Albert Einstein: su vida, su obra y su mundo
José Manuel Sánchez Ron
Para Ana, Mireya y Amaya, treinta y dos años después, pero con el mismo amor
Mi primer libro, con el que verdaderamente comencé mi carrera de historiador de la ciencia, aunque entonces todavía la compatibilizaba con la de físico, se publicó en 1983 y se titulaba El origen y desarrollo de la relatividad (Sánchez Ron, 1983). Treinta y dos años más tarde, y después de haber publicado no pocos artículos sobre distintos apartados de la historia de las teorías especial y general de la relatividad, vuelvo al tema en forma de libro, pero desde una perspectiva mucho más amplia y completa, que no se restringe a las teorías de la relatividad, pretendiendo abarcar toda la obra de Einstein, al igual que su biografía, entendida de la manera más amplia posible.[1] En todos esos años, he aprendido bastante, consecuencia no sólo de mis propios estudios sino de que la bibliografía sobre Einstein ha crecido de manera sustancial, estando además disponibles en la actualidad materiales ausentes en la década de 1980 (mención especial se debe al proyecto, en marcha, de la publicación, a cargo de Princeton University Press, de los Collected Papers of Albert Einstein, de los que hasta la fecha, 2015, han aparecido catorce volúmenes, cubriendo el periodo que va del nacimiento de Einstein hasta mayo de 1925). [2]Las teorías especial y general de la relatividad ya no son el único foco de este libro, frente al de 1983. Me ocupo también de los trabajos de Einstein en física cuántica, campo del que fue uno de sus fundadores, al igual de los que llevó a cabo después de crear la teoría de la relatividad general, realizados en la parte de su vida científica menos llamativa. Y todo engranado en su biografía, contemplada no sólo en el ámbito individual, sino en el contexto general del mundo en el que vivió, un mundo en el que tuvieron lugar dos guerras mundiales.
Como sucede en cualquier cambio profundo, para comprenderlo es preciso conocer lo que había antes. En el caso de la física que produjo Albert Einstein, para entenderla realmente es imprescindible poseer algunas ideas de la física anterior a él, de la denominada «física clásica», de sus contenidos y de los problemas que surgieron en ella a finales del siglo XIX. Los dos primeros capítulos ofrecen un resumen de los dos pilares fundamentales de esa física clásica, la dinámica de Isaac Newton y la electrodinámica de James Clerk Maxwell. Ambas son absolutamente esenciales para comprender la génesis de la teoría de la relatividad especial, que modificó radicalmente conceptos, como los de espacio y tiempo absolutos, sobre los que asentó Newton su dinámica. Por lo que se refiere a la teoría de la relatividad general, no es posible entender su origen al margen de la teoría de la relatividad especial y de la teoría newtoniana de la gravitación universal. Y con respecto a la física cuántica, surgió como respuesta a agudos problemas que plagaban toda la física clásica, en especial la teoría electromagnética.
Sucede, además, que el presente año, 2015, constituye un magnífico momento para publicar este libro, ya que el 25 de noviembre se cumplen cien años de la presentación definitiva de la teoría de la relatividad general, para algunos —entre los que me encuentro—, la construcción teórica más original de toda la historia de la ciencia.
Si todo autor de un libro, al menos la gran mayoría de ellos, es deudor de numerosos apoyos con los cuales, y sobre los cuales, construyó su obra, mucho más sucede en el caso de un texto cuya historia temporal es tan dilatada como la de éste. Quiero recordar y agradecer la ayuda que me han prestado, con sus enseñanzas, conversaciones, trabajos y ejemplos, Paul Forman, Thomas Glick, Peter Havas (que desgraciadamente ya no se encuentra entre nosotros), József Illy, Lewis Pyenson, John Stachel y Jürgen Renn. A mi querido amigo Juan Fernández Santarén, le agradezco su ayuda con las ilustraciones (desgraciadamente, en agosto, cuando este libro ya estaba componiéndose, Juan falleció inesperadamente); a mi editora Carmen Esteban por su, como siempre, magnífica disposición y paciencia; a la Fundación BBVA y a su director, Rafael Pardo, por acoger con tanto cariño la idea de este libro, ayudando generosamente en su edición. Y, muy por encima de todos, a mi esposa y compañera de ya casi una vida, Ana, que junto a mis hijas, Mireya y Amaya, me han alegrado y alegran la vida, haciéndome pensar que merece la pena vivirla.
Capítulo 1
La «Física clásica» (I): La dinámica de Newton
§. Fuerzas de acción a distanciaPor «física clásica» se suele entender el conjunto de tres ramas de la física: la dinámica que Isaac Newton (1642-1727) presentó en su gran tratado de 1687, Philosophiae Naturalis Principia Mathematica (Principios matemáticos de la filosofía natural); la, menos general que ésta, electrodinámica que James Clerk Maxwell completó en la segunda mitad del siglo XIX, y la termodinámica.[3] Para los propósitos de este libro, sólo nos interesan las dos primeras. En este capítulo expondré los fundamentos de la construcción newtoniana.
§. Espacio y tiempo absolutos
§. Sistemas de referencias inerciales y transformación de Galileo
§. Equivalencia de la masa inercial y la masa gravitacional
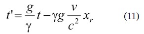
La dinámica (o mecánica) de Newton se fundamenta en tres, utilizando la expresión que aparece en los Principia, «Axiomas o Leyes del movimiento». La primera, la de la inercia, la formuló Newton en su libro de la manera siguiente: [4]
Todo cuerpo persevera en su estado de reposo o movimiento uniforme y rectilíneo a no ser que sea obligado por fuerzas impresas a cambiar su estado. Los proyectiles perseveran en sus movimientos a no ser en cuanto son retardados por la resistencia del aire y son empujados hacia abajo por la gravedad. Una rueda, cuyas partes en cohesión continuamente se retraen de los movimientos rectilíneos, no cesa de dar vueltas sino en tanto en que el aire la frena. Los cuerpos más grandes de los cometas y de los planetas conservan por más tiempo sus movimientos, tanto de avance como de rotación, realizados en espacios menos resistentes.De hecho, esta ley ya había sido esbozada por Galileo y formulada en toda su generalidad por René Descartes en uno de sus libros,Les Principes de la Philosophie (Los principios de la filosofía, 1644). Allí, en el apartado número 37 de la segunda parte, nos encontramos con la ley de la inercia (Descartes, 1995: 97): «La primera ley de la naturaleza: cada cosa permanece en el estado en el que está mientras nada modifique ese estado». Las dos siguientes leyes de la dinámica, ésas sí, fueron completamente originales de Newton. La segunda ley la enunció como sigue:
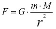
El cambio de movimiento es proporcional a la fuerza motriz impresa y ocurre según la línea recta a lo largo de la cual aquella fuerza se imprime.Si hay una ley fundamental para estudiar el movimiento, es ésta, que se refiere a los efectos de la aplicación de una fuerza y que habitualmente se enuncia como «Fuerza igual a masa por aceleración»: F = m × a.[5] (Aunque escrita tal como lo he hecho, se refiere a una sola dimensión, la fuerza es una magnitud con dirección, magnitud vectorial, o vector: el cambio de movimiento ocurre según la línea recta a lo largo de la cual se imprime la fuerza, o suma vectorial de fuerzas, en cuestión).
Si una fuerza cualquiera produce un movimiento dado, doblada producirá el doble y triplicada el triple, tanto si se aplica de una sola vez como si se aplica gradual y sucesivamente. Este movimiento (dado que se determina siempre en la misma dirección que la fuerza motriz), si el cuerpo se movía antes, o bien se añade sumándose a él, o se resta si es contrario, o se añade oblicuamente, si es oblicuo, y se compone con él según ambas determinaciones.
No he dicho nada acerca de qué es la «masa». Pues bien, no es sino un parámetro que indica la resistencia de un cuerpo a abandonar el estado de reposo o un movimiento inercial.
La segunda ley proporciona el instrumento básico para determinar cómo se mueve un cuerpo; claro que para ello es imprescindible conocer la forma de la fuerza, algo que el sistema no proporciona, debiéndose definir de manera independiente: una vez que se conoce, el problema se reduce a integrar la ecuación para encontrar la trayectoria, esto es, «la posición en función del tiempo».
En cuanto a la tercera ley, el anunciado newtoniano es el siguiente:
Con toda acción ocurre siempre una reacción igual y contraria. O sea, las acciones mutuas de dos cuerpos siempre son iguales y dirigidas en direcciones opuestas.Sin esta ley, la de la acción y reacción, no podría hablarse de gravitación universal, esto es, que el Sol atrae a, por ejemplo, la Tierra, pero que, recíprocamente, ésta también atrae al Sol.
El que empuja o atrae a otro es empujado o atraído por el otro en la misma medida. Si alguien oprime una piedra con el dedo, también su dedo es oprimido por la piedra. Si un caballo arrastra una piedra atada con una soga, el caballo es retro arrastrado (por así decirlo) igualmente, pues la soga estirada en ambas direcciones y con el propio impulso de contraerse tirará del caballo hacia la piedra y de la piedra hacia el caballo y tanto se opondrá al progreso de uno cuanto ayude al avance del otro. Si un cuerpo cualquiera golpeando sobre otro cuerpo cambiara el movimiento de éste de algún modo con su propia fuerza, él mismo a la vez sufrirá idéntico cambio en su propio movimiento y en sentido contrario por la fuerza del otro cuerpo (por la igualdad de la presión mutua). A tales acciones son iguales los cambios de movimientos, no de velocidades, y siempre que se trate de cuerpos no fijados por otra parte. Igualmente los cambios de velocidad en sentido contrario, puesto que los movimientos cambian igualmente, son inversamente proporcionales a los cuerpos. Se cumple esta ley también para las atracciones como se comprobará en un Escolio próximo.

Proposición VII. Teorema VII.Expresada de forma analítica, esta ley, una de las grandes leyes de la ciencia, toma la forma de:
La gravedad ocurre en todos los cuerpos y es proporcional a la cantidad de materia existente en cada uno.
Hemos probado ya que todos los planetas gravitan entre sí y también que la gravedad hacia cada uno de ellos, considerado individualmente, es inversamente proporcional al cuadrado de la distancia desde cada lugar al centro del planeta. De lo cual se sigue que (por la Proposición LXIX del Libro I y sus Corolarios) la gravedad hacia todos es proporcional a la materia existente en ellos.
Por lo demás, dado que todas las partes de un planeta A gravitan hacia otro planeta B, la gravedad de una parte cualquiera es a la gravedad del todo como la materia de la parte a la materia del todo y para que en toda acción haya igual reacción (por la tercera Ley del movimiento), el planeta B gravitará a la inversa hacia todas las partes del planeta A y su gravedad hacia cada parte será su gravedad hacia el todo como la materia de la parte a la materia del todo Q. E. D.
Corolario 1.
Por consiguiente, la gravedad hacia todo el planeta surge y se compone de la gravedad hacia cada parte. De lo cual tenemos ejemplos en las atracciones magnéticas y eléctricas. Pues la atracción entera hacia el todo surge de las atracciones hacia cada parte. Para la gravedad esto se entenderá imaginando que muchos planetas menores se reúnen en un globo y constituyen uno mayor. Pues la fuerza del todo deberá originarse de las fuerzas de las partes componentes. Si alguien objeta que todos los cuerpos que nos rodean deberían gravitar entre sí según esta ley, mientras que no percibimos en absoluto una gravedad de este estilo, debo responder que la gravedad en estos cuerpos al ser respecto a la gravedad de toda la Tierra como son estos cuerpos al cuerpo de la Tierra entera, es bastante menor que la que es observable.
Corolario 2.
La gravitación hacia cada partícula igual de un cuerpo es inversamente proporcional al cuadrado de la distancia de los lugares a las partículas. Es evidente por el Corolario 3 de la Proposición LXXXIV del Libro I.

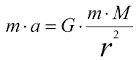
En realidad, esta expresión es una definición, la de la fuerza gravitacional; esto es, tomada por sí sola no sirve de nada y es preciso insertarla en el término de la izquierda de la segunda ley del movimiento, F = m × a. Una vez hecho esto y especificadas las condiciones del fenómeno que se quiere estudiar, hay que integrar la ecuación diferencial para obtener la trayectoria en función del tiempo, x = x(t). En el caso, por ejemplo, de dos cuerpos (el Sol y un planeta), equivale a una fuerza central y se resuelve con cierta facilidad, obteniendo las tres leyes que Johannes Kepler había formulado para el movimiento de los planetas del Sistema Solar.[6] Se resolvía así el gran problema de relacionar las órbitas elípticas con una fuerza gravitacional proporcional al inverso del cuadrado de la distancia.

Isaac Newton a la edad de 83 años. Artista desconocido.
Al mostrar su eficacia en el gran escenario que es el Sistema Solar (y, por extensión, en el conjunto del Universo, dominado por la gravitación), el concepto de fuerza pasó a ocupar un lugar central, conceptual y operativamente, en las ciencias físicas. Las «fuerzas» son los «instrumentos» que hacen que los cuerpos sepan de la existencia de otros. Y esto es muy importante: no olvidemos que el objeto primordial de la física es determinar cómo cambian los objetos que observamos. Pero la expresión «cómo cambia» algo, quiere decir «cómo cambia en el tiempo», «cómo varía el lugar que ocupa, su posición o su estado a lo largo del tiempo», cómo se mueve. Ahora bien, no tendría sentido hablar de «cambios en el tiempo» si sólo existiese un cuerpo en el Universo, porque ¿cómo podríamos identificar entonces que ese cuerpo cambia de posición?, ¿con respecto a qué? Aunque, por supuesto, tiene sentido plantearse el problema de cómo se mueve un cuerpo libre, o un conjunto de cuerpos (libres) que no interaccionan entre sí, la física más interesante es la que trata del movimiento de conjuntos de cuerpos que interaccionan, pero hablar con sentido de interacciones es tanto como hacerlo de fuerzas , que es cómo se afectan los cuerpos entre sí.
Tres han sido los conceptos creados para explicar la interacción (fuerza) entre cuerpos; de hecho, más que creados, podríamos decir, los tres conceptos imaginables, puesto que resulta difícil pensar en otras posibilidades. El primero es de interacción por contacto, esto es, mediante el choque de dos cuerpos, que de esta forma se ven, lógicamente, afectados en sus historias posteriores. El segundo es el de interacción a través de un medio, sea este medio del tipo que sea, los vórtices cartesianos o el éter-campo electromagnético. Finalmente, está la interacción a distancia, la forma de interacción más enigmática porque no necesita de ningún medio en el que «se apoye», a través del cual se propague la interacción. Bien podríamos hablar en este caso de correlaciones en lugar de interacciones, pero independientemente de cuál sea el término empleado, queda lo misterioso de él.
Pues bien, las fuerzas que intervienen en la dinámica de Newton, las F que hay que insertar en la ecuación F = m × a, son las misteriosas fuerzas de acción a distancia.
He dicho «misteriosas» acciones a distancia, porque nuestras mentes no pueden entender cómo pueden existir fuerzas, interacciones, que no se propagan a través de un medio, y menos aún, como sucede en el caso de la mecánica de Newton, que lo hacen instantáneamente. El propio Isaac Newton, el responsable de su introducción en la física, se refirió a esta característica de las acciones a distancia en una carta que dirigió el 25 de febrero de 1692 a Richard Bentley, a quien se debe que Newton autorizara la publicación de una segunda edición de los Principia (1713), de la manera siguiente:[7] «Es inconcebible que la materia bruta inanimada opere y afecte (sin la mediación de otra cosa que no sea material) sobre otra materia sin contacto mutuo, como debe ser si la gravitación en el sentido de Epicuro es esencial e inherente a ella. Y ésta es la razón por la que deseo que no me adscriba la gravedad innata. Que la gravedad sea innata, inherente y esencial a la materia de forma que un cuerpo pueda actuar a distancia a través de un vacío sin la mediación de otra cosa con la cual su acción o fuerza puede ser transmitida de [un lugar] a otro, es para mí algo tan absurdo que no creo que pueda caer en ella ninguna persona con facultades competentes de pensamiento en asuntos filosóficos. La gravedad debe ser producida por un agente que actúe constantemente según ciertas leyes, pero si este agente es material o inmaterial es una cuestión que he dejado a la consideración de mis lectores». En otras palabras, Newton no creía realmente en las acciones a distancia, pero era lo suficientemente buen científico como para renunciar a un instrumento conceptual que mostraba su valor predictivo o, lo que es lo mismo, científico. Otra cosa es lo que él pensase, sin poderlo demostrar.
Mientras que la teoría de la relatividad especial es, en principio, compatible con fuerzas de acción a distancia (aunque no instantáneas), la relatividad general, al igual que la electrodinámica de Maxwell, son teorías de campos, esto es, construcciones en las que las fuerzas se transmiten a través de un medio, necesitando, por consiguiente, de funciones definidas en cada uno de los puntos de la región en que actúan esas fuerzas-interacciones de que se ocupan.
§. Espacio y tiempo absolutos
No podemos existir ni pensar fuera del espacio y del tiempo. Ambas entidades son ontológica y epistemológicamente necesarias para todo lo que se refiere a nuestra existencia y, por supuesto, para las teorías científicas que construimos: tenemos que situar los objetos que constituyen nuestras teorías en el espacio y ver —ya lo dije— cómo se mueven en el tiempo. Ahora bien, el que espacio y tiempo sean entidades imprescindibles no significa que esté claro qué son. La cinemática (la parte de la dinámica que estudia el movimiento, prescindiendo de las fuerzas que lo producen) que construyó Newton se basaba en los conceptos de tiempo y espacio, pero considerados éstos magnitudes absolutas, cuyo valor era independiente de cualquier consideración relativa al observador. Veamos cómo las introdujo en los Principia (hacen su aparición, como es natural, muy al principio, en el «Escolio» que sigue a la «Definición VIII», una de las que abre el libro):
Nos ha parecido oportuno explicar hasta aquí los términos menos conocidos y el sentido en que se han de tomar en el futuro. En cuanto al tiempo, espacio, lugar y movimiento son de sobra conocidos para todos. Hay que señalar, sin embargo, que el vulgo no concibe estas magnitudes si no es con respecto a lo sensible. De ello se originan ciertos prejuicios para cuya destrucción conviene que las distingamos en absolutas y relativas, verdaderas y aparentes, matemáticas y vulgares.A pesar de la rotundidad de manifestaciones como las anteriores y de su aparente claridad, existían problemas para determinar en qué consistía realmente el espacio absoluto o, lo que es lo mismo, cómo determinar un movimiento absoluto. Y Newton fue consciente de ello: «es posible —escribía en la misma “Definición VIII”— que, en realidad, no exista ningún cuerpo que esté en total reposo, al que referir lugar y movimiento». Y a continuación añadía:
I. El tiempo absoluto, verdadero y matemático en sí y por su naturaleza y sin relación con algo externo, fluye uniformemente y, por otro nombre, se llama duración; el relativo, aparente y vulgar, es una medida sensible y externa de cualquier duración, mediante el movimiento (sea la medida exacta o desigual) y de la que el vulgo usa en lugar del verdadero espacio: así, la hora, el día, el mes, el año.
II. El espacio absoluto, por su naturaleza y sin relación con cualquier cosa externa, siempre permanece igual e inmóvil; el relativo es cualquier cantidad o dimensión variable de este espacio, que se define por nuestros sentidos según su situación respecto a los cuerpos, espacio que el vulgo toma por el espacio inmóvil: así, una extensión espacial subterránea, aérea o celeste definida por su situación relativa a la Tierra. El espacio absoluto y el relativo son el mismo en especie y en magnitud, pero no permanecen siempre el mismo numéricamente. Pues si la Tierra, por ejemplo, se mueve, el espacio de nuestra atmósfera que relativamente y respecto a la Tierra siempre permanece el mismo, ahora será una parte del espacio absoluto por la que pasa el aire, después otra parte y así, desde un punto de vista absoluto, siempre cambiará.
Se distinguen el reposo y el movimiento absolutos y relativos entre sí por sus propiedades, causas y efectos. Es propiedad del reposo que los cuerpos verdaderamente quietos están en reposo entre sí. Por tanto, al ser posible que un cuerpo cualquiera en la región de las estrellas fijas, o más lejos, permanezca en reposo absoluto y no se pueda saber por las situaciones respectivas de los cuerpos entre sí en nuestras cercanías si alguno de ellos conserva su posición constante respecto al cuerpo lejano, por ende no se puede definir el reposo verdadero por las posiciones relativas de estos cuerpos.«Se distinguen el reposo y movimiento absolutos y relativos entre sí —decía—, por sus propiedades, causas y efectos». Y precisamente por uno de esos efectos, pensaba Newton que podía, al menos en una clase de situaciones, identificar el movimiento absoluto. Se trata de su famoso experimento del cubo.
Veremos en su momento que en el siglo XIX Ernst Mach volvió a estudiar este experimento (real, puesto que como él mismo confesaba, Newton lo había llevado a cabo, se supone que en sus habitaciones del Trinity College de Cambridge), dando origen a lo que se conoce como «principio de Mach», que tiene que ver con la teoría de la relatividad general.
§. Sistemas de referencias inerciales y transformación de Galileo
Aunque no parecía que fuese sencillo ni claro determinar puntos de referencia en el espacio absoluto que Newton asumía, ello no significaba que no pudiesen utilizarse, y con buen provecho, sistemas de referencia particulares. A la cabeza de ellos, los denominados «sistemas de referencia inerciales». Veamos en qué consisten, suponiendo, como parece, que el espacio tiene tres dimensiones (alto, ancho y largo).
Los fenómenos físicos se producen en un instante y lugar determinados y son contemplados por observadores que se encuentran en una situación concreta. Con respecto al sistema geométrico (espacio) que se toma como marco de referencia —para Newton, el verdadero era el «espacio absoluto»—, esos observadores pueden:
- no moverse (reposo);
- moverse con velocidad constante (movimiento uniforme), o
- moverse con velocidad variable (movimiento acelerado)…
Obviamente, los marcos de referencia constituyen elementos esenciales cuando se trata de describir el movimiento de los cuerpos. En sus estudios, durante el siglo XVII, Galileo prestó especial atención a este punto. Una de las situaciones que consideró en su famoso Dialogo sopra i due massimi sistemi del mondo Tolemaico, e Copernicano ( Diálogo sobre los dos sistemas máximos del mundo, el ptolemaico y el copernicano ), de 1632, es la de un observador situado en la cubierta de un barco presenciando la caída de un cuerpo desde la cofa. Él vería la caída como una trayectoria rectilínea perpendicular, mientras que otro colocado fuera del barco, a una cierta distancia, observaría que el movimiento del cuerpo seguiría una trayectoria que se alejaba continuamente de la perpendicular. Un mismo fenómeno (la caída del cuerpo) descrito de dos maneras diferentes, según el marco de referencia considerado.

Galileo. Retrato de Domenico Tintoretto

Portada del Dialogo de Galileo.
Para Galileo, al igual que más tarde para Newton en su dinámica, nada cambiaba desde el punto de vista de las leyes de la física del movimiento si se tomaban como marcos de referencia sistemas de referencia inerciales diferentes. Ahora bien, esto no quiere decir que la introducción de un segundo marco de referencia no complicase la explicación. Consideremos, por ejemplo, una partícula P, que se mueve con velocidad v en el sistema de referencia A y que, a su vez, éste se mueve con velocidad u respecto a un sistema de referencia B. Según Galileo y Newton (y también de acuerdo a nuestra intuición), la velocidad de P con respecto a B será la suma de v y u, esto es v + u.
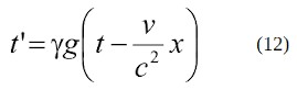
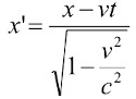
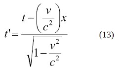
El que las leyes del movimiento deben ser las mismas, independientemente de cuál sea el sistema de referencia inercial que se esté utilizando, constituye un rasgo fundamental de la mecánica newtoniana, al que se suele denominar «Principio de relatividad de Galileo». En el caso de dos sistemas de referencia inerciales, con uno de ellos moviéndose con velocidad v con respecto al otro a lo largo de la dirección del eje de las x, las ecuaciones que relacionan las coordenadas de ambos sistemas son las denominadas transformaciones de Galileo:
x' = x – v·× t
y' = y
z' = z
t' = t
Sería a principios del siglo XX, cuando la física relativista de Einstein modificaría radicalmente el estatus de estas transformaciones. Como veremos en su momento, la gran novedad de la teoría especial de la relatividad es que en ella espacio y tiempo son relativos, es decir, que conceptos como simultaneidad y longitud no tienen una significación absoluta: el valor de la medida de tiempos y longitudes depende del sistema de referencia en el que se efectúen las medidas.§. Equivalencia de la masa inercial y la masa gravitacional
Otra importante característica de la dinámica newtoniana, una que sería esencial para Einstein en la construcción de la teoría de la relatividad general, es la equivalencia entre «masa inercial» y «masa gravitacional».
La conjunción de la segunda ley con la ley del inverso del cuadrado de la distancia permitió entender un hecho observado por Galileo (y por otros anteriormente): que todos los cuerpos caen juntos a pesar de que sus pesos sean diferentes (el «peso», P, se define como P = m × g, donde g es la aceleración de la gravedad; evidentemente el peso es una magnitud variable en función de la latitud y de la altura). La cuestión es importante porque involucra al concepto de masa.
En principio, cabría esperar que en la ley F = m·× a, la masa no fuese idéntica a la masa que aparece en la ley del inverso del cuadrado de la distancia, ya que, como apunté, en el primer caso se trata de una magnitud relacionada con la resistencia de un cuerpo a abandonar su movimiento inercial (masa inercial, mi), mientras que en el segundo caso es una magnitud que representa la reacción ante la fuerza gravitacional (masa gravitacional, mg). Ahora bien, si suponemos que ambas son idénticas, podemos escribir para el movimiento de un cuerpo de masa m que cae hacia la Tierra (de masa M) debido a la atracción gravitacional


Einstein sobre Newton«Hace doscientos años fallecía Isaac Newton. Ahora nos sentimos obligados a recordar a este brillante genio que determinó el curso del pensamiento y la investigación en Occidente como nadie hasta entonces ni nadie hasta ahora. No sólo fue genial como inventor de ciertos métodos clave, sino que poseyó una maestría única sobre el material empírico conocido en sus días y también fue dueño de una maravillosa inventiva en lo que se refiere a métodos de demostración matemáticos y físicos […]. Para comprenderlo de manera clara, hemos de tener en cuenta que antes de Newton no existía un sistema completo de causalidad física, capaz de representar cualquiera de las características profundas del mundo empírico […].
Galileo ya había avanzado brillantemente hacia el conocimiento de las leyes del movimiento; había descubierto las leyes de inercia y la ley de caída libre de los cuerpos en el campo gravitatorio de la Tierra […]. Es posible que hoy nos parezca muy pequeña la distancia que separa los descubrimientos de Galileo de las leyes del movimiento de Newton, pero ha de tenerse en cuenta que las dos proposiciones anteriores están formuladas de manera tal que se refieren al movimiento como un todo, en tanto que las leyes del movimiento de Newton proporcionan una respuesta a la siguiente pregunta: ¿cómo cambia, en un tiempo infinitamente breve, el estado dinámico de un punto material bajo la influencia de una fuerza externa? Sólo al considerar lo que ocurría durante un tiempo infinitamente breve (ley diferencial), pudo Newton llegar a la formulación de leyes válidas para cualquier tipo de movimiento. Tomó el concepto de fuerza de la estática, que ya había alcanzado un nivel muy alto de desarrollo. Estuvo en condiciones de conectar fuerza y aceleración sólo al introducir un nuevo concepto de masa que, por extraño que parezca, se basaba en una definición ilusoria. Hoy estamos tan habituados a formar conceptos que corresponden a cocientes diferenciales que apenas sí somos capaces de llegar a comprender qué enorme poder de abstracción era necesario para obtener la ley diferencial general del movimiento mediante un doble proceso al límite, en cuyo transcurso debía inventarse por añadidura el concepto de masa […].
Sobre la base que brevemente hemos esbozado aquí, Newton logró explicar los movimientos de los planetas, lunas y cometas hasta en sus menores detalles, así como las mareas y el movimiento de la Tierra que origina la precesión de los equinoccios, una proeza deductiva de extraordinaria magnificencia. Tuvo que haber sido muy impresionante descubrir que la causa del movimiento de los cuerpos celestes es idéntica a la gravedad, con la que todos estamos tan familiarizados en la vida cotidiana.
Pero la importancia de la obra de Newton no se reduce a la creación de una base útil y lógicamente satisfactoria de la mecánica. Hasta finales del siglo XIX, esos descubrimientos formaron parte del programa de todo investigador en el campo de la física teórica. Todos los fenómenos físicos debían ser referidos a masas sujetas a las leyes del movimiento descubiertas por Newton. La ley de fuerza debía ser, simplemente, extendida y adaptada al tipo de fenómeno que se fuera a estudiar […].
Considerada un programa de todo el conjunto de la física teórica, la teoría del movimiento de Newton recibió su primera dificultad de la teoría de la electricidad de Maxwell. Se había llegado a comprender con claridad que las interacciones eléctricas y magnéticas entre los cuerpos no eran debidas a fuerzas que operaran de modo instantáneo y a distancia, sino a procesos que se propagan a través del espacio a una velocidad finita […]. El desarrollo de la teoría del campo electromagnético —una vez que fueron abandonadas las hipótesis de Newton de las fuerzas actuando a distancia— condujo también al intento de explicar las leyes newtonianas del movimiento a través del electromagnetismo o bien reemplazarlas por otras más precisas, basadas en la teoría de campos […].
La teoría de Maxwell y Lorentz condujo de forma inevitable a la teoría de la relatividad restringida que, al abandonar la noción de simultaneidad absoluta, excluía la existencia de fuerzas que actúan instantáneamente a distancia. Se deduce de esta teoría que la masa no es una magnitud constante, sino que depende de (en rigor es equivalente a) la cantidad de energía. También demostró esta teoría que las leyes del movimiento de Newton sólo eran válidas para velocidades pequeñas; en su lugar, estableció una nueva ley del movimiento en la cual la velocidad de la luz en el vacío aparece como velocidad límite».
Albert Einstein (1927 a), «La mecánica de Newton y su influencia en el desarrollo de la física teórica».
En sus Notas autobiográficas, Einstein también se ocupó —como no podía ser de otra forma de las aportaciones de Newton—. Allí, tras exponer cómo la física newtoniana había sido superada, escribió: «Basta ya. Newton, perdóname: tú encontraste el único camino posible en tu época para un hombre de máxima capacidad intelectual y de creación. Los conceptos que tú creaste siguen rigiendo nuestro pensamiento físico, aunque ahora sabemos que, si aspiramos a una comprensión más profunda, hay que sustituirlos por otros más alejados de la esfera de la experiencia inmediata» (Einstein, 1949 a; Sánchez Ron, ed., 2005: 55).
Capítulo 2
La «Física clásica» (II): La electrodinámica de Maxwell
§. Recepción de la teoría electromagnética de MaxwellEntre los fenómenos físicos que los seres humanos identificaron antes, se encuentran la electricidad y el magnetismo. Éste, el magnetismo, fue el primero del que tuvo conciencia y así fue por una circunstancia especial: se manifiesta explícitamente en un mineral que se encuentra en la naturaleza, la magnetita, una mezcla de óxidos de hierro. Parece que el primer lugar occidental donde se halló y fue reconocida su propiedad de atraer al hierro fue en una región de Asia Menor llamada Magnesia, de donde tomaría el nombre de magnetismo y el mineral, magnetita más tarde, piedra imán. Tales de Mileto (c. 624-546 a. C.) se refirió a ella destacando que comunicaba la capacidad de atraer al hierro mediante el contacto. Seguramente encontrarse en Jonia, una región de Asia Menor, ayudó a Tales a descubrir ese fenómeno.
Diferente fue el descubrimiento de la electricidad, resultado de una acción natural: la que producen los rayos de las tormentas o cuando se fricciona con piezas de lana o piel, ámbar (electrike), una resina fósil del Pinus succinifera. Aunque la electricidad no existe libre en la naturaleza de la misma forma que el magnetismo —se crea y se consume en la producción de una chispa—, sus efectos eran lo suficientemente evidentes como para no poder ignorarlos.
Durante prácticamente dos milenios, electricidad y magnetismo caminaron separados, como si fueran dos fenómenos diferentes. Semejante situación sólo comenzó a cambiar en 1820, cuando un catedrático de Física de la Universidad de Copenhague y secretario de la Real Academia de Ciencias danesa, Hans Christian Oersted (1777-1851), hizo un sencillo experimento. Sencillo, pero de grandes consecuencias. Oersted colocó un hilo metálico (esto es, un conductor) horizontalmente, en la dirección del meridiano magnético, justo por encima de una aguja magnética. Mientras no circulaba ninguna corriente por el hilo, éste y la aguja continuaban estando paralelos, pero cuando se conectaba al hilo, una de las baterías que Alessandro Volta había ideado en 1800 la aguja se desviaba, más cuanto mayor fuese la intensidad de la corriente. Y, cuando se cambiaba la dirección de la corriente (cambiando el orden de la conexión a los polos de la batería), la aguja se movía en dirección contraria. Magnetismo y electricidad, hasta entonces distintos e independientes, se revelaron sensibles a la proximidad.
En 1831, Michael Faraday (1791-1867), un aprendiz de encuadernador que ascendió de ayudante (1813) de Humphry Davy en la Royal Institution londinense a Fullerian professor de Química en ese mismo centro (1833), demostró el efecto recíproco: que el magnetismo estaba relacionado con la electricidad. Expresado en los términos más sencillos posibles (y, por tanto, omitiendo los pasos que lo llevaron a este resultado), lo que hizo Faraday fue demostrar que cuando se introducía y sacaba un cable entre los polos de un imán —lo que significaba que el cable era sometido a un campo magnético variable—, se creaba una corriente eléctrica en ese cable.

Hans Christian Oersted. Óleo pintado por Christian Albrecht Jensen, 1832-1833
Maxwell, uno de los físicos más notables de toda la historia, disfrutó de una cuidada educación en Edimburgo y en Cambridge, donde siguió el exigente, especialmente desde el punto de vista matemático, Mathematical Tripos, el sistema de exámenes que entonces se utilizaba allí, y ocupó cátedras en Aberdeen, Londres (King's College) y Cambridge, donde fue el primer director del luego famoso Laboratorio Cavendish, además de catedrático de Física experimental. Su capacidad matemática le permitió encontrar soluciones a problemas concretos, como el de la estructura de los anillos de Saturno, además de una formulación unitaria de los fenómenos electromagnéticos, y ser uno de los fundadores de la física estadística.
Como reconoció en su gran tratado electromagnético,Treatise on Electricity and Magnetism (Un tratado sobre Electricidad y Magnetismo; 1873), Maxwell admiró profundamente a Faraday (Maxwell, 1873, 1954: IX):
Según avanzaba en el estudio de Faraday, me di cuenta de que su método de concebir los fenómenos era también matemático, aunque no viniese presentado en la forma convencional de símbolos matemáticos. También encontré que estos métodos podían ser expresados en las formas matemáticas ordinarias y así ser comparados con los realmente matemáticos.
Por ejemplo, Faraday vio, con el ojo de su mente, líneas de fuerzas atravesando todo el espacio, allí donde los matemáticos veían centros de fuerza atrayendo a distancia: Faraday vio un medio donde ellos sólo veían distancia: Faraday buscó el asiento de los fenómenos en acciones reales que se propagaban por el medio.

Michael Faraday.

James Clerk Maxwell y su esposa en Escocia, hacia 1875.
La electrodinámica de Maxwell, la que él construyó, estaba aún incompleta. Las doce ecuaciones que formaban su teoría, únicamente determinaban la dinámica del campo electromagnético, esto es, cómo variaba en el tiempo. Faltaba algo esencial: la interacción entre los «productores» de ese campo —como las cargas eléctricas— y el propio campo; en particular, cómo afectaba al movimiento de una carga, un campo electromagnético determinado. Volveré a esta cuestión cuando haga su entrada en este libro Hendrik Antoon Lorentz.
Medida de la velocidad de la luzSi hay un fenómeno físico conocido, es el de la luz, indisolublemente unida a la historia de nuestra especie (y de la vida). Que se conociese no significa que se supiese cuál era su naturaleza. Esto no impidió, sin embargo, que se intentase medir con qué velocidad se desplazaba. La primera prueba directa de que la velocidad a la que se propaga la luz no es infinita provino del astrónomo danés Olaus Roemer (1644-1710), al proponer que las discrepancias en las medidas de los periodos de revolución de uno de los satélites de Júpiter, descubiertos por Galileo en 1609-1610, se debían a que se hacían cuando la Tierra se encontraba en posiciones diferentes de su trayectoria en torno al Sol y, por consiguiente, la luz proveniente del mismo debía recorrer distancias distintas. Basándose en esta idea, a comienzos de septiembre de 1675, Römer predijo en la Académie des Sciences de París que el 9 de noviembre Io emergería del cono de sombra producido por Júpiter diez minutos más tarde, predicción que fue verificada por los astrónomos parisienses, reforzando de esta manera la tesis de la finitud de la velocidad de la luz. A lo largo del tiempo se han dado valores diferentes para el cálculo que supuestamente hizo Roemer de la velocidad de la luz, cuando, en realidad, él no suministró ningún valor, interesado únicamente como estaba en determinar si esa velocidad era finita.
El siguiente avance en esta cuestión procedió de un astrónomo inglés, James Bradley (1693-1762), sucesor de Halley como Astrónomo Real en 1742. En 1728 había publicado un artículo, «A Letter from the Reverend Mr. James Bradley Savilian professor of Astronomy at Oxford, and F. R. S. to Dr. Edmond Halley Astronom. Reg. giving an Account of a new discovered Motion of the Fixed Stars» («Una carta del reverendo señor James Bradley, Savilian professor en Oxford y F. R. S [Fellow of the Royal Society], al doctor Edmond Halley, Astrónomo Real, describiendo un nuevo movimiento descubierto de las estrellas fijas»), en las Philosophical Transactions de la Royal Society (pp. 637-660), en el que presentaba las consecuencias que derivaba de un fenómeno descubierto por él mismo, denominado aberración estelar, un efecto distinto al bien conocido de antiguo paralaje (diferencia entre las posiciones aparentes que en la bóveda celeste tiene un astro, según el punto desde el que se observa). Básicamente, la aberración estelar se debe a la diferencia entre la posición observada de una estrella y su posición real, diferencia debida a la combinación de la velocidad del observador y la velocidad de la luz. «Un telescopio —razonaba Bradley— suministra la verdadera posición de una estrella sólo si el movimiento de la Tierra coincide con la dirección de la luz que llega de la estrella; en caso contrario, hay que inclinar el telescopio en el sentido del movimiento de la Tierra, para que la luz lo atraviese según su eje. Esta desviación es máxima cuando los dos movimientos son perpendiculares, y nula cuando coinciden sus direcciones. Ahora bien, como la Tierra cambia continuamente de dirección en su órbita alrededor del Sol, vemos a la estrella como si fuese ella la que varía constantemente de posición». Mediante una serie de cálculos no muy complicados y basándose en la teoría corpuscular de la luz, Bradley halló que, de forma aproximada, el valor de esa aberración astronómica era igual al cociente v/c, donde v es la velocidad de la Tierra alrededor del Sol y c, la velocidad de la luz. Y como fue capaz de medir el valor de la aberración, dedujo que la luz se propagaba con una velocidad de 298 500 kilómetros por segundo.
La primera determinación no astronómica de la velocidad de la luz la obtuvo el físico francés Armand Fizeau (1819-1896) en un artículo publicado en 1849 («Note sur une expérience relative à la vitesse de propagation de la lumière», «Nota sobre un experimento relativo a la velocidad de propagación de la luz») en Comptes Rendus de la Académie des Sciences 29, pp. 90-132. Utilizando una rueda dentada que podía girar con una velocidad variable, cuando el disco estaba en reposo, enviaba un rayo de luz desde el lado del observador que miraba al disco de manera que pasara por uno de los dientes, llegase a un espejo y fuese reflejada por éste de vuelta al observador. A continuación, la rueda se ponía en movimiento y llegaba un momento en el que la luz reflejada era bloqueada por el siguiente diente. A una velocidad mayor, la luz podía pasar por ese diente y, como se conocía la velocidad de giro de la rueda, se podía calcular el tiempo que tardaba en colocarse en la posición adecuada el segundo diente. Y se podían utilizar estos datos, junto a la distancia conocida entre el espejo y el observador, para calcular la velocidad de la luz, que Fizeau estimó en 315 688kilómetros por segundo.
Llegaron luego otras estimaciones y otros métodos; por ejemplo, los obtenidos por Leon Foucault, en 1862, o por Albert A. Michelson, que dedicó una parte importante de su carrera a este problema: su mejor resultado es el que obtuvo en 1927: 299 789 kilómetros por segundo.
En el segundo de los artículos antes citados, Maxwell dio a conocer un resultado de extraordinaria importancia: la unificación de la óptica con el electromagnetismo. Cuando se lee este artículo, en concreto la tercera parte («La teoría de vórtices moleculares aplicada a la electricidad estática»), vemos que al calcular la velocidad de las ondas transversales a partir del cociente entre fuerzas eléctricas y magnéticas, Maxwell encontró el valor conocido para la velocidad de la luz. Casi siglo y medio después de que fuesen escritas esas palabras, todavía se puede apreciar la excitación que sentía Maxwell cuando escribió: «Difícilmente podemos evitar la inferencia de que la luz consiste en ondulaciones transversales del mismo medio que es la causa de los fenómenos eléctricos y magnéticos ».
En otras palabras, como sucede a menudo cuando se dispone de una nueva teoría fundamental, ésta no sólo describe aquellos fenómenos para los que en principio fue concebida, sino que explica y predice otros. En el caso que nos ocupa, el descubrimiento fue que las ondas luminosas eran ondas de fuerzas eléctricas y magnéticas o, lo que es lo mismo, que la óptica pasaba a verse englobada en el electromagnetismo, una conclusión que se vio reforzada de manera aparentemente definitiva (más tarde, la física cuántica puso límites a esta afirmación) con los experimentos que en 1888 llevó a cabo Heinrich Hertz (1857-1894),quien demostró que tanto los efectos electromagnéticos como calor radiante y luz se transmitían a través de un mismo medio mediante perturbaciones (ondas), que son, en todos los aspectos, iguales y que sólo necesitaban de instrumentos de recepción adecuados para hacerlas manifiestas a nuestros sentidos.
Los resultados obtenidos por Hertz atrajeron inmediatamente la atención sobre el problema de la comunicación sin hilos. Thomas A. Edison y Nikola Tesla, en Estados Unidos, Oliver Lodge y William Preece, en Inglaterra, y algunos otros científicos hicieron distintas contribuciones en esta línea, pero fue el italiano Guglielmo Marconi quien con más ahínco y habilidad combinó estos conocimientos para producir un sistema que permitió la comunicación sin utilizar cables por los que circulase corriente eléctrica. A partir de entonces, el electromagnetismo se convirtió en un elemento fundamental de cualquier sociedad, algo que, a su vez, implicaba que los fenómenos electromagnéticos fuesen investigados con afán. La teoría de la relatividad especial no fue ajena a tales orígenes.
§. Recepción de la Teoría Electromagnética de Maxwell
Teniendo en cuenta que la electrodinámica de Maxwell tuvo mucho que ver con el origen de la teoría de la relatividad especial, en particular, como veremos, por los esfuerzos que Hendrik A. Lorentz llevó a cabo para perfeccionar la formulación maxwelliana, es importante comentar cómo recibieron otros físicos los escritos de Maxwell.
Que la teoría electromagnética era importante es algo que pocos dudaron o pudieron negar. Ahora bien, también es innegable que las dificultades que muchos —tal vez la mayoría— encontraron para comprender los escritos de Maxwell, con el Treatise a la cabeza, fueron muy grandes. El estilo analítico, conceptual y discursivo de Maxwell, no siempre un expositor transparente, junto a la complejidad del tratamiento matemático al que se vio obligado a recurrir, resultaban obstáculos tremendos para muchos de aquellos científicos que deseaban beneficiarse de sus investigaciones. Un magnífico ejemplo en este sentido lo proporciona el físico alemán Heinrich Hertz, quien, como he señalado, en 1888 suministró una de las demostraciones más trascendentales de la corrección de la teoría electromagnética de Maxwell: la existencia de la radiación electromagnética. En una recopilación de escritos de Hertz publicada en 1892, Untersuchungen über die Ausbreitung der elektrischen Kraft, encontramos párrafos tan sustanciales como los siguientes: [9]
Y ahora, para ser más preciso, ¿qué es lo que llamamos la teoría de Faraday-Maxwell? Maxwell nos ha dejado como resultado de su pensamiento maduro un gran tratado sobre Electricidad y Magnetismo, de manera que podría decirse que la teoría de Maxwell es la que se promulga en ese trabajo, pero tal respuesta difícilmente será considerada satisfactoria por todos los científicos que han estudiado de cerca la cuestión. Muchas de las personas que se han lanzado con celo al estudio del libro de Maxwell, e incluso aquellas que no han tropezado con las inusitadas dificultades matemáticas, se han visto obligadas, a pesar de todo, a abandonar la esperanza de formarse ellas mismas una visión consistente completa de las ideas de Maxwell. Yo mismo no he tenido mejor suerte. A pesar de sentir la mayor admiración posible por las concepciones matemáticas de Maxwell, no siempre he estado seguro de haber captado el significado físico de sus afirmaciones, de manera que no me ha sido posible guiarme en mis experimentos directamente por el libro de Maxwell. Más bien, he sido guiado por el trabajo de Helmholtz, como de hecho se puede comprobar claramente por el modo en que mis experimentos han sido planteados. Pero desgraciadamente, en el caso especial límite de la teoría de Helmholtz que conduce a las ecuaciones de Maxwell, a la que señalan los experimentos, la base física de la teoría de Helmholtz desaparece, como de hecho ocurre siempre, tan pronto como se deja de lado la acción a distancia.Como vemos, se trata de una cita muy sustanciosa. No sólo por lo que dice acerca de la dificultad de comprender los escritos de Maxwell, sino por lo que señala acerca del papel que desempeñó en la aceptación de la teoría de Maxwell el gran fisiólogo, físico y matemático germano Hermann von Helmholtz, quien, como la gran mayoría de los investigadores centroeuropeos que se interesaron hacia la segunda mitad del siglo XIX por los fenómenos electromagnéticos (por ejemplo, W. Weber, B. Riemann, R. Clausius y W. Ritz), favoreció en sus estudios la utilización del concepto de acción a distancia; no obstante, sus análisis críticos de las teorías de otros científicos terminaron conduciéndolo a la elaboración de una formulación que contenía, como casos especiales, tanto otras teorías de acción a distancia como, en un caso límite, la propia teoría de Maxwell. Como Hertz señalaba en la cita anterior, finalmente se comprobó que era ese caso límite precisamente el que superaba las pruebas experimentales, con lo que el concepto de acción a distancia perdía, básicamente, su razón de ser en la descripción de los fenómenos electromagnéticos. Pero en el camino, muchos aprendieron a comprender la teoría de Maxwell a través de la de Helmholtz. Se debe señalar, por cierto, que la traducción de Treatise al alemán no se hizo esperar demasiado, puesto que fue publicada en 1883: Lehrbuch der Electricität und des Magnetismus.
Continuando con Hertz, enfrentado ante la dificultad de comprender el verdadero alcance y significado de los procedimientos seguidos por Maxwell, optaba por entender su teoría de la manera siguiente (Hertz, 1962: 21): «A la pregunta “¿Qué es la teoría de Maxwell?”, no conozco una respuesta más breve y más concreta que la siguiente: la teoría de Maxwell es el sistema de ecuaciones de Maxwell. Yo consideraría que toda teoría que conduce al mismo sistema de ecuaciones y que, por consiguiente, comprende los mismos posibles fenómenos, es una forma o caso especial de la teoría de Maxwell».
Treatise on Electricity and Magnetism de Maxwell también fue traducido pronto al francés, aunque un poco más tarde que en Alemania: los dos tomos de la versión francesa, titulada Traité d'Électricité et de Magnétisme, aparecieron en 1885 y 1889, pero ¿cómo respondieron los científicos galos ante la obra de Maxwell?
Uno de los científicos franceses más eminentes de la época era, sin duda, Henri Poincaré. Y también él se interesó por la teoría electromagnética de Maxwell. Su interés llegó al extremo de dedicar algunos de los cursos —que más tarde aparecían en forma de libros, redactados por algún colaborador suyo (Poincaré corregía, eso sí, las pruebas) — que impartía en la Sorbona a la teoría electromagnética. Así, contamos con: Électricité et optique, I: Les théories de Maxwell et la théorie electromagnétique de la lumière ; II: Les théories de Helmholtz et les expériences de Hertz (curso impartido el año académico 1888-1889), y III: La lumière et les théories électrodynamiques (curso 1899-1890). En uno de estos volúmenes, se lee (Poincaré, 1901: III): «La primera vez que un lector francés abre el libro de Maxwell, un sentimiento de incomodidad, incluso de desconfianza, se mezcla al principio con el de admiración. Solamente después de una prolongada familiaridad y como resultado de muchos esfuerzos, desaparece este sentimiento, pero muchas mentes eminentes lo retienen para siempre».
Einstein sobre Maxwell«El cambio mayor en la base axiomática de la física —en otras palabras: de nuestra concepción de la estructura de la realidad—, desde el momento en que Newton sentara las bases de la física teórica, fue provocado por los trabajos de Faraday y Maxwell en el campo de los fenómenos electromagnéticos […].
Según el sistema de Newton, la realidad física se caracteriza por los conceptos de espacio, tiempo, punto material y fuerza (acción recíproca de los puntos materiales). Los fenómenos físicos, según el punto de vista de Newton, deben ser considerados movimientos, gobernados por leyes fijas, de puntos materiales en el espacio […].
El aspecto menos satisfactorio de este sistema —aparte de las dificultades ínsitas en el concepto de “espacio absoluto”, que hace muy poco se han planteado una vez más— está en su descripción de la luz, que Newton también concibió compuesta por puntos materiales, de acuerdo con su sistema […]. Con el fin de expresar matemáticamente su sistema, Newton tuvo que crear el concepto de cocientes diferenciales y expresar las leyes del movimiento en la forma de ecuaciones diferenciales totales: quizá el mayor avance intelectual logrado por una sola persona. Las ecuaciones en derivadas parciales no eran necesarias para estos fines y tampoco Newton hizo un uso sistemático de ellas, pero fueron necesarias para la formulación de la mecánica de los cuerpos deformables […].
Así fue como la ecuación diferencial parcial entró en la física teórica como un elemento ancilar, aunque gradualmente se ha ido convirtiendo en soberana. Esto tuvo su inicio en el siglo XIX, al imponerse la teoría ondulatoria bajo la presión de los hechos observados. La luz en el espacio vacío fue explicada como un fenómeno ondulatorio del éter y, por tanto, parecía innecesario considerarla un conglomerado de puntos materiales. En este momento, por primera vez, la ecuación en derivadas parciales se mostró como expresión natural de las realidades primarias de la física […].
Aun cuando la idea de la realidad física había dejado de ser puramente atómica, continuaba siendo, de momento, puramente mecánica; en general, todavía se seguía intentando explicar todos los fenómenos como movimientos de masas inertes y, por cierto, ningún otro enfoque de los hechos parecía concebible. Se produce entonces el gran cambio, que para siempre estará asociado a los nombres de Faraday, Maxwell y Hertz. En esta revolución, la mejor parte corresponde a Maxwell. Demostró que el conjunto de lo que por entonces se conocía acerca de la luz y de los fenómenos electromagnéticos se podía expresar mediante su conocido doble sistema de ecuaciones en derivadas parciales, en las que los campos eléctrico y magnético aparecen como las variables dependientes. Maxwell trató, por cierto, de explicar o justificar esas ecuaciones mediante la construcción de un modelo mecánico.
Construyó varios pero no se tomó demasiado en serio ninguno de ellos y, al final, quedaron las ecuaciones como lo esencial y las intensidades de campo como las entidades irreductibles. Hacia finales del siglo, la concepción del campo electromagnético como entidad última había sido aceptada de manera general y muchos científicos serios habían abandonado los intentos de dar una explicación mecánica a las ecuaciones de Maxwell. Y antes de que transcurriera mucho tiempo ocurrió, al contrario, que se intentaron explicar los puntos materiales y su inercia por medio de la teoría de campos de Maxwell; no obstante, este intento no alcanzó un éxito total.
Si dejamos a un lado los importantes resultados individuales que produjo la investigación de Maxwell a lo largo de toda su vida en importantes ámbitos de la física y nos concentramos en los cambios que él aportó a la concepción de la naturaleza de la realidad física, podemos decir lo siguiente: antes de Maxwell, los investigadores concebían la realidad física —en la medida en que se supone que representa los fenómenos naturales— como puntos materiales, cuyos cambios sólo consistían en movimientos que pueden formularse mediante ecuaciones diferenciales totales. Después de Maxwell se concibió la realidad física como representada por campos continuos que no podían ser explicados mecánicamente y debían representarse mediante ecuaciones en derivadas parciales.
Este cambio en la concepción de la realidad es el más profundo y fructífero que se ha producido en la física desde los tiempos de Newton; con todo, debemos admitir al mismo tiempo que el programa no ha sido desarrollado aún en todas sus partes. Los sistemas satisfactorios de la física que a partir de entonces se han desarrollado representan compromisos entre estos dos esquemas, que por esta misma razón ofrecen un carácter provisional, lógicamente incompleto, a pesar de que han facilitado grandes adelantos en algunos de los aspectos investigados».
Albert Einstein (1931 a), «La influencia de Maxwell en el desarrollo de los conceptos de realidad física»
Capítulo 3
La crisis de la física clásica
§. La aberración estelar y el «coeficiente de arrastre» de FresnelEl logro de Maxwell, disponer de una potente teoría electromagnética, produjo entre los físicos de finales del siglo XIX la sensación de que las bases de la física estaban bien asentadas, que con la dinámica newtoniana y la electrodinámica de Maxwell quedaban completas, ahora sí, las bases teóricas para describir la naturaleza. Así, se adjudican al más que notable físico estadounidense Albert Abraham Michelson —recibió el Premio Nobel de Física en 1907 (el primer estadounidense en recibirlo)— unas frases que al parecer pronunció en un discurso que dio el 2 de julio de 1894 durante la inauguración del Laboratorio de Física Ryerson de la Universidad de Chicago, al menos así aparecen en el correspondiente artículo que lleva su firma (Michelson, 1894):[10] «Parece probable que la mayoría de los grandes principios básicos hayan sido ya firmemente establecidos y que haya que buscar los futuros avances sobre todo aplicando de manera rigurosa estos principios […]. Las futuras verdades de la Ciencia Física se deberán buscar en la sexta cifra de los decimales».
§. El experimento de Michelson y Morley
§. Otros problemas para la Física clásica: Rayos X y Radiactividad
§. Problemas «atómicos»: estructura atómica, espectroscopia y radiación de un cuerpo negro
No pudo estar más equivocado e, ironías del destino, él mismo fue uno de los que más contribuyeron a demostrar que la física que se conocía entonces, la física clásica, distaba mucho de estar firmemente establecida. Veamos los puntos principales de la crisis que se produjo en los tres últimos lustros del siglo XIX.
§. La aberración estelar y el «coeficiente de arrastre» de Fresnel
Un fenómeno que tuvo bastante que ver con los problemas que condujeron finalmente a la teoría de la relatividad especial es el de la aberración estelar, descubierta en 1728 por James Bradley, quien ya apareció a propósito de la medida de la velocidad de la luz.[11] Como dije, la aberración estelar es la diferencia entre la posición observada de una estrella y su posición real, que no coinciden debido tanto a los cambios de la posición de la Tierra con respecto a las estrellas como a que la velocidad de la luz es finita. Bradley explicó este efecto en base a la teoría corpuscular de la luz, una teoría de «emisión», que seguía una senda que en el pasado habían transitado Empédocles, Kepler y Newton, cuya teoría fue la más desarrollada e influyente. Pero la situación cambió con la teoría ondulatoria de la luz que Thomas Young (1773-1829) comenzó a esbozar en 1800, en la sección X («Sobre la analogía entre la luz y el sonido»; Young, 1800: 125-130) de un artículo que publicó en 1800 en lasPhilosophical Transactions of the Royal Society of London.[12] Escribía allí (Young, 1800: 125):
Desde la publicación de los incomparables escritos de sir Isaac Newton, sus doctrinas de la emanación de partículas de luz desde sustancias luminosas y de la preexistencia de rayos de color en la luz blanca se han admitido casi universalmente en este país y con poca oposición en otros. De hecho, en varios de sus trabajos, Leonard Euler ha avanzado algunas objeciones poderosas en contra de ella, pero no lo suficientemente poderosas como para justificar la reprobación dogmática con que él las trata, y ha dejado el sistema de una vibración etérea, que adoptó siguiendo a Huygens y a otros, igualmente susceptible de ser atacado en muchos puntos débiles. Sin pretender decidir positivamente nuestra controversia, es posible presentar algunas consideraciones que tienden a disminuir el peso de las objeciones a una teoría similar a la de Huygens.En la teoría similar a la de Huygens a la que se refería, jugaba cierto papel el éter: la diferente velocidad que la luz tiene en medios distintos la explicaba en base a la diferencia existente entre las densidades del éter en dichos medios. Durante los años siguientes, Young continuó sus trabajos que culminaron en 1807, cuando publicó su Course of Lectures on Natural Philosophy (Curso de conferencias sobre filosofía natural) , donde proponía y discutía el famoso experimento de interferencias en una pantalla con dos rendijas.
Como parte de su programa en defensa de una teoría ondulatoria de la luz, Young trató de encontrar una explicación al fenómeno de la aberración estelar. En realidad, si se considera que la luz se propaga como una onda, el que la trayectoria de la luz aparezca a lo largo de una dirección diferente a la que tendría si el receptor (la Tierra, en este caso) no se moviese parece indicar que el movimiento de la Tierra a través del éter no afecta a este medio («soporte» de las ondas luminosas) ni a su movimiento: esto es, la Tierra no arrastra consigo al éter. Young (1804: 12-13) presentó de hecho esta propuesta para explicar la aberración y lo hizo con las siguientes palabras: «Al considerar el fenómeno de la aberración de las estrellas, estoy dispuesto a creer que el éter luminífero impregna la sustancia de todos los cuerpos materiales con pequeña o nula resistencia».
A pesar de la importancia, desde nuestra perspectiva actual, de las teorías de Young, no se puede decir que éstas atrajesen a demasiados seguidores. La escuela newtoniana era todavía demasiado fuerte, como lo prueba el que aún después de que hubiesen aparecido los seminales trabajos de Young, Herschel y Laplace continuasen intentando desarrollar la óptica a la manera corpuscular. Y la aberración estelar era difícil de explicar en base a la teoría ondulatoria. Es oportuno en este sentido citar lo que Hendrik A. Lorentz, que nos volverá a aparecer con profusión, comenzaba escribiendo en uno de sus artículos, que también nos aparecerá más adelante (Lorentz, 1886, 1937 a: 153):
La aberración de la luz que, según la teoría de la emisión, resulta directamente de la composición de dos movimientos rectilíneos, es mucho menos fácil de explicar en la teoría de las ondulaciones. Mientras que el movimiento de partículas luminosas emitidas por un astro puede ser considerado independiente del movimiento de la Tierra, no sucede lo mismo con la propagación de las ondas luminosas si el medio en el que esto tiene lugar está, él mismo, arrastrado por nuestro planeta. Por consiguiente, en la teoría ondulatoria, nos vemos conducidos a considerar en primer lugar en qué medida participa el éter del movimiento de los cuerpos que lo atraviesan. El examen de esta cuestión no interesa solamente a la teoría de la luz: ha adquirido una importancia bastante más general una vez que se ha hecho probable que el éter desempeña un papel en los fenómenos de la electricidad y el magnetismo.Adviértase la última frase, que hace hincapié en que la cuestión de si la Tierra arrastraba o no al éter se constituyó en uno de los problemas básicos no sólo de la óptica, sino también del electromagnetismo.
Fue en base a la teoría corpuscular como François Arago (1786-1853) llegó a la conclusión de que la aberración de la luz en un medio ópticamente denso (un prisma, por ejemplo) sería diferente según que la luz procedente de una estrella pasase a través del prisma en la misma dirección y el mismo sentido que el movimiento de la Tierra o en sentido opuesto. Sin embargo, los experimentos que en 1808-1809 Arago llevó a cabo para probar esta hipótesis dieron un resultado nulo: no se observaba ninguna diferencia en los ángulos de desviación. Cuando, unos años más tarde, el físico francés Augustin Fresnel (1788-1827) hizo sus contribuciones iniciales a la teoría ondulatoria de la luz, Arago le escribió informándolo de sus experimentos y de su incapacidad para encontrarles una explicación en base a la teoría corpuscular.[13] En contestación, Fresnel envió una carta a Arago —que sería publicada más tarde (1818) en Annales de Chimie et de Physique— en la que exponía los siguientes puntos:
- La explicación corpuscular no parece probable, porque para ser compatible con los resultados experimentales de Arago habría que suponer —como el propio Arago había indicado— «que los cuerpos luminosos transmiten a las partículas de luz un número infinito de velocidades diferentes, y que estas partículas únicamente afectan al órgano de la visión cuando viajan con una de estas velocidades o, al menos, entre límites muy próximos, de manera que un aumento o disminución en una diezmilésima parte es más que suficiente para evitar su detección».
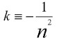
- Si se utiliza la hipótesis de Young según la cual los cuerpos materiales atraviesan el éter sin arrastrarlo, ineludiblemente, pensaba Fresnel, la velocidad de la luz medida en dos direcciones diferentes debía de ser diferente. Existía para Fresnel, sin embargo, otra posibilidad que daba cuenta de los resultados obtenidos por Arago y que consistía en que cuerpos con un índice de refracción mayor que el del vacío (el prisma de Arago, por ejemplo) arrastran parcialmente el éter. Como explicación de este, en principio, extraño fenómeno, Fresnel sugería que la densidad «etérea» de todo cuerpo es proporcional al cuadrado de su índice de refracción, n, y que cuando un cuerpo está en movimiento, transporta dentro de él parte del éter; más concretamente, aquella parte que constituye el exceso de su densidad con respecto a la densidad del éter en el vacío. A partir de estas hipótesis dedujo el denominado «coeficiente de arrastre de Fresnel», k, definido por


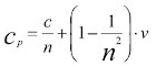
Obviamente, si n = 1, cp = c, tal como era de esperar en el éter vacío.
La trascendencia del coeficiente de arrastre residió durante algunos años en que permitía explicar los experimentos de Arago. En este sentido, aun siendo importante, su alcance era limitado, en tanto que había sido ideado por Fresnel para explicar de forma plausible pero esencialmente ad hoc, los resultados de los mencionados experimentos. La situación cambió radicalmente cuando en 1851 Fizeau confirmó la utilidad del coeficiente de arrastre mediante un experimento independiente.
A partir de entonces y ya sin duda, el coeficiente de Fresnel pasó a ser un factor que toda teoría debía tener en cuenta (¡explicándolo!). Éste sería de hecho uno de los principales problemas que Lorentz intentaría resolver años más tarde, desde el punto de vista de la teoría electromagnética de la luz.
El Coeficiente de Fresnel según LorentzEn uno de sus libros, The Theory of Electrons ad Its Applications to the Phenomena of Light and Radiant Heat (Lorentz, 1909), resultado de unas conferencias que pronunció en marzo y abril de 1906 en la Universidad de Columbia (Nueva York), Lorentz trató del coeficiente de Fresnel. Reproduzco a continuación lo que escribió allí (Lorentz, 1952: 175-176):
«La teoría de Fresnel […] data de 1818. Fue formulada por primera vez en una carta a Arago [Nota a pie de página: “Lettre de Fresnel à Arago”, “Sur l'influence du mouvement terrestre dans quelques phénomènes d'optique”, Annales de Chimie et de Physique 9, 57 (1818)], en la que afirma expresamente que debemos imaginar que el éter no recibe siquiera la menor parte del movimiento de la Tierra. A esto, Fresnel añade una hipótesis muy importante relativa a la propagación de la luz que se mueve en una materia ponderomotriz transparente.
Creo que todo el mundo estará dispuesto a admitir que un fenómeno óptico que puede tener lugar en un sistema que está en reposo, puede ocurrir exactamente de la misma manera después de que se haya impartido a este sistema un movimiento uniforme de traslación, con la única salvedad de que esta traslación se suministre a todo lo que pertenece al sistema. Si, por consiguiente, todo lo que está contenido en una columna de agua o en una pieza de cristal comparte un movimiento de traslación que comunicamos a estas sustancias, la propagación de la luz en su interior se comportará siempre de la misma forma, haya o no traslación. El caso será diferente si el cristal o el agua contienen algo que no se puede poner en movimiento.
Ahora bien, como he dicho, Fresnel supuso que el éter no sigue el movimiento de la Tierra. La única forma en la que se puede comprender esto es imaginar que la Tierra está impregnada por completo de éter y que es perfectamente permeable a él. Cuando hemos llegado tan lejos como para atribuir esta propiedad a un cuerpo del tamaño de nuestro planeta, de la misma manera debemos, sin duda, adscribirla a cuerpos mucho más pequeños y debemos esperar que si el agua fluye a través de un tubo, no existirá corriente de éter y que, por consiguiente, como un rayo de luz se propaga en parte por el agua y en parte por el éter, las ondas de luz, que están, por así decir, retenidas por el éter, no adquirirán toda la velocidad de la corriente de agua. De acuerdo con la hipótesis de Fresnel, la velocidad de los rayos relativa a las paredes del tubo (o, lo que es lo mismo, relativa al éter) se obtiene sumando la velocidad con que la propagación debería tener lugar si el agua estuviese en reposo, con solamente una cierta parte de la velocidad del flujo, esta parte determinada por la fracción (1 – 1/n2), donde n es el índice de refracción del agua en reposo. Fresnel aplicó el mismo coeficiente 1 – 1/n2 a todas las demás sustancias transparentes isotrópicas. Si n es pequeño con respecto a 1, como sucede en los gases, el coeficiente es muy pequeño; las ondas de luz apenas son arrastradas por una corriente de aire, porque en el aire la propagación tiene lugar casi exclusivamente en el éter que contiene. Si el coeficiente de Fresnel está cerca de 1, esto es, si las ondas de luz tienen que adquirir casi toda la velocidad de la materia ponderomotriz, deberemos utilizar un cuerpo altamente refractante.
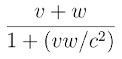
Debo añadir que en lugar de la propagación relativa al éter, podemos considerarla perfectamente relativa a la materia ponderomotriz. Si el agua que está fluyendo por un tubo hacia el lado de la derecha con una velocidad w, es atravesada por un rayo de luz que va en la misma dirección, la velocidad de propagación relativa al éter esv + (1 – 1/n2) × w
donde v representa la velocidad de la luz en el agua en reposo».
§. El experimento de Michelson y Morley
Albert Abraham Michelson (1852-1931) nació en Strelno, perteneciente entonces a Prusia (actualmente, con el nombre de Strzelno, es parte de Polonia), hijo de un comerciante judío, pero muy pronto, cuando tenía dos años, sus padres emigraron a Estados Unidos, nación en la que se desarrolló su vida. Estudió en la Academia Naval de Annapolis, en la que entró en 1869 y en la que se graduó en 1873. En 1875, tras dos años de servicios en el mar, regresó a su alma mater como instructor en el Departamento de Física y Química de la institución. Allí, mientras preparaba una demostración del método de Foucault para determinar la velocidad de la luz, se dio cuenta de que si colimaba el haz de luz, podía obtener un rayo de luz mucho mejor definido y aumentar la sensibilidad de sus experimentos. Con semejante base, hizo su primera medición, de gran precisión, de la velocidad de la luz en 1877. En 1879 fue destinado a la Oficina del Almanaque Náutico, en Washington D. C., que formaba parte del Observatorio Naval de Estados Unidos, donde trabajó con el astrónomo estadounidense más importante e influyente, Simon Newcomb, que en 1877 había sido nombrado superintendente de la Oficina (aquel año también fue destinado presidente de la American Association for the Advancement of Science). Siguiendo el consejo de éste, Michelson decidió dedicarse a la física y, para mejorar sus conocimientos, solicitó un permiso para estudiar en Europa dos años. La parte más fructífera de su estancia europea fue la que pasó en el laboratorio de Hermann von Helmholtz en Berlín, adonde llegó en septiembre de 1880.[14] Además de asistir a las clases de Física teórica que impartía Helmholtz, Michelson diseñó y construyó un instrumento con el que realizó su primer experimento para intentar detectar el movimiento de la Tierra a través del éter electromagnético, que suponía se extendía por todo el cosmos. De hecho, no tardó mucho en poner en marcha su proyecto: el 22 de noviembre, dos meses después de llegar a Berlín, escribía a Newcomb:[15] «He tenido una larga conversación con el doctor Helmholtz referente al método que pretendo utilizar para encontrar el movimiento de la Tierra relativo al éter y me dijo que no veía ninguna objeción en él, excepto en la dificultad de mantener constante la temperatura. Dijo, sin embargo, que sería mejor que esperase a regresar a Estados Unidos antes de intentarlo, ya que dudaba de que tuviesen las facilidades para llevar a cabo tal experimento, debido a la necesidad de mantener una habitación a temperatura constante».

Interferómetro utilizado por Michelson y Morley.
No obstante las advertencias del gran Helmholtz, Michelson siguió adelante. Con la ayuda económica de Alexander Graham Bell, el inventor del teléfono —o mejor, uno de sus inventores—, la compañía alemana Schmidt & Haensch construyó el interferómetro diseñado por Michelson.[17] Primero situó el interferómetro en el Instituto de Física de la Universidad de Berlín, pero como le había dicho Helmholtz, las perturbaciones producidas por el tráfico adyacente al laboratorio hacían imposible obtener medidas precisas (el centro carecía de un pilar a prueba de perturbaciones en donde instalar el interferómetro).

Albert Abraham Michelson.
En una de las cartas de Michelson, una que escribió a Graham Bell, encontramos más detalles de lo que estaba haciendo entonces en Alemania. La carta está fechada el 17 de abril de 1881 (Reingold, ed., 1966: 288-290):
Mi querido señor Bell:El 14 de mayo, Graham Bell contestaba a Michelson mostrándole su interés por sus investigaciones, cuyos resultados estimaba «de gran importancia». En cuanto al dinero, le decía que «deseo que lo conserve para facilitar cualquier experimento que tenga en mente» (Reingold, ed., 1966: 291). [18]
Los experimentos sobre al movimiento relativo de la Tierra con respecto al éter acaban de conducir a un final exitoso. Sin embargo, el resultado es negativo. El aparato fue construido según el plan que le describí en mi última carta [esta carta no ha sobrevivido] y fue debidamente instalado en el Laboratorio de Física de Helmholtz. Sin embargo, pronto se comprobó que el instrumento era tan extremadamente sensible a las vibraciones que incluso después de medianoche, no sólo era imposible realizar medidas, sino que franjas de interferencia eran invisibles […].
Fue, por tanto, imposible realizar la investigación en Berlín y, en consecuencia, llevamos el aparato al Astrophysicaliches Observatorium de Postdam, cuyas instalaciones fueron amablemente puestas a mi disposición por el director, el profesor Vogel.
En esta estación del año, el movimiento que se supone del Sistema Solar coincide aproximadamente con el movimiento de la Tierra en torno al Sol, de manera que el efecto que se quiere observar estaba en su máximo desarrollo y, por consiguiente, si el éter estuviera en reposo, el movimiento de la Tierra a través de él debería producir un desplazamiento de las bandas de interferencia de al menos una décima de la distancia entre las bandas, una cantidad fácilmente medible. El desplazamiento actual era de alrededor de una centésima, que se adjudica a los errores del experimento.
Por consiguiente, la cuestión se resuelve negativamente, demostrando que en la vecindad de la Tierra el éter se mueve con la Tierra, un resultado que está en oposición directa con la teoría de la aberración generalmente aceptada.
De las cien libras esterlinas que puso amablemente a mi disposición, quedan sesenta y, como los experimentos ya se han completado, esta suma espera sus órdenes. Acabo de terminar el semestre de invierno con Helmholtz y, debido a la salud de la señora Michelson y a los niños (de los que ahora hay tres, la última llegada, una niña), he decidido pasar el semestre de verano aquí y asistir a las clases de Quincke y Bunsen.
Supongo que ha sabido que he sido nombrado para la cátedra de Física en la Case School de Ciencia Aplicada, en Cleveland. Sin embargo, el nombramiento comenzará el 1 de septiembre de 1882 y hasta entonces pasaré estos meses en el extranjero.
Con su experimento, lo que Michelson buscaba era ahondar en el problema de la naturaleza del éter electromagnético en el que se basaba la teoría de Maxwell y en la relación de ese éter con la velocidad de la luz. Michelson no dudaba de que, como escribía en el artículo en el que presentó los resultados que obtuvo en su experimento de Postdam (Michelson, 1881: 120), «la teoría ondulatoria de la luz supone la existencia de un medio llamado éter, cuyas vibraciones producen los fenómenos del calor y la luz y que se supone llena todo el espacio», pero lo que quería demostrar era si era cierto lo que Augustin Fresnel había supuesto a principios del siglo XIX: que, básicamente, el éter se encontraba en reposo con respecto a la Tierra. «Parece imposible explicar la aberración de las estrellas —escribía Fresnel en el artículo (una carta que escribió en 1818 a François Arago) en el que presentó esta idea— con la hipótesis de que nuestro globo [esto es, la Tierra] imprime su movimiento al éter que la rodea; al menos, hasta ahora, yo no puedo imaginar con claridad este fenómeno más que suponiendo que el éter pasa libremente a través del globo y que la velocidad no es más que una pequeña parte de la que comunica a este sutil fluido [el éter] de la Tierra, no excediendo en, por ejemplo, una centésima». [19]
Y si era así, entonces al moverse la Tierra con respecto al éter (en reposo), el tiempo que tardaría un rayo de luz emitido en la superficie terrestre debería ser diferente según que éste se moviese en el sentido de movimiento de la Tierra con respecto al éter, o, en sentido opuesto, puesto que tendría que recorrer distancias distintas (recordemos que uno de los brazos del interferómetro estaba en la dirección del movimiento de la Tierra, con lo que le afectaría el movimiento, mientras que otro se situaba perpendicularmente, para evitar tal efecto). El desplazamiento producido por ese «viento etéreo» debía de ser muy pequeño, pero al alcance de las medidas en un interferómetro muy preciso.
Éste era el experimento que Michelson hizo en Postdam en 1881, y con el que, contradiciendo todas las expectativas, no detectó ningún desplazamiento en el espectro de la luz: parecía como si la Tierra «arrastrara el éter». En palabras de Michelson (1881: 128):
La interpretación de estos resultados es que no existe ningún desplazamiento en las bandas de interferencia. Se demuestra así que el resultado de la hipótesis de un éter estacionario es incorrecto y la conclusión necesaria que se sigue es que la hipótesis es incorrecta.Además de contradecir la hipótesis de Fresnel y, por consiguiente, las explicaciones que suministraba, el resultado del experimento de Michelson planteaba problemas a la idea de que la velocidad de la luz —aproximadamente, 300 000 km/s— lo fuese con respecto a un éter que permanecía en reposo, y que, en este sentido, podía considerarse un sistema de referencia absoluto.
Esta conclusión contradice directamente la explicación del fenómeno de la aberración que se ha aceptado hasta ahora generalmente y que presupone que la Tierra se mueve a través de un éter que permanece en reposo.
Pero, al contrario de lo que muchos piensan, cuando el resultado de un experimento contradice lo que se esperaba, no es inmediato que, simplemente, se acepte que la hipótesis, o la teoría, en la que se basaba, era falsa. La resistencia a abandonar mundos científicos establecidos es grande y no debemos extrañarnos por ello. En el caso que me ocupa ahora, también sucedió así. Físicos tan distinguidos como lord Rayleigh y sir William Thomson (aún no lord Kelvin) animaron a Michelson a repetir el experimento mejorando su precisión. Además, H. A. Lorentz criticó las conclusiones de Michelson desplegando un sólido análisis teórico en una memoria que publicó en 1886 (que ya utilicé y a la que también volveré en el capítulo siguiente). Tras manifestar que «Fresnel ha admitido que, cerca de la Tierra, el éter no participa del movimiento de ésta, de manera que las vibraciones luminosas que proceden de una estrella se propagan hasta la superficie de nuestro globo sin verse afectadas en nada por su movimiento», Lorentz (1886, 1937: 153, 214) concluía que en su «opinión, es todavía dudoso que la hipótesis de Fresnel se vea refutada por el experimento de Michelson. En todo caso, no se podrá concluir de este experimento que el éter, como quiere la teoría original del señor Stokes, sigue completamente el movimiento de la Tierra. Porque no hay que decidir solamente entre esta teoría y la de Fresnel. La velocidad relativa del éter con respecto a la Tierra puede tener no sólo los valores 0 o g [donde g representa la velocidad de una pantalla colocada en la Tierra] sino muchos otros valores. Si esa velocidad fuese, por ejemplo, ½·g, lo que no podemos juzgar imposible, el desplazamiento proporcional al cuadrado de la velocidad que las franjas [de interferencia] sufrirían en una rotación del aparato del señor Michelson, sería, sin duda, completamente indetectable».
Cuando Lorentz escribía estas líneas, hacía tiempo que Michelson había vuelto a Norteamérica. A su regreso a Estados Unidos en 1881, abandonó la Marina y en 1883 aceptó un puesto de profesor en la Case School de Ciencia Aplicada de Cleveland, Ohio. Allí se dedicó sobre todo a mejorar su interferómetro. Y lo hizo con la colaboración de un químico muy hábil como experimentalista, Edward Morley (1838-1923),desde 1873 catedrático de Química en el Cleveland Medical College (mantuvo su cátedra allí hasta 1888, cuando dimitió para disponer de más tiempo libre para investigar). El resultado de aquella colaboración fue un famoso artículo, publicado, en 1887, como el de 1881 en The American Journal of Science, y, salvo una proposición (on), con el mismo título «Sobre el movimiento relativo de la Tierra y el éter luminífero» (Michelson y Morley, 1887). La precisión del experimento era mayor, pudiendo detectar diferencias en los cuadrados de velocidad a que aludía Lorentz (estrictamente, env2/c2, donde, recordemos, c representa la velocidad de la luz y v la velocidad de la luz con respecto al éter).
Veremos en el próximo capítulo los esfuerzos de Lorentz por resolver el problema que planteaba el experimento de Michelson y Morley, un problema que sólo se resolvería con la teoría de la relatividad especial de Einstein.
§. Otros problemas para la Física clásica: Rayos X y Radiactividad
La problemática que subyacía detrás de los experimentos de Michelson no era sorprendente, pero sí lo era su resultado. Algo muy diferente es lo que sucedió con el descubrimiento de dos fenómenos inesperados: los rayos X y la radiactividad, que no se sabía cómo explicar en el marco de la física clásica. [20]
Estudiando problemas asociados a las descargas eléctricas que se producen en tubos de vidrio en los que se había hecho el vacío y en cuyo interior se colocaban, además de un determinado gas, dos electrodos (el positivo, o ánodo, y el negativo, o cátodo) unidos a una batería, Julius Plücker, de Bonn, encontró, en 1858-1859, que, según se iba extrayendo el gas del tubo, la luminosidad que lo llenaba en un principio (producida por la diferencia de potencial existente entre los electrodos) disminuía progresivamente hasta que el cátodo aparecía rodeado por una delgada «envoltura» luminosa, de color variable según la naturaleza del gas introducido en el tubo, y separada del cátodo por un espacio oscuro, tanto más extenso cuanto mayor era el enrarecimiento de la atmósfera. Cuando la presión del gas llegaba a una millonésima de atmósfera, el espacio oscuro invadía todo el tubo y no se observaba otra cosa que un pequeño círculo de luz violeta en el extremo del cátodo, a la vez que el vidrio adquiría una intensa fosforescencia en la parte opuesta. Este fenómeno se denominó, en principio, «emisión catódica»; más tarde, cuando fue atribuido a la existencia, dentro del tubo, de radiaciones especiales emanadas directamente del cátodo, recibió el nombre de Cathodenstrahlen (rayos catódicos). Cuál era la naturaleza de aquella radiación es algo que no se supo hasta 1897, cuando Joseph John Thomson (1856-1940), director del Laboratorio Cavendish de Cambridge desde 1884, detectó una desviación de los rayos catódicos, instada por las fuerzas eléctricas producidas por dos placas metálicas electrizadas colocadas dentro del tubo. Las medidas de la desviación permitieron a Thomson calcular el cociente (e/m) entre la carga y la masa de los «corpúsculos» —éste es el nombre que utilizó Thomson; hoy los llamamos electrones— que constituyen los rayos catódicos. En el artículo en el que presentó sus resultados, Thomson (1897) incluyó otra notable observación: aquellos corpúsculos/electrones que componían los rayos catódicos eran siempre los mismos, independientemente de cuál fuese la composición del cátodo, del anticátodo o del gas del tubo. Se trataba, por consiguiente, de un componente universal de la materia: la primera partícula elemental identificada (la existencia del protón respondió a otro tipo de demostración).

Joseph John Thomson.

Radiografía tomada en 1896 de una mano de lord Kelvin.

Henri Becquerel.
Al igual que muchos otros científicos a lo largo del mundo, Becquerel se puso inmediatamente a estudiar las propiedades de la nueva radiación. En particular, se dedicó a intentar comprobar si los cuerpos fluorescentes (aquellos que emiten radiación cuando se les ilumina y que continúan radiando incluso después de desaparecer la fuente exterior energética) generaban rayos X, una hipótesis formulada por el matemático y físico matemático Henri Poincaré en la mencionada sesión de la Académie des Sciences. Los primeros resultados fueron negativos, pero insistió con sales de uranio, cuya fluorescencia ya había estudiado en otras ocasiones.
El 24 de febrero, es decir, casi cuatro meses después del descubrimiento de Röntgen, Becquerel presentaba una comunicación a la Académie des Sciences en la que señalaba que los «rayos emitidos por la sal de uranio expuesta a la luz solar impresionan —a través de una espesa envoltura de papel— una placa fotográfica». Parecía, efectivamente, que la fluorescencia iba acompañada de rayos X. Sin embargo, una semana más tarde, el 2 de marzo, la Académie des Sciences recibía otra comunicación de Becquerel, esta vez con un contenido mucho más sorprendente. El día 26 de febrero se había visto obligado a interrumpir sus experiencias con las sales de uranio porque el día estaba nublado y no había salido el Sol. Como tenía la placa fotográfica protegida por una envoltura y la sal de uranio preparada, las guardó en un cajón, esperando que el día siguiente saliese el Sol y pudiese exponer la sal a su luz. Como el tiempo no cambió en varios días, el 1 de marzo, Becquerel decidió revelar la placa fotográfica, esperando encontrar imágenes débiles.

Marie y Pierre Curie en su laboratorio.
La masa de un cuerpo es una medida de su contenido energético; si la energía cambia un valor L, la masa varía en el mismo sentido un valor L /9·1020[…] . No es imposible que se pueda comprobar con éxito la teoría con cuerpos cuyo contenido energético es altamente variable (por ejemplo, con sales de radio).§. Problemas «atómicos»: estructura atómica, espectroscopia y radiación de un cuerpo negro
Con ser importantes estas novedades, no eran las únicas dificultades a las que se enfrentaban los físicos finiseculares. Dos problemas destacados eran saber qué era realmente la materia, si su estructura «interna» era continua o discreta (atómica) y por qué aparecían tantas líneas en los espectros de los diferentes elementos químicos que se obtenían con los espectroscopios. La espectroscopia había cobrado un impulso extraordinario con los trabajos del físico Gustav Kirchhoff (1824-1887) y del químico Robert Bunsen (1811-1899) a partir de 1859.
Formado en la universidad de su ciudad natal, Kirchhoff se trasladó a Berlín después de doctorarse en 1847. En la capital prusiana comenzó su carrera docente, al lograr en 1848 el título de Privatdozent.[21] En 1850 se incorporó como extraordinarius a la Universidad de Breslau. Allí conoció a Robert Bunsen, pero éste se trasladó a Heidelberg el año siguiente. En 1854, cuando Philipp von Jolly dejó su cátedra de Física en Heidelberg, Bunsen propuso a Kirchhoff para sucederlo, iniciativa que tuvo finalmente éxito. Mantendría este puesto hasta 1875, cuando aceptó una cátedra de Física teórica en la Universidad de Berlín, ciudad en la que falleció el 17 de octubre de 1887.
Tras haberse dedicado al estudio de la elasticidad y la electricidad, hacia 1858 Kirchhoff comenzó a interesarse por el análisis espectral. En esencia, el origen de su interés fue el siguiente: en Heidelberg, Bunsen estaba investigando entonces la posibilidad de analizar sales en base a los colores que daban al arder, proceso en el que desempeñaba un papel importante un instrumento que desarrolló en la década de 1850: el denominado «mechero de Bunsen», con el que el gas inyectado se quemaba con una llama que aunque caliente no era brillante. Y en este punto entra Kirchhoff en la historia, ya que en 1859 señaló a su colega que un método más preciso que el «colorímetro» para llevar a cabo semejante tarea de identificación era a través del espectro al que daban origen tales llamas coloreadas. Unieron sus fuerzas: Bunsen suministró no sólo su mechero, que para el análisis espectroscópico era aún más útil, sino también sales de gran pureza y Kirchhoff aportó el espectroscopio con el que observar las líneas. Y encontraron, perfeccionando observaciones precedentes que se remontan a los tiempos de Isaac Newton y en las que destaca Joseph von Fraunhofer (1787-1826), que en la radiación que cada elemento químico emitía, al ser calentado y pasar la radiación que irradiaba por el espectroscopio, aparecían multitud de líneas, propias del elemento químico en cuestión.

R. Bunsen, G. Kirchhoff y H. Roscoe.
Nunca olvidaré la impresión que me produjo mirar a través del magnífico espectroscopio de Kirchhoff, instalado en una de las habitaciones traseras del viejo edificio de la Hauptstrasse, que por entonces hacía las funciones de Instituto de Física, y ver la coincidencia de las líneas brillantes en el espectro del hierro con las oscuras líneas de Fraunhofer en el espectro solar. La evidencia de que el hierro, tal y como lo conocemos en esta Tierra, está contenido en la atmósfera solar, aparece instantáneamente como concluyente. Y no han transcurrido aún cuarenta años desde que Comte, argumentando en su Système que los investigadores no deberían malgastar su tiempo intentando lo imposible, utilizase como un ejemplo de lo que quería decir por imposible que el conocimiento de la composición del Sol a una distancia de 91 millones de millas debía permanecer para siempre inalcanzable.«Ya no será necesario tocar un cuerpo para determinar su naturaleza química: bastará con verlo», escribía el químico francés Jean-Baptiste-André Dumas (1861: 484). Y, por supuesto, reconocía, como lo hacían todos, que se encantaban en el principio: «Lo que el estado de los instrumentos actuales de óptica permite efectuar en el día respecto del Sol y las principales estrellas fijas, otros nuevos progresos permitirán que lo intente el hombre respecto de los astros más distantes y luminosos y reconocer así por medio de qué elementos ha formado Dios los mundos que pueblan el Universo». Treinta años más tarde, las esperanzas fundadas en el nuevo método se habían consolidado, como muestran las palabras que pronunció en su discurso como presidente de la British Association for the Advancement of Science (Asociación Británica para la Avance de la Ciencia), el astrónomo y espectroscopista William Huggins (1891: 37), en la reunión anual celebrada en Cardiff: «La astronomía, la más antigua de las ciencias, ha más que renovado su juventud, en ningún momento del pasado ha estado tan encendida con ilimitadas aspiraciones y esperanzas. Nunca fueron sus templos tan numerosos ni tan grande la masa de sus devotos».
Un problema importante era explicar el elevado número de líneas que aparecían en los espectros y era razonable suponer que se podrían deber a excitaciones a lo largo de los diferentes grados de libertad de la materia (esta hipótesis, propuesta sobre todo por Maxwell y Ludwig Boltzmann, se denominó «principio de equipartición»), pero esos grados de libertad eran, en principio, tres (las dimensiones espaciales), un número que no podía explicar las docenas o cientos de líneas que se detectaban. Al igual que en el caso de la radiactividad, sería la física cuántica la que explicaría estos hechos.
Más de un siglo después, maravillosa más que sorprendente fue la agudeza de ingenio que mostró el gran lord Kelvin (1824-1907) en una conferencia que pronunció el 27 de abril de 1900 en la Royal Institution londinense titulada «Nubes decimonónicas sobre la teoría dinámica del calor y la luz» (Kelvin, 1901, 1904 a: 486-527):las «nubes» que, según quien hasta que fue ennoblecido por la reina Victoria debido a sus méritos científicos y tecnológicos, respondía al nombre de William Thomson, oscurecían el horizonte de la física clásica eran dos, pero dejemos que sea el propio Kelvin (1904 a: 486) quien hable:
La belleza y claridad de la teoría dinámica, que afirma que el calor y la luz son modos de movimiento, está actualmente oscurecida por dos nubes.
I. La primera surgió con la teoría ondulatoria de la luz y fue tratada por Fresnel y el doctor Thomas Young e implica la cuestión « ¿cómo puede moverse la Tierra a través de un sólido elástico, como es básicamente el éter luminífero?». [22]
II. La segunda es la doctrina de Maxwell-Boltzmann relativa a la partición de la energía.

Lord Kelvin dando su última clase; 1899.
Finalmente, había otro problema, relacionado con los anteriores. En 1859, esta vez en solitario, Kirchhoff publicó un artículo en el que se ocupaba de aspectos teóricos que subyacían en las investigaciones que sobre las radiaciones estaba llevando a cabo con Bunsen. En él trataba de una propiedad específica de los cuerpos que emitían luz y calor («luz invisible», como llamaba a este último): «El cociente entre la capacidad de emisión y la capacidad de absorción, e/a, común a todos los cuerpos —escribía (Kirchhoff, 1859: 726) —, es una función que depende de la longitud de onda [de la radiación emitida o absorbida] y de la temperatura». Un año después, publicó un segundo artículo en el que abordaba el mismo problema con mayor detalle, suministrando, además, una demostración analítica más rigurosa del teorema. Fue en este trabajo donde, al principio, introdujo la noción de cuerpo negro (estrictamente una ficción, un objeto inalcanzable). «Quiero llamar a semejante cuerpo —ésas fueron sus palabras (Kirchhoff, 1860: 277) — cuerpo negro perfecto o, de modo abreviado, negro».
El propio Kirchhoff intentó, en varios trabajos, dar con una relación matemática que expresase la distribución de la energía de radiación de un cuerpo negro con respecto a la frecuencia (o a la longitud de onda) y a la temperatura absoluta. A la resolución de este problema contribuirían después otros físicos y, de manera notable, Josef Stefan, Ludwig Boltzmann, John William Strutt, más conocido como lord Rayleigh, James Jeans y Max Planck, que fue, como veremos en otro capítulo, quien lo resolvió definitivamente. [23]
He señalado al comienzo de esta sección que la presencia de un elevado número de líneas en los espectros de radiación planteaba un problema para saber qué era realmente la materia. La idea de explicar la estructura de la materia en función de «unidades elementales» adquirió fuerza durante la segunda mitad del siglo XIX, a pesar de que cuando terminaba aquella centuria, en 1898, William Crookes aireaba sus dudas al respecto en el discurso que pronunció en el Congreso de la British Association for the Advancement of Science, celebrado aquel año en Bristol, y que él mismo presidió (Crookes, 1899: 20): «Hace varios años reflexioné sobre la constitución de la materia en relación con lo que me aventuré en llamar el cuarto estado. Me esforcé en sondear el tormentoso misterio del átomo. ¿Qué es el átomo? ¿Es el mismo átomo el que aparece en los estados sólido, líquido o gaseoso? Cada uno de estos estados involucra ideas que tienen que ver solamente con vastas agrupaciones de átomos. Si, como Newton, intentamos visualizar a un átomo como un cuerpo duro, esférico, o, como Boscovitch y Faraday, considerarlo un centro de fuerza, o aceptar la teoría atómica vorticial de lord Kelvin, un átomo aislado es una entidad desconocida difícil de concebir».
La última posibilidad que citaba Crookes, la de los vórtices (estructuras en forma de anillo que se dan en fluidos y que debido a sus propiedades de estabilidad tienen algunas características similares a las que, en principio, se asocian a los átomos), llegó a desarrollarse con cierto detalle desde el punto de vista teórico. En A Treatise on the Motion of Vortex Rings, obra con la que ganó el Premio Adams de la Universidad de Cambridge en 1882, J. J. Thomson (1883) intentó avanzar por ese camino. El entusiasmo que sentía entonces por aquel planteamiento queda patente en las primeras líneas de su texto, en el que se lee (Thomson, 1883: 1): «La teoría de que las propiedades de los cuerpos se pueden explicar suponiendo que la materia es una colección de líneas vorticiales en un fluido perfecto que llena el Universo, ha hecho que el tema del movimiento vorticial constituya en la actualidad la rama más interesante e importante de la Hidrodinámica. Esta teoría, que fue propuesta en primer lugar por sir William Thomson, como consecuencia de los resultados obtenidos por Helmholtz en su célebre artículo “Über Integrale der hydrodynamischen Gleichungen welche den Wirbelbewegungen entsprechen” [1858], tiene a priori muchas posibilidades a su favor: así, el anillo vorticial posee obviamente muchas de las cualidades esenciales de una molécula que tenga que constituir la base de una teoría dinámica de los gases. Es indestructible e indivisible; la resistencia del anillo vorticial y el volumen de líquido que lo componen permanece siempre inalterado, y, si se puede hacer un nudo con algún anillo vorticial o si dos de estos anillos se pueden enlazar de alguna manera, mantendrán siempre el mismo tipo de nudo o de enlace. Estas propiedades parecen suministrarnos buen material para explicar las propiedades permanentes de la molécula».
No obstante, tras sus trabajos sobre el electrón de 1897, J. J. Thomson perdió interés en este modelo en el que era difícil incorporar al portador de la unidad de carga eléctrica que con tanto esfuerzo había identificado. Más tarde, ya en el nuevo siglo, encontró una nueva posibilidad, a la que se dedicó con ahínco durante aproximadamente una década: el denominado modelo del «pastel de pasas».
Se trataba de un modelo de átomo que bebía en dos fuentes: la primera, la más importante, los experimentos llevados a cabo por el profesor de Física del Stevens Institute of Technology, el estadounidense Alfred Marshall Mayer (1836-1897). Utilizando corchos en los que había introducido agujas magnéticas y haciéndolos flotar en agua en presencia de un poderoso electroimán, Mayer (1878) observó que se producían configuraciones estables que sugerían la manera en que se pueden agrupar los átomos de moléculas en la formación de compuestos definidos.
La segunda fuente que inspiró a J. J. Thomson fue la forma en la que Kelvin (1902) representó el átomo de radio: como una esfera difusa de electricidad positiva, en cuyo interior se encontraban unos pocos electrones en equilibrio estático. Kelvin se entusiasmó tanto con la idea —según él, resucitaba el viejo modelo de Aepinus—, con la posibilidad de que su modelo explicase el porqué de la radiactividad, que aprovechó la magnífica oportunidad que representaba el Congreso de la British Association for the Advancement of Science celebrado en septiembre de 1903 en Southport para difundirla: «Volviendo al descubrimiento inicial de Becquerel —manifestó entonces (Kelvin, 1904 b: 536)—, utilizando el uranio y sales de uranio, de la conductividad eléctrica inducida en el aire y otros gases por una sustancia radiactiva, disponemos de una explicación inmediata en la vieja doctrina de Aepinus que yo resucité en el mundo atómico. Los movimientos térmicos habituales en el interior de cualquier sólido, líquido o gas deben producir emisiones ocasionales de electriones [el nombre que Kelvin empleaba todavía para los electrones] de la sustancia, y el movimiento de estos electriones bajo la influencia de fuerza electrostática tiene que contribuir a la conductividad eléctrica del gas […]. Por consiguiente, toda sustancia, sólida, líquida o gaseosa tiene que poseer radio-actividad». El viejo león (Kelvin tenía entonces 79 años, sólo viviría cuatro más) se equivocaba completamente en su predicción, surgida, por supuesto, de la física clásica, pero ello no importa porque sirvió para que J. J. Thomson reanudase sus antiguos esfuerzos por comprender la estructura atómica.
Aunque ya en 1903 J. J. Thomson comenzó a presentar sus ideas al respecto, fue en su libro Electricity and Matter de 1904 donde explicó de forma particularmente clara su modelo del «pastel de pasas» y lo que éste podía aportar a la comprensión de los fenómenos radiactivos. En él señalaba que los electrones (todavía «corpúsculos» en su terminología) se encontraban en el interior de «una esfera de electrización uniforme positiva que produce una fuerza atractiva radial en cada corpúsculo proporcional a su distancia al centro de la esfera» (Thomson, 1904, 1908: 88). El átomo de hidrógeno lo representaba mediante una esfera cargada positivamente, de radio unos 10-8 cm, con un electrón oscilando en el centro de la misma. A partir de ahí, para átomos con un número mayor de electrones, había que disponer los electrones en el interior de la esfera correspondiente de manera que estuviesen en equilibrio bajo la atracción que suponía la interacción con la carga positiva de la esfera, en la que se encontraban sumergidos, y la repulsión producida por los otros electrones con carga del mismo signo, todo teniendo en cuenta, naturalmente, el movimiento de los propios electrones. En el caso en que fueran sólo dos los electrones, el problema era de fácil solución y Thomson daba la distancia a que se encontraban. Con tres electrones existiría equilibrio cuando estuviesen situados en los vértices de un triángulo equilátero, mientras que con cuatro sería un tetraedro regular con su centro en el de la esfera. El problema se iba haciendo cada vez más difícil y menores las posibilidades de que existiesen configuraciones estables, según crecía el número de electrones.
Thomson también intentó relacionar su modelo con la radiactividad, con las propiedades periódicas de los elementos y con las líneas espectrales que se observaban, pero todos estos problemas tuvieron que aguardar a otros modelos atómicos, a, en concreto, el que, construyendo sobre el que Ernest Rutherford propuso en 1911, presentó en 1913 Niels Bohr.Contenido:
§. La teoría del electrónNadie reaccionó con mayor dedicación al reto que imponía el experimento de Michelson y Morley que el físico holandés Hendrik Antoon Lorentz (1853-1928), pero sería equívoco decir, simplemente, que «reaccionó ante el experimento de Michelson y Morley», porque el programa de investigación de Lorentz fue, como explicaré enseguida, mucho más amplio y ambicioso.
§. Las transformaciones de Lorentz (1892)
§. Contracción de longitudes: Fitzgerald y Lorentz
§. Las transformaciones de Lorentz (1895)
§. Las transformaciones de Lorentz (1904)
Hendrik A. Lorentz nació en Arnhem (Holanda) el 18 de julio de 1853, pero una buena parte de su vida académica transcurrió en Leiden, la pequeña ciudad holandesa que albergaba, y alberga, una sobresaliente universidad. En ella estudió entre 1870 y 1872 y también en ella se doctoró en 1875, bajo la dirección de P. L. Rijke, por entonces el único catedrático de Física en Leiden, y en ella fue catedrático de Física teórica desde 1878 (la cátedra surgió cuando en 1877 se decidió dividir la que ocupaba Rijke en dos, una, que mantuvo éste, dedicada a Física experimental, y la otra, la que ocupó Lorentz, que se convirtió así en el primer catedrático de Física teórica que existió en Holanda). Durante los primeros veinte años de su carrera, concentrado en sus investigaciones, Lorentz apenas mantuvo contactos directos con físicos extranjeros: por lo que se sabe, el primero al que visitó, en 1897, durante unas vacaciones en Alemania, fue Woldemar Voigt, pero, a partir de entonces, con bastante rapidez, se convirtió en lo que fue finalmente: el gran líder de la física mundial. En 1902, recibió el Premio Nobel de Física, que compartió con su colega de Ámsterdam, Pieter Zeeman.[24] El galardón fue por el descubrimiento (Zeeman) de lo que se conoce como «efecto Zeeman» (desdoblamiento de líneas espectrales cuando el elemento en cuestión se pone en presencia de un campo magnético) y por su explicación teórica (Lorentz).
Agobiado por una excesiva carga docente, en 1912 Lorentz decidió aceptar la oferta de la Fundación Teyler, de Haarlem, situada a veinte kilómetros de Ámsterdam, para ser conservador del laboratorio de Física de dicha institución, aunque mantuvo relación con Leiden, primero como profesor extraordinario y, después, tras alcanzar la edad reglamentaria de jubilación, como «profesor especial». Hasta su fallecimiento, dio clases un día a la semana, los lunes, sobre desarrollos recientes en la física. [25]
Pero la vida de Lorentz no fue sólo destacada por su trayectoria científica.

Hendrik Antoon Lorentz.
Estoy ante esta tumba, la tumba del hombre más grande y noble de nuestra época, como representante del mundo académico de habla alemana y, en particular, de la Academia Prusiana de Ciencias, pero, sobre todo, como discípulo y admirador fervoroso. Su genio marcó la ruta desde la obra de Maxwell a los descubrimientos de la física contemporánea, a la que él aportó importantes elementos y métodos.Ahora que ya sabemos algo de la biografía de Lorentz, pasemos a sus contribuciones científicas relacionadas con la teoría de la relatividad especial.
Moldeó su vida como una exquisita obra de arte en los más mínimos detalles. Su infatigable bondad, su generosidad y su sentido de la justicia, unidos a una comprensión intuitiva y segura de las gentes y de los asuntos humanos, lo convirtieron en dirigente en todas las esferas que abordó. Era seguido de buen grado, pues resultaba claro que no se proponía dominar sino sólo servir. Su obra y su ejemplo seguirán vivos como inspiración durante generaciones.
§. La teoría del electrón
Desde el comienzo de su carrera, Lorentz inició un programa de investigación cuyo propósito era unificar la estructura de la física. Su formación como físico se basaba en dos pilares: Maxwell y Fresnel. Según cuenta su hija (Haas-Lorentz, 1957: 31-32), Lorentz se familiarizó siendo estudiante con los trabajos de Maxwell, que se recibían regularmente en el laboratorio de Física de Leiden. De esta manera, se convirtió en uno de los pocos holandeses que leía y comprendía a Maxwell (ya vimos las dificultades que tenía entender su electrodinámica). El interés que sentía por los trabajos del físico escocés se convertía en auténtico amor en el caso de Fresnel. Como prueba de ello citaré un pasaje de una conferencia que Lorentz pronunció en 1927 con ocasión del centenario de la muerte de Fresnel (Haas-Lorentz, 1957: 32):
En lo que a mí se refiere, debo decir que Fresnel ha sido uno de los maestros a quienes más debo y todavía me acuerdo que cuando, ya hace más de medio siglo, mis recursos me permitieron comprar un libro de física algo más extenso que los manuales ordinarios, conseguí la edición de Émile Verdet de las «Obras completas» de Augustin Fresnel. Cuando leí la «Introducción» de Verdet, mi admiración y mi respeto se mezclaron con amor y afecto ¡y qué alegría la que experimenté cuando pude leer al propio Fresnel y estudiar sus bellos trabajos, admirables por su simplicidad!El primer producto de estos intereses de Lorentz fue su tesis doctoral, titulada «Sobre la reflexión y la refracción de la luz» y defendida en Leiden el 11 de diciembre de 1875.[26] La tesis comienza con una discusión crítica de la teoría de la luz de Fresnel. Es interesante citar el comienzo de este primer capítulo (Lorentz, 1875, 1935 b: 195):
La teoría ondulatoria admitida hasta el presente y que, para abreviar, denominaré en lo que sigue «la teoría de Fresnel», se asienta, como se dice, sobre la hipótesis de que la luz está constituida por las vibraciones de un medio elástico, el éter, aunque se está obligado a atribuirle propiedades análogas a las de los sólidos si se desea estar en disposición de explicar la existencia de vibraciones transversales. [27]Como vemos, Fresnel se veía obligado a atribuir al éter «propiedades análogas a las de los sólidos». Sin embargo, esto era, obviamente, muy problemático. Al prescindir de un éter, Einstein resolvió este problema, pero aún no he llegado a este punto.
A pesar de las objeciones que suscita esta concepción del éter, hasta ahora se pueden contar en el activo de la teoría de Fresnel tantas victorias sobre las antiguas teorías rivales que estamos tentados a otorgarle un crédito ilimitado. Creo, sin embargo, que es útil examinar hasta qué punto lo merece y en qué medida la verosimilitud de las hipótesis sobre las que se asienta deja de desear.
En el resto de su tesis, Lorentz analizaba la teoría de la luz según la electrodinámica de Maxwell; en concreto, la explicación que se podía dar dentro de esta teoría a los fenómenos de reflexión y refracción. De lo que se trataba era de ver hasta qué punto la nueva teoría del campo electromagnético que había ofrecido Maxwell era capaz de explicar fenómenos bien asentados en la física. El programa de investigación que Lorentz desarrolló a lo largo de toda su carrera estaba dirigido, básicamente, a este fin. En el último párrafo de la tesis, Lorentz (1935 b: 383) hacía hincapié en que todavía quedaban muchos problemas que resolver:
Lejos de haber adquirido su forma definitiva, la teoría de Maxwell exige todavía esclarecer numerosos puntos oscuros, de los que hasta ahora no podemos dar más que una explicación evidentemente imperfecta. Pero una parte del interés que ofrece toda evolución de nuestro conocimiento de la naturaleza reside precisamente en mostrarnos claramente lo que todavía queda por hacer y en señalarnos la dirección en la que se deben orientar las investigaciones futuras para que lleguen a buen puerto.En los aproximadamente quince años siguientes a su tesis doctoral, Lorentz se ocupó de otros aspectos de la teoría maxwelliana; por ejemplo, «El fenómeno descubierto por Hall y la rotación electromagnética del plano de polarización de la luz» (Lorentz, 1884). Un momento en especial importante para la dirección futura de sus investigaciones tuvo lugar en 1886, año en que publicó un artículo titulado «Acerca de la influencia del movimiento de la Tierra sobre los fenómenos luminosos» (Lorentz, 1886), que ya apareció en el capítulo precedente. Fue allí donde comenzaron a surgir los temas que lo conducirían a descubrir las transformaciones de coordenadas y tiempo entre sistemas de referencia inerciales que hoy denominamos «transformaciones de Lorentz». El problema de fondo, tema de debate en ese artículo, es el de «en qué grado el éter participa del movimiento de los cuerpos que lo atraviesan» o, en otras palabras, el coeficiente de arrastre parcial de Fresnel. La posición de Lorentz era la de negar que existiese arrastre. Suponía que el éter era el mismo dentro y fuera de la materia, lo que significaba entrar en conflicto. En cuanto a cómo explicar semejante efecto nulo de la materia en el éter, en 1886 Lorentz todavía no tenía las ideas demasiado claras y menos aún si tenemos en cuenta que su posición final sería la de vincular ese efecto a una teoría —la «teoría del electrón»—, en la que desempeñaban un papel central partículas cargadas (en este sentido, se trataba de una teoría «atomística»). Véase, si no, lo que escribía entonces (Lorentz, 1886, 1937 a: 203): «Es posible que lo que llamamos un átomo pueda ocupar debidamente el mismo lugar que una parte del éter; que, por ejemplo, un átomo no sea otra cosa que una modificación local del estado de ese medio, y entonces se podría comprender que un átomo pueda moverse sin que el éter de su alrededor se vea arrastrado».
Seis años después, Lorentz tenía las ideas más claras. En 1892, en efecto, apareció un artículo con el que abría con claridad una nueva etapa de su programa. Se titulaba «La teoría electromagnética de Maxwell y su aplicación a los cuerpos en movimiento» (Lorentz, 1892 a) y en él los problemas puramente ópticos se ven netamente trascendidos, abriéndose como una línea de investigación diferenciada la «electrodinámica de los cuerpos en movimiento», cuya culminación sería la teoría de la relatividad especial. En las «Consideraciones preliminares» del capítulo IV («Teoría de un sistema de partículas cargadas que se desplazan a través del éter sin arrastrar a ese medio»), encontramos una buena explicación del enfoque en el que basaría sus trabajos a partir de entonces (Lorentz, 1892 a, 1936: 228-229):
Me ha parecido útil desarrollar una teoría de los fenómenos electromagnéticos basada en la idea de una materia ponderable [esto es, que posee peso, que se puede pesar] perfectamente permeable al éter y que se puede desplazar sin comunicar a éste el menor movimiento. Se pueden invocar ciertos hechos de la óptica en apoyo de esta hipótesis y, aunque la duda esté todavía permitida, es importante examinar todas las consecuencias de esta manera de ver. Desgraciadamente, se presenta desde el comienzo una dificultad muy seria. ¿Cómo, en efecto, podemos hacernos una idea precisa de un cuerpo que, desplazándose en el seno del éter y atravesado, en consecuencia, por este medio, es al mismo tiempo la sede de una corriente eléctrica o de un fenómeno dieléctrico? Para superar la dificultad tanto como sea posible, he buscado relacionar todos los fenómenos con uno solo, el más simple de todos, y que no es otra cosa que el movimiento de un cuerpo electrizado. Se verá que, sin profundizar en la relación entre la materia ponderable y el éter, se puede establecer un sistema de ecuaciones adecuadas para describir lo que sucede en un sistema de tales cuerpos. Estas ecuaciones se prestan a aplicaciones muy diversas que serán el objeto de los siguientes capítulos; nos proporcionarán una deducción teórica del «coeficiente de arrastre» que introdujo Fresnel en la teoría de la aberración. Bastará, en tales aplicaciones, con admitir que todos los cuerpos ponderables contienen una multitud de pequeñas partículas con cargas positivas o negativas y que los fenómenos eléctricos son producidos por el desplazamiento de estas partículas. Según esta manera de ver, una carga eléctrica está constituida por un exceso de partículas cuyas cargas tienen un signo determinado, una corriente eléctrica es una verdadera corriente de estos corpúsculos y, en los aislantes ponderables, existirá «desplazamiento dieléctrico» cuando las partículas electrizadas que contiene son alejadas de sus posiciones de equilibrio.Hoy, como dijo Einstein (1928; Sánchez Ron, ed., 2005: 101), las ideas que Lorentz presentaba en la cita anterior «han llegado a ser tan familiares que resulta difícil advertir lo audaces que fueron y hasta qué punto han simplificado los fundamentos de la física». En efecto, lo que pretendía Lorentz era explicar los fenómenos electromagnéticos en base a una serie de «partículas» cargadas que interaccionaban con el campo electromagnético maxwelliano. Esas «partículas», o «corpúsculos», serían los «electrones», que aunque aún no habían sido identificados (lo haría J. J. Thomson en 1897), ya se perfilaban en el horizonte (por ejemplo, en el fenómeno de la electrolisis), de ahí que finalmente la construcción de Lorentz se conociese como «teoría del electrón».
En realidad, como el propio Lorentz (1892 a, 1936: 229) reconocía, sus hipótesis no tenían «nada de nuevo en lo que concierne a los electrolitos» y ofrecían «una cierta analogía con las ideas sobre los conductores metálicos que se daban en la antigua teoría de la electricidad». Basándose en corpúsculos cargados, sus ideas estaban, pensaba, emparentadas con las de Maxwell, Weber y Clausius. Los dos últimos, en concreto, habían desarrollado teorías eléctricas basadas en la existencia de átomos eléctricos. Ahora bien, en esas teorías las fuerzas existentes entre dos partículas eléctricas eran el resultado de una interacción entre ambas que no requería ningún medio para su propagación y que dependía solamente de posiciones, velocidades y aceleraciones relativas de las partículas. Por el contrario, Lorentz, que trataba de combinar la noción discreta de electricidad con las ecuaciones de Maxwell, proponía que las partículas eléctricas interaccionaban con el éter, creando perturbaciones que, a su vez, afectaban a otras partículas (Lorentz, 1892 a, 1936: 229):
Las fórmulas […] que expresamos nos proporcionan por una parte la fuerza que el éter ejerce sobre una de estas partículas. Si esta fuerza depende del movimiento de las otras partículas, es porque este movimiento ha modificado el estado del éter; asimismo, el valor de la fuerza, en un cierto instante, no está determinado por las velocidades y aceleraciones que estos pequeños cuerpos tienen en aquel instante; en realidad, se origina en movimientos que han tenido lugar antes.Se estaba refiriendo aquí a lo que más tarde se denominaría fuerza de Lorentz y que ya introdujo en su artículo de 1892, esto es (utilizando notación moderna):


Siete años más tarde, en 1899, dos años después de que J. J. Thomson hubiese identificado el electrón, Lorentz (1899, 1937 b: 139) presentaba con mayor claridad la base de su «teoría del electrón»:
En las investigaciones precedentes, he admitido que todos los fenómenos eléctricos y ópticos, presentados por los cuerpos ponderables, son producidos por pequeñas partículas cargadas (electrones ) que, en un dieléctrico, están ligadas a posiciones de equilibrio fijas, pero que pueden moverse libremente en los conductores, salvo una resistencia comparable a un frotamiento. Según esta manera de ver, una corriente eléctrica no sería otra cosa que un movimiento progresivo de estos electrones, y la polarización dieléctrica de un medio no conductor, un desplazamiento de sus posiciones de equilibrio. He supuesto que los electrones se pueden mover sin arrastrar el éter, para el que son perfectamente permeables.En su momento, se trataba de ideas novedosas, hoy son como la leche materna: algo del todo natural.
§. Las transformaciones de Lorentz (1892)
En ese mismo artículo, nos encontramos también con lo que es, aparte de que él no comprendiese completamente el significado último (tal como lo fijaría Einstein) de lo que hizo, uno de los grandes logros de Lorentz: el cambio de las clásicas transformaciones de Galileo
x ' = x – v·× t
y ' = y
z ' = z
t' = t
entre sistemas de referencia inerciales que se mueven entre sí con una velocidad constante v, a otras en la que incluso el tiempo cambiaba. Esa transformación —en el caso, habitual, en que se supone que la velocidad de traslación entre los dos sistemas de referencia es paralela al eje de las x— aparece en el capítulo VII («Propagación de la luz en un dieléctrico ponderable que se encuentra en movimiento»). Expresado en la notación actual, la transformación en cuestión es la siguiente:El éterEl éter, como vemos, desempeñó un papel central en la física de H. A. Lorentz, pero no sólo en él. Con el avance de los estudios sobre la electricidad y el magnetismo y, en particular, con la aparición de la electrodinámica de Maxwell, este concepto pasó a ocupar un lugar preferente en la física, a pesar de que no se comprendía realmente su naturaleza. Son muchos los ejemplos que podría citar que dan fe del interés y la apreciación con que durante las últimas décadas del siglo XIX y comienzos del XX, se recibió el concepto del éter; aquí seleccionaré uno procedente de una conferencia que pronunció uno de los primeros y más importantes «físicos modernos» estadounidenses, Henry A. Rowland (1848-1901). Rowland ocupó la primera cátedra de Física que se creó en la Universidad Johns Hopkins (Baltimore), fue el primer presidente de la American Physical Society y todavía es recordado hoy por sus logros en la preparación de redes de difracción.
La conferencia en cuestión es una que Rowland pronunció el 22 de mayo de 1889 en el American Institute of Electrical Engineers. Se tituló «Ideas modernas relativas a las corrientes eléctricas» y contiene significativos pasajes acerca del éter, como los siguientes (Rowland, 1889, 1902: 655, 667):
«Se nos impone la cuestión de cómo tiene lugar esta acción [básicamente, el efecto que la descarga de una botella de Leiden produce en un cable]. ¿Cómo es posible transmitir tanto poder a tal distancia a través de espacio aparentemente sin ocupar? De acuerdo con nuestra moderna teoría de la física, debe existir algún medio implicado en esta transmisión. Sabemos que no es el aire, porque el mismo efecto tiene lugar en el vacío y, por consiguiente, debemos recurrir a ese medio que transmite la luz y que hemos denominado el éter. Ese medio que se supone se extiende inalterado a través de todo el espacio, cuya existencia es muy cierta pero cuyas propiedades todavía no hemos imaginado más que vagamente […].
En la ciencia, el éter luminífero es, en la actualidad, un elemento mucho más importante que el aire que respiramos. Estamos rodeados constantemente por los dos y la presencia del aire es manifiesta para todos nosotros: lo sentimos, oímos con su ayuda e incluso lo vemos, en circunstancias favorables, y la velocidad de su movimiento al igual que la cantidad de humedad que transporta es un tema de conversación constante para el conjunto de la humanidad. Por el contrario, el éter luminífero elude todos nuestros sentidos y sólo es con la imaginación, con el ojo de la mente, que se puede percibir su presencia. Con su ayuda al transportar las vibraciones que llamamos luz, somos capaces de ver el mundo que nos rodea y, mediante sus otros movimientos que producen magnetismo, el marinero dirige su barco a través de la más oscura de las noches, cuando los cuerpos celestes están escondidos de la vista. Cuando hablamos por un teléfono, las vibraciones de la voz son transportadas hacia el punto distante por ondas en el éter luminífero, que allí forman de nuevo las ondas de sonido del aire. Cuando utilizamos la luz eléctrica para iluminar nuestras calles, es el éter luminífero el que lleva la energía a lo largo de los cables, al igual que la transmite a nuestros ojos una vez que ha asumido la forma de luz. Nos subimos a los tranvías eléctricos y sentimos que se mueven con el poder de muchos caballos y de nuevo es el éter luminífero, cuya inmensa fuerza hemos sometido a nuestro control y hecho que sirva a nuestros deseos. Ya no es un débil, incierta especie de medio, sino un majestuoso poder que se extiende a través de todo el espacio y que une todo el Universo, de forma que se convierte en una unidad viva en la que no se puede cambiar ninguna parte sin implicar, en última instancia, todas las restantes partes».
X ' = γx, y' = y, z' = z, t' = t– (v/c2)·γ2·x (3)
donde γ = (1 – v2/c2)-½ yc la velocidad de la luz en el éter en reposo.[29] Como vemos, aún no se trataba de las transformaciones de Lorentz sino de una aproximación a ellas.Lorentz introdujo esta nueva transformación en relación con el problema de calcular el campo debido a una densidad de carga en movimiento con respecto al éter. En principio, cabía esperar que si se utilizaban las ecuaciones de Maxwell, válidas en un sistema de referencia, S, de coordenadas (x, y, z, t), en el que el éter está en reposo, se podría determinar el campo electromagnético una vez conocidas las cargas, posiciones y velocidades de los electrones. El procedimiento, puramente matemático, que Lorentz utilizaba en 1892 es el siguiente: manipulando las ecuaciones de Maxwell, obtenía ecuaciones en derivadas parciales de segundo orden (ecuaciones de onda) del tipo

![]()
Bajo el encabezado «Teoremas matemáticos», Lorentz (1892 a, 1936: 273-278) demostraba que


x' = γ·xr, y' = yr, z' =zr, t' =tr – (v/c2)·γ2·xr (7)
De esta manera (6), volvía a cambiar, pasando ahora a tomar la forma,

Entre otras propiedades de (8) se encuentra el que en Q' la velocidad de la luz no es c sino c·(1 – v2/ c2)½, que coincide con c si despreciamos términos de orden(v/c)2 y superiores, pero esto no era, en principio, sorprendente, porque, para Lorentz, la velocidad de la luz tenía el valor c únicamente en el sistema de referencia en el que el éter estaba en reposo.
Tras introducir las transformaciones (7), Lorentz indicaba que en el resto de su artículo todos los cálculos serían válidos únicamente hasta orden (v/c): «Es aquí —escribía (Lorentz, 1892 a, 1936: 304)— el lugar en que se debe introducir una simplificación que nos será muy útil en lo que sigue. Esta simplificación consiste en considerar la velocidad v de la materia ponderable tan pequeña, en comparación de la velocidad de la luz, que podemos despreciar el cuadrado de v/ c». Como argumentos citaba el que de esa manera los cálculos se simplificaban y, además, que así podía demostrar un, para él muy importante, «teorema general», que, básicamente, decía que en primer orden en (v/c) el campo electromagnético de las partículas que forman la materia tiene la misma forma en S que en un sistema de referencia relacionado con Sr a través de las ecuaciones
x ' = xr, y' = yr, z' = zr, t' = t– (v/c2 )·xr (9)
Estas ecuaciones son, naturalmente, las que se obtienen de (8) cuando se toma la aproximación mencionada, esto es, cuando despreciamos (v/ c)2. Salta a la vista que, en orden (v/c), las coordenadas espaciales de Q' coinciden con las (galileanas) de Sr, siendo el único cambio con respecto a este último sistema de referencia la sustitución del tiempo absoluto t por una nueva coordenada en la que se mezclan t y la coordenada xr. Sin embargo, en 1892, Lorentz no prestaba ninguna atención a este hecho, al que otorgaba un significado puramente matemático. Hoy sabemos que ahí estaba prácticamente el germen de la teoría de la relatividad especial que, como veremos más adelante, es más una teoría del tiempo que del espacio.La teoría que Lorentz había desarrollado en «La teoría electromagnética de Maxwell» presentaba aspectos satisfactorios, pero existían problemas, entre ellos, el más importante lo constituía el resultado negativo (hasta segundo orden en v/c) del experimento de Michelson y Morley de 1887. Así, el 18 de agosto de 1892 Lorentz escribía a lord Rayleigh:[30]
La hipótesis de Fresnel, tomada junto a su coeficiente (1 – 1/n2), serviría admirablemente para dar cuenta de todos los fenómenos observados si no fuese por el experimento del interferómetro de Michelson, que, como sabe, ha sido repetido después de que yo publicase algunos comentarios acerca de su forma original y que parece en efecto contradecir las opiniones de Fresnel. Estoy totalmente decidido a eliminar esta contradicción, pero aun así creo que, si abandonásemos la teoría de Fresnel, no tendríamos teoría adecuada en absoluto.
Estoy realmente perdido acerca de cómo eliminar esta contradicción y, no obstante, creo que si abandonásemos la teoría de Fresnel, no tendríamos en absoluto una teoría para la aberración, siendo irreconciliables entre sí las condiciones que el señor Stokes ha impuesto sobre el movimiento del éter. [31]
¿Puede existir algún punto en la teoría del experimento del señor Michelson que ha pasado desapercibido todavía?
Entretanto, me he dedicado a aplicar la teoría electromagnética a un cuerpo que se mueve a través del éter sin arrastrar a este medio con él; mi artículo está ahora en prensa y espero poder ofrecerle una copia dentro de pocas semanas. Adoptando una suposición que puede parecer algo chocante, pero que creo puede servir como una hipótesis de trabajo, he encontrado el valor correcto (1 – 1/n2) del coeficiente F [resnel]. Espero aplicar a otros fenómenos las ecuaciones que se obtienen, como, por ejemplo, al experimento de Fizeau sobre la rotación del plano de polarización debida a un grupo de placas de vidrio.
§. Contracción de longitudes: FitzGerald y Lorentz
Los sentimientos («adoptando una suposición que puede parecer algo chocante») que experimentaba Lorentz estaban justificados. El artículo al que se refería también había aparecido en 1892 (lo había enviado a la revista el 26 de noviembre) y se titulaba «El movimiento relativo de la Tierra y el Éter»; en él Lorentz (1892 b) proponía la idea de que los brazos del interferómetro utilizados en experimentos como el de Michelson y Morley experimentaban una contracción en la dirección del movimiento. Veamos su argumentación (Lorentz, 1892 b, 1937 a: 221):
Ahora bien, algún cambio en la longitud de los brazos del primer experimento de Michelson y en las dimensiones de la tabla del segundo no es, tal como yo lo veo, inconcebible. ¿Qué determina el tamaño y la forma de un cuerpo sólido? Evidentemente, la intensidad de las fuerzas moleculares: cualquier causa que altere éstas influenciarán en la forma y dimensiones. Hoy día podemos suponer con seguridad que las fuerzas eléctrica y magnética actúan mediante la intervención del éter. No es aventurado suponer que sucede lo mismo con las fuerzas moleculares, pero entonces puede cambiar todo si la línea que une dos partículas materiales que se desplazan a través del éter es paralela o perpendicular a la dirección de ese desplazamiento. Se puede comprobar con facilidad que no se espera una influencia del orden v/c, pero que no se puede excluir una influencia del orden de v2/c2y esto es precisamente lo que necesitamos.Cuando escribió este artículo, Lorentz no sabía que hacía tres años un físico irlandés del Trinity College de Dublín llamado George Francis FitzGerald (1851-1901) había propuesto la misma hipótesis en una «carta al editor» que apareció en el número del 17 de mayo de 1889 de la revista estadounidense Science.[32] Dada la brevedad de la carta en cuestión (apenas media página), la reproduciré a continuación; se titulaba «El éter y la atmósfera de la Tierra» (FitzGerald, 1889):
He leído con mucho interés el maravillosamente delicado experimento de los señores Michelson y Morley en el que intentan resolver la importante cuestión de en qué medida el éter es arrastrado por la Tierra. Sus resultados parecen oponerse a otros experimentos demostrando que en el aire el éter sólo puede ser arrastrado de una manera inapreciable. Yo sugeriría que casi la única hipótesis que puede reconciliar esta oposición es que la longitud de los cuerpos materiales cambia, según se muevan a lo largo del éter o a través de él, en una cantidad que depende del cuadrado del cociente entre sus velocidades y la de la luz. Sabemos que las fuerzas eléctricas se ven afectadas por el movimiento de los cuerpos electrizados con respecto al éter y parece que no es una suposición irrazonable que las fuerzas moleculares se vean afectadas por el movimiento y que el tamaño de un cuerpo se altere consiguientemente. Sería muy importante si se realizasen en alguna de las partes ecuatoriales de la Tierra experimentos seculares sobre atracciones entre cuerpos electrizados permanentemente, tales como en un muy delicado electrómetro de cuadrante, para observar si se produce alguna variación diurna y anual en la atracción —diurna debido a que la rotación de la Tierra añade y resta a su velocidad orbital; y anual análogamente debido a su velocidad orbital y al movimiento del sistema solar.Se ha dicho repetidas veces que la propuesta de FitzGerald fue puramente ad hoc, sin un sustrato teórico que lo apoyase (de hecho, así fue considerada también por sus contemporáneos), pero no es cierto: como ha explicado Bruce Hunt (1991: 193), FitzGerald pensaba que era probable que las fuerzas intermoleculares fueran electromagnéticas y que, como éstas, su movimiento en el éter les afectaba; parece, además, que tenía presente un resultado que había obtenido Heaviside: que la intensidad del campo eléctrico que rodeaba a una carga en movimiento se veía reducido en la dirección de movimiento de la carga a través del éter por un factor (1 – v2/c2)½, esto es, el mismo que requería la hipótesis de la contracción de longitudes. [33]
Como señalé, en 1892 Lorentz desconocía este artículo de FitzGerald. Cómo llegó a saber de él, se debió a lord Rayleigh. El 20 de agosto de 1892, Rayleigh respondía a la carta que dos días antes le había enviado Lorentz (la rapidez del servicio postal en aquellos tiempos era admirable, mucho mejor que la de esos servicios en la actualidad; Lorentz escribió desde Leiden, y Rayleigh estaba en Witham, Essex). En su carta, Rayleigh decía a Lorentz: [34]
Le agradezco mucho las copias de sus trabajos […].El artículo de Oliver Lodge (1851-1940), catedrático de Física en el University College de Liverpool y uno de los más conspicuos defensores del concepto del éter, no había aparecido aún (de ahí el «está publicando»); lo haría el año siguiente, 1893, como Rayleigh anunciaba en las Philosophical Transactions de la Royal Society. Fue entonces, al leerlo, cuando Lorentz supo de la hipótesis de FitzGerald. Y el 10 de noviembre de 1894 escribía a FitzGerald: [35]
Estoy de acuerdo en que la cuestión de la aberración es muy obstinada. El profesor Lodge está publicando un artículo sobre el tema (en las Phil. Trans). que le puede interesar, aunque probablemente no esté de acuerdo totalmente con él.
Mi querido señor:Cuando leemos el artículo de Lodge al que se refería aquí Lorentz, nos encontramos que el pasaje en el que se habla de la «hipótesis» introducida por FitzGerald dice lo siguiente (Lodge, 1893: 749-750):
El profesor Lodge, en su «Aberration Problems» menciona una hipótesis que usted ha imaginado para dar cuenta del resultado negativo del experimento del señor Michelson. Hace algún tiempo yo llegué a la misma opinión, como puede usted haber visto en el número de losroceedings of the Dutch Academy of Sciences que tengo el honor de enviarle junto a esta carta.
Está en curso de publicación una memoria —de hecho aparecerá dentro de una semana— en la que trato todo el asunto de la aberración en relación con la teoría electromagnética de la luz, por lo que le agradecería mucho que me informase si su hipótesis ya ha sido publicada. He sido incapaz de encontrarla, pero aun así desearía referirme a ella.
El experimento de Michelson suscita una fuerte presuposición en favor de tal viscosidad [se refiere a una viscosidad del éter, o «viscosidad etérea»]; no obstante, es imaginable que su resultado negativo se pueda explicar de otras formas, una de las cuales ha sido propuesta ingeniosamente por el profesor FitzGerald, a saber, que la fuerza de cohesión entre moléculas y, por consiguiente, el tamaño de los cuerpos, puede ser una función de su dirección de su movimiento a través del éter y, por consiguiente, que la longitud y la anchura del bloque de piedra del pilar de Michelson se viesen afectadas de manera diferente, en lo que resultaría ser, bien accidentalmente o por algún motivo desconocido, una forma compensatoria.Cuatro días después de que Lorentz enviase su carta a FitzGerald, esto es, el 14 de noviembre, éste contestaba a su colega holandés: [36]
Mi querido señor:La elección de FitzGerald de publicar su carta en Science no fue, ciertamente, muy afortunada. Fundada en 1880, en Nueva York, por el periodista John Michaels, con el apoyo económico de, primero, Thomas Edison y, luego, de Alexander Graham Bell y de Gardiner G. Hubbard, suegro y socio de Bell, Science nunca consiguió suficientes suscriptores para mantenerse y apareció el último número de la que sería su primera etapa, en marzo de 1882. Un año después, el entomólogo Samuel H. Scudder la resucitó, con algún éxito al dedicarse preferentemente a cubrir las reuniones de las principales sociedades científicas estadounidenses, incluyendo la American Association for the Advancement of Science (AAAS), institución fundada en 1848 para promover la ciencia. Se advierte la huella de Graham Bell en el editorial del primer número de la nueva etapa (9 de febrero de 1893): «La investigación no es menos genuina, ni menos valiosa porque la verdad que descubre se pueda utilizar para el beneficio de la humanidad». Los científicos, se añadía, «deben dejar de lado todo prejuicio contra el hombre de patentes y aparatos prácticos y deberían estar preparados para dar la bienvenida al investigador sea cual sea el traje que vista».[38] No obstante, pronto volvieron los problemas económicos y, en 1894, se vendió Science al psicólogo James McKeen Cattell por quinientos dólares. En 1900, Cattell llegó a un acuerdo con el secretario de la AAAS, Leland O. Howard, para que Science se convirtiese en el órgano oficial de la asociación, aunque él mantuvo la propiedad. El acuerdo dio nueva vida a la revista, en la que comenzaron a aparecer artículos importantes. Finalmente, tras el fallecimiento de Cattell en 1944, la propiedad de Science pasó a la AAAS, bajo cuya protección continúa publicándose, siendo una de las revistas científicas (semanal) más prestigiosa del mundo.
Durante años he estado predicando y explicando sobre la doctrina que el experimento de Michelson demuestra y es una de las únicas maneras de probar que la longitud del cuerpo depende de cuánto se está moviendo a través del éter. Por lo que puedo recordar, un par de años después de que se publicasen los resultados de Michelson, escribí una carta a Science, la revista estadounidense que recientemente ha dejado de publicarse, explicando mi punto de vista, pero no sé si llegó a publicarse, ya que no he visto la revista casi desde entonces. Estoy bastante seguro de que su publicación [la de Lorentz] es por tanto anterior a cualquiera de las publicaciones impresas, ya que he consulado en los varios lugares en lo que pensaba que yo podía haber sido mencionada, pero no he encontrado que lo hicieran. Ciertamente, nunca escribí ningún artículo especial sobre ella, como debería haber hecho para información de otros, aparte de mis estudiantes.
Me alegra especialmente saber que usted está de acuerdo conmigo, ya que por aquí se han reído bastante de mi idea. Ni siquiera pude persuadir a mi propio discípulo, W. Preston, para que introdujera esta crítica en su libro sobre la luz publicado en 1890, aunque lo presioné para que lo hiciese y sólo fue después de reiteradas argumentaciones que induje al doctor Lodge a que lo mencionase en su artículo, pero ahora que lo tengo a usted como abogado y autoridad comenzaré a reírme de otros por mantener una idea diferente.[37]
George Francis FitzGeraldExpliqué con anterioridad que los trabajos sobre electromagnetismo que produjo James Clerk Maxwell y que contenían esa pieza preciosísima que son las ecuaciones de Maxwell resultaron muy difíciles de comprender para sus contemporáneos. La tarea de perfeccionar la teoría de Maxwell, explorando sus implicaciones y haciéndola más coherente y comprensible, recayó en un grupo de físicos a los que se denominó maxwellians («maxwellianos»). A la cabeza de ese grupo, liderándolo entre aproximadamente 1879 y 1894, figuraron George Francis FitzGerald (Dublín), Oliver Lodge (Liverpool), Oliver Heaviside (en Londres primero y después en Devon) y Heinrich Hertz (Karlsruhe y Bonn), más la que podríamos denominar «escuela de Cambridge», en la que habría que nombrar a Joseph Larmor, Richard Glazebrook y Joseph John Thomson. [39] De hecho, FitzGerald fue algo así como el eslabón, el «pegamento», que mantenía unido al grupo de maxwellianos: muchas de sus contribuciones más importantes a la ciencia se encuentran en cartas o se dieron en conversaciones con otros maxwellianos.
FitzGerald desarrolló toda su carrera en Dublín, más concretamente, en el Trinity College de esa ciudad irlandesa, donde estudió (entró en él con 16 años), donde se graduó —fue el primero de su promoción— en 1871 en Matemáticas y Ciencia experimental, donde fue tutor y donde obtuvo, en 1882, la cátedra Erasmus Smith de Filosofía natural y experimental, que mantuvo hasta su muerte en 1901. Su padre, William FitzGerald, fue catedrático de Filosofía moral, también en el Trinity (asimismo, fue obispo, protestante, de Cork), pero no parece que George heredase sus notables habilidades científicas y matemáticas de él, sí, tal vez, de la rama materna: Anne Stoney, su madre, era hermana del destacado físico George Johnstone Stoney (1826-1911), que en 1874 propuso la existencia de una «cantidad mínima de electricidad», a la que en 1891 dio el nombre de «electrón», que terminaría siendo utilizado para la carga elemental que J. J. Thomson identificó en 1897. Que poseyera una sólida formación matemática no es sorprendente, dada la tradición que en esta disciplina existía en el Trinity College, una institución que contaba entre sus antecesores nada menos que con William Rowan Hamilton.
La primera tarea que los maxwellianos tuvieron que acometer fue entender, desarrollar y simplificar A Treatise on Electricity and Magnetism (1873). En el Departamento de Física del Trinity College de Dublín se conserva el ejemplar de A Treatise que perteneció a FitzGerald (lo había comprado a un librero de Dublín a mediados de la década de 1870). Fue en él donde aprendió la teoría de Maxwell: el libro está lleno de anotaciones de FitzGerald que dan una magnífica idea de cómo fueron evolucionando sus ideas. Y así surgieron sus trabajos, entre los que destacan su teoría electromagnética de la reflexión y refracción óptica (fue el primero que se ocupó de esta cuestión; FitzGerald, 1879 a, 1880) y la demostración de que las corrientes variables generan ondas electromagnéticas (FitzGerald, 1879 b, 1882). Un buen resumen de la personalidad y obra de FitzGerald es la que ofrecieron Weaire y Coey (2009: 14) cuando escribieron: «FitzGerald tenía mucho en común con otro imponente filósofo natural de su tiempo, William Thomson, lord Kelvin. Ambos eran protestantes irlandeses (de confesiones diferentes), ambos eran unionistas irlandeses y ambos estaban fascinados por el “ubicuo éter” (aunque desde diferentes y, a veces, conflictivas perspectivas). Compartían una actitud realista, práctica ante la ciencia, junto a la creencia en su importancia económica. Ambos tenían la ventaja de una base excelente en la matemática moderna (esto es, francesa) de su tiempo y, con esa ventajosa base analítica, los dos fueron capaces de explorar un amplio rango de la Ciencia Física. A pesar de su competencia matemática, ambos desconfiaban de la sofisticación matemática. Los símbolos no eran sustitutos de los hechos, como advertían en su libro [Treatise on Natural Philosophy, 1867] Thomson y Tait, y FitzGerald clamaba contra los filósofos naturales continentales que sobre elaboraban sus teorías».
Para apreciar la amplia y realista idea que FitzGerald tenía de la ciencia, y terminar esta breve semblanza suya, citaré algunos pasajes de la conferencia inaugural que pronunció el 22 de febrero de 1901 (le quedaban pocos meses de vida) como presidente de la Sección de Dublín de la Institution of Electrical Engineers; sus palabras de entonces resuenan hoy más familiares aún (FitzGerald, 1900; Larmor ed., 1902 a: 48-499):Un laboratorio de física que gasta un par de cientos [de libras] al año en materiales, instrumentos y cosas por el estilo se considera bastante bien dotado. Yo desearía disponer de algo que se aproximase a este gasto en el Trinity College, Dublín. ¿Cuándo el pobre T. C. D. obtendrá crédito para desear hacer más, mucho más de lo que permite su muy limitado presupuesto? ¿Cuándo podremos esperar que el país o generosos benefactores aprendan que la ciencia a gran escala está en la base de la prosperidad material de la nación y que la ciencia a gran escala es muy cara? Pero ¿qué uso se puede hacer de doscientas libras al año para hacer experimentos a escala comercial? Una cifra de diez mil por año sería mucho más parecida a lo que se necesita y diez mil libras anuales se podrían gastar con mucho provecho en trabajos experimentales aquí en Irlanda en el asunto de utilizar nuestras turberas. Es muy probable que podría transmitirse a nuestras ciudades la energía de su combustión para dotarlas de luz y potencia, pero los experimentos preliminares están muy lejos de las posibilidades de un laboratorio científico y, aunque el éxito es muy probable, no es tan seguro como para conseguir la ayuda de capitalistas, que se considerarían muy mal tratados si se descubriese que fuese inevitable el fracaso. Si los capitalistas estuviesen educados decentemente y pudieran apreciar ellos mismos la situación científica, se podría contar con su ayuda, ya que sería posible que se acercasen a la especulación con los ojos abiertos. En el estado actual de la educación de los capitalistas en este país, éstos dependen completamente en sus juicios científicos de los especialistas, de los que no se debe esperar que aprecien completamente el lado de negocio del asunto. Pero ahí están cuestiones como el tranvía de tres cables, líneas telegráficas agujereadas, relés submarinos, aparatos solares y máquinas voladoras que lord Rayleigh considera que podrían construirse si se dispusiese de suficiente dinero y de tubos de vacío como medio de iluminación, así como de un sinnúmero de otros asuntos que ya están maduros para ser aplicados, por no decir nada de los innumerables descubrimientos científicos con posibles aplicaciones prácticas que todavía no han sido sugeridas.George Francis FitzGerald.
Aparte de estos laboratorios industriales, todos nuestros departamentos gubernamentales, como los del Ejército y la Armada, deberían disponer de organizaciones experimentales en las que los inventos que prometiesen tener éxito pudiesen ser desarrollados y comprobados con seriedad. La decisión de lo que debería probarse no debería dejarse a los meros oficiales, por muy distinguidos que sean, sino que deberían remitirse a asesores científicos independientes, personas que no se vean confundidas por tradiciones oficiales, sino que estén en contacto con los avances científicos y sean creyentes entusiastas en ellos. Si el país gasta un par de millones anuales en trabajo experimental de este tipo, obtendrá un gran fruto y no deberíamos encontrarnos desplazados por granjeros casi bárbaros.
Por qué FitzGerald decidió publicar su carta en Science, de la que ni siquiera obtuvo confirmación de su publicación y, menos aún, claro, separatas, es algo que ignoro. Posiblemente, esto explique el que «El éter y la atmósfera de la Tierra» tampoco aparezca reproducido en The Scientific Writings of the Late George Francis FitzGerald (Larmor, ed., 1902), lo que ciertamente tampoco ayudó a que su hipótesis de la contracción de longitudes recibiese el mérito que debía. [40]
§. Las transformaciones de Lorentz (1895)
Los artículos de Lorentz de 1892 constituyeron sólo uno de los primeros pasos en la búsqueda de una electrodinámica de los cuerpos en movimiento. Tres años más tarde publicaba su famoso Versuch einer Theorie der elektrischen und optischen Erscheinungen in bewegten Korpern ( Tratado sobre la teoría de los fenómenos eléctricos y ópticos en cuerpos en movimiento ). En este nuevo trabajo, Lorentz (1895) se proponía simplificar su teoría de 1892 y aplicarla a la resolución de diferentes problemas electromagnéticos en cuerpos en movimiento. En este sentido, puede decirse que conceptualmente el Versuch contiene pocas novedades.
La principal de estas novedades fue tomarse algo más en serio el cambio de la coordenada temporal, t. En concreto, para tratar problemas ópticos tomó como nexo entre S y Sr
xr = x – v·t, yr = y, zr = z, tL= t – (v /c2)·x (10)
ecuaciones que, como es patente, se pueden obtener a partir de las transformaciones de Galileo y de (3), quedándose en primer orden en v/c y escribiendo tL en lugar de t'. De nuevo, Lorentz no hizo ningún comentario acerca del cambio en la coordenada temporal, salvo dejar claro que lo consideraba un artificio matemático: a tL lo denominó «tiempo local» (Ortzeit), en contraposición al «tiempo general» o «verdadero» (allgemeine Zeit).


