florín, mientras que al perderse quitaban 10 florines. Por tanto, a la larga, por cada seis juegos se perdían 6 florines y el resultado total era una pérdida promedio de 0,83 florines por cada juego:
5 florines de pérdida / 6 juegos = 0,83 florines por juego en promedio.
Este valor de -0,83 (negativo porque indica una pérdida) es la esperanza, o valor esperado, del juego. Este concepto es el que introduce Jakob Bernoulli en la tercera parte de Ars conjectandi yque representa la ganancia o pérdida promedio que se obtiene si se participa muchas veces en un juego de azar con apuestas. El análisis del basiliense consiste en tomar diversos juegos de cartas que se practicaban a finales del siglo XVII y calcular el valor esperado de cada uno de ellos.Ahora bien, el valor esperado tiene muchísimas otras aplicaciones más allá de los juegos de azar, gran parte de ellas asociadas a situaciones concretas y cotidianas. Una utilidad práctica es, por ejemplo, el caso de una persona que desea contratar un seguro para estar cubierto en el caso de que le roben el coche. En cierto modo, la situación puede tratarse como un juego de azar: cada mes que el automóvil no es robado, el cliente paga la póliza correspondiente y la compañía «gana». Pero si el coche es robado, la compañía «pierde», por lo que debe pagar al cliente. Cuando una compañía de seguros calculad valor de la póliza, tiene en cuenta cuál es la probabilidad de que el automóvil sea robado, es decir, cuál es la probabilidad de que el cliente «gane».
El valor de la póliza es fijado de tal modo que el valor esperado sea positivo para la compañía; así, a la larga, considerando lo que cobra y paga cada uno de sus clientes, la compañía siempre recibirá más dinero que el que tendrá que pagar.
Finalmente, en la cuarta y última parte de Ars conjectandi, Jakob Bernoulli enuncia y demuestra la ley de los grandes números, de la cual, aun habiéndola descubierto hacia 1685, decidió posponer la publicación por falta de un razonamiento riguroso que justificara su validez. Además, también analiza algunas aplicaciones del cálculo de probabilidades a cuestiones legales. Más específicamente, el matemático suizo estudia cuestiones relacionadas con la distribución de herencias.
Imaginemos, por ejemplo, el caso de un hombre que tiene tres hijos pequeños y que en su testamento estipula que, en caso de fallecer, los bienes serán distribuidos entre su esposa y sus hijos, de tal modo que los hijos que en ese momento sean mayores de edad recibirán una parte mayor que los hijos menores. La pregunta que Bernoulli analiza es cómo se puede calcular el valor esperado de la herencia que puede recibir cada hijo. El cálculo debe tener en cuenta las edades relativas de estos, además de la edad del padre y del análisis de la expectativa de vida de éste. Estos análisis son predecesores de los que actualmente realizan las compañías de seguros en el momento de vender seguros de vida.

Catedral de la ciudad de Basilea, donde se encuentra el epitafio de Jakob Bernoulli
En el año 2013, el tricentenario de la publicación de Ars conjectandi fue celebrado en una serie de acontecimientos internacionales. Entre otros, el 15 y 16 de octubre, en Basilea, se organizó la International Conference Ars conjectandi 1713-2013, en Canadá, del 3 al 8 de agosto, se dictó la Ars conjectandi Public Lecture, y en China, del 25 al 30 de agosto, se realizó la Invited Session History: Jakob Bernoulli's Ars conjectandi as the emergence of probability.
La espiral milagrosa
Antes de morir, Jakob Bernoulli había dispuesto que en su epitafio se grabara una determinada curva que él mismo bautizó como la «espiral milagrosa». Además del cálculo y la probabilidad, el matemático también se interesó por la geometría, especialmente por el estudio de las propiedades de algunas curvas concretas, y las características de la espiral milagrosa lo habían impresionado enormemente.

La elipse, definida por el hecho de que la suma de la distancia del punto P a F y F' —los focos— se mantiene constante a lo largo de toda la curva.
Mientras que la elipse se define como el lugar geométrico de los puntos tales que la suma de sus distancias a dos puntos fijos —llamados «focos»— es constante (figura 2), la lemniscata es definida por Bernoulli como el lugar geométrico de los puntos tales que el producto de sus distancias a dos puntos fijos es constante (figura 3).

