Ampère
Eugenio Fernández
Maxwell afirmó con cierto tino que Ampère fue el «Newton de la electricidad». Así, del mismo modo que Newton unificó la física terrestre con la física celeste, la aportación principal de André- Marie Ampère a la historia de la física fue la de insuflar el primer impulso hacia la unificación de las fuerzas eléctricas con las fuerzas magnéticas. Y lo hizo nada menos que mediante la instauración de una nueva disciplina, la electrodinámica Ambos científicos vieron una sola causa para dos conjuntos de fenómenos en apariencia independientes. En el caso de Newton, los movimientos que tenían lugar en la Tierra y que había estudiado a fondo Galileo respondían a la misma causa que los movimientos de los objetos celestes estudiados por Kepler, es decir, a la gravedad. En el caso de Ampère, el magnetismo encontraba su causa en la existencia de corrientes eléctricas. Sin embargo, este logro no fue lo único en lo que destacó este particular francés nacido en Lyon.
La figura de Ampère suele pasar desapercibida para el gran público, aunque quizá no en Francia, donde llevan su nombre calles, institutos, colegios... Es muy posible que si se hiciera un sondeo, solo algunos físicos, químicos, ingenieros y un puñado de estudiantes aventajados supieran decir quién fue realmente Ampère. De hecho, es muy probable que incluso ellos errasen el tiro, pues harían referencia a la ley de Ampère, que, precisamente, no fue descrita por él. A pesar de ello, un alto porcentaje de la población está acostumbrado a términos como amperio, amperímetro, corriente eléctrica y, tal vez, solenoide, sin haber caído en la cuenta de que todos ellos fueron neologismos surgidos de la mente del científico.
Contemporáneo de Napoleón, vivió una época de revoluciones y cambios políticos en su Francia natal. Su infancia se desarrolló de manera muy especial, pues no fue a la escuela, sino que su padre, siguiendo sus propios intereses e inquietudes, fue quien se encargó de la formación de André Marie. La felicidad se vio truncada, cumplidos los dieciocho años, al sufrir el primer revés de su vida: la muerte de su padre bajo la guillotina, durante la Revolución francesa. Nos encontramos ante un genio atormentado que tuvo que soportar grandes golpes del destino, como la muerte de su primera esposa, el repudio de la segunda, los dislates románticos de su hijo y la desdicha de una hija maltratada. Los problemas económicos lo llevaron a aceptar varios puestos docentes y administrativos, y acabó enfermando por el exceso de trabajo, ignorando las advertencias de los amigos ante su evidente deterioro.
André Marie fue un niño precoz que disfrutó con el estudio de las matemáticas. Su intelecto se forjó con la lectura de enciclopedias, por lo que quedaría marcado el resto de sus días con una curiosa tendencia, casi obsesiva, hacia las clasificaciones. Su personalidad no fue la de un científico frío entregado a su trabajo y desatento con su vida privada, sino que mostró una gran sensibilidad con los suyos, como queda de manifiesto en su faceta de poeta Su niñez constituyó un proceso de autoformación tanto en el conocimiento como en la persona A pesar de las indudables ventajas que puede tener una educación autodidacta, nunca aprendió el hábito de un trabajo de laboratorio sistemático, con una recopilación de datos estructurada y una redacción de informes y memorias organizados. Pero esta carencia se suplía con creces gracias al increíble talento matemático que desarrolló y que supo aplicar con inteligencia a distintos campos del conocimiento.
La gran aportación de Ampère a la historia de la ciencia es su teoría electrodinámica. El tratamiento matemático de esta teoría es sumamente complejo para el gran público; sin embargo, las hipótesis de partida y las conclusiones finales son sencillas. Cuando ya era un matemático reputado, llegó a sus manos la experiencia de Oersted, que demostraba que una corriente eléctrica producía efecto a distancia sobre un imán, en concreto, sobre una brújula. Este experimento fue el pistoletazo de salida para la carrera en el estudio del electromagnetismo, y sumiría a la ciencia en una revolución durante el siglo Ampère. Tanto es así que incluso tendría lugar un cambio de paradigma: la electricidad y el magnetismo no se verían como fuerzas independientes, sino como distintas caras de una misma realidad. Se trata de una etapa en la que grandes científicos dejarían su nombre. Y muchos de ellos tuvieron algún tipo de relación con Ampère, como Biot, Savart, Faraday, entre otros. Pero estas colaboraciones no se limitaron al terreno de la electrodinámica, sino que Ampère se codeó con todo tipo de eminencias, entre las que cabe destacar Cauchy, Fresnel, Biot, Davy, Gay-Lussac, Poinsot, Laplace y Lagrange.
La belleza de la hipótesis de Ampère para dar explicación al descubrimiento de Oersted destaca por su simplicidad: las cargas eléctricas en movimiento se comportan como un imán. En su teoría se habla de corrientes moleculares, es decir, moléculas cargadas que se mueven y que producen efectos en los imanes. Inauguró de este modo la electrodinámica, la disciplina que estudia el comportamiento de las cargas en movimiento, en contraste con la electrostática, instaurada por Coulomb y que estudia las cargas estáticas. En 1826 publicó «Teoría de los fenómenos electrodinámicos deducidos únicamente de la experiencia», trabajo que incluía los experimentos más importantes que había realizado durante varios años. Su principal interés fue demostrarle a la comunidad científica que ninguna de sus conclusiones era gratuita, que todas podían deducirse mediante experimentos, de ahí el título de la memoria. En su teoría se recoge la ley matemática que sirve para calcular la fuerza de atracción o repulsión que sufren dos conductores longitudinales atravesados por sendas corrientes eléctricas. Se trata de una clase magistral de aplicación del cálculo diferencial a los fenómenos eléctricos; solo una persona especializada en esta disciplina matemática podría haber llegado a tales conclusiones.
La faceta matemática de Ampère es una gran desconocida. Desafortunadamente no ha pasado a la historia como un gran matemático, a pesar de que la mayoría de los puestos que ocupó estaban relacionados con esta disciplina. Aunque solo encontramos en la bibliografía actual la ecuación de Monge-Ampère, sus acercamientos a las matemáticas le procuraron una sólida base para su posterior estudio de la electricidad y el magnetismo. Sin haber cumplido treinta años y sin haber asistido nunca a la escuela, fue nombrado profesor de Física en Bourg, un pueblo cercano a Lyon. Comenzó así a publicar sus primeros trabajos de matemáticas y a forjarse un renombre. Obtuvo distintos puestos docentes, y de Bourg se trasladó a Lyon, y de ahí a París. Una vez en la capital, se instaló en ella para siempre, y solo volvería a su ciudad natal, Lyon, durante cortos períodos para reencontrarse con amigos y familiares.
Ampère tampoco ha pasado a la historia como químico, hecho que puede parecer ir\justo, pues llegó a establecer incluso una hipótesis similar a la de Avogadro: el número de moléculas contenidas en un gas es proporcional a su volumen. Realizó varios experimentos y estudios que fueron rechazados con dureza por sus contemporáneos, que lo veían como un matemático brillante que realizaba un ejercicio de intrusión en un campo que no era el suyo. Apuntó también su mirada a disciplinas tan dispares como la zoología, la óptica, la botánica y la psicología, si bien en ninguna de ellas en calidad de experto, sino que se trataba solo de acercamientos propios de una mente curiosa Se conserva incluso un dibujo en el que compara la circulación sanguínea de distintos animales con el objetivo de buscar un patrón común. Esa fue la consigna que persiguió siempre: la búsqueda de patrones y la clasificación. Tanto es así que la última etapa de su vida la dedicó a la redacción de un libro sobre filosofía de la ciencia, un tema por el que siempre sintió apetencia y que parece que abordó ya desde la perspectiva de la madurez y la experiencia No se trata de un libro de filosofía de la ciencia actual, sino de una obra en dos entregas donde clasifica las ciencias conocidas y algunas disciplinas nuevas introducidas por él mismo. Parece ser que esta clasificación fue leída por Einstein. Es curioso, por cierto, el paralelismo con la vida del científico alemán en un aspecto concreto: su trabajo en el sector de las manufacturas. Ampère no trabajó en una oficina de patentes, pero sí perteneció a la Sociedad de Emulación y Agricultura de Ain, a la Junta Asesora de Artes y Manufacturas y a la Sociedad para el Fomento de la Industria Nacional, todos ellos organismos relacionados con la aplicación industrial de distintos inventos. Y aunque no llegó a convertirse en ingeniero, sí dejó esquemas de optimizaciones para máquinas ya inventadas, de manera amateur. Por ejemplo, propuso mejoras para los molinos de viento de un amigo de su padre y creó un nuevo arado para resolver ciertos problemas agrícolas.
Ampère murió prácticamente en el anonimato; la sociedad francesa tardaría años en saber la calidad del genio que había perdido, un hombre del Renacimiento en pleno siglo XIX. Incluso la Academia de las Ciencias francesa no fundaría hasta 1974 el premio Ampère, en conmemoración, al año siguiente, del bicentenario de su nacimiento. Este galardón es concedido a los académicos franceses cuyos trabaos han destacado en investigación física o matemática.
En la sociedad actual en la que usamos la corriente eléctrica para infinidad de tareas, el nombre de Ampère está presente a diario. O debería estarlo. Parémonos a pensarlo un momento. Cuando pongamos a cargar nuestro teléfono móvil fajémonos en la etiqueta que se encuentra pegada al cargador, y en la que puede leerse «input» y «output». Este último señala los valores de las magnitudes eléctricas que le llegan al terminal. Por ejemplo, 5 V y 1 A. La segunda cantidad se lee «un amperio», y es la velocidad con la que la energía eléctrica llega al teléfono. Cada vez que carguemos el móvil sería de justicia recordar el nombre de Ampère, aunque solo sea por la indiferencia con la que se recibió en su momento su desaparición. Pero recuérdese en minúscula, amperio, pues así es como pasan a la historia los gigantes de la ciencia.
| 1775 | Nace en Lyon, Francia, el 20 de enero, André Marie Ampère, segundo hijo de Jean Jacques Ampère y Jeanne- Antoinette Desutiéres-Sarcey. |
| 1793 | Jean Jacques Ampère muere guillotinado, el 24 de noviembre. |
| 1799 | Se casa con Julie Carrón. Al año siguiente nace Jean Jacques, su primer hijo. |
| 1802 | Es nombrado profesor de Física en la Escuela Central de Bourg-en-Bresse. Publica Consideraciones sobre la teoría matemática del juego, su primera memoria científica. |
| 1803 | Es nombrado profesor en el Liceo de Lyon. Muere su esposa. |
| 1804 | Es nombrado répétiteur en la Escuela Politécnica de París. |
| 1806 | Consigue un puesto en la Oficina Consultiva de las Artes y las Manufacturas. Se casa con Jenny Potot. |
| 1807 | Es nombrado profesor en la Escuela Politécnica de París. Nace Anne- Joséphine Albine, su segunda hija |
| 1808 | Es nombrado inspector de la Universidad Imperial. André Marie y Jenny se separan. |
| 1814 | Presenta una memoria sobre las series de Taylor y una hipótesis sobre los gases similar a la de Avogadro. |
| 1815 | Es elegido matemático de la Academia de las Ciencias francesa Presenta una memoria sobre ecuaciones diferenciales en derivadas parciales, así como su clasificación de los elementos. |
| 1820 | Presenta una segunda memoria sobre ecuaciones diferenciales en derivadas parciales que incluye la ecuación de Monge-Ampère. Tiene conocimiento de la experiencia de Oersted. Publica en Anales de Química y Física sus primeras históricas presentaciones en la Academia sobre electrodinámica. Publica diversas memorias sobre sus experimentos de electrodinámica. |
| 1824 | Publica Memoria sobre los fenómenos electrodinámicos, obra que resume los anteriores años de investigación. Escribe su autobiografía. Es nombrado profesor del Colegio de Francia. |
| 1826 | Presenta la memoria «Teoría de los fenómenos electrodinámicos deducidos únicamente de la experiencia», su obra cumbre sobre electrodinámica. |
| 1828 | Renuncia a su puesto en la Escuela Politécnica de París. |
| 1834 | Publica el primer volumen de Ensayo sobre la filosofía de las ciencias. El segundo volumen será publicado a título póstumo por su hijo. |
| 1836 | Muere en Marsella, el 10 de junio, como consecuencia de una neumonía. |
Capítulo 1
El matrimonio de las cargas en reposo
A finales del siglo XVIII, Francia era sacudida por los tumultos revolucionarios que acabarían en un cambio radical, tanto en su sistema político como en la propia vida social. En medio de la miseria, el horror y las dificultades, una joven promesa llamada André Marie Ampère se formaba en la biblioteca de su padre.
Al mismo tiempo, Charles-Augustin de Coulomb descubría la ley que lleva su nombre y que describe la interacción entre las cargas eléctricas en reposo.
André Marie Ampère nació en Lyon en 1775 y falleció en Marsella en 1836, de manera que vivió de pleno los movimientos revolucionarios que cambiarían el país por completo, en mitad de un momento histórico en el que la ciencia en Francia tenía una tendencia al auge. Diferentes gobiernos se sucedieron a lo largo de su vida, entre los que estuvieron, además de los revolucionarios, el de Luis XVI, el reinado no reconocido de Luis XVII (el rey niño que fue confinado hasta su muerte en la parisina Prisión del Temple), Napoleón Bonaparte, Luis XVIII, Carlos X y, ya al final de su vida, Su Alteza Serenísima, Luis Felipe I. La inestabilidad política se hizo notar en la enseñanza, por lo que también se vio afectado por los distintos enfoques en las administraciones educativas. Inmerso en este contexto, puede entenderse que aprender bajo la tutela formal no era tarea fácil; en este sentido, la influencia paterna fue absolutamente decisiva para su posterior desarrollo científico. Su padre sentía una aguda inclinación por las ideas ilustradas y, entre otros, había leído a Rousseau con atención. Su decisión fue clara: no enviaría a su hijo a la escuela, le instruyó él mismo y le abrió el camino para que fuera autodidacta. Ampère no pisó mi colegio en toda su infancia, sino que lo haría años más tarde y sería para impartir clases.
La infancia de Ampère sería pues una etapa preparatoria. En su juventud terminaría una formación basada en la búsqueda del rigor que aprendió en los textos de matemáticas y de botánica de la biblioteca de su padre. Tuvo largos períodos de alegría truncados por dos etapas de tristeza que lo separaron temporalmente de su inclinación por el conocimiento. La primera se produjo cuando solo tenía dieciocho años, y fue la muerte de su progenitor, guillotinado por su implicación en asuntos políticos. La segunda vendría a cerrar el período que se ha considerado el más feliz de su vida. En 1799 se casó con Julie Carrón, pero esta moriría en 1803 debido a una enfermedad que la relegó durante tres años a una vida muy limitada. Esta última desgracia se abordará en el siguiente capítulo.
Atracción irresistible
En 1777, el científico francés Charles-Augustin de Coulomb (17361806) desarrolló la balanza de torsión, un montaje experimental clave que usó para la formulación de su ley de interacción entre cargas eléctricas puntuales. La balanza de torsión está formada por una barra horizontal que pende de un cable o filamento susceptible de rotación; o sea, puede sufrir torsiones. En ambos extremos de la barra horizontal hay sujetas sendas bolas metálicas que pueden cargarse con el fin de que sufran fuerzas electrostáticas entre ellas.
La ley de Coulomb relaciona dichas fuerzas con las variables de las que depende, es decir, el valor de las cargas (Q y q) y la distancia que las separa (d).

La fuerza entre cargas es repulsiva si estas son del mismo signo y atractiva si son de signo opuesto.
Si además tenemos en cuenta una constante de proporcionalidad (K) que depende del medio en el que se produce la interacción, la ley de Coulomb (véase la figura) suele expresarse matemáticamente del siguiente modo:

Un detalle muy importante de la ley de Coulomb es su inmediata simetría con la ley de gravitación universal de Newton, la cual permite calcular la fuerza de atracción entre dos cuerpos puntuales de masa m y M separados por una distancia d:

donde G es la constante de gravitación universal, que en este caso no depende del medio.
Newton publicó este resultado en el siglo anterior, en 1687. Es decir, la ley de Coulomb sirve para estudiar la interacción entre cargas electrostáticas y la de Newton para la interacción entre masas, aunque en este caso solo pueden ser atractivas. Es tentador pensar que pueda existir algún tipo de similitud con estas expresiones para la interacción entre imanes, ya sea para fuerzas atractivas o para fuerzas repulsivas. La clave estuvo en notar que las fuerzas decrecen según el inverso del cuadrado de la distancia, hecho que mantuvo ocupados a los científicos durante más de un siglo. El siglo XVII fue el siglo de la gravitación, el XVIII el de la electrostática y el XIX sería el siglo del electromagnetismo y la electrodinámica. Coulomb no sabía que mientras usaba su balanza de torsión, crecía en Lyon un niño de dos años que, en su madurez, se convertiría en uno de los responsables del correcto uso de la ley del inverso del cuadrado para el caso del magnetismo. Aunque mostraría al mundo el carácter esquizofrénico de la naturaleza: electricidad y magnetismo son dos caras de una misma moneda.
Comparando fuerzasEn la actualidad es común clasificar las interacciones de la naturaleza en cuatro tipos: gravitatorias, electromagnéticas, nuclear débil y nuclear fuerte. En la época de Ampère se conocía la gravitatoria y se pensaba que la electromagnética en realidad eran dos, la electricidad por un lado y el magnetismo por otro. Buscar similitudes entre las fuerzas gravitatorias, eléctricas y magnéticas fue una práctica común entre los científicos. Una operación interesante es confrontar la fuerza de atracción gravitatoria entre dos protones y la fuerza de repulsión entre los mismos. Aunque la similitud entre las leyes a usar es evidente, en las siguientes operaciones puede verse que las diferencias numéricas son importantes. Supóngase el caso ideal en el que dos protones estén separados una distancia de 1 m en el espacio vacío. La masa del protón es 1.67∙10-27 kg, su carga es 1.6∙10-9 C, la constante de gravitación G es 6,67∙10-11 Nm2/kg2 y la constante eléctrica K en el vacío es 9∙109 N m2/C2. Con estos datos:
Si se divide la fuerza eléctrica entre la gravitatoria:
La fuerza eléctrica de repulsión entre dos protones separados 1 m es 1,2∙1036 veces la fuerza gravitatoria entre ellos dos. Es decir, la interacción electrostática es sorprendentemente mayor a la interacción gravitatoria.
Autodidacta y precoz
Merece la pena indagar en los orígenes genealógicos de André Marie Ampère. Un albañil llamado Claude Ampère se estableció en Lyon a mediados del siglo XVII. Su hijo, Jean-Joseph Ampère, continuó durante un tiempo la profesión de su padre, pero la abandonó con el fin de pasarse a la clase comerciante. En 1693, Jean-Joseph contrajo matrimonio con Simonde Rapillon, hija de otro comerciante. El fruto de este matrimonio fue François Ampère, quien dedicó su vida a la fabricación y el comercio de seda. La familia Ampère comenzó como jornalera y en tres generaciones escaló hasta la burguesía comerciante de Lyon, haciéndose un hueco en los círculos mejor relacionados de la ciudad. François se casó con la hija de un abogado del Parlamento, llamada Anne Berthay. Tuvieron cuatro hijos, el cuarto, Jean Jacques Ampère, continuó con la profesión de comerciante de su padre. En julio de 1771, Jean Jacques firmó su enlace matrimonial con Jeanne Antoinette Desutiéres-Sarcey, también procedente de una familia comerciante de seda. Los Ampère y los Sarcey gozaban de cierta prosperidad durante el gobierno de Luis XV, el Bien Amado, aunque sus descendientes no tendrían la misma suerte tras los tumultos revolucionarios. Jean Jacques y Jeanne Antoinette tuvieron tres hijos. Podría tratarse de la historia de una familia cualquiera que generación tras generación sube gradualmente escalones en el estatus social, si no fuera porque uno de esos tres hijos de Jean Jacques Ampère y Jeanne Antoinette fue André Marie Ampère, uno de los científicos más peculiares que ha dado la historia de Francia A diferencia de otros genios de la ciencia enmarcados en una familia con varios miembros científicos, los orígenes de Ampère se remontan a una saga de comerciantes.
Jean Jacques Ampère y Jeanne compraron una casa de campo por 20.000 libras en Poleymieux-au-Mont-d’Or, una población de unos 400 habitantes en la que establecían su segunda vivienda algunas familias burguesas de la cercana Lyon. En la infancia de André Marie cinco familias de Lyon convivían con los campesinos lugareños. Por otra parte, Jacques-Sutiéres Sarcey, un tío de Jeanne, les ofreció 25.000 libras. Añádase a esto el hecho de que en la firma del contrato del matrimonio, ante el notario Caillat, el mobiliario ofrecido por Jeanne se estimó en 6.000 libras. Estos y la inclusión de otros ingresos ha permitido estimar el patrimonio de la pareja en 100.000 libras, una cantidad nada despreciable para la época y el contexto social. La primera vivienda del matrimonio no fue la de Poleymeux, sino la familiar de Jean Jacques. Allí nació André Marie Ampère, el 20 de enero de 1775, en la calle San Antonio n.° 44, una vivienda situada en un enclave singular, entre los ríos Ródano y Saóne. Fue el segundo de tres hermanos: Antoniette (1772), André Marie (1775) y Josephine (1785).
Existe poca información de la infancia de André Marie, aunque se cuenta con dos fuentes primarias. La primera es la autobiografía del propio Ampère, un documento de gran interés histórico escrito doce años antes de su fallecimiento, en 1824, con datos concluyentes sobre su formación autodidacta. A pesar de ello, hay que tener en cuenta que se trata de una biografía eminentemente científica, por lo que Ampère habla de sí mismo en tercera persona. La segunda fuente de interés es la biografía escrita por el científico y político francés François Arago (1786-1853), que arroja bastante luz al respecto, a pesar de que hay datos que podrían estar exagerados, puesto que el propio Arago conoció a André Marie y lo tenía en alta estima por su trabajo en común, como se irá viendo a lo largo de esta biografía. En los primeros siete años de vida, Ampère combinó los entornos rurales con los urbanos, una estupenda miscelánea para una educación completa. De hecho, estos contrastes se traducen en el eco de una infancia feliz que rememoraría a menudo. Durante estos años, el domicilio habitual fue el de Lyon y los Ampère solo acudían a Poleymieux por motivos de descanso, para huir del trabajo y el bullicio de la ciudad. Pero en 1782 sus padres se trasladaron a Poleymieux, reduciendo las visitas a Lyon a cortos períodos de invierno y por el requerimiento de los negocios.
En este punto, es necesario considerar las distancias entre ciudades con perspectiva histórica. Aunque ambas ciudades estaban separadas por apenas 10 km, las carreteras de la época eran primarias y difícilmente practicables en los días de lluvia. Sin embargo, Lyon se convirtió para André Marie en referencia durante toda su vida respecto a la búsqueda de apoyo en las amistades que allí logró cultivar. Tanto es así, que pasó por su ciudad natal apenas una semana antes de perder la vida en Marsella.
El padre de André Marie fue un ferviente seguidor del filósofo Jean Jacques Rousseau (1712-1778) y tenía grandes inquietudes intelectuales. No quiso someter a su hijo a la enseñanza formal, así que él mismo se hizo cargo de su educación y de su formación. Jamás le exigió estudiar, pero sí le inspiró grandes deseos de saber, como el propio Ampère cuenta en su autobiografía. Algunos expertos afirman que quiso poner en práctica el Emilio, o De la educación de Rousseau, un libro que es calificado a veces como el primer tratado sobre pedagogía de la historia.
El museo de la electricidadEn la actualidad, en la casa de campo de la familia Ampère situada en Poleymieux-au-Mont-d'Or se encuentra el Museo de la Electricidad, dedicado a André Marie Ampère.
Museo de la Electricidad, dedicado a Ampère, en Poleymieux-au-Mont-d'Or, Francia.En 1793, la hacienda fue intervenida por el Gobierno y devuelta a Jeanne Antoine, madre del científico, dos años más tarde. A su muerte, en 1809, la propiedad se dividió en dos partes, a modo de herencia, una para André Marie y otra para su hermana Josephine, pero esta última renunció a su parte en 1812.
André Marie vendió gradualmente los terrenos entre 1818 y 1819. Paul Janet, el fundador de la Sociedad de Amigos de André Marie Ampère, instó a Sóstenes y a Behn Hernand a comprar la casa, y en 1928 la donaron a la Sociedad Francesa de Electricidad. El Museo de la Electricidad fue inaugurado el 1 de julio de 1931 y en él se exponen distintos objetos de la vida del científico y de su familia, tales como manuscritos, instrumental de laboratorio, muebles, etc.
Sin embargo, James Hofmann, un importante biógrafo del científico, afirma con acierto que no existen evidencias de cómo llevó a la práctica el proyecto de Rousseau, aunque destaca las ventajas de su entorno rural, aspecto que el propio Rousseau apuntaba como esencial. Y de hecho lo es, pues le permitió observar la naturaleza y formar en su mente esquemas que serían recurrentes durante su ulterior carrera científica. En cualquier caso, André Marie se formó inicialmente bajo el auspicio de su padre y continuó aprendiendo en soledad el resto de su vida Por tanto, tuvo una instrucción sin obligaciones.
Ampère mostró ser una persona sensible y creativa desde muy corta edad. Tanto es así que en 1782 escribió un poema en honor a su hermana mayor, Antoniette, fallecida de tuberculosis en febrero del mismo año. Seguiría escribiendo poemas el resto de su vida y, para ello, fue un lector empedernido. Se interesó por todo tipo de lecturas, novelas, poesía, viajes, historias y, por supuesto, textos científicos, sin importar la complejidad. En la casa de campo de Poleymieux, su padre tenía una enciclopedia de más de veinte volúmenes que leyó por completo en orden alfabético en torno al año 1786. Se trataba de la L’Encyclopédie ou Dictionnaire raisonné des Sciences, des arts et des métiers, de Jean le Rond D'Alembert (1717-1783) y Denis Diderot (1713-1784). Arago cuenta en su Elogio a Ampère que a muy avanzada edad, el propio André Marie le recitaba textos completos de esa enciclopedia que había leído medio siglo antes, sobre temas tan variados como la cetrería o la heráldica. Se aficionó en esta época temprana por la naturaleza, gracias a La Historia natural del naturalista francés Georges Louis Leclerc (1707-1788), conde de Buffon. Sintió gran predilección por Homero, Lucan y Voltaire, por solo citar algunos. Puesto que su enseñanza se basaba en la libertad de sus propias inquietudes, dada su memoria prodigiosa tomó cierta inclinación por aprender pasajes enteros de las tragedias de Racine y Voltaire.
En su autobiografía, Ampère cuenta que a los trece años leyó los Elementos de matemáticas de Rivard y Mazéas, además de obras de Clairaut, La Chapelle y L'Hôpital. Aproximadamente en las mismas fechas envió a la Academia de Lyon un estudio sobre la rectificación de la circunferencia. No se tendría en cuenta ni se publicaría, pero este dato muestra su gran interés por generar y comunicar conocimiento científico. Sin embargo, y pese a su autonomía, no conseguía entender por sí mismo los elementos de cálculo diferencial e integral, por lo que su padre le facilitó lecciones con Daburron, un profesor de teología en el Collége de la Trinité (Colegio de la Trinidad). La biblioteca de Daburron, quien llegó a convertirse en amigo del padre de Ampère, era verdaderamente extensa.

Ampère en un documento del Instituto de Francia, en el que ingresó en 1814.
A aquel niño se le presentó como una posibilidad infinita de aprendizaje y la evocaría en el momento de escribir su autobiografía.
En sus frecuentes encuentros con Daburron se acabó interesando por las obras de Leonhard Euler (1707-1783) y de Daniel Bernoulli (1700-1782).

