Annus mirabilis
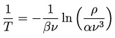
Albert Einstein
Artículo 1
Sobre un punto de vista heurístico concerniente a la producción y transformación de la luz[i]
§1. Sobre una dificultad concerniente a la teoría de la radiación del cuerpo negroExiste una diferencia formal y profunda entre los modelos que los físicos han creado sobre los gases y otros cuerpos ponderables y aquel de la teoría de Maxwell de los procesos electromagnéticos en el así llamado espacio vacío. Mientras que consideramos al estado de un cuerpo como determinado perfectamente por un número de átomos y electrones ciertamente muy grande, pero finito, nos servimos por otro lado de funciones espaciales continuas para la determinación de estados electromagnéticos de un espacio, de tal manera que un número finito de magnitudes no se considera como suficiente para una interpretación íntegra del estado electromagnético de un espacio. Según la teoría de Maxwell, se tiene que interpretar a la energía como una función del espacio continua para todos los fenómenos electromagnéticos, incluida la luz, mientras que según la actual interpretación de los físicos la energía tiene que ser representada como una suma que se extiende sobre todos los átomos y electrones. La energía de un cuerpo ponderable no puede descomponerse en cualquier número de partículas o en cualesquiera partículas pequeñas, mientras que según la teoría de Maxwell (o en general según toda teoría ondulatoria) la energía de un haz de luz emitido por una fuente puntual se puede distribuir continuamente en un volumen siempre creciente. La teoría ondulatoria de la luz operante con funciones espaciales continuas, ha demostrado representar excelentemente los fenómenos ópticos puros y probablemente no sea nunca sustituida por otra teoría. Sin embargo no se pierda de vista que las observaciones ópticas se refieren a promedios temporales no a valores momentáneos y que a pesar de la comprobación íntegra de la teoría de la difracción, reflexión, refracción, dispersión, etc., por medio de la experimentación, es concebible que la teoría de la luz operante con funciones continuas en el espacio, conduzca a contradicciones con la experiencia cuando se aplica a los fenómenos de la producción y la transformación de la luz.
§2. Sobre la determinación de Planck de constantes elementales
§3. Sobre la entropía de la radiación
§4. Ley límite para la entropía de radiación monocromática para baja densidad de radiación
§5. Examinación teórica molecular de la dependencia de la entropía de gases y soluciones diluidas con respecto al volumen
§6. Interpretación de la expresión para la dependencia de la entropía de radiación monocromática del volumen según el principio de Boltzmann
§7. Sobre la regla de Stokes
§8. Sobre la producción de rayos catódicos por iluminación de cuerpos sólidos
§9. Sobre la ionización de los gases por luz ultravioleta
Me parece ahora en efecto que las observaciones sobre la radiación del cuerpo negro, la fotoluminiscencia, la producción de rayos catódicos por luz ultravioleta y otros grupos de fenómenos concernientes a la producción o transformación de luz, parecen más comprensibles bajo la suposición de que la energía de la luz esta distribuida discontinuamente en el espacio. Según la suposición que se propone hacer, la propagación de un haz de luz desde un punto no se distribuye continuamente en espacios más y más crecientes, sino que el mismo consiste en un número finito de cuantos de energía localizados en puntos del espacio, los cuáles se mueven sin partirse y solo pueden ser absorbidos o emitidos como un todo.
A continuación quiero participar del razonamiento y citar los hechos que me han conducido por este camino, con la esperanza de que el punto de vista expuesto quiera ser comprobado como útil por algunos investigadores en sus estudios.
§1. Sobre una dificultad concerniente a la teoría de la radiación del cuerpo negro
Situémonos a continuación dentro del marco de la teoría Maxwelliana y la teoría de electrones y consideremos el siguiente caso. En un espacio cerrado con paredes perfectamente reflejantes se encuentra un número de moléculas gaseosas y electrones que se pueden mover libremente y ejercen fuerzas conservativas mutuamente, cuando se acercan mucho entre sí; esto es, pueden chocar entre sí como moléculas gaseosas de acuerdo a la teoría cinética de los gases [1]. Hagamos que un número de electrones esté en lo sucesivo anclado en puntos del espacio muy distantes entre sí, por medio de fuerzas proporcionales a las elongaciones y dirigidas hacia estos puntos. Estos electrones también deben interactuar conservativamente con los electrones y moléculas libres cuando estos últimos se aproximan mucho. Llamaremos «resonadores» a los electrones anclados en estos puntos del espacio; estos emiten y absorben ondas electromagnéticas con periodos determinados.
Según la concepción prevaleciente sobre la producción del luz, la radiación en el espacio considerado, la cual se encuentra basada en la teoría Maxwelliana para el equilibrio dinámico, es idéntica con aquella de la «radiación del cuerpo negro» —al menos cuando los resonadores de todas la frecuencias tomadas en consideración se asumen como disponibles—.
Prescindamos momentáneamente de la radiación emitida y absorbida por los resonadores e inquiramos acerca de la correspondiente condición del equilibrio dinámico de la interacción (las colisiones) de moléculas y electrones. La teoría cinética de los gases proporciona para este último la condición de que la energía cinética media de un electrón resonador debe ser igual a la energía cinética media del movimiento de translación de una molécula gaseosa. Si descomponemos el movimiento de un electrón resonador en tres oscilaciones perpendiculares entre sé, encontramos elvalor medio de la energía de una de tales oscilaciones rectilíneas
![]()
En el caso del equilibrio dinámico considerado por nosotros esto solo es posible si cada resonador posee la energía promedio.
Reflexionemos similarmente en relación a la interacción de los resonadores con la radiación existente en el espacio. Planck [2] ha derivado la condición del equilibrio dinámico para este caso bajo la suposición de que la radiación se puede considerar como un proceso con el desorden más concebible [3].
El encontró que

Si la energía de la radiación de frecuencia ν no puede continuamente en conjunto ser disminuida o incrementada, entonces debe ser válido:


Queremos mostrar a continuación que la determinación de las constantes elementales dada por Planck es independiente hasta cierto grado de la teoría de la radiación del cuerpo negro presentada por el mismo.
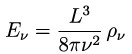
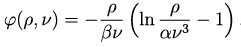
La formula de Planck [4] para ρ que basta para todas las observaciones experimentales actuales es

α = 6,10 × 10-56
β = 4,866 × 10-11
Para valores grandes de T/ν, es decir, para grandes longitudes de onda y densidades de radiación, esta fórmula conduce en el límite hasta
Igualando los coeficientes de ambas ecuaciones se obtiene


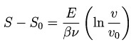
Logramos de aquí la siguiente conclusión: mientras más grande sea la densidad de energía y la longitud de onda de una radiación, es como si se confirmase más la utilidad de los fundamentos teóricos usados por nosotros; sin embargo para cortas longitudes de onda y pequeñas densidades de radiación fracasan totalmente los mismos.
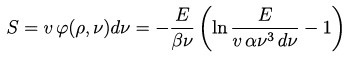
A continuación se considerará la radiación del cuerpo negro en conexión con los experimentos sin partir de una visión particular sobre la producción y propagación de la radiación.
§3. Sobre la entropía de la radiación
La siguiente consideración está contenida en un trabajo muy famoso de W. Wien y se mencionará solo para completar.
Sea una radiación que ocupa el volumen υ. Supongamos que las propiedades observables de la radiación existente se pueden determinar totalmente cuando están dadas todas las densidades de radiación ρ(ν) para todas las frecuencias [5]. Ya que las radiaciones de diversas frecuencias se tienen que considerar separables las unas de las otras, si no realizan trabajo y si no transportan calor, entonces la entropía de la radiación se puede representar de la forma

En el caso de la radiación del cuerpo negro ρ es una función tal de ν, que para una energía dada la entropía es un máximo, esto es, que



Para el incremento de temperatura dT de la radiación del cuerpo negro de volumen υ = 1 es válida la ecuación:


![]()

§4. Ley límite para la entropía de radiación monocromática para baja densidad de radiación
De las actuales observaciones sobre la radiación del cuerpo negro se desprende a saber, que la ley formulada originalmente por W. Wien,


![]()


