Al-Juarismi
Carlos Dorce Polo
Muchas veces se ha creído que la ciencia árabe medieval fue una mera transmisora de los antiguos conocimientos griegos hasta la Europa latina. Sin embargo, lejos de este pensamiento, desde el siglo VIII hasta el XV, el basto territorio que abrazó el islam fue el gran impulsor de la medicina, las matemáticas, la astronomía, la botánica...Si concretamos en el ámbito matemático, Grecia había vivido su gran esplendor en el siglo III a.C. con las cátedras de Euclides, Arquímedes, Eratóstenes y Apolonio, entre otros muchos. Estos sabios eminentes fundaron la geometría sintética, tal como la entendemos nosotros actualmente, con sus teoremas, proposiciones y demostraciones. Atrás quedaban Tales y Pitágoras; sus obras se convirtieron en el canon matemático imprescindible para explicar las realidades del mundo. Paralelamente, Alejandría se estableció como el centro cultural y a ella llegaron filósofos, médicos, matemáticos y toda clase de sabios para aprender de su famosa biblioteca; algunos de ellos trabajaron en la corte de los reyes ptolomeos. Con la invasión romana y los problemas sociales que vivió Atenas, Grecia tuvo que vivir su propio Renacimiento en el siglo II con la aparición de los primeros rescatadores de sabiduría. De este modo, Claudio Ptolomeo dio una explicación geométrica al sistema solar y, un siglo más tarde, Diofanto de Alejandría establecía las bases del álgebra y la teoría de números en Aritmética. Los años siguieron pasando y Pappus (siglo III) con su Colección matemática, Teón de Alejandría (siglo IV) y su hija Hipatia con sus ediciones de losElementos y del Almagesto, Proclo (siglo V) y su Comentario al libro I de los Elementos, siguieron dedicando sus esfuerzos a la enseñanza de las antiguas obras de Euclides y Arquímedes, las cuales no solo no pasaban de moda, sino que cada vez eran más alabadas. No obstante, el esplendor griego ya estaba viviendo su ocaso. Aún quedaban personajes como Eutocio de Acalón, Simplicio de Cilicia o Antemio de Tralles que, si bien seguían comentando las obras de sus predecesores, ya no hacían aportaciones innovadoras. Además, cuando, en el año 476, Odoacro depuso al último emperador romano de Occidente, Rómulo Augusto, la caída del Imperio llevó consigo el olvido de las matemáticas teóricas en las escuelas que aún pudieron seguir funcionando. La única figura «romana» que quizá destacó en este desierto matemático fue la de Boecio, a quien se le atribuye unaAritmética, basada en una Introducción a la aritmética de Nicómaco de Gerasa (siglo I), y una Geometría, fundamentada en los cuatro primeros libros de los Elementos.
Para terminar de rematar el final de una época, el emperador Justiniano mandó clausurar todas las escuelas filosóficas de Atenas en el año 529, debido a su temor de que la doctrina del cristianismo ortodoxo estuviera en peligro en ellas y, consecuentemente, también cerró lo que quedaba de la Academia de Platón. Con el último de sus directores, el sabio Isidoro de Mileto, se puso fin a la gloria que habían vivido las matemáticas griegas.
En este momento de la historia, el centro político mundial abandonó el mar Mediterráneo y se desplazó hacia la península Arábiga. En el siglo VII, el islam hizo su aparición y, en muy poco tiempo, controló un territorio que incluía el sur de Europa, el norte de áfrica y Asia central hasta tierras indias y chinas. Poco a poco, los musulmanes se fueron estableciendo en las provincias conquistadas y fundaron ciudades, palacios y mezquitas allí donde no había nada. Además, las mezquitas debían estar orientadas de modo que permitieran a sus feligreses orar en dirección a la Meca. Pero, ¿dónde estaba la Meca?; es más, ¿a qué hora se debía rezar? Si a esto se añaden las supersticiones derivadas de la astrología, la sociedad musulmana iba a necesitar en poco tiempo un buen manual matemático y astronómico para dar respuesta a estos problemas de su vida diaria.
Afortunadamente, en el siglo IX los abasíes fundaron la Casa de la Sabiduría en Bagdad y a ella llegaron todas aquellas obras matemáticas griegas que una vez habían maravillado al mundo. Allí estaba la solución a todos sus problemas. Solo debían leerlas y aprender sus resultados. Pero, además, las embajadas que llegaron a la corte de Bagdad desde el territorio vecino llevaron consigo las obras matemáticas y astronómicas indias. En ese momento de la historia, más que nunca, la corte de Bagdad necesitaba traductores que fuesen capaces de entender todos aquellos libros que ahora inundaban las estanterías de la nueva institución. Con todo, alrededor del año 780, en algún lugar de la región de la Jorasmia nacía Muhammad ibn Musa Al-Juarismi, destinado a ser uno de los matemáticos árabes más importantes de la historia.
Al-Juarismi pudo ser un simple traductor de la Casa de la Sabiduría. ¿Por qué no? No obstante, un buen día llegó a sus manos una edición de un antiguo tratado indio que contenía algo que no había visto hasta entonces. ¿Podía ser cierto? ¿Era posible escribir los números con tan solo el uso de nueve símbolos? Posiblemente otros traductores debieron de ver la misma maravilla y la necesidad de convertir aquel texto al árabe para que todo el mundo pudiera conocerlo. Sin embargo, de entre todos aquellos profesionales de la traducción, tan solo Al-Juarismi quedó asociado a la redacción de un manual, en árabe, donde se explicaban las maravillas del sistema posicional de numeración en base 10.
Ahí empezó una historia que permite, por ejemplo, que ahora nosotros miremos los símbolos ordenados de las esquinas inferiores de las páginas de este libro y entendamos perfectamente cuántas hojas llevamos leídas. Solo por haberse dado cuenta del valor de este nuevo sistema de numeración, Al-Juarismi ya merecía un lugar destacado en la historia de las matemáticas. Posteriormente, en los siglos XII y XIII los traductores europeos tendrían la misma revelación y prosiguieron el camino de las cifras indoarábigas hasta la actualidad.
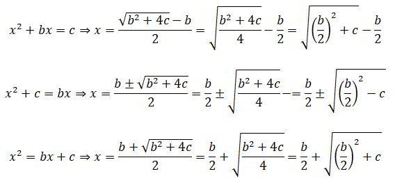
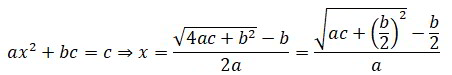
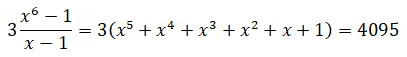
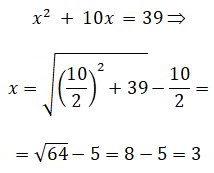
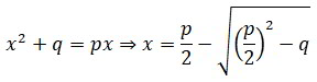
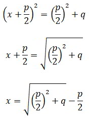
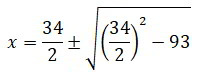
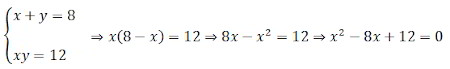
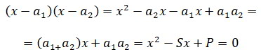
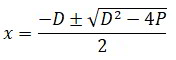
Pero eso no fue todo. Al-Juarismi también leyó los Elementos de Euclides y, pensando en las demostraciones del libro II, volvió a ver una luz de sabiduría. Egipcios, babilonios y griegos habían sabido resolver la ecuación de segundo grado, pero el talento matemático de Al-Juarismi iba a demostrar geométricamente aquellos procedimientos que habían ido sido utilizados sin más explicación que una fórmula dada. ¿Qué número elevado al cuadrado más 39 unidades era igual a ese mismo número multiplicado por 10? Al- Juarismi observó que los miembros de la ecuación podían ser interpretados como las áreas de ciertos cuadrados y rectángulos y, siguiendo las igualdades establecidas por Euclides, les podía dar solución en términos de sus lados. ¡Fantástico! Al-Juarismi fue capaz de devolver a los Elementos su merecido esplendor con su aplicación a la resolución de las ecuaciones cuadráticas. Como premio, el título de su libro álgebra iba a quedar registrado para siempre en los manuales matemáticos. ¡Y no solo eso! Con todo, su nombre iba a dar pie a la palabra «algoritmo», sin el cual la ciencia informática no sabría operar.
Finalmente, también se fijó en las obras de Ptolomeo y, al igual que rehízo su Geografía, decidió que el Almagesto y las Tablas manuales debían ser actualizados. Pero, ¿cómo? Ptolomeo había copiado los modelos geométricos de Hiparco de Rodas que explicaban los movimientos planetarios, pero esos no eran los únicos métodos vigentes en aquel momento. También, desde la India, habían llegado las modificaciones realizadas por sus astrónomos y Al-Juarismi las adaptó al árabe y a la ciudad de Bagdad. Luego, la expansión del islam hizo el resto. Sus tablas astronómicas llegaron a la península Ibérica y, desde allí, a toda Europa, de modo que, una vez más, el nombre de Al-Juarismi estuvo presente en los escritorios de los grandes escribas y astrólogos medievales.
Siempre nos podrá quedar la duda sobre qué hubiese pasado si a Al-Juarismi le hubiera tocado traducir la Aritmética de Diofanto, las Cónicas de Apolonio o cualquiera de las obras de Arquímedes. ¿Qué hubiese visto en ellas que nadie vio antes? ¿Qué aplicaciones les hubiese dado? Quizá algún día la arqueología dé a luz otra obra suya, actualmente perdida, que haya pasado desapercibida y conozcamos un poco más de una mente tan privilegiada dentro de la historia de las matemáticas.
| Cronología | |
| ca. 760 | Al-Juarismi nace en la región de la Jorasmia. |
| 813 | El califa al-Ma'mun funda la Casa de la Sabiduría, en la que Al-Juarismi trabajará el resto de su vida. |
| ca.820 | Escribe su álgebra. |
| 828 | Se funda el observatorio de Shaminasiya en Bagdad. |
| 833 | Muere al-Ma'mun. Al-Juarismi termina su revisión de la Geografía ptolemaica. |
| ca.850 | Muere probablemente en Bagdad. |
| 852 | Al-Uqlidisi amplía el sistema posicional en base 10 a los decimales de un número. |
| 978 | Vigila compila el Codex virgilanus, que alberga la primera representación latina de la» cifras indoaráblgas. |
| ca.980 | Gerberto de Aurillac, futuro papa Silvestre II, escribe el Regulae de mumerarum abaci rationibus, en el cual recoge un ábaco para el que utiliza las cifras indoaráblgas. |
| ca.1000 | Maslama al-Majriti escribe su recensión del Sindhind de Al-Juarismi. |
| s. X | Adelardo de Bath o Juan de Sevilla traducen del árabe al latín el Algorismi de numero Indorum. |
| ca.1080 | El cadí Sa'id de Toledo lidera a un grupo de astrónomos, entre los que destaca Azarquiel, y compilan las Tablas de Toledo, las cuales copian algunas de las tablas del Sindhind. |
| ca. 1116 | Pedro Alfonso traduce el Sindhind. |
| 1138 | En Sicilia se acuñan las primeras monedas de la historia con las cifras indoaráblgas en lugar de las romanas. |
| 1145 | Robert de Chester traduce el álgebra en Segovia. Poco más tarde, Gerardo de Cremona la traduce en Toledo. |
| 1202 | Fibonacci escribe su Liber abaci y populariza en Italia las cifras indoaráblgas, el sistema de numeración posicional decimal y el álgebra de al- Juarismi |
| ca. 1230 | Alexander de Villadei escribe el Carmen de algorismo, y Johannes de Sacrobosco, el Algoritmus vulgaris, gracias a ello las cifras indoarábigas y el sistema de numeración posicional se implantan en Europa. |
| 1263-72 | Se compilan las Tablas alfonsíes, patrocinadas por Alfonso X el Sabio, que sustituirán a las Tablas de Toledo en la Europa medieval |
| 1381 | Pedro el Ceremonioso patrocina las Tablas de Barcelona, escritas por Corsuno, Gilbert y Dalmau Ses Planes, siguiendo la tradición India de Al-Juarismi. |
Capítulo 1
Los orígenes de la ciencia árabe
Al-Juarismi es una de las figuras más importantes de la matemática árabe y su obra no puede entenderse sin el contexto en el que desarrolló su vida. En el siglo IX, Bagdad se convirtió en una de las ciudades más prósperas del mundo y los mecenazgos de los distintos califas propiciaron su supremacía cultural sobre cualquier iniciativa similar desarrollada hasta el momento. Desde la Casa de la Sabiduría, la astronomía, las matemáticas y, en general, todas las ciencias vivieron su esplendor gracias a la conjunción de las herencias griega, india y persa.No cabe ninguna duda de que el desarrollo de la ciencia árabe se originó en el impulso dado por al-Mansur (califa entre los años 754 y 775) en su recién fundada Bagdad. En esta nueva etapa se recogió el testigo que, en épocas anteriores, habían llevado Atenas y Alejandría, y se consiguió que la ciencia y la cultura renacieran para alcanzar su nivel más alto.
Tras la muerte del profeta Mahoma, en el año 632, la península Arábiga había quedado absolutamente unificada tanto en lo político como en lo religioso. En las tres décadas siguientes, los cuatro califas ortodoxos que se fueron sucediendo (Abu Bakr, Umar, Uthman y Ali) consiguieron estabilizar las fronteras del nuevo Imperio, abarcando un vasto territorio que comprendía toda Persia, parte de Turquía y la región oriental del norte de áfrica. Sin embargo, la llegada de los invasores árabes a Siria, Egipto y las antiguas colonias griegas de Asia Menor y Mesopotamia no significó la desaparición de las raíces culturales de los territorios conquistados. De este modo, los nuevos colonos asimilaron las bases culturales, que no habían sido olvidadas del todo, e hicieron renacer los fundamentos científicos, tecnológicos e industriales de los pueblos que un día dominaron el mundo con su filosofía y pensamiento. A pesar de que muchas familias se convirtieron al islam, también hubo muchas otras que siguieron conservando sus tradiciones religiosas, y en esta mezcolanza de civilizaciones se gestaron los inicios de la ciencia árabe.
En una primera fase, tanto en la Meca como en Medina, aparecieron centros culturales donde era posible iniciarse en historia, derecho, los comentarios e interpretaciones del Corán y las tradiciones del islam ( Hadith). Con las conquistas del califa Untar, Basora se convirtió en un centro estratégico de gran importancia dentro del Imperio; pasó de ser un simple cruce de caminos y rutas comerciales a la gran capital de las provincias orientales. Su posición geográfica permitió que los distintos pueblos colonizados intercambiaran no solo mercancías, sino también sus costumbres y conocimientos, y algo parecido ocurrió en Kufa, en el centro de la actual Iraq. De hecho, hubo un momento en el que ambas ciudades rivalizaron por convertirse en el gran centro cultural del islam y solo la rebelión del gobernador de Siria, Muawiyyah, que inició el gobierno de la dinastía Omeya, terminó con esta disputa con el traslado de la capital a Damasco.
Otro de los factores que incidió muy positivamente en ese nuevo emerger de la ciencia y cultura fue el establecimiento del árabe como idioma. En el año 633, el califa Abu Bakr ordenó a Zayd ibn Thabit, quien había sido secretario personal del profeta, que compilara el Corán. La obra fue terminada en 651 bajo el califato de Uthman; con ella, la lengua árabe estaba destinada a convertirse en el idioma internacional, por tanto, el idioma de la ciencia y la filosofía. A partir de entonces, la historia empezó a acelerarse y, en Basora, antes de terminar el siglo VII, Abu al-'Aswad al-Du'ali estableció la escritura del árabe, rescatando diversos tratados sobre lingüística y gramática. La transmisión y el estudio del nuevo idioma fueron ampliamente promocionados; prueba de ello es que el fundador de la tradición gramatical árabe fue el persa Sibawayh (m. 705), quien pertenecía a toda una generación de nuevos conversos que se vieron muy beneficiados por las administraciones árabes. Con todo, el estudio del hadith, del Corán, su interpretación, su jurisprudencia, etc., se convirtieron en las enseñanzas de las distintas escuelas que se fundaron.
Durante el período omeya (en el poder desde el año 661 hasta el 760) las obras de ingeniería y de minería y el desarrollo económico a través de la acuñación de nuevas monedas coparon el máximo interés de los distintos califas. Además, la continuación de la expansión territorial del islam hasta la India y la península Ibérica por el este y el oeste, respectivamente, hicieron necesaria una reforma administrativa y económica del Estado. La arquitectura en palacios y mezquitas, el arte, la astronomía y la astrología también encontraron un lugar entre las prioridades de los nuevos califas. Un ejemplo de ello es el complejo de Qasr Amra, en la actual Jordania) donde, entre los años 735 y 750, fue pintada una representación del cielo nocturno con las constelaciones de la Osa Mayor, la Osa Menor, Orion, Casiopea... y los signos del Zodiaco, formando uno de los mapas estelares más antiguos que se conservan en la actualidad. Cada una de las constelaciones fue representada por su imagen griega y no se señaló ninguna estrella en particular, con lo que no sería extraño pensar que los árabes aprovecharan algún fresco romano conocido. De hecho, es constatable que el artista debió de copiar algún tipo de mapa estelar convexo anterior, ya que los signos del Zodiaco están dispuestos en el orden inverso, para que, al darles la vuelta, aparecieran en una bóveda cóncava. De todos modos, ya fuera una reconstrucción de un fresco greco-romano o una obra original, no hay ninguna duda de que a mediados del siglo VIII la tradición astronómica greco-romana había hecho su aparición en el mundo árabe. Cabe señalar que, durante el califato de Walid I (entre el año 705 y el 715), llegaron a Damasco numerosos arquitectos y artesanos bizantinos para trabajar en las obras de la Gran Mezquita y, con ellos, las primeras nociones astronómicas y astrológicas greco-romanas hicieron su aparición dentro de la ciencia islámica.
Otro dato que prueba el despertar científico de este período se halla en los experimentos alquímicos de Jalid ibn Yazid (ca. 665- ca. 705), hijo del califa Yazid I (entre el 680 y el 683). Jalid había viajado a Alejandría, donde entró en contacto con los misterios de la alquimia a través de las enseñanzas del monje Marianos. Con el tiempo, se convirtió en un gran alquimista y escribió diversos libros sobre este tema que lo elevaron a ser considerado uno de los mayores sabios de su tiempo. Con todo, esta iniciación mística fue llevada a Damasco y la astrología y la alquimia, legados indiscutibles de la ciencia bizantina, pasaron a tener su propio peso dentro de las costumbres adquiridas por los árabes. Además, hay que tener en cuenta que el propio Jalid fue autor de diversas traducciones de obras griegas. Paralelamente, en Damasco se empezaron a traducir libros persas al árabe y el gobernador de Egipto, Abd al-Aziz ibn Marwan, hijo de Marwan I (califa entre el 684 y el 685), también tradujo obras del copto al árabe. Entre todas esas obras traducidas se encontraban compilaciones históricas y lingüísticas, tratados de aritmética básica y explicaciones calendáricas que bien tuvieron su influencia en los escribas que se dedicaron a traducirlos y copiarlos.
Si ahora, a todo lo dicho se añade que los califas omeyas nunca mostraron mucho interés en promocionar las conversiones al islam (ya que los no musulmanes tenían un régimen fiscal bastante más impositivo que los musulmanes), la radiografía de la sociedad del Damasco de mediados del siglo VIII es la de una amalgama de culturas, cada una con su propia lengua (con un cierto predominio del árabe y del griego), tradiciones y costumbres, que posibilitó una correcta transmisión de la ciencia preislámica hacia los núcleos intelectuales del momento. Sin embargo, el Imperio estaba a punto de sufrir cambios inesperados. Durante el califato de Marwan II, una rebelión armada liderada por la dinastía Abasí en el año 748 y la posterior victoria de esta familia en la batalla de Zab (enero de 760) depuso a los omeyas en beneficio de Abu al-Abbas al-Saffah (califa hasta 754). Los abasíes basaron su política en el seguimiento del islam sin menospreciar las procedencias de sus súbditos y, cuando al-Mansur sucedió en el trono a su hermano, no dudó en aprovechar el potencial de los persas, cristianos, griegos, etc., que vivían en el Imperio. Sin duda alguna, el califato de al-Mansur significó un antes y un después en la ciencia árabe y una de las decisiones que más influyó en este hecho fue la mencionada fundación de la nueva capital, datada en el 30 de julio de 762. Bagdad emergió en medio del desierto como una ciudad circular a la que fueron llamados arquitectos, ingenieros, astrólogos, artesanos... para aportar lo mejor de sí mismos. Una crónica escrita en el siglo IX afirma que, en el proceso de fundación, al-Mansur fue aconsejado por el astrónomo persa Nawbajt Ahvaz y el judío Mashallah, quienes levantaron el horóscopo fundacional de la nueva capital abasí. Esta carta astral fue elaborada a partir del Zij al-Shah, un compendio de tablas astronómicas de origen indo-persa que los astrólogos árabes conocían en una versión pahleví. Este hecho pone de manifiesto la circulación de material científico preislámieo y deja ver que los astrólogos árabes aún no habían alcanzado un grado de madurez suficiente como para ser los consejeros del califa. En este sentido, en la ciudad persa de Gundeshapur se realizaron observaciones astronómicas bajo el auspicio del visir abasí Yahya ibn Jalid ibn Barmak (m. 806) con el objetivo de compilar el Zij al-Mushtimil de Ahmad ibn Muhammad al-Nihawandi (ca. 790). Gundeshapur había acogido a los filósofos neoplatónicos que fueron expulsados de Atenas y a los cristianos nestorianos perseguidos en Éfeso. Parece que la llegada de los nuevos gobernadores abasíes no cambió la política iniciada por Cosroes I, en la que se fundaron centros de enseñanza de medicina, matemáticas, astronomía y lógica, aprovechando todos los conocimientos que provenían de tierras griegas. Se tradujeron al sirio las obras médicas de Galeno y de Hipócrates, y el Organon de Aristóteles, entre otros; y probablemente, los Elementos de Euclides, las Cónicas de Apolonio y las diversas obras de Arquímedes encontraron aquí una puerta de entrada al mundo persa.
La casa de la sabiduría («bayt al-hikma»)
Con el quinto califa abasí, Harun al-Rashid (del 786 al 809), hijo de al-Mahdi y nieto de al-Mansur, el islam inició su apogeo cultural y científico. Harun al-Rashid fue un hombre culto que poseyó un imperio que iba desde la península Ibérica hasta China, y se rodeó de una corte muy numerosa con filósofos, escritores, poetas, músicos, astrólogos, médicos, etc. De todas las partes del Imperio se fueron acercando a Bagdad expertos de todo tipo buscando el patronazgo del nuevo califa; entre ellos también estuvieron los sabios de Gundeshapur. Daba igual su religión o la lengua que hablaran, lo importante era que aportaran su fuerza intelectual a la construcción del Estado. En muy poco tiempo, Bagdad fue capaz de asimilar y traducir todos los libros que iban llegando de las distintas culturas y la ciudad se convirtió en el motor intelectual de una civilización que no tenía ni dos siglos de historia. Toda esta transformación culminó de forma definitiva con el mecenazgo del califa al-Ma'mun (del 813 al 833), a quien se atribuye la fundación de la institución en sí misma.
Para entender la razón de todos estos patrocinios culturales hay que tener en cuenta que, desde tiempos de los primeros abasíes, hubo una necesidad de reafirmación de la identidad dentro de las distintas cortes que se fueron sucediendo. De este modo, una de las formas en las que la élite privilegiada podía distinguirse del resto del pueblo era la de demostrar una mayor cultura y refinamiento, un nivel de educación superior y unos hábitos inalcanzables para la mayoría de la población. Así, hasta la muerte del califa al-Amin, en el año 813, las primeras muestras de mecenazgo se centraron en la música y la poesía. Estas dos disciplinas estaban muy presentes en la sociedad preislámica del siglo VI y servían para consolidar el poder de los distintos jefes tribales. Con la llegada del islam, los gobernantes heredaron el interés por las epopeyas y gestas que los convertían en grandes figuras de la historia, por los relatos que alababan la hermosura de sus mujeres o por las aventuras de sus batallas ganadas. Era habitual que los califas patrocinaran este tipo de espectáculos en salones donde toda la corte estaba presente, con el deseo de que su poder y legitimidad quedaran del todo reafirmados. En esta línea, la lírica se convirtió rápidamente en el discurso oficial de esta élite privilegiada.
La llegada de al-Ma'mun al poder tras una dura guerra civil significó un borrón y cuenta nueva en la antigua corte de su hermano. Al-Ma'mun decidió rodearse de un nuevo grupo de cortesanos y de un nuevo estilo de gobierno en el que la música y la poesía no eran suficientes para cantar sus virtudes. Con su idea de renovación, agrupó a personajes que aún no habían pisado Bagdad, en muchos de los casos, dejando así muy claro que con él empezaba una nueva etapa. Todos eran musulmanes y todos conocían el árabe, y su nuevo signo de identidad iba a ser distinto del que imperaba en épocas anteriores: la ciencia y las traducciones se convertirían en el nuevo símbolo del califato. En consecuencia, una de las ciencias que más se vio favorecida por esta serie abrumadora de traducciones fue la medicina. Diversas fuentes árabes, tales como el Catálogo de las ciencias (Fihrist al-Ulum) del historiador Muhammad ibn Ishaq al-Nadim (m. ca. 995) o la Historia de los hombres sabios redactada por al-Qifti (ca. 1170-1248) atestiguan el gran interés que suscitaron las obras de Galeno, Hipócrates y Dioscórides y lo reproducidas que fueron en Bagdad. Por citar algún ejemplo, se pueden resaltar los nombres de Abu Yahya al-Batriq (m, ca. 805) y su hijo Yahya ibn Batriq o el de Ayyub Urhaya (ca. 760 - ca 835), médico personal de al-Ma'mun, quien tradujo del griego al sirio más de cuarenta obras médicas y compiló una gran enciclopedia médica, filosófica y biológica titulada Libro de los tesoros. Otro nombre que merece especial atención, es el de Hunayn ibn Ishaq (m. 876), a quien debemos las traducciones al árabe de los Elementos de Euclides, de la República de Platón y de la Física de Aristóteles, además de una larga lista de casi ciento cincuenta obras médicas y farmacológicas. Su prolífica labor traductora lo catapultó a ser nombrado jefe de la escuela de traductores de la Casa de la Sabiduría.
De las otras ciencias que se desarrollaron en la Casa de la Sabiduría, la astronomía fue la que captó la atención preferente de los traductores. Se dice que el mismo Harun al-Rashid era de la opinión de que sus astrónomos y astrólogos no tenían suficientes conocimientos de geometría como para estar a la altura de la empresa iniciada y esto pudo ser el detonante de que se priorizara la ciencia de las estrellas por encima de otras muchas. De este modo, Harun al-Rashid pagó embajadas a Bizancio para comprar los Elementos de Euclides y el Tetrabiblos y el Almagesto de Ptolomeo. Una primera traducción de esta última obra fue realizada por Yahya ibn Jalid ibn Barmak en Gundeshapur a principios del siglo IX, aunque parece que era muy rudimentaria y no satisfizo las expectativas. Alrededor del año 828, Hajjaq ibn Mattar volvió a traducir el Almagesto y su versión se convirtió en el manual astronómico de referencia, tanto en la Casa de la Sabiduría como en el resto del mundo árabe. También hay que señalar la traducción que se hizo del Shindhind indio, cuya llegada a Bagdad se suele situar hacia el año 775. La razón de su mención es que, pese a que en tiempos de al-Mansur ya se había traducido al árabe, la versión realizada en la Casa de la Sabiduría corrió a cargo de Al-Juarismi.
El fihrist al-ulum de Al-NadimEl fihrist al-ulum es el tratado bibliográfico más completo escrito hasta el siglo X en el contexto de la ciencia árabe. En este trabajo enciclopédico, Muhammad Ibn Ishaq al-Nadim se dedicó a describir la vida y obras de miles de autores, añadiendo sus propias opiniones sobre sus logros, méritos, libros, etc. Las biografías aportadas son realmente precisas, ya que al-Nadim no dejó de analizar ningún detalle: desde su religión, sus supersticiones y las sectas a las que pertenecieron, hasta los idiomas que dominaban, sus ideas filosóficas y sus maneras de divertirse y pasar el rato. De este modo, este texto compilado en el año 987 es la base documental más fiable que se conserva para documentar las épocas anteriores y, sobre todo, los filósofos y científicos árabes de los siglos VIII y IX. Está dividido en diez capítulos dedicados, respectivamente a biografiar a los autores relacionados con:En contrapartida a esta vasta fuente de información, no se sabe casi nada de la vida de al-Nadim, a excepción de lo que nos refieren diversos autores árabes posteriores. Su padre fue librero y, probablemente, envió a su hilo a la mezquita a la edad de seis años para aprender a leer y a escribir, introducirse en el hadith y memorizar el Corán. Tras cuatro años de estudio, el propio al-Nadim debió de interesarse por seguir la carrera de derecho islámico y pudo acceder a todos los libros disponibles en aquel momento gracias a la librería familiar. Así pues, no es improbable pensar que al-Nadim fuera contratado como copista y ayudara a su padre a vender los libros que debía estudiar el resto de discípulos. Con este trabajo, a al-Nadim se le abrió la puerta de multitud de tratados de distintas disciplinas y no es de extrañar que empezara a redactar catálogos de las obras más importantes de la librería y también de los libros perdidos de los que se hablaba en los textos que iba leyendo y copiando. Posteriormente, extendió esta labor a las obras de sus maestros, quienes debieron de ser renombrados historiadores, filósofos, científicos y juristas. Con todo, gran parte de su vida la pasó en su ciudad persa natal, donde se casó y tuvo hijos, y él mismo cuenta que viajó a Mosul (en el norte de Iraq) para visitar sus bibliotecas. Sin embargo, aunque no existe ninguna evidencia de ello, no es descartable que también viajara a otros centros intelectuales en Siria, Iraq, e incluso que terminara como secretario en alguna biblioteca de Bagdad, si no en la misma Casa de la Sabiduría.
- Las escrituras religiosas judías, cristianas y musulmanas, con atención especial en el Corán. También se incluye una sección que describe los distintos idiomas del mundo
- La gramática y la lingüística, enfatizando los autores de Basora y Kufa.
- Las tradiciones históricas, la literatura y la genealogía. Dedica una sección a los reyes, secretarios, jueces, cantantes, bufones... de las cortes musulmanas.
- La poesía islámica y preislámica.
- La teología
- Las leyes y las autoridades legales.
- La filosofía natural, la lógica, la medicina y las ciencias antiguas (geometría aritmética, música, astronomía, construcción de instrumentos, mecánica y dinámica).
- Los cuentos y fábulas, la magia, el exorcismo y el malabarismo,
- Varias sectas Importantes, entre las que incluye algunas chinas e Indias.
- La alquimia.
La actividad astronómica en el califato de Al-Ma'mun
Otra de las instituciones patrocinadas por al-Ma'mun, que influyó determinantemente en los inicios de la hegemonía árabe medieval, fue el observatorio de Shammasiya, en Bagdad, que tenía que ser el complemento perfecto a la actividad traductora de la Casa de la Sabiduría. Como se ha dicho, el objetivo de los escribas en la Casa de la Sabiduría era la traducción e interpretación de las obras griegas, indias, sirias y persas que iban llegando a las estanterías de sus bibliotecas. Mientras tanto, los astrónomos del observatorio debían incorporar todos estos conocimientos a la compilación de unas tablas astronómicas válidas para la ciudad de Bagdad y el siglo IX. Por lo tanto, si bien no se puede afirmar con seguridad que el observatorio de Shanunasiya formara parte del complejo de la Casa de la Sabiduría, está claro que tanto los traductores como los astrónomos y astrólogos debieron de acceder libremente a ambas instituciones.
El nuevo observatorio fue fundado en 828 y se nombró a Sanad ibn Ali para que construyera los instrumentos astronómicos y supervisara las observaciones que allí se iban a realizar. Además del propio Sanad, entre los científicos que formaron parte de su equipo destacan Yahya ibn Abi Mansur (m. ca. 830) y al-Abbas ibn Said al-Jawhari (m. ca. 860); todos ellos eran autores de importantes tratados matemáticos y astronómicos. Además, vale la pena señalar que, pese a que Al-Juarismi estuvo siempre ligado a la Casa de la Sabiduría, en la que desempeñó algún tipo de cargo de administrativo o de bibliotecario, también participó en las primeras observaciones realizadas en Shammasiya.
Tras la muerte de Yahya ibn Abi Mansur, al-Ma'mun viajó a Damasco y ordenó la construcción de un nuevo observatorio, el de Qasiyun, para el que escogió como director a Jalid Ibn Abd al- Malik al-Marwazi. El califa le ordenó la construcción de nuevos instrumentos astronómicos que mejoraran los de Yahya ibn Abi Mansur, de modo que el observatorio de Qasiyun pasó a ser la nueva referencia en el califato. La nueva actividad astronómica nació con el propósito de dedicar un año a observar diariamente el Sol y la Luna. Esta actividad se llevó a cabo entre 831 y 832, y pese a que Bagdad debía continuarla, la muerte del califa en 833 terminó con las previsiones planteadas en un inicio.
Del equipamiento y los instrumentos con los que contaron ambos observatorios no se sabe mucho. Parece que Yahya ibn Abi Mansur poseía una esfera armilar, que no era demasiado precisa y que fue vendida tras su muerte en el mercado de los libreros de Bagdad. Su diseñador y constructor fue ibn Jalaf al-Marwudi, a quien se le atribuye haber construido astrolabios en Bagdad. Por otro lado, en Damasco hay noticias de la construcción de un cuadrante azimutal (que fue aprovechado en el observatorio de Maraga en el siglo XIII), de un cuadrante mural de mármol de 6 m de radio (a cargo de Al ibn Isaal-Usturiabi) y de un gnomon de hierro de también 6 m de altura, destinado a determinar la longitud del año solar.