La lemniscata de Bernoulli, definida por el hecho de que el producto de le distancia del punto P a F y F', los focos, se mantiene constante a lo largo de toda la curva.
En realidad, no fue Bernoulli quien descubrió la espiral milagrosa, sino que ya lo habían hecho, en la primera mitad del siglo XVII y simultáneamente, René Descartes (1596-1650) y Evangelista Torricelli (1608-1647). Esa espiral fue el resultado de la búsqueda de una curva, aparte de la circunferencia, cuyas rectas tangentes en cualquier punto formasen siempre el mismo ángulo α con el radio vector —segmento que va del origen de coordenadas a un punto de la curva— (figura 4).

Curva cuyas tangentes en cada punto forman el mismo ángulo con el radio vector.

En la espiral logarítmica el ángulo entre la recta tangente y el radio vector es siempre el mismo.
Jakob Bernoulli presentó las conclusiones de su estudio en los dos trabajos de 1691 y 1692, los cuales tenían tal profundidad que hoy en día este tipo de curva es llamada, entre otros nombres, «espiral de Bernoulli».
La primera propiedad que Bernoulli encontró en estas espirales es que su ritmo de crecimiento está relacionado con el logaritmo, es decir, a medida que vamos dibujando la espiral la distancia de la curva al origen de coordenadas aumenta, o disminuye, logarítmicamente según la relación:
β (en radianes) = logaritmo de (R) - logaritmo de (r)
donde R y r son las longitudes de dos radios vectores diferentes, β es el ángulo que forman medido en radianes —la equivalencia entre grados y radianes es 360° = 2π Rad—y la base del logaritmo en cuestión es un número b que depende del ángulo α. Debido a esto, Jakob también llamó a este tipo de curva, «espiral logarítmica», —spirali logarítmica en latín—, como indica el título del trabajo de 1691.La espiral logarítmica crece rodeando una y otra vez el origen de las coordenadas, de manera que una pregunta que surge de forma natural es, entonces, si en algún momento la curva llega al origen, la respuesta, que ya era conocida por Descartes y Torricelli, es que no; en realidad, rodea infinitas veces el origen, sin llegar nunca a tocarlo.
Otra característica sorprendente es que, según demostró Jakob Bernoulli, aunque la curva da infinitas vueltas alrededor del origen, su longitud total es finita.

Elipses concéntricas que se aproximan a la espiral y la suma de cuyas longitudes forma una serle convergente.
Del hecho de que las longitudes de las elipses sumen una cantidad finita, y de que esas elipses, además, aproximen a la espiral, se deduce que la longitud total de esta es, asimismo, finita.
La espiral de Bernoulli no solo aparece en los libros matemáticos, sino que se pueden encontrar varios objetos naturales que crecen siguiendo esta figura, por ejemplo muchos huracanes, la concha del caracol Nautilus (Nautilus pompilius) y los brazos espirales de la Vía láctea. Esto sucede cuando un objeto natural crece siguiendo una forma espiral y este crecimiento está sometido siempre a las mismas fuerzas. Entonces, el borde del objeto mantiene siempre el mismo ángulo respecto al radio vector, ya que, según la física, la acción de la fuerza es tangente al objeto, y si la fuerza es constante, también lo es el ángulo entre la línea de acción de la fuerza y el borde del objeto. En consecuencia, esta espiral adquirió un nuevo nombre, y es también conocida como «espiral de crecimiento».
«Seguramente ya sabrás la gran desgracia que nos ha caído, y a mí el que más, con la inesperada muerte de mi hermano; recibí con estupor la triste noticia cuando estaba en Amsterdam.»Sin embargo, no fue ninguna de las características explicadas anteriormente lo que motivó a Bernoulli a llamar a esta clase de curva «espiral milagrosa», sino el hallazgo de la característica de autosimilitud. Se considera que un objeto es autosimilar cuando existe una pequeña parte de él que es una copia a escala del objeto completo, como, por ejemplo, un árbol, ya que una cualquiera de sus ramas es aproximadamente una copia en pequeño del árbol completo, o el sistema circulatorio de un mamífero, en el que la ramificación de los vasos capilares es, en pequeño, una copia del sistema circulatorio total. En el caso de la espiral logarítmica, se puede observar que, al ampliar una pequeña parte de la curva que rodea el origen de coordenadas, se obtiene una copia exacta de la espiral completa (figura 7).
Johann Bernoulli, carta a Leibniz (10 de octubre de 1705).