§5. Examinación teórica molecular de la dependencia de la entropía de gases y soluciones diluidas con respecto al volumen
En el cálculo de la entropía por métodos moleculares teóricos se emplea frecuentemente la palabra «probabilidad», en un sentido que no coincide con la definición como se da en el cálculo de probabilidades. En particular, en los casos donde los modelos teóricos están suficientemente determinados, los «casos con igual probabilidad» son a menudo fijados hipotéticamente, en vez de dar a cada hipótesis una deducción. Planeo en un trabajo aparte demostrar que con la así llamada «probabilidad estadística» se pueden tratar íntegramente procesos térmicos y espero así eliminar una inconveniencia lógica, que aún dificulta la aplicación del principio de Boltzmann. Aquí solo se dará una formulación general y uso en casos muy particulares.
Si tiene sentido hablar de la probabilidad del estado de un sistema, si de aquí en adelante cada incremento de entropía puede ser entendido como una transición hacia un estado más probable, entonces la entropía S de un sistema es una función de la probabilidad W de su estado momentáneo. Si existen entonces dos sistemas estacionarios S1 y S2 que no interactúan, entonces se puede fijar:


![]()


Al sistema en cuestión, el cual puede ser por ejemplo, un gas ideal o una solución diluida, le corresponde una determinada entropíaS0. Imaginemos una parte del volumen υ0 de tamaño υ donde todos los puntos móviles n son trasladados al volumen υ, sin que al sistema se le modifique algo. A este estado le corresponde obviamente otro valor de la entropía (S), y ahora queremos determinar la diferencia de entropía con ayuda del principio de Boltzmann.
Nos preguntamos: ¿Cuán grande es la probabilidad de este último estado en relación con el original? O: ¿Cuán grande es la probabilidad de que en un instante cualquiera todos los puntos móviles independientes entre sí, dados en un volumenυ0, se encuentren (aleatoriamente) en el volumen υ?
Para esta probabilidad, la cual es una probabilidad estadística, se obtiene evidentemente el valor:


§6. Interpretación de la expresión para la dependencia de la entropía de radiación monocromática del volumen según el principio de Boltzmann
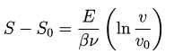
En la sección 4 encontramos la expresión para la dependencia de la entropía de la radiación monocromática del volumen:



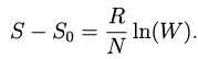
Si la radiación monocromática con frecuencia ν y con energía E está encerrada (por paredes reflejantes) en el volumen υ0, entonces la probabilidad de que en un instante cualquiera, toda la energía de radiación se encuentre en una parte υ del volumen υ0 es,


Esta última es



§7. Sobre la regla de Stokes
Sea la luz monocromática transformada por fotoluminiscencia en luz de otra frecuencia y, conforme al resultado por ahora conjeturado, supóngase que tanto la luz productora como la producida consistiesen en cuantos de energía de tamaño


Según nuestra interpretación, es de resaltar en particular que para bajas exposiciones, la cantidad de luz emitida de los estados excitados, cuyas otras condiciones permanecen constantes, debe ser proporcional a la intensidad de luz incidente, ya que cada cuanto de energía excitante causará un proceso elemental del tipo de los antes mencionados, independiente de la acción de los otros cuantos de energía excitantes. En particular, no habrá ningún límite inferior para la intensidad de la luz excitante, debajo del cual la luz sería incapaz de producir fotoluminiscencia.
Según las interpretaciones expuestas sobre los fenómenos, desviaciones de la Regla de Stokes son concebibles en los siguientes casos:
1. Cuando el número de cuantos de energía simultáneamente captados en la conversión sea tan grande, que un cuanto de energía de la luz generada pueda adquirir su energía de más de un cuanto de energía excitante.
2. Cuando la luz excitante (o generada) no sea de la constitución energética de aquella de la radiación del cuerpo negro correspondiente al rango de validez de la ley de Wien, o sea si, p. ej. la luz estimulante es producida por un cuerpo con una temperatura superior, con una longitud de onda para la cual la Ley de Wien no es ya más válida.
Esta última posibilidad merece particular atención. Según la interpretación desarrollada no está descartado a saber, que una radiación que no sea del tipo Wien incluso muy atenuada se comporte completamente diferente en términos energéticos que una radiación del cuerpo negro en el rango de validez de la Ley de Wien.
§8. Sobre la producción de rayos catódicos por iluminación de cuerpos sólidos
La interpretación común de que la energía de la luz estaría distribuida continuamente en todo el espacio iluminado, encuentra grandes dificultades particularmente al intentar explicar los fenómenos electroluminosos que se encuentran expuestos en un trabajo pionero de Lenard [7].
Según la idea de que la luz excitante consiste en cuantos de energía con valor Rβν/N, se puede interpretar la generación de rayos catódicos por luz de la siguiente manera. En la capa superficial del cuerpo penetran los cuantos de energía y su energía se transforma al menos en parte en energía cinética de los electrones. La representación más sencilla es aquella en la que un cuanto de luz cede toda su energía a un solo electrón; supondremos que esto ocurre. No debe sin embargo descartarse que los electrones solamente adquieran parcialmente la energía de los cuantos de luz. Un electrón que provisto de energía en el interior del cuerpo, habrá perdido una parte de su energía cinética cuando haya alcanzado la superficie. Además se supondrá que cada electrón tiene que hacer un trabajo P (característico del cuerpo) cuando abandone el cuerpo. Los electrones excitados directamente en la superficie dejarán el cuerpo con la mayor velocidad perpendicular. La energía cinética de tales electrones es