Portada de L’Encyclopédie ou Dictionnaire raisonné des Sciences, des arts et des métiers, de D’Alembert y Diderot, edición de 1751. Esta enciclopedia despertó en Ampère el interés en las distintas ramas del conocimiento.
Ante este interés, inusual en un chico de su edad, Daburron le advirtió que estaban escritas en latín. Según cuenta François Arago, el pequeño André Marie aprendió latín simplemente para poder leer las obras de estos matemáticos.

La casa de Ampère en Poleymieux hacia 1901.
Toda su vida estuvo dotado de un sorprendente poder de concentración, podía asimilar mucha información en poco tiempo y sabía cambiar rápidamente de un tema a otro. Parece ser que fue su padre el que le enseñó latín, además de otras materias,y gracias a los libros de Daburron se introdujo en el cálculo, la geometría, la metafísica y la poesía. En 1788, Joseph Louis de Lagrange (1736-1813) publicó en París su mítica obra Mecánica analítica. Se trata de un texto considerado como universitario, y Ampère lo devoró en su adolescencia, pues pronto llegaría hasta él dejándole una profunda huella Ninguna lectura era demasiado elevada para él.
La Francia de su adolescenciaAndré Marie Ampère vivió una época de desequilibrios sociales y políticos, marcado por cambios a todos los niveles. En concreto, fue testigo de la Revolución francesa durante la adolescencia, conflicto ocurrido entre los años 1789 y 1799.
Grabado de la ejecución de Luis XVI, 1793.En 1789, Luis XVI convocó a los Estados Generales, que consistían en una asamblea formada por el clero (Primer Estado), la nobleza (Segundo Estado) y representantes de la burguesía de algunas ciudades (Tercer Estado). Sin embargo, en el último siglo la burguesía había crecido en poder económico y social. De este modo se produjo la autoproclamación del Tercer Estado como Asamblea Nacional, siempre representando a todo el pueblo, y no solo a los burgueses. El 9 de junio se autoproclamaron Asamblea Nacional Constituyente. El 14 de julio de 1789, el pueblo se hizo con la fortaleza de la Bastilla, en París, bajo el temor de las represalias de la monarquía. Poco a poco se fueron uniendo otras ciudades que reformaban sus ayuntamientos atendiendo solo a la Asamblea Nacional Constituyente. Se abolieron múltiples derechos de la nobleza y del clero, que se había convertido en el mayor terrateniente del país. El 3 de septiembre de 1791 se aprobaba la primera Constitución de la historia de Francia y comenzaba un período de monarquía constitucional en el que el rey compartía su poder con la Asamblea Legislativa, etapa que terminó en agosto de 1792 con la proclamación de la Primera República. Fueron apareciendo distintos grupos, llamados clubes, con intereses variados: jacobinos, girondinos, etc. Vino después la etapa conocida como El Terror, entre los años 1792 y 1794. En este período se ejecutó al rey (1793) y, tras él, en 1795 se promulgó una nueva Constitución, que no fue aceptada por monárquicos y jacobinos, ante lo cual el 9 de noviembre de 1799 Napoleón Bonaparte dio un golpe de Estado. Se Instauró el Consulado con el poder en la figura de Napoleón Bonaparte, lo cual era una estrategia para salvar a la República de una posible restauración monárquica.
El padre de André Marie se empezó a interesar por los cargos administrativos desde 1786. Jean Jacques se había sentido atraído por las ideas de la Revolución francesa y en 1791 aceptó el cargo de «juez de paz». Esta decisión le hizo participar en primera persona en los sangrientos sucesos que tuvieron lugar entre 1792 y 1794 en Lyon, enmarcados en el período denominado El Terror. Se vio abocado a instruir el proceso sobre el líder jacobino Charlier, que estaba cometiendo todo tipo de abusos y que fue condenado a muerte en julio de 1793. Entre los meses de agosto y octubre, Lyon fue sitiada por antirrepublicanos y esto supuso que, desde París y por miedo a la situación, se diese la orden de ejecutar al juez que llevó el caso de Charlier. Jean Jacques fue guillotinado el 24 de noviembre de 1793, cuando Ampère tenía dieciocho años.
Tras la muerte del padre, la familia Ampère quedó prácticamente en la ruina, debido a la confiscación de sus bienes. André Marie entró en una etapa de profunda depresión, que solo sería el principio de una cadena de males que le persiguieron durante toda su existencia. Su interés por la indagación en los libros sufrió una deceleración ante este revés inesperado. Entró en un estado de letargo durante más de un año, absorto en la contemplación del cielo, la tierra y la naturaleza en general. De esta pausa intelectual lo salvó una obra que cayó en sus manos, las Cartas sobre botánica, una colección de indicaciones que Rousseau escribió y envió, ya en su madurez, a Madame Delessert para introducir a su hija en el estudio y la práctica de la botánica. Desde muy pequeño, Ampère se interesó y obsesionó por la clasificación, por lo que este descubrimiento bibliográfico vendría a incrementar su innata inclinación. El descubrimiento de esta obra fue de vital importancia para su visión epistemológica futura y para su propia comprensión de la ciencia. Por casualidad, leyó la oda X del libro II de Horacio que influiría fuertemente en su recuperación; se trata de la Oda a la mediocridad dorada, dedicada a Licinio. El aurea mediocritas es un estado ideal en el que el ser humano huye de los extremos y se encuentra cómodo y feliz en el punto medio. Dicha oda dice:
Sé valiente y alegre en la adversidad,
pero cuando el viento sopla demasiado favorable
el sabio se apresta a recoger las velas.
Animado de nuevo, comenzó realizar excursiones botánicas llevando consigo un volumen de Corpus poetarum latinorum, obra del británico William Sidney Walker (1795-1846). Recomponiendo esta escena, es fácil pensar en un joven pensativo y reflexivo, lo cual no está, de ningún modo, alejado de la realidad. En esta atmósfera de reflexión podemos enmarcar las contradicciones internas que formarían parte de su personalidad futura. Por un lado, la madre le transmitió desde pequeño diversas muestras de sentimientos religiosos. Por otro, se ha afirmado en ocasiones que el padre no realizó tales demostraciones, fue su mismo padre quien le inculcó sus conocimientos, y muchos de ellos chocaban con las creencias religiosas.
Jean Jacques era más comedido en sus comentarios religiosos y, solamente el día antes de ser guillotinado, en la carta de despedida a su madre le habló de asuntos divinos. En cualquier caso, Ampère tuvo que vivir toda su vida planteándose dudas y caería en diversas crisis existenciales. La madre le daría apoyo en momentos difíciles y, en líneas generales, nunca se alejó definitivamente de sus creencias. Su primera comunión sería recordada en su madurez como un gran evento y la Imitación de Cristo, del fraile alemán Thomas de Kempis (13801471), sería siempre para él un libro de cabecera. Incluso llegó a recitar de memoria algunas de sus líneas en el lecho de muerte.
«Sobre mi hijo, no hay nada que no espere de él.»
Palabras de Jean Jacques Ampère, padre de André Marie, en la carta de despedida antes de su ejecución en la guillotina.
Volviendo a la recuperación en el ánimo de Ampère tras la pérdida de su padre, puede destacarse de nuevo su faceta poética, una gran desconocida para el gran público. El interés no es otro que destacar su creatividad, pues esta fue crucial a la hora de emitir sus más importantes hipótesis científicas, como se verá más adelante. Tras su recuperación comenzó a escribir «L’Americide», dejando ver cierto apunte de nostalgia romántica por un mundo (el continente americano) no contaminado por la civilización tecnológica, que fue maltratado por los bárbaros europeos. Compartía este tipo de inquietudes con Jean Stanislas Couppier, un amigo de la población de Claveisolles. Comenzaron a reunirse periódicamente tanto en Lyon como en Poleymieux, y Ampère lo tutorizó respecto a las matemáticas, puesto que estaba sumamente interesado en el conocimiento científico. Durante el aburrido invierno de 1795-1796 mantuvo una dilatada correspondencia con Couppier; se trataba de cartas largas y detalladas, en las que las matemáticas y otras ramas del saber hacían continuas apariciones. Ampère incluso confeccionó anotaciones sobre sus observaciones con un telescopio de construcción propia y llegó a enviarle los datos del planeta Urano, descubierto poco más de diez años antes por el alemán Friedrich Wilhelm Herschel (1738-1822). Tal vez fuera su primera experiencia docente, aunque se tratase de una situación amistosa no formal.
Ampère al completoActualmente existe una página web, en francés, donde se puede encontrar una información muy detallada sobre Ampère: «Ampère y la historia de la electricidad». Este sitio es mantenido por un equipo editor perteneciente al Centre National de la Recherche Scientiflque (CNRS), apoyado por diversos estamentos oficiales, en colaboración con la Sociedad de Amigos de Ampère, entre otros. Se trata de una página extraordinariamente bien documentada. En ella se pueden encontrar una lista de libros sobre la vida y obras de Ampère, a veces con enlaces hacia el documento, se pueden leer prácticamente todas las obras escritas por el físico y matemático francés, incluida la casi totalidad de su correspondencia, más de mil cartas, y documentos personales. Además, cuenta con la posibilidad de acceder a gran parte de los manuscritos digitalizados del científico, los cuales se reparten en casi 500 carpetas y han generado más de 54000 imágenes. La web cuenta con una breve historia de la electricidad y el magnetismo en la que se destaca el papel que desempeñó Ampère al respecto.
Firma de André Marie Ampère.
André Marie vivió una infancia que podríamos calificar de idílica, creció bajo una economía holgada, tuvo el cariño de una familia unida y aprendió según sus propios intereses y siguiendo el dictado de su ritmo de aprendizaje. De esta época le quedó siempre la marca de la búsqueda de la verdad, de un afán por el conocimiento y cierta obsesión por clasificar, un conjunto de características que le ayudarían en su futuro como científico.
Capítulo 2
Vivir de las matemáticas
El sustento vital de Ampère fue durante mucho tiempo la docencia de las matemáticas, aunque poco a poco iría escalando en la administración. Comenzó su carrera con un puesto en una ciudad cercana a Lyon, le seguiría otro en su ciudad natal y, por último, el nombramiento en la Escuela Politécnica de París. Se hizo un hueco en la comunidad científica a partir de una memoria sobre las matemáticas del juego y publicó varios trabajos relacionados con el cálculo diferencial.
Si en 1777 Coulomb comenzaba a usar su péndulo de torsión, el mismo año nacía en Alemania Johann Carl Friedrich Gauss (1777-1855), el príncipe de las matemáticas, ampliamente conocido por haber dejado huella en muchas disciplinas científicas gracias a una enorme diversidad de resultados matemáticos a los que consiguió llegar. En el campo de la física es destacable la ley de Gauss, usada para conocer el campo electrostático y el gravitatorio. El equivalente para el magnetismo es la ley de Ampère, aunque, curiosamente, no la dedujo André Marie, como se verá en el anexo. El cálculo diferencial e integral sufrió un gran desarrollo durante los siglos XVIII y XIX gracias a las demandas teóricas de la física que se estaba investigando. Los magníficos cambios en la física que tuvieron lugar en la época adulta de Ampère madurarían en la segunda mitad del siglo XIX, movidos por el avance de las matemáticas y, por supuesto, a la mente unificadora de un escocés llamado James Clerk Maxwell (1831-1879).
En este sentido, aunque la primera plaza docente de Ampère estuvo relacionada con la física, fueron las matemáticas las que le permitieron ir ocupando distintos puestos de su interés. Durante años se formó a sí mismo en el terreno de las matemáticas, obteniendo un bagaje que volcó posteriormente para desarrollar su teoría electrodinámica. Sin los años previos de aprendizaje, jamás habría podido llegar a sus resultados más excelentes. Las matemáticas fueron, además, su medio de vida, una vida que no se entiende sin sus inquietudes sentimentales.
El romántico aprendiz de científico
Además de dejamos una autobiografía, Ampère registró en diarios algunas de sus vivencias en distintos momentos de su vida. Entre dichos escritos se encuentran referencias a Julie Carrón, su futura esposa, una joven «de cabellos de oro y ojos de cielo», perteneciente a una familia burguesa de Saint-Germain, una pequeña localidad cercana a la casa de campo de Ampère. Por aquel entonces él tenía veintiún años y convivía con su madre de cuarenta y siete años y su hermana pequeña de once en la casa de Poleymieux, en un ambiente eminentemente femenino. Se daban muchas coincidencias entre las dos partes: ambos tenían una casa familiar en Lyon y una casa de campo, la vivienda de Lyon estaba en el mismo distrito central y los padres eran, ambos, comerciantes de seda. Comenzó a frecuentar la casa familiar de Julie en Lyon con la excusa de pedir libros y así inició un cortejo que duró varios meses. Entre abril y septiembre vivió en un silencio emocional, reforzando vínculos con los hermanos de Julie, Élise y Jean Étienne (François), su cuñado Jean Marie Périsse (Marsil) y con la madre. El propio Ampère cuenta en su diario amoroso que en octubre de 1796 abrió su corazón a la madre de Julie. En un principio sufrió el rechazo y la indiferencia de Julie, quien incluso llegó a pedirle que fuera menos a menudo por la vivienda de los Carrón. Sin embargo, no detuvo su interés en ese momento, su objetivo era conquistarla y no abandonaría hasta conseguirlo.
Durante los restantes meses de 1796 y todo el año siguiente Ampère no descansó en su empeño y fue registrando en su diario detalles de todo tipo que permiten seguir el romance tal y como ocurrió. En sus continuadas visitas a la vivienda de los Carrón tenían lugar juegos de mesa, adivinanzas, charlas de temas variados, etc. En el mismo año, decidió dar clases privadas de matemáticas y Marsil le facilitó una habitación para tal efecto. Usó, por ejemplo, el libro de texto sobre cálculo diferencial e integral del matemático francés Sylvestre François Lacroix (1765-1843), quien durante el siglo XIX tendría una gran influencia en la comunidad educativa.
El interés de este dato es notar lo actualizado que estaba Ampère en asuntos académicos, a pesar de no haber asistido a clases en ningún momento de su infancia En enero de 1798, Julie y Élise visitaron Poleymieux, como queda registrado en el diario de André Marie, aunque sigue sin haber evidencias de los sentimientos de Julie en ese momento. A pesar de ello, se fue apreciando paulatinamente cierta accesibilidad por parte de Julie y el apoyo de la madre. Julie empezó a tener detalles con él, pequeñas acciones que hoy pueden parecer ingenuas, pero en su contexto eran preliminares, como hablar a solas, pasear o tomarlo de la mano. La madre, por otra parte, facilitaba el cortejo, dejando que se sentaran juntos o permitiendo cierta intimidad acorde con la época
«Domingo 10 de abril. La vi por primera vez.»
Extracto del diario de Ampère de entre los años 1796 y 1798, Refiriéndose a Julie Carron, su futura primera esposa.
El diario amoroso de Ampère termina abruptamente el 4 de febrero de 1798 sin que pueda concluirse que André Marie y Julie fuesen una pareja establecida. En marzo de 1799, Ampère tuvo que mantener cuarentena en Lyon debido al sarampión, momento en el que empezó a enviarle cartas a Julie, que entonces se encontraba en Saint-Germain, una localidad situada a tan solo 5 km de Poleymieux. Las respuestas de ella muestran prudencia y aplomo, frente al entusiasmo y la energía propios de él. Julie se convirtió en aquellos momentos en fuente de moderación para Ampère, diciéndole que las prisas lo echarían todo a perder. André Marie guardó la primera carta que ella le mandó y la llamaba habitualmente «talismán», que lo abrazaría en los momentos de desesperación que estarían por llegar. Para felicidad del científico, se comprometieron en julio. Ella no entendía ni compartía los intereses científicos de André Marie, prefería las lecturas literarias e históricas.
La persistencia y la intensidad del joven Ampère hizo que Julie finalmente acabara enamorándose de él. Esta perseverancia la mostraría toda su vida y fue una de las características que lo convirtieron en un gran científico. Puesto que ambas familias eran católicas, el 6 de agosto de 1799 tuvo lugar una celebración religiosa, a modo clandestino, puesto que la religión fue ridiculizada y prohibida durante el Gobierno republicano. Al día siguiente se formalizó el enlace civil. Según Henriette Cheuvreux, una apasionada editora y comentarista de la correspondencia de Ampère, el poeta francés Pierre-Simon Ballanche (1776-1847) asistió a las nupcias y leyó un himno en honor a la pareja.
André Marie Ampère vivió la época más feliz de su vida junto a Julie Carrón, aunque esta felicidad no duraría ni cuatro años, pues terminó con el fallecimiento de Julie en 1803. Ella había quedado muy debilitada tras el nacimiento de su único hijo, Jean Jacques, el 12 de agosto de 1800, y nunca se recuperaría. Durante los primeros meses del matrimonio todo fue sobre ruedas, él siguió con sus clases privadas en Lyon y allí mantuvo relaciones con un estrecho círculo de intelectuales, literatos, filósofos y amigos con intereses religiosos afines. Este círculo llegó a su fin mediante un cambio paradójico en su vida: el 18 de febrero de 1802 fue nombrado profesor de Física de la École Céntrale (Escuela Central), en el departamento de Ain, en Bourg-en-Bresse. El dilema vino porque la ciudad estaba a 60 km al noroeste de Lyon y se vio obligado a dejar a Julie y a su hijo junto a la familia, aun siendo consciente de su enfermedad. Gracias al apoyo de las madres de ambos, de sus hermanas y del resto de la familia, la separación fue más llevadera. Comenzó en ese momento una preciosa relación epistolar entre ambos consortes que duró todo el exilio del científico, sin descuidar además a otros miembros de la familia, como su madre y las hermanas de Julie. Se trata del período de la vida de Ampère del que tenemos más información de su vida privada, por lo que merece la pena realizar una breve parada para analizar el aspecto humano del científico.
La separación se sucedió con breves períodos de reencuentro en las vacaciones de Pascua y de Navidad, aunque André Marie los aprovechaba para realizar gestiones relacionadas con su mundo académico.
Momentos poéticosEn distintos momentos de su vida, André Marie Ampère compuso todo tipo de poemas. Sin embargo, su mayor actividad se daría en la época de cortejo de su primera mujer, Julie Carrón. La mayor parte de los poemas están dedicados a ella, aunque también a la hermana de Julie, Éllse. Durante el resto de su vida continuaría escribiendo, aunque no con la misma intensidad y profundidad de sentimientos. La Sociedad de amigos de Ampère recopiló algunos de sus poemas en el libro Momentos poéticos. Ampère solía mandarle a Julie poemas en sus cartas. Por ejemplo, el 25 de noviembre de 1800, por su cumpleaños le envió los siguientes versos:
Ese día tan dulce para mi ternura
vuelve a iluminar mi felicidad.
Ah, si pudiera ver la tristeza
jamás desterrada de tu corazón.
A esta esperanza querida
responde el cielo con sus favores,
y las espinas de tu vida
a su voz se cubren de flores.
De todo lo que te importa
veo lo que aumenta tu felicidad,
la sonrisa embellece tu boca
y la paz habita tu corazón.
Veo la cantidad de años
que en el seno del reposo más dulce
tejerán para ti los destinos,
entre tu hijo y tu reposo.
Tú lo alimentas, él te adora,
si él aún no lo sabe,
tú sientes por los dos.
¡Con qué placer repite mi corazón
estos versos dictados por el amor!
¡Que no es tu fiesta cada día
para repetirlo a diario!
Para volver a ver dulces lágrimas,
rodar en tus ojos enternecidos.
Y, en tu beso lleno de encantos,
¡de mi ramo encontraré el premio!
La correspondencia de esos meses muestra pasajes verdaderamente tiernos que bien podrían representar las inquietudes de cualquier joven pareja enamorada actual, con los mismos problemas económicos y de salud, sumados a la continua desdicha de una relación a distancia. Con frecuencia, él la llamaba «mi benefactora», y ella a él «mi niño». A veces escribía durante varios días a modo de diario y algunas líneas eran simplemente palabras de amor, sin ningún otro objetivo. Hablaban sobre asuntos cotidianos, de la familia, los amigos, él le hacía listas de gastos, ella le relataba los avances de su hijo, él comentaba algo de su escuela, ella detallaba las dietas a las que le sometía el doctor para tratar su enfermedad, él refería sus primeras investigaciones, etc. Efectivamente, en el epistolario con Julie se pueden encontrar las primeras referencias de André Marie a su propio trabajo incipiente.
Las cartas se convirtieron para Ampère en una necesidad para despertar su motivación, pues para él todo a su alrededor se mostraba novedoso: llegó a la enseñanza formal por primera vez —para dar clases—, inauguró su primer laboratorio, se encontró en una ciudad desconocida, llevó adelante dos casas, preparó experimentos propios, etc. La responsabilidad que soportó fue agotadora, más pensando que durante su infancia y su adolescencia la familia no tuvo problemas económicos. No solo trabajó en la Escuela Central, sino que también ocupó una plaza en una escuela de secundaria, lo que le permitió subsanar algunos gastos médicos de Julie. En Bourg-en-Bresse se fue asentando el Ampère científico que pasaría a la historia de la ciencia. Fraguó una intensa relación profesional y de amistad con François Clerc, profesor de Matemáticas en la Escuela Central. Con su ayuda, instaló un laboratorio de química que sería el punto de partida para sus primeras investigaciones y mantuvo a Julie informada acerca de los progresos del montaje. Se ha llegado a destacar que Ampère podría haber sido torpe con sus manos, pues con frecuencia le contaba a su esposa que había tenido algún incidente, con el consiguiente reproche de ella.
Debemos tener en cuenta que estamos hablando de un Ampère que aprendía en solitario y que realizaba sus primeras experiencias químicas. Las clases de física y de química le demandaban una preparación previa que le hacía estar muy ocupado durante todo el día. En cambio, las clases de matemáticas en la escuela secundaria no le exigían tantas horas de preparativos. La combinación de estas disciplinas, junto al rigor y la constancia que puso en su trabajo, terminaron de darle una formación completa y le aportaron una preparación íntegra para despegar de manera definitiva hacia el mundo científico. Precisamente de esta época datan los primeros estudios publicados, sobre matemáticas. Acostumbraba a escribir sus cartas por la noche, cansado, después de la actividad laboral, en la soledad de su habitación alquilada. Con frecuencia le dedicaba simplemente una frase, diciéndole que le dejaba su último pensamiento antes de dormir. A la mañana siguiente, se levantaba y continuaba la carta, ofreciéndole su primer pensamiento, normalmente encaminado al deseo de reencontrarse y mostrando su ansiedad por el estado de salud de ella Así pasaron quince meses.
Finalmente, y tras muchos esfuerzos, la reunión con Julie se hizo realidad, en abril de 1803 fue nombrado profesor en el Liceo de Lyon. Julie perdió la vida debido a un tumor abdominal pocos meses después, en julio de 1803. Los dolores que sufrió durante más de dos años fueron insoportables, aunque nunca dejó de atender a su marido, su hijo y su familia, llegando a convertirse en el motor sentimental de la primera publicación matemática del fundador de la electrodinámica.
Los primeros trabajos científicos
André Marie dedicó gran parte del año 1802 a su trabajo «Consideraciones sobre la teoría matemática del juego». Su interés en publicar un estudio venía de la necesidad de impresionar al comité examinador del Liceo de Lyon, pues, como se ha dicho, buscaba el traslado para estar junto a su esposa. El estudio pudo habérsele ocurrido durante un juego de mesa en Poleymieux muchos años antes, como puede desprenderse de una misiva que envió a su amigo Couppier.
El problema que se planteaba era el siguiente: ¿cuál es la probabilidad de que un jugador pierda toda su fortuna tras una serie de jugadas? La memoria comienza estableciendo con claridad las variables y las condiciones del problema a resolver. De entrada, se considera un jugador que apuesta una misma fracción fija de su fortuna en cada jugada. Si el jugador divide su fortuna en m partes, el peor de los casos para él será perder todas sus apuestas seguidas; esto ocurrirá tras m jugadas. Sin embargo, puede ganar p veces, por lo que perderá tras m + p jugadas. Supongamos ahora que q es la relación entre la probabilidad de ganar y la probabilidad de perder. Téngase en cuenta que q dependerá del tipo de juego. Por ejemplo, en el lanzamiento de una moneda será la unidad, puesto que la probabilidad de ganar es idéntica a la de perder. Pero, al lanzar un dado de seis caras, el valor de q será 1/5 (se gana en un caso, se pierde en cinco). A partir de estas definiciones, en el texto se llega a que la probabilidad de que un jugador pierda toda su fortuna después de p victorias y m+p derrotas será:

El juego terminará no siendo favorable para el jugador, especialmente si q < 1, es decir, si la probabilidad de ganar es menor que la de perder. Para aclarar la situación, se puede analizar el caso del dado de seis caras mencionado en un caso concreto. Supongamos un jugador con un solo euro y lo apuesta a todo o nada, o, lo que es lo mismo, si acierta en su predicción gana un euro y si se equivoca pierde un euro. La probabilidad de acierto (A) será de 1/6 y la de fracaso (F) de 5/6. Así, pueden tenerse infinitas secuencias para que el jugador pierda su fortuna y que pueden expresarse en forma de diagrama de árbol (véase la figura). Pero este diagrama tiene algo especial: está cojo.
Queremos decir con esto que habrá ramas que se cortarán cuando el jugador lo pierda todo.

En las ramas donde figura 0 € el árbol no continúa, pues el jugador pierde todo.
Con el árbol representado en la figura es sencillo entender las secuencias, cada nivel significa una jugada. Así podemos analizar las posibilidades que se dan tras cada jugada y ver que cada vez es más difícil avanzar:


Es decir, como se muestra en la figura, si la probabilidad de seguir jugando tras la primera jugada es del 16,7%, tras cinco jugadas esta probabilidad desciende al 1,9%. Dicho de otro modo, la probabilidad de perder en la primera jugada es del 83,3% y en la quinta jugada del 98,1%. La probabilidad de ganar es cada vez más pequeña; por tanto Ampère consiguió sumarlas todas, puesto que se trata de una serie convergente, dando como resultado la expresión anterior que ofrece la probabilidad de que el jugador pierda su patrimonio si gana p veces y pierde m + p veces. Lógicamente, tarde o temprano el jugador acaba perdiendo su fortuna, pues basta una simple racha de fallos para que pierda todo lo que tuviera. Piénsese, por ejemplo, en una moneda; al tirarla y mirar sus resultados pueden salir largas rachas de cruces o caras seguidas.
Ampère mandó su memoria a la Academia Francesa de París. Quedó sorprendido al ver que el mismísimo Pierre-Simon Laplace (1749-1827) en persona le respondía con alguna palabra de elogio hacia su trabajo, pero haciendo notar que había un error. La carta está fechada el 19 de enero de 1803 y enviada por Sylvestre François Lacroix, desde el Instituto Nacional de las Artes y las Ciencias. La reacción de Ampère, que no estaba acostumbrado a ser corregido dada su formación autodidacta, fue de desesperación y no dudó en escribirle a Julie para compartir su angustia.

