50 Cosas que hay que saber sobre matemáticas
Tony Crilly
Las matemáticas son una materia inmensa y nadie puede conocerlas en su totalidad. Lo que sí podemos hacer es explorarlas y hallar nuestro camino individual. Las posibilidades que se nos descubren aquí nos conducirán a otras épocas y culturas y a ideas que han intrigado a los matemáticos durante siglos.Las matemáticas son al mismo tiempo antiguas y modernas y se han desarrollado a partir de amplias influencias culturales y políticas. De India y Arabia procede nuestro sistema de numeración moderno, pero éste ha sido templado a lo largo de la historia con elementos de diversas procedencias. La «base 60» de los babilonios del segundo o tercer milenio a. C. aparece en nuestra propia cultura: tenemos 60 segundos en un minuto y 60 minutos en una hora; un ángulo recto sigue siendo de 90 grados y no de 100 grados, como el que adoptó la Francia revolucionaria, que dio un primer paso hacia la decimalización.
Los triunfos tecnológicos de la edad moderna dependen de las matemáticas y no cabe duda de que ya no es ningún motivo de orgullo anunciar que a uno no se le daban bien en el colegio. Naturalmente, las matemáticas escolares son algo distinto, algo que a menudo se enseña con vistas a unos exámenes. La presión temporal del colegio tampoco ayuda, ya que las matemáticas son una materia en la que no tiene sentido ir deprisa. La gente necesita tiempo para poder asimilar las ideas. Algunos de los más grandes matemáticos han sido exasperantemente lentos en sus esfuerzos por comprender los conceptos profundos de su materia.
Para este libro no hay prisas. Se puede hojear cuando a uno le venga bien. Tómese su tiempo y descubra qué significan realmente estas ideas de las que es posible que usted haya oído hablar. Empezando por el Cero, o por otra parte si lo desea, puede usted seguir avanzando en un viaje entre islas de ideas matemáticas. Por ejemplo, puede informarse sobre la teoría de juegos y luego puede leer sobre los cuadrados mágicos. O bien puede pasar de los rectángulos áureos al famoso último teorema de Fermat... o seguir cualquier otro camino.
Estamos en un momento emocionante para las matemáticas. Algunos de sus problemas más importantes se han resuelto en los últimos tiempos. Los avances de la informática moderna han ayudado a algunos, pero han resultado inútiles frente a otros. El problema de los cuatro colores se resolvió con la ayuda de un ordenador, pero la hipótesis de Riemann, el último capítulo de este libro, sigue sin resolverse: aún no se ha conseguido, ni por ordenador ni por ningún otro medio.
Las matemáticas son para todo el mundo. La popularidad del sudoku es la prueba de que la gente puede hacer matemáticas (sin saberlo) y también disfrutar de ello. En las matemáticas, como en el arte o la música, ha habido genios, pero no sólo ellos han hecho la historia. Verá usted a varios líderes entrando y saliendo de algunos capítulos, y se encontrará con que reaparecen en otros. Leonhard Euler, cuyo tricentenario tuvo lugar en 2007, es un asiduo visitante de estas páginas. Pero el verdadero progreso en las matemáticas es obra del trabajo de una mayoría, acumulado durante siglos. La elección de 50 temas es personal, pero he intentado mantener un equilibrio. Hay artículos cotidianos y avanzados, matemáticas puras y aplicadas, abstractas y concretas, antiguas y modernas. No obstante, las matemáticas son una sola materia unida, y la dificultad a la hora de escribir no ha radicado tanto en la elección de los temas, como en la omisión de algunos. Podría haber habido 500 ideas, pero 50 bastan para que usted empiece bien su carrera.
A una edad temprana hacemos nuestra insegura entrada en la tierra de los números. Aprendemos que el 1 es el primero del «alfabeto numérico», y que introduce los números de conteo 1, 2, 3, 4, 5... que no son más que eso: cuentan cosas reales, manzanas, naranjas, plátanos, peras. No es hasta más tarde cuando podemos contar el número de manzanas que hay en una caja cuando no hay ninguna.Los antiguos griegos y los romanos, célebres por sus proezas de ingeniería, carecían de una forma eficaz de lidiar con el número de manzanas que había en una caja vacía. Ellos no lograron dar un nombre a la «nada». Los romanos tenían sus formas de combinar I, V, X, L, C, D y M, pero ¿y el 0? Ellos no contaban «nada».
¿Cómo llegó a ser aceptado el cero?
Se cree que el uso de un símbolo que designa «la nada» tuvo su origen hace miles de años. La civilización maya, en lo que es ahora México, usó el cero en diversas formas. Algún tiempo después, el astrónomo Claudio Ptolomeo, influido por los babilonios, usó un símbolo semejante a nuestro moderno 0 como marcador de posición en su sistema numérico. Como marcador de posición, el cero se podía usar para distinguir ejemplos (en notación moderna) como 75 y 705, en lugar de basarse para ello en el contexto, como habían hecho los babilonios. Esto se podría comparar con la introducción de la «coma» en el lenguaje: ambos ayudan a leer el significado correcto. Pero, así como la coma viene acompañada de un conjunto de reglas para su uso, también tiene que haber reglas para usar el cero.
Brahmagupta trató el cero como un «número», no como un mero marcador de posición, y expuso unas reglas para operar con él. Éstas incluían que «la suma de un número positivo y cero es positiva» y que «la suma de cero y cero es cero». Al pensar en el cero como un número, Brahmagupta fue bastante avanzado.

El lanzamiento del cero dentro del sistema numérico planteaba un problema del que Brahmagupta se había ocupado brevemente: ¿cómo se habría de tratar a este «intruso»? ¿Cómo podría integrarse el cero en el sistema aritmético de entonces de una forma más precisa? Algunos ajustes eran sencillos. Cuando se trataba de hacer sumas y multiplicaciones, el 0 encajaba perfectamente, pero «el extranjero» no encajaba fácilmente en las operaciones de sustracción y división.
¿Cómo funciona el cero?
La adición y la multiplicación con el cero son sencillas y en absoluto polémicas (se puede agregar 0 a 10 para obtener cien, pero nos referiremos a la adición en el sentido menos imaginativo de esta operación numérica). Sumar 0 a un número deja a ese número inalterado, mientras que multiplicar 0 por cualquier número siempre da 0 como solución. Por ejemplo, tenemos 7 + 0 = 7 y 7 × 0 = 0. La sustracción es una operación sencilla pero puede llevar a negativos, 7 - 0 = 7 y 0 - 7 = - 7, mientras que la división que implica al cero plantea dificultades.
Imaginemos una extensión que se ha de medir con una vara. Suponga que la vara de medir tiene en realidad una longitud de 7 unidades. Nos interesa saber cuántas varas de medir podemos extender a lo largo de nuestra extensión dada. Si la extensión que ha de medirse es en realidad de 28 unidades, la solución es 28 dividido por 7, o, en símbolos, 28 : 7 = 4. Una notación mejor para expresar esta división es


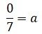
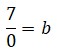
Ésta no es la principal dificultad que entraña el cero. La cuestión peligrosa es la división por 0. Si intentamos tratar a 7/0 de la misma manera que lo hacíamos con 0/7, tendríamos la ecuación

El matemático Bhaskara se planteó la división por 0 y propuso que un número dividido por 0 era infinito. Esto es razonable, porque si dividimos un número por un número muy pequeño la solución es muy grande. Por ejemplo, 7 dividido por un décimo es 70, y por un centésimo es 700. Si hacemos que el número del denominador sea cada vez más pequeño, la solución que obtenemos es cada vez más grande. En la máxima pequeñez, el propio 0, la solución debe ser el infinito. Si adoptamos esta forma de razonar, quedamos en situación de tener que explicar un concepto aún más extraño: esto es, el infinito. Enfrentarse al problema del infinito no ayuda; el infinito (con su notación estándar ∞) no se ajusta a las reglas habituales de la aritmética y no es un número en el sentido habitual.
Si 7/0 constituía un problema, ¿qué se puede hacer con el aún más extraño 0/0? Si 0/0 = c, por multiplicación cruzada llegamos a la ecuación 0 = 0 × c y al hecho de que 0 = 0. Esto no resulta especialmente esclarecedor, pero tampoco es ningún absurdo. De hecho, c puede ser cualquier número y no llegamos a una imposibilidad. Llegamos a la conclusión de que 0/0 puede ser cualquier cosa; en los círculos matemáticos bien educados se le llama «indeterminado».
Considerándolo todo, cuando nos planteamos la división por cero llegamos a la conclusión de que es mejor excluir esa operación de la forma en la que hacemos los cálculos. Podemos hacer aritmética tranquilamente sin ella.
¿Para qué sirve el cero?
Sencillamente, no podríamos prescindir del 0. El progreso de la ciencia ha dependido de él. Hablamos de cero grados de longitud, de cero grados en la escala de temperatura, y, de igual modo, de energía cero, y de gravedad cero. El cero ha entrado en el lenguaje no científico con ideas tales como la hora cero y la tolerancia cero.
Pero, podría hacerse un mayor uso de él. Si usted se baja en la acera de la Quinta Avenida de la ciudad de Nueva York y entra en el Empire State Building, se hallará en el espléndido vestíbulo de la entrada de la planta número 1. Con ello se hace uso de la capacidad que tienen los números para ordenar, 1 por «primero», 2 por «segundo» y así sucesivamente, hasta 102 por «centésimo segundo.» En Europa sí que tienen una planta 0, pero existe cierta renuencia a llamarla así.
Las matemáticas no podrían funcionar sin el cero. Éste está en el meollo de conceptos matemáticos que hacen que el sistema numérico, el álgebra, y la geometría funcionen. En la línea de los números, el 0 es el número que separa los números positivos de los negativos y, por consiguiente, ocupa una posición privilegiada. En el sistema decimal, el cero sirve como marcador de posición que nos permite usar tanto números enormes como cifras microscópicas.
A lo largo de cientos de años, el cero se ha ido progresivamente aceptando y utilizando, y se ha convertido en una de las mayores invenciones del hombre.
El matemático norteamericano del siglo XIX G. B. Halsted adaptó El sueño de una noche de verano de Shakespeare para escribir sobre él como el motor de un progreso que otorga «a la nada impalpable, no solamente un nombre y un espacio de existencia, una imagen, un símbolo, sino también un poder útil, la característica de la raza hindú de la que surgió».Cuando se introdujo el 0, se debió de considerar algo extraño, pero los matemáticos tienen la manía de aferrarse a conceptos extraños que resultan ser útiles mucho más tarde. El equivalente de ello en la actualidad se da en la teoría de conjuntos, en la que la idea de un conjunto es un grupo de elementos. En esta teoría 0 designa al conjunto sin ningún elemento, el llamado «conjunto vacío». Ahora esa idea resulta extraña, pero, al igual que el 0, es indispensable.
La idea en síntesis: la nada no es nada desdeñable
Un sistema numérico es un método para tratar el concepto de «cuántos». Diferentes culturas han adoptado diversos métodos, que abarcan desde el básico, «uno, dos, tres, muchos», hasta la extremadamente sofisticada notación decimal posicional que usamos hoy en día.Los sumerios y los babilonios usaban un sistema de valor de posición para su uso práctico cotidiano. Decimos que es un sistema de valor de posición porque podemos distinguir el «número» por la posición de un símbolo. También usaban el 60 como unidad fundamental: es lo que actualmente llamamos un sistema de «base 60». Todavía nos quedan vestigios de la base 60: hay 60 segundos en un minuto, hay 60 minutos en una hora. Al medir los ángulos, seguimos considerando que el ángulo completo es de 360 grados, a pesar del intento del sistema métrico por hacerlo de 400 grados.
Aunque nuestros antepasados fundamentalmente quisieran los números para fines prácticos, hay algunas pruebas que demuestran que a estas primeras culturas les intrigaban las matemáticas en sí mismas, y de que sustraían tiempo a los asuntos prácticos de la vida para explorarlas. Estas exploraciones incluyeron lo que podríamos llamar «álgebra» y también las propiedades de las figuras geométricas.
Los egipcios usaban la base diez con un sistema de signos jeroglíficos y desarrollaron un sistema para ocuparse de las fracciones; pero la notación decimal de valor de posición de la actualidad tuvo su origen en los babilonios, y fue perfeccionada por los hindúes. Su ventaja estriba en que puede usarse para expresar tanto números muy pequeños como muy grandes. Usando solamente los números hindú-arábigos 1, 2, 3, 4, 5, 6, 7, 8 y 9, se pueden hacer cálculos con relativa facilidad.

El sistema romano
Los símbolos básicos que usaban los romanos eran las «decenas» (I, X, C y M), y las «mitades» de estas (V, L y D). Los símbolos se combinan para formar otros. Se ha propuesto que el uso de I, II, III y IIII proviene del aspecto de nuestros dedos, V de la forma de la mano, y que invirtiéndola y uniendo las dos para formar la X obtenemos dos manos o diez dedos. C viene de centum y M de mille, los vocablos del latín que significan cien y mil, respectivamente. Los romanos también usaban S para designar «la mitad» y un sistema de fracciones basado en el 12.
El sistema romano hacía cierto uso de un método de «antes y después» para producir los símbolos necesarios, pero, según parece, éste no estaba adoptado uniformemente. Los antiguos romanos preferían escribir IIII, y el IV no se introdujo hasta más tarde. He aquí los números básicos del sistema romano, con algunos complementos que se incorporaron en la época medieval:
No resulta fácil manejar los números romanos. Por ejemplo, el significado de MMMCDXLIIII sólo se vuelve obvio cuando mentalmente se introducen paréntesis de forma que (MMM)(CD)(XL)(IIII) se lea después como 3000 + 400 + 40 + 4 = 3444. Pero intente sumar MMMCDXLIIII + CC - CXCIIII. Un romano experto en este arte tendría sus atajos y sus trucos, pero para nosotros es difícil obtener la solución correcta sin calcularla primero en el sistema decimal y traducir el resultado a la notación romana:Suma

Multiplicación
Si usted le pidiera a un ciudadano vegetariano de Roma que anotara cuántas botellas de vino había consumido ese día, él podría escribir III, pero si le preguntara cuántos pollos había comido, no podría escribir 0. Vestigios del sistema romano sobreviven en la paginación de algunos libros (aunque no de éste) y en las piedras angulares de los edificios. Algunas construcciones nunca fueron utilizadas por los romanos, como MCM para representar 1900, sino que se introdujeron por motivos estilísticos en tiempos modernos. Los romanos habrían escrito MDCCCC. El decimocuarto rey Luis de Francia, universalmente conocido en la actualidad como Luis XIV, en realidad prefería que le conociera como Luis XIIII y tenía por norma que sus relojes mostraran las 4 en punto como III en punto.Los números enteros decimales
Nosotros identificamos de forma natural los «números» con los números decimales. El sistema decimal está basado en el diez, y utiliza los números 0, 1, 2, 3, 4, 5, 6, 7, 8 y 9. En realidad está basado en «decenas» y «unidades», pero las unidades pueden absorberse en la «base 10». Cuando anotamos el número 394, podemos explicar su significado decimal diciendo que está compuesto por 3 centenas, 9 decenas y 4 unidades, y podríamos escribir
394 = 3 × 100 + 9 × 10 + 4 × 1
Esto se puede escribir usando «potencias» de 10 (conocidas también como «exponenciales» o «índices»),394 = 3 × 102 + 9 × 101 + 4 × 100
donde 102 = 10 × 10, 101 = 10 y acordamos, aparte, que 100 = 1. En esta expresión vemos de forma más clara la base decimal de nuestro sistema numérico cotidiano, un sistema que hace que la suma y la multiplicación sean bastante transparentes.La coma decimal
Hasta ahora hemos examinado la representación de números enteros. ¿Puede el sistema decimal hacer frente a partes de un número, como 572/1000?
Esto significa
y esto puede escribirse como 0,572, donde la coma decimal indica el principio de las potencias negativas de 10. Si agregamos esto a la expresión decimal de 394 obtenemos la expansión decimal para el número 394 572/1000, que es sencillamente 394,572.En el caso de números muy grandes la notación decimal puede ser muy larga, así que en este caso volvemos a la «notación científica». Por ejemplo, 1.356.936.892 puede escribirse como 1,356936892 × 109, que a menudo aparece como «1,356936892×10E9» en las calculadoras o los ordenadores. Aquí, la potencia 9 es una menos que el número de dígitos del número y la letra E significa «exponencial».
Ceros y unos
Aunque la base 10 es la habitual, algunas aplicaciones requieren otras bases. El sistema binario que usa la base 2 está detrás de la potencia de los ordenadores modernos. La belleza de lo binario estriba en que cualquier número puede expresarse utilizando únicamente los símbolos 0 y 1. El inconveniente que acarrea esta economía es que las expresiones numéricas pueden ser muy largas.
¿Cómo podemos expresar 394 en notación binaria? Esta vez estamos tratando con potencias de 2, y después de cierta elaboración podemos ofrecer la expresión completa como
394=1×256+1×128+0×64+0×32+0×16+1×8+0×4+l×2+0×l
de modo que leyendo solamente los ceros y unos, 394 en binario es110001010.
La idea en síntesis: la escritura de los números
Una fracción es un «número fracturado», literalmente. Si descomponemos un número entero, una forma apropiada de hacerlo es usar fracciones. Tomemos el ejemplo tradicional, el famoso pastel, y dividámoslo en tres partes.La persona que toma dos de las tres partes del pastel obtiene una fracción equivalente a 2/3. La persona que no ha tenido suerte sólo obtiene 1/3. Uniendo las dos porciones del pastel volvemos a obtener todo el pastel, o, en fracciones, 1/3 + 2/3 = 1, donde 1 representa todo el pastel.
También podríamos decir que la camisa tiene un descuento de un quinto del precio original. Eso se escribiría como 1/5 y vemos que 1/5 + 4/5 = 1, donde 1 representa el precio original.Una fracción siempre tiene la forma de un número entero «encima de» un número entero. Al número de la parte inferior se le llama el «denominador» porque nos dice cuántas partes componen el todo. Al número de la parte superior se le llama el «numerador» porque nos dice cuántas fracciones de unidad hay. Así que una fracción, en la notación establecida, siempre aparece así
numerador
denominador
También podemos tener fracciones como 14/5 (llamadas fracciones impropias), donde el numerador es más grande que el denominador. Al dividir 14 por 5 obtenemos 2 y nos sobran 4, lo que puede escribirse como el número «mixto» 2 4/5. Éste comprende el número entero 2 y la fracción «propia» 4/5. Al principio algunos escribían esto como 4/5 2. Normalmente las fracciones se representan de una forma en la que el numerador y el denominador (la «parte superior» y la «inferior») no tienen ningún factor común. Por ejemplo, el numerador y el denominador de 8/10 tienen un factor común de 2, porque 8 = 2×4 y 10 = 2×5. Si escribimos la fracción 8/10 = (2×4) / (2×5) podemos «cancelar» los doses y, de ese modo, 8/10 = 4/5, una forma más sencilla con el mismo valor. Los matemáticos se refieren a las fracciones como «números racionales» porque son razones de dos números. Los números racionales eran los números que los griegos podían «medir».
Suma y multiplicación
Algo que resulta bastante curioso de las fracciones es que son más fáciles de multiplicar que de sumar. La multiplicación de números enteros es tan problemática que hubo que inventar maneras ingeniosas para realizarla. Pero en el caso de las fracciones es la suma lo que es más difícil y exige cierta reflexión.
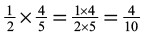
Empecemos multiplicando fracciones. Si usted compra una camisa a cuatro quintos del precio original de 30 libras esterlinas, acaba pagando un precio de venta de 24 libras. Las 30 libras se dividen en cinco partes de 6 libras cada una y cuatro de estas cinco partes es 4×6 = 24, la cantidad que usted paga por la camisa.
Posteriormente, el encargado de la tienda descubre que las camisas no se están vendiendo nada bien, así que baja aún más el precio, anunciándolas a 1/2 del precio de venta. Si usted entra en la tienda ahora puede conseguir la camisa por 12 libras. Esto es 1/2 × 4/5 × 30 que es igual a 12. Para multiplicar dos fracciones entre sí simplemente se multiplican los denominadores entre sí y los numeradores entre sí:

Sumar dos fracciones ya es otro cantar. Con la suma de l/3 + 2/3 no hay problema, ya que los denominadores son iguales. Simplemente sumamos los dos numeradores para obtener 3/3, o 1. Pero ¿cómo podríamos sumar dos tercios del pastel a cuatro quintos del pastel? ¿Cómo podríamos calcular 2/3 + 4/5?
Para sumar 2/3 y 4/5 primero debemos expresar cada una de ellas como fracciones que tienen los mismos denominadores. Primero se multiplica la parte superior e inferior de 2/3 por 5 para obtener 10/15. Después se multiplica la parte superior e inferior de 4/5 por 3 para obtener 12/15. Ahora, ambas fracciones tienen 15 como denominador común y para sumarlas simplemente sumamos los nuevos numeradores entre sí:

Conversión a decimales
En el mundo de la ciencia y en la mayoría de las aplicaciones de las matemáticas, los decimales son la forma preferida para expresar las fracciones. La fracción 4/5 es lo mismo que la fracción 8/10, que tiene 10 como denominador, y podemos escribir esto como el decimal 0,8.
Las fracciones que tienen 5 o 10 como denominador son fáciles de convertir. ¿Pero cómo podríamos convertir, por ejemplo, 7/8 a forma decimal? Lo único que tenemos que saber es que cuando dividimos un número entero por otro, o bien éste cabe exactamente o bien cabe determinado número de veces con algo sobrante, a lo cual llamamos el «resto».
Usando 7/8 como ejemplo, la fórmula para convertir fracciones en decimales es la siguiente:
- Intente dividir 7 entre 8. No es divisible, o podría decirse que cabe 0 veces con un resto 7. Anotamos esto escribiendo cero seguido por la coma decimal: «0,».
- Ahora divida 70 (el resto del paso anterior multiplicado por 10) entre 8. Éste cabe 8 veces, ya que 8 x 8 = 64, así que la solución es 8 con resto 6 (70 - 64). Por tanto, escribimos esto junto a nuestro primer paso, lo que nos da «0,8».
- Ahora divida 60 (el resto del paso anterior multiplicado por 10) entre 8. Como 7 x 8 = 56, la solución es 7 con resto 4. Anotamos esto, y hasta ahora tenemos «0,87».
- Divida 40 (el resto del paso anterior multiplicado por 10) entre 8. La solución es exactamente 5 con resto cero. Cuando obtenemos un resto 0 la fórmula está completa. La solución definitiva es «0,875».
Hay muchas fracciones que nos hacen continuar eternamente de esta forma. La fracción 5/7 es interesante. En este caso obtenemos 5/7 = 0,714285714285714285... y vemos que la sucesión 714285 se repite una y otra vez. Si cualquier fracción da como resultado una secuencia recurrente, nunca podemos escribirla con un decimal concluyente y es entonces cuando la notación «de puntos» demuestra su utilidad.
En el caso de 5/7 escribimos 5/7 = 0,(714285)…

Fracciones egipcias
Los egipcios basaban su sistema de fracciones en jeroglíficos que designaban fracciones de unidad: esas fracciones cuyos numeradores son 1. Sabemos esto por el Papiro de Rhind que se conserva en el Museo Británico. Era un sistema tan complicado que sólo aquéllos que estaban adiestrados podían conocer sus secretos más profundos y realizar los cálculos correctos.
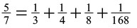
Los egipcios utilizaban algunas fracciones privilegiadas como 2/3, pero todas las demás fracciones se expresaban en términos de fracciones de unidad como 1/2, 1/3, 1/11 o 1/168. Éstas eran sus «fracciones básicas», a partir de las cuales podían expresarse todas las demás fracciones. Por ejemplo, 5/7 no es una fracción de unidad pero se podía escribir en términos de fracciones de unidad:


La idea en síntesis: un número encima de otro
Capítulo 4
Cuadrados y raíces cuadradas
Si a usted le gusta hacer cuadrados con puntos, sus patrones de pensamiento son similares a los de los pitagóricos. Esta actividad era preciada por la hermandad que seguía a su líder Pitágoras, un hombre al que se recuerda, sobre todo, por «aquel teorema».Si contamos los puntos, vemos que el primer «cuadrado» de la izquierda está hecho de un solo punto.
Para los pitagóricos el 1 era el número más importante, y estaba imbuido de existencia espiritual. Así que tenemos una buena base. Si seguimos sumando los puntos que hay en los siguientes cuadrados obtenemos los números «cuadrados» 1, 4, 9, 16, 25, 36, 49, 64... Éstos se llaman cuadrados «perfectos». Se puede calcular un número cuadrado sumando los puntos que hay en la forma ] del exterior del anterior cuadrado, por ejemplo 9 + 7 = 16. Los pitagóricos no se limitaron a los cuadrados. Se plantearon otras formas, como los triángulos, los pentágonos y otras formas poligonales.Los números triangulares recuerdan a un montón de piedras. Al contar estos puntos obtenemos 1, 3, 6, 10, 15, 21, 28, 36... Si se desea calcular un número triangular, se puede usar el anterior y sumar el ^ número de puntos que hay en la última fila.
¿Cuál es el número triangular que va después de 10? Tendrá 5 puntos en la última fila, de mismo modo que simplemente sumamos 10 + 5 = 15.Si compara los números cuadrados con los triangulares, verá que el número 36 aparece en ambas listas. Pero hay una conexión más asombrosa. Si coge números triangulares
sucesivos y los suma, ¿qué obtiene? Probémoslo y anotemos los resultados en una tabla.¡En efecto! Cuando se suman dos números triangulares sucesivos entre sí, se obtiene un número cuadrado. También puede entender esto con una «prueba sin palabras». Piense en un cuadrado compuesto por 4 filas de 4 puntos a través del cual se ha trazado una línea diagonal. Los puntos que están encima de la línea (tal como se muestra) forman un número triangular y debajo de la línea está el siguiente número triangular. Esta observación es válida para cualquier cuadrado de cualquier tamaño. De estos «diagramas de puntos» a la medición de áreas sólo hay un paso. El área de un cuadrado cuyo lado es 4 es 4 × 4 = 42 = 16 unidades cuadradas. En general,
si el lado se llama x, el área será x2.El cuadrado x2 es la base de la forma parabólica. Ésta es la forma que se encuentra en las antenas parabólicas o en los espejos reflectores de los faros de los automóviles. Una parábola tiene un punto de foco. En una antena parabólica, un sensor colocado en el punto de foco recibe las señales reflejadas cuando los rayos paralelos procedentes del espacio impactan en el plato curvado y rebotan hacia el punto de foco.
Raíces cuadradas
Si damos la vuelta a la pregunta y deseamos hallar la longitud de un cuadrado que tiene un área dada de 16, la solución es obviamente 4. La raíz cuadrada de 16 es 4 y se escribe como √16 = 4. El símbolo √ para las raíces cuadradas se ha utilizado desde 1500. Todos los números cuadrados tienen como raíces cuadradas bonitos números enteros. Por ejemplo, √l = 1, √4 = 2, √9 = 3, √16 = 4, √25 = 5, y así sucesivamente. No obstante, hay muchos huecos a lo largo de la línea numérica entre estos cuadrados perfectos. Éstos son 2, 3, 5, 6, 7, 8, 10, 11...

Supongamos que tenemos una línea AB cuya longitud deseamos medir, y una «unidad» indivisible CD con la que hemos de medirla. Para hacer la medición colocamos la unidad CD consecutivamente frente a AB.
Si colocamos la unidad m veces y el final de la última unidad encaja perfectamente con el final de AB (en el punto B), la longitud de AB será sencillamente m. Si no, podemos colocar una copia de AB a continuación de la original y podemos continuar midiendo con la unidad (véase figura).Los griegos creían que, en algún momento, usando n copias de AB y m unidades, la unidad encajaría perfectamente con el extremo de la m-ésima AB. La longitud de AB sería entonces m/n. Por ejemplo, si se colocan 3 copias de AB, una después de otra, y 29 unidades encajan a lo largo de ellas, la longitud de AB sería 29/3.
Los griegos también se plantearon cómo medir la longitud del lado AB (la hipotenusa) de un triángulo cuyos otros dos lados tienen una longitud de una «unidad». Según el teorema de Pitágoras, la longitud de AB podría escribirse simbólicamente como √2, así que la pregunta es: ¿√2 = m/n? Por nuestra calculadora ya hemos visto que la expresión decimal de √2 es potencialmente infinita, y este hecho (que la expresión decimal no tiene fin) quizá indique que √2 no es una fracción. Pero el decimal 0,3333333 no tiene fin... y representa la fracción 1/3. Necesitamos argumentos más convincentes.
¿Es √2 una fracción?
Esto nos lleva a una de las demostraciones más famosas de las matemáticas. Ésta sigue el método de la reductio ad absurdum. En primer lugar se supone que √2 no puede ser una fracción y «no una fracción» al mismo tiempo. Esto es lo que en lógica se denomina «ley del término medio excluido». Así que los griegos supusieron que sí era una fracción y, por lógica estricta en cada paso, derivaron una contradicción, un «absurdo». Bien, hagámoslo. Supongamos que
√2 = m/n
También podemos suponer algo más. Podemos suponer que m y n no tienen ningún factor común. Esto no plantea ningún problema, porque si tuvieran factores comunes, éstos se podrían cancelar antes de empezar. Podemos elevar al cuadrado los dos lados de √2 = m/n obteniendo 2 = m2/n2 y de ese modo m2 = 2n2. Aquí es donde hacemos nuestra primera observación: como m2 es dos veces algo, tiene que ser un número par. Luego, el propio m no puede ser impar (porque el cuadrado de un número impar es impar), de modo que m también es un número par. Hasta aquí, la lógica es impecable. Como m es par, tiene que ser el doble de algo que podemos escribir como m = 2k. Elevar al cuadrado ambos lados de esto significa que m2 = 4k2. Si combinamos esto con el hecho de que m2 = 2n2, ello significa que 2n2 = 4k2 y, al cancelar el 2, llegamos a la conclusión de que n2 = 2k2. ¡Pero esto ya lo hemos visto! Y, como antes, llegamos a la conclusión de que n2 es par y que el propio n es par. Por consiguiente, hemos deducido por lógica estricta que tanto m como n son pares y que, por tanto, tienen un factor de 2 en común. Esto va en contra de nuestra suposición de que m y n no tienen factores comunes. La conclusión, por consiguiente, es que √2 no puede ser una fracción. También se puede demostrar que ninguno de los números de la secuencia de números √n (salvo cuando n sea un cuadrado perfecto) puede ser una fracción. Los números que no pueden expresarse en fracciones se denominan «números irracionales».La idea en síntesis: la vía hacia los números irracionales
π es el número más famoso de las matemáticas. Olvídese de todas las demás constantes de la naturaleza, π siempre será el primero de la lista. Si hubiera Oscars para los números, π ganaría un premio todos los años.

Arquímedes de Siracusa
Pero, a decir de todos, tenía algo de profesor despistado, pues, ¿qué otra cosa podría haberle inducido a saltar de su bañera y correr desnudo calle abajo gritando «¡Eureka!» al descubrir la ley de flotación en la hidrostática?
Dado que π se define como la razón entre la longitud de la circunferencia y su diámetro, ¿qué tiene que ver π con el área de un círculo? Es una deducción que el área de un círculo de radio r es πr2, aunque probablemente ésta sea más conocida que la definición de π como circunferencia/diámetro. El hecho de que π haga turno doble para el área y la circunferencia es notable.

Arquímedes calculó que el valor de π estaba comprendido aproximadamente entre 223/71 y 220/70. De modo que es a Arquímedes a quien debemos la conocida aproximación 22/7 para el valor de π. Los honores por el diseño del propio símbolo de π hay que rendírselos al poco conocido William Jones, un matemático galés. Fue el matemático y físico Leonhard Euler quien popularizó π en el contexto de la razón del círculo.
El valor exacto de π
Es imposible saber el valor exacto de π porque es un número irracional. La expansión decimal es infinita, y no sigue un patrón predecible. Los 20 primeros decimales son 3,14159265358979323846... El valor de √10, usado por los matemáticos chinos, es 3,16227766016837933199 y Brahmagupta lo adoptó en torno al año 500 d.C. En realidad, este valor no es mucho mejor que el valor crudo de 3 y difiere de π en el segundo decimal.
π se puede calcular a partir de una serie de números. Una muy conocida es
Aunque Lambert había demostrado que π no podía ser una fracción, en 1882 el matemático alemán Ferdinand von Lindemann resolvió el problema más extraordinario relacionado con π. Demostró que π es «trascendente»; es decir, que π no puede ser la solución de una ecuación algebraica (una ecuación que sólo implica potencias de x). Lindemann puso así fin al problema de la «cuadratura del círculo». Dado un círculo, el reto era construir un cuadrado de su misma área usando sólo un compás y una regla. Lindemann demostró concluyentemente que no se puede hacer.
El cálculo real de π continuó rápidamente. En 1853, William Shanks afirmó haber obtenido un valor correcto hasta 607 decimales (en realidad, correcto solamente hasta 527). En la época moderna, el empeño de calcular π con cada vez más decimales ganó ímpetu con la ayuda de los ordenadores modernos. En 1949, se calculó π hasta 2.037 decimales, tarea en la que se tardaron 70 horas con un ordenador ENIAC. En 2002, π ya se había calculado hasta una pasmosa cantidad de 1.241.100.000.000 decimales, pero esta cola no deja de crecer. Si nos plantáramos en el ecuador y empezásemos a apuntar la expansión de π, el cálculo de Shanks nos haría recorrer nada menos que 14 metros, ¡pero la longitud de la expansión de 2002 nos haría dar unas 62 vueltas alrededor del mundo!
Se han planteado y se han respondido diversas preguntas sobre π. ¿Son aleatorios los dígitos de π? ¿Es posible hallar una secuencia predeterminada en la expansión? Por ejemplo, ¿es posible hallar la sucesión 0123456789 en la expansión? En los años cincuenta parecía que era imposible saberlo. Nadie había encontrado una secuencia de ese tipo en los 2.000 dígitos conocidos de π. L. E. J. Brouwer, un destacado matemático holandés, dijo que la pregunta carecía de sentido, ya que creía que no se podía experimentar. En realidad, estos dígitos se hallaron en 1997 al principio de la posición 17.387.594.880, o, usando la metáfora del ecuador, unas 3.000 millas antes de completar una vuelta al mundo. La importancia de π ¿Para qué sirve saber el número π hasta tantos decimales? Al fin y al cabo, la mayoría de los cálculos sólo re-quieren unos cuantos decimales; probablemente, para cualquier aplicación práctica no se necesiten más de diez decimales, y a la mayoría le vale la aproximación 22/7 de Arquímedes. Pero los cálculos extensos no son sólo por diversión. Se usan para probar los límites de los ordenadores, aparte de ejercer una fascinación sobre el grupo de matemáticos que se han dado a sí mismos el nombre de «los amigos de pi». El episodio más extraño de la historia de π fue quizá el intento de la Asamblea Legislativa del estado de Indiana de aprobar un proyecto de ley por el que se pretendía fijar su valor. Esto ocurrió a finales del siglo XIX, cuando un doctor en medicina, un tal Dr. E. J. Goodwin, presentó un proyecto de ley con el que pretendía hacer que π fuera «fácil de digerir». Uno de los problemas prácticos con los que se topó esta legislación fue la incapacidad del proponente para fijar el valor que quería. Por fortuna para Indiana, se tomó conciencia de lo absurdo que habría sido legislar sobre π antes de que el proyecto de ley quedara plenamente ratificado. Desde ese día, los políticos han dejado en paz a π.
La idea en síntesis: cuando π se desplegó
Comparado con su único rival π, e es la chica nueva del barrio. En tanto que π es más augusto y tiene un solemne pasado que se remonta a los babilonios, e no está tan lastrada por el peso de la historia. La constante e es juvenil y vibrante y siempre está presente cuando se trata de «crecimiento». Tanto si se trata de poblaciones, como de dinero u otras cantidades físicas, el crecimiento invariablemente implica a e.e es el número cuyo valor aproximado es 2,71828. Salió a la luz a comienzos del siglo XVII cuando varios matemáticos consagraron sus esfuerzos a la tarea de aclarar la idea del logaritmo, la genial invención que permitió convertir en suma la multiplicación de números grandes. Pero la historia en realidad empieza con un poco de e-comercio del siglo XVII. Jacob Bernoulli era de una familia que se encargó de dar al mundo una dinastía de matemáticos. Jacob se puso a trabajar en 1683 sobre el problema del interés compuesto.
Dinero, dinero, dinero
Imaginemos un período temporal de un año, un tipo de interés de la friolera del 100%, y un depósito inicial (denominado suma «principal») de 1 libra. Naturalmente, rara vez obtenemos un 100% sobre nuestro dinero, pero esta cifra nos conviene para nuestros propósitos y la idea puede adaptarse a tipos de interés realistas como 6% y 7%.

Supongamos ahora que el año se divide en cuatro trimestres y se aplica un 25% a cada trimestre. Llevando a cabo un cálculo similar, hallamos que nuestra libra ha crecido hasta convertirse en 2,44141 libras. Nuestro dinero está creciendo y con nuestras 10.000 libras parecería que sería provechoso que pudiéramos dividir el año y aplicar los tipos de interés porcentuales más pequeños a los intervalos temporales más pequeños.¿Aumentará nuestro dinero ilimitadamente y nos hará millonarios? Si seguimos dividiendo el año en unidades cada vez más pequeñas, como se muestra en la tabla, este «proceso de paso al límite» muestra que la cantidad parece ir fijándose en un número constante. Naturalmente, el único período realista de composición es por día (y esto es lo que hacen los bancos). El mensaje matemático es que este límite, que los matemáticos llaman e, es la cantidad hasta la cual crece 1 libra si la composición tiene lugar continuamente. ¿Esto es bueno o malo? Ya sabe la respuesta: si usted está ahorrando, «sí»; si debe dinero, «no». Es cuestión de «e-aprendizaje».
El valor exacto de e
Al igual que π, e es un número irracional, de modo que, tal como sucede con π, no podemos conocer su valor exacto. Hasta 20 decimales, el valor de e es 2,71828182845904523536...
Usando solamente fracciones, la mejor aproximación al valor de e es 87/32 si la parte superior y la inferior de la fracción se limitan a números de dos dígitos. Curiosamente, si la parte superior y la inferior se limitan a números de tres dígitos, la mejor fracción es 878/323. Esta segunda fracción es una especie de extensión palíndroma de la primera: las matemáticas tienen la manía de ofrecer estas pequeñas sorpresas. Una conocida expansión en serie de e la ofrece