Cada pequeña parte de la espiral reproduce en escala una espiral completa.
Fue debido a la propiedad de autosimilitud que Bernoulli nombró esta figura «espiral milagrosa», ya que en ella veía una metáfora religiosa. Entendía el hecho de que una pequeña parte de la espiral resurgiera igual a sí misma como, según afirma la religión cristiana, que el día del Juicio Final resurgirán todos los hombres de las cenizas iguales a sí mismos.
La religión fue muy importante en la vida de Jakob, y es esa unión entre la religión y las matemáticas la que guió la elección de su propio epitafio: la espiral logarítmica y la frase latina Eadem mutata resurgo (« Aunque cambio, resurjo igual a mí mismo»), que alude al mismo tiempo a la autosimilitud de la espiral y al resurgimiento de la carne que la religión cristiana promete.
El fractal de MandelbrotBenoît Mandelbrot (1924-2010) nació en Varsovia el 20 de noviembre de 1924, en el seno de una familia judía de origen lituano. Fue introducido en el mundo de las matemáticas gracias a sus dos tíos, y durante su carrera estudió y enseñó en varios centros de mucho prestigio como el MIT (Instituto Tecnológico de Massachusetts) o las universidades de Princeton y Harvard. Murió el 14 de octubre de 2010 en Estados Unidos, con ochenta y cinco años de edad. Actualmente es conocido por ser considerado el padre de la geometría fractal, y también por ser de los primeros, ya en la década de 1970, en usar el ordenador con el fin de construir formas fractales. En esta época fue cuando dio forma a uno de los fractales más estudiados hoy en día, el llamado «fractal de Mandelbrot». Este se caracteriza por ser una región del plano cuya frontera contiene una copia más pequeña del objeto total: esta copia, a su vez, contiene en su frontera una copia del objeto total, que a su vez contiene en su frontera una copia del objeto total, y así ad Infinitum.
Pero la vida comete a veces pequeñas injusticias; y Jakob acabó siendo víctima de una de ellas. Tras su muerte, que aconteció el 16 de agosto de 1705 en su Basilea natal, fue sepultado con todos los honores que merecía en la catedral de la ciudad, y, tal como había solicitado, en su epitafio se grabó una espiral, pero no era una espiral logarítmica. Por error, la espiral que grabaron fue una espiral de Arquímedes, una curva que tiene propiedades muy diferentes a las que deseaba Jakob: esta sí llega al origen y, más importante aún, no es autosimilar.
En la catedral de Basilea, aún hoy en día, puede verse el epitafio del gran, matemático que contribuyó decisivamente al desarrollo de la teoría de probabilidades, a la fundamentación del cálculo y al desarrollo de sus aplicaciones en la física y la geometría, y quien también fue el primero en reconocer en un objeto matemático la propiedad de autosimilitud.