En la gráfica se ven los resultados para el caso del dado durante cinco jugadas. Se observa que en las jugadas pares el resultado es el mismo que el impar anterior; es decir, si el jugador no pierde su euro en la primera jugada, ya no podrá perderlo hasta la tercera jugada.
Dada su juventud y falta de experiencia, la frase de Laplace «me pareció que el autor se equivoca» a buen seguro le quitaría el sueño.
Pero finalmente enmendado el error, que estaba en la suma de la serie, no afectó a más de cuatro páginas, así que pudo insertar sus correcciones fácilmente en la edición impresa ya terminada gracias a la ayuda de su cuñado Marsil.
Sus primeros contactos con el cálculo diferencial
De este período temprano de la vida de Ampère también forma parte su primer trabajo sobre matemáticas aplicadas a la física. Por una carta a Julie en febrero de 1803, se tiene constancia de que antes de salir de Lyon hacia Bourg-en-Bresse ya había comenzado a escribir una pequeña memoria sobre cálculo de variaciones. La envió el 12 de marzo de 1803 a la Société d’Émulation (Sociedad de Emulación) de L’Ain, reforzando así los lazos con el astrónomo Jean-Baptiste Joseph Delambre (1749-1822), quien acabó recomendándole con resultado satisfactorio para un puesto en el Liceo de Lyon. La memoria no se publicó hasta 1806, cuando Ampère ya residía en París, aunque para entonces ya había perdido interés por el asunto.
La fuente principal que dotó a Ampère de una base teórica para trabajar en su memoria sobre cálculo de variaciones la encontramos en la ya citada Mecánica analítica, de Lagrange. Durante el siglo XVII, muchos físicos y matemáticos estaban interesados en el estudio del cálculo de mínimos sobre curvas. Por ejemplo, un clásico es el de la braquistócrona, una curva que une dos extremos fijos y que es recorrida por el menor tiempo posible bajo los efectos de la gravedad. Para poder obtener este tipo de funciones, la opción propuesta por Lagrange era considerar los posibles caminos entre los dos puntos que se desean unir; dicho de otra forma, las distintas funciones y(x) que unen dichos puntos. Para ello, introdujo el concepto de variaciones, representado por la notación by(x). El trabajo de Lagrange, grosso modo, trata de estas variaciones para problemas de mecánica. Ampère supo apreciar profundamente el trabajo de Lagrange, tanto por su elegancia como por su formalismo. Comenzó la lectura del científico italiano en su infancia y la interrumpió en 1793 a partir de la muerte de su padre, pero su efecto fue tal que en sus años de trabajo en Bourg-en-Bresse volvió a investigar sobre el tema. Sin embargo, no tomó las ideas de Lagrange con dogmatismo, sino que se convirtió en un seguidor crítico con pensamiento independiente. La propuesta inicial de Lagrange era reducir la mecánica a un conjunto de principios matemáticos iniciales, dividiendo su proyecto en el contexto de la estática y la dinámica Los estudios que realizó Ampère se centraron en el aspecto estático y advirtió una laguna en los planteamientos, aunque fue refutada por el mismo Lagrange en 1811.
Jean-Baptiste Joseph DelambreDelambre nació el 19 de septiembre de 1749 en Amiens, una ciudad situada al norte de Francia. Cuando era pequeño tuvo viruela, lo que desembocaría en la pérdida permanente de sus pestañas.
Ante el temor a quedar ciego devoró con urgencia todo tipo de libros, comenzando por las literaturas griega y latina. Sus habilidades matemáticas y de observación astronómica le dieron notoriedad y fama científica en Francia.
Era especialmente reconocido por sus análisis del movimiento de Saturno, de Júpiter y de las lunas de Júpiter. Entre 1790 y 1798 formó parte de una comisión destinada a medir el arco de meridiano que va desde el polo Norte hasta el ecuador, con el fin de definir el metro, es decir, 1/10000000 de dicho arco. En enero de 1803 fue nombrado secretario permanente para las ciencias matemáticas del Instituto de Napoleón y en 1804 director del Observatorio de París. Delambre se convirtió en uno de los personajes más influyentes de la época y ha dejado para la posteridad varias obras Importantes, entre las cuales se encuentran títulos sobre historia de la astronomía. Jean-Baptiste Joseph Delambre falleció en París, el 19 de agosto de 1822.
El círculo de Lyon
A finales del siglo XVIII, Lyon era un hervidero de sociedades místicas y esotéricas. Uno de los muchos cultos que florecieron en la década de 1780 fue el «mesmerismo», fundado por el médico alemán Franz Antón Mesmer (1734-1815). El fundador del también conocido como «magnetismo animal» abandonó Viena en 1777 para instalarse en París, donde en 1779 escribió el tratado «Memorias del descubrimiento del magnetismo animal». Este tratado presenta 27 proposiciones con los principios fundamentales del mesmerismo. Reconoce como agente terapéutico a un fluido etéreo que está presente en todo el universo, incluido el cuerpo humano. Mesmer identifica las enfermedades como nudos que impiden el correcto fluir de dicho flujo, por lo que alguien lo suficientemente habilidoso podría dirigir el fluido hacia el lugar correcto. Hay que tener en cuenta que el lenguaje de Mesmer en su tratado era extremadamente técnico, parecido al de los científicos de la época; la diferencia estaba en la base de la evidencia científica, por lo que la doctrina mesmérica es considerada como una seudociencia.
En 1784, las dudas sobre esta corriente llevaron al rey Luis XVI a establecer una Comisión Real, entre los que se encontraba Antoine-Laurent de Lavoisier (1743-1794), para evaluar qué había de cierto en las prácticas llevadas a cabo por Mesmer. Mediante una serie de experimentos, la comisión estableció que no había evidencia del misterioso fluido. Así pues, «misterioso» es el apelativo que merece el fluido y fueron muchos los detractores del movimiento mesmérico, aunque también tuvo una gran cantidad de seguidores. Efectivamente, los disparates llegaban a límites inimaginables. Así, en París, el mesmerista Puységur afirmaba que entre los efectos beneficiosos de la terapia mesmérica estaba la clarividencia.
A la ciudad de Lyon llegaron los ecos del mesmerismo y el denominado «sueño mesmérico» se convirtió en un tema de investigación principal. Afirmaban que dicho sueño parecía ser un estado en el que temporalmente se le devolvía al individuo mesmerizado el estado de gloria disfrutado por el primer hombre, Adán. No existían cotas para las elucubraciones de los seguidores de Mesmer. La sociedad mesmérica aparecida en Lyon fue La Concorde, fundada por Jean-Baptiste Willemorz (1730-1824). El interés principal de dicha sociedad se centraba en el mundo espiritual, los tratamientos médicos innovadores y el estudio de las facultades mentales. Ampère podría haber formado parte de esta sociedad, pues participaba de su contexto, pero supo no hacerlo. A pesar de los varapalos que sufrió el mesmerismo en la Revolución, los miembros de La Concorde en Lyon llevaron a cabo tratamientos de caballos mesmerizados en la Escuela Veterinaria. Con toda lógica, los escépticos apelaron que no necesitaban fuentes secretas para determinar que un viejo caballo tenía gusanos intestinales.
El director de la Escuela Veterinaria en el momento de las pruebas terapéuticas de los mesmeristas era Louis Bredin, padre de Claude Julien Bredin (1776-1854), quien se convertiría en amigo de Ampère. En 1795 tomó posesión de un puesto de profesor de Anatomía en la escuela de su padre y le sucedió en la dirección en 1813, dejándola al retirarse en 1835. Parece ser que el primer contacto con Ampère no tuvo lugar hasta 1803, pero es suficiente para notar que a través de él podría haber tenido noticias del mesmerismo. Cuando Louis Bredin era director de la Escuela Veterinaria, Ampère comenzaba a frecuentar la casa de los Carrón, pues pretendía a Julie. A partir de las conversaciones que tenía en sociedad en ese contexto podría haberle resultado fácil explorar las posibilidades del mesmerismo, pues Jean-Marie Périsse Dulac, el cuñado de Julie, era miembro del círculo cercano de Willemorz.

Franz Antón Mesmer, fundador del mesmerismo.
Si a estos nexos comprobados unimos las posibles conexiones no registradas en cartas ni biografías, se evidencia que Ampère tenía conocimiento de los tratamientos médicos de los mesmeristas que prometían curaciones prácticamente milagrosas.
Con estos contactos, podría esperarse que Ampère recurriese a los mesmeristas durante la enfermedad de su esposa o en algún otro momento de desesperación durante cualquier enfermedad. Sin embargo, no fue así. Ampère huyó de las prácticas que contenían conocimientos revelados a unos pocos y, en su lugar, prefirió debatir públicamente textos accesibles al gran público. Puso sus esperanzas médicas en el afamado doctor Jacques-Henri Désiré Petetin (1744-1808) que trabajó sobre todo en la catalepsia y de algún modo tuvo relaciones con la electricidad. Este médico estuvo interesado en los tratamientos por descargas eléctricas entre los años 1802 y 1803; de hecho, es posible que este interés y las publicaciones que realizó al respecto retrasasen la aceptación de Julie como paciente. En cualquier caso, Ampère tuvo conversaciones con él y podemos sacar dos asuntos en claro. El primero es que, definitivamente, no se interesó para nada en el mesmerismo, puesto que es muy seguro que Petetin también lo conociera. La segunda es más arriesgada y se trata de que Ampère podría haberse inspirado en las ideas del doctor para sus trabajos sobre electrodinámica en la década de 1820, puesto que Petetin consideró el fenómeno del magnetismo en términos del movimiento de partículas en un fluido eléctrico. Por desgracia, no se conserva ningún registro escrito de estas conversaciones.
Ampère realizó grandes esfuerzos para que Petetin tratase el caso de Julie y solo accedió si ella iba a Lyon, pues en julio de 1801 ya era casi sexagenario y su estado de salud era delicado. Tras mudarse a Lyon, Julie se citó con el doctor Petetin en marzo de 1802 y se planteó comenzar el tratamiento en abril. Sin embargo, en mayo aún no se había iniciado. Ya en junio le prescribió baños herbales, el uso de sanguijuelas y una estricta dieta básicamente centrada en el hielo y bebidas frías. Mientras duró el exilio de Ampère en Bourg-en-Bresse, gran parte de la correspondencia con su esposa giraba en tomo al tratamiento prescrito por Petetin. Julie a veces se mostraba aburrida, considerándolo ineficiente y caro. Así, en julio de 1802 Petetin admitió que había malinterpretado el estado de Julie, por lo que a partir de entonces se conformó con el diagnóstico de compromiso de «depósito de leche». El disgusto de Julie era manifiesto y más teniendo en cuenta que en noviembre calculó que había realizado unas 65 visitas a Petetin. Finalmente, la enfermedad que dio muerte a Julie no está clara, aunque la causa más segura podría ser un tumor estomacal, como dejó escrito Vitet, un colega de Petetin y detractor del mesmerismo.
Como ya se ha destacado, Ampère tendría como referencia la ciudad de Lyon durante toda su vida. Allí mantuvo un estrecho círculo de amigos, compuesto básicamente por los ya mencionados Bredin y Ballanche, además de Jacques Roux-Bordier (1771-1822) y Joseph-Marie Degérando (1772-1842). La infancia de Ballanche fue muy similar a la de Ampère. Durante su infancia, la salud de Ballanche era verdaderamente delicada, así que ocho meses al año sus padres le permitían estar en la casa de campo situada en Grigny, una pequeña población a unos 20 km al sur de Lyon, lo que recuerda los idílicos años de André Marie Ampère en Poleymieux. Ballanche pudo hacer uso de la biblioteca de su padre y se interesó por la poesía clásica, el drama y Rousseau. Tanto uno como otro fueron alejados de Lyon durante el sitio de la ciudad en las revueltas de 1793, aunque los cientos de ejecuciones de las que fue testigo Ballanche le dejarían una marca perenne de pesimismo en su concepción de la vida Por otra parte, la vida de su amigo Roux también estaría señalada por la tristeza, tanto que su carácter depresivo le acabó llevando al suicidio en 1822. Roux dedicó sus días a la botánica, inclinación que heredó de su padre, el botánico Étienne Roux. Por último, con Degérando compartió pensamientos respecto a la religión, un tema que desencadenaría muchos conflictos en la mente de Ampère, habida cuenta de su doble educación sentada en las bases del escepticismo, a través del conocimiento científico, y del cristianismo.
«Oye a los hombres sabios, pero hazlo solo con un oído... Deja que el otro esté siempre preparado para recibir los dulces acentos de la voz de tu Amigo celestial.»
André Marie Ampère.
Esta dualidad le concedió una naturaleza ecléctica, por lo que no tuvo reparos en formar parte en 1804 de la fundación de la Société Chrétienne, junto a Bredin, Ballanche y otros cuatro conocidos, a los que se unirían diez miembros más poco tiempo después. Se trataba de una sociedad cristiana en la que se proponían temas de estudio a sus miembros y estos debían presentar una memoria y defenderla en las reuniones. Ampère tuvo que defender una exposición de las «pruebas históricas de la revelación», texto que no nos detendremos a analizar. Degérando se dedicó a la política y la filosofía, y por desgracia sería él quien presentara a Ampère a la que sería su segunda esposa, episodio que terminó en un desastroso matrimonio a partir de 1806.
La infancia de Ampère y su entrada en la edad madura no puede entenderse sin sus relaciones familiares y sociales en Lyon. Allí aprendió a demarcar entre ciencia y supercherías, y comenzó su interés por las matemáticas y por la cultura en general. Obtuvo un bagaje en los temas de investigación y se empapó de todo tipo de anécdotas y experiencias que nutrirían sus años venideros. Aprendió a vivir superando contratiempos y a soportar el dolor y el terror que inundaba su época.
Sin embargo, la muerte de su primera esposa, Julie Carrón, le condujo finalmente a dejar la ciudad para aceptar un puesto de profesor en París en 1804, habiendo adoptado ya una postura agnóstica.
Cuando Ampère llegó a París en 1804 tenía veintiún años, y parecía ser un hombre curtido en el sufrimiento y con una carrera científica, si no consolidada, sí bien encaminada y con sólidas raíces en el círculo de Lyon. Sin embargo, no sabía que nuevos infortunios estarían esperándole en la capital francesa. El anhelo de su educación en un ambiente rural le perseguiría como un eco durante toda su permanencia en París y nunca se acostumbraría del todo a la vida de la gran ciudad, a pesar de que permaneció en ella, de forma discontinua, hasta su muerte, a los sesenta y un años. Como él mismo afirmó en su correspondencia, solo se sentía cómodo en Auteuil, un distrito de París por donde pasa el río Sena, pues le recordaba al Saona, un río que desemboca precisamente en Lyon, en el Ródano. Ampère dejó Lyon por dos motivos fundamentales: para poder curar la herida del desenlace fatal que sufrió su primera esposa y para buscar prestigio científico.
El matemático consagrado
En una carta fechada el 21 de julio de 1805 Ampère le decía a Élise Carrón, hermana de su difunta esposa:
No tengo más que un placer, bastante hueco, bastante artificial, con el que raramente disfruto; se trata de discutir cuestiones metafísicas con quienes se dedican a esta ciencia en París, pues me muestran mayor amistad que los matemáticos. Pero mi posición me obliga a trabajar bajo las órdenes de la última, lo cual no contribuye a mi diversión, pues no me gustan las matemáticas en absoluto.
Su cuñada Élise fue un gran consuelo epistolar durante los primeros años en París, pero por desgracia fallecería en 1808. El texto que le enviaba en esa ocasión debe entenderse enmarcado en el momento personal de Ampère que acabamos de analizar. Necesitaba un apoyo para sus sentimientos y no lo encontraba precisamente en las matemáticas. Sin embargo, como bien le decía a Élise en el mismo escrito, desde su estancia en París había escrito dos memorias que iban a ser publicadas en la revista de la Escuela Politécnica La capacidad de Ampère para no perder la concentración incluso en las etapas depresivas son el eco del niño prodigio que fue. Los trabajos que realizó en esa época respecto a las matemáticas estaban relacionados con las ecuaciones en derivadas parciales.
Ecuaciones en derivadas parciales
En 1806, Ampère publicó en la Escuela Politécnica una de las memorias sobre funciones derivadas, cuyo título es sumamente descriptivo: «Investigación sobre algunos puntos de la teoría de funciones derivadas que conducen a una nueva demostración del teorema de Taylor» y los términos finitos de la expresión cuando se trunca esta serie en un término cualquiera. Este teorema fue enunciado por el matemático inglés Brook Taylor (1685-1731) en 1712.
El trabajo de Ampère carece del sistema de organización sistemática de definiciones, axiomas y teoremas que pronto lideraría el famoso matemático francés Augustin Louis Cauchy (1789-1857), quien, por cierto, fue alumno del propio Ampère. Puede considerarse como un borrador inicial para un estudio más elaborado que publicaría más adelante, también sobre ecuaciones en derivadas parciales y del que nos ocuparemos enseguida. En esta memoria se procura modificar el enfoque de Lagrange, quien había dado una serie de conferencias en la Escuela Politécnica en 1799 y que fueron publicadas en 1804 bajo el título de Lecciones sobre el cálculo de funciones.
Lagrange definió la derivada de una función a partir de los coeficientes de los términos de su desarrollo en serie de Taylor. A continuación, calculó una expresión para el resto resultante, al aproximar la función mediante el truncamiento del desarrollo en un término dado. En otras palabras, Lagrange usó el concepto de derivada de una función sin utilizar el concepto de límite. Ampère realizó dos ampliaciones de este enfoque de Lagrange: dio una nueva definición de derivada de una función y ofreció una nueva fórmula para probar el desarrollo en serie de Taylor, de nuevo sin usar el concepto de límite. La definición que proponía Ampère en su artículo de 1806 se basa, como puede verse, en fundamentos completamente algebraicos:
La función derivada f(x) es una función de o; tal que

está siempre comprendida entre dos valores de esta función derivada tomados entre x y x+y, cualesquiera que sean x e y.
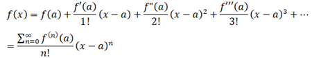
El teorema de TaylorUna serie de Taylor es una infinita suma de términos que representan una función f(x) Infinitamente diferenciable. La serie de Taylor de la función f(x) en el entorno de un punto x = a se escribe como la siguiente serie de potencias:
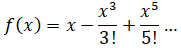
La aproximación a la función será tanto mejor cuanto mayor sea el grado; es decir, se va mejorando a medida que le añadimos términos. Recuérdese que ni se lee «n factorial» y es una operación matemática que consiste en multiplicar el número entero n por todos los números enteros anteriores hasta llegar a 1 (4! = 4∙3∙2∙1 = 24). Es sencillo el caso de la aproximación de la función seno en torno al punto x-0, puesto que todas las derivadas pares se anulan (véase la figura):
A partir de aquí podemos estudiar el teorema de Taylor, que generalizó un resultado obtenido por el matemático y astrónomo escocés James Gregory (1638-1675). Dicho teorema dice que se puede aproximar una función derivable en un entorno alrededor de un punto mediante un polinomio cuyos coeficientes dependen de las derivadas de la función en el punto elegido. Este polinomio no es más que una serle de Taylor truncada; es decir, se corta en un grado y se representan los términos restantes como el llamado «resto» (suma del resto de términos):
Los distintos trazos muestran las aproximaciones de grado 1, 3 y 5. Evidentemente, la de grado 5 describe mejor la función en el punto 0.
Ampère llamaba «función cociente de la diferencia» al cociente que aparece en la definición de arriba. Antes de dar la definición en el texto explicaba de dónde provenían esas expresiones:
Esta función [el cociente], que depende evidentemente de f(x), es la que M. Lagrange nombró en consecuencia función derivada; es, como sabemos, la función más importante de las matemáticas, sobre todo en su aplicación a la geometría y a la mecánica, la representaremos, como este ilustre matemático, f'(x), y nuestro primer fin será demostrar la existencia de ella.
Efectivamente, si nos fijamos en la operación que aparece en la definición, en el caso en que i = 0, obtendremos la indeterminación 0/0. Pero Ampère demostró que esta indeterminación podría resultar cualquier valor, no solamente cero o infinito; es decir, probó que el cociente de la diferencia existe, dando así consistencia a su definición. No tuvo en cuenta en la definición el caso en que i se aproximara a cero, sino que consideró directamente que i fuera exactamente cero; es decir, le faltó el paso al límite. A continuación, puso a prueba dicha definición aplicándola a algunos ejemplos concretos, como funciones trigonométricas. Extendió aún más el uso de su definición para demostrar el teorema de Taylor, de una forma algo engorrosa, pero del todo válida. El estudio termina con una nota acerca de la generalización de su enfoque a funciones de dos variables y que sería un preámbulo a su obra más importante en el terreno de las matemáticas, «Consideraciones generales sobre las integrales de las ecuaciones en derivadas parciales», publicada en 1815 en la revista de la Escuela Politécnica A principios del siglo XIX existía un gran interés por las ecuaciones en derivadas parciales (también llamadas ecuaciones diferenciales parciales) motivado por ciertos problemas físicos como eran el estudio de las ecuaciones de onda y las ecuaciones de difusión del calor, por citar solo dos ejemplos.

Ampère en 1820.
Un estudiante de física o ingeniería está familiarizado con los nombres de Laplace, Cauchy, Poisson y Fourier, pero tal vez nunca haya oído hablar de Ampère en este campo de conocimiento. Este hecho podría ser debido a que Ampère puso más empeño en la clasificación de las ecuaciones que en la solución de problemas físicos concretos.
Su sistema de clasificación de ecuaciones en derivadas parciales fue relativamente bien considerado en su época, pero también rápidamente superado por el matemático alemán Paul David Gustav du Bois-Reymond (1831-1889), en un grado tal que los matemáticos actuales suelen usar su terminología. Si la clasificación del matemático alemán se ha impuesto puede deberse a que el trabajo de Ampère sobre ecuaciones diferenciales parciales sufre varias carencias. Las definiciones que propone Ampère son imprecisas, la notación es engorrosa, los teoremas no siguen un mapa mental acorde con su importancia y los ejemplos no son desarrollados completamente. A pesar de ello, sus colegas contemporáneos reconocieron la originalidad y creatividad mostrada por Ampère en su memoria y gracias a ella consiguió un puesto en la Academia de Ciencias francesa en 1815, asunto sobre el que volveremos más adelante. Las propuestas de Ampère tampoco fueron desairadas por el matemático escocés Andrew Russell Forsyth (1858-1942), ampliamente conocido por los historiadores de la ciencia como autor de importantes y diversos tratados sobre matemáticas. Uno de sus tratados llamado «Teoría de ecuaciones diferenciales» (1890-1906) consta de nueve volúmenes. Se trata de una excelente recopilación en la que cita a Ampère en varias ocasiones y valora positivamente sus contribuciones al campo de las ecuaciones diferenciales:
El método, construido por Ampère para la integración de ecuaciones diferenciales parciales, figura en dos importantes memorias presentadas al Instituto de Francia en 1814. La aplicación del método a las ecuaciones de primer orden es ahora relativamente poco relevante, debido al posterior descubrimiento de otros métodos para tratar dichas ecuaciones. La aplicación a las ecuaciones de segundo orden sigue siendo de importancia fundamental. Las memorias parecen más complicadas de lo que son en realidad, siendo la principal causa el carácter engorroso de la notación.
Ampère comienza su memoria sobre ecuaciones en derivadas parciales realizando un cambio de variables de los términos involucrados en dichas ecuaciones, en concreto en las de segundo orden para una función z(x,y) dada; es decir, aquellas en las que se deriva dos veces la función. Si p = dz/dx y q = dz/dy, entonces las segundas derivadas son r = d2z/dx2, s = d2z/dxdy, t = d2z/dy2. Así, la función explícita puede escribirse del siguiente modo: f(x,y,z,p,q,r,s,t) = 0. A partir de ahí, establece una clasificación de los distintos tipos de ecuaciones diferenciales parciales, y es en estas definiciones donde se aprecia una carencia de precisión. Seguidamente, trata el tema de las soluciones arbitrarias que puede tener una ecuación diferencial parcial, lo que acaba dando paso al tema de interés principal de la memoria: demuestra que una ecuación diferencial parcial de orden m tiene una solución general con al menos m funciones arbitrarias.
La ecuación de Monge-Ampère
Ampère publicó una segunda memoria en 1820, de nuevo en la Escuela Politécnica, dedicada al tema de las ecuaciones diferenciales parciales.

Los estudios de Gaspard Monge, conde de Péluse (en la imagen), fueron una sólida base para los trabajos de Ampère sobre la electricidad y el magnetismo.
Su título era «Memoria que contiene la aplicación de la teoría presentada en el libro XVII de la revista de la Escuela Politécnica, con la integración de ecuaciones diferenciales parciales de primer y segundo orden». Si bien la memoria de 1815 carecía de ejemplos concretos, en este nuevo trabajo detallaría y aplicaría sus nuevos conocimientos.
De interés especial es la conocida actualmente como «ecuación de Monge-Ampère» que, usando la misma notación de Ampère, se escribe de la siguiente forma:
Hr + 2Ks + Lt + M + N(rt - s2) = 0
donde H, K, L, M y N son funciones de las variables de primer orden x, y, z, p y q. El primero en abordar una ecuación de este tipo fue el matemático francés Gaspard Monge (1746-1818), iniciador de la moderna geometría descriptiva, aunque Ampère la generalizó y resolvió para casos concretos, en general, sin aplicación física directa. Sin embargo, el último ejemplo que ofrece se trata de la ecuación de onda de un fluido elástico, para cuya resolución cita el tratamiento ya realizado por el físico y matemático francés Siméon-Denis Poisson (1781-1840).
Esta circunstancia sitúa a Ampère en el contexto de la investigación matemática del momento respecto a las ecuaciones diferenciales, y muestra que no era sueno a la tendencia, aunque su inclinación fueran las matemáticas puras.