Si quiere un modo de recordar los primeros decimales de e, pruebe con esto: «El trabajo y esfuerzo de recordar e revuelve mi estómago, pero podré acordarme», donde el total de letras de cada palabra da el siguiente número de e. Si se sabe la historia norteamericana, podría recordar que e es «2,7 Andrew Jackson Andrew Jackson», porque Andrew Jackson («el Viejo Nogal»), el séptimo presidente de Estados Unidos, fue elegido en 1828.
Que e es irracional (no una fracción) lo demostró Leonhard Euler en 1737. En 1840, el matemático francés Joseph Liouville demostró que e no era la solución de ninguna ecuación cuadrática y en 1873, en una obra pionera, su compatriota Charles Hermite demostró que e es trascendente (no puede ser la solución de ninguna ecuación algebraica). Lo importante en este punto fue el método que empleó Hermite. Nueve años después, Ferdinand von Lindemann adaptó el método de Hermite para demostrar que π era trascendente.
Se dio respuesta a una pregunta, pero aparecieron otras nuevas. e elevado a la potencia de e, ¿es trascendente? Es una expresión tan extraña, ¿cómo podría no serlo? No obstante, esto no se ha demostrado rigurosamente y, según los estrictos criterios de las matemáticas, todavía debe clasificarse como una conjetura. Los matemáticos han avanzado lentamente hacia una demostración, y han demostrado que es imposible que tanto el número e como e elevado a la potencia de e2 sean trascendentes. Esto se acerca, pero no lo suficiente.
Las conexiones entre π y e son fascinantes. Los valores de eπ y πe son próximos, pero se puede demostrar fácilmente (sin calcular realmente sus valores) que eπ > πe. Si usted «hace trampa» y echa un vistazo a su calculadora, verá que los valores aproximados son eπ = 23,14069 y πe = 22,45916.
El número eπ se conoce como la constante de Gelfond (denominada así en homenaje al matemático ruso Alexandr Gelfond) y se ha de-mostrado que es trascendente. Mucho menos se sabe sobre πe; no se ha demostrado todavía que sea irracional, si es que lo es.
¿Es e importante?
A la constante e se la encuentra, sobre todo, en el crecimiento. Por ejemplo, en el crecimiento económico y en el crecimiento de las poblaciones. Las curvas que se emplean para modelar la descomposición radiactiva, las cuales dependen de e, están relacionadas con esto.
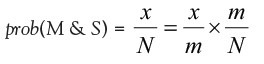
El número e también se da en problemas que no están relacionados con el crecimiento. Pierre Montmort investigó un problema de probabilidades en el siglo XVIII y desde entonces éste se ha estudiado de forma exhaustiva. En la versión sencilla, un grupo de personas van a almorzar y después recogen sus sombreros al azar. ¿Qué probabilidad hay de que ninguna de ellas coja su propio sombrero?Se puede demostrar que esta probabilidad es de 1/e (en torno al 37%), de modo que la probabilidad de que al menos una persona coja su propio sombrero es de 1 - 1/e (63%). Esta aplicación en la teoría de probabilidades es una de muchas. La distribución de Poisson, que se ocupa de acontecimientos infrecuentes, es otra. Estos fueron algunos de los primeros ejemplos, pero de ninguna manera fueron aislados: James Stirling logró una sorprendente aproximación al valor factorial n! que implicaba a e (y a π); en estadística, la conocida curva de la campana de Gauss de la distribución normal implica a e; y en ingeniería, la curva de un puente colgante depende de e. La lista es interminable.
Una identidad revolucionaria
La fórmula que se lleva el premio a la más extraordinaria de todas las matemáticas implica a e. Cuando pensamos en los números famosos de las matemáticas, pensamos en 0, 1, π,e y el número imaginario i = √-1 ¿Cómo puede ser que eπ +1 = 0?
¡Lo es! Esta conclusión se atribuye a Euler.
Quizá la verdadera importancia de e radique en su misterio. En definitiva, e es inevitable. Sencillamente, ¿por qué un autor como E. V. Wright se obligaría a sí mismo a hacer el esfuerzo de escribir una novela sin la e (es de suponer que también con pseudónimo)? Su Gadsby es justamente eso. Es difícil imaginar a un matemático poniéndose a escribir un libro de texto sin la e, o siendo capaz de hacerlo.
La idea en síntesis: el número más natural
¿Cuán grande es el infinito? La respuesta breve es que ∞ (el símbolo del infinito) es muy grande. Piense en una línea recta con números cada vez mayores dispuestos a lo largo de ella, prolongándose «hasta el infinito». Por cada número astronómico producido, por ejemplo 101000, siempre hay uno más grande, como 101000 + 1.Esta es una idea tradicional del infinito, en la que los números siguen sucediéndose interminablente. Las matemáticas usan el infinito de muchas maneras, pero hay que tener cuidado de no tratar al infinito como un número normal. No lo es.
Conteo
El matemático alemán Georg Cantor nos dio una idea totalmente distinta del infinito. Al hacerlo, creó sin ayuda de nadie una teoría que ha impulsado gran parte de las matemáticas modernas.


Sin embargo, la idea de «más» se vuelve bastante borrosa cuando tratamos con conjuntos de un número indefinido de elementos. Nos iría mejor con la idea de la correspondencia de uno a uno. Sorprendentemente, hay una correspondencia de uno a uno entre N y el conjunto de números pares P:

Cardinalidad
Se denomina «cardinalidad» al número de elementos de un conjunto. En el caso de las ovejas, la cardinalidad registrada por los contables del granjero es 42. La cardinalidad del conjunto {a, b, c, d, e} es 5 y esto se escribe como card {a, b, c, d, e} = 5. Así que la cardinalidad es una medida del «tamaño» de un conjunto. Para la cardinalidad de los números enteros N,y de cualquier conjunto que se halle en correspondencia de uno a uno con N, Cantor usó el símbolo À0 (À o «alef» viene del alfabeto hebreo; el símbolo À0 se lee como «alef cero»). Así que, en lenguaje matemático, podemos escribir card (N) = card(I) = card(P) = À0.
Se denomina conjunto «infinito numerable» a cualquier conjunto que pueda ponerse en una correspondencia de uno a uno con N. Que un conjunto sea infinito contable significa que podemos apuntar sus elementos en una lista. Por ejemplo, la lista de números impares es sencillamente 1, 3, 5, 7, 9... y sabemos qué elemento es el primero, cuál es el segundo y así sucesivamente.
¿Es infinito contable el conjunto de las fracciones?
El conjunto de fracciones Q es un conjunto más grande que N en el sentido de que N se puede considerar un subconjunto de Q. ¿Podemos apuntar todos los elementos de Q en una lista? ¿Podemos crear una lista en la que se
incluyan todas las fracciones (incluyendo las fracciones negativas)? La idea de que un conjunto tan grande pueda ponerse en una correspondencia de uno a uno con N parece imposible. No obstante, se puede hacer.Para comenzar a hacerlo, hay que pensar en términos bidimensionales. Para empezar, apuntamos en una fila todos los números enteros, alternando positivos y negativos. Debajo, escribimos todas las fracciones que tienen 2 como denominador pero omitimos las que aparecen en la fila superior (como 6/2 = 3). Debajo de esta fila escribimos las fracciones que tienen 3 como denominador, nuevamente omitiendo aquellas que ya se han anotado.
Continuamos así, sin terminar nunca, naturalmente, pero sabiendo exactamente dónde aparece cada fracción en el diagrama. Por ejemplo, 209/67 está en la 67ª fila, unas 200 posiciones a la derecha de 1/67.Exponiendo todas las fracciones de esta manera, al menos potencialmente, podemos construir una lista unidimensional. Si comenzamos en la fila superior y nos movemos a la derecha en cada paso, nunca llegaremos a la segunda fila. Sin embargo, escogiendo una sinuosa ruta en zigzag, podemos conseguirlo. Empezando por el 1, la prometida lista lineal empieza así: 1, -1, 1/2, 1/3, -1/2, 2, -2, y sigue las flechas. Toda fracción, positiva o negativa, está en algún lugar de la lista lineal, y, a la inversa, su posición proporciona su «pareja» en la lista bidimensional de las fracciones. Así que podemos llegar a la conclusión de que el conjunto de fracciones Q es infinito contable y escribir card(Q) = À0.
La lista de los números reales
Aunque el conjunto de las fracciones da cuenta de muchos elementos de la línea de los números reales, también hay números reales como √2,e y π que no son fracciones. Son los números irracionales: ellos «llenan los espacios» y con ello nos dan la línea de los números reales R.

Supongamos que usted no cree lo que dice Cantor. Usted sabe que todo número comprendido entre 0 y 1 puede expresarse como una extensión decimal, por ejemplo, ½ = 0,500000000000000000... y 1/π = 0,31830988618379067153... y tendría que decirle a Cantor: «he aquí mi lista de todos los números comprendidos entre 0 y 1», que llamaremos r1 r2 r3r4, r5... En caso de que usted no pudiera presentar uno de ellos, Cantor tendría razón.
Imaginemos que Cantor mira la lista de usted y marca en negrita los números en diagonal:

De hecho, no hay ninguna lista posible para el conjunto de números reales R, de modo que es un conjunto infinito «más grande», uno que está en un «orden más elevado de lo infinito» que lo infinito del conjunto de fracciones Q.
La idea en síntesis: lluvia de infinitos
No hay duda de que podemos imaginar números. A veces imagino que en mi cuenta bancaria tengo un millón de libras y no cabe duda de que eso sería un «número imaginario». Pero el uso matemático de lo imaginario no tiene nada que ver con estas fantasías.Se cree que debemos la etiqueta «imaginario» a René Descartes, en reconocimiento por curiosas soluciones de ecuaciones que, sin duda, no eran números habituales.

Si usted toma cualquier número que no sea cero y lo multiplica por él mismo (lo eleva al cuadrado) siempre obtiene un número positivo. Esto es verosímil cuando elevamos al cuadrado números positivos, pero ¿es cierto si elevamos al cuadrado números negativos? Podemos usar -1 × -1 como caso de prueba. Incluso si nos hemos olvidado de la regla escolar de que «dos negativos dan un positivo», puede que recordemos que la respuesta es, o bien -1, o bien +1. Si pensáramos que -1 × -1 es igual a -1, podríamos dividir cada lado por -1 y acabar con la conclusión de que -1 = 1, que no tiene sentido. Así que debemos llegar a la conclusión de que -1 × -1 = 1, que es positivo. Puede hacerse el mismo razonamiento con otros números negativos distintos a -1, y, por consiguiente, cuando cualquier número real se eleva al cuadrado, el resultado nunca puede ser negativo.
Esto supuso un escollo en los primeros años de los números complejos, en el siglo XVI. Cuando se superó, la solución liberó a los matemáticos de las ataduras de los números normales y abrió enormes áreas de investigación inimaginables hasta entonces. El desarrollo de los números complejos es la «consumación de los números reales» en un sistema más naturalmente perfecto.
La raíz cuadrada de -1
Ya hemos visto que, limitándonos a la línea de los números reales,

Simplemente por este acto mental, los números imaginarios ya existen. No sabemos qué son, pero creemos en su existencia. Por lo menos sabemos que i2 = -1. Así que en nuestro nuevo sistema de números tenemos a todos nuestros viejos amigos, como los números reales 1, 2, 3, 4, π, e, √2 y √3, y algunos nuevos que implican a i como 1 + 2i, -3 + i, 2 + 3i, 1 + i√2, √3 + 2i, e + πi, etcétera.
Adición y multiplicación
Ahora que tenemos en la mente los números complejos, números en forma de a + bi, ¿qué podemos hacer con ellos? Al igual que los números reales, se pueden sumar y multiplicar entre sí. De modo que 2 + 3i sumado a 8 + 4i da (2 + 8) + (3 + 4)i con el resultado de 10 + 7i.
La multiplicación es casi igual de sencilla. Si queremos multiplicar 2 + 3i por 8 + 4i, primero multiplicamos entre sí cada par de símbolos
(2 + 3i) × (8 + 4i) = (2 × 8) + (2 × 4i) + (3ix 8) + (3i × 40
y sumamos los términos resultantes, 16, 8i, 24i y 12i2 (en este último término, sustituimos i2 por - 1), entre ellos. El resultado de la multiplicación es, por consiguiente, (16 - 12) + (8i + 24i), que es el número complejo 4 + 32i.Con los números complejos se cumplen todas las reglas habituales de la aritmética. La sustracción y la división siempre son posibles (excepto en el caso del número complejo 0 + 0i, pero esto tampoco se permitía en el caso del cero en los números reales). En realidad, los números complejos gozan de todas las propiedades de los números reales salvo de una. No podemos dividirlos en positivos y negativos, cosa que sí podíamos hacer con los números reales.
El diagrama de Argand
La bidimensionalidad de los números complejos se ve claramente representándolos en un diagrama. Los números complejos - 3 + i y 1 + 2i pueden trazarse en lo que llamamos un diagrama de Argand: A esta forma de imaginar los números complejos se la llamó así en homenaje a Jean Robert Argand, un matemático suizo.
Todo número complejo tiene una «pareja» oficialmente denominada su «conjugado». La pareja de 1 + 2i es 1 - 2i, y se halla invirtiendo el signo que precede al segundo componente. La pareja de 1 - 2i, por la misma razón, es 1 + 2i, así que constituyen una verdadera pareja.La suma y multiplicación de parejas entre sí siempre produce un número real. En el caso de sumar 1 + 2i y 1 - 2i obtenemos 2, y multiplicándolos obtenemos 5. Esta multiplicación es más interesante. La solución 5 es el cuadrado de la «longitud» del número complejo 1 + 2i y esto equivale a la longitud de su pareja. Dicho de otra manera, podríamos definir la longitud de un número complejo como:
longitud dew = √(w × pareja de w)
Al comprobar esto para el caso de -3 + i, hallamos que longitud de (-3 + i) = √(- 3 + ix - 3 -i) = √(9 + 1) y, por consiguiente, la longitud de (-3 + i) = √10.La separación de los números complejos de la mística debe mucho a Sir William Rowan Hamilton, el matemático más importante de Irlanda en el siglo XIX. Él reconoció que i en realidad no era necesaria para la teoría. Sólo actuaba como marcador de posición y podía desecharse. Hamilton consideraba un número complejo como un «par ordenado» de números reales (a, b), poniendo de relieve su naturaleza bidimensional y sin apelar en absoluto al místico √-1. Despojada de i, la suma se convierte en
(2,3)+ (8,4) = (10,7)
Y, de forma un poco menos obvia, la multiplicación es(2, 3) × (8,4) = (4,32)
La integridad del sistema de los números complejos queda más clara cuando pensamos en lo que se llama «las raíces n de la unidad» (para los matemáticos «unidad» significa «uno»). Son las soluciones de la ecuación zn = 1. Tomemos z6 = 1 como ejemplo.
En la línea de los números reales están las dos raíces z = 1 y z = -1 (porque (1)6 y (- 1)6 = 1), pero ¿dónde están las otras, cuando, sin duda, debería haber seis? Al igual que las dos raíces reales, las seis raíces tienen longitud de unidad y se hallan en el círculo centrado en el origen y de radio unidad.Hay más cosas ciertas. Si examinamos w = 1/2 + √3/2i, que es la raíz que está en el primer cuadrante, las sucesivas raíces (moviéndonos en dirección contraria a las agujas de reloj) son w2,w3, w4, w5, w6 = 1 y se hallan en los vértices de un hexágono regular. En general, cada una de las raíces n de la unidad se hallará en el círculo y estará en las esquinas o «vértices» de una figura o polígono regular de lado n.
Extensión de los números complejos
Una vez que los matemáticos tuvieron los números complejos, instintivamente buscaron generalizaciones. Los números complejos son bidimensionales, pero ¿qué tiene de especial el 2? Durante años, Hamilton intentó construir números tridimensionales e idear una forma de sumarlos y multiplicarlos, pero sólo lo logró cuando se pasó a las cuatro dimensiones. Poco después, estos números tetradimensionales fueron a su vez generalizados hasta las 8 dimensiones (los denominados números de Cayley). Muchos se preguntaban si se podría continuar con números de 16 dimensiones; pero 50 años después de la trascendental proeza de Hamilton, se demostró la imposibilidad de éstos.
La idea en síntesis: números irreales con usos reales
Las matemáticas son una materia tan inmensa que a veces pueden parecer abrumadoras. De vez en cuando tenemos que regresar a lo básico. Esto invariablemente supone un retomo a los números de conteo 1, 2, 3, 4, 5, 6, 7, 8, 9, 10, 11, 12... ¿Podemos ser más básicos aún?Bien, 4 = 2 × 2 y por tanto podemos descomponerlo en componentes primarios. ¿Podemos descomponer algún otro número? En efecto, he aquí algunos más: 6 = 2×3, 8 = 2×2×2, 9 = 3×3, 10 = 2×5, 12 = 2×2×3. Son números compuestos, porque están construidos a partir de los muy básicos 2, 3, 5, 7...

Para los primeros números de conteo, podemos subrayar los primos: 1, 2, 3, 4, 5, 6, 7, 8, 9, 10, 11, 12, 13, 14, 15, 16, 17, 18, 19, 20, 21, 22, 23... El estudio de los números primos nos devuelve a lo más básico de lo básico. Los números primos son importantes porque son los «átomos» de las matemáticas. Al igual que los elementos químicos básicos a partir de los cuales se derivan todos los demás compuestos químicos, los números primos pueden unirse para formar compuestos matemáticos.
El resultado matemático que consolida todo esto tiene el solemne nombre de «teorema de descomposición de los números primos». Este dice que todo número entero mayor de 1 puede escribirse multiplicando los números primos exactamente de una manera. Vimos que 12 = 2 × 2 × 3 y que no hay ningún otro modo de hacerlo con componentes primos. Esto se escribe a menudo en notación exponencial: 12 = 22 × 3. Como ejemplo adicional, 6.545.448 se puede escribir como 23 × 35 × 7 × 13 × 37.
Descubrimiento de los primos
Desgraciadamente no hay fórmulas establecidas para identificar los primos,
y sus apariciones entre los números enteros parecen no seguir ningún patrón. Uno de los primeros métodos para encontrarlos fue desarrollado por un coetáneo de Arquímedes: Erastóstenes de Cirene.Hoy es célebre por su criba para encontrar números primos. Erastóstenes imaginó los números de conteo desplegados ante él. Subrayó el 2 y tachó todos los múltiplos de 2. Después pasó al 3, lo subrayó y tachó todos los múltiplos de 3. Continuando de esta manera, cribó todos los compuestos. Los números subrayados que habían quedado tras la criba eran los primos.
Así que podemos predecir los primos, pero ¿cómo decidimos si un número determinado es primo o no? ¿Qué hay de 19.071 o 19.073? Salvo los primos 2 y 5, un número primo debe acabar en 1, 3, 7 o 9, pero este requisito no basta para hacer que ese número sea primo. Es difícil saber si un número grande que termina en 1, 3, 7 o 9 es primo o no sin probar posibles factores. Por cierto, 19.071 = 32 × 13 × 163 no es primo, pero 19.073 sí.
Otro reto ha
sido descubrir algún patrón en la distribución de los primos. Veamos cuántos primos hay en cada segmento de 100 comprendido entre 1 y 1.000.En 1792, cuando sólo tenía 15 años, Carl Friedrich Gauss propuso una fórmula, P(n) para calcular de forma aproximada el número de números primos menores que un número dado n (actualmente denominado teorema de los números primos). Para n = 1.000 la fórmula da el valor aproximado de 172. El número real de primos, 168, es inferior a este cálculo aproximado. Siempre se había supuesto que así sucedía para cualquier valor de n, pero los primos a menudo deparan sorpresas y se ha demostrado que para n = 10371 (un número enorme que normalmente se escribiría con un 1 seguido de una ristra de 371 ceros) el verdadero número de primos sobrepasa el cálculo aproximado. De hecho, en algunas regiones de los números de conteo la diferencia entre el cálculo aproximado y el número real fluctúa entre menos y exceso.
¿Cuántos?
Hay infinitamente muchos números primos. Euclides afirmó en sus Elementos (Libro 9, Proposición 20) que «los números primos son más que cualquier multitud designada de números primos». La hermosa demostración de Euclides dice así:
Supongamos que P es el máximo número primo, y pensemos en el número N = (2 × 3 × 5 × ... × P) + 1. O N es primo o no lo es. Si N es primo, hemos producido un primo mayor que P, lo cual contradice nuestra suposición. Si N no es un primo tiene que ser divisible por algún primo, por ejemplo 3, 5 ... P. Esto significa que p divide a N - (2 × 3 × 5 × ... × P). Pero este número es igual a 1 y por tanto p divide a 1. Esto no puede ser, ya que todos los primos son mayores que 1. Por lo tanto, sea cual sea la naturaleza de N, llegamos a una contradicción. Nuestra suposición original de que hay un máximo número primo P es, por consiguiente, errónea. Conclusión: el número de primos es ilimitado.
Aunque los primos «se extienden hasta el infinito», este hecho no ha impedido que haya gente que se haya esforzado por encontrar el mayor número primo que se conozca. Uno que ha ostentado el récord recientemente es el descomunal número primo de Mersenne 224030583 - 1, que es aproximadamente 7.236 × 1012 (o unos 7 millones de millones).
Lo desconocido
Destacadas áreas desconocidas en las que están implicados los primos son el «el problema de los primos gemelos» y la famosa «conjetura de Goldbach».
Los primos gemelos son pares de primos consecutivos separados únicamente por un número par. Los primos gemelos comprendidos entre 1 y 100 son 3, 5; 5, 7; 11, 13; 17, 19; 29, 31; 41, 43; 59, 61; 71, 73. En el frente numérico, se sabe que hay 27.412.679 gemelos menores de 1010. Esto significa que los números pares con gemelos, como 12 (que tiene los gemelos 11, 13), constituyen sólo el 0,274% de los números dentro de este rango. ¿Hay un número infinito de primos gemelos? Sería curioso que no los hubiera, pero hasta ahora nadie ha sido capaz de escribir una demostración de esto.
Christian Goldbach aventuró la conjetura de que: Todo número par mayor de 2 es la suma de dos números primos.