Representación de una librería del imperio abasí, en una edición del del Maqamat de al-Hariri por Yahya ibn Mahmud al-Wasiti, datada en 1237.

Una de las publicaciones más importantes de los hermanos Banu Musa en su libro sobre los Dispositivos ingeniosos que trata de máquinas automáticas y dispositivos mecánicos. En la imagen doble página interior de la obra publicada en 850 por los tres hermanos que llegaron a trabajar en la casa de la sabiduría
Al-Jawhari y el postulado de las paralelasNo se sabe prácticamente nada de este matemático y astrónomo excepto que trabajó en la Casa de la Sabiduría, en el observatorio de Shammasiya en Bagdad y en el observatorio de Oasiyun en Damasco.
Una de sus obras más importantes dentro de la historia de las matemáticas fue su Comentario a los Elementos de Euclides, por las casi cincuenta proposiciones adicionales que añadió y por su intento de demostración del quinto postulado del libro I (o postulado de las paralelas); se convirtió así en el primer matemático árabe que lo intentaba. El quinto postulado viene a afirmar que dada una recta en el plano, tan solo es posible trazar una recta paralela a la misma por un punto dado. Ya desde tiempos griegos se creyó que este resultado tenía que ser demostrable con las otras cuatro premisas dictadas por Euclides, pero el tema seguía abierto en el siglo IX. Estos cuatro primeros postulados son:
1. Se puede trazar una línea recta por dos puntos dados.
2. Se puede extender indefinidamente en línea recta cualquier segmento de recta
3. Se puede trazar una circunferencia con un centro y un radio dados.
4. Todos los ángulos rectos son iguales entre sí.
La demostración de al-Jawhari no es correcta y el tema del quinto postulado no se cerró hasta la invención de las geometrías no euclídeas por parte de Carl Friedrich Gauss (1777-1855). Nikolát Lobachevski (1792-1856) y János Bolyal (1802-1860), de manera independiente.
Izquierda, Carl Friedrich Gauss. Centro, Nikolát Lobachevski. Derecha, János Bolyal
Los hermanos Banu Musa
Tras la muerte de al-Ma'mun, la actividad astronómica siguió estando presente en Bagdad y responsables de ello fueron los hermanos Banu Musa, de nombres Muhammad (m. ca 873) y Ahmad. Un tercer hermano, llamado Hasan, no parece que tomara parte en estas observaciones astronómicas. Su padre, Musa ibn Shakir, había sido un ladrón que en algún momento se había interesado por la nueva ciencia que iba llegando a la corte de Harun al-Rashid. De alguna manera, se había hecho amigo del príncipe al-Ma'mun y cuando este accedió al trono del califato, se hizo cargo de sus tres hijos, a quienes proporcionó una exquisita educación en su corte, les enseñó matemáticas, música y astronomía. Ya de mayores, los hermanos Banu Musa fueron de los primeros científicos árabes que estudiaron las fuentes matemáticas griegas y su talento los llevó a trabajar en la Casa de la Sabiduría, incluso después del fallecimiento de al-Ma'mun. Este interés por los clásicos griegos se observa claramente en el carácter de sus obras, en las cuales añadieron también aportaciones propias. Muhammad, por ejemplo, escribió una revisión de las Cónicas de Apolonio, y Hasan redactó sus propias demostraciones a las propiedades de la elipse. Hay que señalar que las Cónicas siempre estuvieron en el foco de interés de los hermanos y una prueba más de ello es que, cuando Hasan murió, Ahmad viajó a Siria para conseguir nuevos manuscritos de la obra de Apolonio. Consiguió versiones de los siete primeros libros (el octavo aún está perdido), entre las que estaba la revisión de los cuatro primeros, realizada por Eutocio de Ascalón en el siglo VI, que dejó a Hilal ibn Abi al-Himsi para que la tradujera al árabe.
Otra de las obras matemáticas destacadas de los hermanos es elLibro para saberla medida de las figuras planas y esféricas, que fue objeto de una recensión a cargo de Nasir al-Din al-Tusi (1201- 1274) y de una traducción latina realizada por Gerardo de Cremona (1114-1187) con el título Liber trium fratrum de geometría (Libro de geometría de los tres hermanos ). Las bases de este tratado son De la medida del círculo y de la esfera y el cilindro de Arquímedes, pero mientras que el de Siracusa fundamentó sus resultados en la comparación de figuras, los Banu Musa ofrecieron fórmulas aritméticas de cálculo.
Los tres problemas clásicos griegosCuenta una leyenda que estando el rey Minos de Creta ante la tumba de su hijo Glauco, ordenó a sus geómetras que consiguieran doblar las dimensiones de aquella especie de altar cúbico para ofrecerle una correcta sepultura al príncipe. Si Aristóteles había afirmado que los posibles movimientos de los elementos naturales tan solo podían ser el movimiento rectilíneo uniforme y el circular uniforme, las matemáticas griegas antiguas estaban basadas en las construcciones geométricas, que se podían construir utilizando una regla y un compás. Con esta premisa, los antiguos ingenieros griegos se pusieron a diseñar la nueva tumba. Contando que, inicialmente, cada arista de esta tumba hexaédrica media 10 unidades de longitud, su volumen era de 10 3 = 1000 unidades cúbicas. Como Minos quería doblar el volumen, los diseñadores tenían que construir un nuevo cubo cuyo volumen fuera de 2000 unidades cúbicas y, en consecuencia, de arista igual a 10 (3√2).
Este mismo problema de diseño lo afrontaron los antiguos habitantes de Delos, quienes para terminar con una plaga que azotaba su población, consultaron al oráculo qué debían hacer. La pitonisa del templo les comunicó que la única manera de solventar aquel problema era construir un altar cúbico cuyo volumen fuera igual al doble del que tenían hasta el momento.
Fuera cual fuera realmente el origen de este problema, los antiguos griegos se plantearon resolver la construcción de un segmento de longitud 10 ( 3√2) a partir de otro de longitud 10, utilizando tan solo la regla y el compás, sin saber que, por contener una raíz cúbica, este problema no tenia solución. Esta duplicación del cubo, junto con los problemas de la trisección de un ángulo cualquiera y la construcción de un cuadrado cuya área fuera igual a la de un circulo dado, pasaron a la historia como los tres problemas clásicos de las matemáticas griegas, y la imposibilidad de su resolución con tan solo una regla y un compás abrió las distintas posibilidades imaginativas de los matemáticos de todas las épocas. Así, por ejemplo, se atribuye a Hipócrates de Quios (siglo V a.C.) el haberse dado cuenta de que se podía doblar el cubo si se podían construir las dos medias proporcionales a los segmentos de longitud l y 2 unidades, es decir, si se podían encontrar dos segmentos de longitudes x e y tales que:En estas condiciones, x = 3√2 , sin embargo el propio Hipócrates no fue capaz de resolverlo y las posibles soluciones que se fueron dando pasaron por la intersección de curvas cónicas o por la construcción de curvas mecánicas con distintos aparatos de madera.
Apolo convirtió en símbolo de los oráculos de Delos y de Delfos, y a él recurrieron los habitantes de Delos para consultar sobre uno de los tres problemas clásicos griegos. En la imagen, ruinas del templo de Apolo en Delfos.
De este modo, sí Arquímedes afirmó que el volumen de una esfera es el cuádruple del volumen de un cono cuyas base y altura son iguales al círculo máximo de la esfera y el radio, respectivamente, los Banu Musa calcularon de manera directa que el volumen de la esfera es igual a un tercio del radio multiplicado por su superficie (V = 4/3 πr3). Otra novedad aportada por estos tres hermanos fue el uso de curvas e instrumentos mecánicos para resolver ciertos problemas, como la trisección del ángulo (problema clásico sobre el que Ahmad escribió un tratado específico) o la determinación de dos medias proporcionales a dos segmentos dados, problema que equivale a resolver la duplicación del cubo.
La relación de los Banu Musa con la familia califal continuó siendo buena tras la muerte de al-Ma'mun y el ascenso al trono de su hermanastro al-Mutasim (califa entre los años 833 y 842). En ese período, iniciaron sus observaciones astronómicas desde su propia casa localizada al lado de la Puerta al-Taq de Bagdad, a orillas del rio Tigris. Al-Mutasim trasladó la capital a Samarra, algo más al norte de Bagdad, y en tiempos de su hijo al-Mutawakkil (del 847 al 861), este les regaló una casa al lado de su palacio califal. Desde su elevada posición, los hermanos se convirtieron en mecenas de astrónomos y traductores entre los que destacaron Hunayn ibn Ishaq y Thabit ibn Qurra (836-901). Ellos, por su parte, siguieron realizando observaciones astronómicas hasta, como mínimo, el año 870, compilaron un canon astronómico y dirigieron medidas geodésicas en Sinyar y en Kufa. Además, su obra astronómica también fue muy destacada; recogía diversos temas: la construcción de astrolabios, determinaciones de ciertas coordenadas y parámetros, y el análisis y crítica del sistema ptolemaico.
Thabit Ibn Qurra
Otro de los grandes matemáticos del siglo IX fue Thabit ibn Qurra, Nació en Harrán, en la actual Turquía, muy cerca de la frontera con Siria. Thabit fue un fiel seguidor del sabeísmo y, como tal, su afición por el cielo y las estrellas le vino ya de pequeño. Sus primeras ocupaciones en Harrán fueron como cambista de moneda y a través de sus negocios conoció a Muhammad, el mayor de los Banu Musa. Impresionado por sus conocimientos de idiomas, Muhanunad lo invitó a Bagdad, donde fue acogido por el mecenazgo de los hermanos e introducido en las matemáticas y la astronomía. También destacó como médico y fue escalando posiciones sociales hasta llegar a introducirse en la corte del califa al-Mutadid (del 892 al 902).
Como Al-Juarismi, su dominio de los distintos idiomas le permitió acceder a los manuscritos griegos, persas, indios y árabes que circulaban por Bagdad, y en seguida destacó como un matemático de primera línea.
Llegó a ser un gran médico en la corte del califa gracias a los conocimientos adquiridos a través de las obras de Galeno y su Tesoro de la medicina, entre otras.
Sus estudios lo llevaron a escribir sobre temas como la circulación de la sangre, los embriones humanos, la anatomía de las aves, las plantas, etc., es decir, todo un elenco de aportaciones biológicas, médicas y veterinarias inéditas hasta el momento.
Es muy difícil poder imaginarse qué sintió Thabit en el momento en el que leyó los Elementos de Euclides. A partir de su estudio, se consolidó como el matemático más destacado del siglo IX y empezó a producir una serie de tratados que repercutieron profundamente en el mundo árabe y, algunos de ellos, también en la Europa latina medieval.
Por ejemplo, su Libro de los da tos fue considerado por Nasir al-Din al-Tusi una de las obras de referencia, junto con los Elementos y el Almagesto.
La secta sabeaEl sabeísmo fue una religión que surgió en el antiguo Reino de Saba (actual Yemen), su culto estaba basado en ciertas premisas astronómicas. Su dios único era Alá Taala, el cual estaba protegido por siete ángeles que se correspondían con los planetas Mercurio, Venus, Marte, Júpiter y Saturno, el Sol y la Luna. Los sabeos rendían culto a sus deidades planetarias, a quienes construían templos como guardianes del cielo. Solo el triunfo del islam inició la decadencia de su credo. En efecto, los sabeos tenían varios altares en la Kaaba de la Meca y solo el hecho de creer en un único dios les permitió seguir creyendo en él tras la invasión musulmana. Sin embargo, con los años, los sabeos fueron adoptando paulatinamente la lengua y los nombres árabes, y convirtiéndose al islam, donde muchos de ellos destacaron como astrónomos.
Salomón y la reina de Saba. Cuadro expuesto en la biblioteca de San Lorenzo de El Escorial.
Thabit aplicó aquí la geometría euclídea de los Elementos para resolver ecuaciones cuadráticas al estilo de Al-Juarismi (razonamientos que repitió en su discurso sobre la corrección de los problemas algebraicos). Otro de los textos que tuvo mucha repercusión fue su Libro sobre la determinación de los números amigos, en el cual, partiendo de la proposición de los Elementos donde se explicita la fórmula generadora de un número perfecto, termina por encontrar una regla para determinar los números amigos: dado un número n natural, si p = 3×2n-1 - 1, q = 3×2n -1 y r = 9× 22n-1 - 1 son tres números primos, entonces 2n × p × q y 2n × r son una pareja de amigos.
En cuanto a la geometría se refiere, los Elementos volvieron a servir de base a su Libro sobre la composición de las razones, en el que, partiendo de la teoría de la proporción euclídea, se dedicó a analizar el resultado de los posibles productos entre cocientes de magnitudes proporcionales. También analizó la demostración del teorema de Pitágoras aplicado a un triángulo rectángulo isósceles, atribuida a Sócrates, y aportó tres nuevas demostraciones del caso general que editó en un tratado específico. Además, con base en el Almagesto de Ptolomeo, dio una nueva demostración del teorema de Menelao en su Tratado de la figura secante, e inspirándose en el cálculo de áreas y volúmenes de Arquímedes, desarrolló toda una teoría diferencial que no dista mucho de las actuales integrales definidas.
Números perfectos y números amigosSe dice que un número es perfecto si es igual a la suma de sus divisores menores que él. Por ejemplo, el 6 y el 28 son números perfectos porque 6 = 1 + 2 + 3 y 28 = 1 + 2 + 4 + 7 + 14. Esta propiedad numérica fue descubierta por los matemáticos pitagóricos, aunque fue Euclides el primero en determinar que si un número N era de la forma N = 2n - 1(2n - 1) para un cierto número n natural, con 2n-1 primo, entonces tenía que ser un número perfecto (para n = 2 y n = 3 se tiene que N = 6 y N = 28, respectivamente).Este tipo de propiedades dio mucho juego tanto en las matemáticas griegas como en las árabes y latinas, y también en el Renacimiento y, de hecho, la búsqueda de estos números continúa aún abierta. La importancia de los números perfectos sobrepasa la propia historia de las matemáticas. En el siglo V, por ejemplo, San Agustín llegó a afirmar que si Dios había creado el mundo en tan solo seis días, no era por ninguna otra razón que la de cuadrar el número con la perfección de su propiedad. En la actualidad, universidades de todo el mundo buscan informáticamente grandes n que generen números primos del tipo 2n-1 que luego se utilizan para sistemas criptográficos. En consecuencia, se van encontrando números perfectos cada vez mayores y, de momento, nadie ha sido capaz de demostrar que no existan infinitos números de este tipo.
Retrato de San Agustín, por Phillippe de Champaigne.
Otro tipo de números que también encontraron los pitagóricos fueron los números amigos, como el 220 y el 284. En este caso, la suma de los divisores menores que el primero es igual al segundo y la suma de los divisores menores del segundo es igual al primero. En efecto, los divisores de 220 son 1, 2, 4, 5, 10, 11, 20, 22, 44, 55 y 110, que sumados dan 284. Por su parte, los divisores de 284 son 1, 2, 4, 71 y 142, que sumados dan 220.
De este modo, calculó el área del segmento parabólico en su Libro sobre la medida de la parábola, y el volumen de un segmento de paraboloide en el Libro de la medida de los campos parabólicos. También determinó el área de una elipse en el Libro de las secciones del cilindro y de su superficie, e intentó ofrecer su propia demostración del postulado de las paralelas.
Thabit también destacó en el ámbito astronómico con diversos libros en los que analizó pormenorizadamente el modelo solar ptolemaico e ideó la teoría de la trepidación para explicar las discrepancias entre los valores que se calculaban en el siglo IX para la oblicuidad de la eclíptica y los dados por Ptolomeo en el siglo II.
La figura de Al-Juarismi
Casi nada se sabe de este matemático y astrónomo llamado Muhammad ibn Musa Al-Juarismi, excepto que trabajó en la Casa de la Sabiduría de Bagdad y participó en las primeras observaciones realizadas en el observatorio de Shammasiya.
La nisba de su nombre, que es el término que indica su origen y que en este caso es Al-Juarismi (بن موسى ) remite a la región de la Jorasmia, en la actual Uzbekistán. Sin embargo, en algunas biografías se recoge la versión del historiador persa Muhammad ibn Jarir al-Tabari (838-923), quien le añadió un «al-Qutrubbulli», dato que significaría que sus antepasados eran los originarios de la Jorasmia, mientras que él habría nacido en Qutrubbull una pequeña localidad cerca de Bagdad. Además, por las fechas de sus libros se puede afirmar que nació alrededor del año 780 y su fallecimiento se produjo no antes del año 850. Estudios fiables sitúan a su familia dentro de la comunidad turca de la Jorasmia, con lo que es probable que fuera mucho más preciso referirse a él como matemático arabizado y no como simplemente árabe.
Como se ha indicado con anterioridad, Al-Juarismi estuvo absolutamente ligado a la Casa de la Sabiduría y en ese ambiente fue un autor bastante prolífico. La primera de las obras que vale la pena destacar es su Libro del cálculo con los números indios, escrito durante el califato de al-Ma'mun. En esta obra, Al-Juarismi explicó el sistema de numeración posicional que utilizaban los indios y que fue transmitido al mundo árabe en alguna de las embajadas indias a las cortes de al-Mansur, de al-Mahdi (del 775 al 785), de al-Hadi (del 785 al 786) o de Harun al-Rashid. Sin duda alguna, esta fue una obra de referencia dentro del círculo científico de la Casa de la Sabiduría y sirvió de base a otros muchos tratados similares que elaboraron los matemáticos árabes de los siglos IX y X. Este libro podría coincidir con el Libro de la adición y la sustracción según el cálculo de los indios, actualmente perdido, recogido en el índice de al-Nadim.
El otro gran tratado matemático fue su Libro concreto del cálculo de la restauración y de la oposición, el cual también escribió entre los años 813 y 833. Como se verá más adelante, al-Juarismi supo sintetizar la geometría griega con la aritmética india para regalar al mundo la primera obra propiamente de álgebra y pasar a la posteridad como el padre de esta disciplina matemática.
En el campo de la astronomía, su gran obra fueron sus Tablas indias (Sindhind), las cuales tuvieron una gran influencia en la astronomía árabe posterior, sobre todo la que se estudió en al-Andalus. Además, también redactó las siguientes obras: Libro sobreelcuadrante solar, Construcción de las horas en el plano de un cuadrante solar, Libro sobre la construcción de un astrolabio , Libro sobre el uso del astrolabio, Conocimiento del azimut a través de un astrolabio, Determinación de la amplitud ortiva en cada ciudad. Determinación del azimut según la altitud, Construcción geométrica de la amplitud ortiva de cada signo del zodiaco según la latitud.
También escribió el Libro de la configuración de la Tierra, que lo situaría en alguna expedición patrocinada por al-Ma'mun para comprobar los datos geográficos del Almagesto de Ptolomeo; unLibro de historia, redactado alrededor del año 826, y una Determinación del calendario judío.
Capítulo 2
La aritmética de Al-Juarismi
Una de las obras más exitosas de Al-Juarismi dio pie a la introducción del sistema de numeración decimal posicional utilizado en la actualidad. Copiado de fuentes indias, los nuevos números reemplazaron los sistemas griego, romano... y hasta el propio sistema alfanumérico árabe. Esta introducción fue progresiva pero, una vez aprendidos, ya nadie fue capaz de recuperar las antiguas cifras que tantos quebraderos de cabeza daban en las operaciones.Los primeros sistemas de numeración escritos nacieron paralelamente a la escritura, tanto en el antiguo Egipto como en la antigua Mesopotamia. Por lo tanto, los primeros números no se escribieron hasta finales del IV milenio a.C., aunque esto no significa que el hombre no hubiese desarrollado otras maneras de contar.
Desde tiempos remotos, el cuerpo humano ha sido objeto de uso para contar, no solo las manos, sino que también se han hecho cuentas con la cara, los brazos, las piernas, Los pies, el pecho y el abdomen. De manera lógica y por comodidad, el hombre decidió adoptar la base 10 como referencia (con algunas excepciones notables) y esto se debe al uso general de los diez dedos de las dos manos Esta costumbre fue pasando entre los pueblos e incluso se escribieron tratados sobre ella. Como ejemplo, cabe citar las palabras de Tertuliano (siglo II d.C.), quien en su Discurso apologético escribió:
Durante ese tiempo, hay que permanecer sentado rodeado de un montón de papeles, y gesticulando con los dedos para expresar los números.Las primeras cifras de la historia tienen su origen en el sistema de objetos que los antiguos contables mesopotámicos idearon a finales del IV milenio a.C. para no necesitar grandes series de piedrecitas para hacer sus cálculos. Los contables decidieron sustituir cada 10 guijarros por una bolita hecha de barro, y si se reunían 6 bolitas, entonces se sustituían por un cono también de barro. Con esta idea hacia el año 3200 a.C, un escriba sumerio decidió grabar las primeras cifras escritas que se conservan en tablillas cocidas de barro. Estos primeros números se correspondieron con las muescas realizadas por un cálamo cilíndrico terminado en punta por uno de sus lados. En este primer sistema escrito de la historia se representaren las cifras l, 10, 60, 600, 3600 y 36000 de modo que cada número se escribía a partir de la repetición de las mismas. El 1 se correspondía con una pequeña muesca grabada en la arcilla, mientras que el 10 era la marca del mango cilíndrico del cálamo (figura 1). Para representar el 60, se hacía una muesca mayor que la anterior y el 600 era una combinación de un 60 con un 10 grabado dentro. Para el 3600 se marcaba un círculo mayor que el 10 y para el 36000 se combinaba un 3600 con un 10 grabado en su interior.
Si se quería escribir el número 167, se tenía en cuenta la igualdad 167 = 2 × 60 +4 × 10 + 7 y, por lo tanto, se representaban 2 cifras 60,4 cifras 10 y 7 cifras 1.
Distintos sistemas de numeración antiguos
Hacia el año 2000 a.C., los mesopotámicos decidieron simplificar su sistema arcaico y pasar a la escritura cuneiforme, en la que los números también se simplificaron al basarse tan solo en la existencia de las cifras 1 y 10.

Figura 1. Representación de las cifras arcaicas mesopotámicas

Figura 2. Representación del número 24,58 en cifras cuneiformes
Siguiendo con los sistemas aditivos de numeración, en el antiguo Egipto se desarrolló una numeración basada en cifras jeroglíficos que representaban 1, 10, 102, 103, 104, 105 y 106 (figura 3).