Grabado humorístico de la década de 1780 sobre la práctica del mesmerismo.
En la línea de los estudios de Monge, Ampère también se interesó por la geometría, prueba de ello es el artículo que publicó en 1808, «Sobre las ventajas que se pueden extraer de la teoría de curvas de parábolas osculatrices, con reflexiones acerca de las funciones diferenciales, cuyo valor no cambia durante la transformación de los ejes».
Ingreso en el Instituto de Francia y vida en la Escuela Politécnica
En el epistolario y el resto de la documentación manuscrita encontramos referencias al «Instituí» y a la «Académie» indistintamente. Cabe marcar las diferencias para que no dé lugar a confusiones. El Institut de France (Instituto de Francia) se creó en 1795 por la denominada Constitución del Año III, bajo el régimen del Directorio, como medida para suprimir las academias reales. Aunque en un principio se dividió en «clases», a partir de 1816 Luis XVIII recuperó la denominación de Academia y el Instituto quedó conformado por la Academia de Ciencias, la Academia Francesa, la Academia de las Inscripciones y Lenguas Antiguas y la Academia de Bellas Artes. Desde 1832, a estas hay que agregar la Academia de Ciencias Morales y Políticas, que fue suprimida en 1795. Entrar en una Academia significa entrar en el Instituto, por eso a veces se usa en este contexto un término u otro de manera indistinta.
Algunos biógrafos han afirmado que los esfuerzos de Ampère continuaron en París en el campo de las matemáticas por la motivación de ingresar en la Academia de Ciencias francesa y que tras conseguir el sillón perdió el interés. Lo cierto es que obtuvo reconocimiento como matemático en los primeros quince años en
París, y sus publicaciones más importantes, como hemos visto, se concentraron entre los años 1806 y 1820. También es cierto que en ese período demostró definitivamente su valía como matemático, lo que le llevó a conseguir el puesto en el Instituto en 1814.
Mano a mano con CauchyUna de las preocupaciones permanentes de Ampère fue la organización educativa. Pasó por varios Gobiernos durante la Revolución francesa y el gobierno de Napoleón. Eso significó cambios en los planes de estudio y en la organización del sistema educativo.
El matemático francés Augustin-Louis Cauchy.La École céntrale des travaux publics (Escuela central de trabajos públicos) se fundó en 1794 y se rebautizó al año siguiente como École Polytechnique (Escuela Politécnica), para designar la pluralidad de técnicas que se impartían; en 1805 obtendría estatus militar, de la mano de Napoleón. La escuela estuvo emplazada desde 1805 hasta 1976 en el monte Sainte-Geneviéve, en el actual edificio del Ministerio de la Educación superior y de la Investigación francés. En la época de Ampère, la escuela era fuertemente competitiva, los estudiantes se organizaban en brigadas, vivían en barracas y acudían a clase en formación militar. En abril de 1816, Luis XVIII cerró la escuela debido a unas revueltas. Durante los siguientes meses, Laplace supervisó una comisión para reorganizar el centro. En esa reestructuración se despidió a algunos docentes, como Polnsot, mientras que Ampère y Cauchy fueron nombrados profesores de Mecánica y Análisis, respectivamente. Aunque nunca fueron amigos cercanos, entre los meses de noviembre y diciembre de 1816 tuvieron que cooperar para revisar el currículum Impartido. Establecieron un sistema de enseñanza en el que se alternaba análisis y mecánica en dos promociones, es decir, un sistema cíclico en el que ambos impartían las dos materias para acompañar a los estudiantes durante dos años. El ciclo continuó hasta 1828, año en el que Ampère renunció a su puesto en la Politécnica debido a que su posición en el Colegio de Francia le daba cierta estabilidad.
Después de esta fecha, y de forma intermitente y esporádica, publicó algunas memorias sobre cálculo de variaciones, ecuaciones diferenciales y desarrollos de Taylor.
«Paso una parte de la noche preparando mis clases, ya que los días los ocupo en visitar a los miembros del Instituto.»
Palabras de Ampère en el periodo en el que preparaba su candidatura a la plaza vacante en la academia de ciencias.
El ambiente científico de París en aquellos años era un auténtico hervidero de talentos que competían por puestos similares. Por ejemplo, en 1804 Poisson (seis años más joven que Ampère) ya había sido répétiteur durante cuatro años y conseguiría el puesto en la Academia en 1812, además de ser bienvenido en la Sociedad de Arcueil, la cual no tomó en serio los trabajos de Ampère sobre química. Poco tiempo después, el 10 de abril de 1813, moría Lagrange, abriendo de este modo una puerta en la Academia, lo que constituyó una primera tentativa para Ampère, quien se mostró eufórico ante tal oportunidad. Sin embargo, las votaciones se inclinaron a favor de Louis Poinsot (1777-1859), un matemático y físico francés que fue répétiteur en la Escuela Politécnica desde 1808 hasta 1815. Es irónico que Poinsot perdiera su puesto de profesor en 1816, tras una organización de la Politécnica, mientras que Ampère lo mantuvo. Ampère era miembro de la Politécnica antes que Poinsot, pero lejos de sentir rabia por su mayor antigüedad, reconoció en su decepción que no se había esforzado lo suficiente, que prefería que se llevase el puesto Poinsot en vez de otro y, a raíz de ello, comenzó a centrarse en su memoria sobre las ecuaciones en derivadas parciales. No tuvo que esperar demasiado, pues al año siguiente una nueva vacante se abrió paso en la sección de geometría tras el fallecimiento de Charles Bossut (1730-1814), el 14 de enero. Así, durante varios meses preparó su candidatura con solidez, dedicando casi la totalidad de su tiempo, aunque pensaba constantemente que no iba a conseguir cubrir la vacante. Sintió desprecio en las defensas de su memoria sobre ecuaciones en derivadas parciales en sesiones presenciales para miembros del Instituto, en los meses de julio y septiembre. Su trabajo fue agotador, «estas matemáticas me abruman, trabajo forzosamente», dejó escrito.
Sin embargo, el 21 de noviembre de 1814, Ampère escribió a Bredin en unos términos poco usuales, esto es, con esperanza. Le contaba que acababa de realizar la lectura de su memoria y que tenía que esperar una semana para la decisión de los miembros. Aunque estaba el primero de la lista para ocupar la vacante del abad Bossut en la Academia, los candidatos eran Ampère, Binet, Cauchy, Duvillard, Francoeur, Parseval y Puissant. El sufragio para el puesto tuvo lugar en el mismo mes de noviembre, con el triunfo de Ampère: 28 de 52 votos. Consiguió entrar en la Academia de Ciencias el 28 de noviembre de 1814, a pesar- de que Laplace presionase para que los miembros votaran nada más y nada menos que al mismísimo Cauchy, pero, aunque realmente se tratase de su más peligroso competidor, tan solo consiguió diez papeletas. Ampère mostró en su correspondencia el temor de que Cauchy le derrocaría en el puesto, pero este llegó a presentarse hasta tres veces entre 1813 y 1815 con resultados negativos. Sin embargo, tras la caída de Napoleón, Monge sería destituido de su puesto en la Academia y en 1816 el rey Luis XVIII designó a Cauchy para su puesto. Durante la Restauración, también fue cesado de su puesto Lazare Nicolás Marguerite Carnot (1753-1823), padre del famoso físico e ingeniero Nicolás Léonard Sadi Carnot (1796-1832), uno de los grandes pioneros en el estudio de la termodinámica.
Capítulo 3
Cuestión de proporciones
Ampère se acercó a la investigación química durante su época en Bourg-en-Bresse y en los primeros años en París. Se interesó por la clasificación de los elementos conocidos hasta el momento, llegó a la misma conclusión que Avogadro y estudió nuevas sustancias. A pesar de que realizó estudios de interés, acabó dejando aparcada la química debido al rechazo de sus contemporáneos. Los años que dedicó a esta disciplina coincidieron con su segundo matrimonio.
El estado de la química a principios del siglo XIX goza de un atractivo especial, pues surgió como una ciencia rejuvenecida tras una auténtica revolución científica. Durante el siglo XVIII, la alquimia había perdido terreno en pro del nacimiento de la química moderna, dejando de lado, por fin, conceptos vagos como el espíritu, la esencia o el flogisto. A finales del mismo siglo comenzó lo que se ha venido a llamar la «revolución química»; los esfuerzos se centraron en buscar una definición lo más correcta posible de elemento químico, así como en el descubrimiento y la clasificación de los mismos.
En 1789, el químico francés Antoine-Laurent de Lavoisier publicó su Tratado elemental de química, una obra cumbre para la historia de la química. Lavoisier había establecido en sus trabaos la denominada «ley de conservación de la masa», de una utilidad extrema para el estudio de las reacciones químicas. La influencia para los científicos de la época fue decisiva, incluido Ampère, que la leyó en sus años de infancia en Lyon. La ventaja de la generación de Ampère se centraba en que los nuevos avances en la química llegaban cuando tenían la mente libre de inclinaciones científicas, eran jóvenes con ansias de aprender en un ambiente en el que era manifiesto el desconcierto y desorden a la hora de nombrar los compuestos. Así, Ampère creció con los frutos del esfuerzo realizado por Lavoisier y sus contemporáneos por sistematizar una nomenclatura común en química, alejados de las supersticiones mágicas de la alquimia. De hecho, en 1787 Lavoisier ya había publicado el manual Método de nomenclatura química, junto a Guyton de Morveau (1737-1816), Antoine François de Fourcroy (1755-1809) y Claude-Louis Berthollet (1748-1822). Fue tal la impresión que dejaron las ideas de Lavoisier sobre Ampère que lo citaría años más tarde con tanta frecuencia como a Copérnico y Newton. La huella de Lavoisier se debía tanto a los contenidos en sí del Tratado como a la estructura del mismo. Hay que recordar una vez más que la afinidad de Ampère por las clasificaciones le venía desde la infancia, así que encontrarse con obras científicas en las que los conceptos aparecieran ordenados y clasificados era una mina de conocimiento por abordar.
Detrás de un gran hombre hay una gran mujerAntoine Laurent de Lavoisier (1743-1794) es considerado el Iniciador de la revolución química. A su vez, su esposa, Marie Anne Pierrette Paulze (1758-1836), es conocida como la madre de la química moderna. El papel de Marie Anne fue fundamental en los trabajos de su marido, pues realizaba dibujos de los montajes experimentales. Las explicaciones de los experimentos fueron necesarias para que la obra de Lavoisier pudiera ser reproducible por el resto de miembros de la comunidad científica. Además, Lavoisier pudo conocer a fondo la teoría del flogisto gracias a las traducciones del inglés que realizó Marie-Anne. La contribución más importante de Antoine Lavoisier fue la ley de conservación de la masa:
La masa total de los reactivos en una reacción química es igual a la masa total de los productos.
Encontró que el agua está compuesta de oxígeno, que en una combustión se consume oxígeno y que los animales y plantas usan oxígeno en su respiración. Su obra cumbre es Tratado elemental de química (1789), donde Identificó a los elementos como unas sustancias simples que no pueden dividirse mediante ningún método de análisis químico conocido. También dejó escritas Memoria sobre la combustión (1777) y Consideraciones generales sobre la naturaleza de los ácidos (1778). A pesar de sus logros, Lavoisier fue guillotinado el 8 de mayo de 1794, debido a su trabajo como recaudador de impuestos, apenas seis meses después que el padre de Ampère. Lagrange se lamentó ante su muerte:
No les ha hecho falta más que un momento para cortar su cabeza y puede que cien años no basten para producir una parecida.
Grabado del siglo XVIII en el que se muestra a Marie Anne Pierrette (sentada, a la derecha) ayudando a su marido, Lavoisier (frente a ella), en una investigación científica sobre la respiración humana.
Los pilares de la química moderna, por tanto, ya se habían instalado a comienzos del siglo XIX, solo quedaba elevar el edificio. Fue una época en que los químicos, franceses e ingleses en su mayoría, se lanzaron a registrar todo tipo de reacciones, pudiendo nombrar los compuestos y reactivos según una norma que iba ganando terreno. Los trabajos de Lavoisier levantaron la liebre para una multitud de investigaciones y, junto a su ley de la conservación de la masa, pronto el panorama de la química se dibujó con las otras tres leyes estequiométricas: la ley de las proporciones equivalentes (1792) del alemán Jeremías Benjamín Richter (1762-1807), la ley de las proporciones constantes (1797) del francés, afincado en España, Joseph-Louis Proust (1754-1826) y la ley de las proporciones múltiples (1803) del británico John Dalton (1766-1844).
Las cartas estaban repartidas para que entrara en juego un viejo debate: el atomismo. En estos años, Dalton formuló la ley de las presiones parciales; es decir, la presión ejercida por una mezcla de gases inertes entre ellos es igual a la suma de las presiones que ejercerían cada uno de ellos si estuviesen aislados. En aquel momento, los estudios sobre los gases estaban a la orden del día y todo conducía a la existencia de unos constituyentes básicos presentes en toda la materia, los átomos. De este modo, entre 1808 y 1810 Dalton publicó Un nuevo sistema de filosofía química, ensayo que complementó con una segunda parte, ya en 1827. En esta obra, el científico británico sería el primero en elaborar una tabla con pesos atómicos relativos al peso del hidrógeno, de los elementos conocidos hasta el momento. Sin embargo, el modelo defendido por Dalton tenía un importante inconveniente: suponía que los compuestos estaban formados por un solo átomo de los elementos constituyentes.
Por otra parte, el francés Joseph-Louis Gay-Lussac (1778-1860) había enunciado en 1808 la ley de los volúmenes de combinación. A pesar de que el enfoque histórico nos ha enseñado que la ley de Gay-Lussac venía a confirmar la de Dalton, ambos se pusieron en duda recíprocamente. El problema no era solo que Dalton no fuera francés, sino que en Francia había además cierta aversión hacia el atomismo, representada en la figura de Berthollet. Precisamente por esta razón no es de extrañar que la famosa hipótesis del químico italiano Amedeo Avogadro (1776-1856) pasara inadvertida. Avogadro introdujo en la química el concepto de molécula, corrigiendo así la carencia del modelo de Dalton y abriendo una vía de reconciliación de sus partículas con los volúmenes de Gay-Lussac. A pesar del enorme acierto del italiano, pasaría medio siglo hasta que su hipótesis tomara importancia; si bien la enunció en 1811, no sería resucitada hasta 1858 por el químico italiano Stanislao Cannizzaro (1826-1910). Sin embargo, en 1814 Ampère llegó a la misma conclusión que Avogadro, de manera independiente, aunque sus estudios sobre química fueron desairados por sus contemporáneos. Pero antes de analizar estos aspectos, veamos el contexto personal en el que trabajó Ampère mientras era partícipe del apasionante momento de la revolución química.
El desencanto
En 1804, Ampère consiguió in extremis su puesto en la Escuela Politécnica de París, pues pronto, con la reforma educativa, la posesión de un título universitario sería una condición necesaria e indispensable para la adquisición de dicha vacante. Se hizo notar su valía por la fuerte impresión que dejó su memoria del juego en la Academia de las Ciencias. En el capítulo anterior se apuntó que su primera posición en la Politécnica sería la de répétiteur. Ese puesto era muy parecido al de cualquier becario en la enseñanza reglada actual. Los alumnos de la Politécnica tenían un profesor de la materia que, en el ámbito que trabajaba Ampère, se trataba de un profesor de Análisis. El seguimiento cercano de los alumnos no era competencia del profesor, debido a que la única tarea docente de relación con los alumnos era la de dar clases magistrales del tema en cuestión. Era el répétiteur el que hacía las veces de asistente y tutor de la materia; es decir, aclaraba las dudas de los alumnos y los acompañaba en el proceso de aprendizaje. Por tanto, este puesto estaba delegado a los miembros más jóvenes y menos experimentados de la Universidad, dejando reservadas las vacantes de profesor para aquellos que teman en sus espaldas más años de experiencia. Así, el paso temporal por el cargo de répétiteur proveía al docente de una etapa de aprendizaje crucial que podía encaminarle a puestos más atractivos. Ampère no consiguió un puesto de profesor hasta 1815 y continuó en él hasta 1828.
El París de la época de Ampère era, en algunos aspectos concretos, una ciudad casi medieval. Una importante fracción de parisinos vivía en la miseria, la higiene era primitiva y los crímenes violentos estaban al orden del día, por citar solo algunas características. Ampère llegó a la ciudad con un puesto que le permitía un día a día holgado si tomásemos como referencia a un parisino medio. Su primer sueldo fue de 1500 francos mensuales y en los siguientes años ascendió basta 5000 y 6000 francos. Un soltero de la época podía vivir de manera confortable con 15000 francos anuales, y una familia completa con unos 40000, por lo que la situación de Ampère era relativamente acomodada, teniendo en cuenta que de él dependerían distintos miembros de su familia. Es evidente que la búsqueda de mayor renombre universitario no solo significaba el objetivo de un mayor prestigio, sino que sustentaba la estabilidad de la base económica que cualquier investigador necesitaba.
«Mi vida es un círculo donde todos los momentos son iguales.»
Palabras de Ampère en una carta a su cuñada Élise Carrón a finales de julio de 1805, poco después de su llegada a París.
Durante toda su trayectoria profesional, Ampère fue persiguiendo distintos puestos administrativos y nunca pudo dejar de trabajar para mejorar su situación laboral o simplemente conservarla. Pudo compaginar y acumular varios puestos laborales. Así, en 1806, el propio Degérando le consiguió el puesto de secretario en el Bureau de Consultation des Arts et Manufactures (Oficina Consultiva de las Artes y las Manufacturas). Accedió al puesto de inspector de la Universidad Imperial en 1808 y pronto sería inspector general. Esta posición le mantuvo muchos veranos virando para realizar inspecciones por los liceos provinciales, situación que a la larga le provocó tanto un alejamiento en la formación inicial de su hijo, como en su propia salud. Dio todo tipo de conferencias y cursos en el Athénée des Arts (Ateneo de las Artes) y en la École Nórmale (Escuela Normal). En 1814, como ya se ha comentado, fue elegido como matemático de la Academia y en 1824 fue nombrado profesor de Física del Collége de France (Colegio de Francia).
Tras su llegada a París, Ampère pronto comenzó a aburrirse. Después de un año de monotonía y de sentir cierta repulsión por las matemáticas, el tormento volvería a acecharlo en la primera década de su estancia en París. Llegó a la capital con las imágenes grabadas en su recuerdo de su ciudad natal abatida por los tumultos revolucionarios. Esta lacra del pasado, junto a la desdicha de la muerte del padre y la de su esposa moldearon un carácter indiferente ante los acontecimientos políticos y con fuertes tendencias a pensamientos depresivos.
La coronación de NapoleónEn 1799, el Directorio fue la última versión que tomaría el Gobierno de la Revolución francesa. El 18 de brumario del año VIII (el equivalente al 9 de noviembre de 1799 en el calendario republicano), Napoleón Bonaparte (1769-1821) levantó un golpe de Estado instaurando un nuevo período llamado Consulado. Tras tantos años de revolución y a pesar de los logros sociales obtenidos, el pueblo estaba cansado del desorden y la violencia, así que Napoleón tuvo el apoyo de la mayoría del populacho y del ejército.
En 1804, Napoleón presentó la Constitución del Año VII, «basada sobre los verdaderos principios del gobierno representativo, sobre los sagrados derechos de la propiedad, la igualdad y la libertad».
A pesar de que una de las consignas revolucionarias había sido escapar de la figura del rey, el 2 de diciembre de 1804 tuvo lugar la coronación de Napoleón como emperador de Francia. La ceremonia, envuelta en impedimentos, tuvo lugar en la catedral de Notre Dame de París y, por invitación de Napoleón, asistió el papa Pío VII (1742-1823) en persona.
El emperador Napoleón se corona a sí mismo. Grabado de Jacques-Louis David. Museo del Louvre, París.Cuando el papa fue a coronarlo, Napoleón tomó la corona de oro y se la puso a sí mismo. Acto seguido, coronó a la emperatriz Josefina. María Josefina Rosa Tascher de la Pagerie (1763-1814) fue la primera esposa de Napoleón y, puesto que la boda había sido civil, el papa forzó la unión religiosa de Josefina y Napoleón en el Palacio de las Tullerías. La ceremonia fue oficiada por el cardenal Joseph Fesch (1763-1839), tío de Napoleón, por vía materna, quien, por cierto, sería arzobispo de Lyon, ciudad natal de Ampère. Napoleón Bonaparte gobernó hasta 1815, cuando fue desterrado por los británicos a la isla de Santa Elena.
En una carta fechada el 2 de diciembre de 1804, recién llegado a la capital, le relataba con desdén a su cuñada Élise un evento relacionado con la coronación de Napoleón:
Voy a hablarte del acontecimiento del día. Esta mañana he visto, situado en una esquina de la plaza del Carrusel donde Luis XIV daba sus fiestas, pasar al papa seguido de Bonaparte dirigiéndose a Notre Dame para la ceremonia de coronación. Había poca gente y una gran calma. Una hora después vi regresar a los regimientos franceses que habían formado las filas a lo largo del recorrido. Distinguí que la bandera, toda en jirones, se había desgarrado en las guerras de la Revolución.
Para bien o para mal, Ampère vivió los cambios de la estructura educativa en el nuevo orden establecido por Napoleón. Es curioso que en sus escritos personales no se aprecien inclinaciones personales respecto a las reformas que tuvieron lugar. Simplemente se adaptó a las distintas situaciones.
Ampère no hizo grandes amigos en la Escuela Politécnica En su lugar, consiguió rápidos contactos con filósofos y fue bienvenido en un grupo de ideólogos asociados con el aristócrata francés Destutt de Tracy (1754-1836), quien acuñó en 1801 el término «ideología» y que poco tiempo después contendría connotaciones peyorativas. La indiferencia e, incluso, el rechazo a la religión tras su etapa en Lyon dejó un vacío en sus inclinaciones que debía ser cubierto de algún modo, así que buscó en la metafísica abstracta y la psicología materialista un acicate que calmara sus ansias por la continua búsqueda de la certeza. Incluso sus amigos notarían un cambio radical en su comportamiento; tanto es así, que su amigo Bredin, tras una visita de Ampère a Poleymieux, llegó a decir que estaba más cambiado de lo que pensaba. André Marie comenzó a interesarse profundamente por la estructura y el funcionamiento de la ciencia, hasta tal grado que dejó escritas algunas aportaciones a la filosofía de la ciencia. Esta faceta del Ampère pensador la dejaremos para el último capítulo.
Con lo dicho hasta ahora, no es difícil intuir que Ampère pasaba una época de duelo en sus primeros meses parisinos, pocas cosas de la vida cotidiana le hacían sentirse bien y prácticamente se encontraba encerrado en la espiral de su propio sufrimiento. Estaban preparados, por tanto, los ingredientes para el desencanto general que sintió Ampère en sus primeros años en París: la vida urbana, las escasas relaciones sociales de su entorno docente y el desafortunado desenlace de su segundo matrimonio. Fue Degérando quien presentó a Ampère a la que sería su segunda esposa. A la llegada de Ampère a París, Degérando lo tomó bajo su protección y procuró acercarlo a algunos círculos sociales que pudieran ser de su interés. Entre sus conocidos se encontraba Jean-Baptiste Potot, antiguo miembro de la Academia de Lyon y que en aquella época residía en París con su esposa y su hija de veintiséis años, Jeanne-Françoise Potot, conocida como Jenny.
Degérando lo introdujo en la casa de los Potot en otoño de 1805 y Ampère acabó enamorándose perdidamente de Jenny Potot.
Según afirma el biógrafo Launay, la casa de los Potot era burguesa en el sentido más despectivo de la palabra en la época, estaba llena de prejuicios y en ella se vivía solo por el dinero y la vanidad, además de que nada se sabía de ciencia; eran valores opuestos a los que habían visto crecer a Ampère en su humilde infancia. Pero el apasionado científico se entregó al cortejo de Jenny Potot, ya fuera por un amor verdadero o por un ansia de buscar el afecto que había perdido con la desaparición de Julie.
«Años atrás era un hombre cristiano y hoy es solo un hombre de genio, ¡un gran hombre!»
Comentario de Louis Bredin acerca del rechazo a la religión de Ampère tras dejar Lyon.
Este episodio de la vida de Ampère no se entiende sin la relación epistolar que tuvo con sus confidentes del momento, especialmente Bredin, Biran y Ballanche, como se verá enseguida. El primer documento escrito por el propio Ampère, en el que confiesa que está enamorado, de nuevo es una carta de marzo de 1806 al filósofo Maine de Biran (1766-1824), se dirigía a él en los siguientes términos:
Amigo mío, después de todo lo que sufrí y que me afligió hace tres años, no habría creído nunca que el amor pudiera renacer en mi alma y que pudiera experimentar los mismos arrebatos. Esta pasión llenaba de nuevo mi corazón desde el momento en que tuve la dicha de conocerle a usted, pero solo yo conocía este secreto, así como los obstáculos que preveía que pudiera ocasionarme lo que había perdido, obstáculos que no pensaba que pudiera superar, por lo que había decidido enterrarme en un eterno silencio para evitar la derrota y no ocuparme más que de ideas abstractas. No diré qué acontecimientos casi milagrosos han cambiado esta decisión, tales como la amistad de M. Degérando ha retirado todos los obstáculos mediante la creación de un nuevo puesto para mí en la Oficina de Artes y Oficios compuesta ya por MM. Montgolfier, Molard y Gay-Lussac, obteniendo así el consentimiento de la mujer que amaba.
En poco tiempo, sus amigos fueron enterándose del cambio de rumbo en los sentimientos de Ampère, aunque algunos mostraron preocupación porque pensaban que él podría estar confundiendo una pasión fugaz con amor verdadero. Sin embargo, en marzo de 1806 ya se había decidido el matrimonio, aunque, por diversos inconvenientes, la boda no se celebraría hasta varios meses después. Su amigo Couppier incluso llegó a preguntarle en julio si ya se había casado, pues en su ciudad natal estaban un poco desubicados al respecto. Los requisitos y exigencias que proponía el Sr. Potot para la boda eran intolerables; entre otros, debía abonar la cantidad de 7200 francos en concepto de compra de muebles al matrimonio Potot. Degérando intervino realizando esfuerzos para aliviar el contrato, pero sus gestiones cayeron en saco roto. Tras presentar su rechazo al contrato, Jean-Baptiste Potot convocó a Ampère a su domicilio y le mostró el estado penoso y enfermizo en el que se encontraba su hija, pues llevaba ocho días sin comer por la angustia de la negativa. Fue un chantaje emocional en toda regla y bien perpetrado, pues Ampère, ante la escena, accedió a aceptar todas las cláusulas y firmó el 31 de julio, a pesar de las objeciones de Degérando. La boda se celebró el 1 de agosto y a ella asistieron varias personalidades importantes: Champagny, ministro de Interior; el general Lacuée, gobernador de la Escuela Politécnica; Lagrange y Delambre. Debido a la lejanía de Lyon y a la premura de la boda tras la firma, la madre de Ampère no pudo asistir al evento, quien en septiembre le escribiría mostrándole «la inquietud por conocer a su querida Jenny».
Una de las condiciones asimiladas en la boda era que la pareja debía compartir su vida en la casa familiar de los Potot. Y allí fueron, a la parisina calle Poissonniére. En la misma noche de la boda comenzó el suplicio de Ampère: Jenny le comunicó su deseo de no tener hijos. Algunos biógrafos han afirmado que tal vez fuera porque ella no sentía atracción física por él, confirmándose así que la boda estuvo movida por motivos financieros. Sea o no cierta tal aseveración, el caso es que se trató de un duro golpe para un hombre que pretendía rehacer su vida buscando una nueva estructura familiar, así que forzó la situación y finalmente dos meses después de las nupcias la dejó encinta. Esta situación provocó que Jenny reaccionara mudándose a la habitación de su madre, quedando Ampère relegado a una pequeña estancia en el segundo piso. Solo se le permitiría ver a su mujer durante las comidas.
Los padres de Jenny intentaron hacer la vida imposible a Ampère como repulsa por el embarazo, llegando incluso a abrirle las cartas y a rechazar las visitas que él recibía. Fueron unos siete meses en los que la casa debió presentársele como una cárcel, en la que todos sus movimientos eran coartados. Buscó el refugio en la correspondencia con su madre; «¿no sabes que no existe la felicidad perfecta en la tierra?», le decía ella a principios de diciembre de 1806 para consolarle. Pero tal vez su mayor problema no fuera el desprecio de los suegros o la sensación de claustro en la casa de los Potot; se trataba de que incluso su esposa dejó de hablarle, no respondía a sus preguntas durante las comidas y únicamente asentía con la cabeza Las líneas que envió a Biran en marzo de 1807 lo dicen todo:
La confesión más triste es que, cada día esta mujer me da pruebas nuevas de su sequedad de corazón, de su aversión por mí, y apenas puedo culparla del mal que me causa; ya que, según su forma de sentir y de juzgar, soy un loco, un insensato, encaprichado de principios ridículos [...].
Entre los meses de noviembre de 1806 y junio de 1807, Ampère vivió un infierno en el que no tenía el abrigo ni contacto directo de sus amigos y familiares. La madre se convirtió en un apoyo decisivo, pues llegó a coartarle para que no abandonara París, haciéndole ver que en el futuro podría arrepentirse. Eso dice mucho de una mujer que controlaba sus instintos maternales a favor del futuro de su hijo puesto que, como escribió su marido antes de ser guillotinado, no hay nada que no esperase de André Marie. El sentimiento de rechazo formaba parte de una mezcolanza con la sensación de culpabilidad. «He perdido la fuerza para sufrir más», le comentaba a Bredin, ya al borde de la desesperación, despojado de toda esperanza. Finalmente, ante tanta presión, a finales de junio se vio obligado a abandonar la casa de los Potot y se trasladó a una dependencia del Ministerio del Interior ofrecida por el propio Champagny, donde viviría durante varios meses. Sin embargo, no cesó inmediatamente en su empeño e hizo lo imposible para que Jenny Potot preparase sus cosas y se fuera a compartir techo con él. Dos días después de mudarse a la habitación ofrecida por Champagny escribió sendas cartas a Jenny Potot y a su padre. Le pidió a su suegro que permitiese a su hija ir a vivir con él cuando naciera el bebé, a una vivienda que fuera de su agrado, mientras que a Jenny le envió una carta concisa, pero con algunas palabras tiernas que llamaban a la reconciliación:
Esté segura, señora, usted siempre encontrará en mí los sentimientos del marido más fiel. Sabe que nada puede impedir que usted sea mi vida, el primer objetivo de mis afectos más tiernos.
No se tienen noticias de que ninguna de las dos cartas recibieran respuesta. En julio de 1807, parece que su empeño se fue desbaratando, pues él mismo llegó a decir «el hechizo se rompe», en unas letras enviadas a su amigo Ballanche. Fue en la soledad de la habitación de Champagny, en la calle Grenelle-Saint-Germain, donde se enteró de que su hija Anne Joséphine Albine había nacido, el 6 de julio, por boca de un portero, cuando no había pasado ni un solo año desde que se casó con Jenny. A finales de agosto pasó un tiempo en Lyon y sus alrededores; esta visita le hizo volver con ganas de seguir luchando por su matrimonio y por formar una familia, no quería aceptar que se había roto el hechizo. De este modo, en noviembre volvió a escribir a Jenny para insistir en una vida en común y, de paso, le recordaba que no había recibido respuesta de la anterior carta, cuatro meses atrás. En marzo de 1808 volvió a intentarlo, en aquella ocasión con una misiva que, de algún modo, puede considerarse amenazante: quería agotar todas las vías para que se reuniesen; si no era por amor a él, debería ser por el hijo en común.
«La amistad es todo lo que tengo. Escribir para mí todo el tiempo que pueda, este es mi único consuelo.»
Extracto de una carta de Ampère a Bredin en la que le manifiesta su bajo estado de ánimo tras la muerte de su madre y la añoranza de sus amigos.
En los escritos de Ampère no encontramos manifestaciones sobre los sentimientos reales que tenía hacia Jenny, por lo que su insistencia se podría deber a su asimilada moral religiosa. Los tribunales acabaron apelando a su favor y en mayo de 1808 se dictaba sentencia: ella y su hija debían compartir techo con él. Pero para Ampère no era suficiente, pues buscaba el consentimiento y el cariño, pues, según dijo, «esta libertad no es un halo de luz: es el fin de toda esperanza»; de hecho, el Sr. Potot interpuso un recurso. La resolución terminó en que Jenny no estaría forzada a vivir con Ampère, aunque la familia Potot perdió la custodia de Albine, lo que no pareció preocuparles, y además hasta los siete años tuvieron que abonar una cantidad de 300 francos anualmente para su manutención. Tras este desenlace y huyendo de la idea del divorcio, por las convicciones religiosas de Ampère, el 11 de julio de 1808 acabaron firmando un acuerdo amistoso de separación. Mientras tanto, Ampère había convencido a su madre para que fuese a vivir a París, junto a su hermana Joséphine y su hijo Jean Jacques, a una casa preparada por Ampère hacia noviembre de 1807 para poder llevar a cabo su inexistente vida conyugal; la vivienda se encontraba en el número 22 de la calle Cassette. Ella lo ayudaría en el cuidado de sus dos hijos, a pesar de que contaba ya con más de sesenta años a sus espaldas. La madre de Ampère falleció el 4 de mayo de 1809, dejando en él claros rastros de remordimiento. Desde aquel momento, la hermana se hizo cargo de la casa y comenzó para nuestro científico el período que lo llevaría a su plenitud investigadora, aunque no sabría nunca sacudirse su predisposición hacia el lamento.
Ampère no volvería a encontrar el amor, excepto por una historia que relata a su amigo Bredin. No conocemos el nombre de la mujer, «a quién le importa», dice su biógrafo Luis de Lunay, aunque sí sabemos que era más joven que él. Se refería a ella como la constante amitié (amistad constante) y parece ser que le sirvió de apoyo a partir de 1809, aunque en 1811 se acabaría casando con un «tartufo infernal». Ampère había tocado fondo y durante esa época escribía a sus amigos con frecuencia, diciéndoles que deseaba verlos. Su amigo Bredin llegó a reconocer «siento que eres el hombre más desgraciado de todos los que conozco». Después de esta época, la historia de Jenny parecía haber terminado, pero no fue así. Años más tarde de la separación hubo un resquicio de esperanza que se truncó con rapidez. El Sr. Potot le escribió en marzo de 1813 contándole que su esposa y su hija le habían dado de lado. A continuación, Jenny Potot intentó contactar con Ampère, pero la hermana de este lo impidió; lo sabemos por una carta enviada a Bredin en la que todavía habla de Jenny como «la Sra. Ampère». El intento de Potot, movido posiblemente por motivaciones económicas, coincidió con la ausencia de Ampère en abril del mismo año debido a sus trabajos de inspección docente. A partir de ahí, poco se sabe de la relación entre ambos. El Sr. Potot murió en octubre de 1820 dejándole una gran fortuna a su hija, pero para entonces Ampère estaba entregado a un campo de la física que cambiaría la vida del ser humano: la electrodinámica.
Un químico desubicado
Como se ha visto, la primera década de Ampère en la capital francesa estuvo envuelta en el sufrimiento, básicamente por motivos sentimentales. La correspondencia nos muestra a un científico inclinado al desánimo, y los resultados que obtuvo en sus trabajos sobre química no le harían subir la autoestima Ampère ya era conocido en París como matemático, había comenzado a cosechar prestigio, así que no sentaría muy bien entre los químicos que se dedicara a investigar en su campo. Fue visto injustamente como un intruso.
La sociedad De ArcueilLa localidad de Arcueil se encuentra al sur de París, a unos 5 kilómetros del centro, en el valle del Marne.
Claude-Louis Berthollet, fundador junto a Pierre-Simon Laplace de la Sociedad de Arcueil. Grabado de H. Rousseau (diseño gráfico) y E. Thomas (grabador).Aunque hoy ha quedado absorbida por el extrarradio parisino, tanto Claude-Louis Berthollet como Pierre-Simon Laplace tenían sendas viviendas situadas en la zona, en las afueras de la ciudad. Allí organizaron reuniones, sobre todo los fines de semana de los veranos comprendidos entre 1806 y 1822, fundando así la Sociedad de Arcueil. La motivación de fondo del establecimiento de la Sociedad descansaban en la atención que había puesto Napoleón Bonaparte en las ciencias. En 1785, Laplace había sido el examinador final del propio Napoleón en la Escuela Militar. En 1807,1809 y 1817 publicaron las Memorias de Física y de Química de la Sociedad de Arcueil. No todos los científicos del momento tenían cabida en la Sociedad: el elenco lo conformaba una
selecta lista de miembros en la que Ampère nunca llegó a figurar: Friedrich Heinrich Alexander von Humboldt (1769-1859), Louis Jacques Thénard (1777-1857), Joseph Louis Gay-Lussac (1778-1850), Jean Baptiste Biot (1774-1862), Augustin Pyramus de Candolle (1778-1841), Hyppolyte Víctor Collet-Descotlls (1773-1815), Amédée Barthélemy Berthollet (1780-1810), Étienne Louis Malus (1775-1812), François Arago (1786-1853), Jacques Étienne Bérard (1789-1869), Jean-Antoine Chaptal (1756-1832), Pierre Louis Dulong (1785-1838) y Siméon Denis Poisson (1781-1840).
El caso «Davy»
El interés que mostró Ampère con la lectura del Tratado elemental de química de Lavoisier continuó tras conseguir en 1802 el puesto de profesor en Bourg-en-Bresse. En su discurso de posesión hizo referencia a los puntos sobre los que girarían sus trabajos sobre química, a saber, la composición y descomposición de sustancias, la combinación de oxígeno con combustibles y reacciones de ácidos y bases. Recuérdese que incluso llegó a montar un pequeño laboratorio en Bourg-en-Bresse.
Tras la vuelta a Lyon y el establecimiento en París en 1804, la actividad experimentadora de Ampère sufrió un pequeño intermedio. Emprendió sus trabajos en 1808, sobre todo motivado por el descubrimiento de las investigaciones del químico británico Humphry Davy (1779-1829), quien llevó a la máxima expresión el uso de la electrólisis, un método usado para separar un compuesto en sus elementos constituyentes mediante el uso de corrientes eléctricas. Con esta técnica, en 1807 Davy había conseguido aislar tanto potasio, a partir de potasa, como sodio, a partir de sosa. Este hecho llegó a oídos de Ampère, dado que el propio Davy envió en 1808 un comunicado con sus descubrimientos a la Academia de Ciencias francesa. En noviembre de 1810, Ampère decidió comenzar una relación epistolar con Davy. Las cartas del joven e inexperto Ampère están llenas de entusiasmo y de ingenuidad, mientras que las de Davy, en inglés, muestran templanza, experiencia y reticencia En la primera carta, Ampère felicitó amablemente al británico por sus logros y le presentó sus disculpas por la indiscreción al escribirle sin haber sido anunciado anteriormente. Dado el recelo de sus compatriotas, Ampère se vio obligado a compartir su reciente descubrimiento con Davy:
Permítame dar a esta tercera sustancia oxidante el nombre de oxyfluorique.
Presentaba la posibilidad del descubrimiento de una nueva sustancia, el flúor, similar en propiedades al cloro, pues el ácido formado por el flúor (HF, ácido fluorhídrico) es muy similar al ácido clorhídrico (HCl), entonces llamado «ácido muriático», y que recientemente había sido disociado en hidrógeno y cloro por Davy. Si se observa la tabla periódica, el flúor está justo encima del cloro, en la columna de los halógenos, lo que significa que, en efecto, sus propiedades son muy parecidas, especialmente respecto a su posibilidad de formar compuestos y en las reacciones ácido-base. Davy tardó tres meses en responder a la carta y calificó el enfoque de Ampère como «muy instructivo». Se mostró prudente, una actitud usual entre científicos de la época, más en un momento en el que en varios puntos de la geografía europea se perseguía el mérito del hallazgo de nuevos elementos.
Davy no reconoció hasta 1813 que la intuición de su colega francés había sido correcta, y lo hizo en una carta dirigida a Ampère, en la que además le contaba cómo había perdido un ojo debido a un experimento sugerido, precisamente, por él. En la publicación de su trabajo al respecto, Davy comentó que había recibido dos cartas desde París de Ampère y que este le había propuesto el nombre de «fluorina», aunque el propio Ampère eligió «phtore». Ahí acabó el asunto. Sin embargo, en el último trimestre de 1813, Davy fue invitado a París por Napoleón para recibir un premio del Instituto. Es una muestra de la importancia que daba Napoleón a la ciencia, pues se saltó su propio veto de paso a los ingleses. La razón del premio descansaba en el reconocimiento de los trabajos realizados en los últimos años en el ámbito de la electroquímica.