De esta manera, se conseguían explicar los resultados de todos los experimentos ópticos a primer orden en (v/c). Sin embargo, al igual que en 1892, la teoría seguía sin ser completa y Lorentz era consciente de ello. De hecho, el último capítulo del Versuch se titula «Investigaciones cuyos resultados no pueden explicarse sin otras suposiciones» y allí Lorentz volvía a referirse al experimento de Michelson y Morley de 1887 que daba resultados nulos hasta el orden (v/ c)2. Su respuesta a esta dificultad era, esencialmente, la misma que en 1892, aunque en esta ocasión diese más detalles. En particular, Lorentz volvía a señalar que la hipótesis de la contracción en la dirección del movimiento no era la única posible; también se obtenía un resultado nulo si se suponía que las dimensiones del objeto en cuestión (el interferómetro en el caso del experimento de Michelson y Morley) cambiaban en un factor1/(1+d) en la dirección del movimiento y 1/(1+e) en la dirección perpendicular, si además se verificaba que

En 1904, Lorentz publicó su versión final de la electrodinámica para cuerpos en movimiento. El título del artículo era «Fenómenos electromagnéticos en un sistema que se mueve con una velocidad arbitraria menor que la de la luz». Si hay algún trabajo de Lorentz por el que pueda ser considerado el creador de la teoría de la relatividad especial (veremos que no se debe considerar tal), sería este de 1904. En él, se enfrentaba no sólo al reto que constituía la aparición de nuevos resultados experimentales válidos hasta segundo orden en v/c (por ejemplo, los de Rayleigh y Brace y los de Trounton y Noble), que se añadían a los de Michelson y Morley, sino también a críticas como las de Henri Poincaré, a las que Lorentz (1904, 1937 b: 173-174) se refería diciendo: [41]
Poincaré ha objetado a la teoría de fenómenos eléctricos y ópticos existente el que sea necesario introducir una nueva hipótesis para explicar los resultados negativos de Michelson y que la misma necesidad puede aparecer cada vez que se descubran nuevos hechos. Sin duda, que el procedimiento de inventar hipótesis especiales para cada nuevo resultado experimental es bastante artificial. Sería más satisfactorio si fuese posible demostrar, por medio de alguna suposición fundamental y sin necesidad de despreciar términos de uno u otro orden de magnitud, que muchas acciones electromagnéticas son completamente independientes del movimiento del sistema […]. Creo que ahora es posible tratar este tema con un resultado mejor. La única restricción con respecto a la velocidad es que sea menor que la de la luz.La crítica de Poincaré a la que se refería Lorentz se produjo durante la conferencia que el polifacético científico francés pronunció en el Congreso Internacional de Física que tuvo lugar en París del 6 al 12 de agosto de 1900 (formaba parte aquella reunión de los actos que se organizaron en la capital francesa para dar la bienvenida al nuevo siglo; además del Congreso de Física —en el que también participó Lorentz—, se celebró un Congreso Internacional de Filósofos, del 1 al 5 de agosto, y, en las mismas fechas que el de Física, el Congreso Internacional de Matemáticos; en los tres participó Poincaré). [42]

Hendrik A. Lorentz.
Y ahora es preciso que me permitan una digresión. Debo explicar, en efecto, por qué yo no creo, a pesar de Lorentz, que observaciones más precisas puedan jamás demostrar otra cosa que los desplazamientos relativos de cuerpos materiales. Se han hecho experimentos que deberían haber mostrado los términos de primer orden: los resultados han sido negativos. ¿Podría deberse esto al azar? Nadie lo ha admitido; se ha buscado una explicación general y Lorentz la ha encontrado. Ha mostrado que los términos de primer orden deben anularse entre sí, pero no ha hecho lo mismo con los términos de segundo orden. Ahora bien, se han hecho experimentos más precisos que también han sido negativos. Esto ya no se puede deber al azar. Hace falta una explicación. Se la ha encontrado. Siempre se encuentra, hipótesis es de lo que menos carecemos.Retornando a Lorentz y a su artículo de 1904, tenemos que su punto de partida eran las ecuaciones de Maxwell-Lorentz (esta vez no en el vacío), esto es (1) y (2), a las que se refería como «ecuaciones fundamentales de la teoría de los electrones». Tomando como sistemas de referencia (en movimiento relativo a lo largo del eje x, es decir, v = (v, 0, 0), S y Sr y un electrón (no puntual) tal que un punto sobre él tuviese de coordenadas en S (x, y, z, t) y se moviese con velocidades u y v con relación a Sr yS, respectivamente(vx = ux + v, vy = uy, vz = uz), Lorentz encontraba (sección 3) la forma que toman (1) y (2) en Sr. Inmediatamente (sección 4) pasaba a «transformar estas fórmulas [las transformaciones de Galileo] mediante un nuevo cambio de variables». Este cambio de variables es
Pero esto no es suficiente. ¿Quién no piensa que esto deja todavía al azar un papel demasiado grande? ¿No sería también una casualidad que esta singular coincidencia produjese una cierta circunstancia tan oportuna como para destruir los términos de primer orden y que otra coincidencia, completamente diferente pero también igualmente oportuna, se encargue de destruir los términos de segundo orden? No, hace falta encontrar una misma explicación que sirva igualmente para los dos casos y todo conduce a pensar que esta explicación valdrá también para los términos de orden superior y que la cancelación mutua de estos términos será rigurosa y absoluta.
x' = γgx,
y' = γgy,
z' = γgz,

x ' = γg(x - vt)
y ' = gy
z ' = gz


y ' = y
z ' = z

Cerca del final de su artículo, Lorentz (1904, 1937 b: 190) afirmaba, refiriéndose a sus artículos de 1892 y 1895, que sus resultados «confirman los que he obtenido con anterioridad con una línea de argumentación parecida, en los que, sin embargo, se despreciaban los términos de segundo orden. También contienen una explicación del resultado negativo de Michelson, más general y algo diferente de la que di previamente, y demuestran por qué Rayleigh y Brace no pudieron encontrar señales de doble refracción producida por el movimiento de la Tierra».
Si bien no es éste el lugar para analizar con detalle la teoría de 1904, sí señalaré, no obstante, que como ha indicado Gerald Holton (1960), ésta contenía muchas hipótesis particulares.[43] Para demostrar la covariancia —esto es, que mantienen la forma— exacta de las ecuaciones de Maxwell-Lorentz y para tratar de articular la hipótesis de la contracción de longitudes en función del teorema de los estados correspondientes, Lorentz se veía obligado a suponer, por ejemplo: la existencia de un éter estacionario; que el electrón estacionario es esférico y que su carga está uniformemente distribuida; que toda la masa es electromagnética; que las fuerzas entre partículas sin carga y entre una cargada y otra sin carga tienen las mismas propiedades de transformación que poseen las fuerzas electrostáticas; que todas las cargas en los átomos se encuentran en un cierto número de electrones separados; que cada uno de éstos interacciona sólo con otros del mismo átomo, y que los átomos en movimiento se deforman como los electrones.
El punto referido a la masa es especialmente interesante. Así, leemos (Lorentz, 1904, 1937 b: 185):
Por consiguiente, en los fenómenos en los que existe una aceleración en la dirección del movimiento, el electrón se comporta como si tuviese una masa m1, en aquellos en los que la aceleración es perpendicular a la trayectoria, es como si la masa fuese m2. Por consiguiente, podemos propiamente llamar a estas aceleraciones, mL y mT, las masas electromagnéticas «longitudinal» y «transversal» del electrón. Supondré que no existe otra, ninguna masa «verdadera» o «material».Como muchos entonces, entusiasmados por las posibilidades que abría la electrodinámica de Maxwell, Lorentz llegó a pensar que la naturaleza de la materia, su esencia, era electromagnética, algo así como «densificaciones» del campo electromagnético. Suponiendo que el electrón era una esfera de radio R, Lorentz calculó la dependencia con la velocidad, de las masas «longitudinal», mL, y «transversal», mT, del electrón. Los resultados que obtuvo fueron


Einstein sobre Lorentz«Hacia finales de siglo, los físicos teóricos de todos los países consideraban a H. A. Lorentz el más destacado de todos ellos y con toda razón. Los físicos de nuestra época no tienen, en general, plena conciencia del papel decisivo que jugó H. A. Lorentz en la estructuración de las ideas fundamentales de la física teórica. La razón de este extraño hecho es que las ideas básicas de Lorentz han llegado a ser tan familiares que resulta difícil advertir lo audaces que fueron y hasta qué punto han simplificado los fundamentos de la física».
Cuando H. A. Lorentz inició su labor investigadora, se había impuesto ya la teoría del electromagnetismo de Maxwell, pero la extraña complejidad de los principios fundamentales de esta teoría impedía explicar claramente sus rasgos esenciales. Aunque el concepto de campo había desplazado realmente al concepto de acción a distancia, los campos eléctricos y magnéticos aún no se concebían como entidades primarias sino más bien como estados de la materia ponderable, tratada, posteriormente, como un continuo. En consecuencia, el campo eléctrico se descomponía en la fuerza del campo y el desplazamiento dieléctrico […]. El campo magnético recibía un tratamiento similar. Y a esta idea básica correspondía la actitud de tratar el espacio vacío como un caso especial de materia ponderable en el que la relación entre fuerza de campo y desplazamiento resultaba ser particularmente simple. Esta interpretación tenía como consecuencia que los campos magnético y eléctrico no pudiesen concebirse con independencia del estado de movimiento de la materia, que actuaba de agente portador del campo.
[…]
Ahí llega la decisiva simplificación de la teoría por parte de H. A. Lorentz que basó sus investigaciones en las siguientes hipótesis:
La sede del campo electromagnético es el espacio vacío. En él sólo hay un vector de campo eléctrico y un vector de campo magnético. Forman este campo cargas eléctricas atómicas sobre las que el campo a su vez aplica fuerzas ponderomotrices. La única conexión entre el campo electromagnético y la materia ponderable nace del hecho de que las cargas eléctricas elementales están estrictamente ligadas a partículas atómicas de materia. Para los átomos se cumplen las leyes del movimiento de Newton.
Sobre esta base simplificada, Lorentz edificó una teoría completa de todos los fenómenos electromagnéticos entonces conocidos, incluyendo los de la electrodinámica de los cuerpos en movimiento. Es un trabajo de una coherencia, una lucidez y una belleza que muy pocas veces se alcanzan en una ciencia empírica. El único fenómeno que no pudo explicarse del todo sobre esta base, es decir, sin supuestos adicionales, fue el famoso experimento de Michelson-Morley. Sin la localización del campo electromagnético en el espacio vacío o (tal como se decía en la época) en el éter.
H. A. Lorentz descubrió incluso la «transformación de Lorentz», que recibió su nombre, aunque sin identificar su carácter de grupo [se entiende por «grupo» una estructura matemática que posee las siguientes propiedades: asociativa, tener elemento identidad y elemento inverso]. Para él, las ecuaciones de Maxwell en el espacio vacío sólo se sostenían en un sistema determinado de coordenadas que se diferenciaba de los demás sistemas por su estado de reposo. Era una situación verdaderamente paradójica porque la teoría parecía limitar el sistema inercial aún más que la mecánica clásica. Esta circunstancia, que parecía carente por completo de base desde el punto de vista empírico, llevaría a la teoría de la relatividad restringida.
Gracias a la generosidad de la Universidad de Leiden, pasé bastantes temporadas allí con mi querido e inolvidable amigo Paul Ehrenfest. Tuve así oportunidad de asistir muchas veces a las conferencias que Lorentz daba periódicamente a un pequeño círculo de jóvenes colegas cuando ya se había retirado de su cátedra. Todo lo que salía de aquella mente superior era tan lúcido y bello como una gran obra de arte y lo exponía con una facilidad y una sencillez que en nadie más he visto.
Si nosotros, de jóvenes, hubiésemos conocido a H. A. Lorentz, sólo por su inteligencia, nuestra admiración y respeto por él habrían sido excepcionales, pero lo que yo siento cuando pienso en H. A. Lorentz es mucho más que eso. Él significaba para mí más, personalmente, que ninguna otra persona que haya conocido en mi vida.
Además de dominar la física y las matemáticas, tenía un absoluto control de sí mismo, sin esfuerzo ni tensión. Su insólita y absoluta carencia de debilidades humanas jamás tuvo un efecto deprimente sobre los demás. Todos percibían su superioridad pero nadie se sentía agobiado por ella. Aunque no se hacía ilusiones sobre la gente ni sobre los asuntos humanos, desbordaba amabilidad hacia todos y todo. Jamás daba impresión de dominio, siempre de servicio y de ayuda. Era sumamente perspicaz y no permitía que nada asumiese una importancia inmerecida; se protegía en un humor sutil, que se reflejaba en sus ojos y en su sonrisa. Y, no obstante, pese a toda su devoción por la ciencia, estaba convencido de que nuestra inteligencia no podía penetrar con demasiada profundidad en la esencia de las cosas. Sólo últimamente he sabido valorar plenamente esta actitud entre escéptica y humilde.Pese a mis honradas tentativas, descubro que el lenguaje (o al menos mi lenguaje) no puede hacer justicia al tema de este corto escrito. En consecuencia, me limitaré a citar dos breves aforismos de Lorentz que me impresionaron especialmente:
Albert Einstein y Hendrik A. Lorentz.
“Me hace feliz pertenecer a una nación que es demasiado pequeña para cometer grandes locuras”.
A un hombre que durante la primera guerra mundial intentó convencerlo, en una conversación, de que, en la esfera humana, el poder y la fuerza determinan el destino, le dijo lo siguiente:
“Es posible que tengas razón, pero yo no querría vivir en un mundo así”».Albert Einstein (1928 a; Sánchez Ron, ed., 2005: 101-103), «H. A. Lorentz»


§. Woldemar VoigtLa teoría de la relatividad especial es mucho más que las transformaciones de Lorentz —en caso contrario, honraríamos a Lorentz como su creador—, pero es imposible negar su importancia dentro de la teoría, así como el papel que desempeñaron en el complejo camino que condujo a la relatividad einsteniana, si no en el propio Einstein sí en el «ambiente» que dio lugar a la teoría. Y como no fueron sólo Lorentz y FitzGerald los que llegaron a esas transformaciones antes que Einstein, un capítulo debe dedicarse a esos otros precedentes.
§. Joseph Larmor
§. Henri Poincaré, un matemático polifacético
§. Woldemar Voigt
La primera aparición de las transformaciones llamadas «de Lorentz» (salvo un factor de escala, que cuando se hacía igual a 1 reducía las ecuaciones a las de Lorentz) se deben a un físico de la Universidad de Gotinga, donde dirigía la sección de Física matemática, o Física teórica, del Instituto de Física, Woldemar Voigt (1850-1919). Fue en el contexto de intentar explicar el resultado del experimento de Michelson y Morley como debido al efecto Doppler como Voigt (1887) llegó a esas transformaciones (las aplicaba para mantener invariable la ecuación de onda).
Pese a ser un miembro destacado del círculo de físicos de Gotinga, en concreto, del influyente seminario de física que instauró en Gotinga Felix Klein, a pesar de haber dirigido las tesis doctorales de dos físicos tan notables como Paul Drude, Walter Ritz, aunque tuteló los estudios en óptica teórica de dos graduados británicos que más tarde dejaron alguna marca en el mundo de la relatividad, Robert Alexander Houston y Alfred Arthur Robb, y a pesar de haber apoyado a Moritz Schilck y Max von Laue mientras éstos estaban en Gotinga, el resultado de Voigt no tuvo apenas trascendencia, al menos cuando el problema de la electrodinámica de los cuerpos en movimiento estaba en vigor (sólo después, se celebró su trabajo). En The Theory of Electrons (1909), Lorentz escribió que sólo recientemente había sabido de las ecuaciones de Voigt, que correctamente calificó como «equivalentes» a las que él había obtenido, en el caso de la radiación en el «éter libre». No está claro, sin embargo, que el trabajo de Voigt hubiese servido de mucho a Lorentz, pues carecía de argumentos plausibles para justificar las transformaciones.
En su memorable conferencia del 21 de septiembre de 1908 dictada en Colonia (de la que trataré en otro capítulo) sobre el espacio y el tiempo, Hermann Minkoswki (1908) recordó, acaso con demasiada generosidad pero escaso detalle, la aportación de Voigt: en una nota a pie de página, escribió (Minkowski, 1908, 1952: 81): «En su aspecto esencial, una aplicación de este hecho ha sido dada ya por W. Voigt, Gottinger Nachrichten, 1887, p. 41». El hecho en cuestión era que «el impulso y verdadero motivo para aceptar el grupo Gc [el grupo formado por las transformaciones de Lorentz] proviene de que la ecuación diferencial para la propagación de la luz en el espacio vacío posee ese grupo Gc». Si digo que Minkowski fue acaso demasiado generoso con Voigt, es porque éste en absoluto pensó en que sus transformaciones formasen grupo (esto es, tuviesen la estructura matemática de grupo) y esta característica es lo que distingue a la teoría de la relatividad especial de Einstein de la electrodinámica de Lorentz.
§. Joseph Larmor
Joseph Larmor (1857-1942) nació en Country Antrim. Larmor era, por tanto, irlandés, como FitzGerald, y, al igual que él, maxwelliano, aunque Larmor lo era «de segunda generación». Hijo de un tendero, estudió en la Royal Belfast Academical Institution, que más tarde se denominaría Queen's University Belfast, desde donde pasó a la Universidad de Cambridge, a la que estaría asociado casi toda su vida académica. Allí obtuvo las calificaciones más altas: en el exigente Mathematical Tripos de 1880 fue senior wrangler (J. J. Thomson quedó segundo), lo que lo condujo inmediatamente a una fellowship (ser miembro de) en el St. John's College de Cambridge y luego a la cátedra de Filosofía natural del Queen's College, de Galway. La carrera de Larmor fue sobresaliente para cualquier canon posible: tras regresar al St. John's College en 1885, como Lecturer de Matemáticas, en 1901 sucedió a George Gabriel Stokes como Lucasian professor (catedrático lucasiano), cátedra que mantuvo hasta 1932, cuando lo sucedió Paul Dirac; presidente de la London Mathematical Society en 1914-1915, la Royal Society le concedió su Medalla Real en 1915 y la Medalla Copley en 1921; nombrado caballero en 1909, representó también a la Universidad de Cambridge en el Parlamento de 1911 a 1922. [44]
Hizo contribuciones notables a la física, pero aunque vivió cuatro décadas del siglo XX, no se sentía realmente cómodo con la física del siglo XX. En el obituario que preparó de él para la Royal Society, Arhur Eddington (1942/4: 205) escribió:
Parecía un hombre cuyo corazón estaba en el siglo XIX, con los nombres de Faraday, Maxwell, Kelvin, Hamilton, Stokes siempre en sus labios —como si mentalmente consultase el juicio de aquéllos sobre todos los problemas modernos que surgían—. A menudo decía que todo el progreso científico verdadero había cesado en 1900 —o incluso antes, pues su propia efusión fin de siècle era sólo juzgada con recelo por los cánones más laxos de estos tiempos: pero eso era todo lo lejos que él iría—, excepto cuando olvidaba su pose. Había, por supuesto, mucha exageración en su pose, pero la adoptaba de forma tan sistemática que quizá él mismo apenas podía distinguirla de sus opiniones naturales. En el mismo sentido, el historiador de la ciencia Jed Buchwald (1981 b: 374 ) sostuvo que en «sus últimos años era reconocido como un conservador empedernido en sus ideas científicas y a menudo se deleitaba actuando el papel del científico más viejo que defiende el pasado olímpico frente a las inmodestas pretensiones del presente», mientras que A. E. Woodruff (1970- 1980 : 39 ) afirmaba que, «a diferencia de Lorentz, Larmor no se distinguió como un guía para la nueva generación de físicos que desarrollaron la teoría cuántica y la relatividad. En general, él mantuvo una actitud conservadora y crítica hacia las nuevas ideas, particularmente examinando las posibles limitaciones de las teorías de la relatividad». Y John Cockcroft, testigo directo de sus enseñanzas —asistió a sus clases en Cambridge, en las que sólo encontró a dos o tres estudiantes más—, manifestó a Thomas Kuhn, cuando éste lo entrevistó el 2 de mayo de 1963 como parte del proyecto «Sources for the History of Quantum Physics», que «Él representaba la física de la década de 1900 […]. Era un gran anciano y valía la pena ir a escucharlo. A veces salía con alguna idea nueva, como la transmisión de ondas electromagnéticas por la ionosfera, y la presentaba en sus clases antes de que llegara a hacerse conocida en general. Era interesante ir, pero, la verdad, no representaba en absoluto la nueva era en física teórica». [45] El propio Larmor parece haber reconocido esas sensaciones. Así, el 9 de noviembre de 1924 escribía a Oliver Lodge: «Me ha venido la idea de que de repente estoy viejo y passé, tras ser bombardeado por los funcionarios (más viejos que yo) con formularios para rellenar respecto a las condiciones en las que debo jubilarme con una pensión ahora, a los 70 , y lo que ellos pueden ofrecer». Pero él no estaba preparado para dejar Cambridge: «Yo me jubilaría si pudiera conservar una beca —decía antes de añadir—: Convertirán Cambridge en una burocracia del Gobierno. La generación más joven no se toma interés, deja pasar todo». [46]Sin embargo, la física clásica entendida a la manera de Larmor le permitió llegar a las transformaciones de Lorentz. Y llegó a ellas como parte de sus esfuerzos, netamente maxwellianos, por desarrollar, entre 1893 y 1900, una «teoría dinámica del medio eléctrico y luminífero» o, como también se la ha denominado (Warwick, 1991), una «teoría electrónica de la materia».[47] Al contrario que Lorentz, Larmor suscribía completamente la visión electromagnética de la materia, es decir, creía que toda la masa de la «unidad de carga eléctrica» (el electrón, identificado por J. J. Thomson) tenía un origen electromagnético, lo que a la postre significaba que pensaba que las ecuaciones del electromagnetismo no eran fundamentales, sino que en última instancia se debían poder deducir del éter, el medio que ocupaba todo el espacio. Y el mecanismo que Larmor utilizaba para determinar la estructura dinámica de ese medio era el Principio de Mínima Acción, al que durante toda su vida reverenció. [48]
La versión de Larmor de las transformaciones de Lorentz apareció por primera vez en la segunda parte de uno de sus trabajos más importantes, «Una teoría dinámica del medio eléctrico y luminífero», dividido en tres partes a efectos de publicación (Larmor, 1894, 1895, 1897).

Joseph Larmor.
Un punto importante es que, aunque su tratamiento seguía un enfoque muy diferente, Larmor mencionaba las ideas y los resultados de FitzGerald y Lorentz sobre la contracción de longitudes (acababa de leer el Versuch de Lorentz y presumiblemente conocía de primera mano la idea de su amigo FitzGerald).
El problema con Larmor es que su teoría, y dentro de ella, la derivación que hacía de las transformaciones de Lorentz, era muy compleja y difícil de seguir. Una situación que tampoco cambió con la aparición de su célebre libro, Aether and Matter, significativamente subtitulado: «Un desarrollo de las relaciones dinámicas del éter con los sistemas materiales sobre la base de la constitución atómica de la materia, incluyendo una discusión de la influencia del movimiento de la Tierra sobre los fenómenos ópticos» (Larmor, 1900), en cuyo capítulo XI también incluyó las ecuaciones de las transformaciones hasta segundo orden en (v/c)2. [49]
De hecho, en uno de los «apéndices», el II, «Sobre la relatividad en conexión con la convección» (Larmor, 1929 a: 644-649), que añadió al primer tomo de sus Mathematical and Physical Papers, trató de explicar y realzar sus resultados de 1895, comparándolos explícitamente con los de Lorentz de 1904, de Einstein de 1905 y de Poincaré de 1906, pero ya era demasiado tarde para desempeñar algún papel destacado en el mundo de la relatividad especial.
§. Henri Poincaré, un matemático polifacético
Jules Henri Poincaré (1854-1912) fue uno de los matemáticos más importantes del siglo XIX y comienzos del XX y uno de los grandes de toda la historia de la matemática. Por eso, y por lo cerca que estuvo de haber sido él el creador de la teoría de la relatividad especial, me detendré algo más que con otros en su biografía.
A veces se dice que el siglo XIX comenzó bajo la sombra de un gigante, Carl Friedrich Gauss, y terminó con el dominio de un genio de magnitud similar, Poincaré. De hecho, la comparación entre ambos es ilustrativa. Según el distinguido matemático Jean Dieudonné (1970-1980: 51-52), «ambos era matemáticos universales en el sentido supremo y ambos hicieron importantes contribuciones en astronomía y física matemática. Si los descubrimientos de Poincaré en la teoría de números no son iguales a los de Gauss, sus logros en la teoría de funciones son al menos del mismo nivel, incluso cuando uno tiene en cuenta la teoría de las funciones elípticas y modulares, que deberían ser acreditadas a Gauss y que representan su descubrimiento más importante en ese campo, aunque no lo publicó en vida. Si Gauss fue el iniciador de la teoría de variedades diferenciables, Poincaré desempeñó el mismo papel en la topología algebraica. Finalmente, Poincaré es la figura más importante en la teoría de las ecuaciones diferenciales y es el matemático que, después de Newton, llevó a cabo el trabajo más destacado en mecánica celeste. Tanto Gauss como Poincaré tuvieron pocos estudiantes, ya que les gustaba trabajar solos, pero así como Gauss se resistía a publicar sus descubrimientos, la lista de artículos de Poincaré se acerca a los quinientos, y eso sin incluir los muchos libros y notas que publicó como producto de sus enseñanzas en la Sorbona». Sólo sus artículos, en efecto, ocupan once voluminosos tomos: Œuvres de Henri Poincaré (Gauthier-Villars, París, 1951-1956). También habría que añadir que, al contrario que Gauss, que fue un prodigio calculando, a Poincaré nunca le entusiasmaron los cálculos complicados (aunque los pudiese hacer y, de hecho, los hiciese).
Si nos atenemos a lo que el propio Poincaré (1921) expresó, sus aportaciones pertenecen a los campos siguientes: ecuaciones diferenciales, teoría general de funciones, cuestiones diversas de matemáticas puras (álgebra, aritmética, teoría de grupos, analysis situs (el viejo nombre para lo que terminó denominándose «topología»), mecánica celeste, geodesia, física matemática, filosofía de las ciencias, enseñanza y divulgación, de manera que no debemos recordarlo únicamente como a uno de los grandes de la matemática, sino también como a un espléndido físico teórico y filósofo de la ciencia. Pocos, ni antes ni después de él, comprendieron con tanta justeza la esencia y el método íntimo del conocimiento científico, como muestran especialmente los siguientes libros, que agrupaban ensayos que había publicado en otros lugares: La Science et l'Hypothèse (1902), La Valeur de la Science (1905), Science et Méthode (1908) y Dernières Pensées (1913).
En cuanto a su vida, transcurrió sin excesivos sobresaltos y sí con mucho trabajo y obligaciones. Hijo de un médico y nacido en Nancy, el genio matemático de Henri fue reconocido mientras estudiaba el bachillerato.[50] En 1873, después de superar, con el número uno, los exigentes exámenes de admisión, entró en la École Polytechnique de París, junto a la École Normale, el centro de estudios superiores más prestigioso del sistema educativo francés. En 1875 fue aceptado en la École de Mines, a la que solían ir los graduados más distinguidos de la École Polytechnique, y allí se graduó en 1879. De hecho, durante algún tiempo, mientras preparaba su tesis doctoral, trabajó como ingeniero.
Tras obtener el título de doctor en Ciencias con una tesis que defendió el 1 de agosto de 1879 y tituló Sur les propriètés des fonctions définies par les équations aux differencés partielles , el 1 de diciembre de 1879 fue designado chargé des cours («encargado de curso») de Análisis en la Facultad de Ciencias de Caen. Dos años después, al comienzo del curso 1881-1882, se convirtió en maître de conferences de Análisis en la Facultad de Ciencias de París, esto es, en la Sorbona. Cuatro años más tarde, pasó a ser chargé des cours de Mecánica física y experimental y, muy poco después, en agosto de 1886, sucedió a Gabriel Jonas Lippmann en la cátedra de Física matemática, cuando éste pasó a ocupar la de Física experimental. En 1896, tras el fallecimiento de François Félix Tisserand, que ocupaba la cátedra de Astronomía matemática, la facultad le pidió a Poincaré que pasase a ocupar esa cátedra, para la que no existía entonces ningún candidato de altura, mientras que sí lo había para la de Física matemática (Joseph Boussinesq). Poincaré, que entonces ya había publicado los primeros tomos de su monumental Les méthodes nouvelles de la mécanique céleste (1892, 1893; el tercero, y último, apareció en 1899), aceptó la propuesta.
Todos estos cambios demuestran la amplitud de conocimientos de Poincaré, insólita en el mundo académico galo, y ayuda a comprender también el que un matemático como él se acercase tanto a crear la teoría de la relatividad especial.
Da idea del reconocimiento que obtuvo el que el 24 de enero de 1887 fuera elegido (por 32 votos de 55) miembro de la Académie des Sciences, en la vacante que acababa de producirse por el fallecimiento de Edmond Nicolas Laguerre. También fue elegido para la Académie Française, la de «los inmortales», en la que fue admitido en 1909.
La muerte le llegó a la temprana edad de 58 años. Sus primeros problemas serios de salud —una hipertrofia de la próstata— aparecieron durante el Congreso Internacional de Matemáticos, celebrado en Roma en 1908, y le impidieron pronunciar la conferencia que había preparado sobre «El provenir de las matemáticas». Gracias a la habilidad y el cuidado de los médicos italianos superó aquel episodio. Sin embargo, cuatro años después, el problema reapareció, agravado, y tuvo que ser sometido a una operación. Ésta tuvo lugar el 9 de julio de 1912. En principio el resultado de la misma fue alentador, pero un accidente imprevisto, al parecer una embolia, puso término a su vida el 17 de julio. «Henri Poincaré —dijo entonces Paul Painlevé sin exagerar demasiado— era verdaderamente el cerebro vivo de las ciencias racionales. Matemáticas, astronomía, física, cosmología, geodesia, a todas las abarcó, a todas las penetró y profundizó» (citado por Darboux, 1952: LXIX).

Henri Poincaré.
A ello hay que añadir que Poincaré se preocupó y reflexionó mucho sobre los fundamentos de la física y la crisis que ésta estaba pasando a finales de siglo y para ello basta con leer sus libros de carácter general a los que ya he aludido. Dos son especialmente importantes: La Science et l'Hypothèse (1902) —como veremos más adelante, Einstein lo leyó en Berna con sus amigos de la Academia Olimpia— y La Valeur de la Science (1905). En La Science et l'Hypothèse encontramos apartados que suenan familiares en relación con la física relativista: por ejemplo, la parte II, «El espacio», que incluye secciones como «Las geometrías no euclidianas»; la parte III, dedicada a «El movimiento relativo y el movimiento absoluto», o la parte IV, sobre «La electrodinámica», una de cuyas secciones, la 6, trataba de la «Teoría de Lorentz», en la que se lee (Poincaré, 1902, 1917: 280): «La teoría de Lorentz es muy seductora, da una explicación muy simple de ciertos fenómenos que las antiguas teorías, incluso la de Maxwell en su forma primitiva, no podían explicar de forma satisfactoria; por ejemplo, la aberración de la luz, el arrastre parcial de las ondas luminosas, la polarización magnética, el experimento de Zeeman. Subsisten todavía algunas objeciones, fenómenos en los que un sistema parece que tiene que depender de la velocidad absoluta de traslación del centro de gravedad de este sistema, lo que es contrario a nuestra idea de la relatividad del espacio».
Más claro aún es el caso de La Valeur de la Science, en el que hacía hincapié en «El principio de relatividad» que definía (sección 7.3) de la manera siguiente (Poincaré, 1905 a, 2007: 250):
El principio de relatividad, según el cual las leyes de los fenómenos físicos deben ser las mismas, sea para un observador fijo o para un observador involucrado en un movimiento de traslación uniforme, de manera que ni tenemos ni podemos tener ningún medio de discernir si estamos o dejamos de estar llevados por un movimiento semejante.A lo que más tarde, en la sección 8.3, añadía (Poincaré, 1905 a, 2007: 260-261), que el principio de relatividad «no sólo se confirma por la experiencia cotidiana, no es sólo una consecuencia necesaria de la hipótesis de las fuerzas centrales, sino que se imponen a nuestro buen sentido de modo irresistible», aunque, decía, «también él está muy cuestionado».
Más interesante aún es el capítulo segundo de La Valeur de la Science, titulado «La medida del tiempo», que recoge un artículo que había publicado antes, en la Revue de Métaphysique et de Morale (Poincaré, 1898). Allí, en palabras de Peter Galison (2005: 34-35), «Poincaré destrozaba la opinión popular, defendida por el influyente filósofo francés Henri Bergson, según la cual tenemos una comprensión intuitiva del tiempo, la simultaneidad y la duración. En lugar de ello, Poincaré argumentaba que la simultaneidad era irreductiblemente una convención, un acuerdo entre personas, un acto elegido no porque fuera una verdad inevitable sino porque optimizaba la conveniencia humana. Como tal, la simultaneidad tenía que ser definida, lo que podía hacerse leyendo relojes coordinados mediante el intercambio de señales electromagnéticas (ya fueran telegráficas o destellos luminosos)». En este sentido, en el capítulo de «La medida del tiempo» de La Valeur de la Science, Poincaré (1905 a, 2007: 102, 120-121) hacía afirmaciones que, como las anteriores sobre el principio de relatividad, sin duda habría suscrito Einstein:
No tenemos intuición directa de la igualdad de dos intervalos de tiempo. Quienes creen poseer esta intuición son cautivos de una ilusión, es difícil separar el problema cualitativo de la simultaneidad del problema cuantitativo de la medida del tiempo, tanto si nos servimos de un cronómetro como si tenemos en cuenta una velocidad de transmisión como la de la luz, no se podría medir una velocidad semejante sin medirun tiempo.Y para medir esos tiempos, recurría a la luz, sobre cuyas propiedades escribía (Poincaré, 1905 a, 2007: 118):
Carecemos de la intuición directa de la simultaneidad, no menos que de la igualdad de dos duraciones.
He empezado reconociendo que la luz tiene una velocidad constante y, en particular, que su velocidad es la misma en todas las direcciones. Ése es un postulado sin el que no podría intentarse ninguna medida de esta velocidad. Este postulado jamás podrá verificarse por la experiencia; podría ser contradicho por ella, si los resultados de las distintas medidas no fueran concordantes. Debemos considerarnos afortunados de que esta contradicción no tenga lugar y de que las pequeñas discordancias se puedan explicar fácilmente.El paralelismo con lo que Einstein haría en 1905 es tan grande, que uno no puede evitar preguntarse si Einstein no lo leyó.
El postulado, en todo caso, con arreglo al principio de razón suficiente, ha sido aceptado por todo el mundo; con lo que quiero quedarme es con que nos suministra una regla nueva para la investigación de la simultaneidad, enteramente distinta de aquella que habíamos enunciado antes.
Queda por hacernos unas preguntas: ¿cómo llegó Poincaré a plantearse estas cuestiones?, y ¿lo indujo algo a estos planteamientos? La respuesta a estas preguntas es doble. Por un lado, como de hecho ya vimos, Poincaré seguía los trabajos de Lorentz sobre su teoría del electrón, en los que aparecía el asunto del tiempo absoluto versus tiempo local, pero acaso más importante es la influencia de un problema sobre el que Peter Galison (2005) llamó la atención hace unos pocos años.
Con el desarrollo cada vez mayor del sistema ferroviario, un problema era el de coordinar correctamente los relojes de las estaciones de ferrocarriles, fuera cual fuese el lugar en el que estuviesen situadas, esto es, de manera que marcasen la misma hora, minutos y segundos (en las mismas franjas horarias). Y no sólo era en las estaciones: hacia 1880, «en toda Europa, vecindarios, ciudades, regiones y países se estaban esforzando en estandarizar y unificar sus relojes. En París y Viena, a finales de la década de 1870, plantas de vapor industriales inyectaban aire comprimido en tubos subterráneos y luego modulaban esa presión para poner en hora pneumáticamente los relojes de la ciudad» (Galison, 2005: 101), pero aquel método producía retrasos y, en 1875, Urbain Le Verrier, astrónomo y miembro del Observatorio de París, recordado sobre todo por su predicción de la existencia y la posición de Neptuno, propuso estandarizar y unificar el tiempo parisino utilizando señales eléctricas. Y en este punto volvemos a Poincaré, porque entre sus muchas ocupaciones una fue trabajar para el Bureau des Longitudes de París, institución de la que, de hecho, fue presidente en 1898, 1909 y 1910. El Bureau des Longitudes, fundado por un decreto del 25 de junio de 1795, tenía como misiones fundacionales las de mejorar la estandarización del tiempo (relojes), ayudar a la navegación náutica, geodesia y observación astronómica. Como parte de esa misión, y coherente con el espíritu de la Convención Nacional revolucionaria que lo estableció, en 1897 el Bureau des Longitudes decidió extender el sistema métrico a la medida del tiempo. «Hacia finales de 1902 —señala Galison (2005: 234) —, Poincaré había pasado toda una década enfrentándose al problema de la coordinación del tiempo desde tres perspectivas muy diferentes. Como uno de los miembros de la Academia [de Ciencias] ascendidos al Bureau des Longitudes desde enero de 1893, Poincaré había ayudado a dirigir la institución en su empeño de cubrir el mundo con tiempo sincronizado. Cuando a mediados de la década de 1890 se planteó seriamente la cuestión de reestructurar el tiempo convencionalmente en un sistema decimal, fue Poincaré quien dirigió los esfuerzos por evaluar las alternativas, esfuerzos que culminaron en un informe de 1897». Einstein, por cierto, técnico de una Oficina de Patentes, también debió de estar familiarizado con los problemas de sincronización de relojes, familiaridad que acaso pudo desempeñar algún papel en la génesis de la teoría de la relatividad especial.
Semejante bagaje intelectual culminó en dos artículos, ambos titulados «Sur la dynamique de l'électron». Del primero (Poincaré, 1905 b), que apareció el 5 de junio de 1905, no diré nada, ya que no es sino un pequeño resumen del segundo, publicado en la revista matemática italiana Rendiconti del Circolo Matematico di Palermo (Poincaré, 1906). Aunque éste apareció en 1906, fue enviado para su publicación a la revista italiana el 23 de julio de 1905, es decir, ambos artículos fueron escritos antes de que apareciese el trabajo de Einstein de la relatividad especial en el Annalen der Physik. [51]
En el artículo del Rendiconti, Poincaré comenzaba corrigiendo algunos errores técnicos que Lorentz había cometido en su trabajo de 1904, para continuar demostrando que de todos los modelos de electrón, cuya masa es producida exclusivamente por autocampos, solamente el de Lorentz era compatible con el principio de relatividad. Para obtener este resultado, Poincaré tuvo que añadir un término suplementario (el de los autocampos) al lagrangiano del electrón, interpretándolo como debido a una tensión interna en el electrón de origen desconocido. Una función importante de esta tensión (que con el tiempo se denominaría «tensión de Poincaré») era impedir que el electrón deformable de Lorentz pudiese estallar (respondía así a una crítica de Abraham en 1903 a la teoría de Lorentz).
Al margen de resultados concretos, en «Sur la dynamique de l'électron», aparecen técnicas matemáticas que más tarde pasarían a formar parte esencial de las presentaciones habituales de la relatividad especial, muchas adjudicadas a Hermann Minkowski. Por ejemplo, Poincaré se dio cuenta de que las transformaciones de Lorentz forman grupo y, en plena armonía con su idea de un principio de relatividad, introdujo las nociones de invariancia y covariancia-Lorentz para la formulación de teorías (dinámicas) físicas, en particular, para la teoría del electrón y para la teoría de la gravitación. Este último punto me lleva a señalar que Poincaré fue el primero que se planteó el problema de cómo generalizar las ecuaciones de la gravitación de Newton de forma que fuesen invariantes bajo el grupo de Lorentz. Su solución a este problema aparece en la última sección del artículo y se titula «Hipótesis relativas a la gravitación», donde no sólo se encuentra la primera teoría relativista (Lorentz) de la gravitación desarrollada en la física, sino que también aparece la notación cuatridimensional x, y, z, ict (donde i es el número complejo definido como i2 = –1) que Poincaré introdujo para analizar todos los invariantes Lorentz que se pueden construir a partir de las coordenadas, el tiempo, la velocidad y la fuerza,[52] es decir, también aparecen en «Sur la dynamique de l'électron» los gérmenes del formalismo espacio-temporal que años más tarde desarrollaría Minkowski.

Sin entrar en todos los argumentos esgrimidos en esta controversia, hay que señalar que la principal limitación de la teoría de Poincaré, cuando se trata de compararla con la relatividad especial de Einstein, es que a pesar de que en algunos apartados fue más allá que Einstein, no pudo liberarse del yugo que significaba el electromagnetismo y fue incapaz de dar a sus expresiones y desarrollos matemáticos y físicos el significado que proporcionó Einstein a los suyos; no llegó, en definitiva, a sostener que las transformaciones de Lorentz no son un producto que se deriva de las ecuaciones del electromagnetismo, sino que son un requisito geométrico, cinemático, que surge como consecuencia de (o representa a) la estructura del espacio y el tiempo; un requisito que deben satisfacer todas las interacciones, la electromagnética, por supuesto, pero también la gravitacional, al igual que cualquier otra que exista en la naturaleza. Su fracaso en este punto, aunque comprensible, pues lo que en realidad estaba en juego era una visión radicalmente nueva de la naturaleza física, es, no obstante, relativamente sorprendente porque Poincaré estaba perfectamente preparado, más que cualquier otro físico, matemático o filósofo del momento, para apreciar la necesidad de contemplar de una forma diferente espacio y tiempo, conceptos ambos que, como se puede apreciar en algunos de sus escritos de carácter general-filosófico, entendía como profundamente problemáticos.
Poincaré, en efecto, fue un adepto de la visión electromagnética de la naturaleza. En sus escritos abundan pasajes en los que aparecen manifestaciones que apoyan su apego a ella. Así, en Science et Méthode (1908), en el que retomó y desarrolló cuestiones que había tratado en La Science et l'Hypothèse y en La Valeur de la Science, al referirse a las consecuencias del principio de relatividad para los electrones, Poincaré (1908, 1963: 173-174)concluía que «todas las fuerzas [deben ser] de origen electromagnético o, al menos, [deben variar] con la velocidad siguiendo las mismas leyes que las fuerzas de origen electromagnético», para pasar inmediatamente a señalar que «es necesario hallar una explicación electromagnética de todas las fuerzas conocidas, en particular, de la gravitación o, al menos, modificar la ley de la gravitación de la misma manera que las fuerzas electromagnéticas».
Capítulo 6
Albert Einstein
(1879-1905)
§. La familia Einstein y la industria electrotécnicaAlbert Einstein nació en Ulm (Alemania), en el número 135 de la Bahnhof strasse B, el 14 de marzo de 1879, de padres judíos.[54] Aunque una de las características más fuertes de su personalidad fue intentar ir más allá de lo particular, de lo contingente, de la situación concreta, buscando la intemporalidad de las leyes generales y la trascendencia de las teorías científicas, su ascendencia judía terminó influyendo en algunos apartados de su biografía y así fue no por el ambiente familiar sino por las circunstancias históricas en las que le tocó vivir: a pesar de que su certificado de nacimiento identificaba a sus padres, Hermann (1847-1902) y Pauline (1858-1920;Koch era su apellido de soltera), como «pertenecientes a la fe israelita», ninguno era religioso ni seguía las costumbres judías. Como en tantos otros casos de la Alemania del siglo XIX y primeras décadas del XX, los Einstein se consideraban o pretendían ser «judíos asimilados» y, en ese sentido, se esforzaban por no distinguirse de cualquier otro alemán. Los mismos nombres que dieron a sus dos hijos, Albert y Maria, Maja (1881-1951), lejos de los tradicionales Jakob, David, Abraham o Ruth, así lo reflejan.
§. De Münich a Zúrich, vía Pavía
§. Mileva Maric
§. Lieserl, la hija perdida de Maric y Einstein
§. Berna: Experto de tercera clase en la oficina de la propiedad intelectual y nuevos amigos
§. Matrimonio con Mileva Maric
§. La física y los maestros de Einstein vistos a través de sus cartas a Maric
El que sus padres, como tantos otros judíos, intentasen ser «buenos alemanes», no quiere decir necesariamente que participasen de ese cáncer que plaga la historia de la humanidad: el nacionalismo. Por lo que se sabe de ellos, sus deseos no iban más allá de una asimilación que permitiese vivir, ejercer libremente, sin obstáculos, una profesión.

Hermann Einstein y Pauline Einstein.
Si rechazaba el nacionalismo en general, simplemente como concepto, más lo hacía en el caso alemán. Así, incapaz de soportar la filosofía educativa germana, en diciembre de 1894 —era prácticamente un niño—, abandonó Münich, donde estudiaba, para seguir a su familia a Pavía. El 28 de enero de 1896 renunció a la nacionalidad alemana y continuó siendo apátrida hasta que en 1901 logró la ciudadanía suiza, la única que valoró a lo largo de toda su vida. En este sentido, el 7 de junio de 1918 escribía a Adolf Kneser, catedrático de Matemáticas en la Universidad de Breslau, en la actualidad Wroclaw, en Polonia (CPAE, 1998 b: 791): «Me duele cuando se abusa de mi nombre y mi trabajo para propaganda chauvinista, como sucede últimamente con muchísima frecuencia. Esto está fuera de lugar objetivamente. Por herencia soy judío; por ciudadanía, suizo, y, por mentalidad, ser humano, y sólo ser humano, sin apego especial alguno por ningún Estado o entidad nacional». No debe pasar desapercibido el que cuando Einstein escribía estas frases era catedrático de la Universidad de Berlín y miembro de la Academia Prusiana de Ciencias, es decir, un alto funcionario de Prusia, lo que llevaba asociado la nacionalidad alemana, una circunstancia que él preferiría pasar por alto, manteniendo y refiriéndose siempre a su ciudadanía suiza (durante sus años en Berlín viajó con frecuencia con pasaporte suizo; incluso lo renovó después de haber adquirido, en 1940, la nacionalidad estadounidense, un acto también de dudosa legalidad desde el punto de vista de la legislación norteamericana). Muestra también de la peculiar manera en que miraba las adscripciones nacionales es lo que escribió sobre él mismo en el Times londinense el 28 de noviembre de 1919, poco más de un año después de que hubiese finalizado la primera guerra mundial (Einstein, 1919 a: 14): «Hoy en día, en Alemania me consideran un “sabio alemán” y, en Inglaterra, “judío suizo”. Si alguna vez mi destino fuese el ser representado como una bête noir, me convertiría, por el contrario, en “judío suizo” para los alemanes y en un “sabio alemán” para los ingleses».
La persecución que sufrían los judíos, una persecución que no comenzó con Hitler (con él llegó a extremos absolutamente insoportables), fue lo que lo acercó a ellos. «Cuando vivía en Suiza, no me daba cuenta de mi judaísmo —respondió en una entrevista publicada en el Sunday ExPress el 24 de mayo de 1931—.

Albert y su hermana, Maja, 1894.
§. La familia Einstein y la industria electrotécnica
Sabemos que cuando Albert nació, su padre trabajaba en una tienda de ropa de cama de Israel & Levi. Pronto, sin embargo, en junio de 1880, dejó Ulm y se trasladó con su familia a Münich, donde cinco meses más tarde se asoció con su hermano Jakob (1850-1912), en un negocio especializado en instalaciones de agua y gas; además, poseían dos tercios de las acciones de la agencia de ingeniería mecánica y reparaciones de la compañía Kiessling. [56] De ahí pasaron a la industria electrotécnica, que por entonces estaba consolidándose gracias a la creciente demanda de centrales eléctricas para la iluminación urbana y para uso industrial. Se iniciaron en esa industria en 1882 y, en mayo de 1885 se independizaron y fundaron la Elektro-Technische Fabrik J. Einstein & Co. Jakob se ocupaba de las cuestiones técnicas (entre 1886 y 1893 sacó siete patentes para la compañía; la primera y la última tenían que ver con mejoras en lámparas de arco), mientras que Hermann llevaba la parte comercial. Durante unos años, la empresa fue bien; en 1891, la firma era lo suficientemente importante como para participar en una gran exposición de la industria electrotécnica que se celebró en Francfort, que visitó más de un millón de personas (el propio káiser la visitó en otoño). Los Einstein mostraron allí la gama completa de sus productos y servicios: dinamos, lámparas de arco y contadores de electricidad. Por aquel entonces, la empresa de los hermanos Einstein se encontraba en vías de expansión y pasó de la fabricación de dinamos y el suministro de energía eléctrica a establecer centrales permanentes en Münich y en el norte de Italia, pero surgieron problemas: ellos tenían experiencia únicamente en centrales eléctricas pequeñas que distribuían corriente continua y el mercado iba hacia el suministro de servicios de mayor dimensión; si querían continuar siendo competitivos frente a compañías como AEG y Schuckert, debían disponer de más capital. No lo consiguieron y Elektro-Technische Fabrik J. Einstein & Co. quebró en 1894.

Interior de Elektro-Technische Fabrik J. Einstein & Co., Münich, 1891.
La Società Einstein, Garrone e Co., una vez debidamente constituida, hizo proyectos para un importante edificio de oficinas desde donde dirigir la fabricación de dinamos y otros aparatos eléctricos. Los hermanos Einstein permanecieron en Milán hasta finales de 1894 , mientras ponían en funcionamiento la compañía de Pavía. Hacia octubre de 1894 , para poder terminar su nuevo edificio, se vieron en la necesidad de pedir un préstamo de cincuenta mil liras a un interés del cuatro por ciento anual a un ingeniero de Turín. En julio de 1895 , los Einstein apenas disponían de capital líquido, por lo que aceptaron un nuevo socio para continuar con la empresa: esta vez se trataba de un ingeniero de Milán. La compañía, así reforzada, resistió un año más. Los propietarios decidieron liquidar la empresa en junio de 1896 y pidieron doscientas cincuenta mil liras por sus propiedades. Según parece, Einstein, Garrone e Co. no pudo conseguir siquiera las tres cuartas partes de esta suma en los seis meses siguientes. La mayoría de los ingresos en efectivo se destinaron a saldar deudas de acreedores y de los socios comanditarios consiguientes, el último de los cuales se vio obligado a contratar abogados para defender su caso. Jakob Einstein aceptó entonces un puesto en una gran compañía técnica italiana. Su hermano Hermann intentó, una vez más, levantar una compañía electrotécnica en Milán.Los esfuerzos, a la postre infructuosos, de Hermann Einstein terminaron con su muerte en 1902. Traducido todo esto a Albert, tenemos que pasó de una confortable existencia en Münich a ver cómo su familia atravesaba grandes dificultades, con la consecuencia de que él mismo pudo continuar sus estudios en la ETH sólo gracias a la ayuda económica de familiares maternos.
Una carta que escribió a su hermana desde Zúrich —todavía era un estudiante de allí en 1898 revela cuáles eran sus sentimientos (CPAE, 1987: 211):
Si se hubieran hecho las cosas como yo pensaba, papá habría buscado un trabajo asalariado hace ya dos años y nosotros y él nos habríamos ahorrado muchos disgustos […]. Me ha afectado sobre todo la desgracia de mis pobres padres, que no han tenido ni un instante de felicidad en tantos años. Estoy también profundamente entristecido al ver cómo yo, ya un adulto, debo mantener una actitud pasiva sin poder hacer nada al respecto.Para comprender la gran estima que sentía por un empleo estable y su «explosión» creativa de 1906, ya empleado en la Oficina de Patentes de Berna, tenemos que tener en cuenta tanto las dificilísimas circunstancias por las que había pasado debido a los problemas económicos y laborales de sus padres como, en menor medida, que fue el único graduado de su sección que no había podido obtener un puesto académico, de manera que tuvo que ganarse la vida mes a mes, dando clases particulares y haciendo sustituciones en colegios, y que tuvo que enfrentarse a la oposición de sus padres a su relación con Mileva Maric. Para Einstein tener que trabajar ocho horas al día, seis días a la semana en un empleo, que consiguió gracias a la ayuda de un compañero de carrera, hasta septiembre de 1904 de carácter provisional, en una Oficina de Patentes, la de Berna, por un salario modesto, fue una bendición. Gracias a ese empleo, pudo mantener a Mileva, con la que se casó en 1903, después de que su padre falleciese, y a su primer hijo, Hans Albert, mientras su madre tenía que emplearse como gobernanta.
§. De Münich a Zúrich, vía Pavía
Como señalé, aunque Einstein nació en Ulm, no pasó allí mucho tiempo: al año de su nacimiento, su familia se trasladó a Münich, donde su padre y su tío Jakob montaron un negocio de instalación de agua y gas, aunque luego se dedicarían, como también vimos, al de la electrotécnica. En la capital bávara, a pesar de que no comenzó a hablar hasta los tres años, no tuvo dificultades en la escuela primaria (fue, de hecho, desmontando el mito tan extendido, un magnífico alumno) y entró a los nueve años en un famoso centro de Münich, el Gymnasium Luitpold, el mismo que abandonaría, en 1894, para seguir a su familia a Italia.
En su biografía de Einstein, Carl Seelig (2005: 29-30) comentó algunas de las razones por las que el joven Albert debió abandonar Münich:[57]
La claridad y exactitud del mundo de las leyes le infundía más respeto que todo lo que se inculcaba a los alumnos en el Instituto de Münich, paralizando con esos métodos cualquier iniciativa independiente. A su natural tolerante le repugnaba el tono agresivo y autoritario que en tal época dominaba en la mayoría de las escuelas alemanas. Se apartaba horrorizado de dondequiera que viese uniformes cubiertos de dorados u oyese resonar bandas de música militares. No es de extrañar que desde un principio se opusiera al sistema guillermino de poder […]. Más tarde se expresó con las siguientes frases: «Lo peor es, a mi juicio, que una escuela se base por principio en los métodos del temor, de la fuerza y de una autoridad mal entendida. Tales métodos destruyen el sano sentido de justicia y la confianza del alumno en sí mismo: sólo son aptos para producir súbditos sumisos». Él mismo estaba tan lejos de ser uno de esos seres sometidos que, en el Instituto, el profesor encargado de dirigir su curso le dijo una vez: « ¡Preferiría que no viniese usted más a este Instituto!». Y cuando Einstein le respondió: « ¡Pero si yo no tengo la culpa de nada!», el profesor le dijo: «Desde luego que no, pero su sola presencia en la clase basta para destruir todo el respeto».Por otra parte, Albrecht Fölsing (1997: 30) ha señalado más recientemente que «es posible que en el joven Albert Einstein, que había visto sin poder hacer nada cómo la empresa de su padre desaparecía, estuviese ganando terreno la convicción de que la sociedad alemana en su conjunto había robado a su familia de su medio de vida. Su muy reservada actitud ante su país natal, incluso antes de 1933, pudo muy bien haber comenzado a desarrollarse entonces. Sus negativos, distorsionados, recuerdos del Gymnasium Luitpold y su propia decisión cuando cerró la empresa —a la que seguiría pronto su renuncia de la ciudadanía alemana— puede, al menos en parte, retrotraerse a los profundos traumas del año 1894».
Más informados son, en mi opinión, los comentarios que hizo Lewis Pyenson (1990 a: 30-31) en su libro sobre el joven Einstein, en el que, además, se ocupa del Gymnasium Luitpold:
El Gymnasium Luitpold era una buena escuela entre las de su clase a comienzos de los años noventa y Einstein pudo recibir en ella una magnífica educación. Su nivel ante los tribunales de examen fue, de hecho, excelente tantoen matemáticas y alemán como en latín y griego. No obstante, sabemos que el joven lo encontró inflexible y absurdo. En un escrito redactado poco antes de su muerte (Einstein, 1956 b), Einstein explicó en detalle su paso por la «autoritaria» escuela de Münich. Parangonó la formación del Gymnasium Luitpold con la que recibió posteriormente en una Suiza de tendencias democráticas. El sistema de Münich, señaló, estaba basado en «la ejercitación, la autoridad externa y la ambición». En el texto de este escrito sigue a continuación una frase insólita: «La verdadera democracia —escribió Einstein— no es una ilusión vana». Con estas palabras quería subrayar la calidad democrática de la educación suiza e indicar que se trataba de algo enormemente valioso. La frase puede tomarse también en un segundo sentido como una recriminación directa a su educación en Münich […].Como en alguna ocasión se ha sugerido, es posible que en la arriesgada —para su futuro— decisión que tomó Albert, también jugara algún papel el deseo de evitar tener que cumplir con el servicio militar en Alemania, idea que apoya el hecho de que más tarde se convirtiera en apátrida hasta que consiguió la ciudadanía suiza. Sin embargo, el dejar Alemania no significa que no desease seguir estudios universitarios. En el otoño de 1895, después de pasar unos meses con sus padres en Pavía, llegaba a Zúrich con el propósito de entrar directamente en la Escuela Politécnica Federal (Eidgenössische Technische Hochschule, ETH) de aquella ciudad, que había alcanzado reputación como centro de vanguardia en la enseñanza superior de la física y la matemática en el mundo de habla alemana.
La negra descripción del Gymnasium Luitpold que Einstein da, produce la engañosa impresión de que el Instituto impartía una formación reaccionaria e inhumana. Su visión retrospectiva está impregnada sin duda alguna de sentimientos extremados dirigidos contra una Alemania que había permitido el desarrollo del fascismo. El reconocimiento de esta postrera antipatía no debe enturbiar lo que sabemos sobre Einstein, quien ya de joven era hostil a algunos de los valores dominantes en el sur de Alemania. Uno sospecha que al menos una parte de esta hostilidad se dirigía contra cualquier tipo de autoridad. En diciembre de 1894 , Einstein dejó a la mitad de su sexto curso el Gymnasium Luitpold. Se despidió amistosamente utilizando un volante médico donde se hacía constar la necesidad de abandonar la escuela debido a su «agotamiento nervioso», si bien Philipp Frank relata que, antes de que Einstein pudiera valerse de esta excusa médica, uno de sus profesores le pidió que abandonara la escuela porque su trastornadora presencia perturbaba a los otros alumnos. Einstein se llevó una carta de su profesor de matemáticas acreditando sus capacidades, pero sabía que sin el diploma final, o Abitur, no estaría cualificado para llegar a ser profesor de enseñanza media de los cursos superiores, ni tendría acceso a los altos cargos en los servicios militar, postal, de minas o ferroviario, ni en todos los demás trabajos gubernamentales. Einstein se auto marginaba de la vida intelectual de una sociedad que valoraba enormemente la cultura y la educación tradicional. No quería nada de todo aquello.
Fundada en 1855, la ETH fue una excepción en el sistema educativo suizo, al ser la única institución de educación superior financiada por el Gobierno federal suizo, lo que la distinguía de las doce universidades cantonales. En 1855, su nombre era Eidgenössische Polytechniche Schule, o «Poly», un nombre del que todavía quedan restos en el tranvía eléctrico que permite subir sin esforzarse la empinada cuesta desde el centro de Zúrich a la escuela, ya que se conoce como «Polybahn». Fue en 1911, esto es, después de que Einstein se hubiese graduado allí, cuando se cambió su nombre a Eidgenössische Technische Hochschule.[58] Tampoco en 1855, la escuela disponía del impresionante edificio neoclásico que se alza en la ladera sobre el río Limmat, con espléndidas vistas panorámicas de Zúrich y sus alrededores. Este edificio se inauguró en 1864, de manera que Einstein no estudió en el original.
En 1855, Suiza no era la nación rica que es ahora, nada comparable a la riqueza y el poder que atesoraban Francia, Alemania o Austria. Su población era de dos millones y medio de personas (y la mortalidad infantil, un indicador de desarrollo, de, aproximadamente, el 28 por ciento), así que fundar una institución como el Poly constituyó una iniciativa tan inteligentemente previsora como arriesgada. Tal vez influyese la atracción que el desarrollo tecnológico estaba despertando por aquel entonces en todo el mundo, como muestra el extraordinario número de personas que visitaron la gran exposición mundial —la «Great Exhibition of the Works of Industry of all Nations»— que se celebró en Londres en 1851, así como la Exposition Universelle de l'Industrie de París (1855). Consecuentemente, durante el siglo XIX, las enseñanzas que se impartían estaban concentradas en seis departamentos, de intereses prácticos: Arquitectura, Ingeniería civil, Ingeniería mecánica, Química, Silvicultura y Matemáticas.

La ETH hacia 1890.

Einstein, el primero de la primera fila, asistiendo a la clase de Jost Winteler en Aarau.

Albert Einstein en Aarau, 1895.

Einstein con sus compañeros de clase en Aarau, 1896.
La carrera en la sección VI A de la ETH constaba de cuatro cursos, divididos en dos semestres, el de invierno y el de verano. Las asignaturas obligatorias que tuvo que cursar Einstein fueron las siguientes (agrupadas por profesores):[60] Adolf Hurwitz (Cálculo diferencial e integral; Ecuaciones diferenciales), Wilhelm Fiedler (Geometría descriptiva; Geometría proyectiva), Albin Herzog (Mecánica), Carl Geiser (Geometría analítica; Determinantes; Geometría infinitesimal; Teoría geométrica de los invariantes), Hermann Minkowski (Geometría de los números; Teoría de las funciones; Teoría del potencial; Funciones elípticas; Mecánica analítica; Cálculo de variaciones; Álgebra; Ecuaciones en derivadas parciales; Mecánica analítica aplicada), Ferdinand Rudio (Teoría de los números), Arthur Hirsch (Teoría de las integrales definidas; Teoría de las ecuaciones diferenciales lineales), Johann Pernet (Introducción a las prácticas de Física; Prácticas de Física para principiantes), Heinrich F. Weber (Física; Principios, aparatos y métodos de medida de la Electrotecnia; Vibraciones eléctricas; Laboratorio de Electrotecnia; Proyectos científicos en los laboratorios de Física; Introducción a la Electromecánica; Corrientes alternas; Sistemas de medidas eléctricas absolutas), Alfred Wolfer (Introducción a la Física celeste; Introducción a la Astronomía; Mecánica celeste; Determinación geográfica de lugares) y August Stadler (Teoría del pensamiento científico; Filosofía de Kant). En lo que se refiere a las asignaturas no obligatorias, eran éstas: Ernst Fiedler (Proyección central), C. F. Geiser (Balística exterior), Albert Heim (Prehistoria del hombre; Geología de los sistemas montañosos), Wilhelm Oechsli (Política suiza; Historia de la cultura suiza en la Edad Media y en la Época de la Reforma), Julius Platter (Operaciones de Banca y Bolsas; Consecuencias sociales de la libre competencia; Doctrinas fundamentales de la Economía nacional), Jakob Rebstein (Fundamentos matemáticos de la Estadística y de los Seguros), y Robert Saitschik (Obra e ideología de Goethe).
En su autobiografía, Einstein (1949 a; Sánchez Ron, ed., 2005: 48) se refirió a sus maestros en la ETH de la siguiente manera: «Allí tuve excelentes profesores (por ejemplo, Hurwitz, Minkowski), de manera que realmente podría haber adquirido una profunda formación matemática. Yo, sin embargo, me pasaba la mayor parte del tiempo trabajando en el laboratorio de Física; fascinado por el contacto directo con la experiencia, pasaba muchas horas trabajando en el laboratorio de Física y empleaba las horas restantes a estudiar en casa las obras de Kirchhoff, Helmholtz, Hertz, etcétera. Mi actitud algo descuidada hacia las matemáticas no se debía sólo a mi atracción hacia las ciencias naturales, sino también a una resolución mía bastante curiosa: a mi parecer, la matemática estaba dividida en tantas especialidades, cada una de ellas tan absorbente que podía exigir la dedicación de toda una vida, que me hacía sentir como el asno de Buridán, incapaz de elegir uno de los montones de heno. Era evidente que mi sensibilidad matemática no era tan profunda como para distinguir entre los conocimientos básicos, los conocimientos fundamentales y cuestiones más o menos accesorias. Aparte, indudablemente mi interés por estudiar la naturaleza era más intenso y en mis años de estudiante no comprendía todavía que alcanzar los conocimientos físicos fundamentales exigía dominar los métodos matemáticos más sutiles, vínculo que vislumbré poco a poco después de años trabajando como científico».
En la ETH, Einstein se sintió especialmente atraído por las enseñanzas de Heinrich Weber: como vimos, siguió ocho de sus cursos de Física experimental (principalmente electrotecnia). De hecho, su intención era continuar utilizando el laboratorio de Weber tras graduarse, para investigar en la termoelectricidad, con la esperanza de poder utilizar los resultados para una tesis doctoral dirigida por el propio Weber. Tales esperanzas no llegaron, sin embargo, a concretarse, tampoco la esperanza de iniciar una carrera académica inmediatamente después de finalizar sus estudios. Fue el único de los cuatro estudiantes (además de él, Marcel Grossmann, Jakob Ehrat, Louis Kollrosque) que pasaron los exámenes finales de su sección en julio de 1900 que no consiguió un puesto de assistent (ayudante), el primer escalafón en la carrera universitaria, y ello a pesar de que la nota media que obtuvo fue razonable: 4,91 de un máximo de 6. Aquello fue una sorpresa para el propio Einstein. Tenía, por ejemplo, esperanzas de llegar a ocupar un puesto con el matemático Adolf Hurwitz: «es probable que con la ayuda de Dios llegue a criado de Hurwitz», escribía a Mileva Maric, el 13 de septiembre de 1900. [61] Pero no tuvo éxito. Ni tampoco con Eduard Riecke, director de la División de Física experimental del Instituto de Física de la Universidad de Gotinga, a quien escribió en marzo de 1901. Por entonces estaba convencido de tener en su contra a Weber, a quien no perdonó jamás: cuando éste falleció, en 1912, escribió (el 5 de junio de 1912) a su amigo Heinrich Zangger, director del Instituto Anatómico-Fisiológico de Zúrich:[62] «La muerte de Weber es buena para la Escuela Politécnica».

Heinrich Weber.
Estimado Herr professor:El artículo al que se refería Einstein era su primer trabajo científico, «Conclusiones extraídas del fenómeno de la capilaridad» (Einstein, 1901), en el que, efectivamente, Ostwald aparece citado. [63]
Como su trabajo sobre Química general me inspiró a escribir el artículo adjunto, me tomo la libertad de enviarle una copia del mismo. Permítame también preguntarle en esta ocasión si necesita usted un físico matemático familiarizado con mediciones absolutas. Si me permito hacerle semejante pregunta, es únicamente porque me encuentro sin ningún medio y sólo un puesto de este tipo me ofrecería la posibilidad de continuar mi educación.
Infatigable, no cesaba en sus esfuerzos por encontrar otras posibilidades para obtener un puesto de assistent. El 4 de abril de 1901 le contaba a Mileva Maric que se había dirigido «al Politécnico de Stuttgart, donde hay un puesto libre, y he vuelto a escribir a Ostwald. ¡Pronto habré honrado con mi oferta a todos los físicos desde el mar del Norte hasta la punta meridional de Italia!». [64]
Menos de un mes después de haber escrito a Ostwald, el 12 de abril, era Heike Kamerlingh Onnes, el líder mundial de la física de bajas temperaturas en su laboratorio de Leiden, quien recibía la petición de Albert (CPAE, 1987: 288):
Estimado Herr professor:§. Mileva Maric
He sabido a través de un amigo de la universidad que usted tiene una vacante para un ayudante. Me tomo la libertad de solicitar el puesto. He estudiado cuatro años en el Departamento de Matemáticas y Física del Politécnico de Zúrich, especializándome en física. Obtuve allí mi diploma el verano pasado. Por supuesto, le proporcionaría con placer la transcripción de mis notas.
Tengo el honor de enviarle por el mismo correo una separata de mi artículo que ha parecido recientemente en Annalen der Physik.
Respetuosamente.
Mileva Maric (1875-1948), la compañera de Einstein que ya ha aparecido en estas páginas, fue una persona importante en la vida del genio, muy importante: se casó con ella el 6 de enero de 1903. Mileva nació el 19 de diciembre de 1875 en Titel, entonces parte de Hungría, en la actualidad de Serbia. Era hija de un funcionario de grado medio de la Administración húngara. Su educación fue, geográficamente, variada: tras comenzar sus estudios escolares en Ruma en 1882, pasó el curso 1886-1887 en Neustaz o Ujvidék (hoy Novi Sad) en una escuela femenina; entre 1887 y 1890 estudió en una escuela secundaria en Sremska Mitrovica y, a continuación, pasó a un Gymnasium de Sabac; de 1892 a 1894 fue alumna particular del sexto curso de un Obergymnasium masculino de Zagreb y los dos siguientes cursos los pasó en la Höhere Töchterschule de Zúrich, donde recibió el Matura en 1896; durante el semestre de verano de aquel año estudió Medicina en la Universidad de Zúrich y, a continuación, se matriculó en la sección VI A de la ETH, donde conoció a Einstein.

Mileva Maric.
Amigos de juventud: Marcel Grossmann y Michele Angelo BessoDurante los años de juventud y estudios, años de compañerismo y esperanza, surgen amistades, muchas de las cuales terminan desvaneciéndose en los complejos, laberínticos, caminos que constituyen nuestras biografías, pero algunas de aquellas amistades permanecen y nos ayudan a transitar por la vida. Albert Einstein disfrutó del beneficio de dos sólidas amistades de juventud y estudios en Zúrich: Marcel Grossmann (1878-1936) y Michele Angelo Besso (1873-1955). Einstein y Grossmann pertenecían a la misma promoción de su curso en la ETH. «Una vez a la semana —manifestó Einstein—, yo iba solemnemente con él al Café Metropolen, en el embarcadero del Limmat, y hablábamos no solamente de nuestros estudios, sino también de todo lo que puede interesar a jóvenes con los ojos abiertos», además lo consideraba «un estudiante modélico, cercano a sus profesores […] mientras que yo me mantenía alejado e insatisfecho, no era demasiado popular». [65] Por su parte, Grossmann, cuya familia se había asentado en Zúrich desde hacía generaciones (su padre dirigía una fábrica de textiles), advirtió el fondo genial de su compañero: «algún día —les comentó a sus padres—, este Einstein hará algo realmente grande».
Grossmann fue importante para Einstein en varios aspectos, tres de ellos fundamentales: alumno consciente, en algunas ocasiones prestó sus apuntes de clase a Albert salvándolo así de probables suspensos; fue gracias al padre de Marcel que Einstein consiguió un empleo en la Oficina de Patentes de Berna, y fue él quien le enseñó las matemáticas que se necesitaban para la teoría de la relatividad general (de hecho, la primera aparición de la geometría riemanniana fue en un artículo firmado conjuntamente por Einstein y Grossmann).Por todo ello, no es sorprendente que Einstein (1905 e) dedicase su tesis doctoral a Grossmann.Marcel Grossmann.
A Michele Besso, un ítalo-suizo de orígenes sefardíes, Einstein lo conoció en 1896 en una velada musical que organizaba los sábados en su casa de Zúrich una mujer llamada Selina Caprotti. Por entonces, Besso ya se había graduado (en 1895) en Ingeniería mecánica en la ETH y trabajaba en una fábrica de maquinaria eléctrica en Winterthur (1896-1899). En 1898, se casó con Anna Winteler, miembro de la familia con la que Einstein había pasado su feliz año en Aarau, en lo que sin duda debemos ver la influencia de Albert.Como veremos, fue gracias a Besso que Einstein leyó a Ernst Mach, lecturas que lo ayudaron en su camino hacia la teoría de la relatividad especial. Besso pasó 1900 y 1901 en Milán, trabajando como asesor técnico para la Società per lo Sviluppo delle Industrie Electricche (Sociedad para el Desarrollo de la Industria Eléctrica) en Italia. Tras pasar unos años (1901-1904) en Trieste, donde su padre había dirigido una compañía de seguros, Besso fue contratado, recomendado por Einstein, por la Oficina de Patentes de Berna, en la que trabajó hasta 1908. Después desempeñó diversos puestos en la propia Berna y en Italia para terminar regresando a Suiza en 1915. En Zúrich vivió en 1915-1918, periodo en el que actuó como intermediario durante el proceso de separación de Einstein y Maric y cuidó a los hijos de su amigo cuando Mileva estuvo enferma. Después de pasar otros dos años en Italia, en Roma, regresó a Berna en 1920, donde trabajó en la Oficina de Patentes hasta 1938, año en que se jubiló.Michele Angelo Besso, retrato debido a Paul Winteler.
Besso fue importante para Einstein porque con él podía discutir, de manera ilustrada, sus ideas. Fue, como veremos, la única persona a la que citó en su artículo de la relatividad especial, un artículo en el que no existen referencias. Como también veremos, desempeñó un cierto papel en la búsqueda de Einstein de una teoría relativista de la gravitación.
Al menos en cuanto a sus deseos de conseguir una educación avanzada, Mileva Maric fue una mujer notable. Solamente cuatro mujeres antes que ella se habían matriculado en la sección VI A en toda la historia de la ETH. Aquel curso, 1896-1897, únicamente veinte mujeres seguían cursos de ciencias naturales y matemáticas en todas las universidades prusianas. En 1900-1901, en Holanda, el país que primero dio títulos universitarios de Medicina a mujeres, solamente 64 estudiantes femeninas se habían matriculado en Facultades de Ciencias. Si nos fijamos en los resultados académicos que obtuvo en la ETH y en la medida en que las calificaciones representan algo (lo que no siempre es cierto), hay que concluir que su distinción científica no fue notable: dos veces (1900 y 1901) fracasó en su intento de superar los exámenes para el diploma de la ETH. Los argumentos que se han esgrimido, utilizando la correspondencia reproducida en las cartas que intercambió con Einstein durante su noviazgo, en el sentido de que Maric colaboró estrechamente en la elaboración de algunos de los primeros trabajos capitales de Einstein, no se sostienen ni analizando el contenido de las cartas ni observando la carrera posterior de Albert (recordemos, por ejemplo, que en 1915, ya separado de Mileva, completó su, probablemente, mayor contribución a la física, la teoría general de la relatividad).[66] Las alusiones de Einstein a posibles trabajos comunes son vagas y limitadas a la capilaridad y al movimiento relativo[67] y se deben entender en el mismo sentido que cuando leemos al joven enamorado escribir a su novia (28 de diciembre de 1901): «Cuando seas mi querida mujercita haremos trabajo científico celosamente los dos juntos para no convertirnos en viejos burgueses, ¿verdad?». Tampoco se sostienen al leer manifestaciones tan directas como las contenidas en otras cartas: «Estoy trabajando mucho en una electrodinámica de los cuerpos móviles que promete convertirse en un tratado capital» (Einstein a Maric, 17 de diciembre de 1901) y «Hoy he estado toda la tarde con Kleiner en Zúrich y le he explicado mis ideas sobre la electrodinámica de los cuerpos en movimiento» (Einstein a Maric, 19 de diciembre de 1901).
Prácticamente apartado de un ambiente académico e, incapacitado, por consiguiente, para discutir con investigadores más experimentados, Maric ofrecía a Einstein, y no fue poco, alguien con quien hablar de física, pero en esto no se diferenciaba de los casos de sus amigos más cercanos de sus años de empleado en la Oficina de Patentes de Berna, Michele Angelo Besso, Maurice Solovine o Conrad Habicht, personajes todos ellos alejados de los medios académicos (volveré a este tema más adelante).[68] De hecho, existen indicios de que estos tres amigos de Einstein le dieron más, en lo que a la física y a la filosofía se refiere, que Mileva. Así, en las diez cartas conservadas que Mileva envió a Albert durante su noviazgo, con la excepción de unos comentarios a una clase de Philipp Lenard, no hay prácticamente ninguna discusión científica.[69] Es significativo también el siguiente comentario debido a Solovine (1956: XII): « [El matrimonio de Einstein con Maric] no ocasionó ningún cambio en nuestras reuniones. Mileva, inteligente y reservada, escuchaba atentamente, pero nunca intervino en nuestras discusiones».
Estas palabras de Solovine dan pie a preguntarse cuál era el carácter y la personalidad de Maric. La pregunta es difícil, ya que las imágenes que nos han llegado de ella no son «limpias», por decirlo de alguna manera, puesto que siempre se presentan en relación con la personalidad y las necesidades del genio con el que convivió durante algunos años.[70] Philipp Frank, que sucedió a Einstein en la cátedra de Física de la Universidad Alemana de Praga, de manera que lo conoció al menos hacia 1912, escribió en su biografía de Einstein (Frank, 1949: 33-34):«Poco después de su llegada a Berna, Einstein se casó con Mileva [Maric], su compañera de estudios en el Politécnico. Era un poco mayor que él. Pese a su inclinación por la Iglesia ortodoxa [griega], era librepensadora y de ideas avanzadas, como la mayoría de los estudiantes serbios. Reservada por temperamento, no tenía habilidad para hacerse grata a cuantos la rodeaban. El carácter totalmente distinto de Einstein la hizo sentirse a disgusto en muchas ocasiones. La mujer era seca y un poco dura. La vida matrimonial no fue para Einstein fuente de paz y felicidad. Cuando se le ocurría discutir sus ideas con Mileva, las respuestas de ésta no demostraban el más mínimo interés. Sin embargo, al principio, gozó del placer de vivir su propia vida con su familia».
Por su parte, Carl Seelig (2005:72-73) en su, en general bastante fiable y documentada biografía, describió a Maric de la siguiente manera: «Contaba con la suficiente inteligencia media, pero no tenía una aptitud especial para las Matemáticas. Sin la ayuda de Einstein, quizá nunca habría sacado el certificado de estudios. Su modo de ser, circunspecto y muy reservado, hacía que tanto los estudios como la vida misma le resultasen penosos. Producía una dolorosa impresión entre quienes la rodeaban, por su carácter más bien sombrío, sus pocas palabras y su desconfianza. Sin embargo, quienes la conocían más de cerca podían ir apreciando su exquisita hospitalidad eslava y la modestia reserva con que presenciaba los debates, a menudo animados. Le daba muy poca importancia a su aspecto exterior, pues le era completamente ajena la coquetería femenina. Una tuberculosis articular le dificultaba el andar y esto, unido a algunos síntomas neuróticos y a los celos casi patológicos que sufría, la amargaba de tal modo que a veces era un tormento tanto para los que la rodeaban como para ella misma».
Independientemente de lo ajustadas a la verdad o no que puedan ser estas, desde luego, poco caritativas y comprensivas descripciones (como veremos más adelante, Einstein también tenía su lado oscuro), lo único seguro es que no se corresponden a sus primeros años de relaciones. La correspondencia de juventud que mantuvieron refleja los intensos sentimientos que los unían y atraían. El estudioso familiarizado con la biografía y el pensamiento del Einstein consagrado podrá sorprenderse al leer párrafos como el que sigue, pero la sorpresa no evita que se deban, efectivamente, a la pluma de Einstein (¿14? de agosto de 1900): « ¿Cómo he podido vivir antes solo, mi pequeño todo? Sin ti me falta el amor propio, el placer del trabajo, la alegría de la vida, en suma, sin ti mi vida no es vida».
Es muy posible que al menos una parte de los problemas que con el tiempo surgieron entre Einstein y Maric se debieran a los cambios que se produjeron en él, cada vez más absorbido por su actividad científica. Visto retrospectivamente, existen suficientes indicios como para no advertir que lo que Einstein, ya con todas sus facultades creativas como físico, buscó en sus dos esposas fue más un servicio que una compañía basada en compartir experiencias. Esto ya es patente en una fecha tan temprana como enero de 1903, cuando Albert, recién casado con Mileva, escribía a Besso (Speziali, ed., 1994: 73): «Soy ahora por tanto un hombre casado y llevo con mi mujer una vida muy agradable. Ella se ocupa perfectamente de todo, cocina bien y se muestra siempre alegre». Mientras que Elsa, la segunda esposa (y prima) de Einstein, soportó bien y, por lo que sabemos, con gusto tal situación —dulcificada sin duda por la fama de su consorte—, el carácter aparentemente complicado de Mileva no permitió una solución «satisfactoria». Pero ni siquiera con Elsa fue feliz Einstein. [71]
Volvamos, no obstante, a la correspondencia entre Einstein y Maric. En el aspecto puramente personal, sus cartas muestran varios hechos. Uno de ellos es la oposición de la familia de Einstein a las relaciones entre ambos, una oposición fundada en argumentos del tipo: «Hipotecas tu futuro y te cierras tu vida»; «Ella no puede entrar en ninguna familia decente»; «Esa mujer es un libro como tú, deberías tener una mujer»; «Cuando cumplas 30 años, se habrá convertido en una vieja bruja», que Albert contaba a Mileva en una carta del ¿29? de julio de 1900. Einstein, sin embargo, no se dejó influenciar. En su opinión, sus padres consideraban «a la mujer un lujo del hombre que éste sólo puede permitirse cuando disponga de una cómoda existencia, pero yo tengo en muy poco semejante concepción acerca de las relaciones entre hombre y mujer, puesto que, según eso, la mujer y la prostituta sólo se diferencian en que la primera, gracias a sus mejores condiciones de vida, puede conseguir del hombre un contrato de por vida. Semejante opinión es la consecuencia natural de que en mis padres, como en la mayoría de las personas, los sentidos ejercen el dominio directo sobre los sentimientos, mientras que en nosotros, gracias a las felices circunstancias en que vivimos, el goce de la vida es infinitamente más amplio».[72]
§. Lieserl, la hija perdida de Maric y Einstein
Otro de los hechos, el más llamativo y novedoso, que revela esa correspondencia es que en algún momento a comienzos de 1902 (la segunda mitad de enero muy probablemente), Maric tuvo una hija de Einstein, llamada en las cartas «Lieserl», de cuya existencia no se había tenido noticia hasta la aparición de las mismas.
La primera referencia al embarazo de Mileva aparece, fugazmente (« ¿Qué tal, cariño? ¿Qué hace el niño?»), en una carta de Einstein escrita hacia el 28 de mayo de 1901. A comienzos de julio, posiblemente el día 7, Albert animaba a Mileva: «Pero alégrate ahora de la decisión irrevocable que he tomado. He decidido lo siguiente acerca de nuestro futuro: me busco inmediatamente un trabajo, por pobre que sea. Mis objetivos científicos y mi vanidad personal no me impedirán aceptar el papel más subordinado que haya. En cuanto lo tenga, me caso contigo y te llevo conmigo sin decirle a nadie ni una palabra hasta que todo esté consumado. Entonces nadie podrá arrojar ninguna piedra contra ti, cariño, y ¡ay de quien se atreva a hacerte algo!».
El 12 de diciembre, un día después de la aparición del anuncio de la vacante del puesto en la Oficina de Patentes, Einstein empezaba a programar su futuro con Maric en Berna, un futuro en el que no faltaba Lieserl: «Lo único que habría que resolver sería la cuestión de cómo podríamos llevar a nuestra Lieserl con nosotros, no quiero dejarla fuera de nuestras manos». El 4 de febrero, ya nacida la niña en la casa del padre de Mileva, en el sur de Hungría, Einstein, entusiasmado, buscaba noticias acerca de su hija desde Berna: « ¿Está sana y llora con fuerza? ¿Qué ojos tiene? ¿A quién de nosotros se parece más? ¿Quién la amamanta? ¿Tiene hambre? Tendrá una bonita calva. ¡La quiero tanto y ni siquiera la conozco! ¿No se le puede hacer una fotografía cuando tú vuelvas a estar sana? ¿Puede mover ya algo sus ojos?».
A pesar de los buenos deseos de Einstein, Lieserl no fue a Berna con sus padres (recordemos que Albert y Mileva se casaron el 6 de enero de 1903). Una carta posterior de Einstein parece indicar que la niña no sobrevivió a un ataque de escarlatina en 1903. Más allá de esto, no se tiene ninguna información de su destino, a pesar de los esfuerzos que se hicieron en su momento por localizar algún documento en Yugoslavia. [73]
Teniendo en cuenta de quien estamos hablando, uno de los mayores genios de la historia de la humanidad, y de que se tardaron décadas en conocer este suceso de la vida de Einstein, es inevitable intentar profundizar algo más en él.
En primer lugar, parece plausible pensar que existe algún tipo de conexión entre el hecho de que el 15 de abril Einstein recibiese la oferta de un trabajo —temporal, eso es cierto— en Winterthur, así como la noticia de la posibilidad de un empleo estable en la Oficina de Patentes de Berna, y el que entre nueve y diez meses después Maric alumbrase una hija. El futuro que los dos jóvenes creían ver ante sí tal vez los animase a asumir sin demasiadas preocupaciones ciertos riesgos. Una ocasión propicia pudo haber sido el viaje que emprendieron el 5 de mayo (aprovechando el desplazamiento que Einstein tenía que efectuar desde Milán a Winterthur para incorporarse a su nuevo trabajo) y que Maric describió en una carta que envió en mayo a su amiga Helene Savic (CPAE, 1987: 301): «Albert se encuentra en Winterthur desde primeros de mayo. El 5 de mayo fui a Como, donde una persona me esperaba con los brazos abiertos y un “corazón palpitante”. Debería contarte nuestro viaje porque fue tan bello que hizo que me olvidara de todas mis penas». Y a continuación Mileva mencionaba que habían pasado medio día en Como, desde donde habían continuado hacia el Splügen, que querían atravesar, a pesar de estar cubierto de nieve (alquilaron un «trineo muy pequeño […] con justo el espacio para dos personas enamoradas»).
Si tenemos en cuenta que las cartas que estoy utilizando no permiten descartar la posibilidad de que Einstein y Maric, dos estudiantes alejados de sus respectivas familias, hubiesen tenido relaciones sexuales esporádicamente bastante antes de mayo de 1901, cabe preguntarse si a partir de esta última fecha la pareja cambió de modo voluntario sus hábitos. En este sentido, Lewis Pyenson (1900 b) ha realizado un interesante estudio en el que analiza las relaciones entre Einstein y Maric desde la perspectiva de los modos de comportamiento sexuales en las diferentes comunidades que formaban sus distintos y variados entornos sociales y familiares.
A finales del siglo XIX, métodos de control de natalidad, incluyendo el aborto, estaban bien establecidos en Centro Europa, a pesar de que la publicidad y la venta de anticonceptivos eran, a menudo, ilegales, y el aborto no terapéutico, un crimen. Albert y Mileva, dos jóvenes cosmopolitas y educados, debían de estar familiarizados con tales posibilidades, que muy probablemente utilizarían en el supuesto de que llevasen compartiendo lecho en alguna ocasión bastante antes del mencionado mes de mayo. El que renunciasen —continuando con esta hipotética historia— a semejantes ventajas refuerza la tesis de la posibilidad de que actuasen si no de forma voluntaria, sí, al menos, pasiva y despreocupadamente en vista al futuro que preveían.
Las cartas familiares de Albert Einstein a Mileva MaricAlbert Einstein firmó su último testamento el 18 de marzo de 1950, cuando sus médicos advirtieron que su aneurisma iba creciendo peligrosamente. En sus últimas voluntades, designó como albaceas al economista Otto Nathan (1893-1987) y a su fiel secretaria desde abril de 1928, Helen Dukas: «Doy y lego todos mis manuscritos, copyrights, derechos de publicación, royalties y acuerdos de royalties, así como todos mis demás derechos y propiedades literarias, de cualquier y de todo tipo de naturaleza, a mis albaceas aquí nombrados…», especificaba el testamento, de nueve páginas de extensión, en el que también se manifestaba que en última instancia todos los derechos y documentos deberían pasar a la Universidad Hebrea de Jerusalén.
Después de la muerte, en 1955, de Einstein, Dukas y Nathan se consagraron, durante un cuarto de siglo, a ordenar y completar los fondos escritos de su legado, depositados en la casa de Princeton donde vivió, y en la que continuó viviendo Dukas, y que en vida de Einstein no habían sido ordenados. Gracias a sus esfuerzos, el archivo triplicó su volumen. En 1982, poco después de la muerte de Helen Dukas, los derechos del legado de Einstein se transfirieron a la Universidad Hebrea de Jerusalén, donde finalmente fueron acogidos los originales (antes, habían sido depositados en el Institute for Advanced Study de Princeton [Instituto de Estudio Avanzado de Princeton], donde Einstein había sido profesor desde 1933).
La idea de que sus trabajos fueran publicados era obvia y no mucho después del fallecimiento de Einstein, Princeton University Press y Robert Oppenheimer, entonces director del Institute for Advanced Study, propusieron que se editasen sus trabajos científicos, idea que Nathan y Dukas rechazaron, en parte porque previeron el interés de la publicación de todos sus documentos, incluyendo especialmente sus escritos sobre pacifismo y asuntos políticos, que el propio Nathan asumió parcialmente, con la ayuda de Heinz Norden, en un libro publicado en 1960 y titulado Einstein on Peace (Nathan y Norden, eds., 1968). El 22 de febrero de 1971, los albaceas de Einstein firmaron un acuerdo con Princeton University Press para publicar una edición completa de las obras, la correspondencia y otros documentos de Einstein. Sin embargo, no fue hasta junio de 1976 que se designó a un editor (en el sentido anglosajón, esto es, una persona encargada de dirigir el proyecto): el profesor de Física y distinguido experto en relatividad, John Stachel. No obstante, durante dos años, el proyecto estuvo parado, debido a diferencias entre los albaceas del legado de Einstein y Princeton Universiy Press, relativos a si Stachel debía ser el único editor o formar parte de una troika. Finalmente, el asunto se resolvió en los tribunales y el proyecto editorial comenzó a andar bajo la dirección de Stachel. [74]
El primer tomo de The Collected Papers of Albert Einstein apareció en 1987 (CPAE, 1987); cuando escribo estas líneas han aparecido ya catorce gruesos volúmenes —uno dividido en dos tomos—, que cubren la vida de Einstein hasta mayo de 1926. Estaba próximo a ser completado aquel primer tomo y, por consiguiente, a ser publicado, cuando aparecieron una serie de cartas familiares, de las que se incluyeron 51, 41 de Albert a Mileva y 10 de ella a él, cartas que mostraron aspectos insospechados de la vida de ambos en sus primeros años de relación. Esas cartas formaban parte de un conjunto mayor, constituido por los fondos documentales que guardaba en Zúrich Mileva Maric y que a su muerte fueron enviados a su hijo mayor, Hans Albert, residente en Estados Unidos, donde enseñaba en la Universidad de Berkeley. Completado con cartas en posesión de Hans Albert (la última de éstas, de Albert a Hans Albert, lleva fecha de 28 de diciembre de 1954), el conjunto epistolar de aquel fondo estaba compuesto por 430 cartas, que abarcaban todo tipo de asuntos familiares, incluidos los correspondientes a los años de separación y divorcio. Todo este incomparable material salió a subasta en la casa Christie's de Nueva York el 25 de noviembre de 1996, bajo el rótulo de «The Einstein Familiy Correspondence, including the Albert Einstein-Mileva Maric Love Letters». La suma total obtenida fue de 878 925dólares, siendo el lote compuesto por las «cartas de amor» que he mencionado y utilizado el que alcanzó un precio mayor, 442.500dólares. El mismo día, por cierto, también salieron a subasta en Christie's otros dos valiosos manuscritos de Einstein, relativos a su trabajo en la teoría de la relatividad: uno de 72 hojas que preparó en 1912 en el que resumía la teoría de la relatividad especial, y un manuscrito (26 páginas escritas por Einstein, 25 por Besso, más tres escritas al alimón) preparado seguramente en junio de 1913, con adiciones posteriores, en las que intentaban calcular la variación del perihelio de Mercurio según la versión de la teoría relativista de gravitación que entonces manejaba Einstein (este manuscrito fue vendido por 398.500 dólares).

§. Berna: Experto de tercera clase en la oficina de la propiedad intelectual y nuevos amigos
Dada la penosa, casi desesperada, situación en que se encontraba Einstein, algunos de sus amigos intentaron ayudarlo. Fue finamente Marcel Grossmann, quien logró, con la ayuda de su padre, un puesto estable para Albert en la Oficina de Protección de la Propiedad Intelectual (o, lo que es lo mismo, Oficina de Patentes) de Berna.[77] En una de las cartas que envió a Mileva, la del 15 de abril de 1901 (estaba entonces en Milán), encontramos noticia de aquella, por entonces, posibilidad (Sánchez Ron, ed., 1990: 73-74):
Mi querida muñeca:Einstein se estaba refiriendo a una recomendación que el padre de Marcel, Jules Grossmann (1843-1934), había enviado a Friedrich Haller, colega y amigo suyo durante años y entonces director de la Oficina de Patentes suiza (Eidgenössisches Amt für geistiges Eigentum).
No te enfades por no haber ido a Lugano como me pedías. A finales de la semana pasada estaba con un humor de perros porque de nuevo la caza de varios puestos de trabajo no ha mostrado ningún progreso. Pero sólo espera, cariño, en un par de semanas volveremos a vernos, ¡qué gusto! Ayer recibí una carta del profesor [Jakob] Rebstein, del Politécnico de Winterthur, preguntándome si quiero sustituirlo del 15 de mayo al 15 de julio porque tiene que ir a hacer su servicio militar. ¡Puedes imaginarte con qué gusto hago esto! Tengo que dar unas treinta horas semanales, entre ellas incluso de geometría descriptiva, pero el valiente suabo no se asusta. Pero sigue escuchando. Anteanoche recibí una carta de Marcel [Grossmann] en la que me comunicaba que probablemente recibiré pronto un puesto estable en la Oficina de Protección Intelectual de Berna. ¿No es esto demasiado de una vez? ¡Imagínate que trabajo tan maravilloso sería para mí! Sería más que feliz si saliera. Imagina que bonito es que los Grossmann se hayan interesado incluso ahora por mí.

Interior de la Oficina de Patentes en la época de Einstein.

Nómina de los empleados de la Oficina de Patentes de Berna.
Muy estimado señor:Una semana después de su nombramiento, esto es, el 23 de junio, Einstein comenzó a prestar sus servicios en la Oficina de la Propiedad Intelectual; además de él, trabajaban allí doce técnicos más. Su sueldo anual inicial fue, efectivamente, de tres mil quinientos francos; en abril de 1906 ascendió a Experto de Segunda Clase, con un salario de cuatro mil quinientos francos; antes, el 16 de septiembre de 1904, el Consejo Federal había decidido confirmarlo definitivamente en su empleo, estableciendo su salario en tres mil novecientos francos. Hasta el 15 de octubre de 1909, en que fue nombrado profesor asociado de la Universidad de Zúrich, aquél sería su lugar de trabajo, seis días a la semana, ocho horas al día. Fue, por consiguiente, mientras era un empleado de la Oficina de Patentes suiza cuando escribió sus célebres artículos de 1905, su annus mirabilis.
En su sesión del 16 de junio de 1902 , el Consejo Federal lo ha elegido provisionalmente como Técnico Experto de Tercera Clase de la Oficina Federal para la Propiedad Intelectual, con un salario anual de tres mil quinientos francos.
A pesar de lo que se pueda pensar, en términos generales el trabajo en la Oficina de Patentes no fue desagradable para Einstein. Él mismo lo reconoció en un «Esbozo autobiográfico» que compuso el año de su muerte y que apareció publicado en un libro dedicado a su memoria que dirigió Carl Seelig (Einstein, 1956 b: 12):
El trabajo en la formulación definitiva de patentes técnicas fue una verdadera bendición para mí. Me forzó a pensar con intensidad y también me reportó importantes estímulos para mi pensamiento en asuntos de física […]. Una carrera académica pone al joven en una especie de situación en la que se ve forzado a producir trabajos científicos en cantidades notables, lo que significa una seducción a la superficialidad […]. Por otra parte, muchas de las profesiones prácticas son tales que se supone que una persona con habilidades normales debe producir lo que se supone de él. En su existencia social no depende de inspiraciones peculiares. Si posee una curiosidad científica más profunda, puede sumergirse en su problema favorito aparte de su trabajo obligatorio. De esta manera, no debe pesar en él el miedo a que sus esfuerzos puedan conducir a nada.Tampoco debemos olvidar que el propio Einstein fue responsable de algunas patentes, la más famosa una que desarrolló en 1926 junto al también notable físico, de origen húngaro, finalmente instalado en Estados Unidos, Leo Szilard, sobre un refrigerador. [78]
Sabemos bien que para integrarse verdaderamente en una nueva ciudad no basta con contar con un trabajo en ella y que uno de los requisitos más importantes para tal integración es hacer amigos en ella. Albert Einstein cumplió con esta condición y algunos de sus amigos de entonces merecen ser recordados por lo que contribuyeron a su desarrollo intelectual. Uno de ellos destaca especialmente: un rumano llamado Maurice Solovine (1875-1958), oriundo de Botosani, ciudad famosa por su comercio de cereales.[79] Dejemos que sea él quien explique cómo se conocieron (Solovine, 1956: V):
Cuando a comienzos de siglo llegué a Berna para cursar mis estudios universitarios, no estaba muy seguro de qué temas iba a estudiar. Como la filosofía tenía el prestigio, poco merecido en nuestros días, de ocuparse de los problemas más elevados, me sentía muy atraído por ella, pero, al mismo tiempo, me sentía animado por un vivo deseo de conocer la naturaleza concreta y es por ello que seguí al mismo tiempo que los cursos de filosofía, de literatura y de filología griegas, los de matemáticas, física, geología, así como un curso sobre la fisiología de los sentidos en la Facultad de Medicina. Trabajando con bastante ardor, pude adquirir durante el primer año un pequeño conjunto de conocimientos que estaba lejos de darme plena satisfacción, pero que permitía deshacer el caos de ideas que aparecían en mi cabeza y darme cuenta de los caminos y métodos que el espíritu debe emplear para llegar a resultados positivos. El curso de Física experimental me interesó mucho, pero el profesor encargado de él tenía la particularidad de hablar de las teorías físicas con desdén. Las teorías físicas, tenía la costumbre de decir, son construcciones más o menos arbitrarias, reposan sobre hipótesis, el descubrimiento de nuevos hechos las hace obsoletas convirtiéndolas en ruinas, mientras que los hechos rigurosamente estudiados por la experiencia y revestidos de una forma analítica representan una adquisición definitiva para la física y contribuyen continuamente a su enriquecimiento […].A la reunión del día siguiente siguieron muchas otras, con la participación de Conrad Habicht (1876-1958), que había ido a Berna a terminar sus estudios académicos de matemáticas. Los tres se solían reunir en casa de Einstein y denominaron a su pequeño círculo «Academia Olimpia».
Paseándome un día durante las vacaciones de Pascua de 1902 por las calles de Berna y habiendo comprado un periódico, me encontré con un anuncio que decía que Albert Einstein, antiguo alumno de la Escuela Politécnica de Zúrich, daba clases de Física por tres francos la hora [80] . Me dije entonces: acaso este hombre podría introducirme a los arcanos de la física teórica. Me dirigí, por tanto, a la casa indicada en el anuncio, subí al primer piso y tiré del cordón. Oí un tronante « ¡Entre!» y entonces vi aparecer a Einstein. Como la puerta de su apartamento daba a un sombrío pasillo, me vi golpeado por el extraordinario brillo de sus grandes ojos. Una vez que estuve dentro y tomé asiento, le dije que estudiaba filosofía, pero que también deseaba profundizar un poco en el estudio de la física para adquirir un conocimiento sólido de la naturaleza. Él me confesó que también se había sentido, cuando era más joven, vivamente atraído por la filosofía, pero que la vaguedad y la arbitrariedad que reinaban allí lo habían apartado de ella y que ahora se ocupaba únicamente de la física. Continuamos así más o menos dos horas ocupándonos de todo tipo de cuestiones y nos sentimos en comunión de ideas y atraídos el uno hacia el otro. Cuando me disponía a marcharme, me acompañó y discutimos todavía en la calle una media hora y quedamos en vernos el día siguiente.
¿Por qué detenerme en este episodio? La respuesta no es difícil: por las lecturas que aquel trío de amigos emprendió, algunas de las cuales fueron, como veremos, importantes para Einstein. De nuevo, Solovine se refirió a ellas en la introducción al volumen en el que reunió la correspondencia que mantuvo con Einstein entre 1906 y 1955, es decir, prácticamente toda su vida desde que se conocieron (Solovine, 1956: VII): «Hablando con él un día, le dije: “¿No crees que sería bueno que leyésemos juntos alguna obra de un gran maestro y que discutamos sobre los problemas que se tratan en ella?”. “Una idea admirable”, me dijo.

Los miembros de la «Academia Olimpia», Habicht, Solovine y Einstein. Berna, hacia 1903.
Al libro de Pearson lo siguieron (Solovine, 1956: VIII): « Análisis de las sensaciones y Mecánica de Mach, que Einstein ya había manejado antes, Lógica de Mill, Tratado de la naturaleza humana de Hume, Ética de Spinoza, algunas de las conferencias y memorias de Helmholtz, algunos capítulos deEnsayo sobre la filosofía de las ciencias de André-Marie Ampère, Sobre las hipótesis que sirven de fundamento a la geometría de Riemann, algunos capítulos de Crítica de la experiencia pura de Avenarius, Sobre la naturaleza de las cosas en sí mismas de Clifford, ¿Qué son los números y para qué sirven? de Dedekin, La ciencia y la hipótesis de Poincaré, un libro que nos impresionó profundamente y nos mantuvo en vilo durante semanas, y muchas obras más. También leímos obras literarias, como Antígona de Sófocles, Andrómaca de Racine, Cuentos de Navidad de Dickens, una buena parte de El Quijote, etcétera».
Fue aquélla una educación admirable; en particular, Mach, Spinoza y Riemann significaron mucho para aquel joven físico empleado de una Oficina de Patentes.
§. Matrimonio con Mileva Maric
Con un salario asegurado, Albert podía y quería pensar en casarse con Mileva. Sin embargo, la oposición de que se casase con Mileva no disminuyó; de hecho, la boda tuvo lugar, el 6 de enero de 1903, sólo tras la muerte, acaecida el 10 de octubre de 1902, de Hermann Einstein.

Albert y Mileva con Hans Albert, Berna, 1904.

Mileva con Eduard y Hans Albert, Berlín, 1914.
Tras el divorcio de sus padres, Eduard, al que muchos consideraban que había heredado el genio de Albert, aunque orientado no a las ciencias sino hacia la literatura y las artes, sufrió trastornos emocionales que con el tiempo se convirtieron en enfermedad mental. En 1932 sufrió un fuerte ataque de esquizofrenia y terminó siendo internado en un centro psiquiátrico, la clínica Burghölzli de Zúrich (en la que años antes había estado ingresada su tía, Zorka Maric, hermana menor de Mileva, que padecía un fuerte trastorno mental del que nunca se recuperó), y donde, por cierto, Carl Jung trabajó como aprendiz de psiquiatra. No se quedó allí, pero el año siguiente tuvo que volver a ser ingresado y terminó siendo un paciente permanente.
Cuando Tete fue ingresado, Einstein se encontraba entonces en Le-Coq-sur-Mer, en la costa belga. El 23 de octubre, Einstein, ya en Estados Unidos, escribía una carta a Besso, quien siempre se ocupó de Mileva y de sus hijos, en la que se puede apreciar algunos de sus sentimientos que le despertaba la enfermedad de su hijo, todavía, al parecer, de una intensidad manejable (Speziali, ed., 1994: 281-282): « [He invitado a Tete] a América, a Princeton, el año que viene. Este año, esto no sería recomendable, pues las circunstancias en California y en particular mis obligaciones son muy delicadas. Para Tete, esa estancia sería más una carga peligrosa que unas vacaciones. Desgraciadamente, todo induce a creer que la pesada herencia se manifiesta en él de manera decisiva. [81] Es lo que he visto venir, lenta pero irresistiblemente, desde la juventud de Tete. Las ocasiones y las influencias exteriores sólo desempeñan un pequeño papel en tales casos, en comparación con las secreciones internas, contra las cuales nada puede hacerse».
Einstein visitó por última vez a Eduard en mayo de 1933, cuando hizo una breve visita a Suiza, pocos meses antes de emprender (en octubre) su viaje, a la postre de un único sentido, a Norteamérica. Mileva Maric-Einstein, que sí solía visitar a su hijo, falleció en 1948. Eduard estaba, por consiguiente, solo, aunque su padre hubiese conseguido para él un tutor, un hombre con el que no parece que su enfermo hijo estuviese satisfecho. Recordemos que un esquizofrénico no es una persona que viva permanentemente alienada del mundo sino todo lo contrario, pues con frecuencia son personas conscientes y sensibles.
Y en este punto hay que volver a referirse a Carl Seelig, el primer biógrafo de Einstein, que se interesó por Eduard (hasta entonces todos sus biógrafos habían ignorado lo que había sucedido con él tras su ingreso en la institución mental, como si se hubiera muerto o aquello no tuviera importancia). A principios de 1952, con el permiso de Einstein, Seelig fue a ver a Eduard a la clínica Burghölzli y lo llevó a cenar a un restaurante. Se puede pensar que este comportamiento respondía al propósito de intentar ganarse el favor de Einstein para obtener de él información con vistas a la biografía que quería escribir, pero, aunque así fuera en alguna medida, la verdad es que Seelig fue un hombre especialmente sensible y preocupado por los enfermos mentales. Cuando comenzó a visitar a Eduard ya llevaba años (desde 1936) haciendo lo mismo con otro esquizofrénico: el poeta suizo Robert Walser, que también se encontraba recluido en un sanatorio mental (el de Appenzell-Ausserhoden, en Herisau) y al que continuó visitando hasta la muerte del poeta en 1956. De hecho, Seelig dejó escritas unas notas en las que relataba, a la manera de un diario, las visitas que a lo largo de los años había hecho a Walser, notas que más tarde verían la luz en forma de libro: Paseos con Robert Walser (1977). No es difícil suponer que algunas de las cosas que dejó escritas allí bien pudieran servir también para Eduard Einstein. Como cuando señalaba, refiriéndose a Walser (Seelig, 2000: 58): «Evita toda manifestación sentimental. Por lo demás, es ésta una actitud que se observa en muchos esquizofrénicos. O la balanza de los sentimientos oscila mínimamente ante los signos de alegría o dolor, o se producen las pacientes explosiones emocionales que a veces adquieren dimensiones catastróficas. Robert muestra la aspiración a distanciarse marcadamente de su entorno». Y también cuando repetía que Walser le había contado que «En los últimos años en Berna me atormentaron desordenados sueños: truenos, gritos, manos que me estrangulaban, voces alucinadas, de tal modo que a menudo me despertaba gritando. En una ocasión, me fui caminando a las dos de la madrugada de Berna a Thun, adonde llegué a las seis de la mañana. A mediodía estaba en Niesen, donde, complacido, di buena cuenta de un trozo de pan y una lata de sardinas. Por la tarde volvía a estar en Thun y, a medianoche, en Berna y, naturalmente, todo ello a pie» (Seelig, 2000: 23).
Seelig fue, en efecto, una persona buena y compasiva. Su albacea, Elio Fröhlich (2000: 153), dijo de él: «Como amigo de Carl Seelig y su albacea testamentario, fui testigo de su acción humanitaria y su inusual disposición a ayudar a artistas, científicos y escritores, pero también a seres anónimos que necesitaban su ayuda. No esperaba a que alguien en apuros acudiera a él, él buscaba al necesitado. Su concepto del bien era integral. No entendía por bien la mera ayuda material, quería sobre todo ayudar espiritualmente. Si veía a un escritor cuya obra estimaba, pero que no gozaba del suficiente aprecio general, trataba de abrirle paso hacia la opinión pública. Siempre que le era posible, su acción era anónima. Le importaba la causa, la causa del otro».
Seelig continuó visitando a Eduard y, además de jugar juntos al ajedrez, salía con él a comer, al teatro o a dar paseos. Por supuesto, mantenía informado a su padre, aunque, como señalaron Roger Highfield y Paul Carter (1996: 271), «todas las cartas tenían que pasar primero por las manos de [Helen] Dukas [su fiel y dedicada secretaria]. En 1952, ella confesó sentirse tentada de quedarse con una noticia particularmente angustiosa y sólo se la entregó a su jefe después de consultar a Margot [Einstein, una de las hijas de Elsa, la, como ya dije, segunda esposa de Einstein, que también había estado casada antes]. Aun entonces, procuró suavizar el contenido antes de dejárselo leer a Einstein […]. Dos años después Dukas anunció que ella y [Otto] Nathan habían decidido retener cualquier mala noticia sobre Eduard para evitar que Einstein se acongojara». Pronto, tras sólo unas pocas semanas de haberlo conocido, Seelig se ofreció para ser el tutor de Eduard, pero Einstein rechazó la oferta, explicando que el puesto ya estaba ocupado por el doctor Heinrich Meili, al que, por otra parte, Eduard no parecía apreciar.
Seelig se convirtió en el amigo más cercano de Eduard y siguió siéndole leal incluso después de la muerte de Einstein. Así, cuando Eduard cumplió 50 años en el verano de 1960, lo conmemoró «en una triste y pequeña celebración [una comida] con Seelig, a quien insistió para que enviaran una tarjeta a su hermano en Estados Unidos» (Highfield y Carter, 1996: 284). Conmovido sin duda por el generoso y compasivo comportamiento de Seelig, el 4 de enero de 1954 Einstein se sinceró con él, explicándole por qué había cortado todo contacto con su hijo. «Probablemente se haya preguntado por qué no mantengo correspondencia con Tete —le dijo—. Se debe a una inhibición que no soy capaz de analizar por completo, pero tiene que ver con mi creencia de que avivaría dolorosos sentimientos de distinta naturaleza si yo entrase en contacto de alguna forma».
§. La física y los maestros de Einstein vistos a través de sus cartas a Maric
Hasta ahora me he estado centrando sobre todo en las circunstancias personales de la biografía de Einstein, para la que sus cartas a Maric ofrecen datos interesantísimos, pero esas misivas también nos suministran información importante o, al menos, interesante, relativa a su desarrollo intelectual. A continuación y como broche final de este capítulo, reuniré de manera más sistemática todos los datos de este tipo que se pueden encontrar en esas cartas.

Hermann von Helmholtz.

Ludwig Boltzmann.
Como no podía ser menos en quien pronto se revelaría como uno de los grandes maestros de la física estadística, también aparece en sus cartas Ludwig Boltzmann, de quien señalaba, sin duda refiriéndose a su tratado sobre la teoría de los gases (Einstein a Maric, ¿13? de septiembre de 1900): [83]
El Boltzmann es magnífico. Casi lo he terminado. Su exposición es magistral. Estoy firmemente convencido de la corrección de los principios de la teoría; esto es, estoy convencido de que para el caso de los gases se trata realmente del movimiento de masas puntuales discretas de magnitud finita que se mueven según ciertas condiciones. Boltzmann acentúa con mucha razón que las fuerzas hipotéticas entre las moléculas no son ningún componente esencial de la teoría, puesto que toda la energía es de tipo cinético. Es un paso más en la explicación de los fenómenos físicos. [84]Asimismo, aparecen referencias a Ernst Mach («dentro de una semana puedo hacer que me envíen libros de Helmholtz, Boltzmann y Mach», 10 de septiembre de 1899), cuyo libroDie Mechanik in ihrer Entwickelung historisch-kritisch dargestellt (Desarrollo histórico-crítico de la Mecánica; 1883) desempeñó, como veremos en el próximo capítulo, un cierto papel en la génesis de la teoría de la relatividad especial. Otra referencia frecuente es a Paul Drude: «tengo en mis manos —escribía a Mileva (4 de abril de 1901) — un estudio de Paul Drude sobre la teoría de los electrones que me viene de perilla, aunque es muy desordenado. Drude es un tipo genial, no cabe la menor duda». Es también relevante recordar el siguiente pasaje de la carta que dirigió a Mileva el 28 de diciembre de 1901, en la que Hendrik Lorentz aparece citado: «Michele [Besso] me dio un libro sobre la teoría del éter, escrito en 1895. Parece como si viniese de la Antigüedad, por lo anticuado de sus ideas.[85] Me voy a poner a estudiar lo que han escrito Lorentz y Drude sobre la electrodinámica de los cuerpos en movimiento».
Otro de los físicos en que se fijó Einstein fue Max Planck, aunque en este caso no se tratase de libros sino de artículos. Como es bien sabido (volveré a este punto en otro capítulo), en 1900 Planck consiguió encontrar de manera semi empírica una ley para la densidad espectral de radiación de un cuerpo negro y, al deducirla teóricamente poco después, se vio obligado a introducir una expresión, E = h·?, que relacionaba la energía, E, con la frecuencia de la radiación, ?, cuyo significado era, para Planck, que el intercambio de energía entre la radiación y las paredes (formadas por osciladores cargados) de la cavidad que albergaba la radiación de cuerpo negro era, «a saltos», «cuántico». El trabajo de Planck, auténtica piedra fundacional de la física cuántica, planteaba severos problemas desde el punto de vista de la coherencia de su deducción con postulados y teorías básicas de la física entonces conocida y, por ello, fue recibido con precaución por los físicos de la época. Einstein fue probablemente uno de los primeros científicos en ocuparse de las ideas de Planck. De hecho, una carta (13 o 20 de marzo de 1899) a Maric demuestra que el estudio de la radiación figuraba entre los intereses de Einstein: «Mis cavilaciones sobre la radiación empiezan a ganar consistencia». [86]
A finales de 1900 (el 19 de octubre y el 14 de diciembre, respectivamente), Planck (1900, a, b) presentaba ante la Sociedad de Física Alemana sus dos trabajos clásicos sobre la teoría cuántica de la radiación; pronto Einstein se sumergía en su estudio y, el 4 de abril de 1901, escribía a Maric: «Me han surgido objeciones de principio contra los estudios sobre radiación de Planck, de suerte que leo su tratado con sentimientos encontrados». En otra de sus cartas a Mileva (10 de abril de 1901), escrita una semana más tarde, mencionó una de sus objeciones: «Lo que me preocupa de las observaciones de Planck sobre la naturaleza de la radiación se dice pronto. Planck supone que una clase muy determinada de resonadores (con periodos y amortiguamientos determinados) ocasionan la conversión de la energía en radiación, un supuesto con el que yo no estoy de acuerdo. Tal vez su última teoría sea más general. Pienso ocuparme de ella».[87] Poco después, y en un espíritu aparentemente no muy alejado del que guiaba las teorías clásicas que Planck estaba proponiendo para explicar el intercambio cuántico de energía entre radiación y cavidad, Einstein señalaba (30 de abril de 1901): «Recientemente se me ha ocurrido la idea de que cuando se genera la luz tal vez se efectúe una transformación directa de la energía motora en luz por el paralelismo entre energía cinética de las moléculas-temperatura absoluta-espectro (energía espacial radiante en estado de equilibrio)».
También por entonces, Einstein leyó un artículo de Philipp Lenard (1900) en el que se estudiaba el efecto fotoeléctrico: «Acabo de leer —explicaba a Mileva (¿28? de mayo de 1901) — un maravilloso tratado de Lenard sobre la producción de rayos catódicos con luz ultravioleta. Bajo la impresión de esta hermosa obra, estoy tan feliz y contento que también tú debes recibir parte de ello».

Philip Lenard.
Capítulo 7
La teoría especial de la relatividad
§. El contexto del descubrimiento: Influencias sobre EinsteinNo se sabe con certeza si fue el 18 o el 25 de mayo de 1905 —pero esta incertidumbre importa poco—, cuando Albert Einstein escribió desde Berna a Conrad Habicht una carta en la que se lee (CPAE, 1993: 31):
§. Ernst Mach
§. David Hume
§. El problema fundamental para Einstein
§. El contenido de «sobre la electrodinámica de los cuerpos en movimiento»
§. De «electrodinámica de los cuerpos en movimiento» a «Teoría de la relatividad»
§. «La relatividad especial, una teoría «de principios»
¿Por qué no me has enviado todavía tu disertación? ¿No sabes, malvado, que soy uno de los 1,5 individuos que la leerán con placer e interés? En recompensa, te prometo cuatro artículos, el primero de los cuales podría enviártelo pronto, ya que enseguida recibiré las separatas de autor. El artículo trata de la radiación y de las propiedades de energía de la luz y es muy revolucionario, como verás si me mandas tu trabajo antes . El segundo es una determinación de los verdaderos tamaños de los átomos obtenidos a partir de la difusión y viscosidad de soluciones diluidas de sustancias neutras. El tercero demuestra, en base a la teoría molecular del calor, que cuerpos de magnitud de 1/1000 mm, suspendidos en líquidos, deben realizar un movimiento aleatorio observable que se produce por el movimiento térmico: de hecho, fisiólogos han observado movimientos de pequeños, inanimados, cuerpos suspendidos, cuyos movimientos denominan «movimientos moleculares brownianos». El cuarto artículo es por el momento sólo un borrador y es una electrodinámica de los cuerpos en movimiento que emplea una modificación de la teoría del espacio y el tiempo, cuya parte puramente cinemática seguramente te interesará.El primero de los artículos a los que se refería aquí Einstein, el que calificaba de «muy revolucionario», es el que finalmente se tituló «Sobre un punto de vista heurístico relativo a la producción y la transformación de la luz» (Einstein, 1905 a), donde extendió a la radiación electromagnética la discontinuidad cuántica que Planck había introducido en la física hacía cinco años; por una de las aplicaciones de los principios que sentó en este artículo y que aparece al final del mismo, el efecto fotoeléctrico, en 1922 la Academia Sueca de Ciencias le concedió el Premio Nobel de Física correspondiente a 1921. El segundo, titulado «Una nueva determinación de las dimensiones moleculares» (Einstein, 1905 e), era la disertación que presentó para obtener el grado de doctor en la Universidad de Zúrich (está fechada el 30 de abril de 1905, pero la presentó el 20 de julio).[88] El tercero, emparentado con el segundo, llevaba por título «Sobre el movimiento requerido por la teoría cinético-molecular del calor para partículas pequeñas suspendidas en fluidos estacionarios» (Einstein, 1905 b) y contiene un análisis teórico del movimiento browniano que permitió a su autor demostrar la existencia de átomos de tamaño finito, un logro en absoluto menor en un momento en el que muchos negaban tal atomicidad. Finalmente, en el cuarto, «Sobre la electrodinámica de los cuerpos en movimiento» (Einstein, 1905 c), creó la teoría de la relatividad especial, sistema teórico-conceptual que eliminaba las discrepancias que habían surgido entre la mecánica newtoniana y la electrodinámica maxwelliana, que estaban causando una crisis en una parte importante de la física teórica. Salvo el segundo, todos aparecieron en la revista Annalen der Physik.
En otro capítulo me ocuparé del primero de estos artículos, uno de los pilares fundacionales sobre el que se asentó la física cuántica, y también del tercero, que al argumentar en favor de la existencia de los átomos, tuvo, asimismo, que ver con el mundo del microcosmos del que trataba la física cuántica. Dedicaré el presente capítulo a la teoría de la relatividad especial, pero antes se debe señalar que los anteriores artículos no fueron las primeras publicaciones de Einstein. Su primer artículo publicado —ya nos encontramos con él— apareció en 1901 en Annalen der Physik y se titulaba «Conclusiones extraídas de los fenómenos de capilaridad» (Einstein, 1901). A pesar de lo que puede parecer, el problema de la capilaridad no era menor. Cinco años después de la publicación del artículo de Einstein, aparecía otro, también enAnnalen der Physik, en el que se lee (Bakker, 1905):[89]]«La teoría de la capilaridad de Laplace fue uno de los más bellos logros de la ciencia», y continuaba alabando cómo lo habían tratado Gauss, Young, Gibbs y F. Neumann. Asimismo, el primer artículo que publicó Niels Bohr trataba de la tensión superficial del agua, un asunto estrechamente relacionado con la capilaridad. El enfoque de Einstein en su artículo fue tratar de establecer unas fuerzas moleculares a distancia (esto es, puramente newtonianas) que resolvieran el problema. Sin duda con demasiado optimismo, concluía su trabajo escribiendo: «Podemos decir ahora que nuestra suposición fundamental ha sido validada: a cada átomo le corresponde una fuerza molecular de atracción que es independiente de la temperatura y de la forma en que un átomo se combina químicamente con otros átomos […]. La cuestión de si y de qué manera nuestras fuerzas están relacionadas con las fuerzas gravitacionales debe dejarse completamente fuera».
Los cuatro artículos siguientes (Einstein, 1902 a, b, 1903, 1904) estaban dedicados a los fundamentos de la física estadística, dominio en el que Einstein fue uno de los grandes maestros.[90] En el primero, se ocupaba de la termodinámica de la diferencia de potenciales entre metales y soluciones completamente disociadas de sus sales, como un nuevo método para investigar las fuerzas moleculares, un problema, como vemos, ligado al de su anterior artículo. El segundo, que envió desde Berna en junio de 1902, titulado «Teoría cinética del equilibrio térmico y la segunda ley de la termodinámica», ampliaba las ideas de Boltzmann en termodinámica y física estadística e introducía una nueva manera de interpretar la probabilidad estadística. Sin conocer el texto fundamental del gran físico estadounidense Josiah Willard Gibbs (1839-1903), Elementary Principles of Statistical Mechanics developed with especial reference to the rational foundation of Thermodynamics (1902), llegaba a algunos de sus mismos resultados. Da idea de la seguridad de Einstein lo que escribía al comienzo de este artículo (Einstein, 1902b: 417):
A pesar del éxito de la teoría cinética del calor en el área de la teoría de los gases, hasta ahora no ha sido posible, utilizando únicamente las leyes de la mecánica, proporcionar una base suficiente para una teoría general del calor. Las teorías de Maxwell y Boltzmann se han quedado cerca de esta meta. El propósito de las siguientes consideraciones es completar este hueco. Al mismo tiempo, se dará una ampliación del segundo postulado que será importante para la aplicación de la termodinámica. Además, se obtendrá una expresión matemática para la entropía, desde un punto de vista mecánico.En el tercer artículo («Una teoría de los fundamentos de la termodinámica»), Einstein introducía métodos generales para tratar los conceptos de temperatura y entropía; con ellos, en el último de este cuarteto de trabajos («Una teoría molecular general del calor»), presentaba una deducción bastante simple de la segunda ley de la termodinámica y, lo que es mucho más importante, desarrollaba una herramienta que le sería de gran utilidad para su artículo de 1905 sobre la producción y la transformación de la luz, en el que ahondó en la discontinuidad cuántica que Max Planck había introducido en 1900: las fluctuaciones estadísticas de sistemas termodinámicos.
En estos artículos tempranos se comprueba la justicia de considerar a Einstein uno de los grandes fundadores de la física estadística, junto a Clausius, Maxwell, Boltzmann y Gibbs.
§. El contexto del descubrimiento: Influencias sobre Einstein
Ya nos hemos encontrado con algunas pistas de posibles influencias en el joven Einstein. Una de esas pistas, recordemos, es lo que escribió en sus «Notas autobiográficas»: «Entré en el Instituto Politécnico de Zúrich como estudiante de matemáticas y física. Allí tenía excelentes maestros (por ejemplo, Hurwitz, Minkowski), de manera que podría haber logrado una esmerada formación matemática, pero, fascinado por el contacto directo con la experiencia, la mayor parte del tiempo trabajé en el laboratorio de Física. El resto del tiempo lo dediqué a estudiar en casa los trabajos de Kirchhoff, Helmholtz, Hertz, etcétera».
Sin ser una referencia demasiado completa —hay un misterioso «etcétera»—, no hay duda de que es una buena base de partida; buena porque confirma, hasta cierto punto, algo bastante obvio: Einstein debió de aprender la teoría de Maxwell, que claramente ya conocía en 1905, no en los trabajos de éste (no hay ninguna prueba que indique que fue así) sino, como la mayoría de los estudiantes de habla alemana, a través de los libros y artículos de Helmholtz y Hertz, nombres a los que sin duda hay que añadir el de Boltzmann y, como ha señalado Holton (1967), el de un científico hoy prácticamente olvidado, August Föppl, profesor de Mecánica técnica en la Escuela Politécnica de Münich y autor de un influyente libro Theorie der Elektriztät (1894). Ahora bien, aunque diferentes entre sí, todas estas presentaciones comparten un rasgo común, todas ellas son bastante «a-maxwellianas». A cualquier físico inglés de la época que nos ocupa —Maxwell, por ejemplo— le habría parecido ciertamente aberrante el modo de pensar y la forma de introducir las teorías físicas de Helmholtz, quien dedicaba la mitad del volumen introductorio de susVorlesungen über Theoretische Physik (Lecciones de Física Teórica) a temas como: filosofía y ciencia, crítica de la antigua lógica, conceptos y su expresión, hipótesis como bases para las leyes, etcétera, es decir, un enfoque de un marcado cariz epistemológico.[91] Por otra parte, cuando presentaba, en el volumen 5 (Elektromagnetische Theorie de Lichtes; 1897), la teoría de Maxwell, lo hacía prestando muy poca atención a la experimentación, pues prácticamente no hay ninguna referencia a experimentos. Estudiando a Helmholtz, Einstein pudo haber extraído un cierto gusto por un enfoque conscientemente epistemológico, así como una impresión de que los experimentos no son cruciales.
Por lo que se refiere a Hertz, sus obras completas se publicaron por primera vez en 1895 e incluyen trabajos como, ¡un título muy significativo cuando lo comparamos con el del artículo de Einstein de 1905 sobre la relatividad especial!, «Sobre las ecuaciones fundamentales de la electrodinámica de los cuerpos en movimiento» (Hertz, 1890). Llama la atención que en estos trabajos Hertz, posiblemente el mejor experimentador de la época en el campo de los fenómenos electromagnéticos, no hace mención explícita a los experimentos del éter tan famosos en la bibliografía de historia de ciencia contemporánea.
En cuanto a Lorentz y Poincaré, aunque volveré a esta cuestión más adelante, todo indica que Einstein no conocía el artículo de Lorentz de 1904 en el que aparecían por primera vez de forma exacta sus famosas transformaciones. La revista de la Academia de Ámsterdam, Verhanlungen Koninklijke Akademie van Wetenschappen te Amsterdam, era difícil de conseguir, más aún para un oscuro empleado de una Oficina de Patentes de una ciudad como Berna. Así, por ejemplo, Max von Laue, por entonces ayudante en el Instituto de Física teórica de Berlín, escribía a Lorentz el 30 de noviembre de 1905 (citada en Holton, 1973: 205): «Como los Kon Akademie van Wetenschappen Amsterdam son aquí más difíciles de conseguir que otras revistas —sólo existe uno en la Biblioteca Real y presta revistas recientes sólo por un día—, me tomo la libertad de pedirle que, si es posible, me envíe una separata de su publicación “Fenómenos electromagnéticos en un sistema que se mueve con una velocidad arbitraria menor que la velocidad de la luz”».
Con respecto a otros trabajos de Lorentz, Einstein le comentó en febrero de 1950 al físico estadounidense Robert S. Shankland (1963) que había leído algunos antes de 1905, pero sólo podemos asegurar que leyó dos. En efecto en una carta a Carl Seeling, Einstein decía lo siguiente (citada en Holton, 1973: 300): «En lo que a mí se refiere, sólo conocía el importante trabajo de Lorentz de 1895 [sic; se publicó, como vimos, en 1892, “La théorie électromagnétique de Maxwell”] y el Versuch einer Theorie elektrischen… [1895], pero no su trabajo posterior, ni tampoco las investigaciones consecutivas de Poincaré. En este sentido, mi trabajo de 1905 fue independiente».
Esta última cita nos lleva a Poincaré. Einstein decía en ella que no conocía los trabajos del científico galo. Se debe de referir a los titulados «Sobre la dinámica del electrón» y, dadas las fechas en que aparecieron estos dos artículos, especialmente el más extenso y detallado que se publicó en los Rendiconti del Circolo Matematico di Palermo en 1906, no podía ser de otra forma. No ocurrió lo mismo con los escritos filosóficos de Poincaré. Tanto Einstein como algunos de sus amigos de aquel periodo (Solovine, como vimos, y también Besso) afirmaron en numerosas ocasiones que uno de los libros al que más atención dedicaron y que más les influyó fue La Science et l'Hypothèse (1902). Es muy probable que Einstein sacase de la lectura de este libro valiosas enseñanzas metodológicas que le sirviesen más adelante a la hora de desarrollar la relatividad especial. Allí encontramos, por ejemplo, un capítulo, el VII, dedicado a «El movimiento relativo y el movimiento absoluto» (Poincaré defendía el relativo), otro, el IX, sobre «Las hipótesis en la física», que comienza con las siguientes frases: «La experiencia es la única fuente de la verdad: sólo ella nos puede enseñar algo nuevo; sólo ella nos puede dar la certeza», que se ajustan bien a la definición operacional del tiempo que Einstein empleó en su artículo de la relatividad especial.
§. Ernst Mach
Más importante que las lecturas de Poincaré fueron las que hizo de Ernst Mach, especialmente de Die Mechanik in ihrer Entwickelung historisch-kritisch dargestellt, un libro que fue muy leído en su tiempo: en vida de Mach se hicieron siete reimpresiones (1883, 1888, 1897, 1901, 1904, 1908 y 1912).[92] En la sección VI («Opiniones de Newton sobre el tiempo, espacio y movimiento») del capítulo II («El desarrollo de los principios de la dinámica»), encontramos unos pasajes que debieron de dejar huella en el cerebro del joven Einstein: [93]
Examinemos ahora el punto en el que Newton, aparentemente con buenas razones, basa su distinción entre movimiento absoluto y relativo. Si la Tierra posee una rotación absoluta alrededor de su eje, aparecerán en ella fuerzas centrífugas, adoptará una forma oblonga, la aceleración de la gravedad disminuirá en el ecuador, el plano del péndulo de Foucault girará, etcétera. Todos estos fenómenos desaparecen si la Tierra está en reposo y son los demás cuerpos celestes los que se mueven alrededor de ella, de tal manera que esta misma rotación llega a ser entonces relativa. Esto sucede, de hecho, si partimos ad initio de la idea de espacio absoluto, pero si nos mantenemos en el terreno de los hechos, no conocemos sino espacios y movimientos relativos. Si se prescinde de aquel medio desconocido del Universo que aquí no entramos a considerar, los movimientos en el Universo son relativos, lo mismo se adopte el punto de vista ptolemaico como el copernicano. Ambos planteamientos son, de hecho, igualmente correctos. El Universo no nos es dado dos veces sino solamente una, con sus movimientos relativos, los únicos que se pueden determinar. No nos está permitido, por consiguiente, decir cómo serían las cosas si la Tierra no rotase. Podemos interpretar el único caso que nos es dado de diferentes maneras. Sin embargo, si la forma en que los interpretamos entra en conflicto con la experiencia, nuestra interpretación es, simplemente, falsa. Los principios fundamentales de la mecánica se pueden, de hecho, concebir de tal manera que incluso para rotaciones relativas surjan fuerzas centrífugas.Uno de los objetivos de Mach fue socavar uno de los argumentos que Newton presentó en favor de la idea de un espacio absoluto. El argumento en cuestión apareció en el «Escolio» que sigue a la «Definición VIII» de su magno libro, Philosophiae Naturalis Principia Mathematica (1687).

Ernst Mach.
Los efectos por los que los movimientos absolutos y los relativos se distinguen mutuamente son las fuerzas de separación del eje de los movimientos circulares. Pues en el movimiento circular meramente relativo estas fuerzas son nulas, pero en el verdadero y absoluto son mayores o menores según la cantidad de movimiento. Si se cuelga un cubo de un hilo muy largo y se gira constantemente hasta que el hilo por el torcimiento se ponga muy rígido y después se llena de agua y se deja en reposo a la vez que el agua y entonces con un empujón súbito se hace girar continuamente en sentido contrario y, mientras se relaja el hilo, persevera durante un tiempo en tal movimiento, la superficie del agua será plana al principio, al igual que antes del movimiento del vaso, pero después, al transmitir éste su fuerza poco a poco al agua, ésta también empieza a girar sensiblemente, se va apartando poco a poco del centro y asciende hacia los bordes del vaso, formando una figura cóncava (como yo mismo he experimentado) y con un movimiento siempre creciente sube más y más hasta que efectuando sus revoluciones en tiempos iguales que el vaso, repose relativamente en él. Muestra este ascenso el intento de separarse del centro del movimiento y, por tal intento, se manifiesta y se mide el movimiento circular verdadero y absoluto del agua, aquí contrario totalmente al movimiento relativo. Al principio, cuando el movimiento relativo del agua en el vaso era mayor, ese movimiento no engendraba ningún intento de separación del eje: el agua no buscaba el borde subiendo por los costados del vaso sino que permanecía plana y, por tanto, su movimiento circular verdadero aún no había empezado, pero después, cuando decreció el movimiento relativo del agua, su ascensión por los costados del vaso indicaba el intento de separarse del eje y este conato mostraba su movimiento circular, verdadero y siempre creciente y al final convertido en máximo cuando el agua reposaba relativamente en el vaso. Por tanto, este conato no depende de la traslación del agua respecto de los cuerpos circundantes y, por consiguiente, el movimiento circular verdadero no puede definirse por tales traslaciones. Único es el movimiento circular verdadero de cualquier cuerpo que gira, y responde a un conato único como un verdadero y adecuado efecto; los movimientos relativos, en cambio, por las múltiples relaciones externas, son innumerables, pero, como las relaciones, carecen por completo de efectos verdaderos, a no ser en tanto que participan de aquel único y verdadero movimiento.Por el contrario, Mach argumentaba que los mismos efectos se obtendrían si el agua estuviese en reposo y fuese el resto del Universo el que girase. Esto, que se terminó denominando «Principio de Mach», influyó en el Einstein que produjo la teoría de la relatividad general.
Otro de los libros de Mach estudiados por la Academia Olimpia fue Die Analyse der Empfindungen (Análisis de las sensaciones; 1886). En esta obra se encuentra una buena exposición de su filosofía anti metafísica, esto es, basada en el deseo de eliminar todo concepto o idea metafísica de la ciencia. En este sentido, señalaba que ya que toda la información que poseemos acerca del «mundo exterior», esto es, de lo que perciben nuestros sentidos, de nuestras sensaciones, éstas deben ser los elementos básicos sobre los que se levanten las teorías científicas. Más aún, para él, de alguna manera se podía decir que el conocimiento científico de la naturaleza debía consistir en encontrar las descripciones más simples posibles de las conexiones o relaciones existentes entre sensaciones (o «elementos», como él las denominaba). Lo que debemos pretender con la ciencia era, en su opinión, ordenar o sistematizar el mayor número posible de hechos (sensaciones) con el menor esfuerzo posible. Conceptos como «espacio absoluto» eran para Mach una mera abstracción sin manifestación posible en la experiencia. Lo que había que hacer era expresar los enunciados fundamentales de la mecánica en función de las «posiciones y los movimientos relativos de los cuerpos». Es evidente que desde este punto de vista existe un claro componente machiano en cómo Einstein abordó en 1905 la teoría de la relatividad especial. Por ejemplo, la definición einsteniana de simultaneidad no es sino una manifestación específica del requisito de Mach de que toda afirmación que se haga en física se refiera a relaciones entre cantidades observables. Asimismo, cuando Einstein seleccionaba la noción de «suceso» como preeminente en toda su construcción, estaba identificando la «realidad» con lo que nos viene dado a través de las sensaciones —los «sucesos»— y no colocando la «realidad» en un plano más allá de la experiencia. Es en este sentido en el que se puede decir que el análisis epistemológico que Einstein sometió a los conceptos de espacio y tiempo tiene sus raíces en la filosofía, tal y como ésta es entendida habitualmente, de Mach.
Lo anterior no quiere decir que el joven Einstein estuviese de acuerdo con todo lo que defendía Mach. Si tenemos en cuenta que dos de sus grandes artículos de 1905, «Sobre un punto de vista heurístico relativo a la producción y la transformación de la luz» (Einstein, 1905 a) y «Sobre el movimiento requerido por la teoría cinético-molecular del calor para partículas pequeñas suspendidas en fluidos estacionarios» (Einstein, 1905 b), estaban basados en la física estadística, lo que quiere decir en una visión mecanicista (de hecho, el segundo de estos artículos apoyó, insisto en este punto, la idea de que la materia está compuesta de unidades discretas, de átomos), hemos de concluir que Einstein no pudo aceptar el repudio —compartido por muchos científicos de la época, entre los que sobresalía el químico-físico Wilhelm Ostwald— que Mach hizo de la visión mecanicista-atómica de la naturaleza en algunas de sus obras, entre las que destacan otro de sus grandes libros, el dedicado a los principios de la teoría del calor, especialmente lo que decía, contra la interpretación que Ludwig Boltzmann hacía de la segunda ley de la termodinámica, en el capítulo XXII («La oposición entre la física mecánica y la fenomenológica»), y un librito sobre la historia y las raíces del principio de conservación de la energía (Mach, 1896, 1872).[95] Citaré algunos pasajes de esta segunda obra, Die Geschichte und die Wurzel des Satzes von der Erhaltung der Arbeit (Historia y raíces del principio de conservación de la energía), donde su filosofía «sensacionalista» y su crítica de la noción de átomos se muestra con especial claridad (Mach, 1872, 1911: 49):
Una cosa mantenemos y ésta es que en la investigación de la naturaleza tenemos que tratar únicamente con el conocimiento de conexiones entre sí de aquello que percibimos. Lo que nos imaginamos detrás de esas percepciones existe solamente en nuestro entendimiento y tiene para nosotros solamente el valor de una memoria technica o fórmula, cuya forma, debido a que es arbitraria e irrelevante, varía muy fácilmente con el punto de vista de nuestra cultura.Si, ahora, conservamos nuestra posición sobre las nuevas leyes acerca de la conexión entre calor y trabajo, no importa lo que pensemos del propio calor. Esta forma de presentación no altera los hechos en lo más mínimo, pero si esta forma de presentación es tan limitada e inflexible que ya no nos permite seguir los múltiples aspectos de los fenómenos, no debería utilizarse más como una fórmula y comenzará a ser un obstáculo para nosotros en el conocimiento de los fenómenos. Esto sucede, creo, con la concepción mecánica de la física.
Y más adelante concluía (Mach, 1872, 1911: 54):
Creo que he demostrado que uno puede mantener, atesorar y también recurrir a buenas descripciones de resultados de la ciencia natural moderna sin ser un defensor de la concepción mecánica de la naturaleza [esto es, basada en unidades discretas, atómicas o moleculares], que esta concepción no es necesaria para el conocimiento de los fenómenos y puede ser reemplazada igual de bien por otra teoría y que las concepciones mecánicas pueden ser incluso un obstáculo para el conocimiento de los fenómenos.Como dije, las tesis anti metafísicas y anti mecanicistas de Mach entraban en conflicto con algunos de los fundamentos de los trabajos de Einstein sobre el movimiento browniano y la discontinuidad cuántica. Aun adelantándome a la secuencia cronológica y temática, es oportuno mencionar que Einstein pensó que podía convencer al viejo león anti metafísico.[96] En la primera carta que Einstein dirigió a Mach —entonces catedrático emérito de Historia y teoría de las Ciencias inductivas en la Universidad de Viena— el 9 de agosto de 1909, desde Berna, escribía (CPAE, 1993: 204):
Altamente estimado profesor Mach:Sin embargo, por lo que sabemos, Einstein no consiguió lo que quería de Mach.
Muchas gracias por enviarme la conferencia sobre la ley de conservación del trabajo, que ya he leído con detenimiento.[97] Naturalmente, estoy muy familiarizado con sus principales trabajos, de los que admiro en especial el que trata de la mecánica. Ha tenido usted tal influencia en las opiniones epistemológicas de la joven generación de físicos que incluso sus actuales oponentes, tales como, por ejemplo, el señor Planck, sin duda habrían sido calificados de «machianos» por la clase de físicos que han imperado hace unas pocas décadas. [98]
Como no puedo pensar en ninguna otra forma para manifestarle mi gratitud, le envío algunos de mis artículos. [99] Me gustaría pedirle especialmente que eche una ojeada al que trata del movimiento browniano, porque aquí hay un movimiento que creo debe interpretarse como «movimiento térmico».
§. David Hume
Al repasar las lecturas que Einstein, Solovine y Habicht hacían, vimos que David Hume (1711-1776) fue otro de los autores que leyeron. Veamos lo que sobre él Einstein decía en una carta que escribió a Besso el 6 de enero de 1948 (Speziali, ed., 1994: 353-354), en la que también hablaba de Mach, pero tal y como lo veía por aquel entonces (1948; volveré a este punto más adelante):
Querido Michele:
Tu carta es verdaderamente muy interesante, pero no es tan sencilla de responder. En lo que se refiere a Mach, debo distinguir entre su influencia en general y el efecto que produjo sobre mí. Mach logró enormes avances (por ejemplo, el descubrimiento de las ondas de choque, que se basa en un método óptico verdaderamente genial). Sin embargo, no queremos hablar de esto sino de su influencia sobre la actitud general en relación con los fenómenos de la física. Su gran mérito es haber flexibilizado el dogmatismo que reinaba en los siglos XVIII y XIX sobre los fundamentos de la física. Trató de demostrar, sobre todo en la mecánica y en la teoría del calor, cómo los conceptos surgen de la experiencia. Defendió con convicción el punto de vista según el cual estos conceptos, incluso los más fundamentales, no extraen su justificación más que de la experiencia y no son, en modo alguno, necesarios desde el punto de vista lógico . Su acción fue especialmente beneficiosa ya que mostró claramente que los problemas más importantes de la física no son de naturaleza matemático-deductiva: los más importantes son los que se refieren a los principios básicos. Yo veo su punto débil en el hecho de que creía poco más o menos que la ciencia consistía únicamente en poner en orden el material experimental, es decir, que ignoró el elemento constructivo libre en la elaboración de un concepto. De alguna manera pensaba que las teorías son el resultado de un descubrimiento y no de una invención. Iba incluso tan lejos que consideraba las «sensaciones» no sólo un material concebible sino también, en cierta medida, materiales de construcción del mundo real; creía poder llenar así el abismo que existe entre la psicología y la física. Si hubiese sido del todo consecuente, no debería haber rechazado solamente el atomismo, sino también la idea de una realidad física.
En lo que se refiere a la influencia de Mach sobre mi pensamiento, sin duda alguna ha sido muy grande. Me acuerdo muy bien de que fuiste tú quien me llamó la atención sobre su tratado de mecánica y su teoría del calor, en mis primeros años de estudios, y que estas dos obras me produjeron una gran impresión. Hasta qué punto han influido en mi propio trabajo es algo que, francamente, no veo claro. Por lo que recuerdo, Hume ejerció sobre mí una influencia directa más grande. Lo leí en Berna en compañía de Conrad Habicht y de Solovine, pero, como acabo de decir, no soy capaz de analizar aquello que quedó anclado en mi subconsciente. Por lo demás, es interesante señalar que Mach rechazó con saña la teoría de la relatividad restringida. (Ya no vivía en la época de la teoría de la relatividad general). Le parecía que la teoría sobrepasaba en especulación todo cuanto está permitido. No sabía que este carácter especulativo pertenece a la mecánica de Newton y, en general, a toda teoría imaginable. No hay más que una diferencia de grado entre las teorías, en la medida en que los caminos [que sigue] el pensamiento desde los principios básicos hasta las consecuencias comprobables por la experiencia son de longitud y complicación diferentes.