Figura 3. Representación de las cifras egipcias
Con el tiempo, los escribas desarrollaron la escritura jeroglífica hacia la escritura hierática y aparecieron nuevas formas para los números de modo que se idearon símbolos específicos para 1, 2, 3, 4,…10, 20, 30, 40,…, 100, 200, 300, 400,…
El sistema de numeración más antiguo de la antigua Grecia, fue el que se conoce como herculano, debido a que fue el historiador Herculano (siglo II) que describió por primera vez una serie de abreviaturas utilizadas para escribir los números cardinales. En este sistema, cada dígito distinto de la unidad se correspondía con la primera letra del número que representaba.

Otro sistema fue el alfabético simple, el cual servía para representar los primeros 24 números naturales con las 24 letras del alfabeto: Α = 1, Β = 2, Γ = 3, Δ = 4..., Ω = 24. El griego tuvo su origen en la adaptación que se hizo del alfabeto fenicio en el siglo IX a.C., después de realizar las modificaciones necesarias para que todos sus fonemas se correspondieran con una letra. En un principio, se desarrollaron diversos alfabetos locales, pero en el siglo V a.C. la variante oriental de Mileto se impuso como obligatoria en la administración de Atenas y, de allí, pasó al resto de las colonias helenas. Posteriormente, las conquistas de Alejandro Magno (356 a.C.-323 a.C.) hicieron del griego el idioma común de la ciencia y de la literatura de todo el Imperio macedonio y, junto al latín, llegó a constituirse como Lingua franca en el imperio romano. Es necesario señalar que este tipo de numeración alfabética solo fue usado en algunas listas contables y para la numeración de páginas en libros y documentos como, por ejemplo, los 24 cantos de la Ilíada y de la Odisea de Homero.
En este breve repaso, no se puede olvidar la numeración romana, basada en las letras I = 1, V = 5, X = 10, L = 50, C = 100, D = 500 y M = 1000. Al igual que las cifras griegas, estos numerales no permitían hacer cálculos con facilidad y, por este motivo, tanto en Grecia como en Roma, y también en la antigua Mesopotamia, los cálculos se hacían sobre tableros y ábacos. Los números romanos se utilizaron fundamentalmente en documentos administrativos y de contabilidad y, pese a que se vieron relegados a un papel secundario en la Edad Media, aún se siguen estudiando en las escuelas.
Si bien» como se ha visto, las bases 10 y 60 fueron las preferidas por los distintos pueblos de la antigüedad, hay referencias notables a la base 20 que vale la pena señalar. La primera de ellas es el sistema de numeración maya. Los números de este pueblo centroamericano eran los puntos y los trazos horizontales, cuyo valor equivalía a 5 puntos. De este modo, el 2 se representaba con dos puntos; el 3, con tres, y el 4, con cuatro. Llegados al 6, escribían una línea horizontal, que conservaban debajo de un punto para representar el 6, debajo de dos puntos para el 7, de tres puntos para el 8 y de cuatro puntos para el 9. El resto de números hasta llegar al 19 se conformaba de manera similar a los nueve anteriores, mediante una combinación de unos y cincos (figura 4). Conviene señalar que los únicos números mayas que se conservan no tienen nada que ver con la aritmética y simplemente registran datos numéricos ligados al calendario y a la astronomía.

Figura 4.
Las lenguas indoeuropeas también conservan reminiscencias de alguna antigua base 20 que convivió con la base 10. En francés, por ejemplo, Molière utilizó six vingts para decir 120 en El burgués gentilhombre y, en la actualidad, 90 aún se denomina quatre- vingt-dix, y 91, quatre-vingt-onze, etc. También encontramos otros ejemplos en el inglés y el danés.
El presidente Abraham Lincoln empezó su discurso en Gettysburg con un four score and seven years old... para referirse a 87 años atrás. La palabra score significó 20 en inglés antiguo y el mismo William Shakespeare la utilizó en distintas ocasiones en sus grandes obras. En danés, el número 50 se denomina halvtreds, como abreviatura de halvtredje-sinds tuve que significa el cálculo 3×20-½×20, y algo parecido ocurre con el 70 y el 90. También el 80 se denomina firs, de firsindstive (4×20).
Los sistemas de numeración alfanuméricos
Los sistemas alfanuméricos son un sistema de numeración en base 10 que utilizan como cifras las mismas letras del alfabeto de su idioma.

Sello de la antigua Unión Soviética de 1983 que conmemora al 1200 aniversarios del nacimiento de Al-Juarismi
El primer sistema de numeración de este tipo del que se tiene constancia es el griego, cuyo uso se remonta a algún momento entre los siglos VIII y V aC. Se utilizaron las 24 letras del alfabeto junto con la letra sampi y los signos arcaicos digamma y koppa:

![]()
El sistema de numeración indio
El origen indio del actual sistema posicional decimal es indiscutible. El propio Al-Juarismi empezó su crucial tratado aritmético avisando que iba a «exponer la forma de calcular de los indios con la ayuda de nueve caracteres y mostrar cómo, gracias a su sencillez y concisión, dichas figuras pueden expresar todos los números. De hecho, cuando Al-Juarismi tuvo noticias de este nuevo sistema de numeración, las matemáticas indias dominaban absolutamente sus cifras y se permitían jugar con ellas. En efecto si, por ejemplo, se consulta el Ganita Sana-Sangraha del jainista Mahavira (ca. 850), tratado de aritmética, álgebra y geometría en el que este matemático hizo una revisión de obras anteriores de Brahmagupta (598-670), se encuentran ciertos números curiosos que sirven de resultado a la gran variedad de problemas que ilustran el algoritmo de la multiplicación de números naturales. Por ejemplo:
Escribe el número 142857143 y multiplícalo por 7 y luego di que es el collar real.Los resultados respectivos de estos tres cálculos son 1000000001, 111111111 y 11111111, y este tipo de números pone de manifiesto el interés que tenía Mahavira en las formas y propiedades numéricas.
De forma similar, 37037037 se multiplica por 3. Encuentra el resultado que se obtiene de multiplicar este producto otra vez para obtener múltiplos del mismo con un 1 como el primero y un 9 como el última. Las cifras 7, 0, 2, 2, 5 y 1 se escriben partiendo de las unidades; entonces este número multiplicado por 73 también se podrá denominar collar.
Los quipusDesde tiempos de los antiguos griegos, como mínimo, los nudos han acompañado a la humanidad como sistema de cómputo. Heródoto (siglo v a.C.) cuenta que el rey Darío I de Persia (del 522 al 486 a.C.) confió la defensa de un puente a unos soldados griegos aliados. Él siguió su expedición y les dejó una correa con 60 nudos con la orden de ir deshaciendo un nudo cada día. Si al deshacer el último nudo, Darío no había vuelto, entonces los soldados podían abandonar el puente y volver a sus casas. Un sistema similar de anudado se utilizaba en la antigua China según elLibro de las transformaciones (YiChing), escrito hacia el año 1000 a.C., en el que se relata que los hombres «eran gobernados mediante el sistema de cuerdas con nudos)». En la tradición judía, los hombres deben llevar un chai llamado tsitsit para su plegaría matutina, que tiene unos ribetes entre los cuales se anudan los cuatro cordones de los extremos en un total de 26 nudos (ya que 26 es el valor que tienen las cuatro letras del nombre de Yahveh: ה = 5, ו = 6, ה = 5, ק = 10). Romanos, palestinos, árabes, y en definitiva, muchos pueblos vieron en las cuerdas un recurso fácil con el que retener sus cálculos. Sin embargo, los pueblos precolombinos son los que nos han enseñado mayor constancia de su uso, a través de los diversos restos arqueológicos encontrados y los testigos directos españoles del siglo XVI.
Qipu es una palabra inca que significa «nudo» y no es nada más que una cuerda gruesa principal en la que se anudan cuerdas más finas, de colores distintos, agrupadas en manojos. En el Imperio Inca, la administración central disponía que en cada aldea debía trabajar un quipucamayoc («guardián del nudo») que se encargase de la confección de los quipus. Este administrador se encargaba de la supervisión de los inventarlos y los censos que luego se enviaban a la capital. A pesar de que las cuentas debían realizarse de memoria o con los dedos de las manos y de los pies, los quipus servían de ayuda para registrar los resultados de los diversos cálculos planteados para calendarios, estadísticas, contabilidades, etc. Cada quipu era distinto a otro en lo que respecta a su significado y para ello, los Incas utilizaban cordeles de colores que representaban distintas cosas; el amarillo se utilizaba para contar piezas de oro; el rojo, para víctimas de guerra; el blanco, para el dinero.., aunque podían tener más significados. También el tipo de nudo adquiría diferentes significados.
Cada uno de los cordeles del qulpu sirve para una determinada contabilidad expresada en base decimal. Si, por ejemplo, se quiere representar el número 1527, el quipucamayoc agrupaba siete nudos en la parte baja del primer cordel y dos más encima de los siete anteriores para representar las decenas. Dejando una distancia igual a la que había entre unidades y decenas, agrupaba cinco nudos encima de las decenas y, finalmente, un nudo cerraba la cuenta propuesta. Una vez realizado esto, podían seguir con otra cuenta en el siguiente cordel.
Este sistema aún se utiliza en las montañas andinas de Bolivia y Perú. En el siglo XIX, los pastores peruanos llevaban consigo un qulpu provisto de cuerdas blancas y verdes para contabilizar el ganado ovino y el bovino, respectivamente.Dentro de las cuerdas blancas, la primera servía para contar carneros, la segunda para contar corderos, la tercera para las cabras, la cuarta para los cabritos... En las verdes, la primera contaba toros; la segunda, vacas lecheras, etc.
Imagen de un quipu confeccionado en Perú
Hoy en día se hace uso (aunque cada vez menos) de un segundo sistema basado en el chimpu, que consiste en un manojo de cuerdas anudadas por uno de sus extremos. Los pastores bolivianos y peruanos anudan los números de sus cuentas agrupando, dentro del nudo, tantas cuerdas como orden decimal tenga la cifra dentro del número. Por ejemplo para expresar el número7825 = 7×103 + 6×102 + 2×101 + 5×10 0
se agrupan siete nudos en la parte superior del manojo, abarcando cuatro cuerdas; ocho más debajo de los siete anteriores, abarcando tres cuerdas; dos más equidistantes, abarcando dos cuerdas y, finalmente, cinco nudos más en una sola cuerda.
El cero era de uso común en las matemáticas indias del siglo IX y aún es posible retroceder más en el tiempo para encontrar a Jinabhadra Gani (siglo VI), quien expresó el número 224400000000 como «veintidós y cuarenta y cuatro y ocho ceros».
Además, hay que tener en cuenta que la aparición de los números palindrómicos, es decir, de los números que se leen igual tanto del derecho como del revés, solo es posible en un sistema de numeración posicional. Para el número 12345654321, Mahavira se refirió a él como la cantidad «que empieza con un 1 y termina con un 6, y después disminuye gradualmente».
El uso del sistema posicional no se limitó al ámbito estrictamente matemático, sino que estuvo presente en la vida cotidiana desde como mínimo, el siglo VI se conserva una carta de donación del gobernador Dadda III de la región del Gujarat datada en 346 de la era Chhedi (equivalente a nuestro año 594) escrita en cifras posicionales autóctonas. Sin embargo, la representación de los números en la India no empezó como sistema posicional y, tal vez, fue la necesidad de verbalizar grandes números lo que impulsó este avance tan significativo. En efecto, en los antiguos manuales astronómicos indios, los Siddhantus, para calcular la posición de un determinado planeta en el cielo con la hipótesis de que gira alrededor de la Tierra con movimiento circular uniforme, sus autores ofrecían proporciones entre grandes números, correspondientes a los ciclos completados en un cierto tiempo. Por ejemplo, Brahmagupta determinó que los ciclos del Sol y de la Luna eran de 4320000000 y 5753300000 revoluciones, respectivamente y, para referirse a ellos, escribió:
(...) las revoluciones del Sol medio y Mercurio y Venus son siete ceros, dientes y Vedas. (…) Las de la Luna son iguales a cinco cielos, calidades, calidades, flechas, sabios, flechas.En este sistema de «números-objeto», cada número se ve sustituido por una palabra sinónima que lo recuerda.

Entrada a la sección III del Coliseo de Roma, con los números aún visibles

Una ilustración de trabajos astronómicos de al-Biruni, donde explica las diferentes fases de la luna
Este sistema data del siglo III y fue utilizado en un texto astrológico copiado de algún original griego en el año «Vishnu, gancho, Luna». Como de dios Vishnu solo hay uno y lo mismo ocurre con la Luna, y el gancho hace referencia a su forma para emplazar al lector al 9, el año de copia es el 191 de la era Sakka o, equivalentemente, el año 269 d.C. Este sistema aún seguía vigente en la India en el siglo XI a tenor de la radiografía de esta región elaborada por al-Biruni (973-1048) en su Historia de la India (ca. 1030):
Cuando ellos tienen necesidad de expresar un número compuesto de varios órdenes en sus tablas astronómicas, lo hacen mediante palabras concretas para cada número formado por uno o dos órdenes. Para cada uno de ellos han elegido una cierta cantidad de palabras con el fin de que si hay alguna dificultad para situar una de ellas en un lugar concreto, se pueda sustituir por otra más sencilla, cogida entre sus hermanas de significado. Brahmagupta dice: «Si quieres escribir el 1, exprésalo a través de algo que sea único, como la Tierra o la Luna: asimismo, puedes expresar el 2 mediante algo que exista en número de dos, como el negro y el blanco; 3 mediante lo que forma una reunión de tres; el 0 con los nombres del cielo».Otro sistema numérico semiposicional fue descrito por Aryabhata I (siglo V) en su Aryabhatiya, en el que 25 consonantes «varga» representaban los números del 1 al 25, y otras ocho consonantes «no varga» representaban los números 30, 40, 50, 60, 70, 80, 90 y 100. Para indicar el valor posicional de las cifras, las vocales sánscritas se debían escribir tras las consonantes, de modo que las nueve vocales situadas tras una consonante «varga» representaban las potencias 100, 102, 104 ,... y 1016 y situadas tras una consonante «no varga» representaban las potencias 10l, 103, 105 ,... y 1017. De este modo, Aryabhata I representó los ciclos astronómicos mediante combinaciones impronunciables de sílabas.
Así pues, se puede dar por hecho que el sistema posicional decimal surgió en la India en algún momento del siglo VI con la creación de un «cero» necesario. Con la carta de 346 de la era Chhedi, hay constancia de la escritura del sistema posicional, pero se ha de pensar que «seis-cuatro-tres» debió de ser la manera en la que se decían los números oralmente en mercados, bazares y, en definitiva, en la vida diaria ¿Qué pasaba, entonces, cuando tenían que referirse a un número como el 104? Los antiguos astrónomos indios resolvieron el problema utilizando la palabra sunya, que significa «vacío», con lo que el 104 se debió de convertir en algo así como «Veda-vacío-Tierra». El siguiente paso se debió de producir en el momento en que fue necesaria la simplificación de este método coloquial que hacía que cada cifra contara con un gran elenco de palabras que la representaban. Así, en el tratado de cosmología titulado Las partes del universo (ca 458), su autor jainista decidió utilizar tan solo las palabras que habitualmente servían para referirse a los primeros números naturales y «tres-uno-siete-seis-tres-dos-cuatro-uno» era el nombre de 14236713.
El «de numero indorum» de Al-Juarismi
El tratado sobre el sistema posicional decimal indio fue una de las primeras obras sobre este tema que se escribió en Bagdad, a tenor de la influencia que ejerció después entre sus contemporáneos musulmanes.
La tradición histórica árabe cuenta que el médico indio Kanka fue nombrado embajador en la corte de al-Mansury que viajó a Bagdad con diversos manuales científicos indios entre los que llevó un libro sobre el sistema de numeración posicional. Muhammad al-Fazari (activo hada 800) fue el autor de la primera traducción al árabe y esta sirvió de base sobre la que debió trabajar Al-Juarismi para reproducir su Libro de la adición y la sustracción según el cálculo de los indios, actualmente perdido.
Todo lo que se sabe de esta obra tan determinante dentro de la historia de las matemáticas es debido a diversas ediciones árabes escritas poco después, y a las distintas traducciones latinas medievales que se redactaron en Europa, Abbas ibn Firnas (m. 887) lo llevó a la corte de Abderramán II en Córdoba y a través de al-Andalus, se atribuye a Adelardo de Bath (ca 1080-ca 1150) o a Juan de Sevilla (activo hacia 1135) una primera traducción latina con el título Algorirni de numero Indonim. La sigue una traducción libre del propio Juan de Sevilla titulada Liber aIgorismi de practica arismetrice. También se atribuye a Adelardo de Bath la correspondiente traducción del Liber ysagogarum alchorismi in artem astronomicam a magistro A. compositus, aunque este «Magister A» bien podría referirse a algunos de los traductores judíos más activos de la península Ibérica en el siglo XII, como el oscense Moshé Sefardí (ca. 1062-ca. 1140), también conocido con su nombre latinizado Pedro Alfonso, el navarro Abraham ben Ezra (1089-ca. 1167) o el cordobés Abrahaín ibn Daud (ca. 1110-ca. 1180).
Además, en la biblioteca de la Universidad de Cambridge, se conserva una copia del siglo XIII de otra traducción latina que no está terminada y contiene muchos errores. Este nuevo Algorismi de numero Indorum fue editado y publicado por el italiano Baldasare Boncompagni (1821-1894) en 1857, junto con el Liber algorismi de practica arismrtrice.
Este manuscrito de la Universidad de Cambridge empieza con un «Dixit Algorizmi», tras el que describe el sistema de numeración posicional comenzando con las nueve cifras indias 1, 2, 3, 4, 5, 6, 7, 8 y 9, que sirven para expresar las unidades, para representar las decenas, las mismas cifras colocadas a la izquierda de las unidades indican 10, 20, 30,..., y lo mismo ocurre con las centenas, unidades de mil, etc. Es decir, para escribir el número 325:
[…] empezamos a la derecha del escritor y ponemos un 5 en primer lugar, un 20 en la segunda a la izquierda del que se ha escrito, un 300 en la tercera, cada número en su posición, es decir, las unidades en la posición de las unidades, que es la primera, las decenas en la posición de las decenas, que es la segunda, las centenas en la posición de tas centenas, que es la tercera. Y la representación es la siguiente: 325.
Abu Al-Rayhan Muhammad Al-Biruni (973-1048)Al-Biruni es uno de los matemáticos y astrónomos musulmanes más prolíficos de la historia Su trabajo abarca casi 150 tratados con un total de más de 13.000 páginas en lo que constituye una de las obras más importantes dentro de la historia de la ciencia medieval En el ámbito matemático, Al-Biruni hizo contribuciones inéditas como el uso de la interpolación cuadrática para aproximar valores intermedios de tablas trigonométricas, ciertas sumas de series numéricas o su análisis de los números irracionales. Por otro lado, escribió sobre las construcciones geométricas con regla y compás, proyecciones estereográficas, trigonometría plana y esférica, secciones cónicas, aritmética y álgebra.Nacido en un pequeño pueblo cerca de Kath, en la región de la Jorasmia, sus primeros años de vida estuvieron ligados tanto a Kath como a la ciudad de Urgench y a sus estudios bajo la tutela del matemático y astrónomo Abu Nasr Mansur (ca, 970-ca 1036), príncipe de la familia gobernante de la Jorasmia. Así, sus primeros trabajos se desarrollaron bajo el mecenazgo real, hasta que en 995 un golpe de estado deposo a los Banu Iraq y tuvo que huir de Bujara.
Privado de las facilidades de su juventud y siendo ya un astrónomo competente que había escrito diversas obras, Rayy (cerca de la actual Teherán) fue su siguiente destino. Allí coincidió con Abu Muhammad al-Juyandi (ca. 940-ca 1000). un astrónomo que poseía un gran sextante con el que se dedicaba a estudiar los tránsitos del Sol por el meridiano. Entre ambos, corrigieron los errores en los datos observacionales que se habían cometido anteriormente.
Al-Biruni anotó una observación de un eclipse de Luna en mayo de 997 que lo sitúa en Kath. Esta observación estaba pactada con Abu al-Wafa al-Buzyani (940-998), quien, habiendo realizado la misma observación desde Bagdad, pretendía determinar la diferencia de longitud terrestre entre ambas ciudades. También las dedicatorias de sus libros indican sus conexiones con otros patrones y mecenas. Así, una de las obras de esa etapa está dedicada a ibn Rustam, gobernador de Guilan (a orillas del mar Caspio). Los contactos de esta provincia con la vecina y poderosa Gorgán le abrieron las puertas de esta región y de su gobernador Qabus, a quien dedicó su Cronología. Al-Biruni se desplazó a Gorgán, donde siguió trabajando como astrólogo, disciplina dentro de la que, antes del año 1004, ya había escrito tres tratados. También había redactado un tratado sobre el sistema de numeración posicional decimal, uno de astronomía, otro sobre el astrolabio y dos de historia.
En la primavera de 1004 volvió a la Jorasmia, donde Ali ibn Ma'mun había ascendido al trono, y se reencontró con su maestro Abu Nasr Mansur. Su trabajo y reconocido talento fueron recompensados e incluso se le permitió construir un instrumento para hacer mediciones precisas de los tránsitos del Sol por el meridiano.
El contacto de al-Biruni con la India se produjo tras la invasión de la Jorasmia de Mahmud de Gazni en 1017. Probablemente, Al-Biruni fue prisionero y su vida se vio atada a la voluntad del nuevo gobernante. Pese a ello, al-Biruni trabajó como astrónomo y astrólogo en la corte y acompañó a Mahmud en sus expediciones a la India. Así fue como llegó a compilar su Historia de la India, en la que estudió la geografía, historia lengua, literatura, filosofía, medicina, religión, astronomía y matemáticas del país vecino. La muerte de Mahmud terminó con su reclusión y, bajo el mandato de su hijo Mas'ud, y después de su nieto Mawdud, parece que pudo disponer libremente de su vida y trabajo, aunque el nuevo mecenazgo lo siguió atando a la corte gaznavida.
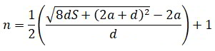
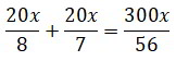
Para ver hasta qué punto el nuevo sistema indio era mejor que cualquier otro hasta entonces, Al-Juarismi utilizó la representación de 1180703051492863 (sin utilizar los puntos separadores), que se dirá;
[...] un mil de miles de miles de miles de miles en cinco veces, [_] y cien mil de miles de miles de miles de miles en cuatro veces (...) y ochenta miles de miles de miles de miles en cuatro veces más setecientos miles de miles de miles en tres veces y tres mil de miles de miles en tres veces y cincuenta y un mil de miles en dos veces, y cuatrocientos mil, y noventa y dos mil, y ochocientos sesenta y tres.Continuó explicando cómo sumar y restar dos números, « poniendo los dos números en dos líneas, es decir, uno encima del otro », de modo que las unidades estén encima de las unidades, las decenas, de las decenas, etc.; La explicación es la misma que se daría hoy a un alumno de la escuela primaria a excepción de que se propone empezar las operaciones, no por las unidades, sino por la cifra de mayor valor. Al-Juarismi propuso la resta 6422 - 3211, que escribió:
| 6 | 4 | 2 | 2 |
| 3 | 2 | 1 | 1 |
El resultado es 3 211, el cual obtiene restando 6 - 3 = 3 para la cifra de los millares, 4 - 2 = 2, para las centenas, y 2 - 1 = 1, para las decenas y las unidades.
Juan de Sevilla, en su Liber algorismidepractica arismetrice, incorporó paso a paso los cálculos que se han de realizar y lo hizo mediante el ejemplo 12025-3661:
| 1 | 2 | 0 | 2 | 5 |
| 3 | 6 | 0 | 4 |
1. Se empieza por las cifras de mayor valor, es decir, 12 - 3 = 9, el cual se coloca en lugar del 12:
| 9 | 0 | 2 | 5 | |
| 3 | 6 | 0 | 4 |
2. Se sigue con la cifra de las centenas y como no es posible restar el 6 del 0, se toma una unidad del 9 y se procede 10 - 6 = 4, que se pone en lugar del 0.
| 8 | 4 | 2 | 5 | |
| 3 | 6 | 0 | 4 |
Además, se cambia el 9 por un 8, ya que ha perdido una unidad para poder restar el 6;
3. Se reitera el algoritmo con la cifra de las decenas y con la de las unidades, para obtener 8421 como resultado.
| 8 | 4 | 2 | 1 | |
| 3 | 6 | 0 | 4 |
Como se ve, Al-Juarismi fue borrando los cálculos intermedios y sustituyendo los resultados sobre las operaciones previas y, como se verá, lo mismo ocurrirá con la división. Se ha de pensar que en el Bagdad del siglo IX no era común el uso del papel para operar y los cálculos se hacían sobre tablas llenas de arena, con lo que era muy fácil ir borrando los resultados y escribir encima.
La multiplicación y la división
Las siguientes operaciones son el producto y la división y para introducirlas, Al-Juarismi empezó explicando la duplicación y la mediación, es decir, la multiplicación y la división por 2. Para ilustrar la multiplicación de dos números cualesquiera, el ejemplo tomado es 2326 por 214. Se colocan uno encima del otro, de modo que la cifra de mayor valor del mayor número coincida con la cifra de las unidades del menor:
| 2 | 3 | 2 | 6 | |||
| 2 | 1 | 4 |
Aunque no hay una representación explícita hasta el resultado final, el algoritmo propuesto es el siguiente:
1. Se multiplica la cifra de mayor valor del primer factor, en este caso es el 2, por el segundo factor, que es el 214: el resultado, igual a 428, se escribe encima del 214, se elimina el 2 del primer factor que ya se ha multiplicado:
| 4 | 2 | 8 | 3 | 2 | 6 | |
| 2 | 1 | 4 |
2. El segundo factor se desplaza una posición hacia la derecha:
| 4 | 2 | 8 | 3 | 2 | 6 | |
| 2 | 1 | 4 |
3. Ahora, la cifra de las unidades del segundo factor, en este caso el 4, ha quedado debajo de la cifra de las centenas del primero, que es el 3, con lo que se ha de multiplicar esta última cifra por el segundo factor. Igual que anteriormente, el resultado, 3 × 214 = 642, se ha de colocar encima del 214, sustituyendo el 3 ya multiplicado. Sin embargo, hay que tener en cuenta que encima del 214 ya hay otro número que, una vez eliminado el 3, se convierte en el 4280. Si lo sumamos a 642, se obtiene 4922, resultado que se coloca encima del 214:
| 4 | 9 | 2 | 2 | 2 | 6 | |
| 2 | 1 | 4 |
4. Se repiten los mismos pasos: se desplaza el 214 hacia la derecha y se multiplica por 2, dando 428 como resultado. Una vez eliminado el 2 que ya se ha multiplicado, este producto se suma al 49220 y se obtiene:
| 4 | 9 | 6 | 4 | 8 | 6 | |
| 2 | 1 | 4 |
5. Iterando el proceso, el resultado final quedará escrito encima del segundo factor:
| 4 | 9 | 7 | 7 | 6 | 4 | |
| 2 | 1 | 4 |
En las distintas versiones del Liber ysagogarum que se conservan se encuentran más ejemplos para el producto, como son 10×10 = 100, 300×40 = 12.000, 12×14 = 168, 406×204 =8 2824 y 1024×306 = 313344. Juan de Sevilla propone 104×206 = 21424.
Con el algoritmo de la división, Al-Juarismi siguió los mismos pasos que en nuestro sistema actual, aunque la disposición de las cifras es algo distinta. El ejemplo que propuso fue el cociente entre 46468 y 324, que se escriben uno encima del otro haciendo coincidir las cifras de mayor valor:
| 4 | 6 | 4 | 6 | 8 | ||
| 3 | 2 | 4 |
1. Se divide 464 entre 324, obteniendo 1 como resultado. Este 1 se coloca encima del 4 del dividendo y se sustituye el 464 inicial por la diferencia 464 - 324 = 140:



Tras las operaciones con los números naturales, Al-Juarismi explicó el producto y la división con fracciones sexagesimales, que reconocía que aprendió de los indios. Empezó con ejemplos de multiplicaciones sencillas, especificando que el resultado de multiplicar minutos por minutos son segundos; el de segundos por minutos, son tercios... En definitiva, lo que actualmente se podría resumir con la fórmula
![]()

| 3 | 8 |
| 1 | 3 |
| 2 | 11 |
En el Liber algorismi de practica arismetrice aparece inicialmente un recuadro similar, pero aplicado en esa ocasión al producto de