![]()
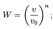
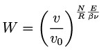
Si se hace E = 9,6 × 103, entonces es Π × 10-8 el potencial en volts, que el sólido adquiere por iluminación en el vacío.
Para ver a continuación, si la relación derivada coincide con el orden de magnitud de los experimentos, asignemos P’ = 0, ν = 1,03 × 1015 (correspondiente al límite del espectro solar hacia el ultravioleta) y β = 4,866 × 10-11. Obtenemos Π × 10-7 = 4,3 volts , resultado cuyo orden de magnitud coincide con los resultados de Lenard [9].
Si la fórmula deducida es correcta, entonces Π representada en coordenadas cartesianas como función de la frecuencia de la luz excitante, tiene que ser una línea recta, cuya pendiente es independiente de la naturaleza de la sustancia ensayada.
Hasta donde yo veo, no existe contradicción alguna entre las propiedades del efecto fotoeléctrico observados por Lenard y nuestra interpretación. Si cada cuanto de energía de la luz incidente cede su energía independientemente de todos los restantes, entonces la distribución de velocidades de los electrones, esto es, la calidad de la radiación catódica generada será independiente de la intensidad de la luz excitante; por otro lado el número de electrones que dejan el sólido será proporcional a la intensidad de la luz excitante en condiciones por lo demás idénticas [10].
Sobre los límites de validez supuestos de los principios antes mencionados, se podrían hacer comentarios similares como en relación a las presumibles desviaciones de la regla de Stokes.
En lo anterior se asumió que la energía de al menos una parte de los cuantos energéticos de la luz excitante sería cedida íntegramente a electrones individuales. Si no se hace esta suposición obvia, se obtiene entonces en vez de la igualdad antes citada, la siguiente:
![]()
![]()
§9. Sobre la ionización de los gases por luz ultravioleta
Habremos de suponer que en la ionización de un gas por luz ultravioleta se absorbe un cuanto de energía de luz por cada molécula de gas. De aquí se deduce que el trabajo de ionización (esto es, el trabajo teóricamente necesario para ionizar) de una molécula no puede ser más grande que la energía de un cuanto de energía luminosa activo que fue absorbido. Si designamos con J el trabajo (teórico) de ionización por equivalente gramo, entonces se debe obtener:
![]()
![]()
Si nuestra interpretación corresponde con la realidad, esta relación (para la frecuencia relevante) debe ser válida para todos los gases, los cuales no presentan absorción significante sin ionización.
Artículo 2
Investigaciones sobre la Teoría del Movimiento Browniano [ii]
§1. Acerca de la presión osmótica atribuible a las partículas en suspensión
§2. La presión osmótica desde el punto de vista de la teoría cinético-molecular del calor
§3. Teoría de la difusión de esferas pequeñas en suspensión
§4. Acerca del movimiento irregular de partículas suspendidas en un líquido y la relación de este fenómeno con la difusión
§5. Fórmula para el desplazamiento medio de partículas suspendidas; un nuevo método para determinar el tamaño real del átomo
ACERCA DEL MOVIMIENTO DE PARTÍCULAS PEQUEÑAS SUSPENDIDAS EN UN LÍQUIDO ESTACIONARIO, DESDE EL PUNTO DE VISTA DE LA TEORÍA CINÉTICA DEL CALOR.
En el presente artículo se demostrará que, de acuerdo a la Teoría Cinética del Calor, cuerpos microscópicos suspendidos en un líquido presentan movimientos de magnitud tal que pueden ser observados fácilmente en un microscopio y que dichos movimientos se pueden explicar en base al movimiento molecular del calor. Es posible que los movimientos aquí discutidos sean idénticos al llamado «Movimiento Molecular Browniano»; sin embargo la información con la que cuento acerca de ese tema no es lo bastante precisa, así que no formaré un juicio final acerca de él.Si el movimiento aquí descrito de hecho puede ser observado (junto con las leyes relacionadas que se esperaría encontrar) entonces tendremos que decir que las leyes clásicas de la termodinámica no son confiablemente precisas, incluso hablando de cuerpos de dimensiones tales que puedan ser observados en el microscopio, y de aquí se desprende que es posible determinar las dimensiones exactas de los átomos. Por otro lado, si se determina que las predicciones de movimientos aquí descritas son incorrectas, tal divergencia puede considerarse como un argumento de peso en contra del concepto de calor de la teoría cinético-molecular.
§1. Acerca de la presión osmótica atribuible a las partículas en suspensión
Digamos que una cantidad z de moles de un no-electrolito se disuelven en un volumen V* el cual a su vez forma parte de una cantidad de líquido con volumen total V. Si el volumen V* es separado del resto del solvente por medio de una membrana que sea permeable para el solvente pero impermeable para la solución, tenemos que se ejerce una «presión osmótica», p, sobre esta membrana, y que satisface la ecuación
![]()
Por otro lado, si en el volumen parcial V* existen partículas pequeñas suspendidas en lugar de la sustancia disuelta, dichas partículas tampoco pueden pasar a través de la membrana que es permeable al solvente: de acuerdo a la teoría termodinámica clásica —por lo menos cuando ignoramos la fuerza de gravedad, que no nos interesa aquí— no esperaríamos encontrar ninguna fuerza actuando sobre la membrana. Esto es porque de acuerdo a las concepciones comunes, la «energía libre»
es independiente de la posición de la partición y de las partículas suspendidas. Dicha energía depende solamente de la masa total, de las cualidades del material suspendido, del líquido y de la membrana, y de la presión y la temperatura. De hecho, para poder calcular la energía del sistema deben de considerarse también la energía y entropía de las superficies limítrofes (las fuerzas de tensión superficial); pero estas pueden ser excluidas si el tamaño y las condiciones de las superficies de contacto no se alteran con los cambios de posición de la membrana y de las partículas en suspensión que estamos considerando.
Pero podemos llegar a una conceptualización diferente desde el punto de vista de la teoría cinético-molecular del calor. De acuerdo a esta teoría, una molécula disuelta se diferencia del cuerpo en suspensión únicamente por sus dimensiones, y no hay razón por la que un número de partículas suspendidas no deban producir la misma presión osmótica que el mismo número de moléculas. Debemos asumir primero que las partículas suspendidas exhiben un movimiento irregular —aunque sea muy pequeño— dentro del líquido, debido al movimiento molecular de este. Si la membrana les impide abandonar el volumen V*, ejercerán una presión sobre ella de la misma manera que las moléculas en la solución. Así, si hay un número n de partículas suspendidas en el volumen V*, y por lo tanto hay n/V* = v por unidad de volumen, y si las partículas alrededor están lo bastante separadas, existirá una presión osmótica p de magnitud dada por la ecuación

§2. La presión osmótica desde el punto de vista de la teoría cinético-molecular del calor [14]
Si p1, p2, … plson las variables de estado de un sistema físico, que definen por completo la condición del sistema en cualquier instante (por ejemplo, las coordenadas y los componentes de velocidad de todos los átomos del sistema), y si el sistema completo de ecuaciones de cambio de dichas variables está dado en la forma




Si la idea de las moléculas se extendiera para calcular cada unidad del sistema, desde luego el cálculo de la integral B ofrecería dificultades tales que no se podría siquiera contemplar un cálculo exacto de F. Aquí, tan solo necesitamos saber cómo F depende de la magnitud del volumen V*, en donde se hallan presentes todas las moléculas en solución, a las cuales a partir de este momento llamaremos simplemente «partículas».
Llamaremos x1, y1, z1 a las coordenadas rectangulares del centro de gravedad de la primera partícula; x2, y2, z2 a las coordenadas de la segunda, etc., y xn, yn, zna las de la última partícula del sistema; y además asignaremos como centros de gravedad al dominio de los paralelepípedos indefinidamente pequeños dx1, dy1, dz1; dx2, dy2, dz2, … , dxn, dyn, dzn, todos los cuales existen dentro de V*. Se buscará entonces el valor de la integral que aparece en la fórmula para F, con la limitante que dice que los centros de gravedad de las partículas existen dentro de un dominio así definido.
De esta forma, la integral puede expresase como
![]()
![]()
![]()


J = J’
Así hemos demostrado que J es independiente tanto de V* como de x1, y1… zn.Por integración, obtenemos que


![]()
§3. Teoría de la difusión de esferas pequeñas en suspensión
Supongamos que tenemos partículas suspendidas en un líquido y dispersas en forma irregular. Consideraremos su estado de equilibrio dinámico, asumiendo que existe una fuerza K que actúa sobre las partículas y que depende de la posición pero no del tiempo. Para simplificar, asumiremos que la fuerza actúa siempre en la dirección del eje x.
Digamos que v es el número de partículas suspendidas por unidad de volumen. En equilibrio dinámico del sistema, v es función de x, tal que la variación de la energía libre desaparece en un desplazamiento arbitrario δx de la sustancia en suspensión. Por lo tanto, tenemos que
![]()
Entonces tenemos:




La ecuación (I) puede usarse para encontrar el coeficiente de difusión de la sustancia en suspensión. Podemos conceptualizar la condición de equilibrio dinámico aquí descrita como una superposición de dos procesos que proceden en direcciones opuestas:
1. Un movimiento de la sustancia en suspensión bajo la acción de la fuerza K, en cada una de las partículas.
2. Un proceso de difusión, resultado del movimiento irregular de las partículas, producido por el movimiento molecular del calor.
Si las partículas en suspensión tienen forma esférica con un radio de la esfera = P, y si el líquido tiene un coefi ciente de viscosidad k, entonces la fuerza que K le confiere a cada partícula[16]es:


Si ahora designamos a D como el coeficiente de difusión de la sustancia en suspensión, y designamos a p como la masa de una partícula, tendremos que la ecuación para el paso por unidad de tiempo en una unidad de área será de:

![]()
![]()

§4. Acerca del movimiento irregular de partículas suspendidas en un líquido y la relación de este fenómeno con la difusión
Nos enfocaremos ahora en un análisis más detallado de los movimientos irregulares que resultan del movimiento térmico de las moléculas, y que provocan el fenómeno de difusión investigado en la sección anterior.
Evidentemente, debemos asumir que cada partícula individual ejecuta un movimiento que es independiente del movimiento de las otras partículas. Además los movimientos de una misma partícula tras diferentes intervalos de tiempo también deben considerarse como procesos independientes, si consideramos que tales intervalos no son demasiado pequeños.
Consideremos en nuestra discusión un intervalo de tiempo τ, que sea muy pequeño en comparación al intervalo observado pero que a la vez, su magnitud sea tal que los movimientos de una partícula en dos diferentes intervalos τ puedan ser considerados como fenómenos independientes.
Supongamos que tenemos un total de n partículas en suspensión en un líquido. En un intervalo de tiempo τ, las coordenadas en x de las partículas individuales se incrementarán en una cantidad Δ, en donde Δ asume un valor diferente (positivo o negativo) para cada partícula individual. Para cada valor de Δ, existirá una cierta probabilidad de ocurrencia, de modo que el número δn de partículas que experimenten en el intervalo τ un desplazamiento que esté entre Δ y Δ + dΔ, puede ser expresado con una ecuación de la forma:
![]()