Einstein y Solovine, marzo de1922.
En la parte II («De las ideas de espacio y tiempo»), sección III(«De las demás cualidades de nuestras ideas de espacio y tiempo»), del libro I («El entendimiento») de A Treatise on Human Nature, Hume explicaba que obtenemos la idea de «espacio», «extensión», de la «disposición de los objetos visibles y tangibles» (Hume, 1984: 128) y que no tenemos idea de ninguna extensión real sin llenarla con objetos sensibles. Y del tiempo afirmaba (Hume, 1984 128-129):«Allí donde no tengamos percepciones sucesivas, no tendremos noción del tiempo, aunque haya una sucesión real en los objetos. A partir de estos fenómenos, así como de otros muchos, podemos concluir que el tiempo no puede aparecer ante la mente, ni aislado, ni acompañado por un objeto constantemente inmutable, sino que se presenta siempre mediante una sucesión perceptible de objetos mudables». Basta con tener una idea general del contenido de la relatividad especial para, vistas las citas anteriores, admitir como muy plausible el que en efecto Hume ejerciese una influencia importante sobre Einstein.
§. El problema fundamental para Einstein
Una vez establecidas las posibles influencias científicas y filosóficas sobre el joven Einstein, pasemos a abordar la cuestión de cuál fue la problemática en la que estaba inmerso y a la que dio respuesta con la teoría de la relatividad especial.
Para empezar, hay que señalar que Einstein no entró en el mundo de la relatividad forzado por la necesidad imperiosa de encontrar una explicación al resultado nulo que se obtenía en ciertos experimentos ópticos y electromagnéticos especial, pero no únicamente, el experimento de Michelson y Morley, algo que condicionó el desarrollo de los trabajos de Lorentz. De hecho, la relación o, mejor dicho, el conocimiento que Einstein tenía del experimento de Michelson y Morley con anterioridad a la publicación de su artículo de 1905, es un tema sobre el que existen diversidad de opiniones, favorecidas por las, en ocasiones contradictorias, manifestaciones del propio Einstein. Así, tenemos que el mismo estilo en el que está escrita la introducción al artículo de 1905 sugiere, aunque desde luego no impone, que el interés y/o la información de Einstein por la cuestión experimental eran bastante reducidos. Prácticamente todas las referencias a estos temas están contenidas en el siguiente, bastante vago, párrafo: [100] «Ejemplos de este tipo, junto a los infructuosos intentos de detectar un movimiento de la Tierra con respecto al “medio lumínico”, sugieren que los fenómenos electromagnéticos, lo mismo que los mecánicos, no poseen propiedades que corresponden al concepto de reposo absoluto».
Por otra parte, en la ya citada conversación que mantuvo con Robert Shankland (1963), Einstein manifestó que no había tenido noticia del experimento de Michelson y Morley más que a través de los escritos de Lorentz y esto sólo después de 1905. No obstante, posteriormente, aparecieron datos que muestran que la memoria le jugó una mala pasada a Einstein en su conversación con Shankland. La más clara de esas pruebas es la reconstrucción que el propio Einstein hizo en una conferencia que pronunció el 14 de diciembre de 1922 en Kioto, durante su visita a Japón (el tema se lo sugirió el filósofo de la Universidad de Kioto, K. Nishida). [101] Aunque reproduzco el texto al final de este capítulo, citaré el pasaje que ahora nos interesa:
Yo quería, de alguna manera, verificar ese flujo de éter en contra de la Tierra, es decir, el movimiento de la Tierra. Cuando en aquella época me planteé este problema, nunca dudé de la existencia del éter y del movimiento de la Tierra. Quería, en consecuencia, mediante la reflexión adecuada de una fuente de luz por espejos, enviar un haz de luz en la dirección y el sentido del movimiento de la Tierra y otro haz en el sentido opuesto a éste. Anticipando que debía de existir alguna diferencia en la energía de esos dos haces, pretendía verificar esta suposición mediante la diferencia de calor que ocasionarían los haces en dos termopares. La idea era de un tipo similar a la del experimento de Michelson, pero, por entonces, yo no conocía muy bien este experimento.En consecuencia, hay que concluir que el resultado del experimento de Michelson y Morley desempeñó un cierto papel en el hecho de que Einstein rechazase la teoría de Maxwell-Lorentz con su único y privilegiado sistema de referencia anclado en el éter o acaso sea más adecuado decir que apoyó la idea que albergaba de la validez de un principio de relatividad, que en «Sobre la electrodinámica de los cuerpos en movimiento» (Einstein, 1905 c) enunciaba de la manera siguiente: «Si dos sistemas de coordenadas están en movimiento relativo de traslación, paralela uniforme, las leyes de acuerdo con las cuales cambian los estados de un sistema físico no dependen de con cuál de los dos sistemas están relacionados dichos cambios». En este sentido, es importante señalar que, como veremos, existieron líneas de argumentación, independientes del anterior experimento, que muy bien pudieron conducir también a Einstein al principio de relatividad.
Mientras albergaba estas ideas en mi mente, en mi época de estudiante, llegué a conocer el extraño resultado del experimento de Michelson. Entonces me di cuenta de manera intuitiva de que, si se admitía este resultado como un hecho, era error nuestro el pensar que la Tierra se movía en contra del éter. Éste fue el primer camino que me guio a lo que ahora denominamos el principio de la relatividad especial.
Una diferencia entre Lorentz y Einstein que se hace patente desde la misma introducción al artículo de 1905 es que al contrario que para aquél, en la teoría de Einstein, el principio de relatividad no se deduce de los principios fundamentales de la teoría sino que es un postulado del que se parte. Así, en la mencionada introducción leemos: « [Nos vemos conducidos] a la conjetura […] de que […] para todos los sistemas de coordenadas en los que las ecuaciones mecánicas son válidas [sistemas de referencia inerciales], también lo serán las mismas leyes de la electrodinámica y de la óptica […]. Elevaremos esta conjetura (cuya sustancia será llamada a partir de ahora “principio de relatividad”) a la categoría de un postulado». En el fondo, para Lorentz, las transformaciones a las que llegó de manera exacta en 1904 (e inexacta antes) no eran sino consecuencia de la electrodinámica y, en ese sentido, se podría hablar de “relatividad electromagnética”, es decir, no la entendía —o no la entendió de entrada— como una “teoría de principios”».
A partir de este principio y de un segundo postulado, el de la constancia de la velocidad de la luz («Todo rayo luminoso se mueve en el sistema de coordenadas “de reposo” con una velocidad fija c, independientemente de si este rayo luminoso es emitido por un cuerpo en reposo o en movimiento»), Einstein obtenía, de una manera puramente lógica, toda su teoría. Obviamente, gran parte de los problemas que la teoría de Lorentz trataba de resolver y para los que fue, en parte, construida se resolvían de inmediato o, mejor dicho, dejaban de existir en la teoría de Einstein, puesto que todos los resultados experimentales problemáticos no eran, en esencia, más que distintas expresiones del postulado de relatividad. Algunos, como Lorentz, pensaron que de esta manera Einstein había resuelto el problema de Lorentz de forma trivial, como una petición de principio; la realidad era, sin embargo, otra: Einstein había modificado radicalmente el planteamiento del problema, la suya era una forma de ver la física de una manera del todo nueva (una especie de visión à la Gestalt). La invariancia, el principio de relatividad, pasaba a ser un requisito de las teorías, no una propiedad de ellas.
* * * *
Pero ¿cómo surgió en Einstein esta forma de ver y entender la física? Según sus propias manifestaciones, fue el resultado de un largo proceso, iniciado, como muy tarde, cuando era un estudiante de 16 años en la escuela cantonal de Aarau y se preguntaba qué ocurriría «si corriese detrás de un rayo de luz con la velocidad c (la velocidad de la luz en el vacío)» (Einstein, 1949 a; Sánchez Ron, ed., 2005: 64). ¿Observaría entonces «tal rayo de luz como un campo electromagnético estacionario, aunque espacialmente oscilante»? La respuesta de Einstein era clara: «no parece que exista tal cosa, ya sea en base a la experiencia o de acuerdo con las ecuaciones de Maxwell». Le parecía «intuitivamente claro que, juzgada la situación por semejante observador, todo debería desarrollarse según las mismas leyes que para un observador que se hallara en reposo con respecto a la Tierra, pues ¿cómo podría, de otra forma, el primer observador saber o constatar que se encuentra en un estado de rápido movimiento uniforme?». En otras palabras, ya a los 16 años, Einstein dominaba los conceptos que al desarrollarse constituirían el principio de relatividad, como él mismo reconocía cuando escribía, en 1949: «uno ve que en esta paradoja ya está contenido el germen de la teoría de la relatividad especial».Ahora bien, del germen a la teoría hay una cierta distancia que a Einstein le costó diez años recorrer (en 1905, tenía 26 años). Durante esa década, Einstein intentó primero realizar un experimento (que, como vimos, él mismo planeó) para detectar cambios en la velocidad de la luz debidos al movimiento de la Tierra. No consiguió llevar adelante su proyecto, recordemos, debido «al escepticismo con que sus maestros» en la ETH recibieron la idea.
Otra de las cuestiones que, como el propio Einstein señaló durante sus conversaciones con el psicólogo natural de Praga que en 1933, al asumir Hitler el poder en Alemania, emigró a Estados Unidos, Max Wertheimer (1959: 213-226), le ocupó gran parte de su tiempo todos estos años anteriores a 1905, fue la relación existente entre las leyes que regían los fenómenos ópticos y electromagnéticos y el movimiento del observador. [102] Se daba perfecta cuenta de que si las ecuaciones de Maxwell eran válidas con respecto a un sistema, no lo eran en relación con otro, y para él esto no era admisible. Por consiguiente, se dedicó a intentar modificar estas ecuaciones sin éxito (Wertheimer, 1959: 216). Lo que Einstein estaba intentando, en realidad, era modificar la teoría de Maxwell de forma que se tuviese una construcción teórica para los fenómenos ópticos y electromagnéticos en la que sólo tuviese significado físico el movimiento relativo. Como señaló el historiador japonés Tetu Hiroshige (1976: 55), Einstein «se había planteado un problema conectado con la forma, más que con el contenido, de la teoría», pero siendo como era por aquel entonces un empirista «no se dio cuenta de esto hasta que se puso a reflexionar sobre las consecuencias de la fórmula de radiación de Planck». En efecto, como veremos en otro capítulo, a partir de 1900, la tarea investigadora de Einstein tuvo uno de sus centros destacados en la teoría cuántica de la radiación, descubriendo que la radiación posee una especie de estructura discreta o «molecular» que contradecía a la teoría de Maxwell. «Reflexiones de este tipo —escribía Einstein (1949 a; Sánchez Ron, ed., 2005: 64) en sus Notas autobiográficas— me hicieron ver claro, poco después de 1900, esto es, inmediatamente después del seminal trabajo de Planck, que ni la mecánica ni la electrodinámica podrían ser (excepto en casos límites) exactamente válidas. Periódicamente me desesperaba por no ser capaz de descubrir las verdaderas leyes mediante esfuerzos constructivos basados en hechos conocidos. Cuanto más me obstinaba y más decidido era mi empeño, tanto más me convencía de que solamente el descubrimiento de un principio formal universal podía conducir a resultados seguros. El ejemplo que veía delante de mí era la termodinámica. Allí el principio general se daba en el teorema: las leyes de la naturaleza son tales que es imposible construir un perpetuum mobile (de primera y segunda especie). ¿Cómo podría, entonces, encontrar tal principio universal? Después de reflexionar diez años, tal principio surgió de una paradoja que ya se me había ocurrido a los 16 años: “Si corriese detrás de un rayo de luz…”». Y aquí conectamos con lo dicho anteriormente.
Lorentz y la teoría de la relatividad especialVimos lo cerca que estuvo Hendrik Lorentz de llegar a la teoría de la relatividad especial, en la medida en que llegó a las transformaciones que, apropiadamente, llevan su nombre. Una buena pregunta es qué pensaba acerca de la contribución de Einstein, si creía que no existía ninguna diferencia entre lo que él había hecho y el artículo de 1905. Una buena forma de dilucidar esta cuestión es recurriendo a un libro de Lorentz, The Theory of Electrons (Lorentz, 1909; segunda edición Lorentz, 1916), que contiene un curso que el físico holandés desarrolló en la Universidad de Columbia en 1906.
Si uno lee el texto de la primera edición de The Theory of Electrons, llega a la sección 194 en la que Lorentz (1952: 229) escribía:Se verá claro por lo dicho que las impresiones recibidas por los dos observadores Ao y A serán iguales en todos los aspectos. Sería imposible decidir cuál de los dos se mueve o permanece en reposo con respecto al éter y no habría ningún motivo para preferir los tiempos y las longitudes medidos por uno a los determinados por el otro, ni tampoco para decir que uno de los dos está en posesión de los tiempos «verdaderos» o de las longitudes «verdaderas». Éste es un punto en el que Einstein ha puesto especial hincapié en una teoría en la que parte de lo que él llama el principio de relatividad […].No puedo hablar aquí de las muchas y muy interesantes aplicaciones que Einstein ha hecho de este principio. Sus resultados referentes a los fenómenos electromagnéticos y ópticos […] coinciden en lo principal con lo que yo he obtenido en las páginas precedentes y la diferencia principal está en que Einstein simplemente postula lo que yo he deducido, con alguna dificultad y no del todo satisfactoriamente, a partir de las ecuaciones fundamentales del campo electromagnético. Al hacer esto, puede sin duda recibir crédito por hacernos ver en los resultados negativos de experimentos como los de Michelson, Rayleigh y Brace, no una compensación fortuita de efectos contrapuestos sino la manifestación de un principio general y fundamental. Sin embargo, creo que también se puede argumentar algo en favor de la forma en que yo he presentado la teoría. No puedo sino considerar el éter, que puede ser el asiento de un campo electromagnético con su energía y sus vibraciones, dotado de un cierto grado de sustancialidad, por muy diferente que ésta sea de toda la materia ordinaria. De acuerdo con esta línea de pensamiento, parece natural no suponer desde el comienzo que nunca puedan surgir diferencias entre un cuerpo que se mueve a través del éter [y otro que esté en reposo].
Todavía añadía Lorentz un aspecto que favorecía la presentación de Einstein sobre la suya, pero encontraba una cierta justificación para su propio punto de vista. En suma, se puede decir que en 1906-1909, aun reconociendo algunos de los rasgos que hacían de la relatividad especial una teoría tremendamente atractiva, Lorentz no estaba dispuesto a abandonar sus propias ideas.
Sin embargo, en algún momento entre 1909 y 1916, el año en que se publicó la segunda edición de The Theory of Electrons, Lorentz cambió de opinión. Así, leemos en una de las notas (la 72) añadida a esa segunda edición, lo siguiente (Lorentz, 1952: 321): «Si tuviese que escribir ahora el último capítulo, sin duda que daría un lugar más prominente a la teoría de la relatividad de Einstein, en la que la teoría de los fenómenos electromagnéticos en sistemas en movimiento gana una simplicidad que yo no fui capaz de conseguir. La causa principal de mi fracaso estuvo en mi fijación en la idea de que sólo la variable t puede ser considerada el tiempo verdadero y que mi tiempo local t' no debía considerarse más que una cantidad matemática auxiliar».
Lorentz había captado por fin las diferencias entre su planteamiento y solución del «problema electromagnético» y las ideas de Einstein.
En otro de los libros de Lorentz (1927), Problems of Modern Physics, que contiene un curso que dio en 1922 en el California Institute of Technology, podemos leer frases que demuestran que Lorentz ya estaba lejos de la «relatividad electromagnética» y participaba de las ideas de Einstein de «teoría de principios». Así, en la sección 34 («Relatividad y las ecuaciones electromagnéticas») leemos (Lorentz, 1927: 102): «El principio de relatividad es un principio físico, o hipótesis física, que pretende enseñarnos algo sobre la naturaleza de las cosas. Las consecuencias a que conduce deben ser comprobadas experimentalmente y, cuando estas consecuencias conciernen a fenómenos que estamos acostumbrados a explicar mediante alguna teoría, el principio de relatividad puede implicar algún cambio en esta teoría».
Planteado el problema en estos términos, quedaba por superar un último escollo fundamental y era que es imposible reconciliar la teoría de Maxwell con el principio de relatividad sin modificar la noción tradicional de tiempo. De nuevo, utilizando las palabras de Einstein (1949 a; Sánchez Ron, ed., 2005: 64):
Naturalmente, hoy nadie ignora que todos los intentos de aclarar satisfactoriamente esa paradoja [la del rayo de luz] estaban condenados al fracaso mientras el axioma del carácter absoluto del tiempo, es decir, de la simultaneidad, continuasen sin que uno se diese cuenta, anclados en el subconsciente. Es evidente que reconocer este axioma y su carácter arbitrario implica ya realmente solucionar el problema. Este tipo de razonamiento crítico, necesario para el descubrimiento de este punto central, fue en mi caso decisivamente impulsado por las lecturas de los escritos filosóficos de David Hume y Ernst Mach.Es decir, para superar el último escollo, Einstein encontró la clave en las filosofías de Hume y de Mach, lo que no nos debe sorprender demasiado si recordamos alguna de las citas —especialmente de Hume— señaladas en la sección anterior.
Muy importante también para que Einstein se decidiese a «imponer» el principio de relatividad fue la existencia de «asimetrías» en la explicación de algunos fenómenos electromagnéticos. Este punto aparece, con todo rigor, ya desde la primera palabra del «Sobre la electrodinámica de los cuerpos en movimiento». Escribía allí Einstein (1905c: 891).
Es sabido que la electrodinámica de Maxwell —tal y como se entiende actualmente— conduce a asimetrías que no parecen inherentes a los fenómenos, cuando se la aplica a cuerpos en movimiento. Tómese, por ejemplo, la acción electromagnética recíproca entre un imán y un conductor. El fenómeno que aquí se observa depende únicamente del movimiento relativo entre el conductor y el imán, mientras que la visión habitual establece una neta distinción entre los dos casos en que uno u otro de estos cuerpos está en movimiento, ya que si el imán está en movimiento y el conductor en reposo, aparece en los alrededores del imán un campo eléctrico con una cierta energía definida, que produce una corriente en aquellos lugares donde se encuentran partes del conductor, pero, si el imán está estacionario y el conductor en movimiento, no surge ningún campo eléctrico en los alrededores del imán. Sin embargo, en el conductor encontramos una fuerza electromotriz para la que no existe la energía correspondiente, pero que da lugar —suponiendo que el movimiento relativo es el mismo en los dos casos discutidos a corrientes eléctricas del mismo camino y la misma intensidad que las producidas por las fuerzas eléctricas en el caso anterior.«Ejemplos de este tipo —continuaba Einstein—, junto a los intentos que sin éxito se han realizado para descubrir cualquier movimiento de la Tierra con respecto al “medio de la luz”, sugieren que los fenómenos de la electrodinámica, lo mismo que los de la mecánica, no poseen propiedades que corresponden a la idea de reposo absoluto».
Por consiguiente, podríamos decir que una de las motivaciones que llevaron a Einstein a la relatividad especial fue de orden «estético». Creía que las teorías físicas no debían contener asimetrías formales. De hecho, esta creencia formaba parte de la estrategia, o método, con que Einstein reconocía y resolvía problemas de la física teórica. Así, el esquema de «Sobre la electrodinámica de los cuerpos en movimiento» no hacía sino repetir el que Einstein había utilizado poco antes en otro de sus trabajos de 1905, «Un punto de vista heurístico acerca de la producción y transformación de la luz» (Einstein, 1905 a), que comenzaba de la siguiente manera: «Existe una profunda distinción formal entre los conceptos teóricos que los físicos han construido en relación con los gases y otros cuerpos ponderables y la teoría de Maxwell de los procesos electromagnéticos en el llamado espacio vacío». Y continuaba refiriéndose al hecho de que mientras en los gases y otros cuerpos ponderables el estado de un sistema viene completamente determinado por las posiciones y velocidades de un número grande, pero finito, de átomos y moléculas, en la electrodinámica de Maxwell esto no ocurre, puesto que se utilizan funciones (campos) continuas, lo que implica la existencia de un número infinito de parámetros. Un planteamiento exactamente análogo —de hecho, otra manifestación del conflicto existente entre mecánica y electrodinámica— al de «Sobre la electrodinámica de los cuerpos en movimiento».
§. El contenido de «sobre la electrodinámica de los cuerpos en movimiento» [103]
El artículo de la relatividad especial (Einstein, 1905 c) está estructurado de la forma siguiente: una introducción sin título, una parte I titulada «Parte cinemática» y otra de título «Parte electrodinámica» (semejante división muestra con claridad la independencia con respecto a la teoría de Maxwell de las consideraciones de Einstein). Cada parte está a su vez dividida en cinco secciones. Adviértase que la forma en la que Einstein ordenó el contenido de su artículo es opuesta a la utilizada por los defensores de la visión electromagnética de la naturaleza que hacían especial hincapié en la dinámica del electrón, de la que trataban de deducir la cinemática del electrón de su dinámica. Esta diferencia entre el significado que Einstein, por una parte, y los seguidores de la imagen electromagnética, por otra, otorgaban a la «cinemática» y a la «dinámica» tuvo, como veremos, enormes implicaciones en lo que se refiere a la interpretación dada a la relatividad especial.

Primera página de «Sobre la electrodinámica de los cuerpos en movimiento».
En el lenguaje empleado antes tenemos que en la teoría de la relatividad especial, las transformaciones forman grupo. Congruente con todos esto es que el axioma de la constancia de la velocidad de la luz es válido en todo sistema de referencia inercial: Einstein había eliminado otra asimetría de la teoría de Maxwell-Lorentz.
Consideremos ahora la sección 1 del artículo de la relatividad, titulada «Definición de simultaneidad». Allí, Einstein comenzaba definiendo de forma operacional los conceptos «sistema de referencia inercial» y «posición con respecto a un sistema de referencia inercial». Sus definiciones se basan en «el empleo de estándares de medidas [con cuerpos rígidos] y en los métodos de la geometría euclidiana». A continuación explicaba que, como las coordenadas de un punto material en movimiento son funciones del tiempo, debemos explicar qué entendemos por «tiempo».
Es en este momento cuando Einstein argumentaba que el concepto de simultaneidad no es absoluto: hay que distinguir entre simultaneidad «local» y «a distancia», buscando una definición operacional. En este sentido, daba una definición —libre de contradicciones— de «sincronización de relojes» y, por consiguiente, de «tiempo», para relojes en reposo relativo en un sistema de referencia inercial. Para ello utilizó un procedimiento que se basaba implícitamente en la homogeneidad y la isotropía del espacio para la propagación de la luz. El procedimiento que seguía es el siguiente: considérense dos relojes en reposo relativo en las posiciones A y B en un sistema de referencia inercial. Se emite en Aun rayo de luz cuando el reloj situado allí señala el instante tA, y ese rayo lo recibe un observador colocado en B cuando su reloj señala tB, reflejándolo instantáneamente de vuelta a A, adonde llega en el instante t'A. Einstein definía tB de la forma:
tB - tA = t'B - t' A
También suponía explícitamente que «si el reloj situado en B se sincroniza con el de A, el de A está también sincronizado con el de B», y que «si el reloj en A se sincroniza con uno en B y otro en C, los relojes en B y en C están sincronizados entre sí».Se llega así a la sección 2 («Sobre la relatividad de longitudes y tiempos»), en la que después de reformular los dos axiomas básicos, se utiliza la anterior definición de tB para demostrar que tanto longitudes como tiempo son magnitudes relativas: «Observadores que se mueven con la regla que está en movimiento encontrarán, por tanto, que los dos relojes no están sincronizados, mientras que observadores en el sistema estacionario declararán que sí lo están». Es evidente que las relatividades de longitudes y de tiempos están íntimamente relacionadas: para medir la longitud de un objeto en movimiento, tenemos que hacer medidas simultáneas de posición de dos puntos (los extremos del objeto); por consiguiente, si la simultaneidad depende del sistema de referencia en que se mide, también serán relativas las medidas de longitudes.
Tenemos aquí otra diferencia que separa a Einstein de Lorentz, ya que, para este último, existían magnitudes absolutas (en concreto, longitud y tiempo), que se medían con el sistema de referencia en reposo con respecto al éter, mientras que para el primero, como hemos visto, no. A este respecto, puede ser útil citar un pasaje de uno de los primeros libros que se ocuparon de difundir las dos teorías, la especial y general, de la relatividad. El autor no fue un físico cualquiera sino Max Born, catedrático de Gotinga y uno de los responsables de la formulación de la primera versión de mecánica cuántica, la mecánica de matrices, a la que aportó, entre otros elementos, la interpretación de la función de onda. El libro se titulaba Die relativitätstheorie Einsteins und ihre physikalischen Grundlagen gemeinverständlich dargestellt y apareció en 1920 (Born, 1920); dos años después —es una medida del impacto de la relatividad einsteniana—, se publicó una traducción al castellano a cargo de Manuel García Morente, en una colección («Biblioteca de Ideas del siglo XX») dirigida por José Ortega y Gasset, quien añadió un prólogo. [104] Cito de esta traducción (Born, 1922: 274):
Puede decirse que, juzgados desde un sistema cualquiera, los relojes de todo sistema que se mueva con respecto del anterior, parecen retrasar. Los cursos del tiempo en sistemas movidos unos con respecto a otros son más lentos; todos los procesos en esos sistemas retrasan con respecto a los procesos correspondientes del sistema considerado inmóvil. Volveremos luego sobre las circunstancias que de aquí se derivan y que muchas veces se califican de paradojas.Una vez establecida la relatividad de tiempos y longitudes, Einstein obtenía todos los resultados de su artículo de una manera estrictamente lógica, utilizando los dos postulados y la definición de simultaneidad.
Los datos de un reloj en el sistema de referencia quieto llámense tiempo propiodel sistema. Es éste idéntico al tiempo local de Lorentz; el progreso de la teoría de Einstein no se refiere a las leyes formales sino más bien a su concepción fundamental. En la teoría de Lorentz, aparece el tiempo local como un artificio matemático, en oposición al tiempo verdadero, absoluto. Einstein ha establecido que no existe medio alguno de determinar ese tiempo absoluto, de extraerlo de los tiempos locales, infinitamente numerosos, y todos son igual de lícitos, de los sistemas de referencia en movimiento. Esto significa, empero, que el tiempo absoluto no tiene realidad física; los datos del tiempo sólo tienen sentido en relación con determinados sistemas de referencia. Así queda realizada la relativización del concepto de tiempo.
En la sección 3 («Teoría de las transformaciones de coordenadas y tiempos de un sistema estacionario a otro sistema en movimiento de traslación relativo al anterior»), deducía las ecuaciones para las transformaciones relativistas de las coordenadas espaciales y temporales, es decir, las ecuaciones (13) del capítulo 4, que Lorentz obtuvo en 1904. Hay que señalar que implícitamente se utilizaba la homogeneidad del espacio y del tiempo, lo que hace que las transformaciones fuesen lineales.
La sección 4 se titula «Significado físico de las ecuaciones obtenidas con respecto a cuerpos rígidos en movimiento y relojes que se mueven» y en ella Einstein obtenía la contracción de cuerpos en movimiento inercial, como son medidos por un observador en otro sistema de referencia inercial, así como la ecuación de la dilatación del tiempo. Como señaló Miller (1979), en la teoría de Lorentz, la contracción de longitudes era, en realidad, una hipótesis adicional cuyo significado no estaba demasiado claro, entre otras cosas (y olvidándonos de la hipótesis de las fuerzas moleculares y del teorema de los estados correspondientes, que no resuelven nada en este sentido) porque al no ser posible medir experimentalmente las verdaderas longitudes y las verdaderas velocidades (las del cuerpo en un sistema en reposo con respecto al éter), no era posible disponer de métodos operacionales para medir cambios de longitudes (verdaderas). Por otra parte, la dilatación temporal era totalmente ajena a la teoría de Lorentz, donde el tiempo era una magnitud absoluta.
La última sección de la parte I, la sección 5, se titula «La composición de velocidades» y en ella se deduce la ley relativista de suma de velocidades, v y w:

Antes de pasar a la parte II de «Sobre la electrodinámica de los cuerpos en movimiento», citaré un pasaje de un importante artículo de revisión (volveré a él cuando trate del origen de la teoría de la relatividad general) que Einstein publicó en 1907: en él explicaba con gran claridad sus diferencias con Lorentz (Einstein, 1907 b: 412-413):
Es bien sabido que esta contradicción entre teoría y experimento [la que mostraba el experimento de Michelson y Morley] fue eliminada formalmente con el postulado de H. A. Lorentz y FitzGerald, según el cual los cuerpos en movimiento experimentan una cierta contracción en la dirección de su movimiento. Sin embargo, este postulado ad hoc parecía ser sólo un medio artificial para salvar la teoría: de hecho, el experimento de Michelson y Morley había demostrado que los fenómenos están de acuerdo con el principio de relatividad incluso cuando esto no se esperaba utilizando la teoría de Lorentz. Parecía, por consiguiente, que la teoría de Lorentz debiera ser abandonada y reemplazada por una teoría cuyos fundamentos correspondiesen al principio de relatividad, ya que tal teoría predeciría fácilmente el resultado negativo del experimento de Michelson y Morley.En la parte II del artículo, Einstein aplicaba la cinemática desarrollada en la parte I a la electrodinámica. Comienza con la sección 6, titulada «Transformación de las ecuaciones de Maxwell-Hertz para el espacio vacío. Sobre la naturaleza de las fuerzas electromotrices que aparecen en un campo magnético durante el movimiento». El mismo título nos indica que Einstein no perdía un momento para, una vez volcado en la discusión propiamente electromagnética, tratar de eliminar la asimetría que había mencionado en la introducción. Para ello tomaba las ecuaciones de Maxwell en el vacío, considerándolas axiomáticas. Entonces exigía que fuesen compatibles con los dos axiomas de la relatividad especial (requisito de covariancia). Esto le permitía deducir nuevas leyes de la física: la relatividad de las magnitudes del campo electromagnético, lo que, con otras palabras y fijándonos en un caso particular, quiere decir que no existía la distinción absoluta que la teoría de Maxwell-Lorentz imponía entre campos eléctricos y campos magnéticos: ambos campos son «intercambiables» dependiendo del estado de movimiento. Quedaba claro para Einstein que «la asimetría mencionada en la introducción y que surgía cuando consideramos las corrientes producidas por el movimiento relativo entre un imán y un conductor, ahora desaparece».
Sin embargo, sorprendentemente, resultó que una concepción del tiempo suficientemente perfeccionada era todo lo que se necesitaba para salvar la anterior dificultad. De lo único que había que darse cuenta es que una cantidad auxiliar introducida por Lorentz y que él denominó «tiempo local» podría definirse como «tiempo» en general. Si uno se adhiere a esta definición del tiempo, las ecuaciones básicas de la teoría de Lorentz corresponden al principio de relatividad, siempre que se reemplacen las ecuaciones de transformación por otras que corresponden al nuevo concepto de tiempo. La hipótesis de Lorentz y FitzGerald aparece como una consecuencia obligada de la teoría. Lo único que no se ajusta a la teoría descrita aquí es la idea de un éter luminífero como el vehículo que transporta las fuerzas eléctricas y magnéticas, puesto que las fuerzas electromagnéticas aparecen aquí no como estados de alguna sustancia sino más bien como cosas que existen independientemente que son parecidas a la materia ponderable y comparten con ella la propiedad de inercia.
En la sección 7 («Teoría del principio Doppler y de la aberración»), Einstein utilizaba los resultados de la sección anterior y de su cinemática para dar una teoría exacta del efecto Doppler óptico y de la aberración estelar, problemas, especialmente el último, como ya vimos, que habían existido desde el siglo XVIII. Una de las virtudes (aparte de su carácter exacto) del planteamiento de Einstein es que no necesitaba, como ocurría en el caso de la teoría de Lorentz, recurrir a explicaciones dinámicas diferentes, según el efecto se observe en un sistema geocéntrico o en uno anclado en el sistema del éter.
La sección 8 se titula «Transformación de la energía de los rayos de luz. Teoría de la presión que la radiación ejerce sobre reflectores perfectos» y en ella Einstein conectaba, aún sin hacer referencia a ellos, con resultados que había obtenido poco antes en su artículo «Sobre un punto de vista heurístico relativo a la producción y la transformación de la luz» (Einstein, 1905 a). Demostraba que el cociente entre la energía y la frecuencia de un «complejo de luz» (un pulso de luz) es invariante (una constante), señalando que «es notable que la energía y la frecuencia de un complejo de luz varíen con el estado de movimiento del observador según la misma ley».
Y, en efecto, era muy notable ya que lo que Einstein estaba haciendo era confirmar de una manera independiente uno de los principales resultados de «Un punto de vista heurístico…», es decir,
E = h·v
(la constante a la que se refería Einstein es, pues, la constante de Planck). Este punto de contacto entre la relatividad especial y la teoría cuántica de la radiación no hace sino reafirmar la opinión de que ambas teorías formaban parte o respondían en la mente de Einstein a un programa básico común.El resto de la sección 8 está dedicado a resolver de forma exacta dos viejos problemas: la reflexión de la luz en un espejo perfectamente reflectante que está en movimiento y la presión que la luz ejerce sobre un espejo que se mueve. Ambos problemas eran fundamentales para la termodinámica de la radiación y Einstein, que estaba trabajando en este campo y que más adelante utilizaría dichos resultados en varias ocasiones, lo sabía muy bien. Hay que señalar, sin embargo, que estos problemas también se podían resolver de forma exacta —como había demostrado Abraham (1904) — utilizando la teoría de Lorentz.
El último párrafo de la sección 8 refleja la confianza de Einstein en sus ideas:
Todos los problemas de la óptica de los cuerpos en movimiento se pueden resolver por el método empleado aquí. Lo que es esencial es transformar las fuerzas eléctricas y magnéticas de la luz que es influenciada por el cuerpo en movimiento, a un sistema de coordenadas en reposo con respecto a dicho cuerpo. Mediante este procedimiento, todos los problemas de la óptica de cuerpos en movimiento se reducirán a una serie de problemas en la óptica de los cuerpos estacionarios.La sección 9 («Transformaciones de las ecuaciones de Maxwell-Hertz cuando se toman en cuenta corrientes de convección») analiza las ecuaciones de Maxwell en el caso en que existan fuentes. La conclusión más importante era la siguiente: «Los fundamentos electrodinámicos de la teoría de Lorentz para la electrodinámica de cuerpos en movimiento están de acuerdo con el principio de relatividad».
Se llega así a la última sección, la 10, titulada «Dinámica del electrón acelerado débilmente», donde Einstein tomaba la segunda ley de Newton en su forma habitual como axiomáticamente válida. El procedimiento que seguía es el siguiente: sea un electrón de carga e en reposo en el sistema de referencia K, en el instante t0. Como está en reposo, sólo le afectará un campo eléctrico exterior, E, así que en un instante posterior, t1, pero cercano a t0, el electrón estará en movimiento, siendo las ecuaciones de movimiento



Continuando con el trabajo de Einstein, hay que señalar que, en la sección 10, se calcula la única integral de todo el artículo para obtener así la energía cinética de un electrón en un campo electrostático externo. El resultado al que llegaba es

Como punto final a su artículo, Einstein enumeraba tres posibles experimentos relativos al movimiento de un electrón, detallando las fórmulas a que obedecían. Como señaló Miller (1979: 107), estos experimentos superaban con mucho las posibilidades técnicas de los experimentalistas de entonces. Como en tantas cosas, el creador de la relatividad se adelantaba a su época. Es interesante señalar que Einstein podría muy bien haber añadido un cuarto experimento a su lista: su predicción para la masa transversal del electrón. Si no lo hizo así acaso fue porque los valores que se derivaban de sus expresiones no estaban de acuerdo con los datos experimentales que había obtenido un físico experimental de Gotinga, Walter Kaufmann (1871-1947), que ya cité al tratar de los trabajos de Lorentz.
A partir de 1901, Kaufmann emprendió un programa de investigación centrado en una serie de experimentos destinados a medir la variación de la velocidad del electrón con la velocidad. Los primeros resultados que obtuvo (Kaufmann, 1901 b), en los que utilizó lo que entonces se denominaban «rayos de Becquerel» —esto es, la radiación que emitían los elementos radiactivos, o sea, rayos alfa (núcleos de helio), beta (electrones) y gamma (radiación electromagnética) —, parecían indicar que la «masa mecánica» del electrón era comparable a la «masa electromagnética». En una conferencia que pronunció en septiembre de 1901 en la septuagésima tercera reunión de la Naturforscherversammlung (Científicos de la Naturaleza) celebrada en Hamburgo, Kaufmann (1901 a) realizó lo que bien puede considerarse un manifiesto de lo que se conoce como «visión electromagnética de la Naturaleza», a finales del siglo XIX y comienzos del XX, muy influyente idea de que la «materia» no es sino «agregados» de campo electromagnético (recordemos que en 1897 J. J. Thomson había identificado el electrón, un componente universal de la materia): [107]
Y aquí llegamos a una cuestión que afecta profundamente a la estructura de la materia en general. Si un átomo eléctrico, solamente en virtud de sus propiedades electrodinámicas, se comporta como una partícula inerte, ¿es entonces posible considerar a todas las masas sólo aparentes? ¿En lugar de los estériles esfuerzos para reducir los fenómenos eléctricos a mecánicos, no será mejor intentar el proceso inverso de reducir los principios mecánicos a eléctricos? En este punto, regresamos a ideas ya cultivadas por [J. F. C.] Zöllner hace treinta años y últimamente mejoradas por H. A. Lorentz, J. J. Thomson y W. Wien: si todos los átomos materiales consisten en conglomerados de electrones, su inercia se deduce como una mera consecuencia.En experimentos realizados en 1902 y 1903, Kaufmann (1902 a, b, 1903) concluyó que toda la masa de los electrones emitidos por sales de radio era electromagnética. En experimentos posteriores (Kaufmann, 1905), concluía que sus medidas confirmaban las predicciones teóricas sobre la variación de la masa del electrón a la que había llegado Max Abraham (1902, 1903), un físico que trabajó entre 1900 y 1909 en Gotinga como Privatdozent, que utilizaba un modelo rígido del electrón, y rechazaban las de Lorentz y Einstein (para Lorentz y Einstein, el electrón se deformaba al moverse: se contraía en la dirección del movimiento).
Aunque Alfred H. Bucherer (1908, 1909), físico de la Universidad de Bonn, obtuvo resultados experimentales que favorecían el modelo de Lorentz-Einstein, Einstein no les prestó demasiada atención: su fe en la sencillez y profundidad de su teoría era tal que podía muy bien soportar e incluso ignorar algunos resultados adversos. [108]
Los experimentos eran, de hecho, tan delicados que la dependencia de la masa del electrón con la velocidad se convirtió en sujeto de numerosos experimentos y aún más numerosas controversias. Todavía en 1938, se argumentaba que los filtros de velocidad empleados por Bucherer eran deficientes como para que sus resultados fuesen fiables (Zahn y Spees, 1938). [109]
Finalmente, Einstein concluía su artículo agradeciendo «la leal ayuda de mi amigo y colega M. Besso» al que también debía «varias valiosas sugerencias».
§. De «electrodinámica de los cuerpos en movimiento» a «Teoría de la relatividad».
Lo que Einstein tituló en 1905, «Electrodinámica de los cuerpos en movimiento», terminó siendo conocido por todo el mundo como «teoría de la relatividad especial». Una buena pregunta es cuándo tuvo lugar y quién fue el responsable de este cambio nominal. [110]
En el artículo fundacional de 1905, Einstein se refería al «principio de relatividad» («Prinzip der Relativität», o «Relativitätsprinzip»). Max Planck (1906), uno de los editores del Annalen der Physik y, como veremos, uno de los que primero y mejor entendieron el significado de la nueva teoría, utilizó en 1906 el término « Relativtheorie» para describir las ecuaciones del movimiento de un electrón según los trabajos de Lorentz y Einstein.

Einstein en Berna; 1905.
El principio de relatividad o, más exactamente, el principio de relatividad junto al principio de la constancia de la velocidad de la luz no constituyen un «sistema completo»; de hecho, no es un sistema en absoluto sino meramente un principio heurístico que, cuando es considerado en sí mismo, contiene únicamente afirmaciones sobre cuerpos rígidos, relojes y señales de luz. Es solamente exigiendo relaciones entre leyes que de otra forma parecen no relacionadas como la teoría de relatividad proporciona proposiciones adicionales.A pesar de que Einstein utilizó a partir de entonces la expresiónRelativitätstheorie de vez en cuando, continuó empleando Relativitätsprinzip en los títulos de sus artículos; fue en Einstein (1915 a) cuando comenzó a referirse a sus trabajos anteriores como die spezielle Relativitätstheorie («la teoría especial de la relatividad»).
Por ejemplo, la teoría del movimiento de electrones surge de la siguiente manera. Uno postula las ecuaciones de Maxwell en el vacío para un sistema de coordenadas espacio-temporales. Aplicando las transformaciones espacio-temporales [esto es, las transformaciones de Lorentz] que se derivan del sistema de relatividad, se obtienen las ecuaciones de transformación para las fuerzas eléctricas y magnéticas. Utilizando éstas, y aplicando de nuevo las transformaciones espacio-temporales, partiendo de la ley para la aceleración de un electrón que se mueve lentamente (que se supone u obtiene de modo experimental), se llega a la ley para la aceleración de un electrón que se mueve con una velocidad arbitraria. Por consiguiente, no estamos tratando aquí en absoluto con un «sistema» en el que las leyes individuales están contenidas implícitamente y del que se puede encontrar sólo por deducción sino únicamente con un principio que (similar a la segunda ley de la teoría del calor) permite reducir ciertas leyes a otras.
§. «La relatividad especial, una teoría «de principios»
La comparación que Einstein establecía en la cita anterior de su respuesta a Ehrenfest con la «teoría del calor», esto es, con la termodinámica, es muy importante, ya que significa que para él la teoría de la relatividad especial era lo que denominó «una teoría de principios». Él mismo explicó qué quería decir con semejante expresión en un artículo que publicó en el diario inglés The Times el 28 de noviembre de 1919, cuando, como veremos, comenzaba «el fenómeno Einstein», esto es, su popularidad mundial (Einstein, 1919 a: 13):
Existen varias clases de teorías en la física. La mayor parte de ellas son constructivas. Intentan obtener, partiendo de algunas proposiciones relativamente sencillas, una descripción de los fenómenos complejos. Por ejemplo, la teoría cinética de los gases trata de explicar por medio del movimiento molecular las propiedades térmicas, mecánicas y expansivas de los gases. Cuando decimos que hemos comprendido un grupo de fenómenos naturales, queremos decir que hemos hallado una teoría constructiva que los abarca todos.En realidad, no fue Einstein quien creó el concepto de «teoría de principios» sino Henri Poincaré. En La Valeur de la Science, encontramos una sección del capítulo 7 («La historia de la física matemática») titulado, precisamente, «La física de principios», entendiendo por «principios», «el resultado de experiencias ampliamente generalizadas, pero [que] parecen extraer de su misma generalidad un eminente grado de certidumbre» (Poincaré, 1905 a, 2007: 251). Entre los principios que Poincaré (1905 a, 2007: 249-250) señalaba, se encuentran el de conservación de la energía, el de Carnot (de degradación de la energía), el de la igualdad de la acción y la reacción, el de conservación de la masa, el de mínima acción y, finalmente, y éste es importante para nosotros, el principio de la relatividad, «según el cual las leyes de los fenómenos físicos deben de ser las mismas para un observador fijo que para un observador arrastrado en movimiento uniforme, de modo que no tenemos, y no podemos tener, medio alguno para discernir si somos transportados o no en un movimiento semejante».
Teoría de principios. Pero, además de este importantísimo grupo de teorías, existe otro formado por las que yo llamo teorías de principios. Emplean éstas el método analítico, no el sintético. Tanto su origen como su fundamento no son elementos hipotéticos sino propiedades generales de los fenómenos, observadas empíricamente. De estos principios se deducen fórmulas matemáticas aplicables a todo caso que se presente. Por ejemplo, la termodinámica, partiendo de que el movimiento perpetuo nunca se da en la experiencia ordinaria, intenta deducir de ello, por un proceso analítico, una teoría aplicable a cualquier caso. El mérito de las teorías constructivas radica en su inteligibilidad, adaptabilidad y claridad; el de las teorías de principios, en su perfección lógica y en la seguridad de su fundamento.
La teoría de la relatividad es una teoría de principios.
Albert EinsteinComo ya expliqué, Einstein visitó, acompañado de su segunda esposa, Elsa, Japón, entre el 17 de noviembre y el 29 de diciembre de 1922, invitado por la editorial japonesa Kaizo-Sha. Visitó Tokio, Sendai, Nagoya, Kioto, Osaka, Kobe y Fukuoka y, entre las conferencias que pronunció, una fue particularmente interesante desde el punto de vista de la historia, la última que dio, impartida en Kioto el 14 de diciembre, ya que contiene una explicación del camino que siguió para crear las teorías especial y general de la relatividad. Einstein no escribió el texto de su intervención, pero Yun Ishiwara, un japonés que acompañó al matrimonio Einstein, la transcribió y publicó en japonés en la revista Kaizo. Posteriormente, aquel texto fue traducido y publicado varias veces en inglés. A continuación reproduzco, vertida al español, la última de esas traducciones (Abiko, 2000) no en su totalidad sino únicamente la primera parte, la que se refiere a la teoría de la relatividad especial; más adelante, cuando trate de la teoría general de la relatividad, completaré el texto. El interés es, obviamente, que ofrece la propia visión de Einstein de cómo llegó a las dos teorías de la relatividad:
«Como creé la teoría de la relatividad (I): la teoría de la relatividad especial»
La tarea de hablar sobre cómo llegué a la teoría de la relatividad nunca es sencilla, porque existen muchas complejidades ocultas que estimulan el pensamiento propio. Complejidades que, además, la afectan con distintos grados de intensidad. No pretendo hablar de cada una de ellas ni tampoco citar cada uno de los artículos que he escrito. Simplemente trataré de escoger lo esencial y más directamente relacionado con el desarrollo de mi pensamiento.
Hará unos diecisiete años que tuve la idea de establecer el principio de relatividad. De dónde surgió la idea es algo que no puedo expresar de forma precisa. Sin embargo, es cierto que la idea estaba contenida en los problemas relacionados con la óptica de los cuerpos en movimiento. La luz se propaga por el mar de éter. La Tierra también se mueve en ese éter. Desde el punto de vista de la Tierra, el éter se mueve en su contra. No obstante, no podía encontrar, en ninguna literatura sobre física, los hechos que verificaban este flujo del éter.
Por consiguiente, yo quería, de alguna manera, verificar ese flujo de éter en contra de la Tierra, es decir, el movimiento de la Tierra. Cuando en aquella época me planteé este problema, nunca dudaba de la existencia del éter y del movimiento de la Tierra. Quería, en consecuencia, mediante la reflexión adecuada de una fuente de luz por espejos, enviar un haz de luz en la dirección y el sentido del movimiento de la Tierra y otro haz en el sentido opuesto a éste. Anticipando que debía de existir alguna diferencia en la energía de esos dos haces, pretendía verificar esta suposición mediante la diferencia de calor que ocasionarían los haces en dos termopares. La idea era de un tipo similar a la del experimento de Michelson, pero, por entonces, yo no conocía muy bien este experimento.
Mientras albergaba estas ideas en mi mente, en mi época de estudiante, llegué a conocer el extraño resultado del experimento de Michelson. Entonces me di cuenta de manera intuitiva de que, si se admitía este resultado como un hecho, era error nuestro el pensar que la Tierra se movía en contra del éter. Éste fue el primer camino que me guio a lo que ahora denominamos el principio de la relatividad especial. Desde entonces, he llegado a creer que aunque la Tierra se mueve alrededor del Sol, no podemos percibir este movimiento mediante experimentos ópticos.
Fue justo entonces cuando tuve la oportunidad de leer la monografía de Lorentz de 1895. En ella Lorentz trataba de los problemas de la electrodinámica y era capaz de resolverlos completamente en una primera aproximación, es decir, en tanto que despreciaba las magnitudes de orden superior a la segunda potencia del cociente entre la velocidad del cuerpo en movimiento y la velocidad de la luz. A la sazón, me ocupé del experimento de Fizeau y traté de aproximarme a él con la hipótesis de que las ecuaciones dadas por Lorentz para los electrones se mantenían tanto en el sistema de coordenadas centrado en el cuerpo en movimiento como en el sistema centrado en el vacío. De todas formas, por esa época, yo creía firmemente que las ecuaciones de Maxwell-Lorentz de la electrodinámica eran correctas y que revelaban la verdadera realidad. Y lo que es más, que [la hipótesis de] que estas ecuaciones eran también válidas para los sistemas de coordenadas en movimiento, indicaba la relación de la denominada invariancia de la velocidad de la luz.
A pesar de todo, esta invariancia de la velocidad de la luz entraba en conflicto con la bien conocida ley de la adición de velocidades de la mecánica. ¿Cómo demonios se contradecían entre sí estas dos leyes? Sentía que había llegado a una grave dificultad. Con la esperanza de poder modificar de alguna manera la forma de pensamiento de Lorentz, malgasté casi un año con pensamientos inútiles. Después, sólo podía pensar que ese misterio era demasiado difícil como para poderlo resolver yo.
Sin embargo, un amigo mío [Michele Besso] de Berna, me liberó por casualidad. Hacía un día precioso. Fui a visitarlo y comencé a hablar con él en términos como éstos.
«Tengo un problema que no podré resolver en toda mi vida. Hoy, lo he traído para batallarlo contigo».
Discutí diversas cosas con él. De ese modo, me sentí inspirado y fui capaz de alcanzar el entendimiento. Al día siguiente volví a verlo y le dije: «Muchas gracias. Ahora he interpretado completamente mi problema».
Mi interpretación se centró en el concepto del tiempo. A saber, que el tiempo no se podía definir de manera absoluta, pero que mantenía una relación inseparable con la señal de la velocidad, de manera que la dificultad extrema de antaño se resolvió completamente por vez primera.
Cinco semanas después de darme cuenta de este hecho, el principio de la relatividad especial quedó establecido como lo conocemos hoy. No tuve la menor duda de que también era muy aceptable desde el punto de vista filosófico. De manera específica, me di cuenta de que debería estar de acuerdo con las ideas de Mach. Como ven, nada en la teoría [especial] está relacionado con la visión de Mach de manera tan directa como lo están los últimos problemas resueltos por la teoría general de la relatividad. No obstante, siguiendo sus análisis de los diversos conceptos de ciencia, es posible suponer una conexión, aunque puede ser indirecta. Fue de esta manera como se construyó la teoría especial de la relatividad.
Capítulo 8
Minkowski: del espacio al espacio-tiempo
§. El sentido geométrico de Minkowski
§. Minkowski en Gotinga
§. Del espacio al Espacio-Tiempo
§. La teoría del mundo absoluto
A partir de ahora el espacio por sí mismo y el tiempo por sí mismo están condenados a desvanecerse en meras sombras, y solamente una especie de unión de los dos conservará la independencia.
(MINKOWSKI, 1909)
Minkowski nació en Aleksotas, Rusia, hoy Kaunas, en Lituania. Tercer varón de una familia judía (su padre era comerciante), en Rusia, Hermann no habría podido estudiar debido a su origen étnico, pero dentro de la desgracia que es una emigración, el que su familia tuviese que huir de Rusia debido a la persecución que sufrían los judíos por el Gobierno del zar, aquella marcha fue afortunada para él y para sus hermanos, que pudieron acceder a una buena educación. La familia Minkowski se instaló en Königsberg, entonces perteneciente a Alemania (hoy es una ciudad rusa de nombre Kaliningrado). Allí, las habilidades matemáticas de Hermann destacaron pronto y comenzó una carrera que continuó en las universidades de Berlín, donde pasó tres semestres, y de Königsberg, en la que se doctoró en 1885, con un estudio, Untersuchungen über quadratische Formen, Bestimmung der Anzahl verschiedener Formen, welche ein gegebenes Genus enthält , sobre formas cuadráticas utilizando métodos introducidos por Peter Gustav Lejeune Dirichlet. Antes, en abril de 1883, siendo por tanto todavía un estudiante, había ganado el «Gran Prix des Sciences Mathématiques» concedido por la Académie des Sciences de París, por su trabajo sobre la descomposición de enteros en la suma de cinco cuadrados. En 1887, entró a formar parte del claustro de profesores de la Universidad de Bonn, donde permaneció hasta 1894, año en que regresó a su alma mater. Tampoco estuvo más de dos años en Königsberg, pues en 1896 obtuvo una cátedra en la ETH, el Politécnico de Zúrich, donde, como vimos, tuvo entre sus estudiantes a Einstein. Seis años más tarde abandonaba Zúrich por la pequeña ciudad universitaria alemana de Gotinga. Gracias a la intervención de David Hilbert, amigo suyo y compañero de estudios desde los tiempos de Königsberg, y de Felix Klein, que en 1902 convenció a Friedrich Althoff, el administrador prusiano encargado de controlar las universidades, para que crease una cátedra de Matemáticas específica para Minkowski, éste se incorporó a la Universidad de Gotinga, a su Instituto de Matemáticas, entonces el centro matemático más importante del mundo.
§. El sentido geométrico de Minkowski
Antes de pasar a tratar los trabajos de Minkowski en física y, en concreto, en la teoría de la relatividad, es necesario referirse a su obra matemática, ya que a pesar de que su interés por los problemas físicos fuera grande y de que hiciera contribuciones notables a la física, él fue ante todo un matemático, un gran matemático de hecho. Es, por consiguiente, en el área de las matemáticas donde hay que tratar de descubrir si existió alguna línea maestra en su modo de entender la matemática que ayude a comprender sus contribuciones a la física relativista. Y, efectivamente, existe una línea de esa clase: su sentido geométrico. Ese sentido se manifestó especialmente en un campo matemático en apariencia alejado de la geometría: la teoría de los números. El ejemplo paradigmático de este tipo de tratamiento aparece en un libro que publicó en 1896, Geometrie der Zahlen (Geometría de los números; Minkowski, 1896), que se considera la obra fundacional del campo que lleva el mismo nombre, «Geometría de los números». Su comprensión de conceptos geométricos era, sencillamente, extraordinaria. [112]

Hermann Minkowski cuando ganó el premio de la Academia de París.
En [la teoría de los números aplicada] uno puede hacer uso con frecuencia de la intuición geométrica para así descubrir teoremas con mayor facilidad y, entonces, surge un campo, áreas específicas del cual fueron creadas en primer lugar por Gauss, Dirichlet, Eisenstein y Hermite, y al que yo di el nombre de geometría de los números. Es, por consiguiente, esencialmente una cuestión de usar una intuición espacial para el descubrimiento de relaciones entre enteros.Es decir, Minkowski visualizaba de forma geométrica (espacialmente) las matemáticas, la teoría de los números en particular. No nos debe extrañar, por tanto, que al pasar a investigar cuestiones propias de la física, esa intuición geométrica jugase un papel importante (por ejemplo, prestando particular atención al desarrollo del marco geométrico adecuado a la teoría en cuestión, como ocurrió en el caso de la relatividad especial). Más aún, la intuición geométrica fue tan fuerte en Minkowski que al llegar a la física terminó constituyéndose en el vehículo para acceder a lo que consideraba el auténtico fondo de la realidad física. Su intuición geométrica, por un lado, y su formación como matemático, por otro, llevaron a Minkowski a mantener que debido a la «armonía preestablecida entre las matemáticas y la naturaleza», la geometría puede utilizarse como una llave para el descubrimiento físico. El círculo se completaba cuando argumentaba que la teoría de la relatividad hallaba su justificación en ser la teoría física de estructura geométrica más satisfactoria. La geometría se anteponía así a la física.
Pero no nos adelantemos tanto. Todavía hay que explicar por qué el matemático Minkowski se interesó por problemas de la física. Para ello, lo primero es analizar lo que encontró en Gotinga cuando llegó allí.
§. Minkowski en Gotinga
Los estudios de Matemáticas y Física de la Universidad de Gotinga a la que llegó Minkowski habían cambiado mucho desde la última década del siglo XIX, gracias, sobre todo, como se explica en el recuadro, a la intervención de Felix Klein. [113] Resumiendo y agrupando esos cambios, tenemos que en 1894, la investigación en Física en Gotinga se hacía en: a) el Instituto de Física, dividido en dos secciones, la de Física experimental, cuyo director era Eduard Riecke, y la de Física matemática o Física teórica, dirigida por Woldemar Voigt, y b) el Observatorio Astronómico, del que era director Ernst Schering. Por aquella época, Felix Klein dirigía un seminario de Física matemática junto a Riecke, Voigt, Schering, Wilhelm Weber y Wilhelm Schur, encargado este último de la división de Astronomía aplicada dentro del Observatorio Astronómico.
Entre 1895 y 1898, la configuración institucional de la física en Gotinga sufrió algunos cambios notables. En 1895 se creó el Instituto de Química física con el químico-físico Walther Nernst, hasta entonces profesor asociado de Física matemática, como director. En 1897 se añadía una División de Física técnica al Instituto de Física (por Física técnica se entendía Mecánica y Electricidad aplicadas). Asimismo, se aprovechó la muerte de Schering en 1898 para reorganizar el Observatorio Astronómico. Se dejó vacante el cargo de director del observatorio y se colocaron, con la categoría de profesores asociados, Martin Brendel y Emil Wiechert a la cabeza, respectivamente, de las divisiones de Astronomía y Geofísica.
Esta estructura permaneció inmutable hasta 1905, año en que tuvo lugar la última reorganización institucional de la física en el periodo que nos interesa aquí. Las principales novedades fueron las siguientes:
- Se dio categoría de instituto independiente a la sección de Física técnica del Instituto de Física. Se creaba así el Instituto de Mecánica y Matemáticas aplicadas bajo la dirección conjunta de Carl Runge (profesor de Matemáticas aplicadas) y de Ludwig Prandtl (profesor de Mecánica aplicada).
- Se creó un Instituto de Geofísica (rama que hasta entonces había estado incluida en el Observatorio Astronómico) con Emil Wiechert como director.
- Se reorganizó una vez más el Observatorio Astronómico, teniendo en cuenta especialmente Schwarzschild máximo y único responsable.
- Se creó una nueva división del Instituto de Física, la División de Electricidad con Hermann T. Simon como director.
Felix KleinFelix Christian Klein (1849-1925) nació en Düsseldorf (Alemania) el 25 de abril de 1849, una fecha a la que gustaba referirse señalando que cada cifra era el cuadrado de un número primo: 25 = 52; 4 = 2 2; 1849 = 432. [114] Hijo del secretario del jefe de Gobierno, el joven Felix cursó el bachillerato en el Gymnasium de su ciudad natal. En el semestre de invierno del curso 1865-1866 comenzó sus estudios universitarios en la Universidad de Bonn con el propósito de estudiar física, pero el matemático Julius Plücker, que tenía a su cargo algunos cursos de Física y Matemáticas que siguió, lo escogió como ayudante. Por entonces, Plücker estaba preparando un libro sobre un apartado de la geometría (una rama de la matemática que llevaba casi veinte años sin contemplar avances significativos), la geometría de líneas, y Klein se convirtió en su más estrecho colaborador.
En 1868, Klein obtuvo su doctorado, bajo la dirección de Plücker, con una tesis sobre los complejos de líneas de primer y segundo grado: Über die Transformation der allgemeinen Gleichung des zweiten Grades zwischen Linien-Koordinaten auf eine kanonische Form . Poco antes de que finalizase su tesis, Plücker falleció y Alfred Clebsch, uno de los grandes nombres en la matemática de los invariantes, invitó a Klein —que entonces sólo tenía 19 años— a unirse a él en Gotinga. Clebsch, que se convirtió en el segundo gran maestro de Klein, le encargó que se ocupase de la edición de un libro en el que Plücker trabajaba cuando falleció (la segunda parte de su trabajo sobre la geometría de líneas, Neue Geometrie des Raumes gegrundet auf die Betrachtung der geraden Linie als Raumelementte ). Tras completar esta tarea, Klein pasó algún tiempo en Berlín, primero, y luego en París. Por supuesto, amplió su formación matemática, pero aquel periodo de su vida fue especialmente importante porque fue entonces cuando conoció al matemático noruego Sophus Lie (1842-1899); el 24 o el 25 de octubre de 1869 se encontraron en la Asociación Matemática de Berlín.
Aunque no tan conocido por algunos como otros grandes matemáticos del siglo XIX, Sophus Lie forma parte de ese exclusivo grupo, gracias a sus trabajos sobre la teoría de grupos continuos de transformaciones, que introdujo en varias ramas de la matemática, como la geometría o las ecuaciones diferenciales. Conceptos como «grupos de Lie» o «álgebras de Lie» son desde hace mucho instrumentos tan familiares como esenciales para el trabajo de matemáticos y físicos teóricos.
Al comienzo del nuevo año, 1870, Lie continuó su viaje de estudios trasladándose a París, donde conoció a Gaston Darboux y Camille Jordan. Unos meses después, Klein se le unió en la capital francesa, hospedándose en el mismo hotel que su nuevo amigo. Llegaron inmediatamente después de la aparición de un libro que Klein valoró mucho: Traité des substitutions et des équations algébriques , de Camille Jordan (1870).
La intensa colaboración entre ambos daría origen a tres publicaciones conjuntas. No pudo, sin embargo, mantenerse aquella colaboración de manera directa durante mucho tiempo, ya que, en julio, el canciller alemán, Bismarck, publicó un mensaje provocativo que ofendió a los franceses, que declararon la guerra a Prusia, lo que obligó a Klein a abandonar rápidamente París. Aunque noruego, Lie debería haber hecho lo mismo, ya que fue encarcelado durante un mes, bajo la sospecha de ser espía. Fue liberado gracias a la intervención de Darboux. De regreso a su patria, Lie se encontró con Klein en Berlín y entonces acordaron publicar un artículo conjunto en la revista de la academia berlinesa, Monatsberichte.
Después de servir durante poco tiempo al ejército como oficial médico, Klein regresó a Gotinga en 1871 y rápidamente se convirtió en Privatdozent. Aquel mismo año, hizo un descubrimiento que lo ayudaría a erigirse como un matemático distinguido. En dos artículos sobre «la denominada geometría no euclídea», demostró que era posible considerar tanto a la geometría euclidea como a las no euclídeas casos particulares de la geometría proyectiva (también denominada «geometría de posición»), introducida sobre todo por Christian von Staudt en su libro Geometrie der Lage (1847), y en la que no se utilizaban los conceptos métricos de distancia y ángulo. Más concretamente, lo que hizo Klein fue construir modelos proyectivos de tres tipos de geometrías: la hiperbólica (descubierta por Lobatchevsky y Bolyai en, respectivamente, 1829 y 1832), la elíptica (Beltrami, 1868) y la euclidea.
Apoyado por Clebsch, en octubre de 1872, Klein, que entonces tenía solamente 23 años, fue nombrado catedrático de la Universidad de Erlangen, al sur de Alemania. Siguiendo la costumbre (de hecho, se trataba de una obligación), Klein (1872) tuvo que pronunciar una conferencia-discurso ante el claustro de la universidad. Eligió revisar, desde una perspectiva comparativa, e influido por las ideas de Lie, las investigaciones recientes en geometría. La geometría, vino a decir entonces Klein, en lo que se conoce como «Programa de Erlangen», no es sino el estudio de los invariantes de un grupo de transformaciones. Existen, en otras palabras, tantas geometrías como grupos de transformaciones, una perspectiva que permitía ver a la relatividad especial como una geometría lorentziana y, a la general, como la geometría del grupo de transformaciones generales. En el prefacio que escribió a una edición francesa de su conferencia inaugural de 1872, Jean Dieudonné (1991: IX) manifestó que «el Programa de Erlangen de Felix Klein es considerado, con justicia, uno los jalones más importantes de las matemáticas del siglo XIX […]. Por un lado, aparece como la culminación de una larga y brillante evolución de la Geometría proyectiva desde comienzos del siglo, que la resume, condensa y “explica”, gracias a resaltar el valor del papel fundamental desempeñado por el concepto de grupo. Al hacer esto, al mismo tiempo inauguró el dominio que va a ejercer gradualmente la teoría de grupos sobre toda la Matemática (y no sólo sobre la Geometría), al igual que la fusión cada vez más estrecha de los conceptos propios del Álgebra, la Geometría o el Análisis, tendencias que figuran entre las más características de la Matemática actual».
Volveré al Programa de Erlangen en otro capítulo, en relación con la recepción que Klein dio a la teoría de la relatividad general.
El mismo año que se convirtió en catedrático en Erlangen, falleció Clebsch, víctima de la difteria (únicamente tenía 29 años). Klein lo sucedió (primero de facto y, a partir de 1876, oficialmente) como editor de la revista, Mathematische Annalen, que su maestro y protector había fundado, junto a Carl Neumann, en 1869. Bajo su dirección (que mantuvo hasta 1924, esto es, muy poco antes de su muerte), la publicación floreció y se convirtió en la principal publicación matemática del mundo, algo que, por supuesto, ayudó a que Klein llegase a ser el científico poderoso que terminó siendo.En 1875, fue invitado a ocupar una nueva cátedra, en la prestigiosa Technische Hochschule (Escuela Técnica) de Münich. Aceptó y allí permaneció cinco años. En 1880, en efecto, pasó a desempeñar una nueva cátedra, esta vez en Leipzig, que abandonaría en 1886 (Lie fue su sucesor) por otra en Gotinga.Felix Klein en sus años de profesor en Leipzig.
Sus años en Münich y los primeros de Leipzig fueron los mejores de la actividad matemática de Klein. Además de continuar trabajando en geometría, se entregó a la teoría de funciones de variable compleja, desarrollando la teoría de un tipo especial de funciones denominadas auto morfas. En este dominio se encontró con un joven matemático francés entonces poco conocido: Henri Poincaré.
La rivalidad científica que surgió entre Klein y Poincaré, el deseo de llegar a resultados antes que el otro, terminará siendo fatal para Klein, que, exhausto, enfermó. Cuando regresó de sus vacaciones en el otoño de 1882, su colega, el geómetra Friedrich Schur lo encontró tan agotado que se sorprendió que asumiese de nuevo sus obligaciones docentes, aunque finalmente tuvo que dejarlas durante un mes. Refiriéndose a uno de los trabajos, de 1882, que produjo en su competencia con Poincaré, el propio Klein escribió en su magno libro sobre la historia de la matemática en el siglo XIX, Vorlesungen über die Entwicklung der Mathematik im 19. Jahrhundert (Klein, F., 1926, 2006: 490):El precio que tuve que pagar por mi trabajo fue por lo demás extraordinariamente alto, a saber, mi salud se derrumbó. El año siguiente tuve que cogerme repetidamente vacaciones y renunciar a todo trabajo productivo. Hasta el otoño de 1884 no pude seguir adelante, pero nunca más he vuelto a alcanzar el mismo grado de productividad. Más bien me he dedicado a elaborar mis ideas anteriores y luego, ya en Gotinga, a ampliar mi área de trabajo y dedicarme a tareas generales de organización de nuestra ciencia. Así se entiende que en adelante sólo haya tocado las funciones automorfas de forma esporádica. Mi actividad propiamente productiva en el ámbito de la Matemática se derrumbó en 1882.Nunca volvería a poseer la creatividad matemática de que había hecho gala hasta entonces. Fue, en este sentido, un matemático de vida creativa breve, que alcanzó su plenitud a una edad temprana, algo que, como es bien sabido, no es infrecuente en matemáticas (recordemos los casos célebres de Galois, Abel o Riemann), aunque tampoco hay que olvidar las largas y fructíferas carreras de hombres como Euler o Gauss. Podemos lamentar con buenas razones la pérdida del Klein brillante matemático creativo, pero en su caso aquella ausencia dio origen a otras presencias: concretamente, a la presencia de un Felix Klein centrado especialmente en tareas directivas y organizativas, que influyó de manera importante y en general provechosa a la matemática germana, así como, en varios aspectos, a la internacional. En Leipzig, Klein mostró ya claramente sus habilidades como organizador y buen profesor. Creó un Seminario Matemático y logró que se pasase de haber tenido solamente nueve estudiantes doctorales en la década anterior a su llegada a 36 en los seis años que pasó allí. Pero fue en Gotinga, universidad a la que se incorporó como catedrático en 1886, donde su capacidad como organizador floreció y se mostró en toda su intensidad, especialmente después de que Hermann Schwartz (junto a Ernst Schering, los otros dos catedráticos de Matemáticas) dejase en 1892 Gotinga para convertirse en el sucesor de Karl Weierstrass en Berlín. «Cuando Schwartz se marchó a Berlín en 1892 —señaló Richard Courant (otro producto de Gotinga) en el obituario que escribió sobre Klein a la muerte de éste (Courant, 1925: 207) —, dejando mano libre a Klein en Gotinga, comenzó un nuevo periodo de actividad de éste, en el que se implicó en tareas organizativas cada vez de manera más prominente».
Las ideas sobre la organización de la investigación y de la educación de Klein se basaban en la tesis de que los estudios interdisciplinarios impulsaban las aplicaciones industriales de la ciencia y que, además, jugaban un papel esencial en el desarrollo de nuevas ideas científicas (y, en particular, matemáticas), pero la importancia de Klein no se limita al dominio de las ideas generales: sin duda alguna, Klein fue un hombre de acción, con excelentes relaciones con el mundo industrial alemán —dotado de recursos financieros de primerísimo orden— y con influencias que le aseguraban ser oído a niveles ministeriales (tan importantes en la organización académica en la Alemania de aquella época). Un magnífico ejemplo en este sentido es que fue el principal responsable del establecimiento, en 1898, de la Göttinger Vereinigung zur Förderung der angewandten Physik und Mathematik (Asociación de Gotinga para el Desarrollo de la Matemática y Física Aplicadas). Más que promover investigaciones específicas, apoyando a científicos particulares, la asociación se ocupaba de la creación y el mantenimiento de institutos en los que se investigase y enseñase temas específicos. Aunque llegó a tener casi cincuenta industriales como miembros, el alma de la organización, Klein aparte, fue un químico, Henry Bottinger, director general de la Bayer; cuando él murió, en junio de 1920, la Göttinger Vereinigung terminó disolviéndose.
Todas estas conexiones permitieron a Klein orientar en una dirección muy determinada una parte sustancial de la investigación científica que se hacía no sólo en Gotinga, sino también en toda Alemania, antes y durante la República de Weimar. En particular, bajo su dirección, la matemática pura y aplicada llegó a ocupar una posición central en la física desarrollada en Gotinga. Ahora bien, hay que matizar el papel que matemáticas y matemáticos desempeñaron en la física bajo la influencia de Klein, ya que se podría pensar, por ejemplo, que consistía en otorgar a las matemáticas preponderancia sobre la física hasta casi reducir ésta a aquélla (esto es, como veremos, lo que pensaba Minkowski). Nada más lejos de la realidad: para Klein tanto las matemáticas como la física se debían beneficiar de un contacto mutuo (en este sentido, su relación era una relación de igualdad). Así, por ejemplo, cabía esperar que avances físicos o técnicos sugiriesen nuevas ideas matemáticas. Por este motivo, Klein estimuló de diversas formas a un buen número de sus colegas matemáticos para que aplicasen, reorientándolos en parte, sus conocimientos y habilidades matemáticos al estudio y la investigación de temas propios de las ciencias de la naturaleza, o, si se prefiere el nombre, hacia las matemáticas aplicadas. En particular, de entre todos estos temas, Klein favorecía a aquellos que de una forma u otra tenían un cierto interés técnico, como es patente al ver las reformas institucionales que bajo su liderazgo ocurrieron en Gotinga. Resultado de todo esto es que muchos matemáticos de esa universidad utilizaron la mecánica del sólido rígido y la electrodinámica cuando investigaban otros problemas de física. En el tema que a nosotros nos preocupa tenemos varios ejemplos:Otra actividad muy influyente de Klein fue la organización y la dirección de una obra monumental que desempeñó un papel importante en la educación y la visión que matemáticos y físicos matemáticos tuvieron de sus disciplinas. Me estoy refiriendo a la Enzyklopädie der mathematischen Wissenschaften mit Einschlussihrer Anwendungen ( Enciclopedia de las ciencias matemáticas incluyendo sus aplicaciones ). El primer tomo se publicó en 1898 y el último, en 1933. Sus veinte mil páginas contenían prácticamente todas las especialidades de la matemática y muchas de la física, y con distinguidos autores, líderes en sus especialidades (más adelante me referiré al «artículo» sobre relatividad, escrito por un entonces jovencísimo Wolfgang Pauli; otros autores fueron Carl Runge, Hendrik A. Lorentz, Ludwig Boltzmann, Eduard Study, Vilfredo Pareto, Wilhelm Wien, Max Born, Paul Painlevé, Ludwing Bieberbach, Max Abraham, Harald Bohr, Arnold Sommerfeld, Hermann Minkowski, Maurice Frechet, Federigo Enriques, Theodore von Kármán, Ludwig Prandtl, Peter Debye, y Paul y Tatiana Ehrenfest).
- David Hilbert, Emil Wiechert, Gunnar Nordström y Hermann Minkowski utilizaron con frecuencia la electrodinámica de Maxwell-Lorentz para interpretar y desarrollar las teorías especial y general de la relatividad.
- Max Born y Gustav Herglotz trataron durante un tiempo de reconciliar la noción clásica del movimiento de un sólido rígido con la relatividad especial.
Brilló, asimismo, como profesor. En sus memorias, Max Born (1978: 85), que, como ya dije, llegaría a adquirir fama con sus contribuciones a la física teórica (muy especialmente a la mecánica cuántica), recordaba que « [Felix Klein] era el profesor más brillante; de hecho, demasiado brillante para mí. Uno tenía que ser realmente un matemático puro para disfrutar con ellas, incluso cuando trataba de aplicaciones a la física y a la tecnología, algo que le gustaba hacer».
Un fruto especialmente destacado de las actividades organizativas de Klein fue lograr que le ofrecieran en 1895 una cátedra en Gotinga a David Hilbert. De hecho, Klein llevaba intentando traer a Hilbert —a quien consideraba la gran promesa de la matemática germana— a Gotinga desde que Schwartz renunciara a su cátedra en 1892, pero no tuvo éxito y el puesto fue a parar a Heinrich Weber. Cuando éste decidió aceptar una oferta de Estrasburgo en 1895, Klein ya era mucho más poderoso y logró su propósito sin problema. Hilbert se instaló en Gotinga, en la que permaneció el resto de su vida, dándole una fuerza y un prestigio matemático que probablemente ningún otro de sus contemporáneos podría haberle proporcionado. En 1902, desde Berlín, Frobenius y Schwartz ofrecieron a Hilbert ocupar la cátedra vacante por el fallecimiento de Lazarus Fuchs. Hasta entonces ningún matemático había rechazado una oferta procedente de Berlín, pero Hilbert lo hizo, aunque, eso es cierto, con alguna contraprestación: el célebre director de asuntos universitarios en el Ministerio de Educación alemán, Friedrich Althoff, que controlaba prácticamente todos los asuntos de cátedras de las universidades alemanas, accedió a que se crease en Gotinga una nueva cátedra de Matemáticas, para Hermann Minkowski. A partir de entonces, la situación de las ciencias exactas en Gotinga no hizo sino mejorar, siempre bajo la guía de Klein. En 1904, Carl Runge fue designado para ocupar una nueva cátedra de Matemática aplicada. Al mismo tiempo que Runge, llegó Ludwig Prandtl, la gran estrella emergente de la aerodinámica. Ambos, Runge y Prandtl, dirigieron un nuevo Instituto de Matemática aplicada y mecánica. También bajo la influencia de Klein, se fundaron en Gotinga un Instituto de Geofísica, dirigido por Emil Wiechert, y uno Electrotécnico, a cuya cabeza estaba Hermann T. Simon. Otros científicos distinguidos que formaban parte entonces de la Facultad de Gotinga eran los físicos Eduard Riecke, Woldemar Voigt y el astrónomo Karl Schwarzschild.
Podemos hacernos una idea del desarrollo que experimentó la matemática en Gotinga sin más que recordar que entre 1890 y 1914, allí se habilitaron como Privatdozenten 18 matemáticos, puros o aplicados, entre los que se encontraban nombres como los de Hermann Weyl, Arnold Sommerfeld, Constantin Carathéodory, Gustav Herglotz, Erich Hecke, Max Born, Richard Courant, Theodore von Kármán, Otto Blumenthal, Ernst Zérmelo, Paul Koebe, Robert Friecke y Otto Toeplitz. En contraste, entre 1897 y 1901, el Berlín no se habilitó ningún Privatdozent.
La mayoría de los Privatdozenten de Gotinga se relacionaron más con Hilbert que con Klein, pero aunque éste se dedicaba sobre todo a aspectos educativos y organizativos, también se relacionó con aquéllos. Así, con Sommerfeld, futuro líder de una magnífica escuela de física en Münich, preparó una obra extensa (cuatro tomos) y singular, Über die Theorie des Kreisels (Sobre la teoría de la peonza, 1897-1912). Y con Robert Fricke, sobrino suyo, preparó una serie de libros —que ahora consideramos tratados clásicos— en los que sintetizó sus ideas sobre las funciones automorfas y las elípticas modulares.
Entre 1900 y 1909, el mayor número de físicos matemáticos trabajando en la teoría electrón se encontraba en Gotinga. Hay que citar en este sentido a W Schwarzschild, Alexander Wilkens, Max Abraham, Emil Wiechert y Emil Bose. Además, P Drude y Arnold Sommerfeld, que habían sido Privatdozenten en Gotinga, pedían habitualmente a Woldemar V nos encontramos con él) que presentase sus trabajos sobre la teoría del electrón a la de Ciencias de Gotinga.
Fue en este entorno en el que Hermann Minkowski desarrolló sus intereses por la física, en particular por la electrodinámica. De hecho, según Max Born (1978: 98), Minkowski comenzó a desarrollar sus ideas sobre un espacio-tiempo cuatridimensional o, lo que en su caso es casi lo mismo, sus ideas sobre la electrodinámica de los cuerpos en movimiento, en un seminario sobre la teoría del electrón que durante 1905 dirigió junto a Hilbert, Herglotz y Wiechert, en el que los trabajos de Hendrik Lorentz y de Henri Poincaré fueron analizados con detalle. [115]
Todo esto quiere decir que el primer factor que hay que tener en cuenta para comprender el interés de Minkowski por temas de la física es su traslado a Gotinga. Y, dentro de Gotinga, las ideas y los intereses de su íntimo amigo David Hilbert (1862-1943), catedrático allí desde 1895.
Bajo cualquier vara de medir, Hilbert es uno de los grandes nombres de la historia de las matemáticas; de él escribió Hermann Weyl (1944: 612): «Visto en retrospectiva, nos parece que la era de la Matemática en la que impresionó el sello de su espíritu y que ahora se está ocultando detrás del horizonte, logró un equilibrio más perfecto que el que se dio tanto antes como después, un equilibrio entre el dominio de problemas concretos y la formación de conceptos abstractos generales. El propio trabajo de Hilbert contribuyó no poco a que se diese semejante feliz equilibrio y la dirección en la que nos hemos movido desde entonces puede en muchos casos retrotraerse a sus iniciativas. Ningún matemático de estatura parecida ha surgido en nuestra generación». [116] En lo que a su actividad matemática se refiere, se pueden distinguir, aproximadamente, seis periodos principales en su carrera, en los cuales se ocupó de: 1) Teoría de los invariantes (1885-1893). 2) Teoría de los cuerpos de números algebraicos (1894-1899). 3) Fundamentos de la Geometría y de la Aritmética (1899-1904). 4) Análisis (principio de Dirichlet, cálculo de variaciones, ecuaciones integrales, problema de Waring) (1904-1909). 5) Física teórica (1912-1914). 6) Fundamentos de matemáticas (a partir de 1918). Pero no es posible tratar aquí de su gran obra matemática, únicamente de su interés por la física, cuestión que nos volverá a aparecer cuando lleguemos a la teoría de la relatividad general. Y en este punto hay que recordar uno de los momentos más impactantes de la carrera de Hilbert: la célebre conferencia («Problemas matemáticos») que pronunció en París el 8 de agosto de 1900 con motivo del II Congreso Internacional de Matemáticos. De los 23 problemas que seleccionó entonces como grandes retos para la matemática, el sexto era «Tratamiento matemático de los axiomas de la física». «Las investigaciones sobre los fundamentos de la geometría —se lee (Hilbert, 1900) en el texto de aquella conferencia— sugieren el problema: tratar de la misma manera, por medio de axiomas, aquellas ciencias físicas en las que la matemática desempeña un papel importante». Cuando hablaba de «las investigaciones sobre los fundamentos de la geometría», sabía muy bien de aquello a lo que se refería: no olvidemos que en 1899 Hilbert publicó una completa axiomatización de la geometría, Grundlagen der Geometrie (Fundamentos de la Geometría). [117]
Coherente con su llamamiento a que se profundizase en la axiomatización de la física, a partir de 1898, Hilbert dedicó una parte de su tiempo a la física: durante el semestre de invierno de 1898-1899dictó su primer curso sobre un tema de física: la mecánica. [118] Especialmente importante fue el curso sobre la «Axiomatización de las teorías físicas» que Hilbert desarrolló en 1905, esto es, ya con Minkowski en Gotinga. [119] Los años siguientes, ofreció cursos sobre «Mecánica de los medios continuos», «Ecuaciones diferenciales de la mecánica» y, en 1907, en colaboración con Minkowski, un seminario avanzado de electrodinámica, el mismo tema que el del seminario de 1905. Habida cuenta de todo esto, es razonable concluir que Hilbert influyó en que Minkowski orientase sus esfuerzos investigadores a la electrodinámica.
Otra influencia sin duda fue la de Henri Poincaré, cuyos trabajos ningún matemático de Gotinga pasaba por alto y, como ya sabemos, el matemático francés también se ocupó de la electrodinámica.
§. Del espacio al Espacio-Tiempo
El primer producto de las investigaciones de Minkowski sobre la electrodinámica fue una conferencia que pronunció en la Sociedad Matemática de Gotinga en el otoño de 1907. Sin embargo, Minkowski no creía que lo que dijo entonces estuviese lo suficientemente desarrollado como para publicarlo y hubo que esperar a su muerte: sólo entonces Arnold Sommerfeld editó el texto de su alocución haciendo que se publicase en Annalen der Physik (Minkowski, 1915). El artículo en cuestión se tituló «El principio de relatividad» y su contenido estaba dominado por el punto de vista de la visión electromagnética de la naturaleza. A pesar de que Sommerfeld modificó algunos comentarios de Minkowski, quedaba claro que éste consideraba que Einstein sólo había perfeccionado las ideas de Lorentz y Poincaré, algo muy natural, por otra parte, si se tiene en cuenta que Minkowski tomaba las transformaciones de Lorentz como la explicación de los fenómenos.

El Club Matemático de Gotinga. De izquierda a derecha, primera fila: Abraham, Schilling, Hilbert, Klein, Schwarzschild, señora Young, Diestel y Zermelo; segunda fila: Fanla, Hansen, C. Müller, Dawney, E. Schmidt, Yoshiye, Epsteen, Fleisher, F. Bernstein; tercera fila: Blumenthal, Hamel, H. Müller.
Lo que sí sabemos es que Minkowski conocía el artículo de «Sobre la electrodinámica de los cuerpos en movimiento» que su antiguo pupilo en la ETH (cuyas habilidades, dicho sea de paso, no tenía en gran estima) había publicado en 1905. [120] Ha sobrevivido una carta, fechada el 9 de octubre de 1907, en la que Minkowski pedía a Einstein una separata (CPAE, 1993: 77):
Querido doctor Einstein:Como es patente en su artículo «Sur la dynamique de l'électron» de 1906, Poincaré se había dado cuenta de que las distancias se pueden interpretar como invariantes en un cierto grupo de transformaciones y también de que las transformaciones de Lorentz representaban rotaciones en el espacio (x, y, z, ict), pero al contrario de lo que haría Minkowski, al dar a la cuarta dimensión las dimensiones de ict, Poincaré no hacía hincapié en la naturaleza no euclídea de este espacio, no adjudicaba ningún tipo de importancia de orden metafísico (ontológico) y/o físico a su representación cuatridimensional. Sus opiniones al respecto quedan claras en muchos lugares, por ejemplo, en Science et Méthode, donde escribía (Poincaré, 1908, 1963: 88-89):
En nuestro seminario en la W. S. también deseamos discutir su interesante artículo sobre la electrodinámica. Si todavía dispone de alguna separata de su artículo en los Ann. d. Phys. u. Ch., vol. 17, le agradecería que nos pudiese enviar una copia. Estuve hace poco en Zúrich y me agradó oír en diferentes lugares el gran interés que están mostrando sus éxitos científicos.
Parece, en efecto, que sería posible traducir nuestra física al lenguaje de la geometría de cuatro dimensiones; tratar de hacer esta traducción sería tomarse demasiado trabajo para muy poco provecho; me limitaré a citar la mecánica de Hertz, en la que se ve algo análogo. Entretanto, parece que la traducción sería siempre menos simple que el texto, que tendría siempre el aire de una traducción, por tanto, la lengua de tres dimensiones parece la más apropiada para la descripción de nuestro mundo, aunque esta descripción pueda hacerse en último caso en otro idioma.Poincaré era, no lo olvidemos, un «convencionalista», es decir, no creía que existiese una única forma de representar los fenómenos; una dinámica basada en un espacio curvo en el que los cuerpos se moviesen libremente podía describirse también con un espacio plano en el que los cuerpos estuviesen sometidos a fuerzas que produjesen las mismas trayectorias que en el espacio curvo.
Coherente con su intuición geométrica que, como vimos, ya se había manifestado en sus trabajos sobre la teoría de números, Minkowski reconoció en los trabajos de Poincaré un aspecto de indudable y manifiesto significado geométrico. A lo largo de toda su carrera como matemático, la intuición geométrica le había servido para llegar a la raíz de los problemas matemáticos con los que se enfrentaba. En consecuencia, no es sorprendente que llegase a considerar la intuición geométrica, la geometría del problema, lo auténticamente «real» de las matemáticas. A través de Poincaré, Minkowski llegaba ahora a una situación en la que una determinada propiedad geométrica se manifestaba en la física. ¿Qué estatus ontológico debía otorgarle? ¿Tenía —como su experiencia matemática le parecía indicar— «realidad», una realidad física en este caso o como pensaba Poincaré, se trataba de algo esencialmente semántico? Al llegar a este punto, hay que señalar que Minkowski creía en la existencia de una armonía preestablecida entre matemáticas y física. [121] Y, dentro de esa «armonía», la preeminencia era para las matemáticas, que en su opinión tenían el poder de descubrir la verdad física; en otras palabras, pensaba que si en primer lugar aislaba e investigaba los elementos matemáticos de una teoría física, cuando regresase al nivel habitual de la realidad física, los resultados obtenidos en el «nivel matemático» serían válidos y fructíferos. Teniendo en cuenta lo que son en realidad las teorías físicas, no hay duda de que Minkowski estaba afirmando que el «nivel matemático» tenía realidad física y que, además, su estudio y desarrollo se imponía a cualquier otra consideración. Como prueba de que las ideas de Minkowski seguían este camino, en la célebre conferencia, «Espacio y tiempo», que pronunció el 21 de septiembre de 1908 en la octava reunión de la Asamblea de Científicos de la Naturaleza y Médicos celebrada en Colonia, publicada más tarde en 1909 en el Physikalische Zeitschrift, encontramos una prueba de esas ideas (Minkowski, 1909, 1952: 91): «Al desarrollar sus consecuencias matemáticas, surgirán amplias sugerencias para la verificación experimental del [principio de relatividad], lo que bastará para que incluso aquéllos a los que es desagradable o penoso el abandono de opiniones establecidas de antiguo, se reconcilien con la idea de una armonía preestablecida entre las matemáticas puras y la física».
De esta manera, Minkowski concluyó que la propiedad geométrica desvelada por Poincaré iba más allá de lo puramente terminológico. En «El principio de relatividad» afirmaba que no es que las leyes físicas se pudiesen expresar de forma equivalente a través de una cierta construcción matemática, sino que «en cierto sentido […] el mundo es una variedad no euclídea cuatridimensional» (Minkowski, 1915: 927). Consecuente con este punto de vista, introducía en «El principio de relatividad» el espacio-tiempo cuatridimensional antes de discutir los requisitos de Einstein-Lorentz acerca de las propiedades de simetría en la teoría que a él le preocupaba, la electrodinámica.
Otro aspecto importante a señalar es que Minkowski (1915) cerraba lo que si se analiza con cuidado no es sino un círculo vicioso, argumentando que «Por encima de todo, la nueva formulación sería, si de hecho refleja de modo correcto los fenómenos, prácticamente el mayor triunfo que la matemática aplicada haya tenido nunca», es decir, si la relatividad especial (o la teoría del electrón de Lorentz, que es en la que él creía) resultaba ser correcta, estaría demostrando —confirmando para Minkowski— el papel predominante que las matemáticas deben de tener en las ciencias naturales. Ésta era la opinión auténtica de Minkowski; no se debe engañar el lector cuando se encuentre con que su famosa conferencia «Espacio y tiempo» comienza con sus ya celebérrimas palabras:
¡Señores! Las ideas de espacio y tiempo que quiero presentar ante ustedes han surgido del terreno de la física experimental y es ahí donde radica su fuerza . Son radicales. A partir de ahora, el espacio por sí mismo y el tiempo por sí mismo están condenados a desvanecerse en meras sombras y solamente una especie de unión de los dos conservará la independencia.No era en absoluto en el terreno de la física experimental donde residía para Minkowski la fuerza del concepto de espacio-tiempo, sino en el mundo de las matemáticas, como se puede ver sin más que continuar leyendo la mencionada conferencia, donde no se vuelve a hacer referencia a experimento alguno.
En un artículo que publicó mucho después, cuando la versión cuatridimensional se había introducido firmemente en la teoría einsteniana, Hermann Weyl (1949: 536) resumió bien la novedad de la estructura matemática que Minkowski había producido:
De acuerdo con la teoría especial de la relatividad de Einstein, el mundo cuatridimensional de los puntos del espacio-tiempo es un espacio de Klein caracterizado por un grupo definido; y ese grupo es el más familiar para los geómetras, a saber, el grupo de las similitudes euclídeas pero con una importante diferencia. Las transformaciones ortogonales, esto es, las transformaciones lineales homogéneas que dejan invarianteEscrito en términos de la métrica (la expresión que da la distancia entre dos puntos del espacio en cuestión por una distancia infinitesimal, dxi), en el espacio tridimensional de la geometría plana de Euclides esa distancia, ds, viene dada porx12 + x22 + x32 + x42
tienen que ser reemplazadas por las trasformaciones de Lorentz que dejan invariantex12 + x22 + x32 – x42
Ciertamente, esto fue una sorpresa para los matemáticos, pero no les molestó mucho: Minkowski realizó los ajustes necesarios inmediatamente. De hecho, en la geometría algebraica se han acostumbrado a considerar sus variables capaces de tomar calores complejos arbitrarios, puesto que ello hace que sus teorías sean mucho más sencillas.
ds2 = dx2 + dy2 + dz2
mientras que en el espacio de cuatro dimensiones introducido por Minkowski (y por Poincaré) esds2 = dx2 + dy2 + dz2 – c2dt2
que se puede escribir comods2 = dx12 + dx22 + dx32 +dx42
dondex1 = x, x2 = y, x3 = z, x4 = ict.
Las transformaciones de Lorentz tienen la propiedad, esencial, de mantener invariante este elemento de línea cuatridimensional.Antes de pasar a ahondar en las opiniones de índole filosófica que Minkowski mantuvo acerca del espacio-tiempo, se debe señalar que su interpretación cuatridimensional de las teorías de Lorentz-Poincaré-Einstein desempeñó también un papel importante en sus dos trabajos más completos sobre la electrodinámica. El primero (Minkowski, 1908) trataba de las ecuaciones básicas de los procesos electromagnéticos y lo presentó un mes después de la conferencia sobre «El principio de relatividad» y el segundo hacía lo mismo, pero desde el punto de vista de la teoría del electrón. Este segundo trabajo no se publicó en vida de Minkowski y se encargó a Max Born el prepararlo para su publicación (Minkowski, 1910 a).
§. La teoría del mundo absoluto
Las ideas que Minkowski tenía acerca de la realidad física del espacio-tiempo encontraron su expresión definitiva en lo que él denominó «teoría del mundo absoluto». El mundo absoluto minkowskiano es una variedad (espacio-tiempo) cuatridimensional que surgía —animada por el éxito con que Minkowski trasladaba algunas leyes de la física al formalismo cuatridimensional— para sustituir y desempeñar el mismo papel epistemológico que el espacio absoluto tridimensional newtoniano. Lo mismo que el espacio absoluto de Newton podía influenciar a los fenómenos que ocurrían dentro de él (por ejemplo, a través de las fuerzas inerciales), no siendo, sin embargo, afectado por su contenido, el mundo absoluto de Minkowski era un mundo («espacio») independiente del observador. De hecho, Minkowski consideraba el mundo absoluto tan importante que se preguntaba cómo era posible que otros físicos (Einstein, Lorentz, Poincaré) no lo hubiesen descubierto antes. Esta pregunta adquiría para Minkowski un cariz especialmente significativo, en tanto que reconocía que Einstein había demostrado que el tiempo propio era algo más que un artificio matemático. En la relatividad, escribía Minkowski (1909), no tiene sentido el «tiempo» como un concepto independiente del sistema de referencia. Nos quedan «tiempos» en lugar de «tiempo». Ahora bien, en su opinión, esto no llevaba lo suficientemente lejos; había que efectuar una crítica análoga al concepto de «espacio» y esto era algo que creía no habían hecho ni Einstein ni Lorentz.
Es dentro de este contexto que Minkowski consideró su crítica al concepto de espacio un complemento lógico al análisis que Einstein había hecho del tiempo. Así, lo mismo que este último otorgaba realidad física a los diferentes tiempos, Minkowski daba una realidad física similar a cada uno de los distintos espacios que en la relatividad especial van asociados a cada observador. «Por tanto, no deberíamos tener ya en el mundo espacio sino un infinito número de espacios, de forma análoga a como en un espacio tridimensional existen un número infinito de planos. La geometría tridimensional se convierte en un capítulo de la física cuatridimensional. Ahora ya saben por qué dije al comienzo que el espacio y el tiempo se sumergirían en las sombras, subsistiendo únicamente el mundo en sí mismo» (Minkowski, 1909, 1952: 79-80).Este «mundo en sí mismo» (el mundo absoluto) era lo que permitía entender de forma unitaria las infinitas físicas tridimensionales.

Hermann Minkowski en Gotinga.
En resumen: el «principio del mundo absoluto», como Minkowski lo denominaba, era lo que sustituía a las nociones de espacio y tiempo newtonianos, pero era algo más que una noción revisada de estos conceptos. El propio Minkowski lo expresaba muy claramente en uno de los borradores de su conferencia «Espacio y tiempo»: [122]
En realidad, estamos tratando aquí con algo más que meramente una nueva concepción de espacio y tiempo. Lo que se argumenta es que es más bien una ley natural muy específica que debido a su importancia —ya que por sí sola trata de los conceptos primitivos de todo el Conocimiento Natural, a saber, espacio y tiempo— puede exigir ser llamada la primera de todas las leyes de la naturaleza. Ésta es una ley […] para la que he acuñado la expresión «Principio del Mundo Absoluto».
Capítulo 9
La recepción de la relatividad especial
§. Reacciones en AlemaniaHoy sabemos que la teoría de la relatividad especial resolvió una parte de los grandes problemas que tenía planteados la física a finales del siglo XIX, desencadenando una revolución de enormes consecuencias, pero ¿cómo se recibió inicialmente? ¿Se entendió pronto y bien la novedad de sus contenidos? En realidad, ya comenzamos a enfrentarnos a esta cuestión cuando analicé la reacción de Lorentz ante la teoría de Einstein en el capítulo 7, pero ello no basta para hacernos una idea más general de cómo fue recibida la nueva teoría. Dedicaré a esta cuestión el presente capítulo, limitándome a unos pocos casos especialmente significativos e importantes. [123]
§. Gran Bretaña
§. La respuesta a la relatividad especial en Francia y Estados Unidos
§. Reacciones en Alemania
Es apropiado comenzar por Alemania, entre otras razones porque «Sobre la electrodinámica de los cuerpos en movimiento» estaba escrito en alemán y publicado en una revista científica alemana. Por otra parte, entre 1905 y 1911, la teoría de Einstein fue, en mayor o menor grado, discutida, analizada y desarrollada por los físicos alemanes. Sin duda que no siempre fue aceptada o interpretada correctamente, pero no puede dudarse de que se le prestó bastante atención. Más aún, sin el esfuerzo y colaboración de Max Planck, principalmente, y de Max von Laue y Jakob Laub, es muy posible que el establecimiento definitivo de la relatividad especial se hubiese demorado algunos años. Planck, ya por entonces catedrático en Berlín y figura prominente en la física alemana, fue posiblemente el primero en reconocer el alcance y el profundo significado de la relatividad especial, ya que era uno de los editores del Annalen der Physik, la revista a la que Einstein envió su trabajo. Por razones no sólo científicas, sino también de orden filosófico, Planck se convirtió en un ardiente defensor de las ideas de Einstein. [124] En su autobiografía, Planck (1949, 2000: 45-49) explicó el trasfondo último de la fascinación que sintió por el trabajo de Einstein:
En 1905 apareció en los Annalen der Physik un artículo de Albert Einstein que contenía las ideas fundamentales de la teoría de la relatividad y cuyas explicaciones enseguida despertaron en mí una viva atención. Para evitar un posible malentendido, debo introducir algunas observaciones aclaratorias de tipo general. Justo al comienzo de esta narración de mi vida, he subrayado que la búsqueda del Absoluto me parece la más bella tarea del científico. Podría pensarse que ello está en contradicción con mi interés por la teoría de la relatividad, pero tal suposición se apoyaría en un error de principio, pues todo lo relativo presupone algo absoluto, sólo cobra sentido cuando enfrente tiene un Absoluto. Esa frase que se oye con frecuencia, «Todo es relativo», es tan engañosa como precipitada. En la base de la llamada teoría de la relatividad, existe algo absoluto, en concreto, la métrica espaciotemporal, y sacar a la luz el Absoluto que le confiere sentido a lo relativo que uno tiene ante sí es una tarea especialmente fascinante […].Planck era —lo fue toda su vida, de ahí sus dificultades con la teoría cuántica— un realista, esto es, creía que existe un mundo, independiente de nuestras observaciones y sensaciones, y la teoría de la relatividad especial, una teoría de «absolutos», encajaba bien con sus ideas. Por el contrario, los «positivistas» (y aquí se podría mencionar a Philipp Frank, Joseph Petzoldt o Anton Lampa), es decir, los que daban preferencia a lo que se observaba, a las sensaciones, aceptaban la relatividad especial por motivos radicalmente diferentes: su compatibilidad (real o aparente) con la «relatividad epistemológica» de Mach. [125] Creían que la teoría de Einstein era una continuación y realización de las críticas de Mach a las ideas de Newton sobre el espacio absoluto, el tiempo y el movimiento. En su opinión, Einstein había conseguido basar la física en la epistemología fenomenalista y relativista de Mach. Dentro de este contexto, se entiende perfectamente, por consiguiente, que tanto a Frank como a Petzoldt les molestase el principio de la constancia de la velocidad de la luz: había que eliminar, o trivializar al menos, este absoluto de la teoría (¿cabe encontrar un contraste mayor con las opiniones de realistas como Planck?). Esto lo consiguió, de hecho, Frank al obtener, en colaboración con Hermann Rothe, las transformaciones de Lorentz sin utilizar el segundo postulado de Einstein.
Y así ocurre también con la teoría de la relatividad. La atracción que ejercía sobre mí era tal que no podía sino afanarme por extraer de sus principios el Absoluto —o Invariante— que subyace a ellos. Y lo logré de manera más o menos sencilla. En primer lugar, la teoría de la relatividad atribuye sentido absoluto a una magnitud que en la teoría clásica sólo posee carácter relativo: la velocidad de la luz. Ésta constituye el centro absoluto de la teoría de la relatividad, igual que el cuanto de acción lo es de la teoría cuántica.
Nuestro punto de partida debe ser necesariamente algo relativo. Todas las mediciones que hacemos son relativas. El material que forma nuestros instrumentos varía de acuerdo a su origen geográfico; su construcción depende de la habilidad del que lo diseñó y de quién lo construyó; su manipulación depende de los propósitos particulares que persigue el experimentador. Nuestra tarea es la de encontrar en todos estos factores y datos, lo absoluto, lo válido universalmente, lo invariante, lo que está escondido en ellos.
Esto se aplica también a la Teoría de la Relatividad. Me atrajo el problema de deducir de sus proposiciones aquello que sirve como su fundamento inmutable y absoluto. La forma en que esto se logró fue comparativamente simple. En primer lugar, la Teoría de la Relatividad confiere un sentido absoluto a una magnitud que en la teoría clásica sólo tiene un significado relativo: la velocidad de la luz. La velocidad de la luz es a la Teoría de la Relatividad lo que el cuanto de acción elemental es a la Teoría Cuántica: su núcleo absoluto.
Ya vimos que cuando Kaufmann sometió la relatividad especial a la prueba de una comparación con sus resultados experimentales sobre los cambios que sufría la masa de un electrón acelerado, llegando a conclusiones que no favorecían a la teoría de Einstein, ni, en consecuencia a Lorentz, pero sí a la formulación de Max Abraham, Planck se aprestó inmediatamente a su defensa. Poco después, recordemos también, en septiembre de 1906, presentaba una comunicación en la reunión de la Sociedad de Científicos de la Naturaleza y Médicos Alemanes, reunida en Stuttgart, donde demostraba (Planck, 1906) que la relatividad especial también proporcionaba resultados consistentes con las medidas de Kaufmann si se corregía un error cometido por Einstein en su artículo de 1905 al generalizar la segunda ley de movimiento de Newton.
Otro servicio, aunque indirecto, que la relatividad especial debe a Planck fue el atraer para su causa a un joven y brillante físico, Max von Laue (1879-1960). Esto sucedió como consecuencia de una conferencia que Planck dio en Berlín el otoño de 1905, en la que exponía la teoría de Einstein (nótese la prontitud con que Planck divulgaba la relatividad especial). Asistía a la conferencia Von Laue, por entonces asistente de Planck, y quedó tan impresionado por lo que allí oyó que empleó sus siguientes vacaciones en visitar al por aquella época todavía desconocido Einstein. [126]

Max von Laue.
En el curso de los cinco años que han transcurrido desde su creación, la teoría de la relatividad de Einstein ha conseguido, de manera siempre creciente, la atención de los sabios. Es cierto que esta atención no entraña siempre una adhesión. Muchos sabios, algunos de nombres muy conocidos, no consideran su base experimental suficientemente sólida. Es natural que las objeciones de este género no pueden ser descartadas más que con nuevos experimentos; de todas maneras, el autor de este libro asigna un cierto valor al hecho de que no existe razón alguna de orden experimental contra la teoría. Mucho más numerosos son los sabios que no pueden declararse de acuerdo con las ideas que contiene; para éstos, en particular, la relatividad del tiempo con sus consecuencias, a veces muy paradójicas, parece inadmisible. Es por esto que un libro, como éste, que dé una visión de conjunto de la teoría, puede ser útil.Por lo que se refiere a Jakob Laub (1884-1962), sabemos que tomó contacto con la relatividad especial poco después de que fuese publicada y lo hizo a instancias de Wilhelm Wien, su director de tesis en Wurzburgo, quien al tener noticia del trabajo de Einstein —era, como Planck, editor de los Annalen–, advirtió su posible interés, por lo que encargó a Laub que preparase un seminario sobre el tema. [128] A partir de entonces, Laub se concentró en investigar problemas relativistas, entrando además en contacto con Einstein, con quien escribiría dos artículos (Einstein y Laub, 1908 a, b), los primeros que Einstein escribió en colaboración. El punto culminante de la dedicación de Laub a la relatividad especial fue un largo artículo publicado en 1910 (Laub, 1910) en el que discutía las bases experimentales de esta teoría. Fue éste el primer artículo de recopilación publicado sobre el tema y, como en el caso del libro de Von Laue aunque tal vez en menor grado, contribuyó sustancialmente a la difusión de la teoría de Einstein. A pesar de que no fuese un físico de la talla de Planck ni siquiera de Von Laue, no se debe minimizar el papel que desempeñó Laub en la difusión de la relatividad especial. Como, así lo veremos más adelante, en el caso de Erwin Freundlich con la relatividad general, Laub fue un luchador temprano e incansable en la defensa de la relatividad, pero, además, y como ha señalado Pyenson (1976: 99), Laub tenía las relaciones suficientes como para servir de vehículo de transmisión de información de Einstein a la comunidad científica centroeuropea y viceversa. [129]
El principal problema que se encontró la teoría de la relatividad especial de Einstein fue el distinguirla de las contribuciones de Lorentz y, en menor grado, de las de Poincaré, un punto que ya mencioné en los capítulos 5 y 7. El mismo Minkowski, aunque reconoció algunas de las contribuciones de Einstein, creía aparentemente que éste no había sido capaz de emanciparse del todo de Lorentz. En este sentido, se puede tomar la siguiente cita (Minkowski, 1908,1910 b:6):
H. A. Lorentz encontró el teorema de la relatividad y creó el postulado de relatividad como una hipótesis de que los electrones y la materia experimentan, como consecuencia del movimiento, contracciones de acuerdo a dicha ley.El origen de la incapacidad que experimentaban muchos físicos para distinguir entre las teorías de Lorentz y de Einstein se puede captar claramente a través de unas palabras que, aunque con una intención muy distinta (nunca aceptó la teoría de Einstein), Max Abraham, instalado desde 1914 en el Politécnico de Milán como profesor de Mecánica racional, escribió en la revista Scientia (Abraham, 1914: 16): «[Al fin y al cabo, los enunciados] contenidos en ambas teorías son idénticos en líneas generales. Considerados desde el punto de vista de un observador que no participa del movimiento del sistema, las reglas de medir distancias de Einstein reflejan las contracciones de Lorentz y los relojes de aquellos tiempos locales de éste. La dinámica relativista coincide plenamente con la de Lorentz». Y más adelante añadía (Abraham, 1914: 18):
A. Einstein precisó la expresión en el sentido de que este postulado no es una hipótesis arbitraria sino que más bien constituye el fenómeno de un nuevo, más refinado, entendimiento del tiempo.
El principio de relatividad, en mi opinión, no ha sido formulado hasta ahora para la electrodinámica de cuerpos en movimiento. En el presente trabajo, después de formular este principio, lo utilizo para obtener las ecuaciones fundamentales de los cuerpos en movimiento, en una forma completamente clara. Se demostrará así que ninguna de las formas que estas ecuaciones han tomado, verifican en forma precisa este principio.
Muchos seguidores de la teoría de la relatividad concluyen a partir del primer postulado que un medio que llena el espacio, un «éter», no es necesario […]. El segundo postulado, el de la constancia de la velocidad de la luz, no puede entenderse propiamente sin referencia a la teoría ondulatoria … El segundo postulado da fe de cómo la relatividad desciende de la teoría de campos […]. Los relativistas radicales, los enemigos del éter, querrían negar tal origen.A pesar de que se cometiese un error interpretando electromagnéticamente la relatividad especial, hay que reconocer que los defensores de esta opinión podían esgrimir algunos argumentos que, si no defendían su postura sí, al menos, la justificaban un poco. Entre estos argumentos hay que señalar que durante muchos años todos los experimentos que se podían mencionar para apoyar la teoría de Einstein involucraban fenómenos electromagnéticos. Ni en el libro de Von Laue (1911) ni en los trabajos de Planck, Laub u otros se podía encontrar un experimento puramente mecánico, por ejemplo. Da cuenta de lo extendido de la interpretación electromagnética de la relatividad especial el que, al menos hasta 1911, posiblemente la mayoría de los artículos referentes a la relatividad especial aparecían incluidos en el Fortschritte der Physik (una revista en la que se comentaban los artículos publicados en distintas revistas científicas) bajo la rúbrica «Electrodinámica». [130]
Junto a quienes interpretaron electromagnéticamente la relatividad especial, existió otro grupo importante que, aún sin distinguirla claramente del programa de Lorentz, vio en la teoría de Einstein una componente mecanicista que la ponía en oposición a la visión electromagnética de la naturaleza. Así, por ejemplo, durante la discusión que siguió a la comunicación que Planck presentó durante la reunión en 1906 de la Sociedad de Científicos de la Naturaleza y Médicos Alemanes, a la que ya me referí, Arnold Sommerfeld (1868-1951) sugería que los físicos menores de 40 años preferirían el «postulado electrodinámico», mientras que los mayores de 40 se inclinarían por el «postulado mecánico-relativista». [131] Es fácil ver el matiz un tanto despectivo de la alusión de Sommerfeld, para quien la teoría de Einstein (y hasta cierto punto también la de Lorentz, puesto que entonces prefería la versión electrodinámica de Abraham) significaba un claro retroceso en el desarrollo de la física teórica. Se daba cuenta de que la relatividad especial no estaba basada únicamente en conceptos electromagnéticos, como exigía la visión electromagnética de la naturaleza, y por este motivo pensaba que entraba dentro del contexto de la tradición mecanicista newtoniana. [132] Refiriéndose a Röntgen, que intervino en aquella reunión interesándose por si los desarrollos recientes en la teoría del electrón le permitían resolver el problema de la naturaleza de los rayos X, Sommerfeld escribía a Wilhelm Wien el 23 de noviembre de 1906: [133] «Él [Röntgen] no cree que los experimentos de Kaufmann pesan decisivamente en contra del movimiento del principio de relatividad». Sin embargo, las discusiones que tuvieron lugar en el congreso lo habían llevado a analizar con más cuidado la teoría de la relatividad especial y, así, en su carta a Wien añadía: «He estudiado ahora a Einstein, y estoy muy impresionado con él; daré pronto una conferencia sobre este tema en el coloquio de Sohncke». [134] De todas maneras aún tardó en comprender que la teoría de Einstein era más que una variante de la teoría de Lorentz. De entrada, le pareció brillante, pero «dogmática» y «oscura». A Lorentz le escribía, revelando un cierto prejuicio antisemita, el 26 de diciembre de 1907 (Kox, ed., 2008: 236): «Difícilmente un inglés habría presentado semejante teoría; acaso es una manifestación del conceptualmente abstracto modo semítico». Antes, en el congreso de la Sociedad de Científicos de la Naturaleza y Médicos Alemanes de 1907, había defendido a Einstein de erróneas interpretaciones (Sommerfeld, 1907). Su conversión en adepto total a la teoría de la relatividad especial —es decir, su liberación de entenderla desde el punto de vista electrodinámico— se había completado en 1910; aquel año, el 9 de enero, se dirigía a Lorentz en los siguientes términos (Kox, ed., 2008: 297): «Ahora me he convertido a la teoría de la relatividad. En particular, la interpretación y forma sistemática de Minkowski ha facilitado mi comprensión». A pesar de que por entonces Einstein todavía veía con suspicacia la interpretación cuatridimensional de la relatividad especial, no fueron pocos los físicos y matemáticos que, como Sommerfeld, vieron facilitada su aceptación de la teoría de la relatividad especial gracias a Minkowski. Ganarse el favor de Sommerfeld —que había completado su habilitación bajo la dirección de Felix Klein, con quien, como ya mencioné, publicó un monumental tratado matemático sobre el movimiento de una peonza (Die Theorie des Kreisels, 4 vols., 1897-1910)— fue importante; no olvidemos la extraordinaria escuela que éste estableció en Münich; discípulos de Sommerfeld fueron físicos del calibre de Werner Heisenberg, Wolfgang Pauli, Felix Bloch, Walter Heitler, Rudolf Peierls, Hans Bethe, Paul Ewald o Alfred Landé, y jóvenes graduados que pasaron por Münich para ampliar estudios con él como Linus Pauling, Isidor Rabi, Max von Laue, William Allis, Edward Condon, Carl Eckart, Edwin C. Kemble, Walther Kossel o Philip M. Morse.

Fotografía de Arnold Sommerfeld, dedicada por éste al espectroscopista español Miguel A. Catalán.
§. Gran Bretaña
Gran Bretaña, e Irlanda, esto es, la comunidad europea de habla inglesa, las tierras de Faraday, Maxwell, Kelvin, FitzGerald, J. J. Thomson, Larmor y Ernest Rutherford, es, por supuesto, un magnífico escenario para estudiar cómo fue recibida la teoría de la relatividad especial. [135] Uno de los rasgos, no el único pero sí destacado, de la recepción de la relatividad especial fue considerarla un ataque a un concepto sobre el que pivotaba una buena parte de la física británica: el éter. [136]

J. J. Thomson, en el Laboratorio Cavendish, con un tubo de rayos catódicos, 1909.
El Éter del Espacio ha sido el estudio al que he dedicado mi vida y constantemente he insistido en que se le preste atención. He vivido toda la época de lord Kelvin, con sus modelos mecánicos de un éter, hasta el día en que para algunos físicos el Universo parece disolverse en matemáticas y consideran la idea de un éter superflua, sino despreciable. Siempre tuve la intención de escribir algún día un tratado científico sobre el Éter del Espacio, pero cuando en mi vejez me puse a escribir este libro, me di cuenta de que el Éter penetraba todas mis ideas, tanto las de este mundo como las del siguiente. Ya no podría mantener mi tratado dentro de los confines científicos, escapaba en todas las direcciones, y ahora ha crecido convirtiéndose en una afirmación completa de mi filosofía.Un científico menos comprometido «espiritualmente» con el éter, J. J. Thomson, manifestaba también su adhesión a ese concepto en la conferencia inaugural que pronunció en el congreso de la British Association for the Advance of Science celebrado en Winnipeg en 1909 (Thomson, 1910: 15). «El Éter no es una creación fantástica del filósofo especulativo; es tan esencial para nosotros como el aire que respiramos. Puesto que debemos recordar que nosotros no vivimos en esta Tierra sólo de nuestros recursos, dependemos cada minuto de lo que recibimos del Sol y los regalos del Sol nos llegan por el Éter. Es al Sol al que debemos no meramente la noche y el día, el tiempo primaveral y las cosechas, sino que es la energía del Sol, almacenada en el carbón, en las caídas de agua, en la comida, la que realiza prácticamente todo el trabajo del mundo […]. El estudio de esta sustancia que todo lo penetra es acaso el más fascinante e importante deber del físico».
No obstante, a pesar de que es posible encontrar numerosos ejemplos de físicos británicos que creían en el éter y que intentaban basar en él sus construcciones teóricas, según avanzó el siglo XX, fueron apareciendo visiones más complejas sobre ese concepto. Un ejemplo en este sentido lo proporciona Norman Robert Campbell (1880-1949). Físico, reconvertido más tarde en filósofo de la ciencia, Campbell estudió en el Trinity College de Cambridge, trabajando después en el Laboratorio Cavendish bajo la dirección de J. J. Thomson; en 1913, se asoció a la Universidad de Leeds, donde permaneció hasta 1919, cuando pasó a General Electric, en Londres. En 1907, Campbell publicó un libro titulado Modern Electrical Theory, que alcanzó dos ediciones, la segunda (1913) ampliada con varios apéndices.
En la primera edición, Campbell evitaba casi por completo cualquier referencia al concepto de éter hasta el último capítulo. Allí empezaba a hacer referencia a las muchas «confusiones y malentendidos» que según él afectaban al concepto. «Los sorprendentes pronunciamientos —afirmaba (Campbell, 1907: 288)— sobre el “éter” que han realizado muchos filósofos rivalizan con las afirmaciones que pueden encontrarse en los escritos de hombres de ciencia de la máxima reputación». Como no «conocía ninguna definición formal categórica del término “éter”», tomó el camino, «no divergente del uso corriente» de considerar que «significa un medio en el que tienen lugar las interacciones electromagnéticas en ausencia de sustancias generalmente reconocidas como materia». «De estas acciones —añadía—, las vibraciones que constituyen la luz son las más importantes: los estudios de las propiedades del éter se resuelven habitualmente en investigaciones ópticas». En realidad, Campbell no estaba dispuesto a aceptar ningún otro papel para el éter. Esto queda claro en la sección 11 («Éter y energía») del capítulo XIV («Las Leyes del Electromagnetismo») de la primera edición de Modern Electrical Theory, así como en sus últimos trabajos, por ejemplo, en el artículo titulado «El Éter» que publicó en 1910. [137] Allí encontramos párrafos como el siguiente (Campbell, 1910: 181-182):
Sin duda buena parte de la insatisfacción con el éter se basa en las recientes teorías de la naturaleza atómica de la radiación y en la prueba de que el principio de relatividad es un fundamento adecuado para la teoría electromagnética, pero es evidente que tales teorías no ofrecen una razón ni suficiente ni necesaria para abandonar la idea. Sir J. J. Thomson, el autor de la más antigua y de más largo alcance teoría atómica de la radiación, dedicó gran parte de su alocución presidencial ante la British Association a una descripción de las propiedades del éter, mientras que, por el contrario, yo espero demostrar que una consideración de ideas no más nuevas que los elementos de la electrostática pueden llevar a serias dudas respecto a la utilidad de este concepto.La última frase muestra que los argumentos de Campbell contra el concepto de éter no se seguían sólo de su actitud positivista, o de su adhesión, posterior a 1907, puesto que en la primera edición de Modern Electrical Theory no se menciona la teoría de la relatividad especial de Einstein. Campbell sólo mencionaba a Bucherer, Lorentz, Abraham y Larmor, entre otros. En 1913, cuando apareció la segunda edición de su libro, Campbell ya conocía la teoría de la relatividad especial de Einstein. El nuevo prefacio es muy claro sobre esto: «Este volumen, nominalmente una segunda edición, es en realidad un nuevo libro […]. El Principio de Relatividad y el trabajo de Stark sobre la estructura atómica han alterado por completo la parte III».
Pero Campbell no sólo conocía la relatividad especial, también la entendía muy bien. «Este último capítulo —escribía (Campbell, 1913: 351) — estará dedicado a una consideración de ciertos problemas que en el pasado han sido objeto de mucha discusión entre los físicos. Estos problemas tienen poca conexión directa con lo que nos han interesado hasta ahora y nuestro estudio de la teoría eléctrica moderna estaría lógicamente completo con sólo la más desnuda referencia a ellos». Es decir, Campbell comprendía la que es una de las ideas fundamentales de la teoría de la relatividad especial, a saber, su independencia básica de la electrodinámica o, en otras palabras, que es una cinemática que debería aplicarse a cualquier interacción. Muy probablemente, sus opiniones metodológicas, que llevaron a Campbell a rechazar el éter, lo ayudarían a comprender y aceptar la relatividad. En este sentido, vale la pena citar el apéndice I («El Éter») a la segunda edición de Modern Electrical Theory (Campbell, 1913: 388): «muy pronto Einstein demostró que las reglas dadas por esta complicada teoría [la de Lorentz y la de FitzGerald] para deducir la relación entre las leyes observadas por dos observadores que están en movimiento relativo son exactamente las mismas que las dadas por el Principio de Relatividad; estas reglas, por supuesto, incluyen sólo la velocidad relativa de los dos observadores y no su “velocidad con respecto al éter”. Más aún, la forma en la que se expresan dichas reglas por el Principio de Relatividad es mucho más simple y más conveniente que aquélla en la que son dadas por la teoría del éter combinada con la hipótesis de Lorentz-FitzGerald».
En 1914, es decir, el año siguiente a la publicación de la segunda edición del texto de Campbell, se publicaron dos libros dedicados a la teoría de la relatividad especial: The Theory of Relativity (Londres, Macmillan) de Ludwik Silberstein, y The Principle of Relativity, de Ebenezer Cunningham. Ambos circularon ampliamente entre los científicos británicos, pero me limitaré a decir algo del libro de Cunningham, porque aunque su texto se publicó en Gran Bretaña basado en un curso de conferencias impartido en el University College, Londres, durante el año académico 1912-1913, Silberstein no era un producto británico (nacido en Varsovia, se educó en Cracovia, Heidelberg y Berlín y fue profesor, sucesivamente, en Lemberg, Bolonia y Roma, durante el periodo1895-1920, aunque en 1912-1920también ocupó, además de su profesorado en Roma, puestos en el Departamento de Investigación de Adam Hilger, Ltd., Londres). Por el contrario, Ebenezer Cunningham (1881-1977) fue un típico producto británico. Senior wrangler en el Mathematical Tripos de 1902, miembro y profesor del St. John's Cambridge, cuando escribió su texto, no fue, ciertamente, una figura principal en física, pero aun así su libro fue, como apunté, muy leído.
De hecho, bastante antes de The Principle of Relativity, Cunningham ya había mostrado que estaba familiarizado con el artículo de Einstein de 1905. Una de las primeras referencias, si no la primera, hechas en Gran Bretaña a la contribución de Einstein de 1905 aparece en un artículo suyo publicado en el número de octubre de 1907 del Philosophical Magazine (Cunningham, 1907). En él trataba de la discusión de la masa electromagnética de un electrón en movimiento, oponiéndose a la objeción de Max Abraham a la idea de Lorentz de un electrón que tiene, en reposo, una forma esférica, pero que en movimiento tiene la forma de un esferoide oblato. Pero aunque mostraba su conocimiento de la contribución de Einstein, la teoría de la relatividad especial, pensaba que ésta era «en esencia, la misma que la dada por Larmor en Aether and Matter, capítulo XI, aunque la correlación sólo está demostrada hasta segundo orden en v/c. El profesor Larmor me dice que él ha sabido desde hace algún tiempo que era exacta. Véase también Lorentz, Amsterdam Proceedings, 1903-1904».
En cuanto a The Principle of Relativity, tenemos que muestra que la comprensión de Cunningham del principio de relatividad de Einstein de 1905 reunía dos características bastante contradictorias, en principio; a saber: se daba cuenta de que el principio de relatividad especial era un principio universal, algo que no todos entendían en esa época (tanto en Gran Bretaña como en otros lugares), pero al mismo tiempo creía que dicho principio universal no implicaba que el éter fuera innecesario. «Los críticos del Principio de Relatividad —escribía (Cunningham, 1914: 162) — tienen razones para decir que no admite un “éter fijo objetivo”, pero no puede decirse que niegue la existencia de cualquier tipo de éter objetivo hasta que se demuestre que no puede concebirse un medio que explique los fenómenos electromagnéticos y que al mismo tiempo tenga un movimiento que es consistente con la cinemática del principio». Como vemos, una postura ambivalente ante el concepto de éter, prueba de lo poderosa que era aún la tradición británica sobre este concepto.
Uno de los aspectos más interesantes de la obra de Cunningham se refiere al formalismo de Minkowski, especialmente como artificio heurístico para desarrollar el programa de la relatividad restringida. [138] Así, escribía (Cunningham, 1914: 156): «El análisis cuatridimensional introducido por Minkowski no sólo introduce una mayor simetría en la discusión de la relatividad de los fenómenos electrodinámicos. Nos da también un nuevo punto de vista desde el que considerar las magnitudes mecánicas y nos permite avanzar hasta encontrar qué modificaciones son necesarias en los enunciados habituales de la teoría mecánica para que puedan ser incluidos dentro del alcance del principio de relatividad».
El último ejemplo que mencionaré es el del tratado de James H. Jeans (1877-1946), The Mathematical Theory of Electricity and Magnetism, un libro de texto excelente y ampliamente utilizado, escrito por uno de los físicos más populares e influyentes en Gran Bretaña durante las primeras décadas del siglo XX.
La primera edición (1908) del libro (todas las ediciones fueron publicadas por Cambridge University Press) no contiene ninguna discusión de la relatividad. Sólo en la segunda edición (1911) añadía Jeans «dos nuevos capítulos […] sobre el Movimiento de los Electrones y sobre las Ecuaciones Generales del Campo Electromagnético», donde se tocaban algunos problemas relacionados con la relatividad, pero sin dar entrada a las aportaciones de Einstein, salvo una única mención relativa a que éste había ampliado los trabajos de Lorentz, demostrando cómo podían extenderse sus resultados «para cubrir las fuerzas electromagnéticas tanto como las electrostáticas».
Los cambios reales en el libro de texto de Jeans en lo que respecta a la relatividad especial llegaron con la cuarta edición (1920). En el prefacio, fechado en diciembre de 1919, Jeans dejaba claro cuáles eran las novedades: «Se encontrará que los principales cambios en la cuarta edición consisten en una reordenación de los últimos capítulos y el añadido de todo un nuevo capítulo sobre la Teoría de la Relatividad». Examinando el contenido real de esta nueva edición, encontramos que, aunque Jeans fue bastante lento en abrir las páginas de su libro a la teoría de Einstein, él, finalmente, la entendía ahora muy bien. Así, la forma en la que introduce la «condición de relatividad» es claramente una generalización que reemplazaba interacciones específicas como la electromagnética.

James Jeans.
§. La respuesta a la relatividad especial en Francia y Estados Unidos
Aun siendo diferente en cada caso, la recepción que los físicos de Francia y Estados Unidos dieron a la teoría de Einstein fue en general bastante negativa. Comencemos por Francia, donde la respuesta fue muy pobre. Únicamente Paul Langevin (1876-1942), profesor a partir de 1903 de la École de Physique et Chimie Industrielle, del Collège de France desde 1909 y de la École Normale Supérieure de Sèvres desde 1905 (compatibilizó, en la tradición gala, todos estos puestos), apreció pronto el valor de la teoría de la relatividad especial, en la que reconocía, además, una extensión de algunos de sus propios trabajos sobre la dinámica del electrón, en los que, es cierto, se acercó a los resultados de Einstein. [139] En su curso en el Collège de France de 1906, trató la relatividad especial. Entre los oyentes se encontraban Edmond Bauer, Jean Becquerel, Émile Borel, Jacques Hadamard y Élie Cartan, la mayoría de los cuales contribuirían, años más tarde, al desarrollo o difusión de la relatividad. En 1922, Becquerel publicó uno de los primeros libros de texto franceses sobre la relatividad: Le principle de relativité et la théorie de la gravitation, derivado de un curso que desarrolló en 1921-1922 en la École Polytechnique y en el Muséum d'Historie Naturelle (en esta última institución, Becquerel, como su padre, el descubridor de la radiactividad, su abuelo y su bisabuelo, era profesor); el libro, por cierto, estaba dedicado «Al gran iniciador y defensor de las teorías relativistas en Francia, mi colega y amigo Paul Langevin, profesor en el Collège de France» (Becquerel, 1922). Aquel año, Langevin publicó otro libro sobre el tema: Le principe de relativité . Borel escribió un conocido libro sobre el espacio y el tiempo relativistas; Hadamard tuvo relación con Einstein con motivo de su investigación sobre la psicología del descubrimiento en matemáticas; Cartan mantuvo durante años una intensa correspondencia con Einstein sobre temas afines a la relatividad general, siendo además uno de los principales artífices del desarrollo matemático de esta teoría.
Volviendo a Langevin, comenzaré por referirme a un artículo que publicó en la revista italiana Scientia. Titulado «La evolución del espacio y el tiempo», allí Langevin (1911) introdujo lo que luego se conoció como «paradoja de los gemelos», que se puede resumir de la manera siguiente: se tienen dos gemelos que se alejan entre sí, en, por ejemplo, un cohete, con una cierta velocidad; cada uno puede considerar que es el otro el que se aleja con respecto a él y, como de la teoría de la relatividad se sigue que existe una dilatación temporal, esto hace que ambos piensen que ha envejecido menos que el otro, algo que, por supuesto, no puede ser cierto. Esta aparente paradoja se resuelve, no obstante, con una aplicación más cuidadosa de la propia teoría relativista.
Aunque aquel artículo estaba dominado por un tratamiento al estilo de Lorentz, Langevin (1911: 42) mencionaba a Einstein: «El señor Einstein ha sido el primero en demostrar cómo esta consecuencia necesaria de la teoría electromagnética basta para determinar los caracteres del espacio y el tiempo exigidos por la nueva concepción del universo. De lo que precede, se deduce que la velocidad de la luz debe jugar un papel esencial en los nuevos enunciados». «Esta consecuencia de la teoría electromagnética », decía, lo que muestra que aún formaba parte de los que veían la relatividad especial como, básicamente, una consecuencia del electromagnetismo.
Más detallada y técnica es la conferencia que pronunció el 26 de marzo de 1913 en la Société Française de Physique, «La inercia de la energía y sus consecuencias». La mayor parte del extenso texto que se publicó abunda en comentarios sobre los trabajos de, aparte de él mismo, Poincaré y Lorentz; sobre Einstein decía lo siguiente (Langevin, 1913, 1950: 414): «Mediante una de las más importantes aplicaciones del principio de relatividad, el señor Einstein ha podido generalizar la relación precedente [E = mc2] y extenderla a más casos que los del equilibrio electrostático ideados antes». Aunque añadía de inmediato: «Yo mismo he desarrollado, independientemente de él, en 1906, las consideraciones que siguen y las expuse en mis enseñanzas en el Collège de France, bajo una forma menos elemental y más general que aquí».

Einstein y Paul Langevin, 1922
La explicación más plausible de que sea muy difícil encontrar mención alguna al nombre de Einstein entre los científicos franceses hasta después de 1919 se encuentra en primer lugar en que de 1905 a 1912 la figura más destacada que trabajaba en electrodinámica en Francia era Henri Poincaré, quien nunca se refirió a Einstein en este contexto. Por lo que sabemos sólo cabe suponer que Poincaré, que sin duda leyó el artículo de 1905, debió de considerar el trabajo de Einstein como incluido en sus propias contribuciones. Aparentemente fue la influencia ejercida por Poincaré lo que justifica en parte la falta de atención que la relatividad especial encontrara en Francia. Otro de los posibles motivos es de orden político: los conflictos entre Alemania y Francia que desembocarían en 1914 en la primera guerra mundial, con la subsiguiente ruptura total de relaciones entre ambos países. [140] De hecho, Langevin invitó a Einstein a visitar París en 1914, pero la declaración de guerra impidió que tal visita tuviese lugar (fue en 1922 cuando Einstein visitó París). En el futuro, la relación entre ambos se reafirmó debido a que compartían preocupaciones e ideas políticas próximas.
Por lo que se refiere a Estados Unidos, la situación no fue muy diferente a la de Francia. [141] La excepción a la pauta general fue debida en el caso norteamericano al trabajo del químico-físico del Massachusetts Institute of Technology (Instituto Tecnológico de Massachusetts) Gilbert N. Lewis y del físico-matemático del California Institute of Technology (Instituto Tecnológico de California) Richard C. Tolman. El primer artículo sobre la teoría especial de la relatividad lo firmó Lewis en 1908 (lo publicó en la revista inglesa, Philosophical Magazine, un detalle este que no deja de tener su significado). Su interés en el tema derivaba de hecho de su condición de químico (aunque a lo largo de su carrera abordó otros dominios, la física, por supuesto, pero también las matemáticas y la economía): quería desarrollar una «mecánica no newtoniana» en la que el momento, la energía y la masa se conservasen en todo instante en una reacción química. Y ahí entraba E = mc2. En una nota a pie de página, Lewis señalaba que Einstein había llegado a conclusiones similares a las suyas, aunque, añadía, la de éste era sólo una aproximación mientras que su derivación era exacta. Un año después de este artículo de Lewis, unió fuerzas con Tolman para publicar una exposición de la teoría de Einstein, en la que, muy en el estilo que entonces caracterizaba a la ciencia estadounidense, prestaron sobre todo atención a los aspectos prácticos de la teoría (Lewis y Tolman, 1909). La principal diferencia entre ellos y la mayoría de sus colegas en Estados Unidos residía en que al contrario que estos últimos, consideraban a la relatividad especial una práctica basada en postulados demostrados experimentalmente. Más mayoritaria era la opinión representada por William F. Magie, profesor de Física en la Universidad de Princeton, quien en su conferencia inaugural como presidente a la American Association for the Advancement of Science (Asociación Americana para el Avance de la Ciencia) pronunciada el 28 de diciembre de 1911, decía (Magie, 1912: 290, 292): [142]
El principio de la relatividad, en esta su forma metafísica, pretende ser capaz de abandonar la hipótesis de un éter […] me aventuro a decir que, en mi opinión, el abandono de la hipótesis de un éter en el momento presente constituye un importante y serio paso atrás en el desarrollo de la física especulativa […].Sin embargo, como muestra de que aunque no todos pensaban lo mismo, tenemos que el mismo año de la conferencia de Magie, un matemático —este detalle es significativo— de la Universidad de Indiana (en 1915 pasó a la Universidad de Illinois), que se había doctorado en la Universidad de Princeton bajo la dirección de Garret Birkhoff, Robert D. Carmichael (1912), publicaba en la revista Physical Review un artículo en el que analizaba los postulados de la teoría de la relatividad. A ese trabajo siguió el año siguiente la primera monografía dedicada a la relatividad en Norteamérica. Se titulaba The Theory of Relativity (Carmichael, 1913 a), que surgió de un curso que desarrolló sobre la teoría einsteiniana, en el que, según él, la mayoría de los asistentes ridiculizaron la teoría. [143] Como en otros lugares, las ideas de Einstein comenzaban a andar, pero con dificultades.
Una descripción de los fenómenos en función de cuatro dimensiones en el espacio sería, para mí, insatisfactoria como explicación, porque por mucho que estimulara mi imaginación nunca podría convencerme a mí mismo de la realidad de una cuarta dimensión […].
No creo que exista algún hombre viviente que pueda afirmar justificadamente que él puede concebir que el tiempo es una función de la velocidad o que quiera apostar por la convicción de que su «ahora» es el «futuro» de otro hombre, o, más aún, el «pasado» de [un tercero].
Capítulo 10
Contribuciones a la física cuántica[144]
§. Einstein y la cuantización de la radiación (1905)En 1900, Max Planck (1900) propuso, sin una base teórica realmente firme, una ley de radiación del cuerpo negro que explicaba mejor, que las entonces disponibles (que la ley de Wien, especialmente), los datos observacionales sobre la distribución de la energía de la radiación de un cuerpo negro, el problema que, como vimos, había desvelado Gustav Kirchhoff. Enfrentado con el problema de deducirla teóricamente, Planck llegó a una expresión, E = h·?, donde E es la energía, h una constante (que luego se denominó «constante de Planck» y que caracteriza la física cuántica), y ? la frecuencia, que parecía indicar que la luz, una onda de frecuencia ?, estaba constituida por unos corpúsculos (más adelante denominados «fotones») de energía E. Pero Planck se sentía incómodo con las consecuencias aparentes de esta expresión, con la cuantización de la energía. Precisamente por semejante incomodidad, desarrolló posteriormente teorías con la esperanza de poder prescindir de tal discontinuidad, una esperanza que, no obstante, se vio finalmente frustrada y que condujo a Planck a aceptar sin reservas, hacia 1914, la interpretación estadística de la entropía introducida por Boltzmann en 1877, S = k·ln W (k es una constante, posteriormente denominada «constante de Planck», ln el logaritmo neperiano y W la probabilidad de que el sistema se encuentre en un determinado estado), que había desempeñado un papel central en su deducción teórica de 1900.
§. Einstein y el efecto fotoeléctrico
§. Cuantos y calores específicos
§. De la oficina de patentes de Berna a la universidad de Zúrich
§. Einstein sobre la dualidad onda-corpúsculo (1909)
§. ¿Una teoría clásica para los cuantos?
§. El consejo Solvay de 1911
La persona que se tomó en serio la aparente cuantización que parecía revelarse en el resultado de Planck fue Albert Einstein. Lo hizo en uno de sus grandes artículos de 1905, «Un punto de vista heurístico acerca de la creación y transformación de la luz» (Einstein, 1905 a).
§. Einstein y la cuantización de la radiación (1905)
Ya expliqué en el capítulo 6 que Einstein conocía desde al menos 1901 los resultados de Planck. Cité entonces unas cartas que había escrito a Mileva Maric: «Me han surgido objeciones de principio contra los estudios sobre radiación de Planck, de suerte que leo su tratado con sentimientos encontrados» (4 de abril de 1901). Y: «Lo que me preocupa de las observaciones de Planck sobre la naturaleza de la radiación se dice pronto. Planck supone que una clase muy determinada de resonadores (con periodos y amortiguamientos determinados) ocasionan la conversión de la energía en radiación, un supuesto con el que yo no estoy de acuerdo. Tal vez su última teoría sea más general. Pienso ocuparme de ella» (10 de abril de 1901). Tenía, pues, problemas con los cuantos introducidos por Planck en 1900, pero esto no fue óbice para que, en 1905, diera un paso más en la cuantización de la física. Veamos qué es lo que hizo en su artículo de 1905 (Einstein, 1905 a).
Ya en la introducción, Einstein señalaba que «las observaciones asociadas con la radiación del cuerpo negro, fluorescencia, producción de rayos catódicos mediante luz ultravioleta y otros fenómenos relacionados, todos ellos conectados con la emisión o la transformación de la luz, se entienden más fácilmente si uno supone que la energía de la luz está distribuida espacialmente de forma discontinua». Pero antes de intentar defender tal sentido, necesitó mostrar que la teoría clásica, la electrodinámica de Maxwell, conducía a graves problemas en el estudio de la radiación. Así, en la sección I, titulada «Sobre una dificultad con respecto a la teoría de la radiación de un cuerpo negro», demostraba que en el caso de longitudes de onda cortas y densidades de radiación pequeñas, la teoría maxwelliana no conducía a la expresión correcta para la energía de la radiación en un espacio rodeado de paredes completamente reflectantes, en el que están encerradas un número de moléculas de gas y de electrones que se mueven libremente y que a distancias cortas ejercen pequeñas fuerzas conservativas entre sí.
Max PlanckMax Karl Ernst Ludwig Planck nació en 1858, en Kiel, en cuya universidad, su padre, Johann Julius Wilhelm von Planck, era profesor de Derecho. De joven, no fue un alumno que se distinguiera por sus habilidades: sus profesores en el Maximilians-Gymnasium de Münich (su familia se trasladó a esa ciudad cuando, en 1867, su padre obtuvo allí la cátedra de Derecho civil) solían situarlo en los primeros puestos de la clase, pero nunca el primero. En lo que sí parecía destacar era en el estudio de religión y en conducta, áreas en las que con mucha frecuencia recibía el premio de su clase. Siempre fue un «hombre de orden».
Cuando le llegó el momento de elegir carrera universitaria, dudó entre Música, Filología antigua y Física. A pesar de que cuando el físico de Münich Philipp von Jolly le aconsejó que no estudiara Física, ya que todo estaba descubierto después de que los principios de la termodinámica hubiesen sido establecidos y no quedaban más que algunas lagunas por completar, Planck eligió finalmente seguir la carrera de Física en la Universidad de Münich, estudios que comenzó el semestre de invierno de 1874-1875. Encontramos algunas claves que explican esa decisión en una carta que Planck escribió muchos años después, el 14 de diciembre de 1930, a Joseph Strasser (citada en Hermann, 1977: 10): «Yo podría haber terminado siendo filólogo o historiador. Lo que me llevó a las ciencias exactas surgió de circunstancias más bien externas: un curso de Matemáticas del profesor Gustav Bauer, al que asistí en la universidad suscitó en mí una gran satisfacción interior y me abrió nuevos horizontes. El hecho de que terminase pasándome de las matemáticas puras a la física tuvo que ver con mi pasión por las cuestiones relativas a la concepción del mundo, cuestiones que, sin duda, no podían ser resueltas por las matemáticas».
Desde 1877 y hasta 1879, continuó sus estudios en Berlín, donde pudo seguir los cursos de tres gigantes de la ciencia: Hermann von Helmholtz, el matemático Karl Weierstrass y Gustav Kirchhoff. Sus clases, sin embargo, dejaban que desear: Helmholtz, recordaría Planck (1949; 2000: 22-23) en su autobiografía científica, «no preparaba sus clases; se interrumpía constantemente para buscar en un cuaderno los datos necesarios; por otra parte, cometía constantemente errores de cálculo en la pizarra y daba la impresión de aburrirse tanto como nosotros en su curso». Kirchhoff sí preparaba con cuidado sus lecciones: «cada frase estaba en su lugar. No faltaba ninguna palabra, no sobraba nada, pero daba la impresión de que todo estaba aprendido de memoria, lo que lo convertía en árido y monótono. Admirábamos al orador, pero no lo que decía». En semejantes circunstancias, «el único recurso que me permitía satisfacer mi sed de conocimientos era leer las obras que me interesaban; se trataba, bien entendido, de las que se relacionaban con el principio de energía. Fue así como descubrí los tratados de Rudolf Clausius, cuya claridad me impresionó profundamente y en los que me sumergí con entusiasmo creciente. Admiraba especialmente la formulación exacta que daba de los dos principios de la termodinámica [el la de la conservación de la energía y el del crecimiento de la entropía] y la relación existente entre ellos».
Clausius formó, junto con Helmholtz y Kirchhoff, no importa lo poco atractivas que le resultasen las clases de éstos, los pilares sobre los que construyó su saber físico: «Todos mis conocimientos los debo exclusivamente a la lectura de nuestros maestros —manifestó en la conferencia inaugural que pronunció, el 28 de junio de 1894, al tomar posesión de su cátedra en la Universidad de Berlín (Planck, 1948 b: 4)—, entre los cuales rindo tributo sobre todo a los nombres de Hermann von Helmholtz, Rudolf Clausius y Gustav Kirchhoff».
Siguiendo el ejemplo de Clausius, Planck hizo del estudio de la termodinámica el centro principal de su atención cuando se convirtió en físico profesional. Y comenzó con su tesis doctoral (1879), que dedicó al tema del papel de los procesos irreversibles en la definición de entropía. A pesar de sus esfuerzos, los resultados de su disertación atrajeron muy poca atención. En cualquier caso, tras presentar en 1880 la correspondiente habilitación, pudo enseñar, como Privatdozent, en Münich. En 1885, contando ya en su haber con publicaciones de cierta notoriedad, fue designado profesor extraordinario (esto es, sin cátedra) de Física en la Universidad de Kiel, en sustitución de Heinrich Hertz.
En Kiel, la carrera científica de Planck, centrada todavía en el segundo principio de la termodinámica, continuó avanzando. Después de cuatro años allí, con su currículo ya ampliado con un libro dedicado al principio de conservación de la energía, una de sus grandes pasiones científicas, le llegó una nueva oportunidad: nada menos que de la Universidad de Berlín, la universidad de la capital de Prusia, centro neurálgico del nuevo Imperio alemán, que iba camino de convertirse también en una de las capitales del mundo. Una vez más, a quien Berlín realmente quería era a Hertz, pero éste aceptó una oferta de Bonn (algo que, por cierto, muestra que por entonces la posición de Berlín en el contexto de la ciencia germana, aunque importante, no era del indiscutible liderazgo que alcanzaría poco tiempo después). En su lugar, aunque como profesor extraordinario, eligieron a Planck. Tres años después, en 1892, recibió el nombramiento de catedrático. Y dos años más tarde, con el apoyo de Helmholtz, fue elegido miembro ordinario de la Academia Prusiana de Ciencias. Llegaba a la cumbre de su profesión. En Berlín pasaría el resto de su vida y en Berlín, en diciembre de 1900, lograría su gran éxito científico: la introducción de los cuantos de energía.
Allí continuó centrando sus investigaciones en el campo de la termodinámica; de hecho, en 1897 publicó un texto sobre esta materia: Vorlesungen überThermodinamik (Lecciones sobre termodinámica). En sus investigaciones, Planck evitó durante mucho tiempo hacer hipótesis concretas acerca de los mecanismos que podían subyacer, o explicar, los principios básicos de la termodinámica; su táctica —un deseo que impulsaban sus convicciones filosóficas, en las que los «Absolutos» ocupaban un lugar central— era la de permanecer en el seguro ámbito fenomenológico en el que tales principios se cumplían universalmente. Así se explican las dificultades que tuvo que vencer para llegar a su célebre expresión E = h·v: aceptar que la interpretación (estadística, probabilística) de Boltzmann de la entropía podía tener un punto de verdad.Más de treinta años después, en una carta (citada en Hermann, 1971: 23-24) que escribió el 7 de octubre de 1931 al físico estadounidense Robert Williams Wood, Planck recordó que, «resumido brevemente, se puede describir lo que hice como un acto de desesperación. Por naturaleza soy pacífico y rechazo toda aventura dudosa, pero por entonces había estado luchando sin éxito seis años (desde 1894) con el problema del equilibrio entre radiación y materia y sabía que este problema tenía una importancia fundamental para la física; también conocía la fórmula que expresa la distribución de la energía en los espectros normales. Por consiguiente, había que encontrar, costara lo que costase, una interpretación teórica. Tenía claro que la física clásica no podía ofrecer una solución a este problema, puesto que con ella se llega a que a partir de un cierto momento toda la energía será transferida de la materia a la radiación. Para evitar esto, se necesita una nueva constante que asegure que la energía no se desintegre, pero la única manera de averiguar cómo hacer esto es partiendo de un punto de vista definido. En mi caso, el punto de partida fue mantener las dos leyes de la termodinámica. Hay que conservar, me parece, estas dos leyes bajo cualquier circunstancia. Por lo demás, estaba dispuesto a sacrificar cualquiera de mis convicciones anteriores sobre las leyes físicas. Boltzmann había explicado cómo se establece el equilibrio termodinámico mediante un equilibrio estadístico y, si se aplica semejante método al equilibrio entre la materia y la radiación, se encuentra que se puede evitar la continua transformación de energía en radiación suponiendo que la energía está obligada, desde el comienzo, a permanecer agrupada en ciertos cuantos. Ésta fue una suposición puramente formal y en realidad no pensé mucho en ella».Max Planck, 1915.
El «acto de desesperación» al que se refería fue, como él mismo señalaba, adoptar la formulación estadística de la entropía propuesta por Boltzmann, S = k· lnW. En palabras del propio Boltzmann (1877: 374) cuando introdujo esta formulación: «El estado inicial de un sistema será, en la mayoría de los casos, un estado muy poco probable y el sistema tenderá siempre hacia estados más probables, hasta llegar al estado más probable, es decir, al estado de equilibrio termodinámico. Si aplicamos esto al segundo principio de la termodinámica, podemos identificar la magnitud que se acostumbra a llamar entropía con la probabilidad del estado correspondiente. Consideremos, por tanto, un sistema de cuerpos que esté aislado [y cuyo estado no se modifica más que por la interacción entre los cuerpos que lo constituyen]. En una transformación de este tipo, la entropía total del sistema no puede más que aumentar en virtud del segundo principio de la termodinámica. En nuestra interpretación actual, esto no significa otra cosa que el hecho de que la probabilidad del estado del conjunto de los cuerpos del sistema debe ir aumentando constantemente: el sistema no puede pasar más que de un estado a un estado más probable». Y, más adelante, «Esta medida de la permutabilidad coincide con la entropía, salvo en un factor y una constante».
El uso de «probabilidades» y de nociones como «el estado del conjunto de los cuerpos» implicaba claramente que se podrían producir violaciones transitorias del segundo principio de la termodinámica. Doblegarse ante semejante planteamiento, aceptar que el crecimiento de la entropía estaba asociado con probabilidades y que, por consiguiente, no era tan universal como él pensaba, debió de ser doloroso para un físico del talante de Planck, dolor sólo mitigado haciendo de este paso una «suposición puramente formal».
El 31 de marzo de 1887, con la seguridad que le daba su puesto en Kiel, Planck se casó con Marie Merck. Tuvieron cuatro hijos: dos niños y dos niñas gemelas. El primer golpe fue la muerte de Marie, en octubre de 1909. El 26 de mayo de 1916 llegó el segundo golpe: su hijo mayor, Karl, murió en Verdún, de heridas sufridas luchando en las filas del ejército alemán en la primera guerra mundial. El 15 de mayo de 1917, su hija Grete falleció una semana después de dar a luz a su primer hijo. Emma, su hermana, se ocupó entonces del niño y terminó casándose en enero de 1919 con el viudo. Antes de que acabase el año, el 21 de noviembre, padeció exactamente el mismo final que su hermana.
La tragedia casi lo destruyó. El 21 de diciembre, escribía a Hendrik Lorentz (citado en Heilbron, 1986: 83): «Ahora lloro amargamente a mis dos queridas hijas y me siento robado y empobrecido. ¡Ha habido momentos en los que he dudado del valor de la propia vida!».
Tampoco sobrevivió, aunque viviese más, su otro hijo, Erwin, con quien estaba especialmente unido. Erwin fue ejecutado el 23 de enero de 1945, acusado de haber participado en el famoso intento de acabar con la vida de Hitler. Parece que no participó en él, pero sí conocía a muchos de los conspiradores y simpatizaba con su causa. Max Planck movió cielo y tierra para intentar que la pena de muerte le fuera conmutada y creyó haberlo logrado: el 18 de febrero supo que el perdón llegaría pronto, pero cinco días después lo que llegó fue la noticia del ajusticiamiento. «Mi pena no puede expresarse en palabras», escribió (4 de febrero) a Arnold Sommerfeld. Y a unos sobrinos, Fritz y Grete Lenz (2 de febrero): «Él era una parte preciosa de mi ser. Era mi luz del sol, mi orgullo, mi esperanza. Ninguna palabra puede describir lo que he perdido con él» (Heilbron, 1986: 195).
En el plano institucional, hay que decir que Max Planck terminó convirtiéndose en la figura más prominente de la ciencia alemana, así como un científico muy respetado internacionalmente (en 1919 recibió el Premio Nobel de Física correspondiente a 1918). En sus actuaciones en ese dominio, sobresalió el mismo sentido del honor y la dignidad que presidió su vida, la dignidad que hizo de él una persona tan respetada entre sus colegas. Einstein, en tantos sentidos tan diferente a Planck, lo adoraba no sólo, ni siquiera sobre todo, por sus aportaciones científicas sino por la persona que era. En los peores tiempos, en agosto de 1933, tras abandonar Alemania una vez Hitler alcanzó el poder, desde Princeton, escribía al químico Fritz Haber, tras haber sabido que éste también se había convertido finalmente en exiliado (citada en Stern, 2003: 170): «Espero que no regrese a Alemania. No merece la pena trabajar para un grupo intelectual formado por hombres que se apoyan en sus estómagos delante de criminales comunes y que incluso simpatizan en algún grado con estos criminales. No me decepcionan, porque nunca tuve ningún respeto o simpatía por ellos, aparte de unas finas personalidades (Planck, 60% noble, y Laue, 100%)».
El aprecio y el respeto que siempre tuvo Einstein por Planck se deben valorar aún más si tenemos en cuenta cuán diferentes eran sus ideas políticas, en particular su percepción del nacionalismo. Un ejemplo especialmente significativo en este sentido se encuentra en sus respectivas actitudes en la primera guerra mundial. Planck fue uno de los firmantes, el 4 de octubre de 1914, de un manifiesto del que me ocuparé más adelante, Aufruf an die Kulturwelt (Llamamiento al mundo civilizado), en el que 93 intelectuales alemanes defendían la causa bélica germana.
Cuando Adolf Hitler llegó al poder, ante la política racista contra los judíos que los nazis desplegaron enseguida, Planck, como cabeza visible de la ciencia alemana (en 1930 había sido nombrado presidente de la Asociación Káiser Guillermo, una organización —de la que me ocuparé en otro capítulo— de apoyo a la ciencia germana), se entrevistó, en mayo de 1933, con Hitler. Intentó convencer al Führer de que la emigración forzada de judíos podía terminar con la ciencia alemana y que los judíos también podían ser buenos alemanes. La entrevista, que muchos de sus colegas (especialmente los que abandonaron Alemania) criticaron duramente, terminó a gritos: Hitler señaló que él no tenía nada contra los judíos, sólo contra los comunistas, momento en el que dio rienda suelta a su rabia de tal modo que se dio el encuentro por finalizado.
Más afortunado en lo personal fue con su segunda esposa, Marga von Hoesslin, sobrina de Marie Merck-Planck, veinticinco años más joven que Max, con la que se casó un año después de quedarse viudo. «Fue en gran medida gracias a ella —escribió Wilhelm Westphal (1958: 235)— que Planck, al que todavía le aguardaban duras pruebas, se mantuvo hasta el fin de su vida en una excelente forma, tanto física como intelectual, y que conservó siempre el deseo de vivir».
«Siempre el deseo de vivir» es, seguramente, una expresión exagerada. Más adecuado sería decir «La fuerza para seguir viviendo». Por si fuera poco todo lo que ya he señalado, mencionaré que la noche del 15 de febrero de 1944, durante un formidable ataque aéreo de los aliados, su casa de Berlín, con su espléndida biblioteca, testimonio y homenaje a la mejor cultura germana, y atestada de papeles personales, fue destruida completamente. Nada se salvó. Especialmente dramáticos fueron los últimos momentos de la guerra. Para escapar de los bombardeos de Berlín, Max y Marga Planck se trasladaron a Rogätz, en la orilla oeste del Elba, cerca de Magdeburgo. Cuando Rogätz se convirtió también en un campo de batalla, los Planck —y recordemos que Max era entonces un anciano, su espalda exageradamente curvada, con grandes dificultades para caminar— tuvieron que vagar y esconderse por los bosques, durmiendo allá donde podían. Allí fueron encontrados por militares estadounidenses, probablemente alertados por Robert Pohl, catedrático de Física experimental en Gotinga.
Liberado de la «ligadura clásica», es decir, de la obligatoriedad de restringirse al dominio de la física clásica tradicionalmente apropiada para resolver los problemas de la radiación, Einstein desarrolló su argumentación basándose en la ley de radiación de un cuerpo negro que había propuesto Wilhelm Wien, es decir, utilizó una ley que sabía que era incorrecta. La ley de «radiación de cuerpo negro de Herr W. Wien —escribía— no es exactamente válida. Sin embargo, para grandes valores de ?/T, coincide totalmente con el experimento. Basaremos nuestros cálculos en esta fórmula, aunque teniendo en cuenta que nuestros resultados son válidos solamente dentro de ciertos límites».
Al adoptar este planteamiento, Einstein mostraba su genialidad. Las conclusiones que iba a obtener serían «heurísticas» —de ahí el título de su artículo—, no absolutamente seguras, pero aun así podía llegar a resultados y comparar éstos con los datos experimentales.
A partir de la expresión de la ley de Wien, u (ν, T) = aν3e-βν/T, donde u representa la distribución de energía, ν la frecuencia, T la temperatura absoluta y a y β constantes, Einstein deducía, empleando métodos termodinámicos, la entropía de la radiación que representaba (la de un cuerpo negro). En la sección siguiente («Investigación teórico-molecular de la dependencia con respecto al volumen de la entropía de gases y soluciones diluidas»), aplicaba la ley de la entropía de Boltzmann, S = k·lnW, para la entropía, S, de un gas de n partículas en equilibrio térmico en un volumen V. Y lo sorprendente es que llegaba al mismo resultado que había obtenido partiendo de la ley de Wien; sorprendente porque en un caso se entendía que la radiación era una onda y, en el otro, se había partido de un conjunto de partículas. Y al comparar las dos expresiones, obtenía la misma relación a la que había llegado Planck en 1900: E = h·ν.
En vista de este resultado, concluía la sección con la siguiente manifestación: «Si la radiación monocromática —de suficientemente baja densidad— se comporta, en lo relativo a la dependencia con respecto al volumen de la entropía, como un medio discontinuo consistente de cuantos de magnitud Rβν/N, es plausible investigar si las leyes de la producción y la transformación de la luz son también como si la luz estuviese compuesta por tales cuantos de energía». Fue entonces, sólo entonces, cuando analizó un grupo de fenómenos experimentales (la regla de Stokes, la generación de rayos catódicos iluminando cuerpos sólidos y la ionización de gases por luz ultravioleta) buscando explicar sus características, ya observadas por experimentalistas, en base a la proto-teoría que había desarrollado en las secciones precedentes. De las explicaciones dadas por Einstein de esos efectos, la que más relevancia tuvo fue la del segundo, la «generación de rayos catódicos iluminando cuerpos sólidos», o, en su denominación más conocida, el «efecto fotoeléctrico», un fenómeno descubierto por Heinrich Hertz (1887) durante sus investigaciones sobre la naturaleza de las ondas electromagnéticas.
§. Einstein y el efecto fotoeléctrico
El efecto fotoeléctrico es un proceso en el que la superficie de un material emite electrones cuando absorbe energía electromagnética al incidir luz sobre ella o cuando rayos X o ? se propagan a través del material. Ahora bien, como Philipp Lenard había señalado, si se suponía, como era obligado en la teoría electromagnética maxwelliana, que la energía de la luz se encontraba distribuida de manera continua en el espacio, no se sabía cómo explicarlo, cómo entender que el tipo de radiación catódica emergente (esto es, en el lenguaje actual la velocidad de los electrones emitidos) dependiese de la longitud de onda de la luz incidente pero no de su intensidad. [145]
La solución de Einstein fue utilizar la interpretación de la luz como una corriente de cuantos. «Según la idea de que la luz incidente consiste de cuantos de energía Rβν/N —explicaba Einstein (1905 a: 145, 147) en su artículo—, se puede imaginar la producción de rayos catódicos debido a la luz en la forma siguiente. Los cuantos de energía penetran en una capa superficial del cuerpo y su energía se transforma, al menos parcialmente, en energía cinética de un electrón […].