Por ejemplo, 42 es un número par y podemos escribirlo como 5 + 37. El hecho de que también podamos escribirlo como 11 + 31, 13 + 29 o 19 + 23 no viene al caso: sólo necesitamos una manera de hacerlo. La conjetura es verdadera para una enorme gama de números; pero nunca se ha demostrado en general. El matemático chino Chen Jingrun dio un gran paso. Su teorema afirma que todo número par suficientemente grande puede escribirse como la suma de dos primos o como la suma de un primo y un semi-primo (un número que es la multiplicación de dos primos).
El gran teórico de los números Pierre de Fermat demostró que los primos que tienen la forma 4k + 1 pueden expresarse como la suma de dos cuadrados exactamente de una manera (por ejemplo 17 = 12 + 42), mientras que aquellos que tienen forma 4k + 3 (como 19) no pueden escribirse de ningún modo como la suma de dos cuadrados. Joseph Lagrange también demostró un célebre teorema matemático sobre potencias al cuadrado: todo número entero positivo es la suma de cuatro cuadrados. Así que, por ejemplo, 19 = 12 + 12 + 12 + 42. Se han explorado potencias más elevadas y se han llenado libros con teoremas, pero siguen existiendo muchos problemas.
Hemos descrito los números primos como los «átomos de las matemáticas». Pero, «digo yo», podría usted decir, «los físicos han ido más allá de los átomos llegando a unidades aún más fundamentales, como los quarks. ¿Se han quedado paradas las matemáticas? Si nos limitamos a los números de conteo, 5 es un número primo y siempre lo será. Pero Gauss realizó un descubrimiento trascendental: que, en el caso de algunos primos, como 5, 5 = (1 - 2i) × (1 + 2i) donde i = √-1 del sistema de los números imaginarios. Como producto de dos enteros gaussianos, el 5 y algunos números como él no son tan imposibles de descomponer como se suponía.
La idea, en síntesis los átomos de las matemáticas
En las matemáticas, la búsqueda de la perfección ha llevado a sus aspirantes a distintos lugares. Hay cuadrados perfectos, pero en ese caso el término no se usa en un sentido estético. Se usa más bien para advertirle que existen cuadrados imperfectos. En otra dirección, algunos números tienen pocos divisores y algunos tienen muchos.Pero algunos números son «sencillamente perfectos». Cuando la suma de los divisores de un número es igual al propio número, se dice que es perfecto.
El filósofo griego Speusipo declaró que los pitagóricos creían que el 10 tenía las credenciales adecuadas para ser perfecto, porque el número de números primos entre 1 y 10 (a saber, 2, 3, 5, 7) era igual al de no primos (4, 6, 8, 9) y éste era el número más pequeño que tenía esta propiedad.
En realidad, parece que los pitagóricos tenían una concepción más rica de lo que es un número perfecto. Las propiedades matemáticas de los números perfectos fueron esbozadas por Euclides en los Elementos y estudiadas a fondo por Nicómaco 400 años después, lo que condujo a los números amigos e incluso a los números sociables. Estas categorías se definían en términos de las relaciones entre ellos y sus divisores.
En algún momento plantearon la teoría de los números superabundantes y deficientes y esto les llevó a su noción de perfección.


Para un número tan pequeño como 30, podemos ver que los divisores son 1, 2, 3, 5, 6, 10 y 15. Sumando todos estos divisores obtenemos 42. El número 30 es superabundante porque la suma de sus divisores (42) es mayor que el propio número 30.
Un número es deficiente si se da el caso contrario: si la suma de sus divisores es menor que él mismo. Por consiguiente, el número 26 es deficiente porque sus divisores 1, 2 y 13 suman solamente 16, que es menos de 26. Los números primos son muy deficientes porque la suma de sus divisores siempre es solamente 1.
Un número que no es superabundante ni deficiente es perfecto. La suma de los divisores de un número perfecto es igual al propio número. El primer número perfecto es 6. Sus divisores son 1, 2, 3 y cuando los sumamos obtenemos 6. Los pitagóricos estaban tan encantados con el número 6 y con la forma en la que sus partes encajaban juntas que lo llamaron «matrimonio, salud y belleza».
El siguiente número perfecto es 28. Sus divisores son 1, 2, 4, 7 y 14 y, cuando los sumamos, obtenemos 28. Estos dos primeros números perfectos, 6 y 28, son bastante especiales en la ciencia de los números perfectos ya que puede demostrarse que todo número perfecto par acaba en 6 o en 28. Después de 28, hay que esperar hasta 496 para dar con el siguiente número perfecto. Es fácil comprobar si es realmente la suma de sus divisores: 496 = 1 + 2 + 4 + 8 +16 + 31 + 62 + 124 + 248. Para dar con los siguientes números perfectos tenemos que empezar a entrar en la estratosfera
numérica. Los primeros cinco se conocían en el siglo XVI, pero todavía no sabemos si hay uno que sea el mayor de todos, o si siguen avanzando sin límite.La opinión general sugiere que, al igual que los primos, prosiguen eternamente.
A los pitagóricos les encantaban las conexiones geométricas. Si tenemos un número perfecto de cuentas esféricas, éstas pueden disponerse en torno a un collar hexagonal. En el caso del 6 éste es el hexágono simple con cuentas colocadas en sus esquinas, pero en los casos de números perfectos más elevados tenemos que añadir subcollares más pequeños dentro del grande.

La clave para construir números perfectos es un grupo de números que elevan el nombre del padre Marín Mersenne. Los números de Mersenne se construyen a partir de las potencias de 2, los números que se van doblando 2, 4, 8, 16, 32, 64, 128, 256... y a los que después se sustrae un solo 1. Un número de Mersenne es un número que tiene la forma 2n - 1. Aunque siempre son impares, no siempre son primos. Pero son aquellos números de Mersenne que también son primos los que se pueden usar para construir números perfectos.
Mersenne sabía que si la potencia no era un número primo, el número de Mersenne tampoco podía ser un número primo, lo que da cuenta de las potencias no primas 4, 6, 8, 9, 10, 12, 14 y 15 de la tabla. Los números de Mersenne sólo podían ser primos si la potencia era un número primo, pero ¿bastaba con eso? Para los primeros casos, obtenemos 3, 7, 31 y 127, todos los cuales son primos. De modo que, ¿es generalmente cierto que un número de Mersenne formado con una potencia prima tendría que ser también primo?
Muchos matemáticos del mundo antiguo pensaban que así era. Pero los primos no están constreñidos por la simplicidad, y se descubrió que, en el caso de la potencia 11 (un número primo), 211 - 1 = 2.047 = 23 × 89 y por consiguiente no es un número primo. Parece que no hay ninguna regla. Los números de Mersenne 217- 1 y 219- 1 son, ambos, primos, pero 223 - 1 no es primo, porque
223 - 1 = 8.388.607 = 47 × 178.481

Una combinación del trabajo de Euclides y el de Euler proporciona una fórmula que permite generar números perfectos pares: n es un número perfecto par si y solamente si n = 2p-1×(2p-2) donde 2p-1 es un primo de Mersenne.
Por ejemplo, 6 = 21 (22 - 1), 28 = 22(23 - 1) y 496 = 24(25 - 1). Esta fórmula para calcular números perfectos pares significa que podemos generarlos si podemos hallar los primos de Mersenne. Los números perfectos han supuesto un reto tanto para las personas como para las máquinas y continuarán haciéndolo de una manera que no habían previsto los matemáticos del pasado. El creador de tablas Peter Barlow, escribiendo a comienzos del siglo XIX, creía que nadie iría más allá del cálculo del número perfecto de Euler
230(231 - 1) = 2.305.843.008.139.952.128
porque no tenía mucho sentido hacerlo.No podía prever la potencia de los ordenadores modernos ni la insaciable necesidad de los matemáticos de enfrentarse a nuevos desafíos.

Nadie sabe si se hallará alguna vez un número perfecto impar. Descartes pensaba que no, pero los expertos pueden equivocarse. El matemático inglés James Joseph Sylvester declaró que la existencia de un número perfecto impar «sería poco menos que un milagro» por las muchas condiciones que éste tendría que cumplir. Es uno de los problemas más antiguos de las matemáticas, pero, si de veras existe un número perfecto impar, ya se sabe mucho sobre él. Necesitaría tener por lo menos 8 divisores primos distintos, uno de los cuales mayor de un millón, y al mismo tiempo tendría que tener como mínimo 300 dígitos.
La idea en síntesis: la mística de los números
Capítulo 11
Números de Fibonacci
En El código Da Vinci, el escritor Dan Brown hacía que su conservador museístico asesinado, Jacques Sauniére, dejara tras de sí los primeros ocho términos de una secuencia de números como pista para averiguar la suerte que había corrido. Eran necesarias las habilidades de la criptógrafa Sophie Neveu para reensamblar los números 13, 3, 2, 21, 1, 1, 8 y 5 y comprender su significado. Bienvenido a la más famosa sucesión de números de todas las matemáticas.La sucesión de números enteros de Fibonacci es:
1, 1, 2, 3, 5, 8, 13, 21, 34, 55, 89, 144, 233, 377, 610, 987, 1597, 2584…
La secuencia es muy conocida por sus muchas propiedades intrigantes. El rasgo característico que la define es que cada término es la suma de los dos anteriores.Por ejemplo, 8 = 5 + 3,13 = 8 + 5... 2.584 = 1.587 + 987, y así sucesivamente. Sólo tiene que acordarse de empezar con los dos números 1 y 1 y puede usted generar el resto de la sucesión en el acto. La secuencia de Fibonacci se encuentra en la naturaleza en el número de espirales que se forman a partir del número de semillas de los girasoles (por ejemplo, 34 en una dirección, 55 en la otra), y en las proporciones de las habitaciones y los edificios diseñados por los arquitectos.

Orígenes
La secuencia de Fibonacci aparecía en el Líber Abaci publicado por Leonardo de Pisa (Fibonacci) en 1202, pero estos números probablemente se conocieran en la India antes de esa fecha. Fibonacci planteó el siguiente problema de generación de conejos:
Parejas de conejos adultos generan parejas de conejos jóvenes cada mes. Al principio del año hay una pareja de conejos jóvenes. Al final del primer mes ya serán adultos, al final del segundo mes la pareja adulta sigue allí y ya habrá generado una pareja de conejos jóvenes. El proceso de desarrollo hasta la edad adulta y de generación continúa. Milagrosamente ninguna de las parejas de conejos muere.
Fibonacci quería saber cuántas parejas de conejos habría al final del año. Las generaciones se pueden mostrar en un «árbol familiar». Examinemos el número de parejas que hay al final de mayo (el quinto mes). Vemos que el número de parejas es 8. En este estrato del árbol familiar, el grupo de la izquierda● ○ ● ● ○
es una copia de toda la fila superior, y el grupo de la derecha● ○ ●
es una copia de la fila que está arriba de esa fila. Esto demuestra que el nacimiento de parejas de conejos sigue la ecuación básica de Fibonacci:número después de n meses = número después del mes (n - 1) + número después de (n - 2) meses
Propiedades
Veamos qué sucede si sumamos los términos de la secuencia:
1 + 1 = 2
1 + 1+2 = 4
1 + 1 + 2 + 3 = 7
1 + 1+ 2+ 3+ 5 = 12
1 + 1+ 2+ 3+ 5+ 8 = 20
1 + 1 + 2 + 3+ 5+ 8 + 13 = 33
El resultado de cada una de estas sumas formará también una secuencia, que podemos colocar debajo de la sucesión original, pero corrida:

Los cuadrados de la secuencia de Fibonacci también son interesantes. Obtenemos una nueva secuencia multiplicando cada número de Fibonacci por sí mismo y sumándolos.

1 + 1 + 4 + 9 + 25 + 64 + 169 = 273 = 13 × 21
Los números de Fibonacci también aparecen cuando uno no se lo espera. Imaginemos que tenemos un monedero que contiene una mezcla de monedas de 1 y 2 libras. ¿Y si queremos contar el número de maneras en las que se pueden coger las monedas del monedero para constituir una determinada cantidad expresada en libras? En este problema, el orden de las acciones es importante. El valor de 4 libras, al sacar las monedas del monedero, puede constituirse de cualquiera de las siguientes maneras:1 + 1 + 1 +1
2 + 1 + 1
1+2 + 1
1 + 1+2 y
2 + 2.
Hay 5 maneras en total, y esto se corresponde con el quinto número de Fibonacci. Si usted saca 20 libras, hay 6.765 maneras de sacar las monedas de 1 y 2 libras, ¡lo que se corresponde con el 21er número de Fibonacci! Esto demuestra el poder que tienen las ideas matemáticas sencillas.La proporción áurea
Si examinamos el cociente de los términos formados a partir de la sucesión de Fibonacci dividiendo un término por el término que lo precede, descubrimos otra notable propiedad de los números de Fibonacci. Hagámoslo con unos cuantos términos: 1, 1, 2, 3, 5, 8, 13, 21, 34, 55.

A pesar del abundante conocimiento que se tiene acerca de la secuencia de Fibonacci, todavía quedan muchas preguntas sin respuesta. Los primeros números primos de la secuencia de Fibonacci son 2, 3, 5, 13, 89, 233, 1.597, pero no sabemos si hay una cantidad infinita de primos en la sucesión de Fibonacci.
Parecidos familiares
La secuencia de Fibonacci ocupa el lugar de honor dentro de una amplia gama de secuencias similares. Uno de los miembros espectaculares de esta familia lo podríamos relacionar con un problema de población de ganado. En lugar de las parejas de conejos de Fibonacci que se transforman en un mes de pareja joven a pareja adulta, hay una fase intermedia en el proceso de maduración cuando las parejas de ganado pasan de ser parejas jóvenes ser parejas no adultas todavía y después a ser parejas adultas. Son sólo las parejas adultas las que pueden reproducirse. La secuencia del ganado es:
1, 1, 1, 2, 3, 4, 6, 9, 13, 19, 28, 41, 60, 88, 129, 189, 277, 406, 595...
por consiguiente, la generación se salta un valor, de modo que, por ejemplo, 41 = 28 + 13 y 60 = 41 + 19. Esta secuencia tiene propiedades similares a la secuencia de Fibonacci. En el caso de la secuencia del ganado, los cocientes obtenidos dividiendo un término por el que lo precede se aproximan al límite denotado por la letra griega psi, escrita ψ, dondeψ = 1,46557123187676802665...
Esto se conoce como «la proporción superáurea».La idea en síntesis: el Codigo Da Vinci descifrado
Estamos completamente rodeados de rectángulos: edificios, fotografías, ventanas, puertas, incluso este libro. ¿Cuál es el más hermoso de todos? ¿Es un largo y fino «rectángulo de Giacometti» o uno que casi es un cuadrado? ¿O es un rectángulo que se halla entre estos extremos?¿Tiene sentido la pregunta, siquiera? Algunos piensan que sí, y creen que algunos rectángulos concretos son más «ideales» que otros. Entre ellos, quizá sea el rectángulo áureo el que ha tenido mayor aceptación.

Papel matemático
Si cogemos una hoja de papel A4 cuyas dimensiones son de 210 mm por 297 mm, la razón de longitud a anchura será de 297/210, que es aproximadamente 1,4142.
Para cualquier papel de tamaño internacional A cuyo lado corto sea igual a b, el lado más largo será siempre 1,4142 × b. De modo que para el A4, b = 210 mm, mientras que para el A5, b = 148 mm. El sistema de fórmulas A que se usa para los tamaños del papel tiene una propiedad muy deseable, que no se da en los tamaños de papel arbitrarios. Si una hoja de papel de tamaño A se pliega más o menos por la mitad, los dos rectángulos más pequeños que se forman están directamente en proporción al rectángulo más grande. Son dos versiones más pequeñas del mismo rectángulo.De este modo, una hoja A4 plegada en dos partes genera dos hojas A5. En sentido inverso, una hoja de papel A3 está compuesta por dos hojas A4. Cuanto más pequeño es el número del tamaño A, mayor es la hoja de papel. ¿Cómo sabíamos que lograríamos esto con el número concreto 1,4142? Pleguemos un rectángulo, pero esta vez que sea uno sobre el cual no sepamos cuál es la longitud de su lado más largo. Si consideramos que la anchura de un rectángulo es 1 y escribimos la longitud del lado más largo como x, la razón de longitud a anchura es x/1. Si ahora plegamos el rectángulo, la razón de longitud a anchura del rectángulo más pequeño es 1/(1/2)x, que es igual a 2/x. La cuestión fundamental en los tamaños A es que nuestras dos razones tienen que representar la misma proporción, de modo que obtenemos una ecuación x/1 = 2/x o x2 = 2. El verdadero valor de x es, por consiguiente, √2, que es aproximadamente 1,4142.
Oro matemático
El rectángulo áureo es distinto, pero sólo ligeramente distinto. Esta vez el rectángulo se pliega a lo largo de la línea RS del diagrama de forma que los puntos MRSQ constituyen las esquinas de un cuadrado.

La propiedad fundamental del rectángulo áureo es que el rectángulo que queda, RNPS, es proporcional al rectángulo más grande; lo que queda debería ser una mini-réplica del rectángulo grande.
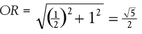
Como antes, consideraremos que la anchura MQ = MR del rectángulo más grande tiene una longitud de 1 unidad, en tanto que escribiremos la longitud del lado más largo, MN, como x. La razón de longitud a anchura nuevamente es x/1. Esta vez la anchura del rectángulo más pequeño RNPS es MN - MR, que es x - 1, de modo que la razón de longitud a anchura de este rectángulo es l/(x - 1). Igualándolas, obtenemos la ecuación

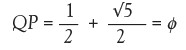
Una solución aproximada es 1,618. Podemos comprobar esto fácilmente. Si usted teclea 1,618 en una calculadora y lo multiplica por sí mismo, obtendrá 2,618, que es lo mismo que x + 1 = 2,618. Este número es la famosa proporción áurea y se designa mediante la letra griega phi, f. Su definición y su aproximación la da



Historia
Una vez que se comprenden sus atractivas propiedades matemáticas, es posible verla en lugares inesperados, incluso en lugares donde no está. Existe un riesgo mayor, el de afirmar que la proporción áurea estaba allí antes del artefacto: que los músicos, los arquitectos y los artistas la tenían en mente en el momento de la creación. A esta debilidad se la denomina «numerismo áureo».
A Le Corbusier le fascinaba el rectángulo como elemento fundamental en el diseño arquitectónico, y en particular el rectángulo áureo. Hacía un gran hincapié en la armonía y el orden y lo encontró en las matemáticas. Uno de sus puntales era el sistema «modulador», una teoría sobre proporciones. En la práctica, ésta era una manera de generar torrentes de rectángulos áureos, figuras que usaba en sus diseños. A Le Corbusier le inspiró Leonardo da Vinci que, a su vez, había tomado meticulosas notas sobre el arquitecto romano Vitruvio, que daba gran importancia a las proporciones que se hallaban en la figura humana.
Otras figuras
También hay un «rectángulo superáureo» cuya construcción tiene similitudes con la forma en la que se construye el rectángulo áureo.
El rectángulo superáureo MQPN se construye de esta manera.
Como antes, MQSR es un cuadrado cuyo lado tiene una longitud 1. Una la diagonal MP y marque la intersección en RS como el punto J. Después marque una línea JK que sea paralela a RN y en la que K esté en NP. Diremos que la longitud de RJ es y y que la longitud de MN es x. Para cualquier rectángulo, RJ/MR = NP/MN (porque los triángulos MRJ y MNP son similares), de modo que y/1 - 1/x, lo que significa que x×y = 1, y decimos que x e y son mutuamente «recíprocos». Obtenemos el rectángulo superáureo haciendo que el rectángulo RJKN sea proporcional al rectángulo original MQPN, que es y/(x - 1) = x/1. Usando el hecho de que xy = 1, podemos llegar a la conclusión de que la longitud del rectángulo superáureo x se halla resolviendo la ecuación «cúbica» x3 = x2 + 1 que es obviamente similar a la ecuación x2 = x + 1 (la ecuación que determina el rectángulo áureo). La ecuación cúbica tiene una solución real positiva ψ (sustituyendo x por el símbolo más estándar ψ), cuyo valor esψ = 1,46557123187676802665...
el número asociado con la secuencia del ganado.Mientras que el rectángulo áureo se puede construir con una regla y un compás, el rectángulo superáureo no se puede hacer de esa manera.
La idea en síntesis: las proporciones divinas
Capítulo 13
El triángulo de Pascal
11
121
1331
14.641
15.101.051
Este es el triángulo de Pascal. Pero ¿dónde lo encontramos?Añadiendo 110 = 1, lo primero que hay que hacer es olvidarse de los puntos, y después introducir espacios entre los números.