![]()
Si decimos entonces que el número de partículas por unidad de volumen está expresado como v = ƒ(x, t), calcularemos la distribución de partículas en un momento t + τ desde la distribución en el tiempo t. A partir de la definición de la función, es sencillo obtener el número de partículas en el momento t + τ, que están posicionadas entre dos planos perpendiculares al eje x, con abscisas x y en x + dx. Tenemos:







Una consideración más en relación a este método de deducción: hemos asumido que las partículas individuales están referidas en su totalidad al mismo sistema de coordenadas, pero esta estrategia es innecesaria ya que los movimientos individuales son mutuamente independientes. Ahora, referiremos el movimiento de cada partícula a un sistema de coordenadas cuyo origen coincide, en el tiempo t = 0, con la posición del centro de gravedad de las partículas en cuestión. Con esta diferencia, la función ƒ(x, t)dx ahora dará como resultado el número de partículas cuya componente en x ha incrementado una cantidad que va desde x hasta x + dx, entre el tiempo t = 0 y el tiempo t = t. En este caso, la función ƒ con sus cambios, también debe de satisfacer las condiciones de la ecuación (I).
Además, debemos tener para x <> 0 y para t = 0, la expresión


Ahora, usando esta ecuación, calcularemos el desplazamiento λ x en la dirección del eje x, que una partícula experimenta en promedio. Más exactamente, calcularemos la raíz cuadrada de la media aritmética de los cuadrados de todos los desplazamientos a lo largo del eje x, que es:
![]()
![]()
En la §3 encontramos que, para un coeficiente de difusión D de un material en suspensión en un líquido, formado de esferas pequeñas de radio P,

![]()

Calculemos ahora qué tan grande es λxpara un intervalo de segundo, si se toma a N como equivalente a 6 × 10 23, de acuerdo a la Teoría Cinética de los Gases; se escoge como líquido al agua a temperatura de 17ºC (k = 1.35 × 10-2); y finalmente fijamos el diámetro de las partículas en mm. La respuesta que obtenemos es:
![]()
Por otro lado, la relación encontrada puede ser usada para determinar N. Obtenemos:
![]()
Artículo 3
Sobre la electrodinámica de cuerpos en movimiento [iii]
1. CinemáticaSe sabe que cuando la electrodinámica de Maxwell —tal como se suele entender actualmente— se aplica a cuerpos en movimiento, aparecen asimetrías que no parecen estar en correspondencia con los fenómenos observados. Pensemos, por ejemplo, en la interacción electrodinámica entre un imán y un conductor. En este caso, el fenómeno que se observa depende solamente del movimiento relativo entre el conductor y el imán, mientras que de acuerdo a la interpretación común se deben distinguir claramente dos casos muy diferentes, dependiendo de cuál de los dos cuerpos se mueva. Si se mueve el imán mientras que el conductor se encuentra en reposo, alrededor del imán aparece un campo eléctrico con cierto valor para su energía. Este campo eléctrico genera una corriente en el lugar donde se encuentre el conductor. Pero si el imán esta en reposo y el conductor se mueve, alrededor del imán no aparece ningún campo eléctrico sino que en el conductor se produce una fuerza electromotriz que en sí no corresponde a ninguna energía, pero da lugar a corrientes eléctricas que coinciden en magnitud y dirección con las del primer caso, suponiendo que el movimiento relativo es igual en cada uno de los casos bajo consideración.
§1. Definición de simultaneidad
§2. Sobre la relatividad de la longitud y el tiempo
§3. Teoría de la transformación de coordenadas y del tiempo de un sistema en reposo a otro sistema que se encuentra en movimiento traslacional uniforme con respecto al primero
§4. Significado físico de las ecuaciones obtenidas en lo referente a cuerpos rígidos y relojes en movimiento
§5. Teorema de adición de velocidades
2. Electrodinámica
§6. Transformación de las ecuaciones de Maxwell-Hertz para el espacio vacío. Sobre la naturaleza de la fuerza electromotriz que aparece con el movimiento en un campo magnético.
§7. Teoría del principio de Doppler y de la aberración
§8. Transformación de la energía de rayos de luz. Teoría de la presión de radiación ejercida sobre un espejo perfecto.
§9. Transformación de las ecuaciones de Maxwell-Hertz considerando las corrientes de convección.
§10. Dinámica de un electrón (acelerado lentamente).
Otros ejemplos de esta índole así como los intentos infructuosos para constatar un movimiento de la Tierra con respecto al «medio de propagación de la luz» permiten suponer que no solamente en mecánica sino también en electrodinámica ninguna de las propiedades de los fenómenos corresponde al concepto de reposo absoluto. Más bien debemos suponer que para todos los sistemas de coordenadas, en los cuales son válidas las ecuaciones mecánicas, también tienen validez las mismas leyes electrodinámicas y ópticas, tal como ya se ha demostrado para las magnitudes de primer orden. Queremos llevar esta suposición (cuyo contenido será llamado de ahora en adelante «principio de la relatividad») al nivel de hipótesis y además introducir una hipótesis adicional que solamente a primera vista parece ser incompatible con el principio de la relatividad. Dicha hipótesis adicional sostiene que la luz en el espacio vacío siempre se propaga con cierta velocidad V que no depende del estado de movimiento del emisor. Basándonos en la teoría de Maxwell para cuerpos en reposo, estas dos hipótesis son suficientes para derivar una electrodinámica de cuerpos en movimiento que resulta ser sencilla y libre de contradicciones. La introducción de un «éter» resultará ser superflua puesto que de acuerdo a los conceptos a desarrollar no es necesario introducir un «espacio en reposo absoluto», ni tampoco se asocia un vector de velocidad a ninguno de los puntos del espacio vacío en los que se llevan a cabo procesos electromagnéticos.
La teoría a desarrollar se basa —como cualquier otra electrodinámica— en la cinemática del cuerpo rígido porque las afirmaciones de cualquier teoría involucran relaciones entre cuerpos rígidos (sistemas de coordenadas), relojes y procesos electromagnéticos. El que estas circunstancias no hayan sido consideradas en forma apropiada es la raíz de las dificultades con las que actualmente debe luchar la electrodinámica de cuerpos en movimiento.
1. Cinemática
§1. Definición de simultaneidad
Supongamos un sistema de coordenadas en el cual se valen las ecuaciones mecánicas de Newton. A este sistema de coordenadas lo llamaremos «sistema en reposo» a fin de distinguirlo de otros sistemas que se introducirían más adelante y para precisar la presentación.
Si un punto material se encuentra en reposo con respecto a este sistema de coordenadas, su posición se puede determinar y expresar en coordenadas cartesianas mediante escalas rígidas, utilizando la geometría euclidiana.
Cuando queremos describir el movimiento de un punto material, especificamos los valores de sus coordenadas en función del tiempo. Será necesario tener en cuenta que una descripción matemática de esta índole tiene un sentido físico solamente cuando con anterioridad se ha aclarado lo que en este contexto se ha de entender bajo «tiempo». Debemos tener en cuenta que todas nuestras afirmaciones en las cuales el tiempo juega algún papel, siempre son afirmaciones sobre eventos simultáneos. Por ejemplo, cuando digo «Ese tren llega aquí a las 7», esto significa algo así como: «El momento en que la manecilla pe queña de mi reloj marca las 7 y la llegada del tren son eventos simultáneos [17] ».
Podría parecer que todas las dificultades relacionadas con la definición del «tiempo» se superarían si en lugar de «tiempo» utilizara «la posición de la manecilla pequeña de mi reloj». De hecho, una definición de este tipo sería suficiente en caso de que se trate de definir un tiempo exclusivamente para el lugar en el cual se encuentra el reloj; no obstante, esta definición ya no sería suficiente en cuanto se trate de relacionar cronológicamente series de eventos que ocurren en lugares diferentes, o —lo que implica lo mismo— evaluar cronológicamente eventos que ocurren en lugares distantes del reloj.
No obstante, podríamos sentirnos satisfechos si avaluáramos cronológicamente los eventos mediante el reloj de un observador que se encuentra en el origen de coordenadas y le asigna la posición correspondiente de la manecilla del reloj a cada uno de los eventos a evaluar, en el momento en que recibe una señal de luz que proviene del evento y se propaga en el espacio vacío. Sin embargo, como lo demuestra la experiencia, una asignación de esta índole tiene la inconveniencia de no ser independiente del observador equipado con el reloj. Mediante la siguiente observación llegaremos a una especificación mucho más práctica.
Si en el punto A del espacio se encuentra un reloj, un observador que se encuentre en A puede evaluar cronológicamente los eventos en la vecindad inmediata de A, buscando las posiciones de la manecilla del reloj que correspondan simultáneamente a estos eventos. Si en el punto B del espacio también se encuentra un reloj —queremos añadir «un reloj de exactamente la misma naturaleza como el que se encuentra en A»— también es posible realizar una evaluación cronológica de los eventos en la vecindad inmediata de B mediante un observador que se encuentra en B.
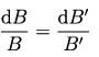
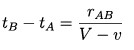
Sin embargo, sin especificaciones adicionales no es posible comparar cronológicamente el evento en A con el evento en B; hasta ahora hemos definido un «tiempo A» y un «tiempo B», pero no un «tiempo» común para A y B. Este último tiempo se puede definir estableciendo por definición que el «tiempo» que necesite la luz para viajar de A a B sea igual al «tiempo» para pasar de B a A. Supongamos que una señal de luz parte de A hacia B en el «tiempo A» tA, llega a B y se refleja de regreso hacia A en el «tiempo B» tB y finalmente llega al punto A en el «tiempo A» t'A. De acuerdo a la definición, los dos relojes estarán sincronizados si
![]()
1. Si el reloj en B está sincronizado con el reloj en A, entonces el reloj en A esta sincronizado con el reloj en B.
2. Si el reloj en A esta sincronizado con los relojes en B y en C, entonces los relojes en B y C también estarán sincronizados entre sí.
De esta manera con ayuda de ciertos experimentos físicos (imaginarios) hemos establecido lo que se debe entender bajo relojes sincronizados que se encuentran en reposo en diferentes lugares y, por ende, obviamente hemos obtenido una definición de «simultáneo» y de «tiempo». El «tiempo» de un evento es el dato de un reloj que se encuentra en reposo en el mismo lugar y el mismo momento del evento; dicho reloj debe estar sincronizado, para todas las determinaciones del tiempo, con un reloj específico que se encuentre en reposo.
Además, basándonos en el experimento asumimos que la magnitud