Primera página del artículo sobre la cuantización de la luz de 1905.
Emax = Rβν/N – P
donde Emax es la energía cinética máxima de los fotoelectrones, Rβ/N el equivalente de la constante de Planck h (R es la constante de la ecuación de los gases, N el número de moléculas por mol, y β una constante), ν la frecuencia de la luz incidente y P el trabajo que debe llevar a cabo cada electrón para abandonar la superficie.Fue precisamente esta parte de su artículo la que mencionó explícitamente la Academia Sueca de Ciencias cuando le otorgó en 1922 el Premio Nobel de Física correspondiente a 1921: «A Albert Einstein, por sus servicios a la Física Teórica y, especialmente, por su descubrimiento de la ley del efecto fotoeléctrico» es lo que se lee en la comunicación hecha pública entonces. Si tenemos en cuenta que entre sus otras contribuciones figuraban las teorías especial y general de la relatividad, al igual que otras referentes a la física cuántica que también podrían haber merecido una mención explícita, la imagen y juicio de la Academia Sueca de Ciencias no queda especialmente favorecida, aun reconociendo, por supuesto, el mérito y el valor de la sección dedicada al efecto fotoeléctrico de su artículo de 1905. Volveré al asunto del Premio Nobel de Einstein en el capítulo 15.
En cualquier caso, para que se llegase al punto en el que la Academia Sueca de Ciencias reconociese la corrección de la teoría de Einstein o lo que, en este caso, es en esencia lo mismo, de la ecuación anterior, ésta tuvo que ser comprobada experimentalmente, al igual que vencer la oposición de otras teorías alternativas que intentaban explicar el efecto. Y no fue nada fácil. Los trabajos experimentales de Lenard (1902) sólo suministraban pruebas cualitativas del aumento de la frecuencia con Emax. Fue Robert Millikan (1916 a, b) quien, tras una década de esfuerzos, logró poner en una base experimental firme la ecuación einsteiniana y, en cierto sentido, él mismo fue uno de los sorprendidos, como prueba lo que escribió en un artículo publicado en un número de la revista estadounidense Reviews of Modern Physics dedicado a celebrar el septuagésimo cumpleaños de Einstein (Millikan, 1949: 344): «Pasé diez años de mi vida comprobando la ecuación de Einstein de 1905 [la del efecto fotoeléctrico] y, contrariamente a todas mis expectativas, me vi obligado, en 1915, a proclamar su indudable verificación experimental, a pesar de lo irrazonable que era, ya que parecía violar todo lo que sabíamos acerca de la interferencia de la luz». Y es que para la gran mayoría de los físicos, el que Einstein supusiese, aunque fuese de manera heurística, que la luz, una onda electromagnética, estaba formada por cuantos de energía independientes, debió de parecer que resucitaba la vieja teoría corpuscular que Isaac Newton había defendido en el siglo XVII.
Einstein no lo veía así. A pesar de los muchos problemas que planteaba su tratamiento, junto a su otro artículo de 1905, «Sobre la electrodinámica de los cuerpos en movimiento», la introducción de los cuantos de energía podría considerarse las bases de un programa que Einstein se hubiese planteado para eliminar de la física el éter y/o los campos de una forma consistente. En efecto, con la relatividad especial, Einstein fue capaz de eliminar el éter como una complicación innecesaria, pero, según la problemática de la época, quedaba aún por responder la cuestión de qué entidad transportaba o mantenía las ondas de luz. El artículo de Einstein «Sobre un punto de vista heurístico…» puede interpretarse como la afirmación de que las ondas de luz ya no eran necesarias y, por consiguiente, no había que preocuparse de éteres o campos. Un aspecto de la personalidad de Einstein que sugiere fuertemente que éste podría haber sido en realidad su propio programa, lo constituye la profunda repugnancia que sentía ante la presencia de dualidades en la descripción de entidades físicas, y la coexistencia de partículas y campos en la estructura formal de la física originaba una de estas dualidades. De hecho, Einstein comenzó su artículo de 1905 sobre la estructura de la radiación diciendo que «existe una profunda distinción formal entre los conceptos teóricos que la física ha desarrollado en lo referente a los gases y otros cuerpos ponderables y la teoría maxwelliana de los procesos electromagnéticos en el llamado espacio vacío». Einstein se estaba refiriendo aquí a la dualidad esencial existente al considerar por un lado partículas, cuyo estado viene completamente determinado por un número finito de magnitudes, y por otro lado campos, cuyas funciones continuas necesitan un número infinito de datos para ser especificadas. En el artículo que estamos estudiando, la respuesta de Einstein era esencialmente que esperaba que la dualidad desaparecería eliminando los campos. De esta forma, Einstein estaba manteniendo vivo el espíritu de sus primeras investigaciones de 1900-1904.
§. Cuantos y calores específicos
En 1905, Einstein aplicó las «consideraciones cuánticas» al dominio de la radiación, pero ¿se podían aplicar tales consideraciones a los sólidos? En 1907 demostró que sí y lo hizo aplicando los cuantos a la teoría de los calores específicos.
Como se sabe, el calor específico de una sustancia se define como la cantidad de calor que hay que comunicar a un mol de la sustancia en cuestión para que su temperatura aumente en un grado centígrado (un mol es la cantidad de una sustancia con tantos elementos básicos como átomos hay en 12 gramos de carbono-12). En 1819, dos franceses, el químico Pierre Louis Dulong y el físico Alexis Thérèse Petit, encontraron, empíricamente, que el calor específico, ce, de sólidos monoatómicos es, para temperaturas superiores a la ambiental, aproximadamente (ley de Dulong-Petit) 6 cal·mol-1·K-1. [146] En la década de 1870, Boltzmann explicó esta ley recurriendo a la física estadística: utilizando el teorema de equipartición, llegó a que ce = 3k·N= 3R = 5,96, donde N es el número de Avogadro y k la constante de Boltzmann. Sin embargo, pronto se detectaron desviaciones de comportamiento: en los casos, por ejemplo, del carbono y el boro, el valor medido de ce era (a temperatura ambiente) significativamente menor que 5,96.
Al menos desde nuestra perspectiva actual, parece bastante natural que Einstein se interesase por el problema y llevara a cabo una cadena de razonamientos del tipo siguiente: (i) se obtenía un resultado teórico que demostraba ser incorrecto cuando se ampliaba el rango de las medidas realizadas; (ii) un elemento importante en la deducción teórica de la ley era el principio de equipartición; (iii) ahora bien, este principio había sido cuestionado por los trabajos de Planck y otros físicos (como él mismo); (iv) intentemos aplicar, por consiguiente, las técnicas cuánticas en la deducción teórica del calor específico (una posibilidad, la que de hecho utilizó, era restringir las energías vibracionales de los átomos a valores discretos proporcionales a la frecuencia de vibración: la hipótesis cuántica). Que ésta debió ser próxima a la argumentación einsteniana es algo que se evidencia en el artículo en el que presentó sus resultados: «Teoría de radiación de Planck y teoría del calor específico» (Einstein, 1907 c). Veamos cómo exponía allí estas cuestiones.
Tras profundizar en el estudio de la radiación y concluir que de su análisis «emerge claramente en qué sentido debe ser modificada la teoría del calor para ponerla de acuerdo con la ley de distribución del cuerpo negro», Einstein (1907 c: 183-184) señalaba: «Creo que no debemos contentarnos con este resultado. Surge, en este sentido, la siguiente cuestión: ¿si las estructuras elementales que hay que suponer en la teoría del intercambio de energía entre materia y radiación no se pueden concebir en términos de la actual teoría cinético-molecular, no estamos obligados a modificar también la teoría para otras estructuras que oscilan periódicamente, consideradas en la teoría molecular del calor?». Y su respuesta era clara: «En mi opinión, no hay duda en la respuesta. Si la teoría de la radiación de Planck va al corazón del asunto, se deben esperar contradicciones entre la teoría cinético-molecular actual y la experiencia también en otras áreas de la teoría del calor». Y en este punto entraban en escena los calores específicos, una de esas áreas.
Tras repasar la teoría y los resultados clásicos, Einstein demostraba que «si se considera a los transportadores de calor de sólidos estructuras que vibran periódicamente, con una frecuencia independiente de la energía de su oscilación» y utilizando la ley de radiación de Planck, el calor específico toma el valor por mol.
ce = 5,94·[(βν/T)2 exp(βν/T)]/[exp(β ν/T)-1]2
Es preciso resaltar que Einstein hizo la aproximación más sencilla posible para las vibraciones atómicas de un sólido: suponer que cada átomo vibra alrededor de su posición de equilibrio según un movimiento armónico simple y de manera independiente del movimiento de los restantes átomos. En consecuencia, en el modelo de Einstein, un sólido monoatómico isótropo posee únicamente una frecuencia de vibración, ν. Asimismo, de la anterior expresión se sigue inmediatamente que cuando T tiende a cero, ce también tiende a cero. Un resultado muy interesante, y en clara contradicción con lo que predecía la física clásica, pero que terminó confirmándose, a manos, sobre todo de Walther Nernst. [147] Por el contrario, para temperaturas elevadas, se recuperaba el valor clásico, 5,96.Una muestra del interés que suscitaron los trabajos de Einstein sobre la teoría de calores específicos lo encontramos en una carta que Emil Fischer, catedrático de Química en la Universidad de Berlín y uno de los grandes líderes de la química alemana, lo que significaba también de la mundial (recibió el Premio Nobel de Química en 1902), escribió a Einstein el 1 de octubre de 1910 (CPAE, 1993: 259-260):
Estimadísimo profesor Einstein:El 5 de noviembre, Einstein aceptaba la oferta (CPAE, 1993: 262).
Sus grandes artículos en el área de la termodinámica han causado sensación en el mundo de las ciencias naturales y se analizan frecuentemente en nuestro círculo, especialmente después de que el señor Nernst se haya dedicado a la prueba experimental de su conclusión sobre la ley de Dulong-Petit.
Sucede que conté esto a un amigo mío de la industria química.[148] Le resultó muy agradable que investigadores alemanes como usted, el señor Planck y el señor Nernst hayan tomado el liderazgo en esta fundamental área y cree que es el deber de la gente con medios en Alemania promover un poco estos espléndidos comportamientos facilitando apoyo económico.
Como incluso el científico teórico tiene ya considerables gastos para la adquisición de la literatura indispensable, este caballero querría promover su trabajo poniendo a su disposición una suma de quince mil marcos, pagables en tres partes de cinco mil cada una, la primera inmediatamente y la dos restantes en 1911 y 1912 . Permítame decirle que la aceptación de esta ayuda no implicaría ninguna obligación por su parte y que usted no estaría sujeto a ninguna restricción al gastarla.
§. De la oficina de patentes de Berna a la universidad de Zúrich
Los trabajos que Einstein publicó en y a partir de 1905 fueron atrayendo, irresistible e irremediablemente, la atención de sus colegas. Consecuentemente, en 1908, obtuvo la venia docenti de la Universidad de Berna y pudo ofrecer allí su primer curso como Privatdozent, manteniendo su empleo en la Oficina de Patentes. El 28 de febrero de aquel año, en efecto, Albert Gobat, escribía a Einstein en nombre del director del Departamento de Educación de la Universidad de Berna (CPAE, 1993: 105):
Venia legendi.De acuerdo con lo que se le indicaba, Einstein pronunció su conferencia inaugural el 27 de febrero de 1908. No existe transcripción de ella, pero sí el título en el registro de la Facultad: «Über die Gültigkeitsgrenze der klassischen Thermodinamik» («Sobre el límite de la validez de la Termodinámica clásica»).
En respuesta a su petición de junio de 1907 y basándonos en la experta opinión de la Facultad de Filosofía, le concedemos, como prescribe la ley, la venia docenti para Física Teórica y lo invitamos a comenzar su actividad académica con una conferencia inaugural, con respecto a la cual deberá ponerse de acuerdo con el decano de la mencionada facultad.
Aquel paso constituyó el punto de partida de su carrera académica. El siguiente no se demoró mucho: el 7 de mayo de 1909 era nombrado profesor extraordinario (no todavía una cátedra) de Física teórica en la Universidad de Zúrich, la institución cuyos edificios se encuentran justo al lado de la ETH. Los términos incluían un periodo de cinco años, comenzando el 15 de octubre siguiente, un salario anual de cuatro mil quinientos francos, lo mismo que ganaba en la Oficina de Patentes, y obligaciones docentes de entre seis y ocho horas a la semana. Poco después, el 19 de mayo, Einstein escribía a Jakob Laub: «Ahora, yo soy también un miembro oficial del cuerpo de las putas» (CPAE, 1993: 188). Algo menos de un año después, el 16 de marzo de 1910, explicaba a Laub cómo se sentía instalado de nuevo en Zúrich (CPAE, 1993: 232): «Me gusta mucho estar aquí, en Zúrich. El director de nuestro instituto, el profesor [Alfred] Kleiner, no es un gran físico, pero es un hombre espléndido con el que disfruto mucho. Parece que la distinción científica y la calidad personal no van siempre de la mano. Valoro una persona armoniosa más que incluso el más astuto de los que resuelven las artimañas de una fórmula o que el diseñador de experimentos».
§. Einstein sobre la dualidad onda-corpúsculo (1909)
Ya dije que «Sobre un punto de vista heurístico…» se puede considerar una primera manifestación —o premonición— de dualidad onda-corpúsculo, pero fue en 1909 cuando Einstein avanzó y profundizó en esa línea. Dos artículos son básicos al respecto. El primero de ellos (Einstein, 1909 a) lleva por título «Estado actual del problema de la radiación», mientras que el segundo, «Sobre el desarrollo de nuestras ideas relativas a la naturaleza y la composición de la radiación» es la versión escrita de la conferencia que Einstein (1909 b) pronunció en Salzburgo el 21 de septiembre durante el octogésimo primer congreso de una asociación fundada en 1822 para promover la unidad de todas las ciencias naturales (incluyendo la medicina), una asociación que tenía entonces más de tres mil miembros: la Gesellschaft Deutscher Naturforscher und Ärzte (Asociación de Científicos de la Naturaleza alemanes). Fue aquél, de hecho, el primer congreso de verdadero relieve en el que Einstein pronunció una conferencia; también entonces conoció personalmente a Max Planck.
Maestro como era de las consideraciones estadísticas, en aquellos artículos de 1909 Einstein llegó a resultados que profundizaban en la dualidad onda-corpúsculo estudiando —es uno de los dos casos que analizó— el valor medio de las fluctuaciones de energía, <e2> que tienen lugar en una cavidad de volumen V llena de radiación. Tomando como modelo su artículo de 1905 sobre la teoría del movimiento browniano y utilizando la termodinámica, los trabajos de Boltzmann y la ley de radiación de Planck, Einstein llegó a una expresión formada por dos términos, que implicaban una profunda contradicción. Como el propio Einstein señaló:
- Si se supone que a) la radiación está compuesta de (E/hν) cuantos que se mueven independientemente y dotados, cada uno, de una energía hν, y b) es válida la ley de los grandes números, se obtiene una expresión en la que únicamente aparece el primer término del corchete de esta ecuación.
- Si uno se basa en la teoría ondulatoria (electrodinámica maxwelliana) de la radiación (luz), la expresión a la que se llega contiene solamente el segundo término.
- Dentro de la región de validez de la ley de radiación de Wien, se obtiene el primer término, mientras sólo aparecía el segundo si se partía de otra ley de radiación, una que se deducía con rigor recurriendo únicamente a la física estadística: la ley de Rayleigh-Jeans, cuya expresión era u(ν, T) = (8π·ν2/c3)·N·k·T. [149]
§. ¿Una teoría clásica para los cuantos?
A pesar de todas sus virtudes (es decir, de su capacidad de explicar fenómenos problemáticos desde el punto de vista de la física clásica), la radicalidad de las ideas que manejaba Einstein en «Sobre un punto de vista heurístico acerca de la producción y la transformación de la luz» —suponer que, de alguna manera, la luz estaba formada por «partículas» de energía— era tal que ni siquiera él mismo podía obviarlas. No podía, por ejemplo, evitar enfrentarse con cuestiones tales como ¿por qué, sin embargo, la teoría ondulatoria de la luz ha tenido tanto éxito hasta ahora?, o ¿cómo se pueden incorporar al esquema cuántico fenómenos del tipo de la interferencia o la difracción? La respuesta —el comentario más bien— de Einstein (1905 a: 132-133) a estos interrogantes se encuentra en la introducción del trabajo, donde escribía: «La teoría ondulatoria de la luz, que opera con funciones continuas en el espacio, ha funcionado bien en la representación de fenómenos puramente ópticos y probablemente nunca será reemplazada por otra teoría. Debe tenerse en cuenta, sin embargo, que las observaciones ópticas se refieren a medias temporales más que a valores instantáneos y, a pesar de la completa verificación experimental de la teoría de la difracción, reflexión, refracción, dispersión, etcétera, es imaginable que una teoría de la luz que utilice funciones continuas en el espacio conduzca a contradicciones con la experiencia, si se aplica a los fenómenos de la producción y la transformación de la luz».
Expresado de forma diferente, estos comentarios de Einstein venían a sugerir que se inclinaba a pensar que la teoría (clásica) electromagnética actuaría como una descripción «promedio», válida a dimensiones más o menos macroscópicas, mientras que la nueva formulación (todavía por desarrollar) que contendría a los cuantos iría más allá.
En Salzburgo, Einstein reconocía las dificultades con las que se encontraba para resolver el problema (Einstein, 1909 b):
Por lo que sé, no ha sido todavía posible formular una teoría matemática de la radiación que haga justicia tanto a la estructura ondulatoria como a la estructura que se infiere del primer término de la fórmula anterior (estructura cuántica). La dificultad se encuentra principalmente en el hecho de que las propiedades de fluctuación de la radiación, expresadas por las expresiones que había obtenido, ofrecían muy pocas claves con las que construir una teoría. Imaginémonos que no se conociesen todavía los fenómenos de difracción e interferencia, pero que se supiese que la magnitud media de las fluctuaciones irregulares de la presión de la radiación está determinada por el segundo término de la fórmula anterior [la que mencioné en la sección anterior], donde ν es un parámetro que determina el color, pero cuyo significado es desconocido. ¿Quién tendría la suficiente imaginación como para construir la teoría ondulatoria de la luz con semejante base?Aun así, la desbordante imaginación de Einstein intentaba construir una teoría. Y así lo señalaba en el último párrafo de «Sobre el desarrollo de nuestras ideas relativas a la naturaleza y la composición de la radiación», como si desease deslumbrar a los asistentes a aquella sesión, muchos —la mayoría seguramente— confrontados por primera vez con el joven genio emergente:
De todas maneras, me parece que por el momento la interpretación más natural es que la existencia de campos electromagnéticos de luz está asociada con puntos singulares, al igual que la existencia de campos electrostáticos según la teoría del electrón. No es imposible que en esa teoría toda la energía del campo electromagnético pueda aparecer como localizada en estas singularidades, exactamente como en la vieja teoría de acción a distancia. Yo imagino, más o menos, cada uno de estos puntos singulares como rodeados de un campo de fuerza que tiene esencialmente el carácter de una onda plana y cuya amplitud disminuye al aumentar la distancia al punto singular. Si están presentes muchas de estas singularidades, separadas por distancias que son pequeñas comparadas con las dimensiones del campo de fuerza de un punto singular, tales campos de fuerzas se superpondrán y su conjunto dará origen a un campo de fuerza ondulatorio que puede diferir sólo ligeramente de un campo ondulatorio tal como está definido por la actual teoría electromagnética de la luz. Estoy seguro de que no necesito resaltar que no se debería dar ninguna importancia a semejante imagen, en tanto que no ha conducido a una teoría exacta. Todo lo que quiero es indicar brevemente con su ayuda que las dos propiedades estructurales (la estructura ondulatoria y la estructura cuántica) desplegadas simultáneamente por la radiación de acuerdo con la fórmula de Planck no deberían ser consideradas mutuamente incompatibles.En realidad, lo que Einstein estaba proponiendo es que la mejor forma de resolver los problemas de la relación entre cuantos de luz y electrodinámica era a través de una revisión de la teoría de Maxwell-Lorentz, en la que, como sabemos, el electrón desempeñaba un papel central: al fin y al cabo, las ecuaciones que había obtenido para las fluctuaciones de energía sugerían que esa teoría no podía ser totalmente correcta. Avanzar en el camino de encontrar una teoría mejor del campo electromagnético sería avanzar en la dirección de hallar una teoría para los cuantos.
Pero no sabía realmente cómo continuar. Así lo reconocía el 30 de marzo (1909) en una carta a Lorentz (CPAE, 1993: 166):
Junto a esta carta, le envío un pequeño artículo sobre la teoría de la radiación [Einstein, 1909 a], que es el insignificante resultado de años de reflexión. No he sido capaz de abrirme camino hacia una verdadera comprensión del asunto, pero, de todos modos, se lo envío e incluso le pido que le eche un rápido vistazo, por la siguiente razón:La referencia al «argumento dimensional» desarrollado por James Jeans (1905) es interesante. Estrictamente, se trataba de una reelaboración de lo que el físico británico hizo cuando dedujo la ley de desplazamiento de Wien, utilizando consideraciones dimensionales: Einstein amplió el argumento de Jeans, obteniendo una generalización de la fórmula de radiación, que incluía tanto la ley de Rayleigh-Jeans como la de Planck, y que contenía una función escalar sin determinar. De ahí dedujo que h ·e2/c, momento en que comentaba (Einstein, 1909 a: 192-193):
El artículo contiene varios argumentos de los cuales me parece que se sigue que no sólo la mecánica molecular, sino también la electrodinámica de Maxwell-Lorentz no se pueden poner de acuerdo con la fórmula de la radiación. El razonamiento que presento en la sección 7 del artículo me parece particularmente convincente. Además de esto, en la sección 10 , he señalado el argumento dimensional desarrollado por Jeans hace algunos años, que me parece proporciona un indicio para llevar a cabo una modificación de la teoría, que, en mi opinión, es esencial.
Es la segunda de estas ecuaciones la que ha sido utilizada por Herr Planck para determinar los cuantos elementales de materia o electricidad. Con respecto a la expresión para h, se debería notar queEl aspecto más importante de esta derivación es que relaciona la constante del cuanto de luz h con el cuanto elemental de electricidad e . Podríamos recordar que el cuanto elemental de electricidad es un extraño en la electrodinámica de Maxwell-Lorentz. Se debe recurrir a fuerzas externas para incluir el electrón en la teoría; habitualmente, se introduce un esquema rígido para evitar que las masas eléctricas del electrón se separen bajo la influencia de su interacción eléctrica. Me parece que la relación h = e2/c indica que la misma modificación de la teoría que contenga el cuanto elemental e contendrá también como consecuencia la estructura cuántica de la radiación.h = 6·10-27
ye2/c = 7·10-30
que están en desacuerdo en tres órdenes de magnitud, pero esto puede ser debido al hecho de que los factores decimales no son conocidos.
Y en este punto proponía que la ecuación fundamental de la óptica (la ecuación de ondas) fuese reemplazada por «una ecuación en la que la constante universal e(probablemente su cuadrado) también aparezca como un coeficiente. La ecuación (o el sistema de ecuaciones deseado) debe ser homogénea en sus dimensiones. No debería cambiar al aplicarla una transformación de Lorentz. No puede ser lineal ni homogénea».
Esta última suposición constituía entonces una idea aparentemente poco atractiva. Lorentz, por ejemplo, en una larga carta con la que contestó a Einstein el 6 de mayo de 1909 (CPAE, 1993: 177-178), señalaba que «También se puede intentar cambiar de manera apropiada las ecuaciones fundamentales del éter, como ha considerado usted. Lo que yo he tratado de hacer en esta dirección ha tenido un resultado muy insatisfactorio: en cuanto se efectúa incluso el menor cambio en las ecuaciones de Maxwell, uno se encuentra, creo, ante las mayores dificultades. Es cierto que yo quería mantener las ecuaciones lineales. Acaso se pueda conseguir más abandonando este requisito. ¿Es ésta también su opinión?».
En su respuesta a Lorentz (23 de mayo de 1909; CPAE, 1993: 196), Einstein reproducía algunas de las ecuaciones que estaba considerando, ecuaciones como:
Δf – Δ2·ΔΔf = 0
donde Δ es el operador laplaciano, formado por la suma de las derivadas parciales segundas con respecto a las coordenadas cartesianas.Pero no tuvo éxito y, de hecho, nunca llegó a publicarlas. No parecía que la solución del problema cuántico fuese a llegar por semejante camino. Unas frases incluidas en las notas autobiográficas que escribió en sus últimos años permiten recuperar algo de los sentimientos de frustración que, sin duda, lo embargaban por entonces (Einstein, 1949 a; Sánchez Ron, ed., 2005: 61): «mis intentos de adaptar el fundamento teórico de la física a estos conocimientos fracasaron rotundamente; sentía que nos habían quitado el suelo de debajo de los pies y nadie oteaba tierra firme donde poder construir».
§. El consejo Solvay de 1911
La participación de Einstein en el congreso de Salzburgo representó su entrada en escena oficial en la comunidad de los físicos germano-hablantes, pero en lo que se refiere a la élite mundial de los físicos, su «bautismo» tuvo lugar en 1911, durante el I Consejo Solvay.
El origen de los Institutos y Conseils (Consejos) Internacionales de Física y Química Solvay data de la primera mitad de 1910 y contó con el químico-físico Walther Nernst, ya por entonces muy interesado por el nuevo mundo cuántico, como su gran valedor. En el curso de uno de sus viajes, Nernst pasó por Bruselas y conoció allí (en casa de Robert Goldschmidt, profesor de Química-física en la Universidad Libre de Bruselas) a Ernest Solvay (1838-1922), químico belga que hizo una fortuna al desarrollar un procedimiento de fabricación del bicarbonato sódico, a quien le comentó que sería interesante organizar una reunión de especialistas en ese nuevo mundo científico y Solvay mostró su disposición a subvencionarla.
En junio de 1910, Nernst envió una propuesta más detallada a Solvay en la que intentaba explicarle la situación: [150] «Parece que nos encontramos actualmente en medio de una nueva revolución en los principios sobre los que se basa la teoría cinética de la materia. Por una parte, esta teoría […] conduce a una fórmula para la radiación que está en conflicto con todos los resultados experimentales, una situación que nadie niega; por otra parte, de esta misma teoría se deducen tesis sobre el calor específico […] que también son refutadas absolutamente por numerosas medidas. Como se ha demostrado, especialmente por Planck y Einstein, estas contradicciones son eliminadas si se imponen ciertos límites [el postulado de los cuantos de energía] al movimiento de electrones y átomos para el caso de la oscilación alrededor de un punto fijo. Sin embargo, esta interpretación representa una ruptura tal con respecto a las ecuaciones de movimiento de partículas materiales a las que estamos acostumbrados que aceptarla significará necesaria e incuestionablemente una reforma radical de las actuales teorías fundamentales».
Poco antes de tomar estas iniciativas con Solvay, Nernst había informado a Planck de sus intenciones, pero éste no estaba tan convencido de la oportunidad como su colega, como trasciende de la carta que envió el 11 de junio al creador del tercer principio de la termodinámica: «Estoy seguro de que difícilmente la mitad de los participantes que tiene en mente están lo suficientemente convencidos de la necesidad de reformar nuestras teorías como para asistir al congreso […]. Entre los jóvenes está también lejos de ser reconocida adecuadamente la urgente e importante naturaleza de estas cuestiones […]. Aparte de nosotros, creo que solamente Einstein, Lorentz, W. Wien y Larmor están seriamente interesados en el tema. Dejemos que pase uno o, mejor, dos años y entonces se hará evidente que la carencia teórica que ahora comienza a notarse será más y más grande y terminarán sintiéndose atraídos incluso los más alejados. No creo que se pueda acelerar significativamente este proceso, las cosas deben llevar, y llevarán, su tiempo». Una vez más, aparecía el Planck moderado, siempre un hombre de orden. Por cierto, en el caso de Joseph Larmor, la suposición de Planck era incorrecta: en su momento, el Lucasian professor de Cambridge rechazaría la invitación a participar en el Conseil, confesando que no había tenido tiempo para mantenerse al tanto de los recientes progresos en la teoría cuántica.
La reunión se celebró en Bruselas, entre el 30 de octubre y el 3 de noviembre de 1911, y estuvo dedicada a «La teoría de la radiación y los cuantos». Aquel I Consejo Solvay forma hoy parte relevante de la historia de la física, no tanto por los resultados que se obtuvieron sino por la singularidad de la mayoría de los participantes y por la naturaleza del tema debatido, así como porque hasta entonces habían sido escasas las reuniones de este tipo, esto es, auténticamente internacionales y dedicadas en especial a problemas abiertos de física. La única celebrada anteriormente había sido el Congreso Internacional de Física que había tenido lugar entre el 6 y el 12 de agosto de 1900 en París. Estuvieron representadas Austria, Bélgica, Canadá, Dinamarca, España, Estados Unidos, Francia, Grecia, India (una colonia inglesa todavía, por supuesto), Japón, México, Rusia y Suecia. Se trató de una reunión por completo diferente a la Solvay, ya que las sesiones estuvieron dedicadas a que científicos importantes presentasen exposiciones sintéticas sobre los conocimientos por entonces firmemente establecidos en la física, esto es, se trataba de mirar más hacia el pasado que hacia el futuro. En cuanto a la química, ya se habían celebrado varias reuniones: por ejemplo, una muy importante en Karlsruhe en 1860 o el Congreso Internacional de Química aplicada que tuvo lugar en Bruselas en 1894. También se celebraban Congresos Internacionales de Matemáticos, el primero de los cuales tuvo lugar en Zúrich en 1897.
Veintiún físicos, una auténtica élite formada por A. Einstein, M. Planck, H. A. Lorentz, W. Nernst, E. Rutherford, M. Curie, H. Poincaré, A. Sommerfeld, W. Wien, J. Jeans, P. Langevin, J. Perrin, H. Kamerlingh Onnes, H. Rubens, E. Warburg, M. Brillouin, F. Hasenöhrl y M. Knudsen, con M. de Broglie, F. A. Lindemann y R. Goldschmidt actuando como secretarios, más dos colaboradores de Solvay, participaron en el congreso, al que sólo era posible acceder por invitación (lord Rayleigh y J.-D. van der Waals también fueron invitados, pero no pudieron asistir). Como se ve, el grupo más numeroso era de alemanes: seis (siete si incluimos a Einstein, ya nacionalizado suizo, por entonces profesor en la Universidad de Praga). Un dato no despreciable a la hora de valorar el éxito de la convocatoria es el generoso estipendio que Solvay ofrecía a los que aceptaban, como lo expresó Rutherford el 21 de octubre (1911) en una carta a su amigo Bertram Boltwood (incluida en Badash, ed., 1969: 255): «Al final de la semana que viene salgo hacia Bruselas para tomar parte en un pequeño congreso, alrededor de quince personas, sobre la Teoría de la Radiación. Un hombre rico de Bruselas paga mil francos a cada uno por nuestros gastos. A un congreso así no tengo objeción en asistir».
En la carta de invitación (fechada el 9 de junio de 1911) que se envió a los seleccionados, se indicaban los temas que se pretendía tratar en la reunión (Ernest Solvay a Einstein; CPAE, 1993: 300-301):
- Derivación de la fórmula de radiación de Rayleigh.
- Comparación de la teoría cinética de los gases ideales con resultados empíricos.
- Aplicación de la teoría cinética a emulsiones.
- La teoría cinética de los calores específicos según Clausius, Maxwell y Boltzmann.
- La fórmula de radiación y la teoría de los cuantos de energía.
- Calor específico y la teoría de los cuantos.
- La aplicación de la teoría de los cuantos a diversos problemas en la física.
- Aplicación de la teoría de los cuantos a diversos problemas de naturaleza físico-química y química.

Participantes en el Consejo Solvay de 1911 . Sentados (izda. a dcha.) Goldschmidt, Planck, Rubens, Sommerfeld, Lindemann, M. de Broglie, Knudsen, Hasenöhrl, Hostelet, Herzen, Jeans, Rutherford, Kamerlingh Onnes, Einstein y Langevin; sentados: Nernst, Brillouin, Solvay, Lorentz, Warburg, Perrin, Wien, Curie y Poincaré.
En el discurso de inauguración de las sesiones de Bruselas, Lorentz dejó claras sus ideas y esperanzas (Langevin y Broglie, M. de, eds., 1912: 6-7):
Las investigaciones modernas han hecho que aparezcan, cada vez más, las graves dificultades que se encuentran cuando se busca representar los movimientos de las partículas más pequeñas de los cuerpos ponderables y la unión entre estas partículas y los fenómenos que producen en el éter. En el momento presente nos encontramos lejos de la plena satisfacción de espíritu que la teoría cinética de los gases —ampliada poco a poco a los fluidos, a las soluciones diluidas y a los sistemas de electrones— podía dar a los físicos hace una veintena o una decena de años. En lugar de esto, tenemos la sensación de encontrarnos en un impasse: las antiguas teorías se han mostrado cada vez más impotentes para penetrar en las tinieblas que nos rodean por todas partes.Ante semejante estado de cosas, la bella hipótesis de los elementos de energía, propuesta por primera vez por M. Planck y aplicada a numerosos fenómenos por M. Einstein, M. Nernst y otros, ha sido un precioso rayo de luz. Nos ha abierto perspectivas inesperadas e incluso aquellos que la miran con una cierta desconfianza deben reconocer su importancia y su fecundidad. Bien merece, por consiguiente, ser el tema principal de nuestras discusiones y el autor de esta nueva hipótesis y aquellos que han contribuido a su desarrollo merecen ciertamente que les rindamos un sincero homenaje.
En cuanto a conferenciantes y temas, fueron los siguientes: Lorentz: «Sobre la aplicación del teorema de equipartición de la energía a la radiación»; Jeans: «La teoría cinética del calor específico según Maxwell y Boltzmann»; Warburg: «Verificación experimental de la fórmula de Planck para la radiación del cuerpo negro»; Planck: «La ley de radiación negra y la hipótesis de las cantidades elementales de acción»; Knuden: «La teoría cinética y las propiedades experimentales de los gases perfectos»; Perrin: «Las pruebas de la realidad molecular (estudio especial de emulsiones)»; Nernst: «Aplicación de la teoría de los cuantos a diversos problemas físico-químicos»; Kamerlingh Onnes: «Sobre las resistencias eléctricas»; Sommerfeld: «Aplicación de la teoría del elemento de acción a los fenómenos moleculares no periódicos»; Langevin: «La teoría cinética del magnetismo y los magnetones», y Einstein: «Estado actual del problema de los calores específicos».
Tras cada una de las conferencias, éstas eran discutidas por todos los asistentes, quienes con anterioridad habían recibido una versión escrita de las mismas. Paul Langevin y Maurice de Broglie, que actuaban de secretarios, se encargaron de preparar la edición en francés, que incluía tanto las ponencias como transcripciones de los debates, a las que, posteriormente, algunos de los científicos añadieron notas (Langevin y Broglie, M. de, eds., 1912). En 1914, Arnold Eucken, colaborador de Nernst, publicó otra edición, en versión alemana. A través de esas ediciones, es posible hacerse una idea bastante ajustada del desarrollo de la reunión y de las ideas que la mayoría de los asistentes tenían con respecto a la física cuántica. Ideas que, por supuesto, cubrían un amplio espectro y no siempre eran coherentes o claras, ya que, como señaló Einstein en la apertura de la discusión que siguió a su informe (Langevin y Broglie, M. de, eds., 1912: 436), «Estamos todos de acuerdo en que la teoría de los cuantos, en su forma actual, puede emplearse con utilidad, pero que no constituye verdaderamente una teoría en el sentido ordinario de la palabra, en todo caso no una teoría que pueda ser, por el momento, desarrollada de manera coherente».
En privado, Einstein fue bastante duro en relación con lo que pensaba que había sido el resultado de la reunión. A Besso le escribía el 26 de diciembre de 1911 (CPAE, 1993: 380): «No he avanzado en la teoría de los electrones. En Bruselas se ha constatado igualmente con consternación el fracaso de la teoría, sin encontrar remedio. Este congreso tenía todo el aspecto de una lamentación sobre las ruinas de Jerusalén. No ha salido de allí nada positivo. Mis argumentos sobre las fluctuaciones suscitaron gran interés y ninguna crítica seria. He sacado poco provecho, pues no he oído nada que no me fuese conocido». Antes, en otra carta a Besso (CPAE, 1993: 337), ésta del 21 de octubre, había calificado al Consejo de Hexensabbat («Sabbat de las brujas», es decir, «aquelarre»).
La única mujer que participó en el Consejo de Bruselas fue, por supuesto, Marie Curie.

Johannes Stark
El 7 de noviembre, esto es, menos de una semana del término de la reunión, Einstein escribía desde Praga a su amigo Heinrich Zangger, entonces director del Instituto Fisiológico de la Facultad de Medicina Veterinaria de Zúrich (CPAE, 1993: 345-346), refiriéndose a aquel triste asunto:
He regresado la noche pasada de Bruselas, donde pasé mucho tiempo con Perrin, Langevin y Madame Curie, y he quedado encantado con esta gente. La última incluso prometió visitarnos con sus hijas. La horrorosa historia que ha sido difundida en los periódicos no tiene sentido [apareció la noticia sobre el affairCurie-Langevin en L'Indépendance Belgede Bruselas el 5 de noviembre]. Se sabe desde hace algún tiempo que Langevin desea divorciarse. Si quiere a Madame Curie y ella lo quiere a él, no necesitan escaparse, ya que tienen abundantes oportunidades de encontrarse en París. Pero no saqué en absoluto la impresión de que exista algo especial entre los dos, más bien, encontré a los dos unidos por una agradable e inocente relación. Asimismo, no creo que Madame Curie ambicione poder o esté hambrienta de lo que sea. Es una persona honesta, sin pretensiones, con más responsabilidades y cargas de las que puede llevar. Posee una inteligencia chispeante, pero, a pesar de su apasionada naturaleza, no es lo suficientemente atractiva como para representar un peligro para nadie.No lo he dicho, pero las cartas que escribió a Besso y Zangger estaban firmadas desde Praga, ya veremos en otro capítulo por qué. Antes y para no violentar la secuencia temporal, tengo que referirme a un resultado de valor extraordinario que Einstein logró en 1907.
Capítulo 11
El principio de Equivalencia
§. El artículo del Jahrbuch der radioaktivität und elektronik de 1907Ya mencioné que la teoría de la relatividad especial planteaba el problema de encontrar un sustituto para la teoría de la gravitación newtoniana, que no era invariante Lorentz, esto es, era incompatible con los requisitos que impone la relatividad especial. Poincaré optó por buscar una ley de gravitación que fuese invariante Lorentz, pero su propuesta no tuvo éxito. Einstein tomó un camino muy diferente, el de generalizar la relatividad de 1905, pero, como comprobaría, no bastaba con reemplazar el principio de relatividad aplicable a sistemas de referencia inerciales por uno general, esto es, por uno que afirmase que «todas las leyes de la física deben ser las mismas independientemente del sistema de referencia que se considere». La genialidad de Einstein —fue, en mi opinión, uno de sus momentos más creativos— estuvo en relacionar esa generalización del principio de relatividad con la igualdad de las masas inerciales y gravitacionales, lo que denominó «principio de equivalencia».
§. El valor heurístico del principio de equivalencia
§. El artículo del Jahrbuch der radioaktivität und elektronik de 1907
En 1907, Johannes Stark (1874-1957), entonces profesor en Hanover, futuro premio Nobel de Física en 1919, por, según la comunicación de la Academia Sueca, «descubrir el efecto Doppler en los rayos canales y el desdoblamiento de las líneas espectrales en campos eléctricos» (lo que se denomina «efecto Stark») y también ferviente nazi en la era de Hitler, pedía a Einstein que escribiese un artículo para la revista Jahrbuch der Radioaktivität und Elektronik de la que Stark era editor, en el que recopilase todo lo referente al «principio de relatividad».

Einstein con su madre, Pauline, hacia 1910.
El principio de equivalencia fue la única pieza de todas las que formaban el rompecabezas gravitacional que en ningún momento abandonó Einstein durante los ocho años que mediaron entre 1907 y 1915, cuando llegó a la formulación definitiva de la teoría de la relatividad general. Estaba absolutamente convencido de que en él se encontraba la clave para poder entender la interacción gravitatoria.
§. El valor heurístico del principio de equivalencia
La principal ventaja de la forma en que Einstein se planteaba en 1907 el problema gravitacional no era sólo el que se descubría, por así decirlo, un principio general de la naturaleza sino también su valor heurístico, ya que como, hasta cierto punto, se puede estudiar la dinámica relativista de un sistema acelerado, el principio de equivalencia hacía posible analizar el efecto de un campo gravitacional en el proceso correspondiente. De esta forma, Einstein (1907 b)obtuvo el resultado de que, en el caso de un campo gravitacional estático y espacialmente uniforme, la frecuencia de relojes situados en puntos de potencial gravitatorio pequeño es menor que la correspondiente a potenciales gravitatorios grandes. En sus palabras (Einstein, 1907 b: 458-459, sección 19):
Si en un punto P del campo gravitatorio F está situado un reloj que indica el tiempo local, entonces […] lo que marca es 1 + (F/c2) veces mayor que el tiempo t, es decir, corre 1 + (F/c2) más deprisa que un reloj construido idénticamente pero situado en el origen de coordenadas. Supongamos que un observador situado en un punto arbitrario del espacio observa de alguna manera las indicaciones de los dos relojes, por ejemplo, por medios ópticos. Como el intervalo temporal, Δt , que transcurre entre el instante de una indicación en uno de los relojes y el momento en que ésta es percibida por el observador es independiente de t, el reloj en P marcha, para un observador situado en un punto arbitrario del espacio, 1 + (F/c2) veces más deprisa que el reloj en el origen de coordenadas. Es en este sentido que podemos decir que el proceso que tiene lugar dentro del reloj —y de forma general todo proceso físico— ocurre con una frecuencia tanto más rápida cuanto más grande sea el potencial gravitatorio del lugar donde se desarrolla.Ahora bien existen «relojes» que se encuentran en lugares con diferentes potenciales gravitatorios y cuyas frecuencias se pueden controlar en forma muy precisa; éstos son los generadores de las rayas espectrales. Se sigue de la discusión anterior que la luz que viene de la superficie del Sol […] tiene una longitud de onda que es mayor en unas dos millonésimas partes que la de la luz generada por un material idéntico [al que, en el Sol, produce dicha luz] en la superficie de la Tierra.
Otro resultado obtenido por Einstein, esta vez al estudiar la «influencia de la gravitación en procesos electromagnéticos» (Einstein, 1907 b: sección 20), fue el de que la velocidad de la luz no es constante en un campo gravitacional sino:

En su correspondencia de aquellos años, encontramos huellas de lo que pensaba. Así, el 24 de diciembre de 1907, escribía a Habicht (CPAE, 1993: 82): «En los meses de octubre y noviembre estuve muy ocupado con un artículo —en parte una revisión, en parte una presentación de nuevos materiales— relativo al Principio de Relatividad. Te lo enviaré a su debido tiempo. Ahora estoy trabajando en un análisis relativista de la ley de gravitación, con el cual espero explicar los todavía inexplicables cambios seculares en el perihelio de Mercurio». Se refería al problema de que la variación observada de la posición del perihelio (el punto de la trayectoria de un planeta más cercano al Sol) no coincidía con el valor que se obtenía utilizando la mecánica celeste de Newton. Volveré a este problema más adelante.
Ocupado, sin embargo, con los absorbentes problemas de la física cuántica, en los que, además, se interesaban muchos más científicos, Einstein dejó el problema de construir una teoría relativista de la gravitación durante un tiempo. Hasta que se instaló en Praga.
Capítulo 12
Catedrático en Praga (1910-1912)
§. La gravitación vuelve a escenaEl 28 de abril de 1910, Einstein escribía a su madre una carta, en la que, entre otras cosas, decía (CPAE, 1993: 238): «Tengo otra noticia interesante. Es muy probable que una gran universidad me ofrezca un puesto de Ordentlicher profesor (catedrático), con un salario significativamente más elevado que el que tengo ahora. Todavía no tengo libertad para decir dónde es».
§. Max Abraham, Gunnar Nordström y la gravitación
§. El problema del disco que gira
§. Adiós a Praga
§. Exposición de razones para abandonar Praga
El lugar era la Universidad Alemana de Praga, que una semana antes había recomendado (una comisión de la Facultad de Filosofía) a Einstein como primera opción para una cátedra vacante que, señalaba la comisión, debía dejar de ser de Matemáticas y pasar a ser, de acuerdo con los recientes avances en esta disciplina, de Física teórica.
Un detalle, como se verá importante, es que en esa misma universidad Mach había sido catedrático de Física experimental durante veintiocho años, periodo durante el cual escribió su Desarrollo histórico-crítico de la mecánica, que tanto influenció a Einstein, y su Teoría del calor.
El 17 de septiembre, desde Viena, un alto funcionario del Ministerio de Educación, Max Hussarek von Heinlein, se dirigía a Einstein en los términos siguientes (CPAE, 1993: 255-256):
Honorable señor:El salario anual que se le ofrecía era de 600 coronas, «que se incrementan en 800 coronas después del quinto y décimo año de servicio, más 1.000 coronas desde el decimoquinto y vigésimo año, y con 1.200 coronas adicionales desde el vigesimoquinto año, hasta un total de 11.200 coronas, y una asignación adicional anual suplementaria de 1.472 coronas; además, existe una remuneración por ejercicios de seminario que suma 800 coronas anuales». No se recibía ninguna compensación por las matrículas de sus alumnos y se tenía derecho a pensión tras diez años de servicio.
El claustro de profesores de la Facultad de Filosofía de la Universidad Alemana de Praga le ha propuesto como primera elección para la cátedra de Física teórica que permanece vacante en esa universidad, después de Hofsrat[Ferdinand] Lippich.
Para mi propia información, me tomo la libertad de preguntarle confidencialmente si estaría dispuesto a aceptar un nombramiento para esta cátedra, comenzando este semestre de invierno o en abril del próximo año.
La propia existencia de una universidad alemana en una ciudad checa muestra algunos de los conflictos con los que se encontró Einstein: una ciudad, de aproximadamente medio millón de personas, la mayoría (en torno al 90 por ciento) checoslovacos, pero en la que la minoría germana (un 7 por ciento de la población, la mitad judíos) ocupaba una posición de privilegio económico, situación que producía numerosos conflictos, entre los cuales se encontraba una división cultural que explica la existencia de la universidad a la que se incorporó Einstein. No era, sin embargo, esta división étnica la única: también había otra que afectaba a los judíos, contra los que se unían los alemanes que no lo eran y los checoslovacos.
Philipp Frank (1884-1966), que, como ya señalé, sucedió a Einstein en la cátedra de Praga, describió los hechos que rodearon al nombramiento de Einstein en la biografía que dedicó al genial físico (Frank, 1949: 109-110) en los siguientes términos: [153]
A finales de 1910 , se produjo una vacante en la cátedra de Física teórica de la Universidad Alemana de Praga. La designación del nuevo catedrático había de realizarse, previa indicación de la propia Facultad, por el emperador de Austria, quien ejercía su derecho a través del ministro de Educación. La opinión clave en la elección del candidato era la del físico Anton Lampa, un hombre de tendencias progresistas en lo que se relacionaba con la educación. Durante toda su vida luchó por la introducción de métodos pedagógicos modernos, por la liberación de la enseñanza de toda influencia reaccionaria y por la extensión de las enseñanzas científicas y artísticas al mayor número posible de personas. Existía, sin embargo, un verdadero abismo entre sus aspiraciones y su capacidad científica y, como consecuencia, lo animaba una pasión que no podía satisfacer. Como era un hombre de conducta recta, se esforzaba por dominar su ambición, pero ésta seguía desempeñando un gran papel en su subconsciente. Su obra Weltanschauung estaba influida directamente por el positivismo filosófico del físico Ernst Mach, de quien había sido alumno. Lampa consagró buena parte de su vida a la propaganda de los postulados de Mach y a ganar seguidores para ellos. Cuando se planteó el problema de cubrir la cátedra de Física teórica, Lampa pensó que se le ofrecía la oportunidad de designar a alguien que enseñara física siguiendo las orientaciones de Mach. Además, siempre había deseado tener a su alrededor hombres geniales; ahora quería que el designado fuese un científico excepcional, no un profesor vulgar. Aun cuando se daba cuenta de que personalmente no pertenecía a ese tipo de hombres, estaba dispuesto a aceptar la presencia de un catedrático sobresaliente.
Lampa pensaba en dos físicos a los que creía capaces de enseñar de acuerdo con las orientaciones de Mach y que tenían una capacidad verdaderamente extraordinaria. El primero era Gustav Jaumann, profesor del Instituto Técnico de Brno, y el segundo Albert Einstein. Jaumann seguía los postulados de Mach en algunos puntos, esencialmente en su aversión a introducir átomos y moléculas en la física […]. Como tenía un gran talento natural y no poca imaginación, se consideraba un genio postergado, con una vanidad excesiva y susceptible […].
Como las normas disponían que los nombres de los candidatos propuestos fueran presentados de acuerdo con sus realizaciones, Einstein, cuyos trabajos entre 1905 y 1910 habían causado una fuerte impresión en el mundo científico, fue colocado en el primer puesto de la lista y Jaumann en el segundo. Sin embargo, el ministro de Educación ofreció el cargo en primer lugar a Jaumann. El Gobierno austriaco no quería dar cargos a los extranjeros, prefiriendo a los austriacos. Pero el ministro no había tenido en cuenta la vanidad y susceptibilidad de Jaumann, que contestó: «Si Einstein ha sido propuesto en primer término porque se cree que tiene a su favor una mejor labor realizada, yo no quiero nada con una universidad que elige el relumbrón y no aprecia el verdadero mérito». Ante la negativa de Jaumann, el Gobierno tuvo que dejar de lado su aversión por los extranjeros y ofreció el puesto a Einstein.
La fecha del nombramiento de Einstein fue mediante un decreto del 6 de enero de 1911. Aunque en la carta del conde Karl von Stürgkh en la que le informaba de su nombramiento se especificaba que éste «dependía de la adquisición de la ciudadanía austriaca, por lo que debe iniciar inmediatamente los pasos para abandonar su actual ciudadanía» (CPAE, 1993: 272-273), Einstein no renunció a la nacionalidad suiza y no pasó nada. Diferente fue el caso con la cuestión de la religión. Dejemos que sea de nuevo Frank (1949: 111) quien explique esto:
Todavía tuvo que vencer [Einstein] una grave dificultad antes de que tomara posesión de su cátedra. El octogenario emperador Francisco José sostenía que no podía dar clases en ninguna universidad austriaca un hombre que no perteneciera a cualquiera de las iglesias oficialmente reconocidas y se negaba a firmar el nombramiento. Los amigos de Einstein que habían logrado su designación se apresuraron a informarle de lo que sucedía. Desde que saliese del Gymnasium de Münich, Einstein no había pertenecido a ninguna comunidad religiosa, pero a fin de salvar el obstáculo indicó que practicaba la religión judaica, a la que había pertenecido de niño. No tuvo que someterse a ninguna ceremonia formal, pero en el cuestionario que tenía que llenar escribió sencillamente que su religión era la «mosaica», como entonces se llamaba en Austria al credo judío.En una carta que envió a Besso el 13 de mayo de 1911, recién llegado a Praga, encontramos una de sus primeras reacciones al cambio (CPAE, 1993: 295):
Querido Michele:Y a Marcel Grossmann el 27 de abril de 1911 (CPAE, 1993: 294):
Tu nueva postal me hace sentirme avergonzado. No tengo ninguna excusa por no haberte escrito desde hace tanto tiempo, pero puedes y perdonarás mi largo silencio incluso si no tengo ninguna excusa. Me encantaría pasar algún tiempo contigo, pero no sé cuándo podré. No saldré de Praga este verano porque necesito desesperadamente las vacaciones para realizar algún trabajo. Mi posición y mi instituto aquí me alegran mucho. Sólo la gente me resulta ajena. No son personas con sentimientos naturales sino carentes de sentimientos y con una peculiar mezcla de condescendencia basada en clase y servidumbre, sin ningún tipo de buenos deseos hacia las demás personas. Lujosa ostentación al lado de progresiva miseria en las calles. Esterilidad de pensamiento sin fe.
Pero me compensa la posibilidad de dedicarme a rumiar científicamente sin que me molesten. Lo que he terminado últimamente no es de gran importancia. Te lo enviaré junto a esta carta. Ahora mismo estoy tratando de deducir la ley de la conducción del calor en aislantes sólidos a partir de la hipótesis cuántica […].
Mi mujer y mis hijos están bien. Los chicos disfrutan de una buena y robusta salud como pocas veces se ve entre los niños de ciudad.
Después de una difícil jornada, llegamos aquí en buena condición y hemos encontrado un bello apartamento (Trebizkeho Uliza 1215 ). Aquí tengo un magnífico instituto, en el que trabajo muy confortablemente. Por otra parte, es menos hogareño (idioma checo, chinches, agua horrorosa, etcétera). Por cierto, los checos son mucho menos peligrosos de lo que se suele pensar. Hasta el momento, apenas conozco a alguno de los colegas. La administración es muy burocrática. Papeleo infinito para pequeñeces. Petición a la Alta Vice-realeza para adjudicar dinero para limpiar las habitaciones del instituto, etcétera.Como vemos, su opinión de Praga y de los checos no era demasiado buena, aunque ello no fue óbice para que tomase parte en algunas reuniones sociales, en las que, por ejemplo, conoció a dos grandes escritores: Max Brod y, aunque menos, también a Franz Kafka.

Einstein en Praga, 1912.
Como la fama de Einstein iba creciendo, comenzó a recibir visitas de otros físicos. Los más importantes que recibió en Praga fueron Otto Stern, un estudiante de la Universidad de Wroclaw, que en 1943 recibiría el Premio Nobel de Física, Erwin Freundlich, un joven astrónomo del Observatorio de Berlín-Babelsberg sobre el que volveré enseguida, y Paul Ehrenfest, cuyo nombre ya nos apareció.
A comienzos de 1912, Ehrenfest (1880-1933) inició una gira por Europa buscando un puesto de trabajo, algo que se le negaba en Rusia debido a su origen judío. Praga, porque allí estaba Einstein, fue una de sus paradas. Por entonces, Ehrenfest ya había publicado varios trabajos sobre la teoría relativista; él fue, por ejemplo, uno de los que iniciaron el estudio del sólido rígido en el contexto de la relatividad especial. No hay que olvidar, además, que en 1911 Paul y su esposa, Tatiana, habían escrito uno de los capítulos de la Enzyklopädie der mathematischen Wissenschaften mit Einschlussihrer Anwendungen dirigida por Felix Klein, el dedicado a la física estadística, uno de los campos favoritos de Einstein: «Begriffliche Grundlagen der statistischen Auffasung in der Mechanik» (vol. 4, Mechanik de la Enzyklopädie). El 12 de febrero de 1912, Einstein invitaba a Ehrenfest a visitarlo (CPAE, 1993: 408):
Querido señor. Ehrenfest:Ehrenfest llegó a Praga el 23 de febrero. Congeniaron tanto que se convirtieron en amigos íntimos. En su momento, Ehrenfest sucedió a Lorentz cuando éste se jubiló de su cátedra en Leiden (a quien Lorentz realmente quería era a Einstein). Fue una figura trágica: dotado de una gran claridad de pensamiento y habilidad pedagógica, era capaz de desentrañar desarrollos muy complejos, sacando a la luz sus virtudes y defectos. Sin embargo, su creatividad científica —que no fue pequeña para los estándares normales— no se correspondía a sus deseos, lo que hizo de él una persona desgraciada. Acabó con su vida, suicidándose, al mismo tiempo que mataba a un hijo suyo que padecía el síndrome de Down, el 25 de febrero de 1933. [154]
No se preocupe por la habilitación. Todo lo que yo pueda hacer por usted lo haré. Me gustaría mucho verlo en un puesto de profesor extraordinario y creo que algo parecido podría arreglarse. Discutiremos todo lo demás cuando venga a verme. Dígame el día y la hora de su llegada y la estación de ferrocarril a la que llegará y se alojará en mi casa, de manera que podremos hacer buen uso del tiempo.
§. La gravitación vuelve a escena
En el prefacio a la edición checa (1923) de su libro de divulgación sobre las teorías especial y general de la relatividad (me ocuparé de él más adelante), Theorie Relativity Specielni i Obecna, Einstein manifestó:
Estoy contento de que este pequeño libro […] aparezca ahora en el idioma nativo del país en el que encontré la necesaria concentración para desarrollar la idea básica de la teoría general de la relatividad, en la que ya había pensado en 1908 . En las tranquilas salas del Instituto de Física Teórica de la Universidad Alemana de Praga descubrí que el principio de equivalencia implica la desviación de los rayos de luz cerca del Sol en una magnitud apreciable […]. En Praga también descubrí el desplazamiento hacia el rojo de las líneas espectrales […]. Sin embargo, la idea decisiva de la analogía entre la formulación matemática de la teoría y la teoría gaussiana de superficies sólo me llegó en 1912 , después de regresar a Zúrich, sin ser consciente entonces del trabajo de Riemann, Ricci y Levi-Civita. Fue mi amigo Grossmann quien me llamó la atención sobre esto.El primer y más importante producto de su época de Praga fue un artículo titulado «Sobre la influencia de la gravitación en la propagación de la luz», que envió en junio de 1911 al Annalen der Physik. El primer párrafo de este trabajo nos aclara cuáles eran, para Einstein, los puntos principales (Einstein, 1911):
En una memoria publicada hace cuatro años [se refiere a Einstein (1907 b)] traté de contestar a la pregunta de si la propagación de la luz se ve influenciada por la gravitación. Vuelvo a este tema porque mi presentación anterior de esta cuestión no me satisface y por una razón más poderosa, porque me doy cuenta ahora de que una de las más importantes consecuencias de mi tratamiento anterior se puede poner a prueba experimentalmente. En efecto, se sigue de la teoría que presento aquí, que los rayos de luz que pasan cerca del Sol son desviados por el campo gravitacional de éste, de forma que la distancia angular entre el Sol y una estrella fija que aparezca cerca de él se ve aumentada aparentemente en cerca de un segundo de arco.
Einstein sobre Ehrenfest«Ocurre tan a menudo hoy que hombres de altas cualidades abandonen la vida por su propia voluntad que ya no creemos que semejante final sea insólito. Sin embargo, semejante decisión deja en general indicios de una incapacidad o, al menos, de rechazo a resignarse a nuevas y más difíciles condiciones externas de vida. Negarse a vivir la vida natural a causa de conflictos íntimos que se sienten intolerables es aún hoy singular peripecia en un hombre sano de espíritu, quizá sólo posible en el caso de las personalidades más nobles y más elevadas moralmente. Se debe a un trágico conflicto íntimo de esta clase el que nuestro amigo Paul Ehrenfest haya sucumbido. Quienes lo conocían bien, como me fue dado a mí, saben que esta intachable personalidad cayó víctima, en lo principal, de un conflicto de conciencia que de una forma u otra no perdona, en mi opinión, a ningún profesor de universidad que haya superado los cincuenta años.
Lo conocí hace veintidós años. Me visitó en Praga, procedente de Rusia, donde él, como judío, había sido excluido de la enseñanza en instituciones de alta cultura. Buscaba un lugar de trabajo en la Europa Central u Occidental, pero hablamos poco de este asunto, pues fue la situación de la ciencia en aquel tiempo lo que absorbió todo nuestro interés. Ambos nos dábamos cuenta de que la mecánica clásica y la teoría del campo eléctrico habían fracasado ante los fenómenos de radiación térmica y los procesos moleculares (la teoría estadística del calor), pero no había salida factible a este dilema. La brecha lógica de la teoría de la radiación de Planck —que los dos, no obstante, admirábamos mucho— se nos manifestaba claramente. También discutimos la teoría de la relatividad, ante la que él reaccionaba con cierto escepticismo, pero con aquel juicio crítico tan peculiar. Al cabo de unas pocas horas ya éramos amigos, como si nuestros sueños y aspiraciones significaran lo mismo para los dos. Y quedamos unidos en estrecha amistad hasta que dejó esta vida.Su mérito consistía en una facultad eminentemente desarrollada de captar la esencia de una noción teórica, de descortezar una teoría de su envoltura matemática hasta que emergía con claridad la simple idea básica. Esta capacidad hacía de él un incomparable profesor. Por esto mismo se le invitaba a los congresos científicos, pues él siempre aportaba claridad y agudeza en cualquier discusión. Combatió contra lo difuso y los circunloquios y, si era necesario, empleando su agudo ingenio e incluso la más absoluta descortesía. Algunas de sus declaraciones pudieron ser interpretadas casi como arrogancias; sin embargo, su tragedia consistía en una falta casi enfermiza de confianza en sí mismo. Sufría de continuo porque sus facultades críticas sobrepasaban su capacidad creadora. En cierto modo, su sentido crítico le arrebataba el amor a la propia progenie de su mente aun antes de que hubiera nacido […].
Einstein y Ehrenfest. Obra de Marijke Kamerlingh Onnes, nieta de Heike Kamerlingh Onnes, hacia 1920.
En verdad, se consideró más desdichado que cuantos conozco. La razón estriba en que no se sentía con fuerzas para la elevada tarea que tenía ante sí. ¿De qué le servía que todo el mundo le estimase? Su sentido de la insuficiencia, sin justificación alguna, lo importunaba de continuo, robándole muchas veces la paz de espíritu necesaria para una tranquila investigación. Sufría tanto que se vio empujado a buscar solaz en la distracción. Sus frecuentes viajes sin objeto, su preocupación por la radio y muchos otros rasgos de su vida inquieta brotaban no de una necesidad de calma y de inofensivas manías sino de un singular impulso de fuga causado por el conflicto psíquico al que he eludido.
Durante los últimos cinco años esta situación se vio agravada por el desarrollo extrañamente turbulento que ha sufrido la física teórica. Aprender y enseñar lo que uno no puede aceptar plenamente siempre es cosa difícil, doblemente difícil para una mente de fanática honradez, una mente para la que la claridad lo significa todo. Unióse a esto la creciente dificultad de adaptación a los nuevos pensamientos que siempre sufre el hombre pasados los cincuenta […].
Cuantos hemos sido enriquecidos por la fuerza y la integridad de su espíritu, la bondad y el calor de su generosa mente y no menos por su irresistible humor y agudo ingenio, sabemos cuánto nos ha empobrecido su partida. Él seguirá viviendo en sus discípulos y en todos aquellos que fueron guiados en sus aspiraciones por su personalidad».
Albert Einstein (1934, 1969: 257-260), «Paul Ehrenfest»
Vemos, por consiguiente, que lo que realmente atraía a Einstein en 1911 era que entonces —al contrario de lo que ocurría en 1907— veía una forma de comprobar experimentalmente esa sorprendente consecuencia de su prototeoría que hacía referencia a la curvatura de los rayos de luz: todo lo que había que hacer era comprobar si, durante un eclipse solar, tiene lugar un desplazamiento en la posición de una estrella cercana al «borde» del Sol, comparada con su posición en una noche ordinaria.
Disponemos de algún detalle más a través de la correspondencia que Einstein mantuvo con Willem Julius, profesor de Física, Geografía física y Meteorología en la Universidad de Utrecht. El 20 de agosto de 1911, Julius escribió a Einstein sondeándole si aceptaría la cátedra de Física matemática y Mecánica teórica que había quedado vacante. Einstein le contestó cuatro días después, agradeciendo la oferta, pero rechazándola, pues sólo llevaba en Praga cuatro meses. Pero lo que nos interesa es que Einstein aprovechaba la ocasión para informarle que, de hecho, acababa de escribirle una carta, que no debía haberle llegado porque no conocía su dirección. «La razón por la que quería escribirle —decía (CPAE, 1993: 312-313) — tiene que ver con la cuestión acerca de la causa del desplazamiento aparente de las líneas de absorción solares hacia el extremo del rojo del espectro. En un artículo muy interesante (Phys. Zeitschr). [Julius, 1911], usted ha demostrado recientemente que se puede atribuir este desplazamiento a la dispersión. Sin embargo, después de meditar en ello, que, aunque algo osado, algo tiene en su favor, he llegado a la idea de que la diferencia de potencial gravitacional puede ser la causa del desplazamiento de las líneas. De estos argumentos también se sigue una curvatura de los rayos de luz debido a los campos gravitacionales. Le envío las pruebas del artículo. Sería de gran importancia conocer exactamente si este desplazamiento en la magnitud observada debe tener lugar como consecuencia de la dispersión. Si es así, mi querida teoría debe ir a la papelera».
La teoría en cuestión utilizaba en lugar del potencial gravitacional newtoniano clásico, la velocidad de la luz, que como vimos en el capítulo 11, al tratar del artículo de revisión que publicó en 1907 en el Jahrbuch der Radioaktivität und Elektronik, dejaba de ser constante, lo que ya le había hecho deducir que las trayectorias de los rayos de luz se curvarían en presencia de un campo gravitacional.
Aunque Einstein continuó manteniendo contacto con Julius, no llegó a ninguna conclusión, por lo que dejaré este punto. Mucho más importante fue la relación que inició con Erwin Finlay Freundlich (1885-1964), el astrónomo del Observatorio de Berlín-Babelsberg cuyo nombre ya nos apareció.

Erwin Freundlich.
Querido colega:Einstein añadía que sabía que en Hamburgo se habían tomado algunas fotografías (se supone que de un eclipse de Sol), que tal vez pudiesen ayudar y pedía a Freundlich que midiese sus datos por si servían para confirmar los resultados de su teoría. La tarea era, no obstante, muy difícil y llevaría aún algunos años, hasta, como veremos, 1919. La relación de Einstein con Freundlich, un hombre de carácter complicado, se mantuvo durante mucho tiempo, como tendremos ocasión de comprobar.
Muchas gracias por su carta, que naturalmente me interesa mucho. Estaría encantado si usted desease abordar esta interesante cuestión. Sé perfectamente que contestarla mediante un experimento no es un asunto fácil, ya que la refracción de la atmósfera solar puede entrar en juego. Pero, sin embargo, una cosa puede afirmarse con seguridad: que si tal desviación no existe, las suposiciones de la teoría no son correctas. Ya que uno debe tener en mente que, incluso aunque plausible, estas suposiciones son bastante atrevidas. ¡Si tuviésemos un planeta verdaderamente grande como Júpiter! Pero la Naturaleza no se preocupa por hacernos fácil el descubrimiento de sus leyes.
Volviendo al artículo de 1911, diré que en lo que a su contenido teórico se refiere, no añadió demasiado a lo que Einstein ya había manifestado en 1907. En particular, continuaba afirmándose que la velocidad de la luz no es la misma en un sistema de referencia acelerado que en uno que no lo está. La expresión que denotaba la dependencia de c de la intensidad del campo gravitatorio, sigue apareciendo en el trabajo de 1911. Es cierto que Einstein aprovechó esto para construir una teoría escalar de gravitación en la que la velocidad de la luz juega el papel de potencial gravitatorio, pero era evidente que existía un problema: si la velocidad de la luz no era constante, la definición de simultaneidad con la que Einstein construyó la teoría de la relatividad especial no se podía seguir utilizando y las transformaciones de Lorentz dejaban de tener sentido, es decir, la teoría de la relatividad especial sólo podría ser válida en ausencia de campos gravitacionales o, por decirlo de otra forma, en 1911 el principio de relatividad (especial) y el principio de equivalencia se manifestaban como claramente incompatibles. Se puede pensar que esta incompatibilidad sólo reforzaría la creencia de Einstein en el sentido de que era preciso generalizar el principio de relatividad especial, pero sus ideas acerca de hasta qué punto era necesario generalizar el principio de relatividad especial eran todavía confusas. En cierto sentido, se puede decir que en su largo camino en busca de una teoría relativista de la gravitación, Einstein se comportó —en lo que al principio de relatividad se refiere, en absoluto con respecto al principio de equivalencia como un «oportunista» (algo que, por cierto, él creía eran, y debían ser, todos los científicos). No hay duda de que quería generalizarlo, pero no tenía las ideas claras y era lo suficientemente buen científico como para no dejarse dominar completamente por ideas preconcebidas. Por consiguiente, hay que tener mucho cuidado con afirmar, sin matizarlo, que Einstein estaba seguro de que ciertos tipos de incompatibilidades desaparecerían generalizando el principio de relatividad.
Es interesante señalar que Einstein veía en la variación de la velocidad de la luz un argumento que despojaba al espacio-tiempo de Minkowski de todo viso de realidad física u ontológica. Por entonces, durante algún tiempo, la opinión que Einstein tenía acerca de las matemáticas era muy pobre. Veía con suspicacia cualquier desarrollo esencialmente matemático en las ciencias físicas, ya que, según él, debían existir siempre justificaciones físicas y éstas no las encontraba en ninguna parte en la formulación cuatridimensional (espacio-temporal) de Minkowski (lo mismo que tampoco las encontraría más tarde en los intentos de Hermann Weyl para lograr una teoría del campo unificada). Por consiguiente, en lo que a este aspecto se refiere vio con buenos ojos la expresión en la que la velocidad de la luz no era constante porque si no lo era entonces desaparecía, por así decir, el vínculo que unía las coordenadas espaciales con la temporal para formar el espacio-tiempo minkowskiano. Sería algo después, poco antes de llegar a la conclusión de que el campo gravitatorio modificaba la estructura euclídea del espacio transformándola en riemanniana cuando Einstein pasó a considerar el espacio-tiempo à la Minkowski (que no minkowskiano) como un rasgo esencial en la estructura geométrica de la Naturaleza.
§. Max Abraham, Gunnar Nordström y la gravitación
No hay duda de que la teoría de la relatividad general fue el producto del trabajo de un solo hombre: Albert Einstein. Ahora bien, existieron unos pocos físicos que, de una u otra forma, contribuyeron al desarrollo de las investigaciones de Einstein. Expresado de otro modo: al mismo tiempo que Einstein se planteaba los problemas que acabo de mencionar, otros dos físicos, Max Abraham y el físico finlandés Gunnar Nordström (1881-1923), hacían lo propio.
En 1912 y de forma independiente y diferente, Abraham y Nordström desarrollaron sendas teorías de gravitación en las que reaccionaban ante la prototeoría que en 1907 y 1911 había presentado Einstein. Estas teorías nos interesan no tanto por su contenido, que apenas mencionaré, sino porque a su vez Einstein reaccionó frente a las críticas que en ellas se le hacían, lo que contribuyó a que precisase sus propias ideas y a reafirmarlo en su interés por descubrir una teoría relativista del campo gravitatorio. [155]
Por lo que se refiere a Abraham, en una serie de artículos (Abraham, 1912) formuló una teoría de gravitación que partía de la consideración (similar a la de Einstein) de que la velocidad de la luz dependía del campo gravitatorio. Era en realidad este punto —la no constancia de la velocidad de la luz— el que servía a Abraham de artillería pesada en sus ataques a los trabajos de Einstein, ataques que, por otra parte, no se limitaban ni siquiera iban fundamentalmente dirigidos a la teoría de gravitación, sino que también, y muy especialmente, afectaban a la teoría de la relatividad especial, teoría que Abraham, un resuelto «absolutista» en lo que a la existencia de un sistema de referencia privilegiado se refiere, rechazaba de plano en favor, en este caso, de su propia dinámica del electrón. Así Abraham (1912: 1056) escribía:
La teoría de la relatividad [especial] de Einstein ha ejercido un efecto fascinador, particularmente sobre los físicos matemáticos más jóvenes, que amenaza con detener el saludable desarrollo de la física teórica. Era perfectamente evidente a un observador de mente despejada que dicha teoría no podría nunca conducir a una imagen completa del Universo en tanto en cuanto que no sería capaz de incluir a la gravitación —la más importante, por omnipresente, fuerza de la Naturaleza— en su sistema. No es de extrañar, por tanto, que el fracaso de este propósito haya llevado a esta crisis de la teoría de la relatividad [especial].Al margen de cuáles fueran los méritos y defectos de su propia teoría de gravitación, Abraham estaba poniendo el dedo en la llaga. En 1912, «teoría de la relatividad» era sinónimo de «teoría de la relatividad especial» y, debido a la no constancia de la velocidad de la luz, el programa de investigación científica relativista se manifestaba totalmente insuficiente.
La respuesta de Einstein ante las críticas de Abraham tocaba dos puntos importantes. En el primero de ellos reconocía explícitamente que si se adoptaba la relatividad especial para describir la interacción gravitatoria, se entraba en conflicto con el antiguo descubrimiento de Galileo según el cual «todos los cuerpos próximos a la superficie de la Tierra caen libremente con la misma aceleración». El razonamiento empleado por Einstein aparece claramente en los siguientes párrafos de su artículo (Einstein, 1912 c: 1062-1063):
Uno de los resultados más importantes de la teoría de la relatividad es el conocimiento de que toda forma de energía E posee inercia E/c2proporcional a E . Como, por lo que se refiere a nuestra experiencia, toda masa inercial es al mismo tiempo una masa gravitacional, no podemos sino atribuir a toda forma de energía Euna masa gravitacional igual a E/c2 . De esto sigue inmediatamente que la fuerza gravitacional que actúa sobre un cuerpo es mayor cuando éste está en movimiento que cuando está en reposo.Si se pudiese describir el campo gravitacional con la actual teoría de la relatividad [es decir, la especial], esto se podría hacer sólo de una de las dos maneras siguientes. Se puede considerar el campo gravitacional bien un cuatrivector, bien un tensor antisimétrico de segundo orden […]. De esta forma, se obtienen resultados que contradicen las consecuencias mencionadas anteriormente relativas a la masa gravitacional de la energía. Por consiguiente, parece como si el vector gravitacional no pudiese ser amoldado consistentemente en el esquema relativista tal y como está en el momento actual.
El segundo punto de la respuesta de Einstein ante las críticas de Abraham revela que aunque no podía todavía dotar de un contenido específico a sus ideas, éstas iban en la dirección correcta. Así, Einstein se daba cuenta de que dentro del contexto de una teoría de gravitación, la teoría de la relatividad especial sólo podría tener una validez rigurosa en una región infinitesimal del espacio-tiempo. Ahora bien, cómo se podía conectar esto con su ruptura a un nivel global era algo a lo que Einstein no sabía contestar aún.
Para terminar con el debate entre Abraham y Einstein, diré que el menosprecio por sus respectivas teorías era recíproco. Así, por ejemplo, Einstein escribía, desde Zúrich donde ya se había instalado, a Sommerfeld el 29 de octubre de 1912 diciéndole (CPAE, 1993: 505): «Estoy trabajando ahora exclusivamente en el problema de la gravitación y creo que he superado todas las dificultades con la ayuda de un matemático amigo mío [M. Grossmann]. Pero una cosa es segura: nunca en mi vida me ha preocupado tanto algo, y he ganado enorme respeto por las matemáticas, cuyas partes más sutiles, consideraba hasta ahora, en mi ignorancia, ¡como puro lujo! Comparado con este problema, la teoría original de la relatividad es un juego de niños. Por lo que puedo ver, la teoría de Abraham es desde luego lógicamente correcta, pero monstruosamente engorrosa».
A pesar de sus radicales diferencias, las teorías de Abraham y Einstein tenían algo en común: una velocidad de la luz variable. Gunnar Nordström no aceptaba esto: para él (Nordstrom, 1912: 1126), «la hipótesis de Einstein de la dependencia de la velocidad de la luz c del potencial gravitatorio conduce, como se puede ver por las discusiones entre Einstein y Abraham, a considerables dificultades en conexión con el principio de relatividad». Como creía en la validez absoluta de la relatividad especial, su problema era, por consiguiente, preguntarse «si podría ser posible reemplazar la hipótesis de Einstein por otra que dejase c constante y así modificar la teoría de gravitación de tal forma que, de acuerdo con el principio de relatividad, las masas gravitacionales e inerciales fuesen idénticas». En otras palabras, el problema al que se dedicó Nordström fue el de construir una teoría de gravitación invariante bajo el grupo de Lorentz y que satisficiese el principio de equivalencia.
Al margen de otras consideraciones, existe un motivo que hace que las teorías de Nordström sean particularmente interesantes. El motivo aparece en el apéndice a su primer artículo sobre temas gravitacionales. Decía allí Nordström (1912: 1129): «He sabido a través de una carta del profesor Einstein que él ya había considerado con anterioridad la posibilidad [propuesta por mí (G. N.) en este artículo] de tratar los fenómenos gravitacionales de una forma simple», es decir, a través de Nordström, podemos conocer parte de la prehistoria de la relatividad general, de las teorías que Einstein desechó. Más aún, en este caso incluso es posible averiguar los motivos que llevaron a Einstein a desechar esta teoría. El propio Nordström lo aclaraba en el apéndice mencionado:
Sin embargo, [Einstein] llegó a la conclusión de que existían consecuencias de tal teoría que no correspondían a la realidad. Con la ayuda de un simple ejemplo demostró que de acuerdo con esta teoría, la aceleración experimentada por un sistema que gira en un campo gravitacional será menor que la de uno que no gira […] esta conclusión demuestra que mi teoría no es consistente con la hipótesis de equivalencia de Einstein. Según ésta, un sistema inercial no acelerado en un campo gravitacional homogéneo es equivalente a un sistema inercial acelerado en un espacio «libre de gravedad».En otras palabras, Einstein consideró a la que llamaremos «primera teoría escalar de Nordström» una posibilidad para describir los fenómenos gravitacionales, pero encontró que entraba en conflicto con algo que para él era irrenunciable, el principio de equivalencia, y optó por abandonarla, abandono este que implicaba en buena medida el renunciar a la invariancia Lorentz, al menos en tanto en cuanto no se demostrase que la teoría invariante Lorentz más lógica y natural era sostenible. Éste era el punto de vista de Einstein, pero ¿qué pensaba Nordström de estos problemas?, ¿consideraba él también que el principio de equivalencia era algo fundamental? La respuesta es no. Para él «esta circunstancia [el conflicto con el principio de equivalencia] no [era] suficiente para abandonar la teoría», más aún teniendo en cuenta que la diferencia predicha entre ambas aceleraciones era tan pequeña que la cuestión no se podía dilucidar experimentalmente. Además, Nordström creía que aunque la hipótesis (principio de equivalencia) de Einstein era muy ingeniosa, «conducía», sin embargo, «a grandes dificultades».
Una primera lección que se debe sacar de la postura de Nordström es que el papel preponderante que Einstein asignaba al principio de equivalencia estaba lejos de ser aceptado en general (algo parecido se podría decir acerca del principio de relatividad general). De hecho, fue la influencia (o el prestigio si se quiere) ejercida por Einstein lo que contribuyó, al menos en el caso de Nordström, a que la situación cambiase. Así tenemos que Nordström (1913) modificó, en julio de 1913, su teoría de tal forma que, aun manteniendo la invariancia Lorentz, se satisfacía el principio de equivalencia.
Para Einstein esta «segunda teoría escalar de Nordström» verificaba todos los requisitos que cabía imponer en una teoría de gravitación; esta teoría era, por consiguiente, y así lo atestiguó en su conferencia titulada «El estado actual del problema de gravitación» (Einstein, 1913 a), el primer intento en el que se desarrollaba una teoría de la gravitación realmente consistente. Ahora bien, también advertía acerca de la existencia de varios problemas:
- La teoría de Nordström no predecía la curvatura de los rayos de luz en presencia de un campo gravitacional y esto contradecía un resultado al que Einstein había llegado mediante consideraciones bastante generales. Además, la teoría proporcionaba un retraso del perihelio de Mercurio en lugar de un avance como se observaba experimentalmente. En este sentido Einstein escribía a Erwin Freundlich a mediados de agosto de 1913 (CPAE, 1993: 550):
Mi opinión acerca de las otras teorías que ahora hay sobre la gravitación es como sigue. La teoría de Abraham, según la cual la luz es desviada como también lo es en mi teoría, es inconsistente desde el punto de vista de la teoría de los invariantes. Las otras teorías de la gravitación son las de Mie y Nordström. La primera es imaginativa y posee, en mi opinión, una probabilidad intrínsecamente minúscula, pero la otra es bastante razonable y apunta a una manera libre de contradicciones en la que triunfar sin el principio de equivalencia. Según Nordström, existe un desplazamiento hacia el rojo de las líneas espectrales, como en mi teoría, pero no existe curvatura de los rayos de luz en el campo gravitacional. Las investigaciones durante el próximo eclipse solar demostrarán cuál de las dos interpretaciones corresponden a los hechos. - Tras lo cual Einstein, y esto es importante, concluía: « [Esta cuestión] no se puede dilucidar sólo por caminos teóricos», frase esta que nos muestra que en 1913 Einstein todavía estaba lejos de sentir la seguridad (de orden estético, casi metafísico) en sus ideas que sentiría años más tarde.
- Como veremos pronto, en 1913, Einstein sabía que era necesario abandonar el espacio-tiempo minkowskiano y plano en favor de uno riemanniano de curvatura no nula. En este sentido, no podía mirar con buenos ojos una teoría como la de Nordström construida sobre un espacio-tiempo del primer tipo. De hecho, en 1914, Einstein se dedicaría, en colaboración con un discípulo de Lorentz, Adriaan Fokker, a clarificar la relación que la teoría de Nordström guardaba con la teoría riemanniana que él mismo, junto a Grossmann, había desarrollado en 1913. En este artículo, aunque me esté adelantando a cuestiones que veremos más adelante, Einstein y Fokker (1914: 324) afirmaban que: «El campo gravitacional viene determinado por diez cantidades gαβ. En la teoría de Einstein-Grossmann, se especifican diez ecuaciones formalmente similares para estas diez cantidades. Por otra parte, la teoría de Nordström se basa en la suposición de que es posible verificar el principio de constancia de la velocidad de la luz eligiendo adecuadamente un sistema de referencia. Veremos [en este artículo] que esta [suposición de Nordström] es equivalente a reducir las diez cantidades gαβ a una sola cantidad Φ2mediante una elección apropiada del sistema de referencia».
Por lo que a Nordström se refiere, diré que en marzo de 1914, un mes después del artículo de Einstein y Fokker, admitía la insuficiencia de sus resultados. Aun así, no siguió la dirección que Einstein señalaba sino la de la electrodinámica de Mie, a la que consideraba dentro de la tradición de los trabajos de Minkowski, tradición en la que Nordström, durante un tiempo estudiante en Gotinga, se había educado. Fue finalmente en 1916 cuando Nordström aceptó la teoría de la relatividad general.
§. El problema del disco que gira
En Praga, Einstein avanzó en un problema del que extrajo consecuencias que fueron decisivas para llegar a la teoría relativista de la gravedad (la relatividad general que estaba buscando). Ese problema era el de un disco que gira. [156]
Sabemos que el interés de Einstein por el tratamiento teórico, coherente con la relatividad especial, de un disco que gira uniformemente data, al menos, de 1909. Así, el 29 de septiembre de aquel año escribía a Sommerfeld (CPAE, 1993: 210): «El tratamiento de un cuerpo rígido en rotación uniforme me parece que tiene una gran importancia en base a extender el principio de relatividad a sistemas que están en rotación uniforme, según líneas de pensamiento análogas a aquellas que traté de desarrollar para traslaciones uniformemente aceleradas en el último apartado de mi artículo publicado en el Zeitschrift für Radioaktivität».
Einstein se estaba refiriendo aquí a su primer intento, publicado en 1907, de desarrollar una teoría relativista de la gravitación basada en el principio de equivalencia, intento que según vimos apareció como parte de su artículo en el Jahrbuch der Radioaktivität und Elektronik de Johannes Stark, pero ¿por qué le parecía a Einstein que «el tratamiento de un cuerpo rígido en rotación uniforme» tenía «una gran importancia» para sus propósitos? Visto retrospectivamente, con el beneficio que da saber el producto final, la relatividad general, la respuesta es relativamente sencilla: según el principio de equivalencia, un sistema de referencia acelerado era equivalente a un campo gravitacional; en 1907, Einstein consideró un sistema de referencia acelerado uniformemente, pero el siguiente caso más sencillo era el de un sistema de referencia en rotación uniforme, el equivalente de un disco que gira.
El 22 de febrero de 1912, la revista Annalen der Physik recibió un artículo de Einstein titulado «La velocidad de la luz y la estática del campo gravitacional» en el que continuaba por la senda iniciada en el artículo de 1911 que ya comenté. Ahora bien, cuando se lee detenidamente este trabajo nos encontramos con unos pasajes interesantes (Einstein, 1912 a: 356):
Consideremos que el sistema de referencia K(coordenadas x, y, z ) está en un estado de aceleración uniforme en la dirección de la coordenada x […]. De acuerdo con la hipótesis de equivalencia, tal sistema K es estrictamente equivalente a un sistema en reposo de una clase específica en el que existe un campo gravitacional estático libre de masa. Supongamos que las medidas espaciales en K se realizan con reglas de medir que tienen —cuando se comparan entre sí en reposo en algún punto de K — la misma longitud; supongamos también que los teoremas de la geometría [euclidea] son válidos para longitudes que se miden de esta forma y por consiguiente también para las relaciones existentes entre las coordenadas, x, y,z , y para otras longitudes. Esta estipulación no es permisible automáticamente, sino que contiene suposiciones físicas que en último caso pueden no ser válidas. Por ejemplo, muy probablemente no se pueden mantener para un sistema que gira de forma uniforme en el cual, de acuerdo con la contracción de Lorentz, el cociente entre la circunferencia de un círculo y su diámetro debe diferir de p si se usa nuestra definición de longitud. La regla de medir, lo mismo que los ejes de coordenadas, se deben tratar como cuerpos rígidos. Esto se puede hacer a pesar del hecho de que, de acuerdo con la teoría de la relatividad [especial], los cuerpos rígidos no pueden existir en realidad. Uno puede, sin embargo, imaginar el cuerpo rígido que utilizamos para medir sustituido por un gran número de pequeños cuerpos no rígidos alineados uno a continuación del otro de forma que ninguno de ellos ejerce ningún tipo de fuerza de presión sobre otro, ya que cada uno es mantenido en su lugar por separado.
Teorías gravitacionales antes de EinsteinEstá bastante extendida la creencia de que el estudio de la gravitación fue un tema al que los físicos, una vez aceptada la teoría newtoniana y salvo desarrollos de índole matemático, no prestaron ninguna atención hasta que, en 1915, Einstein formuló la teoría de la relatividad general. En este sentido, se considera la relatividad general un producto completamente extraño a todas las corrientes de investigación existentes en la física en la época, hecho que, por supuesto, contribuye a realzar aún más, dentro del folclore popular, la figura de Einstein con sus atributos de originalidad e independencia. Sin embargo, la historia no confirma estas creencias, lo que en absoluto disminuye un ápice la originalidad de la teoría que produjo Einstein. Existió en el periodo aproximado entre 1880 y 1911, una actividad significativa en torno a los problemas suscitados por el tratamiento cuantitativo de los fenómenos gravitacionales, actividad encaminada incluso hacia la reformulación de la ley de la gravitación universal de Newton, uno de los pilares de la física clásica. A continuación, obviando, salvo en un caso, las referencias, presento un esbozo de los principales desarrollos realizados en tal campo por físicos y matemáticos durante la generación anterior a Einstein.Astronomía, astrofísica y la teoría de la gravitación
En 1895, Simon Newcomb (1895) pasaba revista a los problemas que las observaciones realizadas de los movimientos de los cuerpos celestes presentaban a la ley de gravitación y dinámica newtonianas. Su lista incluía esencialmente seis puntos:Entre todos estos puntos, los que atraían más la atención eran el primero y el quinto (el primero era conocido desde 1850, cuando Urbain Le Verrier estudió las perturbaciones producidas por otros planetas en Mercurio, encontrando que, debido a la atracción de los planetas conocidos hasta entonces, el perihelio de Mercurio debería girar 527" (527 segundos de arco) por siglo, mientras que lo que se observaba era superior a este valor en 38").
- La precesión del perihelio de Mercurio era, aproximadamente, 40 segundos de arco mayor que la prevista por la teoría newtoniana (y esto era treinta veces el error probable de cálculo).
- Los nodos de la órbita de Venus eran cinco veces más grandes que los errores probables de cálculo.
- El desplazamiento del perihelio de Marte era tres veces mayor que los posibles errores de cálculo.
- La excentricidad de la órbita de Mercurio era doble que los errores de cálculo.
- La existencia de una anomalía en el movimiento del cometa de Encke.
- Una pequeña irregularidad en el movimiento de la Luna.
Ahora bien, no es el reconocimiento de la existencia de unas ciertas anomalías lo que demuestra la vitalidad real de un campo de investigación, sino más bien la variedad de hipótesis que se manejan para eliminar dichas anomalías. Así tenemos que, en la época que nos interesa, se consideraban posibles razones que explicasen los movimientos del perihelio de Mercurio y del cometa de Encke las siguientes:
Posibles explicaciones para el movimiento del perihelio de Mercurio:
- La hipótesis, propuesta por Le Verrier en 1850, más utilizada normalmente era la de suponer la existencia de masas no descubiertas todavía en los alrededores de Mercurio.
- Un caso particular de 1) consistía en suponer la existencia de un planeta no descubierto todavía, cuya órbita estuviese entre las de Mercurio y el Sol. Sin embargo, Newcomb demostró teóricamente que aunque, en efecto, así se podrían explicar los valores que se observaban para el desplazamiento del perihelio de Mercurio, se tendría por otra parte que las perturbaciones que este nuevo planeta introduciría en las órbitas de otros planetas serían irreparables. Este hipotético planeta (denominado Vulcano) nunca fue observado a pesar de los repetidos esfuerzos realizados.
- Una segunda variante de 1) era suponer que la masa no observada se encontraba en bandas de polvo interestelar. Hugo von Seeliger, un muy influyente astrónomo de Münich, propuso en 1906 esta hipótesis, sobre la que ya había especulado varios años antes. A pesar de la falta de corroboración experimental, Seeliger no abandonó su teoría, considerándola, después de 1915, una alternativa a la teoría de la relatividad de Einstein.
- Otra hipótesis utilizada consistía en suponer que el Sol no era perfectamente esférico. Esta posibilidad fue rechazada en 1895 por François Félix Tisserand y por Newcomb, aunque sería resucitada periódicamente después de 1900.
El movimiento del cometa de Encke.
Este cometa fue descubierto en 1786 por Pierre Méchain y observado sistemáticamente, entre 1829 y 1854, por Johann Franz Encke quien, además, calculó que su periodo era de 3,3 años. Ahora bien, después de observar el cometa durante varios años, Encke llegó a la conclusión de que su periodo y su órbita se iban haciendo cada vez menores. Como hipótesis para subsanar esta anomalía, en 1880 Encke y Theodor von Oppolzer y, con una variante, Jöns O. Backlund en 1910, propusieron la existencia de un medio a lo largo de la órbita recorrida por el cometa. Este medio produciría un efecto de «frenado» en el cometa con lo que se podrían explicar los valores observados. Se sugirió incluso que tal medio podía ser el «éter luminífero».La velocidad de propagación de la gravitación
A pesar del prestigio acumulado por la teoría de la gravitación universal de Newton, el hecho de que ésta fuese una teoría de acción (instantánea) a distancia, es decir, que no necesitase de ningún medio para que la interacción gravitatoria se propagase, fue algo que nunca pudo ser aceptado totalmente por los estudiosos de la gravitación. De hecho, el que la ley de fuerzas newtoniana dependiese de la distancia relativa entre los cuerpos en interacción parecía indicar que, en algún nivel de explicación más profundo, debería aparecer un medio sobre el que se pudiese propagar, con velocidad finita, la interacción gravitatoria. Un intento notable en este sentido fue el llevado a cabo en 1805 por Pierre-Simon de Laplace, quien en uno de los libros (el X, capítulo VII, párrafo 22) de su Mécanique Céleste comentó acerca de la posibilidad de que la gravitación fuese en realidad producida por el impulso que un «fluido gravitacional», fluyendo con una velocidad dirigida hacia el centro de atracción. De esta manera, obtuvo un valor para la velocidad de la luz tan grande, que concluyó que, en la práctica, se podía considerar como infinita.
Fue únicamente a partir de los alrededores de 1880, cuando se puede decir que prácticamente ningún científico argumentaba a priori que la gravitación se debía propagar con velocidad infinita. No tiene en realidad nada de extraño que, en una época en la que ya se habían contemplado los trabajos de Faraday y Maxwell y en la que los fenómenos electromagnéticos eran objeto de atención preferente, se considerase como natural el que la velocidad de propagación de la interacción gravitatoria fuese, al menos, igual a la velocidad de la luz. En este sentido, no se puede decir que todo el contenido de la relatividad general constituyese una sorprendente novedad para la mayoría de los físicos de la época.
Una breve lista de científicos que utilizaron la hipótesis de una velocidad finita de propagación de la interacción gravitatoria, incluye a Theodor von Oppolzer en 1883 para estudiar las anomalías del cometa de Encke, y a Josef von Hepperger, que en 1889 se sirvió de las anomalías existentes en ciertas órbitas planetarias para calcular —suponiendo que la ley de la gravitación universal de Newton era exacta— que la gravitación se propagaba con una velocidad de, al menos, quinientas veces la velocidad de la luz.
Por otra parte, utilizando los datos que se tenían del movimiento de la Luna, Rudolf Lehmann-Filhès estableció, entre 1894 y 1896, que un límite inferior para la velocidad de propagación de la gravitación era 106 veces la velocidad de la luz. Por el contrario, en 1900 Karl Schwarzschild y Hermann Minkowski en 1908, hicieron cálculos suponiendo que la gravitación se propagaba con la misma velocidad que la luz. No estaban de acuerdo con esto ni Henri Poincaré ni Walter Ritz, siendo la estimación del primero (en cálculos realizados en 1908) que era igual o menor que la velocidad de la luz, mientras que el segundo aceptaba, en 1909, los valores dados por Laplace.
La conclusión es inmediata: la idea de una velocidad finita para la propagación de la interacción gravitatoria estaba ya bastante extendida con anterioridad a 1910 y el interés que dicha idea suscitó aumentó muy considerablemente después de 1911, dentro del contexto de la respuesta a la teoría de la relatividad especial.La ley de gravitación
Otra posibilidad, diferente de las mencionadas, para resolver los problemas que ocasionaban a la teoría newtoniana las anomalías existentes era la de estudiar posibles alternativas a la ley de la gravitación universal de Newton. Esto fue algo que, a pesar de todo, se intentó relativamente poco, especialmente en lo que se refiere a buscar leyes de fuerzas radicalmente diferentes a la newtoniana, no simples correcciones, como vimos hizo Laplace. Entre los pocos que realizaron estudios en esta dirección se encuentran Hugo von Seeliger en 1895 y 1896 y Carl Neumann en 1896. El punto de partida de ambos fue el reconocer que si se supone que el universo newtoniano (que se consideraba además estático) tiene una extensión infinita y no está vacío (densidad de materia finita), la fuerza gravitatoria en cada punto no está definida (aparecen infinitos). Para evitar este problema Seeliger y Neumann propusieron que se sustituyese el potencial newtoniano, Φ = – (Gm/r), pordonde Φ era una constante muy pequeña, cuya integral permanece finita.
De hecho, esta expresión había sido tomada con anterioridad por Asaph Hall, quien demostró que con ella se podían explicar las anomalías existentes en las medidas del movimiento del perihelio de Mercurio.Masa inercial y masa gravitatoria
Ya he mencionado algunas de las críticas que Ernst Mach realizó a la mecánica newtoniana. Una de ellas, a la que volveré al aludir a lo que Einstein denominó «principio de Mach», tenía que ver con la igualdad de las masas inercial y gravitacional. «La experiencia de Newton con el vaso de agua que gira —escribió Mach (1949: 196-197) — nos enseña simplemente que la rotación relativa del agua respecto de las paredes del vaso no despierta ninguna fuerza centrífuga efectiva, pero que ésta es, en cambio, provocada por la rotación relativa respecto de la masa de la Tierra y de los demás astros». Y un poco más adelante (Mach, 1949: 197-198):El comportamiento de los cuerpos terrestres respecto de la Tierra, se puede reducir a su comportamiento respecto de los lejanos cuerpos celestes. Querer afirmar que de los cuerpos móviles conocemos algo más de lo que denuncia la experiencia respecto de su hipotético comportamiento frente a los cuerpos celestes, es hacernos culpables de una falsedad. Cuando decimos que un cuerpo mantiene su dirección y su velocidad en el espacio, con eso simplemente expresamos, en una forma abreviada, una observación sobre todo el Universo.Lo que Mach estaba intentando era definir, en una forma que tiene mucho de cosmológica, la masa inercial, m I. Rechazaba la idea de que «masa» fuese sinónimo de «cantidad de materia». Para él la propiedad llamada «inercia» se definía como una «relación funcional» entre un par arbitrario de partes de un sistema material. En particular, si eran las fuerzas gravitatorias las que producían inercia, ya que toda masa gravitacional, mG, del Universo interacciona con toda otra mG, la inercia de una masa particular, esto es, mI, se puede considerar como una mera manifestación de la forma en que está distribuida el resto de la materia del Universo.
Las ideas de Mach relativas a la masa inercial influyeron de forma considerable no sólo a Einstein sino también en: a) círculos positivistas (filósofos especialmente), y b) algunos físicos como, por ejemplo, René de Saussure, quien en 1904 desarrolló una teoría en la que, introduciendo un campo gravitatorio de intensidad F, se obtenía a partir del teorema de Gauss la expresiónsiendo ds el elemento de superficie de una superficie que encierra al cuerpo en cuestión. Como características positivas de esta expresión estaban el que, obviamente, proporcionaba la masa inercial en función del campo gravitatorio, pero también el que conducía a la ley de la gravitación universal de Newton.
Electrodinámica y gravitación
Habida cuenta de que la importancia que el electromagnetismo tuvo durante la segunda mitad del siglo XIX y las primeras décadas del XX, no es sorprendente que una buena parte de los intentos realizados para resolver los problemas con que se encontraba la teoría newtoniana de la gravitación se basasen en las distintas teorías electromagnéticas que, con el triunfo final de la de Maxwell, pugnaron por describir correctamente los fenómenos electromagnéticos.
En lo que se refiere a la génesis de la relatividad general, un aspecto importante de esta asociación entre gravitación y electrodinámica es que, al aceptarse finalmente que la teoría que describía correctamente los fenómenos electromagnéticos era una teoría de campos (la de Maxwell), se preparaba el camino hacia una explicación de los fenómenos gravitacionales basada en una formulación de campos, como ocurre con la relatividad general. Pero pasemos a comentar los principales desarrollos que tuvieron lugar.
Bajo la influencia de las ideas —una electrodinámica de acción a distancia— que, en electromagnetismo, defendía Wilhelm Weber, los astrónomos comenzaron a pensar en modificar la ley de Newton, añadiendo términos que dependiesen de las velocidades de los cuerpos involucrados (Weber había hecho lo propio con la ley de Coulomb). Así, en 1870 F. G. Holzmüller hizo algo muy natural teniendo en cuenta la analogía formal que existe entre las leyes de Newton y de Coulomb: suponer que la ley de gravitación tenía la misma forma que la ley de Weber para la electrodinámica; se tenía así entonces como fuerza gravitacionalMás tarde François Tisserand utilizaría esta expresión para estudiar los movimientos de algunos planetas (así explicaba 14" de arco por siglo de la anomalía en el movimiento del perihelio de Mercurio).
Algo parecido hicieron O. Liman y M. Lévi en 1886 y 1890, respectivamente. La única diferencia real es que ellos partieron de una ley electromagnética que había sugerido Bernhard Riemann, con lo que teníandonde r1 y r2 denotan los radios vectores de m1 y m2. La ley de Riemann-Liman-Lévi explicaba 28" de la anomalía en el perihelio de Mercurio, es decir, 3/4 del valor observado frente a los 3/8 que se obtenían con la ley de Weber. Fue, finalmente, Lévi quien encontró una ley de fuerzas que conducía al valor exacto observado para el movimiento del perihelio de Mercurio.
En realidad, el primer intento de formular una teoría gravitacional de campos, basándose en ideas o analogías electromagnéticas, lo hizo en 1846 el propio Maxwell, quien después de descubrir que atracciones y repulsiones eléctricas y magnéticas eran debidas a la acción de un éter (o campo) electromagnético y que además eran proporcionales al inverso del cuadrado de la distancia, se preguntó si la gravitación, que depende de la distancia en la misma forma, no se debería a la acción de un medio semejante. Ahora bien, existe una diferencia fundamental entre la interacción electromagnética y la gravitatoria: en la última, los cuerpos involucrados son de la misma clase, existe sólo atracción, mientras que en la primera existen dos tipos o signos y, por consiguiente, repulsión además de atracción. Maxwell intentó resolver este problema, pero finalmente abandonó sus esfuerzos.
En 1897, August Föppl, que evidentemente no compartía la repulsión que sentía Maxwell por grandes energías intrínsecas en el éter, intentó formular una teoría en la que masas positivas y negativas tomasen el lugar de cargas positivas y negativas. Föppl fue capaz de demostrar que la fuerza que actúa entre dos masas puntuales era la exigida por la ley de la gravitación universal de Newton. No obstante, sus ideas no atrajeron muchos seguidores debido, es de suponer, a las masas negativas involucradas.
Otros intentos de construir una teoría de gravitación basada en el electromagnetismo fueron llevados a cabo por H. A. Lorentz y W. Wien, ambos en 1900, y por F. Wacker y A. Wilkens, en 1906. Lorentz suponía que la fuerza eléctrica de atracción entre cargas de signo distinto era ligeramente superior a la de repulsión entre cargas de igual signo; así, podía recuperar la ley de Newton pero no explicar el desplazamiento del perihelio de Mercurio. Wien discutió lo plausible de la idea de Lorentz, dentro del contexto de la teoría del electrón, donde la masa inercial se consideraba de origen totalmente electromagnético. Seguían también las líneas marcadas por la teoría del electrón los trabajos de Wacker y Wilkens.
No lo decía explícitamente, pero es obvio que el caso que estaba considerando es equivalente a un disco que gira de manera uniforme. Y también está claro que la contracción de longitudes que se derivaba de la teoría de la relatividad especial implicaba que si se consideraba el perímetro del disco formado por una serie de reglas rígidas infinitesimales, entonces ese perímetro se contraía, y como en la dirección radial, perpendicular al movimiento, la relatividad de 1905 no predecía contracciones, el disco se tenía que deformar. La conclusión podía ser: un sistema de referencia en rotación deforma la geometría del disco, pero, según el principio de equivalencia, un sistema de referencia acelerado es igual a un campo gravitacional, luego se puede concluir que la gravedad deforma el espacio.
Por supuesto, en aquel momento, Einstein no tenía las ideas tan claras. Al fin y al cabo, se trataba de un experimento mental, en el que intervenían elementos tan cuestionables como cuerpos rígidos (las reglas) en relatividad especial, un problema por entonces discutido, pero el experimento mental decía algo. Aun así, en ninguno de los artículos que publicó en 1912, mientras estaba en Praga, hay referencias de espacios no planos. Encontramos un indicio de que la anterior reconstrucción es correcta en una carta que Einstein envió antes del 20 de junio de 1912 a Ehrenfest (CPAE, 1993: 485-486):
Todavía no comprendo el teorema de campos gravitacionales del que me habla. Debe explicármelo con más claridad. Para hacérselo más fácil a usted, le estoy enviando mis artículos sobre gravitación, los últimos que no tiene. Según éstos, parece que el principio de equivalencia puede ser válido únicamente para campos infinitamente pequeños […]. Un anillo que gira no genera un campo estático en este sentido, incluso aunque sea un campo invariante temporalmente. Mi caso corresponde al campo electrostático en la teoría de la electricidad, mientras que el caso estático más general incluiría también el análogo de un campo magnético estático. Todavía no he llegado tan lejos.En otras palabras, su discusión de los campos gravitacionales estáticos correspondía al caso electrostático en la teoría electromagnética, mientras que lo que él llamaba el «caso estático más general» incluiría el análogo de los campos magnetostáticos. Mencionaba el «anillo que gira» como un ejemplo de un sistema que genera tales campos no estáticos pero sí independientes del tiempo, es decir, después de haber estudiado el caso estático, Einstein se disponía a atacar (y esto era también a lo que en buena lógica estaba obligado) lo que nosotros llamamos caso estacionario. Esto lo llevó (ahora con una necesidad prácticamente ineludible) al problema del disco que gira, el caso más sencillo de campo gravitacional estacionario. Nótese, asimismo, que Einstein había comprendido por fin que el principio de equivalencia era válido sólo localmente.
Que yo sepa, no existe ningún artículo o carta escrito antes de 1916 en los que Einstein volviese a discutir el problema del disco (o sistema de referencia) que gira. Cuando por fin lo hizo fue después de haber llegado a la formulación definitiva de las ecuaciones del campo gravitatorio; la ocasión fue el artículo fundamental de 1916 en el que presentó de manera completa la nueva teoría relativista de gravitación que acababa de completar el año anterior. Se titulaba «Los fundamentos de la teoría general de la relatividad» y allí Einstein presentó de forma coherente y global la teoría. Los párrafos que nos interesan, muy parecidos a los ya citados de 1912, son los siguientes (Einstein, 1916 a: 774-775):
En un espacio libre de campos gravitacionales introducimos un sistema galileano de referencia K (x, y,z,t)y también un sistema de coordenadas K' (x', y', z', t')en rotación uniforme en relación con K. Hagamos que los orígenes de ambos sistemas, lo mismo que sus ejes z , coincidan permanentemente. Demostraremos que para una medida espacio-temporal en el sistema K' no se puede mantener la anterior definición [dentro del contexto de la relatividad especial] para el significado físico de longitudes y tiempos. Por razones de simetría es evidente que a un círculo centrado en el origen del plano x,yen K, se le puede considerar al mismo tiempo un círculo en el plano x', y'de K' . Supongamos que la circunferencia y el diámetro de este círculo se miden con una unidad de medida infinitamente pequeña comparada con el radio y que tenemos el cociente de los dos resultados. Si este experimento se realizara con una regla de medir que estuviese en reposo con respecto al sistema galileano K, el cociente sería p. Con una regla de medir en reposo con respecto a K', el cociente sería mayor que p . Esto se entiende fácilmente si consideramos el proceso completo de medir desde el sistema «estacionario» K , y tomamos en cuenta que la regla de medir que colocamos en el perímetro experimenta una contracción lorentziana, mientras que la colocada sobre el radio no. Por consiguiente, la geometría euclidea no vale para K' . Por tanto, la noción de coordenadas definida con anterioridad, que presupone la validez de la geometría euclidea, deja de ser correcta en relación con el sistema K'.Hasta ahí las consideraciones de Einstein afectaban únicamente a medidas espaciales, pero no sólo eran éstas las que sufrían modificaciones en presencia de campos gravitacionales, otro tanto ocurría con las medidas temporales, como se apresuraba a indicar (Einstein, 1916 a: 775):
De la misma forma somos incapaces de introducir un tiempo que corresponda a requisitos físicos en K', y que se mida en relojes en reposo con respecto a K' . Para convencernos a nosotros mismos de esta imposibilidad, imaginemos dos relojes de construcción idéntica colocados, uno en el origen de coordenadas y el otro en la circunferencia del círculo, y ambos considerados desde el sistema «estacionario» K . Debido a un resultado familiar de la teoría de la relatividad especial, el reloj en la circunferencia va, juzgado desde K , más despacio que el otro, ya que el primero está en movimiento y el último en reposo. Un observador situado en el origen de coordenadas común y que sea capaz de observar el reloj de la circunferencia mediante luz, lo vería, por consiguiente, retrasado con respecto al reloj colocado al lado suyo. Como [este observador] no se decidirá a dejar que la velocidad de la luz dependa explícitamente del tiempo a lo largo del camino en cuestión, interpretará sus observaciones en el sentido de que el reloj de la circunferencia va «realmente» más despacio que el reloj situado en el origen. Por tanto, se verá obligado a definir el tiempo de forma que el pulso del reloj dependa del lugar dónde esté.Aunque en estas líneas Einstein no utilizaba la expresión «disco rígido que gira», no parece haber duda de que éste estaba en la mente de Einstein al escribirlo. Para confirmar esta impresión basta con echar un vistazo a su libro de carácter generalÜber die spezielle und die allgemeine Relativitvätstheorie (Sobre la teoría especial y general de la relatividad) publicado en 1917. En él Einstein (1917 b: 53-54) afirmaba que «para fijar nuestras ideas, imaginaremos que K' tiene la forma de un disco circular plano, que gira de forma uniforme y en su propio plano, alrededor de su centro» (esto es, «disco que gira» y «sistema de referencia en rotación» pueden utilizarse como términos sinónimos). Además, concluía que «las proposiciones de la geometría euclídea no pueden mantenerse en forma exacta en el disco que gira, ni en general en un campo gravitacional, al menos si atribuimos la longitud 1 a la regla [de medir] en todas las posiciones y para cualquier orientación» (Einstein, 1917 b: 56).
En resumen, queda claro a través de las citas que he venido presentando que el hecho de que consideraciones propias de relatividad especial llevasen a Einstein a la conclusión de que en un disco que gira la geometría no es euclídea, unido al principio de equivalencia, constituyeron el primer estadio en el proceso de determinar cuál debía de ser el marco geométrico sobre el que se construiría más tarde la relatividad general.
No obstante, todavía falta mencionar otro elemento importante en la génesis de la relatividad general, uno que también desarrolló Einstein mientras estuvo en Praga. Se trata de la formulación cuatridimensional de Minkowski.
Durante algunos años, como ya indiqué, Einstein fue muy crítico de la presentación que Minkowski hizo de la relatividad especial, presentación que consideraba un mero formalismo desprovisto de interés físico. Sin embargo, su actitud cambió hacia 1911, año en el que durante una conferencia titulada «La teoría de la relatividad» y pronunciada en la reunión de Científicos de la Naturaleza celebrada en Zúrich, expresaba lo siguiente (Einstein, 1911: 14):
Finalmente, unas pocas palabras acerca de la extremadamente interesante dirección matemática que ha sido dada a la teoría [de la relatividad especial] principalmente a cargo del matemático Minkowski, que por desgracia murió demasiado pronto […]. El uso continuado de esta igualdad formal [de las coordenadas espaciales con la coordenada temporal] ha conducido a una exposición extremadamente perspicaz de la teoría de la relatividad que facilita grandemente sus aplicaciones. Los sucesos físicos se representan en un mundo de cuatro dimensiones, y las relaciones espacio-temporales entre ellos vienen representadas en este mundo cuatridimensional por teoremas geométricos.El motivo de este cambio de actitud por parte de Einstein residió en el descubrimiento, que hizo público en 1912 (Einstein, 1912 b), de que la formulación cuatridimensional variacional de las ecuaciones de movimiento de una partícula libre en la teoría de la relatividad especial, que Planck (1906) había encontrado en 1906
dδds = 0
(donde ds2 = c2dt2 – dx2 – dy2 –dz2 es el intervalo minkowskiano), continuaba siendo válida en la teoría de los campos gravitacionales estáticos, que como acabamos de ver estaba tratando de desarrollar de forma heurística, si se considera a la velocidad de la luz como una función de las coordenadas espaciales, c(x, y, z). Si esto es así, se tomaba como intervalo: [157]ds2 = c2(x, y, z) dt2 – dx2 –dy2 – dz2
Einstein (1912 b: 458) incluyó este comentario en una nota añadida en pruebas, que terminaba diciendo: «La ecuación hamiltoniana [dδds = 0] nos da una idea de cómo se pueden construir las ecuaciones de movimiento de un punto material en un campo gravitacional dinámico».§. Adiós a Praga
Muy poco después de llegar a Praga, algunos colegas y amigos suyos de Zúrich comenzaron a impulsar la idea de que el creador de la relatividad abandonase Praga por una cátedra en el Politécnico, su alma mater. Pierre Weiss, catedrático en la ETH y distinguido experto en paramagnetismo y ferromagnetismo, tuvo la idea de dirigirse a dos de los científicos más conocidos y respetados del momento para saber qué opinaban de Einstein, con la intención de incluir sus respuestas en el informe que finalmente debía llegar al Departamento Federal del Interior suizo. Los científicos elegidos fueron Henri Poincaré y Marie Curie. El informe que ésta preparó el 17 de noviembre de 1911 sirve para hacerse una idea de lo que opinaba entonces la élite de la física mundial: [158]
He admirado mucho los trabajos que han sido publicados por Einstein sobre las cuestiones que tocan la física teórica moderna. Creo, además, que los físicos-matemáticos están de acuerdo en considerar que estos trabajos son sin duda de primer orden. En Bruselas, donde he asistido a un consejo científico del que Einstein formaba parte, he podido apreciar la claridad de su espíritu, la extensión de su información y la profundidad de sus conocimientos. Si se considera que Einstein es todavía muy joven, se tiene derecho a abrigar en él las más grandes esperanzas y a ver en él uno de los primeros teóricos del futuro. Pienso que una institución científica que dé a Einstein los medios de trabajo que él desea, llamándolo, por ejemplo, a ocupar una cátedra en las condiciones que merece, se verá grandemente honrado por tal decisión y prestará ciertamente un gran servicio a la ciencia.
La recomendación de Poincaré decía lo siguiente:
Mi querido colega:Eran, está claro, recomendaciones muy elogiosas hechas por dos científicos mundialmente reconocidos. A su viejo amigo y compañero de estudios Marcel Grossmann le escribía el 18 de noviembre (CPAE, 1993: 351): «Estoy casi decidido a aceptar un puesto para enseñar Física Teórica en tu Politécnico [Grossmann era profesor en la ETH]. La idea de regresar a Zúrich me hace extremadamente feliz. Esta posibilidad me indujo hace unos pocos días a rechazar una oferta de la Universidad de Utrecht».
El señor Einstein es uno de los pensadores más originales que he conocido en mi vida. A pesar de su juventud, ya ha alcanzado un lugar muy honorable entre los mejores sabios de su edad. Lo que uno admira de él sobre todo es la facilidad con la que se adapta a nuevos conceptos y sabe extraer de ellos todas las posibles conclusiones. No ha permanecido atado a los principios clásicos y, cuando se enfrenta a un problema de física, rápidamente vislumbra todas sus posibilidades. Un problema que entra en su mente se manifiesta en la anticipación de nuevos fenómenos que pueden ser verificados experimentalmente algún día. No quiero decir que todas estas anticipaciones superarán la prueba del experimento el día que tal prueba sea posible. Por el contrario, como busca en todas las direcciones se debe esperar que muchos de los caminos que toma sean sendas cerradas. Pero uno debe esperar al mismo tiempo que una de las direcciones que ha indicado pueda ser la correcta y esto es suficiente. Así es, de hecho, como se debería proceder. El papel de la física matemática es preguntar las cuestiones correctas, y sólo los experimentos pueden resolverlas.
Efectivamente, le ofrecieron la cátedra en la ETH. La semana del 19 al 25 de diciembre de 1911, se entrevistaba con el presidente de la ETH, Robert Gnehm, para ultimar los detalles de su puesto y el 30 de enero de 1912 fue nombrado catedrático de su antigua alma mater con un salario anual de once mil francos. El 25 de julio, después de cumplir con sus últimas tareas académicas, abandonaba Praga con su familia con dirección a Zúrich.
Un detalle que muestra el prestigio creciente que Einstein estaba alcanzando en la comunidad científica internacional es que poco después también recibió otra oferta, ésta procedente nada más y nada menos que de Leiden. El 13 de febrero de 1912, el mismo Lorentz le escribía comunicándole que iba a dejar su cátedra en Leiden por un puesto en Haarlem y que, con el visto bueno de la Facultad, deseaba que Einstein fuese su sucesor. El 18 de febrero, Einstein le contestaba contándole que había aceptado una cátedra en Zúrich, « ¡y ahora el más admirado y más querido hombre de nuestra época me ofrece un lugar cerca de él!». «Sin embargo —añadía—, ocupar su cátedra sería algo extremadamente opresivo para mí.

Las familias Einstein y Curie de vacaciones conjuntas en 1913 en Engadine y Flims, en los Alpes suizos. Detrás (de izda. a dcha.), Einstein, Marie Curie y su hija mayor, Irène; delante, la señorita Nanley, gobernanta de la familia Curie, Ève, la hija pequeña de Marie, y Hans Albert Einstein.
Cuando quedó claro que Einstein abandonaba Praga por Zúrich, como era preceptivo, se constituyó un comité para recomendar quién debía ocupar la cátedra que dejaba vacante. El comité estaba compuesto por Anton Lampa, George Pick y el propio Einstein. Su recomendación fue, por este orden, Philipp Frank, Paul Ehrenfest y Emil Kohl (un hombre ya mayor, Privatdozent en Viena desde 1903, que ya había sido el tercer candidato cuando Einstein había sido elegido el año anterior). El informe que redactaron —seguramente escrito por Einstein— incluía una descripción muy elogiosa del trabajo de Frank en relatividad. Ehrenfest quedó fuera de toda consideración al declararse konfessionslos, «sin afiliación religiosa») y no parece que se valorase mucho a Kohl, quien obtuvo una década después una cátedra en Viena. [159]
§. Exposición de razones para abandonar Praga
Para hacer comprensibles cuáles eran sus motivos para abandonar Praga y también, no hay duda, para evitar dejar una mala impresión, el 3 de agosto de 1913, ya desde Zúrich, Einstein preparó un escrito que merece la pena reproducir (CPAE, 1993: 499-500):
Intenté hacer una declaración sobre mi salida de Praga hace algún tiempo, cuando emergieron noticias diversas en Praga, y me refrené de hacerlo únicamente porque no quería hacer de ello una cuestión pública por iniciativa propia. Debo resaltar que no tenía razones para no estar contento en Praga. Acepté de buena gana el nombramiento en Praga porque por entonces tenía un puesto aquí, en Zúrich, que era aproximadamente equivalente al Extraordinariat austriaco y estaba muy mal retribuido, mientras que como sucesor del catedrático Lippich, se me ofreció una cátedra en Praga, en una magnífica área de trabajo. El Ministerio fue extremamente amable y servicial en lo que a mi nombramiento se refiere y tampoco tuve dificultad alguna con las autoridades educativas a lo largo de mi trabajo en Praga; todo lo contrario, todo tipo de cuestiones menores, incluyendo también las de naturaleza económica, se tomaron siempre en consideración de acuerdo a mis deseos. Mi instituto de Praga era completamente adecuado para mis objetivos y estaba satisfactoriamente equipado en todos los aspectos. Por cierto, no es verdad que un magnífico y ricamente dotado instituto físico se esté montando aquí, en Zúrich, en especial para mí. Sólo he encontrado aquí cosas que ya existían y, al fin y al cabo, un instituto es poco importante para un físico teórico; él debe llevar su instituto en su cabeza y, como mucho, lo máximo que necesita son unos cuantos libros. Mi decisión de abandonar Praga se debe simplemente al hecho de que al marcharme de Zúrich prometí que volvería gustosamente bajo condiciones aceptables. Ahora tengo una buena posición docente aquí, que se corresponde con la de un catedrático ordinario en Austria y, además de mi promesa anterior, las únicas otras cosas que me motivaron especialmente a aceptar el nombramiento, son las condiciones de vida más favorables que distinguen a Zúrich de Praga. Y no estoy haciendo alusión a la situación en Praga con respecto a las nacionalidades, lo que nunca me afectó ni supuso inconveniencia alguna para mí, sino simplemente a la situación favorable de la ciudad de Zúrich, próxima al lago y las montañas, lo que la convierte en muy atractiva para un padre de familia. Éstas son las razones verdaderas de mi marcha de Praga. A pesar de todas las suposiciones, no experimenté ni noté prejuicio religioso alguno. Además, no creo que tales consideraciones se tengan en cuenta y mi opinión se ve confirmada por el hecho de que el Privatdozent doctor Frank de Viena, que es, sin duda, uno de los más capaces jóvenes austriacos, vaya a ser mi sucesor.
Capítulo 13
Zúrich (1912-1914): Gravitación y Geometría no euclídea
§ . Geometría riemanniana para una teoría relativista de la gravitaciónComo vimos, el 25 de julio de 1912 Einstein llegaba a Zúrich como catedrático en la ETH. Al igual que en Praga, no permaneció mucho tiempo allí, pero durante su estancia tuvieron lugar acontecimientos muy importantes en su vida, tanto en el plano científico como en el plano personal.
§. La geometría riemanniana
§. El Entwurf de Einstein y Grossmann
§. Problemas personales, divorcio y nuevo matrimonio
§. Oferta de Berlín
§. Geometría riemanniana para una teoría relativista de la gravitación
Aunque el problema del disco que gira alertó a Einstein de que existían problemas con la geometría euclídea para que ésta fuese el marco para la teoría relativista de la gravitación que estaba buscando, en ninguno de los artículos que publicó hasta 1912 incluido, aparece algún intento de ir más allá de la geometría plana. Algo menos de un año después de haberse instalado en Zúrich, hacia finales de junio de 1913, se publicaba un trabajo firmado por Einstein y su viejo amigo Marcel Grossmann, que ambos habían enviado antes del 28 de mayo a la editorial Teubner de Leipzig (no apareció de la manera habitual, en una revista científica, sino como una pequeña, 38 páginas, monografía). Se titulaba Entwurf einer Verallgemeinerten Relativitätstheorie und einer Theorie der Gravitation ( Esbozo de una teoría generalizada de la relatividad y de una teoría de la gravitación ). Era, es, un trabajo de dimensión histórica, porque en él, por primera vez, se recurría a la geometría no euclídea que había sido desarrollada a lo largo del siglo XIX. No contenía la formulación definitiva de lo que, dos años más tarde, sería la teoría de la relatividad general, pero se había identificado el marco matemático, la variedad cuatridimensional, el espacio-tiempo, que ésta utilizaría.
En ocasiones, se producen circunstancias afortunadas, fortuitas, que intervienen en la historia, ya sea en la que denominamos «historia general» o en la historia de la ciencia. La aparición de la geometría riemanniana en la génesis de la teoría de la relatividad general fue uno de esos casos. Quizá Einstein, que en modo alguno carecía de habilidades matemáticas, habría terminado aprendiendo lo necesario de geometría riemanniana (no ignoraba la existencia de la más elemental geometría gaussiana), pero su traslado a Zúrich, donde se encontró con un viejo amigo, Grossmann, que conocía bien esa rama de la matemática, facilitó todo. [160] De hecho, mucho antes, en 1904, Einstein supo de esos conocimientos a través de su antiguo compañero de estudios. El 6 de abril de aquel año, había escrito a Grossmann (CPAE, 1993: 25):
Querido Marcel:En el capítulo 12 ya cité un pasaje del prefacio a la edición checa (1923) del libro de divulgación sobre las teorías especial y general de la relatividad que Einstein escribió. Ahora es oportuno repetir una parte del contenido de aquella cita: «la idea decisiva de la analogía entre la formulación matemática de la teoría y la teoría gaussiana de superficies sólo me llegó en 1912, después de regresar a Zúrich, sin ser consciente entonces del trabajo de Riemann, Ricci y Levi-Civita. Fue mi amigo Grossmann quien me llamó la atención sobre esto».
Aunque con retraso, permíteme felicitarte con todo mi corazón por tu hijo y agradecerte que me hayas enviado tu último artículo, que estudiaré tan pronto como pueda encontrar algún tiempo para dedicarlo a la geometría no euclidea. Tus soluciones parecen simples y elegantes.
Existe una notable similitud entre nosotros. El mes próximo también nosotros vamos a tener un niño. Y tú también recibirás un artículo mío, uno que he enviado a los Annalen de Wiedemann hace una semana. Tú tratas la geometría sin el axioma de las paralelas y yo trato la teoría atómica del calor sin la hipótesis cinética.
Es posible, asimismo, que en el trasfondo de su memoria quedase algún recuerdo de las clases de Carl F. Geiser sobre geometría infinitesimal a las que había asistido en la ETH, en las que se trató de la fórmula gaussiana del elemento de línea, aunque es oportuno recordar también que Einstein utilizó las notas que Grossmann había tomado de aquel curso.
Recordemos también otra cita que ya utilicé, extraída de una carta que en octubre de 1912 escribía a Sommerfeld:
Ahora me estoy ocupando exclusivamente del problema de la gravitación y creo que, con la ayuda de un matemático local que es amigo mío, seré capaz de dominar todas las dificultades. ¡Pero una cosa es segura y es que nunca en toda mi vida he luchado tan duramente y que me ha sido imbuido un gran respeto por las matemáticas, cuyas partes más sutiles yo había, en mi estrechez de miras, considerado hasta ahora como puro lujo! Comparado con este problema, la teoría de la relatividad original [es decir, la relatividad especial] es un juego de niños.La tarea a la que se estaba enfrentando era, ciertamente, hercúlea.
§. La geometría riemanniana
Durante siglos, la geometría clásica establecida en los Elementos de Euclides, esto es, la geometría de los espacios bi- o tri-dimensionales planos, sufrió un problema: el quinto postulado, el que afirma que por un punto exterior a una recta sólo puede pasar una paralela a ésta. Los repetidos esfuerzos encaminados a demostrar que ese postulado era una pieza superflua en la estructura de la obra, pudiendo deducirse de otros axiomas, llevaron, durante el primer tercio del siglo XIX, a la sorprendente conclusión de que no solamente era realmente independiente sino que de su negación no se deducían contradicciones, esto es, que se podía sustituir por otros postulados alternativos que conducían a geometrías diferentes de la euclídea, pero lógicamente correctas. Me estoy refiriendo a las geometrías asociadas sobre todo a los nombres de Carl Friedrich Gauss (1777-1855), quien, sin publicar sus resultados, durante sus estudios de superficies consideradas de manera intrínseca (esto es, sin suponer que están inmersas en un espacio de dimensión superior), llegó a la idea de espacios curvos, al del ruso Nicolai Ivanovich Lobatchevskii (1792-1856) y al del húngaro Janos Bolyai (1802-1860). Inicialmente, el descubrimiento de las geometrías no euclídeas —aquellas en las que no se cumplen propiedades tan familiares como la de que los ángulos interiores de un triángulo suman 180 grados— atrajo poco interés, pero una combinación de sucesos relanzó su estudio. En primer lugar, la publicación, entre 1860 y 1865, de la correspondencia de Gauss con su amigo, el astrónomo Heinrich C. Schumacher, con su referencia favorable al trabajo de Lobachevskii. En segundo lugar, la demostración del italiano Eugenio Beltrami (1835-1900), en 1868, de que la geometría de Lobachevsky podía interpretarse como la de una superficie de curvatura constante y negativa. Finalmente, se tiene la lección de habilitación que el germano Bernhard Riemann (1826-1866) pronunció en 1854:Über die Hypothesen welche der Geometrie zu Grunde liegen (Sobre las hipótesis en que se funda la geometría). Aunque Riemann leyó el texto de su habilitación al defenderla en 1854, éste no se publicó hasta después de su muerte, cuando Dedekin, en 1868, lo editó para los anales de la Academia de Ciencias de Gotinga.
Un punto importante es que, como ha señalado José Ferreirós (2000: XCV) en su edición de una selección de trabajos de Riemann, los trabajos de estos pioneros en la geometría euclídea hicieron que se produjera «un cambio revolucionario en la concepción del espacio. Hasta aquel momento, se pensaba que había plena identidad entre el espacio real y el espacio euclídeo. Se creía que la geometría de Euclides era la única posibilidad conceptual para la mente humana [recordemos las tesis sobre los a priori de Kant, entre los que figuraba el espacio euclídeo; JMSR], y que además ese espacio conceptualmente necesario y evidente era idéntico al espacio real […]. Ahora, al constatarse la posibilidad lógica de toda una gama de geometrías de Lobachevskii-Bolyai, se planteaba la posibilidad de que el espacio real, físico, fuera no euclídeo. Gauss, Lobachevskii, Bolyai y Riemann aceptaron plenamente esta posibilidad». Es apropiado, en este sentido, recordar cómo terminaba la habilitación de Riemann (1854, 2000 b: 16):
La decisión acerca de estas cuestiones [la geometría del espacio] sólo podrá encontrarse abandonando la anterior concepción de los fenómenos, bien contrastada en la experiencia, cuya base fue establecida por Newton, y reformándola poco a poco merced a los hechos que no permite explicar. Así, investigaciones que, como la aquí desarrollada, parten de conceptos generales, sólo pueden servir para que dicho trabajo no se vea entorpecido por las limitaciones de los conceptos y para que los prejuicios transmitidos no impidan el avance del conocimiento de las conexiones entre las cosas.Esto nos lleva al dominio de otra ciencia, al terreno de la física, en el que, dada la naturaleza de la ocasión en que hoy nos encontramos, no podemos penetrar.
En honor a Riemann, se habla de «espacios riemannianos», refiriéndose a una clase muy general de espacios de n-dimensiones, que engloban, como un caso particular, los familiares espacios «planos» de tres dimensiones estudiados por Euclides que tan bien se ajustan a nuestras experiencias sensoriales comunes. Expresado de manera muy sucinta y limitada, se puede definir la geometría riemanniana como aquella en la que el elemento infinitesimal de línea (distancia)
ds2 = gαβ (xµ)·dxa· dxβ
(donde α, β toman los valores de 1, 2, …n, y se emplea el criterio —de Einstein— según el cual los índices que se repiten equivalen a una sumatoria de 1 a n) es invariante bajo una transformación de coordenadas arbitraria. A gαβ(xa)se le denomina «tensor métrico» (los tensores son objetos matemáticos que mantienen su forma bajo transformaciones arbitrarias de coordenadas).Podemos darnos cuenta de que los espacios de Riemann generalizan la geometría habitual, euclídea, sin más que considerar el caso particular en el que a y β toman los valores 1 y 2 (espacio bidimensional), y g11 = 1, g22 = 1,g12 = g21 = 0, siendo x1= x, x2= y(esto es, las coordenadas cartesianas). En este caso lo que queda es
ds2 = dx2+dy2
lo que no es sino la expresión del teorema de Pitágoras para distancias infinitesimales.La memoria de Riemann fue fundamental, pero era sobre todo «programática», incluso filosófica, quedando aún mucho que hacer para desarrollar su propuesta. Aunque no se debe olvidar nombres como los del alemán Elwin Bruno Christoffel (1820-1900), que en 1882 introdujo unos términos que describen la transformación de datos geométricos a lo largo de superficies curvas, o el de Luigi Bianchi (1856-1928), autor de un influyente tratado que estudiaron generaciones de matemáticos italianos, Lezioni di geometría diferenziale (1894, segunda edición, ampliada, de 1902), los resultados más importantes y completos en ese campo fueron los producidos por dos matemáticos italianos: Gregorio Ricci-Curbastro (1853-1925) y Tullio Levi-Civita (1873-1941). Ricci, como Bianchi, se graduó en Pisa y pasó después un tiempo ampliando estudios en Alemania, en Münich y con Felix Klein en Gotinga, pero mientras que Bianchi pasó toda su vida académica en Pisa, Ricci se instaló permanentemente en Padua, donde dedicó la década de 1885 a 1895 al estudio del cálculo tensorial. Uno de sus alumnos en Padua fue Levi-Civita. La carrera de éste transcurrió primero en Bolonia y Pavía, terminando con una cátedra de Análisis superior y Mecánica racional en Roma. Más que un matemático «puro», Levi-Civita fue un físico-matemático, con intereses que cubrieron desde el electromagnetismo hasta la mecánica racional, pasando por la mecánica celeste, la hidrodinámica, la teoría del calor… y la relatividad, a la que contribuyó sobre todo con trabajos sobre el problema del movimiento en relatividad general. [161]
Pero lo que nos importa aquí es el artículo que Ricci y Levi-Civita publicaron en 1900, por invitación de Felix Klein, el director de la revista, en Mathematische Annalen: «Méthodes de calcul différentiel absolu et leurs applications» («Cálculo diferencial absoluto y sus aplicaciones», Ricci y Levi-Civita, 1900).
En el prefacio a un libro que Levi-Civita dedicó al cálculo absoluto, Lezioni di calcolo differenziale assoluto, explicó el origen de este artículo (Levi-Civita, 1925, 1927: vii):

Tullio Levi-Civita y Gregorio Ricci-Curbastro.
El propio Ricci, en un artículo publicado en el volumen XVI del Bulletin des Sciences Mathématiques (1892), dio una primera descripción de sus métodos y los aplicó a algunos problemas de la geometría diferencial y de la física matemática. Después de otras interesantes aplicaciones, realizadas por sus estudiantes (grupo al que yo tuve el privilegio de pertenecer), sugirió lo deseable que sería preparar una exposición general de todo el tema, incluyendo métodos, resultados y bibliografía. Este fue el origen de la memoria «Méthodes de calcul différentiel absolu et leurs applications», que fue preparada por el profesor Ricci y yo mismo en colaboración, bajo la cortés invitación de Klein, y que apareció en el volumen 54 de Math. Ann.
El que la geometría riemanniana se fundamentase en elementos infinitesimales y que no distinguiese entre las diferentes coordenadas se ajustaba bien a dos elementos que en 1913 Einstein había al fin aceptado. El primero, el carácter local del principio de equivalencia y quien dice «local» puede perfectamente entender «infinitesimal». El segundo, la aceptación de la interpretación cuatridimensional de Minkowski, lo que equivalía a no distinguir formalmente entre las coordenadas espaciales y la temporal, lo que favorecía al formato riemanniano.
Felix Klein sobre la habilitación de Riemann«Por tratarse de una exposición ante la Facultad en pleno, [la habilitación de Riemann] apenas contiene fórmulas, pero por eso mismo tantos más desarrollos conceptuales de principios. Aquí va por delante aquello que Gauss había callado cuidadosamente en sus Disquisiciones, que no se trataba para él de desarrollar la Geometría sino sus fundamentos y, con ellos, los de la ciencia natural en general. En el contexto actual, se trata sólo de que Riemann ofrece ahí las líneas fundamentales de un tratamiento sistemático de las formas diferenciales cuadráticas con n variables […]. La publicación del texto cae más o menos por la misma época en que yo empezaba a ocuparme de problemas matemáticos. Así es que aún tengo un vivo recuerdo de la extraordinaria impresión que los razonamientos de Riemann causaron en matemáticos jóvenes. Mucho se nos hacía oscuro y difícil de entender y, aun así, de insondable profundidad, allí donde el matemático actual que ha dado entrada por anticipado a todas esas cosas en su modo de razonar sólo admira la claridad y la concisión del razonamiento».
Felix Klein (1926, 2006: 710).
§. El Entwurf de Einstein y Grossmann
El Entwurf al que me referí antes se compone de dos partes: la física, escrita por Einstein, y la matemática, a cargo de Grossmann. Las dos primeras referencias que mencionaba Grossmann eran el «artículo fundamental de Christoffel sobre la transformación de formas cuadráticas diferenciales» (Christoffel, 1896), cuyos resultados, añadía (Einstein y Grossmann, 1913: 23), «constituyen el punto de partida del que Ricci y Levi-Civita [1900] desarrollaron sus métodos sobre el cálculo diferencial absoluto […] que nos permiten dar una forma invariante a las ecuaciones diferenciales de la física matemática». Pero es la parte física la que nos interesa sobre todo. [162]
Einstein comenzaba introduciendo el elemento de línea en un espacio de Riemann
ds2 = gαβdxadxβ
(a, β… = 0, 1, 2, 3), indicando que el tensor (simétrico) métrico gαβ(xµ) caracteriza no sólo el espacio-tiempo, sino también el campo gravitacional. Esto, que se mantuvo en la versión final de la relatividad general, quería decir que las diez cantidades gαβ reemplazan al potencial escalar F de la teoría newtoniana, algo que, sin duda, constituye una seria complicación matemática. Como consecuencia del papel que tenían que desempeñar los gαβ, las ecuaciones que determinan la dinámica del campo gravitacional (ecuaciones del campo) debían ser ecuaciones en derivadas parciales con los gαβ como incógnitas. El problema que se abría ante Einstein y Grossmann era el de encontrar tales ecuaciones.
Einstein con el grupo de participantes en el II Consejo Solvay, 1913.
Para poder resolver este problema, lo primero que tenían que estudiar era el álgebra apropiada a los nuevos potenciales gravitatorios, el tensor gαβ, es decir, el álgebra (o análisis) tensorial. Esto lo hizo Grossmann en la parte matemática del artículo en la que introdujo, entre otras, las nociones de tensor (de cualquier rango) «covariante» y «contravariante» (siguiendo para ello a Ricci y Levi-Civita), así como los símbolos de Christoffel


Λαβ = kTαβ
donde k es una constante (que se fija con el límite newtoniano; en ella, aparece la constante de la gravitación universal, G) y Tαβ los componentes del tensor de energía (que representan el contenido energético —y, por tanto, también material— del sistema que se está estudiando) y donde el tensor, todavía por encontrar, Λαβ debería satisfacer los siguientes requisitos:- Ser tal que la ecuación del campo fuese covariante (esto es, mantener la misma forma en todo sistema de referencia de coordenadas, lo que aseguraría el cumplimiento del principio de relatividad general);
- que se pudiese construir a partir de gαβ y de sus derivadas de primer y segundo orden;
- que en el límite newtoniano —bajas velocidades y campos gravitatorios débiles— se redujese a la ecuación newtoniana.
En lo que a candidatos para Λαβ se refiere, Grossmann tenía uno y así lo señalaba al escribir (Einstein y Grossmann, 1913: 36): [163] «De hecho, es posible especificar un tensor diferencial covariante Rµν, de segundo orden y rango dos, que podría formar parte de aquellas ecuaciones»:
![]()
Esta misma expresión demuestra que este tensor no se reducirá, en el caso de un campo gravitacional infinitamente débil, a la expresión ∇2Φ [la del campo newtoniano]. Debemos dejar abierta, por consiguiente, la cuestión de hasta qué punto está relacionada con el problema de las ecuaciones de la gravitación la teoría general de los tensores diferenciales asociados al campo gravitacional. Tal conexión debe existir, en tanto en cuanto las ecuaciones de la gravitación permitan sustituciones arbitrarias, pero parece que en este caso no se pueden obtener ecuaciones diferenciales de segundo orden. Por otra parte, si se pudiese establecer que las ecuaciones de la gravitación admiten solamente un cierto grupo de transformaciones, se podría entender por qué no serían aceptables los tensores diferenciales que proporciona la teoría general. Como se indica en la parte física [escrita por Einstein], no estamos todavía en posición de discutir esta cuestión.En definitiva, Einstein y Grossmann estaban rechazando la posibilidad de tener
Rαβ = k·Tαβ
como ecuaciones del campo gravitatorio.Antes de discutir si sus razones fueron correctas o no, quiero señalar que, al descartar esta posibilidad, abandonaban la de obtener unas ecuaciones del campo bastante próximas a las definitivas ecuaciones de la relatividad general. Más aún, en el caso de un sistema vacío (Tαβ = 0), esas ecuaciones pasan a ser
Rαβ = 0,
es decir, las mismas ecuaciones que se obtienen para el vacío en relatividad general. En otras palabras, que la solución de Schwarzschild (simetría esférica), que durante mucho tiempo fue el único soporte experimental de la relatividad general al deducirse de ella las tres pruebas clásicas, es también, en la misma situación física, solución de la teoría que en su artículo de 1913 Einstein y Grossmann descartaron.Existen varias razones por las que tomaron esta decisión. A primera vista, parece que cometieron un error de cálculo elemental, pero no es éste el caso. [164] Lo que ocurrió en realidad fue que se apoyaron en los resultados que de forma heurística habían obtenido para el caso estático, en el que se tenía una velocidad de la luz variable. De ahí se deducía que F = 0, esto es, que el potencial newtoniano era cero en todo el espacio, es decir, una teoría gravitacional sin campo gravitatorio.
Einstein y Grossmann se encontraban, por tanto, ante un problema frente al que cabía tomar varias opciones, a las que el propio Einstein se refería de la forma siguiente (Einstein y Grossmann, 1913: 11-12):

En otras palabras, Einstein optaba por abandonar el principio de relatividad general. Era muy deseable tener una teoría que no privilegiase ningún sistema de referencia o de coordenadas (principio de relatividad general), pero no existía ningún indicio experimental que condujese a dicho principio, al contrario de lo que ocurría con el principio de equivalencia que se apoyaba en la igualdad observada experimentalmente entre masa inercial y masa gravitatoria. El principio de relatividad general (covariancia de la teoría) era casi una necesidad de orden estético para Einstein, pero era demasiado buen físico como para no estar dispuesto a abandonar opiniones que podrían resultar ser simples prejuicios. Ahora bien, Einstein no sólo se dispuso a abandonar la covariancia general, sino que con su imaginación desbordante también intentó justificarlo en función de una especie de primeros principios. Sus argumentos eran los siguientes
- El principio de causalidad exige que a una distribución dada de materia y energía (esto es, a un determinado Tαβ) le corresponda un únicocampo gravitacional.
- A un campo gravitacional único le debe corresponder un único tensor métrico. (Einstein entendía que «único» no sólo quiere decir «físicamente único», sino también «función matemática de las coordenadas única»).
El último párrafo es particularmente interesante. Con que «el campo sea matemáticamente determinado por la materia» quería decir que pensaba, como su todavía adorado Ernst Mach, que la inercia no era sino el «producto» de la interacción de un cuerpo con el resto del universo. Ya cité el pasaje pertinente del libro de Mach (1949:197-198) sobre la historia de la mecánica: «El comportamiento de los cuerpos terrestres respecto de la Tierra se puede reducir a su comportamiento respecto de los lejanos cuerpos celestes. Querer afirmar que de los cuerpos móviles conocemos algo más de lo que denuncia la experiencia respecto de su hipotético comportamiento frente a los cuerpos celestes es hacernos culpables de una falsedad. Cuando decimos que un cuerpo mantiene su dirección y su velocidad en el espacio, con eso simplemente expresamos, en una forma abreviada, una observación sobre todo el Universo».