En el Liber ysagogarum, donde se plantea el producto 3/ 7×4/9 = 12/63, el relato continúa con un esquema algo distinto:





1. Separa las cifras del 5625 en grupos de dos y empieza el cálculo con la raíz cuadrada del grupo que ha quedado a la izquierda, es decir, el 56. Al no tener raíz cuadrada exacta, escribe 7 debajo del 6, ya que 7 2 = 49 ≤ 56 y 82 = 64 ≥ 56:




Este método es parecido cuando se aplica a las fracciones sexagesimales, con la puntualización de que el resultado es más exacto cuanto más pequeña sea la fracción:
Si tú buscas la raíz de 120 minutos, redúcelo a los segundos y obtendrás 7200, y si reduces estos segundos a cuartos o a sextos, el resultado será más exacto. Entonces, nosotros extraemos la raíz de 7200 segundos para hacer 64 minutos y una fracción, que, reducida en entero, se obtiene una unidad y 24 minutos.De modo parecido, se tratan las raíces de las fracciones decimales. Como en los casos anteriores, Al-Juarismi procede con un ejemplo concreto:





![]()
![]()

Tras la introducción del sistema posicional decimal indio en Bagdad, el mundo árabe vivió una proliferación de textos dedicados a esta innovación. Sin embargo, la nueva aritmética india tuvo que coexistir con el cálculo con los dedos, que los árabes habían heredado de la tradición bizantina. También se escribieron diversas obras sobre esta manera de calcular. La implantación de las nuevas cifras debió de ser progresiva y los propios matemáticos y astrónomos solo las utilizaban para expresar números enteros, ya que las fracciones se siguieron expresando con su antiguo sistema sexagesimal, mediante el abyad. En este sentido, en el primer tratado de aritmética árabe que ha llegado hasta nosotros, el ya citado Libro de las secciones sobre la aritmética india que al- Uqlidisi escribió en Damasco en el año 952, se dio un paso hacia un auténtico sistema decimal. La obra empieza con la presentación de las nueve cifras (que escribe con una línea encima), tras la que siguen los algoritmos de las cuatro operaciones básicas, el cálculo con fracciones ordinarias y con fracciones sexagesimales, la extracción de las raíces cuadrada y cúbica de números enteros y de fracciones...
Pero el avance se produce en el momento en el que al-Uqlidisi explica cómo dividir un numero por la mitad. En principio, si por ejemplo se quiere calcular la mitad de 19, mediante la aritmética india el resultado es igual a 9 + ½, que se representaría con la fracción (sin la línea) escrita debajo del 9, tal como lo escribía Al-Juarismi. Otro método para dividir el 19 entre 2 es recurrir a las facciones sexagesimales, cuyo resultado sería 9 y 30 minutos, que se representaban con el 30 escrito debajo del 9. Pero Al-Uqlidisi se dio cuenta de algo que ni los indios ni los primeros matemáticos musulmanes de Bagdad habían tenido en cuenta:
En lo que se ha dibujado en el principio de los números, la mitad de uno en cualquier posición es 5 delante de él (hay que tener en cuenta que en árabe se escribe de derecha a izquierda). Por lo tanto, si dividimos por la mitad cualquier número impar, pondremos la mitad como un 5 delante de él, y la posición de las unidades marcada por el signo ' sobre ella, para denotar el lugar. La posición de las unidades se convierte en las decenas de lo que está delante de ella. Por ejemplo, queremos dividir el 19 por la mitad. Decimos: una mitad de 9 es cuatro y medio; ponemos la mitad como un 5 delante del 4; después, dividimos el 10 por la mitad. Marcamos la posición de las unidades. Se obtiene 95.Así pues, este fue el primer uso histórico de los decimales y pese a que no lograron un gran alcance en un primer momento, sí que se hicieron eco de ellos algunos de los matemáticos árabes posteriores. Se encuentran ejemplos en las obras del citado al-Bagdadi, quien escribió 08 02 17 para referirse al 172080 o de al-Samaw'al al-Magribi (ca. 1130-ca. 1180), que lo utilizó el cálculo de raíces cuadradas, Ya en el siglo XV, en un manuscrito bizantino aparece la representación 15315 y 16125 para 153,5 y 16,25, respectivamente, y Jamshid al-Kashi (ca. 1380-1429) multiplicaba números decimales en Samarcanda tal como lo hacemos nosotros en la actualidad.
Otro de los tratados más importantes sobre el sistema de numeración posicional fue el titulado Principios del cálculo indio de Kushyar Ibn Labban (971-1029), el cual se convirtió en uno de los manuales imprescindibles dentro del mundo árabe. Como los casos anteriores, Kushyar presenta las nueve cifras indias,
![]()
En la Europa latina medieval, la península ibérica de las principales vías de transmisión del nuevo sistema de numeración, ya que las traducciones más importantes de obra de Al-Juarismi al latín se hicieron allí. Un dato importante a tener en cuenta es que la primera representación de las cifras indoarábigas que se conserva está contenida en el Codex vigilianus compilación de documentos anteriores escrita en el año 976 por el monje Vigila, en el monasterio de San Martín de Albelda. Otras de las figuras importantes de este proceso de transmisión fue la del francés Gerberto de Aurillac (ca 945-1003), quien viajó a Barcelona en el 967 para pasar tres años en la corte del conde Borrell (del 947 al 992). Durante esta estancia, Gerberto debió de viajar por tierras musulmanas y entró en contacto con las matemáticas y la astronomía árabes. Probablemente, debió de quedar impresionado por la sabiduría de los vecinos andaluces y una vez de vuelta en Reims, pidió a sus contactos catalanes que le enviaran obras sobre estas materias traducidas al latín. Con toda información recibida, Gerberto redactó una Regulae de numerorum abaci rationibus hacia el año 930, obra en la que describió un nuevo tipo de ábaco de 27 compartimentos de metal en que se depositaban fichas con las nueve cifras índoarábigas grabadas.
Cada uno de los compartimentos servía para indicar una posición numérica y, por lo tanto, los números quedaban escritos según el nuevo sistema de numeración. Es muy difícil saber si este tratado hubiese pasado desapercibido en condiciones normales pero, en el año 999, Gerberto fue nombrado papa de la Iglesia católica con el nombre de Silvestre II, y todo su legado obtuvo una gran relevancia. En seguida, el Regulae de numerorum abaci rationibus fue objeto de un comentario a cargo de Herigerus de Lobbes (m. 1007), y de una edición del francés Abón de Fleury (ca. 945-1004), Además, el ábaco fue descrito en otras obras como elDe divisione de Lorenzo de Amalfi (m. 1049), el Regulae, qualiter multiplicationes fiant in abbaco de Hermann de Reichenau (1013-1054) o el Regule abaci de Adelardo de Bath. Otras muchas fueron redactadas a lo largo de los siglos XI, XII y XIII, en Bélgica, Francia, Italia y Alemania.
En la península Ibérica, por su parte, el judío Abraham ben Ezra describió las cifras indoarábigas en su Libro de la unidad, y en el Libro del número expuso el sistema posicional.
Otra de las obras que incidió de manera determinante en el uso extensivo de las cifras indoarábigas en los mercados y comercios fue el Liber abaci (1202, reescrito en 1228) de Leonardo de Pisa, más conocido con el sobrenombre de Fibonacci (ca. 1180-ca. 1250). Fibonacci pasó su infancia en la localidad argelina de Bugía, donde muchos de los maestros andalusíes llegaron huyendo de la cruzada cristiana en la península Ibérica. Su padre, un rico mercader pisano, decidió ponerle un profesor local, con lo que el joven Leonardo enseguida aprendió el nuevo sistema de numeración, tras viajar por Egipto, Siria, Grecia, Sicilia y la Provenza, Fibonacci se estableció en su Pisa natal, donde redactó esta introducción de las cifras indoarábigas:
Las nueve figuras indias son:La palabra zephirum se mantuvo entre los matemáticos italianos del Renacimiento y se convirtió en «zefiro», «zeuero», «zefiro» y finalmente, «zero» a través del dialecto veneciano a mediados del siglo XIV. Por otro lado, la misma palabra se transformó en la «sifra» o «cyfra» de los manuscritos latinos del siglo XIII que, posteriormente, pasó a los distintos idiomas como chiffre en francés, cipher en inglés, ziffer en alemán o «cifra» en castellano.987654321Con estas nueve figuras y con el signo 0 que los árabes denominan zephirum, cualquier número puede ser escrito como demostraré.
Un número es la suma de unidades (...] y mediante su suma los números se incrementan sin fin. En primer lugar, se componen con las unidades aquellos números entre el uno y el diez. En segundo, de las decenas se componen los números que van desde el diez hasta el cien (…). La primera posición de la escritura de los números empieza en la derecha. La segunda sigue a la primera hasta la izquierda. La tercera sigue a la segunda y así, la figura que está en la primera posición se representa a sí misma [...) y las nueve figuras que hay en la segunda posición representan tantos dieces como unidades en la primera posición; es decir, si la figura del uno ocupa la segunda posición, esto significa diez; si la figura es un dos, veinte.
El Liber abaci influyó mucho en los tratados de aritmética que se escribieron posteriormente, ya que Fibonacci ofreció una larga serie de ejemplos de resoluciones de problemas que comerciantes, mercaderes y banqueros no podían obviar anclados con sus cifras romanas, el nuevo sistema les iba a facilitar mucho su vida cotidiana. De este modo, tras los algoritmos de las operaciones básicas, Fibonacci explicó cómo resolver reglas de tres simples y compuestas, cálculo con fracciones y resoluciones de ecuaciones, y todo ello usando los nuevos números importados del norte de áfrica. Una prueba del éxito del Liber abaci es el manuscrito anónimo escrito alrededor del año 1289 en el dialecto de la región italiana de Umbría, que explica el sistema posicional basándose en la obra del pisano.
En Italia, el camino iniciado por Fibonacci no siempre fue fácil y, por ejemplo, en 1299 el gobierno de Florencia aprobó el Statuto dell Arte di Cambio por el que se prohibieron las cifras árabes por temor a que sirvieran para estafar a los comerciantes.
Este miedo también se convirtió en el pretexto de la Universidad de Padua para obligar a sus libreros a escribir los precios sin utilizar los ceros: no se podía permitir que los ceros se convirtieran en 6 ó 9 por añadirles trazos de más arriba o abajo. Esta presencia en los mercados también viene corroborada por su uso en los grabados de distintas monedas de curso legal, que se empezaron a acuñar sin tener en cuenta la numeración romana Así, en el año 1138, en el reinado de Roger II de Sicilia (del 1105 a 1154) se escribieron los primeros numerales indoarábigos sobre una moneda. Poco después, los árabes se pusieron al día utilizando sus propias cifras (1217) y, posteriormente, también los turcos (1388). La progresiva implantación del sistema en las monedas culminó durante el Renacimiento y su definitiva adopción por los distintos gobiernos, cuando la ciudad de Colonia en Alemania, Austria, Francia y Países Bajos, en el siglo XV, y Escocia e Inglaterra en el XVI, dieron el paso definitivo.
Ahora bien, sin restarle la importancia que merece el Liber abaci, otras dos obras fueron las que, definitivamente, introdujeron las cifras indoarábigas en Europa: el Carmen de algorismo de Alexander de Villadei (ca. 1175-ca. 1240) y el Algorismus vulgaris (ca. 1230) de Johannes de Sacrobosco (ca. 1195-ca 1256). Ambos libros fueron referencia en las primeras universidades europeas y, a partir de ellas, se escribieron otros muchos textos sobre aritmética. Alexander de Villadei fue director de una importante escuela en París en el año 1209 y, a través de su introducción en verso del sistema indoarábigo, sus alumnos continuaron con la transmisión de su conocimiento. Los dos primeros versos del Carmen dicen:
Se da el nombre de algorismus [algoritmo] a este arte actual por el que utilizamos las figuras indias en un número igual a dos veces cinco.El Carmen fue traducido a diversos idiomas, como el inglés, el francés o el islandés, pero pronto fue superado por la popularidad del Algorismus vulgaris, que se enseñaba en las clases que Sacrobosco impartía en París y Oxford. Sacrobosco explica que la palabra «algorismo» proviene del nombre de su inventor, «Algus»,y atribuye a los árabes su invención, olvidándose de los indios. Esta idea también fue ampliamente transmitida a lo largo de los siglos, e incluso en los importantes comentarios que se escribieron sobre el Algorismus vulgaris, como el de Pietro de Dacia en el siglo XIV, nunca se corrigió esta omisión. Hasta la llegada de los primeros tratados de aritmética comercial impresos, el Algorismus vulgaris fue la gran referencia de la ciencia de los números en toda Europa, como muestra el simple hecho de que era libro de texto obligatorio para cualquier estudiante de medicina de la Universidad de Bolonia, o de que en la Facultad de Artes de Viena, un alumno tuvo que examinarse de su contenido en el año 1389 para obtener su grado.
La definitiva implantación del sistema de numeración posicional decimal llegó con la invención de la imprenta. El primer libro de aritmética impreso en Europa fue el anónimo Arte dell'abacot publicado en Treviso en el año 1478. Escrito en dialecto veneciano, su autor quería popularizar los nuevos algoritmos, aplicándolos a los problemas comerciales. De algún modo, esta obra recogió la tradición italiana, que empezó con el Liber abaci y que dio multitud de manuales «de ábaco» que se estudiaban en las escuelas de ábaco, todos ellos fundamentados en las cifras indoarábigas. Los siglos XV y XVI dieron lugar a muchas primeras aritméticas en las distintas lenguas vernáculas europeas y, con todas ellas, se instauró definitivamente el sistema de numeración posicional decimal en Europa. A partir de ese momento, los libros de aritmética pasaron a hablar de las cifras romanas como de cosas antiguas, que si bien aún estaban presentes, pertenecían más al pasado que al presente. El Arte dell'abaco sigue el esquema general que anteriormente trazó el Liber abaci, el Carmen de algorismo o el Algorismus vulgaris e incluye capítulos dedicados a la numeración, las cuatro operaciones básicas, la regla de tres y aplicaciones a problemas mercantiles.
Tras el Arte dell'abaco, el siguiente tratado aritmético publicado en Europa fue la Suma de la art de aritmética (Barcelona, 1482) del catalán Francesc Santcliment. Santcliment fue profesor en Barcelona y, probablemente, también en Zaragoza, donde compiló otro tratado muy similar a este, pero en castellano (1486), La Suma también trata los quebrados, las reglas de compañías, de baratas, de falsa posición, las mezclas y aleaciones, y las progresiones, y debió influenciar en los ambientes comerciales barceloneses del siglo XV.
En alemán, el Libro de aritmética (Rechenbuck) y el Folleto de la computación (Rechenbüchlein) de Ulrich Wagner (m. 1490), publicados en 1482 y 1483, respectivamente, fueron las obras aritméticas pioneras. Sin embargo, las explicaciones de los dos libros anteriores eran muy precisas y escuetas; además, Wagner no fue un autor muy didáctico, con lo que muchas veces sus textos son poco claros. Por lo tanto, es muy probable que ambas obras sirvieran como complemento de las clases de aritmética comercial que Wagner impartía en Nüremberg. Al año siguiente, Pietro Borghi publicó su Arithmetica (Venecia, 1484), que fue el incunable aritmético más popular de su tiempo a tenor de la multitud de ediciones posteriores que se han conservado (algunas con el nombre de Libro del abacho). Escrita en dialecto veneciano, su inclusión de las monedas de Treviso, Padua, Florencia, París, Zaragoza o Sofía, entre otras, deja muy clara la intención del autor de enseñar a los prósperos comerciantes venecianos cuáles eran los beneficios de dejar atrás la numeración romana.
Lejos de este mundo comercial, Johannes Widman (ca. 1460- ca. 1500) fue profesor de matemáticas en la Universidad de Leipzig y también un prolífico autor de obras aritméticas comerciales. La primera de ellas, publicada con el títuloCálculo ágil y ordenado en todos los oficios(Behende und hübsche Rechenung anff allen Kauffmanschafft) fue una obra matemática rigurosa de la que llegaron a publicarse cinco ediciones, desde la primera, en 1489, y hasta el año 1526. Además, su éxito sirvió para que en Alemania y en el resto del mundo se conocieran los símbolos que Widman decidió que iban a servir para indicar los aumentos y las sustracciones de mercancías de un inventario: los actuales + y -.
Otras obras de Widman que cabe mencionar fueron Algoritmus imealis (1488), Algorithmus integrorum (1490),Algorithmus minutiarum vulgarium (1495) y Algorithmus minutiarum physicarum (1495).
Las obras de Borghi y de Widman no encontraron rival en Italia ni en Alemania, respectivamente, hasta la llegada de obras más exitosas que las eclipsaron por completo y marcaron una nueva época.
En Italia, pese a la publicación del De arithmetica (Florencia, 1491) de Philippo Calandri, las cifras indoarábigas y el sistema de numeración posicional decimal quedaron establecidos de manera definitiva tras la publicación de la Summa de arithmetica, geometría, proportioni el proportionalita (Venecia, 1494) de Luca Pacioli (ca. 1446-1517). La Summa es un completísimo tratado de matemáticas escrito como libro de texto para las múltiples clases que impartió Pacioli en las distintas universidades italianas en las que trabajó. Nunca antes se había publicado en Europa una enciclopedia matemática similar, de modo que, sin pensarlo, Pacioli creó la que sería la obra matemática de referencia del siglo XVI. Un dato que confirma este privilegio se encuentra en la figura de Gerolamo Cardano (1501-1576), profesor en Milán y protagonista de la polémica batalla por la prioridad de la resolución de la ecuación cúbica. Cardano, en 1539, publicó el Practica arithmetice et mesurandi singularis con el único propósito de sustituir a la Summa como libro de referencia en las aulas milanesas. El Behende de Widman, por su parte, vivió su ocaso con la publicación del Cálculo con líneas (Recknung auff der liniken), en 1518, y del Cálculo con líneas y resortes(Recknung auff der liniken und Fedem) en 1522, de Adam Ries (1492-1559). En la primera, este director de escuela describió el cálculo numérico que se podía hacer con un cierto tipo de ábaco, mientras que en la segunda, la cual llegó a más de 115 ediciones en el siglo XVI, introdujo los numerales indoarábigos.
Este repaso no puede terminar de ninguna manera sin pasar por otros países como Francia, donde Francés Pellos publicó en provenzal La art de arithmetica et semblantment de ieumetria dich ho nominatus Compendion de lo abaco (1492). Otra de las grandes obras aritméticas de referencia, esta vez en francés, fue la Triparty en la Science des nombres de Nicolás Chuquet (ca. 1450- ca. 1500). Chuquet no llegó nunca a publicarla, pero la obra fue conocida a través de L'arismetique nouvellement composée (1520) de su alumno Estienne de la Roche (ca. 1470-ca, 1530).
La Triparty es el primer texto matemático en el que se encuentran las expresiones «millón», «billón», «trillón», etc., para nombrar los números. Con la llegada del siglo XVI, las grandes naciones europeas tenían a su disposición la base 10 y el sistema de numeración posicional, los cuales pasaron a ser indiscutibles tanto en los libros de matemáticas como también en los inventarios, facturas y demás documentos mercantiles. Así pues, la numeración romana se vio relegada a convertirse en una minúscula sección de los libros de la historia de las matemáticas y a desempeñar un pequeño papel protagonista en los relojes y las fachadas de algunos edificios renacentistas.
La evolución de las palabras cero, cifra, algoritmo y guarismo
Expuesta la evolución de la numeración indoarábiga desde el Algorismi de numero indorum de Al-Juarismi hasta el siglo XVI, vale la pena ver cuál ha sido la evolución de ciertos términos que en la actualidad utilizamos de manera natural en nuestra lengua. Como uno se puede imaginar, las palabras en cuestión son «algoritmo», «guarismo», «cero» y «cifra»; de algunas de ellas ya se ha hecho alguna referencia en apartados anteriores.
Las palabras «cero» y «cifra»
Como se ha dicho ya, ambas palabras provienen del árabe sifr que significa «vacío», traducción directa de la india sunga. En 1202, Fibonacci la tradujo como zephirum y ahí empezó la historia de la denominación tanto del cero como de la cifra en las lenguas modernas. Sin embargo, antes de la redacción delLiber abaci, Raúl de Laon escribió unLiber de abaco (ca. 1100) donde se refirió al 0 como sipos, que era el nombre que recibía la pieza del ábaco que llevaba esa cifra y que ya había sido utilizado por Gerberio en el año 983:
Inscribitur in ultimo ordine et figura. O sipos nomine, quae, licei numerum nullum signifet, tantum ad alia quaedam utilis, ui insequentibus declarabitur.
Otro de los nombres que se dio al 0 fue el de «círculo» o simplemente «rueda»» como hizo Abraham ben Ezra en su Libro de la unidad, donde se utilizó la palabra galgal, que significa «rueda» literalmente (también usó sifra). Esta idea circular del 0 continuó en muchas de las obras aritméticas del siglo XVI, como el comentario de Jodocus Clichtoveus (ca, 1470-1543) a la Aritmética de Boecio, donde leemos «nota aut circularis» o «circularis nota», y«figura circularte», o el De arte supputandi libri quatuor (1522) de Cuthbert Tunstall (ca. 1475-1559).
Otra denominación que tuvo el 0 fue la de «teca» y Pietro de Dada creía que la razón era porque ese era el nombre que tenía la forma O de la marca del hierro circular al rojo vivo con el que se grababa a los ladrones en la mejilla o en la frente. Otra versión de este nombre proviene de la similitud con la primera letra de la palabra griega theca, que se utilizaba para denominar d hueco vacío en un ábaco y que, evidentemente, se podía relacionar con la ficha del 0 en el ábaco de Gerberto. Esta tradición llegó también hasta el siglo XVI, y Niccoló Fontana (ca. 1499-1557) escribió en su póstuma Tutte l'opere d'arithmetica (1592):
[...] si chiama da alcuni tecca, da alcuni circoto, da altri cifra, da oltri zero, & da alcuni altri nulla.Este último nulla, relacionado con su valor y cuyo paso al francés y al español ya hemos visto, también fue otra de las denominaciones que tuvieron éxito. Johannes Buteo (1492-ca 1570) le asignó el símbolo 0 (1559) para denotar la idea de conjunto vacío, aunque también admitió la õ para distinguirlo de la letra griega omicrón. En L'arismetique nouvellement composée de De la Roche, el 0 también se denomina null y lo mismo ocurre en la mayoría de tratados aritméticos alemanes del siglo XVI. Por lo tanto, no son extrañas las palabras que Jacques Peletier (1517-16S2) escribió en su L'aritmetique, refiriéndose al 0 como rien, o sea, nada:
La diziéme s'appelle chiffre vulgairement: les uns l'appellant zero, nous la pourrons appeller um RienDe todos modos, como ya se ha indicado anteriormente, fueron los términos «cero» y «cifra» derivados del zephinm de Fibonacci los que se impusieron en todos los idiomas. En 1307, Jacopo de Florencia utilizó zeuero, y poco después, Giovanni de Dante de Arezzo lo llamó çeuero (1370). En la primera edición de Libro del abacho de Borghi, su nombre esçefiro, ouero nulla, y después fue cambiado por zefiro, ouero nulla y por zero, ouero nulla en las respectivas ediciones de 1488 y 1540. Philippo Calandri también usó zero en su De aritítmetica y parece que a mediados del siglo XVI ya había un amplio consenso sobre su nombre, tal como corroboró Pierre de Savonne en su Arithmetique de 1563: S'apelle nulle & entre marchants, zero.
No obstante, la palabra «cifra» como nombre del 0 aún estaba vigente en este siglo XVI y nos encontramos, por ejemplo, que Gaspar de Texada, en su Summa de arithmetica practica y de todas las mercaderías con la Horden de contadores (1546) habla de las «nueve letras y un cero o cifra». En el siglo XIV, Máximos Planudes había traducido al griego el cero como tzifra (tzifra).
Es difícil saber en qué momento la palabra «cifra» adoptó su significado final y se separó del «cero», ya que incluso Cari Friedrich Gauss (1777-1855) aún la utilizó en sus Disquisitiones arithmeticae para referirse justamente al 0. Así, mientras que en castellano se utiliza la expresión «ser un cero a la izquierda» para indicar el poco valor de alguien, en la Francia de los siglos XIII y XIV se hablaba de cyfre d'angorisme. También en el siglo XIII se encuentra este significado en un poema escrito por el francés Gautier de Coincy (1178-1236):
Una bestia con cuernos, una ovejaUna cifra del algoritmo,Es un monje, que en el día festivono celebra la Madre Santa.
La aparición de las fracciones decimales en EuropaComo en el mundo árabe, el sistema de numeración posicional decimal solo se introdujo para escribir números enteros, mientras que los decimales siguieron siendo una asignatura pendiente que se cubría con el uso de las fracciones. De esta manera, durante el siglo XVI aún se podían ver expresiones comoen el Cálculo ágil y ordenado en todos los oficios (1489) de Johannes Wildman, o
en la Aritmética (1571) de Jean Trenchant.
Un primer paso hacia el uso extensivo de las fracciones decimales es el mostrado en las tablas de raíces cuadradas del Cálculo con líneas y resortes (1522) de Adam Ries, en las que utilizando la regla
se obtienen unos resultados correspondientes a 3√A y, por lo tanto, tres cifras decimales para cada raíz cuadrada. Trenchant también optó por esta manera de proceder y lo mismo ocurrió con el holandés Willem Bartjens (1569-1638), quien en 1591 fundó una escuela en Amsterdam. Este tipo de recursos fue muy habitual para expresar los decimales de las funciones trigonométricas y todos los matemáticos buscaron la manera de dejar atrás las fracciones para disponer de un sistema más ágil y útil. Uno de estos casos es el de Pellos, quien en su obra de 1492 utilizó por primera vez el punto decimal en un tratado impreso (ver imagen). En los escritos medievales los números solían ir rodeados de un punto, antes y después de escribirlos, pero es con Frances Pellos que el punto se convirtió en la separación natural entre enteros y decimales. Hubo otros matemáticos, como Christoff Rudolff (1499-1545) o Gerolamo Cárdeno, que con el mismo objetivo utilizaron una barra separadora en sus obras en lugar del punto. De hecho, Rudolff puede ser considerado uno de los inventores reales de las fracciones decimales, ya que en 1530 utilizó su barra del mismo modo como se haría en la actualidad, al resolver un problema sobre interés compuesto, no obstante, Rudolff no fue comprendido y hasta 1585 no apareció la obra que cambaría la historia; El decimal (De Thiende), del flamenco Simón Stevin (ca. 1548- 1620), la cual fue traducida al francés bajo el título La Desme. El propósito del trabajo fue «enseñar cómo todos los cálculos que hay en los comercios pueden ser realizados solo mediante números enteros sin la ayuda de las fracciones» y la idea principal fue la de considerar cada cifra como la décima parte de la cifra de orden inmediatamente superior. De este modo, Stevin consideró que todos los números enteros debían ir acompañados del símbolo
, que significaba «unidades»; por ejemplo, el numero 364 se debía convertir en el 364
. A partir de aquí, llamó «primera» a la décima parte de la unidad: «segunda», a la décima parte de la «primera», y así sucesivamente. A cada una de ellas asoció los símbolos
,
..., respectivamente. Por ejemplo, si se quería representar el número 0,3759, Stevin escribía 3
7
5
9
y pasaba a considerarlo como un «número decimal»,
El decimal continuaba con los algoritmos de las cuatro operaciones básicas y la aplicación de los nuevos decimales a cálculos típicos de los mercados; sin embargo, este sistema no terminó de calar entre los matemáticos. Johannes Kepler (1571-1630), por ejemplo, en 1616 ya consideraba las fracciones decimales, pero utilizó una coma y un paréntesis para separar la parte entera de la decimal. A propósito de dicho trabajo, Johann H. Beyer (1563-1625) le escribió una carta el mismo año en la que mezcló la nueva coma con la notación sexagesimal heredada de los tratados aritméticos anteriores. De este modo, en lugar de escribir 314,159265, escribió 314,1'5''9'''2''''6'''''5'''''' Este sistema también fue utilizado por John Napier (1550-1617), aunque en la traducción al inglés (1616) del libro en el que inventó los logaritmos ya apareció el punto decimal. A partir de ahí, durante el siglo XVII se fue imponiendo el actual sistema de escribir los decimales, con comas y puntos según la voluntad de los autores. En general en la Europa continental se adoptó la coma como signo de separación, mientras que en Inglaterra se utilizó más el punto. El sistema decimal se fue imponiendo en paralelo en los mercados y aún hoy existen diversas maneras poco ortodoxas para representar los decimales. Una de ellas inició su andadura en los Estados Unidos del siglo XIX y convirtió los precios en dólares, como 15.65, en expresiones del tipo 1565.
En El testamento de amor de Thomas Usk (m. 1388) también se lee:
Una cifra en el algoritmo no tiene significado por sí misma aunque tiene mucho poder con respecto a otras.Esta última cita también deja claro que en la Inglaterra del siglo XIV había un cierto conocimiento de las cifras indoarábigas, y otra prueba de ello es el astrolabio descrito por Geoffrey Chaucer (1343-1400), en el que las cifras sobre la araña estaban escritas en este nuevo sistema.
El vocablo «algoritmo» proviene directamente del nombre del protagonista de este libro: Al-Juarismi. Como se ha visto con anterioridad, las primeras traducciones latinas del siglo XII hicieron referencia explícita al nombre del autor (Algorismi de numero Indorum, Liber algorismi de practica arismetrice y Liber ysagogarum alchorismi in artem astronomicam a magistru A. compositus), hecho que se repite en las exitosas Carmen de algorismo y Algorismus vulgaris del siglo XIII, y el manuscrito de Cambridge empieza su texto con «Dixit Algorizmi». El Algorismus vulgaris fue muy editado y comentado (algunas veces a través del título De arte numerandi) y en el siglo XVI se convirtió en el tratado de referencia que enseñaba las cifras indoarábigas y las operaciones con ellas. Es probable que Sacrobosco ya no fuera muy consciente del significado real de la palabra «algoritmo» ya que, si bien todos los títulos citados pueden perfectamente traducirse por el nombre de Al-Juarismi, Algorismus vulgaris se traduce literalmente por «Algoritmo común». Además, Sacrobosco especifica que hay nueve especies del «arte de algorismo» (numeración, adición, sustracción, división por la mitad, duplicación, producto, división, progresiones y extracción de raíces) a las que se refiere como «especies del algorismo». Con todo, no es difícil que un lector desconocedor de su origen (recordemos que Sacrobosco atribuye su origen a Algus) empezara a olvidar rápidamente el nombre real del matemático musulmán y asociara el «algorismo» a las distintas reglas de cálculo que se podían realizar con los nuevos numerales. De este modo, ya en el siglo XIV se conservan testigos de esta corrupción del nombre de Al-Juarismi derivada del algorisme francés, como, por ejemplo, en el Libro de la Duquesa (ca. 1369) de Chaucer, en el que se lee:
Aunque Algus, el noble contador,El desconocimiento de Al-Juarismi se puede apreciar con total claridad en las palabras expuestas por el matemático valenciano Miguel Jerónimo de Santa Cruz en su Dorado contador (1594), donde afirma que:
había fijado el cómputo del encuentro
y contó con sus diez numerales,
ya que con esos numerales todo es contado
La práctica aritmética, como afirma Juan de Sacrobosco fue dada compendiosa en luz de un filósofo, llamado Algo, y por esta causa fue llamada el Guarismo.Esto permitió que aparecieran teorías fantásticas del origen de apalabra «algoritmo»; la derivación del nombre de un matemático indio llamado Algorus, o del rey Algor de Castilla. También se dijo que el término en cuestión podía significar «inducción a los números», ya que algos significa «inducción» y rimus provendría del arithmos griego. Una variante de esta idea conservó el aritimos griego y lo añadió a ares, que significa «virtud». Otra teoría lo hizo derivar de la palabra griega algo, que significa «arena blanca», ya que las primeras operaciones con las nuevas cifras se realizaban sobre arena.
Así, la palabra «algoritmo» olvidó su origen y se asoció únicamente a las reglas de cálculo con las nuevas cifras. Prueba de dio es que cuando el filósofo y matemático alemán Gottfried Wilhelm Leibniz (1646-1716) publicó su Nuevo método en 1684, no dudó en referirse a sus reglas como «Algorithmo» del cálculo «diferencial».
Con todo, no fue hasta el año 1747 que el Vollständiges Mathemtisches Lexicón, uno de los primeros diccionarios alemanes de matemáticas, definió formalmente la palabra «algoritmo»:
Bajo este concepto se dan las nociones de los cuatro tipos de cálculo aritmético, suma, producto, resta y división.A partir del siglo XIX, la palabra «algoritmo» empezó a asociarse a reglas iterativas como el algoritmo de Euclides y, con la innovadora llegada de los ordenadores y la ciencia de la computación, los lenguaces de programación la adoptaron como base de sus procesos.
Finalmente, otra de las palabras que proviene directamente del nombre de Al-Juarismi es la de «guarismo», la cual solo pasó al castellano y, en la actualidad, está bastante en desuso. Como se ha visto con Miguel Jerónimo de Santa Cruz, el término «guarismo» asumió el significado de cifra y muchos son los ejemplos que lo corroboran, sobre todo a partir del siglo XVI. Juan Pérez de Moya (ca. 1512-1596), por ejemplo, escribió en 1589:
En guarismo se pone d'este modo: 12; en castellano se pone assí XII.En los mismos términos se había referido el portugués Francisco Falero (m. ca. 1575), quien en su Tratado de la esphera y el arte de marear (1535) habla de las «Reglas para aprender a contar de guarismo». En esa época no hubo ninguna distancia semántica entre guarismo y algoritmo, y si Luis Collado de Lebrija (m. 1602) hablaba de las «reglas de guarismo» (1592), Andrés de Poza (ca. 1530-1595) escribía en 1585:
Sin embargo, Pérez de Moya también utilizaba «guarismo» para referirse a la nueva aritmética indoarábiga:
Podrá usar de los caracteres que le pareciere, ya sean seros, ya sean caracteres de música, ya de cuenta guarisma.
Están los nombres de las estrellas con un guarismo, uno o dos, el qual guarismo significa que la estrella es de primero o segundo grandor.Finalmente, un ejemplo más muestra con claridad cómo el resto de idiomas no copiaron el «guarismo» castellano. En 1613, Diego de Ufano (m. 1613) publicó su exitoso Tratado della artillería y uso della platicado, donde se dice: […] las docenas van señaladas por cifra de cuenta guarismo […]
El tratado fue traducido al francés (1614, 1621, 1628) y al alemán (1614, 1621, 1630), idiomas en los que fue reimpreso varias veces. También se publicó un resumen al inglés en Londres (1646) y formó parte del Libro III de Military & Maritime Discipline in three books (1672), En todos estos casos, el «guarismo» nunca fue traducido literalmente y, por ejemplo, en la edición francesa, la «cuenta guarismo» se convirtió en ciffres.
Capítulo 3
El álgebra de Al-Juarismi
Una de las contribuciones más destacadas de Al-Juarismi fue la de demostrar geométricamente todas las reglas que servían para resolver las ecuaciones cuadráticas. Ya desde tiempos mesopotámicos, los matemáticos supieron las fórmulas que resolvían la ecuación de segundo grado, pero fue Al-Juarismi el primero que, basándose en las obras geométricas griegas, supo argumentar por qué razón dichas fórmulas funcionaban. Los argumentos de su álgebra fueron copiados durante siglos en los tratados árabes y europeos y aún están vigentes hoy en díaAdemás de la ya explicada introducción del sistema posicional decimal indio, Al-Juarismi también fue el autor de un tratado de álgebra que cambiaría la historia de las matemáticas. La razón de la importancia de su obra es que, por primera vez, se dio una demostración geométrica para la resolución de las ecuaciones de segundo grado, es decir, de las ecuaciones del tipo ax2 + bx + a = 0. Como es bien sabido, este tipo de ecuaciones se resuelve mediante la regla que se muestra a continuación;