Durante su estancia en París, Ampère demostró un gran interés por la química, motivado por las investigaciones de Humphry Davy (en la imagen).
No solo tuvo un encuentro personal con Ampère, sino que su asistente, el entonces joven Michael Faraday (1791-1867), diría que Davy reconoció a Ampère como el químico más importante de París.

En 1824, Ampère fue nombrado profesor de Física del Collége de France.
Evidentemente, esto no sentó muy bien a los miembros de la Sociedad de Arcueil, que seguían mirando a Ampère como un matemático que jugaba con la química. Lejos de mejorar la situación, Ampère facilitó a Davy una muestra desconocida que el francés Bernard Courtois (1777-1838) había aislado de las algas marinas en 1811.
Con esta muestra, Davy pudo descubrir un nuevo elemento, el yodo, pero el problema fue que Gay-Lussac había llegado a la misma conclusión, por lo que se abrió una nueva disputa que no ayudaría a limpiar la imagen de Ampère entre sus compatriotas.
La hipótesis De Avogadro-Ampère
Durante el segundo semestre de 1811 y el año 1812, Ampère prácticamente solo mantuvo correspondencia con su amigo Bredin y ambos hablaban de asuntos personales, aunque había hueco para la química. Si bien es cierto que a esas alturas Ampère había sufrido mucho, se apreciaba en sus palabras una inclinación por sentirse infeliz, nada lo consolaba; Bredin llegó a decirle que tuvo una infancia feliz, sugiriendo con acierto que no estaba educado en el sufrimiento. Hablaban, por ejemplo, de libros, y Bredin sobre obras alemanas que procuraba traducirle. La correspondencia con Roux, Bredin, Pictet y Davy muestra que 1813 fue un año de intensa investigación para Ampère. Se pueden leer referencias continuas a trabaos de Davy, Gay-Lussac, Dalton y Berthollet, entre otros. En el mes de enero de 1814, Ampère se vio obligado a interrumpir sus trabajos en química, como él mismo le dijo en una carta a Davy, debido a la vacante dejada por Bossut en la Academia Sin embargo, en abril de ese mismo año publicó su primera memoria sobre química, en los Anales de Química:
Determinación de las proporciones según las cuales los cuerpos se combinan de acuerdo con el número y la disposición relativa de las moléculas [átomos actuales] que componen sus partículas [moléculas actuales) integrantes.
En febrero, tras una sesión en el Instituto, compartió con Bredin su angustia ante el rechazo de Louis-Jacques Thénard (17771857), un químico francés colaborador de Gay-Lussac y miembro de la Sociedad:
He leído allí mi memoria y ha sido condenada sin ser examinada. Uno de los miembros cuya amistad debería ser la que más merezco, pues sacrifiqué un lugar para él, por supuesto que sabes quién es [Thénard], me ha reprochado, hasta el punto de los más graves insultos, acerca de mi correspondencia con Davy como un delito.
Es evidente que, tras el resultado a nivel social de su primer contacto con Davy, necesitaba sentir el apoyo de los parisinos, así que, ni corto ni perezoso, Ampère decidió enviar su memoria en formato de carta abierta a Berthollet. En la memoria, de 43 páginas, Ampère defendía la misma hipótesis a la que había llegado Avogadro en 1811: volúmenes iguales de gases distintos tienen el mismo número de partículas, si se encuentran a las mismas condiciones de presión y temperatura.

En 1811, Avogadro (en la imagen) introdujo el concepto de molécula. En 1814, Ampère llegó a la misma hipótesis.
En una nota a pie de página, Ampère indicaba que tuvo conocimiento del trabajo de Avogadro una vez finalizada su memoria.
Como se ha dicho anteriormente, esta hipótesis relacionaba las partículas de Dalton con los volúmenes de Gay-Lussac. En efecto, la ley de los volúmenes de combinación dice que los volúmenes de las sustancias que reaccionan y los volúmenes de las que se obtienen de la reacción se encuentran en una relación de números enteros sencillos, si la presión y la temperatura permanecen constantes.

En 1789, Antoine Lavoisier (en la imagen) publicó su Tratado elemental de química, una obra que Ampère leyó durante sus años en Lyon y que fue fundamental en la clasificación de los 48 elementos que realizó en 1815.
Ampère expuso el ejemplo del agua: dos volúmenes de hidrógeno se combinan con un volumen de oxígeno para formar dos volúmenes de vapor de agua; es decir, en términos de Ampère, una partícula de oxígeno se combina con dos partículas de hidrógeno para formar dos partículas de agua. El resultado que dedujo entonces fue que para conseguir una partícula de agua es necesaria la reacción de media partícula de oxígeno y una partícula de hidrógeno, apoyando por tanto la naturaleza diatómica del oxígeno. Es decir, aceptar que algunos elementos son compuestos de un mismo átomo era la clave para casar la ley de combinación de los gases con la propuesta atómica de Dalton. En la memoria, Ampère recogía una tabla con el estudio de 23 poliedros e invitaba a los científicos a estudiar las proporciones de los constituyentes en los compuestos a partir de su estudio geométrico. Corría un momento muy experimental para la química y la propuesta de Ampère era eminentemente teórica, si bien sugería un enlace entre la teoría y los datos empíricos. Añadamos que el mismo año la Academia rechazó un nuevo trabajo de Ampère que apoyaba, una vez más, la hipótesis de Avogadro, aunque sería publicado en Anales de Química en abril de 1815 bajo el título «Demostración de la relación descubierta por Mariotte entre los volúmenes de los gases y las presiones que soportan, a una misma temperatura». Así que en su tiempo no fue bien recibido su planteamiento, aunque, años después, en la literatura francesa aparecería con frecuencia la expresión «hipótesis de Avogadro-Ampère», rindiendo un merecido homenaje al trabajo del francés.
La ley de los volúmenes de combinación y la hipótesis de Avogadro-AmpèreSegún la ley de los volúmenes de combinación (Gay-Lussac) un volumen (1 V) de oxígeno se combina con dos volúmenes (2 V) de hidrógeno para dar dos volúmenes (2 V) de agua, es decir, se cumple una relación sencilla entre reactivos y productos (1:2:2). La interpretación de Ampère es que una partícula de oxígeno, una molécula diatómica en términos actuales, se combina con dos partículas de hidrógeno, dos moléculas diatómicas en términos actuales, para dar dos partículas de agua, dos moléculas compuestas por dos hidrógenos y un oxígeno.
La clasificación de los elementos de Ampère
El nuevo varapalo sufrido a causa del desinterés de la comunidad científica hacia sus memorias dejó a Ampère irnos meses fuera de la investigación en química. Su nueva situación de miembro de la Academia le hizo volver a la química y en 1815 dedicó gran parte de su tiempo a un nuevo estudio que vería la luz en varias entregas el año siguiente en Anales de Química y Física: «Sobre una clasificación natural de los cuerpos simples». Una vez más hizo acto de presencia la inclinación de Ampère por las clasificaciones.

En esta tabla se sitúan los 48 elementos conocidos en la época de Ampère; pronto se irla conociendo el resto. Se ha escrito el número del género en el que los clasificó Ampère, para que se aprecien visualmente los éxitos y fracasos que tuvo su planteamiento.
Quiso trasladar los criterios botánicos aprendidos en su juventud a la química, y así establecer una clasificación natural de los «cuerpos simples» —elementos—, para cuya labor tomó como referencia la tabla de 33 elementos ya realizada por Lavoisier en 1789.
En 1815, Ampère contaba con una lista de 48 elementos y los agrupó en 15 «géneros» —algo parecido a los grupos de la tabla periódica actual— según la similitud de sus propiedades, tal como se muestra en estas páginas. Primero realizó una división gruesa en tres «especies»: «gazolitos», «leucolitos» y «croicolitos». Aunque huyó de la distinción entre metales y no metales, ocurre que los gazolitos son no metales, mientras que los leucolitos y croicolitos son metales. Los gazolitos contenían 5 géneros y la propiedad fundamental es que todos son gaseosos o son susceptibles de formar sustancias gaseosas. Los leucolitos, también agrupados en 5 géneros, son sustancias con puntos de fusión bajos. Por último, los croicolitos tienen puntos de fusión muy elevados y se trata del último conjunto formado por 5 géneros. Ampère usó la terminación -eidós, que en griego viene a significar «semejante a»; así, por ejemplo, el género bóridos significaría «semejante al boro».
La clasificación de los elementos de Ampère (véase la tabla) combinaba éxitos y fracasos. Acertó de pleno con los elementos halógenos conocidos hasta el momento, situados en la columna 17 de la tabla periódica: flúor (F), cloro (Cl) y yodo (I). También relacionó con atino los elementos conocidos del grupo de los alcalinos; es decir, el sodio (Na) y el potasio (K). A excepción del berilio, agrupó adecuadamente los elementos alcalinotérreos: magnesio (Mg), calcio (Ca), estroncio (Sr) y bario (Ba). En cuanto a los errores, son varios, los elementos conocidos del actual grupo 11, cobre (Cu), plata (Ag) y oro (Au) aparecen en tres géneros distintos, incluso en especies distintas. Tampoco estuvo muy agudo con los carbonoideos y los nitrogenoideos, pues aparecen elementos de estos grupos repartidos en tres y cuatro géneros, respectivamente.

Pero el mayor problema de la tabla de los elementos de Ampère no es realmente que acertase o no en relacionar bien los elementos; el inconveniente es que no tuvo en cuenta las masas atómicas en ningún momento, lo cual supuso una carencia de entusiasmo en sus contemporáneos. En efecto, los orígenes de la tabla periódica actual se encuentran en la agrupación de elementos no solo atendiendo a sus propiedades físico-químicas, sino en base a sus masas atómicas. Precisamente, el inicio de esta relación data de la época de Ampère, y fue el químico alemán Johann Wolfgang Döbereiner (1780-1849) quien daría el primer paso. A partir de 1816, Döbereiner notó que podía agrupar algunos elementos de tres en tres, de forma que el elemento central tenía una masa atómica intermedia entre los otros dos. A esta nueva forma de agrupación se la denomino «tríadas» y algunas de ellas son: cloro-bromo-yodo, calcio-estroncio-bario, azufre-selenio-telurio y litio-sodio-potasio. Como curiosidad, cabe citar que la intuición de Ampère fue bastante buena: la tríada Ca-Sr-Ba coincide con el género novenos (cálcidos) y aparecen dos elementos (Cl y I) de la tríada Cl-Br-I en el género cuarto (clóridos), no aparece el bromo porque se descubriría en 1826. La carrera hacia la clasificación de los elementos siguió por la vía abierta por Döbereiner durante el siglo XIX, y ya en 1869, el químico ruso Dmitri Ivanovich Mendeléiev (1834-1907) publicó la tabla periódica de los elementos que derivó en la tabla periódica que suele aparecer en los libros de texto de la escuela.
Ampère se paseó por la química sin encontrar la aprobación de sus contemporáneos y sin pasar a la historia de la ciencia por estos estudios. En 1816, con el nuevo rechazo a su tercera memoria en química, abandonó dicha disciplina para siempre. Tal vez tuvieran también algo que ver los acontecimientos que le esperaban a partir de 1820 y que cambiarían tanto su carrera investigadora como su vida.
Capítulo 4
La infancia de las cargas en movimiento
Tras el fracaso de su segundo matrimonio, Ampère se entregó por completo a su trabajo, y a partir de 1820 sufrió un cambio en su trayectoria profesional ante el apasionante descubrimiento del electromagnetismo. Dedicó casi diez años a su estudio y dejó en este terreno los trabajos por los que ha pasado a la historia. Fue Ampère quien defendió por primera vez que el movimiento de las cargas es el responsable de la generación del magnetismo, suponiendo su aportación el nacimiento y la infancia de la electrodinámica.
Las primeras observaciones de fenómenos eléctricos y magnéticos se pierden en el tiempo, podrían datar de varios siglos antes de Cristo. El ámbar es un mineral vegetal con propiedades eléctricas conocido desde antaño, su nombre en griego es elektron, de ahí el nombre de electricidad. Por otra parte, en la región de Magnesia en Asia Menor se conoce también desde la Antigüedad una piedra con propiedades magnéticas, la piedra imán, un mineral que contiene un óxido de hierro, el Fe3O4. El griego Tales de Mileto (624-546 aC.) fue de los primeros en intentar buscar una correlación entre ambos fenómenos, si bien no lo consiguió. Serían los chinos los primeros que encontraron una utilidad a la piedra imán, pues existen documentos escritos que datan del siglo n en los que queda patente su dominio en el manejo de brújulas. Este dominio pasó a Europa a través de los árabes, ya que estos lo tomaron de los chinos.
El primer tratado con cierto carácter científico fue la Epístola de Magnete (1269), y se debe a Pedro Peregrino de Maricourt. Hasta casi cuatro siglos después no se aprecia en la historia de la ciencia un avance significativo. Vendrá de la mano del inglés William Gilbert (1544-1603), que publicó en 1600 la obra cumbre De Magnete. Gilbert y otros científicos de los siglos XVII y XVIII también aportaron importantes avances al entendimiento de la electricidad. Destaca la comprobación de la existencia de dos tipos de electricidad, la vítrea y la resinosa, a cargo del físico francés Charles-François de Cistemay du Fay (1698-1739). La primera adquirida por el vidrio y la segunda por el ámbar. Su contribución fue esencial, pues describió el hecho de que objetos cargados con el mismo tipo de electricidad se repelían, mientras que si se cargaban con distinto tipo, se atraían. A partir de entonces entró en acción la hoy obsoleta teoría de los dos fluidos, puesta de moda por el abad francés Jean-Antoine Nollet (1700-1770).
La pila de VoltaEl desarrollo de la pila de Volta fue decisivo para poder emprender los estudios que llevaron a la teoría electrodinámica. Desde que Alessandro Volta construyó la primera en 1800 hasta que Ampère comenzó sus estudios sobre electricidad y magnetismo transcurrieron dos décadas, por lo que la pila había alcanzado unos niveles de perfección notables. Volta se basó en un Inesperado descubrimiento del médico italiano Luigi Galvani (1737-1798).
Representación esquemática de la pila de Volta.Hacia 1780, Galvani comprobó que al juntar dos metales (cobre y cinc) y acercarlos a diferentes partes del nervio de un anca de rana, se contraía el músculo de dicha extremidad. En aquel momento no se entendía completamente el fenómeno, pero el hallazgo fue conocido por toda la comunidad científica. Volta aprovechó la idea del siguiente modo: apiló discos de cobre y de cinc alternativamente, interponiendo un paño húmedo (electrolito) después de cada par, de tal forma que si comenzaba con cobre, terminaba con cinc. Al unir con un conductor la parte superior con la Inferior, vio que se producía un flujo eléctrico. En tiempos de Volta y de Ampère era común llamar corriente galvánica a este flujo, en honor a Galvani, aunque hoy es denominada corriente eléctrica, sin más.
Otros, entre los que se encontraba el físico estadounidense Benjamín Franklin (1706-1790), defendieron con acierto la existencia de un solo fluido eléctrico.
En 1785, cuando André Marie Ampère tenía tan solo diez años, Coulomb publicó la ley de las fuerzas electrostáticas, un acontecimiento que sería decisivo para el posterior desarrollo del electromagnetismo; aunque se ha comentado en el capítulo primero, no está de más recordar por qué tiene tal relevancia. En primer lugar, porque sus métodos de medidas serían emulados por Ampère y otros científicos; en segundo lugar, porque la relación matemática era muy similar a la de la ley de gravitación de Newton: las fuerzas entre dos cargas mantienen una relación inversa al cuadrado de las distancias. Puesto que la similitud con la ley de Newton era tan evidente (la fuerza es proporcional al inverso del cuadrado de la distancia entre las dos masas), los científicos que vendrían después buscarían infructuosamente relaciones parecidas en cuanto al magnetismo.
Durante el siglo XVII hubo importantes avances en la construcción de varios aparatos condensadores de la energía eléctrica, pero no fue hasta 1800 cuando el físico italiano Alessandro Giuseppe Antonio Anastasio Volta (1745-1827) inventó la pila voltaica. Los científicos por fin podían contar con una fuente de corriente eléctrica constante, por lo que centraron sus esfuerzos en investigar las posibilidades de este nuevo fenómeno. Pasaron veinte años hasta que se produjo la primera sospecha fundamental de la relación de la corriente eléctrica con el magnetismo.
La experiencia de Oersted
Hans Christian Oersted (1777-1851) fue un físico danés profundamente interesado por los fenómenos eléctricos. En sus numerosos viajes por toda Europa consiguió formar parte del entramado de científicos dedicados a los nuevos fenómenos de electroquímica que estaban estudiándose en su época. En 1813, en su obra Investigaciones sobre la identidad de las fuerzas químicas y magnéticas, ya afirmó que «siempre he estado tentado de comparar las fuerzas eléctricas y magnéticas». Y no tardaría mucho en comprobarlo experimentalmente, pues en 1820 publicó un pequeño artículo en latín donde, con un experimento, demostraba la relación entre la electricidad y el magnetismo. El artículo está fechado el 21 de julio de 1820 y puede considerarse como el nacimiento del electromagnetismo: Experimenta circa effectum conflictos electrici in acum magneticam.
El experimento que revolucionaría el mundo de la física y que tendría enormes consecuencias para la humanidad puede resumirse en una sola frase: demostró que un hilo conductor por el que pasa una corriente eléctrica puede mover a distancia la aguja imantada de una brújula (véase la figura). Es decir, presentó evidencias de que una corriente eléctrica es capaz de producir un efecto en un imán. La acción de la fuerza producida sobre el imán por la corriente eléctrica depende de la intensidad de la propia corriente eléctrica, de las características del conductor y de la distancia de separación entre el imán y el conductor. El imán no puede estar orientado de cualquier forma, solo es afectado por el efecto de la corriente en determinadas disposiciones angulares.