Einstein en el laboratorio de P. Weiss de la ETH, 1913 . En la primera fila aparecen (de izda. a dcha.): K. I. Hertzfeld, O. Stern, Einstein, E. Picard, R. Fortrat y Grigorjeff, y en la segunda, segundo por la izda., P. Ehrenfest.
Otro punto que se debe resaltar de la teoría del Entwurf es la predicción que se seguía de ella de la curvatura de los rayos de luz. El 25 de junio de 1913, escribía a Mach (CPAE, 1993: 531-532):
Estimadísimo colega:El eclipse de Sol al que se refería Einstein aquí iba a observarlo desde Rusia Erwin Freundlich, con quien ya nos encontramos en el capítulo 12. Y, efectivamente, la expedición astronómica se organizó y Freundlich marchó a Rusia, pero con tan mala suerte que el mal tiempo y el comienzo de la primera guerra mundial conspiraron dos veces para que Freundlich fracasara en sus intentos de conseguir las fotografías del eclipse solar. Todo su material fue confiscado y él mismo encarcelado durante cierto tiempo, hasta que fue canjeado por algunos rusos detenidos en Alemania; Freundlich estaba de nuevo en Berlín a primeros de septiembre de 1914.
Probablemente habrá recibido usted hace unos días mi nuevo artículo sobre la relatividad y la gravitación [se trataba del Entwurf ], que finalmente ha quedado completada después de un trabajo incesante y tormentosas dudas. El próximo año, durante el eclipse solar, sabremos si el Sol desvía los rayos de luz o, en otras palabras, si la subyacente suposición fundamental de la equivalencia de la aceleración del sistema de referencia, por una parte, y el campo gravitacional, por otra, es realmente correcta.
Si lo es, a pesar de las injustificadas críticas de Planck, sus brillantes investigaciones sobre los fundamentos de la mecánica habrán recibido una espléndida confirmación. Ya que de esto se sigue necesariamente que la inercia tiene su origen en algún tipo de interacción de los cuerpos, exactamente de acuerdo con su argumento sobre el experimento del cubo de Newton.
Es interesante preguntarse qué habría ocurrido si Freundlich hubiese podido llevar a cabo sus observaciones, porque lo que predecía la teoría del Entwurf (y en el artículo de 1911) era la mitad del real, 0,83 segundos de arco, en lugar del valor correcto, 1,61 segundos de arco.
Aunque Freundlich fue quien más esfuerzos dedicó a la comprobación de la predicción de Einstein, éste hizo contactos con otros astrónomos, norteamericanos entre ellos. Así, el 14 de octubre de 1913 escribía a George Ellery Hale, entonces posiblemente el astrónomo estadounidense más influyente (CPAE, 1993: 559-560):
Una sencilla consideración teórica demuestra la plausibilidad de la suposición de que los rayos de luz experimentan una desviación del campo gravitacional. En el borde del Sol, esta desviación debería ser 0,84'' y disminuir como 1 /R (R = distancia del Sol). Sería, por consiguiente, del mayor interés saber la mayor proximidad al Sol en la que las estrellas fijas se pueden ver todavía durante el día (sin eclipse solar) cuando se aplican las magnificaciones máximas.Hale pasó la petición de Einstein a otro distinguido astrónomo norteamericano, William Wallace Campbell, director del Observatorio Lick, que, como informaba Hale a Einstein en su respuesta (8 de noviembre; CPAE, 1993: 566-567), se estaba dedicando a «buscar fotografías de eclipses de estrellas próximas al Sol para el doctor Freundlich».[166]
Siguiendo la sugerencia de mi colega el profesor Maurer, me dirijo a usted con la petición de que me diga, en base a su rica experiencia en estos asuntos, lo que piensa que puede conseguirse con los medios actualmente disponibles.

Einstein y Besso, con quien siguió comentando su búsqueda de una teoría relativista de la gravitación.
El regreso a Zúrich —Mileva ansiaba volver a esta ciudad— no trajo la felicidad para la familia Einstein. La relación entre Mileva y Albert se deterioró muchísimo. La dedicación absoluta de Einstein al problema de la gravedad, cuyas complicaciones no compartía en absoluto con su esposa, sí con otros (Grossmann sobre todo), asociados a problemas de salud (reumatismo y depresión) de Mileva, no hacían a ésta feliz. El 12 de marzo de 1913, Mileva confesaba a su amiga Helene Savic: «Albert se dedica completamente a la física y parece que tiene poco tiempo para la familia». [167]
Por otra parte, Einstein comenzó por entonces a relacionarse más estrechamente con una prima suya, Elsa Löwenthal (1876-1936), Elsa Einstein de soltera. Divorciada en 1908, Elsa tenía dos hijas, Ilse y Margot, y no podía ser más diferente de Mileva: Mileva era compleja, intelectual y taciturna y Elsa era convencional, disfrutaba de las comodidades y no tenía reparos en actuar como «una buena ama de casa».
En la correspondencia de Einstein que ha sobrevivido, la primera carta que envió a Elsa data del 30 de abril de 1912. La escribió, respondiendo a otra, perdida, de ella, y la envió desde Praga, una semana después de haber regresado de Berlín, donde Elsa vivía. En ella decía, entre otras cosas (CPAE, 1993: 456): «No puedo ni siquiera comenzar a decirte cuánto me encariñé contigo esos pocos días. E iré a verte pronto (creo que al final de este semestre), si crees que esto es correcto. Es una pena que no vivamos en la misma ciudad. Desafortunadamente, las probabilidades de que obtenga un puesto en Berlín son bastante pequeñas […]. Pero tal vez llegará el día en que puedas elegir libremente tu lugar de residencia y…». Poco más de dos semanas después, el 17 de mayo, el ardor de Einstein aumentaba (CPAE, 1993: 459): «Tu carta me entristece. Los dos somos unos pobres diablos. Cada uno golpeado por deberes de los que no podemos escapar. No puedo decirte lo triste que estoy por ti y cuánto desearía significar algo para ti, pero abandonar nuestro afecto mutuo sólo produciría confusión y desgracia. Bien lo sabes tú, pero jamás pienses que yo vaya a abandonarte. Te amo y te lo demostré con honradez. De manera que no me metas a mi madre y a mí en el mismo cajón, ¡te lo ruego! Te lo digo una vez más. Te amo. Sería feliz si se me permitiese caminar unos pocos pasos a tu lado, incluso aunque sólo fuese de vez en cuando o, si de otra manera, pudiese estar cerca de ti. Sufro mucho porque no se me permite amar verdaderamente, amar a una mujer a la que únicamente puedo mirar. Sufro más incluso que tú, porque tú sufres solamente por lo que no tienes».

Albert y Elsa Einstein en Chicago, 1931.
Einstein llegó a Berlín el 24 de marzo de 1914, solo, sin su mujer ni sus hijos, que estaban siguiendo tratamientos de salud en el Ticino (Mileva había estado antes en Berlín, en diciembre, para buscar un piso donde vivir todos y allí la ayudaron Fritz Haber y su esposa, Clara). Como el piso (ubicado en la Ehrenbergstrαβe) que había elegido Mileva estaba siendo renovado, Einstein vivió primero con su tío Jakob Koch. Cuando, a mediados de abril, el piso estuvo preparado, la familia al completo se mudó a él, pero el cambio de residencia no ayudó a mejorar el entendimiento familiar y, a finales de junio, Mileva abandonó con los niños la casa para alojarse en la espaciosa villa de Haber. A finales de julio, los tres volvían a Zúrich.
El siguiente documento que hacia el 18 de junio de 1914, Einstein hizo llegar a Mileva a través de Haber muestra, con una crudeza escalofriante, hasta donde llegó el encono entre ambos. Que fuese Albert Einstein, que tantos escritos admirables sobre todo tipo de asuntos sociales y morales nos dejó, quien escribió estas lamentables líneas no sólo nos muestra lo compleja que es la condición humana sino el lado oscuro —que obviamente existió— del gran físico. El texto, preparado hacia el 18 de julio de 1914, en el que establecía las condiciones para continuar viviendo en el domicilio familiar, decía lo siguiente (CPAE, 1998 a: 44-45):
CondicionesEl siguiente documento de que disponemos es una carta de Einstein a Mileva, que debió seguir inmediatamente a la respuesta de ésta al recibir el texto. En ella, Einstein decía (CPAE, 1998 a: 45):
A. Debes asegurarte deB. Renuncias a todas las relaciones personales conmigo en tanto que no sea absolutamente necesario mantenerlas por razones sociales. Concretamente, debes renunciar
- que mi ropa, tanto la limpia como la por lavar, se mantenga en buen orden y arreglada;
- que recibo mis tres comidas de manera regular en mi habitación, y
- que mi habitación y mi despacho se mantienen siempre limpios y, en particular, que mi mesa esté dispuesta sólo para mí.
C. En tus relaciones conmigo debes aceptar explícitamente adherirte a los siguientes puntos:
- a que me siente en casa contigo, y
- a que salga o viaje contigo.
D. Aceptas no menospreciarme ni de palabra ni de hecho delante de mis hijos.
- no debes esperar de mí intimidad ni reprocharme en forma alguna;
- debes desistir inmediatamente de dirigirte a mí si te lo pido, y
- debes abandonar inmediatamente mi habitación o mi despacho sin protestar si te lo pido.
Q[uerida] Miza:En semejantes condiciones, no es sorprendente que Mileva, Hans Albert y Eduard terminasen regresando a Zúrich ni que la separación acabase en divorcio. Fue Albert quien sacó esta cuestión (Mileva se resistía a esa solución). En una carta a Mileva fechada el 1 de abril de 1916 (CPAE, 1998 a: 278), escribía: «Después de explicarle nuestra situación a un abogado, acabo de iniciar el proceso de divorcio. El proceso tiene que formalizarse en la corte de Berlín y no debería ni causarte ninguna molestia ni gasto alguno». Una semana después, el 8 de abril, ampliaba detalles contestando a una carta de Mileva que no se conoce. Después de referirse a sus hijos («están en un estado físico y mental tan bueno que no deseo nada más. Y sé que esto se debe en su mayor parte gracias a cómo los cuidas»), decía (CPAE, 1998 a: 280-281):
Ayer Haber me dio tu carta, de la que deduzco que quieres aceptar mis condiciones. Aun así, debo escribirte de nuevo de manera que entiendas claramente la situación. Estoy preparado para regresar a nuestro piso, porque no quiero perder a los niños y porque no quiero que ellos me pierdan a mí, y sólo por esta razón. Después de todo lo que ha pasado, una relación de amistad contigo está fuera de lugar. Debería ser una leal relación de negocios; los aspectos personales deben quedar reducidos al mínimo.
No tendría sentido una conversación entre tú y yo, sólo serviría para abrir viejas heridas […]. Por lo que sé, el divorcio entre nosotros únicamente puede tener lugar en base a una acusación que proceda de ti [dos artículos del código legal suizo establecían como causa de divorcio: cometer adulterio y «ruptura total», JMSR]. Ya que debo figurar con la parte culpable y yo no puedo acusarme a mí mismo, ésta parece ser la única posibilidad. La primera pregunta es la siguiente: ¿estás dispuesta a presentar una demanda de divorcio contra mí? Si no es así, las siguientes cuestiones son inaplicables. Me parece que no arriesgas nada haciendo esto, ya que, por supuesto, tú puedes poner las condiciones bajo las cuales estarías dispuesta a divorciarte.Mileva terminó aceptando y el divorcio llegó en febrero de 1919; entre las condiciones, una era que el dinero del Premio Nobel que no dudaban Einstein terminaría recibiendo iría íntegro a Mileva. Poco después, el 2 de junio de 1919, Einstein se casó con Elsa.
Sin embargo, para entonces, su pasión por ella parecía haber disminuido. Y decreció de una manera ciertamente no convencional, como muestra una carta que una de las hijas de Elsa, Ilse, escribió el 22 de mayo de 1918 desde Berlín a Georg Nicolai (1874-1964), profesor titular de Fisiología en la Universidad de Berlín y notable pacifista (preparó, como veremos en el capítulo siguiente, un manifiesto en 1914 en favor de la paz entre los pueblos europeos al que se sumó Einstein). «Recordará usted que recientemente hablamos del matrimonio entre Albert y mi madre y que usted me dijo que un matrimonio entre Albert y yo sería más apropiado. Nunca me detuve a pensar en ese comentario suyo hasta ayer. Ayer repentinamente se suscitó la cuestión de si A. quería casarse con mamá o conmigo […]. El propio Albert se niega a tomar una decisión, está preparado para casarse conmigo o con mamá. Sé que A. me quiere mucho, acaso más de lo que lo hará nunca otro hombre, me lo dijo él mismo ayer. Por otra parte, puede incluso preferirme a mí como esposa ya que soy joven y podría tener hijos conmigo, lo que naturalmente no se aplica en el caso de mamá (CPAE, 1998 b: 769-771)».
Sin comentarios.
Albert y Elsa no tuvieron, por supuesto, hijos, pero ella cuidó bien de su marido y disfrutó de su fama, como se puede comprobar en numerosas fotografías, en las que aparece junto a Albert y celebridades como Charles Chaplin, Chaim Weizmann o Rabindranath Tagore. Que Einstein disfrutase igualmente es mucho más dudoso.

Eduard y Hans Albert Einstein, Arosa, julio de 1917.
Existe un documento profundamente revelador en este sentido: una carta que escribió el 21 de marzo de 1955, muy poco antes de su muerte, al hijo y a la hermana de Michele Besso, que acababa de fallecer. En ella se lee (Speziali, ed., 1994: 454-455):
Ha sido verdaderamente muy amable por su parte darme, en estos días tan tristes, tantos detalles sobre la muerte de Michele. Su fin ha sido armonioso, a imagen de su vida entera, a imagen también del círculo de los suyos. El don de llevar una vida armoniosa raramente va acompañado de una inteligencia tan aguda, sobre todo en la medida en que él la poseía. Pero lo que yo admiraba más en Michele, como hombre, era el hecho de haber sido capaz de vivir tantos años con una mujer, no sólo en paz sino también constantemente de acuerdo, empresa en la que yo, lamentablemente, he fracasado dos veces.Es cierto que Einstein sufrió mucho al verse distanciado de sus hijos, a los que veía en algunas ocasiones, pero ellos no lo perdonaron fácilmente. La relación con Mileva mejoró con la distancia y el tiempo, pero tampoco dejaron de existir momentos crueles, como el que refleja una carta no publicada todavía (formaba parte de los documentos ofrecidos en la subasta de Christie's de noviembre de 1996, citándose en el catálogo publicado) de Einstein a Mileva, esta del 24 de octubre de 1925:
Cuando leo una carta tuya, me siento como un criminal, especialmente cuando no puedo recordar las circunstancias reales. De hecho, siempre hice todo lo que fue humanamente posible para hacer más fácil y mejorar tu vida […]. No aprecias nada de lo que hago. Todo lo que saco de ti es insatisfacción y desconfianza. Ya no lo tomo a mal porque creo que estoy tratando con alguien anormal. Me haces reír con la amenaza que me haces de escribir tus memorias. ¿No se te ha ocurrido pensar que ni siquiera un gato daría un céntimo por semejantes garabatos si no fuese porque el hombre con el que te relacionabas había logrado algo importante? Si una persona es un cero a la izquierda, no hay nada que le puedas reprochar. Sin embargo, uno debería ser agradable y modesto y mantener la boca cerrada; éste es el consejo que te doy. Pero si el diablo no te abandona, entonces, en el nombre de Dios escribe lo que él quiera que hagas. He tenido que enfrentarme ya con tantas tonterías de otras personas que puedo afrontar las tuyas con calma.Al tener que enfrentarse con la —con demasiada frecuencia inevitable— dureza de la vida, los seres humanos reaccionan de muy diversas maneras: con desesperación, extrañamiento, violencia o depresión, por citar algunas posibilidades. Einstein encontró en la ciencia, que para él consistía en la búsqueda de lo objetivo, su vía de escape. Ilustrativas en este sentido son las siguientes frases, extraídas de un discurso que pronunció el 26 de abril de 1918 durante la celebración del sexagésimo aniversario de Max Planck en la Sociedad de Física de Berlín (Einstein, 1918 a: 29-30):«En principio, creo, junto con Schopenhauer, que una de las más fuertes motivaciones de los hombres para entregarse al arte y a la ciencia es el ansia de huir de la vida diaria, de su dolorosa crudeza y su horrible monotonía, el deseo de escapar de las cadenas con que nos atan nuestros siempre cambiantes deseos. Una naturaleza de temple fino anhela huir de la vida personal para refugiarse en el mundo de la percepción objetiva y el pensamiento». No hace falta decir que algunos admirarán semejante postura y otros la criticarán como expresión de egoísmo o cobardía. Sea como fuese, el hecho es que para comprender a Einstein el hombre, al igual que una parte de sus escritos no científicos, hay que tener muy en cuenta su filosofía trascendentalista.
En cualquier caso, el descubrimiento de que Einstein no fue, en su cotidianeidad, un santo laico, parece haber constituido una sorpresa para muchos. Así, han florecido, y continúan haciéndolo, obras en las que se insiste en sus «debilidades» humanas. Y entre esas debilidades se han destacado sus relaciones con mujeres. Una fuente notable son los recuerdos del húngaro Janos Plesch (1878-1957),que fue el médico personal de Einstein en Berlín hasta la llegada de los nazis; aun así, Plesch, que como Einstein emigró a Estados Unidos, continuó su amistad con su paciente: Plesch fue la última persona, fuera del círculo familiar del físico, que lo vio antes de su muerte. En un manuscrito que su hijo Peter publicó en 1995, Janos se refirió extensamente a la relación de Einstein con las mujeres. Dejaba claro allí que Einstein mantuvo numerosas relaciones con todo tipo de mujeres, incluso llegaba a manejar la hipótesis, ciertamente muy atrevida y en absoluto verificada, que es muy posible que contrajese sífilis y que este mal tuviese que ver con sus posteriores problemas de salud, como el que le produjo la muerte. Dejemos que sea él quien hable (Plesch y Plesch, 1995: 310):
Ahora uno se pregunta cómo un hombre [Einstein] tan sano y bien parecido no habría tenido alguna vez mala suerte y contraído sífilis en una de sus aventuras. En mi larga práctica médica, he encontrado casi sin excepción que los aneurismas abdominales [Einstein murió de un aneurisma] son de origen sifilítico. Puede ser, por supuesto, que Einstein fuese excepcional también en este aspecto y que su aneurisma no fuese específico. Sin embargo, también sugiere una temprana infección sifilítica en que sufriese amplios ataques secundarios de anemia.Mi último comentario sobre este apartado de la vida de Einstein, al que ya no volveré, y que Highfield y Carter (1996) han tratado ampliamente, es un caso que estos autores no mencionan.
En, de nuevo, una subasta pública celebrada el 26 de junio de 1998 en Nueva York, esta vez realizada por Sotheby's, se ofreció un lote compuesto por nueve cartas de Einstein a Margarita Konenkova, junto a otros materiales (el precio de salida fue de 250 000 dólares). Lo mejor es citar la nota del propio catálogo preparado por Sotheby's:
La hasta ahora desconocida relación amorosa de Einstein con una espía rusa.El material de este lote comprende el descubrimiento más significativo en relación con la vida personal y emocional de Einstein desde que se conocieron en 1987 las primeras cartas que escribió a su primera esposa, Mileva. La historia que cuentan es incluso más llamativa y considerablemente más compleja que las del joven y típico amante que muestran las cartas a Mileva. Las cartas y otros materiales relacionados que ofrecemos sacan a la luz por primera vez la historia de la relación amorosa de Einstein con Margarita Konenkova (c. 1900-1982), esposa del eminente escultor ruso Sergei Konenkov (1874-1971). Los Konenkov vivieron como emigrados en Estados Unidos durante más de veinte años, desde comienzos de los años veinte hasta finales de 1945 , cuando fueron reclamados por la Unión Soviética. Sergei Konenkov tenía un estudio en Greenwich Village, donde, aunque se negó aprender inglés, desarrolló una carrera con bastante éxito realizando retratos para muchos estadounidenses eminentes, incluyendo un número de miembros de la Corte Suprema. Además de ayudar a su marido, durante los años de guerra Margarita sirvió como secretaria ejecutiva de la Sociedad Americana para Ayuda a Rusia. También fue […] espía soviética.
En este punto, el catálogo indica que Einstein había conocido a los Konenkov en 1935, quizá antes, cuando Sergei realizó un busto suyo —que ahora se encuentra en el Institute for Advanced Study de Princeton— y que aunque no es posible determinar durante cuánto tiempo Einstein y Margarita habían sido amantes, a finales del otoño de 1945, «su relación era apasionada». Y, en este punto, como si fuese una novela de espías, se incluyen los siguientes comentarios: «Es igualmente manifiesto, tanto de las cartas como de otros materiales ofrecidos aquí que han sobrevivido a través de un miembro de la familia Konenkov que el papel de Margarita fue complicado. Tuvo que hacer juegos malabares con los deseos y las necesidades de Einstein, de su marido y de quien la controlaba, el vicecónsul soviético Pastelniak (que utilizaba el nombre falso de Pavel Mikhailov y dio a Margarita el nombre en clave de Lucas). Amor, manipulación y desengaño estuvieron inseparablemente unidos en su relación con Einstein. La tradición familiar de que tuvo otras muchas relaciones amorosas, incluyendo entre ellas a Rachmaninoff y al artista, también un emigrante, Boris Chaliapin, sugieren que estaba bien entrenada para su relación con Einstein». Uno de los últimos servicios que Margarita realizó, antes de regresar apresuradamente a la Unión Soviética, fue intentar, a mediados de agosto de 1945, que Einstein recibiese a Mikhailov, aparentemente para discutir cuestiones relacionadas con la bomba atómica que, recordemos, se acababa de probar con éxito sobre Hiroshima y Nagasaki.
Una cuestión evidente que suscitan estas cartas es la opinión que Einstein tuvo sobre la Unión Soviética. En este sentido, hay que decir que durante algunos años se mostró dispuesto a creer que el Gobierno de Stalin era bueno, algo que sorprende si tenemos en cuenta que a lo largo de su vida insistió mucho en defender los derechos individuales frente a las entidades políticas. En una carta de 1937, en el clímax de aquella mascarada que fueron los juicios de Moscú, expresó a Max Born su creencia de que los juicios mostraban una auténtica y peligrosa conspiración, que Stalin tenía que combatir (Born, 2005: 127). En una entrevista con Raymond Swing en el número de noviembre de 1945 del Atlantic Monthly, se refirió eufemísticamente a la dictadura estalinista como una «regla minoritaria» necesaria porque «no existía una mayoría capaz de hacer eso», manifestando que si hubiese nacido en Rusia, «creo que me habría ajustado a esta situación». Sin embargo, en sus cartas a Konenkova aparecen algunos indicios de que al menos a partir de 1946 había comenzado a contemplar la situación en la Unión Soviética de manera diferente. Así, contestando a una carta de Margarita en la que ésta le debió de describir las festividades del Primero de Mayo en Moscú, Albert escribía: «Me puedo imaginar que el Primero de Mayo debe haber sido magnífico. Ya sabes, sin embargo, que contemplo con preocupación estos exagerados sentimientos patrióticos. Hago siempre lo que puedo para convencer a la gente de la importancia de un pensamiento cosmopolita, razonable y justo» (1 de junio de 1946).
Pero dejemos ya todos estos asuntos y regresemos a su carrera académica.
§. Oferta de Berlín
La noche del 11 de julio de 1913, Max Planck y Walther Nernst, acompañados de sus esposas, tomaban el tren que debía llevarles de Berlín a Zúrich. Su misión era intentar convencer a Einstein para que aceptase una jugosa oferta: miembro de la prestigiosa Preussische Akademie der Wissenschaften (Academia Prusiana de Ciencias), que había sido fundada en 1700, con Leibniz como primer presidente, catedrático, sin obligaciones docentes, en la Universidad de Berlín, y director de un instituto que la Kaiser-Wilhelm-Gesellschaft zur Förderung der Wissenschaften (Sociedad Káiser Guillermo para el Desarrollo de las Ciencias) establecería para él y que no implicaría funciones administrativas ni personal, sólo la posibilidad de promover proyectos que considerase interesantes. [168] En realidad, la idea de atraerlo a Berlín venía de antes.

Walther Nernst. Dibujo de Elizabeth Korn, fechado el 17 de septiembre de 1929.
En una conversación sobre el Ord professor de Física Teórica del Instituto Politécnico de Zúrich, que tuvimos el año que acaba de terminar, usted sacó la cuestión de si no podría crearse un puesto para este extraordinario hombre en el instituto a mi cargo. Después de haber pensado en esta idea durante algún tiempo, me he convencido de que su realización constituiría una gran ventaja para el instituto y que, desde el punto de vista personal, podría intentarse con alguna probabilidad de éxito. Incluso aunque no fui tan lejos como para dar al señor Einstein pista alguna de esto, encontré que, aunque está completamente absorbido en sus investigaciones, estaría feliz sin la gran carga docente que está obligado a dar. Más aún, me di cuenta de que no tiene ninguna objeción fundamental con respecto a Berlín. Es cierto que hace algún tiempo declinó una invitación para formar parte del Physikalisch-Technische Reichsanstalt [el Instituto Imperial de Física Técnica], que le presentó el señor Warburg, pero son precisamente las razones que lo condujeron a esta decisión las que me dan esperanza de que, en principio, no reaccione negativamente a una invitación de nuestra junta de gobierno.Aquello no prosperó, pero fue el preludio de la visita y la oferta de Planck y Nernst. Las condiciones eran magníficas. La Preussische Akademie der Wissenschaften correría con el salario de Einstein: 12.000 marcos anuales. Constituida por unos setenta miembros, divididos en dos clases, una de ciencias físicas y matemáticas y otra de filosofía e historia, que se reunían normalmente cada quince días, la Preussische Akademie der Wissenschaften sólo pagaba a los académicos, como un «salario honorario» anual, 900 marcos, obteniendo éstos el grueso de su salario de sus puestos como profesores o miembros de otras instituciones. Dentro de su estructura, la Preussische Akademie der Wissenschaften tenía dos puestos perpetuos para académicos muy distinguidos, a los que les permitiría no tener ninguna obligación más que las que ellos deseasen, esto es, estar completamente libres para dedicarse a sus investigaciones. El puesto en la clase de ciencias físicas y matemáticas había estado ocupado por el químico-físico holandés Jacobus Henricus van't Hoff hasta su fallecimiento en 1911. Después se le ofreció a Röntgen, pero éste prefirió continuar en Münich, y la siguiente elección fue Einstein. Los 12.000 marcos que se le ofrecieron fueron proporcionados por el banquero berlinés Leopold Koppel, que ya se había distinguido como un magnífico patrón de la ciencia por sus donaciones a la Sociedad Káiser Guillermo. Aunque se trataba de un magnífico salario (completado con los 900 marcos comunes a todos los académicos), otros científicos ganaban bastante más con sus puestos universitarios, que incluían derechos de exámenes y de matrículas, hasta alcanzar en ocasiones los 20.000 marcos. El salario base de Nernst como catedrático, por ejemplo, era de 15.000 marcos.
Pero volvamos a la visita de Planck y Nernst.
Ya en Zúrich, Plank y Nernst visitaron a Einstein en su despacho de la ETH y le transmitieron la oferta. Einstein les dijo que necesitaría unas horas para contestarles. Mientras esperaban la respuesta, ambos fueron de excursión con sus esposas, tomando un funicular a una de las montañas próximas. Einstein quedó en que les esperaría al regreso y que si decidía rechazar la oferta llevaría una rosa blanca, pero si la aceptaba la rosa sería roja. Cuando llegaron, Einstein lucía una rosa roja. Justo después de la visita, escribía a su amigo Otto Stern (2003: 112): «¿Sabes?, los dos parecían ir detrás de la rareza numismática que al parecer debo de ser yo». Y el 22 de julio informaba a Jakob Laub (CPAE, 1993: 538): «El próximo semestre daré un curso sobre la teoría común de la electricidad y probablemente también sobre la relatividad. Éste será una vez más mi semestre de despedida, porque en Pascua me marchó a Berlín como un académico sin ninguna obligación, de alguna manera, como “una momia viviente”».
Capítulo 14
Berlín (1914-1918): Física y Polític
§. Ciencia en Berlín, hacia 1914En Berlín, a Einstein lo esperaba el que fue su mayor éxito científico, la formulación definitiva de la teoría de la relatividad general, y también otras aportaciones notables a la física, pero, además, allí lo esperaba algo que hasta entonces no había entrado en su vida pero que ya jamás lo abandonaría: la política. Ahora, antes de tratar este asunto, veamos algo del Berlín con el que se encontró. [169]
§. Testigo y protagonista de la Primera Guerra Mundial
§. Noviembre de 1915
§. Sobre el papel de las matemáticas en la física
§. Una coincidencia tramposa: Einstein, Hilbert y las ecuaciones del campo gravitacional
§. Karl Schwarzschild y su solución de las ecuaciones del campo gravitacional
§. La recepción de la relatividad general
§. La cosmología relativista
§. Más física cuántica: Las transiciones atómicas
§. Ciencia en Berlín, hacia 1914
En Berlín, Einstein se encontró con científicos, físicos y químicos que admiraba especialmente, entre ellos a Planck y Nernst, por supuesto, pero también con Fritz Haber, de quien se hizo muy amigo. La universidad estaba creciendo en prestigio, pero tenía fuertes competidores en otras ciudades alemanas (Gotinga, por ejemplo), sin embargo, la ciudad terminó no teniendo competidores en una serie de instalaciones de investigación, extrauniversitarias pero vinculadas a la universidad, agrupadas bajo el nombre de la ya citada Kaiser-Wilhelm-Gesellschaft zur Förderung der Wissenschaften. [170]
El origen de esta sociedad tuvo que ver con otra institución ubicada en Berlín, el también mencionado Physikalisch-Technische Reichsanstalt (PTR). Construido con el apoyo de Werner Siemens como agradecimiento de todo cuanto había recibido de la ciencia alemana, su objetivo era fomentar las investigaciones en asuntos físicos e índole tecnológica que los científicos universitarios en general no abordaban. El instituto fue construido en Charlotemburgo, entonces una pequeña población residencial situada a unos tres kilómetros de la Puerta de Brandemburgo, este centro comenzó a funcionar en 1887, con el gran Hermann von Helmholtz de presidente (en 1895, lo sucedió Friedrich Kohlrausch). Su organización se basaba en dos secciones, una científica, que fue la primera en contar con sus propias instalaciones, y otra tecnológica.
Los químicos alemanes vieron en el PTR un modelo que imitar y, durante los primeros años del nuevo siglo, algunos —entre ellos figuras del calibre de Emil Fischer, Walther Nernst y Wilhelm Ostwald—, junto con representantes de industrias del ramo, como Agfa, BASF y Bayer, consideraron la posibilidad de establecer un Instituto Imperial de Química que hiciera por la ciencia y la industria química lo mismo que el PTR estaba logrando para la física y las tecnologías físicas. Llegaron incluso a fundar una asociación para reunir fondos, pero tuvieron que abandonar la idea de un «Chemische Reichsanstalt», entre otras razones porque las finanzas del Reich, que era quien debía ocuparse de mantener tal instituto, estaban sufriendo con el aumento de los gastos militares y con los programas sociales en curso (de hecho, el Gobierno ya se había mostrado algo reacio en el caso del PTR, pero la intervención de Siemens venció todos los obstáculos).

Sede del Physikalisch-Technische Reichsanstalt.
Estimulados por la creciente amenaza que percibían en, sobre todo, la industria y en el apoyo institucional a la ciencia en Estados Unidos, los químicos —Fischer y Nernst especialmente— continuaron con sus esfuerzos para lograr laboratorios dedicados única y exclusivamente a la investigación. El modelo de la Carnegie Institution (Institución Carnegie) de Washington, una institución creada en 1902 que favorecía la investigación con dinero aportado por el industrial Andrew Carnegie, fue uno de los que más presente se tuvo entonces. Si el Reich fallaba, ¿por qué no recurrir a los industriales alemanes, los grandes beneficiarios de la ciencia (de la química en particular) nacional? En 1909 consiguieron que el káiser Wilhelm apoyara la idea. De ahí surgió la Kaiser-Wilhelm-Gesellschaft, cuyos miembros debían ser personas o compañías que contribuyesen económicamente a la sociedad. El propósito de ésta, que se fundó en una reunión celebrada el 11 de enero de 1911 y que era liderada en lo que a la ciencia se refiere por Emil Fischer (catedrático en la Universidad de Berlín, auténtico «padre» de la química de los carbohidratos; premio Nobel de Química en 1902 por sus contribuciones a la síntesis de la purina y de azúcares simples como la glucosa y la fructosa), era el de «hacer avanzar la ciencia, especialmente creando y manteniendo institutos de investigación en las ciencias naturales». La química, por consiguiente, no tenía que recibir en principio un trato especial. No obstante, en la práctica, sí lo recibió, pues los dos primeros institutos fundados se dedicaron a ella (de hecho, la asociación para el establecimiento del Instituto Imperial de Química aportó los fondos que había conseguido para la construcción del primer instituto, que de esta manera sirvió como sustituto del planeado inicialmente).

Inauguración del primer Instituto, de Química, de la Kaiser-Wilhelm-Gesellschaft zur Förderung der Wissenschaften, 23 de octubre de 1912. Aparecen el káiser Wilhelm, el químico Emil Fisher y Adolf von Harnack, presidente de la sociedad.
El primer Instituto Káiser Wilhelm inaugurado (el 23 de octubre de 1912) fue el de Química, cuyo director fue el químico analítico Ernst Beckmann, que se ocupó también de la sección de química inorgánica; existía, asimismo, una sección de química orgánica, a cargo de Richard Willstätter, y una pequeña sección de radiactividad y química dirigida por Otto Hahn, a quien poco después se le unió Lise Meitner (sería en este centro, a finales de 1938, donde Hahn, en colaboración con Fritz Stassmann descubrió la fisión del uranio). El coste del instituto fue de 1 100 000 marcos, de los que la asociación para el establecimiento del Instituto Imperial de Química puso 850.000.Prácticamente al mismo tiempo abrió sus puertas un Instituto de Química-física y Electroquímica, dirigido por Fritz Haber. Ambos centros se construyeron en terrenos cedidos por el Gobierno prusiano, en Dahlem, cerca de Berlín.
Como he dicho, la química no era sino uno de los campos de interés de la sociedad. En 1913, se creó un Instituto Káiser Wilhelm de Terapia experimental; en julio de 1914, poco antes de la guerra y ampliando de esta manera el ámbito de la institución a lugares que no fuese Berlín, se inauguraba un Instituto del Carbón en Mülheim; en los años siguientes se irían abriendo Institutos del Hierro (en Düsseldorf), Química de Tejidos (Dahlem), Biología, Fisiología del Trabajo e Investigación Cerebral. También se estableció, en 1917, un Instituto Káiser Guillermo de Física teórica, dirigido por Einstein, pero este centro no necesitó de instalaciones, sólo de algún dinero: su sede se encontraba en Haberlandstrαβe 5, Berlín W 30, el domicilio particular de Einstein entonces. En 1930, la sociedad reunía un total de 26 centros. Todo un imperio, un imperio científico que hacía de Berlín una «ciudad de la ciencia y la técnica».
Uno puede fácilmente imaginarse a Einstein en aquel mundo, en aquella ciudad. Aunque Haber le ofreció un despacho en su instituto, Einstein prefirió trabajar en su casa, un piso situado en el número 13 de Wittelsbacherstrαβe, donde vivió hasta que se mudó, en septiembre de 1917, al citado en Haberlandstrαβe. Los días que tenía Academia, tal vez pasearía antes por la espléndida avenida de Unter den Linden, en cuyo número 8 se había instalado la corporación el 22 de marzo de 1914, esto es, poco antes de la llegada de Einstein a Berlín, como parte de un colosal complejo arquitectónico que incluía la Biblioteca Real, en la actualidad llamada Staatsbibliothek. Nada más pasar el pequeño arco de entrada por Unter den Linden, a la derecha, se encuentra la entrada a la Academia (hoy una placa recuerda que Einstein perteneció a ella). Puede que hubiese llegado a ella caminando desde la Puerta de Brandemburgo, que separa Unter den Linden del gran parque berlinés, el Tiergarten, o acaso llegase en sentido contrario, desde la Universidad de Berlín, entonces denominada Friedrich-Wilhelms-Universität, situada en el número 6 de Unter den Linden. Como miembro de la Academia y también según el acuerdo firmado, Einstein tenía derecho a dar clases allí y, aunque nunca, ni en Praga ni en Zúrich, sintió un especial gusto ni habilidad por las tareas docentes —de hecho, dejar de dar clases fue una de sus razones para abandonar la ETH—, dictó algunas conferencias, la primera, en el semestre de verano de 1915, sobre la «teoría de la relatividad», y las siguientes, año tras año, sobre «mecánica estadística y principio de Boltzmann», «mecánica estadística y teoría cuántica» o «varios temas de física teórica», pero, a los diez años, lo único que aparece en los anuncios es un «proseminario de física» que ofreció, junto a Max von Laue, Wilhelm Westphal y Gerhard Hettner para estudiantes avanzados.
Si antes de ir a la Academia pasaba por la universidad, saldría por la puerta principal de ésta, la que da a Unter den Linden. Ignoro si entonces estaban ya allí, pero hoy tres estatuas flaquean esa entrada, recordando y honrando la excelencia: en el centro, Hermann von Helmholtz y, en los laterales, los hermanos Humboldt, Wilhelm y Alexander, la estatura de éste desde 1939 con una leyenda en castellano: «Al segundo descubridor de Cuba. La Universidad de la Habana, 1939».
§. Testigo y protagonista de la Primera Guerra Mundial
Como vimos, Einstein llegó a Berlín en marzo de 1914; el 28 de julio comenzaba lo que entonces se llamó Gran Guerra que luego, cuando hubo que numerarlas, pasó a ser primera guerra mundial.
Una de las consecuencias de las guerras es que condicionan el juicio de los ciudadanos de las naciones enfrentadas. La primera guerra mundial no constituyó una excepción en este sentido, más bien lo contrario. En una contienda en modo alguno inevitable, de orígenes y causas oscuras, las pasiones nacionalistas no escasearon. El caso de los científicos, que es el que a nosotros nos interesa, también confirma esa regla, aparentemente inevitable si creemos en ese pertinaz maestro que es la historia. Nunca sufrió tanto la creencia en la internacionalidad de la ciencia, en la hermandad supranacional de los científicos, como durante los años en que tuvo lugar la Gran Guerra y en los que la siguieron.
Los sentimientos de Einstein al estallar la guerra se pueden apreciar por los siguientes fragmentos de dos cartas que escribió a Paul Ehrenfest, que ya ocupaba la cátedra de Física de la Universidad de Leiden que, como dije, antes había sido de Lorentz (CPAE, 1998 a: 56, 62-63):«Europa, en su locura, ha comenzado algo increíble. En tales momentos, uno se da cuenta a qué triste especie de animal pertenece» (19 de agosto de 1914); «La catástrofe internacional ha impuesto en mí, como internacionalista, una pesada carga. Al atravesar esta “gran época”, se le hace a uno difícil reconciliarse con el hecho de que se pertenece a una especie idiota y corrompida que se jacta de su libre albedrío. ¡Cuánto desearía que existiese en alguna parte una isla para aquellos que son sabios y bondadosos! En semejante lugar incluso yo sería un ardiente patriota» (primeros de diciembre de 1914).
Pero era una rara avis en un mundo desquiciado. Para hacernos una idea del ambiente que se vivió en Alemania al poco de comenzar la guerra, y de cómo los científicos no eran inmunes a ese clima social, veamos lo que el físico germano de origen judío Max Born (1978: 160-162) manifestó en sus memorias:
En 1914 tuvo lugar un estallido patriótico de entusiasmo en todos los países. En Gotinga lo tuvimos en todo su apogeo: banderas, desfiles y canciones. Las tropas desfilaban por las calles entre las gentes que les lanzaban flores. Banderas por todas partes, en las calles y en los trenes que llevaban a los soldados al frente […]. El delirio patriótico se vio acompañado de rumores incontrolados y de una caza de espías: se decía que los pozos estaban envenenados, los caballos del regimiento paralizados, puentes dinamitados. Todos los extranjeros fueron puestos bajo custodia […]. Los periódicos estaban repletos de artículos patrióticos. Yo odiaba la guerra, pero no podía escapar a la influencia de la propaganda. Creía, como todos los demás, que Alemania había sido atacada, que estaba luchando por una causa noble y que su existencia estaba en juego […]. No puedo negar que durante aquel tiempo me sentí muy en contra de los ingleses, de los franceses y sobre todo de los rusos. Todos los días nos contaban las abominables atrocidades de los cosacos de la Prusia del Este. La idea de estas «hordas asiáticas» destruyendo los agradables y ordenados pueblos alemanes torturaba a las mujeres y niños y a mí me enfurecía.Otra de las manifestaciones del nacionalismo, que espontáneamente brotó en Born durante no sólo en los primeros momentos de la guerra, sino durante bastante más, es la circular en la que explicaba la decisión de la revista Physikalische Zeitschrift, de la que era uno de los editores, de publicar los nombres de los colegas que estaban luchando en el frente y de aquellos que habían sido condecorados, heridos o muertos. En esa circular —que envió por primera vez el 23 de noviembre de 1914 y una segunda el 2 de febrero de 1915—, Born explicaba que «también la física se une a la patria en este tiempo de peligro». [171] De hecho, las publicaciones de las asociaciones de matemáticos, químicos o ingenieros eléctricos también presentaban informaciones similares.
En este ambiente de excitación, el 4 de octubre de 1914, movidos en parte por las negativas repercusiones que había tenido en el mundo la invasión germana de Bélgica, 93 intelectuales alemanes daban a conocer lo que denominaron Aufruf an die Kulturwelt (Llamamiento al mundo civilizado). El escritor Ludwig Fulda preparó el primer borrador, su colega Hermann Sudermann lo editó y el novelista berlinés Georg Reicke compuso la versión definitiva que, traducida inmediatamente a diez idiomas, fue enviada en miles de cartas a naciones neutrales. Mucho más que cualquier otro hecho, este documento enturbiaría durante años las relaciones entre los científicos de las Potencias Centrales (los alemanes en particular) y los Aliados. Dada su importancia, es necesario reproducir su contenido: [172]
Nosotros, representantes de la ciencia y el arte alemanes, delante de todo el mundo, contra las mentiras y calumnias detrás de las que nuestros enemigos pretenden ocultar la causa pura de Alemania, en la difícil lucha que se le ha impuesto […] proclamamos la verdad.Entre los firmantes de este llamamiento figuraban quince científicos: Adolf von Baeyer (catedrático de Química, Münich), Karl Engler (catedrático de Química, Karlsruhe), Emil Fischer (catedrático de Química, Berlín), Wilhelm Förster (catedrático de Astronomía, Berlín), Fritz Haber (catedrático de Química, Berlín), Ernst Haeckel (catedrático de Zoología, Jena), Gustav Hellmann (catedrático de Meteorología, Berlín), Felix Klein (catedrático de Matemáticas, Gotinga), Philipp Lenard (catedrático de Física, Heidelberg), Walter Nernst (catedrático de Químico-Física, Berlín), Wilhelm Ostwald (catedrático de Química, Leipzig), Max Planck (catedrático de Física, Berlín), Wilhelm Röntgen (catedrático de Física, Münich), Wilhelm Wien (catedrático de Física, Wurzburgo) y Richard Willstätter (catedrático de Química, Berlín). De los grandes nombres de la ciencia germana sólo el matemático David Hilbert rehusó firmar.
No es verdad que Alemania haya sido la causante de la guerra. Ni el pueblo, ni el Gobierno, ni el Emperador la han querido. Se ha hecho todo lo posible por evitarla desde la parte alemana. El mundo posee sobre esta cuestión documentos irrefutables. A lo largo de los veintiséis años de su reinado, Wilhelm II ha demostrado muchas veces ser el protector de la paz mundial; muchas veces sus adversarios así lo han reconocido. Y durante años se han burlado de este mismo Emperador, que ahora osan llamar un Atila, a causa de su amor a la paz. Sólo ha sido cuando fuerzas dominantes, que desde hace mucho tiempo se encontraban al acecho en nuestras fronteras, se han lanzado sobre nuestro pueblo desde tres flancos, que éste se ha levantado como un solo hombre.
No es verdad que hayamos violado de una manera criminal la neutralidad de Bélgica. Nos habríamos destruido a nosotros mismos si hubiésemos tomado la delantera.
No es cierto que nuestros soldados hayan atentado contra la vida y la propiedad de un solo ciudadano belga sin haber sido empujados a ello por sus defensores. Porque, todavía y siempre, a pesar de todas las advertencias, la población les ha preparado emboscadas para disparar sobre ellos, mutilando heridos, asesinando médicos mientras desempeñaban su obra de samaritanos.
No es verdad que nuestras tropas hayan saqueado brutalmente Lovaina. Ellas se han visto obligadas a tomar represalias contra los habitantes furiosos que les han asesinado a traición y, cariacontecidos, han bombardeado la ciudad. La mayor parte de Lovaina continúa en pie. El célebre ayuntamiento permanece brillantemente intacto. Con peligro de sus vidas, nuestros soldados lo han protegido de las llamas. Si se han destruido obras de arte durante esta guerra terrible, si otras seguirán el mismo camino, todo alemán lo lamentará, pero por más que no nos dejaremos sobrepasar por nadie en lo que al amor al arte se refiere, rechazamos exponernos a una derrota por la conservación de un monumento artístico.
No es verdad que nuestra forma de hacer la guerra ignore el derecho de gentes. Tal forma no conoce crueldades indiscriminadas.
No es verdad que la lucha contra lo que se ha llamado nuestro militarismo no sea una lucha contra nuestra cultura, como pretenden hipócritamente nuestros enemigos. Sin el militarismo alemán, la cultura alemana habría desaparecido de la faz de la Tierra hace mucho tiempo. Es para proteger esa cultura que un país que durante siglos ha sufrido más invasiones que ningún otro ha salido de sus fronteras. El ejército y el pueblo alemanes forman una unidad. Semejante convicción une hoy día a setenta millones de alemanes, sin distinción de educación, posición social ni partido.
No podemos arrancar de nuestros enemigos el arma envenenada de la mentira. Lo único que podemos hacer es proclamar al mundo entero que han presentado un falso testimonio; y es a vosotros, que nos conocéis, que hasta ahora habéis vigilado con nosotros los bienes supremos de la humanidad, a quien apelamos.
¡Creednos! Creed que llevaremos el combate hasta el final, como un pueblo cultivado cuya herencia de Goethe, de Beethoven y de Kant es tan sagrada como su hogar y su tierra. Nos hacemos garantes de ello con nuestro nombre y nuestro honor.
Los restantes firmantes se repartían de la siguiente manera: diecisiete artistas, doce teólogos (entre los que figuraba Adolf von Harnack, director general de la Biblioteca Estatal de Berlín y de la Kaiser-Wilhelm-Gesellschaft, encargado también de dirigir la política cultural de Prusia en estrecha colaboración con el responsable de los asuntos universitarios del Ministerio de Cultura prusiano, Theodor Althoff), nueve poetas, siete historiadores, siete juristas, siete médicos (incluyendo al conocido Paul Ehrlich, premio Nobel de Medicina y Fisiología en 1908 y catedrático de Bacteriología de la Universidad de Berlín), cinco escritores, cuatro filósofos, cuatro filólogos, tres músicos, dos politólogos y el director del Deutschen Theaters de Berlín.
En el ambiente que reinaba entonces en Alemania era difícil —y arriesgado— oponerse públicamente a semejante declaración (en otros países tampoco fue fácil defender posiciones no beligerantes, como demuestra el caso de Bertrand Russell en Inglaterra). Sin embargo, pocos días después de su publicación, Georg Friedrich Nicolai, catedrático de Fisiología en la Universidad de Berlín, cuyo nombre ya apareció en el capítulo anterior, preparó una réplica que hizo circular entre sus colegas universitarios. Sólo tres personas se adhirieron a ella: Albert Einstein, ya instalado en Berlín procedente de Zúrich, y Wilhelm Förster, antiguo director del Observatorio de Berlín, uno de los principales inspiradores de la Sociedad Ética Alemana, y que, como hemos visto, ¡también había firmado el Manifiesto de los 93! El documento en cuestión, titulado Aufruft an die Europäer (Manifiesto a los europeos), fue distribuido a mediados de octubre y únicamente un estudiante de filosofía en Marburgo, Otto Buck, se solidarizó con él, pero ninguna publicación independiente lo difundió. Como constituye un excelente ejemplo del pacifismo que luchaba por abrirse paso aquellos años, lo reproduzco a continuación: [173]
Nunca jamás una guerra ha interrumpido tan intensamente la cooperación cultural. Y lo ha hecho en el mismo momento en que el progreso de la técnica y de las comunicaciones sugiere de manera muy clara que reconozcamos la necesidad de relaciones internacionales que necesariamente se dirigirán en la dirección de una civilización universal. Tal vez somos tan penosa e intensamente conscientes de la ruptura porque ya existían lazos de relación internacionales muy numerosos.Sin embargo, como ya señalé, el manifiesto no encontró apenas apoyo. Según Nicolai (1937: 40), «aun cuando encontramos numerosas aprobaciones en el envío privado del manifiesto, ni los que lo aprobaban querían firmarlo: a uno le parecía que el pasaje sobre Grecia no era históricamente del todo exacto, otro opinaba que tal manifiesto era demasiado tardío y otro que demasiado prematuro; otro consideraba inoportuno que la ciencia se mezclase con el comercio mundano, etcétera. La mayoría era demasiado cobarde o pensaba de otra manera. Incluso los mejores alemanes no querían por aquellos días convertirse en buenos europeos o no se atrevían, pero, como el manifiesto sólo podía tomar valor si era apoyado por la autoridad de hombres reconocidos, dejamos de lado nuestro plan». [174]
Difícilmente podemos sorprendernos. Todo aquél al que le importe algo una cultura mundial común está doblemente comprometido a luchar por el mantenimiento de los principios en que se basa. Y, sin embargo, aquéllos en quienes habría que haber supuesto tales sentimientos —sobre todo los científicos y los artistas— hasta el momento han dicho casi exclusivamente cosas que hacen sospechar que han abandonado el deseo de que continúen las relaciones internacionales. Se han expresado con un espíritu hostil, no han hablado en defensa de la paz.
Esa actitud no se puede disculpar en nombre de ninguna pasión nacional, es indigna de lo que hasta ahora el mundo ha denominado cultura y que se convirtiese en la pauta general entre los intelectuales sería una profunda desgracia, pero no sólo una desgracia para la cultura sino que —de ello estamos firmemente convencidos— también haría peligrar la propia existencia de las naciones para cuya protección se ha desencadenado esta barbarie.
La tecnología ha empequeñecido el mundo. De hecho, las naciones de la gran península europea parecen hoy estar tan próximas como en los viejos tiempos lo estaban las ciudades-Estado de cada una de las pequeñas penínsulas mediterráneas. Viajar está tan extendido, la exportación y la importación internacionales tan interrelacionadas, que Europa —casi se podría decir, el mundo entero— constituye una unidad.
Sería, pues, un deber de los europeos con educación y buena voluntad intentar al menos impedir que Europa sucumba, por una falta de organización internacional, al mismo destino trágico que en otro tiempo destruyó a Grecia. ¿Debe agotarse poco a poco Europa y morir por una guerra fratricida?
La guerra que ruge difícilmente puede dar un vencedor; todas las naciones que participan en ella pagarán, con toda probabilidad, un precio extremadamente alto. Por consiguiente, parece no sólo sabio sino obligado para los hombres instruidos de todas las naciones que ejerzan su influencia para que se firme un tratado de paz que no lleve en sí los gérmenes de guerras futuras, cualquiera que sea el final del presente conflicto. La inestable y fluida situación en Europa, creada por la guerra, debe utilizarse para transformar el continente en una unidad orgánica. Técnica e intelectualmente, las condiciones están maduras para tal proceso.
Éste no es el lugar para discutir cómo se puede lograr esa nueva organización. Nuestro único propósito es afirmar nuestra profunda convicción de que ha llegado el momento de que Europa se una para defender su territorio, su gente y su cultura. Estamos manifestando públicamente nuestra fe en la unidad europea, una fe que creemos compartida por muchos; esperamos que esta afirmación pública de nuestra fe pueda contribuir al crecimiento de un movimiento poderoso hacia tal unidad.
El primer paso en esa dirección sería el que unan sus fuerzas todos aquellos que aman realmente la cultura de Europa; todos aquéllos a los que Goethe proféticamente llamó «buenos europeos». No debemos abandonar la esperanza de que, hablando al unísono, su voz pueda, incluso hoy, elevarse por encima del choque de las armas, en particular si se les unen aquellos que ya disfrutan de renombre y autoridad.
El primer paso, lo repetimos, es que los europeos unan fuerzas. Si como es nuestra esperanza más profunda, se encuentran suficientes europeos —gente para la que Europa es una causa vital, más que un término geográfico— en Europa, nos dedicaremos a organizar una Liga de Europeos. Esta liga podría entonces levantar su voz y ponerse en acción.
Lo único que pretendemos nosotros es realizar el primer movimiento, lanzar el reto. Si piensa como nosotros, si también está decidido a crear un amplio movimiento en favor de la unidad europea, le rogamos que contribuya con su firma.
Volviendo al «Manifiesto de los 93», su contenido produjo inmediatamente violentas reacciones, especialmente entre los franceses, quienes, por otra parte, no se caracterizaban por sentir un gran amor por la cultura germana. Menos de un mes después de la publicación de ese manifiesto, el 3 de noviembre de 1914, la Académie des Sciences declaraba que: [175] «La Académie tiene que recordar que las civilizaciones latinas y anglosajonas son las que han producido durante tres siglos la mayor parte de los grandes descubrimientos en las ciencias matemáticas, físicas y naturales, siendo asimismo las autoras de las principales invenciones realizadas a lo largo del siglo XIX. La Académie protesta, por consiguiente, contra la pretensión de ligar el futuro intelectual de Europa con el futuro de la ciencia alemana y contra la afirmación de que la salud de la civilización europea se encuentra en la victoria del militarismo alemán, solidario de la cultura alemana».
La indignación francesa continuó creciendo y un profesor, Gabriel Petit, acompañado de un periodista de Le Figaro, Maurice Leudet, se encargaron de coordinar una obra colectiva en la que 28 especialistas (todos menos uno, William Ramsay, franceses) manifestaban su opinión sobre la ciencia alemana. El libro apareció en 1916 con el título Les allemands et la science (Petit y Leudet, coords., 1916). Naturalmente, casi todas las opiniones que se recogían sobre las contribuciones de los científicos alemanes eran muy críticas y se aprovechaba toda ocasión para ensalzar la ciencia francesa. [176] En el prefacio, Paul Deschanel, de la Académie Française y presidente de la Cámara de Diputados, afirmaba que «en la concepción germánica, la ciencia, la historia, la filosofía, la religión son fuerzas nacionales, como la armada, la diplomacia, la economía. Desde este punto de vista, la ciencia no es algo universal y humano sino un servicio del Estado. Como Alemania debe dominar a las otras naciones, la “ciencia alemana”, debe ser superior a la de los otros pueblos. En palabras de Fustel de Coulanges, “el interés de Alemania es el fin último de sus infatigables investigadores”». Por su parte, los coordinadores aprovechaban el prólogo para indicar que el «Llamamiento a las naciones civilizadas» no era sino una muestra más de «hasta qué punto el alma alemana sigue siendo bárbara, bajo la máscara insolente de la Kultur».
Aunque el manifiesto preparado por Nicolai que firmó Einstein tuvo poco eco, tampoco pasó desapercibido y otras personas que se oponían a la guerra se interesaron por Einstein. Uno de ellos fue el ingeniero y pionero de la telegrafía sin hilos conde Georg von Arco, que acogió a Einstein en una asociación —de clara tendencia izquierdista— fundada en noviembre de 1914, cuya meta era un rápido final de la guerra y el establecimiento de un orden internacional basado en la competición pacífica entre las naciones europeas: la Bund Neues Vaterland (Liga de la Nueva Patria). Aunque no fue uno de sus fundadores, Einstein se adhirió pronto a ella, en marzo de 1915 (su carné tenía el número 29). Unas líneas que envió el 15 de noviembre de 1918 —esto es, cuatro días después de que Alemania firmase el armisticio que reconocía su derrota— a Ludwig Quidde, vicepresidente del Consejo Nacional Provisional de Baviera, dan idea tanto del grado en que se involucró Einstein en esa organización como de sus propias ideas políticas (CPAE, 1998 b: 947): «Liga de la Nueva Patria se dirige a la realización del Socialismo a través de la Democracia. Quiere propagar esta idea entre todos los grupos de la población. Nuestra siguiente meta es la convocatoria de una Asamblea Nacional Constituyente».

Einstein en su estudio de Berlín, hacia 1916.
En aquellos convulsos años, la implicación de Einstein en la política fue creciendo a la par que hacía nuevas amistades. Una de ellas fue el político, escritor y empresario judío-alemán Walther Rathenau, quien durante la primera república alemana, conocida como la República de Weimar, surgida de la revolución de noviembre de 1918 que obligó a Wilhelm II a abdicar, fue ministro de Reconstrucción en 1921 y, al año siguiente, de Asuntos Exteriores, ministerio a cuyo cargo asistió a las conferencias sobre reparaciones de guerra de Génova y Cannes, donde consiguió reducir dichos pagos, actuación que contribuyó a que fuese asesinado el 22 de junio de 1922. Pues bien, el 8 de marzo de 1917, Einstein expresaba a Rathenau algunos puntos de sus ideales políticos (CPAE, 1998 a: 399):
Estoy convencido de que los representantes de los intereses económicos no deberían tener a mano armamento militar. Si con la gran nueva carga de deuda de los estados independientes esta meta no se puede lograr de otra manera, yo preferiría con mucho la bancarrota general del Estado. Bajo semejante base, en absoluto se puede adjudicar legitimidad a la existencia de estados supranacionales. El Estado me parece justificado solamente como el soporte de instituciones para el beneficio comunal, tales como hospitales, universidades, policía, etcétera. Esto es por lo que no comprendo por qué sería deseable la existencia de estados más grandes que la provincia de Brandeburgo. En mi opinión, solamente en pequeños distritos puede tener estabilidad permanente una nación-Estado. Para mí, Suiza es un modelo en este aspecto a pesar de que los estados individuales son tan pequeños que apenas pueden cumplir con las funciones que he mencionado antes.Otra de las relaciones que inició por aquel entonces fue con el escritor y pacifista francés Romain Rolland. Se conocieron el 21 de marzo de 1915 y el día siguiente Einstein le escribía lo siguiente (CPAE, 1998a: 103): «De los periódicos diarios y a través de mis relaciones con la altamente acreditada “Liga de la Patria”, he sabido con qué coraje ha puesto en riesgo usted su vida y persona para eliminar la ominosa falta de entendimiento entre el pueblo alemán y el francés […]. Pongo mis débiles poderes a su disposición en caso de que piense que pueden servirle para algo, ya sea mediante mi residencia o mis conexiones con alemanes o extranjeros de las ciencias exactas».
Como vemos, a medida que avanzaba la guerra, las ideas políticas de Einstein se desarrollaban y también se radicalizaban, si es que no habían sido así antes, aunque en estado latente. Y a pesar de estar, inevitablemente, sumergido en aquel ambiente y de sufrir durante algún tiempo —especialmente en 1916-1917— graves dolencias (especialmente, del hígado), Einstein continuó pugnando por encontrar y desarrollar la teoría relativista de la gravitación que deseaba.
§. Noviembre de 1915
Noviembre de 1915 fue el mes decisivo en el desarrollo de la relatividad general. Hasta entonces, Einstein se había conformado con la teoría que había desarrollado junto a Grossmann en 1913, aunque, desde luego, no se puede decir que llegase a estar plenamente satisfecho con ella. Fue en tres sesiones consecutivas de la Preussische Akademie der Wissenschaften, el 4, 11 y 18 de noviembre, cuando Einstein (1915 a, b, c) presentó dos nuevas teorías, todavía no la definitiva, que lo conducirían casi inmediatamente a la relatividad general, teoría que comunicaba a la Akademie en la sesión del 25 de noviembre.
Algunos de los motivos que explican la evolución de las ideas de Einstein se encuentran en la introducción a su primera comunicación. Allí Einstein (1915 a: 778-779) escribía:
Durante estos últimos años, me he esforzado mucho por tratar de construir una teoría de la relatividad general basada en la suposición de la relatividad de los movimientos no uniformes. Incluso llegué a pensar que había descubierto la única ley de gravitación que correspondía análogamente al postulado de la relatividad general y quise demostrar la necesidad de que fuese precisamente ésta la solución en un artículo publicado en esta misma revista el año pasado [ Sitzungsberichte,1066-1077(1914)].Vemos, por consiguiente, que Einstein se encaminaba de nuevo hacia una teoría que satisficiera el requisito de covariancia general. De hecho la primera teoría de noviembre de 1915 sólo era covariante —como Einstein señalaba en la cita anterior— para transformaciones de jacobiano igual a la unidad, una restricción que tenía como principal motivo el que con esa elección las leyes de transformación de los tensores experimentan una importante simplificación. [177]
Un nuevo examen [de esta cuestión] me demostró que la necesidad [de esta solución] no se puede probar en absoluto por el método allí propuesto, fue debido a un error el que pareciese ser así. El postulado de relatividad, en el sentido implicado [en aquel artículo], se satisface siempre si uno toma como base el principio de Hamilton; sin embargo [el postulado de relatividad], no proporciona en realidad ningún medio de determinar la función hamiltoniana H del campo gravitacional. En la práctica, sólo afecta a la ecuación que restringe la elección de H, en el sentido de que H debería ser invariante con respecto a transformaciones lineales, un requisito que no tiene ninguna utilidad para lograr la relatividad de [los movimientos] acelerados […].
Debido a estas razones, perdí toda fe en las ecuaciones que había establecido y comencé a buscar un camino que restringiese las posibilidades en una forma natural. Así volví al requisito de covariancia general para las ecuaciones del campo , requisito del que por primera vez y con gran pesar me había apartado hace tres años cuando trabajé junto a mi amigo Marcel Grossmann. De hecho, por aquel entonces llegamos ya muy cerca de la solución que en lo que sigue doy al problema.
Lo mismo que la teoría de la relatividad especial está basada en el postulado de que las ecuaciones deben ser covariantes con respecto a transformaciones lineales y ortogonales, la teoría desarrollada aquí está basada en el postulado de la covariancia de todos los sistemas de ecuaciones con respecto a las transformaciones cuyo determinante es 1.
La fascinación de esta teoría a duras penas abandonará a todo aquel que la haya manejado. Representa un auténtico triunfo del cálculo diferencial absoluto fundado por Gauss, Riemann, Christoffel, Ricci y Levi-Civita.
Vamos ahora a comentar los principales puntos de las teorías que Einstein presentó en sus comunicaciones del 4, 11 y 18 de noviembre. Las ecuaciones de campo que Einstein proponía eran
R'αβ = kT'αβ
dondeRαβ = R'αβ + R'αβ
Siendo Rαβ el tensor de Ricci, y
Pero existían problemas que únicamente se evitaban si se exigía que la traza del tensor energía-momento, Tαβ (esto es, la suma de todos los términos iguales, Taa) fuese cero. Exigir que T = 0 era algo demasiado fuerte, puesto que las ecuaciones del campo gravitatorio deben ser aplicables para cualquier distribución de materia y es evidente que bajo estas condiciones T no será, en general, igual a cero. En resumen, Einstein se enfrentaba con la siguiente disyuntiva: su teoría no era correcta o, si lo era, T = 0.
Por esta u otras razones, Einstein no se sintió satisfecho con esta teoría durante mucho tiempo. El 11 de noviembre presentaba a la academia otro nuevo trabajo (Einstein, 1915 b) en el que las ecuaciones del campo resultaban ser
Rαβ = k·Tαβ
Al día siguiente (12 de noviembre) Einstein escribió a Hilbert anunciándole que por fin había encontrado unas ecuaciones de campo totalmente covariantes.Lo primero que destaca de estas ecuaciones es que son las mismas que Einstein y Grossmann habían descartado en 1913. Entonces creyeron que no tenían el límite newtoniano adecuado, ahora Einstein no sólo se daba cuenta de que esto no era así sino que, además, en algún momento entre el 11 y el 18 de noviembre, cuando presentó su resultado a la Preussische Akademie der Wissenschaften, Einstein (1915 c)conseguía demostrar que la correspondiente ecuación para el vacío
Rαβ = 0
explicaba el movimiento anómalo del perihelio de Mercurio. Entusiasmado, el 18 de noviembre, escribía a Hilbert, que, como veremos más adelante, estaba muy interesado en estos desarrollos (CPAE, 1998 a: 201-202):El sistema que usted me proporcionó está de acuerdo exactamente, por lo que puedo ver, con lo que he encontrado las semanas pasadas y he presentado a la Preussische Akademie der Wissenschaften. La dificultad no era encontrar para los gαβ ecuaciones covariantes general, ya que esto se logra fácilmente con la ayuda del tensor de Riemann. Más bien, lo que fue difícil de reconocer es que estas ecuaciones son una generalización, esto es, una generalización simple y natural de la ley de Newton. Ha sido en las tres últimas semanas cuando he logrado esto (le envío mi primera comunicación), mientras que hace tres años con mi amigo Grossmann ya había tomado en consideración las únicas ecuaciones covariantes general posibles, que ahora se ha demostrado son las correctas. Con gran pesar nos distanciamos de ellas porque me parecía que la discusión física conducía a una incongruencia con la ley de Newton. Lo importante es que ahora se han superado las dificultades. Hoy presento a la Preussische Akademie der Wissenschaften un artículo en el que deduzco cuantitativamente, a partir de la relatividad general, sin ninguna hipótesis de guía, el movimiento del perihelio de Mercurio descubierto por Le Verrier. Hasta ahora ninguna teoría de la gravitación había logrado esto.A pesar de todo, su nueva teoría tenía gran parte de los problemas que afectaban a la anterior. Como la teoría era totalmente covariante, se podía elegir libremente el sistema de coordenadas, pero si se tomaba uno para el que el determinante de la matriz formada por los gαβ fuese constante, entonces R''αβ = 0 y, por tanto, esta ecuación se reducía a las del 4 de noviembre, lo que a la postre conducía de nuevo al absurdo resultado de que T = 0.
Poco después de publicar estas justificaciones para sus ecuaciones, Einstein se daba cuenta de que su teoría del 11 de noviembre podía modificarse, ligera pero al mismo tiempo dramáticamente, de forma que siguiese siendo totalmente covariante, pero sin imponer ninguna condición en la traza del tensor de energía-impulso. Así, el 25 de noviembre de 1915, Einstein (1915 d) presentaba a la Preussische Akademie der Wissenschaften su cuarta comunicación titulada «Die Feldgleichungen der Gravitation» («Las ecuaciones del campo gravitacional») que contiene las familiares ecuaciones de la relatividad general



Manuscrito de Einstein del artículo «Los fundamentos de la teoría de la relatividad general», 1916; la primera presentación completa de la relatividad general.
La teoría especial de la relatividad ha conducido a la conclusión de que la materia inerte no es nada más ni nada menos que energía que encuentra su completa expresión matemática en un tensor simétrico de segundo orden, el tensor de energía. Por consiguiente, en la teoría general de la relatividad, debemos introducir un correspondiente tensor de energía de la materia Tas […]. Se debe admitir que esta introducción del tensor de energía de la materia no está justificada por el postulado de relatividad únicamente. Por esta razón, lo hemos deducido aquí a partir del requisito de que la energía del campo gravitacional actúe gravitacionalmente de la misma forma que cualquier otro tipo de energía, pero la razón más fuerte para la elección de estas ecuaciones está en su consecuencia, que las ecuaciones de conservación del momento y de la energía […] son válidas para los componentes de la energía total.Son comentarios nada claros, pero también sucede con otras teorías complejas —el caso, por ejemplo, de la electrodinámica de Maxwell—: con el tiempo, la presentación y la justificación de las ecuaciones fundamentales del campo gravitacional de la relatividad general se fueron depurando y simplificando.
Un siglo después de que Einstein presentase aquel memorable trabajo, podemos imaginarnos sus sentimientos, cómo latiría su corazón; el día siguiente, el 26 de noviembre, escribía a Heinrich Zangger (CPAE, 1998 a: 205): «La teoría es de una belleza incomparable a la belleza de cualquier otra, pero sólo un colega la ha comprendido realmente y está buscando “nostrificarla” (expresión de Abraham) de una manera inteligente. En mi experiencia personal, difícilmente he llegado a conocer la miseria de la humanidad mejor que como resultado de esta teoría y todo lo relacionado con ella, pero no me molesta». El colega en cuestión era David Hilbert, quien, como veremos, había incorporado la teoría gravitacional de Einstein en una teoría unificada de la gravitación y el electromagnetismo.
§. Sobre el papel de las matemáticas en la física
De lo que hasta el momento he dicho relativo a la génesis de la relatividad general, se ve que en los primeros momentos imperaban las consideraciones físicas: principio de equivalencia, por qué en un disco que gira la geometría no es euclídea, etcétera. Sin embargo, a partir de un cierto momento, aunque aparecen y juegan un papel muy importante los argumentos de orden físico, existe una dinámica, una heurística matemática, que es la que dirige o establece, en la mayor parte de las ocasiones, cuál es el siguiente paso que se debe dar. Existían motivos físicos para buscar un tensor de segundo orden, pero ¿por qué seleccionar precisamente el tensor de Ricci? La respuesta es obvia: porque existía un aparato matemático, desarrollado previamente por Gauss, Riemann, Ricci y Levi-Civita, con algunas de las características deseadas por Einstein, y en el que el tensor de Ricci jugaba un papel importante. Cuando Einstein y Grossmann escribían en 1913 Rαβ = 0 (o Rαβ =k·Tαβ), estaban imponiendo una estructura suplementaria a sus principios físicos y este suplemento no tenía otra justificación que la de viabilidad de un aparato matemático preexistente (llamaré a esto «heurística matemática»). De esta forma, tenemos que la historia de la relatividad general nos proporciona un ejemplo importante de un aspecto —la heurística matemática— de la relación entre física y matemática. Los ejemplos que se manejan normalmente son aquéllos en que la física juega el papel director; así, se menciona como muestra típica el que Newton construyese (en su teoría de «fluxiones») el «cálculo» con el propósito específico de estudiar los movimientos (la variable «fluente» era el tiempo y el «fluxión» la velocidad instantánea). Esto es, el «análisis», disciplina que ha dominado el pensamiento matemático durante más de dos siglos, debe su origen a la física. Otro ejemplo que se suele utilizar es el del desarrollo de las «ecuaciones diferenciales» y de lo que ahora se conoce como «cálculo avanzado», ambos íntimamente unidos a la articulación del programa newtoniano en el siglo XVIII. La historia de la ciencia real es, sin embargo, mucho más compleja de lo que estos casos, importantes pero no exclusivos, pueden hacer creer. El desarrollo de la relatividad general así lo demuestra.
La geometrización de la gravitaciónUna característica fundamental, ineludible, de la teoría de la relatividad general es que siendo una teoría de la interacción gravitacional, en cierto sentido esta fuerza desaparece, quedando subsumida en la estructura dinámica y no plana del espacio-tiempo. Por eso podemos decir que la fuerza gravitacional se «geometriza»; los cuerpos sometidos a la interacción gravitacional se mueven «libremente» en un espacio-tiempo riemanniano.
Por supuesto, es la energía (que incluye la masa; recuérdese, E = m·c2) la que deforma el espacio-tiempo, con respecto a una geometría plana», constituyendo algo así como una misma estructura. Un cuadro de Remedios Varo, pintora surrealista española afincada en México (1908-1963), titulado La ciencia inútil o el alquimista (1958) sirve para expresar metafóricamente la esencia de la relatividad general: la unión del espacio-tiempo con lo que éste contiene y cómo ese contenido condiciona su geometría: el vestido del alquimista y el propio alquimista, que surge del suelo, del espacio-tiempo.Al ser la geometría del espacio-tiempo variable, la medida del tiempo cambia de un punto a otro, ya que el tiempo depende del potencial gravitacional, que en esta teoría no es, recordemos, sino el tensor métrico. Esta propiedad del tiempo la expresan bien algunos cuadros de Salvador Dalí (1904-1989), con sus «relojes deformes», como el titulado La persistencia de la memoria (1931).
Salvador Dalí, La persistencia de la memoria (1931).
Ayuda, asimismo, a comprender la esencia de la teoría escribir, de manera simbólica, las ecuaciones del campo gravitacional de la relatividad general comoG = T
donde G representa la geometría, el espacio-tiempo, y T la energía-materia. Como ecuaciones que resolver, se pueden entender de dos formas en principio diferente. La primera, más propia de la física, es suponer que se conoce el contenido energético-material del sistema que se está considerando, esto es, el tensor de energía-momento, o lo que es lo mismo en la notación que ahora estoy empleando, T. En este caso, el problema es calcular el tensor métrico, gαβ, es decir, la estructura del espacio-tiempo, G. Dicho de otra forma: T suministra G.Pero también existe otra forma de leer las ecuaciones de Einstein: partir de un espacio-tiempo, de un G, fijo y determinar qué contenido energético-material, qué T, le corresponde.
Remedios Varo, La ciencia inútil o el alquimista (1958).
El físico estadounidense John Archibal Wheeler expresó con gracia y elegancia esta característica de la relatividad general en la siguiente frase: «La materia le dice al espacio cómo se debe curvar. El espacio le dice a la materia cómo se debe mover».
§. Una coincidencia tramposa: Einstein, Hilbert y las ecuaciones del campo gravitacional
David Hilbert no fue únicamente un eminente matemático sino que, como ya comenté, también se interesó vivamente por el desarrollo de la física. Aparte de su participación en el seminario sobre la teoría del electrón que tuvo lugar en Gotinga en 1905, durante la primera guerra mundial estuvo plenamente dedicado a la física. A Peter Debye, miembro de la Facultad de Gotinga desde el verano de 1914, le pidió que organizase un seminario donde se discutía la estructura de la materia. Otro dato que revela este interés de Hilbert es que escogió como asistente a Alfred Landé para que le informara de cómo evolucionaba la teoría cuántica. Fue durante este periodo cuando Hilbert se convirtió en un ferviente admirador de las ideas que Gustav Mie y Einstein estaban introduciendo en, respectivamente, la electrodinámica y la gravitación. El resultado final de esta admiración se manifestó el 20 de noviembre de 1915, fecha en la que Hilbert leyó en la Real Academia de Ciencias de Gotinga una comunicación en la que obtenía, con un matiz que discutiré más tarde, las ecuaciones del campo gravitacional de la relatividad general.
El trabajo de Hilbert que a nosotros nos interesa, aquél en el que aparecen las ecuaciones de la relatividad general, se titulaba «Die Gundlagen der Physik. I» («Fundamentos de Física. I»), cuyo contenido estaba enraizado en dos líneas de pensamiento: la de Mie y la de Einstein. Del primero, tomó su enfoque axiomático de la física (Mie trataba de plasmar analíticamente la visión electromagnética de la naturaleza explotando las posibilidades formales que dentro del contexto del principio de mínima acción le ofrecían lo que él llamaba « funciones de Universo», Weltfunktion), mientras que de Einstein adoptó su tratamiento geométrico de la gravitación. Utilizando sus propias palabras (Hilbert, 1915: 395):
La poderosa problemática de Einstein […], los agudos métodos de sus soluciones, los profundos pensamientos y las originales representaciones conceptuales […] que permitieron a Mie desarrollar su electrodinámica, han abierto un nuevo camino para examinar los fundamentos de la física.Los dos axiomas que se mencionan en la cita precedente reflejan de forma magnífica la manera en que Hilbert asumía los planteamientos de Einstein y Mie. En el primero, imponía la condición de que «las leyes de la física vienen determinadas por la función de Universo» que dependía del tensor métrico gαβ y de sus derivadas de primer y segundo orden, así como del potencial electromagnético, Aµ, y de su derivada primera, de manera que la variación de la función de Universo se anulase con respecto al tensor métrico y al potencial (se trataba, por tanto, de una aplicación del principio de mínima acción); es decir, con el primer axioma seleccionaba la función de Universo de Mie como piedra angular de toda teoría que pretendiese describir la naturaleza física, en la que se incluía tanto la fuerza gravitacional como la electromagnética. El segundo axioma establecía que la función de Universo debía ser invariante con respecto a una transformación de coordenadas arbitrarias, un requisito con el que se incorporaba el principio de covariancia general de Einstein. De hecho, Hilbert no desaprovechaba la ocasión de señalar que la primera teoría propuesta por Einstein el 4 de noviembre «no es en modo alguno invariante general, ni tampoco contiene los potenciales eléctricos» (este último aspecto tampoco sería modificado, como sabemos, por la teoría final).
En lo que sigue quiero establecer […] en el sentido del método axiomático […] un nuevo sistema de ecuaciones fundamentales de la física basándome en dos axiomas simples [y] de belleza ideal [con] los que, creo, se obtienen [al mismo tiempo] la solución a los problemas de Einstein y Mie.
Los axiomas I y II constituyen el esqueleto vital de la teoría de Hilbert, pero para llegar a donde él quería, necesitaba otra suposición que de hecho se puede considerar un nuevo axioma, en el que proponía una forma específica de la función universal: R + L, donde




La teoría de Hilbert, que pretendía describir toda la realidad física (electromagnetismo, teoría del electrón, gravitación), no hacía referencia alguna a la física. Era el producto de una filosofía (idealista) matemática que, aparte de Hilbert, tenía como principales representantes a Minkowski y a Hermann Weyl, filosofía según la cual el puro razonar matemático era suficiente para descubrir todas las leyes físicas de la naturaleza, pero, en aquella época, esta filosofía era ajena a Einstein, quien, el 24 de mayo de 1916, escribía a Paul Ehrenfest (CPAE, 1998 a: 288): «No me agrada la representación de Hilbert. Está indebidamente especializada en lo concerniente a la “materia”, indebidamente complicada, no es honesta (= gaussiana) en su propósito, [y refleja] la pretensión de un superhombre mediante un camuflaje de técnicas». Y de nuevo volvía al mismo tema unos meses más tarde (noviembre de 1916) cuando en una carta a Weyl afirmaba (CPAE, 1998 a: 366):
La suposición (Ansatz) hilbertiana sobre la materia me parece infantil, en el sentido de propia de niños que no conocen malicia en el mundo exterior. En vano busco yo una clave física en él [el mundo exterior] que permita construir la función hamiltoniana a partir de Φν, sin derivación. De cualquier manera, no se puede estar de acuerdo [con que] las firmes consideraciones que se derivan del postulado de relatividad se asocien con tales hipótesis infundadas acerca de la estructura de los electrones en su relación con la materia. Estoy dispuesto a admitir que la búsqueda de una hipótesis adecuada o función hamiltoniana para la construcción de los electrones, comprende una de las tareas más inmediatas de la teoría, pero el «método axiomático» poco puede ayudar en esto.Ahora bien, e independientemente de semejantes consideraciones, si Hilbert presentó su trabajo el 20 de noviembre y Einstein lo hizo el 25 del mismo mes, ¿cómo es que éste no contiene ninguna referencia a Hilbert?

David Hilbert, en una de las postales que se vendían en Gotinga en la época.

Einstein en Berlín, 1921.
Es de suponer que poco después Hilbert le suministró más detalles acerca de su conferencia, puesto que el día 18 Einstein escribía de nuevo a Hilbert diciéndole que, por lo que creía entender, su sistema estaba de acuerdo con el que él mismo había encontrado y comunicado a la Preussische Akademie der Wissenschaften la semana anterior (esto es, la teoría del 11 de noviembre). Ahora bien, las ecuaciones de Hilbert, según aparecen en la versión publicada de su conferencia, son formalmente equivalentes a las ecuaciones del 25 de noviembre y no a las del 11. ¿Cuál era el problema?
Resulta que el contenido de lo que presentó Hilbert a la Göttinger Gesellschaft der Wissenschaften (Academia de Ciencias de Gotinga) el 20 de noviembre no coincide con lo que apareció finalmente publicado. Como parte de su investigación en la historia del desarrollo de la relatividad general, en 1997 Leo Corry descubrió los ejemplares de las pruebas de imprenta del artículo del 20 de noviembre, corregidas (el 6 de diciembre) por el propio Hilbert. Y, al estudiarlas, comprobó que Hilbert modificó lo que había presentado el 20 de noviembre teniendo en cuenta el contenido del artículo de Einstein del 25 de noviembre (Corry, Renn y Stachel, 1997). [181]
Se comprende fácilmente el enfado de Einstein.
Emmy Noether, simetrías, leyes de conservación y relatividad generalSalvo Marie Curie, no he mencionado ningún nombre de mujer hasta ahora. La razón es clara: hasta hace bien poco, han sido escasas las mujeres que han alcanzado distinción en la ciencia, no por carencia de capacidad, sino por la más triste razón de que en general les fue negado el acceso a la educación superior. Ahora aparece la segunda mujer de este libro, la matemática alemana Emmy Noether (1882-1935),«sucesora» de otras matemáticas ilustres anteriores a ella, como Sophie Germain (1776-1831) y Sofia Kovalevskaya (1850-1891).Y nos aparece por su trabajo en la teoría de la relatividad general.
Después de asistir durante ocho años a la Städtischen Höheren Töchterschule (Escuela Municipal de Educación Superior para Hijas) de Erlangen, donde su padre, Max, era un distinguido catedrático de Matemáticas de la universidad, Emmy pasó con excelentes calificaciones los exámenes del Estado de Baviera para maestros de Inglés y Francés. Con ello estaba calificada para enseñar idiomas extranjeros en cualquier institución educativa femenina, pero a Emmy Noether esto no le bastaba, ella quería estudiar en la universidad. Tal vez por sus relaciones familiares, pudo lograrlo en una universidad (Erlangen), cuyo Senado había declarado en 1898 que la admisión de mujeres estudiantes «destrozaría todo orden académico». De hecho, de entrada, Noether únicamente obtuvo permiso para asistir a las clases y no le era posible examinarse; a partir de 1903, cuando la universidad cambió sus estatutos (de los 985 compañeros de Emmy en el semestre de invierno de 1900, únicamente una era mujer), pudo empezar a presentarse a los exámenes. El 13 de diciembre de 1907 obtenía el grado de doctor con una tesis titulada Über die Bildung des Formensystems der tornaren biquadratischen Form ( Sobre sistemas completos de invariantes para formas ternarias bicuadráticas ) por la que recibió la calificación de Summa Cum Laude; su mentor fue Paul Gordan. [182]
Durante los años siguientes, trabajó en el Instituto Matemático de Erlangen sin recibir ningún salario; ayudaba a su padre, ya mayor, y desarrollaba sus propios proyectos, especialmente en el campo de la teoría de los invariantes algebraicos. En 1916 se trasladó a Gotinga. Dejemos en este punto que sea Hermann Weyl (1935: 206-207) quien hable con las palabras que utilizó en el obituario que dedicó a Emmy:Durante la guerra, en 1916 , Emmy llegó a Gotinga; gracias a la influencia directa de Hilbert y Klein que permaneció allí. Entonces, Hilbert tenía la cabeza puesta en la teoría general de la relatividad y, para Klein, también, la teoría de la relatividad y su relación con sus viejas ideas del programa de Erlangen suscitó la última llamarada de sus intereses y producción matemática […]. Tanto para Hilbert como para Klein, la presencia de Emmy fue bienvenida, ya que fue capaz de ayudarlos con sus conocimientos teóricos de los invariantes. Para ambos, ella dio formulación genuina y universal de los aspectos más significativos de la teoría de la relatividad general: primero, la reducción del problema de los invariantes diferenciales a uno puramente algebraico, utilizando «coordenadas normales»; segundo, las identidades entre los lados de la izquierda de las ecuaciones de Euler de un problema de variaciones, que tiene lugar cuando la integral (múltiple) es invariante con respecto a un grupo de transformaciones que involucran funciones arbitrarias (identidades que contienen el teorema de conservación de la energía y el momento, en el caso de invariancia con respecto a transformaciones arbitrarias de las cuatro coordenadas del mundo).Klein, en efecto, consideraba que lo que Einstein había hecho en realidad había sido aplicar la filosofía de su programa de Erlangen: si el núcleo central de la relatividad especial se podía interpretar como «el estudio de los invariantes bajo las transformaciones de Lorentz», la relatividad general no era «sino el estudio de los invariantes bajo transformaciones de coordenadas arbitrarias». En este sentido, recibió ambas teorías con gran entusiasmo, considerándolas un triunfo de los planteamientos esencialmente matemáticos (geométricos en este caso) en la física. En Gotinga, Noether abandonó durante un tiempo sus investigaciones sobre invariantes algebraicos para dedicarse a estudiar las relaciones en principios variacionales entre simetrías (o invariancias) y leyes de conservación, con el propósito último de aclarar el papel de las «identidades de Bianchi» en las ecuaciones del campo de la relatividad general. En 1918, resolvió el problema, publicando dos artículos (Noether, 1918 a, b) que contienen lo que se denominan «teoremas de Noether», unos instrumentos matemáticos esplendorosos no sólo (ni siquiera principalmente) para la relatividad general sino para el conjunto de la física teórica. [183] Einstein, por cierto, recibió con entusiasmo estos trabajos de Noether; en este sentido, escribía a Hilbert el 24 de mayo de 1918 (CPAE, 1998 b: 774): «Ayer recibí un artículo muy interesante de la señorita Noether sobre la generación de invariantes. Me impresiona que estas cosas puedan ser tratadas desde un punto de vista tan general». Y añadía: «No habría hecho daño a la vieja guardia de Gotinga haberles enviado a la señorita Noether para que les diese clase». Unos meses más tarde, el 27 de diciembre, tras recibir el segundo de los artículos de Noether, repetía su admiración por ella, una matemática que, como mujer, era rechazada por los claustros universitarios, en una carta a Felix Klein (CPAE, 1998 b: 976): «Lo que me incita a escribirle hoy es un asunto diferente. Al recibir el nuevo artículo de la señorita Noether, de nuevo he sentido la gran injusticia que es el que le sea negada la venia legendi. Yo apoyaría con fuerza el tomar medidas de presión en el Ministerio».
Y volviendo al obituario de Weyl (1935: 207):Durante la guerra, Hilbert intentó impulsar la habilitación de Emmy Noether en la Facultad de Filosofía de Gotinga. Fracasó debido a la resistencia de los filólogos e historiadores. Es una anécdota muy conocida que Hilbert apoyó su solicitud declarando en una reunión de la Facultad: «No veo que el sexo de un candidato sea un argumento en contra de su admisión como Privatdozent. Después de todo, somos una universidad y no un balneario». No obstante, [Noether] fue capaz de dar clases en Gotinga, que eran anunciadas bajo el nombre de Hilbert, pero, en 1919 , después del final de la guerra y la proclamación de la República Alemana, las condiciones cambiaron y su habilitación ya fue posible. En 1922 , siguió su nombramiento como un Nichtbeamteter Auβerordentlicher professor, un mero título sin obligaciones ni salario asociados. Sin embargo, se le adjudicó un Lehrauftrag para álgebra, que llevaba una modesta remuneración.En esa situación permaneció hasta 1933. Simultáneamente, no obstante, su carrera como matemática creativa progresaba. He aquí cómo vio Weyl (1935: 208) aquella intrínsecamente antagónica situación:Cuando, en 1930 , obtuve un puesto permanente en Gotinga, con el mayor interés intenté del Ministerio conseguir para Emmy un puesto mejor, ya que me avergonzaba ocupar una posición por encima de ella, sabiendo como sabía que como matemática era superior a mí en muchos aspectos. No tuve éxito, tampoco logré nada con un intento de que fuese nombrada miembro de la Göttinger Gesellschaft der Wissenschaften. Tradición, prejuicios y consideraciones externas pesaron en contra de sus méritos y grandeza científica, que por entonces nadie negaba. Durante mis años en Gotinga, 1930-1933, considerando tanto la fertilidad de su programa de investigación científica como su influencia sobre un amplio círculo de discípulos, ella fue sin duda el centro de actividad matemática más fuerte.Con la llegada al poder de los nazis en enero de 1933, la situación se hizo aún peor para Emmy, quien, a su condición de mujer, añadía la de judía. En abril, se le retiró tanto la venia legendi como el Lehrauftrag (salario incluido, naturalmente). En julio, dos colleges femeninos, Bryn Mawr, en Pennsylvania, Estados Unidos, y Sommerville, en Oxford, se interesaron por conseguir sus servicios. Finalmente, con la ayuda económica de la Rockefeller Foundation, aceptó un puesto de un año académico de duración en Bryn Mawr College. En octubre embarcaba hacia el Nuevo Mundo.Sin embargo, en esta nueva fase de su vida, la matemática germana no tuvo suerte. Académicamente las cosas le fueron bien: a partir de febrero de 1934 comenzó a dar clases semanales en Princeton, no lejos de Bryn Mawr, donde le renovaron por un año más su contrato. El 14 de abril de 1935, Emmy Noether fallecía en el Bryn Mawr Hospital como consecuencia de una operación que en principio no parecía nada grave.
§. Karl Schwarzschild y su solución de las ecuaciones del campo gravitacional
El núcleo central de la teoría de la relatividad general son las ecuaciones del campo gravitacional, un sistema no lineal de diez ecuaciones en derivadas parciales al que complementa, en el movimiento de una partícula de prueba (una que por su pequeño tamaño, no perturba a su vez el campo gravitacional), la ecuación de las geodésicas, esto es, la que da la trayectoria más corta que une dos puntos en un espacio curvo (los meridianos, por ejemplo, en una esfera, que es una superficie curva bidimensional) y que expresada en forma matemática toma la forma, [184]

d?ds = 0
donde ds2 = gαβ (xµ)· dxα·dxβ. Veremos más adelante, qué sucede con el problema del movimiento en general.Como digo, la estructura de las ecuaciones del campo es compleja y, por consiguiente, son ecuaciones difíciles de resolver. Y es preciso resolverlas para ver cómo se mueven las partículas, de prueba o no, porque, como se ve en la anterior ecuación, aparecen los símbolos de Christoffel Γαμν, que están definidos en término de los gαβ, las incógnitas de las ecuaciones del campo gravitacional.
Cuando en noviembre de 1915 Einstein llegó a las ecuaciones finales de la relatividad general, ya sabía —lo predecían, aunque no con los mismos valores, teorías que había manejado antes— que existían tres pruebas posibles para comprobar la teoría: el movimiento del perihelio de Mercurio, la curvatura de los rayos de luz en presencia de un campo gravitacional y el desplazamiento de las líneas espectrales debido a ese mismo campo; recordemos que había conseguido demostrar que su teoría del 11 de noviembre explicaba, utilizando para ello el caso del vacío, el movimiento anómalo del perihelio de Mercurio, y que también había obtenido la ecuación correcta para la desviación de los rayos de luz. Ésta fue la predicción que se comprobó en el eclipse de 1919. El método que Einstein había seguido era el de buscar una solución aproximada (a segundo orden) de la ecuación de las geodésicas. Para ello impuso las condiciones siguientes: estaticidad, simetría esférica y carácter asintóticamente plano de la métrica. Finalmente, resolvió a primer orden las ecuaciones del campo. Lo que obtuvo era, en suma, el campo gravitatorio (métrica) aproximado que produce un cuerpo, de masa M, estático y con simetría esférica, situación que se podía asimilar, obviamente, con el sistema solar siendo el Sol la fuente con simetría esférica, en cuyo campo (en donde Tμν = 0) se mueven los planetas (Mercurio, por ejemplo), que en este esquema no son sino partículas de prueba que no modifican la estructura del campo gravitacional.
El gran problema, por lo menos conceptual, era la naturaleza aproximada, no exacta, de los resultados que obtenía. Fueron el astrónomo Karl Schwarzschild (1873-1916) y también, aunque menos conocido, el holandés Johannes Droste quienes resolvieron este problema.
Natural de Frankfurt am Main, la carrera científica de Schwarzschild fue una sucesión de éxitos. [185] Publicó su primer artículo, en la revista Astronomische Nachrichten, sobre la determinación de órbitas, cuando tenía 16 años. Se doctoró en Münich, bajo la dirección de quien seguramente era el principal astrónomo alemán de la época, Hugo von Seeliger, con una tesis sobre «La teoría de Poincaré del equilibrio de un cuerpo fluido, homogéneo y en rotación» (1896). Fue ayudante en el Observatorio de Viena (octubre de 1896), Privatdozent en la Universidad de Münich (1899), director del Observatorio de Gotinga desde octubre de 1901, aunque en principio, debido a su juventud, con el nombramiento de profesor extraordinario y no catedrático, nombramiento este que llegó en mayo de 1902. Aunque era feliz en Gotinga, no pudo, o no supo, rechazar la oferta que se le hizo en agosto de 1909 para dirigir el observatorio más importante de Alemania, el Observatorio de Postdam. Pocas semanas después del inicio de la primera guerra mundial, Schwarzschild se presentó voluntario para incorporarse al ejército. Por su edad y por su posición no habría sido llamado a filas, al menos no tan pronto, pero, como explicó más tarde su esposa Else a sus hijos, se sintió obligado a hacerlo porque era de origen judío: luchar era una forma de combatir el antisemitismo. En septiembre de 1914, fue enviado a dirigir una estación meteorológica en Namur (Bélgica), pasando después a servir en el cuerpo de artillería, en parte en la región de Argonne (Francia) y en parte en Rusia.

Karl Schwarzschild en 1900.
ds2 = (1 – 2G·m/c2·r)-1·dr2+ r2 ·(d?2 + sen2?·df2) – (1 – 2G·m/c2·r)·c2·dt2
donde G es la constante de gravitación universal, m la masa de la fuente del campo gravitacional, r la distancia del cuerpo al centro de fuerzas, y (θ, φ) las coordenadas polares. Suponiendo que esta solución representaba el campo gravitacional producido por el Sol y que los planetas se podían asimilar a partículas de prueba que giraban alrededor del Sol, era fácil obtener de manera exacta los valores para las tres pruebas clásicas antes citadas.Durante décadas, prácticamente la relación de la relatividad general con la experiencia se limitó a esta solución, salvo, si acaso, en lo que se refiere a los modelos cosmológicos. Un problema obvio en esa solución surgía en dos situaciones: una, para r = 0, ya que entonces en el último término, el2G·m/c2·r se hace infinito; otra, si (1 – 2G·m/c2·r) es igual a cero, que implica que el primer término de la derecha de la segunda parte de la igualdad se hace infinito (A/0 = 8, si A?0). ¿Y cuándo se hace cero ds? Evidentemente, en aquellos lugares en los que 1 = 2 G·m/c2·r, o lo que es lo mismo, cuando
r = 2G·m/c2
A este r se le ha denominado «radio de Schwarzschild», RS. Hasta los años sesenta, esta «singularidad» se consideró un «fantasma matemático», algo que debía descartarse y que, de hecho, podía evitarse con el contenido del segundo artículo de Schwarzschild, que éste completó en marzo de 1916 (Schwarzschild, 1916 b). En él daba la solución exacta (también con simetría esférica) en el interior de una esfera de fluido de densidad constante. Ahora bien, como la primera métrica de Schwarzschild describe la geometría en el vacío, esto es, en el exterior del cuerpo que produce el campo gravitacional, si el radio de Schwarzschild está en el interior de ese objeto, descrita por la segunda solución en la que no aparecen singularidades, la solución ya no es ahí válida y, por consiguiente, no existirá el problema, pero, si éste no es el caso, sí que existirá un problema. Así, si tomamos un cuerpo de la masa de nuestro Sol, RS es del orden de tres kilómetros, es decir, dentro del radio del Sol y no habrá problema. Sin embargo, si existiesen objetos astronómicos de la masa del Sol pero con radio inferior a tres kilómetros, sí que lo habría. No parecía que existieran semejantes objetos, pero, como se demostró en el último tercio del siglo XX, resultó que sí existen cuerpos con varias veces la masa del Sol (por ejemplo, estrellas de neutrones, que pueden tener masa del orden de tres veces la del Sol y radios de alrededor de la docena de kilómetros). Claro que Einstein nunca lo supo.
Einstein en Berlín, en la casa de Von Laue: Nernst, Einstein, Planck, Millikan y Laue, 1928.
Casi inmediatamente después de completar su segundo artículo, Schwarzschild contrajo una rara, dolorosa e incurable enfermedad de la piel, pénfigo, y falleció en mayo. Tenía 42 años.
Fue precisamente en mayo cuando el holandés Johannes Droste, un discípulo de Lorentz del que hablaré enseguida, resolvió de manera exacta las ecuaciones de Einstein en el vacío para el caso estático y esféricamente simétrico. La deducción de Droste (1916) no estaba limitada por la restricción de la métrica que había dificultado la labor de Schwarzschild. [187]
§. La recepción de la relatividad general
Si la relatividad especial tardó un tiempo en ser reconocida y difundida, todo lo contrario ocurrió con la relatividad general. Su impacto fue poco menos que instantáneo, lo que no quiere decir que fuesen muchos los capaces inicialmente de comprender su contenido. Bien es verdad que en 1915 el nombre de Einstein significaba mucho y sus trabajos eran seguidos casi con religiosa atención por sus colegas científicos, pero, por otra parte, a diferencia con el caso de la relatividad especial, en 1915 el estudio de la gravitación no estaba demasiado extendido. La investigación que por aquel entonces estaba en el candelero era la relativa a los fenómenos cuánticos y, de hecho, gran parte de los físicos contemplaban con desesperación cómo su líder se ocupaba de otras cuestiones. Así, en 1912, Sommerfeld había escrito a Hilbert (Hermann, ed., 1968: 27): «Mi carta a Einstein fue en vano […], está evidentemente tan inmerso en la gravitación que está sordo a cualquier otra cosa».
Fueron sobre todo los físicos de la «vieja guardia», aquellos que no fueron capaces de abandonar el marco de la física decimonónica y que sí se interesaban por la gravitación, los que encontraron más dificultades. Un ejemplo en este sentido, lo proporcionan dos ilustres maxwellianos, Joseph Larmor y Oliver Lodge. El 20 de octubre de 1916, Larmor escribía a Lodge: [188]
Einstein está tan poco satisfecho con un éter y el movimiento relativo con respecto a él que ha hecho del campo gravitacional una modificación del espacio que lo rodea […]. Y nuestro amigo Lorentz está fascinado por ello, más bien como un ejercicio matemático que como una teoría filosófica.Larmor, un producto del sofisticado Mathematical Tripos de Cambridge, no tenía dificultades con las matemáticas de la relatividad general, pero sí con su contenido. Diferente y no exento de cierto dramatismo era el caso de Oliver Lodge. En una fecha tan tardía como el 27 de mayo de 1929, Lodge confesaba a Edmund Whittaker sus problemas con la nueva física, basados en sus carencias matemáticas:
Le agradezco que me haya enviado su conferencia sobre « ¿Qué es la Energía?», [189] pero estoy aterrado al encontrar que no puedo seguirla, esto es, entenderla, en absoluto. Más bien me sorprende que haya que introducir tensores en relación con algo tan fundamental como la energía. Ni siquiera sé lo que es un tensor. Sé que un vector es un escalar con dirección además de magnitud. Uno ha tenido que acostumbrarse a los vectores. Supongo que un tensor es un vector con algo añadido, pero ¿qué? ¿Es un giro o lo que Robert Ball llamaba un tirón? A mi edad ya no voy a aprender el cálculo tensorial pase lo que pase. Y estoy muy sorprendido de que la conservación de la energía tenga que mezclarse con la conservación del momento para hacer un enunciado completo […].«Ni siquiera sé lo que es un tensor», decía, así que ¿cómo iba a poder entender la relatividad general?
Es la parte final de su conferencia la que me hace desesperar de entender la visión moderna. Siento que más tarde o más temprano se dará con una manera más simple de especificar cosas fundamentales. Matrices y tensores no son el tipo de armas matemáticas que yo pueda imaginar que utilice la posteridad con satisfacción, incluso si son necesidades provisionales. Pero veo que usted va más allá de las necesidades provisionales y no nos saca del barrizal preparado por Dirac y otros .[190]
Hay muy poco consuelo en admitir que la materia es una forma de energía, si la energía resulta no ser nada concreto sino sólo una abstracción matemática.
Aparte de la ignorancia matemática, había también una antipatía muy británica por las teorías «meramente matemáticas», basada en la creencia de que la física no era lo mismo que las matemáticas, incluso aunque la primera se sirva de las últimas. Como la mayoría de los científicos del siglo XIX, Lodge pensaba que uno debería entender los fenómenos físicos de forma dinámica. Así, confesaba a Larmor (9 de septiembre de 1922):
El análisis matemático deja correctamente el mundo detrás y se eleva a una región propia. En el suplemento literario de The Times, un escritor ha dicho recientemente que la música hace lo mismo y, de forma bastante iluminadora, comenta que ésta es la razón por la que puede haber niños prodigio en música y en matemáticas que no tienen posibilidad de experiencia real. La relatividad nos enfrenta al intento de enlazar estos vuelos matemáticos con el hecho físico. Es extraño que los fenómenos físicos permitan ser expresados de esta manera, pero no puede ser la única manera de expresarlos. Debe de haber también un método dinámico. Pero hasta que hayamos desarrollado la dinámica del éter, encontramos que podemos proceder por métodos no dinámicos, precisamente como MacCullag encontró hace tiempo. [191]En cierto sentido, él se veía a sí mismo y a Larmor como misioneros en una tierra extraña, la tierra de la física matemática y la relatividad expresada matemáticamente; su obligación era dar sentido físico a la teoría: «Era seguro —escribía también en la última carta mencionada que el matrimonio intentado entre la Física Genuina y la Hiper-Geometría iba a llevar a confusiones. Sin duda se resolverán, básicamente quizá con nuestra ayuda, pues yo no conozco a nadie más que pueda empuñar ambas armas con igual facilidad».
Sin embargo, a pesar de sus lagunas matemáticas y la ignorancia del contenido físico de la relatividad general, Lodge no dudaba en entrar en discusiones con otras personas acerca de lo que significaba la teoría o de cuáles eran sus consecuencias. Es una suerte que Lodge fuera así, pues nos ayuda a descubrir lo que pensaban sobre la relatividad otros científicos británicos ya en 1917. Uno de ellos era James Jeans. En respuesta el 14 de agosto de 1917 a una carta de Lodge, Jeans afirmaba: «Estoy totalmente de acuerdo respecto a la complejidad de la presentación de la relatividad. Einstein no es un matemático diestro o sospecho que podría haber presentado mucho mejor todo el tema».
Pero incluso teniendo en cuenta la incapacidad para entender o el rechazo a la relatividad general de algunos, la original y profunda solución que Einstein dio al problema de la gravitación (el mismo tema que había coronado a Newton) no podía pasar desapercibida. Y no lo hizo. La casi totalidad de los físicos de élite de la época aceptaron y admiraron la teoría de Einstein y, a la cabeza de todos ellos, Hendrik Lorentz, que a pesar de lo mucho que estaba entroncado con la física del siglo XIX, había sabido y querido adaptarse y entender la nueva física, hasta tal punto que sus opiniones eran respetadas y buscadas por sus colegas. Aunque Lorentz tardó en aceptar la relatividad especial, no ocurrió lo mismo con la relatividad general, como podemos ver por el siguiente párrafo de una carta que su discípulo Adriaan Fokker, escribía el 3 de febrero de 1916, poco después, por tanto, de que Einstein llegase a su solución definitiva, escribía a Niels Bohr en la que expresaba opiniones que compartían muchos de sus colegas: [192] «Recientemente Einstein ha acabado su teoría de la gravitación. Encontró la manera de poner sus ecuaciones en una forma absolutamente covariante y de explicar el movimiento secular del perihelio de Mercurio. Lorentz se ha entusiasmado mucho [con la teoría de Einstein] después de un periodo de duda y cálculos de prueba. Ehrenfest cree que tal vez después de cien años se demostrará que el descubrimiento de Einstein ha tenido, con mucho, más importancia que esta guerra [la primera guerra mundial] interminable».
En una carta del 6 de junio de 1916, Lorentz informaba a Einstein que «los últimos meses me he estado ocupando mucho de su teoría de la gravitación y teoría general de la relatividad y también he dado clases sobre ella, lo que me resultó muy útil. Ahora creo que comprendo la teoría en toda su gloria; examinándola con más cuidado, fui capaz de superar toda dificultad que encontré. También he tenido éxito en deducir sus ecuaciones del campo […] del principio variacional, aunque todavía me falta un pequeño detalle en la deducción, que requiere lo que considero largos cálculos» (CPAE, 1998 a: 295).
Como vemos, Lorentz no aceptó la relatividad general de una forma pasiva sino que colaboró de manera importante a su desarrollo, un aspecto este de la actividad de Lorentz que se suele olvidar. Entre sus trabajos posteriores a 1915 figuran un buen número de artículos dedicados a la relatividad general que constituyen importantes contribuciones a la teoría. Aparte del trabajo sobre el principio de mínima acción y las ecuaciones del campo gravitacional al que se refería en la cita anterior (Lorentz, 1915), destacan sus trabajos sobre el problema del movimiento, esto es, cómo calcular el movimiento de cuerpos en presencia de un campo gravitacional regido por las ecuaciones de Einstein (como vimos, el problema del movimiento en la teoría de la relatividad general es en extremo complejo y sólo es relativamente sencillo para el caso de una partícula de prueba). [193]
Aunque Lorentz no fue nunca un hombre que tuviese muchos doctorandos, dos de ellos, Adriaan Fokker (1887-1972) y Johannes Droste (1886-1963), se ocuparon, siguiendo su consejo, de la relatividad general. Fokker completó su tesis, sobre temas relacionados con la física cuántica en 1913 y, poco después, se marchaba —con el asentimiento y la ayuda de Lorentza trabajar con Einstein, con quien publicó un artículo relativo a la teoría de Nordström (Einstein y Fokker, 1914) que ya apareció en estas páginas. Más tarde, en 1917, Fokker extendía el tratamiento variacional de Lorentz, completando después sus contribuciones a la relatividad general con un importante trabajo (Fokker, 1920) titulado «La precesión geodésica: una consecuencia de la teoría de la gravitación de Einstein», donde desarrollaba, como el propio Fokker reconocía en la introducción, una idea de su compatriota el matemático y también notable relativista, Jan Schouten.
Más importantes fueron los trabajos de Droste, que defendió en diciembre de 1916 su tesis sobre el problema del movimiento en relatividad general y que no sólo fue dirigido e influenciado por Lorentz, sino que además colaboró con él. De hecho, fueron Lorentz y Droste (1917) los primeros en desarrollar de forma implícita lo que hoy llamamos formalismo de Einstein-Infeld-Hoffmann (1938) para obtener soluciones aproximadas (desarrollos en serie) del movimiento, según la relatividad general, de n cuerpos de dimensiones pequeñas comparadas con sus distancias mutuas y que se mueven con velocidades pequeñas. Incluso el mismo Einstein elogió las contribuciones de Lorentz y Droste, aunque, aparentemente, las olvidó, tratando años más tarde las cuestiones que éstos habían abordado años antes como problemas todavía sin resolver. Y es que los trabajos de Lorentz y Droste pasaron desapercibidos por aparecer en holandés y, al contrario que otros artículos de Lorentz, no aparecieron enseguida en la versión en inglés que publicaba la Academia de Ciencias holandesa, probablemente debido a las limitaciones asociadas a la guerra entonces en curso. Esa versión inglesa apareció en 1937, en el volumen V de los Collected Papers de Lorentz.
Gracias al impulso de Lorentz, Leiden se convirtió en un centro importante para el desarrollo de la relatividad general. Sin duda, también ayudó la presencia de Ehrenfest, quien, pese a no contribuir prácticamente en nada al desarrollo de la relatividad general, es importante tanto por su estrecha amistad con Einstein como por su capacidad didáctica y su interés en la formación de los estudiantes de Leiden. La amistad existente entre Ehrenfest y Einstein tenía como consecuencia el que este último visitase periódicamente Leiden. De hecho, a instancias de Ehrenfest y con el apoyo de Lorentz, Einstein fue nombrado catedrático supernumerario de la Universidad de Leiden en1920. Ehrenfest, lo mismo que Lorentz, reconoció inmediatamente el alcance y la importancia de la relatividad general, atrayendo hacia ésta la atención de sus alumnos. Un ejemplo destacado en este sentido lo constituye Hendrik A. Kramers, famoso por sus contribuciones a la mecánica cuántica. Kramers, estudiante en Leiden donde bajo la dirección de Ehrenfest se doctoró en 1919, se ocupó con intensidad de la relatividad general y no sólo en Leiden sino también más tarde en Copenhague.
Al llegar a este punto, es interesante señalar, aunque esto suponga salirme un momento del presente tema, que gran parte de los físicos teóricos que más tarde desarrollarían la mecánica cuántica —por ejemplo, Born, Sommerfeld, Weyl, Pauli y Schrödinger— intervinieron de una forma u otra en la consolidación de la relatividad general. Se puede decir que hasta cierto punto la teoría de Einstein facilitó el camino a la mecánica cuántica, pues entrenó a algunos de sus principales artífices en el uso de técnicas matemáticas tales como matrices, análisis tensorial, álgebra de operadores, principios variacionales y sistemas con propiedades no clásicas, que juegan un importante papel en la teoría cuántica de 1925.
Hubo un tercer científico involucrado de manera muy destacada en el desarrollo de la relatividad general: Willen de Sitter (1872-1934). Titular de la cátedra de Astronomía teórica de Leiden, De Sitter había sido uno de los primeros astrónomos en interesarse por los problemas astronómicos que se derivaban de la relatividad especial. En 1913, escribió una nota en la que intentaba demostrar que la teoría de emisión de Walther Ritz (en la que la velocidad de la luz dependía del movimiento de la fuente) conducía a resultados contradictorios con las observaciones realizadas en sistemas de estrellas dobles. En lo que al desarrollo de la relatividad general se refiere, la importancia de De Sitter radica en una serie de tres artículos que publicó entre 1916 y 1917 en la revista inglesa Monthly Notices of the Royal Astronomical Society, donde pasaba revista de forma completa y detallada a la teoría de Einstein (De Sitter, 1916 a, b, 1917). 1915 y 1916 eran años en los que la primera guerra mundial se encontraba en todo su apogeo, no era trivial en absoluto el que científicos de países beligerantes como Alemania e Inglaterra pudieran mantener relaciones; Holanda, como país neutral, podía servir de puente de unión entre ambos países. Los tres artículos de De Sitter —con quien Einstein mantenía relaciones frecuentes— sirvieron para introducir la relatividad general en Inglaterra e influyeron en la forma en que la teoría general de la relatividad se llegó a entender allí. El que se evitase de esta forma un retraso de varios años en la introducción de la teoría de Einstein en Inglaterra tuvo como consecuencia el que, como veremos en el siguiente capítulo, fueran precisamente astrónomos ingleses, bajo la dirección de Arthur Eddington, catedrático de Astronomía en la Universidad de Cambridge y Frank Dyson, el Astrónomo Real, quienes en mayo de 1919 organizasen dos expediciones para observar desde la isla Príncipe y desde Sobral, al norte de Brasil, un eclipse solar con el que se demostró que la predicción de la relatividad general concerniente a la curvatura de los rayos de luz por el Sol era correcta.
Casi tan pronto como empezó a recibir información de la teoría final de Einstein, a través de los buenos servicios de De Sitter, Eddington (1882-1944), uno de los líderes mundiales en el campo de la astrofísica, ayudó a organizar un debate sobre gravitación que se celebró en la reunión anual de la Association for the Advancement of Science (Asociación Británica para el Avance de la Ciencia). [194]] Del 5 al 9 de septiembre de 1916, la Association for the Advancement of Science, que había quedado eclipsada por la guerra, se reunió en Newcastle-on-Tyne. Por desgracia, el informe de la reunión menciona solamente que la discusión tuvo lugar y que fue abierta por Ebenezer Cunninghan; también sabemos que Eddington discutió la nueva teoría de la gravitación de Einstein. Así pues, ya en el verano de 1916, muchos científicos británicos tuvieron la oportunidad de oír hablar sobre relatividad general. [195]
Poco después, y mucho antes del famoso eclipse en 1919, los Lindemann, padre (Adolphus) e hijo (Frederick más conocido como —un título que recibió en 1956— vizconde Cherwell), publicaron un artículo (enviado el 4 de diciembre de 1916 y publicado en el número de diciembre de Monthly Notices of the Royal Astronomical Society) que trataba de la fotografía de estrellas a la luz del día como medio de poner a prueba el postulado de equivalencia de la nueva teoría de la relatividad y en el que indicaban métodos para poner a prueba mediante fotografía la hipótesis de Einstein de «la refracción de la luz por un campo gravitatorio», como ellos la llamaban; también discutían las condiciones más favorables para fotografiar estrellas durante el día, describiendo experimentos que mostraban que las estrellas pueden fotografiarse de día utilizando filtros rojos y placas sensibles al rojo. [196] Más aún, describían un instrumento por medio del cual podía compararse cuantitativamente la transparencia del aire en diferentes tiempos y lugares. Como conclusión, los Lindemann sugerían que «experimentos de fotografías de estrellas a la luz del día sean emprendidos por un observatorio que posea un instrumento adecuado y disfrute de un buen clima, con la idea de poner a prueba la teoría de Einstein». Fue, por lo que yo sé, la única contribución hecha por los Lindemann al desarrollo de la relatividad general, pero muestra que la recepción inicial de la teoría de Einstein en Gran Bretaña incluía más protagonistas que los que se mencionan normalmente.
En 1917, las cosas empezaron a acelerarse. Eddington preparó una nota para el Consejo de la Royal Astronomical Society (Real Sociedad Astronómica), que éste incluyó en su informe a la XCVII Reunión General Anual, celebrada el 9 de febrero de 1917. La nota de Eddington, titulada «Teoría de la gravitación de Einstein», no dejaba dudas respecto a cómo veía él la relatividad general. Afirmaba (Eddington, 1917: 377): «Una Nota para el Consejo en 1910 empieza con la frase: “La mecánica celeste, que hasta ahora ha estado basada en las leyes de movimiento newtonianas, se ve profundamente afectada por los descubrimientos que se han hecho en años recientes con respecto a medidas de espacio, tiempo y fuerza” [ Monthly Notices, 70: 363]. Estas palabras tuvieron el carácter de una predicción, pues las nuevas ideas apenas habían alcanzado en esa época a la fuerza principal con la que trata la astronomía: la gravitación. Pero se han hecho extraordinarios progresos, especialmente en los dos últimos años, y ahora emerge un nuevo sistema de mecánica completo y autoconsistente que puede aplicarse sin ambigüedad a los problemas de la astronomía gravitatoria».
En 1918, por encargo de la Physical Society londinense, Eddington publicó un informe que fue muy leído (se reimprimió en 1920), un librito de 91 páginas: Report on the Relativity Theory of Gravitation (Eddington, 1918), donde de una manera sencilla pero sin prescindir en absoluto del análisis matemático, se presentaban los fundamentos básicos de las teorías especial y general de la relatividad.
El camino estaba así preparado para la organización de la expedición al eclipse de 1919.
No he mencionado otro aspecto por el que De Sitter es importante: su contribución a la cosmología relativista. Para entenderlo es preciso hablar antes de cómo afrontó Einstein el problema de construir un modelo de Universo compatible con las ecuaciones de la relatividad general.
§. La cosmología relativista
En 1916, casi inmediatamente después de haber producido la versión definitiva de la relatividad general, Einstein comenzó a plantearse la posibilidad de aplicarla al conjunto del Universo, puesto que la interacción dominante en él es la gravitacional (la masa es aditiva: no hay masas negativas, mientras que no ocurre así con la carga eléctrica). El propósito era buscar soluciones cosmológicas a las ecuaciones del campo gravitacional, aplicables a todo el Universo. Imbuidos como estamos en la actualidad de la idea de que el Universo se expande, acaso podría pensarse que una de las posibilidades que Einstein tuvo en mente fue la de un Universo dinámico. Sin embargo, no fue así: la idea de un Universo dinámico era extraña no sólo a Einstein sino también a los científicos de entonces (al menos a los conocidos).
El punto de partida de Einstein fue suponer que la densidad media del Universo, ?, era distinta de cero e igual en todas partes; asimismo, basándose en las experiencias normales en su época, consideraba que el Universo era globalmente estático. Un primer problema lo constituía el que un Universo de este tipo no era posible en la teoría de la gravitación de Newton (conduce a un campo gravitacional infinito en todo punto del espacio, «paradoja de Seeliger»). Esto era grave pero no definitivo, puesto que, al fin y al cabo, la teoría newtoniana no era compatible con todas las propiedades del Universo considerado desde un punto global. El problema real era saber si tal Universo era posible dentro del contexto de la relatividad general, pero Einstein encontró que las ecuaciones del campo de esta teoría no podían producir un Universo estático con densidad no nula que fuese satisfactorio. Para escapar de este dilema, Einstein volvió al modelo newtoniano y se planteó el problema de cómo habría de modificarlo para que en él tuviese cabida un Universo del tipo mencionado. Encontró que se requería escribir
∇2Φ - Λ = -4πGρ
en lugar de la ecuación de Poisson habitual (con Λ una nueva constante «cosmológica»). Ahora bien, la relatividad general contenía, en el límite correspondiente, la ecuación de Poisson habitual, no la que acabamos de ver, así que Einstein pensó que lo que tenía que hacer era modificar las ecuaciones del campo de la relatividad general de manera que en ellas también existiese una constante cosmológica que hiciese a su teoría compatible con esa ecuación. [197] Así, en lugar deRαβ – ½·gαβ = k·Tαβ
propusoRαβ – ½·gαβ + Λ·gαβ =k· Tαβ
Utilizando estas ecuaciones, encontró una solución al problema cosmológico. El modelo de Universo resultante tenía un radio finito R y una masa M, relacionados con Λ por las fórmulas
Independientemente del éxito o el fracaso futuro de este modelo, que publicó en 1917 en un artículo titulado «Consideraciones cosmológicas en la teoría general de la relatividad» (Einstein, 1917 a), lo cierto es que Einstein creó la Cosmología, entendida como disciplina auténticamente científica, frente a las apenas analíticas cosmogonías anteriores existentes.
A grandes rasgos, esto es lo que hizo Einstein, pero ¿cuál fue el papel de De Sitter? En los tres artículos que publicó en los Monthly Notices, De Sitter no se limitó únicamente a presentar para la audiencia británica lo que ya había expuesto Einstein, sino que también hizo contribuciones originales, en particular en el tercer artículo de la serie (De Sitter, 1917) está su contribución al desarrollo de la cosmología teórica. De Sitter presentaba su propio modelo cosmológico basado en las mismas ecuaciones, con constante cosmológica Λ incluida, que había utilizado Einstein. En el modelo de Einstein, cuanto menor fuese la densidad ρ, mayor era el radio. En el de De Sitter, el espacio-tiempo tenía una estructura propia independiente de la densidad de la materia. De hecho, el modelo de De Sitter era vacío. Como, por consiguiente, sus propiedades no dependían de la presencia de materia, estaba en conflicto patente con el «principio de Mach» que tan importante papel había desempeñado en el pensamiento de Einstein (obviamente, este problema no se tenía con el modelo no vacío de Einstein). Este descubrimiento de De Sitter molestaba muchísimo a Einstein, quien, en su afán de descartar su solución, llegó a cometer errores de cálculo elementales.
Un último punto que comentar con respecto al modelo de De Sitter es que fue en realidad, aunque en su momento resultase un tema muy confuso, el primer y más simple modelo de un universo en expansión. En efecto, visto desde una perspectiva newtoniana, los términos adicionales que contienen la constante positiva Λ corresponden a una fuerza de repulsión cósmica. En el modelo estático de Einstein, esta fuerza compensaba de manera exacta a la gravitación. Por el contrario, en el modelo de De Sitter, donde la gravitación es cero en todas partes, la repulsión no se anula. Por consiguiente, una partícula de prueba permanecerá en reposo en el universo de Einstein (si no tenía un movimiento inicial) mientras que una partícula similar introducida en el modelo de De Sitter adquirirá automáticamente una velocidad de recesión (que aumenta siempre) con respecto al observador. Así, De Sitter sugería que en el Universo real tal vez sucediese que los objetos celestes más distantes se alejasen de nosotros.
Einstein se guio por consideraciones físicas en su búsqueda de la solución exacta de las ecuaciones de la cosmología relativista. Otros matemáticos, también físicos con especiales sensibilidades y habilidades matemáticas, no siguieron semejante senda y hallaron muy pronto nuevas soluciones exactas que, implícitamente, representaban otros modelos de Universo. Aunque me salga de los límites temporales impuestos en el presente capítulo por no tener en estas páginas oportunidad de volver a este tema, diré que, junto a De Sitter, el primero en obtener este tipo de soluciones fue el físico y meteorólogo ruso, con fuerte tendencia matemática, Alexander Friedmann (1922). La solución cosmológica que encontró correspondía a un Universo de densidad constante en expansión… suponiendo que hubiese pensado en semejantes términos, porque derivó su solución como un mero ejercicio matemático, sin interpretarlo como modelo de un posible Universo real. Leído hoy, puede parecer que Friedmann tenía conciencia plena de las consecuencias físicas de su trabajo; véase, si no, lo que escribía: «El propósito de esta nota es, en primer lugar, demostrar que los mundos [las soluciones cosmológicas de Einstein y De Sitter] son casos especiales de suposiciones más generales y, en segundo lugar, demostrar la posibilidad de un mundo [un Universo] en el que la curvatura del espacio es independiente de las tres coordenadas espaciales pero dependiente del tiempo». Y, sin embargo, no hay nada en su artículo que lo conecte o intente conectar con observaciones astronómicas, en particular, con el desplazamiento cosmológico (esto es, de la luz emitida por las galaxias) hacia el rojo de los espectros que, por entonces, ya había comenzado a detectarse.
La solución y el modelo cosmológico obtenido por Friedmann se suelen conocer, especialmente en el mundo anglosajón, como «solución de Robertson-Walker», en honor a los trabajos del físico-matemático estadounidense Howard P. Robertson y el matemático inglés Arthur G. Walker. Además de por razones como el que la aportación de Friedmann pasó bastante desapercibida por su carácter matemático, desprovisto de consideraciones físicas, está el hecho de que los trabajos (independientes) de Robertson y Walker aparecieron a finales de la década de 1920 y comienzos de la de 1930, cuando la posibilidad de que el Universo se encontrase en expansión ya era considerada seriamente, al existir desde 1929 sólidas evidencias (Hubble) en este sentido. Además, la solución que obtuvieron Robertson (1929, 1935) y Walker (1935) era la más general compatible con la solución de Friedmann y las suposiciones de homogeneidad e isotropía.
Un punto que es importante destacar es que gracias a los trabajos de Friedmann-Robertson-Walker se comprobó que no era necesario partir de unas ecuaciones cosmológicas con el término de la constante cosmológica para tener modelos plausibles de Universo. Mucho más tarde, cuando ya se había demostrado que semejantes modelos cosmológicos representaban la observada expansión del Universo, Einstein confesó a George Gamow (1970: 44) que la introducción del término cosmológico en sus ecuaciones «había sido la mayor equivocación que había cometido en su vida» (Gamow no especificaba el año en que Einstein le dijo esto).
Al que no se le pueden hacer las mismas críticas de énfasis matemático que a Friedmann es al astrónomo y sacerdote católico belga Georges Lemaître (1894-1966), quien se basó en consideraciones físicas para defender la idea de una posible, real, expansión del Universo. [198] Lo hizo en un artículo titulado «Un universo homogéneo de masa constante y de radio creciente que explica la velocidad radial de nebulosas extra-galácticas», que publicó en los Annales de la Société Scientifique de Bruxelles (Lemaître, 1927). Tomando como base la teoría de la relatividad general y observaciones publicadas por Hubble en 1926 (durante una visita que realizó a Estados Unidos en 1924-1925, Lemaître había asistido a una reunión de la American Astronomical Society (Sociedad Astronómica Americana) en la que Hubble presentó los resultados de sus observaciones de cefeidas en Andrómeda), Lemaître obtenía una solución de la construcción einsteiniana en la que, como señalaba en sus conclusiones, «el radio del Universo crece sin cesar desde un valor asintótico Ro, para t = -8» y que, además, le permitía obtener una primera estimación, basada en la observación, de la constante de Hubble. En otras palabras: Lemaître no sólo defendía que el Universo se expandía sino que proponía que hubo un momento singular en el pasado en el que comenzó la historia del Universo.
A pesar de su carácter pionero, el trabajo de Lemaître pasó casi desapercibido, incluso inicialmente para Arthur Eddington, con quien Lemaître había ampliado estudios y al que había enviado su trabajo. Finalmente, una vez que Lemaître recordase a Eddington, en 1930, el contenido de su trabajo, éste difundió los resultados del abad y científico belga. La vía principal de difusión fue una nota que publicó en Nature el 7 de junio de 1930. De esta manera, los resultados de Lemaître fueron descubiertos realmente por la comunidad internacional, pero eso no significó que fuesen tomados en serio. En este caso, los argumentos teóricos no fueron lo suficiente poderosos o convincentes para que fuesen aceptados, pese a que por entonces Edwin Hubble había publicado ya algunos de sus resultados. En realidad, no fue hasta 1931 cuando Hubble publicó sus resultados finales, que la expansión del Universo fue tomada realmente en serio.