Lo importante es que hemos definido el tiempo mediante un reloj que se encuentra en reposo con respecto a un sistema en reposo; debido a su correspondencia con un sistema en reposo, al tiempo que acabamos de definir le llamaremos «el tiempo del sistema en reposo».
§2. Sobre la relatividad de la longitud y el tiempo
Las siguientes reflexiones se basan en el principio de la relatividad y el principio de la constancia de la velocidad de la luz, los cuales formularemos de la siguiente manera.
1. Las leyes de acuerdo a las cuales cambian los estados de los sistemas físicos no dependen de si estos cambios de estado se refieren a uno u otro de dos sistemas de coordenadas que se encuentran en movimiento relativo de traslación uniforme.
2. Cualquier rayo de luz se propaga en un sistema de coordenadas en «reposo» con cierta velocidad V, independientemente de si este rayo de luz ha sido emitido por un cuerpo en reposo o en movimiento. En este caso
![]()
Consideremos una varilla rígida en reposo de longitud l, la cual se determina igualmente mediante una escala de medición en reposo. Imaginémonos ahora el eje de la varilla situado sobre el eje X del sistema de coordenadas en reposo y supongamos que la varilla se traslada uniformemente (con velocidad v) y de forma paralela al eje X en la dirección de crecimiento de la coordenada x. Ahora nos preguntamos cual será la longitud de la varilla en movimiento, suponiendo que esta longitud se determina mediante las siguientes dos operaciones:
a. El observador se desplaza junto con la escala mencionada anteriormente y la varilla bajo consideración y efectúa la medición de la longitud superponiendo directamente la escala sobre la varilla, justamente de la misma manera como si la varilla, la escala y el observador se encontraran en reposo.
b. El observador determina los puntos del sistema en reposo en los cuales se encuentran los extremos de la varilla en determinado tiempo t, utilizando para ello relojes que no se mueven con respecto al sistema en reposo y han sido sincronizados de acuerdo al procedimiento del §1. La distancia entre estos dos puntos, determinada mediante la escala en reposo que ya hemos utilizado en este caso, también es una longitud que se puede designar como la «longitud de la varilla».
De acuerdo al principio de la relatividad, la longitud a determinar en la operación a), que llamaremos «longitud de la varilla en el sistema en movimiento», debe ser igual a la longitud l de la varilla en reposo.
La longitud a especificar en la operación b), que llamaremos «longitud de la varilla (en movimiento) en el sistema en reposo», será determinada en base a nuestros dos principios y se demostrará que su valor es diferente de l.
La cinemática de uso general asume tácitamente que las longitudes determinadas mediante las operaciones arriba mencionadas son exactamente iguales o, en otras palabras, desde el punto de vista geométrico un cuerpo rígido en movimiento en el momento t se puede reemplazar completamente por el mismo cuerpo cuando se encuentra en reposo en alguna posición.
Supongamos además que en los extremos (A y B) de la varilla se colocan relojes sincronizados con los relojes del sistema en reposo, es decir, en un instante dado sus indicaciones corresponden al «tiempo del sistema en reposo» en las posiciones donde resulte que se encuentren. Por lo tanto estos relojes están «sincronizados en el sistema en reposo».
Supongamos además que con cada reloj se mueve un observador y que estos observadores aplican a cada uno de los relojes el criterio establ ecido en §1 para la sincronización de dos relojes. En el instante de tiempo[18]tA un rayo de luz parte de A, luego se refleja en el punto B en el momento tB y regresa al punto A al tiempo t'A. Teniendo en cuenta el principio de constancia de la velocidad de la luz obtenemos:

![]()
De esta manera vemos que no podemos asignar un significado absoluto al concepto de simultaneidad, y que dos eventos simultáneos desde el punto de vista de un sistema de coordenadas ya no se pueden interpretar como simultáneos desde un sistema de coordenadas que se mueve relativamente con respecto al sistema en reposo.
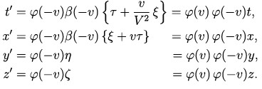
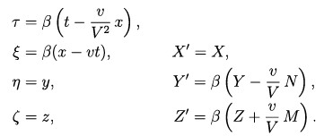
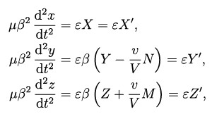
§3. Teoría de la transformación de coordenadas y del tiempo de un sistema en reposo a otro sistema que se encuentra en movimiento traslacional uniforme con respecto al primero
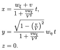
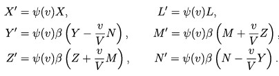
Consideremos dos sistemas de coordenadas en el espacio «en reposo», es decir, dos sistemas cada uno con tres líneas materiales rígidas que parten de un punto y son perpendiculares entre sí. Supongamos que los ejes X de ambos sistemas coinciden y los ejes Y y Z son respectivamente paralelos. Consideremos una escala rígida y un número de relojes en cada uno de los sistemas y supongamos que tanto las escalas como también los relojes de ambos sistemas son, de manera respectiva, exactamente iguales.
Al punto de origen de uno de los sistemas de coordenadas (k) se le confiere una velocidad (constante) v en la dirección de crecimiento de la coordenada x del otro sistema (K) que se encuentra en reposo.
Igualmente, la velocidad se transfiere a los ejes de coordenadas, la escala en cuestión y a los relojes. A cada tiempo t del sistema en reposo K le corresponde una posición determinada de los ejes del sistema en movimiento, y por razones de simetría estamos facultados para suponer que el movimiento de k puede ser tal que los ejes del sistema en movimiento en el momento t (siempre se designa con «t» el tiempo del sistema en reposo) son paralelos a los ejes del sistema en reposo.
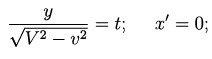
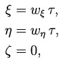
Ahora imaginémonos que el espacio del sistema en reposo K se mide mediante la escala en reposo, e igualmente el del sistema en movimiento k mediante la escala que se mueve junto con él, y de esta manera se determinan las coordenadas x, y, z yξ, η, ζ, respectivamente. El tiempo t del sistema en reposo se determina para todos los puntos del sistema mediante los relojes que se encuentran en reposo en dicho sistema y con la ayuda de señales de luz tal como se describió en §1; de igual forma el tiempo τ del sistema en movimiento se determina para todos los puntos del sistema, en el cual se hallan relojes en reposo relativo con respecto al mismo sistema, utilizando el método mencionado en §1 de señales de luz entre los puntos donde se encuentran dichos relojes.
Para cada sistema de valores x, y, z, t, el cual determina completamente la posición y el tiempo de un evento en el sistema en reposo, corresponde un sistema de valores ξ, η, ζ, τ, que fija dicho evento con respecto al sistema k. Ahora el problema a resolver consiste en encontrar el sistema de ecuaciones que relaciona estas magnitudes.
En primer lugar es claro que las ecuaciones deben ser lineales debido a las propiedades de homogeneidad que le asignamos al espacio y al tiempo.
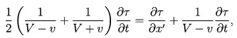
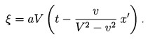
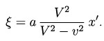
Si fijamos que x’ = x - vt, es claro que a un punto en reposo en el sistema k le corresponde cierto sistema de valores x’, y, z que es independiente del tiempo. Primero determinaremos τ como función de x’, y, z y t. A tal fin debemos expresar en forma de ecuaciones el hecho de que τ no es nada más que el compendio de los datos de los relojes en reposo en el sistema k, los cuales han sido sincronizados de acuerdo a la regla especificada en §1.
Supongamos que desde el origen del sistema k se emite un rayo de luz en el momento τ0 a lo largo del eje X hacia x’ y desde allí en el momento τ1 se refleja hacia el origen de coordenadas a donde llega en el momento τ2.
Entonces se debe cumplir que