De modo que 14-641 se convierte en 1 4 6 4 1 de Pascal es famoso en las matemáticas por su simetría y relaciones ocultas. Así lo creía en 1653 Blaise Pascal, que comentó que le era imposible tratarlas todas en un solo artículo. Los orígenes del triángulo de Pascal se remontan a mucho tiempo atrás. De hecho Pascal no inventó el triángulo que lleva su nombre: los eruditos chinos del siglo XIII lo conocían.

El patrón de Pascal se genera desde la parte superior. Empiece con un 1 y ponga dos 1 a ambos lados de él en la fila inmediatamente inferior. Para construir más filas, seguimos colocando 1 en los extremos de cada fila, mientras que los números interiores se obtienen mediante la suma de los dos números inmediatamente superiores. Para obtener 6 en la quinta fila, por ejemplo, sumamos 3 + 3 de la fila superior.Vínculos con el álgebra
El triángulo de Pascal está fundado en matemáticas reales. Si calculamos (1 + x) × (1 + x) × (1 + x) = (1 + x)3, por ejemplo, obtenemos 1 + 3x + 3x2 + x3. Observe con atención y verá que los números que preceden a los símbolos de esta expresión coinciden con los números de la fila correspondiente del triángulo de Pascal. El esquema que se sigue es:

Propiedades
La primera propiedad, y la más obvia, del triángulo de Pascal, es su simetría. Si trazamos una línea vertical hacia abajo, atravesando el centro, el triángulo tiene «simetría de espejo»: es el mismo a la izquierda de la línea vertical que a la derecha. Esto nos permite hablar de «diagonales» sencillas, porque una diagonal noreste será lo mismo que una diagonal noroeste.
Debajo de la diagonal compuesta por unos tenemos la diagonal compuesta por los números de conteo 1, 2, 3, 4, 5, 6... Debajo de ella están los números triangulares 1, 3, 6, 10, 15, 21... (los números que se pueden componer con puntos en forma de triángulos). En la diagonal inferior a ella tenemos los números tetraédricos 1, 4, 10, 20, 35, 56... Estos números corresponden a tetraedros. ¿Y qué hay de las «casi diagonales»?Si sumamos los números de las líneas que atraviesan el triángulo (que no son filas o verdaderas diagonales), obtenemos la secuencia 1, 2, 5, 13, 34... Cada número es tres veces el anterior, restando a ello el número que precede al anterior. Por ejemplo 34 = 3 × 13 - 5. Basándonos en esto, el siguiente número de la secuencia será 3 × 34 - 13 = 89. Hemos excluido las «casi diagonales» alternas, empezando por 1, 1 + 2 = 3, pero éstas nos darán la sucesión 1, 3, 8, 21, 55... y éstas se generan con la misma regla de «3 veces menos 1». Por consiguiente, podemos generar el siguiente número de la secuencia, como 3 × 55 - 21 = 144.144. Pero hay más. Si intercalamos estas dos secuencias de «casi diagonales», obtenemos los números de Fibonacci:
1, 1, 2, 3, 5, 8, 13, 21, 34, 55, 89, 144....
Combinaciones de PascalLos números de Pascal dan respuesta a algunos problemas de conteo. Imagine a 7 personas en una habitación. Llamémoslos Alison, Catherine, Emma, Gary, John, Matthew y Thomas. ¿Cuántas maneras hay de elegir distintos modos de agrupar a 3 de ellos? Una manera sería A, C, E; otra sería A, C, T. A los matemáticos les parece útil escribir C(n,r) para representar el número de la nésima fila, en la résima posición (contando desde r = 0) del triángulo de Pascal. La respuesta a nuestra pregunta es C(7,3).

Números pares e impares en el triángulo de Pascal

0 y 1
En el triángulo de Pascal, vemos que los números interiores forman un patrón dependiendo de si son pares o impares.
Si sustituimos los números impares por 1 y los números pares por 0, obtenemos una representación que sigue el mismo patrón que el notable fractal conocido como triángulo de Sierpinski.
Añadiendo signos
Podemos escribir el triángulo de Pascal que corresponde a las potencias de (- 1 + x), a saber (- 1 + x)n
En este caso el triángulo no es completamente simétrico en torno a la línea vertical, y cuando sumamos sus filas, en lugar de obtener potencias de 2, obtenemos cero. Sin embargo, aquí lo interesante son las diagonales. La diagonal suroeste 1, — 1, 1, — 1, 1, — 1, 1, — 1... son los coeficientes de la expansión(1 - x)-1 = 1 - x + x2 - x3 + x4 - x5 + x6 - x7 +…
mientras que los términos de la siguiente diagonal son los coeficientes de la expansión(1 + x)-2 = 1 - 2x + 3x2- 4x3 + 5x4- 6x5 + 7x6- 8x7 +...
El triángulo armónico de LeibnizEl erudito alemán Gottfried Leibniz descubrió un notable conjunto de números en forma de un triángulo. Los números de Leibniz tienen una relación de simetría en torno a la línea vertical. Pero a diferencia del triángulo de Pascal, el número de una fila se obtiene sumando los dos números que hay debajo de él. Por ejemplo 1/30 + 1/20 = 1/12.
Para construir este triángulo podemos avanzar desde la parte superior y movernos de izquierda a derecha por sustracción: conocemos 1/12 y 1/30, y de ese modo 1/12 - 1/30 = 1/20, el número siguiente a 1/30.Puede que se haya dado cuenta usted de que la diagonal exterior es la famosa serie armónica



La idea en síntesis: la fuente de los números
El álgebra nos proporciona una forma peculiar de resolver problemas, un método deductivo con una vuelta de tuerca. Esa vuelta de tuerca es el «pensamiento hacia atrás». Piense por un momento en el problema de coger el número 25, sumarle 17, y obtener 42. Esto es pensamiento hacia adelante. Pero ¿y si, en lugar de ello, nos dieran la solución 42, y nos hicieran otra pregunta? Ahora queremos el número que nos dé 42 si le sumamos 25. Aquí es donde interviene el pensamiento hacia atrás. Queremos el valor de x que resuelva la ecuación 25 + x = 42 y sustraemos 25 a 42 para obtenerlo.Desde hace siglos, a los niños se les ha planteado problemas que se han de resolver mediante el álgebra:
Mi sobrina Michelle tiene 6 años, y yo tengo 40. ¿Cuándo tendré yo tres veces la edad de ella?Podríamos hallar esto a través de un método de prueba y error, pero el álgebra es más económica. Cuando hayan transcurrido x años a partir de ahora, Michelle tendrá 6 + x años y yo tendré 40 + x. Yo tendré tres veces más años que ella cuando
3 × (6 + x) = 40 + x
Multiplique el lado izquierdo de la ecuación y obtendrá 18 + 3x = 40 + x, y trasladando todas las x a un lado de la ecuación y los números al otro, hallamos que 2x = 22, lo que significa que x = 11. Cuando yo tenga 51 años, Michelle tendrá 17. ¡Magia!¿Y si quisiéramos saber cuándo tendré el doble de años que ella? Podemos usar el mismo método, en esta ocasión resolviendo
2 × (6 + x) = 40 + x
para obtener x = 28.
Ella tendrá 34 años cuando yo tenga 68. Todas las ecuaciones anteriores son del tipo más sencillo; se llaman ecuaciones «lineales». No tienen términos como x2 o x3, que hacen que las ecuaciones sean más difíciles de resolver. Las ecuaciones que tienen términos como x2 se llaman «cuadráticas» y aquellas que tienen términos como x3 se llaman ecuaciones «cúbicas». Antaño, x2 se representaba como un cuadrado, y dado que un cuadrado tiene cuatro lados se usaba el término cuadrático; x2 se representaba mediante un cubo.
Las matemáticas experimentaron un gran cambio cuando pasaron de ser la ciencia de la aritmética a ser la ciencia de los símbolos o álgebra. Avanzar desde los números a las letras constituye un salto mental, pero el esfuerzo vale la pena.Orígenes
Al-Jwarizmi escribió un libro de texto de matemáticas que contenía la palabra árabe al-jabr. La «ciencia de las ecuaciones» de Al-Jwarizmi, que se ocupaba de problemas prácticos en términos de ecuaciones lineales y cuadráticas, nos dio la palabra «álgebra». Posteriormente, Omar Jayyam es célebre por haber escrito el Rubaiyat, pero en 1070, a los 22 años, escribió un libro sobre álgebra en el que investigaba la solución de las ecuaciones cúbicas.
La gran obra de Girolamo Cardano sobre las matemáticas, publicada en 1545, marcó un hito en la teoría de las ecuaciones porque contenía una profusión de resultados sobre la ecuación cúbica y la ecuación cuártica (aquellas que implican un término del tipo x4). Este frenesí investigador demostró que las ecuaciones cuadráticas, cúbicas y cuárticas se podían resolver mediante fórmulas que implicaban únicamente las operaciones +, -, ×, :, √ (la última operación significa raíz qa).
Por ejemplo, la ecuación cuadrática ax2 + bx + c = 0 se puede resolver usando la fórmula:

Las fórmulas para resolver las ecuaciones cúbicas y cuárticas son largas y poco manejables, pero, desde luego, existen. Lo que confundía a los matemáticos era que no eran capaces de hallar una fórmula que fuera generalmente aplicable a ecuaciones que implicaban a x5, las ecuaciones «quínticas». ¿Qué tenía de especial la potencia de cinco?
En 1826, Niels Abel, planteó una notable respuesta para este acertijo sobre la ecuación quíntica. En realidad demostró una noción negativa, lo que casi siempre es una tarea más difícil que demostrar que algo se puede hacer. Abel demostró que no podía existir una fórmula para resolver todas las ecuaciones quínticas, y llegó a la conclusión de que seguir buscando este santo grial concreto sería inútil. Abel convenció a los matemáticos que estaban en lo alto del escalafón, pero pasó mucho tiempo antes de que la noticia llegara al amplio mundo matemático. Algunos matemáticos se negaron a aceptar este resultado, y bien entrado el siglo XIX todavía había personas que publicaban trabajos en los que afirmaban haber encontrado la inexistente fórmula.
El mundo moderno
Durante 500 años, álgebra significó «teoría de las ecuaciones», pero los acontecimientos dieron un nuevo giro en el siglo XIX. La gente comprendió que los símbolos del álgebra podían representar algo más que simplemente números: podían representar «proposiciones» y de ese modo el álgebra podría relacionarse con el estudio de la lógica. Podían incluso representar objetos de dimensiones superiores, como los que se hallan en el álgebra matricial. Y como tantos no matemáticos han sospechado durante tanto tiempo, incluso podrían no representar nada en absoluto y ser simplemente símbolos que se cambian de lugar de acuerdo con determinadas reglas (formales).
En 1843 tuvo lugar un importante acontecimiento en el álgebra moderna cuando el irlandés William Rowan Hamilton descubrió los cuaternios. Hamilton estaba buscando un sistema de símbolos que ampliara los números complejos bidimensionales a dimensiones superiores. Durante muchos años probó con símbolos tridimensionales, pero no logró ningún sistema satisfactorio. Cada mañana, cuando bajaba a desayunar, sus hijos le preguntaban: «Y bien, papá, ¿ya puedes multiplicar tripletas?» y él se veía obligado a contestar que sólo podía sumarlas y restarlas.
El éxito llegó de forma bastante inesperada. La búsqueda tridimensional era un callejón sin salida: debía de haber apostado por los símbolos tetradimensionales. Este ramalazo de inspiración le llegó mientras paseaba con su esposa por el Royal Canal de Dublín. La euforia le embargó ante la sensación de descubrimiento. Sin dudarlo, este vándalo de 38 años, astrónomo real de Irlanda y caballero del Reino, talló las relaciones definitorias en la piedra de Brougham Bridge, un lugar que hoy en día está reconocido por una placa. La fecha se le quedó grabada en la mente y el tema se convirtió en la obsesión de Hamilton. Dio conferencias sobre él año tras año y publicó dos pesados volúmenes sobre su «místico sueño de cuatro que flota hacia el oeste».
Una peculiaridad de los cuaternios es que, cuando se multiplican entre sí, el orden en el que se hace esto es sumamente importante, contrariamente a las reglas de la aritmética común. En 1844 el lingüista y matemático alemán Hermann Grassmann publicó otro sistema algebraico de forma bastante menos dramática. Ignorado en su época, ha resultado ser trascendental. Hoy en día, tanto los cuaternios como el álgebra de Grassmann tienen aplicaciones en la geometría, la física y los gráficos de ordenador.
Lo abstracto
En el siglo XX, el paradigma dominante del álgebra fue el método axiomático. Euclides lo había usado como base para la geometría pero no se aplicó al álgebra hasta hace relativamente poco.
Emmy Noether fue la defensora del método abstracto. En esta álgebra moderna, la idea dominante es el estudio de la estructura, en la que los ejemplos individuales están supeditados a la idea abstracta general. Si los ejemplos individuales tienen la misma estructura pero quizá una notación diferente, se les llama isomórficos.
La estructura algebraica más fundamental es un grupo, y éste está definido por una lista de axiomas. Hay estructuras que tienen menos axiomas (como los grupoides, los semi-grupos y los cuasi-grupos) y estructuras que tienen más axiomas (como los anillos, los anillos de división, los dominios y campos de integridad). Todas estas nuevas palabras se importaron a las matemáticas a comienzos del siglo XX a medida que el álgebra se transformaba en una ciencia abstracta conocida como «álgebra moderna».
La idea en síntesis: resolviendo en pos de lo desconocido
Capítulo 15
El algoritmo de Euclides
Al-Jwarizmi nos dio la palabra «álgebra», pero fue su libro del siglo IX sobre aritmética el que nos dio la palabra «algoritmo». Es una idea útil tanto para los matemáticos como para los informáticos. Pero, ¿qué es un algoritmo? Si podemos responder a esto, ya estamos cerca de comprender el algoritmo de la división de Euclides.En primer lugar, un algoritmo es una rutina. Es una lista de instrucciones del tipo «haga esto y luego haga lo otro». Es fácil entender por qué a los ordenadores les gustan los algoritmos, ya que se le da muy bien seguir instrucciones y nunca se salen del camino marcado.

- llenar la cavidad del pavo con relleno
- untar la piel del pavo con mantequilla
- sazonar con sal, pimienta y pimentón
- asar a 168 grados durante 3 horas y media
- dejar reposar el pavo guisado durante media hora.
En matemáticas también tenemos ingredientes: los números. El algoritmo de la división de Euclides está concebido para calcular el máximo común divisor (escrito mcd). El mcd de dos números enteros es el mayor número por el que ambos son divisibles. Como ejemplos de ingredientes, escogeremos los dos números 18 y 84.
El máximo común divisor
El mcd de nuestro ejemplo es el número más grande por el que sean exactamente divisibles tanto 18 como 84. Tanto 18 y 84 son divisibles por el número 2, pero también lo son por el número 3. Así que ambos números también serán divisibles por 6. ¿Son divisibles por un número más grande? Podríamos probar con 9 o 18. Al comprobarlo, 84 no es divisible por estos candidatos, así que 6 es el número más grande por el cual ambos son divisibles. Podemos llegar a la conclusión de que 6 es el mcd de 18 y 84, escribiendo esto como mcd (18, 84) = 6.El mcd puede interpretarse en términos de azulejos de cocina. Es el lado del mayor azulejo cuadrado con el que se podrá azulejar una pared rectangular de anchura 18 y longitud 84, haciéndolo sin que se puedan cortar los azulejos. En este caso, vemos que se podrá hacer con un azulejo de 6 × 6.El máximo común divisor se conoce también como el «mayor factor común» o «mayor divisor común».
También hay un concepto relacionado,
el mínimo común múltiplo (mcm). El mcm de 18 y 84 es el número más pequeño por el que son divisibles tanto 18 como 84. El vínculo entre el mcm y el mcd queda resaltado por el hecho de que el mcm de dos números multiplicados por su mcd es igual a la multiplicación de los propios dos números. En este caso mcm (18, 84) = 252 y podemos comprobar que 6 × 252 = 1.512 = 18 × 84.Geométricamente, el mcm es la longitud del lado del cuadrado más pequeño que se puede azulejar con azulejos rectangulares de 18 × 84. Como mcm (a, b) = ab : mcd (a, b), vamos a concentrarnos en hallar el mcd. Ya hemos calculado mcd (18, 84) = 6 pero para hacerlo teníamos la necesidad de conocer los divisores tanto de 18 como de 84.
Recapitulemos: primero hemos descompuesto ambos números en sus factores: 18 = 2×3×3 y 84 = 2×2×3×7. Después, comparándolos, el número 2 es común a ambos y es la mayor potencia de 2 por la que ambos son divisibles. De igual modo, 3 es común y es la mayor potencia por la que ambos son divisibles, pero, aunque 84 es divisible por 7, 18 no es divisible por 7, así que este número no puede entrar en el mcd como factor. Llegamos a esta conclusión: 2×3 = 6 es el número más grande por el que ambos son divisibles. ¿Se pueden evitar estos malabarismos con factores? Imagine los cálculos que tendríamos que hacer si quisiéramos encontrar el mcd (17.640, 54.054). Primero tendríamos que factorizar estos dos números, y eso sería sólo el comienzo. Tiene que haber un modo más sencillo.
El algoritmo
Hay otra forma mejor. El algoritmo de Euclides se ofrece en Elementos, Libro 7, Proposición 2 (traducido): «Dados dos números que no sean primos entre sí, hállese su máxima medida común».
El algoritmo que ofrece Euclides es hermosamente eficaz y sustituye con eficacia el esfuerzo de hallar los factores por simple sustracción. Veamos cómo funciona.
El objetivo es calcular d = mcd (18, 84). Empezamos dividiendo 84 por 18. No es divisible de forma exacta, pero cabe 4 veces con un sobrante de 12 (el resto):
84 = 4 × 18+ 12
Como 84 y 18 tienen que ser divisibles por d, el resto 12 tiene que ser divisible por d. Por consiguiente, d = mcd (12, 18). De modo que ahora podemos repetir el proceso y dividir 18 por 12:18 = 1 × 12 + 6
obteniendo un resto 6, de modo que d = mcd (6, 12). Dividiendo 12 entre 6 obtenemos un resto 0, de modo que d = mcd (0, 6). 6 es el mayor número por el que son divisibles tanto 0 como 6, de modo que ésta es nuestra solución.Si calculásemos d = mcd (17.640, 54.054), los restos sucesivos serían 1.134, 630, 504 y 0, lo que nos da d = 126.
Usos del mcd
El mcd se puede usar en la resolución de ecuaciones cuando las soluciones tienen que ser números enteros. Estas se denominan ecuaciones diofánticas, en homenaje a Diofanto de Alejandría.
Imaginemos que la tía abuela Christine va a Barbados en sus vacaciones anuales. Envía al aeropuerto a su mayordomo John con su colección de maletas, cada una de las cuales pesa o 18 o 84 kilogramos, y a éste se le informa de que el peso total de facturación es de 652 kilogramos. Cuando vuelve a Belgravia, John, el hijo de nueve años de James, se destapa con que «eso no puede ser correcto, porque 652 no es divisible por el mcd 6». James sugiere que el peso total correcto podría ser en realidad de 642 kilogramos.
James sabe que hay una solución en números enteros para la ecuación 18x + 84y = c si y solamente si el número c es divisible por el mcd 6. No es divisible en el caso de que c = 652 pero sí en el caso de que sea 642. James ni siquiera necesita saber cuántas maletas x, y de cualquiera de los dos pesos piensa llevar tía Christine a Barbados.
El teorema del resto chino
Cuando el mcd de dos números es 1, decimos que estos son «relativamente primos». No es necesario que sean primos en sí mismos, sólo tienen que ser primos entre ellos, por ejemplo mcd (6, 35) = 1, aunque ni 6 ni 35 son primos. Necesitaremos esto para el teorema del resto chino.
Examinemos otro problema: Angus no sabe cuántas botellas de vino tiene pero, al formar pares con ellas, sobra 1. Cuando las pone en filas de cinco en su botellero, sobran 3. ¿Cuántas botellas tiene? Sabemos que al dividirlas por 2 obtenemos un resto de 1 y al dividirlas por 5 obtenemos un resto 3. La primera condición nos permite descartar todos los números pares. Repasando los números impares rápidamente hallamos que 13 cumple las condiciones (podemos suponer sin temor a equivocarnos que Angus tiene más de 3 botellas, un número que también cumple las condiciones). Pero hay otros números que también serían correctos; de hecho, una secuencia entera que empezaría con 13, 23, 33, 43, 53, 63, 73, 83...
Añadamos ahora otra condición: que el número debe dar resto 3 al dividirlo por 7 (las botellas llegaron en paquetes de 7 botellas con otras 3 aparte). Repasando la secuencia 13, 23, 33, 43, 53, 63... para dar cuenta de esto, hallamos que 73 cumple las condiciones, pero observe que 143 también lo hace, como también lo hace 213 y cualquier número que se halle sumando múltiplos de 70 a estos números.
En términos matemáticos, hemos hallado soluciones garantizadas por el teorema del resto chino, que también dice que dos soluciones cualesquiera difieren por un múltiplo de 2 × 5 × 7 = 70. Si Angus tiene entre 150 y 250 botellas, el teorema concreta la solución a 213 botellas.
La idea en síntesis: una ruta hacia lo máximo
«Si hay menos automóviles en las carreteras, la contaminación será aceptable. O bien tenemos menos automóviles en las carreteras, o bien se tendría que cobrar por el uso de las carreteras, o bien ambas cosas. Si se cobra por usar las carreteras, la temperatura aumentará en verano hasta un nivel insoportable. Este verano la temperatura está resultando ser bastante agradable. La conclusión es ineludible: la contaminación es aceptable.»¿Es «válido» este razonamiento o es ilógico? No nos interesa un sentido político o si es buen periodismo. Sólo su validez como argumento racional. La lógica puede ayudamos a decidir esta cuestión, ya que tiene que ver con la rigurosa comprobación de los razonamientos.
Dos premisas y una conclusión
Tal como está, el fragmento del periódico es bastante complicado. Examinemos primero algunos razonamientos más sencillos, remontándonos a los principios, al filósofo griego Aristóteles de Estagira, a quien se considera fundador de la ciencia de la lógica. Su método se basaba en las distintas formas del silogismo, un estilo de razonamiento basado en tres afirmaciones: dos premisas y una conclusión. Un ejemplo es
Todos los spaniels son perros
Todos los perros son animales
Todos los spaniels son animales
Por encima de la línea tenemos las premisas, y debajo, la conclusión.