Albert EinsteinEn el capítulo 7, reproduje la parte dedicada a la relatividad especial de una conferencia que Einstein pronunció en Kioto el 14 de diciembre de 1922 (Abiko, 2000). Ahora es el momento de completarla, reproduciendo la parte dedicada a cómo creó la teoría general de la relatividad.
«Como creé la teoría de la relatividad (II): la teoría de la relatividad general»
La primera idea que condujo a la teoría general de la relatividad aconteció dos años después, es decir, en 1907. Además, sucedió de manera sorprendente. Desde los inicios, no me resultaba satisfactorio el que los movimientos a los que se aplicaba [el principio de] la relatividad estaban limitados a aquéllos con velocidad mutua uniforme ni que no estuviese permitida su aplicación a movimientos arbitrarios. Siempre esperé que, de alguna manera, poder ser capaz de eliminar esa restricción. En 1907, me encontraba preparando un resumen de los resultados de la teoría especial de la relatividad para el Jahrbuch der Radioaktivität a petición de Stark, el editor de la revista. Fue entonces cuando me di cuenta de que, aunque todas las otras leyes de la Naturaleza satisfacían la teoría especial de la relatividad, la ley de la gravitación universal no lo hacía. Deseé con todas mis fuerzas encontrar de alguna manera la razón de que así fuera, pero no podía satisfacer este propósito de manera sencilla. Por encima de todo, lo que más insatisfactorio me resultaba era el que, mientras que la teoría especial de la relatividad proporcionaba una excelente relación entre inercia y energía, la relación entre energía y peso, es decir, entre energía y el campo gravitacional, quedaba muy incierta. Imaginé que la explicación no se podía lograr en términos de la teoría de la relatividad especial.
Estaba sentado en una silla en la Oficina de Patentes de Berna. De repente, una idea nació en mí: «Si un hombre cae libremente, no debería sentir su peso».
Me sobresalté. Este sencillo pensamiento me produjo una profunda impresión. Y esta profunda impresión fue lo que me llevó a la teoría de la gravitación. Continué pensando y pensando.
Cuando una persona cae, sufre una aceleración. Los juicios que hace deben ser los de un sistema de referencia con aceleración.
Entonces decidí extender el principio de la relatividad de manera que fuese aplicable no sólo a los sistemas de referencia que se mueven con velocidad uniforme, sino también a los sistemas que se mueven con aceleración. Al hacer esto, esperaba que el problema de la gravitación se resolviese de manera simultánea. Y esperaba que así fuese porque podemos interpretar que la razón de que una persona que cae en estado libre no sienta su peso, como debería ser, diferente al del campo gravitacional ocasionado por la Tierra, es debida a que otro campo gravitacional lo compensa. En otras palabras, en un sistema de referencia que se mueve con aceleración, es necesario que aparezca un nuevo campo gravitacional.
Sin embargo, no pude resolver inmediatamente el problema de forma completa. Tuvieron que transcurrir otros ocho años para que pudiese encontrar las relaciones verdaderas. No obstante, antes de que eso sucediera, llegué a conocer un poco sobre la, de alguna manera, base general conectada con ellas.
Mach era quien también insistía en que todos los sistemas de referencia que se mueven entre sí con una aceleración relativa son equivalentes, pero, obviamente, esto entraba en conflicto con nuestra geometría. La razón es que, si admitimos como válidos todos esos sistemas de referencia, la geometría euclídea no se mantiene en cada uno de ellos. Describir una ley renunciando a la geometría es como describir una idea sin lenguaje. Para expresar nuestra idea, debemos buscar primero la lengua. ¿Qué teníamos que buscar nosotros en ese punto?
El problema permaneció para mí sin solución hasta 1912. Ese año se me ocurrió por casualidad que podría existir una profunda razón para considerar la teoría de superficies de Gauss como clave para descifrar este misterio. Visualicé las coordenadas de superficie de Gauss como objetos con verdadero sentido. Sin embargo, por entonces, no sabía que Riemann había discutido los fundamentos de la geometría en mayor profundidad. Lo que sucedió es que recordé una clase de geometría de mis años de estudiante de [Carl Friedlich] Geiser, nuestro catedrático de Matemáticas, que contenía la teoría de Gauss, de ahí esa idea mía. De esta manera, llegué a darme cuenta de que los fundamentos de la geometría podían tener, sin duda, un significado físico.
Cuando desde Praga volví a Zúrich [en 1912], me reuní allí con mi amigo y matemático Groβman. Él era la persona que me había ayudado a poder acceder a la literatura matemática cuando yo estaba en la Oficina de Patentes de Berna. Esta vez me introdujo, primero, a los trabajos de Ricci y, luego, a los de Riemann. Entonces le pregunté si mi problema se podría resolver mediante la teoría de Riemann; en otras palabras, si los coeficientes que yo quería encontrar podrían determinarse por completo en términos de la invariancia de los elementos de línea. Luego, en 1913, escribí un artículo con él como colaborador. Sin embargo, no pudimos obtener las ecuaciones correctas de la gravitación universal. Yo proseguí en diversas direcciones con las ecuaciones de Riemann, pero sólo para encontrar muchas razones por las que los resultados que yo imaginaba no se podían obtener de esa manera.
Pasaron después dos años más de lucha. Fue entonces cuando, finalmente, me di cuenta de que había un error en mi primer cálculo. Volví otra vez a la teoría de invariancia inicial y traté de encontrar las ecuaciones correctas de la gravitación universal. Entonces, por fin, después de dos semanas, aparecieron ante mis ojos.
De entre los trabajos que realicé después de 1915, sólo me gustaría considerar los problemas de la Cosmología. Éstos tienen que ver con la geometría y el tiempo del Universo. Mi trabajo sobre este problema está basado en el tratamiento de las condiciones de contorno en la teoría general de la relatividad y también en las consideraciones de Mach sobre la inercia. Por supuesto, no conocía de forma específica hasta qué punto su visión de la naturaleza relativista de la inercia era definitiva, pero, no obstante, es cierto que recibí de su parte un gran estímulo mental.
En cualquier caso, intenté hacer invariantes las condiciones de contorno de las ecuaciones de la gravitación universal. Finalmente, al eliminar la frontera de considerar el Universo un espacio cerrado, pude resolver el problema de la Cosmología. Como consecuencia, la inercia emergió como una propiedad en conjunto de un carácter entre-cuerpos y se demostró que la inercia de un cuerpo se desvanecería si no fuese porque otro cuerpo se opone a ello. De este modo, creo que la teoría general de la relatividad resultó satisfactoria desde el punto de vista epistemológico.
Ésta es la historia. He intentado describir de forma concisa e histórica cómo se creó lo esencial de la teoría de la relatividad.
La pregunta que debemos hacernos es si estos desarrollos teóricos, basados en la cosmología relativista, influyeron en el descubrimiento de la expansión del Universo. Si fuese así, tendríamos un ejemplo nítido del papel, al menos en este caso, directriz de la ciencia teórica frente a la experimental. Sin embargo, la respuesta a esta cuestión es que no: el descubrimiento de la expansión del Universo fue de naturaleza observacional. Utilizando el telescopio de 2,5 metros del Observatorio de Monte Wilson y con la ayuda, fundamental, de los indicadores de distancias —las estrellas cefeidas— astronómicas que había descubierto en 1908 Henrietta Leavitt, una ayudante del Observatorio de Harvard, Edwin P. Hubble (1889-1953) encontró, primero en solitario (Hubble, 1929) y luego junto a Humason (Hubble y Humason, 1931) que el Universo se expande, dando de esta manera carta de naturaleza a las soluciones de la cosmología relativista del tipo Friedmann-Robertson-Walker-Lemaître, que no habían desempeñado ningún papel en sus investigaciones.
Ya nunca nuestra mirada al Universo sería igual. Y gracias a la cosmología nacida de la relatividad general podemos entender este hecho desde el punto de vista teórico, no, por supuesto, en lo que se refiere a su origen, a por qué existió un Big Bang que produjo un Universo en expansión.
§. Más física cuántica: Las transiciones atómicas
La dedicación a la búsqueda de una teoría relativista de la gravitación y luego a la exploración de sus consecuencias no impidió a Einstein mantenerse informado de lo que estaba sucediendo en la física cuántica; de hecho, después de llegar a la formulación definitiva de la teoría de la relatividad general y aunque estaba creando la cosmología relativista, produjo otra contribución notable al mundo cuántico. Un mundo cuántico que por entonces, 1915-1916, había cambiado en apartados fundamentales de cómo estaba cuando traté de las aportaciones de Einstein entre 1905 y 1907. La novedad más destacada era el modelo atómico que había propuesto en 1913 Niels Bohr, un modelo en el que introdujo los cuantos de Planck en el modelo clásico que había creado Ernest Rutherford en 1911.
En 1916, Einstein avanzó en esa dirección, apoyándose en las dos suposiciones básicas introducidas por Bohr en 1913: (i) que un sistema atómico sólo puede estar permanentemente en determinados estados que corresponden a una serie discreta de valores de la energía y que al pasar de uno a otro de esos estados se produce emisión o absorción de radiación electromagnética, y (ii) que la frecuencia de estas radiaciones viene dada por la fórmula de Planck, E = h·?. En concreto, lo que hizo Einstein (1916 b, c) fue deducir la ley de radiación de Planck introduciendo ciertas suposiciones sobre la probabilidad de transición de un sistema entre estados estacionarios y sobre la forma en que esta probabilidad depende de la densidad de radiación existente en el espacio que rodea al átomo en cuestión. Einstein comparó la emisión y la absorción de radiación de frecuencia ? correspondiente a una transición entre dos estados atómicos estacionarios con la emisión o la absorción que predice la teoría clásica de la radiación (electromagnetismo maxwelliano), para un sistema formado por una partícula que realiza vibraciones armónicas de esa frecuencia. En analogía con la teoría clásica, que permite la emisión de radiación de frecuencia ? sin que exista un estímulo externo, Einstein supuso en primer lugar que en la teoría cuántica debe existir una cierta probabilidad, Aji·dt, de que el sistema en el estado estacionario de mayor energía, caracterizado por la letra j, pase espontáneamente en un intervalo de tiempo dt a un estado estacionario de energía menor, denotado por la letra i. Ahora bien, en la electrodinámica clásica, en presencia de una radiación de frecuencia ?, dependiendo de la diferencia de fase existente entre esta radiación y la de vibración, además de la emisión independiente, la partícula (representada por un oscilador armónico) también emite y absorbe radiación. Guiándose por este hecho, Einstein realizó una segunda suposición: que en la teoría cuántica, en presencia de una radiación, además de la mencionada probabilidad espontánea de transición del estado j al i, existe una cierta probabilidad (que depende de esa radiación), de pasar, en el intervalo dt, del estado j al i, al igual que del estado i al j. Supuso que estas probabilidades son proporcionales a la radiación existente en el entorno del átomo y las denotó por ρνBjidt yρνBijdt, respectivamente, donde ρν·dν representa la cantidad de radiación entre ν y ν+ dν, por unidad de volumen en el espacio que rodea al sistema atómico (al igual que Aji,Bji y Bij son constantes que dependen únicamente de los estados involucrados).
Fue entonces cuando las consideraciones probabilísticas entraron en la física cuántica, circunstancia que choca con el hecho de que cuando ese probabilismo se insertó en la misma raíz de la nueva teoría cuántica (a través de la interpretación probabilística de la función de onda en la mecánica cuántica de 1925-1926), Einstein se opusiese tajantemente a ello, manteniendo que tal característica se debía sólo a ser la mecánica cuántica una teoría no completa y, por tanto, no final, postura que mantendría el resto de sus días. En realidad, el comportamiento de Einstein no debería contemplarse como necesariamente contradictorio: al fin y al cabo, ¿quién dice que pensase que la introducción de semejante «artilugio conceptual» probabilístico correspondiese a un elemento absolutamente real en los sistemas que quería describir? En el mismo sentido, cuando en 1905 introdujo en el estudio de la radiación electromagnética los cuantos de energía, defendió la necesidad de hacerlo (entre otras razones, porque sin ellos no se podía, aparentemente al menos, explicar una serie de efectos observables), pero no estaba en modo alguno seguro de a qué «realidad» física correspondían ni cómo esa realidad podía combinar los aspectos ondulatorios y los corpusculares (lo único que hizo al respecto fueron vagas sugerencias estadísticas); así, recordemos, calificó su aproximación como «un punto de vista heurístico».
En cualquier caso, lo que sí hay que resaltar es que con su contribución de 1916 (cuyos resultados han desafiado el paso del tiempo, manteniéndose sus puntos y planteamientos básicos en la actualidad), Einstein dio un paso adelante en el mundo bohriano: éste, es cierto, había introducido la noción de transiciones entre niveles energéticos atómicos y había mostrado la utilidad de semejante noción, pero no había dicho nada acerca de cuándo se producían realmente esas transiciones, esto es, acerca de su dinámica temporal.
§. El eclipse de sol de 1919 y la desviación de los rayos de luz§. El eclipse de sol de 1919 y la desviación de los rayos de luz
§. Ondas y radiación gravitacional
§. Baño de multitudes: Viaje a Estados Unidos (1921)
§. Einstein e Israel
§. Entre dos aguas: Einstein en un mundo político y científico dividido
§. Conferenciante solicitado
§. Helen Dukas y Caputh
§. Relatividad y filosofía
El 6 de noviembre de 1919 tuvo lugar en el edificio Burlington House de Londres, muy cerca de Piccadilly Circus, una reunión conjunta de la Royal Society y la Royal Astronomical Society. [199] Una numerosa audiencia, formada principalmente por los miembros de ambas sociedades científicas, se reunieron bajo la presidencia de J. J. Thomson, presidente de la sociedad, master del Trinity College de Cambridge desde marzo de 1918, que había dejado la dirección del Laboratorio Cavendish (le sustituyó Ernest Rutherford) hacía pocos meses. Alfred North Whitehead (1946: 13), el distinguido matemático y filósofo (autor, junto a Bertrand Russell, del monumental y, a la postre, fallidoPrincipia Mathematica) que asistió a aquella reunión —él mismo era fellow de la Royal Society—, describió años más tarde el entorno que la rodeó:
Todo el ambiente de tenso interés era exactamente el clima propio de un drama griego: nosotros éramos el coro comentando el decreto del destino revelado en el desarrollo de un incidente supremo. Había una cualidad dramática en la misma representación: el ceremonial tradicional y, en el trasfondo, el retrato de Newton para recordarnos que la mayor de las generalizaciones científicas iba a recibir ahora, después de más de dos siglos, su primera modificación.La reunión se había convocado para comunicar los resultados de las observaciones realizadas por una expedición científica británica a la isla Príncipe, en África, y a Sobral, en el norte de Brasil, con motivo del eclipse de Sol del 29 de mayo. La idea de la expedición había surgido de Frank Dyson, el Astrónomo Real inglés: «En marzo de 1917 —señaló su biógrafa, Margaret Wilson (1951: 191)—, cuando la situación de la guerra todavía parecía desesperada y la posibilidad de enviar expediciones para observar eclipses en el extranjero a duras penas se podían contemplar, Dyson llamó la atención al hecho de que el eclipse del 29 de mayo de 1919 bien podría tener una importancia única, ya que podría proporcionar la oportunidad de comprobar la teoría de la relatividad de Einstein, que si se dejase pasar podría no volver a tener lugar de nuevo en casi veinte años. A lo largo de 1918, siguió adelante con todos los preparativos necesarios. Como chairman del Comité Conjunto Permanente para Eclipses de la Royal Society y de la Royal Astronomical Society, él fue el espíritu motriz del proyecto».
La expedición, a la que se sumó Arthur Eddington, se planeó, efectivamente, para comprobar si se verificaba la predicción de la relatividad general que anunciaba que los rayos de luz interaccionan con los campos gravitatorios y que, por tanto, debería producirse una curvatura —de magnitud 1,75 segundos de arco— en las proximidades de la superficie del Sol, de los rayos de luz provenientes de una estrella, el Sol en este caso. [200] Para ello era imprescindible un eclipse total de Sol: al ocultar la Luna la luz solar, sería posible observar las estrellas cercanas al disco solar, al menos las más luminosas; por la curvatura de los rayos procedentes de las estrellas y por la observación los astrónomos fijar la posición como si esos rayos llegasen a lo largo de líneas rectas, las fotografías que se tomasen durante la totalidad darían una situación de las estrellas diferentes a las que se midieran cuando el Sol no estuviese presente. Los resultados que obtuvieron favorecían la teoría de Einstein.

Fotografía del eclipse de Sol del 29 de mayo de 1919.
Deseo dedicar los pocos minutos que restan al acontecimiento más impresionante en que recuerdo haber intervenido en Astronomía, a saber: la comprobación de la predicción de Einstein sobre la desviación de la luz en el eclipse de 1919 . Las circunstancias eran excepcionales. Los preparativos se habían iniciado en 1918 , durante la guerra, y hasta última hora no se tenía certeza de si habría alguna posibilidad de que pudiesen emprenderse las expediciones, pero convenía mucho no desperdiciar el eclipse de 1919 , porque tenía lugar en un campo estelar excepcionalmente bueno; ninguna de las expediciones subsiguientes han tenido esta ventaja. En Greenwich se organizaron dos expediciones por sir Frank Dyson, el difunto Astrónomo Real: una debía ir a Sobral, en Brasil, y la otra a la isla de Príncipe, en África Occidental. Fue imposible obtener ningún trabajo hecho por los fabricantes de instrumentos hasta después del armisticio y, como las expediciones debían partir en febrero, la preparación fue una locura. El grupo de Brasil tuvo un tiempo perfecto para el eclipse; debido a circunstancias accidentales, sus observaciones no pudieron ser analizadas hasta meses más tarde, pero al fin ofrecieron la confirmación más concluyente. Yo fui a la isla de Príncipe; allí, el día del eclipse se presentó con lluvia y cielo cubierto de nubes. Casi perdimos toda esperanza. Cerca de la totalidad, el Sol empezó a brillar débilmente y nosotros cumplimos con el programa previsto esperando que las condiciones pudieran no ser tan malas como parecían. La nube debió de haberse disipado antes del fin de la totalidad, porque entre varios fracasos obtuvimos dos placas que presentaban las deseadas imágenes de las estrellas. Éstas fueron comparadas con las placas ya impresionadas por el mismo campo estelar en un momento en el que el Sol estaba en otra parte, de tal modo que la diferencia indicaba el aparente desplazamiento de las estrellas, debido a la desviación de los rayos de luz al pasar cerca del Sol.Los dos grupos de astrónomos habían partido de Liverpool el mismo día, el 8 de marzo de 1919; el grupo encabezado por Eddington llegó a la isla de Príncipe el 23 de abril.
Tal como el problema se nos presentaba, había tres posibilidades. Podía no haber en absoluto desviación, esto es, la luz podía no estar influida por la gravitación. Podía haber una media desviación , significando que la luz estaba sujeta a la gravitación, como Newton había sugerido, y obedecía por tanto a la simple ley newtoniana. [201] O podía haber una completa desviación, confirmando así la ley de Einstein, en lugar de la de Newton. Recuerdo a Dyson explicando todo esto a mi compañero [Edwin Turner] Cottingham, quien sacó, como idea principal, que cuanto mayor fuese el resultado, más sensacional sería. « ¿Qué significará si obtenemos el doble de la deviación?» «Entonces —dijo Dyson—, Eddington se volverá loco y usted tendrá que regresar solo».
Arthur Eddington.Se habían tomado disposiciones para medir las placas en el mismo lugar, no únicamente por impaciencia sino como una precaución contra algún accidente en el viaje de regreso y, así, una de las placas bien impresionadas fue examinada inmediatamente. Los cálculos que tuvieron que hacerse fueron muchos, como sucede en todas las mediciones astronómicas, para que una placa pudiera decidir prácticamente la cuestión, aunque, por supuesto, debía buscarse la confirmación por otras. Tres días después del eclipse, cuando se llegó a las últimas líneas de los cálculos, supe que la teoría de Einstein había resistido la prueba y el nuevo punto de vista del pensamiento científico debía prevalecer. Cottingham no tuvo que volver solo a su casa.
Frank Dyson.

Telegrama de H. A. Lorentz a Einstein, informándole del resultado de las observaciones durante el eclipse de Sol del 29 de mayo de 1919.
La comunicación que se leyó en la reunión el 6 de noviembre estaba firmada por Frank Dyson, Arthur Eddington y Charles Davidson y había sido recibida en la Royal Society el 30 de octubre. Se publicó en las Philosophical Transactions of the Royal Society of London y su conclusión no dejaba lugar a dudas (Dyson, Eddington y Davidson, 1920: 332):
Por consiguiente, los resultados de las expediciones de Sobral y Príncipe dejan pocas dudas de que tiene lugar una desviación de la luz en los alrededores del Sol y que ésta es de la magnitud exigida por la teoría generalizada de la relatividad de Einstein y atribuible al campo gravitacional del Sol.Einstein, por cierto, supo de los resultados obtenidos por los británicos por un telegrama que Lorentz le envió desde Leiden el 22 de septiembre: «Eddington ha encontrado desplazamiento estelar en el limbo solar, valor provisional entre nueve décimas de un segundo y el doble de esto» (CPAE, 2004: 167). El mismo día que recibió el telegrama, el 27 de septiembre, Einstein informaba a su madre, ingresada en un sanatorio de Lucerna por un cáncer terminal (falleció el 20 de febrero de 1920): «Hay algunas noticias felices. H. A. Lorentz me ha telegrafiado diciéndome que las expediciones británicas han verificado la desviación de la luz por el Sol» (CPAE, 2004: 170).
El 7 de noviembre, esto es, justo el día después de la reunión en la que se presentaron los resultados del eclipse, The Times anunciaba:
La ola de artículos periodísticos continuó, con intensidad creciente; el mismo Einstein (1919 a) contribuyó con algún trabajo, como el que el propio The Times londinense publicó el 28 de noviembre. [203] Inicialmente fue especialmente en Gran Bretaña, Estados Unidos y Alemania donde más atención se prestó a las nuevas ideas einstenianas del espacio-tiempo gravitacional, pero pronto el «fenómeno Einstein» se extendió a otras naciones (en Francia, por ejemplo, aparecerían artículos sobre la relatividad en revistas como L'Echo de Paris, L'Ere Nouvell, Le Figaro, La France, L'Humanité, Le Temps, L'Internationale y otras muchas). Sin pretender, ni mucho menos, ser exhaustivo, presentaré a continuación algunos ejemplos que muestran hasta qué punto fue intensa la atracción ejercida por las ideas einstenianas en los años que siguieron a 1919. [204]REVOLUCIÓN EN CIENCIA
En este primer artículo periodístico, ya nos encontramos con uno de los principales temas que constantemente iban a aparecer en los comentarios referentes a la teoría de la relatividad, a la teoría general en este caso: el problema de su dificultad y, en última instancia, el problema de su incomprensibilidad. Se citaba que J. J. Thomson había manifestado que en la reunión de Burlington House se había asistido a «uno de los más decisivos, si no el que más, pronunciamientos del pensamiento humano», pero inmediatamente se añadía que el propio presidente de la Royal Society tenía que confesar que «nadie había sido todavía capaz de presentar en un lenguaje claro lo que era realmente la teoría de Einstein».
Nueva teoría del Universo
Ideas newtonianas desbancadas

Artículo publicado en la Gazette de Lausanne el 12-13 de diciembre de 1919, a raíz del anuncio de los resultados de las medidas tomadas en el eclipse de Sol de 1919.

Einstein presentado por primera vez, 14 de diciembre de 1919 , en una publicación alemana, Illustrirte Zeitung, como «un nuevo grande de la historia mundial».
El 1 de diciembre de 1919, es decir, menos de un mes después de la reunión de Burlington House, Eddington escribía a Einstein una carta que habla por sí sola (CPAE, 2004: 262-263):
Querido profesor Einstein,Eddington se equivocaba en una cosa: que el interés popular por las teorías de Einstein disminuiría. Una década después de la carta anterior, el 11 de febrero de 1929, Eddington informaba a Einstein: [206] «Le divertirá saber que uno de nuestros grandes almacenes de Londres (Selfridges) ha pegado en el escaparate su trabajo (las seis páginas seguidas pegadas) de forma que los transeúntes puedan leerlo al pasar. ¡Y las multitudes se agrupan para leerlo!». El artículo en cuestión se refería a una de las versiones de la teoría del campo unificado que Einstein produjo.
Constituyó un gran placer recibir su carta desde Holanda y estar en comunicación personal con usted […].
Nuestros resultados fueron anunciados el 6 de noviembre y ya debe de saber usted que desde entonces toda Inglaterra ha estado hablando de su teoría. Ha producido una impresión tremenda y, aunque el interés popular se amortiguará, existe un inequívoco entusiasmo en los círculos científicos, quizá más en esta universidad [Cambridge].
Es lo mejor que posiblemente ha podido suceder para las relaciones científicas entre Inglaterra y Alemania. No anticipo un rápido progreso hacia una reunión oficial, pero existe un gran avance hacia un estado mental más razonable entre los científicos y esto es incluso más importante que la reanudación de relaciones formales.
He estado muy interesado en el trabajo del profesor Weyl, que elimina algunos de mis prejuicios contra sus «opiniones cosmológicas» de la curvatura espacial. [205] Todavía no domino del todo las matemáticas de Weyl, pero parece que conduce casi inevitablemente a sus términos cosmológicos.
He estado muy ocupado dando conferencias y escribiendo sobre su teoría. Mi Report on Relativity se ha agotado y ahora se está volviendo a imprimir. Esto demuestra un ansia de conocer el tema, ya que no es un libro fácil de digerir. Hace algunos días se presentó en la Cambridge Philosophical Society, que cientos de personas no pudieron siquiera acercarse a la sala por abarrotada.
Aunque parece injusto que el doctor Freundlich, que fue el primero en este campo, no haya tenido la satisfacción de lograr la prueba experimental de su teoría, uno siente que el resultado de todo esto ha sido muy afortunado al dar una lección de solidaridad de la ciencia alemana y la británica incluso en tiempo de guerra.
Sin duda, Eddington fue, especialmente en Gran Bretaña pero no solamente allí —en la medida en que sus libros fueron traducidos, sus artículos técnicos leídos por físicos y matemáticos de todos los países y sus declaraciones transmitidas de un rincón a otro del mundo—, uno de los científicos, naturalmente además de Einstein, que más contribuyó a hacer popular y aceptada, por los físicos y astrónomos, la nueva teoría einsteniana. Aparte de su participación en la expedición de 1919, de su Report on the Relativity Theory of Gravitation y sus conferencias, se debe recordar su libro The Mathematical Theory of Relativity (Eddington, 1923), un primer borrador del cual había sido publicado como un suplemento matemático a la edición francesa (1921) de su libro de carácter general Space, Time and Gravitation (Eddington, 1920). Este tratado, una auténtica obra maestra, no solamente contiene la mayor parte de las opiniones de Eddington relativas a la teoría de Einstein, sino que también fue durante muchos años el libro de texto en el que generaciones de físicos y matemáticos, británicos o no (en 1925 The Mathematical Theory of Relativity fue traducido al alemán con un apéndice de Einstein) aprendieron las teorías especial y, sobre todo, general de la relatividad. Se sabe, por ejemplo, que Paul Dirac fue un cuidadoso lector de The Mathematical Theory of Relativity.
Otra muestra de que la fama de Einstein crecía exponencialmente se encuentra en las ventas del libro de carácter popular que publicó en 1917 para divulgar las dos teorías de la relatividad, una obra a la que ya he hecho referencia (Einstein, 1917 b): Über die spezialle und die allgemeine Relativitätstheorie. La primera edición constaba de dos mil ejemplares, la segunda (también de 1917) de mil quinientos, la tercera (1918) de tres mil y la cuarta (1919) de tres mil. [207] A partir de entonces, es decir, una vez anunciados los resultados de la expedición británica a la que me he referido, las ediciones y las ventas se dispararon: quinta edición (enero de 1920), cuatro mil quinientos ejemplares; sexta (febrero de 1920), cuatro mil quinientos también; séptima (marzo de 1920), otros tantos; octava (abril de 1920), seis mil; novena (junio de 1920), otros seis mil; décima (agosto de 1920), diez mil; décimo primera (noviembre de 1920), cinco mil; duodécima (noviembre de 1920), cinco mil. En 1922 ya se habían realizado catorce reimpresiones, con un total de sesenta y cinco mil ejemplares.
Y también comenzaron a aparecer traducciones a otros idiomas. La primera versión al inglés (Relativity: The Special and the General Theory. A Popular Exposition ) apareció en Inglaterra (Methuen, Londres) en 1920. El año siguiente se publicaba en Estados Unidos (Holt, Nueva York) y también las traducciones al español (Teoría de la relatividad especial y general [Peláez, Toledo]), francés (La théorie de la relativité restreinte et généralisée [Gauthier, París]), italiano (Sulla teoria speciale e generale della relatività ) y ruso (Teoriia otnositel'nosti: Obshchedostypnoe izlozhenie). En 1922 aparecía una traducción al húngaro, en 1923 al yiddish y en 1928 al hebreo.
Con la fama, a Einstein le llegaron invitaciones de todos los rincones del mundo. Y aceptó bastantes. Un buen indicador, utilizado por Abraham Pais (1984: cap. 16), del grado de popularidad de que gozaba en los países que visitó el entonces catedrático en Berlín, lo tenemos en los informes que los diplomáticos alemanes residentes en aquellas naciones enviaban al Ministerio de Asuntos Exteriores alemán (nos encontramos de esta manera también con una muestra de una utilidad de la ciencia, no completamente nueva —recuérdense los casos de «imperialismo cultural»—, que fue consciente y sistemáticamente aplicada a partir de 1919: el intentar explotar la ciencia y a los científicos para mejorar en el exterior la imagen nacional; con el interés que suscitó, Einstein ayudó, involuntaria o inconscientemente, a configurar esta dimensión de la ciencia contemporánea que tanto se ha desarrollado posteriormente). [208] Citaré algunos de tales informes diplomáticos: Oslo, junio de 1920: «Las conferencias [de Einstein] fueron recibidas sorprendentemente bien por el público y la prensa»; Copenhague, junio de 1920: «En los últimos días, periódicos de todas las tendencias han hecho hincapié en extensos artículos y entrevistas en la importancia del profesor Einstein, “el físico más famoso de la actualidad”»; Tokio, enero de 1923: «Cuando Einstein llegó a la estación había tal gentío que la policía fue incapaz de dirigir aquella peligrosa aglomeración […]. En el festival de los crisantemos no fueron ni la emperatriz ni el príncipe regente ni los príncipes imperiales los que atrajeron la atención: todo giró en torno a Einstein». Y comentarios similares relativos a sus visitas a París (abril de 1922), España (marzo de 1923; donde pronunció conferencias en Barcelona, Madrid y Zaragoza), Río de Janeiro, Montevideo, Estados Unidos… «Con un hombre así —señalaba Friedrich Sthamer, encargado de negocios alemán en Londres cuando (1920) tuvieron lugar los primeros ataques contra Einstein en Alemania—, podemos hacer una verdadera propaganda cultural y no deberíamos expulsarle de Alemania». [209] El científico, el científico famoso, se convertía, como vemos, en objetivo e instrumento político.
La torre Einstein y el desplazamiento espectral hacia el rojoComo vimos, de la solución de Schwarzschild se deducían tres posibles pruebas experimentales de la teoría de la relatividad general: el desplazamiento del perihelio de Mercurio, la curvatura de los rayos de luz y el desplazamiento hacia el rojo de las líneas espectrales producido, como en el caso de la desviación de la luz, por la presencia de un campo gravitacional. La primera prueba no tuvo que comprobarse, pues el efecto en cuestión había sido detectado y medido hacía mucho tiempo por los astrónomos, y la segunda se verificó con el eclipse de 1919. Quedaba, por consiguiente, la tercera. En principio, una manera de comprobarla era medir la posición de las líneas espectrales de algún elemento en dos alturas diferentes, pues en ambas el campo gravitatorio terrestre es diferente. Es evidente que las diferencias de posiciones de las líneas serían muy pequeñas, pero aun así se decidió utilizar esta vía, mediante la construcción de una torre, en cuyo centro hubiese un hueco por el que poder enviar la señal y medir arriba y abajo los respectivos espectros.
El impulsor de la idea fue Erwin Freundlich, desde 1918 el primer y por el momento único empleado del Instituto de Investigación Física de la Kaiser-Wilhelm-Gesellschaft, aquel instituto que se le había prometido a Einstein cuando se le atrajo a Berlín pero que no se fundó hasta 1917. Bautizado oficialmente el 1 de octubre de 1917, el instituto contaba con una junta directiva formada por Einstein, Haber, Nernst, Rubens, Warburg y Planck y, como manifestó el presidente de la Kaiser-Wilhelm-Gesellschaft, Adolf von Harnack, tenía «una estructura diferente de todos los demás institutos de la Sociedad. No posee ni un edificio propio [la sede —ya lo dije— era el domicilio privado de Einstein, Haberlandstrαβe, 5] ni laboratorios, sino que los medios se ponen a disposición de un grupo de físicos: ellos determinan qué trabajos se supone que deben realizarse o a qué investigadores se deben ayudar y qué instrumentos deben aprobarse para el desarrollo de sus investigaciones». Su presupuesto anual era bastante respetable, 75 000 marcos, y, aunque Einstein continuó siendo oficialmente el director, fue el subdirector, Max von Laue, quien se responsabilizó de las tareas administrativas. Cuando Einstein se convirtió en una celebridad mundial en noviembre de 1919, algunas personas en Alemania se lamentaron de que hubiesen sido los ingleses los responsables de la confirmación de un «producto alemán». Freundlich se aprovechó de este hecho y preparó un «Llamamiento para el Fondo de Donación Einstein» («Einstein-Spende») que, firmado por algunos de los principales mandarines de la ciencia berlinesa, Haber, Nernst y Planck entre ellos, se envió en diciembre de 1919 a varios posibles mecenas del mundo de la industria y los negocios. «Recientemente, las academias de Inglaterra, América y Francia —se declaraba en el llamamiento— han constituido una comisión, que excluye a Alemania, para promover activamente las bases experimentales de la teoría general de la relatividad. Para todos aquellos que están preocupados por la posición cultural de Alemania, es una obligación de honor aportar los fondos que puedan para permitir a al menos un observatorio alemán trabajar directamente con su creador en la comprobación de la teoría». [210]
La estrategia funcionó. Antes incluso de que se enviase el llamamiento, el Parlamento prusiano, el Reichstag, ofreció inmediatamente 150 000 marcos, una cantidad exorbitante si se tiene en cuenta la situación económica del Tesoro Público. Y en los meses siguientes se reunieron 300.000 marcos, que hicieron posible que comenzase la construcción de la torre-laboratorio a comienzos de 1920. El arquitecto que se encargó del proyecto fue Erich Mendelsohn (1887-1953), con quien Freundlich estaba en contacto al menos desde 1915. El edificio se terminó en diciembre de 1921, momento en que fue presentado a la Fundación Einstein, creada para administrar las donaciones, que por entonces ya acumulaba un capital de más de un millón de marcos. La torre, la Einstein Turm, de catorce metros de altura, en la que las curvas predominan sobre las líneas rectas, se ubicó en Potsdam, al lado de los grandes domos que albergaban telescopios clásicos. Todavía en pie, sobreviviendo, aunque con graves daños, luego remediados, por la destrucción de la segunda guerra mundial, se puede contemplar esta pequeña joya arquitectónica, sobre la que aún se discute si adjudicársela al estilo expresionista o futurista, mientras que otros han hablado de arquitectura «utópica», «fantástica» o «dinámica».
Debido a lo complicado e innovador de los instrumentos necesarios, pasaron tres años antes de que pudieran comenzar las observaciones. Pronto, sin embargo, se hizo patente que el efecto era demasiado pequeño para ser detectado allí. En 1925, Walter Adams argumentó que había detectado el efecto en las líneas espectrales de la estrella Sirio B, pero sus resultados fueron criticados después, no siendo hasta las investigaciones realizadas a finales de los años cincuenta por Robert Pound y Glen A. Rebka (1959, 1960), que se aceptó que el efecto predicho por la relatividad general es correcto. [211] En palabras de Clifford Will (1989: 49-50), el principal experto en las comprobaciones experimentales de la relatividad general:Por desgracia, los intentos de medir el desplazamiento solar [en líneas atómicas de la radiación del Sol] entre los años 1927 y 1960 no coincidieron con los valores predichos. Esto no se consideró un fracaso de la predicción del principio de equivalencia, sino más bien una falla en nuestra compresión de la superficie solar. [212] El gas en la superficie solar experimenta movimientos brutales, con columnas de gas caliente que se elevan y columnas de gases más fríos que caen, lo que conlleva desplazamientos Doppler en las frecuencias emitidas, tanto hacia el azul como hacia el rojo. También se encuentran altas presiones, lo que causa desplazamientos hacia el azul y rojo en las frecuencias intrínsecas emitidas por los propios átomos. Estos y otros efectos imposibilitaron observar claramente el desplazamiento gravitacional. Sólo en los años sesenta y setenta, con una mejor comprensión de estos efectos, los astrónomos fueron capaces de medir el desplazamiento gravitacional hacia el rojo de las líneas solares. Los resultados coincidieron con la predicción dentro de las cinco centésimas.Fracasos similares resultaron de los intentos de detectar desplazamientos al rojo en las líneas de estrellas enanas blancas, como la compañera de Sirio […]. La primera prueba verdaderamente precisa del desplazamiento hacia el rojo, que además introdujo una nueva era para la relatividad general, fue el experimento de Pound-Rebka de 1960.Y si se utiliza la frecuencia de esos rayos como un reloj, a medida que se elevan el reloj va más despacio, retrasa con respecto a uno instalado al pie de la torre. De hecho, este efecto relativista se tiene que tener en cuenta para sincronizar los relojes situados en los satélites del Sistema de Posicionamiento Global (GPS) con los de la Tierra; de otra manera, se produciría un desajuste que conduciría a importantes desviaciones en la localización que suministran los sistemas GPS.
Einstein en la Torre de Potsdam, 1921.
§. Ondas y radiación gravitacional
Antes de continuar con las consecuencias de la fama de Einstein y para no violentar demasiado la secuencia temporal, debo referirme a uno de los apartados de la relatividad general del que se ocupó pronto Einstein: el de la existencia o no de radiación gravitacional, esto es, la cuestión de si existen ondas gravitacionales análogas a las ondas electromagnéticas y qué efecto tienen éstas en sistemas físicos. [213] Habida cuenta de la importancia de las ondas electromagnéticas —y de la, íntimamente asociada a ellas, radiación electromagnética—, era difícil que Einstein no dirigiera su atención a su correlato gravitacional después de haber completado la teoría de la relatividad general. Y, efectivamente, no tardó mucho en hacerlo, basándose en la aproximación lineal de las ecuaciones del campo gravitacional: primero, de forma muy sucinta, en 1916, y luego, con mayor detalle y extensión y corrigiendo algunos errores del primero, en 1918 (Einstein, 1916 d, 1918 b). «Consideremos —escribía en ese segundo artículo (“Sobre las ondas gravitacionales”; Einstein, 1918 b: 161) — un sistema mecánico aislado, cuyo centro de gravedad coincida permanentemente con el origen de coordenadas. Los cambios en este sistema tendrán lugar tan lentamente y su extensión espacial será tan pequeña que el tiempo de luz [Lichtzeit] correspondiente a la distancia entre dos puntos materiales de él puede ser considerada infinitamente pequeña. Buscamos las ondas gravitacionales del sistema emitidas en la dirección del eje positivo de las x del sistema». A pesar de que su desarrollo contenía bastantes limitaciones, su conclusión es que sí existía radiación gravitacional. Y ahí lo dejó entonces, hasta 1936, cuando ya asentado en Estados Unidos, preparó con Nathan Rosen un manuscrito que titularon « ¿Existen ondas gravitacionales?», en el que en lugar de partir de soluciones aproximadas, buscaban una solución exacta de las ecuaciones del campo que representasen ondas gravitacionales, pero, entonces, la conclusión a la que llegaron es que no existían. La razón en la que se apoyaban es que encontraron una singularidad (un punto del espacio en el que las magnitudes que se deben calcular se hacen infinitas) en su solución y que no lograban eliminar, lo que los llevaba a pensar que demostraba que no existía ninguna solución que representase ondas gravitacionales. En una carta no fechada pero sin duda escrita entonces, Einstein escribía a Max Born (2005: 122) en este sentido: «Con un joven colaborador, he llegado al interesante resultado de que las ondas gravitacionales no existen, aunque las había supuesto en la primera aproximación. Esto demuestra que las ecuaciones no lineales del campo de la relatividad general pueden decir más o, más bien, limitarnos más de lo que hemos creído hasta ahora».
Enviaron el manuscrito para su publicación a la revista Physical Review; el editor, John T. Tate, sospechó que había algún fallo en el artículo y lo envió a un experto, Howard Percy Robertson, para que juzgase. Éste contestó señalando que sospechaba que la singularidad en cuestión era efecto del sistema de coordenadas que Einstein y Rosen habían elegido y que seguramente desaparecería con otras coordenadas. Cuando Tate envió estos comentarios a Einstein (sin mencionar a Robertson) que, acostumbrado a que sus artículos se publicasen sin más, orgulloso, reaccionó de manera violenta quejándose de que se hubiese mostrado su artículo a otra persona sin su autorización. Retiró entonces el artículo y lo envió a otra revista, al Journal of the Franklin Institute (Einstein nunca volvió a publicar en Physical Review). Allí fue aceptado sin cuestionar nada, pero mientras se preparaban las pruebas de imprenta, la situación cambió. Robertson, que cuando comentó el manuscrito de Einstein y Rosen estaba de año sabático, regresó a Princeton y allí habló con Leopold Infeld, que como veremos en el próximo capítulo era ayudante de Einstein en el Institute for Advanced Study, convenciéndole de que el trabajo de Einstein y Rosen sobre ondas gravitacionales contenía graves errores. [214] Infeld, a su vez, habló con Einstein y éste terminó modificando el artículo en pruebas (Rosen ya había abandonado Princeton por aquel entonces): «La segunda parte de este artículo —añadió al final— ha sido alterada considerablemente por mí después de la partida del señor Rosen hacia Rusia, puesto que originalmente habíamos interpretado erróneamente los resultados de nuestras fórmulas. Quiero agradecer a mi colega de Princeton, profesor Robertson, por su amable ayuda en la clarificación del error original». Aunque en la nueva versión, publicada bajo el título de «Sobre las ondas gravitacionales» (Einstein y Rosen, 1937), ya no se rechazaba la posibilidad de ondas gravitacionales, en más de un pasaje las manifestaciones no eran en absoluto claras, un defecto que afectaba a todo el artículo. «Einstein cambió tantas veces de opinión sobre las ondas gravitacionales —ha señalado, el principal estudioso de este apartado de la obra de Einstein (Kennefick, 2014: 276) — que es difícil estar seguro de cuál fue su posición final».
Una primera indicación de que sí existe radiación gravitacional procedió del descubrimiento, en 1974, del primer sistema formado por dos púlsares interaccionando entre sí (denominado PSR1913+16), descubrimiento por el que Russell Hulse y Joseph Taylor (1975) recibieron en 1993 el Premio Nobel de Física. En 1978, después de varios años de observaciones continuadas de ese sistema binario, pudo concluirse que las órbitas de los púlsares varían acercándose entre sí, un resultado que se interpreta en el sentido de que el sistema pierde energía debido a la emisión de ondas gravitacionales (Taylor, Fowler y McCulloch, 1979). Desde entonces han sido descubiertos otros púlsares en sistemas binarios, pero aún está pendiente de detectar de manera directa la radiación gravitacional, esto es, identificando su paso por instrumentos construidos e instalados en la Tierra, una empresa extremadamente difícil dada lo minúsculo de los efectos implicados: se espera que las ondas gravitacionales que lleguen a la Tierra (originadas en algún rincón del Universo en el que tenga lugar un suceso extremadamente violento) produzcan distorsiones en los detectores de no más de una parte en 1021, esto es, una pequeña fracción del tamaño de un átomo. Existen ya operativos diseñados para lograrlo, como el sistema de cuatro kilómetros de detectores estadounidenses denominado LIGO, por sus siglas inglesas, Laser Interferometric Gravitational wave Observatories, establecido en 1992 por Kip Thorne y Ronald Drever, del California Institute of Technology, y Rainer Weiss, del Massachusetts Institute of Technology.
Pero volvamos a la dimensión pública de Einstein.
§. Baño de multitudes: Viaje a Estados Unidos (1921)
La primera gran manifestación pública de lo que con justicia se puede denominar «el fenómeno Einstein» se produjo en abril de 1921, cuando Einstein visitó Estados Unidos para conseguir donaciones para el fondo de reconstrucción judío Keren Hayeβod y para contribuir a la creación de una Universidad Hebrea en Jerusalén, cuya primera piedra de hecho había sido depositada el 24 de julio de 1918. La idea de que Einstein ayudase en la empresa de fundar tal universidad era antigua. El 22 de octubre de 1919, esto es, antes del anuncio de las noticias del eclipse, Hugo Bergmann, secretario ejecutivo del Departamento de Educación de la Organización Mundial Sionista, se dirigió desde Londres a Einstein, «a quien el mundo acertadamente llama el mayor científico judío, pero sobre todo a quien queremos y valoramos también como una persona» (CPAE, 2004: 212), para pedirle que participase en una conferencia que estaban planeando para el año siguiente, en una localidad neutral, probablemente en Suiza, en la que se trataría de los planes para fundar una universidad «que sirva tanto a los intereses prácticos del asentamiento en Palestina como a justificarse merecedora, por sus logros teóricos, del nombre de una universidad del pueblo judío». El 5 de noviembre, Einstein le contestaba manifestando que «estaría feliz de hacer todo lo que esté en mi mano», al mismo tiempo que hacía notar a Bergmann la existencia de otros científicos de origen judío: P. Ehrenfest, E. Landau y R. Courant (CPAE, 2004: 222).
Aquellos primeros contactos condujeron a que el 16 de febrero de 1921, Chaim Weizmann (1874-1952), presidente de la Organización Mundial Sionista, notable químico de la Universidad de Manchester y futuro primer presidente del Estado de Israel (elegido el 16 de febrero de 1949), pidiese a Kurt Blumenfeld, un destacado sionista, que invitase en su nombre a Einstein a acompañarlo en una visita a Estados Unidos para recaudar fondos para la Universidad Hebrea. Cuatro días después, Blumenfeld telegrafiaba a Weizmann: «Einstein preparado para unirse a usted hacia América, sigue carta». [215]
A Fritz Haber, de origen judío pero ferviente patriota alemán, Einstein le explicaba los motivos de su aceptación en una carta fechada el 9 de marzo (CPAE, 2009: 127-128):
Querido amigo Haber:Carl Seelig (2005: 224-225) describió el viaje de la siguiente manera:
Lo que sucedió relativo al viaje americano, que ya no puede cambiarse bajo ninguna circunstancia, es lo siguiente. Hace un par de semanas, cuando nadie estaba pensando en los acontecimientos políticos, un sionista al que valoro mucho vino a verme con un telegrama del profesor Weizmann, cuyo contenido era que la Organización Mundial Sionista me invitaba a viajar a América con unos pocos sionistas alemanes e ingleses para tratar los asuntos educativos en Palestina. No me necesitan por mis habilidades, por supuesto, sino sólo por mi nombre. Anticipan que su poder promocional acarreará un éxito considerable gracias a nuestros ricos compañeros de clan en Dollaria. A pesar de mi declarada mentalidad internacional, todavía me siento obligado a hablar en favor de esos perseguidos y moralmente oprimidos compañeros tanto como lo permitan mis fuerzas. De manera que acepté con alegría, sin considerarlo siquiera cinco minutos, después de acabar de rechazar todas las ofertas de universidades americanas […]. La perspectiva de constituir una universidad judía me agrada especialmente, después de ver recientemente incontables ejemplos de con cuánta perfidia y brutalidad están siendo tratados aquí jóvenes judíos con el propósito de desproveerlos de toda oportunidad educativa […].
Ninguna persona razonable me puede acusar de deslealtad hacia mis amigos alemanes. He rechazado muchas atractivas ofertas de Suiza, Holanda, Noruega e Inglaterra, sin pensar siquiera en aceptar ninguna de ellas. Hice esto, por cierto, no por ningún apego a Alemania, sino a mis queridos amigos alemanes, entre los cuales usted es uno de los más excepcionales y bien intencionados. Cualquier afinidad por la estructura política de Alemania sería antinatural en un pacifista como yo.
[Einstein] salió de Rotterdam el 23 de marzo de 1921 […]. En el muelle de Nueva York le tributaron un recibimiento digno de una estrella y lo pasearon en coche de lujo para mostrarlo a la población. El Ayuntamiento le preparó un recibimiento solemne en el Teatro Metropolitan de la Ópera y quiso nombrarlo hijo predilecto de la ciudad. En la sesión decisiva, en la que había que recabar el acuerdo, un concejal afirmó que nunca había oído el nombre de Einstein y que, por tanto, no podía aprobar la propuesta. La revista Scientific American organizó un concurso para popularizar la teoría de la relatividad. Se ofrecían cinco mil dólares al concursante que, sin recurrir a fórmulas matemáticas, explicase la teoría lo más comprensiblemente posible en cinco mil palabras. Ganó el concurso un empleado de la Oficina de Patentes de Londres. El recorrido triunfal de Einstein continuó con igual entusiasmo en Washington, donde lo recibió el presidente Warren Harding, y en Princeton, donde dio sus cuatro primeras conferencias. El rector de la universidad lo ensalzó diciendo que era «un nuevo Colón de la ciencia, que navega solitario por el mar del pensamiento». También visitó Boston y Chicago. A últimos de mayo emprendió el viaje de regreso a Inglaterra, donde fue huésped del ministro de la Guerra y Gran Canciller lord Haldane, quien lo llevó como conferenciante al King's College y lo presentó al arzobispo de Canterbury, a G. B. Shaw, a Lloyd George y a otras interesantes personalidades. Einstein depositó una corona de flores en la tumba de Newton, en la abadía de Westminster.Las fotografías que se tomaron entonces muestran, efectivamente, lo tumultuoso del recibimiento que se le brindó en Nueva York. Einstein era ya, sin ningún lugar a dudas, una celebridad en una de las más ilustres ciudades del planeta. El poder que da la fama, un poder, claro es, con un cierto grado de puntos oscuros, pero poder al fin y al cabo, estaba ya a su disposición.

Nueva York recibe a Einstein en 1921.

Einstein y Chaim Weizmann, en Nueva York, abril de 1921.
§. Einstein e Israel
El viaje de 1921 a Estados Unidos para ayudar a la causa judía me da la oportunidad de desarrollar su relación con esa causa, un tema —al que me referí muy de pasada en el capítulo 6 que a partir de entonces afectó bastante a su vida, con múltiples compromisos y manifestaciones. En esta sección, violentando la secuencia temporal del presente capítulo, me ocuparé de este tema.
El viaje a Estados Unidos también le dio unas visiones, experiencias o puntos de vista nuevos para él. «Fue en América —escribió en 1921—, cuando descubrí por primera vez al pueblo judío. Había visto ya un cierto número de judíos, pero nunca me había encontrado con el pueblo judío ni en Berlín ni en ningún otro lugar de Alemania. Este pueblo judío que encontré en América procedía, en general, de Rusia, Polonia y de Europa del Este. Estos hombres y mujeres todavía retenían un saludable sentimiento nacional, éste no había sido destruido por el proceso de atomización y dispersión. Encontré a este gente extraordinariamente dispuesta al sacrificio y creativos en lo que se refiere a lo práctico» (Einstein, 1931 b: 48-49).
Como vemos y también mencioné en el capítulo 6, Einstein se vio conducido al judaísmo como un acto de solidaridad. Un acto de solidaridad con un grupo de personas que sufrían discriminaciones y del que él sabía que formaba parte, aunque inicialmente no le atrajese para nada la idea de formar parte de ningún grupo: hay muchos grupos de los que uno se puede considerar formar parte. Semejante adhesión al judaísmo no le impidió, sin embargo, plantearse preguntas que muchos, antes y después de él, se han formulado: ¿en qué consiste ser judío?, ¿existen rasgos, ideas, comportamientos, sentimientos que los caracterizan, qué comparten? Son muchos los lugares en los que abordó tales cuestiones. En la revista estadounidense Collier's, manifestó (26 de noviembre de 1938): [216]¿Cuáles son las características del grupo judío? ¿Qué es, de hecho, un judío? No existe una respuesta sencilla a esta pregunta […]. El judío que renuncia a su religión (en el sentido formal del término) continúa siendo un judío.
Lo que une y ha unido a los judíos durante miles de años es en primer lugar un ideal democrático de justicia social y la idea de la obligación de ayuda mutua y tolerancia entre toda la humanidad. El segundo rasgo característico de la tradición judía es su alta estima por toda clase de comportamiento intelectual y actividad mental.En cuanto a si existe una concepción judía del mundo, esto es lo que escribió en 1934 (Einstein, 1981: 164-165):
En mi opinión, desde el punto de vista filosófico, no existe una concepción del mundo judía. Creo que el judaísmo sólo se preocupa por la actitud moral en la vida y hacia la vida. Considero que lo fundamental en él es una actitud hacia la vida encarnada en el pueblo judío y que las leyes que se conservan en la Torá y que están interpretadas en el Talmud tienen menos importancia. Para mí, la Torá y el Talmud sólo representan el testimonio principal de la concepción judía de la vida en épocas pasadas […].¿Y sobre la posibilidad de que se crease un Estado judío? En un discurso («Nuestra deuda con el sionismo») que pronunció en Nueva York el 17 de abril de 1938, con motivo de un acto organizado por el Comité Nacional de Trabajo para Palestina, Einstein (1981: 167-169) reconocía que «el pueblo judío ha contraído una deuda de gratitud con el sionismo. El movimiento sionista ha revivido entre los judíos el sentimiento comunitario y ha llevado a cabo un esfuerzo que supera todas las expectativas» y también que los judíos se encontraban en una situación difícil en Palestina («los campos que se cultivan durante el día han de tener protección armada durante la noche, a causa de los ataques de bandidos árabes fanáticos»), pero, aun así, Einstein tenía más cosas que decir, mostraba temores que desgraciadamente no han resultado infundados:
El judaísmo no es un credo: el Dios de los judíos no es solamente la negación del elemento supersticioso, el resultado imaginario de su eliminación de ese elemento. También es un intento de basar el código moral en el miedo, un intento lamentable y deshonroso. Creo, sin embargo, que la fuerte tradición moral del pueblo judío se ha liberado de ese temor, al menos, en gran medida.
Quiero añadir unas pocas palabras, a título personal, acerca de la cuestión de las fronteras. Desearía que se llegase a un acuerdo razonable con los árabes, sobre la base de una vida pacífica en común; me parece que esto sería preferible a la creación de un Estado judío. Más allá de las consideraciones prácticas, mi idea acerca de la naturaleza esencial del judaísmo se resiste a forjar la imagen de un Estado judío con fronteras, un ejército y cierta cantidad de poder temporal, por mínima que sea. Me aterrorizan los riesgos internos que se derivarían de tal situación para el judaísmo; en especial, los que surjan del desarrollo de un nacionalismo estrecho dentro de nuestras propias filas, contra el que ya hemos debido pelear con energía, aun sin la existencia de un Estado judío.Prácticamente una década antes, el 25 de noviembre de 1929, había escrito a Weizmann unas frases que también deberían estar, hoy más que nunca, en la mente del actual pueblo y la nación de Israel: [217] «Si no logramos encontrar el camino de la honesta cooperación y acuerdos con los árabes, es que no hemos aprendido nada de nuestra vieja odisea de dos mil años, y mereceremos el destino que nos acosará».
Su solidaridad con el pueblo judío y la fama mundial de que llegó a gozar explican que, en noviembre de 1952, tras la muerte de Weizmann, que como ya indiqué fue el primer presidente del Estado de Israel, Einstein recibiese la oferta de sucederlo en el cargo. Merece la pena citar los primeros pasajes de la carta (fechada el 17 de noviembre de 1952) en la que Abba Eban, entonces embajador de Israel en Estados Unidos, hizo el ofrecimiento: [218]
Querido profesor Einstein:Un día más tarde, Einstein rechazaba la oferta: «Estoy profundamente conmovido por la oferta de nuestro Estado de Israel y, al mismo tiempo, apesadumbrado y avergonzado de no poder aceptarla. Toda mi vida he tratado con asuntos objetivos y, por consiguiente, carezco tanto de aptitud natural como de experiencia para tratar propiamente con personas y para desempeñar funciones oficiales. Sólo por estas razones me sentiría incapacitado para cumplir los deberes de ese alto puesto, incluso si una edad avanzada no estuviese debilitando considerablemente mis fuerzas. Me siento todavía más apesadumbrado en estas circunstancias porque desde que fui completamente consciente de nuestra precaria situación entre las naciones del mundo, mi relación con el pueblo judío se ha convertido en mi lazo humano más fuerte». El día 21 del mismo mes de noviembre, Einstein revelaba una razón suplementaria a Azriel Carlebach, director de Ma'ariv: «También pensé en la difícil situación que podría surgir si el Gobierno o el Parlamento tomasen decisiones que pudiesen crear un conflicto con mi conciencia, ya que el hecho de que uno no pueda influir realmente en el curso de los acontecimientos no le exime de responsabilidad moral».
El portador de esta carta es el señor David Goitein, de Jerusalén, que está trabajando ahora en nuestra embajada en Washington. Le lleva a usted la cuestión que el primer ministro Ben Gurión me pidió le transmitiese, a saber, si usted aceptaría la presidencia de Israel, en el caso de que le fuese ofrecida por un voto del Kneβet. La aceptación significaría trasladarse a Israel y nacionalizarse israelí. El primer ministro me asegura que en tales circunstancias el Gobierno y el pueblo, totalmente conscientes del significado supremo de su labor, le proporcionarían facilidad y libertad completa para continuar su gran trabajo científico.
§. Entre dos aguas: Einstein en un mundo político y científico dividido
Los sentimientos creados —o liberados— al comienzo de la primera guerra mundial en científicos de ambos bandos —ya me referí a este punto— tuvieron consecuencias profundas en la posguerra para las relaciones internacionales que habían mantenido hasta el comienzo de las hostilidades. Y Einstein no fue ajeno a esto, no podía serlo. La Asociación Internacional de Academias, una organización que reunía las principales agrupaciones científicas y culturales mundiales, no sobrevivió a la guerra. La quinta asamblea general, celebrada en 1913, había confiado la organización de la siguiente asamblea y, por consiguiente, la presidencia temporal, a la Preussische Akademie der Wissenschaften. Poco después de que comenzase la guerra, la academia con sede en Berlín comunicó que estaría de acuerdo en que se transfiriese provisionalmente la presidencia a una academia neutral y propuso Ámsterdam. Todo parecía ir bien hasta que los franceses exigieron que esa solución fuese definitiva. Los alemanes se negaron a ello y así se entró en un punto muerto. [219] La intransigencia francesa se vio reforzada por la actitud que, tras la entrada de Estados Unidos en la guerra, tomó la National Academy of Sciences estadounidense. El principal portavoz de dicha institución, su secretario, el astrónomo George Hale, que hasta entonces había adoptado una actitud bastante comprensiva, oponiéndose a la idea de condenar en bloque a los científicos alemanes, cambió de postura. Ahora la exclusión de alemanes y austriacos de las organizaciones internacionales le parecía razonable, opinión a la que también se unieron los británicos. Ahora bien, no era posible llevar a cabo semejante acción dentro de la Asociación Internacional de Academias, por lo que las tres potencias aliadas decidieron fundar una nueva organización: el Conseil International de Recherches (Consejo Internacional de Investigaciones), que en la práctica significó el final de la antigua asociación.

Una entrevista en el Sunday ExPress, 24 de mayo de 1931.

David Ben Gurión, primer ministro del Estado de Israel, visitando a Einstein el 13 de mayo de 1951.
Los «halcones», científicos como Émile Picard, secretario perpetuo de la Académie des Sciences de París, o el matemático italiano Vito Volterra, incluso el físico británico Arthur Schuster, secretario de la Royal Society, aun siendo de origen alemán, dominaron (Picard fue elegido presidente del Comité Ejecutivo, y Schuster secretario general, y con ellos, como vicepresidentes, Volterra, Hale y G. Lecointe, de la Académie Royale de Bélgica). Las siguientes frases, pronunciadas por Picard durante la reunión de París, dan idea de los sentimientos que animaban a estos científicos (Schroeder-Gudehus, 1978: 115-116): «debemos permanecer unidos no solamente hasta el final de la guerra […] sino en un futuro que debe considerarse como indefinido. Únicamente de esta forma tendremos la posibilidad de ver establecida sobre la superficie de nuestro planeta una paz auténticamente definitiva, así como de estar preparados contra los regresos ofensivos de una barbarie que continuará manteniendo su carácter amenazante, intentando todavía golpear en el corazón de las razas moralmente superiores de la humanidad». Consecuentemente, las naciones de las Potencias Centrales fueron excluidas e inicialmente fueron representados en la asamblea general los siguientes países: Australia, Bélgica, Brasil, Canadá, Estados Unidos, Francia, Gran Bretaña, Grecia, Italia, Japón, Nueva Zelanda, Polonia, Portugal, Rumanía, Sudáfrica y Serbia, esto es, países que habían sido beligerantes en el lado de los Aliados o estrechamente asociados con ellos.
La política de marginación defendida por el Conseil International de Recherches se refería a todos los pensadores centroeuropeos, a científicos al igual que a humanistas. Sin embargo, fue en el dominio de la ciencia donde tal actitud se plasmó de manera más evidente. La razón es obvia: era en las ciencias de la naturaleza donde tenía lugar un mayor intercambio de ideas; las humanidades eran menos cosmopolitas, menos dependientes de relaciones universales. El que siendo así, fueran precisamente científicos los que más se significaran en la defensa de las posturas más radicales, muestra en toda su crudeza la brecha abierta por la guerra.
La postura defendida por el Conseil International de Recherches se abrió camino con cierta facilidad. La capacidad de acción de las naciones neutrales (Checoslovaquia, Dinamarca, España, Finlandia, Holanda, Noruega, Suecia, Suiza), de las que podría haber surgido cierta resistencia, no era muy grande. Por otra parte, los propios científicos alemanes no favorecían tampoco una vuelta a relaciones más cordiales. Para ellos, la ciencia era, al fin y al cabo, lo más preciado que le quedaba a Alemania. Habían sido derrotados militarmente, se había producido una profunda crisis política y económica, pero su ciencia seguía siendo —estaban firmemente convencidos de ello— la mejor. El 14 de noviembre de 1918, tres días después de que se firmase el armisticio, tuvo lugar una reunión plenaria de la Preussische Akademie der Wissenschaften. Max Planck abrió la sesión con las siguientes palabras, que muestran con claridad el orgullo que sentía por la ciencia de su derrotada nación (Forman, 1973: 163): «Cuando nuestros enemigos han quitado a nuestra patria toda defensa y poder, cuando graves crisis internas amenazan al Estado y existe la posibilidad de que otras aún más graves nos esperen en el futuro, existe una cosa que ningún enemigo, ni foráneo ni propio, pudo quitarnos: la posición que la ciencia alemana ocupa en el mundo».
Ocho años más tarde, Fritz Haber seguía repitiendo lo mismo: [220] «Sabemos perfectamente que hemos perdido la guerra y que política al igual que económicamente ya no nos sentamos en el consejo de directores del mundo, pero creemos que científicamente todavía podemos contarnos entre aquellos pueblos que tienen derecho a ser reconocidos entre las naciones principales».
Con tales sentimientos, no nos debe sorprender que los científicos alemanes no se esforzasen demasiado en ser incluidos ni en el nuevo Conseil International de Recherches que se estaba creando, ni en los congresos internacionales que se celebraban bajo el patrocinio aliado. Podían considerar que no eran ellos los que más perdían sino los otros, aquellos que los habían derrotado militarmente. Era su forma de venganza, al igual que la de los aliados era excluirlos. Curiosa situación en la que un mismo hecho deja, aparentemente, contentos a los dos bandos, cuando lo que cada uno pretendía era perjudicar gravemente al otro.
Aunque existiesen algunas conexiones, el Conseil International de Recherches no era una institución vinculada orgánicamente a los gobiernos nacionales de las academias que formaban parte de él; en este sentido, no se trataba de un organismo oficial. En este hecho, así como, naturalmente, en su particular origen y diseño, se encuentra una buena parte de la explicación de la postura de intransigencia que defendió durante años. Sin embargo, otras instituciones, que obedecían a modelos completamente diferentes, también se interesaron por las relaciones entre los intelectuales y científicos de los distintos países. La Sociedad de las Naciones, la gran organización supranacional concebida por el presidente Wilson y que comenzó a funcionar en 1920, aunque sus estatutos habían sido redactados en febrero de 1919, no olvidó esa dimensión de las relaciones internacionales. Tras un periodo de indefinición, en 1922 se constituyó una Commission Internationale de Coopération Intellectuelle (Comisión Internacional de Cooperación Intelectual [CICI]), «para examinar las cuestiones relacionadas con la cooperación intelectual y para desarrollar las relaciones internacionales en el orden internacional». Estaba compuesta por doce miembros, personalidades eminentes de las ciencias, las letras y las artes, presidida por el filósofo francés Henri Bergson (Bergson dimitió a finales de 1925 y, a partir de la reunión de enero de 1926, le sucedió Hendrik Lorentz). Entre los primeros miembros figuraban Einstein, junto a Marie Curie y George Hale, además del ingeniero español Leonardo Torres Quevedo (Lorentz se incorporó a ella en julio de 1923).
A pesar de todo el prestigio que atesoraba, la elección de Einstein fue problemática, algo que ya muestra los límites de la nueva comisión al igual que la forma en que Einstein era considerado entonces. Es significativo lo que manifestó en 1957, poco antes de su muerte, Gilbert Murray, el profesor de Filología griega de la Universidad de Oxford que actuaba como presidente suplente de la CICI: [221]
Yo estaba naturalmente deseoso de que Einstein fuese miembro de la Comisión de Cooperación Intelectual, en parte porque, de alguna manera, así contaría como un alemán y en parte por su eminencia, pero existían dos o tres obstáculos: algunos de mis colegas franceses objetaban a tener tan pronto a un alemán, mientras que algunos alemanes argumentaban que no era en absoluto un alemán sino un judío suizo [como sabemos, Einstein había obtenido la nacionalidad suiza en 1901 ]. Otra dificultad era la propia desconfianza de Einstein con respecto a la Comisión de Cooperación Intelectual a la que veía como meramente un comité formado por los vencedores.
Einstein aceptó formar parte de la comisión en mayo de 1922, pero poco después de haber aceptado cambió de opinión y dimitió. En la carta que envió señalaba que a pesar de que él no había sido objeto de crítica hostil por los intelectuales alemanes, «la situación aquí es tal que un judío haría bien restringiendo su participación en asuntos políticos. Además, debo decir que no tengo ningún deseo de representar a personas que sin duda no me elegirían como su representante y con las que yo mismo estoy en desacuerdo» (Nathan y Norden, eds., 1968: 59). No obstante, ante la insistencia de, sobre todo, Marie Curie y Gilbert Murray, Einstein retiró su dimisión, aunque no asistió a la primera reunión de la comisión, celebrada el 1 de agosto de 1922. [222]
Sin embargo, en marzo de 1923, dos meses después de que tropas francesas y belgas comenzasen a ocupar el Ruhr, Einstein volvía a dimitir. En la carta que envió manifestaba que se había «convencido de que la Sociedad de las Naciones no tenía ni la fuerza ni la buena voluntad necesarias para cumplir su misión y que un pacifista [como él] no debe mantener ninguna relación con ella» (Schroeder-Gudehus, 1978: 178-179).
Aunque los términos de la carta de Einstein irritaron bastante, el 21 de junio de 1924 se volvió a elegirlo miembro de la comisión y Einstein aceptaba cuatro días después. Fue al fin en 1930 cuando abandonó definitivamente la Comisión Internacional de Cooperación Intelectual. En su carta de dimisión a Albert Dufour-Feronce, un subsecretario de la Sociedad de las Naciones que había sido funcionario de la Oficina de Asuntos Exteriores alemana, escribió:[223]
No puedo dejar de contestar a su amable carta, pues, de no hacerlo podría usted interpretar erróneamente mi actitud. El motivo por el que decidí no volver a Ginebra es el siguiente: la experiencia me ha enseñado, por desgracia, que la Comisión, en su conjunto, no se propone seriamente ningún objetivo concreto en la tarea de mejorar las relaciones internacionales. Me parece más que nada una encarnación del principio ut aliquid fieri videatur . La comisión me parece peor incluso, en este sentido, que la propia Sociedad de las Naciones.La comisión se ha abstenido siempre de dar apoyo moral a quienes se han lanzado sin reservas a trabajar por un orden internacional radicalmente nuevo y contra todo sistema militar.
Fue precisamente porque deseo trabajar con todas mis fuerzas en la creación de una organización supranacional capaz de regular y arbitrar asuntos internacionales, y por serme tan caro ese objetivo, por lo que me vi obligado a abandonar la comisión.
La comisión ha dado su apoyo a la opresión de las minorías culturales de todos los países, haciendo que se organizase en cada uno de ellos una comisión nacional, como su canal único de comunicación con los intelectuales del país. Ha abandonado, en consecuencia, deliberadamente, la tarea de prestar apoyo moral a las minorías nacionales en su lucha contra la opresión cultural.
Además, la actitud de la comisión en la lucha contra las tendencias chauvinistas y militaristas, que impregnan la educación en diversos países, ha sido tan tibia que no puede esperarse de ella ningún resultado apreciable en esta importantísima cuestión.
La comisión nunca ha hecho tentativa alguna de oponerse al nombramiento de miembros con opiniones contrarias a las que, en cumplimiento de sus obligaciones, deberían defender.
No quiero aburrirlo con más razones, pues considero que con estas breves aclaraciones comprenderá usted ya de sobra los motivos de mi resolución. No es cosa mía redactar un pliego de cargos, sólo pretendo explicar mi postura. Puede usted estar seguro de que si albergase aún alguna esperanza, actuaría de otro modo. En términos generales, la existencia de la CICI no significó un cambio sustancial en las relaciones internacionales mantenidas por los científicos de ambos bandos. Su voluntad universalista se enfrentó desde el primer momento a un dilema: si se abría a los alemanes, posiblemente ganaría su colaboración, sin tener que enfrentarse a las reticencias que encontró el Conseil International de Recherches cuando a partir de 1926 se mostró dispuesto a levantarles el veto, pero, si hacía esto, se encontraría por el otro lado con la oposición abierta de ese mismo Conseil, con cuyos planteamientos no podía, por otra parte, coincidir sin socavar sus propias convicciones (de hecho el Conseil International de Recherches no había visto con buenos ojos la creación de la CICI; y menos aún el que no pudiese colocar entre los doce miembros nada más que a uno de los suyos, a Hale). Ante tal dilema, hizo lo que suele hacerse con frecuencia en casos semejantes: evitar cuidadosamente involucrarse en proyectos que tocasen el problema alemán explícitamente y ocuparse de cuestiones más asépticas, como la organización de la bibliografía científica, el desarrollo del esperanto, los derechos de propiedad intelectual o la situación social y profesional de los trabajadores intelectuales. En otras palabras, el internacionalismo de la CICI resultó ser más una fachada que una realidad operativa.

Reunión de la Comisión Internacional de Cooperación Intelectual, París, 1927 . En la fotografía aparecen Marie Curie (segunda por la izda.), Hendrik Lorentz (tercero por la izda.), Albert Einstein (quinto por la izda.) y Paul Painlevé (a la dcha.).

Einstein y Marie Curie, caminando juntos con ocasión de una reunión de la Comisión Internacional de Cooperación Intelectual, 1925.

Ceremonia en la que la Sorbona otorgó el grado de doctor honoris causa a Einstein; París, 9 de noviembre de 1929.
Querido amigo Langevin:Sin embargo, poco después cambió de opinión y el 6 de marzo escribía (CPAE, 2012: 161-162):
Al recibir su amable carta de invitación, sentí una gran alegría y, ahora, una semana después, vacilante y triste tomo mi pluma porque no puedo aceptar la invitación, por mucho que me hubiese gustado personalmente, incluso dejando de lado los sentimientos cordiales de amistad que siento por usted. Usted sabe que sostengo el punto de vista de que las relaciones entre académicos no deberían verse afectadas por razones políticas y que el interés por la comunidad científica profesional debería primar sobre cualquier otra consideración. También sabe usted que tengo una perspectiva internacional y el hecho de estar empleado por la Preussische Akademie der Wissenschaften no afecta a mi forma de pensar. Sin embargo, después de una concienzuda reflexión, he llegado a la conclusión de que en este momento de tensiones políticas, mi visita a París tendría más consecuencias adversas que favorables. Mis colegas de aquí aún están siendo excluidos de todas las actividades científicas internacionales y ellos mantienen la opinión de que nuestros colegas profesionales franceses son los primeros responsables de ello. Comprendo completamente las profundas causas que conducen a esa actitud, pero, por otra parte, usted también puede imaginar que esta gente, cuyas sensibilidades han sido removidas por los acontecimientos y experiencias de los últimos años hasta alturas casi patológicas, podrían percibir mi viaje a París en este momento como una traición y tal sería la ofensa como para que pudiese hacer surgir consecuencias muy desagradables. Incluso en París, amenazan complicaciones imprevisibles. No puedo imaginar nada más hermoso que poder charlar confortablemente con usted, Perrin y madame Curie de nuevo en privado y describir la teoría de la relatividad a sus estudiantes a mi manera. Sin embargo, el gran público —y los políticos— hace tiempo que han tomado posesión de mi teoría y de mi persona y han intentado en cierta manera acomodar ambas a sus propósitos. Debe de haber un considerable número de personas atenta a cada ingenua palabra que yo pueda proferir para arrojarla a los lectores de periódicos convenientemente reformulada. Mis últimas experiencias al respecto hacen que me parezca enorme este peligro; el efecto final es siempre odio y animosidad en lugar de razón y buena voluntad. Con seguridad que también se me interrogará sobre mis opiniones políticas con respecto a las relaciones franco-alemanas y, como no puedo hablar más que con honestidad, mi respuesta no me va a proporcionar simpatía ni a este lado del Rin ni en el otro.
Es cierto que no dudé en visitar Norteamérica, Inglaterra e Italia en los últimos años. Sin embargo, mi viaje americano estaba relacionado en primer lugar con la Universidad de Jerusalén; por lo que respecta a los otros dos países, las circunstancias psicológicas eran incomparablemente más sencillas y más propicias de lo que lo son en nuestro caso (¡desafortunadamente!).
Querido Langevin, me duele no poder complacerlo, como tanto me gustaría. También siento la necesidad de agradecerle efusivamente a usted y a sus colegas del Collège de France su gesto generoso y la actitud de reconciliación que subyace en su decisión.
Con mis saludos cordiales y esperando verlo pronto de nuevo, sinceramente,
A. Einstein.
Querido amigo Langevin:Einstein, efectivamente, visitó París en abril. Y, aunque fue agasajado en general, especialmente por sus colegas científicos (a una cena en su honor asistieron, entre otros, Langevin, Marcel Brillouin, Charles Fabry, Charles Guillaume, Aimé Cotton, Marie Curie y su hija Irène, Maurice Solovine, Théo de Donder, Émile Borel, Paul Painlevé, Jean Perrin, Jacques Hadamard, Jean Becquerel y Edmond Bauer), y pronunció una conferencia en el prestigioso Collège de France, no faltaron quienes criticaron la presencia de un científico venido de Alemania.
Posteriores reflexiones y una conversación fortuita con Rathenau me han llevado al convencimiento de que debo aceptar su invitación, a pesar de todas las reservas mencionadas en mi carta. En el empeño gradual de reparar el daño de esta guerra, uno no debe permitirse el desconcertarse con consideraciones menores y usted y sus colegas tampoco deberían dejarse desconcertar . En consecuencia, si usted no ha escogido ya a otra persona, le manifiesto mi deseo de ir, pero incluso en el caso de que ello haya sucedido, siento la necesidad de documentar mediante esta carta mi buena voluntad y mi ánimo. Si este asunto sale adelante, iría en la primera mitad del mes de abril. El idioma, no obstante, ciertamente me causará algunos problemas, pero prefiero desarrollar el material con libertad en lugar de leer algo escrito. Las fórmulas ayudan mucho y un compañero de profesión amable servirá de apuntador y arrancará esas palabras que se queden atascadas en mi garganta.
Si bien, quizá, habría sido más agradable y más productivo haber organizado una especie de pequeño congreso de relatividad en el que yo solamente hubiese tenido que responder a preguntas, pues mi limitada habilidad lingüística habría afectado menos de lo que lo hará en una exposición más o menos completa de la teoría. Puedo suponer, no obstante, que los estatutos fundacionales pueden atarlo a usted a una forma de congreso determinada.
Saludos cordiales, suyo.

Einstein y Heike Kamerlingh Onnes, reunidos en Leiden, en un dibujo realizado en 1920 por un sobrino de Onnes, Harm Kamerlingh Onnes.
Después de la visita a París, se sucedieron otros viajes, más largos y ya no comprometidos políticamente. [224] Dentro de su nuevo estatus de celebridad mundial, Einstein se convirtió en un conferenciante muy solicitado. El mismo año de su visita a Francia, comenzó un largo tour (Elsa lo acompañó) que lo llevó a Shanghái (China), Japón, Palestina y España. Además de los generosos honorarios que se le ofrecieron (2000 libras esterlinas en Japón), uno de los motivos para emprender aquellos viajes fue que se sintió amenazado después del asesinato, el 22 de junio de 1922, de Walther Rathenau (ya mencioné este hecho en el capítulo 14) por extremistas antisemitas de extrema derecha.
Los Einstein partieron, vía el canal de Suez, el 8 de octubre, en un viaje que duró seis semanas. A Shanghái llegaron el 13 de noviembre y partieron hacia Japón el día siguiente. [225] El intenso tour de conferencias finalizó el 29 de diciembre, cuando zarpó hacia Europa. Un mes después llegó, en lo que casi se puede considerar una peregrinación, a Palestina, bajo mandato británico, donde permaneció doce días. Fue la única vez que estuvo allí. De Palestina viajó a España. [226] Su primer destino fue Barcelona, adonde llegó el 22 de febrero de 1923. Su siguiente parada fue Madrid, a la que llegó el 1 de marzo y se marchó el día 11, tras ser nombrado doctor honoris causa por la Universidad de Madrid, y, el 4 de marzo, académico correspondiente de la Real Academia de Ciencias Exactas, Físicas y Naturales, en una ceremonia que presidió el rey Alfonso XIII. Blas Cabrera, el líder de los físicos españoles, catedrático de Electricidad y Magnetismo en la Universidad de Madrid, director del Laboratorio de Investigaciones Físicas de la Junta para la Ampliación de Estudios e Investigaciones Científicas, pronunció un breve discurso en aquella ocasión, del que quiero recordar aquí sus últimas palabras, casi tan válidas entonces, 1923, como cuando yo escribo estas líneas, 2015 (Cabrera, 1923: 14-15):
Ahora permitidme que dirija mis últimas palabras al profesor Einstein en nombre de los estudiosos españoles. Diversas circunstancias, que no he de analizar, han hecho que nuestra aportación a la Ciencia sea hasta hoy desproporcionada con obras que en épocas acaso algo remotas hemos realizado en bien del progreso de la Humanidad. El tiempo en que aquéllas tuvieron su valor y su sentido pasó ya y es hora, después del largo reposo que nos hemos tomado, de que apliquemos las mismas energías y virtudes demostradas entonces y que hoy comienzan a ser reconocidas a nuestros antepasados, a labores más en consonancia con la época en que vivimos. Reconocemos nuestra deuda para con la Humanidad y nuestro anhelo es llegar pronto a saldarla. Yo os afirmo, en nombre de las generaciones presentes y de un futuro inmediato. Sois aún jóvenes. Espero que al final de vuestra vida, que será también el de mi generación, la España científica, que hoy apenas encontráis en embrión, haya llegado al lugar que tiene el inexcusable deber de ocupar. Así al menos pensamos aquéllos para quienes el optimismo es una virtud motora del progreso.Desgraciadamente, el final de la vida de Einstein llegó sin que viera los logros que Cabrera deseaba. De lo que sí tuvo noticia Einstein fue de la guerra civil española; de hecho, participó en algunos actos en favor de la República.

Recepción oficial a Einstein en el Ayuntamiento de Barcelona. El Diario Gráfico, 28 de febrero de 1923.
Su siguiente viaje de larga duración tuvo lugar en 1925 y fue a Sudamérica (Argentina, Brasil y Uruguay). Después, a partir de 1930 y hasta 1932-1933, lo único que hay que contar es que desde diciembre de 1930 pasaba los semestres de invierno como profesor invitado en el California Institute of Technology de Pasadena (California), cerca por tanto del Observatorio de Monte Wilson, donde Hubble había descubierto la expansión del Universo.
Las estancias en Pasadena formaban parte de la táctica de Robert Millikan, uno de los miembros más influyentes del Instituto californiano, para hacer de este centro un lugar de referencia mundial en ciencia (entre los científicos a los que invitó se encuentran Niels Bohr, Max Born, Paul Dirac, Peter Debye, James Frank, Max von Laue, Paul Langevin, Erwin Schrödinger y Werner Heisenberg).

Fotografía de Einstein, dedicada a la Real Academia de Ciencias Exactas, Físicas y Naturales, marzo de 1923.

Visita de Einstein a la Facultad de Ciencias de la Universidad de Madrid. De izda. A dcha., de pie, Luis Lozano, José María Plans, José Madrid, Eduardo Lozano, Ignacio González Martí, Julio Palacios, Ángel del Campo y Honorato Castro. Sentados, Miguel Vegas, José Rodríguez Carracido, Albert Einstein, Luis Octavio de Toledo (decano de la Facultad) y Blas Cabrera, marzo de 1923.

Einstein visitando, 1931 , el Observatorio de Monte Wilson, que entonces albergaba el mayor telescopio del mundo, con un espejo de 2,5 metros, con el que Edwin Hubble descubrió la expansión del Universo. En el fondo, a la izquierda, detrás de Walther Mayer, asoma Hubble; Walter Adams aparece en el centro, con sombrero, a su derecha está Einstein y a su izquierda, con bastón, William Wallace Campbell.

Albert Michelson, Einstein y Robert Millikan; detrás de ellos, Walter Adams, Walther Mayer y una persona no identificada; delante del Athenaeum del California Institute of Technology, 1931.
El Premio NobelEl 9 de noviembre de 1922, la Real Academia de Ciencias Sueca anunció algo que muchos esperaban hacía tiempo: que otorgaba el Premio Nobel de Física correspondiente a 1921, año en que no se había llegado a un acuerdo para concederlo, a Albert Einstein, «por sus servicios a la Física Teórica y, especialmente, por su descubrimiento de la ley del efecto fotoeléctrico», mientras que el premio de aquel mismo año, 1922, correspondía a Niels Bohr, «por sus servicios a la investigación de la estructura de los átomos y de la radiación que emana de ellos».
Transcurridos cincuenta años, la Fundación Nobel permite conocer quiénes fueron los nominados a los distintos premios y qué personas los propusieron; de esta manera, sabemos que la primera nominación en favor de Einstein data de 1910. [227]
A partir de aquel año, recibió el siguiente número de nominaciones: 1912, 4; 1913, 3; 1914, 2; 1916, 1; 1917, 3; 1918, 6; 1919, 5; 1920, 5; 1921, 13; y 1922, 17. Las contribuciones por las que fue propuesto se agrupan en las siguientes categorías (la suma no es igual al número de nominaciones, ya que en algunas de éstas se mencionaban más de una), divididas en tres periodos:
1910-1914: teoría de la relatividad especial, 9; física cuántica, 1; teoría gravitacional, 1; física teórica, 1.
1915-1919: teoría de la relatividad especial, 7; teoría de la relatividad general, 8; movimiento browniano, 5; efecto fotoeléctrico y física cuántica, 4; efecto giro-magnético, 1. [228]
1920-1922: teoría general de la relatividad, 29; teoría especial de la relatividad, 17; efecto fotoeléctrico y física cuántica, 11; efecto giro-magnético, 2; física matemática, 1.
En cuanto a los que propusieron su candidatura, un repaso somero de la lista muestra algunos detalles dignos de destacar. El primero que lo propuso, en 1910 (repitió su nominación en 1912 y 1913) fue el químico-físico Wilhelm Ostwald, por el «principio de relatividad». La primera vez que Max Planck lo propuso, por la teoría de la relatividad general, fue en 1919 (a partir de entonces, repitió su candidatura todos los años). La única vez que H. A. Lorentz lo nominó, en una propuesta conjunta con Willem H. Julius, Pieter Zeeman y Heike Kamerlingh Onnes, fue en 1920, por la «teoría de la relatividad y nueva teoría de la gravitación». Y quien más veces presentó su candidatura fue Emil Warburg: todos los años desde 1918, seis veces, por consiguiente, siempre por «teoría cuántica, relatividad y teoría de la gravitación».
Como ha mostrado Aant Elzinga (2006), las discusiones y los informes del Comité del Premio Nobel para la adjudicación de un posible premio de Física a Einstein no le fueron especialmente favorables. En primer lugar, se le consideraba sobre todo por sus trabajos en física cuántica, mientras que su aportación a la teoría de la relatividad especial no parecía demasiado diferente a lo que Hendrik Lorentz había producido y, en lo que se refiere a la teoría general de la relatividad, se veía como demasiado especulativa y probablemente falsa. El informe preparado en 1918 era contundente en este sentido: «Según la teoría [de la relatividad general] de Einstein, el desplazamiento de las líneas espectrales de la luz solar con respecto a las correspondientes líneas en el espectro de fuentes de luz terrestres es producido por una diferencia en la fuerza del campo gravitacional. Una cuidadosa comprobación experimental llevada a cabo en el Observatorio de Monte Wilson ha demostrado que este desplazamiento no existe, a pesar de que debía haber sido observado con el método utilizado. Bajo estas circunstancias, el comité encuentra, como hace un año, que cualesquiera que sean los méritos de la teoría de la relatividad, la teoría de la relatividad de Einstein no merece un Premio Nobel» (Elzinga, 2006: 113). Incluso su trabajo sobre el efecto fotoeléctrico, por el que finalmente recibió el premio, no era demasiado valorado. En el informe preparado por el químico-físico Svante Arrhenius, se afirmaba (Elzinga, 2006: 155) que «no se puede negar que la idea de Einstein fue un golpe de genio. Sin embargo, era natural y estaba a mano después de los resultados de las grandes contribuciones de Lenard, J. J. Thomson y Planck. Cuando se formuló, fue solamente una pobremente desarrollada y tentativa corazonada, basada en observaciones cualitativas y parcialmente correctas».
Diploma del Premio Nobel a Einstein.Si finalmente se le adjudicó el Premio Nobel fue porque la presión era demasiado grande y, además, porque aquel año se incorporó a la comisión que lo decidía un distinguido físico sueco que defendía desde hacía tiempo a Einstein: Carl Wilhelm Oseen. No fue, por otra parte, casualidad que a Einstein se le diese el premio correspondiente a 1921 y a Bohr el de 1922, sino una táctica para hacer hincapié en que se galardonaba, y valoraba, a la física cuántica, y a resaltar la relación —y el trabajo sobre el efecto fotoeléctrico— de Einstein con el mucho menos cuestionado (y escandinavo) Niels Bohr. De hecho, al leer el diploma que recibió Einstein, se observa que incluye un texto insólito en la historia de los premios. Reza lo siguiente:
Reunión del Comité de la Real Academia de Ciencias sueca para decidir los Premios Nobel de Física y Química de 1936.En su reunión del 9 de noviembre de 1922 , la Real Academia de Ciencias Sueca, de acuerdo con lo estipulado en el deseo y testamento de Alfred Nobel datado el 27 de noviembre de 1895 , decidió que independientemente del valor que (después de su posible confirmación) pueda adjudicarse a la teoría de la relatividad y gravitación, otorga el premio correspondiente a 1921 a la persona que dentro del campo de la Física ha realizado el descubrimiento o invento más importante a Albert Einstein por sus servicios a la Física Teórica, especialmente por su descubrimiento de la ley del efecto fotoeléctrico.Cuando se anunció y entregó el premio, Einstein se encontraba, como hemos visto, en Japón y no regresó a Alemania hasta bien entrado 1923. Por consiguiente, alguien debía recoger el premio en su lugar. Se planteó entonces un problema diplomático entre los embajadores de Alemania y Suiza. Einstein poseía la ciudadanía suiza y viajaba con este pasaporte, pero como había aceptado ser miembro de la Preussische Akademie der Wissenschaften y director de un instituto de la Kaiser-Wilhelm-Gesellschaft, se lo consideraba automáticamente ciudadano alemán. De hecho, para mostrar su simpatía con la República de Weimar, en 1919 Einstein había aceptado explícitamente la doble nacionalidad. Finalmente, el representante oficial de Einstein en las ceremonias de Estocolmo fue el embajador alemán, aunque la medalla y el diploma se los entregaron personalmente más adelante en Berlín.
Seis meses después de la ceremonia celebrada en Estocolmo, el 11 de julio de 1923, Einstein pronunció en Gotemburgo la conferencia que todo galardonado con un Premio Nobel debe dar. Como si se tratara de un sutil ajuste de cuentas, Einstein (1923 c) eligió hablar sobre la teoría de la relatividad.
Tal y como se había previsto en el acuerdo de divorcio entre Albert y Mileva, el dinero del premio debía ir a ella. Desde Leiden, el 2 de mayo de 1923, Einstein le escribía en relación con las implicaciones legales de ello (CPAE, 2015: 52):Querida Mileva,La cantidad del premio era de 121.572 coronas, equivalentes a unos 180.000 francos suizos o a 32.000 dólares. Mileva utilizó el dinero para comprar tres edificios de apartamentos en Zúrich. A finales de los años treinta, los gastos asociados a los cuidados que necesitaba su hijo Eduard, internado como ya vimos en un centro sanitario debido a su esquizofrenia, le forzaron a vender dos de aquellas casas, mientras continuó viviendo en la que le quedaba (en el número 62 de Huttenstrasse) y vivía de los alquileres que le pagaban los restantes inquilinos del edificio. Cuando falleció, en agosto de 1948, se encontraron 85.000francos suizos bajo el colchón de su cama, seguramente el dinero que había obtenido en la venta de aquel último edificio.
Estoy muy contento de las detalladas cartas de todos vosotros, pero no completamente seguro sobre el Premio Nobel, pero no te preocupes, arreglaré todo de la manera que quieres, [pero] sé consciente de las dificultades solamente como consultor.
I. ¿Cuánto son los impuestos para 170000 francos?
Si el dinero está a mi nombre, no lleva ningún impuesto. Asignándolo a tu nombre, lo que recibes se reduce mucho.
II. Mucho depende de que se gestione bien. Tengo muy buenas relaciones para eso.
§. Helen Dukas y Caputh
Ninguna vida se puede ni medir ni comprender basándose únicamente en lo que la persona protagonista de la misma produjo en su actividad profesional. A pesar de que semejante afirmación es trivial, en el caso de los grandes personajes de la historia tendemos a concentrar nuestras reconstrucciones en torno a sus «logros». Como es patente, en este libro estoy tratando de no marginar la «otra» vida, la vida en principio ajena a las labores por los que esos protagonistas de la historia son recordados. Continuando por esa senda, no es posible dejar de mencionar dos «elementos», una mujer y una casa, que fueron importantes en su vida. La mujer fue Helen Dukas (1896-1982), su fiel y eficaz secretaria desde 1928. Por aquel entonces, era evidente que Einstein necesitaba ayuda para administrar sus asuntos: una abundantísima correspondencia, solicitudes de todo tipo, mecanografiar sus escritos e incluso traducir sus cartas al inglés cuando era preciso. Además, 1928 fue un año en el que Einstein sufrió una grave dolencia: en Davos (Suiza), adonde había ido a pronunciar una conferencia, sufrió un desvanecimiento mientras arrastraba su maleta por una cuesta (el año anterior había sufrido otro desmayo). Las radiografías que le hizo su médico, Janos Plesch, mostraron que padecía cardiomegalia y dilatación aneurismática de la aorta, lo que lo obligó a pasar cuatro meses descansando, la mayor parte del tiempo en cama. Desde 1928, Dukas se convirtió en un miembro más de la familia y, cuando Einstein emigró a Estados Unidos, ella también lo hizo para vivir en la casa que éste adquirió en Princeton. Después del fallecimiento, en 1936, de Elsa Einstein, Helen se encargó de llevar la casa, además de continuar con sus tareas de secretaria.

Helen Dukas y Einstein en su estudio de la casa de Mercer Street, en Princeton; 1940.

Einstein en Viena, 1922.
Aquí teníamos una actitud radicalmente diferente de la dogmática de Marx, Freud y Adler, y aún más de la de los seguidores de éstos. Einstein estaba buscando experimentos cruciales.
Ésta, sentí entonces, era la verdadera actitud científica. Radicalmente diferente de la actitud dogmática que constantemente anunciaba el hallazgo de «verificaciones» para sus teorías favoritas.
Así es como llegué, hacia finales de 1919, a la conclusión de que la actitud científica era la actitud crítica, que no buscaba verificaciones sino pruebas cruciales, pruebas que podrían refutar la teoría que se está cuestionando, pero que nunca la podrían establecer.
Las teorías de la relatividad de Einstein y los filósofos británicos
Y ¿qué pasó entre los filósofos de Gran Bretaña? Estudiar este caso tiene un interés especial porque muestra con claridad un aspecto más del impacto que las teorías de Einstein causaron a raíz del anuncio de los resultados del eclipse de 1919. [235]Cuando se estudia la filosofía británica del primer cuarto del siglo pasado (dos elementos importantes para tal estudio son las revistas Mind y Proceedings of the Aristotelian Society), uno se encuentra con que con anterioridad a 1920 las referencias a la relatividad einsteiniana son muy pocas y prácticamente limitadas a la teoría especial, a la que en general se veía como un apartado del electromagnetismo, que, en manos de Hermann Minkowski, podía conducir a ciertas implicaciones acerca de la estructura, euclídea, tridimensional o no, del espacio (un caso diferente es el de Alfred North Whitehead, quien desarrolló su propia teoría de la relatividad). [236] Aunque no se pueda decir que el número de filósofos involucrados fuese muy grande, la situación cambió sustancialmente a partir de 1919. Fue especialmente entre 1920 y 1925 cuando los filósofos británicos más comentaron la relatividad; se escribieron libros y artículos, y la Aristotelian Society y la Mind Association organizaron debates. Entre los filósofos más activos durante aquel periodo se encuentran Whitehead, H. Wildon Carr, Charlie D. Broad, Richard B. Haldane, Dorothy Wrinch y Bertrand Russell, pero ellos no fueron los únicos. Un hecho digno de destacar es que aunque ciertamente existieron filósofos que se oponían a la relatividad, obstinados en no abandonar un mundo, el newtoniano, en el que las certidumbres (lo absoluto) eran, pensaban, más firmes, la mayor parte de los filósofos británicos que participaron en la discusión de las implicaciones filosóficas de la relatividad no sólo la aceptaban, sino que también argumentaban que los planteamientos einsteinianos favorecían sus propios puntos de vista filosóficos. Idealistas y realistas, en particular (recuérdese que la polémica idealismo versus realismo se había sentido con bastante crudeza en la filosofía británica), defendían sus propios esquemas ayudándose de la relatividad. Al repasar los libros y artículos de aquellos años, uno se llega a perder en una auténtica maraña de argumentos y contra-argumentos relativos a qué es lo que implicaba la relatividad o qué era lo que Einstein había querido decir. Unos ejemplos tomados de la discusión organizada por la Aristotelian Society y que tuvo lugar el 20 de febrero de 1922, con la participación de Wildon Carr, Percy Nunn, Whitehead y Wrinch, servirán para ilustrar este punto. Para el idealista Wildon Carr la teoría de Einstein era «una interpretación científica de la experiencia basada en el principio de relatividad. Este principio está en completo acuerdo con la doctrina neo-idealista en filosofía y en total desacuerdo con el punto de vista fundamental de toda forma de neo-realismo». Por el contrario, el realista Nunn argumentaba que, al igual que Einstein, los neo-realistas «habían enseñado explícitamente que las varias apariencias de la “misma cosa” para diferentes observadores no son reacciones mentales diversas ante una idéntica causa material, sino que son datos de los sentidos o “sucesos” que pertenecen a una única secuencia histórica». Finalmente, Dorothy Wrinch, una graduada en Matemáticas y Filosofía por el Girton College de Cambridge y que durante un tiempo fue pupila de Russell, pensaba que la teoría de la relatividad no tenía nada que ver ni con el idealismo ni con el realismo (de hecho, Wrinch utilizó las teorías de Einstein para apoyar sus propios planteamientos, muy influidos por un logicismo à la Whitehead y Russell). [237]
En cuanto a Bertrand Russell (1872-1970), conviene detenerse un poco más en él, puesto que fue uno de los filósofos británicos que más se ocuparon de las teorías de la relatividad de Einstein, aunque con frecuencia más como divulgador que como filósofo realmente preocupado por las consecuencias que para su disciplina tenían las nuevas teorías. [238] Que Russell se interesara por las teorías de Einstein era natural; recordemos que uno de sus libros era Our Knowledge of the External World as a Field for Scientific Method in Philosophy ( Nuestro conocimiento del mundo exterior como campo para el método científico en filosofía ; 1914), que completó en el otoño de 1913 y en el que trataba con bastante extensión, entre otras cuestiones, por supuesto, de la naturaleza del espacio y el tiempo, en un capítulo (el IV) cuyo título ya es significativo para los argumentos que estoy defendiendo: «El mundo de la física y el mundo de los sentidos».
Aunque allí Russell únicamente mencionaba a Poincaré y Mach, un comentario que incluyó en un artículo que publicó en 1922 («Física y percepción») parece indicar que cuando escribió Our Knowledge of the External World ya conocía la relatividad einsteiniana, si bien no le daba la importancia que merecía: «Como expliqué en mi libro —escribió entonces (Russell, 1922, 1988: 132)— sobre el Mundo externo(que, sin embargo, prestó muy poca atención a la relatividad), tenemos que comenzar con un espacio-tiempo privado para cada preceptor y, en general, para cada trozo de materia». Fue en la primavera de 1919 cuando su interés por la relatividad einsteiniana realmente se despertó y ello gracias a la ayuda de su amigo el matemático de Cambridge, John E. Littlewood, con quien aquel año estudió, parece, intensamente la relatividad. Inmediatamente después de que Arthur Eddington efectuase las comprobaciones preliminares después del eclipse de Sol del 29 de mayo de 1919, comprobaciones que indicaban que la predicción sobre la curvatura de la luz que se deducía de la teoría de la relatividad general de Einstein era correcta, Eddington telegrafió la noticia a Littlewood, quien comunicó el resultado a Russell. [239] Está claro que los resultados de la expedición británica del eclipse anunciados en 1919 fueron un momento crucial para Russell, que el 27 de noviembre de 1919 escribía a su amiga estadounidense Lucy Donnelly (Griffin, ed., 2001: 196): «Estoy fascinado por Einstein, el mayor suceso científico desde hace mucho, probablemente desde Newton. Sólo es la ciencia lo que brilla realmente en nuestra época. Moral y artísticamente está degenerada». A partir de entonces más adelante, Russell se convirtió en uno de los grandes divulgadores de las ideas de Einstein en el Reino Unido.
Russell percibió con bastante agudeza el oportunismo filosófico que mostraron muchos de sus colegas filósofos cuando extraían consecuencias filosóficas de la relatividad. Así, en un artículo titulado «Consecuencias filosóficas de la relatividad», que publicó en 1926 escribía (Russell, 1926, 1988: 331): [240] «Ha existido una tendencia, bastante común en el caso de una nueva teoría científica, de que todo filósofo interprete el trabajo de Einstein de acuerdo con su propio sistema metafísico y que sugiera que el resultado es un gran fortalecimiento de las opiniones que el filósofo en cuestión mantenía previamente. Esto no puede ser cierto en todos los casos y puede esperarse que no sea cierto en ninguno. Sería decepcionante si un cambio tan fundamental como el que ha introducido Einstein no implicase ninguna novedad filosófica». En el mismo sentido, en su libro Analysis of Matter, Russell (1929: 65-66), escribía: «La teoría general de la relatividad tiene un alcance mucho mayor que la especial y un interés filosófico también mayor […] su importancia en filosofía es probablemente mayor que en la física. Se ha pretendido, desde luego, por filósofos de distintas escuelas que la teoría aportaba una afirmación de sus respectivos sistemas. Se ha recabado para santo Tomás, Kant y Hegel el haberse anticipado a ella, pero no creo que ninguno de los filósofos que hacen tales sugestiones se hayan tomado el trabajo de tratar de comprender la teoría. Por mi parte, confieso ignorar de quién podrán ser las consecuencias filosóficas a que la teoría llega, pero estoy convencido de que ellas son de mucho mayor alcance y completamente diferentes de las que se figuran los filósofos que carecen de conocimientos matemáticos».
Bridgman, la relatividad y el operacionalismo
En Estados Unidos, el mejor ejemplo de la influencia de la relatividad en la filosofía es el del operacionalismo, cuyo máximo exponente fue el físico de la Universidad de Harvard y premio Nobel de Física en 1946, Percy Bridgman (1882-1961). El operacionalismo, entroncado con las ideas de Mach y que desempeñó un cierto papel en las discusiones filosóficas, especialmente entre físicos, durante la primera mitad del siglo XX, surgió cuando Bridgman se dio cuenta de que lo que había hecho Einstein en su teoría de la relatividad especial fue «llevar a cabo, con más detalle que lo hecho hasta entonces, un análisis de las operaciones físicas que se utilizan en la medida de longitud y tiempo» (Bridgman, 1949: 336). En concreto, Bridgman, en el artículo del que procede la última cita, al igual que en su clásica obra, The Logic of Modern Physics (La lógica de la física moderna, 1927) o en otros trabajos, destacaba que el concepto de «simultaneidad absoluta» no tiene ningún significado empírico, que es preciso incorporar a nuestras teorías —como hizo Einstein— el conjunto de operaciones que nos permiten medir, en diferentes sistemas inerciales, el parámetro tiempo. De todo esto, que está ligado a una teoría específica como es la relatividad especial, Bridgman extrajo el principio general de que todo concepto que no esté asociado a un proceso de medida debe de ser excluido de la física.Filosofía y relatividad en España: José Ortega y Gasset
En España también hubo una conexión «relatividad-filosofía». José Ortega y Gasset, el mejor filósofo hispano de aquella época y acaso de siempre, fue el responsable de tal conexión. Cuando Einstein visitó Madrid del 1 al 11 de marzo de 1923, Ortega fue uno de sus guías en el viaje que el físico hizo el día 6 a Toledo y presentó y tradujo la conferencia que dictó en la Residencia de Estudiantes el día 9, pero Ortega ya había mostrado su interés por la relatividad hacía tiempo. En 1922, por ejemplo, había acogido en una colección de libros que dirigía un magnífico texto de divulgación escrito por Max Born, La teoría de la relatividad de Einstein y sus fundamentos físicos, para el que compuso un prólogo en el que se lee: [241] «Las ideas de Einstein llegan a nosotros ungidas por esa recomendación estelar. Con un radicalismo intelectual tan característico del tiempo nuevo, como el deseo de no ser radical en la práctica, rompe el genial hebreo con la forma milenaria de nuestras intuiciones cósmicas. Nada podía garantizarnos mejor que entramos en una nueva época. Muy pronto una generación aprenderá desde la escuela que el mundo tiene cuatro dimensiones, que el espacio es curvilíneo y el orbe, finito».Sin embargo, según el propio Ortega, su conocimiento de la obra de Einstein era anterior. Así, a menos, lo indicó en un artículo titulado «Con Einstein en Toledo», que publicó en La Nación, de Argentina, el 15 de abril de 1923, esto es, poco después del viaje de Einstein a España. «En 1916 —señalaba allí (Ortega y Gasset, 2005: 521) —, pronuncié algunas conferencias en la Facultad de Letras de Buenos Aires. Me había propuesto en ellas dibujar someramente la fisonomía de un nuevo espíritu que sobre Europa alborea. Ante todo me interesaba fijar los caracteres de la nueva manera de pensar que desde el friso secular actúa en las ciencias y las va renovando radicalmente. Con alguna reiteración aludí a la teoría de la relatividad de Einstein, ejemplo admirable del nuevo sesgo intelectual. Era entonces muy poco conocida, en rigor se hallaba todavía en periodo de desarrollo. Aquel mismo año 1916 publicó Einstein la exposición de su sistema generalizado. Al concluir mis conferencias decía yo al auditorio: “No tengo prisa alguna de que me deis la razón. Sólo pido que cuando en un tiempo nada lejano algunas de las cosas que habéis oído por vez primera en estas conferencias resuenen por todo el mundo y celebren su consagración pública, recordéis que en esta aula y en esta fecha oísteis ya hablar de ellas”».
Aquel mismo año de 1923, Ortega publicó El tema de nuestro tiempo, un libro que muestra también lo interesado que estaba en la física einsteiniana y, a través de ella, en la ciencia en general, como revela el que escribiese allí: «Nuestra generación, si no quiere quedar a espaldas de su propio destino, tiene que orientarse en los caracteres generales de la ciencia que hoy se hace, en vez de fijarse en la política del presente, que es toda ella anacrónica y mera resonancia de una sensibilidad fenecida. De lo que hoy se empieza a pensar depende lo que mañana se vivirá en las plazuelas» (Ortega y Gasset, 2005: 571).
Capítulo 16
Teorías del campo unificado y Física cuántica
§. Einstein, crítico de la relatividad general§. Einstein, crítico de la relatividad general
§. Generalizaciones matemáticas en la búsqueda de una teoría del campo unificado
§. Las filosofías de Einstein
§. La atracción de las matemáticas
§. Nuevas contribuciones a la física cuántica: La estadística de Bose-Einstein
§. Crítico de la mecánica cuántica
§. El dios y la religión de Einstein
La relatividad general es una teoría dual, pues necesita a las partículas como fuentes del campo. Este aspecto viene indicado por la presencia del tensor de energía-momento en el miembro de la derecha de las ecuaciones de Einstein

El anterior no era el único aspecto poco satisfactorio de la teoría de Einstein, todavía existía otro: la relatividad general era únicamente una teoría de gravitación. Permitía comprender los misteriosos fenómenos físicos gravitacionales en función de la estructura puramente geométrica de la variedad espacio-tiempo; sin embargo, la gravitación no era la única fuerza o interacción cuya existencia era conocida en los tiempos de Einstein. Las fuerzas electromagnéticas eran tan universales y tan importantes como las gravitacionales, pero su agente, el campo electromagnético, no era explicado por la relatividad general.
A pesar de no ser una teoría de campos pura y de no incluir el campo electromagnético, la relatividad general tenía un contenido empírico superior a cualquiera de las teorías de gravitación que le habían precedido, en este sentido era evidente que representaba un paso adelante hacia la campo-ización de la física que Einstein perseguía. De hecho, para él no era nada sorprendente el estatus de la relatividad general con respecto al concepto de campo, simplemente porque consideraba a ésta una teoría preliminar. En este sentido, escribía lo siguiente en sus notas autobiográficas (Einstein 1949 a; Sánchez Ron, ed., 2005: 73-74):
Por entonces [circa1915 ] consideré inútil intentar representar el campo total […] y averiguar las leyes del campo que le correspondían. Por consiguiente, preferí establecer un marco formal preliminar para la representación de la completa realidad física […].Aunque los anteriores párrafos expresan los sentimientos de Einstein de 1915 y 1916, éstos fueron escritos mucho después de la época a que se refieren. De hecho, de forma pública Einstein no comenzó a considerar la cuestión de cómo podría superarse la relatividad general hasta 1919. En ese periodo intermedio de 1916-1919, había estado volcado en problemas de la teoría cuántica de la radiación y en desarrollar las consecuencias cosmológicas de la relatividad general. Fue el 10 de abril de 1919 cuando Einstein (1919 b) presentó a la Preussische Akademie der Wissenschaften un artículo titulado « ¿Juegan los campos gravitacionales un papel esencial en la estructura de las partículas elementales?», que contiene el primer desafío serio a la relatividad general tal y como fue formulada en 1915. Einstein comenzaba este artículo reconociendo que «hasta el momento, ni la teoría, newtoniana de la gravitación ni la relativista han conducido a ningún avance en la teoría de la constitución de la materia» y proseguía señalando las principales dificultades que él veía en anteriores intentos, a cargo de Mie, Hilbert y Weyl, de elaborar «una teoría que diese cuenta del equilibrio de la electricidad que constituye el electrón». Después, Einstein proponía reemplazar las ecuaciones del campo gravitacional de noviembre de 1915 por
El miembro de la derecha [de las ecuaciones de campo gravitacional de 1915 ] es una consideración formal de todas las cosas, cuya comprensión en el sentido de una teoría de campos es todavía problemática. Ni por un momento, por supuesto, dudé de que esta formulación era meramente un esbozo con la intención de proporcionar al principio general de relatividad de una expresión preliminar acabada. Ya que esencialmente no era nada más que una teoría del campo gravitacional, bastante artificialmente aislada de un campo total de una estructura todavía desconocida.



Lo que Einstein (1919b: 355) estaba investigando era «la posibilidad de construir teóricamente la materia a partir únicamente de los campos gravitacional y electromagnético, sin introducir términos hipotéticos suplementarios a la manera de lo que ocurre en la teoría de Mie». De esta forma, obtuvo el resultado de que «de la energía que constituye la materia, tres cuartos se deben al campo electromagnético y un cuarto al campo gravitacional». Sin embargo, también se daba cuenta de que existía una dificultad seria en su teoría y, así, escribía: «Si particularizamos [las anteriores ecuaciones] para el caso estático esféricamente simétrico obtenemos una ecuación menos [de las necesarias] para definir los gµν Φµν, con el resultado de que cualquier distribución de electricidad esféricamente simétrica aparece como capaz de permanecer en equilibrio. Por tanto, el problema de la constitución de los cuantos elementales no se puede resolver todavía en base a las ecuaciones dadas». Si, pensaba, conseguía describir los campos gravitacionales y electromagnéticos en términos de un único tensor métrico, podría lograr una explicación continua (de campos) de los efectos cuánticos.
A pesar de su fracaso final, la teoría de 1919 demuestra, más claramente que nunca, que para Einstein el problema de fondo era cómo explicar la materia en función de campos, una idea que mantuvo hasta el final de sus días; así, una fecha tan tardía como el 10 de septiembre de 1952 afirmaba a Besso (Speziali, ed., 1994: 417): «Una teoría verdaderamente racional debería permitir deducirlas partículas elementales (electrón, etcétera) y no estar obligada a postularlas a priori». Al contrario de la formulación de 1915-1916, la teoría de 1919 estaba construida de forma que no apareciesen fuentes materiales fenomenológicas en el miembro de la derecha de las ecuaciones del campo, sino únicamente el tensor métrico gµν y el tensor electromagnético ?µν. Sin embargo, hay que señalar que, a pesar de todo, la teoría de 1919 no era todavía una teoría unificada de campos (o de campos pura) en tanto en cuanto que los campos gravitacional y electromagnético no se derivaban de una entidad común, la métrica. En cierto sentido, era una teoría ingenua porque intentaba la unificación de ambos campos mediante el simple procedimiento de introducir en la ley de gravitación un elemento ajeno a la propia teoría, el tensor de energía-momento de Maxwell. Por este motivo, las siguientes palabras críticas que Einstein (1940) dedicó a la relatividad general tradicional se podrían haber aplicado también a la versión de 1919: «no se puede argumentar que aquellas partes de la teoría de la relatividad general que pueden considerarse hoy en día finales han proporcionado a la física un fundamento completo y satisfactorio. En primer lugar, el campo total aparece en ella como compuesto de dos partes lógicamente desconectadas, la gravitacional y la electromagnética».
Para comprender bien los esfuerzos que Einstein y otros científicos dedicaron a construir una teoría que englobase gravitación y electromagnetismo, hay que tener en cuenta que en la época a la que me estoy refiriendo las únicas interacciones conocidas eran esas dos. Hoy podemos pensar que ya existían pistas acerca de las interacciones fuerte y débil, en, respectivamente, las fuerzas nucleares y la radiactividad, pero pensar en semejantes términos es deformar la perspectiva histórica, ver el pasado con los ojos del presente. Hermann Wey proporciona un buen ejemplo para apreciar cómo se pensaba entonces. Un artículo que publicó en 1921 («Electricidad y gravitación») comenzaba con las siguientes palabras (Weyl, 1921: 800):
La física moderna hace que sea probable que las únicas fuerzas fundamentales existentes en la Naturaleza sean aquellas que tienen su origen en la gravitación y en el campo electromagnético. Después de que los efectos procedentes del campo electromagnético fuesen coordinados por Faraday y Maxwell en leyes de sorprendente simplicidad y claridad, se hizo necesario intentar explicar la gravitación también en base al electromagnetismo o, al menos, incluirlo en su propio lugar en el esquema de las leyes electromagnéticas, para llegar así a la unificación de ideas. De hecho, esto es lo que hicieron H. A. Lorentz, G. Mie y otros, aunque el resultado de sus trabajos no fue completamente convincente. Sin embargo, en la actualidad, en virtud de la teoría general de la relatividad de Einstein, comprendemos en principio la naturaleza de la gravitación y el problema es el contrario. Es necesario considerar los fenómenos electromagnéticos, al igual que la gravitación, producto de la geometría del universo.§. Generalizaciones matemáticas en la búsqueda de una teoría del campo unificado
Einstein no fue el primero en intentar dar una explicación electromagnética-gravitacional a la manera de los campos de la materia, sino que fue precedido por Gustav Mie, David Hilbert y Hermann Weyl. [242] Cuando traté de Hilbert y su participación en la búsqueda de una teoría de la relatividad generalizada, ya abordé su caso, no el de Mie, quien, de hecho, trabajando desde el punto de vista de la visión electromagnética de la materia, fue el primero que trató de construir una teoría de campos que diese cuenta de la existencia de partículas elementales cargadas eléctricamente (lo que en última instancia hizo Hilbert fue intentar unificar los planteamientos de Mie y de Einstein). Afirmaba, por ejemplo, que (Mie, 1912: 513): «Los hasta ahora conocidos estados del éter, esto es, el campo eléctrico, el campo magnético, la carga eléctrica y la corriente eléctrica son enteramente suficientes para describir todos los fenómenos del mundo material». Sin embargo, a la postre, la teoría de Mie no sobrevivió; una dificultad muy seria era el hecho de que una partícula material no era capaz de existir en un campo externo de potencial constante (Pauli, 1921, 1958: 192).
Si se deseaba continuar por la senda que había abierto la relatividad general «geometrizando» la gravitación, extendiendo ahora esa geometrización al electromagnetismo y, habida cuenta de que esa reducción a la geometría se había llevado a cabo utilizando el elemento básico de los espacios de Riemann, el tensor métrico, gαβ, para describir el campo gravitacional, la pregunta era si sería posible utilizarlo también para incluir al electromagnetismo. Y se encontró que no, que era preciso ir más allá de los espacios de Riemann, generalizarlos.
Sin embargo, no fue Einstein, ni ningún otro físico, quien tomó la iniciativa en este programa. Fueron matemáticos. Estimulados por la aparición y el poder de la teoría de la relatividad general, algunos matemáticos analizaron los fundamentos de la geometría riemanniana. Así, en 1917, Gerhard Hessenberg (1874-1925), catedrático de Matemáticas en la Escuela Técnica de Breslau (Wroclaw, Polonia, en la actualidad), y Tullio Levi-Civita publicaron sendos artículos en los que señalaban que la formulación natural de una geometría riemanniana era, basándose en la noción de transporte paralelo infinitesimal de un vector, algo que también hizo el año siguiente el matemático holandés Jan Arnouldus Schouten (1883-1971). [243] Conociendo estos trabajos, en 1918 Hermann Weyl (1885-1955) desarrolló una generalización de la geometría riemanniana extremadamente sofisticada, en la que al transportar paralelamente un vector, el valor de su módulo (es decir, su «longitud») depende del camino que se sigue en tal transporte, de manera que para describir un espacio que tomase en cuenta tal propiedad era necesario introducir un nuevo conjunto de funciones, esto es, que no bastaba para definirlo con el tensor métrico. Desde un punto de vista lógico, la nueva geometría de Weyl conducía a la teoría de campos más autoconsistente jamás concebida, puesto que erradicaba la acción a distancia incluso de la geometría.

Hermann Weyl, dibujo de Elizabeth Korn.

David Hilbert y Hermann Weyl, a mediados de la década de 1920.
Consecuencia de la generalización geométrica introducida, el nuevo espacio (al que muchos llaman en la actualidad «espacios de Weyl») necesitaba para quedar definido el tensor métrico gαβ, pero también un cuadrivector, fa. Con estas nuevas cuatro variables, Weyl argumentaba que podía introducir, esto es, «geometrizar» el campo electromagnético.
Cuando Weyl le informó del contenido de sus investigaciones y le envió su libro, Einstein quedó fascinado. «Estoy leyendo con genuino deleite las pruebas de su libro, que voy recibiendo página a página —escribía a Weyl el 8 de marzo de 1918 (CPAE, 1998 b: 669-670) —. Es como una pieza sinfónica maestra. Cada palabra tiene su relación con el conjunto, y el diseño de la obra es grandioso. ¡Qué magnífico método es el desplazamiento infinitesimal de vectores para deducir el tensor de Riemann! Cuán naturalmente surge todo. Y ahora ha dado usted a luz al niño que yo no pude obtener: ¡la construcción de las ecuaciones de Maxwell a partir de los gαβ!»
Es cierto que Einstein enseguida encontró puntos (consecuencias físicas) con los que estaba en desacuerdo —«H. Weyl, escribía a Hilbert el 12 de abril de 1918, ha presentado a la academia de aquí [la Academia de Ciencias prusiana] a través de mí un artículo altamente interesante, en el que busca comprender la gravitación y el electromagnetismo como un sistema de conceptos geométricamente unificado. Matemáticamente, la cosa es maravillosa. Pero físicamente no lo puedo aceptar» (CPAE, 1998 b: 716) —, pero no olvidó la lección que el ejemplo del intento de Weyl implicaba: nuevas matemáticas, generalizaciones de los espacios riemannianos que había utilizado para la relatividad general, podían abrir el camino para resolver el problema que siguiendo a Hilbert y a Weyl él también asumió, encontrar una teoría geométrica unitaria de la gravitación y el electromagnetismo. Eddington, para quien, que como buen antiguo senior wrangler (1904) en el Mathematical Tripos de la Universidad de Cambridge, la matemática no constituía un problema, se unió pronto a la senda abierta por Weyl. Que fue por la influencia de los trabajos de Weyl como Eddington se interesó por la unificación de gravedad y electromagnetismo queda claro en una carta que el astrónomo inglés envió a Einstein el 1 de diciembre de 1919 (CPAE, 2004: 263):
He estado muy interesado en el trabajo del profesor Weyl, que elimina algunos de mis prejuicios contra sus «puntos de vista cosmológicos» acerca de la curvatura del espacio. Todavía no domino completamente las matemáticas de Weyl, pero parece que conducen casi inevitablemente a sus términos cosmológicos.En concreto, lo que hizo Eddington (1921) fue introducir la idea de basar una teoría unitaria de campos en la conexión afín &Gammaαβµ (que él suponía simétrica) y no en la métrica. De esta forma, obtenía que tanto la métrica como el campo electromagnético aparecieran como magnitudes derivadas. Sin embargo, no postuló ninguna ecuación del campo específica. Esto lo hizo poco después Einstein (1923 a, b), quien también se sumó al camino inaugurado por Weyl, derivando las ecuaciones del campo a partir de un lagrangiano que dependía únicamente de Rαβ y de R. No obstante, Einstein abandonó esta teoría al poco tiempo por considerar que las ecuaciones que se obtenían para el campo electromagnético conducían a consecuencias inadmisibles.

Einstein, Lorentz y Eddington en el Observatorio de Leiden, 26 de septiembre de 1923.
El interés de Eddington por los desarrollos de Weyl hizo que dedicase un capítulo, el VII, de su libro de 1923, The Mathematical Theory of Relativity, a (parte I) «La teoría de Weyl» y (parte II) a la «Teoría generalizada». Posteriormente, Eddington terminó tratando de unificar la física relativista y la cuántica en una idiosincrática formulación (partía de elementos como coincidencias numéricas entre algunas constantes de la física y principiosa priori), que presentó en libros comoRelativity Theory of Protons and Electrons (1936) o el póstumo Fundamental Theory (1946). Einstein fue muy crítico de sus planteamientos, como se comprueba en una carta que escribió el 25 de junio de 1948 a un tal David Holland, de Prescott, Arizona: [247]
Querido señor:Y, con mayor claridad aún, a la biógrafa de Eddington, Allie Vibert Douglas, en marzo de 1953:
Debo confesar abiertamente que no me gusta la manera en la que Eddington expresa la posición filosófica de la ciencia. La razón es la siguiente:
Todo lo que decimos acerca del mundo real debe ser, necesariamente, hipotético y una construcción de la mente humana, ya que lo que nos es dado de inmediato son únicamente percepciones sensoriales. Esto es válido no sólo para la ciencia física, sino también para el mundo del conocimiento del sentido común, y no tiene nada que ver especialmente con la actual situación científica. Como siempre, la idea de la existencia del mundo real es fundamental en la física. Sin ella no existe una frontera entre la psicología y la física. Esas leyes siempre se idean para gobernar la realidad física y los desarrollos modernos no han cambiado nada en este respecto.
La razón del, por así decir, idealista punto de vista de Eddington es el hecho de que en la actualidad no estamos seguros en absoluto de las bases conceptuales de la física y este estado de incertidumbre hace que los físicos sean más conscientes de la libertad lógica en la elección de aquellos conceptos que antes de la aparición de las teorías cuántica y relativista, cuando la elección de los conceptos elementales parecía fuera de toda duda.
El principal logro de Eddington es, en mi opinión, su teoría de las estrellas. Sus logros creativos en el campo de la teoría de la relatividad no me convencieron, pero esto puede ser culpa mía . El físico-filósofo alemán Lichtenberg dijo una vez: «Si una cabeza y un libro chocan y suena hueco, no se debe necesariamente al libro».Sabedor, gracias a los trabajos de Weyl, de que para geometrizar también el electromagnetismo tenía que generalizar los espacios de Riemann, a finales de los años veinte Einstein comenzó a probar diferentes posibilidades matemáticas para conseguir una teoría unificada de los campos gravitacional y electromagnético, una empresa que, con altibajos e intermitencias, ocuparía el resto de su vida.

Manuscrito de un artículo de Einstein sobre la «Teoría unificada de los campos gravitacional y eléctrico», publicado en Königlich Preussische Akademie der Wissenschaften (Berlin). Sitzungsberichte en 1925.
La literatura matemática a la que me refiero tiene como nombres propios a dos matemáticos: el francés Élie Cartan (1869-1951) y el estadounidense Luther Pfahler Eisenhart (1876-1965). [249]
Élie Cartan, uno de los líderes de la matemática gala, cultivó a lo largo de su carrera dominios como los de la teoría de los grupos de Lie, la teoría de los espinores, sistemas de ecuaciones en derivadas parciales y teoría de espacios con conexiones lineales, en algunos casos realizando aportaciones fundamentales. Para entender el interés de Cartan por los trabajos de Einstein, lo mejor es citar una carta que el 8 de mayo de 1929 Cartan dirigía a Einstein: [250] «En sus recientes artículos en el Sitzungsberichte dedicados a una nueva teoría de la relatividad generalizada, ha introducido usted la noción de Fernparallelismus en un espacio riemanniano. Ahora bien, la noción de un espacio riemanniano provisto de un Fernparallelismus es un caso especial de una noción más general, la de espacio con una conexión euclídea, que yo esbocé brevemente en 1922 en un artículo en las Comptes Rendus (vol. 174, pp. 593-595), publicado cuando usted pronunció sus conferencias en el Collège de France; recuerdo incluso haber intentado, en casa de M. Hadamard, de darle a usted el ejemplo más simple de un espacio de Riemann con Fernparallelismus».
A vuelta de correo, el 10 de mayo, Einstein admitía que Cartan tenía razón: «Veo, efectivamente, que las variedades que he utilizado son un caso especial de las estudiadas por usted». E inmediatamente mencionaba otros nombres: «Eisenhart (en Princeton) y Weitzenböck (en Saar) también establecieron parcialmente los fundamentos matemáticos de mi teoría antes de que lo hiciese yo. Este último, en un artículo publicado en las actas de nuestra academia, los Sitz. Ber. 1928, XXVI, ha dado una (supuestamente completa) bibliografía de trabajos matemáticos relevantes, pero ha pasado por alto el trabajo de usted». Refiriéndose a las explicaciones que Cartan le había dado en 1922 en casa de Hadarmard, Einstein señalaba que «no las comprendí en absoluto […] todavía menos claro fue para mí cómo podían ser útiles para una teoría física».
El matemático citado por Einstein, Roland Weitzenböck, se había ocupado de los invariantes en teorías físicas desde 1913 y todo indica que estimulado por los últimos trabajos de Einstein se había unido al nuevo campo físico-matemático, publicando el artículo que el creador de la relatividad citaba y que incluía catorce referencias, pero, para irritación de Cartan, ninguna suya. [251] En cualquier caso, el hecho es que de esta manera se inició un intercambio epistolar entre Einstein y Cartan que se mantuvo hasta 1932 y cuya lectura nos muestra las exigencias matemáticas a las que se veía constantemente sometido el genial físico, exigencias ante las que, justo es reconocerlo, respondía muy bien, aunque dada la novedad de muchas de las técnicas que necesitaba en su búsqueda de una teoría del campo unificado, y también la complicación de los cálculos implicados, recurriese a ayudantes matemáticos.
Cuando se repasa la biografía científica de Einstein y se conocen los colaboradores con los que se relacionó, se descubre que antes de 1917, con la excepción de Marcel Grossmann, éstos fueron físicos, no matemáticos. Así, a partir de 1909, colaboró con los cuatro que ya nos aparecieron: Ludwig Hopf, un estudiante de Arnold Sommerfeld con quien escribió dos artículos sobre «la teoría de la radiación»; Jakob Johann Laub, con quien trabajó sobre la teoría especial de la relatividad; Walther Ritz, con quien abordó problemas relacionados con la teoría especial de la relatividad y la electrodinámica, y el astrónomo Erwin Finlay Freundlich.
En cuanto se adentró en las implicaciones matemáticas de la relatividad general y más aún en la búsqueda de una teoría del campo unificado, Einstein buscó ayuda en jóvenes con especiales habilidades matemáticas, una tendencia que, con alguna excepción, continuó durante el resto de su vida. En 1917, tomó como ayudante a Jakob Grommer (1879-1933), un judío ruso que cuando llegó a Gotinga destacó por su extraordinaria capacidad para aprender rápidamente matemáticas. [252] Grommer colaboró con Einstein hasta 1928, cuando consiguió un puesto en Minks, donde falleció.
Con Grommer, Einstein trabajó en la teoría que propuso el matemático polaco (asignando a Polonia sus fronteras actuales) y lingüista distinguido Theodor Kaluza (1885-1954), en la que se buscaba unificar gravitación y electromagnetismo a través de un espacio de cinco dimensiones. En 1919, Kaluza, por entonces Privatdozent en la Universidad de Königsberg, envió a Einstein un manuscrito en el que introducía el concepto de una quinta dimensión en el espacio-tiempo de la relatividad general. Al recibirla, Einstein señalaba que la idea de «un mundo cilíndrico de cinco dimensiones no se me había ocurrido nunca y puede ser completamente nueva. A primera vista, su idea me atrae mucho. Me parece que es decididamente más prometedora desde el punto de vista matemático que la provisional exploración matemática de Weyl, porque parte del campo eléctrico y no del físicamente sin sentido —estoy convencido— cuatri potencial» (CPAE, 2004: 38-39). Con la ayuda de Einstein, Kaluza (1921) publicó su idea en las actas de la Preussische Akademie der Wissenschaften; «su teoría cautiva realmente —le escribía el 9 de diciembre de 1921, un día después de la publicación del trabajo—, debe de haber alguna verdad en él». [253] Primero en colaboración con Grommer (Einstein y Grommer, 1923) y cuatro años después en solitario, Einstein (1927 b, c), aunque los resultados que obtuvo allí habían aparecido ya hacía un año en un artículo publicado por Oskar Klein (1926), lo que Einstein reconoció en su segundo artículo (el interés de Klein no residía en el dominio de la relatividad general sino en otro tipo de unificación: entre la teoría cuántica y la relatividad).
Tras Grommer, durante un año (1928-1929) trabajó con Einstein el físico y matemático húngaro Cornelius Lanczos (1892-1974), un gran admirador suyo que ya había publicado trabajos sobre la relatividad, tema al que dedicaría una buena parte de su obra. Entre los temas que abordaron figura el del paralelismo a distancia, pero no llegaron a publicar nada juntos. [254] Después de Lanczos vino Walther Mayer (1887-1948), un matemático natural de Graz (Austria) que había estudiado en el Politécnico de Zúrich, Viena, París y Gotinga. A finales de 1929, cuando acababa de completar, en colaboración con Adalbert Duschek, un texto dedicado a la geometría riemanniana que aparecería el año siguiente (Lehrbuch der Differentialgeometrie, 2 vols.), Mayer comenzó a servir como ayudante de Einstein para ayudarle con las teorías del campo unificado en las que estaba trabajando. Enseguida, en febrero de 1930, aparecía su primer artículo conjunto: trataba de soluciones estáticas de la teoría del paralelismo a distancia (Einstein y Mayer, 1930). El año siguiente llegaron otros: uno (Einstein y Mayer, 1931 a) utilizando el paralelismo a distancia (Fernparallelismus) y otro (Einstein y Mayer, 1931 b) en el que recurrían la idea pentadimensional de Kaluza. Aunque las cinco dimensiones no condujeron a nada, Einstein continuó explorándola: ya en Princeton y con la ayuda de otro de sus colaboradores, Peter Bergmann, intentó resucitarla (Einstein y Bergmann, 1938).
El ejemplo de Mayer sirve de manera magnífica para mostrar la intensidad de la relación que Einstein mantenía entonces (y la mayor parte del resto de su vida) con las matemáticas. Cuando Albert y Elsa Einstein abandonaron Europa en su primer viaje a California (30 de diciembre de 1930 - marzo de 1931), Mayer, al igual que la secretaria de Einstein, Helen Dukas, acompañaron al matrimonio, puesto que el autor de las teorías de la relatividad no deseaba interrumpir su colaboración con él. Lo necesitaba. Y continuaba necesitándolo cuando decidió abandonar Alemania, en la que no tenía cabida desde la llegada de Hitler al poder en enero de 1933, y Europa. Cuando aceptó la oferta de trabajo del Institute for Advanced Study de Princeton —me referiré a esto en el siguiente capítulo—, puso como condición sine qua non, que se diese un puesto a Mayer en el Instituto, cuya filosofía era admitir únicamente investigadores extraordinarios. Según Albert Tucker, el matemático canadiense que se unió a la Facultad de Matemáticas de Princeton en 1933 y progresó hasta obtener una cátedra en 1946 y se recuerda especialmente por haber sido el creador del «dilema del prisionero», «Einstein había insistido en que se le diese a Walther Mayer un puesto en el instituto o él no iría». [255] Como es natural, los dirigentes del Instituto, ávidos de contar con el gran genio de la física, aceptaron la condición. Un año después (1934), sin embargo, la colaboración finalizó, aunque Mayer se benefició del acuerdo impuesto por Einstein y permaneció en Princeton, ya dedicado a la matemática, hasta su muerte. [256] En total, Einstein publicó ocho artículos con Mayer, más que con ningún otro de sus colaboradores.
La colaboración con Mayer terminó de manera natural. Nathan Rosen, otro de sus colaboradores, ya en Princeton, explicó cómo fue. Tras señalar que había estudiado ingeniería en el Massachusetts Institute of Technology y pasado un año dedicado a la física teórica y, ya doctor, colaborado durante el curso 1932-1933 con David Dennison en la Universidad de Michigan, llegó a Princeton para continuar trabajando en estructura molecular con Edward U. Condon (Rosen, 1982: 405-406):
Cuando llegué a Princeton en el otoño de 1933 , supe que Einstein había llegado hacía poco. Unos meses después, decidí hablar con él y contarle algo que yo había hecho en relación con sus teorías del campo unificado. De manera que un día me armé de valor y fui a verlo. Llamé tímidamente a la puerta de su despacho y me dijo que pasara. Lo encontré trabajando con su ayudante, el matemático Walther Mayer. Einstein me saludó muy amablemente y me hizo sentir a gusto. Le hablé de mi trabajo en las soluciones de las ecuaciones de sus teorías del campo unificado, pareció interesado y me hizo varias preguntas. Después de un rato, empezó a contarme acerca del trabajo que estaba haciendo entonces y, antes de que me diese cuenta, los tres estábamos enzarzados en una animada discusión sobre sus problemas. Al final de nuestra conversación, me invitó a volver el día siguiente, lo que naturalmente hice.Tras Mayer, efectivamente, llegaron para ayudar a Einstein otros jóvenes especialmente dotados para las matemáticas, el primero Rosen, pero esto fue cuando vivía en Princeton, de manera que volveré a este punto en el próximo capítulo. Sí señalaré ahora algo a lo que ya he aludido y que no varió con los trabajos producidos en Norteamérica: que los esfuerzos de Einstein por producir una teoría del campo unificado no condujeron a nada. De hecho, en cuanto quedó claro que gravitación y electromagnetismo no eran las únicas fuerzas existentes en la Naturaleza, algo que se hizo manifiesto ya en los años treinta, con desarrollos como el descubrimiento en 1932 del neutrón por James Chadwick. La física, por tanto, ganó poco con las investigaciones de Einstein y sus colaboradores, pero no así la matemática. Hermann Weyl (1949: 538) señaló esto:
Poco después, ya estaba yendo todos los días. Walther Mayer, matemático puro, no estaba realmente interesado en dedicarse a las matemáticas aplicadas en relación con las teorías del campo unificado y poco a poco fue desapareciendo de la escena, de manera que después de algún tiempo, sólo estábamos los dos, Einstein y yo, trabajando juntos.
Surgieron escuelas de geómetras diferenciales bajo el influjo de la relatividad general. Aquí, en Princeton, Eisenhart y Veblen tomaron el liderazgo, Schouten lo hizo en Holanda. En Francia, la fértil imaginación geométrica de Cartan desveló muchos nuevos aspectos del campo. Algunos de sus más distinguidos discípulos son Tracy Thomas y J. M. Thomas en Princeton, Van Dantzig en Holanda y Shiing Shern de la escuela de París. Un lobo solitario de Zúrich, Hermann Weyl, también se ocupó de este campo; desgraciadamente, él estaba demasiado inclinado a mezclar sus matemáticas con especulaciones físicas y filosóficas.Cuando se analizan los trabajos que Einstein fue produciendo a lo largo de los años, uno se encuentra con una sucesión de esperanzas, de creer que al fin había logrado, o se había acercado, a la meta soñada, con la constatación de que no era así, de que había fracasado una vez más. En su correspondencia se encuentran pruebas de esas, a la postre vanas, esperanzas suyas. Así, el 5 de enero de 1929 manifestaba a Michele Besso (Speziali, ed., 1994: 247):
Pero lo más bello, el trabajo con el cual he pasado días y noches calculando y dándole vueltas a la cabeza, está ahí delante de mí, terminado y condensado en siete páginas bajo el título de «Teoría unitaria del campo». Esto tiene un aire antiguo y mis queridos colegas, lo mismo que tú, vais a sacarme la lengua todo el tiempo que haga falta. Pues en estas ecuaciones no aparece ninguna h de Planck. Pero cuando verdaderamente se hayan alcanzado los límites de las posibilidades de la chaladura estadística, se volverá de repente a la representación espacio-temporal y estas ecuaciones constituirán entonces un punto de partida. En efecto, he encontrado una geometría que no tiene únicamente una geometría de Riemann, sino también un paralelismo absoluto, que considerábamos intuitivamente hasta aquí una característica de la geometría euclídea, y las ecuaciones del campo más sencillas que una tal multiplicidad conducen a las leyes conocidas de la electricidad y de la gravitación.§. Las filosofías de Einstein
La búsqueda de una teoría del campo unificado que Einstein emprendió a comienzos de los años veinte estuvo dominada por la matemática, ocupando las ideas físicas un lugar apenas visible, salvo en lo que se refiere al propósito al que respondía esa búsqueda. Semejante hecho suscita cuestiones interesantes relativas a la «filosofía» que guio a Einstein en sus investigaciones científicas.
Ya expliqué que las tesis de Ernst Mach influyeron de manera importante en la elaboración de las teorías especial y general de la relatividad. Coherente con ello, es que Einstein fue uno de los firmantes de un llamamiento (Aufruf) que se publicó entre finales de 1911 y el verano de 1912 en apoyo a una organización de clara inspiración machiana: la Sociedad de Filosofía Positivista (Gesellschaft für Positivistische Philosophie). Mach era, de hecho, otro de los firmantes, junto a otros científicos, como los matemáticos David Hilbert y Felix Klein, y el padre del psicoanálisis, Sigmund Freud. «La elaboración de una cosmovisión global [Weltanschauung], basada en los hechos que han ido recopilando las distintas ciencias —se lee en ese Llamamiento— es una necesidad cada vez más imperiosa […]. Pero sólo el esfuerzo común de muchos podrá hacer realidad esta pretensión. Por tanto, hacemos un llamamiento a todos los investigadores que tengan inquietudes filosóficas —independientemente del campo de la ciencia en el que desarrollen su trabajo— y a todos los filósofos stricto sensu que pretendan alcanzar por sí mismos y con la sola ayuda del estudio intensivo de los hechos de la experiencia, un conocimiento válido, para que se unan a la Sociedad de Filosofía Positivista. Esta sociedad tiene como objetivos establecer vínculos activos entre todas las ciencias, desarrollar en todas partes las ideas unificadoras [vereinheitlichende Begriffe] y, así, promover una concepción unitaria [Gesamtauffassung] libre de contradicciones». [257]
Ya cité una carta de Einstein a Mach del 25 de junio de 1913, en la que después de informarle de que le había enviado su nueva publicación sobre relatividad y gravitación, le decía que si su teoría era correcta «sus inspiradas investigaciones sobre los fundamentos de la mecánica recibirán —a pesar de las injustas críticas de Planck— una espléndida confirmación».
El entusiasmo de Einstein por Mach todavía duraba en 1916, esto es, después de que hubiese llegado a la formulación final de la relatividad general. El 19 de febrero de 1916, Mach fallecía y, en el obituario que Einstein (1916e: 103) preparó sobre él, escribía: «No es improbable que Mach hubiera llegado a la teoría de la relatividad si, cuando su mente estaba todavía joven y fresca, la cuestión de la constancia de la velocidad hubiese atraído a los físicos […]. Sus pensamientos relativos al experimento del cubo de Newton demuestran lo cerca que estuvo su espíritu de exigir la relatividad en general (relatividad de aceleraciones)». Pronto, no obstante, ese entusiasmo desapareció, como demuestra el siguiente intercambio epistolar entre Einstein y Besso.
Einstein a Besso, 29 de abril de 1917 (CPAE, 1998 a: 441; Speziali, ed., 1994: 149): « [Friedrich Adler] cabalga el pobre caballito de Mach hasta el agotamiento». [258]
Besso a Einstein, 5 de mayo de 1917 (CPAE, 1998 a: 444; Speziali, ed., 1994: 151-152): «En lo que se refiere al caballito de Mach, no deberíamos insultarlo, puesto que ¿no hizo él posible la infernal jornada a través de las relatividades?».
Y Einstein a Besso, 13 de mayo de 1917 (CPAE, 1998 a: 451; Speziali, ed., 1994: 154): «Yo no prorrumpo en invectivas contra el caballito de Mach, pero sabes lo que pienso de él. No puede engendrar nada viviente, sólo puede exterminar parásitos dañinos».
A partir de entonces, Einstein no dejó, siempre que la oportunidad se lo permitía, de mostrar la distancia que lo separaba de la filosofía machiana, esto es, de hacer explícito cómo habían cambiado su filosofía de la ciencia, epistemología y metodología científicas. Así, en una carta que dirigió desde Princeton el 10 de abril de 1938 a su viejo amigo de los años vividos en Berna, Maurice Solovine, manifestaba (Einstein, 1956 a: 71): «En tiempos de Mach, un punto de vista materialista dogmático ejercía una dañina influencia sobre todo; de la misma forma, en la actualidad, el punto de vista subjetivo y positivista ejerce una influencia demasiado fuerte. Se dice que la necesidad de concebir la Naturaleza como una realidad objetiva constituye un prejuicio superado, mientras los teóricos cuánticos se vanaglorian. Los hombres son más susceptibles a las influencias que los caballos y cada periodo está dominado por una moda, con el resultado de que la mayoría de las personas no son capaces de ver al tirano que las dirige».
No se trataba, sin embargo, de que también él hubiese sucumbido a una moda filosófica imperante cuando era un joven e inexperto estudiante y científico primerizo. No. Hume y Mach realmente ayudaron a Einstein en la elaboración de la teoría especial de la relatividad y en algunos apartados de la general, pero lo que sucede es que tras haber completado la relatividad general, un logro que lo fascinó (con razón) mucho más que cualquier otro de los que llevó a cabo a lo largo de su carrera científica, Einstein se dio cuenta de que esta construcción teórica armonizaba mal con los principios machianos: el concepto de campo, recordemos, es un ente fundamental de la teoría, que no se puede reducir a las sensaciones machianas. Para la teoría de la relatividad especial valían las ideas de Mach, pero, en cierto sentido, esa teoría no constituía más que un primer paso en la explicación científica del mundo. Y cuando se avanzaba por este camino, era preciso distanciarse, cada vez más, de los datos empíricos —de las «sensaciones»— que nos suministra la Naturaleza. Era y es necesario, en definitiva, inventar —una palabra maldita para Mach— conceptos e introducirlos en nuestras teorías.