Considerando que desde el punto de vista del sistema en reposo la luz siempre se propaga con la velocidad √(V2 – v2) a lo largo de los ejes Y y Z, un análisis similar aplicado a estos ejes nos lleva a:


Con ayuda de estos resultados es fácil determinar las magnitudes ξ, η, ζ, expresando mediante ecuaciones que la luz (tal como lo exige el principio de constancia de la velocidad de la luz en conexión con el principio de la relatividad) también se propaga en el sistema en movimiento con velocidad V. Para un rayo de luz que en el momento τ = 0 se emite en la dirección de crecimiento de ξ tenemos que:
ξ = Vτ,
o
![]()

![]()





Ahora debemos demostrar que desde el punto de vista del sistema en movimiento todo rayo de luz se propaga con la velocidad V, si este es el caso en el sistema en reposo, como lo hemos supuesto. Esto es necesario debido a que aún no hemos demostrado que el principio de constancia de la velocidad de la luz es compatible con el principio de la relatividad.
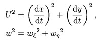
En el tiempo t = τ = 0, cuando ambos sistemas de coordenadas poseen un origen común, se emite una onda esférica que se propaga en el sistema K con velocidad V. Si (x, y, z) representa un punto abarcado por esta onda, entonces
x2 + y2 + z2 = V2t2
A esta expresión le aplicamos nuestras ecuaciones de transformación y tras un cálculo sencillo obtenemos:![]()
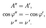
En las ecuaciones de transformación que hemos derivado aparece una función desconocida de φ de v que determinaremos ahora.
A tal fin introducimos un tercer sistema de coordenadas K’ que con respecto al sistema k se encuentra en un estado de movimiento traslacional paralelamente al eje Ξ, de tal manera que su origen de coordenadas se desplaza con velocidad -v a lo largo del eje Ξ. Supongamos que en el momento t = 0 todos los tres orígenes de coordenadas coinciden y que para t = x = y = z = 0 el tiempot' del sistema K' es igual a cero. Sean x’, y', z', las coordenadas medidas en el sistema K'. Utilizando dos veces nuestro sistema de ecuaciones de transformación obtenemos:

![]()

![]()

![]()


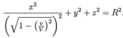
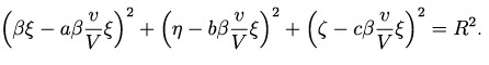
Consideremos una esfera rígida[19]de radio R que está en reposo con respecto al sistema k y cuyo centro se encuentra en el origen de coordenadas de k . La ecuación para la superficie de esta esfera que se mueve con velocidad v con respecto a K es:
![]()



Es claro que los mismos resultados son válidos para cuerpos en reposo en el sistema de «reposo», vistos desde un sistema en movimiento uniforme.
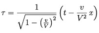
Además, imaginémonos uno de los relojes que están en la capacidad de indicar el tiempo t cuando se encuentra en reposo con respecto a un sistema en reposo, y el tiempo τ cuando se encuentra en reposo con respecto a un sistema en movimiento. Supongamos que dicho reloj está localizado en el origen de coordenadas de k y está ajustado de tal manera que indica el tiempo τ. ¿Qué tan rápido marcara el tiempo este reloj, si se observa desde el sistema en reposo?
Entre las cantidades x, t y τ que se refieren a la posición de este reloj tenemos, obviamente, las siguientes ecuaciones:

x = vt
Por lo tanto
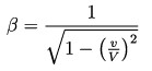
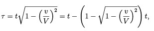
![]()
De lo anterior se deriva la siguiente consecuencia particular. Si en los puntos A y B de K existen relojes sincronizados, que se encuentran en reposo con respecto al sistema en reposo, y movemos el reloj de A con velocidad v a lo largo de la línea que une A con B, al llegar al punto B los relojes ya no estarán sincronizados, sino que el reloj desplazado de A hasta B mostrara, con respecto al reloj que desde el principio se encontraba en B, un retraso de ½tv2/V2 segundos, donde t es el tiempo que necesita el reloj para pasar de A a B.
Inmediatamente se ve que este resultado también es válido cuando el reloj se desplaza desde A hasta B a lo largo de una línea poligonal arbitraria, incluso cuando los puntos A y B coinciden.
Si suponemos que el resultado demostrado para una línea poligonal es válido también para una curva de curvatura continua, obtenemos la siguiente conclusión: Si en A se encuentran dos relojes sincronizados y movemos uno de ellos con velocidad constante a lo largo de una curva cerrada hasta regresar al punto A, utilizando para ello un tiempo de t segundos, entonces al llegar al punto A el reloj desplazado mostrará un retraso de ½t(v/V) 2 segundos, con respecto al reloj que ha permanecido inmóvil. De aquí concluimos que un reloj de balance situado en el ecuador de la Tierra debe andar más despacio, por una cantidad muy pequeña, que un reloj similar situado en uno de los polos y sujeto a las mismas condiciones.
§5. Teorema de adición de velocidades
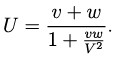
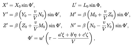
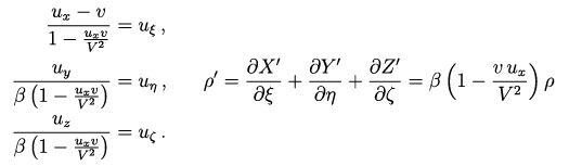
Consideremos en el sistema k, que se mueve con velocidad v a lo largo del eje X del sistema K, un punto en movimiento de acuerdo a las siguientes ecuaciones:

Se pretende describir el movimiento del punto con respecto al sistema K. Si introducimos en las ecuaciones de movimiento del punto las magnitudes x, y, z, t mediante las ecuaciones de transformación derivadas en §3, obtenemos:


![]()





Hemos derivado las dos leyes necesarias de la cinemática que corresponden a nuestros dos principios y ahora procederemos a mostrar su aplicación en electrodinámica.
2. Electrodinámica
§6. Transformación de las ecuaciones de Maxwell-Hertz para el espacio vacío. Sobre la naturaleza de la fuerza electromotriz que aparece con el movimiento en un campo magnético.
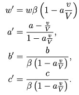
Supongamos que las ecuaciones de Maxwell-Hertz para el espacio vacío son válidas en el sistema en reposo K de forma tal que:

Si aplicamos a estas ecuaciones la transformación desarrollada en §3, refiriendo los efectos electromagnéticos al sistema de coordenadas que se mueve con velocidad v, obtenemos las siguientes ecuaciones:




![]()
![]()
![]()