Cabe señalar que los números negativos no hicieron su aparición en la historia de las matemáticas hasta bien entrado el siglo XVI y, por tanto, ni Al-Juarismi ni ninguno de los matemáticos que le precedieron tuvieron en cuenta estas consideraciones. Dentro de la historia de las matemáticas, las únicas soluciones posibles de una ecuación eran las positivas y estaban relacionadas con problemas reales de la vida cotidiana.
Breve introducción a la historia del álgebra
En el antiguo Egipto, los únicos problemas de álgebra que se han conservado están recogidos en un número muy limitado de papiros, como el papiro de Rhind, que ofrecen una panorámica muy clara del estado de la cuestión a mediados del siglo XIX a.C. El texto, que bien podría ser una especie de libro de matemáticas de la época, inicia su serie de problemas algebraicos con los siguientes:
1. Una cantidad y su séptima parte añadida es 19. ¿Cuál es la cantidad?
2. Una cantidad y su mitad añadida es 16. ¿Cuál es la cantidad?
3. Una cantidad y su cuarta parte añadida es 16. ¿Cuál es la cantidad?
4. Una cantidad y su quinta parte añadida es 21. ¿Cuál es la cantidad?
Pensando en una matemática poco académica, ¿cómo se podía resolver un problema como cualquiera de los anteriores sin haber ido a una clase de matemáticas rigurosa como las que se imparten en la actualidad? Una de las maneras que históricamente han funcionado mejor para resolver este tipo de problemas es suponer que se sabe la solución e ir probando. Por ejemplo, en el caso del segundo problema del papiro de Rhind, el escriba probaría si la solución es 2. Si a 2 se le añade su mitad, es decir, 1, el resultado es 3 y el escriba en seguida se daría cuenta de que tendría que probar con un número mayor, ya que su aspiración era obtener 16. Si probaba con el 4, el resultado era 6. Con el 10 obtenía 15 y con el 12 obtenía 18. Por lo tanto, la solución debía estar entre el 10 y el 12, y con el 11, obtenía 16,5... se pasaba Así, los antiguos egipcios se dieron cuenta de que el método consistía en algo parecido a
x + x/2 = 16
Si x = 2, entonces

Quitamos una mitad y un cuarto y quedan 6. ¿De qué número hablamos?
Supongamos que es 1 la cantidad [...]
El resultado es 1/4 si el número es el 1.
Entonces el resultado es 41/4 = 1 si el número fuese 4 × 1 = 4.
Entonces el resultado es 5 × 1 = 5 si el número fuese 5 × 4 = 20.
Así, la cantidad propuesta es 20.
El papiro de RhindEl papiro de Rhind es el texto matemático egipcio más importante que ha llegado hasta nuestros días. En el año 1855, Alexander Rhind (1833-1863), un joven abogado escocés, desembarcó en Luxor buscando un clima más propicio para su delicada salud.Con el tiempo, se interesó por la arqueología y empezó a participar en excavaciones en la necrópolis de Tebas. La historia explica que Rhind compró una serie de documentos rescatados del templo funerario de Ramsés II a un operario de la excavación y…¿quién le iba a decir a Rhind que estaba delante del documento matemático egipcio más importante hallado hasta el momento? Actualmente se conserva en el Museo Británico de Londres y sus casi 53 m de longitud por 30 cm de ancho contienen...
La introducción en el conocimiento de todas las cosas reales y de todos los oscuros secretos. Este libro fue copiado en el año 33, en el cuarto mes de la estación de las Inundaciones, bajo la majestad del Rey del Alto y Bajo Egipto Apofis (s. XVII a.C), dotado de vida, siguiendo los escritos antiguos de la época del Rey del Alto y Bajo Egipto Amenemhat III (s. XIX a.C)Asimismo, su autor firmó para la posteridad que fue «Ahmes quien copió el escrito». El papiro contiene 87 problemas matemáticos y sus correspondientes resoluciones en escritura hierática, además de una tabla de descomposiciones de fracciones de numerador igual a 2 en suma de fracciones de numerador igual a 1:Además de los problemas algebraicos, el papiro de Rhind muestra cómo los antiguos egipcios calculaban áreas y volúmenes de figuras planas y del espacio, respectivamente. El área de un rectángulo, por ejemplo, se calculaba mediante la conocida regla de la base por altura, como en la actualidad. Igualmente, el área del triángulo era la mitad de la base por su altura. No obstante, el área del circulo sí que esconde algún «oscuro secreto» ya que, al no conocer la existencia del número π, los egipcios fueron capaces de idear una regla cuyo resultado da una muy buena aproximación ¿la conocida A = πr2. La regla consiste en extraer una novena parte del diámetro del círculo y multiplicar el resultado por sí misma Es decir
donde r es el radio del círculo. Como se constata la aproximación 256/ 81 = 3,116049382 fue uno de los primeros valores que tomó el número π en la historia.
Otro tipo de problemas que se recogen en el papiro de Rhind son los que calculan el pesu de ciertos alimentos, que era una medida de calidad de los productos:También hay problemas sobre progresiones geométricas, el cálculo de la pendiente de las caras de una pirámide... y todos ellos resueltos con reglas muy intuitivas que dejan al descubierto los razonamientos de las matemáticas egipcias del III milenio a.C
La simplicidad operativa de este tipo de razonamientos también se aprecia en otro de los problemas del papiro de Rhind, el cual propone encontrar la fracción x que cumple
x + 2/3 + 1/15 = 1
Para resolverlo, Ahmes supuso que en lugar de estar buscando una fracción relativa a la unidad, tenía que hallar un resultado relativo a 15. Por lo tanto, como 2/3 de 15 es 10 y 1/15 de 15 es 1, la ecuación propuesta se convierte en x + 10 + l = 15 y, consecuentemente, el numero buscado es 4. Pero se quería un resultado relativo a 1 (y no a 15), con lo que el resultado final es4 /15 = 1/5 + 1/15
(los antiguos egipcios solo consideraban las fracciones de numerador igual a 1 y la 2/3).El método de suponer una solución conocida se identifica con el nombre de «regla de la falsa posición» y fue, sin duda, un paradigma del álgebra no simbólica en todas las épocas y civilizaciones, incluida la mesopotámica. Sin embargo, los escribas de la antigua Babilonia dieron un paso más y fueron capaces de resolver sistemas de ecuaciones lineales del tipo

Como (x - y)/2 = 900, se tiene que x = 900 + z e y = 900 - z y, sustituyendo en la segunda ecuación:

He sumado el área y un lado de mi cuadrado: 3/4.En el lenguaje simbólico actual, la ecuación propuesta es:
Pon 1, la unidad. Divídelo por la mitad: 1/2. Multiplícalo por 1/2:1/4.
Suma 1/4 a 3/4:1. Este es el cuadrado de 1. Réstale 1/2: 1/2, que es el lado del cuadrado.
x2 + x = 3/4
Y antes de seguir adelante, hay que señalar dos aspectos que pueden ayudar a comprender la evolución del álgebra:1. Sin el descubrimiento de los números negativos hubiese sido imposible simplificar la resolución de la ecuación ax2 + bx + c = 0 con la actual fórmula

Por lo tanto, un matemático sin números negativos estaba obligado a aprenderse tres reglas de resolución:


2. En el contexto de un álgebra no simbólica, tampoco tuvo mucho sentido plantear problemas con a, b y c enteros, ya que todos los cálculos se hacían directamente sobre los números propuestos y, posteriormente, se iban siguiendo los pasos marcados por la regla. Por este motivo, en todas las reglas, se dividía la ecuación propuesta por el coeficiente a, de modo que se podía considerar que a = 1:



(z + 20)2 + (z + 10)2 + z2 = 1400 ⇉ 3z2 + 60z = 900
En este caso, la regla utilizada no sigue ninguna de las tres anteriores, ya que es equivalente a


Estatua dedicada a Aryabhata en las instalaciones del Centro Interuniversitario para la Astronomía y Astrofísica, IUCAA, Pune, India



Es muy difícil precisar cómo, hace cuatro mil años, se llegó hasta este grado de sofisticación matemática, pero estamos, sin duda, en un momento trascendente en la historia de la ciencia.
Probablemente, el sistema de numeración sexagesimal babilónico, el cual permitía rápidos y ágiles cálculos, fue uno de los detonantes que impulsó a que la matemática babilónica diera un paso que no fue recuperado hasta el siglo XII.

Fragmento de Los Elementos de Euclides, escrito en papiro, hallado en el yacimiento de Oxirrinco, Egipto
A tenor del legado conservado en la actualidad, se puede afirmar que el álgebra era motivo de estudio en las antiguas escuelas griegas y, como en los casos precedentes, estaba relacionada con problemas geométricos o de la vida cotidiana. Por ejemplo, en un papiro datado en el siglo II d.C. se lee:
Hay un triángulo rectángulo en el que la altura y la hipotenusa suman 8 pies y la base mide 4. Hemos de buscar la altura y la hipotenusa por separado.Si llamamos a a la hipotenusa y h y c a los dos catetos del triángulo rectángulo, el enunciado del problema da b = 4 y a + c = 8 y se calcula:
Las encontraremos como sigue. El 4, por sí mismo, da 16. Divídelo por 8, y da 2. Resta el 2 del 8, y queda 6. Su mitad es 3. La altura será 3. Ahora, resta 2 de 8 y queda 6. Por lo tanto, la hipotenusa es 5 pies.
El cálculo realizado se corresponde con:


Otro tipo de ecuaciones que se empezó a tratar en el periodo griego fueron las ecuaciones y los sistemas de ecuaciones indeterminadas, estudiadas por Diofanto en su Aritmética. No obstante, el primer sistema de este tipo que se conoce se debe a Arquímedes:
Calcula, amigo mío, el número de cabezas de ganado que había una vez por los valles de Sicilia, divididos en grupos de acuerdo con su color; uno de blanco como la leche, uno de negro, uno de moteado y uno de amarillo. El número de bueyes es superior que el de vacas y las relaciones entre ellos son las siguientes:En este planteamiento, X y x son el número de bueyes y vacas blancas, respectivamente; Y e y, el de bueyes y vacas negras; Z y z, el de bueyes y vacas moteadas; y W y w, el de bueyes y vacas amarillas. El problema origina! de Arquímedes debió acabarse aquí y se cree que, posteriormente, se añadieron las dos condiciones siguientes, donde s y n son dos números por determinar. Arquímedes resolvió su sistema por el método de sustitución y terminó encontrando que 891 Z = 1580 W, con lo que la menor solución al problema es Z = 1580 y W = 891. Si se sustituye en el resto de variables, el resultado final depende de un cierto valor indeterminado k:

Diofanto de Alejandría y su «Aritmética»De la figura de Diofanto no se conoce casi nada, aunque está comúnmente aceptado que su vida transcurrió en el siglo III d.C. En la tradición griega, un epigrama cuenta que vivió un total de 84 años:Su infancia duró una sexta parte de su vida;Es decir, si x representa el número de años que Diofanto vivió:
su barba fe creció después de una doceava parte más;
se casó después de una séptima parte más,
y su hijo nació 5 años después;
el hijo vivió la mitad de la vida de su padre,
y entonces el padre murió 4 años después de su hijo.x /6 + x/12 +x/7 +5 + x/2 + 4 = x ⇉ x = 84
De sus obras, solo han llegado hasta nuestros días los seis primeros libros de la Aritmética (de los trece originales) y un fragmento de De los números poligonales. La famosa Hipatia de Alejandría (siglo V) fue la primera comentadora de la Aritmética, aunque el hecho de que su obra se limitara a estos seis primeros libros pudo deberse a su prematura muerte en el año 415.En el siglo X, los comentadores árabes también se dieron cuenta de la importancia algebraica del tratado, y lo mismo ocurrió con el bizantino Georgios Pachymeres en el siglo XIII. Regiomontano descubrió la Aritmética en el Renacimiento, y de ella dijo, en una Oratio escrita en el año 1463 como introducción a un curso de astronomía de la Universidad de Padua:
Nadie ha traducido aun del griego al latín los trece libros de Diofanto en los que se esconde la flor y nata de toda la aritmética, el ars rei et census que hoy conocemos con el nombre de «álgebra».
Alrededor del año 1570, el boloñés Rafael Bombelli encontró un segundo manuscrito de La Aritmética dividido en siete libros, de los que tradujo al latín los cinco primeros, junto con Antonio María Pazzi. Aunque nunca publicaron el trabajo, Bombelli utilizó muchos de los problemas en la redacción de su álgebra (1572). Finalmente, en 1621 Claude Caspard Bachet de Méziríac publicó la edición que, posteriormente, se convertiría en la más común y popular en Francia, junto con la traducción latina. Uno de los grandes rasgos de la Aritmética de Diofanto es el uso del álgebra simbólica por primera vez en la historia. A las incógnitas de las ecuaciones las llamó arithmos («números») y en las ediciones impresas se ve representada por la sigma griega final de la palabra arithmos: z. Para las potencias de la incógnita, Diofanto también utilizó un sistema de notación inédita hasta el momento: Dg representaba el actual x2; Kg a x3; DgD a x4, x5 a DKg, K gK, a x6. etc.
Para conseguir una solución que no sea fraccionaria, ya que el resultado son cabezas de ganado, es necesario que k sea un múltiplo de 4657 y, por lo tanto, k = 4657K, donde K es otro cierto número entero indeterminado. Con todo, el total de animales que campaban por Sicilia era de 50.389.082K. Solo como dato, si se tienen en cuenta las siguientes dos condiciones, el resultado final no puede tener menos de 206.500 cifras, con lo que se reafirma que esta idea no estaba en la cabeza de Arquímedes.
Con Diofanto, las ecuaciones indeterminadas iniciaron su andadura oficial (por ello se las conoce también como «ecuaciones diofánticas»). Por ejemplo: ¿Existen dos números tales cuya diferencia, elevados al cuadrado, sea 60?
Una primera manera de proceder sería ir probando con diversos números y ver hasta qué punto es posible hallar una respuesta afirmativa: l2 = 1, 22 = 4, 32 = 9, 4 2 = 16, 52 = 25, 62 = 36, 72 = 49, 82 = 64, 92 = 81... Es evidente que 8 2 - 22 = 64 - 4 = 60. Sin embargo, ¿hay más parejas que cumplan ésta propiedad? Diofanto planteó que el menor de los dos números sea una cantidad desconocida, a la que llamaremos x, mientras que el mayor es x+m, donde m es la diferencia entre ambos. Por lo tanto,
(x + m)2 - x2 = 60
x2 + m2 + 2xm - x2 = 60
m2 + 2xm =60
x = (60 - m2)/2m
Ahora, dando distintos valores a la diferencia m se pueden ir obteniendo distintas parejas cuya diferencia de cuadrados es 60:

Por lo que respecta a las ecuaciones cuadráticas propiamente dichas, su resolución detallada debió de quedar en uno de los libros que no se han conservado, aunque a partir de las explicaciones dadas en el prefacio de la Aritmética, se puede deducir que Diofanto también trabajaba con tres reglas básicas:

Las primeras referencias a la ecuación cuadrática en la antigua india remontan a diversas resoluciones de problemas geométricos datadas en los siglos V-III a.C. Lejos del ámbito geométrico, el autor del manuscrito Bajshali (ca. siglo II d.C.) también era conocedor de la fórmula de resolución de las ecuaciones de segundo grado. Así, uno de los problemas que resolvió planteaba que una persona caminaba a una cierta velocidad constante de 5 yohana cada día. Al cabo de seis días, otra persona salió a darle alcance de modo que él primer día anduvo 3 yohana, el segundo anduvo 3 + 4 = 7 yohana, el tercero, 7 + 4 = 11 yohana, y así sucesivamente. El enunciado es equivalente a resolver la ecuación 4x2- 8x = 60, que, efectivamente, arroja un resultado de x = 6 días.
Ya en el siglo V, Aryabhata I se dedicó a hallar el número de términos de una progresión geométrica mediante la siguiente regla:
la suma de la serie multiplicada por ocho veces la diferencia común es sumada al cuadrado de la diferencia entre dos veces el primer término y la diferencia común; la raíz cuadrada del resultado es disminuida en dos veces el primer término y, entonces, dividida por la diferencia común. La mitad de esta división más la unidad es el número de términos.
Es decir, dada la suma S de los n primeros términos de una serie aritmética cuyo primer término es a y la diferencia es d, el número de términos que se han sumado es igual a

Multiplica el producto por cuatro, entonces añade el cuadrado de la diferencia de las dos cantidades, y toma la raíz cuadrada. Auméntala con la diferencia de ambas cantidades y disminúyela con lo misma. Los resultados obtenidos, divididos por 2, dan los dos factores del producto buscado.
Equivalencias de la ecuación cuadráticaLa aparición de la ecuación cuadrática en la historia da las matemáticas ha estado muchas veces ligada a problemas de hallar dos números de los que se conoce su producto y también su suma o diferencia. Por ejemplo, si buscamos dos números cuya suma es 8 y cuyo producto es 12, el álgebra plantea el siguiente sistema de ecuaciones:Cabe notar que, con el planteamiento dado, si S es la suma de dos cantidades a1 y a2 y P, su producto, entonces la ecuación x2- Sx + P = 0 tiene como solución una de las cantidades a1 o a2. En efecto, si x = a1 y x =a2 han de ser las soluciones de la ecuación, se cumplirá quex - a1 = 0 y x - a2 = 0, respectivamente, y si ambas expresiones son iguales a cero, también lo será su producto:
(x - a1)(x - a2) = 0
Por lo tantoDel mismo modo, si lo que se tiene es la diferencia a1 - a2 = D además de su producto P, entonces la ecuación que se obtiene es x2 + Dx - P = 0, de manera que la fórmula que la resuelve es igual a
Es decir,

La cuadrática: las cantidades absolutas multiplicadas por cuatro veces el coeficiente del cuadrado de la incógnita son incrementadas por el cuadrado del coeficiente del medio: la raíz cuadrada del resultado es disminuida por el coeficiente del medio y dividida por dos veces el coeficiente del cuadrado de la incógnita, y ese es el valor de la incógnita.
La segunda es: El término absoluto multiplicado por el coeficiente del cuadrado de la incógnita es incrementado por el cuadrado de la mitad del coeficiente de la incógnita: la raíz cuadrada del resultado es disminuida por la mitad de) coeficiente de la incógnita y dividida por el coeficiente del cuadrado de la incógnita, y ese es el valor de la incógnita. Es decir:

Una última resolución peculiar para la ecuación ax2 + bx = c se encuentra en la obra algebraica perdida de Sridhara (siglo VIII), que fue copiada por Bhaskara II en el siglo XII:
Multiplica los dos lados de la ecuación por una cantidad desconocida igual a cuatro veces el coeficiente del cuadrado de la incógnita; añade a los dos lados una cantidad desconocida Igual al cuadrado del coeficiente original de la incógnita: extrae la raíz cuadrada.Un dato interesante que también se ha de mencionar es que en la India del siglo IX, Mahavira fue el primer matemático en darse cuenta de que las ecuaciones del tipo ax2 -x + c = 0, tenían dos soluciones. Los estudios algebraicos de Mahavira fueron muy destacados y planteó ecuaciones con radicales como x - p√qx = r, equivalentes a la cuadrática, cuya solución nene dada por
Por lo tanto,ax2 + bx = c


x5 + x4 + x3 + x2+ x + 1 = 1365,
pasó restando el 1 y comprobó que la razón buscada ha de ser un divisor de 1364:x(x4 + x3 + x2+ x + 1) =1365
Probó con el 4 e iteró el algoritmo:

El álgebra de Al-Juarismi
El Libro concreto del cálculo del álgebra y la muqabala(al-kitab al-mujtasar fi hisab al-jabr wa al-muqabala), es decir, de la restauración y la oposición, es la gran obra matemática de Al-Juarismi si se tiene en cuenta su repercusión, tanto en el mundo árabe como en el Renacimiento europeo. El álgebra fue escrito en tiempos del califa al-Ma'mun, a quien está dedicado, alrededor del año 820.
El título de la obra se basa en dos palabras. La primera de ellas es, justamente, álgebra, cuyo significado viene a ser «restauración» o, lo que es lo mismo, la transposición de los términos de una ecuación. Por ejemplo, si se tiene que resolver 4x2 - 5x + 7= 15, mediante el concepto del «álgebra» se tiene que
4x2 - 5x + 5x + 7= 15 +5x
4x2+ 7= 15 +5x
Por otro lado, la muqabala u «oposición» (también «reducción»), es la encargada de reducir la ecuación, simplificándolos términos homólogos: 4 x2 = 8 + 5x.En la Edad Media, la primera parte de la obra fue traducida al latín en como mínimo tares ocasiones. La primera fue realizada por el inglés Robert de Chester, en Segovia, alrededor del año 1145. Algo más tarde, Gerardo de Cremona hizo lo propio en Toledo, y se atribuye la tercera al también Italiano Guglielmo de Lunis (siglo XIII). Su circulación en la península Ibérica dio como resultado que del al-jabr se pasara a la palabra álgebra para designar la «restauración» de términos, aunque en un primer momento su significarlo se limitó al ámbito médico. En efecto, en la segunda parte de El ingenioso hidalgo Don Quijote de la Mancha, de Miguel de Cervantes (1547-1616), un «algebrista» es el encargado de curar a un pobre hombre que recibe una paliza del protagonista y tiene un gran número de huesos rotos. Por otro lado, en el castellano de los siglos XVI y XVII, la palabra álgebra también adoptó el significado de «alcahueta» y, por ejemplo, fue utilizada en este sentido por Francisco de Quevedo (1580-1645) en La vida del Buscón.
El libro está estructurado en tres partes; la primera trata la resolución de las ecuaciones de primer y segundo grados propiamente dichas, la segunda aborda problemas de geometría, y en la tercera se resuelven algunos problemas de testamentos y herencias.
Al-Juarismi considera tres clases de números: raíces o cosas, cuadrados y números aislados:
la raíz es cualquier cosa [...] que se pueda multiplicar por sí misma y el cuadrado es la raíz multiplicada por sí misma, y el número es cualquiera expresable como tal sin ninguna relación con la raíz y el cuadrado.
Con estas tres bases de números, se pueden formar las ecuaciones que Al-Juarismi pretende resolver
Cuadrados igual a raíces: x2 = px.La primera de ellas se resuelve mediante la regla subyacente x2= px ⇉ x = p (Al-Juarismi no considera posible la soluciona x = 0) ni tampoco las soluciones negativas):
Cuadrados igual a números: x2 = q
Raíces igual a números: px = q.
Un cuadrado es igual a cinco veces la raíz, entonces la raíz del cuadrado es cinco y el cuadrado es veinticinco, que, efectivamente, es cinco veces la raíz.Además, siempre que el coeficiente del cuadrado no sea 1, hay que reducido. Al-Juarismi pone el ejemplo de 1/3x2 = 4x, que convierte en x2 = 12x; cuyo resultado es x = 12, y también que convierte en x2 = 2x de resultado x = 2. Evidentemente, y como se puede observar, Al-Juarismi no usa ningún tipo de álgebra simbólica y se limita a describir todos los procesos y cálculos a lo largo de su libro.
Para resolver x2 = q, Al-Juarismi concluye que x = √q y pone los ejemplos:
x2 = 9 ⇉ √9 = 3
5x2 = 80 ⇉ x2 = 80/ 5 = 16 ⇉ x = √l6 = 4
1 /2x2 = 18 ⇉ x2 = 36 ⇉ x = √36 = 6.
Finalmente, la ecuación px = q tiene como resultado, x = q/pTras estas tres primeras reglas, Al-Juarismi aborda la resolución de las ecuaciones cuadráticas, que incorporan tanto números, como raíces y cuadrados:
Cuadrados más raíces, igual a números: x2 + pq = q,De este modo:
Cuadrados más números, igual a raíces: x2 + q = px
Raíces más números, igual a cuadrados a: x2 = px + q
¿Qué cuadrado más diez raíces es igual a treinta y nueve dírhams?
La solución está en dividir por dos el número de raíces, y en este case resulta ser cinco, lo multiplicas por sí mismo y es veinticinco, sumas sobre esto treinta y nueve y da sesenta y cuatro, calculas la raíz cuadrada, que es ocho, y le restas la mitad del número de raíces y da tres.
Es decir,


2x2 + 10x =48 ⇉ x2 + 5 x = 24 ⇉ x = 3
½x2 + 5x = 28 ⇉ x2 + 10x = 56 ⇉ x = 4
La resolución de los «cuadrados más números igual a raíces» es similar:¿Cuál es el cuadrado que cuando sumas sobre él veintiún dírhams da lugar todo ello a diez de las raíces de dicho cuadrado?
La solución está en dividir por dos las raíces, y resulta cinco, lo multiplicas por sí mismo y da veinticinco, restas el veintiuno que está con el cuadrado y da cuatro, calculas su raíz cuadrada y da dos, y lo restas de la mitad del número de raíces y da tres.
En nuestro lenguaje actual:


El Libro II de los elementos de EuclidesEl Libro II de los Elementos es un texto corto que contiene tan solo 14 proposiciones con sus correspondientes demostraciones, las cuales son un ejemplo de cómo los razonamientos griegos eran suficientes para aclarar diversos conceptos algebraicos. Un ejemplo de ello se aprecia claramente en la proposición 5. cuyo enunciado es:
Si se corta una línea recta en segmentos iguales y desiguales, el rectángulo comprendido entre los segmentos desiguales de la recta entera, junto con el cuadrado de !a recta que está entre los puntos de sección, es igual al cuadrado de la mitad.Para demostrar este enunciado, Euclides parte de un segmento AB en el que señala un punto C, que lo divide en dos partes iguales, y otro punto D, que lo hace en dos partes desiguales. Entonces, construye el «rectángulo comprendido entre los segmentos desiguales de la recta entera», es decir, el rectángulo AMOD. En efecto, si llamamos a = AC = CB y b = CD, el rectángulo trazado tiene una base a + b = AC y una altura de a - b = AM = DO = BP = DB, quedando trazado también el cuadrado DOPB. Para Euclides, los números tenían una correspondencia intrínseca con longitudes de segmentos, de manera que dos números sumados era calcular la longitud de un nuevo segmento compuesto por los dos que se suman. Análogamente, dos números multiplicados se correspondían con el área de un rectángulo, cuya base y altura medían dichos números. No es extraño, entonces, que a lo largo de los Elementos encuentren expresiones como «el rectángulo comprendido por» para referirse al producto de dos números o «el cuadrado» si estos dos números son iguales.
Volviendo a la proposición 5, Euclides completa el cuadrado CQSB de lado a y, trazando el segmento OR, le queda dibujado el cuadrado NQRO de lado b = QR = CD, es decir, «el cuadrado de la recta que está entre los puntos de sección». En la proposición. Euclides afirma que AMOD + NQRO es igual al cuadrado CQSB. En efecto, si llamamosal rectángulo CNOD (base igual a b y altura igual a- b), y
al rectángulo ORSP (de base a - b y altura b), se observa que ambos son iguales. Por otro lado, el rectángulo inicialAMOD es divisible entre los rectángulos AMNC y
. El primero de ellos es igual al rectángulo CNPB, ya que C es el punto medio del segmento AB, mientras que
=
. Por lo tanto, el rectángulo AMOD es igual a la figura CMQRSB, la cual, unida al cuadrado NORO, da, en efecto, el cuadrado CQSB.
Pero, ¿qué demostró exactamente Euclides? Como se ha dicho, el rectángulo AMOD tiene base a + b y altura igual a a - b, de manera que su área es igual al producto (a + b)×(a - b). El área del cuadrado NORO esb2 y la del cuadrado CQSB esa2. Por lo tanto, (a +b)×(a - b) + b2 = a2, o equivalentemente, nuestra actual igualdad notable:(a + b)×(a - b) = a2 - b2
Además de esta proposición 5, hay nueve proposiciones más que recogen combinaciones y sumas de rectángulos y cuadrados construidos apropiadamente.
Estas son:
Proposición 1: a(b + c + d + … ) = ab + ac +ad …
Proposición 2: (a + b)2 = (a + b)a + (a + b) b
Proposición 3: (a + b)a = ab + a2
Proposición 4: (a+ b)2= a2 + b2 + 2ab
Proposición 6: (2a + b)b +a2 = (a + b) 2
Proposición 7: (a + b)2 +a2 = 2(a + b)a + b2
Proposición 8: 4(a + b)a +b2 = [(a + b) a] 2
Proposición 9:Proposición 10: (2a + b ) 2+ b2 = 2[a2 + (a + b)2]
Hay que añadir que en este caso, Al-Juarismi era consciente de que la ecuación tenía una segunda solución:
Y si quieres, sumas la raíz cuadrada sobre la mitad del número de raíces y da siete (...)También especifica el número de soluciones que puede tener una ecuación cuadrática de este segundo tipo:
Y has de saber que si al dividir por dos el número de raíces y multiplicarlo por sí mismo da lugar a un número menor que el de dírhams que están con el cuadrado, entonces el problema es imposible, y si es igual al número de los dírhams, entonces la raíz del cuadrado es igual a la mitad del número de raíces, sin sumar ni restar nada.Como se ha visto anteriormente, estas reglas eran conocidas tanto en la antigua Grecia como en la India y, por esta razón, no es descartable que Al-Juarismi las obtuviera dentro del legado que llegó a la Casa de la Sabiduría. Sin embargo, su gran aportación fue demostrar geométricamente cada uno de estos resultados:
Finalmente:
Tres raíces más cuatro es igual a un cuadrado. La solución consiste en dividir por dos el número de raíces, y resulta uno más un medio, lo multiplicas por sí mismo y es dos más un cuarto, sumas a esto el cuatro y da seis más un cuarto, calculas la raíz cuadrada y es dos más un medio, le sumas la mitad del número de raíces y es cuatro (...]
En cuanto a los otros tres casos, en los que sí es necesario dividir por dos el número de raíces, se expondrán separadamente, y se dibujará para cada caso una figura, y se aclarará sobre ella el motivo de la división por dos.La base de todas las demostraciones fueron los Elementos de Euclides, que ya habían sido traducidos al árabe en Bagdad en diversas ocasiones (una de ellas por el ya citado Hunayn ibn Ishaq) y que debían circular por la Casa de la Sabiduría de manera habitual.
Solución de la ecuación x2 + px = q
Al-Juarismi inicia la justificación geométrica de la resolución de x2 + 10x = 39 partiendo de un cuadrado de lado desconocido que es igual al número de raíces de la ecuación propuesta. Es decir, en el lenguaje algebraico actual, cada lado del cuadrado mide x y, por lo tanto, el área de dicho cuadrado es igual a x2 (figura 1).

Al-Juarismi divide el rectángulo de área 10x en cuatro rectángulos iguales de base igual a 2,5 unidades y altura igual a x, y los recoloca alrededor del cuadrado x2 (figura 3).

x2 + 4,25x = x2 + 10x
Para seguir con el razonamiento, Al-Juarismi completa la figura llenando las cuatro esquinas con cuatro cuadrados menores de lado igual a 2,5 unidades y, por lo tanto, de área igual a 2,52 = 6,25 unidades cuadradas (figura 4).El resultado final es un cuadrado cuya área es igual a
x2 + 4,25x + 4×6,25 = x2 + 10x + 25
Sin embargo, como en la ecuación se proponía x2 + 10x = 39, el área pasa a ser
x2 + 10x + 25 = (x2 + 10x) + 25 = 39 + 25 = 64 unidades cuadradas.
Por otro lado, al obtener un cuadrado como figura final, Al- Juarismi determina su lado, el cual está formado por la suma de las bases de dos de los cuadrados de las esquinas y por una de las bases de los rectángulos iniciales. En consecuencia, su lado es igual a x + 2×2,5x = x + 5 unidades, y su área, igual a ( x + 5)2. Por lo tanto(x + 5)2 = 64 ⇉ x + 5 = √64 = 8 ⇉ x = 8 - 5 =3
En general, si la ecuación es x2 + px = q, los pasos seguidos por Al-Juarismi son:1. Construye un cuadrado de lado x, cuya área es x2.
2. Le añade cuatro rectángulos base igual a p/4 y altura x, obteniendo una figura de área igual a x2 + 4×p/4x = x2 + px = q.
3. Completa el cuadrado con los cuatro cuadrados de las esquinas, obteniendo un cuadrado final cuya área es
x2 + 4×p/4x + 4(p/4)2 = x2 + pxp2/4= q + (p/2) 2
4. Pero este cuadrado tiene un lado igual a x +2p/4 = x + p/2, cuya área es (x + p/2)25. Igualando ambas expresiones

x2 + 2×5x +25 = x2 + 10x +25 = 39 + 25 = 64
que es igual al cuadrado de lado x + 5 (figura 5):
(x + 5)2 = 64 ⇉ x + 5 = √64 = 8 ⇉ x = 8 - 5 = 3
Resolución de la ecuación x2 + q = pxLa justificación geométrica de la resolución de x2 +21 = 10x también parte de la construcción de un cuadrado de lado desconocido cuya área es igual x2 al que se suma un rectángulo de área igual a 21 unidades cuadradas. Siguiendo la ecuación, el área de la figura representada es x2 +21 = 10x, es decir, la de un rectángulo de base igual a 10 unidades y altura igual a x (figura 6).
Dividiendo la base de 10 unidades por la mitad, quedan determinados un rectángulo intermedio de base igual a 5 - x y altura x, representado por

Por lo tanto,
25 - (
+
) = (5 - x)2
25-(
+
) = (5 - x)2
25-21 = (5 - x)2
4 = (5 - x)2
√4 = 5 - x ⇉ 5 - x = 2 ⇉ x = 3

(a + b)(a - b) = a2 -b2, (a + b)2 = a2 + b2 -2ab…
De hecho, Al-Juarismi sigue los razonamientos euclídeos para determinar también que la solución buscada no solo es x = 5 - 2 = 3, sino también x = 5 + 2 = 7.Por lo tanto,

Por último, la resolución de la ecuación 3x + 4 = x2 parte del cuadrado x2 de lado desconocido x, el cual se ve dividido en un rectángulo de base 3 unidades y altura x (cuya área es 3x) y otro de área igual a 4 unidades cuadradas (figura 9).
Si dividimos la altura de 3 -unidades por la mitad, se forma el cuadrado 
+
+
=
+ (
+
= 1,52 + 4 = 6,25
Es decir, x mide 2,5+1,5 = 4 unidades.
Una vez más, el procedimiento de Al-Juarismi para la resolución de la ecuación px + q = x2 equivale a la regla

Una vez determinadas las resoluciones de las seis ecuaciones cuadráticas generales posibles, Al-Juarismi continúa con las reglas de cálculo algebraico que le han de llevar a ellas a través de su álgebra y su muqabala:
(a + b)×(c + d) = ac + bc + ad +bd,
(a - b)×(c - d) = ac - bc - ad +bd,
(a + b)×(c - d) = ac + bc - ad -bd,
Al-Juarismi da numerosos ejemplos que ilustran todos los cálculos:(10 - x)×10 = 100 - 10x
(10 + x)×10 = 100 + 10x
(10 + x)×(10 + x) = 100 + 10x + 10x + x2 = 100 + 20x + x2
(10 - x)×(10 - x) = 100 - 10x - 10x + x2 = 100 - 20x + x2
(10 - x)×(10 + x) = 100 - 10x + 10x - x2 = 100 - x2
Evidentemente, todas estas expresiones no usan el álgebra simbólica y Al-Juarismi se limita a describirlas con detalle Así, puede seguir planteando los primeros problemas resolubles mediante ecuaciones de segundo grado; Divides diez en dos partes, y multiplicas una de las dos partes por la otra. Después multiplicas una de ellas por sí misma, y sucede que el resultado de esta multiplicación por sí misma es igual a cuatro veces el producto de una de las partes por la otra.Es decir,

El elenco de ejemplos es variado y nos encontramos con las seis formas descritas anteriormente:





Las transacciones comerciales y la geometría
Tras la sección teórica del libro, Al-Juarismi añade un capítulo dedicado a los problemas resolubles mediante las reglas de tres.
Sabes que en las transacciones mercantiles entre las gentes, compras y ventas, precios y salarios, y otras muchas cosas, hay dos razones entre cuatro números sobre los que le preguntan a uno, a saber, medida, precio, cantidad y total* Y la medida es inversamente proporcional al total, y el precio es Inversamente proporcional a la cantidad, Y de estos cuatro números, tres son siempre conocidos y uno desconocido, que es aquel al cual se refiere quien pregunta ¿cuánto?, y en esto está el objeto de la cuestión.El tema no era nuevo y quizá por esa razón Al-Juarismi le dedicó poco más de una página; explica cómo se resuelve y pone varios ejemplos. Como muestra:
Un comerciante paga a alguien diez dírhams por mes. Si trabaja seis días, ¿cuánto le corresponde?Los 30 días se corresponden con lo que Al-Juarismi Dama la medida, los 10 dírhams, con el precio, los 6 días son la cantidad y lo que se busca es el total, por lo tanto,

Inscripción de un cuadrado de un triangulo dadoAl-Juarismi plantea la determinación de las medidas de un cuadrado inscrito en un triángulo isósceles de lados iguales a 12, 10 y 10 unidades.Considerando que el lado del cuadrado buscado es la «cosa», es decir, x, el área del cuadrado buscado es x2.
Si aplicamos el teorema de Pitágoras, la altura del triángulo propuesto es igual a 8 unidades, ya que 62 + 82 = 102 y, con este dato, el área total del triángulo es ½×12×8 = 48 unidades cuadradas. Ahora, el razonamiento de Al-Juarismi consiste en igualar esta área a la suma de las distintas figuras que le han quedado dibujadas al trazar el cuadrado. Así, los dos triángulostienen una base igual a 6 = x/2, su área conjunta es
Del mismo modo los dos triángulos
tienen una base igual a x/2 unidades y una altura igual a 8 - x , con lo que su área conjunta es igual a
De esta manera, sumando todas las áreas se obtiene x2 +
+
+
+
=48, o lo que es lo mismo,
Este mismo problema aparece también en la Métrica de Herón de Alejandría (siglo I dC), aunque el griego lo planteó mediante la semejanza del triángulo
y la mitad del triángulo isósceles original:
El libro de los testamentos
Un capítulo sobre dinero y préstamos da paso a la última parte del libro (bastante extensa), y en él, Al-Juarismi pone a prueba el álgebra repartiendo herencias. Por ejemplo:
Un hombre muere y deja dos hijos y diez dírhams de capital y una deuda de diez dírhams a uno de sus hijos, y lega a un amigo un quinto del capital más un dírham.Si el hijo hubiese pagado la deuda antes de morir el hombre, este hubiera dejado 20 dírhams, de los cuales su amigo hubiese cobrado 20/5 + 1 dírhams. Los 15 dírhams restantes se deberían repartir a partes iguales entre sus dos hijos, con lo que cada uno de ellos hubiese cobrado 7,5 dírhams. Sin embargo, según la ley islámica, si el padre muere y uno de sus hijos le debe más dinero del que le correspondería por herencia, se considera que esta parte está incluida dentro de la deuda y que el resto es un regalo del padre. Por ejemplo, si un padre tiene tres hijos y les deja 15 dírhams y una deuda de 16 dírhams más con uno de ellos, se considera que cada uno de ellos hubiese tenido que cobrar 10 dírhams. Sin embargo, solo hay 15 dírhams reales para repartir más una deuda (que se calcula sin el regalo del padre) que habría que añadir para completar a los otros dos hermanos. Llamando x a esta deuda, la cantidad a repartir pasa a ser de 10 + x, con lo que a cada hermano le tocan
(10 + x)/3 dírhams.
Como este dinero es justamente el que le toca al hermano moroso, el cual debía aportar su parte para los 15 legados, se tiene que(10 + x)/3 = x
y por lo tanto, x = 7,5 dírhams. En consecuencia, se considera que el padre ha legado un total de 15 + 7,5 = 22,5 dírhams a los tres hermanos (7,5 dírhams a cada uno de ellos). El hermano moroso no recibirá nada y se considera que su deuda está pagada más un regalo de 7,5 dírhams, mientras que los otros dos recibirán 7,5 dírhams cada uno de ellos. Volviendo ahora al problema propuesto por Al-Juarismi, el legado es de 10 + x dírhams, con lo que el amigo debe cobrar (10 + x)/5 = 3 + x/5 y quedan por repartir
3,5 + 2x/5 = x ⇉ x= 5 + 5/6 dírhams
Si ahora:Una mujer muere, y deja marido, hijo y tres hijas, y lega a un hombre el octavo del patrimonio más su séptima parte, entonces haces veinte porciones. Coge una cantidad, réstale su octava parte y su séptima parte, y queda dicha cantidad menos su octava parte y su séptima parte, y completas el capital sumando sobre él lo mismo pilcado por quince entre cuarenta y uno.
Multiplicas las porciones del legado, que son veinte, por cuarenta y uno, y salen ochocientos veinte. Le sumas eso mismo multiplicado por quince entre cuarenta y uno y el total es mil ciento veinte partes. El heredero de un octavo más un séptimo recibe […] trescientas partes, y quedan ochocientas veinte partes para repartir entre los herederos.
El Corán y las herenciasEl Corán, el libro sagrado del islam, está dividido en 114 capítulos o azoras, que a su vez están divididos en un total de 6236 versículos o aleyas si no se tienen en cuenta los encabezamientos de los capítulos los cuales son todos iguales y rezan «En el nombre de Alá, el Compasivo y el Misericordioso». En este Corpus hay azoras que rigen la conducta del buen musulmán y permiten o niegan actitudes, derechos, obligaciones, etc., y, entre ellas, también hay una que marca el derecho sucesorio y el reparto de las herencias. Así. el capitulo 14, en sus versículos 11 y 12, dice:11. Alá os ordena lo siguiente en lo que respecta a vuestros hijos: la parte del varón equivale a la de dos hembras. Si ellas son más de dos, les corresponderán dos tercios de la herencia. Si la hija es única, la mitad. A cada uno de los padres les corresponderá un sexto de la herencia si deja hijos pero, si no deja hijos y heredan solo los padres, un tercio es para la madre. Si tiene hermanos, un sexto es para la madre. Y todo esto, tras satisfacer las deudas. Entre vuestros ascendentes y descendientes, no sabéis quiénes son más útiles. Esta es la obligación de Alá. Alá es omnisciente y sabio.El Corán es una de las fuentes principales de la sharia, o ley islámica, la cual es el fundamento del derecho islámico. La sharia constituye el código civil, penal, religioso... que marca la conducta de la vida dentro del islam. Así pues, las leyes sucesorias, sobre todo en época medieval, estaban marcadas por estos dos versículos que recogen la mayoría de posibles casos que se podía encontrar un juez en el momento del reparto del legado de un difunto.
12. A vosotros os corresponderá la mitad de lo que dejen vuestras esposas si no tienen hijos. Sí tienen, os corresponderá un cuarta. Esto, tras satisfacer sus legados y deudas. Si no tenéis hijos, a ellas les corresponden cuarto de lo que dejéis. Si tenéis, un octavo de lo que dejéis, tras satisfacer legados y deudas. Si los herederos de un hombre o de una mujer son parientes y le sobrevive un hermano o una hermana, entonces a cada uno de los dos les corresponde un sexto.
Si son más, participarán del tercio de la herencia, tras satisfacer los legados y deudas, sin dañar a nadie. Esta es la voluntad de Alá. Alá es omnisciente y benigno.
Imagen del Corán.
De lo explicado, se deduce que Al-Juarismi divide la posible herencia C =20x; en 20 porciones iguales de las que separa

Finalmente, el hijo recibe 205x/56, o 205 partes.
«Al-Ma'mun [...] me ha encargado que escriba un breve libro sobre el cálculo del álgebra, de modo que contenga lo más importante y delicado del cálculo que los hombres aplican a sus necesidades, herencias, testamentos, particiones y negocios, y en todo lo que tratan entre ellos en la medida de la tierra, excavación de canales, construcciones y otras muchas cosas.»Al-Juarismi resuelve multitud de problemas similares en los que involucra dotes de boda, esposos con enfermedades terminales, esclavos..., y a todos ellos va dando justa respuesta. Como se ha dicho, el libro fue un auténtico éxito y muchas obras posteriores lo tomaron como referencia, ya como manual simplemente algebraico ya texto necesario en los juicios del día a día.
Al-Juarismi
La evolución del álgebra en el mundo islámico
El siguiente matemático árabe que dedicó parte de su obra al álgebra fue el egipcio Abu Kamil, entre mediados del siglo IX y mediados del X. El mismo reconoció que, en el más de un siglo que lo separaba de Al-Juarismi, no había habido ninguna obra algebraica que lo pudiera superar:
He estudiado con gran atención los escritos de los matemáticos, examinando sus afirmaciones, y escrutando lo que dicen en sus obras, y he observado que el libro de Muhammad ibn Musa Al-Juarismi conocido como álgebra es superior en la precisión de sus principios y la exactitud de sus argumentaciones. Por lo tanto, nos corresponde a nosotros, la comunidad de los matemáticos, reconocer su prioridad y admitir su conocimiento y su superioridad, ya que con la redacción de su libro sobre el álgebra fue el iniciador y descubridor de sus principios, mediante los cuales Dios nos ha dado acceso a todo lo que permanecía oscuro, ha puesto a nuestro alcance lo que estaba en la oscuridad, ha facilitado todo lo que era arduo, y ha elucidado todo lo que era incierto.El álgebra de Abu Kamil es una obra dirigida a un público experto en matemáticas y, pese a que es indudable el legado de Al-Juarismi, su autor propone que este texto no solo es necesario, sino que es superior al de su predecesor. De este modo, Abu Kamil dividió su tratado en cinco partes. En la primera de ellas trata el cálculo algebraico y la resolución de las seis ecuaciones canónicas, convirtiendo la segunda parte en un libro de problemas resolubles mediante ecuaciones de primer y segundo grado. La tercera parte introduce las ecuaciones con números irracionales, la cuarta aborda cuestiones relacionadas con polígonos y, finalmente, la quinta presenta ciertos problemas indeterminados.
Aunque las demostraciones geométricas de las seis ecuaciones canónicas también parten de ciertas proposiciones del libro II de los Elementos de Euclides, son sensiblemente distintas a las planteadas por Al-Juarismi; la revolución del álgebra de Abu Kamil llega con el planteamiento de nuevas ecuaciones inéditas.
Por ejemplo, Abu Kamil busca dos números x e y (con x > y), tales que

En este caso, una gran novedad de Abu Kamil se encuentra en su solución, ya que al resolverla, obtiene el resultado z = √((√2) -1), de donde, trabajando ahora con la primera ecuación y con y = x√((√2) - 1) acaba determinando que:
x = 10 + √50 - √(50+√(5000))
y = √(50+√(5000)) - √50
Nunca antes un número irracional había resultado de una ecuación, con k> que este paso les dio la importancia que se merecían dentro de las matemáticas. Otro ejemplo de este nuevo uso lo encontramos en la ecuación