El obituario de Ernst Mach, escrito por Einstein, 1916.
La ciencia utiliza la totalidad de los conceptos primarios, es decir, conceptos conectados en forma directa con las experiencias sensoriales y las proposiciones que los relacionan. En su primera etapa de desarrollo, la ciencia no contiene nada más. Nuestro pensamiento diario se contenta, en términos generales, con este nivel. No obstante, una situación así no puede resultar satisfactoria para quien posea una verdadera mentalidad científica, porque la totalidad de los conceptos y las relaciones obtenidas de esta manera carece por completo de unidad lógica. Con la finalidad de cubrir esta deficiencia, se inventa un sistema más pobre en conceptos y relaciones, un sistema que considera que los conceptos y relaciones del «primer estrato» son conceptos y relaciones derivados lógicamente. En bien de su más elevada unidad lógica, este nuevo «sistema secundario» paga el precio de operar con conceptos elementales (conceptos de segundo estrato) que ya no están conectados de modo directo con las experiencias sensoriales. Una búsqueda posterior de la unidad lógica nos conduce a un sistema terciario, más pobre aún en conceptos y relaciones, mediante la deducción de los conceptos y relaciones del estrato secundario (y de modo indirecto de los del primario). Y el proceso continúa en estos términos, hasta el momento en que hemos llegado a un sistema dueño de la mayor unidad concebible y de la mayor pobreza de conceptos en materia de fundamentos lógicos, que todavía es compatible con las observaciones realizadas por nuestros sentidos. No sabemos si esta ambición será o no capaz de forjar alguna vez un sistema definitivo. Si se recabara una opinión al respecto, lo más probable sería obtener una respuesta negativa. No obstante, mientras se lucha con los problemas, jamás se pierde la esperanza de acercarse a ese objetivo.Fue la relatividad general la que hizo que Einstein modificase sus planteamientos filosóficos con el fin de acomodar éstos a los contenidos de su nueva teoría. Y es que la coherencia filosófica no es una virtud científica, como el propio Einstein señaló en las contestaciones a las críticas que le habían hecho los distintos autores que habían contribuido al volumen Albert Einstein: Philosopher-Scientist. El científico, escribió allí (Einstein, 1949 b: 684), «debe aparecer al epistemólogo sistemático como un tipo de oportunista poco escrupuloso: aparece como realista por buscar describir un mundo independiente de los actos de percepción; como un idealista por considerar los conceptos y las teorías invenciones libres del espíritu humano (no derivables lógicamente de lo que es dado empíricamente); como positivista por considerar sus conceptos y teorías justificadas solamente en la medida en que suministran una representación lógica de relaciones entre experiencias sensoriales. Puede aparecer incluso como un platonista o un pitagórico por considerar el punto de vista de la simplicidad lógica una herramienta efectiva e indispensable de su investigación».
El científico es, efectivamente, o lo es la mayoría de las veces, un oportunista poco escrupuloso desde el punto de vista de la filosofía. Esto, sin embargo, no significa que su relación con ella, con la filosofía, sea siempre innecesaria, improductiva o superficial. En absoluto. Lo que ocurre es que tal relación es cambiante. A veces es el científico quien se beneficia de las reflexiones y enseñanzas de los filósofos (el caso de Einstein en la relatividad especial), pero en otras sucede lo contrario: la filosofía se beneficia de los logros del científico. En este sentido debemos leer otras líneas debidas a Einstein (1936 a, 1981: 261):
A menudo se ha dicho, y no sin cierta justificación, por cierto, que el hombre de ciencia es un mal filósofo. ¿Por qué el físico no deja entonces que el filósofo se entregue a la tarea de filosofar? Esto bien puede ser lo correcto en momentos en que el físico cree tener a su disposición un sistema rígido de conceptos y leyes fundamentales, tan bien establecidos que ninguna duda puede tocarlos, pero puede no serlo en un momento en que las bases mismas de la física se han vuelto tan problemáticas como lo son hoy. En tiempos como el presente, cuando la experiencia nos compele a buscar una nueva y más sólida fundamentación, el físico no puede simplemente entregar al filósofo la contemplación crítica de los fundamentos teóricos, porque nadie mejor que él puede explicar con mayor acierto dónde le aprieta el zapato. En su búsqueda de un nuevo fundamento, el físico se verá obligado a poner bien en claro hasta qué punto están justificados y constituyen verdaderas necesidades los conceptos que utiliza.Es cierto que, como señalaba aquí Einstein, en tiempos de cambios científicos, el científico «no puede simplemente entregar al filósofo la contemplación crítica de los fundamentos teóricos», pero ello no quiere decir que por su parte los filósofos tengan, necesariamente, que ser convidados de piedra en el espectáculo científico. Normalmente lo serán, hasta que se termine esa fiesta que es la creación científica, momento en el que se aprestarán a poner en funcionamiento sus nada desdeñables armas intelectuales, pero no hay duda de que en algunas ocasiones sus ideas han sido más que pertinentes. Me viene a la memoria, en este sentido, las críticas que, a comienzos del siglo XVIII, Leibniz hizo sobre el espacio y tiempo absolutos de Newton, en la célebre correspondencia que mantuvo con Samuel Clarke. [259] Desde el punto de vista del camino que siguió la física entonces, no hay duda de que Gottfried Wilhelm Leibniz perdió en su enfrentamiento filosófico con Clarke, discípulo y representante de Newton en aquel debate. Y lo perdió por la sencilla razón de que Clarke y Newton, con los Principia, podían hacer cosas como calcular el tiempo que tarda en caer un objeto desde una cierta altura, la distancia que alcanza una bala de cañón lanzada con una fuerza determinada o las trayectorias de los planetas, que Leibniz, con sus planteamientos filosóficos, con conceptos como el principio de identidad de los indiscernibles o el de razón necesaria, era incapaz de alcanzar. Sin embargo, casi doscientos años más tarde, Einstein demostraba la pertinencia de las críticas leibnizianas a Newton. La historia, como vemos, es un juez paciente.
Otro documento tremendamente esclarecedor acerca de las ideas a las que finalmente llegó sobre la esencia de la investigación científica teórica es una carta que escribió el 7 de mayo de 1952 a Solovine (Einstein, 1956 a: 121):
En lo relativo a la cuestión epistemológica, no me has comprendido en absoluto; probablemente me expresé mal. Esquemáticamente veo el asunto de la forma siguiente:La teoría de la relatividad general, insisto en este punto, fue la responsable de estos cambios en el pensamiento de Einstein: se dio cuenta de que no se podía reducir todo a las experiencias sensibles. Incluso rechazó la idea que le había ayudado mientras pugnaba por formular una teoría relativista de la gravitación, el «principio de Mach», con el que ya nos encontramos. Fue categórico en este sentido cuando, un año antes de su muerte, escribía (el 2 de febrero de 1954) al relativista Félix Pirani: [260] «En mi opinión, no se debería hablar más acerca del principio de Mach. Éste data de una época en la que se pensaba que los “cuerpos ponderables” eran la única realidad física y que todos aquellos elementos de una teoría que no viniesen determinados completamente por ellos debían ser evitados conscientemente. (Me doy perfecta cuenta del hecho de que yo también estuve influenciado durante mucho tiempo por esta idea fija).» [261]
- Las E(experiencias inmediatas) nos son dadas.
- A [sistema de axiomas] son los axiomas, de donde extraemos conclusiones.
Psicológicamente los Areposan sobre las E, pero no existe ningún camino lógico que lleve de las Ea los A , sino únicamente una conexión intuitiva (psicológica) que es siempre «hasta nueva orden».- De los A se deducen por vía lógica afirmaciones particulares Sque pueden pretender ser exactas.
- Las S[proposiciones deducidas] se ponen en relación con las E (verificaciones mediante la experiencia). Este procedimiento, si se mira de cerca, pertenece igualmente a la esfera extralógica (intuitiva), puesto que la relación [que existe] entre las nociones que se presentan en Sy las experiencias inmediatas Eno son de naturaleza lógica. Pero esta relación entre las S y las Ees (pragmáticamente) mucho menos incierta que la relación entre los Ay las E . (Por ejemplo, la noción perro y las experiencias inmediatas correspondientes). Si no se pudiese obtener con una gran seguridad tal correspondencia (y a pesar de que no se pueda obtener lógicamente), la maquinaria lógica no tendría ningún valor para la «comprensión de la realidad» (por ejemplo, la teología). La quinta esencia de todo esto es la conexión eternamente problemática entre el mundo de las ideas y [todo] lo que puede ser experimental (experiencias inmediatas de los sentidos).
Ernst Mach y la relatividadEn varios lugares de este libro he tratado de las opiniones de Einstein sobre Mach, pero ¿qué pensó éste sobre la relatividad?
En 1909, Mach utilizó la segunda edición de su Die Geschichte und die Wurzel des Satzes von der Erhaltung der Arbeit ( Historia y raíces del principio de conservación de la energía ), para intentar relacionar la formulación que de la relatividad especial hacía Minkowski con su propia teoría epistemológica de la relatividad, esto es, con una teoría que tiene su núcleo básico en la afirmación de que todas las apariencias dependen entre sí y que estas dependencias toman la forma derelaciones funcionales (mientras que la relatividad machiana indica la dependencia funcional de todas las sensaciones, la relatividad física señala la equivalencia de todos los sistemas físicos; y todavía cabe hablar de relatividad física einsteiniana que se refiere a la equivalencia de todos los sistemas físicos con respecto a la velocidad, constante, de la luz en el vacío).
Entre las notas que Mach añadió a su libro (del que envió un ejemplar a Einstein) se encuentra una en la que se lee (Mach, 1911: 95): «Espacio y tiempo no son concebidos aquí como entidades independientes, sino como formas de la dependencia de los fenómenos entre sí. Me suscribo, por tanto, al principio de relatividad que es también firmemente mantenido en mi Mechanik und Wärmelehre. Cf. “Zeit und Raum Physikalisch betrachtet”, enErkenntnis und Irrtum [Conocimiento y error], Leipzig, 1905 (2.a ed., 1906, pp. 434-448), H. Minkowski, Raum und Zeit, Leipzig, 1909».
Puede sorprender en esta cita que Mach se refiera a Minkowski y no a Einstein. Ahora bien, en mi opinión, esto no tiene nada de sorprendente si se tiene en cuenta el trasfondo real de las ideas de Mach. Fue Minkowski y no Einstein el que dio a su presentación cuatridimensional de la relatividad especial un contenido y significado «visual», «sustancial» de alguna manera, mucho más acorde con las ideas machianas sobre la percepción (psico-física), el espacio y la geometría, frente a la formulación, cinemática y probablemente un tanto abstracta (esto es, divorciada de nuestros procesos, psico-físicos, perceptivos y cognitivos) que para Mach tenía la presentación de Einstein.
Al parecer, Mach no sólo envió a Einstein un ejemplar de su libro, sino también una carta puesto que el 17 de agosto de 1909 Einstein le escribía (CPAE, 1993: 2005): «Su amable carta me ha agradado mucho, lo mismo que su tratado [ Die Geschichte und die Wurzel des Satzes von der Erhaltung der Arbeit ] admiro su gran energía […]. Me agrada enormemente que encuentre placer en la teoría de la relatividad».
Ahora bien, la naturaleza del «placer» de Mach no está nada clara. Esto se puede ver en la anterior cita de Die Geschichte und die Wurzel des Satzes von der Erhaltung der Arbeit y también en un texto que publicó en 1919 (Mach, 1919): «Yo no consideraría la variedad del mundo agotada ni aún en el caso de que la versión cinética del modelo del universo físico —que yo en cualquier caso considero hipotética, sin que ello quiera decir que la intento degradar— “explicase” todas las apariencias físicas [y no la consideraría agotada] puesto que para mí la materia, el tiempo y el espacio serían problemas todavía, una visión ésta a la que los físicos (Lorentz, Einstein, Minkowski) se van acercando gradualmente».
En lo que se refiere a la teoría de la relatividad general, desgraciadamente, las cartas posiblemente pertinentes que Mach escribió a Einstein se han perdido, de manera que sólo existe un documento que permite conocer las opiniones de Mach. Se trata del prefacio, escrito en julio de 1913, a su obraDie Principien der Physikalischen Optik (Principios de óptica física), publicada póstumamente en 1921. En el prefacio de esta obra, Mach (1921: VIII) escribió:
Me veo obligado, en lo que puede tal vez ser mi última oportunidad, a retirar mis opiniones sobre la teoría de la relatividad.
Me doy cuenta por las publicaciones que me llegan y especialmente por mi correspondencia, de que gradualmente se me empieza a considerar el precursor de la relatividad. Soy capaz incluso de imaginarme qué nuevas exposiciones e interpretaciones recibirán, desde este punto de vista, en el futuro, muchas de las ideas expresadas en mi libro de mecánica […]. Debo, sin embargo, rechazar el ser el precursor de la relatividad tan firmemente como rechazo la doctrina atomista de la actual escuela o iglesia. La razón por la que, y el grado en que, rechazo la actual teoría de la relatividad, que encuentro va siendo cada vez más dogmática, junto a las razones que me han conducido a tal opinión —consideraciones basadas en la fisiología de los sentidos, dudas epistemológicas, y sobre todo, las enseñanzas resultantes de mis experimentos— deben esperar para ser tratadas en la continuación [de este tratado].
Tal continuación nunca llegó a escribirse, pero aunque esto nos prive del detalle de la argumentación de Mach, al menos una de las razones básicas está clara: Mach quería unir física, psicología y filosofía de los sentidos y, por este motivo, aspiraba a más que a los simples «sucesos» de la relatividad especial, quería conectarlos con nuestra estructura cognitiva. Todo esto sin mencionar la, por 1913 ya clara, tendencia especulativa de la relatividad einsteiniana en su camino hacia una teoría de la interacción gravitatoria. [262]
§. La atracción de las matemáticas
En las profundas modificaciones que se produjeron en la filosofía de Einstein, desempeñó un papel fundamental la atracción que sintió por las matemáticas en su búsqueda de una teoría del campo unificado o, quizá, el que no encontrase herramienta mejor que la heurística matemática. Albert Einstein, el viejo seguidor de la filosofía de Ernst Mach, sucumbió al poder, aparente o real, de la matemática como guía heurística para la física teórica, aunque, bien es cierto, nunca olvidó que el juez último de una teoría física es siempre la experiencia. De hecho, se puede decir que en lo que se refiere a su relación de madurez con las matemáticas, Einstein recuperó sensaciones que ya había experimentado cuando tenía 12 años, momento en que, como recordó en sus Notas autobiográficas, cayó en sus manos un librito sobre geometría euclídea: «Había allí asertos —recordaba entonces (Einstein 1949 a; Sánchez Ron, ed., 2005: 46)—, como la intersección de las tres alturas de un triángulo en un punto, por ejemplo, que, aunque en modo alguno evidentes, podían probarse con tanta seguridad que parecían estar a salvo de toda duda. Esta claridad, esta certeza, ejerció sobre mí una impresión indescriptible» y, enseguida, añadía: «Si bien parecía que a través del pensamiento puro era posible lograr un conocimiento seguro sobre los objetos de la experiencia, el “milagro” descansaba en un error. Mas, para quien lo vive por primera vez, no deja de ser bastante maravilloso que el hombre sea siquiera capaz de lograr, en el pensamiento puro, un grado de certidumbre y pureza como el que los griegos nos mostraron por primera vez en la geometría».
Lo de «si bien parecía que a través del pensamiento puro era posible lograr un conocimiento seguro sobre los objetos de la experiencia, el “milagro” descansaba en un error» es, a todas luces, un anacronismo: esto es lo que Einstein había terminado creyendo (con razón), no lo que, más que probablemente, pensó cuando descubrió los resultados de la geometría de Euclides. [263] El redescubrimiento del poder de las matemáticas que llevó a cabo de la mano de la teoría de la relatividad general y que a partir de determinado momento, alrededor de 1920, no encontrase más guía heurística para proseguir su búsqueda de una teoría del campo unificado, que tan importante era para él (creía que podía conducir a una alternativa causal para la mecánica cuántica, a la que se oponía firmemente), ese redescubrimiento del poder de la matemática, digo, lo condujo a defender opiniones como la que expuso durante la conferencia Herbert Spencer que pronunció en Oxford el 10 de junio de 1933 (Einstein, 1933, 1981: 245-246):
Si es verdad que la base axiomática de la física teórica no puede ser extraída de la experiencia y debe ser inventada con libertad, ¿podemos esperar que alguna vez hallemos el camino correcto? […]. Sin ninguna vacilación responderé que, según mi opinión, existe un camino correcto y que nosotros somos capaces de hallarlo.Largo y variado había sido el camino intelectual que había recorrido el gran maestro de la ciencia del siglo XX cuando realizó estas manifestaciones. Leídas con atención, contienen la esencia de su vida como pensador, la vida de una persona que sacrificó el método a la posibilidad de describir la naturaleza, fueran las que fuesen las herramientas que se viese obligado o animado a utilizar. Los procedimientos —los métodos— que empleó se debieron, en ocasiones, mucho a venerables ideas filosóficas, esto es, a la filosofía, dando también lugar a nuevos planteamientos filosóficos. Y, entre esos métodos, la matemática llegó a desempeñar un papel central durante un largo periodo de su carrera. Ahora bien, todos esos planteamientos, los filosóficos o los matemáticos, siempre estuvieron dirigidos a servir a la física, a la ciencia que busca desentrañar cuáles son las leyes básicas a las que obedecen los fenómenos que observamos en la Naturaleza. Física, filosofía y matemática, los tres pilares del mundo, se unieron en su obra con una originalidad, fecundidad y variedad como difícilmente se encuentra en ningún otro de los científicos que han honrado con su trabajo la historia de la ciencia.
Hasta el momento presente, nuestra experiencia nos autoriza a creer que la naturaleza es la realización de las ideas matemáticas más simples que se pueda concebir. Estoy convencido de que, por medio de construcciones matemáticas, podemos descubrir los conceptos y las leyes que los conectan entre sí, que son los elementos que proporcionan la clave para la comprensión de los fenómenos naturales. La experiencia puede sugerir los conceptos matemáticos apropiados, pero éstos, sin duda ninguna, no pueden ser deducidos de ella. Por supuesto que la experiencia retiene su cualidad de criterio último de la utilidad física de una construcción matemática, pero el principio creativo reside en la matemática. Por tanto, en cierto sentido, considero que el pensamiento puro puede captar la realidad, tal como los antiguos habían soñado.
§. Nuevas contribuciones a la física cuántica: La estadística de Bose-Einstein
Aunque la búsqueda de una teoría relativista de la gravitación y luego el desarrollo de la relatividad general y de una teoría del campo unificado ocuparon la mayor parte de su tiempo, Einstein no olvidó la física cuántica, a la que todavía aportó algún trabajo importante.
Uno de ellos tuvo que ver con un problema que le preocupó desde el principio: deducir de manera satisfactoria la ley de radiación de Planck (recordemos, por ejemplo, que en su artículo de 1905 sobre la producción y transformación de la luz, no había recurrido a la ley de Planck sino a la de Wien).
El 4 de junio de 1924, Einstein recibió una carta de un físico indio, Satyendra Nath Bose (1894-1974), que había estudiado en la universidad de su ciudad natal, Calcuta, en la que se licenció en Matemáticas mixtas en 1915, el primero de su promoción, y que en aquel momento trabajaba en el Departamento de Física de la Universidad de Dacca. La carta decía lo siguiente: [264]
Respetado señor:¿Qué sentiría Einstein al recibir aquella carta, llena de humildad y respeto, una carta que, sin embargo, resolvía un problema que le había obsesionado durante dos décadas? Seguramente alivio. Un alivio que las expresiones de Bose («porque todos somos sus discípulos…») harían más agradable. En cualquier caso, el hecho es que Einstein tradujo el artículo al alemán y lo envió al Zeitschrift für Physik (Bose, 1924), a cuya redacción llegó el 2 de julio (apareció en el número del 11 de agosto), incluyendo el siguiente comentario de Einstein: «En mi opinión, la deducción que hace Bose de la fórmula de Planck supone un importante avance. El método utilizado también proporciona la teoría cuántica del gas ideal, como desarrollaré en detalle en otra parte».
Me atrevo a enviarle el artículo adjunto para su conocimiento y opinión. Estoy ansioso de saber lo que piensa de él. Verá que he tratado de deducir el coeficiente 8pν2/c3 de la ley de Planck, independientemente de la electrodinámica clásica, suponiendo únicamente que las regiones elementales últimas del espacio de fase tienen el contenido h3 . No sé suficiente alemán para traducir el artículo. Si usted piensa que merece ser publicado, le agradecería que hiciera lo posible para que sea publicado en el Zeitschrift für Physik . Aunque sea un completo extraño para usted, no siento ninguna duda en realizarle tal petición. Porque todos somos sus discípulos, habiéndonos beneficiados de sus enseñanzas a través de sus escritos. No sé si recordará que alguien desde Calcuta le pidió permiso para traducir sus artículos sobre relatividad al inglés. Usted aceptó la petición. El libro ha sido traducido desde entonces. Yo fui quien tradujo su artículo sobre la relatividad generalizada.
La novedad introducida por Bose consistía en subdividir el espacio de fase (posiciones y momentos) en celdas de volumenh3 y en evaluar (contar) el número de distribuciones que podían adoptar (cómo se podían repartir) un número dado de partículas (los cuantos de luz) entre las distintas celdas. Era, expresado sucintamente, una nueva forma de contar «elementos» cuánticos, una nueva estadística para las «partículas de luz», los fotones. El artículo que Einstein había anunciado sobre la teoría cuántica del gas ideal no se hizo esperar: lo presentó en la reunión de la Preussische Akademie der Wissenschaften de Berlín del 10 de julio (Einstein, 1924), ocho días después de que se recibiese en el Zeitschrift für Physik su traducción del trabajo de Bose. Se trataba de la teoría cuántica de un gas monoatómico. Al final de su artículo, Einstein hacía mención a una paradoja: según la nueva teoría, la entropía de una mezcla de dos gases —aun en el caso de que las diferencias entre las moléculas fuesen muy pequeñas— era diferente de la entropía de un gas puro con idéntico número de partículas que ocupase el mismo volumen que la mezcla. Paul Ehrenfest, siempre crítico y, además, gran maestro en la física estadística, también se dio cuenta de que había algo diferente, argumentando —como señalaba Einstein (1925: 5) en un segundo artículo, que presentó a la Academia de Ciencias de Berlín el 8 de enero de 1925, en el que ampliaba sus ideas sobre la nueva estadística y sus consecuencias— que «no se tratan [en Bose, 1924, y en Einstein, 1924] a los cuantos y a las moléculas como objetos estadísticamente independientes». Einstein reconocía la objeción, manifestando: «La fórmula expresa indirectamente una cierta hipótesis de influencia mutua entre moléculas, en la actualidad bastante misteriosa». Hoy sabemos que Einstein se encontraba ante las consecuencias del hecho de que los cuantos de luz son partículas indistinguibles (bosones se llamaría más tarde a todas las partículas que comparten esta propiedad de los cuantos/fotones, a los que, como también luego se vio, les une asimismo el tener espines enteros, y no semi enteros como los electrones, que pertenecen a la familia de los fermiones). Debido a esta indistinguibilidad, los cuantos de luz se comportan como partículas no independientes, al contrario de lo que Einstein argumentaba en su artículo de 1905. En 1925, Einstein no tenía muchos más recursos que el de hablar de «una cierta hipótesis de influencia mutua entre moléculas, en la actualidad bastante misteriosa». Habría que esperar a la mecánica cuántica y a la noción de función de onda para encontrar un esquema en el que bosones y fotones se pudiesen distinguir, en base a propiedades de simetría diferentes de la función de onda.

Satyendra Nath Bose.
Además de esto, Einstein predijo que «si la temperatura desciende lo suficiente», se produciría en ese gas «una caída brutal y acelerada de la viscosidad en el entorno de una cierta temperatura», que estimaba para el helio líquido —en el que ya había indicios de tal superfluidez— en unos 2 grados Kelvin.
No obstante, hubo que esperar hasta el 8 de enero de 1938 para que se produjera un avance en la predicción einsteiniana de la existencia de superfluidez. Fue entonces cuando se publicaron en la revista inglesa Nature dos breves artículos, uno a cargo de Piotr Kapitza, director del Instituto de Problemas Físicos en Moscú y anteriormente (hasta que en 1934 Stalin lo retuvo en la Unión Soviética, durante uno de sus viajes de vacaciones) catedrático en el Laboratorio Cavendish de Cambridge, y un segundo artículo de dos jóvenes físicos canadienses que estaban trabajando en el Laboratorio Mond que la Royal Society patrocinaba en Cambridge (Inglaterra), Jack Allen y Don Misener. En ellos (Kapitza, 1938; Allen y Misener, 1938) se anunciaba que el helio líquido fluía prácticamente sin sufrir la resistencia de la viscosidad por debajo de 2,18 grados K (al helio líquido normal se le denomina He I, mientras que el superfluido es He II). Sin embargo, fueron Fritz London (1938) y Laszlo Tisza (1938), quienes demostraron teóricamente que este fenómeno constituía la prueba de la superfluidez: London argumentó que la transición al estado de superfluidez únicamente se podría comprender en términos de la condensación de Bose-Einstein, mientras que Tisza propuso considerar el helio superfluido como una mezcla de helio normal y otro superfluido, ambos componentes tienen comportamientos hidrodinámicos y contenidos caloríficos diferentes, pero en el cero absoluto todo el líquido se hace superfluido.
Tres años después, Lev Landau (1941) desarrolló la fenomenológica teoría de Tisza, suponiendo que el helio líquido normal estaba formado por un gas de «excitaciones elementales», fonones, y, un concepto nuevo, rotones con vorticidad. Más tarde, en una serie de artículos, el primero de los cuales apareció en 1953, Richard Feynman (1953, 1954 a, b) demostró que algunas de las fenomenológicas suposiciones de Landau se podían explicar en base a la física cuántica y que los rotones eran el análogo mecano-cuántico de anillos vorticiales microscópicos. En 1962, Landau recibió el Premio Nobel de Física por sus trabajos sobre la superfluidez del helio II.
Como vemos, la vieja idea que Einstein había propuesto en 1924, a la que apenas se había prestado atención, se manifestaba, más desarrollada, en sistemas muy diferentes al de los gases ideales considerados por el creador de la relatividad. En la actualidad, se da un gran valor a estos descubrimientos, en la medida en que muestran macroscópicamente un comportamiento cuántico, pero, en su momento, este aspecto no se destacó tanto. Para comprender mejor la relación entre la condensación de Bose-Einstein y los aspectos macroscópicos de la física cuántica, hubo que producir «superátomos», conjuntos de átomos que se comportasen como una unidad y fuesen perceptibles macroscópicamente (si se enfrían lo suficientemente, las longitudes de onda de los átomos serán tan grandes que se «solaparán», perdiendo así sus identidades individuales y creando un estado cuántico macroscópico, un «superátomo», un condensado de Bose-Einstein). Semejante logro se alcanzó mucho más tarde, en 1995. Aquel año, un grupo de físicos de la Universidad de Colorado liderados por Eric Cornell y Carl Wieman, en una colaboración entre su universidad y el National Institute of Standards and Technology (Instituto Nacional de Patrones de Medidas y Tecnología [el antiguo National Bureau of Standards, Oficina Nacional de Patrones de Medidas]), y enfriándolos en una «trampa magnética» utilizando una combinación de un láser y enfriamiento mediante evaporación, lograron formar un superátomo (87 átomos) de rubidio, un condensado de Bose-Einstein (Anderson, Ensher, Matthews, Wieman y Cornell, 1995) y, unos meses después, el equipo de Wolfgang Ketterle en el MIT, consiguieron otro de sodio (Davis, Mewes, Andrews, Van Druten, Durfee, Kurn y Ketterle, 1995). Los tres investigadores principales, Cornell, Wieman y Ketterle, recibieron el Premio Nobel de Física de 2001.
§. Crítico de la mecánica cuántica
En 1925, el año siguiente a la publicación del artículo de Bose y el mismo en el que Einstein publicó su trabajo sobre los condensados de Bose-Einstein, un joven discípulo de Arnold Sommerfeld, Werner Heisenberg (1901-1976), lograba dar con una formulación satisfactoria de mecánica cuántica: la «mecánica de matrices». [265] Uno de los pilares sobre los que se asentó Heisenberg entonces fue asociar los coeficientes de probabilidad que Einstein había introducido en 1916 con los cuadrados de las amplitudes de transición entre los niveles atómicos del modelo de Bohr. No hay duda de la importancia que tuvo para Heisenberg la idea de recurrir a magnitudes observables; basta con leer la introducción del artículo en el que presentó sus resultados (Heisenberg, 1925; Van der Waerden, ed., 1967: 262): «parece razonable descartar toda esperanza de observar magnitudes hasta ahora inobservables, tales como la posición y el periodo del electrón, y aceptar que el acuerdo parcial de las reglas cuánticas con la experiencia es más o menos fortuito. Parece así más razonable tratar de establecer una mecánica cuántica teórica, análoga a la mecánica clásica, pero en la que solamente aparezcan relaciones entre magnitudes observables».
En otro documento, Heisenberg (1979 b: 121) explicó con más detalle su proceder: «Las contradicciones que se habían puesto de manifiesto en la teoría cuántica de la estructura del átomo […] se hicieron con el tiempo cada vez más importantes e irresolubles. Nuevos experimentos —el efecto Compton y el efecto Stern-Gerlach, por ejemplo— demostraron que sin una modificación radical de la formulación de los conceptos físicos no podía uno describir ya tales fenómenos. En esas circunstancias, recordé una idea que había leído en algún libro de Einstein: una teoría física sólo debe manejar magnitudes que puedan observarse directamente. Este requisito garantizaba, tal era la opinión, el nexo entre las fórmulas matemáticas y los fenómenos. Al hilo de esa idea se llegaba a un formalismo matemático que realmente parecía cuadrar con los fenómenos atómicos. En colaboración con Born, Jordan y Dirac, fue luego elaborado en una mecánica cuántica cerrada de aspecto tan convincente, que en verdad no cabía ya ninguna duda».
En la primavera de 1926, Heisenberg fue invitado a hablar en el coloquio que organizaban los físicos de Berlín para exponer su teoría cuántica. Tras su intervención, Einstein le pidió que lo acompañase a su casa para continuar discutiendo el tema de la nueva mecánica cuántica: «llegados a nuestro destino, acometió inmediatamente una cuestión central. Me hizo notar que en mi descripción matemática no aparecía para nada el concepto de “órbita de un electrón”, mientras que en una cámara de niebla uno podía observar directamente su trayectoria. Se le antojaba absurdo afirmar que la trayectoria del electrón existía en esa cámara de niebla, pero no en el interior del átomo. Yo me defendí justificando con detalle la necesidad de abandonar el concepto de órbita para el interior del átomo. Señalé que esa órbita no se podía observar, que lo que realmente uno registraba eran frecuencias de la luz emitida por el átomo, intensidades y probabilidades de transición, pero no órbitas. Y que, como lo lógico era introducir en una teoría sólo magnitudes directamente observables, el concepto de órbita electrónica no debía aparecer en la teoría. Einstein, para mi sorpresa, no se dio por satisfecho con esta justificación. Opinaba que cualquier teoría entraña magnitudes inobservables y que el principio de utilizar sólo magnitudes observables no era posible llevarlo consecuentemente a la práctica. Cuando repliqué que me había limitado a emplear la clase de filosofía en la que él había basado su teoría de la relatividad, repuso: “Puede que en algún momento yo haya utilizado esa filosofía y que incluso haya escrito sobre ella, pero no deja de ser un absurdo”». (Heisenberg, 1979 b: 122-123).
Como vimos, la anterior afirmación que Heisenberg ponía en boca de Einstein es consistente con el cambio en su filosofía científica. En 1926, Einstein distaba mucho de ser el positivista-machiano de 1905. En manos, especialmente, de Heisenberg, Bohr, Born y Pauli, la física cuántica se centraba en la discontinuidad y en abstractos entes de naturaleza matemática, quedando oculta, cuando no —como a la postre ocurrió— rechazada la creencia en una realidad subyacente basada en lo continuo (la imagen física de órbitas no figuraba entre los constructos de la mecánica de Heisenberg). Y esto, prescindir de todo tipo de modelo para la descripción de los procesos atómicos, era algo absolutamente rechazable para aquellos físicos, como Planck y Einstein, que defendían que existía una realidad, unos objetos reales, independientemente de nuestras observaciones. En una carta del 25 de diciembre de 1925 a Besso, Einstein declaraba que el formalismo matricial de Heisenberg le parecía un «cálculo de hechicería, donde aparecen determinantes infinitos (matrices) en lugar de las coordenadas cartesianas. Esto es eminentemente ingenioso y, a causa de su complicación, está suficientemente protegido contra toda demostración de falsación» (Speziali, ed., 1994: 79).

Werner Heisenberg y Erwin Schrödinger, 1927.
Cuando Erwin Schrödinger (1926 a, b, d, e), profesor entonces en la ETH de Zúrich, produjo, generalizando lo que Louis de Broglie (1924, 1925) había avanzado sobre la dualidad onda-corpúsculo (aplicable a una sola partícula), una versión diferente de mecánica cuántica, una mecánica ondulatoria, esto es, basada en entes continuos (ondas), aquéllos a los que repugnaba renunciar a la máxima clásica « natura non facit saltus», los «caballeros de la teoría del continuo» («Herren der Kontinuumstheorie») como Heisenberg llamó a los físicos que defendían el realismo en alguna de sus cartas a Pauli, recibieron con entusiasmo las contribuciones e ideas de Schrödinger. Einstein tenía la certeza de que Schrödinger había «realizado un avance decisivo con su formulación de la condición cuántica, de la misma manera que estoy convencido de que el camino abierto por Heisenberg-Born es erróneo»; Planck leyó los artículos de 1926 «igual que un niño curioso escucha con suspense la solución de un rompecabezas que le ha preocupado durante mucho tiempo y también estoy encantado con la belleza que salta a la vista»; y Lorentz señalaba que si «tuviese que escoger ahora entre su mecánica ondulatoria y la mecánica matricial, daría preferencia a la primera, debido a su mayor claridad intuitiva». [266] De hecho, el entusiasmo de Planck llegó a tal punto que, próxima ya su jubilación, eligió —convenciendo también a las autoridades universitarias— a Schrödinger como su sucesor en la cátedra de Berlín, puesto (catedrático y director del Instituto de Física Teórica) del que Schrödinger tomó posesión el 1 de octubre de 1927, y al que sumó en febrero de 1929 el de miembro de la Preussische Akademie der Wissenschaften.
Las esperanzas de los «caballeros del continuo» se basaban en la idea de Schrödinger de que las partículas cuánticas, los electrones por ejemplo, podían no ser otra cosa que paquetes de ondas, lo que restituiría la tan deseada continuidad en la descripción de la naturaleza atómica, pero resultó que tales paquetes de ondas no eran estables, que se ensanchaban. Por otra parte, el propio Schrödinger (1926 c) demostró que la mecánica matricial de Heisenberg y la suya eran equivalentes, expresiones diferentes de una misma realidad. Esto animó a los físicos cuánticos, a los «caballeros del discontinuo», que encabezados por Niels Bohr terminaron por apropiarse, modificando radicalmente su interpretación, de la mecánica ondulatoria de Schrödinger.
Un golpe de gracia a una posible interpretación realista de la mecánica ondulatoria lo propinó Max Born desde Gotinga, en un artículo titulado «Sobre la teoría cuántica de las colisiones (Comunicación preliminar)», que llegó a la redacción del Zeitschrift für Physik el 25 de junio de 1926 (Born, 1926 a) al que poco menos de un mes después llegó al Zeitschrift für Physik el 21 de julio, un artículo más detallado: Born (1926 b). En ellos, Born presentó una interpretación de las ondas de Schrödinger, en la que el cuadrado de la función de onda representaba la probabilidad de que se diese un resultado concreto, esto es, un estado posible del sistema representado por esa función.
Recurriendo a las palabras del propio Born (1926 a; Wheeler y Zurek, eds., 1983: 54) en su comunicación preliminar: «La mecánica cuántica de Schrödinger […] da una respuesta bastante definida a la pregunta del efecto de la colisión [de un electrón con un átomo], pero no hay lugar para una descripción causal. No se obtiene respuesta para la pregunta, “¿cuál es el estado después de la colisión?”, sino solamente para la de “¿cuán probable es un resultado determinado de la colisión?” (en la que, naturalmente, la relación mecánico-cuántica para la energía debe verificarse)». Y, en este punto, consciente del terreno resbaladizo, absolutamente novedoso, que estaba pisando, añadía, con un claro sabor filosófico: «Aquí, surge todo el problema del determinismo. Desde el punto de vista de nuestra mecánica cuántica, no existe una magnitud que en una situación individual arbitraria fije causalmente el resultado de la colisión, pero tampoco experimentalmente tenemos hasta el momento ninguna razón para suponer que existan algunas propiedades internas del átomo que condicionen un resultado definido para la colisión. ¿Debemos esperar que en el futuro se descubran tales propiedades (del tipo de fases o movimientos atómicos internos) y determinarlas en casos individuales? ¿O debemos creer que el acuerdo entre teoría y experimento […] constituye una armonía preestablecida, fundada en la no existencia de tales condiciones? Yo me siento inclinado a abandonar el determinismo en el mundo de los átomos, pero ésta es una cuestión filosófica, para la que no son decisivos sólo los argumentos físicos».

Max Born.
La mecánica obliga a que se la respete, pero una voz interior me dice que todavía no es el non plus ultra . La teoría nos aporta muchas cosas, pero apenas nos acerca al secreto del Viejo. De todas maneras, yo estoy convencido de que Él, al menos, no juega a los dados.El «Viejo» («der Alte») al que se refería Einstein, era, por supuesto, Dios («Gott»). [267]
Poco después de que Einstein escribiera las líneas anteriores, la situación volvió a empeorar para los «continuistas» con la formulación del principio de incertidumbre por parte de Heisenberg (1927). Tal principio sostiene que determinadas parejas de magnitudes (denominadas canónicamente conjugadas) como la posición y la velocidad o la energía y el tiempo sólo se pueden determinar simultáneamente con una indeterminación característica de valor igual o superior a la constante de Planck, esto es, ?x·?p=h, donde x representa la posición y p el momento lineal (el producto de la masa por la velocidad). A partir de este resultado, al final de su artículo Heisenberg (1927; Wheeler y Zurek, eds., 1983: 83) extraía una conclusión con implicaciones filosóficas de largo alcance: «En la formulación fuerte de la ley causal “Si conocemos exactamente el presente, podemos predecir el futuro”, no es la conclusión sino más bien la premisa la que es falsa. No podemos conocer, por cuestiones de principio, el presente en todos sus detalles». Y añadía: «En vista de la íntima relación entre el carácter estadístico de la teoría cuántica y la imprecisión de toda percepción, se puede sugerir que detrás del universo estadístico de la percepción se esconde un mundo “real” regido por la causalidad. Tales especulaciones nos parecen —y hacemos hincapié en esto— inútiles y sin sentido, ya que la física tiene que limitarse a la descripción formal de las relaciones entre percepciones».
Con todos esos elementos, se elaboró lo que se denominó «Interpretación de Copenhague» de la mecánica cuántica, por el papel destacado que desde su Instituto de Física de la capital danesa desempeñó Niels Bohr en su formulación y, acaso aún más, en su divulgación. Esta interpretación se puede resumir de la siguiente manera. La función de onda de la ecuación de Schrödinger está constituida por la suma de una serie de funciones, asociadas a las diferentes situaciones físicas posibles.

Niels Bohr.

Asistentes al Consejo Solvay de 1927.

Einstein y Niels Bohr; fotografía tomada por Paul Ehrenfest en diciembre de 1925.
Allí se reunieron Planck, Einstein, Lorentz, Bohr, De Broglie, Born, Schrödinger y, de la generación joven, Kramers, Pauli y Dirac. La discusión pronto se centró en un duelo polémico entre Einstein y Bohr al tratarse el problema de si la teoría cuántica en su forma nueva podía considerarse solución definitiva de las dificultades discutidas durante varios decenios. La mayoría estábamos sentados a la mesa del desayuno en el comedor del hotel. Einstein empezó a describirnos un experimento hipotético en el que, a su modo de ver, se ponían en evidencia las contradicciones internas de la concepción de Copenhague. Einstein, Bohr y yo fuimos luego desde el hotel al edificio donde se celebraban las conferencias. Yo escuchaba la animada discusión entre dos hombres de posturas tan distintas y a veces hacía algún comentario entre tanto formulismo matemático. Durante la sesión y más durante el descanso, nos dedicamos los más jóvenes, en particular Pauli y yo, a analizar el experimento de Einstein y, a la hora del almuerzo, surgió de nuevo la ocasión de discutir entre Bohr y los colegas de Copenhague. Casi siempre Bohr, al final de la tarde, había acabado el análisis completo del experimento hipotético y a la cena se lo presentaba a Einstein. Éste no tenía nada que oponer, como experto, a los análisis, pero en el fondo no se sentía convencido. Ehrenfest, un holandés amigo de Bohr, le dijo: «Einstein, me avergüenzo de ti, te estás portando con la teoría cuántica como lo hacían contigo los enemigos de la teoría de la relatividad al oponerse a ella». El último día, Einstein nos llevó, a la hora del desayuno, el famoso experimento (hecho público en la intervención de Bohr y en el artículo con el que contribuyó al septuagésimo aniversario del nacimiento de Einstein), en el que se debe determinar el color del cuanto de luz mediante el peso de la fuente de la luz, antes y después de la emisión del cuanto. Como entraba en juego la gravedad, hubo que incorporar al análisis la teoría de la gravitación, así como la teoría general de la relatividad. Fue un gran triunfo de Bohr poder demostrar, por la tarde, precisamente mediante la utilización de las fórmulas de Einstein de la teoría general de la relatividad, que también en este experimento se cumplían las relaciones de indeterminación y que el argumento principal carecía de base. Con esto quedó a salvo la interpretación dada por los de Copenhague a la teoría cuántica.No existen apenas más pruebas acerca de aquel debate Einstein-Bohr que los anteriores recuerdos de Heisenberg.

N. Bohr, A. Einstein, T. de Donder, O. W. Richardson, P. Langevin, P. Debye, A. Joffe y Blas Cabrera reunidos en Bruselas en julio de 1932 para preparar el Consejo Solvay de Física de 1933. Fotografía tomada por la reina Elizabeth de Bélgica.
§. El dios y la religión de Einstein
En la carta citada que Einstein envió a Born el 4 de diciembre de 1926, hablaba de «el Viejo» («der Alte»), es decir, de Dios («Gott »). Modificada una de las frases que incluyó allí en la forma «Dios no juega a los dados», ha pasado a formar parte de la cultura popular. Si, además, tenemos en cuenta que en otras ocasiones mencionó o aludió a su sentido de la religiosidad, el resultado ha sido y es que no faltan quienes piensan —una idea que algunos se han esforzado interesadamente en difundir— que Einstein creía en un Dios del tipo del que aparece en las religiones tradicionales. Pero no fue así.
En distintos lugares, Einstein expresó sus ideas acerca de la religión y de un Dios personal. Un buen ejemplo en este sentido es un artículo («Religión y Ciencia») que publicó en el New York Times Magazine el 9 de noviembre de 1930. Decía allí (Einstein, 1981: 32):
En el hombre primitivo, es sobre todo el miedo el que produce ideas religiosas: miedo al hambre, a los animales salvajes, a la enfermedad, a la muerte. Como en esta etapa de la existencia suele estar escasamente desarrollada la comprensión de las conexiones causales, el pensamiento humano crea seres ilusorios más o menos análogos a sí mismo de cuya voluntad y acciones dependen esos acontecimientos sobrecogedores. Así, uno intenta asegurarse el favor de tales seres ejecutando actos y ofreciendo sacrificios que, según la tradición transmitida a través de generaciones, los hacen mostrarse propicios y bien dispuestos hacia los mortales. En este sentido, hablo yo de una religión del miedo.También identificaba otros orígenes para el sentimiento religioso (Einstein, 1981: 33):
Los impulsos sociales son otra fuente de cristalización de la religión. Padres y madres y dirigentes de las grandes comunidades humanas son mortales y falibles. El deseo de guía, de amor y de apoyo empuja a los hombres a crear el concepto social o moral de Dios. Éste es el dios de la Providencia, que protege, dispone, recompensa y castiga; el Dios que, según las limitaciones de enfoque del creyente, ama y protege la vida de la tribu o de la especie humana e incluso la propia vida; es el que consuela de la aflicción y del anhelo insatisfecho; el que custodia las almas de los muertos. Ésta es la concepción social o moral de Dios.«Común a todos estos tipos de religión —continuaba— es el carácter antropomórfico de su concepción de Dios […]. Pero hay un tercer estadio de experiencia religiosa común a todas ellas, aunque raras veces se halle en una forma pura: lo llamaré sentimiento religioso cósmico». Éste era el sentimiento religioso de Einstein, que consistía, como explicó en otro de sus escritos («El espíritu religioso de la ciencia»), este de 1934 (Einstein, 1981: 35), en lo siguiente:
Difícilmente encontraréis entre los talentos científicos más profundos, uno solo que carezca de un sentimiento religioso propio, pero es algo distinto a la religiosidad del lego. Para el lego, Dios es un ser de cuyos cuidados uno espera beneficiarse y cuyo castigo teme; una sublimación de un sentimiento similar al del hijo hacia el padre, un ser con quien uno mantiene, como si dijéramos, una relación personal, aunque pueda estar profundamente teñida de temor reverente.En tanto que asociaba el sentimiento religioso cósmico a una causalidad universal, podemos entender mejor su afirmación de que «Dios no juega a los dados». Su «Dios» era, como declaró en 1929 en un telegrama a un periódico judío (Calaprice, ed., 1996: 147), «el Dios de Spinoza, que se revela en la armonía de todo lo que existe, pero no un Dios que se preocupa por el destino y acciones de los seres humanos».
Pero el científico está imbuido del sentimiento de la causalidad universal. Para él, el futuro es algo tan inevitable y determinado como el pasado. En la moral no hay nada divino, es un asunto puramente humano. Su sentimiento religioso adquiere la forma de un asombro extasiado ante la armonía de la ley natural, que revela una inteligencia de tal superioridad que, comparados con ella, todo el pensamiento y todas las acciones de los seres humanos no son más que un reflejo insignificante. Este sentimiento es el principio rector de su vida y de su obra, en la medida en que logre liberarse de los grilletes del deseo egoísta.
En una carta que envió al filósofo judío Erik B. Gutkind el 3 de enero de 1954, esto es, un año antes de su muerte, en respuesta al libro de Gutkind, Choose Life: The Biblical Call to Revolt (1952), carta que fue subastada en eBay en octubre de 2012 (la puja comenzaba en tres millones de dólares), Einstein fue claro y muy directo con respecto a sus ideas religiosas:
Para mí, la palabra Dios no es nada más que la expresión y el producto de la debilidad humana y la Biblia una colección de honorables, pero aun así, primitivas leyendas que sin embargo son bastante infantiles. Ninguna interpretación, por muy sutil que sea, puede cambiar esto […]. En mi opinión, la religión judía, como todas las demás religiones, es una encarnación de las más infantiles supersticiones. Y el pueblo judío, al que felizmente pertenezco y con cuya mentalidad tengo una profunda afinidad, para mí no tiene una calidad diferente que todas las demás personas. Por lo que se refiere a mi experiencia, tampoco son mejores que otros grupos humanos, aunque están protegidos del peor de los cánceres por su falta de poder. Aparte de esto, no puedo ver nada «elegido» en ellos.
Capítulo 17
El último viaje: De Berlín a Princeton
§. Einstein y el régimen de Hitler§. Einstein y el régimen de Hitler
§. Problemas en Estados Unidos
§. El descubrimiento de la fisión del uranio
§. Einstein escribe a Roosevelt
§. Todavía un científico productivo
§. Los ayudantes de Einstein en Princeton
§. Einstein, Podolsky y Rosen
§. Lentes gravitacionales
§. Einstein y la noción de «singularidad»
§. Ecuaciones de movimiento en relatividad general
§. La leyenda se hace memoria: La muerte de Einstein
Hemos visto que durante la primera guerra mundial Einstein se distinguió como un ferviente pacifista e internacionalista y que, una vez finalizada la contienda y abolido el antiguo régimen imperial, celebró la llegada de la República de Weimar. No es sorprendente, por consiguiente, que por muy grande que fuese su prestigio científico le surgiesen (o se manifestasen con mayor libertad que antes) enemigos políticos. Ahora bien, en principio, tales adversarios centraron sus ataques en cuestiones científicas, en particular en la teoría de la relatividad.
Aunque ya se encontró con otros problemas (por ejemplo, en un curso que dio en la Universidad de Berlín en febrero de 1920), la primera gran ocasión en que se manifestó en toda su virulencia la oposición a Einstein, a su persona como judío, pacifista y simpatizante a las ideas socialistas, y a su ciencia, fue el 24 de agosto de 1920, durante una reunión organizada por una Arbeitsgemeinschaft deutscher Naturforscher zur Erhaltung reiner Wissenschaft e. V. (Sindicato de Científicos Alemanes para la Conservación de la Ciencia Pura) y preparada por el activista antisemita radical y populista Paul Weyland, que fue, asimismo, el primer orador. Entre las acusaciones que Weyland vertió figuraban las de «búsqueda de publicidad» y «plagio», añadiendo que en su opinión la teoría de la relatividad no era más que «psicosis de masas», «producto de una época confusa que ya había provocado algunas otras cosas repugnantes entre la multitud». [268]
Sobre Weyland, Armin Hermann (1997: 226-227) escribió lo siguiente: « ¿Quién era Paul Weyland para atreverse a anunciar la oposición a Einstein de los eruditos alemanes? […]. Además de ser un antisemita primitivo y un antidemócrata, Weyland fue un estafador y un rufián que en su miserable vida conoció la cárcel una y otra vez. Difamó al Estado de Weimar como “república nacida de la basura y el estiércol” y, después de la segunda guerra mundial, emigró a Estados Unidos, donde trabajó como confidente para el FBI cuando éste reunía material sobre Einstein, sospechoso de comunismo, en la era McCarthy». Ahora bien, Weyland no estaba solo, ni rodeado únicamente de arribistas ignorantes en materias científicas. Estuvo apoyado por Philipp Lenard y Johannes Stark, como ya dije premios Nobel de Física en, respectivamente, 1905 y 1919, y futuros nazis destacados.
Einstein asistió a la «representación» de la Sinfónica de Berlín del 24 de agosto y una semana después publicó un artículo en el Berliner Tageblatt, en el que escribía: [269] «Un variado grupo se ha reunido para formar una asociación bajo el pretencioso nombre de “Sindicato de Científicos Alemanes”, con el único propósito, de hecho, de denigrar la teoría de la relatividad y a mí como su autor ante los ojos de los no físicos. Recientemente, los señores Weyland y Gehrcke pronunciaron una conferencia con este fin en la sala de la Filarmónica de Berlín, a la que asistí personalmente. Soy totalmente consciente de que ambos conferenciantes no merecen una contestación de mi pluma, pero, tengo buenas razones para creer que existen otros motivos, que no son la búsqueda de la verdad, detrás de su comportamiento. (Si yo fuese un nacionalista alemán, llevase o no una esvástica, en lugar de un judío de inclinación liberal internacionalista…) Solamente respondo porque he recibido repetidas peticiones de ámbitos bien intencionados para que haga público mi punto de vista». Y, en este punto, Einstein pasaba a comentar los pseudo argumentos científicos y filosóficos de sus oponentes.
La inquina continuaría los años siguientes. Así, en 1922, Philipp Lenard, junto con el también físico Ernst Gehrcke (que había sido el segundo orador en el acto del 24 de agosto de 1920) y diecisiete más, la mayoría físicos, matemáticos, astrónomos y filósofos, firmaron una protesta pública en contra de la teoría de la relatividad, con ocasión de las celebraciones del centenario de la Gesellschaft Deutscher Naturforscher und Ärzte (Asociación Alemana de Científicos de la Naturaleza y Médicos). Su protesta fue publicada en la prensa. [270] En 1931, dos años antes de que Hitler llegase al poder, se publicó un librito de 104 páginas titulado Hundert Autoren gegen Einstein (Cien autores en contra de Einstein), preparado bajo la dirección de tres personas, Hans Israel, Erich Ruckmann y Rudolf Weinmann (1931), sin ninguna formación científica. [271]
Paralelo a todo aquello fue el ascenso social del Partido Alemán Nacionalista (Deutsche-Nationale), que en las elecciones de 1920 obtuvo 66 escaños en el Reichstag; cuatro años después, este número ascendía a 96. Ya antes de estas elecciones, una facción antisemita más extremista se separó de este partido, uniéndose al Partido Obrero Alemán Nacional-Socialista (Nationalsozialistische Deutsche Arbeiterpartei), dirigido desde 1921 por Adolf Hitler (1889-1945), que venía manteniendo posiciones ideológicas en contra de los judíos desde, al menos, 1920 (parte de su programa de 25 puntos era que sólo camaradas raciales, Volksgenossen, podían ser ciudadanos, y que los judíos estaban excluidos de esa categoría). Los dos grupos juntos obtuvieron 32 escaños en las elecciones de 1924. Como se sabe, las graves crisis por las que atravesó Alemania después de 1929 aumentaron la popularidad y poder de los nacionalsocialistas (nazis), que en las elecciones de 1930 obtuvieron 6.400.000 votos y 107 diputados; en las celebradas en julio de 1932 pasaban a obtener el 37 por ciento de los votos (unos 14 millones). Con sus 230 diputados y la ayuda de los partidos conservadores, Hitler consiguió formar Gobierno y ser nombrado canciller el 30 de enero de 1933. No tardó mucho Hitler —dos meses, nada más— en comenzar a implementar su ideología racial. El 31 de marzo, algunos jueces fueron apartados de sus funciones en Prusia por ser judíos. Una semana después, el 7 de abril, firmada por Hitler, como Canciller, Wilhelm Frick, el ministro del Interior, y por el conde Schwerin von Krosigk, ministro de Economía, se promulgaba la famosa «Ley de restauración de la carrera del funcionariado» (Gesetz zur Wiederherstellung des Berufsbeamtentums), con la que de hecho se pretendía purgar todas las escalas de funcionarios, profesores universitarios incluidos, por supuesto. El parágrafo número 3 era el que se refería a los no-arios: [272]
- Serán apartados de sus puestos todos los funcionarios que no sean de origen ario. En lo que se refiere a los funcionarios honorarios, serán apartados de todo tipo de funciones oficiales.
- El parágrafo 1) no se aplicará a aquellos funcionarios que lo fuesen el 1 de agosto de 1914, que luchasen en el frente defendiendo al Imperio Alemán o a sus aliados durante la Guerra o cuyos padres o hijos cayesen en la guerra.
Ante la noticia, muchos alemanes de origen judío debieron de reaccionar igual que lo hizo Victor Klemperer (1998: 12), veterano de la Gran Guerra, un hombre de letras y un historiador refinado, que el 10 de abril anotaba en su diario: «El desgraciado sentimiento de “Gracias a Dios, estoy vivo”. La nueva “ley” del Servicio Civil me deja, como veterano de guerra, en mi puesto, al menos por el momento (Dember y Blumenfeld también se salvan). Pero por todas partes hay tumultos, miseria, miedo y temblores. Un primo de Dember, doctor en Berlín, fue sacado de su oficina en mangas de camisa y llevado al Hospital Humboldt en un estado muy grave; murió allí, tenía 45 años. Frau Dember nos lo contó entre susurros con la puerta cerrada. Diciéndonoslo están difundiendo “historias atroces”, falsas, por supuesto».
Afortunadamente, cuando Hitler llegó al poder, Einstein estaba pasando, como desde hacía un par de años, el semestre de invierno en el California Institute of Technology de Pasadena (por entonces también había aceptado una fellowship permanente en Christ Church College de Oxford que lo obligaba a pasar allí un trimestre cada año; en la práctica, sin embargo, sólo fue dos veces —la primera vez en la primavera de 1932— y por periodos de tiempo más cortos que lo establecido). Enseguida, decidió romper sus relaciones con la nación que lo había visto nacer. El manifiesto que hizo público en marzo de 1933 contiene la esencia de la filosofía que defendió a lo largo de su vida en cuestiones sociales: [273]
Mientras se me permita elegir, sólo viviré en un país en el que haya libertades políticas, tolerancia e igualdad de todos los ciudadanos ante la ley. La libertad política implica la libertad de expresar las propias opiniones políticas verbalmente y por escrito; la tolerancia implica el respeto por todas y cada una de las creencias individuales. Estas condiciones no existen en Alemania hoy en día. Quienes más han hecho por la causa de la comprensión internacional, entre quienes se encuentran muchos artistas, sufren, en ella, persecución.Lejos de comprender sus razones, sus compañeros de la Preussische Akademie der Wissenschaften reaccionaron en su contra, haciendo pública el 1 de abril la siguiente declaración:
Con verdadera indignación, la Preussische Akademie der Wissenschaften, a través de los periódicos, ha sabido de la participación de Albert Einstein en la campaña de difamación emprendida en Francia y en América. Esta institución exige una inmediata explicación. Entretanto, Einstein ha anunciado su renuncia a la academia, fundamentándola en que no puede continuar al servicio del Estado prusiano bajo su presente gobierno. Como ciudadano suizo, también se propone renunciar a la nacionalidad prusiana, que había adquirido en 1913 , al ser aceptado como miembro de la academia. La Preussische Akademie der Wissenschaften se siente particularmente molesta por las actividades de agitador que Einstein lleva a cabo en países extranjeros, dado que tanto esta institución como sus miembros siempre se han sentido hondamente ligados al Estado prusiano y, si bien en política se han mantenido al margen estricto de toda parcialidad partidista, siempre han sostenido y guardado fidelidad a la idea nacional. Por estas razones, no existen motivos para lamentar la renuncia de Einstein.El 5 de abril, ya de regreso a Europa e instalado en Le Coq-sur-Mer, una pequeña localidad belga de la costa atlántica, bajo la protección de los reyes belgas, con los que mantenía relación desde hacía años, Einstein contestaba negando haber «tenido jamás participación en ninguna campaña de difamación en ningún sitio» y señalando que las declaraciones que había «brindado a la prensa estaban relacionadas con mi intención de renunciar a mi puesto en la academia y de renunciar a la nacionalidad prusiana». «Mi decisión se basa —añadía— en que no quiero vivir en un país donde los individuos no gozan de igualdad ante la ley ni de la libertad de cátedra y de expresión».

Reunión en Berlín para despedir a James Franck, que dejaba el Instituto de Química-Física de la Kaiser-Wilhelm-Gesellchaft por una cátedra en Gotinga. Sentados, de izda. A dcha., Hertha Sponer, Einstein, Ingrid Franck, James Franck, Lise Meitner, Fritz Haber y Otto Hahn; de pie, Walter Grotian, Wilhelm Westphal, Otto von Baeyer, Peter Pringsheim y Gustav Hertz, 1920.
Esta institución lamenta profundamente el giro que han tomado los acontecimientos, en especial el hecho de que un hombre de la más elevada autoridad científica, a quien muchos años de labor entre los alemanes y muchos años de pertenencia a nuestra Academia de Ciencias tendrían que haber familiarizado con el carácter alemán y con los hábitos alemanes de pensamiento, haya elegido este momento para asociarse con un círculo extranjero que —en gran medida, sin duda, por la ignorancia de la situación actual y de los hechos— tanto daño ha hecho a nuestro pueblo alemán, al propagar juicios falsos y rumores infundados. Habíamos confiado en que alguien que pertenecía a nuestra institución desde hace tanto tiempo sabría alinearse, más allá de sus propias simpatías políticas, en las filas de los defensores de nuestra nación y en contra de la avalancha de mentiras que se ha arrojado sobre ella. ¡En estos días de denuncias viles unas veces, ridículas otras, unas palabras bien intencionadas hacia el pueblo alemán, dichas por usted, habrían tenido una amplia repercusión en el extranjero! Pero he aquí que su testimonio ha servido de apoyo para los enemigos del pueblo alemán y no sólo para los adversarios del Gobierno actual. Esto nos ha producido una amarga y penosa desilusión que se habría traducido, aun en el caso de no haber recibido su renuncia, en su separación de la Academia de Ciencia.Y, así, Einstein abandonó definitivamente Alemania. Hasta su renuncia a la Preussische Akademie der Wissenschaften, sus asistencias a las sesiones habían sido las siguientes (Rundan, 2005: 238):


Einstein practicando con su violín a bordo del buque Belgenland, camino de Estados Unidos; enero de 1931.

Einstein tocando en el piano del Hotel Nara, Japón, 17 de diciembre de 1922.
En vista de todas estas influencias y amores, ¿cómo olvidar lo que Einstein debió a Alemania? En alguna medida, atemperado por su propio, personal e irreductible, genio, Einstein formó parte de la cultura científica, filosófica y artística germana de finales del siglo XIX y comienzos del XX, no importa lo mucho de detestable que esa misma cultura también terminó produciendo.
Pero continuemos. La aversión de Einstein por Alemania culminaría tras la segunda guerra mundial: «un país de asesinos de masas», la denominó en una carta que escribió el 12 de octubre de 1953 a Max Born (2005: 195), que también tuvo que abandonar Alemania (terminó instalándose en Edimburgo) debido la política racial implantada por Hitler. De hecho, Einstein, al contrario que muchos de sus colegas (Born incluido), nunca aceptó volver a pisar suelo germano, que había abandonado en 1932; cuando, en 1949, lo invitaron a reanudar sus relaciones con la principal organización científica germana, la antigua Kaiser-Wilhelm-Gesellschaft, ahora rebautizada como Max Planck-Gesellschaft, Einstein contestó:
El crimen de los alemanes es verdaderamente el más abominable recogido nunca en los anales de la historia de las así llamadas naciones civilizadas. La conducta de los intelectuales alemanes —vista como un grupo— no fue mejor que la de la chusma. Incluso ahora no veo indicios de ningún arrepentimiento ni de ningún deseo verdadero de reparar incluso lo más pequeño que ha quedado para restaurar después de los gigantescos asesinos. En vista de estas circunstancias, siento una irreprimible aversión a participar en cualquier cosa que represente aspecto alguno de la vida pública en Alemania.Einstein fue una auténtica bestia negra para los nazis. Su personalidad política y el hecho de ser judío constituían obstáculos insalvables para el régimen de Hitler. Y no sólo fue repudiada su persona sino también su ciencia: surgió un movimiento en favor de una Deutsche Physik («Física Alemana»), uno de cuyos presupuestos era que la relatividad einsteiniana representaba una aberración. Científicos tan notables como Philipp Lenard y Johannes Stark se erigieron en líderes de semejante movimiento. En febrero de 1936, Stark escribía (citado en Beyerchen, 1977: 143-144):«Ahora Einstein ha desaparecido de Alemania y ningún físico serio ve ya su teoría de la relatividad como una revelación intocable, pero desgraciadamente sus amigos y defensores alemanes todavía tienen la oportunidad de continuar activos en su mismo espíritu. Su principal valedor, Planck, aún permanece a la cabeza de la Kaiser-Wilhelm-Gesellschaft; a su intérprete y amigo, Von Laue, se le sigue permitiendo desempeñar el papel de experto en física en la Preussische Akademie der Wissenschaften. Y, por lo que parece, al formalista teórico Heisenberg, espíritu del espíritu de Einstein, se le distingue con una nueva cátedra. Esperemos que la lucha de Lenard contra el einsteinianismo sea un aviso contra estas circunstancias deplorables. Y es deseable que los expertos competentes del Ministerio de Educación se dejen aconsejar por Lenard en lo que se refiere a las tomas de posesión de cátedras de Física, incluso de Física teórica».
Cuando se supo que Einstein había abandonado Alemania, comenzaron a llegarle ofertas de otros lugares (y no hay que olvidar que tenía un nombramiento vigente de profesor extraordinario en la Universidad de Leiden). La primera, de España.
El 10 de abril de 1933, el Gobierno español hacía pública, a través del ministro de Instrucción Pública, el socialista Fernando de los Ríos, la noticia de que Albert Einstein había aceptado el ofrecimiento de incorporarse como catedrático extraordinario de un instituto de investigación a la Universidad Central de Madrid. La iniciativa surgió del novelista Ramón Pérez de Ayala, embajador de España en Londres desde 1931. Sabemos a través de Marguerite Rand (1971: 141), autora de un libro sobre Pérez de Ayala, quien tuvo ocasión de entrevistarse detenidamente con su viuda, Mabel Rick, que después de abandonar Alemania, Einstein pasó dos semanas en la Embajada en Londres «como amigo de Pérez de Ayala».
Las negociaciones se realizaron entre Ayala y, representando a Einstein, el erudito y lingüista de origen judío Abraham Shalom Yahuda (1877-1951), que nació en Jerusalén y que estudió lenguas semíticas en Heidelberg y Estrasburgo, había sido profesor de Hebreo en la Universidad Central de Madrid entre 1914 y 1922, para convertirse finalmente, después de veinte años de viajes e investigaciones, en catedrático en la New School for Social Research (Nueva Escuela para la Investigación Social) de Nueva York, participando activamente también Elsa Einstein. [275]

Max Planck inaugurando el Instituto de Investigaciones Metalúrgicas de Stuttgart de la Kaiser-Wilhelm-Gesellchaft; 1935.

Ramón Pérez de Ayala, Einstein y Abraham Shalom Yahuda en, posiblemente, abril de 1933 en Bélgica.
Mi ilustre, admirado y querido amigo:El 10 de abril, Einstein aceptaba la oferta en un telegrama dirigido al ministro de Instrucción Pública, Fernando de los Ríos. La noticia era hecha pública el mismo día por el propio De los Ríos. Así daba la noticia El Sol el día siguiente, martes 11 de abril:
Como le comuniqué ya por teléfono, el Gobierno español, reunido en Consejo de Ministros celebrado ayer, acordó nombrar al insigne Einstein profesor extraordinario de la Universidad Central, en Madrid. El Estado le pagará los gastos del viaje y le ofrece el sueldo máximo de catedrático, que es de 18000a 20000 pesetas. Me permito indicar a usted que esta remuneración, dado el coste de la vida en España, equivale a más de 2000 libras en Inglaterra, y no creo exagerar. En todo caso, estoy seguro de que, si, una vez en España, al señor Einstein le resultase insuficiente aquella atribución, el Estado español acudiría a poner remedio. En cuanto a las obligaciones que con su aceptación contraería el señor Einstein, se le deja por entero a su libre arbitrio para que haga según le plazca aquello que coincida con su conveniencia y comodidad. Se me ha ocurrido —y el ministro de Educación parece aprobarlo— que se podría fundar una especie de Seminario de Estudios Superiores de Física y Matemática, bajo la orientación del magisterio [sic] del señor Einstein. Como usted sabe, en España hay un físico y un matemático realmente notables: los señores Cabre [ra] y Rey Pastor, respectivamente. En rigor, de lo que se trata es de que España aspire a la honra máxima de honrar públicamente a tan eximio sabio y al honor equivalente de tenerlo de huésped dilecto (temporal o definitivamente, como él prefiera). No me atrevo a imaginar que nos prive de este doble honor. Confío además que usted, mi ilustre amigo, tan español y tan persuasivo, incline hacia la afirmativa su voluntad, si estuviese vacilante. La oportunidad ahora es magnífica. Es la mejor época del año en España. Nuestra patria, en estos meses hasta julio, es un verdadero gan [palabra hebrea que significa «jardín»]. El señor Einstein podría siquiera aprovechar estos meses, saliendo enseguida para España, a fin de permanecer hasta fin de curso y, allí, sobre el terreno, tomar una determinación para el futuro.
Le agradeceré que telefonee usted inmediatamente desde Bélgica para informar de lo que haya, pues el viernes por la mañana me hablarán de Madrid con ese mismo objeto.
En cuanto a lo de Salamanca, mi opinión es que lo más grato y efectivo sería que la universidad nombrase a Einstein Honoris Causa.
El ministro de Instrucción Pública recibió ayer a los periodistas y les manifestó lo siguiente: «Tengo una noticia muy importante que comunicarles a ustedes. Hoy he recibido un “radio” urgente del profesor Einstein aceptando las proposiciones que le habían sido hechas de incorporarse a la Universidad de Madrid, donde continuará su labor de investigación en los diferentes seminarios e instituciones de Ciencias Físicas. Con él colaborará el grupo de profesores españoles de esta especialidad para dar a las ciencias españolas un mayor impulso. Los mismos profesores de hoy, repito, serán invitados a trabajar temporadas con él. Para las ciencias españolas esto tiene una gran importancia, así como para la universidad española, por tratarse de una personalidad tan destacada en las investigaciones científicas».Aunque Einstein nunca pensó en dedicar todo su tiempo a Madrid —«El hecho de que haya aceptado una cátedra en la Universidad de Madrid, declaró al New York Times el 11 de abril (el comunicado apareció en el periódico del día siguiente), no me impedirá desarrollar mis conferencias programadas en Princeton, Oxford y Bruselas»—, por lo que tiene sentido preguntarse sobre qué llevó al físico alemán —a quien también ofrecieron trabajo franceses y británicos, además de los estadounidenses, ofertas que también aceptó en principio— a no negarse a la propuesta madrileña. En una carta que Einstein escribió a Paul Langevin, el 5 de mayo de 1933, encontramos lo que sin duda fue una razón importante: [277] «Puede usted pensar que debería haber sido mi deber no aceptar las ofertas española y francesa, ya que mis capacidades actuales en modo alguno se encuentran en proporción con lo que se espera de mí. Sin embargo, bajo las actuales circunstancias, tal rechazo podría haber sido mal interpretado, ya que ambas invitaciones eran, al menos en parte, demostraciones políticas que consideré importantes y que no quise echar a perder». Einstein, en definitiva, se sentía apoyado, en su enfrentamiento con Hitler, por la Segunda República Española y no deseaba hacer honor a tal apoyo. A su vez, es evidente, ésta buscaba encontrar en Einstein un soporte, entre propagandístico y verdaderamente eficaz, para sus políticas educativas, culturales e ideológicas.
Para mí personalmente es una gran satisfacción haber conseguido esto y he de hacer notar que el único propósito es enriquecer con una figura tan relevante en las ciencias del mundo como ésta el cuadro de profesores de nuestra universidad.
Un mes más tarde, el 4 de junio, Einstein —ya en Inglaterra— volvía a escribir a Langevin indicándole que le parecía que había tomado demasiadas obligaciones: «La desgracia es, en efecto, que tengo obligaciones en demasiados lugares y que no estoy a la altura de éstos: Princeton, Madrid, París, Oxford… Cuando haya hecho esto durante un año estaré muerto». Más adelante aparece un párrafo en el que se pueden ver algunos indicios de un posible rechazo de Einstein de la oferta española: «Me parece ahora que la situación en España es muy inestable. Se puede pensar que de aquí al año que viene se comprobará que ya no se asigna ningún valor a mi ida a España. La oferta de España me llegó justo la víspera que la de Francia. ¿No es una fatalidad?».
El propio Einstein expresó de forma muy clara su punto de vista en relación con la oferta española en una carta que escribió a Pérez de Ayala el 12 de abril desde la Villa Savoyarde de Le Coq-sur-Mer:
Querido señor Ayala:A la postre y, si tenemos en cuenta que tres años más tarde comenzó en España una fratricida guerra civil, afortunadamente, Einstein no fue a Madrid. Ni a ningún otro destino europeo. En su lugar, aceptó incorporarse a un centro que, financiado por los hermanos Louis Bamberger y Caroline Bamberger Fuld, se estaba fundando justamente entonces en la pequeña ciudad universitaria de Princeton (Nueva Jersey, Estados Unidos): el Institute for Advanced Study. [279] De hecho, como consecuencia de unas negociaciones que comenzaron a instancias del educador Abraham Flexner (1866-1959), en 1931 había aceptado pasar los semestres de invierno en ese centro
La invitación del Gobierno español, que me fue transmitida inicialmente, a petición suya, por el profesor Yahuda, y que ulteriormente usted me presentó personalmente, [278] me proporciona un gran placer, ya que me da una magnífica ocasión para participar en la actividad científica de su país.
Desgraciadamente, la mayor parte de mi tiempo durante este año ya está ocupado con compromisos previos. Del 1 de octubre al 1 de abril estaré en el nuevo instituto de investigación de Princeton; además, pasaré un mes (en mayo o junio) en el Christ Church College de Oxford. He aceptado también dar una serie de conferencias en el seminario de la Universidad de Bruselas, que durarán de abril a mayo. Por consiguiente, no podré visitar España hasta el año que viene y, entonces, solamente de cuatro a seis semanas en abril y mayo. Estrictas limitaciones de tiempo me impedirán participar en la actividad científica de su país en la medida que usted había previsto en la muy generosa oferta que me hizo. Siendo así, no será necesaria la cuantiosa remuneración que propuso en su carta del 5 de abril de 1933 al profesor Yahuda; sin duda, que bastará con la mitad de aquella cantidad para sufragar mi viaje y mi estancia en España. Con su permiso, me gustaría expresarle las siguientes peticiones:Tal y como yo lo veo, mi actividad en España consistiría únicamente en trabajar con estudiantes y profesores que tuviesen una preparación matemática previa, esto es, que hubiesen estudiado matemáticas superiores. Una vez que esté allí, podré juzgar mejor si es recomendable organizar conferencias o seminarios.
- la designación para la Universidad en España, según nuestro acuerdo, de un destacado investigador alemán (matemático o físico) nombrado por mí;
- con respecto a mis necesidades personales, quisiera una pequeña casa situada a unos pocos kilómetros de Madrid donde pudiese vivir y trabajar en paz y tranquilidad;
- además, si necesitase la asistencia de una secretaria durante mi estancia en España, quisiera tener el derecho de hacer mi propia elección.
Para concluir, permítame que transmita mis agradecimientos más calurosos a su Gobierno por el honor que me otorga, especialmente mi gratitud al ministro señor De los Ríos por sus amables palabras y la manera elocuente en que habló de mí.
Quisiera expresarle también mi gratitud a usted, mi querido señor Ayala, y asegurarle que constituyó un sincero placer tanto para mi esposa como para mí el verlo en nuestra casa y conocer a una persona tan magnífica como usted.
Espero y deseo que mi trabajo, aunque restringido por el tiempo, sea beneficioso para su bello país.
Con Flexner como primer director, el instituto se creó para que en él un reducido y extremadamente selecto grupo de investigadores pudieran trabajar sin ningún tipo de cortapisas ni obligaciones docentes.
El 13 de septiembre de 1932, Einstein había informado de sus planes al Ministerio de Ciencia, Arte y Cultura alemán. En una carta a uno de los oficiales de ese ministerio, Von Rottenburg, preguntaba en qué medida «las obligaciones de naturaleza contractual que he asumido en el recientemente fundado instituto de investigación del profesor Abraham Flexner en Princeton», eran compatibles «con mi empleo en la Preussische Akademie der Wissenschaften». [280] «Está claro —continuaba— que tendré que publicar una parte de mi investigación científica también en América. También estoy obligado a estar en Princeton todos los semestres de invierno a partir de 1933. Naturalmente, estas obligaciones son inconmensurables con las condiciones de mi empleo como miembro de la Preussische Akademie der Wissenschaften, de la que obtengo el salario de profesor sin obligaciones docentes. La cuestión que, por consiguiente, debe ser suscitada es si bajo las nuevas condiciones es posible o deseable mantener mi empleo en dicha institución».
Parece, por consiguiente, que Einstein estaba ya decidido, o al menos considerando, a abandonar Alemania antes incluso de que Hitler se convirtiese en canciller en enero de 1933.
Antes de partir para América, Einstein pasó el mes de junio en Oxford, durante el cual se entrevistó con Winston Churchill. De allí viajó a Suiza, su última visita al país que tanto había amado, y visitó —fue también la última vez que estuvo con él— a su hijo Eduard. Regresó después a Inglaterra y, tras participar en un acto el 3 de octubre en el Royal Albert Hall, embarcó rumbo a Norteamérica, junto a Elsa, Helen Dukas y Walther Mayer, desde Southampton el 7 de octubre de 1933. Llegaron a Nueva York el 17 de octubre. Desde allí fueron conducidos a Princeton. Primero, el matrimonio Einstein y Dukas vivieron en una casa alquilada; en 1935, Einstein compró una casa en el número 112 de Mercer Street, de la que ya no se movió, y en la que también vivió Margot, una de las hijas de Elsa. [281] Su otra hija, Ilse, murió en París en 1934; su esposo, primer biógrafo de Einstein, Rudolf Kayser, consiguió enviar los papeles (manuscritos, correspondencia) de Einstein, algunos muebles de su casa y su piano desde Berlín a Francia, desde donde se mandaron, utilizando canales diplomáticos, a Estados Unidos. En 1939, obligada por las leyes raciales impuestas por Mussolini a abandonar Italia, Maja, la hermana de Einstein, se sumó al grupo de Mercer Street; su marido, Paul Winteler, no fue admitido en Estados Unidos por problemas de salud, entonces un motivo para denegar el visado de entrada (en su lugar, se trasladó a Ginebra). Maja tenía la intención de volver a Europa con Paul, pero enferma sin poder abandonar la cama desde 1945, falleció en Princeton en 1951. Como ya vimos, Elsa falleció en 1936, el 20 de diciembre, de un ataque el corazón, según Dukas consecuencia del dolor que le causó la muerte de su hija Ilse.

Einstein en Princeton, abril de 1940.

Einstein en el Institute for Advanced Study de Princeton, junto a, de izquierda a derecha, H. P. Robertson, E. P. Wigner, H. Weyl, K. Gödel, I. I. Rabi, R. Landeburg, J. R. Oppenheimer y G. M. Clemence, durante las celebraciones del 70º cumpleaños de Einstein, 1949.
Einstein formó parte de la primera división que se formó en el Institute for Advanced Study, la Escuela de Matemáticas, cuyo primer claustro estaba formado por Oswald Veblen, Marston Morse, Hermann Weyl, John von Neumann y James Alexander. En 1939, se incorporó definitivamente (ya había pasado un año allí en 1933-1934) al instituto y a la escuela otra eminencia, el lógico Kurt Gödel, que, como ya vimos en el capítulo 15, también realizó alguna contribución a la relatividad, en concreto a la cosmología relativista: un modelo de universo en rotación (Gödel, 1949 b), que poseía la propiedad de que en él era posible viajar al pasado con las paradojas lógicas que esto implica (una persona podría —al menos si viviese lo suficiente— viajar al pasado y matar a su padre antes de que éste lo hubiese engendrado). En Princeton, y al margen de los ayudantes que fueron trabajando con él, Gödel se convirtió en el miembro del instituto más cercano a Einstein.
Un personaje molesto para algunos judíos alemanesHabitualmente se habla únicamente de la persecución de los nazis alemanes a Einstein y de cómo, en el caso de Einstein al igual que de los judíos en general, la población germana permaneció en silencio, argumentando más tarde que «ellos no sabían» o que tenían demasiado miedo, pero hay otro elemento del que se ha hablado poco y es la reacción de repulsa de algunos judíos alemanes ante Einstein, al que acusaban, al menos en parte, de la persecución que sufrían en la Alemania de Hitler. Una carta que Elsa Einstein dirigió a Antonina Vallentin (es decir, como ya señalé, Antonina Luchaire-Silberstein) el 11 de abril de 1933, habla por sí sola:[282]
La tragedia sobre el destino de mi marido es que todos los judíos alemanes lo hacen responsable de las terribles cosas que les están sucediendo allí. Creen que su conducta les produce represalias y, en su cortedad de miras, han establecido el santo y seña de rehuirlo y odiarlo. Así, recibimos más cartas de judíos que de nazis. Pero la verdad es que él se ha sacrificado por los judíos. No tuvo miedo y no los abandonó. ¿No es trágico que la misma gente que lo había tomado como un icono esté ahora echando barro sobre él? Están tan intimidados y atemorizados allí que emiten una declaración tras otra, asegurando lo bien que lo están pasando allí y que no tienen nada que ver con Einstein ni quieren saber ni tratar nada con él […].
Mi marido está recibiendo constantemente cartas desagradables. Las pobres, ciegas, estúpidas gentes de allí. Los judíos alemanes lo consideran su perdición. Sólo lee esas grandísimamente indignas declaraciones dictadas por el miedo y la desesperación de la Asociación Central de la comunidad judía.
Inicialmente, al no disponer todavía de una sede propia, los miembros del instituto se acomodaron en instalaciones («Fine Hall») cedidas temporalmente por la Universidad de Princeton. Fue en 1939 cuando se dispuso de un edificio propio. En la chimenea de lo que fue la sala de estar de Fine Hall, que compartían los Departamentos de Matemáticas y Física, ahora sede del Departamento de Estudios de Oriente Próximo, con el nombre de Jones Hall, en 1930 Oswald Veblen hizo que se inscribiese una frase que Einstein pronunció durante las conferencias que pronunció en Princeton en 1921: « Raffiniert ist der Herr Gott, aber boshaft iste er nicht» («El Señor es astuto, pero no malicioso»).
§. Problemas en Estados Unidos
En general, la vida que Einstein llevó en Estados Unidos, nación cuya ciudadanía adoptó en octubre de 1940, transcurrió sin demasiados problemas, salvo los continuos requerimientos que recibía constantemente, pero, en un país tan extenso, variado y complejo, no faltaron quienes no recibieron con agrado la presencia del gran genio de la ciencia. Los archivos del Federal Bureau of Investigation, el FBI, muestran que así fue. [283]
En 1932, antes por tanto de que Einstein se instalará definitivamente en Estados Unidos huyendo del régimen de Hitler, la Corporación de Mujeres Patriotas envió un escrito al Departamento de Estado pidiendo que se prohibiese la entrada del físico alemán en el país. Como soporte legal se remitía a la Ley de Exclusión y Deportación de Extranjeros que, revisada en julio de 1920, prohibía la entrada (o si ya habían entrado, la permanencia) en Estados Unidos de anarquistas o quienes escribieran, hablaran o incluso pensaran como anarquistas.

El 1 de octubre de 1940 , Einstein adoptó la ciudadanía estadounidense. Éste es el correspondiente certificado.
¿Quién es líder mundial reconocido, quién, por su pertenencia directa a grupos y organizaciones comunistas y anarco-comunistas y por sus propios esfuerzos personales, está haciendo más para sacudirla maquinaria militar[como] condición preliminar para cualquier revolución popular?Tampoco faltaban las acusaciones de índole religiosa: «Ese extranjero promueve, con mayor amplitud y más intensidad que cualquier otro revolucionario de la Tierra, la confusión y el desorden, la duda y la apostasía […]. Ha suscitado la desconfianza para perturbar tanto a la Iglesia como al Estado y dejar […] en desorden y confusión las leyes de la Naturaleza y los principios de la Ciencia».
Ese líder es ALBERT EINSTEIN. Ni el propio Stalin pertenece a tantos grupos internacionales anarco-comunistas dedicados a promover esa «condición preliminar» de la revolución mundial y la anarquía completa, como ALBERT EINSTEIN…
ALBERT EINSTEIN […] propugna «actos de rebelión» contra el principio básico de todo gobierno organizado […], propone un «enfrentamiento con la autoridad pública»; admite que su «actitud es revolucionaria», que su objetivo es «ilegal» y que pretende organizar y dirigir […] una «oposición militante» y «combatir» el principio básico de nuestra Constitución […]. Promueve, dirige y organiza un movimiento por la «resistencia individual» ilegal y «actos de rebelión» contra los oficiales de Estados Unidos en tiempos de guerra, lo que es casi imposible sin atacar o asesinar a tales oficiales como consecuencia necesaria de tales «actos de rebelión», y cuyo […] «combate» «revolucionario», «conflicto» o «rebelión» (como el propio Albert Einstein denomina sus objetivos) debe alentar la traición, la deserción y otros «crímenes contra la existencia del gobierno »; concibe o defiende un sistema de sabotaje organizado contra todos los preparativos de Estados Unidos para defenderse.

Einstein hablando con periodistas sobre la energía atómica, en el Pittsburgh Post-Gazettedel 29 de diciembre de 1934.
Finalmente, se señalaba que «al parecer, ni siquiera sabe inglés».
Tal vez ayude a comprender la actitud de la Corporación de Mujeres Patriotas el que durante sus estancias en Estados Unidos como profesor invitado en el California Institute of Technology los inviernos de 1930, 1931 y 1932, Einstein no se recató de efectuar manifestaciones políticas. Así, en una conferencia que pronunció en Nueva York el 14 de diciembre de 1930, manifestó, como viejo pacifista que todavía era, que «bastaría con que el 2 por ciento de los jóvenes llamados a filas» se negaran a combatir para que los gobiernos se vieran impotentes. «No se atreverían a enviar a tanta gente a la cárcel». [284] Y también en Pasadena, a comienzos de 1932, pidió un boicot económico a Japón para oponerse a la invasión de Manchuria por ese país, mientras que en otra conferencia pidió, según The New York Times (26 y 28 de febrero de 1932), un sistema más igualitario: «En una época en que somos ricos en bienes de consumo y medios de producción como no lo había sido ninguna generación anterior, gran parte de la Humanidad sufre carencias severas; la producción y el consumo flaquean cada vez más y la confianza en las instituciones públicas se ha hundido como nunca […]. Para superar el mal, lo que nos falta no es inteligencia sino un compromiso responsable y desinteresado con el bienestar común».
¿Por qué el socialismo?En el capítulo 14 me referí a algunos aspectos de las ideas políticas de Einstein y pronto veremos cómo variaron sus tesis pacifistas durante la segunda guerra mundial y al término de ésta. No fueron éstas, por supuesto, sus únicas manifestaciones de índole política; de hecho, probablemente fue en Estados Unidos donde más se prodigó en este apartado. Veamos un ejemplo particularmente famoso que ayuda a comprender mejor sus ideas políticas. Se trata de un artículo, « ¿Por qué el socialismo?», que publicó en la revista neoyorquina Monthly Review en mayo de 1949. Cito de él algunos pasajes (Einstein, 1949 c, 1981: 133-139):¿Es aconsejable que una persona inexperta en temas económicos y sociales exprese sus puntos de vista acerca del socialismo? Por muchas razones, creo que sí lo es.
En primer término, consideremos el problema desde el punto de vista del conocimiento científico. Podría parecer que no existieran diferencias metodológicas esenciales entre la astronomía y la economía: en ambos campos, los científicos tratan de descubrir leyes de validez general por las que se puedan comprender las conexiones dentro de un determinado grupo de fenómenos. Pero en realidad existen diferencias metodológicas. En el campo de la economía, el descubrimiento de unas leyes generales está dificultado por el hecho de que los fenómenos económicos observados están a menudo bajo la influencia de muchos factores que resulta complejo evaluar por separado. Además, la experiencia acumulada desde el comienzo del llamado periodo civilizado de la historia humana se ha visto influenciada y limitada —como es bien sabido— por causas que no pueden definirse como exclusivamente económicas. Por ejemplo: la mayoría de los Estados más importantes de la historia debieron su existencia a un proceso de conquista. Los pueblos conquistadores se constituyeron a sí mismos, legal y económicamente, como una clase privilegiada dentro del país conquistado. Se apropiaron del monopolio de las tierras y establecieron un clero salido de sus propias filas. Los sacerdotes, dueños del control de la educación, hicieron que la división de clases sociales se convirtiera en una institución permanente y crearon un sistema de valores que, en adelante y de manera hasta cierto punto inconsciente, delimitó el comportamiento social del pueblo.
Pero la tradición histórica data, por así decirlo, de ayer; en ningún momento hemos superado de verdad lo que Thorstein Veblen ha llamado la «fase depredadora» de desarrollo humano. Los hechos económicos observables pertenecen a esa fase y las leyes que podamos deducir de ellos no son aplicables a otras fases. Dado que el verdadero objeto del socialismo es, precisamente, superar y avanzar más allá de la fase depredadora del desarrollo humano, la ciencia de la economía en su estado actual puede arrojar muy poca luz sobre la sociedad socialista del futuro.
En segundo término, el socialismo se encamina hacia un fin social y ético. La ciencia, a su vez, no puede crear fines y, mucho menos, inculcarlos en los seres humanos. A lo sumo, la ciencia puede aportar los medios por los cuales se pueda acceder a ciertos fines […]. Por estas razones, tendremos que guardarnos muy bien de otorgar excesiva validez a la ciencia y a los métodos científicos cuando están en juego problemas humanos […].
Muchas son las voces que desde hace cierto tiempo se alzan para decir que la sociedad humana atraviesa una crisis, que su estabilidad está seriamente quebrantada. Una característica de esta situación es que los individuos se sienten indiferentes y aún hostiles ante el grupo al que pertenecen, por grande o pequeño que sea […]. La cuestión reside en la relación entre el individuo y la sociedad. El individuo ha tomado conciencia, más que nunca, de su situación de dependencia ante la sociedad, pero no considera que esa dependencia sea un hecho positivo, un nexo orgánico, una fuerza protectora, sino que la ve como una amenaza a sus derechos naturales e incluso a su existencia económica […]. La anarquía económica de la sociedad capitalista tal como existe hoy es, en mi opinión, la verdadera fuente de todos los males. Vemos alzarse ante nosotros una inmensa comunidad de productores, cuyos miembros luchan sin cesar para despojarse unos a otros de los frutos del trabajo colectivo, no ya por la fuerza sino con el apoyo total de unas reglas legalmente establecidas […]. El propietario de los medios de producción está en condiciones de comprar la capacidad laboral del trabajador. Mediante el uso de los medios de producción, el trabajador produce nuevos bienes que se convierten en propiedad del capitalista […].
El capital privado tiende a concentrarse en unas pocas manos, en parte a causa del desarrollo tecnológico y de la creciente división de la clase obrera, hechos que determinan la formación de unidades mayores de producción, en detrimento de unidades menores. El resultado es una oligarquía de capital privado, cuyo enorme poder no puede ser eficazmente controlado ni siquiera por una sociedad política organizada según principios democráticos. Esto es así porque los miembros de los cuerpos legislativos son seleccionados por los partidos políticos, que reciben fuertes influencias y amplia financiación de los capitales privados que, en la práctica, separan al electorado de la legislatura. La consecuencia es que los representantes del pueblo no protegen con la debida eficacia y en la medida suficiente los intereses de los sectores menos privilegiados de la población […].
El objetivo de la producción es el beneficio, no su consumo. No se prevé que todos aquellos que sean capaces de trabajar y quieran hacerlo siempre tengan la posibilidad de conseguir un empleo; casi siempre existe, en cambio, un «ejército de parados». El trabajador se ve acosado por el temor constante de perder su puesto […].
Creo que el peor daño que ocasiona el capitalismo es el deterioro de los individuos. Todo nuestro sistema educativo se ve perjudicado por ello. Se inculca en los estudiantes una actitud competitiva exagerada; se los entrena en el culto al éxito adquisitivo como preparación para su futura carrera.
Estoy convencido de que existe unúnico camino para eliminar estos graves males, que pasa por el establecimiento de una economía socialista, acompañada por un sistema educativo que esté orientado hacia objetivos sociales. Dentro de ese sistema económico, los medios de producción serán propiedad del grupo social y se utilizarán según un plan. Una economía planificada que regule la producción de acuerdo con las necesidades de la comunidad, distribuirá el trabajo que deba realizarse entre todos aquéllos capaces de ejecutarlo y garantizará la subsistencia a toda persona, ya sea hombre, mujer o niño. La educación de los individuos, además de promover sus propias habilidades innatas, tratará de desarrollar en ellos un sentido de responsabilidad ante sus congéneres, en lugar de preconizar la glorificación del poder y del éxito, como ocurre en nuestra sociedad actual.
De todas maneras, hay que recordar que una economía planificada no es todavía el socialismo. Una economía planificada podría ir unida a la esclavización completa de la persona. La realización del socialismo exige resolver unos problemas socio-políticos de gran dificultad: dada la centralización fundamental del poder político y económico, ¿cómo se podrá impedir que la burocracia se convierta en una entidad omnipotente y arrogante?, ¿cómo se pueden proteger los derechos del individuo para así asegurar un contrapeso democrático que equilibre el poder de la burocracia?
Al instalarse en Princeton y hacer de Estados Unidos su nuevo hogar, la situación con respecto al FBI no cambió. Su director (desde mayo de 1924), el temible y siniestro J. Edgar Hoover, terminó eligiéndolo como uno de sus objetivos. Los motivos fueron diversos. Uno de los primeros es, según Jerome (2002: 61), su apoyo a la Segunda República española: «Lo que más agravó el conflicto de Einstein con la Administración Roosevelt fue su enérgico apoyo a las fuerzas antifascistas en la guerra civil española, oponiéndose a la política de neutralidad del Gobierno estadounidense, que incluía un embargo de armas o soldados a ambos bandos».[285]
No ayudó tampoco a Einstein su intenso antinazismo. Y es que las simpatías de Hoover no se limitaban a la extrema derecha estadounidense, sino que también mantenía lazos cordiales con los nazis alemanes. Envió, por ejemplo, al jefe de la Gestapo, Heinrich Himmler, una invitación personal para acudir en 1937 a la Conferencia Mundial de Policía en Montreal y, al año siguiente, recibió calurosamente a uno de sus principales agentes en Estados Unidos. Siguiendo de nuevo a Jerome, «el descubrimiento de las tendencias de extrema derecha de Hoover y de sus contactos pronazis sugiere un móvil para que eligiera a Einstein como diana en 1940».
La campaña anti-Einstein se intensificó a partir de 1940. Aquel año, Hoover preparó un informe en el que se lee: «Se ha recibido comunicación de que en agosto de 1932 se celebró en Ámsterdam, Países Bajos, un “Congreso Mundial contra la Guerra” bajo la presidencia de “un destacado comunista francés”, Henri Barbusse. Se informa de que esa asamblea fue convocada a instancias de la Internacional Comunista y de que el doctor Albert Einstein era miembro del comité organizador internacional». Sin embargo, la realidad es que Einstein se había negado a acudir a aquel congreso, argumentando que estaba «bajo el dominio absoluto ruso-comunista».
Las mentiras, cuando no las deformaciones de la realidad, son la constante de los informes que a lo largo de los años fue acumulando el FBI. El problema, repito, es que Einstein era un liberal, de tendencias socialistas, pacifistas e internacionalistas. Y que, además, tomaba partido en su nuevo país en algunas causas, como la campaña que tuvo lugar en 1946 para poner fin a los linchamientos (de estadounidenses de origen afroamericano). [286] Y no se trataba sólo de reunir informes, sino que también él fue vigilado y fueron registradas sus conversaciones.
Pero no es necesario continuar. Lo único que quería es mostrar cómo Einstein fue seleccionado, debido a su fama mundial y posible influencia, por un poderoso hombre de ideas de extrema derecha, Hoover, como un magnífico objetivo para intentar combatir la ideología izquierdista-liberal que representaba. La ciencia no tenía, en este caso, ninguna importancia.
§. El descubrimiento de la fisión del uranio
En el otoño de 1938, Otto Hahn, que trabajaba en el Instituto de Química de la Kaiser-Wilhelm-Gesellschaft situado en Dahlem, realizó una serie de experimentos con su colaborador Fritz Stassmann, utilizando el procedimiento de bombardear con neutrones (lentos) al uranio. Para su sorpresa, observaron que obtenían bario, un elemento mucho más ligero, casi la mitad, que el uranio (el uranio tiene un número atómico 92 y el bario, 56). Parecía que el núcleo de uranio se había partido en dos, que se había fisionado, pero jamás se había observado algo parecido; las transmutaciones atómicas descubiertas hasta entonces involucraban transformaciones de un elemento a otro cercano a él en la tabla periódica. El 6 de enero de 1939 publicaban el correspondiente artículo en el que manifestaban (Hahn y Stassmann, 1939: 11) sus dudas ante sus «peculiares resultados […]. Como químicos debemos afirmar que los nuevos productos son bario […]. Sin embargo, como químicos nucleares, que trabajan muy próximos al campo de la física, no podemos decidirnos a dar un paso tan drástico que va en contra de todos los experimentos realizados anteriormente en la física nuclear. Acaso se hayan dado una serie de coincidencias poco habituales que nos han proporcionado indicaciones falsas».
Lise Meitner, colaboradora durante treinta años de Hahn, que debido a su origen judío había tenido que abandonar el instituto y Alemania, se encontraba en Estocolmo y fue la primera en enterarse y, junto a su sobrino, que la estaba visitando en las vacaciones de Navidad, el también físico Otto Frisch, exiliado en Copenhague, se dieron cuenta de que la aparente fisión del uranio se podía explicar en base a la física nuclear (Meitner y Frisch, 1939), en concreto utilizando el modelo de la «gota líquida» que habían producido Niels Bohr y John Wheeler.
Dos días después de hallar esa explicación, Frisch regresó a Copenhague, deseoso de hacer partícipe a Bohr de estos desarrollos. Éste comprendió enseguida la idea y se entusiasmó con ella. Ocurría que Bohr estaba a punto de embarcar rumbo a Estados Unidos, para pasar tres meses en la Universidad de Princeton, donde iba a explicar la teoría cuántica de la medida. Con él iban su hijo Erik y su estrecho colaborador Léon Rosenfeld. El 16 de enero, el barco llegaba a Nueva York y allí lo esperaban John Wheeler y Enrico y Laura Fermi. Nada más desembarcar, todavía en el muelle, Bohr dijo unas palabras a John Wheeler de las noticias que Frisch le había traído. Niels y Erik se fueron entonces con los Fermi para disfrutar de una breve estancia en Nueva York, antes de trasladarse a Princeton, y Wheeler se llevó consigo a Rosenfeld a esta pequeña población de Nueva Jersey. En el camino, Wheeler convenció al colaborador de Bohr para que diese una charla en Princeton sobre el descubrimiento de Hahn y Stassmann, la interpretación de Meitner y Frisch y la conclusión que Bohr había desarrollado con Rosenfeld durante la travesía de que el nuevo proceso encajaba de manera natural con la teoría del núcleo compuesto de las reacciones nucleares, todo ello ignorado en Estados Unidos. La descripción de Rosenfeld causó una gran excitación, y malestar a Bohr cuando supo de ella, ya que quería proteger el trabajo de Meitner y Frisch hasta que fuese publicado (lo sería el 11 de febrero), al igual que unos experimentos que Frisch estaba realizando en Copenhague; por este motivo, no le había dicho nada a Fermi.
Una vez conocidas las noticias, los físicos norteamericanos se lanzaron con furor a explotar la nueva veta descubierta, dando la razón a Bohr en sus temores. Herb Anderson, miembro del equipo de Fermi en Columbia, se dispuso a realizar los mismos experimentos que Frisch estaba efectuando en Copenhague para estudiar mejor los productos de la fisión y, el 26 de enero, Fermi habló sobre la fisión en una pequeña reunión de física teórica celebrada en Washington, D. C., patrocinada por la Universidad George Washington y la Fundación Carnegie, sin mencionar a Frisch, algo que enfureció a Bohr, también presente en la reunión. A finales de mes, la noticia llegaba a los periódicos; el día 29, por ejemplo, The New York Times se ocupaba de ella.
En la costa Oeste también se recibían aquellas noticias. El 28 de enero, Robert Oppenheimer, el futuro líder del proyecto Manhattan, escribía a William Fowler: [287] «El asunto del U [uranio] es increíble. Nos enteramos de él en primer lugar por los periódicos, telegrafiamos pidiendo más información y desde entonces hemos recibido muchos informes. Ya sabes que comenzó con el hallazgo de Hahn de que lo que había tomado por Ra [radio] en una de las actividades del U, resultó ser Ba [bario]. Muchos puntos están todavía oscuros […] ¿de cuántas maneras se rompe el U? ¿Aleatoriamente, como se podría esperar, o solamente de ciertas maneras? Y lo más importante de todo, ¿se emiten muchos neutrones de la ruptura o de las piezas resultantes?».
Este último punto era esencial, ya que si en la reacción descubierta por Hahn y Stassmann se producía más de un neutrón, cabía imaginar que se podía desencadenar una reacción en cadena (los neutrones liberados podían colisionar con otros núcleos de uranio, liberando en cada caso energía y neutrones y así sucesivamente). Igualmente, cabía imaginar que se podría producir en fracción de segundos una gran cantidad de energía que permitiese, en el caso de una reacción en cadena más o menos incontrolada, fabricar un arma tremendamente poderosa o, si se pudiese controlar y liberar poco a poco, una fuente energética, un reactor nuclear, utilizable con fines pacíficos. Pero para los físicos implicados en el asunto, aunque estas ideas eran imaginables y, por consiguiente, acaso posibles, su realización se veía muy alejada en el futuro. Como se decía en el número de octubre de 1939 de la revista de divulgación científica Scientific American: «La producción de energía mediante la fisión nuclear no pasa del ámbito de lo posible. Bajo las condiciones actuales, el proceso es tan poco eficiente como sacar arena de una playa grano a grano».
Pronto se abordó la cuestión del número de neutrones emitidos en cada fisión, obteniéndose en París (Joliot-Curie) el valor medio de 3,5, mientras que en Columbia (Fermi) eran 2 los neutrones contabilizados. [288] El camino hacia la reacción en cadena continuaba, por consiguiente, estando abierto.
Es importante señalar que todas estas investigaciones y noticias circularon al principio libremente y que se les ocurrió a físicos de diversos países: alemanes, estadounidenses, soviéticos, británicos, franceses… Todavía no se había impuesto el secretismo en estos asuntos. Desafortunadamente, mientras los físicos se afanaban en estas investigaciones, Europa caminaba hacia una nueva guerra. La percepción de la aparente inevitabilidad de una nueva tragedia llevó a algunos físicos europeos a plantearse estas investigaciones con un horizonte inmediato diferente al de sus colegas del otro lado del océano. Uno de ellos fue un húngaro nómada: Leo Szilard (1898-1964).
Como otros científicos que alcanzaron gran distinción —John von Neumann, Eugene Wigner y Edward Teller—, Szilard estudió en Budapest y amplió sus estudios en Alemania. Cuando Hitler llegó al poder, Szilard, de origen judío, entonces Privatdozent en la Universidad de Berlín, no tuvo dudas de lo que iba a ocurrir y, a partir de aquel momento, tuvo preparadas sus maletas. En la capital prusiana, Szilard conoció a Einstein, con quien elaboró una patente de refrigerador no mecánico (A. Einstein y L. Szilard, «U. S. Patent 1 781 541», concedida el 11 de noviembre de 1930, pero presentada el 16 de diciembre de 1927). Pocos días después del incendio del Reichstag (27 de febrero de 1933), abandonaba Berlín camino de Viena, en un tren casi vacío. Un día más tarde, explicó en sus memorias (Szilard, 1969), el mismo tren iba totalmente lleno. Viena fue sólo un lugar de paso, pues su destino fue Londres. Justo poco después de haber llegado a la capital inglesa, se celebró, en septiembre (1933), la reunión anual de la British Association for the Advancement of Science y Szilard leyó en los periódicos que Rutherford había manifestado allí que quien hablase de la utilización industrial de energía procedente de los átomos era poco menos que un lunático. Este comentario animó a Szilard (1969: 100) a pensar sobre el tema y «de repente se me ocurrió que si pudiésemos encontrar un elemento al que se le pudiese partir mediante neutrones y que emitiese dos neutrones cuando absorbiese un neutrón, tal elemento, juntado en masa suficiente, podría mantener una reacción nuclear en cadena». Poco después, Frédéric Joliot-Curie e Irène Curie descubrían la radiactividad artificial y Szilard veía más claramente cómo se podía explorar la posibilidad de una reacción en cadena, aunque no consiguió suscitar muchos entusiasmos. En primer lugar, probó con el berilio, pero sin éxito. A pesar de no ser capaz de encontrar un candidato, su sentido comercial (y político) lo llevó a solicitar en la primavera de 1934 una patente para las leyes que, según él, gobiernan una reacción en cadena. Consciente de lo que sus ideas implicaban y no deseando que éstas fuesen accesibles libremente, asignó la patente al Almirantazgo británico, la única manera de evitar su difusión. La patente («Improvements in or relating to the transmutation of chemical elements»; «Mejoras en o relacionadas con la transmutación de elementos químicos») fue aceptada el 12 de diciembre de 1935. Hasta finales de 1937, Szilard permaneció, con alguna ausencia, en Inglaterra, donde llegó a lograr una pequeña beca en Oxford; prácticamente en solitario continuó pensando en la reacción en cadena.
Al ver que la guerra estaba cerca, Szilard se trasladó a Estados Unidos, adonde llegó el 2 de enero de 1938, sin trabajo. Allí supo, a través de Eugene Wigner, del descubrimiento de Hahn y Stassmann. Pocas personas en el mundo podían apreciar mejor que él las consecuencias del hallazgo. Comenzó a partir de aquel momento una etapa, intensa y complicada, en la que Szilard se movió con rapidez entre sus colegas estadounidenses, manteniendo, asimismo, correspondencia con otros en Inglaterra y Francia (Joliot-Curie). Expresado brevemente, Szilard quería que se comprobase inmediatamente si la fisión producía, como él pensaba, neutrones, y que, caso de que así fuese, que no se publicasen los resultados para evitar que los alemanes tuviesen conocimiento de ello. Fermi, que pronto comprobó que, efectivamente, se producían neutrones, no estaba en favor de esta táctica; Edward Teller, sí. Pero mientras discutían, Fermi ya convencido, Joliot-Curie y sus colaboradores publicaron una nota en Nature en la que se señalaba claramente que en la fisión del uranio se emitían neutrones e indicando, además, que esto podía llevar a una reacción en cadena (Von Halban, Joliot y Kowarski, 1939). En Chicago, Enrico Fermi se decantó entonces claramente en favor de publicar. Esto ocurría en marzo, el mismo mes en que las tropas alemanas tomaban lo que quedaba libre de Checoslovaquia.
En abril prosiguieron los experimentos de los grupos de París y de Columbia y se descubrió que el número de neutrones era de dos o tres, con lo que la posibilidad de la reacción en cadena se confirmaba aún más. Ese mismo mes, científicos estadounidenses, británicos, alemanes y franceses solicitaban ayuda a sus respectivos gobiernos para investigar la fisión, pidiéndoles, asimismo, que vigilaran los abastecimientos de uranio.
En julio, después de haber permanecido tres meses como científico invitado en Columbia, participando en los experimentos del grupo de Fermi y encontrándose de nuevo sin trabajo, Szilard se reunió con Wigner en Nueva York. Los dos científicos húngaros estaban cada vez más convencidos de que el peligro era real y comenzaron a preocuparse por los suministros de uranio, en particular por lo que podría ocurrir si los alemanes tuviesen acceso a los grandes yacimientos del Congo Belga. Pensando en qué canales podrían utilizar para advertir al Gobierno de Bélgica que no vendiese uranio a Alemania, se le ocurrió a Szilard que Einstein conocía a la reina de los belgas. Inmediatamente propuso a Wigner que fuesen a verlo para informarle de la situación y pedirle que considerase escribir a la reina.
Einstein estaba de vacaciones, pero pronto dieron con él. Era la primera vez que el genial físico oía hablar —recordó años más tarde Szilard— de la posibilidad de una reacción en cadena, pero entendió enseguida la idea y sus implicaciones. Sin embargo, no le agradaba escribir a la reina, aunque sí se ofreció a hacerlo a un miembro del Gobierno belga al que conocía. Iba a hacerlo cuando Wigner sugirió que no sería apropiado dirigirse a un gobierno extranjero sin antes comunicárselo al Departamento de Estado estadounidense. Se acordó entonces que Einstein enviase una copia de la carta que pensaba dirigir a los belgas a este departamento, junto a una nota indicando que si no recibía ninguna noticia en dos semanas, enviaría la carta a Europa. Con este acuerdo se despidieron, quedando en investigar cómo aproximarse al Departamento de Estado.
§. Einstein escribe a Roosevelt
Fue, una vez más, Szilard quien avanzó en esta dirección. Consiguió entrar en contacto con un consejero de la Lehman Corporation, Alexander Sachs, quien, de hecho, ya había oído hablar de los nuevos desarrollos antes de ser visitado por Szilard e incluso había señalado su importancia al presidente. Sachs le aconsejó que Einstein escribiese directamente al presidente Roosevelt y que él personalmente le haría llegar la carta.
Entretanto Teller, el futuro «padre» de la bomba de hidrógeno y otro emigrado a América, llegó a Nueva York y pidió a Szilard que le llevase en su coche a ver a Einstein en su lugar de vacaciones, Peconic. Allí, ambos discutieron con Einstein el contenido de la carta a Roosevelt. La famosa misiva fue escrita el 2 de agosto de 1939 y merece la pena reproducirla en su totalidad: [289]
Señor:La carta de Einstein, que Sachs sólo pudo hacer llegar a Roosevelt en octubre, unida a los sentimientos que había suscitado la fisión en Estados Unidos, así como al desarrollo de la física atómica y nuclear en esa nación, dieron fruto.
Trabajos recientes de E. Fermi y L. Szilard que me han sido comunicados en manuscrito me hacen esperar que el elemento uranio pueda convertirse en una nueva e importante fuente de energía en el futuro inmediato. Ciertos aspectos de la situación que se ha producido exigen que se la vigile cuidadosamente y, si es necesario, que la Administración actúe rápidamente. Creo, por consiguiente, que es mi deber llamar su atención sobre los siguientes hechos y recomendaciones:
En el curso de los últimos cuatro meses se ha hecho probable —a través del trabajo de Joliot en Francia, al igual que el de Fermi y Szilard en América— que pueda ser posible establecer una reacción nuclear en cadena en una gran masa de uranio, mediante la cual se generarían vastas cantidades de energía y grandes cantidades de nuevos elementos del estilo del radio. Parece ahora casi seguro que esto podría conseguirse en un futuro inmediato.
Este nuevo fenómeno conduciría también a la construcción de bombas y es concebible —aunque mucho menos seguro— que de esta manera se puedan construir bombas de un nuevo tipo extremadamente poderosas. Una sola bomba de este tipo, transportada por barco y hecha explotar en un puerto, podría muy bien destruir todo el puerto junto a parte del territorio que lo rodease. Sin embargo, tales bombas podrían ser demasiado pesadas como para que se las pudiese transportar por aire.
Estados Unidos solamente tiene yacimientos muy pobres de uranio en cantidades moderadas. Existe algún buen yacimiento en Canadá y en la antigua Checoslovaquia, mientras que la fuente de uranio más importante se encuentra en el Congo Belga.
En vista de esta situación, acaso pueda usted considerar aconsejable que exista algún contacto permanente entre la Administración y el grupo de físicos que trabajan en reacciones en cadena en Estados Unidos. Una forma posible de lograr esto sería que confiase esta tarea a una persona de su confianza y que acaso pudiera servir de manera no oficial. Su misión podría consistir en lo siguiente:Entiendo que Alemania ha detenido en la actualidad la venta del uranio de las minas checoslovacas de las que ha tomado control. El que haya adoptado esta acción tan pronto puede acaso ser entendida en base a que el hijo del subsecretario de Estado alemán, Von Weizsacker, está asociado al Instituto Káiser Guillermo de Berlín, donde se están repitiendo algunos de los trabajos americanos sobre el uranio.
- estar en relación con los Departamentos gubernamentales, mantenerlos informados de los desarrollos que se produzcan y presentar recomendaciones para acciones del Gobierno, prestando atención particular al problema de asegurar el suministro de uranio para Estados Unidos;
- acelerar el trabajo experimental que se está desarrollando actualmente dentro de los límites de los presupuestos de los laboratorios universitarios, proporcionando fondos, en el caso de que fuesen necesarios, a través de sus contactos con personas que deseen hacer contribuciones a esta causa y acaso también obteniendo la cooperación de laboratorios industriales que dispongan de los equipos necesarios.

Carta de Einstein al presidente Roosevelt.

Respuesta del presidente a la carta de Einstein.
Una vez más, Szilard, demostrando un empeño ejemplar, tomó la iniciativa redactando un artículo para Physical Review, la principal revista de física de Estados Unidos, leída además en todo el mundo, en el que describía cómo podía tener lugar una reacción en cadena con uranio, empleando como moderador grafito (sin embargo, con el artículo envió al editor de la revista una carta en la que le pedía que retuviese sin publicar el artículo hasta nueva orden). Solicitó de nuevo ayuda a Einstein, quien el 7 de marzo de 1940 escribió a Sachs informándole del artículo, así como de que si no se hacía algo éste se publicaría. El mediador se dirigió a su vez al presidente el día 15. Roosevelt contestó que lo mejor sería que el Comité del Uranio volviese a reunirse. Sachs entonces pidió a Briggs que lo convocase y éste respondió afirmativamente requiriendo también la presencia de Sachs, quien preguntó qué pasaba con Szilard y Fermi. La respuesta de Briggs es sorprendente, pero interesante también, por revelar algunos de los sentimientos de hostilidad hacia los emigrantes existentes en Estados Unidos (Szilard, 1969: 119): «Bien, ya sabe usted, estos temas son secretos y no creemos que ellos debieran ser incluidos». El asunto terminó, no obstante, arreglándose y tanto Szilard como Fermi asistieron a la reunión. [290]
Por supuesto, la historia de la fabricación de la bomba atómica no termina aquí, pues continuó especialmente una vez que, tras el ataque de Japón a Pearl Harbor el 7 de diciembre de 1941, Estados Unidos entró en la guerra, decidiéndose pronto el establecimiento del Proyecto Manhattan, en el que se logró producir las bombas que destruyeron Hiroshima y Nagasaki en agosto de 1945, pero la participación de Einstein en todo este asunto nuclear, sí finalizó entonces.
Es difícil determinar en qué medida su carta del 2 de agosto de 1939 influyó en la posterior decisión del Gobierno estadounidense de establecer el Proyecto Manhattan. El hecho es que el temor que sentía por un mundo dominado por Hitler hizo que Einstein violentase sus creencias pacifistas. En tiempos difíciles, cuando las pasiones y la sangre empañan la tierra, la pureza es un bien que se agosta rápidamente.
En 1952, siete años después de las bombas de Hiroshima y Nagasaki, los japoneses pudieron contemplar fotografías de la devastación que habían producido. Muchos se preguntaron entonces por la participación de Einstein. Katusu Hara, editor de Kaizo, una revista generalista, escribió a Einstein el 15 de septiembre de aquel año con cuatro preguntas (Rowe y Schumann, eds., 2007: 487-488): «1. ¿Cuál es su reacción ante las fotografías que muestran el efecto destructivo de la bomba? 2. ¿Qué piensa de la bomba atómica como instrumento de destrucción humana? 3. La próxima guerra, que se está prediciendo, será una guerra atómica. ¿Significará esto la destrucción de la humanidad? 4. ¿Por qué cooperó usted en la producción de la bomba atómica a pesar de conocer bien su tremendo poder destructivo?».

Einstein y la bomba atómica, portada del Times, 1 de julio de 1946.
Mi participación en la producción de la bomba atómica consistió en un solo acto: firmé una carta al presidente Roosevelt, en la que hice hincapié en la necesidad de llevar a cabo experimentos en gran escala en relación con la posibilidad de producir una bomba atómica.De hecho, después de la guerra, Einstein se involucró bastante en la lucha por un mundo en el que el armamento atómico estuviera, al menos, controlado. En mayo de 1946, aceptó ser chairman del recientemente creado Emergency Committee of Atomic Scientists (Comité de Emergencia de Científicos Atómicos). La iniciativa de este comité había partido de algunos científicos estadounidenses conscientes de la responsabilidad que había asumido Estados Unidos con el lanzamiento de las bombas atómicas sobre Hiroshima y Nagasaki y del peligro que la disponibilidad de armamento atómico significaba para la Humanidad. La junta directiva, que Einstein presidía, estaba formaba por una serie de científicos muy distinguidos: Harold C. Urey (premio Nobel de Química en 1934 por la obtención de deuterio, esto es, hidrógeno pesado, y el aislamiento del agua pesada), que actuaba como vice-chairman, Hans A. Bethe, Thorfin R. Hogness, Philip M. Morse, Linus Pauling, Leo Szilard y Victor F. Weisskopf.
Era perfectamente consciente del terrible peligro que significaría para la Humanidad si los experimentos tuvieran éxito. Sin embargo, me vi obligado a dar aquel paso porque parecía probable que los alemanes estuvieran trabajando en el mismo problema con todos los visos de éxito. No vi alternativa al actuar como actué entonces, aunque siempre he sido un pacifista convencido.
Creo que matar a seres humanos en una guerra no es mejor que el asesinato común, pero mientras las naciones carezcan de la determinación para abolir la guerra mediante una acción conjunta y encuentren medios de resolver sus disputas y salvaguardar sus intereses con arreglos pacíficos de acuerdo a las leyes existentes, continuarán considerando necesario prepararse para la guerra. En su miedo a quedarse detrás en la carrera de armamentos general, se sentirán obligadas a dedicarse a la fabricación de incluso las armas más detestables. Semejante enfoque sólo puede conducir a la guerra y la guerra hoy significaría aniquilación universal de los seres humanos.
Tiene poco sentido, por consiguiente, oponerse a la fabricación de armas específicas ; la única solución es abolir tanto la guerra como la amenaza de guerra. Ésta es la meta hacia la que todos deberíamos dirigirnos. Debemos estar decididos a rechazar todas las actividades que de alguna manera contradigan esta meta. Ésta es una dura exigencia para toda persona que sea consciente de su dependencia de la sociedad, pero no es una exigencia imposible.
Gandhi, el mayor genio político de nuestro tiempo, indicó el camino que se debe seguir. Dio prueba de cuánto sacrificio puede ser capaz el hombre cuando ha descubierto el camino correcto. Su trabajo en favor de la liberación de la India es testimonio vivo del hecho de que, cuando es mantenida por una convicción indomable, la voluntad humana es más poderosa que fuerzas materiales que parecen insuperables.

Einstein, dibujado por Josef Scharl.
Nuestro mundo se enfrenta a una crisis de la que todavía no se dan cuenta quienes poseen el poder de tomar grandes decisiones para bien o para mal. El poder del átomo que se ha desvelado ha cambiado todo salvo nuestros modos de pensar y, en consecuencia, nos vemos conducidos a una catástrofe sin paralelo. Nosotros, científicos que liberamos este inmenso poder, tenemos una enorme responsabilidad en esta lucha mundial de vida y muerte, para dominar el átomo en beneficio de la Humanidad y no para su destrucción.A pesar de sus buenas intenciones, el Comité de Emergencia de Científicos Atómicos no tuvo demasiado éxito y, en la primavera de 1951, después de haber estado prácticamente inactivo durante dos años, se planteó su disolución. El 12 de junio, Einstein manifestaba que estaba «de acuerdo en que el Comité de Emergencia de Científicos Atómicos se disolviese lo antes posible» (Nathan y Norden, eds., 1968: 557). La disolución final se decidió, en la casa de Einstein en Princeton, el 8 de septiembre de 1951, y pasaron los fondos disponibles al Bulletin of the Atomic Scientists, una revista que habían fundado en 1945 algunos veteranos del Proyecto Manhattan también preocupados por las consecuencias de la existencia de armamento atómico.
Bethe, [Edward U.] Condon, Szilard, Urey y la Federation of American Scientists (Federación de Científicos Americanos) se unen a mí en este llamamiento y le ruegan que apoye nuestros esfuerzos para hacer que los estadounidenses se den cuenta de que el destino de la Humanidad se está decidiendo hoy, ahora, en este momento.
Necesitamos inmediatamente 200.000 dólares para una campaña de ámbito nacional que informe al pueblo norteamericano que una nueva forma de pensamiento es esencial si la Humanidad quiere sobrevivir y dirigirse hacia niveles más elevados.
Este llamamiento se le envía a usted solamente después de largas consideraciones sobre la inmensa crisis a la que nos enfrentamos. Como chairman del Emergency Committee of Atomic Scientists, Princeton, Nueva Jersey, le ruego urgentemente que me envíe inmediatamente un cheque. Le pedimos su ayuda en este trascendental momento como una señal que nosotros, los científicos, no estamos solos.
La idea que con más ahínco defendió Einstein a partir del final de la segunda guerra mundial, fue la de la creación de un gobierno mundial. Así, en un discurso que pronunció en el Carnegie Hall de Nueva York el 27 de abril de 1948, al recibir un premio mundial («One World Award»), relacionó con gran claridad internacionalismo, pacifismo, democracia y antimilitarismo: [291] «cuando en la vida política se impone la creencia en la omnipotencia de la fuerza física, esta fuerza adquiere vida propia y se muestra más poderosa que los hombres que pretenden utilizarla como instrumento. La propuesta de militarización del país no sólo nos amenaza con una guerra inmediata sino que, además, destruirá lenta pero inexorablemente nuestro espíritu democrático y la dignidad de la persona humana […]. Hay un único camino hacia la paz y la seguridad: el camino de la organización supranacional. El rearme de un país sólo hará que aumente la incertidumbre y la confusión general, sin llegar a proporcionar una protección efectiva».
Otra manifestación en el mismo sentido es una contribución que hizo el 13 de febrero de 1950 al programa de televisión (en este caso, dedicado a las consecuencias de una bomba de hidrógeno) que dirigía Eleanor Roosevelt, la activa esposa del, por aquel entonces ya difunto, presidente Franklin Delano Roosevelt, Einstein (1981: 140-141) manifestó:
La idea de lograr la seguridad del país a base de armarse, en el presente estado de la técnica militar, no es más que una ilusión desastrosa […].En la medida en que la Organización de Naciones Unidas, la ONU en sus siglas en español, había sido creada en octubre de 1945, y las anteriores palabras de Einstein datan de 1950, está claro que no veía a la ONU como un posible «gobierno mundial».
La carrera armamentística entre Estados Unidos y la Unión Soviética, originariamente de ámbito preventivo, adquiere caracteres de histeria. En el horizonte ha surgido la bomba de hidrógeno como un objetivo alcanzable. Su acelerado desarrollo ha sido proclamado solemnemente por el primer mandatario [el presidente Truman] […].
¿Existe un camino para salir de este atolladero creado por el propio hombre? […] Es imposible lograr la paz mientras cada uno de nuestros actos se ejecuta con miras a un posible conflicto bélico futuro. Toda acción política tendría que regirse con vistas a esta pregunta: ¿qué podemos hacer en bien de una coexistencia pacífica e incluso de una cooperación leal entre las naciones? El primer problema es desechar los miedos y las desconfianzas mutuas. Habrá que hacer una solemne renuncia a la violencia (no sólo a los medios de destrucción masiva). Esta renuncia, sin embargo, será eficaz si al mismo tiempo un organismo supranacional, judicial y ejecutivo, queda constituido e investido del poder de decidir en problemas que conciernan a la seguridad de las naciones. Incluso una declaración en que las naciones se comprometan a colaborar con lealtad en la realización de un «gobierno mundial restringido» podría reducir considerablemente el riesgo de una guerra.

Einstein y Thomas Mann, en Princeton; 1938.
§. Todavía un científico productivo
Con frecuencia se dice que los años que Einstein pasó en Princeton fueron absolutamente improductivos desde el punto de vista científico, que fue penoso ver declinar a un genio de la ciencia como Einstein, al que únicamente le interesaba encontrar una teoría del campo unificado, en la que prácticamente nadie más que él creía. Aun siendo cierto lo de la teoría del campo unificado, lo que no es verdad es que sus años de Princeton, esto es, sus poco más de dos décadas últimas de vida —especialmente la de 1930— fueran improductivas en lo que a la ciencia se refiere. Veamos por qué, comenzando por una breve presentación de los ayudantes más destacados con los que trabajó, aprovechando al mismo tiempo para referirme a sus trabajos en la teoría del campo unificado (no mencionaré, ya lo hice en el capítulo 15, su trabajo de 1937 con Nathan Rosen sobre ondas gravitacionales).
§. Los ayudantes de Einstein en Princeton
Esos ayudantes fueron —me limito a los principales, aquellos que poseían habilidades matemáticas especiales— jóvenes de origen judío, como el ruso Boris Podolsky(1896-1966), el estadounidense Nathan Rosen (1909-1995), que ya nos apareció, el inglés Banesh Hoffmann (1906-1986), el berlinés de padres rusos Valentine Bargmann (1908-1989), el también berlinés Peter Bergmann (1915-2002), que se había doctorado en Praga (1936) con Philip Frank —sucesor, recordemos una vez más, de Einstein en la cátedra que éste ocupó en la Universidad Alemana de Praga—, el polaco Leopold Infeld (1893-1968), el alemán Ernst Gabor Straus (1922-1983) y la física teórica Bruria Kaufman (1918-2010). Aparte de las habilidades matemáticas que poseían los ayudantes de Einstein, es difícil encontrar algún denominador común. [292] Así, Infeld y Hoffmann (quien, por cierto, comenzó su carrera trabajando en geometría proyectiva con Veblen, con el que obtuvo su doctorado en 1932) trabajaron con Einstein sobre todo en el problema del movimiento. Peter Bergmann, que posteriormente constituyó una influyente escuela relativista en la Universidad de Syracusa (Nueva York), centrada sobre todo en la cuantización de la relatividad general, trabajó —ya lo mencioné— con Einstein entre 1936 y 1941 en teorías del campo unificado, la teoría de Kaluza en su caso (Einstein y Bergmann, 1938). [293] El mismo Bergmann (1980: 478-479) explicó muchos años después la naturaleza de su trabajo: «Einstein sugirió que yo trabajase en un modelo clásico de un electrón, uno que no fuese esféricamente simétrico —en otras palabras, no la situación que expresa la solución de Reissner-Nödström sino lo que él imaginaba entonces (lo que ahora llamaríamos una métrica de Kerr), pero para la que nadie conocía una solución—. Básicamente, exploramos varias clases diferentes de teorías del campo unitario». Las teorías del campo unificado fueron también el centro de las investigaciones de Valentin Bargmann, que fue ayudante de Einstein entre 1938 y 1943. Que el trabajo de ambos involucraba técnicas matemáticas bastante complejas es algo que se puede comprobar en, por ejemplo, el artículo conjunto que publicaron en 1944 sobre campos bivectoriales (Einstein y Bargmann, 1944).

Einstein caminando en compañía de Valentin Bargmann y Peter Bergmann; Princeton, 2 de octubre de 1940.
En su intervención en el simposio que se celebró en Princeton en 1979 para celebrar el centenario del nacimiento de Einstein, Straus (1980: 483) ofreció una interesante caracterización de las relaciones del creador de la relatividad con las matemáticas. Dijo entonces:
La inventiva que Einstein llevó a las teorías que intentamos desarrollar era, esencialmente, una inventiva de estructuras matemáticas y debo decir que era [una inventiva] extraordinariamente rica […]. Muy a menudo más rica de lo que le permitía explotar su propia capacidad matemática. El profesor Pais citó algunos comentarios de Einstein que él considera palabras de desesperación. Yo tengo que decir que las considero justamente lo contrario. Habitualmente, él hablaba de esa manera después de haberse sumergido en una grandiosa visión de posibles modelos de teorías correctas, para los que, sin embargo, sentía que sus capacidades matemáticas no eran lo suficientemente grandes y que el tiempo no le permitía tomarse la libertad de dedicarse a cosas para las que tendría que aprender más matemáticas de las que creía que podría todavía aprender. Esto se puede describir como desesperación, pero no creo que lo fuese. Por el contrario, pienso que se trataba de una especie de entusiasmo gozoso, del sentimiento de que, incluso si yo no sé suficiente, si mis matemáticas no son suficientemente amplias o lo bastante ricas como para llevar a la práctica mis ideas, todas las posibilidades están ahí. Él resaltaba especialmente las ideas de caracterizaciones topológicas de un Universo que tuviese sentido, aunque lo denominaba analysis situs , lo que hacía mi vida con los matemáticos difícil. Recuerdo que no podía ir nunca, sin sentirme mal, a una reunión en la que estuviese presente Lefschetz, porque siempre que Einstein se lo encontraba, le preguntaba: « ¿Qué hay de nuevo en el analysis situs?». Lefschetz entonces se guardaba su rabia para soltarla conmigo después, diciéndome: « ¿Cómo puedes estar con un hombre que después de cincuenta años todavía llama a la topología analysis situs?».Bruria Kaufman fue la única mujer con quien Einstein publicó artículos. Kaufman, que había estudiado en la Universidad Hebrea de Jerusalén en 1938 y se había doctorado en Columbia en 1948, había pasado después al Institute for Advanced Study de Princeton, donde permaneció hasta 1955. Además de colaborar con Einstein, lo hizo con John von Neumann y con Lars Onsager. Su carrera posterior fue bastante distinguida: Kaufman estuvo en, por ejemplo, el Instituto Courant de Ciencias Matemáticas de Nueva York, y, siendo una ferviente sionista, en Israel (Instituto Weizmann y Universidad de Haifa) desde 1960 a 1988. Con Einstein publicó dos artículos sobre teorías de campos no simétricas (Einstein y Kaufman, 1954, 1955). Fueron sus últimos intentos por cumplir su sueño de encontrar una teoría del campo unificado.
§. Einstein, Podolsky y Rosen
En 1935, Einstein, Boris Podolsky y Nathan Rosen publicaron un artículo en el que argumentaban que la mecánica cuántica no podía ser una teoría completa y que era necesario introducir nuevas variables, «variables ocultas», una idea que formaba parte de la crítica que Einstein ponía a la mecánica cuántica, en la interpretación de Copenhague. [295] Los primeros párrafos de este artículo son memorables, ya que trascienden la mera discusión física, adentrándose en las profundidades de la filosofía y la metodología de la ciencia. Los citaré (Einstein, Podolsky y Rosen, 1935a: 777):
Cualquier consideración seria sobre una teoría física debe considerar la distinción entre la realidad objetiva, que es independiente de cualquier teoría, y los conceptos físicos con los que opera la teoría. Estos conceptos tienen por objetivo corresponderse con la realidad objetiva y, por medio de ellos, nos imaginamos esta realidad.Si, sin perturbar el sistema de ninguna manera, podemos predecir con seguridad (esto es, con probabilidad igual a la unidad) el valor de una cantidad física, existe un elemento de realidad física que corresponde a esta cantidad física.
Al intentar juzgar el éxito de una teoría física, podemos hacernos dos preguntas: 1) « ¿Es correcta la teoría?», y 2 ) « ¿Es completa la descripción dada por la teoría?». Es solamente en el caso de que se pueda dar respuesta positiva a ambas preguntas que se puede decir que los conceptos de la teoría son satisfactorios. La corrección de la teoría se juzga por el grado de acuerdo entre las conclusiones de la teoría y la experiencia humana. En la física, esta experiencia, que sólo nos permite realizar inferencias acerca de la realidad, toma la forma de experimento y medida. Es la segunda pregunta la que deseamos considerar aquí, aplicándola a la mecánica cuántica.
Cualquiera que sea el significado que se asigne al término completo , parece que debe ser necesario el siguiente requisito para una teoría completa: todo elemento de la realidad física debe tener una contrapartida en la teoría física. Denominaremos a ésta la condición de completitud.
No se pueden determinar los elementos de la realidad física mediante consideraciones filosóficas a priori , sino que se deben encontrar recurriendo a los resultados de experimentos y medidas. Para nuestros propósitos, no es, sin embargo, necesaria una definición totalizadora de realidad. Nos quedamos satisfechos con el siguiente criterio, que consideramos razonable.
Hasta entonces nunca, que yo sepa, un físico se había aventurado a definir lo que se debe entender por «realidad». Era lo que se podría denominar, «suposiciones no cuestionadas y asumidas implícitamente». La física cuántica demostraría que se trataba de un concepto complejo y, desde luego, cuestionable.
El texto de Einstein, Podolsky y Rosen se refiere a la relación lógica entre dos afirmaciones, la de que la descripción de la realidad en mecánica cuántica mediante una función de onda es incompleta y la de que magnitudes incompatibles (dos magnitudes físicas cuyos operadores no conmutan, como la posición y el momento) no pueden tener un valor real, perfectamente definido, de manera simultánea (recuérdese que según el principio de incertidumbre de Heisenberg, no se pueden determinar simultáneamente posición y momento). Y concluían que sólo se puede mantener una de estas dos afirmaciones, la que sostiene que la descripción mecano-cuántica de la realidad física mediante la función de onda es incompleta.
Einstein, Podolsky y Rosen demostraban que la suposición de que la función de onda contiene una descripción completa de la realidad física de un sistema, junto con el criterio de realidad que introdujeron, conduce a una contradicción. Para ello proponían un experimento mental, con dos sistemas, cuyos estados iniciales son conocidos, que interaccionan durante un cierto tiempo. Su argumentación se basaba en que se puede conocer el estado del sistema conjunto en cualquier instante posterior, pero no el estado de cada sistema por separado, porque la realización de una medición en uno de los sistemas produce una «reducción del paquete de ondas» que conduce a que el segundo sistema se deje en un estado con dos funciones de onda distintas, de donde concluían que la teoría cuántica no es completa. Prosiguiendo con el experimento mental, demostraban que si la función de onda proporciona una descripción completa y si las dos funciones de onda se corresponden a dos magnitudes físicas cuyos operadores no conmutan, el experimento conduce a que las dos magnitudes se pueden medir en cualquiera de las partículas sin perturbarlas, esto es, que eran elementos de la realidad física.
Una posibilidad es que existiesen variables, ocultas, que la formulación canónica de la mecánica cuántica no hubiera considerado. No obstante, Einstein, Podolsky y Rosen (1935 a: 780) finalizaban su artículo con cautela: «Mientras que hemos demostrado que la función de onda no proporciona una descripción completa de la realidad física, dejamos abierta la cuestión de si existe o no semejante descripción. Creemos, sin embargo, que tal teoría es posible».
Niels Bohr (1935), siempre alerta a defender la interpretación de Copenhague y más si era frente a Einstein, se apresuró a publicar un artículo, también en Physical Review y con el mismo título que el de Einstein, Podolsky y Rosen, pero su contenido no captaba la profundidad del primero y con toda justicia ha pasado al cajón del olvido. Nadie entendió mejor el significado profundo de este artículo, al que también se le conoce como el de la «paradoja EPR», por las iniciales de Einstein, Podolsky y Rosen, que Erwin Schrödinger, el creador de la mecánica cuántica ondulatoria. El mismo año en que apareció el trabajo de EPR, Schrödinger (1935) publicó, en tres partes, un artículo extraordinario, de los mejores que escribió en toda su carrera, en la revista Die NaturWissenschaften titulado «La situación actual de la mecánica cuántica», más conocido porque en él se presentaba el experimento ideal conocido como el «gato de Schrödinger». Aunque no es esa parte de su artículo la que más me interesa destacar aquí, obviamente no la puedo dejar de lado —es, en cualquier caso, muy importante—, así que citaré la explicación de Schrödinger (1935: 812):
Se mete un gato en una cámara de acero, junto con el siguiente dispositivo diabólico (que debe asegurarse contra cualquier interferencia directa del gato): en un contador Geiger existe un pequeño trozo de sustancia radiactiva, tan pequeña que acaso en el curso de una hora uno de los átomos se desintegrará, pero también, con igual probabilidad, tal vez ninguno lo hará; si sucede esto [que se produzca la desintegración], el tubo del contador genera una descarga y mediante un relé se pone en acción un martillo que rompe un pequeño frasco de ácido cianhídrico. Si hemos dejado el sistema completo durante una hora, sin intervenir en él de ninguna manera, podríamos decir que el gato todavía vive si en ese intervalo no se ha desintegrado ningún átomo. El primer átomo que se hubiera desintegrado lo habría envenenado. La función Ψ del sistema completo expresaría esto al estar compuesta por el gato muerto y el gato vivo (perdón por la expresión) mezclados o esparcidos en partes iguales.Lo que Schrödinger estaba señalando es el papel que desempeña la superposición de estados en la mecánica cuántica. El colapso de la función de onda de la interpretación de Copenhague de la mecánica cuántica decía, recordemos, que cuando el observador (que obedece a las leyes de la física clásica, algo, por cierto, difícil de aceptar, en la medida que implica una mezcla poco natural entre física clásica y cuántica) realiza una medida, ésta se concreta, con una cierta probabilidad, en un estado de todos los posibles que alberga la función de onda completa original, pero ¿qué sucede mientras tanto, cuando no se ha hecho la medida? Parece que la respuesta inmediata no plantea problemas cuando se trata de átomos, pero ¿y cuando, como ponía en evidencia Schrödinger, se trata de objetos macroscópicos?
Fue en este artículo donde Schrödinger denominó la propiedad que Einstein, Podolsky y Rosen habían puesto de manifiesto, «Verschränkung» («entrelazamiento»; Schrödinger, 1935: 827): «Cualquier “entrelazamiento de predicciones” [Verschränkung der Voraussagen] que tenga lugar, obviamente sólo puede remontarse al hecho de que en un momento anterior los dos cuerpos formaban en un sentido verdadero un sistema, esto es, que estuvieron interaccionando, y dejaron atrás trazas el uno en el otro. Si dos cuerpos separados, cada uno de ellos conocidos en sí mismo de forma máxima, entran en una situación en la que se influyen entre sí y se separan de nuevo, tiene lugar de manera regular lo que acabo de llamar entrelazamiento[Ve rschränkung] de nuestro conocimiento de los dos cuerpos».
Con mayor claridad, más adelante (tercera entrega, sección 11) explicaba la característica del entrelazamiento cuántico (Schrödinger, 1935: 844): «Supongamos que dos cuerpos, A y B, se han entrelazado durante una interacción transitoria. Dejemos ahora que los cuerpos se separen de nuevo. Entonces puedo tomar uno de ellos, digamos B, y mediante medidas sucesivas […] obtener un conocimiento máximo de él. Sostengo que tan pronto como logre esto, antes no, primero, el entrelazamiento se habrá deshecho inmediatamente y, segundo, también habré obtenido el máximo conocimiento de A a través de las medidas sobre B».
El entrelazamiento que explícitamente sacaba a la palestra Schrödinger no es sino una manifestación de la no localidad de la teoría cuántica. Se trata, evidentemente, de una característica extremadamente contra intuitiva (una más en el mundo cuántico), ya que viene a decir que elementos que habían formado parte de un sistema cuántico común, continuaban «informados sobre sus devenires» con independencia de cuánto tiempo hubiese pasado y de cuánta distancia les hubiese separado. Parecía como si las viejas acciones a distancia newtonianas reviviesen —de hecho así ha sido—, con todas las consecuencias y problemas que esto conlleva, notablemente su acuerdo o no con el límite de propagación de información que establece la teoría de la relatividad especial. Y Einstein, por cierto, se dio perfecta cuenta de este problema, así en una carta que escribió a Max Born el 3 de marzo de 1947, señalaba (Born, 2005: 155):
No puedo alterar mi actitud sobre la física de manera que tú la consideres razonable. Admito, por supuesto, que existe un considerable grado de validez en el enfoque estadístico, que tú fuiste el primero en reconocer claramente que era necesario dado el esquema del formalismo existente. No puedo creer seriamente en él porque la teoría no se puede reconciliar con la idea de que la física debería representar una realidad en el tiempo y el espacio, libre de fantasmagóricas [spukhafte Fernwirkung] acciones a distancia.Sin embargo, durante bastante tiempo ni el artículo de Einstein, Podolsky y Rosen ni el de Schrödinger apenas atrajeron la atención, salvo por la «paradoja de gato». La excepción más importante fue el físico estadounidense David Bohm. [296] A comienzos de los años cincuenta, Bohm (1952 a, b) produjo una versión de la mecánica cuántica de variables ocultas. En su trabajo sostenía (Bohm, 1952 b: 166) que «conduce precisamente a los mismos resultados, para todos los procesos físicos, que la interpretación habitual. Sin embargo, la interpretación que se sugiere proporciona un marco conceptual más amplio que la interpretación habitual, porque hace posible una descripción precisa y continua de todos los procesos, incluso en el nivel cuántico». Nótese lo de «continua», que significa que se trataba de una teoría local. En 1957, mientras trabajaba en Haifa, Bohm y Yakir Aharonov (1957) desarrollaron una versión no local (esto es, que tenía muy en cuenta el entrelazamiento) más sólida, también de variables ocultas. Básicamente, se trataba de una reformulación más sencilla del escenario EPR, en la que sustituían la base posición-momento por una centrada en el espín. El problema para Bohm y para todos los que creían en posibles teorías cuánticas de variables ocultas era que en su libro de 1932, Mathematische Grundlagen der Quantemechanik , John von Neumann (1932) había incluido un teorema que negaba la posibilidad de teorías cuánticas de variables ocultas. Y ese resultado continuaba siendo aceptado, de manera que cuando Bohm construyó una de esas teorías «prohibidas» pocos le prestaron atención.
Entre los escasos físicos que repararon en la reformulación del trabajo de Einstein, Podolsky y Rosen que había producido Bohm, se encuentra John Stewart Bell (1928-1990), un personaje esencial en la clarificación de las cuestiones que Einstein y Schrödinger sacaron a la luz.
Natural de Belfast, Bell llegó a graduarse en Física siguiendo un camino más indirecto y difícil que la mayoría de los que se terminan dedicando a esta disciplina: estudió en la Technical High School de Belfast, tras lo cual trabajó como ayudante técnico junior en el Departamento de Física de la Queen's University de Belfast; allí reconocieron su talento y, después de trabajar un año como técnico, pasó a ser estudiante y se graduó en 1948 en Física experimental y, el año siguiente, en Física matemática. Entre 1949 y 1960, trabajó en Inglaterra, la mayor parte del tiempo en el Centro de Investigación Atómica de Harwell, en física nuclear y cuestiones relacionadas con aceleradores. En 1953 y 1954, con una excedencia de Harwell, realizó estudios graduados en la Universidad de Birmingham. Fue entonces cuando se familiarizó con la situación en la física teórica y preparó su tesis doctoral que defendió en 1956, después de haber regresado a Harwell; incluía una demostración del teorema CPT, pero perdió la prioridad de la demostración porque Gerhard Lüders publicó otra prueba antes, en 1954. Insatisfecho con el tipo de trabajo que realizaba en Harwell, en 1960 Bell abandonó su puesto permanente allí y aceptó uno temporal en el CERN, en la División de Física Teórica. En el CERN pronto comenzó a dedicar parte de su tiempo libre a los fundamentos de la mecánica cuántica, dedicación que, junto con la libertad que le proporcionó el año sabático, 1963-1964, que pasó en Estados Unidos, dio origen a dos artículos absolutamente fundamentales. Escribió ambos en 1964, aunque la publicación de uno de ellos se demoró hasta 1966. Se titularon «Sobre la paradoja de Einstein-Podolsky-Rosen» (Bell, 1964) y «Sobre el problema de las variables ocultas en la mecánica cuántica» (Bell, 1966).
En el segundo —el primero conceptualmente y casi seguro también el primero en ser escrito—, Bell demostró que el teorema de Von Neumann tenía fallos y explicaba cómo Bohm había podido evitarlo construyendo su modelo. La introducción del artículo, que reproduzco parcialmente a continuación, explica con claridad las intenciones y los resultados de Bell (1966, 1990: 25-26):
El conocimiento del estado cuántico de un sistema implica, en general, sólo restricciones estadísticas sobre los resultados de las medidas. Parece interesante preguntarse si este elemento estadístico debe considerarse que surge, como en la mecánica estadística clásica, porque los estados en cuestión son promedios sobre estados mejor definidos en los que los resultados estarían completamente determinados de modo individual. Estos hipotéticos estados «sin dispersión» vendrían especificados no sólo por el vector estado mecano-cuántico, sino además por «variables ocultas» adicionales; «ocultas» porque si pudieran prepararse estados con valores prescritos de esas variables, la mecánica cuántica sería inadecuada a nivel observacional.En el primer artículo, «Sobre la paradoja de Einstein-Podolsky-Rosen», Bell (1964) demostró que existían unas relaciones (desigualdades) que se podían emplear para decidir experimentalmente qué tipo de teoría era correcta, si una «completa» (que incluyese unas variables «ocultas» para la formulación cuántica) que obedeciese a los requisitos que Einstein, Podolsky y Rosen habían planteado en 1935, o la mecánica cuántica tradicional. También en este caso, reproduciré parte de la introducción (Bell, 1964, 1990: 41-42):
Ha sido objeto de debate si esta cuestión es verdaderamente interesante. El presente artículo no contribuye a ese debate. Está dirigido a los que encuentran interesante dicha cuestión y más particularmente a aquellos, de entre ellos, que piensan que «la cuestión concerniente a la existencia de tales variables ocultas recibió una respuesta pronta y bastante decisiva en base a la prueba de Von Neumann de la imposibilidad matemática de tales variables en la teoría cuántica». Se intentará clarificar lo que realmente demostraron Von Neumann y sus continuadores […]. Se hará hincapié en que esos análisis dejan intacta la cuestión real. Se verá, de hecho, que esas demostraciones requieren de los hipotéticos estados sin dispersión, no sólo de que conjuntos apropiados de ellos hayan de tener todas las propiedades medibles de los estados cuánticos, sino además algunas otras propiedades. Estas exigencias adicionales parecen razonables cuando se identifican vagamente con propiedades de sistemas aislados. Se ve que no lo son cuando se recuerda con Bohr «la imposibilidad de cualquier distinción neta entre el comportamiento de los objetos atómicos y la interacción con los instrumentos de medida que sirven para definir las condiciones bajo las cuales aparecen los fenómenos». La conciencia de que la demostración de Von Neumann es de relevancia limitada ha ido ganando terreno desde el trabajo de Bohm de 1952 . Sin embargo, se halla lejos de ser universal. Además, quien escribe no ha encontrado en la literatura ningún análisis adecuado de qué era incorrecto en dicha demostración. Como todos los autores de artículos de revisión no hechos por encargo, él cree poder hacer una nueva exposición del tema con una claridad y simplicidad tales que todas las discusiones previas quedarán eclipsadas.
La paradoja de Einstein, Podolsky y Rosen se propuso como un argumento de que la mecánica cuántica no podía ser una teoría completa, sino que debía ser suplida con variables adicionales. Estas variables adicionales restaurarían la causalidad y localidad en la teoría. En esta nota se formulará matemáticamente esa idea y se mostrará que es incompatible con las predicciones estadísticas de la mecánica cuántica. Es el requisito de localidad o, para ser más preciso, el que el resultado de una medida sobre el sistema no se vea afectado por operaciones sobre un sistema distante con el cual haya interaccionado en el pasado, lo que crea la dificultad esencial. Ha habido intentos de demostrar que incluso sin tal requisito de separabilidad o localidad no es posible ninguna interpretación de «variables ocultas». Se han examinado estos intentos en otro lugar [Bell, 1966 ] y han sido encontrados defectuosos. Más aún, ha sido explícitamente construida una interpretación de variables ocultas de la teoría cuántica elemental. Esta interpretación particular tiene ciertamente una marcada estructura no-local. De acuerdo con el resultado que se probará aquí, esto es característico de cualquier teoría de ese tipo que reproduzca con exactitud las predicciones de la teoría cuántica.Provistos del análisis de Bell, John Clauser, Michael Horne, Abner Shimony y Richard Holt (1969), de las universidades de Columbia, Boston y Harvard, propusieron un experimento concreto para aplicar la prueba de las desigualdades de Bell. Sin embargo, los resultados experimentales que obtuvieron no fueron concluyentes. Sí lo fueron los que llevó a cabo en el Institute d'Optique Théorique et Appliquée (Instituto de Óptica Teórica y Aplicada) de Orsay, en las cercanías de París, un equipo dirigido por Alain Aspect. Y el resultado (Aspect, Dalibard y Roger, 1982) favoreció a la mecánica cuántica. Será rara, contra intuitiva, con variables que no se pueden determinar simultáneamente, socavará nuestra idea tradicional de lo que es la realidad, pero es cierta o no se ha demostrado todavía lo contrario. El análisis de Bell y el experimento del equipo de Aspect muestran con especial claridad el ya señalado entrelazamiento, la no-localidad que tanto disgustaba a Einstein, quien, sin embargo, fue fundamental para que se llegase a semejante conclusión con su artículo de 1935 junto a Podolsky y Rosen.
§. Lentes gravitacionales
El año siguiente al artículo de Einstein, Podolsky y Rosen, Einstein (1936 b) produjo otro que con el tiempo mostró su importancia. Se trata de la idea de la existencia de «lentes gravitacionales». Como sabemos, de acuerdo a la relatividad general, un rayo de luz se curva debido al efecto de la gravitación. Supongamos un haz de rayos de luz que pasa por el entorno de un cuerpo muy masivo con simetría esférica; los rayos que pasan cerca de su superficie se curvan más que los más alejados, que no obstante, debido a la gran masa del cuerpo, también se desvían apreciablemente (no como en el caso del eclipse de Sol de 1919). De esta manera, se produce un desdoblamiento, un halo o anillo, en la imagen de la fuente de los rayos de luz que vería un observador alejado, actuando el cuerpo masivo como una especie de «lente gravitacional».
En 1936, Rudi W. Mandl, un científico aficionado de origen checo pero afincado en Estados Unidos al que se le había ocurrido la idea de las lentes gravitacionales, insistió con Einstein hasta que éste consideró y desarrolló la idea, que pasó a defender y publicar, aunque señalando que «no existen grandes posibilidades de observar este fenómeno». Lo curioso es que Einstein había considerado la misma idea en una fecha tan temprana como 1912, realizando esencialmente los mismos cálculos que un cuarto de siglo después llevó a cabo tras la insistencia de Mandl, aunque no llegase entonces a publicarlos. [297] Es obvio que había olvidado sus antiguas reflexiones. Y la historia no termina aquí, ya que resulta que también llegaron a la misma idea, antes de 1936, publicándola, Arthur Eddington (1920: 133-135) y el físico ruso Orest Chwolson (1924). [298]
Las lentes gravitacionales que había predicho Einstein en 1936 fueron observadas por primera vez cuarenta y tres años después, en 1979, cuando Walsh, Carswell y Weyman (1979) descubrieron una imagen múltiple de un cuásar, conocido como 0957+561. Posteriormente, se han tomado fotografías con el telescopio espacial Hubble de un cúmulo de galaxias situado a unos mil millones de años-luz de distancia, fotografías en las que además de las galaxias que forman el cúmulo se observan numerosos arcos (trozos de aros) que se detectan con mayor dificultad debido a ser más débiles luminosamente. Estos arcos son, en realidad, imágenes de galaxias mucho más alejadas de nosotros que las que constituyen el propio cúmulo, pero que observamos mediante el efecto de lente gravitacional (el cúmulo desempeña el papel de la lente que distorsiona la luz procedente de tales galaxias). Además de proporcionar nuevas pruebas en favor de la relatividad general, estas observaciones tienen el valor añadido de que la magnitud de la desviación y distorsión que se manifiesta en estos arcos luminosos es mucho mayor del que se esperaría si no hubiese nada más en el cúmulo que las galaxias que vemos en él. De hecho, las pruebas apuntan a que estos cúmulos contienen entre cinco y diez veces más materia de la que se ve. Es posible que se trate de la materia oscura de cuya existencia se comenzó a sospechar o, mejor, pudo haberse comenzado a sospechar, a partir de los trabajos realizados en los años treinta, por el astrofísico de origen suizo, instalado a partir de 1925 en el California Institute of Technology, Fritz Zwicky (1898-1974). En 1933, utilizando las facilidades del Observatorio del Monte Wilson, Zwicky realizó los primeros estudios de cúmulos de galaxias. Para estimar la masa total de las agrupaciones, empleó un método que ya había sido utilizado por Eddington (1916) y que se basaba en la teoría cinética de gases. El resultado, sorprendente, fue que había mucha más masa en el cúmulo de la que se podía atribuir a la masa visible de las galaxias que lo formaban: en el cúmulo de Coma, por ejemplo, en el que se han identificado más de mil galaxias, Zwicky (1933, 1937) encontró que debía existir una masa «oculta» más de cien veces mayor que la de la visible. En la actualidad, la existencia, aceptada, de materia oscura (y de energía oscura) en el Universo constituye uno de los grandes problemas por resolver.
§. Einstein y la noción de «singularidad»
En la estructura inicial de la relatividad general, tal y como Einstein la presentó en 1915, las ecuaciones de movimiento (ecuaciones de las geodésicas) se postulaban independientemente del campo. En 1926, con la ayuda de Jakob Grommer, que ya nos apareció en el capítulo 16, Einstein comenzó a trabajar en la posible conexión entre ecuaciones del campo y ecuaciones del movimiento, produciendo el año siguiente un artículo en el que demostraban la relación entre ambas. Tal y como ellos mismos lo expresaban en la sección final del artículo (Einstein y Grommer, 1927: 13): «Si en el campo gravitacional se consideran las masas singularidades, la ley de movimiento está completamente determinada por las ecuaciones de movimiento», y aquí insertaban la siguiente nota a pie de página: «En el presente artículo esto no se ha demostrado de manera completa más que para el caso del equilibrio».
Una «singularidad» es, ya lo mencioné, un lugar del espacio donde la función en cuestión —que representa alguna magnitud física— se hace infinita (nos encontramos con este problema a propósito de la solución de Schwarzschild). Aunque la presencia de una singularidad se considera habitualmente algo desagradable, que se debe evitar, en física a veces se puede utilizar en el desarrollo de una teoría. Precisamente porque una singularidad representa ignorancia de un determinado aspecto de la realidad física, se la puede considerar una ayuda. Así, durante la búsqueda de una teoría del campo unificado, Einstein encontró lugares donde las singularidades podían jugar un cierto papel. Por ejemplo, su teoría relativista del campo en la que empleaba un tensor métrico, gαβ, no simétrico (ver Einstein, 1950b, 1967: 156-157), no quedaba completamente determinada mediante las ecuaciones del campo y una posible salida a este problema era admitir la aparición de singularidades. Sin embargo, Einstein no aceptó esta posibilidad. Admitir singularidades en una teoría continua significaba el introducir puntos o líneas, etcétera, en los que las ecuaciones del campo no se verificarían. Con singularidades, Einstein tal vez hubiese sabido cómo se mueve la materia, pero desde luego no lo que es, porque las ecuaciones del campo no serían válidas precisamente allí donde se encontrase la materia. Utilizando las propias palabras de Einstein, en uno de los apéndices, el II, que añadió a la cuarta edición (abril de 1950) de la versión en inglés de unas conferencias (Einstein, 1922) que pronunció en la Universidad de Princeton en mayo de 1921 (esto es, durante su primer viaje a Estados Unidos, junto a Weizmann), The Meaning of Relativity (Einstein, 1950 b, 1967: 48): «Se ha intentado remediar esta falta de conocimiento considerando las partículas cargadas auténticas singularidades, pero, en mi opinión, esto significa abandonar [la posibilidad] de un entendimiento real de la estructura de la materia. Me parece mucho mejor admitir nuestra incapacidad actual antes que permanecer satisfechos con una solución que sólo es aparente». Einstein ya no estaba buscando ningún tipo de teoría preliminar.
Qué entendía Einstein por «singularidad» es algo que explicó bastante bien en sus «Notas autobiográficas». Después de señalar que «se ha comprobado que la ley del movimiento no puede (ni debe) postularse independientemente sino que está contenida implícitamente en la ley del campo gravitacional», Einstein (1949 a; Sánchez Ron, ed., 2005: 76-77) explicaba:
La esencia de esta situación, de suyo tan complicada, cabe visualizarla como sigue. Un único punto material en reposo queda representado por un campo gravitacional que es finito y regular en todas partes menos en el lugar donde reside el punto material; el campo tiene allí una singularidad […]. Sin embargo, es posible estipular un movimiento de los puntos materiales de suerte que el campo gravitacional determinado por ellos no se haga nunca singular fuera de los puntos materiales. Estos movimientos son precisamente aquellos que describen en primera aproximación las leyes de Newton. Cabe, por tanto, decir: las masas se mueven de manera que la ecuación del campo en el espacio exterior a las masas no determina en ningún punto singularidades del campo. Esta propiedad de las ecuaciones de la gravitación está íntimamente relacionada con su no-linealidad, la cual viene condicionada a su vez por el grupo de transformaciones más amplio.Incluso limitándose a la «preliminar» relatividad general, Einstein fue capaz de imaginar una forma de tratar el problema de las partículas (la «constitución» de la materia) sin tener que recurrir a la noción de singularidad. Este método apareció en un artículo titulado «El problema de las partículas en la teoría de la relatividad general», que Einstein escribió en colaboración con Nathan Rosen (Einstein y Rosen, 1935b). De hecho, este artículo era, en palabras de Einstein (1936 a, 1981: 290), «el primer intento hacia una elaboración consistente de una teoría de campos , que presenta la posibilidad de explicar las propiedades de la materia». Por consiguiente, se trataba de un proyecto muy ambicioso y sin duda más satisfactorio para Einstein que cualquier otro basado en singularidades.
Cabría hacer, sin embargo, la siguiente observación: si se permiten singularidades en las localizaciones de los puntos materiales, ¿qué justificación existe entonces para prohibir la aparición de singularidades en el espacio restante? La objeción sería válida si las ecuaciones de la gravitación hubiera que contemplarlas como ecuaciones del campo total. Pero, tal y como son las cosas, habrá que decir que el campo de una partícula material podrá contemplarse tanto menos como un campo gravitatorio puro cuanto más se acerque uno a la verdadera localización de la partícula. De tener la ecuación del campo total, habría que exigir que las partículas mismas pudiesen representarse como soluciones de las ecuaciones del campo completas, libres de singularidades en todos los puntos. Sólo entonces sería la teoría general de la relatividad una teoría completa.
La idea del artículo de Einstein y Rosen era la siguiente: primero reescribían la solución de Schwarzschild


La idea de Einstein y Rosen era muy atractiva, pero como el mismo Einstein (1936 a, 1981: 290) reconoció «solamente el examen del problema de varios puentes puede demostrar si este método teórico proporciona o no una explicación de la igualdad, demostrada empíricamente, de las masas de las partículas que se encuentran en la naturaleza y si da cuenta de los hechos que la mecánica cuántica tan maravillosamente ha comprendido».
A la postre este intento —que sería resucitado muchos años después por John A. Wheeler y sus colaboradores con la noción de wormhole (literalmente, «agujero de gusano») — no sobrevivió, al igual que las diferentes teorías unificadas del campo que construyó.
§. Ecuaciones de movimiento en relatividad general
En el capítulo 14, al tratar de la recepción de la relatividad general, mencioné que un discípulo de Hendrik Lorentz, Johannes Droste, se había ocupado, solo y en colaboración con Lorentz, del problema del movimiento en relatividad general y, en una nota, apunté que también lo hicieron otros como De Sitter, Fock y Levi-Civita. Indiqué, asimismo, que Einstein, en colaboración con Leopold Infeld y Banesh Hoffmann se ocupó del mismo problema años después. Ahora es el momento de tratar de ese trabajo.
El desarrollo del problema del movimiento en la teoría de la relatividad general se puede dividir en los siguientes pasos: [299]
- La demostración de que la ecuación de las geodésicas (ecuación de movimiento de una partícula de prueba) se deduce de las ecuaciones del campo de la relatividad general. Al menos, Eddington (1918), el belga Théophile de Donder (1919), Weyl (1919) y Pauli (1921) se dieron cuenta de esta propiedad, aunque aparentemente Einstein y Grommer (1927) creyeron que habían sido ellos los primeros en demostrarlo, creencia que propagó, entre otros Leopold Infeld (1956). [300]
- Establecido este hecho, cabía preguntarse si se podría hacer lo mismo para el caso de dos cuerpos, esto es, si la ecuación de movimiento para este caso también era consecuencia de las ecuaciones del campo de la relatividad general. Según Infeld (1956: 206), Einstein se planteó este problema en 1936. Y lo hizo de la siguiente forma: Supongamos las ecuaciones del campo para el espacio vacío y que la materia esté representada por singularidades de ese campo. Einstein encontró la forma general de las ecuaciones del movimiento para la singularidad número s considerando cuatro integrales de superficie que se anulaban alrededor de esa singularidad s.
El método de Einstein, Infeld y Hoffmann ha sido y continúa siendo hasta la fecha una referencia clásica en los estudios del problema del movimiento en relatividad general. Es necesario insistir, siguiendo a Peter Havas (1989), que esto no significa que la historia de los trabajos sobre ese problema, al igual que el de la deducción de las ecuaciones del movimiento de las ecuaciones del campo, comenzase (o terminase) con Einstein y sus colaboradores. De hecho, resulta que en prácticamente todos sus trabajos en este campo, Einstein se vio adelantado por otros científicos —físicos o matemáticos como Weyl, De Donder, Eddington, Jean Becquerel, Droste, Lorentz, Myron Mathisson, Lanczos o Levi-Civita— y, aunque Einstein (también en algunos casos Infeld) pudo conocer o ciertamente estuvo informado de tales trabajos, no los consideró o los mencionó marginándolos. [302] Sólo quiero señalar que el comportamiento de Einstein (no el de Infeld) no se debe entender como egoísta o traicionero para con sus colegas. Es bien sabido que con frecuencia Einstein prefería seguir su propio camino sin preocuparse mucho de lo que hicieran o publicaran otros. Semejante comportamiento no condujo a ningún problema de prioridades en los casos en los que el genio creador de Einstein brilló a alturas a las que nadie más podía llegar, pero esto no es lo que sucedió con el problema del movimiento, campo en el que hay que considerar a Einstein como un participante más, aunque ciertamente destacado.
Antes de finalizar esta sección y este capítulo, debo decir algo más de lo que ya apunté sobre Leopold Infeld, un personaje ciertamente interesante. [303]

Leopold Infeld.