- Si una carga eléctrica, puntual y unitaria se mueve en un campo electromagnético, además de la fuerza eléctrica sobre ella actúa una «fuerza electromotriz» que, si despreciamos los términos multiplicados por las potencias de v/V de orden dos y superiores, es igual al producto vectorial de la velocidad de la carga unitaria por la fuerza magnética, dividido por la velocidad de la luz (modo de expresión antiguo).
- Si una carga eléctrica, puntual y unitaria se mueve en un campo electromagnético, la fuerza que actúa sobre ella es igual a la fuerza eléctrica presente en la posición de la carga, la cual se obtiene mediante una transformación del campo a un sistema de coordenadas en reposo con respecto a la carga eléctrica (modo de expresión moderno).
Además es claro que ahora deja de existir la asimetría mencionada en la introducción que aparecía cuando considerábamos corrientes producidas por el movimiento relativo de un imán y un conductor. Adicionalmente, las cuestiones relaciones con el «sitio» de las fuerzas electrodinámicas electromotrices (máquinas unipolares) no tienen ningún sentido.
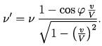
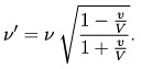
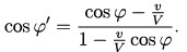
§7. Teoría del principio de Doppler y de la aberración
Supongamos que muy lejos del origen de coordenadas del sistema K se encuentra una fuente de ondas electrodinámicas, las cuales en la parte del espacio que contiene el origen se representan con un grado suficiente de aproximación mediante las siguientes ecuaciones:

Queremos investigar la constitución de estas ondas cuando son examinadas por un observador que se encuentra en reposo con respecto al sistema en movimiento k. Aplicando las ecuaciones de transformación para las fuerzas eléctricas y magnéticas derivadas en §6 y las ecuaciones de transformación para las coordenadas y el tiempo halladas en §3, encontramos directamente las siguientes relaciones




Si denominamos como φ’ el ángulo entre la normal de la onda (dirección del rayo) en el sistema en movimiento y la línea de conexión «fuente de luz-observador», la ecuación para a’ toma la forma
![]()
![]()


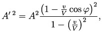
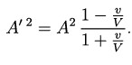
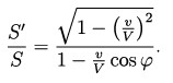
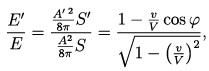
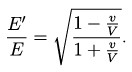
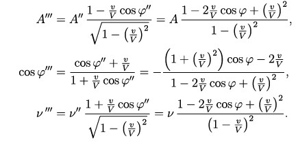
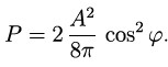
§8. Transformación de la energía de rayos de luz. Teoría de la presión de radiación ejercida sobre un espejo perfecto.
Puesto que A2/8π es la energía de la luz por unidad de volumen, de acuerdo al principio de la relatividad debemos considerar a A'2/8π como la energía de la luz en el sistema en movimiento. Por lo tanto A’2/ A2 sería la relación entre la energía de cierto complejo de luz «medida en movimiento» y la «medida en reposo», si el volumen del complejo de luz medido en K fuera el mismo que el medido en k. Sin embargo, este no es el caso. Si a, b, c son los cosenos direccionales de la normal de la onda de luz en el sistema en reposo, a través de los elementos de superficie de la esfera
![]()
Desde el punto de vista del sistema en movimiento la superficie esférica es una superficie elipsoidal cuya ecuación para el tiempo τ = 0 es




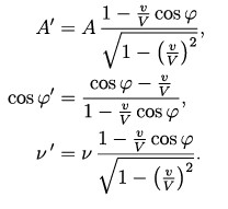
Sea el plano de coordenadas ξ = 0 una superficie reflectora perfecta sobre la cual se reflejan las ondas planas consideradas en el último parágrafo. Nos preguntamos cual es la presión de la luz ejercida sobre la superficie reflectora, y la dirección, frecuencia e intensidad de la luz después de la reflexión.
Supongamos que el rayo incidente está definido mediante las magnitudesA, cos φ, ν (con respecto al sistema K). Desde el punto de vista de k las magnitudes correspondientes son:





§9. Transformación de las ecuaciones de Maxwell-Hertz considerando las corrientes de convección.
Comenzamos con las ecuaciones


Si estas ecuaciones son válidas en el sistema K y las transformamos al sistema k con la ayuda de las ecuaciones de transformación derivadas en §3 y §6, obtenemos las ecuaciones


Además, quisiéramos anotar brevemente que de las ecuaciones desarrolladas se puede derivar con facilidad la siguiente ley importante: Si un cuerpo cargado eléctricamente se mueve de forma arbitraria en el espacio sin alterar su carga, cuando se observa desde un sistema de coordenadas que se desplaza junto con el cuerpo, entonces su carga también permanecerá constante cuando se observa desde el sistema en «reposo» K.
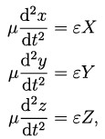
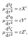
§10. Dinámica de un electrón (acelerado lentamente).
En un campo electromagnético se mueve una partícula puntual (que llamaremos electrón) provista de una carga eléctrica ε y sobre su movimiento suponemos lo siguiente:
Si el electrón se encuentra en reposo en un momento dado, en los instantes de tiempo subsiguientes el movimiento se desarrolla de acuerdo a las ecuaciones

En segundo lugar, supongamos que en cierto momento el electrón posee la velocidad v. Buscamos la ley de acuerdo a la cual se mueve el electrón en los instantes de tiempo inmediatos.
Sin alterar la generalidad del análisis podemos y queremos asumir que el electrón, en los momentos en que lo observamos, se encuentra en el origen de coordenadas y se mueve a lo largo del eje X del sistemaK con velocidad v. Entonces es claro que en un momento dado ( t = 0) el electrón se encuentra en reposo con respecto a un sistema de coordenadas que se desplaza paralelamente a lo largo del eje X con velocidad v.
De la suposición descrita arriba en relación con el principio de la relatividad es claro que desde el punto de vista del sistema k y para los momentos de tiempo subsiguientes (valores pequeños de t) el movimiento del electrón se describe mediante las ecuaciones




masa × aceleración = fuerza
y, además, decidimos que las aceleraciones deben ser medidas en el sistema en reposo K, de las ecuaciones mencionadas arriba obtenemos
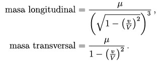
Nótese que estos resultados sobre la masa también son válidos para puntos materiales ponderables, porque un punto material ponderable se puede convertir en un electrón (en nuestro sentido), adicionándole una carga eléctrica tan pequeña como se quiera.
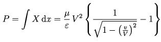
Ahora determinaremos la energía cinética del electrón. Si un electrón se mueve partiendo del reposo desde el origen de coordenadas del sistema K a lo largo del eje X bajo la acción de una fuerza electrostática X, es claro que la energía extraída del campo electrostático tiene el valor de ∫ εX dx. Puesto que el electrón se debe acelerar lentamente y, por lo tanto, no debe emanar energía en forma de radiación, la energía extraída del campo electrostático se debe igualar a la energía de movimiento W del electrón. Teniendo en cuenta que durante todo el proceso de movimiento bajo consideración se puede aplicar la primera de las ecuaciones (A ), obtenemos

En virtud del argumento mencionado arriba, esta expresión para la energía cinética también debe ser válida para masas ponderables.
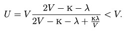
Ahora enumeraremos las propiedades del movimiento del electrón que se derivan del sistema de ecuaciones (A) y que podrían ser sometidas a experimentos:
- De la segunda ecuación del sistema (A) se deduce que una fuerza eléctrica Y y una fuerza magnética N actúan con la misma intensidad de deflexión sobre un electrón que se mueve con velocidad v, cuando se cumple que Y = Nv/V. Entonces vemos que de acuerdo a nuestra teoría es posible determinar la velocidad del electrón a partir de la relación entre la deflexión magnéticaAmy la deflexión eléctrica Ae, utilizando la ley
Esta relación puede ser probada en el experimento porque la velocidad del electrón también se puede medir directamente, por ejemplo, mediante campos eléctricos y magnéticos que oscilan rápidamente.
- De la derivación de la energía cinética para el electrón se deduce que entre la diferencia continua de potencial y la velocidad v adquirida por el electrón debe existir una relación de la forma

- Calculemos el radio de curvatura R de la trayectoria cuando existe (como única fuerza de deflexión) una fuerza magnética N que actúa de forma perpendicular a la velocidad del electrón. De la segunda de las ecuaciones (A) obtenemos
o