Todas las Manzanas son NaranjasEn este caso, las afirmaciones individuales son obviamente absurdas si estamos usando las connotaciones habituales de las palabras.
Todas las Naranjas son Plátanos
Todas las Manzanas son Plátanos
No obstante, ambos ejemplos del silogismo tienen la misma estructura y es la estructura la que hace que este silogismo sea válido. Sencillamente, no es posible encontrar un ejemplo de A, B y C con esta estructura en la que las premisas sean ciertas pero la conclusión sea falsa. Esto es lo que hace que un razonamiento válido sea útil.Varios silogismos son posibles si variamos los cuantificadores como «Todos», «Algunos» y «Ninguno» (como en Ningún A es B). Por ejemplo, otro podría ser
Algunos A son B¿Es éste un razonamiento válido? ¿Es aplicable a todos los casos de A, B y C, o hay un contraejemplo latente, un caso en el que las premisas son ciertas pero la conclusión es falsa? ¿Y si hacemos que A sean spaniels, B objetos marrones, y C mesas? ¿Es convincente el siguiente ejemplo?
Algunos B son C
Algunos A son C
Algunos spaniels son marronesNuestro contraejemplo demuestra que este silogismo no es válido. Había tantos tipos distintos de silogismos que los eruditos medievales inventaron métodos mnemotécnicos que les ayudaran a recordarlos. Nuestro primer ejemplo se conocía como BARBARA porque contiene tres usos de «Todos». Estos métodos de analizar los razonamientos duraron más de 2.000 años y ocupaban un lugar importante en los estudios de diplomatura en las universidades medievales.
Algunos objetos marrones son mesas
Algunos spaniels son mesas
Lógica proposicional
Existe otro tipo de lógica que va más allá de los silogismos. Se ocupa de proposiciones o afirmaciones sencillas y de la combinación de las mismas. Para analizar el editorial del periódico necesitaremos saber un poco de esta «lógica proposicional». Antes se la llamaba «álgebra de la lógica», lo que nos da una pista sobre su estructura, ya que George Boole se dio cuenta de que se la podía tratar como un nuevo tipo de álgebra.
Probémoslo. Piense en una proposición a, donde a representa «Freddy es un spaniel». La proposición a puede ser Verdadera o Falsa. Si estoy pensando en mi perro Freddy, que es, en efecto, un spaniel, entonces la afirmación es verdadera (V), pero si estoy pensando que esta afirmación se está aplicando a mi primo que también se llama Freddy, la afirmación es falsa (F). La verdad o la falsedad de una proposición dependen de a qué se refieran.
Si tenemos otra proposición b como «Ethel es un gato», podemos combinar estas dos proposiciones de distintas formas. Una combinación se escribe a v b. El conector v corresponde a «o» pero su uso en la lógica es ligeramente distinto al de «o» en el lenguaje cotidiano. En la lógica, a v b es verdadero o bien si «Freddy es un spaniel» es verdadero o «Ethel es un gato» es verdadero, o bien si las dos afirmaciones son verdaderas, y sólo es falso cuando tantoa como b son falsos. Esta conjunción de proposiciones puede resumirse en una tabla de decisión lógica.
También podemos combinar proposiciones usando «y», que se escribe como a ^ b, y «no», escrito como ¬a. El álgebra de la lógica se aclara cuando combinamos estas proposiciones usando una mezcla de los conectores con a, b y c como a ^(b v c). Podemos obtener una ecuación a la que denominamos una identidad:
a^(b v c) ≡ (a ^ b) v (a ^ c)
El símbolo ≡ significa equivalencia entre afirmaciones lógicas en las que ambos lados de la equivalencia tienen
la misma tabla de decisión lógica. Hay un paralelismo entre el álgebra de la lógica y el álgebra común porque los símbolos ^ y v actúan de forma similar a como lo hacen × y + en el álgebra común, donde tenemos x × (y + z) = (x × y) + (x × z). Sin embargo, el paralelismo no es exacto y hay excepciones.Se pueden definir otros conectores lógicos en términos de estos conectores básicos. Un conector útil es el de «implicación» a → b que se define como equivalente a ¬a v b y tiene la tabla de decisión lógica que se muestra.
Bien, si observamos de nuevo el editorial del periódico, podemos escribirlo en forma simbólica, lo que nos da el razonamiento del margen:
A = menos Automóviles en las carreteras
C = la Contaminación será aceptable
P = debería haber un Plan para cobrar por el uso de las carreteras
T = este verano la Temperatura aumentará insoportablemente.
¿Es válido el razonamiento o no? Supongamos que la conclusión C es falsa, pero que todas las premisas son verdaderas. Si podemos demostrar que esto provoca necesariamente una contradicción, significa que
el razonamiento tiene que ser válido. Será entonces imposible que las premisas sean verdaderas pero la conclusión falsa. Si C es falsa, desde la primera premisa A v C, A tiene que ser falsa. Como A —> P es verdadera, el hecho de que A sea falsa significa que P es verdadera. A partir de la tercera premisa P → T, esto significa que T es verdadera. Es decir, ¬T es falsa. Esto contradice el hecho de que se suponía que ¬T, la última premisa, era verdadera. Puede que el contenido de las afirmaciones del editorial del periódico siga siendo discutible, pero la estructura del razonamiento es válida.Otras lógicas
Gottlob Frege, C. S. Peirce, y Ernst Schröder introdujeron la cuantificación en la lógica preposicional y
construyeron una «lógica de predicados de primer orden». Esta usa el cuantificador universal ∀, para indicar «para todos», y el cuantificador existencial ∃, para indicar «existe».Otro nuevo avance en la lógica es la idea de la lógica difusa.
Esto evoca un pensamiento confuso, pero en realidad se trata de una ampliación de los límites tradicionales de la lógica. La lógica tradicional se basa en grupos o conjuntos. De este modo, teníamos el conjunto de spaniels, el conjunto de perros, y el conjunto de objetos marrones. Estamos seguros de lo que está incluido en el conjunto y de lo que no lo está. Si nos encontramos un «Rhodesian ridgeback» de pura raza en el parque, estamos bastante seguros de que no es un miembro del conjunto de spaniels.
La teoría de los conjuntos difusos se ocupa de lo que parecen ser conjuntos definidos de manera imprecisa. Imagine que tenemos un conjunto de spaniels pesados. ¿Cuánto debe pesar un spaniel para estar incluido en el conjunto? En los conjuntos difusos hay una gradación de la pertenencia a los conjuntos, y el límite que separa lo que está incluido en ellos de lo que se excluye de ellos queda difuso.
La idea en síntesis: la clara línea de la razón
Los matemáticos intentan justificar sus afirmaciones mediante demostraciones. La búsqueda de argumentos racionales irrefutables es la fuerza motriz de las matemáticas puras. Cadenas de deducciones correctas a partir de lo que se sabe o de lo que se supone conducen al matemático a una conclusión que luego pasa a formar parte del depósito de las matemáticas establecidas.No se llega fácilmente a las demostraciones: a menudo éstas llegan al final de muchas exploraciones y pistas falsas. Una demostración eficaz lleva la impronta de autenticidad del matemático, que separa el teorema establecido de la conjetura, de la genial idea o del primer tanteo.

¿Qué es una demostración?
Cuando usted lee un resultado matemático u oye hablar de él, ¿se lo cree? ¿Qué es lo que haría que usted se lo creyera? Una respuesta sería: un razonamiento realizado con una lógica válida que progrese a partir de ideas que usted acepta hasta la afirmación que usted se está planteando. Eso sería lo que los matemáticos llaman una demostración, que en su forma habitual es una mezcla de lenguaje cotidiano y lógica estricta.
Los principales tipos de demostración que se emplean en matemáticas son: el método del contraejemplo; el método directo; el método indirecto; y el método de inducción matemática.
El contraejemplo. Empecemos siendo escépticos: éste es un método para demostrar que una afirmación es incorrecta. Tomaremos una afirmación concreta como ejemplo. Suponga que usted oye la afirmación de que cualquier número multiplicado por sí mismo da como resultado un número par. ¿Se lo cree? Antes de aventurar una respuesta deberíamos probar con algunos ejemplos. Si tenemos un número, por ejemplo 6, y lo multiplicamos por sí mismo, obteniendo 6 × 6 = 36, hallamos que, en efecto, 36 es un número par. Probando con 9, por ejemplo, hallamos que 9 × 9 = 81. Pero 81 es un número impar. Esto significa que la afirmación de que todos los números, cuando se multiplican por sí mismos, dan un número par, es falsa. Un ejemplo como este se opone a la afirmación original y se denomina contraejemplo. Un contraejemplo para la afirmación de que «todos los cisnes son blancos», sería ver un cisne negro.
Si no logramos hallar un contraejemplo, podríamos pensar que la afirmación es correcta. En ese caso, el matemático tiene que jugar a otra cosa. Se debe construir una demostración, y el tipo más sencillo es el método directo de demostración.
El método directo. En el método directo progresamos con argumentos lógicos desde lo que ya se ha establecido, o se ha supuesto, hasta la conclusión. Si podemos hacer esto, tenemos un teorema. No podemos demostrar que multiplicar cualquier número por sí mismo dé como resultado un número par porque ya lo hemos refutado. Pero es posible que podamos salvar parte de esto. La diferencia entre nuestro primer ejemplo, 6, y el contraejemplo, 9, es que el primer número es par y el contraejemplo es impar. Cambiar la hipótesis es algo que sí podemos hacer. Nuestra nueva afirmación es: si multiplicamos un número par por sí mismo, el resultado es un número par.
Primero probamos con algunos ejemplos numéricos distintos y hallamos que cada vez que lo hacemos esta afirmación queda verificada, y que sencillamente no podemos encontrar un contraejemplo. Cambiando de enfoque, intentamos demostrarla, pero, ¿cómo empezar? Podríamos empezar con un número par general n, pero como esto parece un poco abstracto veremos cómo nos iría con una demostración en la que examinásemos un número concreto, por ejemplo 6. Como usted sabe, un número par es uno que es múltiplo de 2, por ejemplo 6 = 2 × 3. Como 6 × 6 = 6 + 6 + 6 + 6 + 6 + 60, escrito de otra manera, 6 × 6 = 2 × 3 + 2 × 3 + 2 × 3 + 2 × 3 + 2 × 3 + 2 × 3 o, reescribiéndolo usando paréntesis,
6 × 6 = 2 × (3 + 3 + 3 + 3+ 3+3)
Esto significa que 6 × 6 es un múltiplo de 2 y, como tal, es un número par. Pero en este razonamiento no se usa el 6 por nada en particular, y podríamos haber empezado con n = 2 × k obteniendon × n = 2 × (k + k +... + k)
y llegando a la conclusión de que n × n es par. Nuestra demostración ya está completa. En el pasado, a matemáticos como Euclides les gustaba escribir «QED» al final de una demostración para decir que el trabajo ya estaba hecho: es una abreviatura del latín quod erat demonstrandum (lo que había que demostrar). Hoy en día usan un cuadrado relleno ▀. A este se le denomina «símbolo de Halmos», por Paul Halmos, que lo introdujo.El método indirecto. En este método hacemos cuenta de que la conclusión es falsa y mediante un razonamiento lógico demostramos que esto contradice la hipótesis. Demostremos el resultado anterior mediante este método.
Nuestra hipótesis es que n es par y haremos cuenta de que n × n es impar. Podemos escribir que n × n = n + n+... + n y que hay n de estos. Esto significa que n no puede ser par (porque, si lo fuera, n × n sería par). Por consiguiente, n es impar, lo que contradice la hipótesis. ▀
En realidad, esto es una forma suave del método indirecto. El método indirecto en su plenitud se conoce como el método de reductio ad absurdum (reducción al absurdo). La clásica demostración de que la raíz cuadrada de 2 es un número irracional es un ejemplo de esta forma, en la que empezamos suponiendo que la raíz cuadrada de 2 es un número racional y extrayendo una contradicción para esta suposición.
El método de inducción matemática. La inducción matemática es una poderosa forma de demostrar que una secuencia de afirmaciones Pt, P2, P,... son todas verdaderas. Esta técnica concreta (que no hay que confundir con la inducción científica) se usa mucho para demostrar afirmaciones que implican números enteros. Resulta especialmente útil en la teoría de grafos, en la teoría de números, y en la informática en general. Como ejemplo práctico, piense en el problema de sumar los números impares. Por ejemplo, la suma de los tres primeros números impares 1 + 3 + 5 es 9, mientras que la suma de los primeros cuatro 1 + 3 + 5 + 7 es 16. Bien, 9 es 3 × 3 = 32 y 16 es 4 × 4 = 42, así que, ¿podría ser que la suma de los primeros n números impares sea igual a n2? Si probamos con un valor de n escogido al azar, por ejemplo n = 7, hallamos, en efecto, que la suma de los primeros siete es 1+3+5 + 7+ 9 + 11 +13= 49, que es 72. Pero ¿se sigue este patrón en el caso de todos los valores de n? ¿Cómo podemos estar seguros?
Aquí es donde entra en juego la inducción matemática. Informalmente es el método de demostración del dominó. Esta metáfora se aplica a una fila de fichas de dominó que están dispuestas en vertical. Si una ficha de dominó cae, derribará a la siguiente. Lo único que necesitamos para hacer que todas caigan es que caiga la primera. Podemos aplicar este pensamiento al problema de los números impares. La afirmación Pn dice que la suma de los primeros n números impares suman n2. La inducción matemática arma una reacción en cadena por la cual P1, P2, P,... serán todas verdaderas. La afirmación P es banalmente verdadera porque 1 = 12. Luego, P2 es verdadera porque 1 + 3 = 12 + 3 = 22, P, es verdadera porque 1 + 3 + 5 = 22 + 5 = 32 y P4 es verdadera porque l + 3 + 5 + 7 = 32 + 7 = 42. Usamos el resultado obtenido en una etapa para saltar a la siguiente. Este proceso se puede formalizar para formular el método de inducción matemática.
Dificultades con las demostraciones
Las demostraciones se presentan en todo tipo de estilos y tamaños. Algunas son breves, concisas y vigorosas, especialmente las que se hallan en los libros de texto. Otras en las que se detallan las últimas investigaciones han ocupado números enteros de publicaciones y se han extendido a lo largo de miles de páginas. En estos casos, muy pocas personas tendrán una comprensión cabal de la totalidad del razonamiento.
También hay problemas relacionados con los fundamentos del método. Por ejemplo, un pequeño número de matemáticos no están contentos con el método de demostración indirecta de reductio ad absurdum cuando éste se aplica a la existencia. Si la suposición de que una solución de una ecuación no existe conduce a una contradicción, ¿basta esto para demostrar que sí existe una solución? Quienes se oponen a este método de prueba afirmarían que la lógica es mera prestidigitador! y que no nos dice cómo construir realmente una solución concreta. Se denomina «constructivistas» (en diversos grados) a quienes dicen que el método de demostración no proporciona «significado numérico». Estos desdeñan al matemático clásico que considera que el método de reductio es un arma fundamental del arsenal matemático.
La idea en síntesis: firmado y sellado
Nicholas Bourbaki fue el pseudónimo que utilizó un grupo de académicos franceses autoescogidos que quisieron reescribir las matemáticas de arriba abajo «como tenían que ser». Su audaz afirmación era que todo debía basarse en la teoría de conjuntos. El método axiomático fue fundamental y los libros que publicaron estaban escritos en el riguroso estilo de «definición, teorema y demostración». Este fue también el impulso motriz del movimiento de las matemáticas modernas de la década de 1960.Georg Cantor creó la teoría de conjuntos a raíz de su deseo de dar una base firme a la teoría de los números reales.

¿Qué son los conjuntos?
Un conjunto puede considerarse un grupo de objetos. Esta definición es informal, pero nos da la idea fundamental. A los objetos en sí se les denomina «elementos» o «miembros» del conjunto. Si escribimos un conjunto A que tiene un miembro a, podemos escribir a | A, como hacía Cantor. Un ejemplo es A = {1, 2, 3, 4, 5} y podemos escribir 1 | A para indicar la pertenencia al conjunto, y 6 | A para indicar la no pertenencia.