Einstein, un año antes de su muerte, dirigiéndose a su casa desde el Institute for Advanced Study.
Enfrentado con semejante situación, Infeld pensó en que una solución sería que ambos, Einstein y él, escribieran un libro de divulgación, con el que podría conseguir el dinero necesario para continuar en Princeton. Éste fue el origen de un libro famoso, The Evolution of Physics (Einstein e Infeld, 1938), en el que el concepto de campo constituye el eje de toda la exposición.Infeld permaneció en Princeton hasta 1939, año en que se trasladó a la Universidad de Toronto, donde permaneció hasta 1950, cuando regresó a Polonia, a la Universidad de Varsovia, en la que creó un potente grupo especializado en la teoría de la relatividad general, en el que sobresalieron Jerzy Plebanski y Andrzej Trautman.
§. La leyenda se hace memoria: La muerte de Einstein
Nadie es inmortal, al menos físicamente, que otra cosa es el recuerdo, la «memoria» que pueda dejar. En 1948, los problemas estomacales que Einstein había padecido de antiguo, se agravaron y al final del año tuvo que ser hospitalizado al sufrir fuertes dolores abdominales. En palabras del doctor Julio Montes Santiago (2014: 40-41):
En el otoño de 1948 , por recomendación del [doctor Gustav] Bucky, [Einstein] consultó con Rudolf Nissen en el Hospital Judío de Brooklyn en Nueva York […].Los remedios médicos para ese aneurisma eran en aquella época pocos y malos y Nissen explicó a Einstein tras la operación que el aneurisma podía romperse en cualquier momento.
Nissen, que había sido colaborador del famoso cirujano alemán Theodor Sauerbruch, hasta que tuvo que exiliarse en Turquía y luego en Estados Unidos por su ascendencia judía, era un eminente clínico y cirujano de destreza extraordinaria. Notó durante la exploración dolor en el hipocondrio derecho y una masa pulsátil en el epigastrio. Entonces recomendó una laparotomía exploradora para tratar una posible enfermedad biliar y evaluar la existencia de un aneurisma. Albert Einstein, tras consultar con sus amigos Bucky, [Rudolph] Ehrmann y su médico personal, el doctor Dean, aceptó esta sugerencia y fue ingresado el 13 de diciembre de 1948 e intervenido el 31 de diciembre. Nissen comprobó durante la operación que la vesícula biliar era normal, el hígado algo pequeño y notó varias dilataciones anómalas de las asas intestinales a las que se atribuyeron los dolores. Según la descripción de Nissen y otros presentes, como el doctor Ira Teicher, más tarde profesor de Cirugía en la Universidad Estatal de Nueva York, la aorta estaba calcificada y se descubrió un aneurisma aórtico abdominal que, aunque intacto, presentaba la forma de un pomelo de doce centímetros y que se extendía desde la bifurcación aórtica hasta el diafragma.
El «en cualquier momento» llegó el 18 de abril de 1955, en el Hospital de Princeton. Einstein estaba ocupado entonces en la preparación de un manifiesto junto a Bertrand Russell, con el que querían alertar de los peligros de la proliferación de armamento nuclear. Llegó a firmar ese documento unos días antes de su muerte. Conocido como «El manifiesto de Russell-Einstein», se hizo público el 9 de julio y constituyó la carta fundacional de las Conferencias Pugwash, la primera de las cuales tuvo lugar en julio de 1957 en Londres.

Certificado de defunción de Albert Einstein.
Querido Einstein:
De todas las grandes cosas que he experimentado en este mundo, la sustancia de su vida y su trabajo es la que me afecta de manera más profunda. En unos pocos cientos de años, el hombre de la calle sabrá de nuestra época como el periodo de la guerra mundial, pero la persona cultivada relacionará su nombre con el primer cuarto de este siglo, exactamente igual que hoy ese hombre de la calle recuerda las guerras de Luis XIV a finales del siglo XVII, mientras que la persona cultivada recuerda a Isaac Newton. Análogamente, para cada uno de nosotros lo que quedará será relacionándonos con los grandes acontecimientos de la época y, pienso, que yo no debería dejar de ser mencionado en una biografía suya de suficiente detalle, como su compañero en hacer más o menos perspicaces comentarios sobre los asuntos de la Academia y en beber más o menos buen café juntos. En consecuencia, sirvo a la posteridad y a mi personal conservación en la historia, pidiéndole de todo corazón, en su quincuagésimo cumpleaños, que se cuide y permanezca saludable de manera que pueda continuar bromeando con usted y bebiendo café y silenciosamente envanecerme de ser capaz de contarme entre el grupo que comparte la vida con usted en un más íntimo y personal sentido.
Su amigo, Fritz Haber

Viñeta de Herbert Block publicada en el Washington Postel 19 de abril de 1955.
Einstein fue la voz de la ciencia liberal, el profeta de la razón y la paz, durante una generación. Al final creyó, sin amargura, en lo profundo de su tranquilo y benigno espíritu, que todo había sido en vano. Era un perfecto internacionalista: rompió con la comunidad judía porque odiaba toda clase de separatismos y nacionalismos; a pesar de ello, se vio obligado a ocupar más tarde su puesto como el judío más eminente que existía, como un sionista comprometido. Quería difuminar su personalidad en el mundo de la naturaleza, pero esta personalidad se convirtió en una de las más públicas del siglo, y su rostro —a primera vista el de un bonachón inspirado y beatífico— fue tan popular como el de un artista de cine.Ignoro cómo se veía a sí mismo, pero aunque no nos podemos fiar completamente de cómo nos presentamos a otros, tal vez estaba cerca de lo que escribió en un breve «Autorretrato» que compuso en sus últimos años (Einstein, 1969: 11):
De lo que tiene verdadera importancia en nuestra propia existencia, apenas nos damos cuenta y ciertamente no debería inquietar al prójimo. ¿Qué sabe el pez del agua en que nada durante toda su vida?Años antes, en mayo de 1936, a requerimiento de un editor estadounidense que iba a comenzar las obras para una librería y que deseaba enterrar una caja de metal con mensajes para la posteridad, Einstein escribió unas líneas que aunque no son seguramente muy trascendentes, ni imponentes, ni cargadas de seriedad, dan idea tanto de lo que le preocupaba del futuro como de su sentido del humor y, en este sentido, sirven espléndidamente para acaso caracterizar su verdadera personalidad: [305]
Lo amargo y lo dulce vienen del exterior, lo duro de dentro, de nuestros propios esfuerzos. La mayor parte de las veces, hago lo que mi propia naturaleza me lleva a hacer. Produce rubor ganar por ello tanto respeto y tanto amor. Flechas de odio, también se han disparado contra mí, mas nunca me alcanzaron porque, en cierto modo, pertenecían a otro mundo con el cual no tengo conexión alguna.
Vivo en esa soledad que es penosa en la juventud, pero deliciosa en los años de madurez.
Querida posteridad:La leyenda dice que el Cid Campeador ganó batallas después de muerto. En cierto sentido, algo parecido se puede decir de Albert Einstein, en la medida en que su ciencia ha superado bien el paso del tiempo. Aunque se opuso —ya lo vimos— a la mecánica cuántica, sus contribuciones a esa física ganaron fuerza a lo largo de la segunda mitad del siglo XX y comienzos del siglo XXI: el efecto fotoeléctrico, por supuesto, se esconde detrás de multitud de artilugios con los que nos relacionamos todos los días, pero, también lo he comentado ya, los condensados de Bose-Einstein figuran entre las novedades más apreciadas de la física cuántica de las últimas décadas y, a pesar de que los resultados no fueron en la dirección que Einstein deseaba, las consecuencias de los análisis inspirados en el artículo que firmó con Nathan Rosen y Boris Podolsky han ofrecido nuevas y sorprendentes vías a la física cuántica, las de la no localidad y el entrelazamiento.
Si no has llegado a ser más justa, más pacífica y generalmente más racional de lo que somos (o éramos) nosotros, entonces que el Diablo te lleve.
Habiendo, con todo respeto, manifestado este piadoso deseo, soy (o era), tuyo,
Albert Einstein
Nada hay que decir de la teoría de la relatividad especial, pilar hoy, más que cuando se concibió en 1905, de todo el edificio de la física. Diferente es el caso de la teoría de la relatividad general, puesto que, por mucha que fuera la admiración que suscitaba su original belleza, cuando Einstein murió estaba inmersa en una fase de decadencia. Se encontraba, y siguió encontrándose así durante algún tiempo, en manos de matemáticos que exploraban su estructura, y la mayoría de los físicos eran ajenos a ella. «Trabajé en el campo de la relatividad desde 1937 hasta 1967 —recordaba el muy distinguido matemático francés André Lichnerowicz (1992: 103) en un artículo—; en 1937, la comunidad de relativistas era una extraña mezcla. Existía un pequeño grupo de físicos especializados en ella, amigos o estudiantes de Einstein, tales como W. Pauli, L. Infeld, B. Hoffmann y V. Fock (Unión Soviética), un pequeño grupo de astrónomos especializados, como G. Lemaître, y un pequeño grupo de matemáticos, como T. de Donder y G. Darmois. Sus intereses oscilaban entre la geometría diferencial y la mecánica racional, pasando por la teoría de ecuaciones en derivadas parciales. La comunidad de físicos de entonces, apasionadamente dedicada a la mecánica cuántica, consideraba a los relativistas marginales. Sólo P. Dirac era una excepción».
En la misma publicación, Lichnerowicz (1992: 104) explicaba cómo había llegado a interesarse por la relatividad:
En 1936 y 1937 , después de haber recibido una sólida formación en geometría diferencial de Élie Cartan, siguiendo el consejo de George Darmois y con la anuencia de Cartan, me interesé en la teoría de la relatividad. En 1926 , Darmois había dado un curso de cuatro lecciones en Bélgica sobre «las ecuaciones de la gravitación einsteiniana», en presencia de Donder. La versión publicada (Darmois, 1927), que apareció en la serie Memorial des Sciences Mathématiques , se convirtió en mi lectura de cabecera. En ese libro, aunque tratado en coordenadas gaussianas, que en mi opinión presentaban serios problemas, se encuentra el primer análisis riguroso de la naturaleza hiperbólica de las ecuaciones de Einstein, esto es, el fundamento de la teoría relativista de la gravitación como una teoría de propagación de ondas. Se estudiaba, con un profundo conocimiento, la separación de las ecuaciones de Einstein relativas al problema de Cauchy en dos grupos: uno trataba de las condiciones iniciales y el otro, de la evolución temporal. Una interpretación geométrica de las condiciones de las coordenadas de Donder se conoce ahora como condiciones armónicas.Los problemas que mencionaba aquí Lichnerowicz eran, por supuesto, interesantes y relevantes, pero sobre todo desde el punto de vista de la estructura matemática de la teoría de la relatividad general, no desde el de las posibles consecuencias o contrastaciones experimentales, físicas. De hecho, cabe argumentar que acaso sirvieran más al avance de ciertas ramas de la matemática pura que a la física, aunque indudablemente también sirvieron a ésta. Algo de esto posiblemente tenía en mente el matemático chino-americano Shiing-Shen Chern, considerado uno de los grandes nombres de la geometría diferencial del siglo XX, cuando en una reseña de uno de los libros de Lichnerowicz, Théorie globale des connexions et des groupes d'holonomie (1955), señaló (Chern, 1957: 57): «Este libro, dedicado a la teoría moderna de las conexiones, es muy adecuado al momento actual. La teoría clásica la iniciaron sobre todo Levi-Civita y Schouten, y recibió un amplio desarrollo, en parte, por sus aplicaciones a la teoría general de la relatividad».
Fue entonces cuando comencé a pensar sobre la estructura diferenciable de la variedad espacio-temporal, de manera que pudiese atacar lo que me interesaba: los problemas globales de la relatividad, las claves para la verdadera comprensión de la teoría. En 1939, sintiendo que la guerra estaba cerca, publiqué en la serie Actualités Scientifiques et Industrielles una monografía algo imperfecta titulada Problèmes globaux en mécanique relativiste(Lichnerowicz, 1939 ). Después de haber analizado de manera completa el problema formal de Cauchy para coordenadas locales arbitrarias, di la primera demostración (parcial) de un resultado que habían buscado Einstein y Pauli: un espacio-tiempo exterior estacionario, regular y asintóticamente euclídeo en todos sus puntos, debe ser plano locamente, esto es, sin gravitación. Di una demostración completa de este teorema en 1945 que mereció la felicitación de Pauli.
Aunque la situación comenzó a cambiar precisamente el año de la muerte de Einstein, a raíz de un congreso celebrado en Berna entre el 11 y el 16 de julio de 1955, homenaje a los cincuenta años del nacimiento de la teoría de la relatividad especial, y de otro que tuvo lugar en enero de 1957 en la Universidad de Carolina del Norte, Chapel Hill, los avances no fueron todavía lo suficientemente atractivos como para evitar las opiniones que Richard Feynman escribió a Gweneth, su esposa, mientras participaba en el III Congreso Internacional de Relatividad General, que, presidido por Leopold Infeld, se celebró en Varsovia y Jablona (Polonia), del 25 al 31 de julio de 1962. [306] En su carta a Gweneth, Feynman (2006: 147) decía:
No voy a sacar nada de la reunión, no estoy aprendiendo nada. Este campo no es un campo activo (pues no hay experimentos) y pocos de los mejores hombres están trabajando en él. El resultado es que hay un montón (126 ) de pasmarotes aquí y eso no es bueno para mi tensión. Se dicen y se discuten seriamente cosas inanes —y yo me enzarzo en discusiones fuera de las sesiones formales, por ejemplo en la comida, cuando alguien me hace una pregunta o empieza a hablarme de su «trabajo»—. Siempre es 1) completamente incomprensible, 2) vago e indefinido, 3 ) algo correcto que es obvio y evidente pero calculado mediante un análisis largo y difícil y presentado como un descubrimiento importante, 4 ) una afirmación, basada en la estupidez del autor que dice que algo obvio y correcto, aceptado y comprobado durante años, es de hecho falso (éstos son los peores… ningún argumento convencerá a los idiotas…), 5 ) un intento de hacer algo probablemente imposible, pero con certeza de ninguna utilidad y que, finalmente, se revela, al final falla […] o 6 ) sólo es falso. Hay mucha «actividad en el campo» estos días, pero esta «actividad» consiste principalmente en mostrar que la «actividad» previa de algún otro terminó en un error o en nada útil o en algo prometedor, etcétera, como un montón de gusanos tratando de salir de una botella arrastrándose sobre los demás. No es que la materia sea difícil, es simplemente que los buenos están ocupados en otro lugar. Recuérdame que no vaya a más congresos sobre gravedad.La historia, sin embargo, es difícil de prever, plena como está de cambios inesperados, de acontecimientos, algunos pequeños al principio, semillas de un futuro diferente. En 1962, cuando Feynman asistió, frustrado, al congreso de Polonia, estaba abriéndose una nueva era, dorada para muchos, en la historia de la teoría de la relatividad general: la de los agujeros negros y la de manifestaciones de la teoría en dominios experimentales. A semejante nueva era se ha referido en sus memorias un físico como el célebre Stephen Hawking (2014: 52-53):
Cuando empecé a investigar [1962 ], las dos áreas que parecían más atractivas eran la cosmología y la física de las partículas elementales. Ésta constituía un campo en continuo cambio que atraía a la mayoría de las mentes más privilegiadas, mientras que la cosmología y la relatividad general estaban estancadas en el mismo punto que en la década de 1930 […]. La cosmología y la gravitación eran campos desatendidos que en aquel momento estaban maduros para su desarrollo. A diferencia de las partículas elementales, existía una teoría bien definida —la teoría general de la relatividad—, pero se consideraba de una dificultad imposible. La gente disfrutaba de tal manera tratando de encontrar una solución a las ecuaciones de campo de Einstein que describen la teoría que no se planteaban qué significado tenía esa solución en la física, si es que tenía alguno. Era la vieja escuela de la relatividad general con la que Feynman se había topado en Varsovia. Resulta irónico pensar que aquel congreso de Varsovia también marcó el inicio del renacimiento de la relatividad general, aunque hay que disculpar a Feynman por no detectarlo en su momento.Antes de que los agujeros negros ganasen el interés y la fe de la mayoría de los físicos, de la mano de un espectacular desarrollo de los medios tecnológicos de observación, otros objetos estelares aparecieron en escena, objetos como los cuásares (Schmidt, 1963) o los pulsares (Hewish, Bell, Pilkington, Scott y Collins, 1968), estrellas de neutrones que emiten radiación de forma extremadamente regular, objetos cuyas características, lejanas del mundo newtoniano, obligaron a volver a considerar la relatividad general, hasta que ésta se enquistó en la física «puntera», sola o aliada con los físicos de altas energías, que vieron en los «primeros instantes de vida del Universo» un magnífico escenario para avanzar en su comprensión de la estructura de la materia.
Una generación nueva entró en la disciplina y aparecieron nuevos centros de estudio de la relatividad general.

Albert Einstein por Hans Erni, 1970.

Portada del Time, 31 de diciembre de 1999.

Albert Einstein en 1947, fotografía de Philippe Halsman.
Es difícil comparar la influencia de políticos con la de científicos. Sin embargo, nos damos cuenta de que existen algunas épocas que fueron definidas especialmente por sus políticas, otras por su cultura y otras por sus avances científicos.Una expresión que me recuerda a otra debida a otro científico, esta vez un matemático, Godfrey Harold Hardy, quien en su magnífico y conmovedor libro de 1940 A Mathematician's Apology (La apología de un matemático) escribió (Hardy, 1999: 82): «La matemática griega es permanente, más permanente incluso que la literatura griega. Arquímedes será recordado cuando Esquilo sea olvidado, porque los idiomas mueren y las ideas matemáticas no».
El siglo XVIII, por ejemplo, estuvo marcado claramente por la política: sólo en 1776 , están Thomas Jefferson y Benjamin Franklin escribiendo la Declaración de Independencia, Adam Smith publicando The Wealth of Nations [La riqueza de las naciones] y George Washington dirigiendo las fuerzas revolucionarias. Por otra parte, el siglo XVII, a pesar de líderes tan señalados como Luis XIV y del castillo que nos dejó, será recordado sobre todo por su ciencia: Galileo explorando la gravedad y el Sistema Solar, Descartes desarrollando la filosofía moderna y Newton descubriendo las leyes del movimiento y del cálculo. Y el siglo XVI estará en nuestra memoria por el florecimiento de las artes y la cultura. Miguel Ángel, Leonardo y Shakespeare creando obras maestras, Isabel I dando origen a la era isabelina.
¿Y cómo será recordado el siglo XX? Por su democracia, sí. Y también por los derechos civiles.
Pero el siglo XX será recordado sobre todo, al igual que el XVII, por sus estremecedores avances en ciencia y tecnología. En su extensa historia del siglo XX, Paul Johnson manifiesta: «El genio científico afecta a la humanidad, para bien o para mal, mucho más que cualquier político o señor de la guerra». Albert Einstein fue más expresivo: «La política es para el momento. Una ecuación es para la eternidad».
Pero continuemos con Times y su editorial (p. 32):
Como el mayor pensador del siglo, como un inmigrante que huía de la opresión hacia la libertad, como un idealista político, Einstein engloba de la mejor forma posible lo que los historiadores considerarán significativo acerca del siglo XX. Y como un filósofo con fe tanto en la ciencia como en la belleza de la obra de Dios, personifica el legado que pasará al próximo siglo. Dentro de cien años, cuando entremos en otro siglo —incluso, dentro de diez veces cien años, cuando entremos en un nuevo milenio—, el nombre que demostrará ser más perdurable de nuestra propia asombrosa era será el de Albert Einstein: genio, refugiado político, humanista, descifrador de los misterios del átomo y del Universo.No estoy nada seguro de lo que sucederá dentro de cien años, mucho, infinitamente menos de lo que ocurrirá al cabo de un milenio, pero, como la revista Time, pienso que, efectivamente, Albert Einstein, su obra científica y sus escritos constituyen el mejor o uno de los mejores legados que pueden y deben pasar a la posteridad. Fue un hombre al que bien se le puede aplicar aquella frase que Publio Terencio Africano incluyó en su comedia Heanton Timoroumenos (El enemigo es sí mismo; 165 a. C.): «Homo sum, humani nihil a me alienum puto» («Hombre soy, nada de lo humano me es ajeno»). Lo mostró en la compleja intimidad de su vida privada, en sus preocupaciones sociales —esto es, por «los otros»— y en su interés y su habilidad para desentrañar los fenómenos que tienen lugar en la Naturaleza. Como poco, merece la pena que al menos quienes no estamos aún demasiado alejados de su tiempo, lo recordemos y comprendamos algo de lo que hizo y sintió.
- ABIKO, Seiya (2000), «Einstein's Kyoto address: How I created the theory of relativity», Historical Studies in the hysical and Biological Sciences 31, pp. 1-35.
- ABRAHAM, Max (1902), «Prinzipien der Dynamik des Elektrons», Physikalische Zeitschrift 4, pp. 57-63.; — (1903), «Prinzipien der Dynamik des Elektrons», Annalen der Physik 10, pp. 105-179.; — (1904), «Zur Theorie der Strahlung und des Strahlungsdruckes», Annalen der Physik 14, pp. 236-287.; — (1912), «Relativität und gravitation. Erwiderung auf einer Bemekung des Hrn. A. Einstein», Annalen der Physik 38, pp. 1056-1058.; — (1914), «Die neue Mechanik», Scientia 15, pp. 8-27.
- AICHELBURG, P. C. y SEXL, R. U., eds. (1979), Albert Einstein: His Influence on Physics, Philosophy and Politics (Friedr. Vieweg and Sohn, Braunschweig-Wiesbaden).
- ALLEN, Jack y Misener, Don (1938), «Flow of liquid helium II», Nature 141, p. 75.
- ANDERSON, M. W., ENSHER, J. R., MATTHEWS, M. R., WIEMAN, C. E. y CORNELL, E. A. (1995), «Observation of Bose-Einstein condensation in a dilute atomic vapour», Science 269, pp. 198-201.
- ARAGO, François (1854), Oeuvres de François Arago (Gide et J. Baudry, éditeurs, París).
- Aspect, Alain, Dalibard, Jean y Roger, Gérard (1982), «Experimental test of Bell'sinequalities using time-varying analyzers», Physical Review Letters 49, pp. 1804-1807.
- BADASH, Lawrence, ed. (1969), Rutherford and Boltwood. Letters on Radioactivity (Yale University Press, New Haven).
- BAKKER, G. (1905), «Zur theorie der Kapillarschicht», Annalen der Physik 17, pp. 471-500.
- BARBOUR, Julian B. (1992), «Einstein and the Mach'sprinciple», en Eisenstaedt y Kox, eds. (1992: 125-153).
- BATTERSON, Steve (2006), Pursuit of Genius. Flexner, Einstein, and the Early Faculty at the Institute for Advanced Study (A. K. Peters, Ltd., Wellesley, Mass.).
- BECQUEREL, Henri (1896), «Sur quelques propriétés nouvelles des radiations invisibles émises par divers corps phosphorescents», Comptes rendus de l'Académie des Sciences 122, pp. 559-564 (9 de marzo).
- BECQUEREL, Jean (1922), Le principle de la relativité et la théorie de la gravitation (Gauthier-Villars, París).
- BELL, John S. (1964), «On the Einstein-Podolsky-Rosen paradox», Physics 1, pp. 195-200.; — (1966), «On the problem of hidden variables in quantum mechanics», Reviews of Modern Physics 38, pp. 447-452.; — (1990), Lo decible y lo indecible en mecánica cuántica (Alianza Editorial, Madrid; edición original en inglés de 1987).
- BERGMANN, Peter (1980), «Working with Einstein», en Woolf, ed. (1980: 478-479).
- BEYERCHEN, Alan D. (1977), Scientists under Hitler (Yale University Press, New Haven).
- BIEZUNSKI, Michel (1981), La diffusion de la théorie de la Relativité en France, tesis de doctorado de tercer ciclo (Université Paris VII, París).; — (1989), «Inside the coconut: the Einstein-Cartan discussion on distant parallelism», en Howard y Stachel, eds. (1989: 315-324).
- BIEZUNSKI, Michel, ed. (1989), Albert Einstein. Oeuvres choisies, vol. 4 («Correspondances françaises») (Éditions du Seuil-Éditions du CNRS).
- BIRKHOFF, Garret y BENNETT, M. K. (1988), «Felix Klein and his “Erlanger Programm”», en Spray, W. y Kitcher, P., eds., History and Philosophy of Modern Mathematics (University of Minnesota Press, Minneapolis), pp. 145-176.
- BLACKMORE, John T. (1972), Ernst Mach - His Life, Work, and Influence (University of California Press, Berkeley, Los Ángeles).
- BOHM, David (1952 a), «A suggested interpretation of the quantum theory in terms of “hidden” variables, I», Physical Review 85, pp. 166-179.; — (1952 b), «A suggested interpretation of the quantum theory in terms of “hidden” variables, II», Physical Review 85, pp. 180-193.
- BOHM, David y AHARONOV, Yakir (1957), «Discussion of experimental proof for the paradox of Einstein, Rosen, and Podolsky», Physical Review 108, pp. 1070-1076.
- BOHR, Niels (1935), « ¿Can quantum-mechanical description of physical reality be considered complete?», Physical Review 48, pp. 692-702.; — (1949), «Discussion with Einstein on epistemological problems in atomic physics», en Schilpp, ed. (1949: 201-241).
- BOLTZMANN, Ludwig (1877), «Über die Beziehung zwischen dem zweiten Hauptsatze der mechanischen Wärmetheorie und der Wahr schein lich keit ser chnung respektive den Sätzen über das Wärmegleichgewicht», Sitzungsberichte der Kaiserlichen Akademie der Wissenschaften (Wien) 76, pp. 373-435.
- BORN, Max (1920), Die relativitätstheorie Einsteins und ihre physikalischen Grundlagen gemeinverständlich dargestellt (Julius Springer, Berlín).; — (1922), La teoría de la relatividad de Einstein y sus fundamentos físicos. Exposición elemental (Calpe, Madrid). Traducción al español de Born (1920).; — (1926 a), «Zur Quantenmechanik der Stossvorgänge. (Vorläufige Mitteiling)», Zeitschrift für Physik 37, pp. 863-867.; — (1926 b), «Quantenmechanik der Stossvorgänge», Zeitschrift für Physik 38, pp. 803-827.; — (1956), «Physics and relativity», en Mercier y Kervaire, eds. (1956: 244-260).; — (1978), My Life (Charles Scribner's Sons, Nueva York).; — (2005), The Born-Einstein Letters, 1916-1955(Macmillan, Londres).
- BORN, Max, HEISENBERG, Werner y JORDAN, Pascual (1926), «Zur Quantenmechanik. II», Zeitschrift für Physik 35, pp. 557-615.
- BOSE, Satyendranath (1924), «Plancks Gesetz und Lichtquantenhypothese», Zeitschrift für Physik 26, pp. 178-181.
- BRACE, DeWitt Bristol (1904). «On double refraction in matter moving through the aether», Philosophical Magazine 7, pp. 317-329.
- BREWER y MARTHE K. Smith, Marthe, eds. (1981), Emmy Noether. A Tribute to Her Life and Work (Marcel Dekker, Nueva York).
- BRIDGMAN, Percy W. (1949), «Einstein's theories and the operational point of view», en Schilpp, ed. (1949: 333-354).
- BUCHERER, Alfred H. (1908), «Messungen an Becquerelstrahlen. Die experimentelle Bestättigung der Lorentz-Einsteinschen Theorie», Physikalische Zeitschrift 9, pp. 755-762.; — (1909), «Die experimentelle Bestätingung des Relativitätsprinzip», Annalen der Physik 28, pp. 513-536.
- BUCHWALD, Jed Z. (1981 a), «The abandonment of Maxwellian electrodynamics: Joseph Larmor's theory of the electron», Archives Internationales d'Histoire des Sciences 31, pp. 135-180.; — (1981 b), «The abandonment of Maxwellian electrodynamics: Joseph Larmor's theory of the electron. Part II», Archives Internationales d'Histoiredes Sciences 31, pp. 373-438.; — (1995), From Maxwell to Microphysics (The University of Chicago Press, Chicago).
- Cabrera, Blas (1923), «Discurso», en Discursos pronunciados en la sesión solemne que se dignó presidir S. M. el Rey el día 4 de marzo de 1923, celebrada para hacer entrega del diploma de académico corresponsal al profesor Alberto Einstein (Real Academia de Ciencias Exactas, Físicas y Naturales, Madrid), pp. pp. 7-15.
- CALAPRICE, Alice, ed. (1996), The Quotable Einstein (Princeton University Press, Princeton 1996).
- CAMPBELL, Norman Robert (1907), Modern Electrical Theory (Cambridge University Press). Segunda edición de 1913.; — (1910), «The aether», Philosophical Magazine 19, pp. 181-191.; — (1913), Modern Electrical Theory (Cambridge University Press), segunda edición.
- CARMICHAEL, Robert D. (1912), «On the theory of relativity: analysis of the postulates», Physical Review 35, pp. 153-176.; — (1913 a), The Theory of Relativity (John Wiley and Sons, Nueva York).; — (1913 b), «On the theory of relativity: mass, force and energy», Physical Review 1, pp. 161-178.
- CARNAP, Rudolf (1963), «Intellectual autobiography», en Schilpp, Paul A., ed., The Philosophy of Rudolf Carnap (Open Court, La Salle, Ill.), pp. 1-84.
- CARR, Wildon H., NUNN, T. P., WHITEHEAD, A. N. y WRINCH, Dorothy (1922), «Discussion: The idealistic interpretation of Einstein's theory», Proceedings of the Aristotelian Society 22, pp. 123-138.
- CARTAN, Élie (1922), «Sur une géneralisation de la notion de courbure de Riemann et les espaces à torsion», Comptes rendus de l'Académie des Sciences 174, pp. 593-595.; — (1923) y «Sur les variétés à conexión affine et la théorie de la relativité généralisée», Annales de l'ÉcoleNormale 40, pp. 325-412.
- CHERN, Shiing-Shen (1957), «Review of Théorie globale des connexions et des groupes d'holonomie», Bulletin of the American Mathematical Society 63, pp. 57-59.
- CHRISTOFFEL, Elwin B. (1869), «Über die Transformation der homogenen Differentialausdrücke zweiten Grades», Journal für die reine and angewandte Mathemarik 70, pp. 46-70, 241-245.
- CHWOLSON, Orest (1924), «Über eine mögliche Form fiktiver Doppelsterne», Astronomische Nachrichten 221, pp. 329-330.
- CLARK, Ronald W. (1972), Einstein. The Life and Times (Avon. Publ., Nueva York).
- CLAUSER, John F., HORNE, Michael A., SHIMONY, Abner y HOLT, Richard A. (1969), «Proposed experiment to test local hidden-variable theories», Physical Review Letters 23, pp. 880-884.
- CORRY, Leo (2004), David Hilbert and the Axiomatization of Physics (1898-1918) (Kluwer, Dordrecht).
- CORRY, Leo, RENN, Jürgen y STACHEL, John (1997), «Belated decision in the Hilbert-Einstein priority dispute», Science 278, pp. 1270-1273.
- COURANT, Richard (1925), «Felix Klein», Jahresbericht der Deutschen Mathematiker Vereiningung 34, pp. 197-213. CPAE (1987), The Collected Papers of Albert Einstein, vol. 1 («The Early Years, 1879-1902»), Stachel, John, ed. (Princeton University Press, Princeton).; — (1989), The Collected Papers of Albert Einstein, vol. 2 («The Swiss Years: Writings, 1900-1909»), Stachel, John, ed. (Princeton University Press, Princeton).; — (1993), The Collected Papers of Albert Einstein, vol. 5 («The Swiss Years. Correspondence, 1902-1914»), Klein, Martin J., Kox, Anne J. y Schulmann, Robert, eds. (Princeton University Press, Princeton).; — (1996), The Collected Papers of Albert Einstein, vol. 6 («The Berlin Years. Writings, 1914-1917»), Kox, Anne J., Klein, Martin J., y Schulmann, Robert, eds. (Princeton University Press, Princeton).; — (1998 a), The Collected Papers of Albert Einstein, vol. 8, parte A («The Berlin Years: Correspondance 1914-1917»), Schulmann, Robert, Kox, Anne J., Janssen, Michel e Illy, József, eds. (Princeton University Press, Princeton).; — (1998 b), The Collected Papers of Albert Einstein, vol. 8, parte B («The Berlin Years: Correspondance 1918»), Schulmann, Robert, Kox, Anne J., Janssen, Michel e Illy, József, eds. (Princeton University Press, Princeton).; — (2002), The Collected Papers of Albert Einstein, vol. 7 («The Berlin Years: Writings 1918-1921»), Janssen, Michel, Schulmann, Robert, Illy, József, Lehner, Christophe y Buchwald, Diana Kormos, eds. (Princeton University Press, Princeton).; — (2004), The Collected Papers of Albert Einstein, vol. 9 («The Berlin Years: Correspondence, January 1919 April 1920»), Buchwald, Diana Kormos, Schulmann, Robert, Illy, József, Kennefick, Daniel J. y Sauer, Tilman, eds. (Princeton University Press, Princeton).; — (2009), The Collected Papers of Albert Einstein, vol. 12 («The Berlin Years: Correspondence, January-December 1921»), Buchwald, Diana Kormos, Rosenkrafz, Ze'ev, Sauer, Tilman e Illy, József, eds. (Princeton University Press, Princeton).; — (2012), The Collected Papers of Albert Einstein, vol. 13 («The Berlin Years: Writings and Correspondence, January 1922-March 1923»), Buchwald, Diana Kormos, Illy, József, Rosenkrafz, Ze'ev y Sauer, Tilman, eds. (Princeton University Press, Princeton).; — (2015), The Collected Papers of Albert Einstein, vol. 14 («The Berlin Years: Writings and Correspondence, April 1923-May 1925»), Buchwald, Diana Kormos, Illy, József, Rosenkrafz, Ze'ev, Sauer, Tilman y Moses, Osk, eds. (Princeton University Press, Princeton).
- CRAWFORD, Elisabeth, HEILBRON, John L. y ULLRICH, Rebecca, eds. (1987), The Nobel Population, 1901-1937. A Census of the Nominators and Nominees for the Prizes in Physics and Chemistry (Office for History of Science and Technology, University of California, Berkeley).
- CRELINSTEN, Jeffrey (1980), «Einstein relativity, and the press. The myth of incomprenhensibility», The Physics Teacher (febrero), pp. 115-122.; — (2006), Einstein's Jury. The Race to Test Relativity (Princeton University Press, Princeton).
- CROOKES WILLIAM (1899), «Presidential address», en Report of the Sixty-Eight Meeting of the British Association for the Advancement of Science held at Bristol in September 1898(John Murray, Londres), pp. 3-38.
- CUNNINGHAM, Ebenezer (1907), «On the electromagnetic mass of a moving electron», Philosophical Magazine 14, pp. 538-547.; — (1914), The Principle of Relativity (Cambridge University Press, Cambridge).
- CUVAJ, Camillo (1970), A History of Relativity. The Role of Henri Poincaré and Paul Langevin, Ph.D. dissertation (Yeshiva University).
- DAMOUR, Thibauldt y SCHÄFER, Gerhard (1992), «Levi-Civita and the general-relativisitic problema of motion», en Eisenstaedt y Kox, eds. (1992: 393-399).
- DARBOUX, Gaston (1952), «Éloge historique d'Henri Poincaré», en Oeuvres de Henri Poincaré, vol. II (Gauthier-Villars, París), pp. LVII-LXXI.
- DARRIGOL, Olivier (1994), «The electron theories of Larmor and Lorentz: A comparative study», Historical Studies in the Physical and Biological Sciences 24, pp. 265-336.
- DAVIS, William R., ed. (1998), Cornelius Lanczos Collected Published Papers with Commentaries, 6 vols. (North Carolina State University, Raleigh).
- DAVIS, K. B., MEWES, M.-O, ANDREWS, M. R., VAN DRUTEN, N. J., DURFEE, D. S., KURN, D. M. y KETTERLE, W. (1995), «Bose-condensation in a gas of Sodium atoms», Physical Review Letters 75, pp. 3969-3973.
- DEBEVER, Robert, ed. (1979), Elie Cartan-Albert Einstein. Letters on Absolute Parallelism, 1929-1932 (Princeton University Press, Princeton).
- DE BROGLIE, Louis (1924), Recherche sur la théorie des quanta. Thèses presentées à la Faculté des Sciences de l'Université de Paris pour obtenir le grade de docteur des sciences physiques par Louis de Broglie; première thèse: Recherche sur la théorie des quanta; deuxième thèse: Propositions données par la Faculté, soutenues le 25 Novembre devant la Commission d'éxamen: J. Perrin, Président, E. Cartan, Ch. Manguin, P. Langevin, Examinateurs (Masson, París). Publicada en De Broglie (1925).; — (1925), «Recherche sur la théorie des quanta», Annales de Physique 3, pp. 22-128.
- DE DONDER, Théophile (1919), «La Gravifique. 2e communication», Académie Royale de Belgique. Classe de Sciences. Bulletin, pp. 317-325.
- DESCARTES, René (1995), Los principios de la filosofía (Alianza Editorial, Madrid; escrita en 1644).
- DE SITTER, Willen (1916 a), «On Einstein's theory of gravitation and its astronomical consequences», Monthly Notices of the Royal Astronomical Society 76, pp. 699-728.; — (1916 b), «On Einstein's theory of gravitation and its astronomical consequences. Second paper», Monthly Notices of the Royal Astronomical Society 77, pp. 155-184, 481.; — (1917), «On Einstein's theory of gravitation and its astronomical consequences. Third paper», Monthly Notices of the Royal Astronomical Society 78, pp. 3-28.
- DICK, Auguste (1981), Emmy Noether, 1882-1935(Birkhauser, Boston).
- DIEUDONNÉ, Jean (1970-1980), «Poincaré, Jules Henry», en Dictionary of Scientific Biography, vol. 11, pp. 51-61 (Charles Scribner's Sons, Nueva York).; — (1991), «Préface», en Klein (1991: IX-XIV).
- DIRAC, Paul A. M. (1928), «The quantum theory of the electron», Proceedings of the Royal Society A 117, pp. 610-624.
- DOUGLAS, A. Vibert (1956), The Life of Arthur Eddington (Thomas Nelson and Sons, Londres).
- DROSTE, Johannes (1916), «Het van een enkel centrum in Einstein's theorie der zwaartekracht en de beweging van een stoffelijk punt in dat veld», Verhanlungen Koninklijke Akademie van Wetenschappen te Amsterdam 25, pp. 163-180.
- DUKAS, Helen y HOFFMANN, Banesh, eds. (1979), Albert Einstein. The Human Side (Princeton University Press, Princeton).
- DUMAS, Jean-Baptiste-André (1861), «Sobre los descubrimientos de MM. Bunsen y Kirchhoff», Revista de los Progresos de las Ciencias Exactas, Físicas y Naturales 11, pp. 481-485. Publicado inicialmente enCosmos, 1 de noviembre de 1861.
- DYSON, Frank, EDDINGTON, Arthur S. y DAVIDSON, Charles R. (1920), «A determination of the deflection of light by the Sun'sgravitational field, from observations made at the yotal eclipse of May 29, 1919», Philosophical Transactions of the Royal Society of London A 220, pp. 291-333.
- DYSON, Freeman J. (1994 a), De Eros a Gaia (Tusquets, Barcelona; primera edición en inglés de 1992).; — (1994 b), «Helen Dukas», en Dyson (1994 a: 321-324).; — (2015 a), Birds and Frogs. Selected Papers, 1990-2014 (World Scientific, Singapur).; — (2015 b), «James Bradley, the inventor of modern science», en Dyson (2015 a: 114-118).
- Earman, John y Glymour, Clark (1980), «Relativity and eclipses: The British eclipse expeditions of 1919 and their predecessors», Historical Studies in the Physical Sciences 11, pp. 49-85.
- EARMAN, John, JANSSEN, M. y NORTON, John D., eds. (1993), The Atraction of Gravitation (Birkhäuser, Boston). ECKERT, Michael (2013), Arnold Sommerfeld. Science, Life and Turbulent Times, 1868-1951(Springer, Nueva York).
- EDDINGTON, Arthur S. (1916), «The kinetic energy of a star cluster», Monthly Notices of the Royal Astronomical Society 76, pp. 525-528.; — (1917), «Einstein's theory of gravitation», Monthly Notices of the Royal Astronomical Society 77, pp. 377-382.; — (1918), Report on the Relativity Theory of Gravitation (Fleetway Press, Londres).; — (1920), Space, Time and Gravitation (Cambridge University Press, Cambridge).; — (1921), «A generalization of Weyl's theory of the electro-magnetic and gravitational fields», Proceedings of the Royal Society A 99, pp. 104-122.; — (1923), The Mathematical Theory of Relativity (Cambridge University Press, Cambridge).; — (1938), «Forty Years of Astronomy», en Needham, Joseph & Pagel, Walter, eds., Background to Modern Science (Cambridge University Press, Cambridge).; — (1942/4), «Joseph Larmor, 1857-1942», Obituary Notices of Fellows of the Royal Society 4, pp. 197-207.; — (1945), «Cuarenta años de Astronomía», en Needham, Joseph & Pagel, Walter, eds., Fundamentos de la ciencia moderna (Ediciones Lauro, Barcelona), pp. 97-116. Traducción de Eddington (1938).
- EHRENFEST, Paul (1906), «Zur Stabilitätsfrage bei den Bucherer-Langevin-Elektronen», Physikalische Zeitschrift 7, pp. 302-303.; — (1907), «Die Translation deformierbarer Elektronen und der Flächensatz», Annalen der Physik 23, pp. 204-205.
- EINSTEIN, Albert (1901), «Folgerungen aus den Capilla ritätserscheinungen», Annalen der Physik 4, pp. 513-523.; — (1902 a), «Über die thermodynamische Theorie der Potentialdifferenz zwischen Metallen und volständig dissoziierten Lösungen iher Salze, und eine elektrische Methode zur Erforschung der Molekularkräfte», Annalen der Physik 8, pp. 798-814.; — (1902 b), «Kinetische Theorie des Wärmegleichgewichtes und des zweiten Hauptsatzes», Annalen der Physik 9, pp. 417-433.; — (1903), «Eine Theorie der Grundlagen der Thermodynamik», Annalen der Physik 11, pp. 170-187.; — (1904), «Zur allgemeinen molekularen Theorie der Wärme», Annalen der Physik 14, pp. 354-362.; — (1905 a), «Über einen die Erzeugung und Verwandlung des Lichtes betreffenden heuristischen Gesichtspunkt», Annalen der Physik 17, pp. 132-148.; — (1905 b), «Über die von der molekularkinetischen Theorie der Wärme geforderte Bewegung von in ruhenden Flüssigkeiten suspendierten Teilchen», Annalen der Physik 17, pp. 549-560.; — (1905 c), «Zur Elektrodynamik bewegter Körper», Annalen der Physik 17, pp. 891-921.; — (1905 d), «Ist die Trägheit eines Körpers von seinem Energieinhalt abhängig?», Annalen der Physik 18, pp. 639-641.; — (1905 e), Eine neue Bestimmung der Moleküldimensionen (Buchdruckerei K. J. Wyss, Berna).; — (1906), «Eine neue Bestimmung der Moleküldimensionen», Annalen der Physik 19, pp. 289-305.; — (1907 a), «Bemerkungen zu der Notiz von Hrn. Paul Ehrenfest “Die Translation deformierbarer Elektronen und der Flächensatz”», Annalen der Physik 23, pp. 206-208.; — (1907 b), «Über das Relativitätsprinzip und die aus demselben gezogenen Folgerungen», Jahrbuch der Radioaktivität und Elektronik 4, pp. 411-462.; — (1907 c), «Die Plancksche Theorie der Strahlung und die Theorie der spezifische Wärme», Annalen der Physik 22, pp. 180-190.; — (1909 a), «Zum gegenwärtigen Stand des Strahlungs-problems», Physikalische Zeitschrift 10, pp. 185-193.; — (1909 b), «Über die Entwickelung unserer Anschauungen über das Wesen und die Konstitution der Strahlung», Deutsche Physkalische Gesellschaft, Verhandlungen 7, pp. 482-500; también en Physikalische Zeitschrift 10, pp. 817-826.; — (1911), «Die Relativitäts-Theorie», Naturforschende Gesellschat in Zurich. Vierteljahrsschrift 56, pp. 1-14.; — (1912 a), «Lichtgeschwindigkeit und Statik des Gravitationsfeldes», Annalen der Physik 38, pp. 355-369.; — (1912 b), «Zur Theorie des statischen Gravitantionsfeldes», Annalen der Physik 38, pp. 443-458.; — (1912 c), «Relativität und gravitation. Erwiderung auf einer Bemekung des Hrn. M. Abraham», Annalen der Physik 38, pp. 1059-1064.; — (1913 a), «Zum gegenwärtigen Stande des Gravitationsproblems», Physikalische Zeitschrift 14, pp. 1249-1262.; — (1913 b),«Gravitationstheorie», Schweizerische Naturforschende Gesselschaft. Verhandlungen 96, pp. 137-138.; — (1915 a), «Zur allgemeinen Relativitätstheorie», Königlich Preussische Akademie der Wissenschaften (Berlin). Sitzungsberichte, pp. 778-786.; — (1915 b), «Zur allgemeinen Relativitätstheorie (Nachtrag)», Königlich Preussische Akademie der Wissenschaften (Berlin). Sitzungsberichte, pp. 779-801.; — (1915 c), «Erklärung der Perihelbewegung des Merkur aus der allgemeinen Relativitätstheorie», Königlich Preussische Akademie der Wissenschaften (Berlin). Sitzungsberichte, pp. 831-839.; — (1915 d), «Die Feldgleichungen der Gravitation», Königlich Preussische Akademie der Wissenschaften (Berlin). Sitzungsberichte, pp. 844-847.; — (1916 a), «Die Grundlage der allgemeinen Relativitätstheorie», Annalen der Physik 49, pp. 769-822.; — (1916 b), «Strahlungs —Emission und -Absorption nach der Quantentheorie», Deutsche Physikalische Gesellschaft. Verhandlungen 18, pp. 318-323.; — (1916 c), «Zur Quantentheorie der Strahlung», Physikalische Gesellschaft Zürich. Mitteilung 18, pp. 47-62; también publicado enPhysikalische Zeitschrift 18, pp. 121-128 (1917).; — (1916 d), «Näherungsweise Integraton der Feldgleichungen der Gravitation», Königlich Preussische Akademie der Wissenschaften (Berlin). Sitzungsberichte, pp. 688-696.; — (1916 e), «Ernst Mach», Physikalische Zeitschrift 17, pp. 101-104.; — (1917 a), «Kosmologische Betrachtungen zur allgemeinen Relativitätstheorie», Königlich Preussische Akademie der Wissenschaften (Berlin). Sitzungsberichte, pp. 142-152.; — (1917 b), Über die spezielle und die allgemeine Relativitätsteorie (Drunck und Verlag von Friedr. Vieweg & Sohn, Braunschweig),; — (1918 a), «Motive des Forschens», en Zu Max Plancks sechzigstem Geburstag. Asprachen, gehalten am 26. April 1918 in der Deutschen Phyikalischen Gesellschaft von E. Warburg, M. V. Laue, A. Sommerfeld und A. Einstein (C. F. MüllerscheHofbuchhanlung, Karlsruhe), pp. 29-32.; — (1918 b), «Über gravitationswellen», Königlich Preussische Akademie der Wissenschaften (Berlin). Sitzungsberichte, parte I, pp. 154-167 (1918).; — (1919 a), «Time, space, and gravitation», The Times(Londres), 28 de noviembre, pp. 13-14.; — (1919 b), «Spielen Gravitationsfelder im Aufbau der materiellen Elementarteilchen eine wesentliche Rolle?», Königlich Preussische Akademie der Wissenschaften (Berlin). Sitzungsberichte, pp. 349-356.; — (1920), «Meine Antwort. Über die anti-relativitätstheoretische G. m. b. H»., Berliner Tageblatt, ser. 49, n.º 402 (27 de agosto), p. 1.; — (1922), Vier Vorlesungen über Relativitätstheorie (Druck und Verlag von Friedr. Vieweg & SohnAkt.-Ges., Braunschweig).; — (1923 a), «Zur allgemeinen Relativitätstheorie», Königlich Preussische Akademie der Wissenschaften (Berlin). Sitzungsberichte, pp. 32-38, 76-77.; — (1923 b), «Zur affinen Feldtheorie», Königlich Preussische Akademie der Wissenschaften (Berlin). Sitzungsberichte, pp. 137-140.; — (1923 c), Grundgedanken und problema der Relativitätstheorie (Imprimerie Royale, Estocolmo).; — (1924), «Quantentheorie des einatomigen idealen Gases», Königlich Preussische Akademie der Wissenschaften (Berlin). Sitzungsberichte, pp. 261-267.; — (1925), «Quantentheorie des einatomigen idealen gases. 2. Abhandlung», Königlich Preussische Akademie der Wissenschaften (Berlin). Sitzungsberichte, pp. 3-14.; — (1927 a), «Newtons Mechanik und ihr Einfluss auf die Gestaltung der theoretischen», Naturwissenschaften 15, pp. 273-276. Traducción al español en Sánchez Ron, ed. (2005: 87-95).; — (1927 b), «Zu Kaluzas Theorie des Zusammenhangs von Gravitation und Elektrizität. Erste Mitteilung», Königlich Preussische Akademie der Wissenschaften (Berlin). Sitzungsberichte, pp. 23-25.; — (1927 c), «Zu Kaluzas Theorie des Zusammenhangs von Gravitation und Elektrizität. Zeite Mitteilung», Königlich Preussische Akademie der Wissenschaften (Berlin). Sitzungsberichte, pp. 26-30.; — (1928 a), «H. A. Lorentz», Mathematisch-naturwissenschaftliche Blätter 22, pp. 24-25. Traducción al castellano en Sánchez Ron, ed. (2005: 101-103).; — (1928 b), «Riemann-Geometrie mit Aufrechterhaltung des Begriffes des Fernparallelismus», Königlich Preussische Akademie der Wissenschaften (Berlin). Sitzungsberichte, pp. 217-221.; — (1928 c), «Neue Möglichkeit für eine einheitliche Feld-theorie von Gravitation und elektrizität», Königlich Preussische Akademie der Wissenschaften (Berlin). Sitzungsberichte, pp. 224-227.; — (1931 a), «Maxwell'sinfluence on the development on the conception of physical reality», en James Clerk Maxwell. A Commemoration Volume (Cambridge University Press, Cambridge), pp. 66-73. Traducción al español en Sánchez Ron, ed. (2005: 96-100).; — (1931 b), About Zionism (Macmillan, Nueva York).; — (1933), On the Method of Theoretical Physics (Clarendon Press, Oxford). Versión al español en Einstein (1981: 242-247); cita en pp. 245-246.; — (1934), «Nachruf auf Paul Ehrenfest», Almanak van het Leidensche Studentencorps.; — (1936 a), «Physik und Realität», Journal of the Franklin Institute 221, pp. 313-347 y (versión en inglés) pp. 349-382. Traducción al español en Einstein (1981: 261-291).; — (1936 b), «Lense-like action of a star by deviation of light in the gravitational field», Science 84, pp. 506-507.; — (1940), «Considerations concerning the fundamentals of theoretical physics», Science 91, pp. 487-492.; — (1949 a), Autobiographisches/Autobiographical Notes, en Schilpp, ed. (1949: 2-94). Traducción al español en Sánchez Ron, ed. (2005: 43-83).; — (1949 b), «Remarks concerning the essays brought together in this cooperative volumen», en Schilpp, ed. (1949: 665-688).; — (1949 c), «Why socialism?», Monthly Review I, nº 1 (mayo), pp. 9-15.; — (1950 a), «On the generalized theory of gravitation», Scientific American 182 (abril), pp. 13-17.; — (1950 b), The Meaning of Relativity, cuarta edición (Princeton University Press).; — (1956 a), Lettres a Maurice Solovine (Gauthier-Villars, París).; — (1956 b),«Autobiographische Skizze», en Seelig, ed. (1956: 9-16).; — (1967), The Meaning of Relativity (Princeton University Press). Reedición de Einstein (1950 b).; — (1969), De mis últimos años (Aguilar, México).; — (1981), Mis ideas y opiniones (Antoni Bosch. Barcelona).
- EINSTEIN, Albert y BARGMANN, Valentin (1944), «Bivector fiels», Annals of Mathematics 45, pp. 1-14.
- EINSTEIN, Albert y BERGMANN, Peter (1938), «On a generalisation of Kaluza'stheory of electricity», Annals of Mathematics 39, pp. 683-701.
- EINSTEIN, Albert y FOKKER, Adriaan D. (1914), «Die Nordströmsche Gravitationstheorie vom Standpunkt des absoluten Differentialkalküls», Annalen der Physik 44, pp. 321-328.
- EINSTEIN, Albert y GROMMER, Jakob (1923), «Beweis der Nichtexistenz eines überall regulären zentrisch symmetrischen Feldes nach der Feld-Theorie von Th. Kaluza», Scripta Universitatis Atque Bibliothecae Hierosolymitanarum, pp. 1-5.; — (1927), «Allgemeine Relativitätstheorie und Bewegungsgesetz»,Königlich Preussische Akademie der Wissenschaften (Berlin). Sitzungsberichte, pp. 2-13.
- EINSTEIN, Albert y GROSSMANN, Marcel (1913), Entwurf einer Verallgemeinerten Relativitätstheorie und einer Theorie der Gravitation(Teubner, Leipzig).
- EINSTEIN, Albert y HAAS, Wander J. (1915 a), «Experimenteller Nachweis derAmpèreschen Molekularströme», Deutsche Physikalische Gesellschaft, Verhandlungen 17, pp. 152-170, 203.; — (1915 b), «Experimenteller Nachweis der Ampèreschen Molekularströme», Naturwissenschaften 3, pp. 237-238.
- EINSTEIN, Albert y INFELD, Leopold (1938), The Evolution of Physics (Simon and Schuster, Nueva York).; — (1940), «Gravitational equations and the problem of motion II», Annals of Mathematics 41, pp. 455-464.; — (1949), «On the motion of particles in general relativity theory», Canadian Journal of Mathematics 3, pp. 209-241.
- EINSTEIN, Albert, INFELD, Leopold y HOFFMANN, Banesh (1938), «Gravitational equations and the problem of motion», Annals of Mathematics 39, pp. 65-100.
- EINSTEIN, Albert y KAUFMAN, Bruria (1954), «Algebraic properties of the field in the relativistic theory of the asymmetric fields», Annals of Mathematics 59, pp. 230-244.; — (1955), «A new form of the general relativistic field equations», Annals of Mathematics 62, pp. 128-138.
- EINSTEIN, Albert y LAUB, Jakob (1908 a), «Über die elektromagnetischen Grundgleichungen für bewegte Körper», Annalen der Physik 26, pp. 532-540.; — (1908 b), «Über die elektromagnetischen Felde auf ruhende Körper ausgeübten ponderomotrischen Kräfte», Annalen der Physik 26, pp. 541-550.
- EINSTEIN, Albert y MAYER, Walther (1930), «Zwei strenge statische lösungen der feldgleichungen der einheitlichen feldtheorie», Königlich Preussische Akademie der Wissenschaften (Berlin). Sitzungsberichte, pp. 110-120.; — (1931 a), «Systematische untersuchung über kompatible feldgleichungen welche in einem Riemannschen raume mit fern-parallelismus gesetzt warden könen», Königlich Preussische Akademie der Wissenschaften (Berlin). Sitzungsberichte, pp. 257-265.; — (1931 b), «Einheitliche theorie von gravitation und elektrizität», Königlich Preussische Akademie der Wissenschaften (Berlin). Sitzungsberichte, pp. 541-557.
- EINSTEIN, Albert, PODOLSKY, Boris y ROSEN, Nathan (1935 a), «Can quantum mechanical description of physical reality be considered complete?», Physical Review 47, pp. 777-780.
- EINSTEIN, Albert y ROSEN, Nathan (1935 b), «The particle problem in the general theroy of relativity», Physical Review 48, pp. 73-77.; — (1937), «On gravitational waves», Journal of the Franklin Institute 223, pp. 43-54.
- EINSTEIN, Albert y STRAUS, Ernst G. (1945 a), «Generalization of the relativistic theory of gravitation», Annals of Mathematics 47, pp. 731-741.; — (1945 b), «Influence of the expansion of space on the gravitational fields surrounding the individual stars», Reviews of Modern Physics 17, pp. 120-124.
- EISENHART, Luther P. (1909), A Treatise on the Differential Geometry of Curves and Surfaces (Ginn and Co., Boston).; — (1926), Riemannian Geometry (Princeton University Press, Princeton).; — (1927), Non-Riemannian Geometry (American Mathematical Society Colloquium Publications, Nueva York).
- EISENSTAEDT, Jean (1982), «Histoire et singularités de la solution de Schwarzschild (1915-1923)», Archive for History of Exact Sciences 27, pp. 157-198.
- EISENSTAEDT, Jean y KOX, Anne J., eds. (1992), Studies in the History of General Relativity(Birkhäuser, Boston).
- EISINGER, Josef (2011), Einstein on the Road (Prometheus Books, Amherst, Nueva York).
- ELKANA, Yehuda y OPHIR, Adi, eds. (1979), Einstein 1879-1979 (Jewish National and University Library, The Hebrew University of Jerusalem, Jerusalén).
- ELZINGA, Aant (2006), Einstein's Nobel Prize. A Glimpse Behind Closed Doors. The Archival Evidence (Science History Publications, Sagamore Beach).
- FERREIRÓS, José (2000), «La multidimensional obra de Riemann: Estudio introductorio», en Riemann (2000 a: IX-CLVII).
- FEYNMAN, Richard P. (1953), «Atomic theory and the lambda transition in liquid helium», Physical Review 91, pp. 1291-1301.; — (1954 a), «Atomic theory of the two fluid model of liquid helium», Physical Review 94, pp. 262-277.; — (1954 b), «Application of quantum mechanics to liquid helium», Progress in Low Temperature Physics, vol. I, Ámsterdam, North-Holland, pp. 17-53.; — (2006), ¡Ojalá lo supiera! (Crítica, Barcelona; edición original en inglés de 2005).
- FITZGERALD, George F. (1879 a), «On the electromagnetic theory of the reflection and refraction of light», Proceedings of the Royal Society. Reproducido en Larmor, ed. (1902: 41-44).; — (1880), «On the electromagnetic theory of the reflection and refraction of light», Philosophical Transactions of the Royal Society of London. Reproducido en Larmor, ed. (1902: 45-73).; — (1879 b), «On the possibility of originating wave disturbances in the ether by means of electric forces», Scientific Transactions of the Royal Dublin Society. Reproducido en Larmor, ed. (1902: 90-92).; — (1882), «On the possibility of originating wave disturbances in the ether by means of electric forces, Parts II», Scientific Transactions of the Royal Dublin Society. Reproducido en Larmor, ed. (1902: 93-98; correcciones en 99-101).; — (1889), «The Ether and the Earth's atmosphere», Science 13, p. 390.; — (1900), «The applications of science: a lesson from the nineteenth century», Proceedings of the Institute of Electrical Engineers. Reproducido en Larmor, ed. (1902: 487-499).
- FLÜCKIGER, Max (1974), Albert Einstein in Bern (Verlag Paul Haupt, Berna).
- FOKKER, Adriaan D. (1920), «De geodetische precessie; een uitvloeisel van Einstein's gravitatietheorie», Ver han lungen Koninklijke Akademie van Wetenschappen te Amsterdam 29, pp. 611-621.
- FÖLSING, Albrecht (1997), Albert Einstein, a Biography (Viking, Nueva York).
- FORMAN, Paul (1973), «Scientific internationalism and the Weimar physicists: the ideology and its manipulation in Germany after World War I», Isis 64, pp. 151-181.
- FRANK, Philipp (1908), «Das Relativitätsprinzip der Mechanik und die Gleichungen für die elektromagnetischen Vorgänge in bewegten Körpern», Annale der Physik 27, pp. 897-902.; — (1949), Einstein (José Janés, Barcelona; edición original de 1947).
- FRANK, Philipp y ROTHE, Hermann (1911), «Über die transformation der Raumkoordinaten von ruhenden auf bewegte Systeme», Annalen der Physik 34, pp. 825-855.
- FREI, G. (1984), «Felix Klein (1849-1925). A biographical sketch», Jahrbuch Überblicke Mathematik, pp. 229-254.
- FRESNEL, Agustin (1818), «Lettre d'Augustin Fresnel à François Arago sur l'influence du mouvement terrestre dans quelques phénomènes d'optique», Annales de Chimie et de Physique 9, pp. 57-66. Reproducido en Senarmont, Verdet y Fresnel, Léonor, eds. (1868: 627-639).
- FRIEDMANN, Alexander (1922), «Über die Krümmung des Raumes», Zeitschrift für Physik10, pp. 377-386.
- FRÖHLICH, Elio (2000), «Epílogo», en Seelig (2000).
- GALISON, Peter (1979), «Minkowski's Space-Time: from visual thinking to the Absolute World», Historical Studies in the Physical Sciences 10, pp. 85-121.; — (2005), Relojes de Einstein, mapas de Poincaré(Crítica, Barcelona; edición original en inglés de 2003).
- GAMOW, George (1970), My World Line. An Informal Autobiography (The Viking Press, Nueva York).
- GIEDYMIN, Jerzy (1982), Science and Convention (Pergamon Press, Oxford).
- GINOUX, Jean-Marc y GERINI, Christian (2014), Henri Poincaré. A Biography through the Daily Press (World Scientific, Singapur).
- GLICK, Thomas F. (1986), Einstein y los españoles. Ciencia y sociedad en la España de entreguerras (Alianza, Madrid).
- GLICK, Thomas F., ed. (1987), The Comparative Reception of Relativity (Reidel, Dordrecht).
- GLICK, Thomas F. y SÁNCHEZ RON, José M. (2006), «Science frustrated: the 'Einstein Institute' in Madrid», Minerva 44, pp. 355-378.
- GÖDEL, Kurt (1949 a), «A remark about the relationship between relativity theory and idealistic philosophy», en Schilpp, ed. (1949: 555-562).; — (1949 b), «An example of a new type of cosmological solutions of Einstein's field equations of gravitation», Reviews of Modern Physics 21, pp. 447-450.
- GOENNER, Hubert (1993 a), «The reaction to relativity theory I: The anti-Einstein campaign in Germany in 1920», Science in Context 6, pp. 107-133.; — (1993 b), «The reaction to relativity theory in Germany, III: “A hundred authors against Einstein”», en Earman, Janssen y Norton, eds. (1993: 248-273).
- GOENNER, Hubert, RENN, Jürgen, RITTER, Jim y SAUER, Tilman, eds. (1999), The Expanding Worlds of General Relativity(Birkhäuser, Boston).
- GOLDBERG, Joshua (2005), «Syracuse: 1949-1952», en Kox, Eisenstaedt, eds. (2005: 357-371).
- GOLDBERG, Stanley (1967), «Henri Poincaré and Einstein's theory of relativity», American Journal of Physics 35, pp. 934-944.; — (1970), «In defense of ether: the British response to Einstein's theory of relativity, 1905-1911»,Historical Studies in the Physical Sciences 2, pp. 89-125.; — (1976), «Max Planck's philosophy of nature and his elaboration of the special theory of relativity», Historical Studies in the Physical Sciences 7, pp. 125-160.; — (1984), Understanding Relativity. Origin and Impact of a Scientific Revolution (Clarendon Press, Oxford).; — (1987), «Putting new wine in old bottles», en Glick, ed. (1987: 1-26).
- GOLDBERG, Stanley y STUEWER, Roger H. eds. (1988). The Michelson Era in American Science, 1870-1930 (American Institute of Physics, Nueva York).
- GOLDSTEIN, Alice (1984), Determinants of Change and Response among Jews and Catholics in a Nineteenth Century German Village (Columbia University Press, Nueva York).
- GOODSTEIN, Judith R. (1991), Millikan's School. A History of the California Institute of Technology (W. W. Norton and Co., Nueva York).
- GRAY, Jeremy J. (2013), Henri Poincaré. A Scientific Biography (Princeton University Press, Princeton).
- GRAY, Jeremy J., ed. (1999), The Symbolic Universe. Geometry and Physics 1890-1930(Oxford University Press, Oxford).
- GRIFFIN, Nicholas, ed. (2001), Selected Letters of Bertrand Russell. The Public Years, 1914-1970 (Routledge, Londres).
- GROSSMANN, Marcel (1904), «Die fundamentalen Konstruktionen der nicht-euklidischen Geometrie», Programm der Thurgauischen Kantonsschule für das Schuljahr 1903/04, suplemento (Huber & Co.,Frauenfeld).
- GRUNDMANN, S. (2005), The Einstein Dossiers (Springer-Berlag, Berlín).
- GUERRAGGIO, Angelo y NASTASI, Pietro (2005), Italian Mathematics between the Two World Wars (Birkhäuser, Basilea).
- GUTFREND, Hanoch y RENN, Jürgen (2015), The Road to Relativity (Princeton University Press, Princeton).
- HAAS-LORENTZ, G. L. de (1957), «Reminiscences», en Haas-Lorentz, ed. (1957: 15-47).
- HAAS-LORENTZ, G. L. de, ed. (1957), H. A. Lorentz. Impressions of His Life and Work (North-Holland, Ámsterdam).
- HAHN, Otto y STRASSMANN, Fritz (1939), «Über den Nachweis und das Verhalten der bei Bersestrahlung des urans mittels Neutronen entstehenden Erdalkalimetalle», Naturwissenschaften 27, pp. 11-15.
- HANCOCK, Harris (1939), Development of the Minkowski Geometry of Numbers (Macmillan, Nueva York).
- HARDY, Godfrey Harold (1999), La apología de un matemático (Nivola, Madrid; edición original en inglés de 1940).
- HARTL, Gerhard (2005), «The confirmation of the general theory of relativity by the British eclipse expeditionn of 1919», en Renn, ed. (2005: 182-187).
- HAUBOLD, Barbara, HAUBOLD, Hans Joachim y PYENSON, Lewis (1988), «Michelson's first ether-drift experiment in Berlin and Postdam», en Goldberg y Stuewer, eds. (1988: 42-54).
- HAVAS, Peter (1989), «The early history of the 'Problem of motion' in general relativity», en Howard y Stachel, eds. (1989: 234-276).; — (1999), «Einstein, relativity and gravitation research in Vienna before 1938», en Goenner, Renn, Ritter y Sauer, eds. (1999: 161-206).
- HAWKING, Stephen (2014), Breve historia de mi vida (Crítica, Barcelona; edición original en inglés de 2013).
- HAWKING, Stephen, ed. (2003), A hombros de gigantes (Crítica, Barcelona).
- HEAVISIDE, Oliver (1888), «Electromagnetic waves, the propagation of potential, and the electromagnetic effects of a moving charge, III», The Electrician, 7 de diciembre, p. 147.
- HEILBRON, John L. (1986), The Dilemmas of an Upright Man. Max Planck as Spokesman for German Science (University of California Press, Berkeley).
- HEISENBERG, Werner (1925), «Über quantentheoretische Umdeutung kinematischer und mechanischer Beziehungen», Zeitschrift für Physik 33, pp. 879-893.; — (1927), «Über den anschaulichen Inhalt der quantentheoretischen Kinematik und Mechanik», Zeitschrift für Physik 43, pp. 172-198.; — (1964), Niels Bohr, hans liv og virke fortalt af fen kreds af venner og medarbejdere (T. J. Schultz Forlag, Copenhague).; — (1974), Más allá de la física (Biblioteca de Autores Cristianos, Madrid; versión original en alemán de 1971).; — (1979 a), Encuentros y conversaciones con Einstein y otros ensayos(Alianza Editorial, Madrid).; — (1979 b), «Encuentros y conversaciones con Albert Einstein», en Heisenberg (1979 a: 116-131).
- HENTSCHEL, Klaus (1994), «Erwin Finlay Freundlich and testing Einstein's theory of relativity», Archive for History of Exact Sciences 47, pp. 143-201.; — (1996), «Measurements of gravitational redshift between 1959 and 1971»,Archive for History of Exact Sciences 53, pp. 269-295.; — (1997), The Einstein Tower. An Intertexture of Dynamic Construction, Relativity Theory, and Astronomy(Stanford University Press, Stanford).
- HENTSCHEL, Klaus ed. (1996),Physics and National Socialism. An Anthology of Primary Sources (Birkhäuser, Basilea).
- HERMANN, Armin (1971), The Genesis of Quantum Theory (1899-1913) (The MIT Press, Cambridge, Mass.).; — (1977), Max Planck(Éditions du Centre National de la Recherche Scientifique, París).; — (1997), Einstein en privado(Temas de Hoy, Madrid; edición original en alemán de 1994).
- HERMANN, Armin, ed. (1968), Albert Einstein/Arnold Sommerfeld Briefwech (Schawe an Co. Verlag, Basilea).
- HERMANN, Armin, VON MEYENN, Karl y WEISSKOPF, Victor F., eds. (1979), Wolfgang Pauli. Wissenschaftlicher Briefwechsel mit Bohr, Einstein, Heisenberg u. a., vol. 1 («1919-1929») (Springer-Verlag, Nueva York).
- HERTZ, Heinrich (1887), «Über einen Einfluss des ultravioletten Lichtes auf die elektrische Entladung», Annalen der Physik 31, pp. 983-1000.; — (1890), «Über die Grundgleichungen der Elektrodynamik für ruhende Korper», Wiedemann Annalen 41, pp. 369-399. Reproducido, traducido al inglés en Hertz (1962: 241-268).; — (1962), Electric Waves(Dover, Nueva York; primera edición de Macmillan, Londres 1893).
- HESSENBERG, Gerhard (1917), «Vektorielle Begründung der Differentialgeometrie», Mathematische Annalen 78, pp. 187-217.
- HEWISH, A., BELL, S. J., PILKINGTON, J. D. H., SCOTT,P. F. y COLLINS, R. A. (1968), «Observation of a rapidly pulsating radio source», Nature 217, pp. 709-713.
- HIGHFIELD, Roger y CARTER, Paul (1996), Las vidas privadas de Einstein (Espasa-Calpe, Madrid; edición original en inglés de 1993).
- HILBERT, David (1900), «Mathematische Probleme», Nachrichten der Königlichen Gesellschaft der Wissenschaften zu Göttingen, Mathematische-Physikaliche Klasse, pp. 253-297.; — (1915), «Die Grundlagen der Physik (Erste Mitteilung)»,Nachrichten von der Königlichen Gesellschaft der Wissenschaften zu Göttingen, Mathematische-Physikaliche Klasse, pp. 395-407.
- HIROSHIGE, Tetu (1976), «The ether problem, the mechanistic worldview, and the origins of the theory of relativity», Historical Studies in the Physical Sciences 7, pp. 3-82.
- HODGE, W. V. D. (1942), «Tullio Levi-Civita. 1873-1941»,Obituary Notices of Fellows of the Royal Society 4, pp. 151-126.
- HOFFMANN, Dieter (2013), Einstein's Berlin. In the Footsteps of a Genius (The Johns Hopkins University Press, Baltimore).
- HOLTON, Gerald (1960), «On the origins of the special theory of relativity», American Journal of Physics 28, pp. 627-636. Reproducido en Holton (1973: 165-183).; — (1964), «On the thematic analysis of science: the case of Poincaré and relativity», en Mélanges Alexandre Koyré, publiés à l'occasionde son soixante dixième anniversaire (Hermann, París), pp. 257-268. Reproducido en Holton (1973: 185-195).; — (1967), «Influences on Einstein's early work», The American Scholar 37, pp. 59-79. Reproducido en Holton (1973: 197-217).; — (1973), Thematic Origins of Scientific Thought: Kepler to Einstein (Harvard University Press, Cambridge, Mass.).; — (1980), «Einstein's scientific program: the formative years», en Woolf, ed. (1980: 49-65).; — (1982), Ensayos sobre el pensamiento científico en la época de Einstein(Alianza Editorial, Madrid).; — (2001), Ciencia y anticiencia (Nivola, Madrid; versión original en inglés de 2000).; — (2005 a), Victory & Vexation in Science. Einstein, Bohr, Heisenberg ad Others (Harvard University Press, Cambridge, Mass.).; — (2005 b), «The woman in Einstein's shadow, and a first glimpse of Einstein's mind at work», en Holton (2005 a: 16-25).
- HOLTON, Gerald y ELKANA, Yehuda, eds. (1982), Albert Einstein. Historical and Cultural Perspectives(Princeton University Press, Princeton).
- HOWARD, Don y STACHEL, John, eds. (1989), Einstein and the History of General Relativity (Birkhäuser, Basilea).
- HU, Danian (2005), China & Albert Einstein (Harvard University Press, Cambridge, Mass.).
- HUBBLE, Edwin (1929), «A relation between distance and radial velocity among extra-galactic nebulae», Proceedings of the National Academy of Sciences of the U. S. A. 15, pp. 168-173.
- HUBBLE, Edwin y HUMASON, Milton L. (1931), «The velocity-distance relation among extra-galactic nebulae», Astrophysical Journal 74, pp. 43-80.
- HUGGINS, William (1891), «President address», en Report of the sixty-first meeting of the British Association for the Advancement of Science (Cardiff) (John Murray, Londres), pp. 3-37.
- HULSE, Russell A. y TAYLOR, Joseph H. (1975), «Discovery of a pulsar in a binary system», Astrophysical Journal 195, L51-L53.
- HUME, David (1984), Tratado de la naturaleza humana, vol. I (Ediciones Orbis, Barcelona).
- HUNT, Bruce J. (1991), The Maxwellians (Cornell University Press, Ithaca).
- HUSE, Norbert, ed. (1995), Mendelsohn der Einsteinturm (Karl Krämer Verlag, Stuttgart).
- ILLY, József (1979), «Albert Einstein in Prague», Isis 70, pp. 74-84.; — (2012), The Practical Einstein. Experiments, Patents, Inventions (The Johns Hopkins University Press, Baltimore).
- ILLY, József, ed. (2006), Albert Meets America (The Johns Hopkins University Press, Baltimore).
- INFELD, Leopold (1942), Quest (Victor Gollancz Limited, Londres).; — (1956), «On equations of motion in general relativity theory», en Mercier y Kervaire, eds. (1956: 206-209).; — (1978), Why I Left Canada. Reflections on Science and Politics (McGillQueen's University Press, Montreal).
- INFELD, Leopold y SCHILD, Alfred (1949), «On the motion of test particles in general relativity», Reviews of Modern Physics 21, pp. 408-413.
- ISAACSON, Walter (1999), «Who, and why», Time (31 de diciembre), pp. 20-30.; — (2008), Einstein. Su vida y su universo (Debate, Barcelona; edición original en inglés de 2007).
- ISRAEL, Hans, RUCKMANN, Erich y WEINMANN, Rudolf, eds. (1931), Hundert Autoren gegen Einstein (Voigtländer, Leipzig).
- JAKI, Stanley L. (1978), «Johann Georg von Soldner and the gravitational bending of light, with an English translation of his essay on it published in 1801», Foundations of Physics 8, pp. 927-950.
- JAMMER, Max (1961), Concepts of Mass (Harvard University Press, Cambridge, Mass.).
- JANSSEN, Michel, ed. (2011), Le manuscrit Einstein-Besso. De la Relativité Restreinte à la Relativité Générale (Aristohil, Ginebra).
- JANSSEN, Michel y LEHNER, Christoph, eds. (2014), The Cambridge Companion to Einstein (Cambridge University Press).
- JANSSEN, Michel, NORTON, John D., RENN, Jürgen, SAUER, Tilman y STACHEL, John (2007 a), Einstein's Zurich Notebook. Introduction and Source, en Renn, ed. (2007: vol. 1) (Springer, Dordrecht).
- JANSSEN, Michel, NORTON, John D., RENN, Jürgen, SAUER, Tilman y STACHEL, John (2007 b), Einstein's Zurich Notebook. Comentary and Essays, en Renn, ed. (2007: vol. 2) (Springer, Dordrecht).
- JEANS, James (1905), «On the laws of radiation», Proceedings of the Royal Society of London A 76, pp. 545-552.; — (1920), The Mathematical Theory of Electricity and Magnetism, 4.ª edición (Cambridge University Press).
- JEROME, Fred (2002), El expediente Einstein (Planeta, Barcelona; primera edición en inglés de 2002).
- JULIUS, Willem (1911), «Selektive Absorption und anomale Zerstreuung (Diffusion) des Lichtes in ausgedehnten Gasmassen», Physikalische Zeitschrift 12, pp. 329-338.
- KALUZA, Theodor (1921), «Zum Unitätsproblem der Physik», Preussische Akademie der Wissenschaften (Berlin). Sitzungsberichte, pp. 966-972.
- KAPITZA, Piotr (1938), «Viscosity of liquid helium above the λ-point», Nature 141, p. 74.
- KAUFMANN, Walter (1901 a), «Die Entwicklung des Elektronenbegriffs», Physikalische Zeitschrift 3, pp. 9-15. Publicado en inglés: «The developments of the electron idea», The Electrician 48, pp. 95-97 (1901).; — (1901 b), «Die magnetische und elektrische Ablenkbarkeit der Bequerelstrahlen und die scheinbare Masse der Elektronen», Göttinger Nachrichten (2), pp. 143-168.; — (1902 a), «Über die elektromagnetische Masse des Elektrons», Göttinger Nachrichten (5), pp. 291-296.; — (1902 b), «Die elektromagnetische Masse des Elektrons», Physikalische Zeitschrift 4, pp. 54-56.; — (1903), «Über die Elektromagnetische Masse der Elektronen», Göttinger Nachrichten (3), pp. 90-103.; — (1905), «Über die Konstitution des Elektrons», Sitzungsberichte der Königlich Preussischen Akademie der Wissenschaften (45), pp. 949-956.; — (1906), «Über die Konstitution des Elektrons», Annalen der Physik 19, pp. 487-553.
- KELLERMANN, Hermann (1915), Der Krieg der Geister, 1914 (Vereinigung Heimat und Welt, Dresde).
- KELVIN, lord (1901), «Nineteenth century clouds over the dynamical theory of heat and light», Philosophical Magazine 2, pp. 1-40. Reproducido como apéndice, en Kelvin (1904 a: 486-527).; — (1904 a), Baltimore Lectures on Molecular Dynamics and the Wave Theory of Light (C. J. Clayand Sons, Londres).; — (1904 b), «Discussion on the nature of the emanations from radium», en Report of the Seventy-Third Meeting of the Association for the Advancement of Science held at Southport in September 1903 (John Murray, Londres), pp. 535-537.
- KENNEFICK, Daniel (2007), Traveling at the Speed of Thought. Einstein and the Quest for Gravitational Waves(Princeton University Press, Princeton).; — (2014), «Einstein, gravitational waves, and the theoretician's regress», en Janssen y Lehner, eds. (2014: 270-280).
- KESWANI, F. H. (1965-1966),«Origin and concept of relativity», British Jornal for the Philosophy of Science, «Parte I», 15, pp. 286-306, «Parte II», 16, pp. 19-32, Parte III, 16, pp. 273-294.
- KEVLES, Daniel J. (1978), The Physicists (Alfred A. Knopf, Nueva York).
- KIRCHHOFF, Gustav (1859), «Über den Zusammenhang zwischen Emission und Absorption von Licht und Wärme», Monatsberichte der Kgl. Preussischen Akademie der Wissenschaften Berlin, pp. 783-787.; — (1860), «Über das Verhältnis zwischen dem Emissionsvermögen und dem Absorptionsvermögen der Körper für Wärme und Licht», Annalen der Physik (Poggendorff) 109, pp. 275-301.
- KLEIN, Felix (1872), Vergleichende Betrachtungen über neuere geometrische Forschungen (A. Deichert, Erlangen).; — (1926), Vorlesungen über die Entwicklung der Mathematik im 19. Jahrhundert, t. I (Verlag von Julius Springer, Berlín).; — (1991), Le Programme d'Erlangen (Éditions Jacques Gabay, París).; — (2006), Lecciones sobre el desarrollo de la matemática en el siglo XIX(Crítica, Barcelona). Traducción al español de Klein, F. (1926).
- KLEIN, Martin J. (1964), «Einstein and the wave-particle duality», The Natural Philosopher 3, pp. 3-49.; — (1986), «Ernst Mach's Principles of the Theory of Heat», introducción a Mach (1986: IX-XX).; — (1970), Paul Ehrenfest, vol. I (The Making of a Theoretical Physicist) (North-Holland, Ámsterdam).
- KLEIN, Oskar (1926), «Quantentheorie und fünfdimensionale Relativitätstheorie», Zeitschrift für Physik 37, pp. 895-906.
- KLEMPERER, Victor (1998), I Will Bear Witness. A Diary of the Nazi Years, 1933-1941(Ramdom House, Nueva York; edición original en alemán de 1995).
- KOX, Anne J. (1992), «General relativity in the Netherlands, 1915-1920», en Eisenstaedt y Kox, eds. (1992: 39-56).
- KOX, Anne J., ed. (2008), The Scientific Correspondence of H. A. Lorentz, vol. 1 (Springer, Nueva York).
- KOX, Anne, J. y EISENSTAEDT, Jean, eds. (2005), The Universe of General Relativity(Boston, Birkhäuser).
- KRAGH, Helge (1987, «The beginnin of the world: Georges Lemaître and the expanding universe», Centaurus 32, pp. 114-139.
- KUHN, Thomas S. (1980), La teoría del cuerpo negro y la discontinuidad cuántica, 1894-1912 (Alianza Editorial, Madrid; edición original en inglés de 1978).
- KUHN, Thomas S., HEILBRON, John L., FORMAN, Paul y ALLEN, Lini (1967), Sources for the History of Quantum Physics An Inventory and Report (American Philosophical Society, Filadelfia).
- Landau, Lev (1941), «The theory of superfluidity of Helium II», Physical Review 60, pp. 356-358 (publicado antes en Journal of Physics (Moscow) 8, pp. 1-3, 1941).
- LANGEVIN, Luce (1972), «Paul Langevin et Albert Einstein d'après une correspondance et des documents inédites», La Pensée 161 (febrero), pp. 29-31.
- LANGEVIN, Paul (1911), «L'évolution de l'espace et du temps», Scientia 10, pp. 31-54.; — (1913), «L'inertie de l'énergie et ses conséquences». Reproducido en Langevin (1950: 397-426).; — (1950), Oeuvres Scientifiques de Paul Langevin (Centre National de la Recherche Scientique, París).
- LANGEVIN, Paul y BROGLIE, Maurice de, eds. (1912), La théorie du rayonnement et les quanta. Rapports et discussions de la réunion tenue à Bruxelles, du 30 octobre au 3 novembre 1911(Gauthier-Villars, París).
- LARMOR, Joseph (1884), «On Least Action as the fundamental formulation in dynamics and physics», Proceedings of the London Mathematical Society 15, pp. 158-184.; — (1894), «A dynamical theory of the electric and luminiferous medium. Part I», Philosophical Transactions of the Royal Society of London 185, pp. 719-822. Reproducido en Larmor (1929 a: 414-535).; — (1895), «A dynamical theory of the electric and luminiferous medium. Part II», Philosophical Transactions of the Royal Society of London 186, pp. 695-743. Reproducido en Larmor (1929 a: 543-597).; — (1897), «A dynamical theory of the electric and luminiferous medium. Part III», Philosophical Transactions of the Royal Society of London 190, pp. 205-300. Reproducido en Larmor (1929 b: 11-132).; — (1900), Aether and Matter(Cambridge University Press, Cambridge).; — (1929 a), Mathematical and Physical Papers, vol. I (Cambridge University Press, Cambridge); — (1929 b), Mathematical and Physical Papers, vol. II(Cambridge University Press, Cambridge).
- LARMOR, Joseph, ed. (1902), The Scientific Writings of the Late George Francis Fitzgerald (Hodges, Figgis & Co. /Longmans, Green & Co, Dublín/Londres).
- LAUB, Jakob (1910), «Über die experimentellen Grundlagen des Relativitätsprizip», Jahrbuch der Radioaktivität und Elektronik 7, pp. 405-463.
- LEHNER, Christoph, RENN, Jürgen y SCHEMMEL, Mathias, eds. (2012), Einstein and the Changing Worldviews of Physics (Birkhäuser, Boston).
- LEMAÎTRE, George (1927), «Un univers homogène de masse constante et de rayon croissant, rendant compte de la vitesse radiale des nébuleuses extra-galactiques», Annales de la Société Scientifique de Bruxelles 47, pp. 49-59.; — (1931), «The beginning of the world from the point of view of quantum theory», Nature 127, p. 706.
- LENARD, Philipp (1900), «Erzeugung von Kathodenstrahlen durch ultraviolettes Licht», Annalen der Physik 2, pp. 359-375.; — (1902), «Über die lichtelektrische Wirkung», Annalen der Physik 8, pp. 149-198.
- LEVENSON, Thomas (2003),Einstein in Berlin (Bantam Books, Nueva York).
- LEVI-CIVITA, Tullio (1917), «Nozione di parallelismo in una varietà qualunque e conseguente specificazione geometrica della curvatura Riemanniana», Rendiconti di Circolo Matematico di Palermo 42, pp. 173-205.; — (1925), Lezioni di calcolo differenziale assoluto (Stock, Roma).; — (1927), The Absolute Differential Calculus (Blackie & Sons, Londres). Traducción al inglés de Levi-Civita (1925).
- LEWIS, Gilbert N. (1908), «A revisión of the fundamental laws of matter and energy», Philosophical Magazine 16, pp. 705-717.
- LEWIS, Gilbert N. y TOLMAN, Richard C. (1909), «The principle of relativity and non-Newtonian mechanics», Proceedings of the American Academy of Science 44, pp. 711-730.
- LICHNEROWICZ, André (1992), «Mathematics and General Relativity: a recollection», en Eisenstaedt y Kox, eds. (1992: 103-108)
- LINDEMANN, Adolphus F. y LINDEMANN, Fredericka. (1916), «Daylight photography of stars as a means of testing the equivalence postulate in the theory of relativity», Monthly Notices of the Royal Astronomical Society 77, pp. 140-151.
- LODGE, Oliver (1893), «Aberration problems. A discussion concerning the motion of the ether near the Earth, and concerning the connexion between ether and gross matter; with some new experiments», Philosophical Transactions of the Royal Society A 184, pp. 727-804.; — (1933), My Philosophy((Ernest Benn, Londres).
- LONDON, Fritz (1938), «The λ-point phenomenon of liquid helium and the Bose-Einstein degeneracy», Nature 141, pp. 643-644.
- LORENTZ, Hendrik A. (1875), Over de theorie der terugkaatsing en breking van het licht. Reproducida en Lorentz (1935 a: pp. 1-192).; — (1883), «De door Hall ontdekte werking van een magneet o peen electrischen stroom en de electromagnestische draaiing van het polarisatievlak van het licht», Verhanlungen Koninklijke Akademie van Wetenschappen te Amsterdam 19, pp. 217-248. Traducción al francés: Lorentz (1884).; — (1884), «Le phénomène découvert par Hall et la rotation électromagnétique du plan de polarisation de la lumière», Archives Néerlandaises des Sciences Exactes et Naturelles 19, pp. 123-152. Reproducido en Lorentz (1936: 136-163).; — (1886), «Over den invloed, dien de beweging der aarde op de lichtverschijnselen uitoefent», Verhanlungen Koninklijke Akademie van Wetenschappen te Amsterdam 2, pp. 297-372. Traducción al francés en Lorentz (1887).; — (1887), «De l'influence du mouvement de la Terre sur les phenomenes lumineux», Archives Néerlandaises des Sciences Exactes et Naturelles 21, pp. 103-176. Reproducido en Lorentz (1937 a: 153-214).; — (1892 a), «La théorie électromagnétique de Maxwell et son application aux corps mouvantes», Archives Néerlandaises des Sciences Exactes et Naturelles 7, pp. 64-80. Reproducido en Lorentz (1936: 164-343).; — (1892 b), «De relatieve beweging van de aarde en den aether», Verhanlungen Koninklijke Akademie van Wetenschappen te Amsterdam 1, pp. 74-79. Reproducido, traducido al inglés, en Lorentz (1937 a: 219-223).; — (1895), Versuch einer Theorie der electrischen und optischen Erscheinungen in bewegten Korpern (E. K. Brill, Leiden). Reproducido en Lorentz (1937 b: 1-137).; — (1899), «Vereenvoudigde teorie der electrische en optische verschijnselen in lichamen die zich bewegen», Verhanlungen Koninklijke Akademie van Wetenschappen te Amsterdam 7, pp. 507-522. Traducción al francés: Lorentz (1902).; — (1900), «Théorie des phénomènes magneto-optiques récemment découverts», en Rapports présentés au Congrès International de Physique de 1900, vol. III, pp. 1-33 (Gauthier-Villars, París).; — (1901), «The theory of radiation and the second law of thermodynamics», Verhanlungen Koninklijke Akademie van Wetenschappen te Amsterdam. Section of Sciences. Proceedings 3, pp. 436-450.; — (1902), «Théorie simplifiée des phénoménes électriques et optiques dans des corps en mouvement», Archives Néerlandaises des Sciences Exactes et Naturelles 25, pp. 363-552. Reproducido en Lorentz (1937 b: 139-155).; — (1904), «Electromagnetic phenomena in a system moving with any velocity smaller than that of light», Verhanlungen Koninklijke Akademie van Wetenschappen te Amsterdam, Section of Sciences 6, pp. 809-831. Reproducido en Lorentz (1937 b: 172-197).; — (1909), The Theory of Electrons and Its Applications to the Phenomena of Light and Radiant Heat (Teubner-Columbia University Press, Leipzig Nueva York).; — (1915), «Het beginsel van Hamilton in Einstein's theorie der zwaartekracht», Verhanlungen Koninklijke Akademie van Wetenschappen te Amsterdam. Section of Sciences. Proceedings 23, pp. 1073-1089. Traducción al inglés («On Hamilton's principle in Einstein's theory of gravitation») en Lorentz (1937 b: 229-245).; — (1916), The Theory of Electrons and Its Applications to the Phenomena of Light and Radiant Heat. Segunda edición, revisada, de Lorentz (1909).; — (1927), Problems of Modern Physics (Ginn and Company, Boston).; — (1935 a), Collected Papers, vol. I (Martinus Nijhoff, La Haya).; — (1935 b), Sur la théorie de la réflexion et de la réfraction de la lumière, en Lorentz (1935 a: 193-383).; — (1936), Collected Papers, vol. II (Martinus Nijhoff, La Haya).; — (1937 a), Collected Papers, vol. IV (Martinus Nijhoff, La Haya).; — (1937 b), Collected Papers, vol. V (Martinus Nijhoff, La Haya).; — (1952), The Theory of Electrons and Its Applications to the Phenomena of Light and Radiant Heat (Dover, Nueva York). Reedición de Lorentz (1916).
- LORENTZ, Hendrik A. y DROSTE, Johannes (1917), «De beweging van een stelsel lichamen onder den invloed van hunne onderlinge aantrekking, behandeld volgens de theorie van Einstein, I, II», Verhanlungen Koninklijke Akademie van Wetenschappen te Amsterdam. Section of Sciences. Proceedings 26, pp. 392-403, 649-660.Traducción al inglés («The motion of a system of bodies under the influence of their mutal attraction, according to Einstein's theory») en Lorentz (1937 b: 330-355).
- LORENTZ, H. A., EINSTEIN, A. y MINKOWSKI, H. (1952), The Principle of Relativity (Dover, Nueva York). Lote, René (1913), Les origines mystiques de la Science «allemande» (Librairie Félix Alcan, París).
- MACH, Ernst (1872), Die Geschichte und die Wurzel des Satzes von der Erhaltung der Arbeit (Praga).; — (1883), Die Mechanik in ihrer Entwickelung: historisch-kritisch dargestellt (F. A. Brockhaus, Leipzig).; — (1896), Die Principien der Wärmelehre. Historisch-kritisch entwickelt. Barth, Leipzig).; — (1911), History and Root of the Principle of the Conservation of Energy (The Open Court, Chicago). Traducción al inglés de Mach (1872).; — (1919), Die Leitgedanken meiner naturwissenschaftlichen Erkenntnislehre und ihre Aufnahme durch die Zeitgenossen: Sinnliche Elemente und naturwissenschaftliche Begriffe (Verlag von Johann Ambrosius Barth, Leipzig).; — (1921), Die Principien der Physikalischen Optik. Historich und Erkenntnispsychologisch (Verlag von Johann Ambrosius Barth, Lepizig).; — (1949), Desarrollo histórico-crítico de la mecánica (Espasa-Calpe Argentina, Buenos Aires).; — (1960), The Science of Mechanics: A Critical and Historical Account of Its Development (Open Court, La Salle, III.). Traducción al inglés Mach (1883).; — (1986), Principles of the Theory of Heat. Historically and Critically Elucidated, Brian McGuinness, ed. (Reidel, Doredrecht).
- MAGIE, William F. (1912), «The primary concepts of physics», Science 25, pp. 281-292.
- MAXWELL, James Clerk (1856), «On Faraday's lines of force. Part I», Transactions of the Cambridge Philosophical Society 10, pp. 27-51; «On Faraday's lines of force. Part II: On Faraday's electro-tonic state», ibid. pp. 51-83.; — (1861-1862), «On the physical lines of force», Philosophical Magazine 21, pp. 161-175, 281-291, 338-345; 23, pp. 12-24, 85-95.; — (1873) A Treatise on Electricity and Magnetism, 2 vols. (Clarendon Press, Oxford).; — (1954), A Treatise on Electricity and Magnetism, 2 vols. (Dover, Nueva York); reedición de Maxwell (1873).
- MAYER, Alfred Marshall (1878), «On the morphological laws of the configurations formed by magnets floating vertically and subjected to the attraction of a superposed magnet», American Journal of Science 116, pp. 247-256.
- MCCORMMACH, Russell (1970 a), «H. A. Lorentz and the electromagnetic view of nature», Isis 61, pp. 459-497.; — (1970 b), «Einstein, Lorentz and the electromagnetic view of nature», Historical Studies in the Physical Sciences 2, pp. 41-87.
- MEHRA, Jagdish (1974), Einstein, Hilbert and the Theory of Gravitation (Reidel, Dordrecht).
- MEHRA, Jagdish y RECHENBERG, Helmut (1987), The Historical Development of Quatum Theory, vol. 5 («Erwin Schrödinger and the Rise of Wave Mechanics»), parte 2 («The Creation of Wave Mechanics: Early Response and Applications: 1925-1926») (Springer, Nueva York).
- MEITNER, Lise y FRISCH, Otto R. (1939), «Disintegration of uranium by neutrons: a new type of nuclear reaction», Nature 143, 239-240.
- MERCIER, André y KERVAIRE, Michel, eds. (1956), Fünfzig Jahre Relativitätstheorie/Cinquantenaire de la Théorie de la Relativité/Jubilee of Relativity Theory (Helvetica Physica Acta Supplementum IV/Birkhauser Verlag, Basilea).
- MICHELSON, Albert Abraham (1881), «The relative motion of the Earth and the luminiferous ether», The American Journal of Science 22, 120-129.; — (1894), «Some of the objects and methods of physical science», Quarterly Calendar (The University of Chicago, Chicago), vol. 111, n. º 2 (agosto), pp. 12-15.
- MICHELSON, Albert A. y MORLEY, Edward W. (1887), «On the relative motion of the Earth and the luminiferous ether», The American Journal of Science 34, pp. 333-345. Mie, Gustav (1912), «Grundlagen einer theorie der materie. Erste Mitteilung», Annals of Physik 37, pp. 511-534.
- MILLIKAN, Robert (1916 a), «Einstein's photoelectric equation and contact electromotive force», Physical Review 7, pp. 18-32.; — (1916 b), «A direct photoelectric determination of Planck's h», Physical Review 7, pp. 355-388.; — (1949), «Albert Einstein on his seventieth birthday», Reviews of Modern Physics 21, pp. 343-345.; — (1951), The Autobiography of Robert A. Millikan (Macdonald, Londres).
- MILLER, Arthur I. (1973), «A study of Henri Poincaré's “Sur la Dynamique de l'électron”», Archive for History of Exact Sciences 10, pp. 207-328. Reimpreso en Miller (1986: 29-150).; — (1979), «On the history of the special relativity theory», en Aichelburg y Sexl, eds. (1979: 89-108).; — (1981), Albert Einstein's Special Theory of Relativity (Adison-Wesley, Reading).; — (1986), Frontiers of Physics, 1900-1911.Selected Essays (Birkhäuser, Boston).
- MINKOWSKI, Hermann (1896), Geometrie der Zahlen (Teubner, Leipzig).; — (1908), «Die Grundgleichungen für die elektromagnetischen Vorgänge in bewegten Körpern», Nachrichten von der Königlichen Gesellschaft der Wissenschaften su Göttigen, Mathematische-Physikalische Klasse, pp. 53-111. Reproducido en Minkowski (1910 b: 5-57).; — (1909), «Raum und Zeit», Physikalische Zeitschrift 20, pp. 104-111.; — (1910 a), «Eine Ableitung der Grundgleichungen für die elektromagnetischen Vorgänge in bewegten Körpern vom Standpunkte der Elektronentheorie», en Minkowski (1910 b: 58-82).; — (1910 b), Zwei Abhandlungen über due Grundgleichungen der Elektrodynamik, Otto Blumenthal, ed. (Druck und Verlag von B. G. Teubner, Leipzig).; — (1915), «Das Relativitätsprinzip», Annalen der Physik 47, pp. 927-938.; — (1952), «Space and Time», en Lorentz, Einstein y Minkowski (1952: 75-91).Traducción al inglés de Minkowski (1909).
- MONTES SANTIAGO, Julio (2014), Albert Einstein como paciente. Edición privada.
- MOORE, Thomas (2005), School for Genius. The History of the ETH, the Swiss Federal Institute of Technology from 1855 to the Present (Front Street Press, Nueva York).
- NATHAN, Otto y NORDEN, Heinz, eds. (1968), Einstein on Peace (Schocken Books, Nueva York; primera edición de 1960).
- NEWCOMB, Simon (1895), The Elements of Four Inner Planets and the Fundamental Constants in Astronomy, suplemento a American Ephemeris and Nautical Almanac for 1897 (Government Printing Office, Washington D. C.).
- NEWMAN, E. T. (2005), «A biased and personal description of GR at Syracuse University, 1951-1961», en Kox, Eisenstaedt, eds. (2005: 373-383).
- NEWTON, Isaac (2003), Principios matemáticos de la filosofía natural, en Hawking, ed. (2003: 653-1019).
- NICOLAI, Georg (1937), Biología de la guerra (Ediciones Ercilla, Santiago de Chile; edición original en alemán de 1916).
- NOETHER, Emmy (1918 a), «Invarianten beliebiger Differentialausdrücke», Nachrichten der Königlichen Gesellschaft der Wissenschaften zu Göttingen, Mathematisch-Physikalische Klasse, pp. 37-44.; — (1918 b), «Invariante Variationsprobleme», Nachrichten der Königlichen Gesellschaft der Wissenschaften zu Göttingen, Mathematisch-Physikalische Klasse, pp. 235-257.
- NORDSTRÖM, Gunnar (1912), «Relativitätsprinzip und Gravitation», Physikalische Zeitschrift 13, pp. 1126-1129.; — (1913), «Zur Theorie der Gravitation vom Standpunkt des Relativitäsprinzip», Annalen der Physik 42, pp. 533-554.
- NORTON, John (2007), «Einstein, Nordström, and the early demise of scalar, Lorentz covariante theories of gravitation», en Renn y Schemmel, eds. (2007: 413-487).
- ORTEGA Y GASSET, José (2005), Obras completas, tomo III («1917/1925») (Taurus, Madrid).
- PAIS, Abraham (1984), «El Señor es sutil…» La ciencia y la vida de Albert Einstein (Ariel, Barcelona; edición original en inglés de 1982).; — (1994), Einstein Lived Here (Clarendon Press, Oxford).
- PATY, Michel (1987), «The scientific reception of relativity in France», en Glick, ed. (1987: 113-167).
- PAULI, Wolfgang (1921), «Relativitätstheorie», en Encyklopädie der mathematischen Wissenschaften, mit Einschluss ihrer Anwendungen, Sommerfeld, Arnold, ed. (B. G. Teubner, Leipzig), pp. 539-775.; — (1958), Theory of Relativity (Pergamon Press, Oxford). Traducción al inglés, con anexos, de Pauli (1921).
- PELSENEER, Jean (s. f.), Historique des Instituts internationaux de Physique et de Chimie Solvay depuis leur fondation jusqu'àla deuxième guerre mondiale (manuscrito no publicado; copia depositada en «Archives for the History of Quantum Physics», microfilm nº 58).
- PETIT, Gabriel y LEUDET, Maurice, coords. (1916), Les allemands et la science (Librairie Félix Alcan, París).
- PLANCK, Max (1900 a), «Über eine Verbesserung der Wien'schenSpektralgleichung», Verhandlungen der Deutschen Physikalischen Gesellschaft 2, pp. 202-204.; — (1900 b), «Zur Theorie des Gesetzes des Gesetzes der Energieverteilung im Normalspectrum», Verhandlungen des Deutschen Physikalischen Gesellschaft 2, 237-245.; — (1906), «Das Prinzip der Relativität und die Grundgleichungen der Mechanik», Verhandlungen der Deutschen Physikalischen Gesellschaft 4, pp. 136-141.; — (1909), «Die Einheit des physikalischen Weltbildes», Physikalische Zeitschrift 10, pp. 62-75.; — (1948 a), Max Planck in seinen Akademie-Ansprachen. Erinnerungschrift der Deutschen Akademie der Wisenschften zu Berlin (Akademie-Verlag, Berlín).; — (1948 b), «Antrittrede zur Aufnahme in die Akademie von 28. Juni 1894», en Planck (1948 a: 1-5).; — (1949), Wissenschaftliche Selbstbiographie (Barth, Leipzig).; — (1960 a), «The unity of the physical universe», en Planck (1960 b: 126). Traducción al inglés de Planck (1909).; — (1960 b), Survey of Physical Theory (Dover, Nueva York).; — (2000), «Autobiografía científica», en Autobiografía científica y otros escritos (Nivola, Madrid), pp. 21-52.
- PLESCH, Janos y PLESCH, Peter H. (1995), «Some reminiscences of Albert Einstein», Notes and Records of the Royal Society of London 49, pp. 303-328.
- POINCARÉ, Henri (1898), «La mesure du temps», Revue de Métaphysique et de Morale 6, pp. 1-13.; — (1900), «Relations entre la physique expérimentale et la physique mathématique», en Rapports présentés au Congrès International de Physique de 1900, vol. I (Gauthier-Villars, París), pp. 1-29.; — (1901), Electricité et Optique, I (Gauthier-Villars, París).; — (1902), La Science et l'Hypothèse (Ernest Flammarion Éditeur, París).; — (1905 a), La Valeur de la Science (Ernest Flammarion Éditeur, París).; — (1905 b), «Sur la dynamique de l'électron», Comptes Rendus 140, pp. 1504-1508.; — (1906), «Sur la dynamique de l'électron», Rendiconti del Circolo Matematico di Palermo 21, pp. 129-176.; — (1908), Science et Méthode (Ernest Flammarion Éditeur, París).; — (1917), La Science et l'Hypothèse (Ernest Flammarion Éditeur, París).; — (1963), Ciencia y método (Espasa-Calpe, Madrid).; — (2007), El valor de la ciencia (KRK Ediciones, Oviedo).
- POUND, Robert V. y REBKA JR. Glen A. (1959), «Gravitational Red-Shift in Nuclear Resonance», Physical Review Letters 3, pp. 439-441.; — (1960), «Apparent weight of photons», Physical Review Letters 4, pp. 337-341. Popper, Karl R. (1976), «Autobiography», en Schilpp, Paul A., ed., The Philosophy of Karl Popper (The Open Court, La Salle, III.), pp. 1-181.
- PRESTON, Thomas (1890), The Theory of Light (Macmillan, Londres).
- PRZIBRAM, K. ed. (1967), Letters on Wave Mechanics (Vision, Londres).
- PYENSON, Lewis (1974), The Goettingen Reception of Einstein's General Relativity, Ph.D dissertation, The John's Hopkins University.; — (1976), «Einstein's early scientific collaborations», Historical Studies in the Physical Sciences 7, pp. 83-123.; — (1977), «Hermann Minkowski and Einstein's special theory of relativity», Archive for History of Exact Sciences 17, pp. 71-95.; — (1982), «Relativity in late Wilhelmian Germany: the appeal to a preestablished harmony between Mathematics and Physics», Archive for History of Exact Sciences 27, pp. 137-155.; — (1983), Neohumanism and the Persistence of Pure Mathematics in Wilhelmian Germany (American Philosophical Society, Filadelfia).; — (1985), Cultural Imperialism and Exact Sciences (Peter Lang, Nueva York).; — (1990 a), El joven Einstein (Alianza Editorial, Madrid; edición original en inglés de 1985).; — (1990 b), «Einstein's natural daughter», History of Science 28, pp. 365-379.
- RADA, Eloy, ed. (1980), La polémica Leibniz-Clarke (Taurus, Madrid).
- RAND, Marguerite C. (1971), Ramón Pérez de Ayala Twayne Publ., Nueva York, 1971).
- RAYLEIGH, lord (1902), «Does motion through the aether cause double refraction?», Philosophical Magazine 4, pp. 678-683.
- REICHENBACH, Hans (1978), «Autobiographical sketches for academic purposes», reproducido en Selected Writings, 1909-1953.
- REICHENBACH, Maria y COHEN, Robert S., eds., vol. I (Reidel, Dordrecht), pp. 1-86.
- REID, Constance (1970), Hilbert (Springer-Verlag, Berlín).
- REINGOLD, Nathan, ed. (1966), Science in Nineteenth-Century America. A Documentary History (Macmillan, Londres).
- RENN, Jürgen (2007), «The Summit almost scaled: Max Abraham as a pioneer of a relativistic theory of gravitation», en Renn y Schemmel, eds. (2007: 305-345).
- RENN, Jürgen, ed. (2005), Albert Einstein, Chief Engineer of the Universe. One Hundred Authors for Einstein (Wiley-VCH, Berlín).; — (2007), The Genesis of General Relativity, 4 vols. (Springer, Dordrecht).
- RENN, Jürgen y SAUER, Tilman (2000), Eclipses of the Stars-Mandl, Einstein, and the Early History of Gravitational Lensing, Max-Planck Institut für Wissenschaftsgeschichte, Preprint 160.; — (2003), «Eclipses of the stars», en Revisiting the Foundations of Relativistic Physics. Festchrift in Honor of John Stachel, Ashtekar, A., Cohen, R. S., Howard, D., Renn, J., Sarkar, S. y Shimony, A., eds. (Kluwer, Dordrecht), pp. 69-92.
- RENN, Jürgen, SAUER, Tilman y STACHEL, John (1997), «The origin of gravitational lensing: a postcript to Einstein's 1936 Science paper», Science 275, pp. 184-186.
- RENN, Jürgen y SCHEMMEL, Matthias, eds. (2007), Gravitation in the Twilight of Classical Physics. Between Mechanics, Field Theory, and Astronomy, en Renn, ed. (2007: vol. 3) (Springer, Dordrecht).
- RICCI, Gregorio y LEVI-CIVITA, Tullio (1900), «Méthodes de calcul différentiel absolu et leurs applications», Mathematische Annalen 54, pp. 125-201.
- RIEMANN, Bernhard (2000 a), Riemanniana Selecta, edición de Ferreirós, José (Consejo Superior de Investigaciones Científicas, Madrid).; — (2000 b), Sobre las hipótesis en que se funda la geometría, en Riemann (2000: 2-18). Esta traducción al español incluye también el texto original en alemán.
- ROBERTSON, Howard P. (1929), «On the foundations of relativistic cosmology», Proceedings of the National Academy of Sciences 15, pp. 822-829.; — (1935), «Kinematics and world structure», Astrophysical Journal 82, 284-301.; — (1938), «Note on the preceding paper: the two body problem in general relativity», Annals of Mathematics 39, pp. 101-104.
- RÖNTGEN, Wilhelm C. (1895), «Ueber eine neue Art von Strahlen», Sitzungsberichte der Physikalisch-Medizinischen Gesellschaft zu Würzburg, pp. 132-141.
- ROSCOE, Henry E. (1906), The Life & Experiences of Sir Henry Enfield Roscoe, D. C. L., LL. D., F. R. S.Written by Himself (Macmillan, Londres).
- ROSEN, Nathan (1982), «Reminiscences» en Holton y Elkana, eds. (1980: 405-407).
- ROSENKRANZ, Ze'ev (1998), Albert Through the Looking-Glass. The Personal Papers of Albert Einstein (The Jewish National & University Library, Jerusalén).
- ROWE, David E. (1989), «Klein, Hilbert, and the Göttingen mathematical tradition», Osiris 5, pp. 186-213.; — (1999), «The Göttingen response to general relativity and Emmy Noether's theorems», en Gray, ed. (1999: 189-233).
- ROWE, David E. y MCCLEARY, John, eds. (1989), The History of Modern Mathematics, vol. II («Institutions and Applications») (Academic Press, San Diego).
- ROWE, David E. y SCHULMANN, Robert, eds. (2007), Einstein on Politics (Princeton University Press, Princeton).
- ROWLAND, Henry A. (1889), «On modern views with respect to electric currents», Transactions of the American Institute of Electrical Engineers, New York 6, pp. 342-357. Reproducida en Rowland (1902: 653-667).; — (1902), The Physical Papers of Henry Augustus Rowland (The Johns Hopkins Press, Baltimore).
- RUSSELL, Bertrand (1919), «Einstein's theory of relativity», The Athenaeum, nº 4672 (14 de noviembre).; — (1922), «Physics and perception», Mind 31, pp. 478-485. Reimpreso en Russell (1988: 125-133).; — (1925), The ABC of Relativity (Kegan Paul, Londres).; — (1926), «Philosophical consequences of relativity», en The Encyclopedia Britannica, vol. 13, pp. 331-332. Reimpreso en Russell (1988: 228-232).; — (1929), Análisis de la materia (Revista de Occidente, Madrid; versión original en inglés de 1927).; — (1967), The Autobiography of Bertrand Russell, vol. I (1872-1914) (George Allen and Unwin, Londres).; — (1968), The Autobiography of Bertrand Russell, vol. II (1914-1944) (George Allen and Unwin, Londres).; — (1988), The Collected Papers of Bertrand Russell, vol. 9, Slater, John G., ed. («Essays on Language, Mind and Matter, 1919-26») (Unwin Hyman, Londres).
- Sánchez Ron, José Manuel (1983), El origen y desarrollo de la relatividad (Alianza Editorial, Madrid; segunda edición ampliada de 1985).; — (1987 a), «The reception of special relativity in Great Britain», en Glick, ed. (1987: 27-58).; — (1987 b), «The role played by symmetries in the introduction of relativity in Great Britain», en Symmetries in Physics (1600-1980) (Universitat Autònoma de Barcelona, Barcelona, 1987), pp. 176-184.; — (1992 a), «The reception of general relativity among British physicists and mathematicians (1915-1930)», en Eisenstaedt y Kox, eds. (1992: 57-88).; — (1992 b), «Erwin Schrödinger, teorías unificadas y la estructura geométrica del espacio-tiempo», en Schrödinger (1992: 11-29).; — (1999 a), «Larmor versus general relativity», en Goenner, Renn, Ritter y Sauer, eds. (1999: 405-430).; — (1999 b), «Einstein, general relativity and the field concept», en Relativity and Gravitation in General, Martín, J., Riz, E., Atrio, F. y Molina, A., eds. (World Scientific, Singapur), pp. 147-159.; — (2000), El Siglo de la Ciencia (Tauris, Madrid).; — (2001), Historia de la física cuántica. I. El período fundacional (1860-1926) (Crítica, Barcelona).; — (2003), El triángulo mágico: Física, Matemáticas y Filosofía a propósito de Albert Einstein. Lección inaugural del curso 2003-2004, Universidad Autónoma de Madrid (Servicio de Publicaciones Universidad Autónoma de Madrid, Cantoblanco, Madrid).; — (2005 a), «George McVittie, the uncompromising empiricist», en Einstein Studies, vol. 11 (The Universe of General Relativity) (Birkhäuser, Boston), pp. 189-221.; — (2005 b), «Introducción», en Seelig (2005: 9-20).; — (2007), El poder de la ciencia. Historia social, política y económica de la ciencia (siglos XIX y XX) (Crítica, Barcelona).; — (2012), «The early reception of Einstein's relativity among British philosophers», en Lehner, Renn, y Schemmel, eds. (2012: 75-118).; — (2014), El mundo después de la revolución. La física de la segunda mitad del siglo XX (Pasado & Presente, Barcelona).
- SÁNCHEZ RON, José Manuel, ed. (1990), Albert Einstein. Cartas a Mileva (Mondadori, Madrid).; — (2005), Einstein. Obra esencial (Crítica, Barcelona).
- SÁNCHEZ RON, José M. y GLICK, Thomas F. (1983), La España posible de la Segunda República. La oferta a Einstein de una cátedra extraordinaria en la Universidad Central (Madrid 1933) (Editorial Universidad Complutense, Madrid).
- SÁNCHEZ RON, José M. y ROMERODE PABLOS, Ana, eds. (2005), Einstein en España(Publicaciones de la Residencia de Estudiantes).
- SAUER, Tilman (2014), «Einstein'sunified field theory program», en Janssen y Lehner, eds. (2014: 281-305).
- SCHAFFNER, Kenneth F. (1972), Nineteenth Century Aether Theories (Pergamon Press, Oxford).
- SCHILPP, Paul Arthur, ed. (1949), Albert Einstein: Philosopher-Scientist (Open Court, La Salle, III.).
- SCHLICK, Moritz (1915), «Die philosophische Bedeutung des Relatitätsprinzips», Zeitschrift für Philosophie und philosophische Kritik 159, pp. 129-175.
- SCHMIDT, Maarten (1963), «3C 273: a star-like object with large red-shift», Nature 197, p. 1040.
- SCHOLZ, ed., Erhard (2001), Hermann Weyl's Raum-Zeit-Materie and a General Introduction to His Scientific Work (Birkhäuser, Basilea).
- SCHOUTEN, Jan (1918), «Die direkte Analysis zur neueren Relativitätstheorie», Verhandelingen Koninklijke Akademie van Wetenchappen te Ámsterdam 12, pp. 3-98.; — (1924), Der Ricci-Kalkül (Julius Springer, Berlín).
- SCHROEDER-GUDEHUS, Brigitte (1978), Les scientifiques et la paix. La communnaté scientifique internationale au cours des annés 20 (Les Presses de l'Université de Montréal, Montreal).
- SCHRÖDINGER, Erwin (1926 a), «Quantisierung als Eigenwertproblem. (Erste Mitteilung)», Annalen der Physik 79, pp. 361-376.; — (1926 b), «Quantisierung als Eigenwertproblem. (Zweite Mitteilung)», Annalen der Physik 79, pp. 489-527.; — (1926 c), «Über das Verhältnis der Heisenberg-Born-Jordanschen Quantenmechanik zu der meinen», Annalen der Physik 79, pp. 734-756.; — (1926 d), «Quantisierung als Eigenwertproblem. (Dritte Mitteilung: Störungstheorie, mit Anwendung auf den Stareffekt der Balmerlinien)», Annalen der Physik 80, pp. 437-490.; — (1926 e), «Quanti sierung als Eigenwertproblem. (Vierte Mitteilung)», Annalen der Physik 81, pp. 109-139.; — (1935), «Die gegenwärtige Situation in der Quantenmechanik», Die Naturwissenschaften 23, pp. 807-812, 823-828, 844-849.; — (1992), La estructura del espacio-tiempo (Alianza, Madrid; edición original en inglés de 1950).
- SCHWARZSCHILD, Karl (1916 a), «Über das Gravitationsfeld eines Massenpunktes nach der Einsteinschen Theorie», Preussische Akademie der Wissenschaften (Berlin). Sitzungsbericht, pp. 189-196.; — (1916 b), «Über das Gravitationsfeld einer Kugel aus inkompressibler Flüssigkeit nach der Einsteinschen Theorie», Preussische Akademie der Wissenschaften (Berlin). Sitzungsbericht, pp. 424-434.; — (1992), Gesammelte Werke, Voigt, H. H., ed. (Springer-Verlag, Berlín).
- SCIAMA, Dennis W. (1959), The Unity of the Universe (Faber and Faber, Londres).
- SCOTT, Walter (1999), «Minkowski, mathematicians, and the mathematical theory of relativity», en Goenner, Renn, Ritter y Sauer, eds. (1999: 45-86).
- SEELIG, Carl (2005), Albert Einstein (Espasa, Madrid).; — (2000), Paseos con Robert Walser (Siruela, Madrid; edición original en alemán de 1977).
- SEELIG, Carl, ed. (1956), Helle ZeitDunkle Zeit. In Memoriam Albert Einstein (Europa Verlag, Zúrich).
- SENARMONT, Henri de, VERDET, Émile y FRESNEL, Léonor, eds. (1868), Oeuvres completes d'Augustin Fresnel, tomo 2 (Imprimerie Impèriales, París).
- SHANKLAND, Rober S. (1963), «Conversations with Albert Einstein», American Journal of Physics 31, pp. 47-57.
- SIGURDSSON, Skuli (1991), Hermann Weyl, Mathematics and Physics, 1900-1927, tesis doctoral (Harvard University, Cambridge, Mass.).
- SMITH, Alice K. y Weiner, Charles, eds. (1980), Robert Oppenheimer. Letters and Recollections (Harvard University Press, Cambridge, Mass.).
- SNOW, Charles P. (1969), «Einstein», en C. P. Snow, Nueve hombres del siglo XX (Alianza Editorial, Madrid; edición original en inglés de 1967).
- SOLDNER, Johann Georg von (1801), «Ueber die Ablenkung eines Lichtstrals von seiner geradlinigen Bewegung, durch die Attraktion eines Weltkörpers, an welchem er nahe vorbei geht», Berliner Astronomisches Jahrbuch1804, pp. 161-172.
- SOLOVINE, Maurice (1956), «Introduction», en Einstein (1956 a: V-XIII).
- SOMMERFELD, Arnold (1907), «Ein Einwand gegen die Relativtheorie der Elektrodynamik und seine Beseitigung», Physikalische Zeitschrift 8, pp. 841-842.
- SPEZIALI, Pierre, ed. (1994), Correspondencia con Michele Besso (1903-1955) (Tusquets, Barcelona; edición original en francés de 1979).
- SREDNIAWA, Bronislaw (1992), «Myron Mathisson's and Jan Weyssenholff's work on the problem of motion in general relativity», en Eisenstaedt y Kox, eds. (1992: 400-406).
- STACHEL, John (1980), «The rigidly rotating disk as the 'missing link' in the history of general relativity», en Held, A., ed., General Relativity and Gravitation. One Hundred Years after the Birth of Albert Einstein (Plenum Press, Nueva York), pp. 1-15. Reimpreso en Stachel (200 a: 245-260).; — (1986), «Eddington and Einstein», en The Prism of Science, Ullmann-Margalit, E., ed. (Reidel, Dordrecht), pp. 225-250.; — (1989), «Einstein's search for general covariance, 1912-1915», en Howard y Stachel, eds. (1989: 63-100). Reproducido en Stachel (2002 a: 301-337).; — (1994), «Lanczos's early contribution to relativity and his relationship with Einstein», en Proceedings of the Cornelius Lanczos International Centenary Conference, Brown, J. et al., eds. (SIAM), pp. 201-221. Reproducido en Stachel (2002 a: 499-518).; — (1999), «Einstein and Infeld: seen through their correspondence», Acta Physica Polonica B 30, pp. 2879-2804. Reproducido en Stachel (2002 a: 477-497).; — (2002 a), Einstein from B to Z (Birkhäuser, Boston).; — (2002 b), «A man of my type. Editing the Einstein Papers», en Stachel (2002 a: 97-111).
- STERN, Fritz (2003), El mundo alemán de Albert Einstein (Paidós, Barcelona; edición original en inglés de 1999).
- STOFF, Michael B., FANTON, Jonathan F. y WILLIAMS, R. Hal (1991), The Manhattan Project. A Documentary Introduction to the Atomic Age (McGraw-Hill, Nueva York).
- STOKES, George Gabriel (1845), «On the aberration of light», Philosophical Magazine 27, pp. 9-15.; — (1846), «On Fresnel's theory of the aberration of light», Philosophical Magazine 28, pp. 76-82.
- STRAUS, Ernst G. (1980), «Working with Einstein», en Woolf, ed. (1980: 481-485).
- STRUIK, Dirk (1989), «Schouten, Levi-Civita and the emergence of tensor calculus», en Rowe y McClearly, eds. (1989: 99-105).
- SZILARD, Leo (1969), «Reminiscences», en The Intellectual Migration. Europe and America, 1930-1960(Harvard University Press, Cambridge, Mass.), pp. 94-151.
- Taylor, J. H, Fowler, L. A. y McCulloch, P. M. (1979), «Measurements of general relativistic effects in the binary pulsar PSR1913+16», Nature 277, pp. 437-440.
- TERLETSKII, Ya. (1968), Paradoxes in the Theory of Relativity (Plenum Press, Nueva York).
- THOMSON, Joseph John (1883), A Treatise on the Motion of Vortex Rings (Macmillan, Londres).; — (1897), «Cathode rays», Philosophical Magazine 44, pp. 293-316.; — (1904), Electricity and Matter (Yale University Press, New Haven).; — (1908), Electricidad y materia (Adrián Romo, Madrid). Traducción al español de Thomson (1904).; — (1910), «President'sAddress», Report of the Seventy-Ninth Meeting of the British Association for the Advancement of Sciencie. Winnipeg: 1909 (John Murray, Londres), pp. 3-29.
- TISZA, Laszlo (1938), «Transport phenomena in helium II», Nature 141, p. 913.
- TRBUHOVIC-GJURIC, Desanka (1992), A la sombra de Albert Einstein. La trágica vida de Mileva Einstein Maric ( Ediciones de la Tempestad, Barcelona; edición original en serbio de 1969).
- TROUTON, Frederick T. y NOBLE, H. R. (1903 a), «The mechanical forces acting on a charged electric condenser moving through space», Philosophical Transactions of the Royal Society A 202, pp. 165-181.; — (1903 b, «The forces acting on a charged condenser moving through space», Proceedings of the Royal Society 74, pp. 132-133 (1903).
- TRUESDELL, Clifford (1975), Ensayos de historia de la mecánica (Tecnos, Madrid; edición original en inglés de 1968).
- TURNBULL, H. W., ed. (1961), The Correspondence of Isaac Newton, vol. 3 (Cambridge University Press, Cambridge).
- VALLENTIN, Antonina (1955), El drama de Alberto Einstein (Sur, Buenos Aires).
- VAN DER WAERDEN, B. L., ed. (1967), Sources of Quantum Mechanics (Dover, Nueva York).
- VAN DONGEN, Jeroen (2010), Einstein's Unification (Cambridge University Press, Cambridge).
- VERHULST, Ferdinand (2012), Henri Poincaré. Impatient Genius (Springer, Nueva York).
- VIZGIN, Vladimir P. (1994), Unified Field Theories(Birkhäuser, Basilea).
- VOIGT, H. H. (1992), «Biography of Karl Schwarzschild (1873-1916)», en Schwarzschild (1992: vol. 1, 1-28)
- VOIGT, Woldemar (1887), «Ueber das Doppler'sche Princip», Nachrichten von der Königl. Gesellschaft der Wissenschaften und der Georg-Augusts-Universität zu Göttingen, pp. 41-51.
- VON HALBAN, jr., HANS, Joliot, FRÉDÉRICK y KOWARSKI, Leo (1939), «Liberation of neutrons in the nuclear explosion of uranium», Nature 143, pp. 470-472.
- VON IGNATOWSKI, Waldemar (1910), «Einige allgemeine Bemerkungen über das Relativitätsprinzip», Physikalische Zeitschrift 11, pp. 972-976.; — (1911 a), «Das Relativitätsprinzip», Archiv der Mathematik und Physik 17, pp. 1-24.; — (1911 b), «Das Relativitätsprinzip», Archiv der Mathematik und Physik 18, pp. 17-40.
- VON LAUE, Max (1911), Das Relativitätsprinzip (Druge und Verlag von Friede. Vieweg & Sohn, Braunschweig).
- VON NEUMANN, John (1932), Mathematische Grundlagen der Quantemechanik (Springer, Berlín).
- WALKER, Arthur G. (1935), «On Riemannian spaces with spherical symmetry about a line, and the conditions for isotropy in general relativity», Quarterly Journal of the Mathematics Oxford 6, pp. 81-93.
- WALSH, D., Carswell, R. F. y WEYMAN, R. J. (1979), «0957+561 {A}, {B}: twin quasistellar objects or gravitational lens?», Nature 279, p. 381.
- WARWICK, Andrew (1991), «On the role of the FitzGerald-Lorentz contraction hypothesis in the development of Joseph Larmor's electronic theory of matter», Archive for the History of Exact Sciences 43, pp. 29-91.; — (1995), «The sturdy protestants of science: Larmor, Trouton, and the Earth's motion through the ether», en Scientific Practice, Buchwald, J. Z., ed. (Chicago University Press, Chicago), pp. 300-343.; — (2003), Masters of Theory. Cambridge and the Rise of Mathematical Physics (The University of Chicago Press, Chicago).
- WAZECK, Milena (2014), Einstein's Opponents (Cambirdge University Press, Cambridge).
- WEAIRE, Denis, ed. (2009), George Francis Fitzgerald (Living Edition, Pöllauberg).
- WEAIRE, D. y COEY, J. M. D.(2009), «Mentor and constant friend: the life of George Francis Fitzgerald (1851-1901)», en Weaire, ed. (2009: 11-19).
- WEINBERG, Steven (1972), Gravitation and Cosmology(John Wiley and Sons, Nueva York).
- WEITZENBÖCK, Roland (1928), «Differential-invarianten in der Einsteinschen Theorie der Fernparallelism», Königlich Preussische Akademie der Wissenschaften (Berlin). Sitzungsberichte, pp. 466-474.
- WERTHEIMER, Max (1959), Productive Thinking (Harper & Brothers, Nueva York; segunda edición, ampliada; primera edición de 1945).
- WESTPHAL, Wilhelm (1958), «Max Planck als Mensch», Die Naturwissenschaften 45, pp. 234-236.
- WEYL, Hermann (1918), Raum-Zeit-Materie. Vorlesungen uber allgemeine Relativitätstheorie (Julius Springer, Berlín).; — (1919), «Eine neue Erweiterung der Relativitätstheorie», Annalen der Physik 59, pp. 101-133.; — (1921), «Electricity and gravitation», Nature 106, pp. 800-802.; — (1935), «Emmy Noether», Scripta Mathematica 3, pp. 201-220.; — (1944), «David Hilbert and his mathematical work», Bulletin of the American Mathematical Society 50, pp. 612-654.; — (1949), «Relativity theory as a stimulus in mathematical research», Proceedings of the American Philosophical Society 93, pp. 535-541.; — (1952), Space-Time-Matter (Dover, Nueva York). Traducción al inglés de la cuarta edición de Weyl (1918).
- WHEELER, John A. y ZUREK, Wojciech H., eds. (1983), Quantum Theory and Measurement (Princeton University Press, Princeton).
- WHITEHEAD, Alfred N. (1922), The Principle of Relativity with Applications to Physical Science (Cambridge University Press, Cambridge).; — (1946), Science and the Modern World (Cambridge University Press, Cambridge; primera edición de 1926).
- WHITTAKER, Edmund T. (1929), «What is energy?», Mathematical Gazette (abril), pp. 401-406; — (1953), A History of the Theories of Aether and Electricity, II: The Modern Theories, 1900-1926(Thomas Nelson and Sons, Edimburgo).
- WILDEROTTER, Hans (2005), «The Einstein Tower: its genesis and function», en Renn, ed. (2005: 188-193).
- WILL, Clifford (1989), ¿Tenía razón Einstein? (Gedisa, Barcelona; primera edición en inglés de 1986).
- WILSON, Margaret (1951), Ninth Astronomer Royal. The Life of Frank Watson Dyson (W. Heffer & Sons, Cambridge).
- WOLF, Stefan L. (2003), «Physicists in the “Krieg der Geister”: Wilhelm Wien's Proclamation», Historical Studies in the Physical and Biological Sciences 33, pp. 337-368.
- WOODRUFF, A. E. (1970-1980), «Larmor, Joseph», en Dictionary of Scientific Biography, vol. 8, C. Gillespie, ed. (Scribner & Sons, Nueva York), pp. 39-41 Woolf, Harry, ed. (1980), Some Strangeness in the Proportion (Addison-Wesley, Reading, Mass.).
- WÜNSCH, Daniela (2005), «Einstein, Kaluza, and the fifth dimension», en Kox y Eisenstaedt, eds. (2005: 277-302).
- Young, Thomas (1800), «Outlines of experiments and inquiries respecting Sound and Light. In a letter to Edward Whitaker Gray», Philosophical Transactions of the Royal Society of London 90, pp. 106-150.; — (1804), «Experiments and calculations relative to physical Optics (The Bakerian Lecture)», Philosophical Transactions of the Royal Society of London 94, pp. 1-16.
- YOUNG, W. H. (1928), «Christian Felix Klein, 1849-1925», Proceedings of the Royal Society of London 121, pp. 1-19.
- ZACKHEIM, Michele (1999), Einstein's Daughter. The Search for Lieserl (Riverhead Books, Nueva York).
- ZAHAN, C. T. y SPEES, A. A. (1938), «A critical analysis of the classical experiments on the relativistic variation of electron mass», Physical Review 53, pp. 511-521.
- ZWICKY, Fritz (1933), «Rotverschiebung von Extragalaktischen Nebeln», Helvetica Physica Acta 6, pp. 110-118.; — (1937), «On the masses of nebulae and of clusters of nebulae», Astrophysical Journal 86, pp. 217-246.
Notas:


