Su Orgullo sobre el álgebra y la muqabala empieza con la definición de los monomios: x, x2, x3... y también de 1/x, 1/x2, 1/ x3... y un estudio sistemático de los posibles productos entre ellos, Al Karji llega a la conclusión de que se cumplen las igualdades
xm × xn = xm+n
1/xm × 1/xn =1/ xm+n
1/xm : 1/xm+1 = x
y con la multiplicación controlada, se dedica a dar las fórmulas generales para la suma, resta y producto de dos polinomios. Al Karji también fue el primer matemático árabe que formuló un algoritmo para la extracción de la raíz cuadrada de polinomios con coeficientes positivos a partir de ciertas igualdades notables, un estudio detallado de las raíces de los monomios fue abordado en su otra obra titulada Maravilla del cálculo, en la que ofreció reglas concretas para operaciones como
Abu Kamil, por su parte, vio que el planteamiento debía partir de las fórmulas de los cuadrados de la suma y diferencia de binomios. Por ejemplo, para calcular √18 - √8, se debía considerar el desarrollo (a - b)2 = a2+ b2 - 2ab con a =√18 y b = √8.
Por lo tanto,
(√18 - √8)2 = 18+8-2√144 = 2 ⇉ √18 - √8 = √2
Omar Jayyam V: La resolución de la ecuación cúbicaTras todo lo explicado, el gran paso del álgebra musulmana fue la resolución de la ecuación cúbica. Era cuestión de tiempo que, tras el éxito del Algebra de Al-Juarismi en el mundo científico, alguien se planteara qué pasaba con las ecuaciones de un grado más, es decir, las ecuaciones cúbicas x3 + bx2+ cx + d = 0. En 1742, Gerard Meerman (1722-1771) publicó en Leiden, Países Bajos, su Ejemplar sobre el cálculo de fluxiones (Specimen calculis fluxionalis), donde hizo un repaso del desarrollo del cálculo y citó unos cuantos manuscritos árabes, entre los cuales aparece un Algebra de Jayyam, hasta entonces desconocida. Tras el anuncio, no fue hasta el año 1851 que Franz Wöpcke la tradujo en París y la dio a conocer al mundo occidental.
Omar Jayyam (1048-7131)No se sabe casi nada de la vida real de este polifacético científico y poeta, aunque numerosas historias y leyendas ofrecen bastantes pistas de cómo fue. Nació en Nishapur el 18 de mayo del año 1048 y de pequeño coincidió con Nizam al-Mulk y Hassan ibn Sabbah; los tres se hicieron muy amigos y pactaron que, el primero que consiguiera triunfar en la vida, tendría la obligación de ayudar al resto. En consecuencia, cuando Nizam al-Mulk llegó al cargo de visir del sultán selyucida Alp Arslan (1029-1072), Hassan se convirtió en el hajib de palacio y a Omar Jayyam le fue asignada una renta anual que te permitía vivir de manera confortable dedicado a la literatura y la ciencia. Con el tiempo, las diferencias religiosas entre Nizam y Hassan llevaron al segundo a conspirar con el sultán, hecho que provocó su expulsión de la corte. Hassan se dedicó entonces a predicar el ismailismo por tierras musulmanas y a fundar la secta de los Asesinos en Alamut, a donde, bastantes años después, llegó Nizam, ya viejo, tras caer en desgracia con el sultán (y allí murió asesinado).
Con la muerte de Alp Arslan, Omar Jayyam decidió trasladarse a Merv, la capital de la corte del nuevo rey, Jalel al-Din Malik Shah (m. 1092), quien lo nombró astrónomo real y encargado de la reforma del calendario. Pese a las continuas revueltas que sufrieron las pugnas por el poder, Jayyam supo mantenerse siempre en las altas esferas, de modo que parece que nunca le faltó de nada.
Una de sus obras más importantes fueron sus Rubaiyyat, escritas poco antes de terminar el siglo XII. Rubaiyyat, que es la palabra persa que significa «cuartetas», hace referencia a un estilo muy popular en la época y que es la base sobre la que está escrita la obra. En la segunda mitad del siglo XIX, el irlandés Edward Fitzgerald (1859) y el francés J. B. Nicolás (1867), entre otros, empezaron a traducirlas a las lenguas europeas, de modo que les devolvieron el lustre que tuvieron en los siglos XII y XIII. En el ámbito matemático, Jayyam escribió varias obras, entre las que destaca un tratado de aritmética que incluye un algoritmo de cálculo de la raíz enésima de cualquier número, basado en la expansión algebraica de la expresión ( a + b + c...)n. En la actualidad, esta obra está perdida y solo se conoce parte de su contenido a través de comentarios posteriores y por las palabras del propio Jayyam en otro de sus tratados:Los indios tienen sus propios métodos para extraer los lados de los cuadrados y los cubos basados en sus estudios de un pequeño número de casos, que es el conocimiento de los cuadrados de las nueve cifras, que son los cuadrados del 2, 3 y el resto, y de su producto de los unos por los otros, que es el producto de 2 por 3, y así sucesivamente. He escrito un libro para demostrar la validez de todos estos métodos y enseñar que llevan a la solución deseada, y los he complementado encontrando las raíces cuartas, quintas y sextas y tan grandes como sean. Esto no lo ha hecho nadie antes de mí, y estas demostraciones son solo algebraicas, fundamentadas en las partes algebraicas del libro de los Elementos.No obstante, su obra más destacada fue álgebra, en la que resolvió las ecuaciones de primer, segundo y tercer grados. Para, por ejemplo, la ecuación x3 + qx = r, Jayyam trazó una circunferencia de diámetro igual a d = r/q y perpendicularmente en uno de sus extremos trazó una parábola cuyos puntos (x, y), situados en unos ejes de coordenadas apropiados, cumplirían √q y = x2 (hay que tener en cuenta que Jayyam no tenía geometría analítica y utilizaba descripciones precisas de sus curvas).
Si llamamos P(x, y) al punto de intersección de la circunferencia y la parábola de la figura, por el teorema de la altura se cumple (d - x)/y = y/ xo, equivalentemente, dx - x2 = y2, por otro lado, como los puntos de la parábola cumplen √qy = x2elevando al cuadrado se tiene que qy2 =x4 o, lo que es lo mismo, y2 = x4/ q. De esta manera si igualamos ambas expresiones
dx - x2 = x4/q ⇉ dq - qx =x3
Sustituyendo d por su valor y recolocando los términos de la ecuación, Jayyam obtiene:r = x3 + qx
Por lo tanto, el punto de intersección P(x, y) cumple la ecuación propuesta.
Al no tener números negativos, además de las de primer y segundo grado, Jayyam clasificó las cúbicas en catorce tipos:
1. x3 = rOmar Jayyam no encontró las soluciones numéricas de cada una de estas ecuaciones, sino que se dedicó a determinar su construcción geométrica. Ya desde tiempos de los griegos, se había determinado que si se podían encontrar dos segmentos de longitudes x e y tales que cumplieran
2. x3 + qx = r
3. x3 + r = qx
4. x3 = qx + r
5. x3 + px2 = r
6. x3 + r = px2
7. x3 = px2 + r
8. x3 + px2 + qx = r
9. x3 + px2 + r = qx
10. x3 + qx + r = px2
11. x3 = px2 + qx + r
12. x3 + px2 = qx + r
13. x2 + qx = px2 + r
14. x3 + r = px2 + qx
r /y = y/x = x/1
entonces x3 = rSi se observa detenidamente la primera igualdad, se observa que es equivalente a rx = y2 que en el lenguaje algebra actual, se corresponde con una parábola de eje horizontal, por otro lado, la segunda igualdad y = x2 se corresponde con una parábola de eje vertical, y ambas curvas tienen un vértice común.
Los griegos se habían dado cuenta de que si se buscaba el punto de intersección de dos parábolas de este tipo, entonces este punto podía resolver la ecuación x2 = r y, más de mil años después, Jayyam supo generalizar este razonamiento e, intersecando diferentes cónicas, fue resolviendo las catorce cúbicas planteadas. Por ejemplo la ecuación x3 + qx = r resolvió mediante la intersección de una circunferencia y una parábola, x3 + r = qx con un parábola u una hipérbola, etc.
En el mundo árabe, al-Biruni también hizo tentativas de resolución de una ecuación cúbica que planteó, para calcular geométricamente la longitud dell lado de un eneágono regular. Ya en el siglo XV, Yamshid Al-Kashi (ca 1380-1429) resolvió aproximadamente la ecuación:

Como ya se ha dicho anteriormente, el álgebra de Al-Juarismi fue traducida del árabe al latín por Robert de Chester; por Gerardo de Cremona, en la península Ibérica, y por Guglielmo de Lunis, en Italia.
No se descarta la posibilidad de que se realizaran otras muchas traducciones que no han llegado hasta nuestros días, en la península Ibérica. Toledo fue un centro traductor de importancia, con lo que la obra algebraica de Al-Juarismi estuvo a disposición de un gran número de escribas y traductores. Una prueba de ello es el Liber mahameleth, atribuido a Juan de Sevilla, quien, recordemos, fue el posible autor de una traducciónde Algorismi de numero indorum y redactó el Líber algorismi de practica arismetrce.
En la actualidad, el Liber mahameleth es la obra que mejor permite saber el estado en el que se encontraba la aritmética y el álgebra en la España musulmana de principios del siglo XII, y una primera lectura nos remite al álgebra de Abu Kamil en diversas ocasiones. Por lo tanto, las demostraciones geométricas basadas en el libro II de los Elementos de Euclides son la base de la resolución de la ecuación cuadrática. Se tratan, por ejemplo, problemas equivalentes a ecuaciones del tipo x + 93/ x = 34 o, x2 + 93 = 34r, cuya solución pasa por el cálculo


A lo largo de los siglos XIII y XIV, el álgebra y, en concreto, la resolución de la ecuación cuadrática aparecieron en distintos manuscritos, pero no fue hasta la llegada de la imprenta y la definitiva consolidación del álgebra simbólica cuando la obra de Al-Juarismi fue universalmente conocida. Se sabe, por ejemplo, que Johannes Widman disponía de una copia manuscrita del álgebra de Al-Juarismi, que utilizaba para preparar sus clases en la Universidad de Leipzig, Nicolás Chuquet, en su Triparty en la Science des nombres, se dedicó a resolver algunas ecuaciones cuadráticas, y también lo hizo Luca Pacioli en su Summa de arithmetica, geométrica, proprtioni et proportionalita.
La aparición del álgebra simbólicaDesde las reglas de falsa posición, laAritmética de Diofanto, el álgebra de Al-Juarismi, etc., los distintos matemáticos de la historia fueron adaptando las explicaciones de sus distintos textos a las necesidades de su época y a las tendencias didácticas del momento. Do este modo, el lenguaje matemático fue evolucionando paralelamente a las distintas teorías que se desarrollaron y hubo un momento en que fue imposible mantener las largas frases retóricas que servían para resolver un problema algebraico. En el mundo árabe, por ejemplo. al-Qalasadi fue uno de los primeros matemáticos que modernizó la obra algebraica de su época con la introducción de un cierto simbolismo. Algunas de sus novedades fueron:: letra shin, inicial de la palabra árabe shay' («cosa») para designar la incógnita de una ecuación.
: letra mim, inicial de la palabra árabe mal que era la que Al-Juarismi utilizó para designa rx2.
: letra fem, final de la palabra ya'dil («es igual») para designar el signo =.
: letra jim, inicial de la palabra jidr («raíz») para designar la raíz cuadrada.
: letra waw, inicial de la palabra wa («y») para designarla suma.
En Europa, fue Nicolás Chuquet uno de los primeros matemáticos que introdujo el álgebra simbólica. Usóy
para designar nuestros actuales '+' y '-' respectivamente, y los polinomios se redujeron a los coeficientes y los exponentes. Por ejemplo, para expresar 2x4 + 6x, Chuquet hubiese escrito .2.4
.6.
En Italia, la Summa dearithmetica, geométrica, proprtioni etproportionalita de Luca Pacioli también dio los primeros pasos hacia nuestra álgebra actual, con la introducción de unas abreviaturas con las cuales podía manejar las ecuaciones de una manera más simple. Además de losy
, empezó a referirse a la «cosa» como «co.» al «censo» (o cuadrado de la cosa) como 'ce', y al «cubo de la cosa» como 'cu'. De este modo, las ecuaciones empezaron a parecerse a su actual forma, aunque esta manera de expresar las incógnitas estuvo presente, verdaderamente, a partir del siglo XVII.
Por otro lado, la tradición alemana introdujo signos específicos inéditos para referirse a las distintas potencias de la incógnita, y no fue hasta la llegada de René Descartes (1596-1650) y su Géométrie (1637) que aparecieron la x, la y y la z para convertirse en las letras referentes del álgebra.
El siguiente gran paso en la resolución de ecuaciones lo dio Scipione del Ferro (1465-1526), quien ofreció una fórmula general para la resolución de la ecuación de tercer grado. Esta nueva regla fue todo un misterio hasta que Niccoló Fontana, también conocido por el apodo de Tartaglia (ca, 1499-1557), le comunicó a Cardano el famoso poema con el que vio la luz uno de los secretos mejor guardados hasta el momento:
Quando chel cubo con le cose appressoSi «el cubo junto a la cosa se iguala a cualquier número discreto», es decir, x3 + qx = r, se han de encontrar otros dos «diferentes en eso» (u - v = r) cuyo producto sea igual al «cubo del tercio del coeficiente de la cosa» (uv = (q/3)3). La solución es el resultado de restar las raíces cúbicas de estos dos números encontrados tras resolver el sistema de ecuaciones que se plantea. Por lo tanto,
Se aqquaglia 'a qualche numero discreto
Trouan dúo altrí ditfferenti in esso
Dapol terrai questo per consueto
Che'llor productto sempre sia equale
Alterzo cubo delle cose neto,
El residuo poi suo generale
Delli lor latí cubi ben, sottrati
Varra la tua cosa principale.

La influencia de la obra astronómica de Al-Juarismi también fue muy importante dentro de la historia de la ciencia, ya que posibilitó el conocimiento de la tradición india en la Casa de la Sabiduría. De este modo, la astronomía ptolemaica convivió con las tablas de Al-Juarismi hasta que, llegado el Renacimiento europeo, fueron definitivamente sustituidas y dejaron paso a las teorías heliocéntricas copernicanas.La obra astronómica más importante que escribió Al-Juarismi fueron las Tablas indias, conocidas bajo el nombre de Sindhind, basadas en la traducción al árabe del Brahmagupta-siddhanta I de Brahmagupta, realizada alrededor del año 775. También tomó como referencias el ya citado Zij al-Shah y el Jandajadyaka, del mismo Brahmagupta.
Cabe señalar que el tratado completo, con sus tablas astronómicas y cánones, se ha perdido, pero en la Córdoba del siglo X Abu Al-Qasim Maslama al-Majriti (m. 1007) hizo una recensión de una versión más breve que solo contenía las tablas astronómicas. Maslama introdujo diversas modificaciones que adaptaron las fechas persas a las del calendario árabe, y las referencias geográficas a la ciudad de Córdoba; esta versión fue traducida al latín en el siglo XII por Adelardo de Bath. Sin lugar a dudas, esta es mejor fuente para tener una idea de cómo debió de ser la obra original de Al-Juarismi, aunque también se tiene conocimiento de otras dos traducciones (una de ellas realizada por el ya citado Pedro Alfonso).
La gran importancia de esta obra astronómica puede verse refinada en su influencia en textos posteriores y en la multitud de comentarios de los que fue objeto, como los realizados por al-Fargani, en el siglo IX, o por ibn al-Muthanna e ibn Masrur, ya fin del siglo X.
La escuela de Maslama Al-MajritiMaslama al-Majriti (m. 1007) fue un destacado matemático, astrónomo y astrólogo en los califatos de Abderramán III, al-Hakam II e Hisham II. Maslama nació en Madrid y se trasladó a Córdoba, donde asistió a las clases de los mejores maestros astrólogos del momento y consiguió destacarse como alumno. No tardó mucho en conseguir trabajo en la corte como astrólogo. Una vez asentó su posición, labró su reputación tanto en el ámbito de las matemáticas como en el de la astronomía, y en seguida se rodeó de discípulos que querían aprender de él, creando una de las escuelas científicas más importantes hasta el momento. Sus alumnos empezaron a llegar a Córdoba desde todos los rincones de al- Andalus y, cuando volvieron a sus ciudades, tras la caída del califato en el año 1031 y la creación de los reinos de taifas, fundaron a su vez escuelas que siguieron enalteciendo la ciencia andalusí medieval. Entre estos discípulos están ibn at-Jayyat, ibn al-Samh, ibn al-Saffar, al-Zahrawi, Ibn Jaidun y al-Kirmani. Según el cadí Sa'id de Toledo (siglo XI):
[Maslama] fue el primero de los matemáticos de su época en al-Andalus y fue el más sabio en la ciencia de los cuerpos celestes y en el movimiento de las estrellas que nadie antes que él. Se interesó por la observación de los astros y se dedicó firmemente a comprender el libro de Ptolomeo» conocido como Almagesto. Tiene un muy buen libro sobre las utilidades de la ciencia de los números, el cual es muy conocido entre nosotros bajo el nombre de Mu'amalat.
Además de este tratado de aritmética, también compuso una versión breve de las tablas astronómicas de Al-Juarismi y una adaptación de las tablas de al-Battani, el calendario árabe y la ciudad de Córdoba, diversos tratados sobre la construcción y uso del astrolabio y una traducción del Planisferio de Ptolomeo (que posteriormente tradujo Hermán de Carintia al latín en 1143).
Como se ha dicho, uno de los discípulos de Maslama fue ibn al-Samh, quien después de trabajar en Córdoba se trasladó a su Granada natal, donde murió en el año 1035. lbn al-Samh escribió diversos tratados sobre el sistema de numeración posicional decimal, un comentario a los Elementos de Euclides y otro al Almagesto de Ptolomeo, un tratado de geometría, una recensión de las tablas astronómicas de Al-Juarismi, dos tratados sobre la construcción y uso del astrolabio y la obra sobre la construcción de un instrumento llamado ecuatorio, pensado para simplificar el cálculo de las efemérides.
Por su parte, ibn al-Saffar (fallecido en Denia, Valencia, en el año 1034), tras una primera etapa cordobesa, se trasladó a Toledo, donde adquirió una gran fama como médico. Volvió a Córdoba para trabajar con su hermano, que se dedicaba a construir astrolabios, y de ahí surgió la idea de redactar uno de los tratados sobre ese instrumento, que tuvo un renombrado éxito entre los astrólogos de su tiempo. El caíd Sa'id se refirió a él como «experto en aritmética y geometría» y parece que también fue un buen constructor de relojes de sol. Ibn al-Saffar también fundó su propia escuela, de la que fue alumno destacado el matemático ibn Barguth (m. 1052), quien a su vez fue maestro de al-Saraqusti (m. 1056) y de Ibn al-Layth (m. 1063).
Los otros discípulos de Maslama también triunfaron en sus respectivas taifas y consiguieron que, a finales del siglo XI, al-Andalus hubiere asimilado no solo los Elementos, el Almagesto o el Planisferio, sino también otras obras y resultados como las Cónicas de Apolonio, los escritos de Arquímedes que habían llegado a la península Ibérica o el teorema de Menelao de la trigonometría esférica
La recensión de Maslama se inicia con una serie de tablas calendáricas, como es habitual en este tipo de obras, tras las cuales empieza el estudio de los movimientos del Sol, la Luna, y los cinco planetas conocidos hasta el momento: Mercurio, Venus, Marte, Júpiter y Saturno. Al-Juarismi heredó la tradición geocéntrica que situaba la Tierra en el centro del universo, alrededor de la cual todos los planetas giraban en órbitas circulares. Tomando el movimiento del Sol, Al-Juarismi consideró que el astro tardaba un total de 365 días, 6 horas, 12 minutos y 9 segundos (valor muy común en la tradición india) en dar una revolución completa alrededor de la Tierra, lo que significaba que el Sol avanzaba en su órbita circular a una velocidad de 0º 59' 8" 10''' 21'''' diarios, aproximadamente. Sin embargo, tanto griegos como indios se habían dado cuenta de que el Sol no tenía un movimiento circular uniforme real y decidieron modificar los modelos geométricos subyacentes a las órbitas, separando los centros de la Tierra y de las órbitas. De este modo, para calcular la posición real λ del Sol en su órbita, calculaban donde λ = λ' - E(λ) es la posición derivada de la velocidad constante diaria determinada (llamada longitud media), y E(λ), una cierta función periódica (llamada ecuación). Dentro de la astronomía india, los astrónomos tomaron la función E(λ) = Emax sen λ, con Emax igual a la máxima diferencia entre la longitud media y la longitud verdadera, Así, Al-Juarismi tomó el valor Emax = 2 º 14' de los citados Zij al-Shah y Jandajadyaka y, también, la longitud del apogeo solar λA = 77º 55' (momento en el que se produce la máxima distancia entre el Sol y la Tierra) de las obras de Brahmagupta.
El cálculo de la declinación del solLa trigonometría esférica en los cálculos astronómicos es fundamental para determinar ciertos arcos imaginarlos del cielo como, por ejemplo, la declinación solar.Si se imagina que el cielo, en su totalidad, es una esfera cuyo centro es la Tierra, tal y como se imaginaba el universo hasta el siglo XVI, entonces se puede proyectar el ecuador hasta un circulo máximo QQ' que dividirá la esfera celeste en dos hemisferios. Por otro lado, el movimiento de traslación de la Tierra alrededor del Sol provocará que desde la Tierra, se vea al Sol girar alrededor de la Tierra siguiendo otro círculo máximo (la «eclíptica») que, en el cielo nocturno, pasa a través de las doce constelaciones zodiacales: Aries, Tauro, Géminis. Cáncer, Leo, Virgo, Libra, Escorpion, Sagitario, Capricornio, Acuario y Piscis. Estos dos círculos imaginarios QQ' y EE' se cortan en el cielo en el conocido como punto Aries (γ), formando un ángulo ε que se conoce con el nombre de «oblicuidad de la eclíptica». Este punto γ se corresponde con la estrella que representa uno de los cuernos del carnero que pretende estar dibujado representando a Aries. En astronomía, ese es el origen de coordenadas del cielo. A partir de él, el Sol, S, se mueve por su círculo EE' determinando su «longitud», o arco λ = γS, y su altura sobre el ecuador, a la que se llama «declinación» δ = AS.
Con todo, aplicando el teorema del seno de la trigonometría esférica, según el cual en un triángulo esférico rectángulo el cociente entre el seno de cualquiera de sus lados y el seno del ángulo opuesto es siempre constante, se tiene quePor lo tanto, los astrónomos antiguos tenían una imperiosa necesidad de determinar el valor de la oblicuidad de la eclíptica para poder relacionar las dos coordenadas del Sol: su longitud y su declinación.
Sin embargo, en la recensión de Maslama, E(λ) está calculada según el conocido método de las declinaciones, derivado del Zij al-Shah, que consiste en la fórmula

La recensión continúa con la determinación de la ecuación de la Luna (calculada según el método de las declinaciones para un máximo valor = 4º56' tanto del Zij al-Shah como del Jandojadyaka), de la declinación del Sol, de la latitud de la Luna y de los parámetros correspondientes a los modelos geométricos de los planetas.
Las tablas trigonométricas del Sindhind
Al Juarismi también incluyó dos tablas trigonométricas en su Sindhind: una para el seno de un ángulo α y otra para su seno verso o, lo que es lo mismo, la función 1 - cos α en una circunferencia de radio igual a la unidad. Siguiendo la tradición india, la tabla del seno estaba calculada según los llamados kardagas (o «secciones») que se corresponden con todos los múltiplos de los ángulos de 15º; el kardaga 1 se corresponde con los 15°; el kardaga 2, con los 30°; el 3, con los 45°, y así sucesivamente. La referencia es un radio de la circunferencia de 150 unidades, de modo que la tabla trigonométrica en cuestión es:

La determinación ptolemaica del movimiento del solPara la gran mayoría de los antiguos astrónomos griegos, el universo tenía la forma de una esfera en cuyo centro estaba la Tierra. Según Aristóteles, todos los astros del cielo giraban alrededor de nuestro planeta en órbitas circulares a través de las cuales avanzaban a velocidad constante. Con esta premisa, Hiparco de Rodas (siglo II a.C) y, más tarde, Claudio Ptolomeo (siglo II d.C.) se propusieron explicar los movimientos celestes con la máxima exactitud posible. Así, en su Gran sintaxis matemática, conocida como Almagesto (nombre puesto por los astrónomos árabes), dejó constancia de sus razonamientos y cálculos, que determinaron un modelo que no vería su ocaso definitivo hasta la llegada de las órbitas elípticas de Johannes Kepler (1571-1630). Ptolomeo parte de la Tierra,T, situada en el centro del universo y del Sol, S, que gira en torno a ella en su órbita circular ABCD. Un año solar, es decir, una traslación completa del Sol alrededor de la Tierra, puede dividirse en las cuatro estaciones que deben tener la misma duración, ya que la velocidad del Sol es constante. Por lo tanto, si se considera que A es el equinoccio de primavera, B el solsticio de verano, C, el equinoccio de otoño yD el solsticio de invierno, los arcos AB. BC, CD y DA deben ser todos iguales a 90º y el Sol ha de tardar 91 días y 16 horas y media en recorrerlos, ya que el año dura casi 365 días y casi 6 horas.
Sin embargo, en sus observaciones de los años 139 y 140, Ptolomeo comprobó que el Sol empleaba 94 días y medio para ir de A a B, y 92 días y medio para ir de B a C. ¿Cómo podrá explicarse? Ptolomeo decidió que si desplazaba la Tierra hasta el punto B, un observador situado en A vería como, a pesar de que el Sol se desplazase de A aB a velocidad constante, el arco visual AB seria mayor de 90°, ya que comprendería los arcos AA, AB y BB'. Por ese motivo AA' y BB' debían ser los responsables de los 2 días y 20 horas de diferencia que se producían. Ptolomeo determinó exactamente cada uno de los arcos AA', BB'CC' y DD' y, utilizando la trigonometría y el teorema de Pitágoras, pudo dar el valor exacto de la separación entre los puntos E y T, que resultó ser de 2,5 unidades en un sistema para el que el radio AT media 60 unidades. Así pues, Ptolomeo ideó un sistema en el que la Tierra estaba situada en T, pero el centro de la órbita solar E se encontraba desplazado 2,5 unidades del centro del universo.Por lo tanto, el Sol, S, gira alrededor de E con movimiento circular uniforme determinando su longitud media λm sobre la eclíptica, mientras que desde la tierra se puede medir con exactitud su longitud verdadera λ Así, a Ptolomeo solo le faltaba determinar el valor del ángulo q, llamado «ecuación», ya que en ese momento, para cada longitud media λm dada, podría determinar la longitud verdadera mediante el cálculo λ - λm = q, Ptolomeo calculó que la máxima ecuación del Sol debía ser de 2º 23' y, con este valor, computó las tablas que permitían situar al Sol en su lugar exacto de le eclíptica en cualquier momento del año.
Sin embargo, ¿cómo podía Al-Juarismi calcular el valor del seno del ángulo de 50º (para el que una calculadora arroja un resultado aproximado de 0,766044...)? 50º está entre los kardagas 3 y 4; obsérvese que la columna de la derecha refleja que la diferencia entre los valores tabulares de ambos kardagas es de 24 unidades. Por lo tanto, a los 15º que separan los 45º de los 60º les corresponde una diferencia de 24 unidades, con lo que, mediante una sencilla regla de tres, a los 5º que separan los 50º de los 45º, que son una tercera parte de los 15º, les corresponde una tercera parte de las 24 unidades, es decir, 8 unidades. En consecuencia, se tiene que sen 60º - sen 45º+1/3×24 = 106 + 8 = 114 unidades.
En su recensión, Maslama también incluyó una tabla de la función seno basada en la tradición griega. En el Almagesto, Ptolomeo definió la función trigonométrica cuerda para cualquier ángulo dado. Así, si en una circunferencia había el ángulo β Ptolomeo consideró que su cuerda era crd β = AB, en comparación con la tradición india que, como se ha visto, se basó en la fundón seno (figura 1). Por lo tanto, si se considera el ángulo α tal que β sea su doble, entonces sen α - AC y, como AB = 2AC, se tiene que

Otra de las funciones trigonométricas que Al-Juarismi introdujo en su obra fue la de la cotangente de un ángulo, dada su utilidad para poder determinar la hora del día a partir de la altura del Sol. Si se coloca un palo vertical de 12 unidades de longitud sobre el suelo, la altura del Sol a lo largo del día irá determinando sombras de distintas longitudes. Por lo tanto, al mediodía, momento en el que el Sol llega a su punto más elevado en el cielo, la sombra del palo será la más corta del día. A partir de ese instante, la sombra se irá alargando de manera progresiva conforme el Sol va descendiendo en el cielo hasta su definitivo ocaso por el horizonte.