Los conjuntos pueden combinarse de dos formas importantes. Si A y B son dos conjuntos, el conjunto que consiste en elementos que son miembros de A o B (o de ambos) se denomina la «unión» de los dos conjuntos. Los matemáticos escriben esto como A È B. Esto también puede describirse mediante un diagrama de Venn, llamado así en homenaje al Reverendo John Venn, lógico Victoriano. Eider usó diagramas como éstos incluso antes.
El conjunto A ÇB está compuesto por elementos que son miembros de A y B y se le llama la «intersección» de los dos conjuntos.
Si A = {1, 2, 3, 4, 5} y B = {1, 3, 5, 7, 10, 21}, la unión es A È B = {1, 2, 3, 4, 5, 7, 10, 21} y la intersección es A Ç B = {1, 3, 5}. Si pensamos en un conjunto A como
parte de un conjunto universal E, podemos definir el conjunto complementario ¬A diciendo que está compuesto por aquellos elementos de E que no están en A.
Las operaciones ( Ç y È en los conjuntos son análogas a × y + en el álgebra. Junto con la operación de complemento hay un «álgebra de conjuntos». El matemático británico Augustus De Morgan formuló unas leyes para mostrar cómo funcionaban conjuntamente las tres operaciones. En nuestra notación moderna, las leyes de De Morgan son:¬(A È B) = (¬A) Ç (¬B)
y¬(A Ç B) = (¬A) È (¬B)
Las paradojas
No hay ningún problema a la hora de ocuparnos de los conjuntos finitos, porque podemos hacer una lista de sus elementos, como en A = {1, 2, 3, 4, 5}, pero en la época de Cantor los conjuntos infinitos suponían un mayor desafío.
Cantor definió los conjuntos como grupos de elementos que tenían una propiedad concreta. Piense en el conjunto {11, 12, 13, 14, 15...}, de todos los números enteros mayores de 10. Como el conjunto es infinito, no podemos anotar todos sus elementos, pero, no obstante, podemos precisarlo debido a la propiedad que todos sus miembros tienen en común. Siguiendo el ejemplo de Cantor, podemos escribir el conjunto como A = {x: x es un número entero > 10}, donde los dos puntos significan «tal que».
En la teoría de conjuntos primitiva también podíamos tener un conjunto de cosas abstractas, A = {x: x es una cosa abstracta}. En este caso A es en sí misma una cosa abstracta, así que es posible que A | A. Pero al permitir esta relación surgen graves problemas. Al filósofo británico Bertrand Russell se le ocurrió la idea de un conjunto S que contenía todas las cosas que no se contenían a sí mismas. En símbolos, esto es S = {x: x ¬x}.
Después hizo la pregunta: «¿Es S | S?» Si la respuesta es «Sí», S debe cumplir con la frase definitoria de S, y por consiguiente S | S. Por otro lado, si la respuesta es «No» y S | S, S no cumple con la relación definitoria de S = {x: x |x} y por consiguiente S | S. La pregunta de Russell acababa con esta afirmación, la base de la paradoja de Russell:
S | S si y solo si S | S
Es imprescindible evitar este tipo de paradojas, que se denominan educadamente «antinomias». Para los matemáticos, sencillamente no es permisible tener sistemas que generen contradicciones. Russell creó una teoría de tipos y sólo permitió a | A si a era de un tipo inferior a A, evitando así expresiones como S | S.Otra manera de evitar estas antinomias era formalizar la teoría de conjuntos. En este enfoque no nos preocupamos por la naturaleza de los propios conjuntos, sino que hacemos una lista de axiomas formales que estipulan reglas para tratarlos. Los griegos intentaron algo similar con uno de sus problemas: no tenían que explicar qué eran las líneas rectas, sino únicamente cómo se las debía tratar.
En el caso de la teoría de conjuntos, éste fue el origen de los axiomas de Zermelo-Fraenkel para la teoría de conjuntos, que impedían que en su sistema aparecieran conjuntos que eran demasiado «grandes». Esto impidió eficazmente que aparecieran criaturas tan peligrosas como el conjunto de todos los conjuntos.
El teorema de Gödel
El matemático austríaco Kurt Gödel tumbó de un golpe a aquellos que querían escapar de las paradojas a los sistemas axiomáticos formales. En 1931, Gödel demostró que incluso en el caso de los sistemas formales más simples había afirmaciones cuya veracidad o falsedad no podían deducirse desde el interior de estos sistemas. Informalmente, había afirmaciones que quedaban fuera del alcance de los axiomas del sistema. Eran las afirmaciones indecidibles. Por este motivo el teorema de Gödel se parafrasea como «el teorema de incompletitud». Este resultado era aplicable tanto al sistema de Zermelo-Fraenkel como a otros sistemas.
Los números cardinales
El número de elementos de un conjunto finito es fácil de contar, por ejemplo A = {1, 2, 3, 4, 5} tiene 5 elementos, o decimos que su «cardinalidad» es 5 y escribimos card(A) = 5. Hablando en términos generales, la cardinalidad mide el «tamaño» de un conjunto.
Según la teoría de conjuntos de Cantor, el conjunto de fracciones Q y el de los números reales R son muy distintos. El conjunto Q puede ponerse en una lista pero el conjunto R no. Aunque ambos conjuntos son infinitos, el conjunto R tiene un orden de infinito superior al de Q. Los matemáticos denotan card(Q) mediante À0, el «álef cero» hebreo y card(R) = c. Así que esto significa À0 < c.
La hipótesis del continuo
La hipótesis del continuo, que Cantor sacó a la luz en 1878, dice que el siguiente nivel de infinito después del infinito de Q es el infinito de los números reales c. Dicho de otra manera, la hipótesis del continuo afirmaba que no había ningún conjunto cuya cardinalidad estuviera comprendida estrictamente entre À0 y c. Cantor lidió con ella y, aunque creía que era verdadera, no pudo probarla. Refutarla supondría hallar un subconjunto X de R con À0 < card(X) < c, pero esto tampoco lo logró.
El problema era tan importante que el matemático alemán David Hilbert lo situó a la cabeza de su famosa lista de 23 problemas destacados pendientes para el próximo siglo, que presentó al Congreso Matemático Internacional en París en 1900.
Gödel pensaba de forma categórica que la hipótesis era falsa, pero no lo demostró. Sí que demostró (en 1938) que la hipótesis era compatible con los axiomas de Zermelo-Fraenkel para la teoría de conjuntos. Un cuarto de siglo después, Paul Cohen sobresaltó a Gödel y a los lógicos demostrando que la hipótesis del continuo no podía deducirse de los axiomas de Zermelo-Fraenkel. Esto equivale a demostrar que los axiomas y la negación de la hipótesis son compatibles. Combinado con el resultado de Gödel de 1938, Cohen había demostrado que la hipótesis del continuo era independiente del resto de los axiomas para la teoría de conjuntos.
Esta situación es similar en su naturaleza a cómo el postulado de las paralelas en geometría es independiente de los otros axiomas de Euclides. Ese descubrimiento desembocó en un florecimiento de las geometrías no euclídeas que, entre otras cosas, hicieron posible el avance de la teoría de la relatividad de Einstein.
De igual modo, la hipótesis del continuo puede aceptarse o rechazarse sin alterar los otros axiomas para la teoría de conjuntos. Después del resultado pionero de Cohen, se creó toda una nueva área de estudio que atrajo a generaciones de matemáticos que adoptaron las técnicas que él usó al demostrar la independencia de la hipótesis del continuo.
La idea en síntesis: muchos tratados como uno
Capítulo 19
El Cálculo infinitesimal
Un cálculo es una forma de calcular, de forma que los matemáticos a veces hablan del «cálculo de la lógica», el «cálculo de las probabilidades», etcétera. Pero todos están de acuerdo en que, simple y llanamente, en realidad sólo hay un Cálculo, y éste se escribe con C mayúscula.El Cálculo es un puntal fundamental de las matemáticas. Las aplicaciones del Cálculo son tan amplias que actualmente sería extraño que un científico, un ingeniero o un economista cuantitativo no se hubiera topado con él. Históricamente está asociado con Isaac Newton y Gottfried Leibniz, que lo iniciaron en el siglo XVII.

Desde entonces el Cálculo se ha convertido en una materia inmensa. Cada generación fija técnicas que, en su opinión, debería aprender la generación más joven, y hoy en día los libros de texto ocupan más de mil páginas e implican muchos extras. A pesar de todos estos complementos, lo que es absolutamente fundamental es la diferenciación y la integración, las cumbres gemelas del Cálculo tal como lo establecieron Newton y Leibniz. Estas palabras tienen su origen en el differentialis (toma de las diferencias o «desmontaje») y el integralis (suma de las partes, o «reunión») de Leibniz.
En lenguaje técnico, la diferenciación se ocupa de medir el cambio y la integración de medir el área, pero la joya de la corona del Cálculo es el «resultado estrella» de que son dos caras de la misma moneda: diferenciación e integración son mutuamente inversas. No es de extrañar que el «paradigma del moderno General de División» de Gilbert y Sullivan en Los Piratas de Penzance proclamase orgullosamente ambas:
Sé muchas cosas divertidas sobre el cuadrado de la hipotenusa.La diferenciación
Soy muy bueno en cálculo integral y diferencial.
Los científicos son aficionados a llevar a cabo «experimentos mentales»; a Einstein le gustaban especialmente. Imagine que estamos de pie en un puente situado a una gran altura sobre un desfiladero y que estamos a punto de dejar caer una piedra. ¿Qué sucederá? La ventaja de un experimento de pensamiento es que no tenemos que estar allí en persona en realidad. También podemos hacer cosas imposibles como detener la piedra en el aire u observarla a cámara lenta durante un breve intervalo de tiempo.
Según la teoría de la gravedad de Newton, la piedra caerá. Eso no tiene nada de sorprendente; la tierra atrae a la piedra y ésta caerá cada vez más rápido a medida que avance la manecilla de nuestro cronómetro. Otra ventaja de un experimento de pensamiento es que podemos ignorar factores que complican las cosas, como la resistencia del aire.
¿Cuál es la velocidad de la piedra en un momento dado, por ejemplo cuando el cronómetro marca exactamente 3 segundos después de haberla soltado? ¿Cómo podemos calcular esto? Sin duda podemos medir la velocidad media, pero nuestro problema es medir la velocidad instantánea. Como es un experimento de pensamiento, ¿por qué no detenemos la piedra en el aire y después dejamos que caiga una corta distancia durante una fracción de segundo más? Si dividimos esta distancia adicional por el tiempo adicional, tendremos la velocidad media a lo largo del breve intervalo de tiempo. Tomando intervalos de tiempo cada vez más pequeños, la velocidad media será cada vez más próxima a la velocidad instantánea en el lugar en el que detuvimos la piedra. Este proceso de limitación es la idea fundamental que subyace al Cálculo.Podríamos sentir la tentación de hacer que ese breve lapso de tiempo adicional fuera igual a cero. Pero en nuestro experimento de pensamiento, la piedra no se ha movido en absoluto.
¡No ha recorrido ninguna distancia y no ha tardado ningún tiempo en hacerlo! Esto nos daría la velocidad media de 0/0 que el obispo Berkeley describió en una expresión célebre como los «espectros de cantidades perdidas». Esta expresión no se puede determinar: en realidad, no tiene sentido. Tomar esta ruta nos lleva a un atolladero numérico.
Para ir más allá necesitamos algunos símbolos. La fórmula exacta que conecta la distancia de caída y con el tiempo x que ha tardado en llegar allí la obtuvo Galileo:
y = 16 × x2
El factor «16» aparece porque pies y segundos son las unidades de medida escogidas. Si queremos saber, por ejemplo, qué distancia ha recorrido la piedra en su caída a lo largo de 3 segundos, sencillamente sustituimos x = 3 en la fórmula y calculamos la respuesta y = 16 × 32 = 144 pies. Pero ¿cómo podemos calcular la velocidad que llevaba la piedra en el momento x = 3?Tomemos otras 5 décimas de segundo y veamos la distancia que ha recorrido la piedra entre los 3 y los 3,5 segundos. A lo largo de 3,5 segundos la piedra ha recorrido y = 16 × 3,52 = 196 pies, de modo que entre los 3 y los 3,5 segundos ha caído 196 - 144 = 52 pies. Como la velocidad es la distancia dividida por el tiempo, la velocidad media a lo largo de este intervalo de tiempo es 52/0,5 = 104 pies por segundo. Esto estará próximo a la velocidad instantánea en x = 3, pero usted puede decir, con razón, que 0,5 segundos no es una medida suficientemente pequeña. Si repetimos el razonamiento con un intervalo de tiempo más pequeño,
por ejemplo 0,05 segundos, vemos que la distancia recorrida en la caída es de 148,84 - 144 = 4,84 pies, lo que da una velocidad media de 4,84/0,05 = 96,8 pies por segundo. Esto estará, en efecto, más próximo a la velocidad instantánea de la piedra a los 3 segundos.Ahora debemos coger el toro por los cuernos y debemos abordar el problema de calcular la velocidad media de la piedra entre los x segundos y un poco después, a los x + h segundos. Después de mover un poco los símbolos, hallamos que ésta es
16 × (2x) + 16 × h
A medida que vamos haciendo que h sea cada vez más pequeño, como hicimos al ir de 0,5 a 0,05, vemos que el primer término se queda como estaba (porque h no está implicado en él) y que el segundo término cada vez se hace más pequeño. Llegamos a la conclusión de quev = 16 × (2x)
donde v es la velocidad instantánea de la piedra en el momento x. La velocidad instantánea de la piedra después de 1 segundo (cuando x = 1) es 16 × (2 × 1) = 32 pies por segundo; después de 3 segundos es 16 × (2 × 3), lo que nos da 96 pies por segundo.Si comparamos la fórmula de la distancia de Galileo y = 16 × x2 con la fórmula de la velocidad v = 16 × (2x), la diferencia fundamental es el cambio de x por 2x. Éste es el efecto de la diferenciación, en la que pasamos de u = x2 a la derivada u' = 2x. Newton llamó a u' = 2x un «fluxión» y a la variable x un fluente porque pensaba en términos de cantidades fluyentes. Hoy día a menudo escribimos u = x2 y su derivada como du/dx = 2x. El uso continuado de esta notación con «d», originalmente introducida por Leibniz, representa su éxito sobre la notación del punto que usaba Newton.
La derivada se forma multiplicando por la potencia anterior y sustrayendo 1 de ello para formar la nueva potencia.
La integración
La primera aplicación de la integración fue la medición del área. La medición del área que hay debajo de una curva se lleva a cabo dividiéndola en franjas rectangulares aproximadas, teniendo cada una de ellas la anchura dx. Midiendo el área de cada una y sumándolas, obtenemos la «suma» y por consiguiente el área total. La notación S para representar la suma fue introducida por Leibniz en forma alargada, ò. El área de cada una de las franjas rectangulares es udx, de modo que el área A que hay debajo de la curva de 0 a x es
En el caso de que fueran curvas distintas seguiríamos siendo capaces de calcular la integral. La integral se forma dividiendo por la «potencia anterior +1» y sumando 1 para formar la nueva potencia.El resultado estrella
Si diferenciamos la integral A = x3/3 en realidad obtenemos el u = x2 original. Si integramos la derivada du/dx = 2x en realidad obtenemos el u = x2 original. La diferenciación es lo inverso a la integración, una observación que se conoce como el Teorema Fundamental del Cálculo y que es uno de los teoremas más importantes de todas las matemáticas.
La idea en síntesis: llegar al límite
Demostrar un negativo es, a menudo, difícil, pero algunos de los mayores triunfos de las matemáticas han consistido en hacer precisamente eso. Esto supone demostrar que no es posible hacer algo. Cuadrar el círculo es imposible, pero ¿cómo podemos demostrarlo?Los antiguos griegos tenían cuatro grandes problemas de construcción:
- trisecar el ángulo (dividir un ángulo en tres ángulos iguales más pequeños)
- doblar el cubo (construir un segundo cubo que tenga el doble de volumen que el primero)
- cuadrar el círculo (crear un cuadrado que tenga la misma área que un círculo determinado)
- construir polígonos (construir figuras regulares que tengan lados y ángulos iguales).

Trisección del ángulo
He aquí una forma de dividir un ángulo en dos ángulos iguales más pequeños o, en otras palabras, bisecarlo.
Primero coloque la punta del compás en O y, con cualquier radio, marque OA y OB. Moviendo la punta del compás a A, trace una porción de un círculo. Haga lo mismo en B. Llame P al punto de intersección de estos círculos, y con la regla una O con P. Los triángulos AOP y BOP tienen formas idénticas y por consiguiente los ángulos AOP y BOP serán iguales. La línea OP es la bisectriz que buscábamos, la cual divide el ángulo en dos ángulos iguales.¿Podemos usar una secuencia de acciones como ésta para dividir un ángulo arbitrario en tres ángulos iguales? Éste es el problema de la trisección del ángulo.
Si el ángulo es de 90 grados, un ángulo recto, no hay ningún problema, porque el ángulo de 30 grados se puede construir. Pero, si tomamos el ángulo de 60 grados, este ángulo no se puede trisecar, por ejemplo. Sabemos que la solución es 20 grados, pero no hay ninguna forma de construir este ángulo usando solamente regla y compás. Así que, resumiendo:
- se puede bisecar todos los ángulos todo el tiempo,
- se puede trisecar algunos ángulos todo el tiempo, pero
- no se puede trisecar algunos ángulos en cualquier momento.
Imagine que el altar de Délos empezó siendo un cubo tridimensional con la misma longitud en todos sus lados, llamémosla a. Así que necesitaban construir otro cubo de longitud b que tuviera el doble de volumen. El volumen de cada cubo es a3 y b3 y están relacionados por b3 = 2a3 o b =3√2×a, donde 3√2 es el número multiplicado por sí mismo tres veces, lo que nos da 2 (la raíz cúbica). Si el lado del cubo original es a = 1, la gente de Délos tenía que marcar la longitud 3√2 en una línea. Desgraciadamente para ellos, esto es imposible con una regla y un compás.
La cuadratura del círculo
Este problema es un poco distinto y es el más famoso de todos los problemas de construcción:Construir un cuadrado cuya área sea igual al área de un círculo dado.La expresión «cuadratura del círculo» se usa comúnmente para expresar lo imposible. La ecuación algebraica x2 - 2 = 0 tiene las soluciones concretas x = √2 y x = -√1. Son números irracionales (no se pueden escribir como fracciones), pero demostrar que el círculo no se puede cuadrar viene a ser lo mismo que demostrar que π no puede ser la solución de ninguna ecuación algebraica. A los números irracionales que tienen esta propiedad se les denomina números trascendentes porque tienen una «mayor» irracionalidad que sus parientes irracionales como por ejemplo √2.
Los matemáticos generalmente creían que π era un número trascendente pero este «enigma secular» fue difícil de demostrar hasta que Ferdinand von Lindemann usó una modificación de una técnica introducida por Charles Hermite. Hermite la había usado para lidiar con el problema, menos importante, de demostrar que la base de los logaritmos naturales, e, era trascendente.
Después del resultado de Lindemann, podríamos pensar que habría cesado el flujo de artículos generados por la indomable banda de los «cuadradores del círculo». En absoluto. Quienes se negaron a aceptar la lógica de la demostración, y algunos que nunca habían oído hablar de ella, siguieron bailando en los márgenes de las matemáticas.
Construcción de polígonos
Euclides planteó el problema de cómo construir un polígono regular. Se trata de una figura simétrica de muchos lados, como un cuadrado o un pentágono, en la que todos los lados tienen la misma longitud y cuyos lados adyacentes forman ángulos iguales. En su famosa obra Elementos (Libro 4), Euclides mostraba cómo se podían construir los polígonos de 3, 4, 5 y 6 lados usando únicamente nuestras dos herramientas básicas.
El polígono de 3 lados es lo que normalmente llamamos un triángulo equilátero y es especialmente sencillo de construir. Sea cual sea la longitud que usted quiera que tenga su triángulo, llame a un punto A y al otro B y deje la distancia deseada entre ellos. Sitúe la punta del compás en A y trace una porción del círculo con radio AB. Repita esto con la punta del compás en B usando el mismo radio. El punto de la intersección de estos dos arcos está en P. Como AP = AB y BP = AB los tres lados del triángulo APB son iguales. El triángulo real se completa uniendo AB, AP y BP usando la regla.Si usted cree que tener una regla parece más bien un lujo, no es el único: el danés Georg Mohr lo creía también. El triángulo equilátero se construye hallando el punto P y para esto sólo se necesita el compás: la regla sólo se usaba para unir físicamente los puntos. Mohr demostró que cualquier construcción que se podía realizar mediante regla y compás se podía llevar a cabo exclusivamente con compás.
El italiano Lorenzo Mascheroni demostró los mismos resultados 125 años después.
En el caso del problema general, los polígonos de p lados donde p es un número primo son especialmente importantes. Ya hemos construido el polígono de 3 lados, y Euclides construyó el polígono de 5 lados pero no pudo construir el polígono de 7 lados (el heptágono). Un tal Carl Friedrich Gauss, al investigar este problema cuando tenía 17 años, demostró un negativo. Dedujo que no es posible construir un polígono de p lados cuando p = 7, 11 o 13.
Pero Gauss también demostró un positivo, y llegó a la conclusión de que es posible construir un polígono de 17 lados. En realidad Gauss fue más allá y demostró que es posible construir un polígono de p lados si y solamente si el número primo p tiene la forma

Cuando probamos con n = 5,
el número de Fermat es p = 232 + 1 = 4.294.967.297. Pierre de Fermat aventuró la conjetura de que todos ellos eran números primos, pero desgraciadamente éste no es un número primo, porque 4.294.967.297 = 641×6.700.417. Si ponemos n = 6 ó 7 en la fórmula los resultados son enormes números de Fermat pero, al igual que sucede con el 5, ninguno de ellos es primo.
¿Existe algún otro número primo de Fermat? La opinión general es que no, pero nadie lo sabe a ciencia cierta.
La idea en síntesis: con una regla y un compás...
El dato más obvio acerca de un triángulo es que es una figura con tres lados y tres ángulos (tri-ángulos). La trigonometría es la teoría que usamos para «medir el triángulo», ya sea el tamaño de los ángulos, la longitud de los lados, o el área cerrada.El cuento del triángulo
Existe un ingenioso razonamiento que demuestra que los ángulos de cualquier triángulo suman dos ángulos rectos o 180 grados. A través del punto o «vértice» A de cualquier triángulo trace una línea MAN paralela a la base BC.