Epitafio de Jakob Bernoulli, en el que puede verse la espiral de Arquímedes en lugar de la espiral milagrosa.
- Arbiser, A., El jugador científico, Buenos Aires, Siglo XXI Editores, 2011.
- Binimsus Bassa, M-. Una nueva manera de ver el mando, Barcelona, RBA, 2011.
- Boyer, C., Historia de la matemática, Madrid, Alianza Editorial, 2010.
- Collette, J.P., Historia de las matemáticas, Madrid, Siglo XXI Editores, 2010.
- Doran, A., La verdad está en el límite, Barcelona, RBA, 2011.
- Grattan-Guinness, I. (compilador), Del cálculo a la teoría de conjuntos, Madrid, Alianza Editorial, 1980.
- Leibniz, G.W., Análisis infinitesimal, Madrid, Editorial Tecnos, 1994.
- Piñeiro, O., Con e de extraordinaria, Barcelona, RBA, 2015.
- Rojo, A., El azar en la vida cotidiana, Buenos Aires, Siglo XXI Editores, 2012.
- Stewart, I, Historia de tas matemáticas, Madrid, Critica, 2008.
A la edad de veinte años ingresó en la Universidad de Leiden con la intención de estudiar leyes, pero allí se vio atraído por las matemáticas, a las que se dedicó a tiempo completo, al menos hasta 1663, año en que dejaría su trabajo científico para hacer carrera en la política. Durante sus escasos nueve años como matemático, entre 1654 y 1663, Hudde hizo importantes aportes a la geometría, la teoría de la resolución de ecuaciones y al cálculo de máximos y mínimos de curvas, trabajos que lo convierten en uno de los precursores del cálculo diferencial, rama de la matemática que sería iniciada en la década de 1680 por Gottfried Wilhelm Leibniz e Isaac Newton. En 1682 Hudde facilitó la publicación, en Amsterdam, del primer trabajo científico de Jakob Bernoulli, quien menciona elogiosamente al primero en la dedicatoria del texto. Hudde falleció en Amsterdam el 15 de abril de 1704.

En una de sus célebres paradojas, Zenón de Elea (siglo V a.C.) argumenta que si arrojamos una piedra en línea recta hacia un árbol ubicado a un metro de distancia, la piedra, contrariamente a lo que pueda percibirse, nunca llega a su destino. El razonamiento de Zenón sostiene que para llegar al árbol, la piedra debe recorrer, en un primer paso, la mitad de la distancia (½ m: en un segundo paso, la mitad de la distancia que le falta (¼ m); luego, la mitad de lo que aún le queda (⅛ m), y así sucesivamente. En resumen, para llegar a alcanzar el árbol la piedra deberla completar un número infinito de pasos y, como esto es imposible (al menos si esto tiene lugar en un tiempo finito), la piedra jamás llega a finalizar el recorrido. Sin embargo, contrariamente a la argumentación de Zenón, sí es posible cubrir infinitos pasos en un tiempo finito. Imaginemos que la piedra se mueve a una velocidad constante de un metro por segundo: por tanto, completará el primer paso en ½ s,el segundo en ¼ s, y así sucesivamente. El tiempo total que tarda la piedra, medido en segundos, se calcula, pues, de esta manera:
A Nicolás de Oresme (ca. 1323-1382) se le suele calificar de matemático y astrónomo, pero en realidad su erudición se dedicó a múltiples disciplinas, ya que también destacó entre los sabios del siglo XIV por sus aportaciones en campos tan variados como la economía, la física, la filosofía, la música y la psicología. Nació en Normandía y estudió en el colegio de Navarra de París, del que fue nombrado «gran maestro» en 1356. En la carrera eclesiástica llego a ser obispo en la ciudad normanda de Lisieux (donde también murió), aunque es famoso por sus escritos científicos y culturales, en los que anticipó muchos de los aspectos de la matemática moderna. Una de sus peculiaridades fue que, además de en latín (como muchos de sus contemporáneos). Oresme escribió en lengua vulgar, es decir, en francés, idioma al que también tradujo algunos textos de Aristóteles.
Nació, como Jakob, en Basilea y, aunque asistió a una escuela muy pobre, en la que casi no se enseñaba matemática, desde muy temprana edad mostró un gran interés por esta ciencia, a la que pudo acceder a través de libros superiores de texto que lograba entender sin ayuda. A los trece años ingresó en la Universidad de Basilea para completar su formación general antes de continuar con los estudios superiores. 
Leipzig (en la actual Alemania) a partir del año 1682, y que rápidamente pasó a ser una de las más prestigiosas de la época. Sus páginas incluyeron artículos firmados por los más reconocidos pensadores de su tiempo: entre otras, además de la de Jakob Bernoulli, aparecen las firmas de Isaac Newton, Robert Boyle, Antón van Leeuwenhoek (el creador del microscopio), Gottfried Wilhelm Leibniz, Christiaan Huygens, Edmond Halley y Johann Bernoulli (el hermano menor de Jakob). También incluyó contribuciones póstumas de Blase Pascal y René Descartes. El Acta dejó de publicarse en 1731, pero al año siguiente fue sucedida por la Nova Acta Eruditorum, que a su vez se publicó hasta 1782.
De hecho, el que es considerado el primer texto serio de probabilidades consiste, básicamente es un análisis de las mejores estrategias para ganar en ciertos juegos de naipes. Este libro, tituladoLiber de ludo aleae ( Libro de los juegos de azar) fue escrito por el matemático Italiano Girolamo Cardano (1501-1576) en la década de 1560, aunque se publicó, póstumamente, en 1663. Cardano, que era muy aficionado a apostar en juegos de naipes, comenzó a tener, gracias a sus análisis matemáticos, un éxito tan grande que muchos lo acusaron de hacer trampas. La situación llegó a tal punto que, en cierto momento, decidió llevar siempre consigo un puñal, por si algún perdedor despechado Intentaba atacarlo.
nunca vio como materias separadas sino, por el contrario, como dos ramas complementarias de la razón humana. En ese sentido, en la década de 1680 inició un ambicioso proyecto que tenía como objetivo aplicar las reglas del álgebra al pensamiento filosófico. Y si bien este proyecto no alcanzó el éxito que su autor esperaba, le sirvió de inspiración al gran matemático alemán David Hilbert (1662-1943), quien, en la década de 1920, intentó llevar adelante un programa similar para reducir el razonamiento matemático a reglas de operación mecánicas. Además de su actividad estrictamente académica, Leibniz se dedicó de forma muy intensa a promover la creación de sociedades científicas, como, por ejemplo, las de Berlín, Dresde, Viena y San Petersburgo. Falleció en Hanover el 14 de noviembre de 1716.