Retrato de Oersted en la obra Hombres y mujeres daneses famosos, de J.P. Trap, 1868.
Su padre era farmacéutico, así que estudió medicina, aunque no se dedicó a ella, pues su pasión por los fenómenos físico-químicos lo motivaron a investigar en este campo. Se decantó especialmente por el estudio de la filosofía de la naturaleza y por el galvanismo, influenciado por los trabajos del físico alemán Johann Wilhelm Ritter (1776-1810). En 1820, la Royal Society le concedió la medalla Copley, una alta distinción otorgada anualmente por la institución londinense a una persona debido a sus logros en ciencias físicas o biológicas.

Retrato de Ampère durante su etapa parisina.
Aunque su fama atiende al descubrimiento de la relación entre electricidad y magnetismo, también se le debe el honor de haber aislado y producido por primera vez aluminio, en 1825. La comunidad científica le ha rendido homenaje dando su apellido a una unidad de medida. El Oersted es la unidad de intensidad de campo magnético en el sistema cegesimal (CGS); se representa mediante el símbolo Oe y su relación con las unidades básicas del sistema internacional (SI) es:

Así fue, semana a semana Ampère iría mostrando en la Academia los resultados de sus investigaciones, pruebas de sus hipótesis, diseños de aparatos nuevos, propuestas de la dirección de sus planteamientos, etc. Después de la sequía investigadora tras el intento con la química, volvía a sentirse motivado por la investigación de laboratorio.

La pila de Volta —conservada en el Templo Voltiano en Como, Italia, fue un descubrimiento crucial del físico italiano para los posteriores estudios sobre la relación de la electricidad y el magnetismo.
De las corrientes amperianas al hombrecillo de Ampère
La hipótesis principal defendida por Ampère fue la idea de que el magnetismo tenía origen eléctrico.

Cuadro de Giuseppe Bertini en el que Alessandro Volta muestra su pila a Napoleón en 1801.
Hasta el momento, la comunidad científica explicaba la existencia de imanes permanentes debido a los entonces denominados «fluidos magnéticos», los cuales podían ser boreales o australes, dependiendo del polo del imán que emanaran. Por otra parte, estaban los fluidos eléctricos, que servían para explicar los fenómenos electrostáticos cuantificados por Coulomb.
La electricidad y el magnetismo, por tanto, se explicaban en base a distintos fluidos, el segundo introducido en el panorama científico por paralelismo conceptual con el primero. En este contexto, es importante entender que Oersted no demostró el origen eléctrico del magnetismo, sino que demostró que existía una conexión entre ambos. Fue un paso de gigante que Ampère supo aprovechar.
En un alarde del principio de economía en ciencias, tuvo una idea sintetizadora revolucionaria: solo existía un agente que provocaba los dos fenómenos. Su afirmación consistía en que en el interior de los imanes permanentes conviven cargas eléctricas en movimiento que constituyen corrientes eléctricas microscópicas. Es imposible detectar cada una de estas corrientes, pero sí el efecto neto de todas ellas que, como decía Ampère, sería una corriente equivalente circulando a través del eje del imán. A estas pequeñas corrientes se les llama hoy corrientes amperianas y pueden visualizarse como pequeñas espiras microscópicas que, en conjunto, generan un efecto global macroscópico (figura 1).

Descripción visual del origen electrodinámico del magnetismo, según la hipótesis de Ampère.
Por tanto, el punto de partida de Ampère es una interpretación del magnetismo en término de cargas eléctricas en movimiento, de ahí el término electrodinámica. De hecho, el propio término electrodinámica se lo debemos a Ampère:
El término acción electromagnética, que uso aquí solo conforme a la costumbre, ya no es apropiado para designar este tipo de acción. Pienso que debe ser llamado acción electrodinámica Este término expresa la idea de que los fenómenos de atracción y repulsión que lo caracterizan son producidos por electricidad en movimiento en conductores.
En esta misma referencia, Ampère realizó una clara distinción entre electrodinámica y electrostática. La primera es la parte de la física que estudia las cargas en movimiento, y la segunda, las cargas en reposo. La cita corresponde al libro Recopilación de acciones electrodinámicas (1822), donde además de los propios escritos de Ampère se recopilan cartas de Berthollet, Davy, Faraday, De la Rive y Savary. Esta publicación de Ampère, cuatro años anterior a su obra más importante, ya contenía el grueso de su teoría electrodinámica.
Inicialmente, Ampère pensó que las corrientes existentes en el interior de un imán permanente eran microscópicas, de ahí que él mismo se refiriese a corrientes moleculares. En la figura 2 se aprecia que los polos norte y sur están situados en una línea perpendicular al plano en el que discurre la carga eléctrica.

Con la letra B se representa el polo boreal (norte) y con la letra A el polo austral (sur). Adaptación de un dibujo del libro Exposición de los nuevos descubrimientos sobre la electricidad y el magnetismo, publicado en 1822 por Ampère junto con Jacques Babinet.
Una forma de visualizarlo es representando las comentes en el exterior de la esfera de un reloj; en el plano del papel, estas irían en la dirección de las agujas, el polo norte del imán saldría perpendicularmente del papel hacia nosotros, mientras que el polo sur saldría por la parte posterior.
El descubrimiento de Oersted desató una batalla intelectual, produciendo un cisma temporal en el seno de la comunidad científica. Por un lado, las tendencias investigadoras se centraron en enmarcar el fenómeno en el contexto de las leyes de Newton, la ley de Coulomb y la existencia de los fluidos eléctrico y magnético. En este sentido, el principal representante fue el físico francés Jean-Baptiste Biot (1774-1862), que procuró ajustar las anomalías al paradigma científico establecido en el momento. Por otro lado, Ampère se propuso firmemente cambiar parte de este paradigma, eliminando uno de los fluidos y simplificándolo para que abarcase esos nuevos hechos.
Para salvar las apariencias, la postura de Biot fue la de no desechar la hipótesis del fluido magnético, si el hilo conductor se comportaba como una aguja magnética es porque temporalmente se convertía en un imán. Por contra, Ampère no solo emitió su hipótesis de la inexistencia del fluido magnético, sino que argumentó la orientación natural de los imanes permanentes y comenzó rápidamente un programa de investigación para deducir una ley matemática que describiese la acción mutua entre los elementos de comente, es decir, entre cargas en movimiento dentro de un conductor o, en términos de Ampère, entre las comentes moleculares.
Conseguir completar tal programa significaría la adopción de un nuevo paradigma científico de unificación de dos realidades en una, a saber, la electricidad y el magnetismo son efectos de una misma causa. No se demoró ni un instante, y solo tardó una semana en presentar su investigación inicial tras presenciar la reproducción del experimento de Oersted. En efecto, en las memorias de la Academia podemos leer que Ampère compartía la siguiente, el 18 de septiembre de 1820: «[...] de modo que reduje todos los fenómenos magnéticos a puramente eléctricos». Esta frase puede considerarse una declaración de principios para sus subsiguientes años de investigador.
Biot, el cazador de meteoritosJean-Baptiste Biot nació en París en 1774 y murió en la misma ciudad en 1862. Desde 1800 fue profesor de física en el Colegio de Francia y a partir de 1803 fue miembro de la Academia. Fue, por tanto, contemporáneo y colega científico de Ampère, aunque con ideas encontradas. A pesar de que no apoyaba el origen eléctrico del magnetismo, su nombre ha sido inmortalizado, junto al del físico francés Félix Savart (1791-1841), en la ley de Biot-Savart, que establece el campo magnético creado por corrientes estacionarías.
Un investigador prolífico
El estudio del electromagnetismo fue solo una parte residual de la labor Investigadora de Biot, pues se dedicó también al estudio de la luz polarizada y fue un pionero en el estudio de los meteoritos. Su inclinación en este ámbito se inició en abril de 1803, cuando cayó un meteorito en unos 3 000 trozos sobre L'Aigle, una población francesa situada en Normandía. Una gran multitud de ciudadanos vieron el estallido de luz del meteorito y la posterior caída de este en multitud de fragmentos de roca. Allí fue enviado Biot para investigar el extraño fenómeno para llegar a una conclusión clara: el origen extraterrestre de las rocas. Por aquel entonces reinaba cierto escepticismo en afirmar que estas rocas caídas del cielo venían de fuera de la Tierra: sin embargo, el estudio de Biot abrió una puerta al análisis científico de los meteoritos. Los restos de meteorito encontrados en L'Aigle son de tipo condrita y han permitido a los científicos conocer la génesis del sistema solar. En honor a Biot se acuñó el «número de Biot», cuyo símbolo es Bi, al número adimensional usado para relacionar la transferencia de calor por conducción dentro de un cuerpo y la transferencia de calor por convección en la superficie de dicho cuerpo.
Tarjeta conmemorativa del vuelo en globo de Biot y Gay-Lussac en 1804, para realizar las primeras investigaciones sobre la atmósfera terrestre.
Lo primero que pensó Ampère, con gran acierto, fue que las corrientes que tomaban parte en el experimento de Oersted se mezclaban con las ejercidas por el globo terrestre sobre la aguja magnética.

Aguja astática de Ampère, en Exposición de los nuevos descubrimientos sobre la electricidad y el magnetismo (1822).
La segunda hipótesis de Ampère fue entonces que en las condiciones ideales de que no existiera la acción magnética de la Tierra, la aguja debería orientarse de forma perpendicular al cable por el que pasa la corriente eléctrica que produce la acción magnética. Con el fin de evitar el efecto terrestre desarrolló la «aguja astática» (figura 3). Tal dispositivo consiste en un montaje en el que una brújula se inclina de modo que se cancela esta acción espuria no deseada. Para ello, el eje de rotación debe situarse en la dirección del magnetismo terrestre, así la aguja permanece en equilibrio y perpendicular al magnetismo terrestre.
Gracias al montaje experimental de la aguja astática, Ampère pudo desarrollar un nuevo aparato de medida al que el propio Ampère llamó galvanómetro:
No tenemos un instrumento para conocer la presencia de corriente eléctrica en una batería o un conductor, lo que sería indicador de su energía y sentido. Este instrumento existe hoy (...) un aparato similar a un compás que se diferencia de este solo en el uso que se hace de él (...]. Creo que podríamos darle el nombre de galvanómetro.
En el siglo XIX el electromagnetismo era una disciplina incipiente, por lo que había confusiones en los términos y muchos de ellos debían afinarse. Así, Ampère hablaba indistintamente de energía de la corriente y de intensidad para referirse siempre a la segunda. Con el ángulo de deflexión de la aguja podía medir la intensidad de la comente eléctrica, pero necesitaba definir el sentido de la misma.
Eligió de forma arbitraria el sentido de las cargas positivas para adoptar un criterio de sentidos de la corriente. También adoptó una regla para definir la desviación de la aguja: si uno se coloca mentalmente en el sentido de la corriente con los brazos abiertos de tal forma que esta fluya desde los pies a la cabeza del observador y la cara girada hacia la aguja, la acción de la corriente desviará la aguja de tal forma que el polo norte irá hacia donde indique el brazo derecho. Esta regla la extrapoló a la propia Tierra.

Adaptación del dibujo del hombrecillo de Ampère.
Entre los manuscritos de Ampère aparece un dibujo al que los historiadores suelen referirse como «hombrecillo de Ampère» (figura 4), un observador para el caso de las corrientes eléctricas que él imaginaba dentro del globo terrestre. El círculo representa la Tierra con los polos magnéticos norte y sur conectados por un meridiano terrestre. El observador es atravesado de los pies a la cabeza por una corriente eléctrica que circula a lo largo del ecuador. Debe suponerse que el observador descansa en el suelo apoyado sobre su espalda y que está viendo una aguja magnética situada sobre él. Su brazo izquierdo indica la dirección que tomaría el polo norte de la aguja bajo la acción de la corriente, es decir, el propio polo norte de la Tierra.
El acierto de Ampère
La hipótesis de las corrientes moleculares de Ampère tiene un apoyo teórico consistente en el estado actual de la física En 1820 no se conocían los electrones (partículas elementales de carga negativa) y mucho menos la física cuántica.
El amperímetroAmpère fue quien acuñó el nombre de «galvanómetro», en honor del Italiano Galvani. Un galvanómetro es un instrumento que se utiliza para detectar y medir la corriente eléctrica. En este sentido, lo que realmente construyó Ampère no fue un galvanómetro en el estricto término de la palabra, pues no medía de manera absoluta la corriente eléctrica. Podría llamarse «galvanoscopio» a la aguja astática de Ampère, un aparato que solo detecta la existencia de corriente eléctrica.
El galvanómetro recibe el nombre de «amperímetro» si al primero se le conecta una resistencia en paralelo que permita la medida de la intensidad de corriente eléctrica en rangos determinados y muy precisos. Habitualmente, el amperímetro debe colocarse en serie dentro del circuito, es decir, abrir el circuito y hacer que forme parte de él para que la corriente lo atraviese. Sin embargo, este Impedimento puede salvarse con la denominada «pinza amperimétrica».
El funcionamiento se basa precisamente en los estudios sobre electromagnetismo de la época de Ampère. Puesto que un conductor crea un campo magnético a su alrededor, se puede rodear el conductor con la pinza amperimétrica (sin que haya contacto), medir el campo magnético y luego transformar la medida a intensidad de corriente.
Pinza amperimétrica.
Hoy, la causa intrínseca del magnetismo se centra en dos aspectos:
- El movimiento orbital de los electrones alrededor del núcleo.
- Una propiedad cuántica llamada espín.
El descubrimiento del electrón se atribuye al británico Joseph John Thomson (1856-1940), como consecuencia de su experimento de los rayos catódicos realizado en 1896. Es decir, se tardó casi ochenta años en encontrar unas partículas que hacían las veces de corrientes amperianas, aunque la electrodinámica ya estaba aceptada por los físicos. Por otra parte, el físico alemán Ralph Kronig (1904-1995) introdujo en 1925 el concepto de espín, lo cual constituyó un paso más en la comprensión de los imanes permanentes. Gracias a los avances en los dos siglos que siguieron a la hipótesis de Ampère, se ha podido clasificar los materiales magnéticos en varios tipos, entre los que están, por ejemplo, los diamagnéticos y los ferromagnéticos. Un estudio completo de esta tipología está fuera de los objetivos de esta biografía.
No es forzado afirmar que de manera indirecta Ampère contribuyó al establecimiento de la teoría de la relatividad especial de Albert Einstein. En 1905 el científico alemán publicó el artículo «Sobre la electrodinámica de los cuerpos en movimiento», trabajo en el que no citaba a Ampère, pero sí a Maxwell, quien agrupó en su síntesis electromagnética los trabajos del francés. Ampère puso su grano de arena en el edificio que terminó de construir Einstein, pues este no podría haber llegado a sus importantes conclusiones sin que estuviese en sus manos la idea de que las cargas en movimiento interactúan entre ellas y con campos magnéticos.
Capítulo 5
La apuesta electrodinámica
En 1820 Oersted realizó un experimento que desató una revolución en la física del siglo XIX. Los siguientes diez años fueron los más productivos en el estudio del electromagnetismo y de la electrodinámica. Ampère se volcó por completo en el establecimiento de una ley matemática que relacionara los movimientos de las cargas con el magnetismo. Aunque en solo unos meses estableció las bases, tardó varios años en llevar a cabo una obra que sintetizara todos sus trabajos.
Desde aquel septiembre de 1820, la imaginación de Ampère no parecía conocer límites. Los historiadores han tenido que realizar un gran esfuerzo para poner orden cronológico al curso de sus descubrimientos, puesto que su talante nunca le llevó a registrar un diario de laboratorio exhaustivo. En los manuscritos de Ampère se hallan multitud de montajes experimentales, así como en las memorias presentadas a la Academia y en las publicaciones que tendrían lugar varios años después. En la actualidad conocemos el programa de investigación que Ampère siguió hasta llegar a su teoría electrodinámica, esencialmente entre los años 1820 y 1821. Durante sus años de juventud mostró una tozudez desmesurada en lo que hacía, tanto en sus lecturas, como en sus clasificaciones, como en el amor. Tenía un objetivo claro: mostrar que su hipótesis era cierta. Fue su apuesta electrodinámica Se verán en este capítulo algunos apuntes sobre estos experimentos y cómo dieron luz a sus descubrimientos.
El solenoide
El mismo día que presentó Ampère su primera memoria sobre electrodinámica, el 18 de septiembre, anunció que pronto aportaría un experimento decisivo con el que apoyar su hipótesis del origen eléctrico del magnetismo.

Montaje experimental presentado por Ampère para demostrar su tesis sobre el origen electrodinámico del magnetismo. Los conductores espirales A y B se atraen o repelen dependiendo del sentido relativo de las corrientes eléctricas que las atraviesan. Memoria sobre los efectos de la corriente eléctrica, 1820.
Y así lo hizo, en otro de los lunes de la Academia, tan solo una semana después. El 25 de septiembre de 1820 se considera una fecha histórica, pues el propio Ampère estimó su experimento como la prueba definitiva de que el magnetismo debe su origen a las corrientes moleculares, es decir, al movimiento de las cargas eléctricas. Para ello, realizó un montaje experimental que se centraba en el paso de una corriente eléctrica por dos conductores enrollados en forma de espiral (figura 1). Con ello consiguió que estos se atrajeran o repelieran dependiendo del sentido relativo de las corrientes. Así demostró que los conductores se comportaban como imanes, a todos los efectos, siendo una de las caras de la espiral el polo norte del «imán» y la otra cara el polo sur del mismo. La importancia de este experimento no fue recibida como merecía, y cabe recalcar que en este experimento no había imanes, como en el caso del experimento de Oersted; es decir, el imán había sido sustituido por otro conductor, probándose así que las corrientes eléctricas convierten los conductores espirales en imanes temporales.
La analogía entre corrientes circulares e imanes se pone especialmente de manifiesto en el caso de los solenoides, término que acuñó el propio Ampère. Un solenoide (figura 2) es el resultado de enrollar un hilo conductor sobre un cilindro, de forma que dicho conductor adopta una disposición helicoidal, similar a la ranura y el saliente de un tomillo. La idea de Ampère fue bastante original, pues es análogo a tener infinidad de espirales en planos paralelos, es decir, equivalente a tener muchas corrientes circulares superpuestas, emulando así las corrientes amperianas microscópicas y consiguiendo que el efecto magnético se incrementara notablemente. Así, tendremos una barra que se comporta como un imán, de nuevo con su polo norte y su polo sur (figura 3).

Figura 2: El solenoide es un conductor enrollado en forma de helicoide. Figura 3: En un corte longitudinal de un solenoide puede apreciarse cómo la corriente eléctrica sale por la parte superior (puntos) y entra por la parte inferior (aspas).
El campo magnético se dirige hacia la derecha, siendo constante en el interior y divergiendo en el exterior.
Interacción entre corrientes paralelas
Siguiendo la línea anterior en la que Ampère mostraba un convencimiento de la atracción y repulsión de conductores que son atravesados por corrientes eléctricas, diseñó multitud de montajes experimentales y puso en práctica una gran cantidad de ellos. Un experimento crucial que derivaría en uno de los resultados más conocidos de Ampère es el referente a la interacción entre conductores paralelos. Adelantó en sus primeras etapas de investigación que dos conductores paralelos se atraen cuando las corrientes que pasan por ellos siguen el mismo sentido y se repelen cuando dichas corrientes son de sentido opuesto. Algunas semanas después de que Arago repitiera el experimento de Oersted, el 9 de octubre de 1820 Ampère presentó en la Academia la configuración mostrada en la figura 4 (página siguiente) para ilustrar que la fuerza entre conductores es el resultado de una causa electrodinámica; sin embargo, una parte del público que asistió id reporte siguió considerando el efecto en base a las fuerzas eléctricas habituales hasta el momento.
La ley de Biot-Savart
Tras el descubrimiento de Oersted, Biot y Ampère trazaron líneas de investigación basadas en principios naturales distintos, aunque ambos compartían un ideal: encontrar relaciones matemáticas entre la corriente eléctrica que atraviesa un conductor y el campo magnético generado por este.
El enfoque de Biot difería del de Ampère en que supuso imanes elementales, es decir, imaginó el hilo conductor formado por infinidad de pequeños imanes. Su objetivo, por tanto, era conocer la fuerza que en conjunto ejercían todos estos imanes.
Para deducir la ley matemática Biot no trabajó solo, sino que lo hizo con el también físico francés Félix Savart, por entonces compañero en el Colegio de Francia.

El conductor móvil CD está influenciado por el conductor fijo AB y forma parte del marco CDEF, el cual pivota en el eje XY. La pieza aislante EF reposa sobre X e Y, sobre pequeños vasos rellenos de mercurio que permiten el flujo de corriente eléctrica en el circuito XCDY independientemente de la inclinación del marco. El contrapeso GH permite elevar el centro de gravedad lo suficiente para obtener ángulos medibles aunque las fuerzas sobre CD sean pequeñas.
Ambos llevaron a cabo medidas rigurosas para determinar la fuerza ejercida por un conductor sobre un imán, basándose en los trabajos experimentales previos de Coulomb en los que se medían las oscilaciones de una aguja imantada respecto a un punto de equilibrio. A finales de octubre de 1820, Biot anunció en la Academia que la fuerza ejercida por un hilo conductor sobre un imán es inversamente proporcional a la distancia del imán al conductor y en diciembre compartió una ley matemática.
El estudio de Biot trataba de encontrar la ley matemática que proporciona el campo magnético creado por un conductor recto indefinido NH sobre un punto M donde hay situada una aguja imantada, pues así podría evaluar la fuerza ejercida (figura 5). En la imagen de Biot, el hilo conductor NH es cortado en «rebanadas» transversales infinitesimales (figura 6). Cada una de estas porciones de conductor sufre una magnetización momentánea de sus moléculas, de forma que son equivalentes a agujas magnetizadas ab, a'b', etcétera

Figura 5: La flecha indica el sentido de la corriente eléctrica que pasa por el conductor NH. Biot trató de encontrar la acción magnética de este conductor sobre un imán situado en M. Figura 6: Idealización de las rebanadas magnetizadas de Biot.
El 30 de octubre, Biot anunció en la Academia sus resultados experimentales: la fuerza ejercida por un conductor infinito sobre el polo de un imán es inversamente proporcional a la distancia MH que lo separa del conductor. Gracias a las sugerencias de La- place, pudo comprobar que una rebanada situada en N ejercería una fuerza proporcional a

ley matemática que presentó en la Academia el 18 de diciembre. Es evidente que la dependencia de la inversa del cuadrado de la distancia recuerda mucho a la ley de gravitación de Newton y a la ley electrostática de Coulomb. Sin embargo, hay una diferencia muy importante: la fuerza ejercida por una rebanada de conductor en N sobre M no sigue la dirección NM, sino la dirección perpendicular a la línea que une ambos puntos. La expresión matemática actual para la ley de Biot-Savart —también llamada ley de Laplace— es:

Esta expresión es una versión modernizada de la ley de Biot- Savart, puesto que aparece B, que es el campo magnético. Al escribir dB se está haciendo referencia a un elemento diferencial de campo magnético, es decir, el efecto que una superficie diferencial ds por el que pasa una corriente I realiza sobre un imán a una distancia r, si la línea que une dicho punto al elemento diferencial forma un ángulo ω con el conductor. El efecto total del conductor será el resultado de la suma de todos los elementos diferenciales dB; es decir, se trata de realizar la integral de esta expresión para una geometría determinada. En todo momento, Ampère consideró el punto de partida de Biot como una suposición gratuita, el interpretar el conductor como un imán, al igual que Biot consideró también gratuito el hecho de que Ampère tomase sus corrientes moleculares como creadoras de los imanes. En realidad, en esta fórmula se produce una convivencia con la idea de Ampère, pues si sustituimos el imán por una corriente paralela podemos trasladar planteamientos a interacciones entre los dos conductores paralelos del experimento de Ampère. La ley electrodinámica de Ampère es la que permite entender esta simetría con la ley de Biot-Savart, a pesar de la importante diferencia en las hipótesis de inicio.
La ley electrodinámica de Ampère
Habida cuenta del excelente expediente matemático de Ampère, es de suponer que no se conformó con la intuición cualitativa que se ha venido tratando hasta ahora, el origen electrodinámico del magnetismo. En su concepción de la ciencia, una explicación consistía en descubrir un hecho fundamental que se expresara mediante una ley general, la cual sirviera para deducir una variedad de fenómenos que aparentemente no estaban relacionados. Ampère dedicó meses a la investigación de esta ley y tardó años en publicar sus resultados finales, una síntesis de todo su trabajo realizada en 1826. La complejidad de su estudio es extrema, aunque es posible un somero acercamiento a algunas de sus ideas.

El apellido de Ampère, grabado en la estructura de la torre Eiffel de París, junto al de Lavoisier.
La corriente elemental del punto A discurre por el plano P, mientras que la del punto B discurre por Q.
Si Biot partió un conductor en rebanadas infinitesimales que representaban pequeños imanes, Ampère tomó elementos de longitud infinitesimales di que representaban elementos de corriente eléctrica.

11 de septiembre de 1820. André- Marie Ampère (izquierda) y François Arago repiten el experimento del físico danés Hans Christian Oersted. Arago sostiene dos llaves de conducción cerca de una aguja de brújula y observa la desviación causada. Esto condujo a Ampère a concluir que el magnetismo tenía origen eléctrico.
Su tarea sería la de buscar la interacción entre dos elementos de corriente infinitesimales cualesquiera y no entre una corriente y un imán. Supongamos que en los puntos A y B hay dos elementos infinitesimales que forman los ángulos a y p con la línea que une dichos puntos. Si situamos los elementos de corriente en sendos planos P y Q, el ángulo que formen ambos planos será y (véase la figura).
A partir de aquí, encontró la ley del inverso del cuadrado de la distancia, igual que Biot, es decir, la fuerza dF entre dos elementos de corrientes situados como en la imagen es:

donde g y h dependen «del paso de electricidad en períodos de tiempos iguales»; es decir, se trata de una definición temprana de la intensidad de corriente. Los siguientes pasos que siguió fue calcular el valor de la constante k y encontrar una definición clara para g y h, pues Ampère no tenía claro de qué variables se trataba. El factor que acompaña a la constante k proporciona en su expresión la acción entre elementos de corriente colineales. En un principio, pensó que el valor debía ser k = 0; o sea, creía que los elementos de corrientes no ejercían entre sí acción alguna cuando ambos estaban en la misma línea. Una vez determinados estos parámetros, la acción total se calcularía como la suma de todas las acciones dF, elementos diferenciales de fuerza, que ejercen cada uno de los elementos de corriente. Téngase en cuenta que en esta expresión se está cometiendo un anacronismo, pues nunca llegó a escribir dF, aunque en sus escritos dejó claro que se refería a ella. Esta expresión tentativa la presentó en la Academia el 4 de diciembre de 1820, tan solo tres meses después del anuncio de Arago.
«El orden en el que uno descubre los hechos no tiene nada que ver con su realidad en la naturaleza.»
André Marie Ampère.
La propuesta de Ampère, lejos de gozar de un apoyo unánime, fue recibida con frialdad. Por un lado, la premura en la presentación de las memorias la convertía en una lectura ambigua; por otro lado, estaba la dificultad de repetir sus experimentos por otros científicos e incluso algunos alegaban un abuso en el uso de infinitesimales. Pero lo que realmente produjo rechazo y escepticismo fue su hipótesis de la existencia de corrientes eléctricas en los imanes. Además, esta fase de la investigación sufrió un parón importante en enero de 1821, pues fue interrumpida por problemas de salud. Sin embargo, Faraday elogió los experimentos de Ampère y lo original de su teoría, aunque dudaba de la realidad de las corrientes al no haberse probado directamente por los experimentos. Precisamente fue un descubrimiento de Faraday lo que relanzó la investigación de Ampère en otoño de 1821. Faraday había descubierto las rotaciones continuas de un imán bajo la acción de un conductor y viceversa. Dado al entusiasmo ante las novedades y su empeño por el origen eléctrico del magnetismo, Ampère reemplazó los imanes por solenoides, con lo que reprodujo los resultados de Faraday únicamente con circuitos. Consideró este nuevo hecho como un duro golpe a las ideas de Biot.
El método de cero y la formulación matemática definitiva
A partir de 1822, Ampère comenzó una nueva metodología experimental que le condujo a una ley matemática definitiva. Consistía en lo que se ha venido a llamar «método de cero», lo cual no es más que un montaje experimental centrado en el equilibrio. La idea era construir dos circuitos que fueran atravesados por la misma corriente que actuara simultáneamente sobre un conductor móvil de tal forma que las fuerzas creadas por los dos circuitos sobre un conductor se cancelaran una a otra de manera perfecta (figura 7).