Finalmente quisiera anotar que durante el trabajo realizado para analizar los problemas aquí presentados he contado con la fiel asistencia de mi amigo y colega M. Besso a quien agradezco por algunas sugerencias valiosas.
Artículo 4
¿Depende la masa inercial de la Energía? [iv]
He basado mi investigación en las ecuaciones de Maxwell-Hertz para el espacio vacío, junto con la expresión maxweliana para la energía electromagnética en el espacio, y, además, en el principio de que las leyes por las que se altera el estado de los sistemas físicos son las mismas cuando se expresan en dos sistemas de coordenadas distintos que se desplazan en movimiento uniforme y rectilíneo. (Principio de Relatividad). En base a estos conceptos obtuve el siguiente resultado:
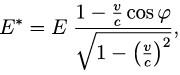
Sea un sistema de ondas planas de luz expresado en el sistema de coordenadas (x, y, z) que posee energía E; sea φ el ángulo que la dirección de propagación de las ondas forma con el eje x del sistema. Si introducimos entonces otro sistema de coordenadas (ξ, η, ζ) moviéndose en traslación rectilínea y uniforme con respecto al sistema (x, y, z) y manteniendo su origen de coordenadas en movimiento a lo largo del eje x con velocidad v, entonces, esta cantidad de luz medida en el sistema (ξ, η, ζ) tiene la energía

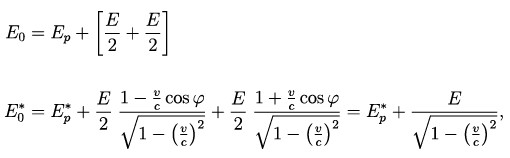
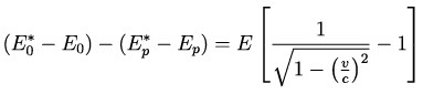
Consideremos un cuerpo estacionario con respecto a (x, y, z) y sea E0 su energía en dicho sistema. Sea también E0* la energía de dicho cuerpo medida en el sistema (ξ, η, ζ) que se mueve con velocidad v.
Este cuerpo envía, en la dirección que forma un ánguloφ con el eje x, ondas planas de luz, de energía E/2 medida en el sistema (x, y, z), y simultáneamente, envía una cantidad igual de luz en la dirección opuesta. Mientras tanto, el cuerpo permanece en reposo con respecto al sistema (x, y, z). Por el Principio de constancia de la velocidad de la luz, las ecuaciones de Maxwell pueden aplicarse a este proceso (pues las ecuaciones de Maxwell contienen implícitamente el Principio de Relatividad).
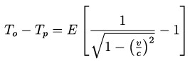
Si llamamos Epy Ep* a la energía no emitida, medida, respectivamente, en el sistema (x, y, z) y en el sistema (ξ, η, ζ) entonces, empleando la relación antedicha obtenemos:





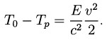
Evidentemente, el hecho de que la energía que emite el cuerpo se convierta en radiación no impide que lleguemos a la conclusión de que la masa de un cuerpo es la medida de su contenido energético. Si la energía cambia en una cantidad ΔE, la masa cambiará en el mismo sentido que el cambio energético en Δm = ΔE/c2. Si c = 3 × 10 10 cm/s la energía se mediría en este caso en ergios y la masa en gramos.
No es imposible que en los cuerpos cuyo contenido energético varía (por ejemplo en las sales de radio), la teoría pueda ponerse a prueba con éxito.
Si la teoría se corresponde con los hechos, puede afirmarse, por tanto, que la radiación emitida modifica la masa del cuerpo emisor.
Notas al pie:




Notas al fin del libro
A partir de 1887, con los trabajos de Heinrich Hertz, se habían descubierto algunos hechos sorprendentes que se denominaban efecto fotoeléctrico y que hasta la publicación de este artículo nadie había podido explicar: la emisión de electrones por un metal cuando sobre él incidía radiación luminosa, ya sea en el visible o en el ultravioleta; la fotoconductividad o aumento de la conductividad eléctrica de un material cuando se produce la incidencia de esta radiación; y, también, el denominado efecto fotovoltaico, por el que parte de la energía de la luz incidente se convertía en energía eléctrica.
En este artículo el autor establece el concepto de cuánto o corpúsculo de luz (fotón), mostrando cómo, mediante esta idea, puede explicarse el problema del efecto fotoeléctrico, hasta entonces no resuelto. La explicación definitiva requeriría de los trabajos de Planck y de los físicos que comenzaron a desarrollar en esos años la incipiente Mecánica Cuántica.
Son muchísimas las aplicaciones prácticas que se derivaron de este descubrimiento en los años siguientes: células fotoeléctricas, rayo láser, etc.

Diagrama ilustrando la emisión de los electrones de una placa metálica, requiriendo de la energía absorbida de un fotón.
Ya en el año 1827 un botánico escocés, Robert Brown, había descubierto que los granos de polen se movían al flotar en un líquido en reposo. Los granos que flotan presentaban un movimiento impredecible a pesar de que el líquido estaba en total reposo. Aunque se intentó explicar el fenómeno durante décadas, nunca se había conseguido una explicación aceptable del mismo. Al mismo tiempo, existía una enorme controversia sobre la existencia real de los átomos.
La explicación que da Einstein en este artículo de 1905 es que los granos de polen que vio Brown se mueven porque las partículas microscópicas que los forman colisionan, como si fueran bolas de billar, con las partículas que forman el agua. La existencia de esas partículas microscópicas, los átomos, quedaría, por tanto, probada. Explica, pues, el fenómeno haciendo uso de las estadísticas del movimiento térmico de los átomos individuales que forman el fluido. La explicación de Einstein proporcionaba una evidencia experimental incontestable sobre la existencia real de los átomos. Se convertiría, en definitiva, este artículo, en una de las bases de la Mecánica Estadística y de la Teoría Cinética de los Fluidos.

El Movimiento browniano se observa en partículas que flotan en un líquido en reposo.
Einstein en este artículo introduce la teoría de la relatividad especial o restringida, haciendo un estudio del movimiento de los cuerpos en ausencia de interacciones gravitacionales. Se resuelve el problema abierto con el experimento de Michelson y Morley, por el que se tuvo la certeza de que las ondas de luz se movían en ausencia de medio.
Algunas de las fórmulas fundamentales de este artículo ya habían sido introducidas por Hendrik Lorentz en 1903 a fin de dar una formulación matemática a una conjetura hecha por George Fitzgerald en 1894 a la vista del experimento de Michelson y Morley, según la cual tal experimento podría explicarse claramente si los cuerpos se contraen en la dirección del movimiento.
Las ideas básicas que se muestran en el artículo son la reformulación del principio de simultaneidad de Galileo, por el que las leyes de la física han de ser invariantes para todos los observadores que se mueven relativamente a velocidad constante; y que la velocidad de la luz es constante para cualquier observador y no depende del movimiento del foco emisor.
La teoría que plantea el artículo se denominaría más tarde «teoría especial de la relatividad» o «teoría de la relatividad restringida» para distinguirla de la «teoría de la relatividad general», que sería formulada por el mismo Einstein en 1915 y en la que se consideran ya los efectos de la gravedad y la aceleración.

Gráfico del Cono de luz que describe el espacio cuadrimensional: el eje horizontal (el plano) figura las tres dimensiones espaciales, y en el eje vertical la dimensión temporal.
Deduce Einstein en el artículo que, llamando L a la energía emitida por un cuerpo, y c a la velocidad de la luz, la variación de masa del cuerpo es
m = L/c2
lo que implica que la energía E de un cuerpo en reposo es igual a la masa multiplicada por el cuadrado de la velocidad de la luz.E = mc2
Hoy se acostumbra a interpretar la fórmula de la energía como que la materia puede convertirse en energía, y, recíprocamente, la energía se convierte en materia. Habríamos de interpretar el principio de conservación de la energía afirmando la constancia en un sistema cerrado de la masa más la energía.Las consecuencias de esto son harto conocidas, en particular, por sus extraordinarias consecuencias hemos de mencionar la producción de energía nuclear. La cantidad de energía liberada por la fisión de los núcleos atómicos se calcula como el producto de multiplicar el cuadrado de la velocidad de la luz por la diferencia entre la masa inicial y la masa de los productos de la fisión.

La fisión nuclear es la división del núcleo de un átomo y esta produce energía. Una vez fisionado el átomo, la suma de la masa de los fragmentos es menor que la masa del átomo original. Esta pérdida de masa es la energía que se obtiene del proceso.