Kart Theodor Wilhelm Weierstrass (1815-1897) nació en Ostenfelde (Alemania) el 31 de octubre de 1815. Para satisfacer los deseos de su padre, en 1834 ingresó en la Universidad de Bonn, donde estudió leyes, finanzas y ciencias, con vistas a seguir una carrera en la administración pública. Durante sus estudios se sintió cada vez más atraído por las matemáticas, hasta que después de cuatro años en la universidad optó finalmente por estudiar la carrera científica. Weierstrass hizo contribuciones decisivas al desarrollo del cálculo; sin embargo, nunca fue sistemático en la publicación de sus ideas y descubrimientos, ya que las exponía oralmente en sus clases y conferencias, las cuales eran famosas por su claridad y profundidad. La mayoría fueron publicadas mucho después, a partir de los apuntes que tomaban sus alumnos o los asistentes a sus conferencias. En la década de 1890 sus discípulos y amigos encararon la tarea de reunir, editar y publicar en una sola obra todos los trabajos de Weierstrass. Estas Obras completas, donde se explicaban la mayoría de sus ideas, llegaron a abarcar hasta siete volúmenes, el primero de los cuales fue publicado en 1894, y el último, treinta años después de su muerte, en 1927. Karl Weierstrass falleció en Berlín el 19 de febrero de 1897.
es el cono, que se consigue al hacer girar un triángulo alrededor de uno de sus lados. Si un sólido de revolución está definido por la superficie comprendida entre una curva h(t) y el eje horizontal, como se muestra en la figura, el volumen de este cuerpo se calcula como: 


Benoît Mandelbrot (1924-2010) nació en Varsovia el 20 de noviembre de 1924, en el seno de una familia judía de origen lituano. Fue introducido en el mundo de las matemáticas gracias a sus dos tíos, y durante su carrera estudió y enseñó en varios centros de mucho prestigio como el MIT (Instituto Tecnológico de Massachusetts) o las universidades de Princeton y Harvard. Murió el 14 de octubre de 2010 en Estados Unidos, con ochenta y cinco años de edad. Actualmente es conocido por ser considerado el padre de la geometría fractal, y también por ser de los primeros, ya en la década de 1970, en usar el ordenador con el fin de construir formas fractales. En esta época fue cuando dio forma a uno de los fractales más estudiados hoy en día, el llamado «fractal de Mandelbrot». Este se caracteriza por ser una región del plano cuya frontera contiene una copia más pequeña del objeto total: esta copia, a su vez, contiene en su frontera una copia del objeto total, que a su vez contiene en su frontera una copia del objeto total, y así ad Infinitum.