Este mítico aparato es conocido como la tercera demostración de equilibrio, que fue la que finalmente le permitió a Ampère calcular el valor de k. «Experiencias relativas a dos nuevos fenómenos electrodinámicos», Anales de Química y Física, 1822.
Se trata una vez más de circuitos «astáticos» con los que Ampère eliminaba la acción parasitaria del magnetismo terrestre, pero además introducía en sus medidas el método de las oscilaciones de Faraday recién aprendido. Entre los meses de marzo y junio de 1822 se sumergió de nuevo en complicados cálculos matemáticos hasta llegar a dos importantes conclusiones:
· La fuerza ejercida por un circuito cerrado sobre un elemento de corriente es siempre perpendicular a dicho elemento.
· El coeficiente k no tiene un valor nulo, sino que es A = -½.
En septiembre de 1822, Ampère viajó a Ginebra movido por el deseo de realizar mejores experimentos junto al físico franco-suizo Auguste de la Rive (1801-1873), hijo del ya citado Charles Gaspard. En este contexto realizó uno de sus experimentos más importantes. Como se ha adelantado, un valor de k distinto de cero significa que en la expresión matemática de Ampère había un factor que mostraba interacción entre elementos de corriente colineales.

Experimento de la horquilla flotante, realizado por Ampère y De la Rive en 1822.
Este hallazgo fue una sorpresa para Ampère y vino a ser reforzado por un importante y original montaje que se conoce como el experimento de la horquilla flotante (figura 8). El conductor «srqpnm» consiste en dos secciones paralelas «srq» y «mnp» conectadas por sus terminaciones mediante un tercer segmento conductor «pq». Las secciones paralelas flotan en un baño de mercurio que está dividido en dos compartimentos separados por un aislante «AC». Todo el conductor está cubierto con un aislante de seda, excepto por las terminaciones «s» y «m». Se envía una corriente eléctrica al terminal «E», la corriente pasa por «s» al mercurio y viaja hacia el terminal desnudo «r», circula por todo el conductor hasta el segundo terminal desnudo «n», pasa de nuevo al mercurio, pasa por «m» y retoma a la fuente suministradora de tensión eléctrica. Ampère y De la Rive notaron que, sin importar el sentido de la corriente, tan pronto como se conectaba el circuito a una pila, la horquilla era propulsada por el baño de mercurio alejándose de los terminales. De forma inmediata, Ampère atribuyó este fenómeno a las repulsiones entre pares de elementos de corriente, uno en el propio mercurio y otro en una de las secciones paralelas. Tres meses antes de realizar el experimento predijo la existencia de fuerzas colineales, por lo que las consecuencias para su teoría electrodinámica fueron sorprendentes. Se confirmaba la centralidad de las fuerzas, lo cual gustaba en el ambiente científico francés, como una consecuencia de la tercera ley de Newton, y además podía continuar defendiendo el origen electrodinámico de estas fuerzas.
Gracias a los nuevos experimentos, Ampère consiguió definir los factores g y h como las intensidades de corriente elementales. Así, la fórmula definitiva para encontrar la acción mutua entre dos elementos de corriente ds y ds' es, en los propios términos de Ampère:

Ampère obtuvo un magnífico apoyo de Félix Savary (1797-1841) y de Jean-Firmin Demonferrand (1795-1844), dos jóvenes promesas que en 1823 publicaron un libro llamado Manual de electrodinámica. Savary, que fue alumno de Ampère, dedujo la ley de Biot-Savart a partir de la expresión matemática de elementos de corriente de Ampère. Fue tal la alegría de Ampère gracias a Savary y Demonferrand, que escribió que todos los hechos que aún no habían sido explicados satisfactoriamente debían ser consecuencia de su fórmula. El éxito motivó a Ampère a usar su propia fórmula en configuraciones de circuitos de todo tipo. En este punto, introdujo un subterfugio matemático de gran importancia, una línea que llamó «directrice». Supongamos que estudiamos la interacción entre un elemento de corriente cualquiera y un circuito cerrado. En cada punto del espacio, la directrice tiene una dirección específica que depende solo del circuito cerrado y no de la orientación del elemento de corriente. Ampère demostró que la fuerza que experimenta el elemento de corriente ds' localizado en un punto dado es siempre perpendicular a la directrice en ese mismo punto. La fuerza también es perpendicular al propio elemento de corriente, por lo que será perpendicular al plano definido por el elemento de corriente ds' y la directrice. Por último, teniendo en cuenta que puede llamarse e al ángulo formado por el elemento de corriente y la directrice, Ampère simplificó la interacción entre el elemento de corriente y el circuito cerrado a la forma:

donde D es una cantidad que depende únicamente de la geometría del circuito cerrado y del punto donde se encuentra el elemento de corriente. Aquí se puede identificar la conocida en Francia como segunda ley de Laplace, o fuerza de Laplace:

Es decir, el factor 1/2D i se identifica claramente con B. Si Ampère no llegó a esta conclusión es porque en su época no se había introducido aún el concepto de campo magnético que, de hecho, es precisamente B. Además, aún no se había desarrollado el cálculo vectorial, una herramienta eficaz que hoy facilita extraordinariamente los cálculos. A saber, el producto ds' B sen ε es el módulo (valor numérico) del producto vectorial de los vectores elemento de corriente y vector campo magnético:

El resultado es siempre un vector perpendicular a los dos que intervienen en el producto vectorial. Por tanto, la segunda ley de Laplace toma la forma:

que deberá ser integrada para distintas geometrías adoptadas por la suma de los elementos de corriente. Un caso concreto es aquel en el que tengamos un conductor recto de longitud l por el que pasa una corriente 7; si se somete a la acción de un campo magnético B, la fuerza sufrida por el conductor será:

Tras el invierno de 1823-1824, Ampère sufrió un nuevo estancamiento en la investigación debido a problemas personales y de trabajo docente. A partir de agosto de 1825, volvería a la electrodinámica para culminar su obra.
La teoría de los fenómenos electrodinámicos
En noviembre de 1826 se publicó en París por Méquignon-Marvis la obra antológica Teoría de los fenómenos electrodinámicos únicamente deducidos de la experiencia, en la que se recogen las «memorias que el Sr. Ampère presentó a la Academia Real de las Ciencias en las sesiones del 4 y 26 de septiembre de 1820, 10 de junio de 1822, 22 de diciembre de 1823, 12 de septiembre y 21 de noviembre de 1825». Derivado de un interés constante de Ampère por las revisiones, incluyó un índice al final de texto, aunque el propio texto no estaba dividido en capítulos ni secciones.
La regla de la mano derechaEn los textos de Ampère se pueden leer exposiciones de las disposiciones espaciales que toman ciertas magnitudes. Es complejo visualizar ciertas operaciones cuando no se está familiarizado con vectores y otras magnitudes que requieren el establecimiento de una dirección y un sentido. Simplemente usando la mano derecha orientada de manera correcta y realizando un movimiento podemos obtener resultados Interesante. Vamos a aplicarlo en dos casos:
1. Un conductor lineal recto transporta una corriente eléctrica l. El campo magnético creado será concéntrico y perpendicular a la corriente eléctrica, ¿pero cuál es el sentido del mismo? Para determinarlo, se abraza mentalmente con la mano derecha el conductor, de tal manera que el pulgar señale el sentido de la corriente.
En el ejemplo de la ilustración, el vector campo magnético saldría perpendicularmente hacia nosotros por la izquierda y entraría en el papel por la derecha. SI la corriente tuviese sentido contrario (hacia abajo), tendríamos que señalar con el pulgar para abajo y el campo magnético tendría sentido opuesto.El giro de muñeca en el sentido del resto de dedos indicará el sentido del campo magnético obtenido.
2. Cuando se realiza el producto vectorial de dos vectores, el vector resultante es perpendicular al plano que forman dichos vectores. El sentido de este vector vendrá determinado por la regla de la mano derecha. Si el producto es I ^ B, se toma el vector I (porque es el primero que aparece en la operación) paralelo a los cuatro dedos opuestos al pulgar y se orienta la mano de tal forma que al girar los dedos hacia el vector B, que es el segundo. Así, el sentido del vector resultante es el que Indique el dedo pulgar.
En el ejemplo deja ilustración, si hiciéramos el producto B ^ I el vector resultante iría en sentido contrario, es decir, pulgar hacia abajo.
A pesar de este impedimento para la lectura, la obra supuso un hito en la historia de la electrodinámica Es digno de leer el comienzo de la obra, un auténtico alegato al trabajo de Newton:
La época que los trabajos de Newton han marcado en la historia de la ciencia no es solamente la más importante en cuanto a los descubrimientos que el hombre ha hecho sobre las causas de los grandes fenómenos de la naturaleza, es también la época donde el espíritu humano ha abierto un nuevo camino en las ciencias que tienen por objeto el estudio de estos fenómenos.
Hasta entonces se había buscado casi exclusivamente las causas en el impulso de un fluido desconocido [...]. Newton nos ha enseñado que este tipo de movimientos [...] debe ser descrito por el cálculo de fuerzas que actúan siempre entre dos partículas materiales siguiendo la recta que las une, de manera que la acción ejercida por una de ellas sobre la otra sea igual y opuesta a la que esta última ejerce al mismo tiempo sobre la primera [...].
La ley de LorentzLa ley de Lorentz es una ley fundamental en la electrodinámica, disciplina que debe su origen a André Marie Ampère. Entendemos por electrodinámica el estudio de las interacciones de cargas en movimiento con campos eléctricos y magnéticos. Cuando Ampère estudió las Interacciones entre elementos de corriente, tuvo que adoptar la hipótesis de que en el Interior de los conductores existía un movimiento de estos elementos. En la época del físico y matemático neerlandés Hendrik Antoon Lorentz (1853-1928) ya se había demostrado la existencia de cargas puntuales. La ley de Lorentz establece la fuerza que sufre una carga q que se desplaza a una velocidad v en el seno de un campo magnético B, y se expresa como sigue:
Si α es el ángulo que forman la velocidad y el campo magnético, el módulo de la fuerza puede escribirse como:
Pero esta expresión puede referirse a un flujo de carga que transporta un conductor de longitud L a una velocidad v en un tiempo (v = L/t). Puesto que una forma de definir la corriente eléctrica es, de hecho, el flujo de carga por unidad de tiempo (I = Q/t), la expresión anterior tomaría la forma:
F = I∙L∙sen α
Es decir, la segunda ley de Laplace que deriva, a su vez, en la ley matemática descubierta por Ampère, si suponemos que el campo magnético es creado por otra corriente eléctrica.
En la ley de Lorentz no se especifica cuál es el origen del campo magnético, por eso en esta ilustración se representa un imán, aunque dicho origen podría ser un elemento de corriente, es decir, cargas en movimiento que se comporten como un imán.
A continuación, Ampère explica cómo las deducciones de Newton no fueron meramente teóricas, sino que se basaron en la experiencia, y cita las leyes fenomenológicas establecidas por Kepler.
«Creía Ampère que no había elaborado ninguna hipótesis; sin embargo, las había hecho y muy importantes, aunque sin darse cuenta de ello.»
Jules Henri Poincaré (1854-1912).
Establece pues un paralelismo entre la obra de unificación de Newton y la síntesis que él mismo realizó entre electricidad y magnetismo. En su trabajo cita además con elegancia todos los logros obtenidos por sus contemporáneos: Oersted, Biot, Savart, Poisson, Laplace, etc. Sin embargo, no está acertado cuando dice que no ha realizado ninguna hipótesis, que todos sus resultados provienen de la experiencia.
Ahondar en esta obra sería revisar parte de lo que ya hemos hablado: el diseño de experimentos, la determinación de la acción entre elementos de corriente, el establecimiento de definiciones como la del solenoide, etc. Es, como se ha dicho, una antología revisada y mejorada de toda su teoría electrodinámica.
La inducción electromagnética
Oersted había demostrado en 1820 que una corriente eléctrica produce efectos magnéticos, por lo que cabía la pregunta inversa: ¿puede producir un imán una corriente eléctrica? La respuesta es que sí, y lo demostró Faraday en 1831. A este fenómeno se le conoce como «inducción electromagnética» y conceptualmente es el opuesto al encontrado por Oersted.
1820, un año importanteResulta interesante realizar un resumen cronológico de los eventos más Importantes acaecidos en 1820 y que condujeron a Ampère hada su teoría electrodinámica. Gran parte de esta cronología la conocemos hoy gracias a que los miembros de la Academia se reunían cada lunes para presentar reportes e informes acerca de sus Investigaciones.
4 de septiembre. Arago informa en la Academia sobre el descubrimiento de Oersted.
11 de septiembre. Arago repite el experimento de Oersted para la Academia.
18 de septiembre. Ampère demuestra la orientación tangencial de una aguja magnetizada por una corriente eléctrica cuando el magnetismo terrestre es neutralizado.
25 de septiembre. Demuestra para la Academia que conductores espirales planos se atraen y repelen entre sí y reaccionan a los imanes de forma análoga a polos magnéticos.
2 de octubre. Presenta en la Academia la primera parte del resumen que publicará en 1820 en el volumen 15 de Anales de Química y Física: ya había descubierto las fuerzas electrodinámicas entre hilos conductores lineales.
9 de octubre. Da muestras experimentales en la Academia sobre las fuerzas electrodinámicas entre hilos conductores lineales.
17 de octubre. Muestra a Biot y a Gay-Lussac un aparato con el que descubrió la acción del magnetismo terrestre sobre un hilo conductor circular.
30 de octubre. Demuestra la acción del magnetismo terrestre sobre un circuito de corriente. Biot y Savart realizaron su primer reporte a la Academia con las medidas cuantitativas del experimento de Oersted.
6 de noviembre. Presenta en la Academia su ley de la adición para las fuerzas electrodinámicas y la emplea para interpretar la acción de conductores helicoidales. Usa una hélice enrollada alrededor de una corriente axial para duplicar la acción de una barra magnética sobre otra barra magnética.
4 de diciembre. Presenta en la Academia su principio de simetría y lo usa junto a la ley de adición para derivar el factor angular de su ley de fuerza electrodinámica. Biot da una presentación preliminar de sus nuevas medidas junto a Savart.
11 de diciembre. Presenta un experimento en la Academia que Implica que el parámetro k es despreciable. Realiza un Intento no concluyente al usar medidas cuantitativas para demostrar la superioridad de su teoría a Biot.
18 de diciembre. Biot y Savart presentan un segundo conjunto de medidas del experimento de Oersted.
26 de diciembre. Presenta a la Academia un aparato con un imán suspendido para evaluar su ley de la adición.
Finales de diciembre o principios de enero de 1821. Diseña un aparato de equilibrio con un hilo conductor lineal suspendido en un esfuerzo para demostrar su ley de la adición.
Las bases para su teoría sobre la electrodinámica quedaron constituidas en ese año de 1820, y hasta 1826 fue modificando experimentos e incluyendo nuevos hallazgos.
Ampère estuvo muy cerca de encontrar este efecto en dos ocasiones. Irónicamente, la falta de conocimientos matemáticos que el propio Faraday reconoció a Ampère, fue una ventaja para sí mismo, pues mientras Ampère andaba distraído con sus cálculos para apoyar su ley matemática, Faraday se convirtió en un excelente experimentador. Ampère no lo llamó «inducción» hasta que el propio Faraday comenzó a hacerlo, a partir de su descubrimiento de 1831. En su caso, hablaba de corrientes eléctricas «excitadas» o «producidas» por la «influencia» de otras corrientes. También el físico francés Augustin-Jean Fresnel (1788-1827) en 1820 y el franco-suizo Jean-Daniel Colladon (1802-1893) en 1825 estuvieron muy cerca del descubrimiento. Ambos trabajaron con imanes y solenoides. El enfoque experimental de Ampère fue distinto: se preguntó si una corriente eléctrica podría inducir otra corriente eléctrica.
Las investigaciones relacionadas con la inducción de Ampère tuvieron lugar en julio de 1821 y en septiembre de 1822, con un mismo montaje experimental (véase la figura).
Suspendió una espira circular de cobre (circuito secundario) en el hueco interior de una bobina circular, también de cobre (circuito primario).
La bobina circular no es más que un arrollamiento de cobre sobre una estructura toroidal, es decir, en forma de rosquilla. Mientras que la bobina DEB es estacionaria, la espira HIG puede moverse. En las posiciones p y q había situados estratégicamente dos imanes. Ampère hizo pasar una corriente eléctrica por el circuito primario, pero no consiguió detectar que esta corriente produjera una corriente en el circuito secundario por influencia. Para ver el efecto, los imanes deberían haber hecho que la espira HIG se moviese mínimamente.
En julio de 1821, Ampère envió una carta al físico neerlandés Albert van Beek (1787-1856) en la que compartía un resumen del experimento y que se publicó posteriormente en el Journal de physique, de chimie, d’histoire naturelle et des arts. Fue rotundo al decir que las corrientes eléctricas no producen corrientes en otros conductores por influencia. Ampère no dejó anotaciones sobre qué variables había controlado en su experimento, ni siquiera está claro si la bobina era realmente una bobina o una chapa de cobre curvada en forma de cilindro circular. En cualquier caso, dejó en el olvido rápidamente esta línea de investigación y perdió la oportunidad de convertirse en el padre de la inducción electromagnética.
En el mes de septiembre de 1821, Faraday anunció en la Royal Institution que había conseguido rotaciones continuas de un imán sujeto al efecto de un conductor, y viceversa. Como ya se ha apuntado, este nuevo suceso reavivó la investigación de Ampère, que realizó modificaciones en los experimentos y comenzó una correspondencia científica con Faraday muy valiosa. Recordemos que un año después, en septiembre de 1822, Ampère visitó a Auguste de la Rive en Ginebra. Allí realizó tres experimentos y uno de ellos fue, precisamente, el de inducción, pero esa vez lo haría con un imán de herradura muy superior en potencia a los que había usado hasta el momento. La función del imán no era otra que detectar una corriente inducida en el circuito secundario (la espira) por la influencia del circuito primario. En esa ocasión, Ampère y De la Rive observaron que la espira se mantenía inclinada mientras por el circuito secundario pasaba una corriente, y volvía a su posición inicial cuando se interrumpía el paso de corriente. Lo que no supo identificar fue que la influencia se producía solo con la variación en el tiempo de la corriente, no con una corriente constante. El interés de Ampère se había centrado desde el principio de sus estudios en la preexistencia de corrientes a nivel microscópico, y cabía preguntarse si la corriente que había detectado no era más que una reorientación de estas corrientes a nivel molecular o si se había realmente influenciado una corriente que no existía. En cualquier caso, no le mostró más atención:
Este hecho concerniente a la producción de corrientes eléctricas por influencia, muy interesante por sí mismo, es, sin embargo, independiente de la teoría general de la acción electrodinámica.
El telégrafo y el electroimán
Ha quedado patente que Ampère era un científico con grandes dotes teóricas, pero sus virtudes experimentales no eran notables. Aun así, se le ha asignado erróneamente la autoría de varios inventos, entre los que se encuentran el telégrafo y el electroimán.
La ley de Faraday-LenzLa ley de Faraday dice que el voltaje inducido (ε) en un circuito cerrado es directamente proporcional a la velocidad de cambio respecto al tiempo del flujo magnético (Φ) que atraviesa una superficie de dicho circuito:
ε = -dΦ/dt
El signo negativo se refiere a la ley de Lenz, que dice que la corriente inducida se opone a la variación de flujo, lo cual no es más que una consecuencia del principio de conservación de la energía.
Esquema de la experiencia de Faraday.El flujo magnético es una forma de medir la intensidad de campo magnético que atraviesa una superficie. En el experimento que en 1831 sirvió a Faraday para probar la inducción electromagnética (véase la figura), variaba el flujo haciendo pasar una corriente por un circuito primario con forma de solenoide (izquierda). Este solenoide se conectaba mediante un aislante a otro solenoide (circuito secundario, a la derecha), de forma que eran circuitos independientes. Cuando conectaba el circuito primario a una batería, tardaba un lapso en alcanzar una corriente estacionarla. Durante ese pequeño intervalo de tiempo, el solenoide generaba un campo magnético variable en el tiempo y, consecuentemente, el flujo que atravesaba el circuito secundario también era variable. Debido a esta variación en el flujo magnético que sufría el interior del circuito secundarlo, aparecía en este una corriente inducida que podía ser detectada por el galvanómetro. La corriente, por tanto, aparece en los momentos de conectar y desconectar el circuito, puesto que hay una subida y una bajada de tensión, respectivamente, que hace variar el flujo magnético en el circuito secundario.
Efectivamente, Ampère no fue el inventor del telégrafo, como se ha venido a decir en ocasiones en algunos textos. El mismo término «telégrafo» —etimológicamente significa «escribir a distancia»— ya existía. De hecho, la primera línea operativa del telégrafo óptico se abrió en 1794 entre París y Lille, gracias a los hermanos Chappe. Sí es cierto que los descubrimientos de Ampère fueron esenciales para poder desarrollar el telégrafo eléctrico. Su propuesta se basó en los resultados de la experiencia de Oersted: la aguja imantada de una brújula podría ser movida a distancia con un cable lo suficientemente lejos. Bastaría con tener un galvanómetro para cada carácter. Aunque su propuesta sufrió algunas modificaciones, acabó cayendo en el olvido con la llegada de mejores opciones. Especialmente la conjunción del descubrimiento de la inducción electromagnética y la invención del código Morse revolucionaron y generalizaron en el mundo el uso de la telegrafía. Jean Jacques Ampère, el hijo de André Marie, publicó la obra Tratado del telégrafo eléctrico en 1849, a título póstumo, aunque ya sería una obra obsoleta en el sector.
Tampoco el electroimán es una invención de Ampère. Se trata de un imán cuyas propiedades magnéticas se deben al flujo de una corriente eléctrica Es decir, funciona mientras esté conectado a una fuente de alimentación. Arago y Ampère colaboraron en el diseño y la realización de experimentos y en varias ocasiones se encontraron con conductores aislados que hacían las veces de un electroimán, pues se conseguía con ellos la creación de un campo magnético, pero no estudiaron el dispositivo en sí, ya que buscaban apoyar la ley matemática propuesta por Ampère. Este trabajo en colaboración ha sido el que ha sugerido a veces la autoría del electroimán a Ampère. Fue el inventor británico William Sturgeon (1783-1850) quien construyó y usó como tal el primer electroimán de la historia. Se trataba de una barra de hierro barnizada en forma de herradura sobre la que se habían enrollado unas 18 vueltas de hilo de cobre desnudo. Demostró que a pesar de los escasos 200 g de masa, era capaz de levantar hasta 4 kg. Pero quien contribuyó a popularizar el electroimán fue el estadounidense Joseph Henry (1797-1878), que llegó a levantar más de 900 kg con un electroimán de varios cientos de vueltas de hilo de cobre. El primer uso industrial del electroimán fue, precisamente, como componente básico en la telegrafía.
Capítulo 6
El Newton de la electricidad
Además de sus trabajos en electrodinámica y de sus menos conocidas memorias en matemáticas y química, Ampère se acercó la óptica y terminó sus días dedicado a la redacción de un ensayo sobre filosofía de la ciencia En sus últimos años, inmerso en su enfermedad, también tuvo tiempo para dedicarlo a sus hijos. André Marie Ampère ha dejado una profunda huella en la historia de la ciencia; tanto es así que incluso Maxwell dijo en su obra cumbre que fue el «Newton de la electricidad».
Mientras Ampère se introducía en el mundo de la electrodinámica, su hijo Jean Jacques conocía, en 1820, a la famosa Madame Récamier. Jeanne-Françoise Julie Adélaide Récamier (1777-1849) organizaba un famoso salón literario en París y doblaba la edad del joven, lo cual no evitó que este cayera en sus míticos encantos. Aunque ya estaba interesado por la literatura, este nuevo círculo le empujó a que definitivamente dirigiese su vida hacia las letras. Su padre, amante de la poesía y de la literatura, le motivó en su tarea, tanto que le ayudó en la publicación de su primera obra dramática, Rosemnode, en septiembre de 1823. Sin embargo, pronto Madame Récamier decidió pasar un año en Italia, así que Jean Jacques fue detrás de ella hacia Roma y Nápoles. A la vuelta, en diciembre de 1824, su padre le instó a casarse con Clémentine, la hija del naturalista francés Georges Cuvier (1769-1832). Jean Jacques consideró la situación del todo intolerable, y a principios de 1826 decidió irse hacia Alemania. Dejó de escribir versos dramáticos y encontró su vocación en la historia de la literatura y es considerado actualmente como uno de los precursores de la literatura comparada. Sus múltiples viajes contribuyeron de manera decisiva en su forma de entender el estudio de la literatura. Nunca se casó y mantuvo una relación poco satisfactoria con Madame Récamier, hasta la muerte de esta, en 1850.

Madame Récamier en un retrato de Jacques-Louis David en 1800, cuando tenía veintitrés años.
Como su padre, en 1848 fue nombrado miembro de la Academia y murió el 27 de marzo de 1864.
Durante la última década de su vida, Ampère perdió gradualmente su interés por la electrodinámica y centró sus esfuerzos en una clasificación enciclopédica de las disciplinas académicas. Entre tanto, su hija Albine se convertía en una nueva fuente de sufrimiento. Se casó en 1827 con Gabriel Ride, un militar de Napoleón. Resultó ser un hombre inclinado a las bebidas alcohólicas, a la violencia y al juego.