Figura 1
La influencia del Sindhind
Como en los casos anteriores, el Sindhind también tuvo una gran influencia en la astronomía de la Edad Media y fueron muchos los astrónomos y astrólogos que se basaron en estas tablas para compilar sus propias obras.
En tiempos de Abderramán II, las tablas de Al-Juarismi llegaron a Córdoba y parece que circularon entre los astrónomos y astrólogos de la corte. Por ejemplo, Yahya al-Gazal (773-864), un muy reputado poeta y astrólogo en las cortes de al-Hakam I y de su hijo Abderramán II, las utilizaba para levantar sus horóscopos. Si se tiene en cuenta que al-Gazal fue la figura elegida por el emir para encabezar la primera embajada cordobesa a Bizancio en el año 839, se puede inferir que otros astrólogos importantes de la corte también harían uso de ellas y que así se convirtieron en uno de los textos fundamentales, juntamente con el Almagesto, para la determinación de sus efemérides planetarias.
Sin embargo, el punto culminante de la tradición india en al-Andalus fue la recensión elaborada por Maslama, con la ayuda de ibn al-Saffar (m. 1034). A través de su escuela, los discípulos de Maslama asimilaron la astronomía india del Sindhind y la fueron transmitiendo a sus propios alumnos. De hecho, el propio al-Saffar escribió otra recensión independiente de la de Maslama, y lo mismo hizo ibn al-Samh (m. 1035), quien además utilizó ciertos parámetros del Sindhind para trazar las láminas de su ecuatorio, del que se conserva una versión castellana incluida en los Libros del saber de astronomía de Alfonso X el Sabio, rey de Castilla entre 1252 y 1284.
Otro de los astrónomos andalusíes que se basó en el Sindhind fue el jienense ibn Mu'ad al-Jayyani (m. 1093), cuyos cánones fueron traducidos por Gerardo de Cremona en el siglo XII. De hecho, las Tablas de Jaén no dejan de ser una versión del Sindhind de Maslama con tablas calculadas para las coordenadas geográficas de la ciudad andaluza. El sevillano Abu Jafar Ahmad ibn al-Kammad (m. ca 1100) también siguió la tradición india en sus dos series de tablas astronómicas que combinó en una tercera serie conocida como al-Muqtabis. Tan solo se conserva un capítulo de los cánones en árabe, pero existen una versión latina elaborada en Sicilia por Giovarmi de Dumpno en 1260 y otra hebrea a cargo del judío español Solomon Franco (siglo XIV). Ibn al-Kammad debió de entrar en contacto con el Sindhind mediante las enseñanzas de su maestro Abu Ishaq Ibrahim al-Zarqali, también conocido como Azarquiel (Toledo, ca. 1030- Sevilla, ca. 1100). El propio Azarquiel, en su Tratado sobre el movimiento de las estrellas fijas, relata:
Ibn al-Samh reunió un buen número de observaciones astronómicas, con lo que pudo llegar a comprender el curso del movimiento de las estrellas fijas. Pero ello solo se le ofreció de una manera incompleta Después de él, nosotros seguimos el estudio de este problema en Toledo, con un grupo de personas que nos merecían nuestra confianza, personas peritas y de mérito científico, conocedoras del Sindhind y de las observaciones de los astrónomos.Cabe citar un tercer caso en la península Ibérica, las Tablas de Barcelona que hizo compilar el rey Pedro el Ceremonioso (1319-1387). La obra fue escrita alrededor del año 1381 por Jacob Corsuno de Sevilla con la colaboración de los catalanes Pere Gilbert y Dalmau Ses Planes. El propósito de Pedro el Ceremonioso era dejar un legado científico importante que incluyera unas tablas astronómicas de referencia para toda la cristiandad, y la colaboración de Corsuno convirtió el proyecto en una adaptación del Sindhind a la ciudad de Barcelona.

Izquierda: El matemático y astrónomo indio Brahmagupta en el cual se apoyó Al-Juarismi para realizar su Sindhind. Derecha: Retrato imaginario del astrónomo Al-Battani

Las Tablas Alfonsinas, realizadas gracias al apoyo de Alfonso X el Sabio, el objetivo de estas tablas era proporcionar un esquema de uso práctico para calcular la posición del Sol, la Luna y los planetas, de acuerdo al sistema ptolemaico
La figura de AzarquielAbu Ishaq Ibrahim al-Zarqali (1029-1087), también conocido como Azarquiel, fue uno de los matemáticos y astrónomos más importantes del siglo XI en la península Ibérica. Al hablar de los grandes científicos de su tiempo, el cadí Sa'ld dijo de él:
Y el más sabio de todos en la ciencia de los movimientos de los astros y de la constitución de las esferas es Abu Ishaq Ibrahím ibn Yahya, el cincelador, el conocido por el «hijo de Zarquel». Él es el más eminente entre la gente de nuestro tiempo en lo que respecta a las observaciones astronómicas y en la ciencia de la estructura de las esferas y en el cálculo de sus movimientos y es el más sabio de todos ellos en la ciencia de las tablas astronómicas y en la invención de instrumentos para la observación de los astros.
El granadino Abu Bakr al-Zuhri (m. 1137) también relata que Azarquiel fue el ingeniero de dos «maravillosos y sorprendentes» relojes de agua a orillas del Tajo en Toledo, los cuales parece que aún se usaban en el año 1134.
Mediante los apuntes autobiográficos de sus distintas obras, también se ha llegado a saber que Azarquiel dejó Toledo algo antes de la conquista cristiana (1085) y se trasladó a Sevilla, donde reinaba al-Mu'tamid desde el año 1078. Posteriormente, en Córdoba, Azarquiel realizó su último período observacional que finalizó en la segunda mitad de la década de 1080 rodeado de sus discípulos.
La importancia de sus obras llevó a Abraham ben Ezra a afirmar que hasta el momento «nadie podía rivalizar con él desde el tiempo de la entrada de los musulmanes en España», y prueba de ello es que Nicolás Copérnico (1473-1543) lo citó en su De revotutionibus orbium coelestium (1543), que introdujo las teorías heliocéntricas en la historia de la astronomía y cambiaría el rumbo del cálculo de las efemérides planetarias.
Sus obras son muchas y muy diversas. Entre ellas, cabe destacar las siguientes
1. Las Tablas de Toledo. Son un conjunto de tablas astronómicas con unos cánones que explican cómo deben ser utilizadas, calculadas para la ciudad de Toledo. Compilan la amalgama de fuentes de las que Azarquiel podía disponer: el Almagesto de Ptolomeo, la obra astronómica de al-Battani y el Sindhund de Al-Juarismi. Además, incorporan las observaciones astronómicas del propio Azarquiel, presentando novedades en cuanto a algunos de los parámetros astronómicos.
2. El Almanaque perpetuo, basado en los ciclos de los planetas. Azarquiel recuperó una antigua tradición mesopotámica estudiada por Hiparco de Rodas y también por Ptolomeo, que estableció el número de revoluciones sinódicas de los planetas. Si, por ejemplo, en 59 años solares Saturno realizaba 57 revoluciones sinódicas por 2 zodiacales, para calcular sus efemérides tan solo haría falta tabular su posición en cada uno de los días de esos períodos. De esta manera, no se tendrían que realizar largos cálculos siguiendo los modelos ptolemaicos o indios.
3. El Tratado sobre el movimiento de las estrellas fijas, escrito entre los años 1075 y 1080 y conservado únicamente a través de una traducción hebrea a cargo deSamuel ben Yehudá (1150-1230). Es la obra donde Azarquel expone sus modelos de la teoría de la trepidación. Desde que Hiparco descubriera la precesión de los equinoccios y la determinara en 1º cada 100 años, las observaciones realizadas por los astrónomos posteriores habían ido arrojando otros valores distintos; 1º cada 66 años árabes (de 354 días) y 8 meses en la ciudad de Bagdad del siglo IX, 1 año cada 70 años árabes para al-Biruni. Este hecho, junto con la progresiva disminución en el valor de la oblicuidad de la eclíptica, llevó a Azarquiel a idear unos modelos geométricos que recogían estas variaciones, dando una explicación matemática a este problema teórico.
4. La Summa referente al movimiento del Sol. Es una obra que cita el mismo Azarquiel en el Tratado sobre el movimiento de las estrellas fijas , y es el resultado de 25 años de observaciones a partir de las cuales Azarquiel descubrió el movimiento del apogeo solar (rápidamente recogido por Abraham ben Ezra en su Libro de los fundamentos de las tablas astronómicas). Azarquiel también propuso un nuevo modelo geométrico para el Sol con la excentricidad variable, en contraposición con los modelos ptolemaicos.
5. «El Tratado de la azafea. Contiene la descripción de un instrumento para el que hay tres versiones. La primera está dedicada al rey al-Ma'mun de Toledo y la única referencia a ella la encontramos en los Libros del saber de astronomía de Alfonso X el Sabio. La segunda es la «azafea al-abbadiya», dedicada al rey al-Mu'tamid de Sevilla, la cual solo se conserva en su versión árabe. Finalmente, también se encuentra la «azafea al-shakkaziya», la cual llegó a construirse durante el Renacimiento europeo. La azafea es un instrumento para la determinación de ciertos arcos trigonométricos y la resolución de algunos de los problemas más comunes de la trigonometría esférica y, todo ello, sin tener en cuenta la latitud del lugar donde se usa el aparato.
6. El Tratado de la lámina universal de los siete planetas . Conservado a través de la versión alfonsí que realizó el judío Rabiçag, es otra de las obras de Azarquiel donde el matemático intentó simplificar los cálculos de efemérides planetarias. Azarquiel inventó un instrumento sobre el cual se podían calcular las posiciones de los planetas con la ayuda de unas láminas que se colocaban sobre él. Cabe decir que en la descripción del modelo geométrico de Mercurio, Azarquiel es el primer astrónomo en la historia en utilizar una elipse para explicar un movimiento planetario.
Se atribuyen también a Azarquiel un Tratado de le esfera armilar. actualmente perdida y algunos tratados menores de magia.
El Sindhind fue conocido en Inglaterra a principios del siglo XII gracias a la citada traducción, realizada por Pedro Alfonso alrededor del año 1116. Pedro Alfonso viajó a Inglaterra hacia 1110 y se instaló en la corte de Enrique I (rey entre los años 1100 y 1135). Allí se convirtió en maestro de las artes liberales y tuvo como alumno a Walcher, futuro prior de Malvem, a quien enseñó astronomía y, en particular, las tablas de Al-Juarismi adaptadas al calendario cristiano. Poco después, la abadía de Malvem se convirtió en uno de los centros científicos más importantes de la Inglaterra del siglo XII y junto con la traducción de Adelardo de Bath de la recensión de Maslama, no es de extrañar que los astrónomos y astrólogos ingleses de los años siguientes las tuvieran muy en cuenta.
Las Tablas de Toledo
Otro de los caminos por el que la astronomía del Sindhind se introdujo en la Europa occidental medieval fueron las Tablas de Toledo, las cuales rápidamente sustituyeron a la obra original de Al-Juarismi. Estas tablas fueron una obra colectiva compilada alrededor del cadí Sa'id de Toledo, en las cuales Azarquiel desempeñó un papel determinante. Se conservan multitud de manuscritos medievales que atestiguan la gran aceptación que recibió esta serie de tablas astronómicas desde la primera mitad del siglo XII gracias, sobre todo, a las versiones latinas que elaboraron Juan de Sevilla y Gerardo de Cremona, entre otros.
La obra contiene tablas copiadas directamente del Sindhind de Al-Juarismi (adaptadas a la ciudad de Toledo), aunque también del canon astronómico de al-Battani (m. 929) y, en general, de las múltiples copias y ediciones conservadas. Sus contenidos se pueden resumir como sigue:
1. Tablas calendáricas, que contienen equivalencias entre eras y los distintos calendarios de uso común en astronomía: egipcio, árabe, persa...
2. Tablas trigonométricas, que incluyen tablas para la función seno (utilizando un radio de la circunferencia de 150 unidades) y la cotangente, tablas para la declinación solar (para los valores de la oblicuidad de la eclíptica de 23º 51', y también de 23º 33' determinado en las observaciones llevadas a cabo en Bagdad durante el siglo IX), las ascensiones rectas y oblicuas... Hay versiones que también incluyen tablas para la función seno derivada de las cuerdas ptolemaicas y radio igual a 60 unidades.
3. Tablas para los movimientos medios y las ecuaciones del Sol, la Luna y los cinco planetas conocidos. La mayoría de las tablas de las ecuaciones están sacadas de la obra de al-Battani.
4. Tablas para las latitudes planetarias, todas ellas originarias de Al-Juarismi.
5. Tablas para la determinación de la visibilidad y retrogradación de los planetas, copiadas de al-Battani y del Almagesto.
6. Tablas para la determinación de eclipses de Sol y de Luna. La mayoría de manuscritos contienen dos series de tablas correspondientes a los cálculos de Al-Juarismi y de al-Battani, respectivamente.
7. Tablas para el cálculo de la precesión de los equinoccios, siguiendo la teoría de la trepidación de Thábit ibn Qurra
8. Catálogos de estrellas y constelaciones.
9. Tablas con las coordenadas geográficas de multitud de localidades.
Como se ha dicho, la importancia que tuvieron las Tablas de Toledo se observa en la multitud de copias conservadas en Europa, a pesar de que en el tercer cuarto del siglo XIII las Tablas Alfonsies, patrocinadas por Alfonso X el Sabio, las sustituyeron en la península Ibérica.
La obra astronómica del rey Alfonso X El SabioAlfonso X el Sabio (1221-1284) puede ser considerado el mayor mecenas de la cultura latina en la península Ibérica del siglo XIII. Bajo su patrocinio, se llevaron a cabo traducciones científicas del árabe al latín y al castellano, dando paso a los primeros tratados astronómicos en lenguas vernáculas escritos hasta entonces.
Una de las mayores aspiraciones de Alfonso X era la de convertirse en emperador del Sacro Imperio Romano y, tal vez, dentro de su campaña de publicidad vio en la cultura cristiana el mayor exponente de una labor que lo podía encaminar en su carrera por la corona europea, Así, Alfonso X decidió que se debía compendiar todo el conocimiento astronómico y astrológico de su época, por lo que decidió que se compilaran tres colecciones: una dedicada a la magia, otra a la astronomía y una tercera a la astrología. De la primera se conserva el Liber picatrix, traducción latina realizada en 1256 del tratado árabe El objetivo del sabio sobre magia talismánica. De la tercera solo se conserva parte del Lapoidario, redactado hacia 1250, que recoge las propiedades de las piedras en relación con la astrología. Con este panorama, la segunda colección es la que conlleva mayor interés al contener los conocidos Libros del saber de astronomía. Sus autores fueron, principalmente, los judíos Rabiçag, Yehudá ben Moshé y Samuel ha-Levi, aunque contaron con colaboradores como los italianos Giovanni de Cremons y Giovanni de Messina, o los españoles Garci Pérez y Fernando de Toledo.
1. Libro de la octava esfera. Dedicado a las constelaciones, fue elaborado por Yehudá ben Moshé y Guillén Arremón Daspa en 1256, aunque veinte años más tarde fue objeto de revisión del propio ben Moshé junto con Samuel ha-Levi y los dos colaboradores italianos ya citados. Es una interpretación libre del Libro de las estrellas fijas de Abderramán al-Sufí (903-986) con adiciones y conocimientos tomados del picatrix, el Tetrabiblos, el Lapoidario (todos ellos vinculados a ben Moshe) y también de la traducción latina del Almagesto (1175) a cargo de Gerardo de Cremona.
2. Libro dele esfera sólida (o dell alcora). Consta de tres partes muy distintas. La primera alberga los cuatro capítulos iniciales sobre la construcción del instrumento y son una adición alfonsí, obra de Rabiçag probablemente. La segunda es la traducción (terminada en 1259) del tratado homónimo de Qusta ibn Luqa (siglo IX) donde se explica su uso, a cargo de Yehudá ben Moshé y el castellano Juan Daspa Finalmente, la tercera parte contiene un único capitulo adicional que ordenó el propio Alfonso X con el objetivo de describir la construcción de las «armellas».
3. Libro del astrolabio redondo . Es una probable adaptación que hizo Rabiçag del tratado sobre el uso del astrolabio plano escrito por ibn al-Samh (m. 1035), ya que cuando recibió la orden del rey Alfonso X de redactar un tratado de esta índole, Rabiçag no encontró ninguna fuente en la que basarse. La razón es que el astrolabio plano era muy popular y esto pudo ensombrecer la construcción de este instrumento que era conocido en al-Andalus desde el siglo X.
4. Libro del astrolabio plano. Consta de una parte dedicada a la construcción del instrumento y otra a su uso, de autor desconocido, no se descarta que sea una obra propiamente alfonsí basada en el comentario que hizo Maslama del Planisferio de Ptolomeo y con alguna versión de la construcción del astrolabio descrita por Mashallah Ibn Athari (ca. 740-815). Los capítulos que describen el uso del astrolabio son una posible reelaboración de materiales andalusíes de la escuela de Maslama.5. Libro de la lámina universal. La descripción de su uso es una traducción del tratado de Ali ibn Jalaf (ca. 1070). Rabiçag fue el autor del texto explicativo de su construcción, adaptando la construcción de la azafea de Azarquiel.
Sello de Alfonso X El Sabio.
6. Libro de la azafea. Traducción de la construcción descrita por Azarquiel, realizada por Bernardo el Arábigo y su alfaquí Don Abraham en 1278.
7. Libro de las armillas. Traducción o adaptación que hizo Rabiçag del libro homónimo (perdido) de Azarquiel.
8. Libro de las láminas de los siete planetas. Se describen las construcciones de los ecuatorios de ibn al-Samh y de Azarquiel.
9. Libro del cuadrante. Escrito por Rabiçag.
10. Libros de los relojes. El primero de ellos es el Libro del relogio dicho de la piedra de la sombra, y en él Rabiçag escribe su propia versión castellana del reloj de sol descrito por al-Battani en el siglo IX. Otro reloj de sol es objeto del último de los libros (dedicado al Palacio de las Horas) y consiste en las marcas interiores señaladas en una gran torre cilíndrica, coronada por una cúpula, con doce aperturas que dejan pasar los rayos de sol. Rabiçag también es el autor de la descripción de una clepsidra ( relogio del agua), que tenía que mejorar cualquier otra descrita anteriormente, y de un reloj que funciona con mercurio (relogio del argent vivo). Y en el cuarto libro, Samuel ha-Levi es el encargado de describir un reloj que había visto Alfonso X y que quería reproducir. Este nuevo reloj (de candela) consiste en una vela instalada en un mecanismo que la hace subir conforme va quemando su cera y va marcando las horas en un panel dispuesto verticalmente.
Otra de las grandes obras astronómicas patrocinadas por Alfonso X fueron las Tablas Alfonsíes, usadas en toda Europa hasta mediados del siglo XVI. Se conservan dos versiones distintas. La primera consiste en unos cánones redactados en castellano por Rabiçag y Yehudá ben Moshé entre los años 1263 y 1272; en ellos se describen unas tablas que siguen los modelos de Azarquiel. La segunda son unas tablas astronómicas compiladas en París hacia 1320, que bien pudieron haber sido calculadas sobre la base de unas Tablas Alfonsíes anteriores. Otra posibilidad es que, dadas las diferencias entre los valores tabulares y las descripciones de los cánones, las Tablas de París fuesen une segunda versión de otro conjunto de tablas elaborado por los colaboradores de Alfonso X tras la traducción de los cánones y tablas de al-Battani. Además, el patrocinio de Alfonso X también pagó las traducciones de los cánones de al-Battani la Cosmología de Alhazén y el Tetrabiblos de Ptolomeo, entre otras muchas obras.
Un siglo después, las Tablas alfonsíes se hicieron un hueco dentro de las obras astronómicas y astrológicas del resto de Europa pero, por ejemplo, Geoffrey Chaucer aún se permitía describir en su «Cuento del terrateniente» de los Cuentos Canterbury:
Al fin encontró el momento correcto para la ejecución de su maldito y diabólico conjuro. Sacó sus recién corregidas tablas toledanas de astronomía y todo lo que necesitaba: tablas sobre el movimiento de los planetas durante períodos redondos, tablas para las subdivisiones de los períodos y longitudes para ciertas fechas que proporcionasen bases para el cálculo, y todo el resto de su parafernalia, tales como centros y ángulos de cálculo y sus tablas de proporcionalidades para determinar los movimientos de los planetas, para poder hacer así todas sus ecuaciones.Ya se ha comentado que el Sindhind de Al-Juarismi era conocido en Inglaterra a principios del siglo XII, pero el relato de Chaucer está basado en la adaptación que realizó Robert de Chester, archidiácono en la catedral de Pamplona en el año 1140, al meridiano de Londres en su regreso a la capital inglesa en 1146.
Otro ejemplo de la transmisión de las Tablas de Toledo nos remite al sur de Francia, donde eran bastante conocidas, incluso antes de que Raimundo de Marsella compilara su propia versión en 1141. SuLiber cursuum planetarum (a través del que fueron conocidas sus Tablas de Marsella) fue la primera adaptación de las tablas a una ciudad europea cristiana, así como también al calendario cristiano, y se adelantó como mínimo unos treinta años a la primera traducción del Almagesto al latín (1175), En el siglo XIIIlas Tablas de Toledo aún eran utilizadas en Toulouse, donde fueron objeto de una adaptación a esta ciudad en la primera mitad del siglo, pero con el paso del tiempo la obra de Azarquiel fue perdiendo su presencia en Francia con la aparición de las Tablas alfonsíes. Sin embargo, algunos de sus parámetros astronómicos siguieron estando presentes en las obras astronómicas del siglo XIV, como las tablas compiladas por Jean de Lignéres en 1322.
Las Tablas de Toledo fueron traducidas al griego en el siglo XIV y una de sus últimas apariciones importantes pudo ser su influencia en el Tratado de astrología atribuida a Enrique de Villena (1384-1434), redactada alrededor de 1440 por el clérigo Andrés Rodríguez. En la obra, el autor cita las Tablas alfonsíes aunque, probablemente, fueran alguna versión latina del Sindhind o las Tablas de Toledo las que fueran utilizadas en algunos pasajes del Tratado.Al-Juarismi, El libro del álgebra. Madrid, Nivola, 2009.
Dorce, C., Azarquiel. El astrónomo andalusí. Madrid, .Nivola, 2008.
Moreno Castillo, R., Al-Juarismi. El algebrista de Bagdad. Madrid, Nivola, 2010.
Puig Espinosa, L., «Componentes de una historia del álgebra. El texto de al-Khwanzmi restaurado» , Investigaciones en matemática educativa II. México DF, Grupo Editorial Iberoamérica, 2003, págs. 109-131.
- « Historias de al-Khwarizmi (3.a entrega). Orígenes del álgebra ». Suma, 60, págs. 103-108.
- «Historias de al-Khwarizmi (5.a entrega). La cosa». Suma, 66, págs. 89-100.
Samsó, J., «Calendarios populares y tablas astronómicas», Historia de la ciencia árabe. Madrid, Real Academia de Ciencias Exactas, Físicas y Naturales, 1981, págs. 127-161.
- Las ciencias de los antiguos en al-Andalus. Roquetas de Mar, Fundación lbn Tufayl de Estudios árabes, 2011.






Nacido en un pequeño pueblo cerca de Kath, en la región de la Jorasmia, sus primeros años de vida estuvieron ligados tanto a Kath como a la ciudad de Urgench y a sus estudios bajo la tutela del matemático y astrónomo Abu Nasr Mansur (ca, 970-ca 1036), príncipe de la familia gobernante de la Jorasmia. Así, sus primeros trabajos se desarrollaron bajo el mecenazgo real, hasta que en 995 un golpe de estado deposo a los Banu Iraq y tuvo que huir de Bujara. 


se obtienen unos resultados correspondientes a 3√A y, por lo tanto, tres cifras decimales para cada raíz cuadrada. Trenchant también optó por esta manera de proceder y lo mismo ocurrió con el holandés Willem Bartjens (1569-1638), quien en 1591 fundó una escuela en Amsterdam. Este tipo de recursos fue muy habitual para expresar los decimales de las funciones trigonométricas y todos los matemáticos buscaron la manera de dejar atrás las fracciones para disponer de un sistema más ágil y útil. Uno de estos casos es el de Pellos, quien en su obra de 1492 utilizó por primera vez el punto decimal en un tratado impreso (ver imagen). En los escritos medievales los números solían ir rodeados de un punto, antes y después de escribirlos, pero es con Frances Pellos que el punto se convirtió en la separación natural entre enteros y decimales. Hubo otros matemáticos, como Christoff Rudolff (1499-1545) o Gerolamo Cárdeno, que con el mismo objetivo utilizaron una barra separadora en sus obras en lugar del punto. De hecho, Rudolff puede ser considerado uno de los inventores reales de las fracciones decimales, ya que en 1530 utilizó su barra del mismo modo como se haría en la actualidad, al resolver un problema sobre interés compuesto, no obstante, Rudolff no fue comprendido y hasta 1585 no apareció la obra que cambaría la historia; El decimal (De Thiende), del flamenco Simón Stevin (ca. 1548- 1620), la cual fue traducida al francés bajo el título La Desme. El propósito del trabajo fue «enseñar cómo todos los cálculos que hay en los comercios pueden ser realizados solo mediante números enteros sin la ayuda de las fracciones» y la idea principal fue la de considerar cada cifra como la décima parte de la cifra de orden inmediatamente superior. De este modo, Stevin consideró que todos los números enteros debían ir acompañados del símbolo
, que significaba «unidades»; por ejemplo, el numero 364 se debía convertir en el 364
Con el tiempo, se interesó por la arqueología y empezó a participar en excavaciones en la necrópolis de Tebas. La historia explica que Rhind compró una serie de documentos rescatados del templo funerario de Ramsés II a un operario de la excavación y…¿quién le iba a decir a Rhind que estaba delante del documento matemático egipcio más importante hallado hasta el momento? Actualmente se conserva en el Museo Británico de Londres y sus casi 53 m de longitud por 30 cm de ancho contienen...



En el siglo X, los comentadores árabes también se dieron cuenta de la importancia algebraica del tratado, y lo mismo ocurrió con el bizantino Georgios Pachymeres en el siglo XIII. Regiomontano descubrió la Aritmética en el Renacimiento, y de ella dijo, en una Oratio escrita en el año 1463 como introducción a un curso de astronomía de la Universidad de Padua: 



Para demostrar este enunciado, Euclides parte de un segmento AB en el que señala un punto C, que lo divide en dos partes iguales, y otro punto D, que lo hace en dos partes desiguales. Entonces, construye el «rectángulo comprendido entre los segmentos desiguales de la recta entera», es decir, el rectángulo AMOD. En efecto, si llamamos a = AC = CB y b = CD, el rectángulo trazado tiene una base a + b = AC y una altura de a - b = AM = DO = BP = DB, quedando trazado también el cuadrado DOPB. Para Euclides, los números tenían una correspondencia intrínseca con longitudes de segmentos, de manera que dos números sumados era calcular la longitud de un nuevo segmento compuesto por los dos que se suman. Análogamente, dos números multiplicados se correspondían con el área de un rectángulo, cuya base y altura medían dichos números. No es extraño, entonces, que a lo largo de los Elementos encuentren expresiones como «el rectángulo comprendido por» para referirse al producto de dos números o «el cuadrado» si estos dos números son iguales. 

Considerando que el lado del cuadrado buscado es la «cosa», es decir, x, el área del cuadrado buscado es x2. 




o, equivalentemente, dx - x2 = y2, por otro lado, como los puntos de la parábola cumplen √qy = x2elevando al cuadrado se tiene que qy2 =x4 o, lo que es lo mismo, y2 = x4/ q. De esta manera si igualamos ambas expresiones
Si se imagina que el cielo, en su totalidad, es una esfera cuyo centro es la Tierra, tal y como se imaginaba el universo hasta el siglo XVI, entonces se puede proyectar el ecuador hasta un circulo máximo QQ' que dividirá la esfera celeste en dos hemisferios. Por otro lado, el movimiento de traslación de la Tierra alrededor del Sol provocará que desde la Tierra, se vea al Sol girar alrededor de la Tierra siguiendo otro círculo máximo (la «eclíptica») que, en el cielo nocturno, pasa a través de las doce constelaciones zodiacales: Aries, Tauro, Géminis. Cáncer, Leo, Virgo, Libra, Escorpion, Sagitario, Capricornio, Acuario y Piscis. Estos dos círculos imaginarios QQ' y EE' se cortan en el cielo en el conocido como punto Aries (γ), formando un ángulo ε que se conoce con el nombre de «oblicuidad de la eclíptica». Este punto γ se corresponde con la estrella que representa uno de los cuernos del carnero que pretende estar dibujado representando a Aries. En astronomía, ese es el origen de coordenadas del cielo. A partir de él, el Sol, S, se mueve por su círculo EE' determinando su «longitud», o arco λ = γS, y su altura sobre el ecuador, a la que se llama «declinación» δ = AS. 