Jean Jacques Ampère, hijo de André Marie, en una fotografía realizada por Antoine Samuel Adam-Salomon (1818-1881).
A pesar de las objeciones de la Sra. Potot, la madre, la boda tuvo lugar en noviembre de 1827, pero el matrimonio se deterioró con celeridad, debido a los extraños arrebatos de Ride, entre otros, apoyar las armas en la frente y el corazón de su esposa.
Aunque fue sometido a tratamientos sanitarios para su alcoholismo, acababa cayendo de nuevo en lo mismo, por lo que en 1832 Albine por fin consiguió la separación. Pero la historia continuó. A pesar de que en ese mismo año Ride se fue a Guadalupe a vivir con unos familiares, anunció su vuelta en el verano de 1834. Durante unos meses mantuvo en vilo a Ampère por la incertidumbre. El episodio final fue una escena que detalló a su hijo en una carta. Ride empuñó una espada y fue a buscar a su ex suegro, quien salió corriendo en pijama hacia la calle. Gracias a la ayuda de un portero pudieron reducir al enloquecido espadachín, que fue enviado a Nueva Orleans con sus dos hermanos para descanso de los últimos meses de la vida del científico. A la muerte de Ampère en 1836, dos años más tarde, Ride volvió de Estados Unidos, restableció su matrimonio con Albine y tuvieron una hija llamada Marie. Por desgracia, murió solo diez meses más tarde, cortando de este modo la descendencia de André Marie Ampère. Irónicamente, mientras que el comportamiento de Ride mejoró, Albine perdió la cabeza, llegando a afirmar que tenía encuentros con el diablo. Murió en 1842, seguida por Ride el año siguiente.
Óptica
En períodos de tiempo inconexos y sin una dedicación completa, gracias a su vinculación investigadora y amistosa con Augustin Jean Fresnel, Ampère tuvo cierta inclinación por algunas cuestiones de óptica Este físico francés llegó a vivir en una habitación alquilada, propiedad de Ampère, en sus últimos años de vida, antes de morir de tuberculosis a la temprana edad de treinta y nueve años. La línea de investigación de Fresnel venía a apoyar los excelentes aportes del médico inglés Thomas Young (1773-1829), que habían sido desatendidos en Inglaterra y que resucitaban los planteamientos del holandés Christiaan Huygens (1629-1695).
Durante el siglo XVIII hubo un claro predominio de la teoría corpuscular de Newton para el campo de la óptica. En dicha teoría se considera que la luz está compuesta por diminutas partículas que se propagan en línea recta. Newton y sus defensores podían explicar un amplio abanico de fenómenos con esta concepción, por ejemplo la reflexión; es decir, la luz se refleja porque las partículas que la componen chocan de modo elástico con la superficie reflectora y rebotan. Por otra parte, esta visión convivía con la postura de Huygens, recogida en la teoría ondulatoria de la luz, a saber, que la luz se propaga mediante ondas mecánicas a partir de un foco emisor. Uno de los puntos negros de la teoría de Huygens se basaba en que sus ondas mecánicas necesitaban un medio que todo lo llena y que no podía detectarse, el éter. Por tanto, aunque hubo otras teorías que procuraban dar explicación a los fenómenos luminosos, a finales del siglo XVIII las grandes rivales eran la corpuscular y la ondulatoria.
En 1803, en la revista Philosophical Transactions of the Royal Society of London se publicó el famoso experimento de la doble rendija de Young. Este experimento suele aparecer en los decálogos de los experimentos más bellos de la historia, en concreto porque dejó patente de modo muy simple que la luz podía comportarse como onda, introduciendo el concepto de interferencia. Young no era un buen orador, más bien fue un polímata y políglota, participó en la traducción de la piedra de Rosetta, que sabía sacar provecho de sus posibilidades. Si a esto sumamos que los resultados chocaban con la tradición newtoniana, es fácil entender que el artículo no fue muy tenido en cuenta de manera inmediata. En Francia, la situación no era mejor; la escuela laplaciana insistía en explicar cualquier fenómeno según las fuerzas centrales newtonianas. Entre los defensores de la teoría corpuscular estaba precisamente Jean Baptiste Biot, el eterno citado rival científico de Ampère. A pesar del peso social de los defensores de la teoría corpuscular, Fresnel supo introducir en la comunidad científica la idea de interferencia ondulatoria. En 1818 recibió un premio de la Academia por su trabajo relacionado con la difracción y desde 1823 fue miembro de dicha institución. En Inglaterra también se acabó valorando la importancia de los estudios de Fresnel, pues en 1827 la Royal Society le concedió la medalla Rumford «por su desarrollo de la teoría ondulatoria como aplicación a los fenómenos de polarización de la luz y por sus importantes descubrimientos de la física óptica», como puede leerse en la página oficial de la Royal Society. Curiosamente, este premio fue concedido también por estudios relacionados con la polarización de la luz a Biot en 1840 y a Arago en 1850.
En los capítulos anteriores se ha comentado que Ampère se volcó en el estudio de la electrodinámica a partir de 1820 y que hasta esa fecha se centró en la física matemática y la química. Sin embargo, formaba parte del contexto de la disputa sobre la naturaleza de la luz. En su estudio de la electrodinámica adoptó una postura newtoniana, por lo que puede extrañar que acabara defendiendo, como de hecho hizo, la teoría ondulatoria de la luz. Pero es del todo justificable si tenemos en cuenta los dos hechos presentados: su amistad con Fresnel y su rivalidad con Biot. Se mostró especialmente interesado por la idea del éter, ese fluido imponderable y elástico que necesitaba la teoría ondulatoria para la transmisión de las ondas. Pensó durante un tiempo que podía servir como medio de transmisión de los efectos electrodinámicos. Fue un primer esbozo de la relación existente entre óptica y electricidad, un ejemplo más de la mente unificadora de Ampère.
Fresnel pasó como estudiante por la Escuela Politécnica y fue su tío Léonor Mérimée quien le presentó a Arago y Ampère. Fresnel y Ampère comenzaron una amistad en la que compartían tanto intereses científicos como espirituales. A partir de 1814 Fresnel se mostró interesado en la óptica y quiso transmitir sus primeras ideas a Ampère, pero André Marie estaba muy ocupado en aquellos momentos con sus estudios de química y matemáticas.

Tumba de André- Marie Ampère, en el cementerio de Montmartre, París.
Entre los años 1805 y 1815, Biot y Laplace lideraron un fuerte programa en óptica corpuscular y Ampère no tenía problemas en abrazar la teoría corpuscular, así que en marzo de 1814 presentó una memoria sobre óptica laplaciana que sería publicada en 1816. Se trataba de la «Demostración de un teorema del que se pueden deducir todas las leyes de la refracción ordinaria y extraordinaria», un estudio sobre la interesante propiedad de birrefringencia del espato de Islandia. Fresnel entonces comenzó una concienzuda investigación sobre la difracción en la que acabó considerando el concepto de interferencia. Animado por Arago, presentó una memoria en la Academia en octubre de 1815. Como cabía esperar, Laplace y Biot no tomaron a bien los elogios que recibió el trabajo por parte de Arago. No fue hasta 1816 que Ampère se pronunció favorable a las nuevas ideas aportadas por Fresnel, llegando a comparar su aportación con la síntesis newtoniana:
La construcción del Sr. Fresnel, usando círculos que se intersecan, también se deduce de un solo fenómeno. Sin embargo, si tienen éxito al extrapolarlo a otros casos, podría reducirlos todos a una simple ley. Así que, aunque siempre he aceptado el sistema de emisión [corpuscular], las conclusiones de la memoria me parecen buenas.
A este cambio de rumbo Fresnel lo llamó la «conversión de Ampère a la óptica ondulatoria». Pero en 1816 no había razones de peso para posicionarse fuertemente al lado de Fresnel y Arago contra Laplace y Biot. Así que, sin hacerse notar demasiado, colaboró con él hasta 1820, momento en que puso su mirada en la electrodinámica. Sin embargo, en 1828 Ampère publicó su segundo y último trabajo en óptica, en memoria de un Fresnel recién fallecido: «Memoria sobre la determinación de la superficie curva de las ondas luminosas en un medio cuya elasticidad es diferente siguiendo las tres direcciones principales, es decir, aquellas donde la fuerza producida por la elasticidad tiene lugar en la misma dirección del desplazamiento de las moléculas del medio». El desarrollo posterior de la óptica ha dado por válidas ambas teorías, la corpuscular y la ondulatoria, en la síntesis denominada dualidad onda-corpúsculo.
El experimento de la doble rendijaEl experimento de la doble rendija de Young acabó siendo una prueba de la naturaleza ondulatoria de la luz y gracias a Fresnel, Ampère pudo aceptar dicha teoría. Young interpuso un obstáculo entre una pantalla y un foco de luz. El obstáculo era una cartulina con dos hendiduras muy finas y muy juntas, en forma de pequeñas rendijas. Al entrar la luz por cada una de ellas (puntos A y B), estas se convierten en focos emisores de luz, como había demostrado Huygens. En la figura se aprecia cómo parten de ellas circunferencias concéntricas que ¡lustran la propagación de las ondas emitidas desde A y B. Conforme avanza cada frente de ondas, estos se cortan en distintos puntos, formándose un patrón o esquema de interferencias. La Interferencia no es más que la superposición de ondas (en este caso, dos), lo cual puede dar lugar a dos situaciones. SI la interferencia es constructiva (C, D, E y F), la intensidad de la luz es máxima, pero si la Interferencia es destructiva (espacios entre los puntos C, D, E y F), la Intensidad de luz es nula, es decir, aparece una sombra. Al final, lo que se ve en la pantalla son franjas de sombras y luz alternas.
Unas sugerencias
El propio Young aconsejaba observar el dibujo a ras del papel para poder apreciar el fenómeno.
Esquema de interferencia similar al de Young. El efecto se aprecia si se observa el dibujo de forma rasante y por el lado de los puntos C, D, E, F.Para que el experimento de Young tenga un resultado favorable, el experimentador debe controlar tres variables: la anchura de las rendijas (menor a 1 mm), la separación de las rendijas (en torno a 1 mm) y la distancia desde el obstáculo a la pantalla (en torno a 1 m). La anchura de las rendijas debe ser muy inferior a la separación entre ellas y la distancia a la pantalla muy superior.
Un filósofo aficionado
La reflexión filosófica fue una preocupación continua durante toda la vida de Ampère. Una vez en París, encontró en la filosofía y la psicología un hueco que había dejado tanto su olvidada fe religiosa como su reciente pérdida marital. Allí vivió una doble realidad, conviviendo con matemáticos y filósofos. Necesitaba buscar respuestas que la ciencia no le daba, pues en ella la mayoría huían de las cavilaciones gratuitas. La ciencia de principios del siglo XIX tiene varios puntos en común con la del siglo XXI, entre ellos una incipiente prudencia a la hora de emitir respuestas sin la contrastación adecuada. Pero su temperamento intelectual era el de no dejar espacio para la duda: «la duda es el estado más penoso de la inteligencia», pensaba Ampère. En efecto, este pensamiento hoy estaría alejado de la ciencia, pues esta busca precisamente en la duda su propio crecimiento; el progreso científico se consigue gracias al estudio de anomalías. Sin embargo, esta circunstancia no hizo que Ampère dejara de usar el método científico ni que se dejara llevar por creencias irracionales en sus trabajos como investigador. Supo compaginar su modo de hacer ciencia con su mundo interior personal.
Las ideas filosóficas de Ampère están dispersas en cartas y algunas crónicas, y no se dispone de publicaciones importantes que las sinteticen, por lo que se hace muy complejo un estudio ordenado de sus puntos de vista. Insistiendo en el último párrafo, no hizo de la filosofía su profesión, sino que más bien fue un aficionado, aunque de gran calidad. Sus momentos más comprometidos con la filosofía se dividen en dos etapas: de 1803 a 1819 y de 1829 a 1836.
En el primer período, Ampère ahondó en la posibilidad de obtener un conocimiento científico real, tanto del mundo observable como del no observable. En este proyecto inicial, dos influencias importantes guiaron sus pensamientos. Cuando llegó a París conoció al filósofo Maine de Biran, en 1804, con el que comenzó una intensa relación intelectual y personal. Ya fue citado Biran en el segundo capítulo cuando se mostraba el desencanto que sufrió en su segundo matrimonio. Biran lo introdujo en el también mencionado círculo de los ideólogos de Destutt de Tracy, en el que solía debatirse los mecanismos del conocimiento. Maine de Biran se convirtió no solo en un guía respecto a temas filosóficos, sino que también fue un apoyo sentimental durante muchos años. Es importante señalar que también para Biran la influencia de su discípulo científico fue notoria, pues llegó a publicar un libro titulado Conversaciones con Ampère y Degérando, sobre la teoría del conocimiento. La segunda influencia a la llegada de Ampère a París fue su estudio de la obra del filósofo alemán Immanuel Kant (1724-1804). Aunque no acogiese todos sus planteamientos, supo valorar la riqueza de fondo del concepto kantiano de verdad científica. Además, se introdujo al mundo de la epistemología con el estudio de la diferencia establecida por Kant entre fenómeno y noúmeno. El noúmeno es un término tomado por Kant del griego y que significa literalmente «lo pensado» o «lo que se pretende decir». El objeto conocido es el fenómeno, lo que aparece de él y al cual nosotros le damos formas y que no coincide exactamente con la cosa en sí, que sería el noúmeno. Pero el hecho de que lo que conozcamos sean fenómenos no significa que nuestro conocimiento sea un engaño o una ilusión. Ampère conoció estas delimitaciones en la traducción al francés de la obra de Kant Disertación inaugural (1770), pero debido a una traducción inexacta malinterpretó los conceptos. Aun así, el epistolario con Maine de Biran en este sentido muestra un científico comprometido con el mecanismo de su propia forma de conocer el mundo. Estas cartas son del primer período dedicado por Ampère a la filosofía, que se interrumpiría debido al descubrimiento de Oersted. En esta etapa además impartió un curso de lógica en la Escuela Normal (1817) y de filosofía en la Facultad de Letras (1819).
«Ensayo sobre la filosofía de las ciencias»
Durante los diez últimos años de su vida Ampère estuvo trabajando en su obra filosófica Ensayo sobre la filosofía de las ciencias. Se trata del texto más extenso de Ampère y se divide en dos volúmenes, el primero publicado en 1834 y el segundo en 1843, a título póstumo y con la supervisión de su hijo. El ensayo representa la culminación de su enfoque sobre la naturaleza holística del conocimiento humano. Puede considerarse incluso como la síntesis de toda una vida de interés por el conocimiento, porque ambos volúmenes están repletos de referencias a las diferentes disciplinas que trabajó desde su infancia El título del ensayo no debe confundirse con la filosofía de la ciencia que se ha ido construyendo durante el siglo XX, puesto que su contenido es un esfuerzo de clasificación enciclopédica y nada tiene que ver con la filosofía de la ciencia actual. Ampère sostuvo que la clasificación no podía ser arbitraria porque una clasificación perfecta produciría en sí misma conocimiento por las relaciones que se establecerían entre sus partes. En este sentido, no tuvo en cuenta un enfoque histórico basado en los orígenes de las propias ciencias que incluyó. Así que, en la búsqueda de lo que él llamó una clasificación «natural», se corrigió a sí mismo en numerosas ocasiones hasta publicar el primero de los volúmenes y trabajó hasta la extenuación en el segundo.
En su clasificación contribuyeron dos ideas importantes para establecer su propio esquema mental. La primera se trata de su intento de unificación entre las teorías de propagación del calor y la luz. En segundo lugar, su participación en el ampliamente difundido debate sobre historia natural que tuvo lugar entre los naturalistas franceses Georges Cuvier, el fallido suegro del hijo de Ampère, y Étienne Geoffroy Saint-Hilaire (1772-1844). Sin entrar en más detalles sobre la polémica, Ampère supo sacar partido de esta discusión tomando lo que consideró mejor de cada uno: de Cuvier, los esquemas de clasificación «natural»; de Geoffroy, las homologías, es decir, similitudes estructurales entre organismos situados en diferentes localizaciones dentro de una taxonomía Es sorprendente que en 1824, en mitad de su duro trabajo en electrodinámica, pudiese sacar tiempo para escribir una memoria defendiendo la tesis de Geoffroy: Consideraciones filosóficas sobre el sistema auditivo y el sistema nervioso de los animales articulados. El zoólogo aficionado que fue Ampère supo aprovechar uno de los grandes momentos de la historia de la biología.
Por tanto, en analogía con las ciencias de la vida, Ampère dividió el conocimiento en dos «reinos»: «ciencias cosmológicas», relativas a las entidades materiales de las que está compuesto el universo; y «ciencias noológicas», perteneciente al pensamiento humano y sus manifestaciones sociales.
CibernéticaEl término cibernética proviene del griego Κυβερνητης (kubernites), es decir, el timonel que gobierna la embarcación.
André Marie Ampère usó el término cybernétique en el segundo volumen de su ensayo sobre la clasificación de las ciencias, para referirse al estudio de los medios del gobierno, «al arte del gobierno en general», aunque ya aparecía en La República de Platón.
El matemático estadounidense Norbert Wiener.En 1948, Norbert Wiener (1894-1964) creía haber acuñado el término en su mítica obra Cibernética o el control y comunicación en animales y máquinas. Lo cierto es que el sentido que ha adoptado el vocablo en la actualidad deriva de las definiciones Iniciales de Wiener. La cibernética es el «estudio de las analogías entre los sistemas de control y comunicación de los seres vivos y los de las máquinas; y en particular, el de las aplicaciones de los mecanismos de regulación biológica a la tecnología».
Desde la publicación de Wiener, el término ha ido creciendo y recogiendo distintos aspectos, incluso se diferencia entre cibernética de primer orden y cibernética de segundo orden.
Cada reino, a su vez, lo dividió en dos «subreinos» (materia animada e inanimada para las ciencias cosmológicas). Cada subreino en dos «ramas», cada rama en dos «subramas», cada subrama en dos «ciencias de primer orden», cada ciencia de primer orden en dos «ciencias de segundo orden», cada ciencia de segundo orden en cuatro «ciencias de tercer orden», que se determinan por cuatro posibles «puntos de vista». Es decir, cada subreino contiene 64 ciencias, lo cual resulta en un total de 128. La clasificación del primer reino adolece de varios defectos, entre ellos, lo extenso y pesado que se hace el ejercicio de la lectura con la gran cantidad de neologismos. Este primer reino lo dividió en ciencias matemáticas, físicas, naturales y médicas. Por citar anecdóticamente alguno de los puntos de vista, clasificó la cinemática y la dinámica en las matemáticas.
Un análisis cronológico nos lleva a que los primeros casos clasificatorios estudiados por Ampère trataban temas físicos, como cabía esperar. En 1832 y 1835 publicó anticipadamente sendas memorias sobre la unificación de las teorías del calor y la luz. En 1832 también publicó una preliminar clasificación de 32 ciencias de primer orden en Revue encyclopédique, una publicación de carácter general que incluía literatura, ciencia y artes. Poco después incluyó un análisis en términos de los «cuatro puntos de vista».
Declive de la salud
En 1821, Ampère mostró severos episodios de bronquitis. El comienzo del declive de su salud coincidió con el momento de mayor actividad investigadora de su vida, por lo que solo contribuyó a un deterioro gradual durante quince años. Su posición de Inspector General le llevaba a duros viajes que lo debilitaban y, a pesar de que amigos y familiares lo coartaban, no podía dejar el puesto por motivos económicos. De hecho, se volcó en su trabajo administrativo y abandonó definitivamente la Escuela Politécnica. A este período corresponde la elaboración de su autobiografía, de 1824, como si se tratara de un presagio. En el invierno de 1829, la laringitis y la neumonía lo forzaron a viajar al sur de Francia con el fin de respirar un aire más adecuado para su pecho y su garganta, en compañía de su hijo. De nuevo en París, en 1830, vivió «Las tres Gloriosas» (26, 27 y 28 de julio), es decir, los tumultos revolucionarios del pueblo contra el rey autocrático Carlos X que derivarían en la subida al poder de Luis Felipe de Orleans y el posterior contagio de los disturbios por el resto de Europa.
Ampère no se recuperaría nunca de la neumonía, de hecho, se agravó notablemente en el período en el que escribía el ensayo de clasificación de las ciencias. En mayo de 1836 comenzó uno de sus rutinarios viajes de inspección. Esta vez hizo parada en Lyon, donde su amigo Bredin se percató de su lamentable estado de salud, por lo que intentó persuadirlo para que no siguiera su destino hacia Marsella. Pero continuó su ruta. Estando allí, el 6 de junio escribió la última carta a su hijo y este respondió dos días después pidiéndole «en nombre del cielo [...] que no abandone Marsella antes de sanar». Pero no pudo cumplirse su deseo, pues el 10 de junio de 1836, André Marie Ampère murió en una cama de la casa de Deschamps, el director del Colegio de Marsella. El fin llegó tan rápido que no hubo lugar a que sus seres queridos fueran a darle el último adiós. Fue enterrado en Marsella, de forma simple, sin despliegues públicos de relevancia, pues en los últimos años su actividad se había reducido a un pequeño grupo de científicos y escolares. Para el pueblo francés del momento era un completo desconocido.
Hasta el año 1869 no se transportaron sus cenizas hasta el cementerio de Montmartre, en París, para que reposasen junto a las de su hijo. En la lápida se gravó una síntesis de su vida, con un curioso error que ha quedado para la posteridad, y es que se grabó mal la fecha de nacimiento:
André Marie
AMPÈRENacido en Lyon. 21 de junio [sic] de 1775.
Fallecido en Marsella. 10 de junio de 1836.
Miembro de la Academia de las Ciencias.
Contribuyó al conocimiento humano en matemáticas, física, metafísica y ciencias de la moral.
Creó la teoría de la electrodinámica.
Escribió el Ensayo sobre la filosofía de las ciencias.
Verdaderamente cristiano, amó al Hombre.
Fue simplemente Bueno y Grande.
François Arago pronunció un discurso in memóriam de Ampère en 1839 en el que se lamentaba que un hombre del talento de Ampère se viera arrastrado a viajar para poder registrar ingresos. Desde entonces se han sucedido incontables homenajes de un gran científico que murió sin pena ni gloria. Aunque el Elogio de Arago se considera una biografía del científico, ya en la primera mitad del siglo XX aparecieron los trabajos biográficos de la mano del geólogo Louis Auguste Alphonse de Launay: El gran Ampère (1924) y Correspondencia del gran Ampère (1836). Launay afirmó que el ensayo sobre filosofía de Ampère fue leído por Einstein.
Es imposible hacer una lista de todos los merecidos homenajes que ha recibido Ampère, así que escogeremos tan solo dos detalles. Con motivo del 200° aniversario del nacimiento de André Marie Ampère, la Academia de las Ciencias francesa fundó en 1974 el Premio Ampère de la Electricidad de Francia. El premio se concede anualmente a uno o más científicos que destacan en el campo de las matemáticas o de la física fundamental o aplicada. El segundo detalle es que el apellido de Ampère forma parte de la lista de 72 nombres de científicos e ingenieros que están inmortalizados en la torre Eiffel. Estos nombres miran hacia las cuatros caras de la torre, es decir, 18 en cada una, justo debajo de los pretiles de la primera línea de balcones. Ampère ocupa la posición decimotercera, en el lado septentrional, mirando hacia la Plaza del Trocadero.
El amperio
El nombre de Ampère ha sido inmortalizado en las unidades del sistema internacional. El amperio, cuyo símbolo es A, es la unidad de intensidad de corriente. La adopción del amperio como unidad, junto a la del ohm, se estableció en el International Electrical Congress de 1893 que se celebró en Chicago (Estados Unidos) y fue confirmada por la International Conference en Londres, en 1908. Según una resolución de 1946 del Comité de Pesas y Medidas (CIPM en francés, Comité International des Poids et Mesures):
El amperio es la intensidad de corriente que, manteniendo dos conductores rectos infinitos paralelos, de sección circular despreciable y separados 1 metro en el vacío, produciría entre los conductores una fuerza igual a 2∙10-7 newton por metro de longitud [véase la figura].

Lo curioso es que esta definición puede trazarse fácilmente a partir de los resultados matemáticos que Ampère dedujo a partir de la ley de Biot-Savart. De hecho, se estableció así como guiño a su deducción de la atracción y repulsión entre conductores lineales. En la imagen pueden verse dos conductores rectos de longitud infinita separados una distancia a, por los que pasan intensidades paralelas y en el mismo sentido, I1 e I2. Fijémonos en el campo magnético creado por el conductor 1 en 2, que será, a partir de la ley de Biot-Savart, el siguiente:

Gracias a la expresión de Ampère que da la acción entre dos elementos de corriente, véase el capítulo anterior, podemos obtener que un conductor de longitud L atravesado por una corriente I2, se trata de un segmento finito del otro conductor, sufrirá la siguiente fuerza si se somete al campo magnético B del primer conductor.
F2 = B∙L∙I2
Podemos sustituir la expresión del campo magnético obtenido anteriormente en esta expresión y luego dividir por L para encontrar la fuerza por unidad de longitud:

Si se tiene en cuenta que los dos conductores están separados 1 m, que se atraen con una fuerza 2∙10-7 N y que la permeabilidad magnética μ0 en el vacío es 4 π∙10-7, obtenemos la definición de amperio propuesta por el CIPM (véase la figura de la página anterior). Téngase en cuenta además que el amperio es una unidad básica, es decir, no proviene de la combinación de otras.
La mal nombrada ley de Ampère
Es muy común ver en los libros de texto cómo a la siguiente expresión matemática se le denomina ley de Ampère:

Desde el punto de vista cronológico es imposible que esta expresión saliese, tal como está escrita, de la mano de Ampère, simplemente por el hecho de que el vector B aún no se usaba en electrodinámica y el tipo de integral que aparece estaba siendo desarrollada en la misma época. El concepto de campo magnético lo introdujo de forma revolucionaria Faraday y lo publicó en 1856, en su libro Sobre las líneas de fuerza. La propia esencia de campo magnético es incluso contrapuesta a la idea de Ampère, pues este se basaba conceptualmente en la tradición newtoniana del uso de fuerzas para explicar las interacciones.
La ley de Ampère es una relación matemática entre un campo magnético y la causa que lo produce, es decir, la intensidad de corriente (véase la figura).

El punto indica que la intensidad I sigue una dirección perpendicular al plano del papel y es saliente. El campo magnético y los elementos de longitud son paralelos, es decir, forman un ángulo de 0°.
Matemáticamente es análoga a la ley de Gauss para el campo eléctrico. La ley de Ampère permite calcular fácilmente el campo magnético en sistemas con un grado de simetría simple. Se puede volver al caso del conductor recto infinito. Si se quiere conocer el campo magnético en un punto a una distancia a del conductor, se tendría que realizar la integral de línea indicada, encerrando el conductor en una circunferencia de radio a. Desde el punto de vista físico, se dice que un elemento diferencial dl se hace circular alrededor del conductor. Es fácil hacer la integral, pues la longitud total (suma de todos los elementos de longitud) será la longitud de la circunferencia y el campo es constante, por lo que puede salir de la integral:

Por tanto, obtenemos la expresión que ya vimos cuando tuvimos la oportunidad de presentar la definición de amperio:

Por otra parte, Maxwell estudia y generaliza la ley de Ampère en su obra Tratado sobre electricidad y magnetismo (1873). El segundo capítulo del volumen 2 de su obra se titula Acciones mutuas entre corrientes eléctricas y lo dedica exclusivamente a analizar la obra de Ampère. Se trata de unas veinte páginas en las que analiza los casos de equilibrio de Ampère y su ley matemática de acción entre elementos de corriente. En todo el texto no hace referencia a que esta expresión se deba a Ampère, a pesar de que tuvo muy en cuenta los resultados del físico francés:
La investigación experimental mediante la cual Ampère estableció las leyes de los mecanismos de acción entre corrientes eléctricas es uno de los más brillantes logros en la ciencia.
- Bell, E.T., Los grandes matemáticos, Buenos Aires, Losada, 2010.
- Bodanis D., El universo eléctrico, Barcelona, Planeta, 2006.
- Boyer, C., Historia de la matemática, Madrid, Alianza Editorial, 2007.
- Gamow, G., Biografía de la física, Madrid, Alianza Editorial, 2007.
- Gribbin, J., Historia de la ciencia, 1543-2001, Barcelona, Crítica, 2003.
- Hofmann, J.R., Enlightment and Electrodynamics, Cambridge, Cambridge University Press, 1995.
- Pérez, M.C. y Varela, P., Orígenes del electromagnetismo. Oersted y Ampère, Madrid, Nivola, 2003.
- Solís, C. y Sellés, M., Historia de la Ciencia, Espasa, Madrid, 2005. Stewart, L, Historia de las matemáticas, Barcelona, Crítica, 2008.






Era especialmente reconocido por sus análisis del movimiento de Saturno, de Júpiter y de las lunas de Júpiter. Entre 1790 y 1798 formó parte de una comisión destinada a medir el arco de meridiano que va desde el polo Norte hasta el ecuador, con el fin de definir el metro, es decir, 1/10000000 de dicho arco. En enero de 1803 fue nombrado secretario permanente para las ciencias matemáticas del Instituto de Napoleón y en 1804 director del Observatorio de París. Delambre se convirtió en uno de los personajes más influyentes de la época y ha dejado para la posteridad varias obras Importantes, entre las cuales se encuentran títulos sobre historia de la astronomía. Jean-Baptiste Joseph Delambre falleció en París, el 19 de agosto de 1822.

