El ángulo ABC, que llamaremos x, es igual al ángulo BAM porque son ángulos alternos y MN y BC son paralelos. Los otros dos ángulos alternos son iguales a y. El ángulo que hay en torno al punto A es igual a 180 grados (la mitad de 360 grados) y esto es x + y + z, que es la suma de los ángulos del triángulo.
Naturalmente, estamos suponiendo que el triángulo se dibuja sobre una superficie plana como esta hoja lisa de papel. Los ángulos de un triángulo dibujado sobre una pelota (un triángulo esférico) no suman 180 grados, pero eso es otra historia.
Euclides demostró muchos teoremas sobre triángulos, asegurándose siempre de hacerlo deductivamente.

El teorema de Pitágoras
Es el más grande de todos los teoremas que versan sobre triángulos, y éste ocupa un lugar en las matemáticas modernas; aunque hay ciertas dudas acerca de que fuera Pitágoras el primero en descubrirlo. Su exposición más célebre es la que se expresa en términos algebraicos, a2 + b2 = c2, pero Euclides habla de figuras cuadradas reales: «En los triángulos rectángulos, el cuadrado del lado que subtiende al ángulo recto es igual a los cuadrados de los lados que contienen el ángulo recto».
La demostración de Euclides es la Proposición 47 del Libro 1 de los Elementos. Existen varios cientos de demostraciones. El espíritu de una de las preferidas está más próximo al de una de Bhaskara del siglo XII que al de una demostración euclídea del 300 a.C.Esta es una demostración «sin palabras».
En la figura, el cuadrado de lado a + b se puede dividir de dos formas distintas.
Como los cuatro triángulos iguales (sombreados) son comunes a ambos cuadrados, podemos eliminarlos y seguiríamos teniendo igualdad de área. Si examinamos las áreas de las formas restantes, surge la conocida expresión.
a2 + b2 = c2
La línea de EulerCientos de proposiciones sobre triángulos son posibles. En primer lugar, pensemos en los puntos medios de los lados. En cualquier triángulo ABC marcamos los puntos medios D, E, F de sus lados. Una B con F y C con D y señale el
punto en el que se cruzan como G. Ahora una A con E. ¿Atraviesa esta línea también G? A menos que razonemos un poco más, no resulta obvio que necesariamente tenga que hacerlo. En realidad, sí que lo hace, y el punto G se denomina el «centroide» del triángulo. Este es el centro de gravedad del triángulo.
Hay literalmente cientos de «centros» distintos relacionados con un triángulo. Otro es el punto H en el que las alturas (las líneas dibujadas desde un vértice perpendicular a una base, que se muestran como líneas de puntos en la figura) se encuentran. Esto se denomina el «ortocentro». También hay otro centro denominado el «circuncentro» O donde cada una de las líneas (conocidas como «perpendiculares») en D, E y F se encuentran (no mostrado). Éste es el centro del círculo que puede dibujarse a través de A, B y C.Pero hay más. En cualquier triángulo ABC los propios centros G, H y O, respectivamente el centroide, el ortocentro y el circuncentro, se hallan situados a lo largo de una línea, denominada «línea de Eider». En el caso de un triángulo equilátero (todos los lados de igual longitud) estos tres puntos coinciden y el punto resultante es inequívocamente el centro del triángulo.
El teorema de Napoleón
Si tenemos cualquier triángulo ABC, se pueden construir triángulos equiláteros en cada uno de sus lados y a partir de sus centros se construye un nuevo triángulo DEF. El teorema de Napoleón afirma que para cualquier triángulo ABC, el triángulo DEF es un triángulo equilátero.
Los datos fundamentales que determinan un triángulo consisten en conocer la longitud de un lado y dos ángulos. Usando la trigonometría podemos medir todo lo demás.A la hora de medir áreas de tierra para dibujar mapas resulta bastante útil ser un creyente en la teoría de que la tierra es plana y suponer que los triángulos son planos. Se crea una red de triángulos empezando con una línea base BC de longitud conocida, eligiendo un punto lejano A (el punto de triangulación) y midiendo los ángulos ABC y ACB mediante un teodolito. Por trigonometría se conoce todo sobre el triángulo ABC y el topógrafo sigue adelante, fija el siguiente punto de triangulación desde la nueva línea base AB o AC y repite la operación para crear una red de triángulos.
Esto se usó como base para la Gran Planimetría Trigonométrica de la India que empezó en la década de 1800 y duró 40 años. El objetivo era reconocer el Gran Arco Meridional desde el Cabo Comorin en el sur hasta el Himalaya en el norte, una distancia de unos 2.500 kilómetros, y trazar el mapa de esa región.


El triángulo es un objeto familiar, tanto para los niños que juegan con figuras sencillas como para los investigadores que se ocupan diariamente de la desigualdad del triángulo en matemáticas abstractas. La trigonometría es la base para hacer cálculos sobre los triángulos y las funciones de seno, coseno y tangente son las herramientas para describirlos, que nos permiten hacer cálculos exactos para aplicaciones prácticas.
La idea en síntesis: tres caras de una historia
Es fácil dibujar una curva. Los artistas lo hacen todo el tiempo; los arquitectos diseñan una extensión de nuevos edificios sobre la curva de una calle en forma de media lima, o un recinto moderno. Un lanzador de béisbol lanza una bola con trayectoria curvada. Los deportistas suben por el campo describiendo una curva, y cuando chutan a puerta, el balón describe una curva. Pero si preguntásemos «¿qué es una curva?», la respuesta no es tan fácil de formular.Los matemáticos llevan siglos estudiando las curvas desde muchas perspectivas. Su estudio empezó con los griegos y las curvas que ellos estudiaron se denominan ahora curvas «clásicas».

La primera familia del reino de las curvas clásicas es lo que llamamos «secciones cónicas». Miembros de esta familia son el círculo, la elipse, la parábola y la hipérbola. La cónica se forma a partir del cono doble, dos conos de helado unidos, uno de los cuales está al revés. Haciendo cortes a través de esto con un plano raso, las curvas de intersección serán un círculo, una elipse, una parábola o una hipérbola, dependiendo de la inclinación del plano de corte respecto al eje vertical del cono.
Podemos pensar en una cónica como si se tratara de la proyección de un círculo sobre una pantalla. Los rayos de luz emitidos por la bombilla de una lámpara cilíndrica de mesa forman un doble cono de luz en el que la luz arrojará proyecciones de los bordes circulares superior e inferior. La 045.jpg" style="float:right; margin:12px;" alt=045.jpg>
Las cónicas también pueden describirse en función de cómo se mueven los puntos en el plano. Éste es el método del «lugar geométrico» que encantaba a los griegos, y, a diferencia de la definición proyectiva, implica la longitud. Si un punto se mueve de forma que su distancia desde un punto fijo siempre es la misma, obtenemos un círculo. Si un punto se mueve de forma que la suma de sus distancias desde dos puntos fijos (los focos) es un valor constante, obtenemos una elipse (cuando los dos focos son iguales, la elipse se convierte en un círculo). La elipse fue la clave para describir el movimiento de los planetas. En 1609, el astrónomo alemán Johannes Kepler anunció que los planetas se desplazan alrededor del sol describiendo elipses, rechazando la antigua idea de las órbitas circulares.
No es tan obvio que el punto se mueve de forma que su distancia desde un punto (el foco F) es la misma que su distancia perpendicular desde una línea determinada (la directriz). En este caso obtenemos una parábola. La parábola tiene una gran cantidad de propiedades útiles. Si se sitúa una fuente luminosa en el foco F, los rayos luminosos emitidos son todos paralelos a PM. Por otro lado, si un satélite emite señales de televisión y éstas inciden sobre una antena receptora en forma de bandeja parabólica, se concentran en el foco y se envían al televisor.Si se hace girar una vara en tomo a un punto, cualquier punto fijo en la vara traza un círculo, pero si se hace que un punto se mueva hacia el exterior a lo largo de la vara además de hacerla girar, esto genera una espiral. A Pitágoras le encantaba la espiral y posteriormente Leonardo da Vinci se pasó diez años de su vida estudiando los distintos tipos de ésta, mientras que René Descartes escribió un tratado sobre ellas. La espiral logarítmica también se denomina espiral equiangular, porque forma el mismo ángulo con un radio y la tangente en el punto en el que el radio se encuentra con la espiral.
Jacob Bernoulli, miembro del afamado clan matemático de Suiza, estaba tan enamorado de la espiral logarítmica que hizo que la tallaran en su tumba de Basilea[1]. El «hombre de Renacimiento» Emanuel Swedenborg consideraba que la escalera de caracol era la figura más perfecta. Una espiral tridimensional enroscada en torno a un cilindro se denomina hélice. Dos de éstas, una hélice doble, forman la estructura básica del ADN.
Hay muchas curvas clásicas, como la limaçon, la lemniscata y los diversos óvalos. A la cardioide se le da ese nombre por tener forma de corazón. La curva catenaria fue objeto de investigación en el siglo XVIII y se identificaba como la curva formada por una cadena que cuelga entre dos puntos. La catenaria es la curva que puede verse en un puente colgante, colgando entre los dos pilones verticales de este.
Uno de los aspectos de la investigación sobre las curvas que se llevó a cabo en el siglo XIX estuvo relacionado con las curvas que se generaban mediante varas mecánicas. Esta cuestión fue una ampliación del problema que resolvió de forma aproximada el ingeniero escocés James Watt, que diseñó varas articuladas para convertir el movimiento circular en movimiento lineal. En la era del vapor esto supuso un importante adelanto.
El más sencillo de estos artilugios mecánicos es el movimiento de tres barras, en el que las barras se ensamblan con posiciones fijas en cada uno de los extremos. Si la «barra de enganche» PQ se mueve en cualquier sentido, el lugar geométrico de un punto en ella resulta ser una curva de grado seis, una «curva séxtica».Las curvas algebraicas
Tras Descartes, que revolucionó la geometría con la introducción de las coordenadas x, y y z y los ejes cartesianos que llevan su nombre, las cónicas ya se podían estudiar como ecuaciones algebraicas. Por ejemplo, el círculo de radio 1 tiene la ecuación x2 + y2 = 1, que es una ecuación de segundo grado, como son todas las cónicas. Surgió una nueva rama de la geometría llamada geometría algebraica.
En un importante estudio, Isaac Newton clasificó las curvas descritas por ecuaciones algebraicas de tercer grado, o curvas cúbicas. En comparación con las cuatro cónicas básicas, se hallaron 78 tipos, agrupados en cinco clases. La explosión del número de tipos distintos continúa en el caso de las curvas cuárticas, que tienen tantos tipos distintos que nunca se ha llevado a cabo su clasificación total.
Con el estudio de las curvas como ecuaciones algebraicas no se acaba todo. Muchas curvas como las catenarias, las cicloides (las curvas trazadas por un punto situado en una rueda que gira) y las espirales no son fácilmente expresables como ecuaciones algebraicas.
Una definición
Lo que perseguían los matemáticos era una definición de la propia curva, no simplemente de ejemplos concretos. Camille Jordán propuso una teoría sobre las curvas basada en la definición de una curva en términos de puntos variables.
He aquí un ejemplo. Si hacemos que x = t2 e y = 2t, para distintos valores de t obtenemos muchos puntos distintos que podemos escribir como coordenadas (x, y). Por ejemplo, si t = 0 obtenemos el punto (0,0), t = 1 da el punto (1, 2), y así sucesivamente. Si marcamos estos puntos sobre los ejes x-y y «unimos los puntos», obtendremos una parábola. Jordán perfeccionó esta idea del trazado de puntos. Para él, ésta era la definición de una curva.
Las curvas de Jordán pueden ser intrincadas, incluso cuando son como el círculo, en el sentido de que son «simples» (no se cruzan a sí mismas) y «cerradas» (no tienen principio ni fin). El célebre teorema de Jordán tiene sentido. Afirma que una simple curva cerrada tiene un interior y un exterior. Su aparente «obviedad» es engañosa.
En Italia, Giuseppe Peano causó sensación cuando, en 1890, demostró que, según la definición de Jordán, un cuadrado relleno es una curva. Fue capaz de organizar los puntos de un cuadrado de forma que todos ellos se pudieran «trazar» y al mismo tiempo conformar a la definición de Jordán. Esto se denominaba curva de rellenado de espacio, e hizo un agujero en la definición de Jordán: es evidente que un cuadrado no es una curva en el sentido convencional del término.Los ejemplos de las curvas de rellenado de espacio y otros ejemplos patológicos hicieron que los matemáticos volvieran a empezar de nuevo y reflexionaran sobre las bases de la teoría de la curva. Se planteó en su totalidad la cuestión de desarrollar una mejor definición de qué es una curva. A comienzos del siglo XX, esta tarea llevó a las matemáticas al nuevo campo de la topología.
La idea en síntesis: saliéndonos por la tangente
La topología es la rama de la geometría que se ocupa de las propiedades de las superficies y de las figuras en general, pero a la que le es indiferente la medición de longitudes o ángulos. Entre los aspectos más importantes en este ámbito figuran las cualidades que no cambian cuando las figuras se transforman en otras figuras. Aquí podemos empujar y estirar la forma en cualquier dirección y por este motivo en ocasiones se describe a la topología como «geometría sobre hoja de goma». ¡Los topólogos son gente incapaz de distinguir un donut de una taza de café!Un donut es una superficie que tiene un solo agujero. Una taza de café es lo mismo, y en su caso el agujero adopta la forma del asa.


Las formas más básicas que estudian los topólogos son los poliedros («poli» significa «muchos» y «edros» significa «caras»). Un ejemplo de poliedro es un cubo, que tiene 6 caras cuadradas,
8 vértices (puntos en la unión de las caras) y 12 aristas (las líneas que unen los vértices). El cubo es un poliedro regular porque:- todas las caras son la misma figura regular
- todos los ángulos que hay entre las aristas que se encuentran en un vértice son iguales.
- el tetraedro (que tiene 4 caras triangulares)
- el cubo (que tiene 6 caras cuadradas)
- el octaedro (que tiene 8 caras triangulares)
- el dodecaedro (que tiene 12 caras pentagonales)
- el icosaedro (que tiene 20 caras triangulares).
Si eliminamos la condición de que todas las caras sean iguales, entraremos en el reino de los sólidos de Arquímedes, que son semi-regulares. Pueden generarse ejemplos de ellos a partir de los sólidos platónicos. Si cortamos (truncamos) algunas esquinas del icosaedro tendremos la figura que se usa como diseño para el balón de fútbol moderno. Las 32 caras que forman los paneles están compuestas por 12 pentágonos y 20 hexágonos. Hay 90 aristas y 60 vértices. También es la forma de las moléculas de fulereno, llamado así en homenaje al visionario Richard Buckminster Fuller, el creador de la cúpula geodésica. Estas «pelotas de fulereno» son una forma de carbono de reciente descubrimiento, C60, en la que encontramos un átomo de carbono en cada vértice.La fórmula de Euler
La fórmula de Euler es que el número de vértices V, aristas A y caras C, de un poliedro, están conectados mediante la fórmula:
V - A + C = 2
Por ejemplo, en el caso de un cubo, V = 6, A = 12, y C = 8, de modo que V - A + C = 6-12 + 8 = 2 y, en el caso del fulereno, V - A + C = 60 - 90 + 32 = 2. Este teorema en realidad pone en cuestión la propia idea del poliedro.Si un cubo está atravesado por un «túnel», ¿es un verdadero poliedro? En el caso de esta figura, V = 16, A = 32, C = 16 y V - A + C = 16 - 32 + 16 = 0. La fórmula de Euler no funciona. Para salvar la exactitud de la fórmula, el tipo de poliedro podría limitarse a aquellos que no tengan túneles. Otra posibilidad sería generalizar la fórmula para incluir esta peculiaridad.
Clasificación de las superficies
Un topólogo podría considerar idénticos al donut y la taza de café, pero ¿qué clase de superficie es distinta al donut? La pelota de goma sería una candidata a ello. No hay ninguna forma de transformar el donut en una pelota, porque el donut tiene un agujero pero la pelota no. Ésta es una diferencia fundamental entre las dos superficies. Así que una forma de clasificar las superficies es según el número de agujeros que contengan.
Tomemos una superficie con r agujeros y dividámosla en regiones limitadas por aristas que unen vértices colocados en la superficie. Una vez hecho esto, podemos contar el número de vértices, aristas y caras. Para cualquier división, la expresión de Euler V - A + C siempre tiene el mismo valor, que se denomina la característica de Euler de una superficie:
V-A + C = 2 - 2r
Si la superficie no tiene ningún agujero (r = 0), como sucedía en el caso de los poliedros comunes, la fórmula se reduce al V - A + C = 2 de Euler. En caso de tener un agujero (r = 1), como sucedía en el caso del cubo con un túnel, V - A + C = 0.Superficies de un lado
Normalmente, una superficie tendrá dos lados. El exterior de una pelota es distinto al interior y la única manera de atravesarla de parte a parte es taladrar un agujero en la pelota, una operación de corte que no se permite en la topología (se puede estirar pero no cortar). Una hoja de papel es otro ejemplo de una superficie de dos lados. El único lugar en el que un lado se une con el otro lado es a lo largo de la curva delimitadora que forman los bordes del papel.La idea de una superficie de un solo lado parece rocambolesca. No obstante, en el siglo XIX el matemático y astrónomo alemán August Möbius descubrió una famosa. La forma de construir esta superficie es coger una tira de papel, hacerla girar una vez y luego pegar los extremos entre sí. El resultado es una «banda de Möbius», una superficie de un lado con una curva delimitadora. Puede usted coger un lápiz y empezar a dibujar una línea a lo largo de su parte central. ¡Muy pronto habrá regresado al punto de partida!
Es posible incluso tener una superficie de un lado que no tenga una curva delimitadora. Es la «botella de Klein», llamada así en homenaje al matemático alemán Félix Klein. Lo que llama especialmente la atención de esta botella es que no se interseca a sí misma. Sin embargo, no es posible hacer una maqueta de la botella de Klein en el espacio tridimensional sin una intersección física, ya que ésta existe en su forma apropiada en cuatro dimensiones, donde no tendría ninguna intersección.Estas dos superficies son ejemplos de lo que los topólogos llaman «multiplex» superficies geométricas que parecen hojas de papel bidimensional cuando se ven sólo pequeñas partes de ellas por sí solas. Como la botella de Klein no tiene ningún límite, se denomina un múltiple «cerrado» de 2.
La conjetura de Poincaré
Durante más de un siglo, un destacado problema en la topología fue la célebre conjetura de Poincaré, llamada así en homenaje a Henri Poincaré. La conjetura se centra en la conexión entre el álgebra y la topología.
La parte de la conjetura que no se resolvió hasta hace poco se aplicaba a los múltiples cerrados de 3. Estos pueden ser complicados: imagine una botella de Klein con una dimensión adicional. Poincaré aventuró la conjetura de que ciertos múltiples cerrados de 3 que tenían todos los sellos distintivos algebraicos de ser esferas tridimensionales en realidad tenían que ser esferas. Era como si usted caminara sobre una pelota gigante y todas las pistas que recibiera indicaran que es una esfera, pero como no podría ver el conjunto, se preguntaría si realmente es una esfera.
Nadie podía demostrar la conjetura de Poincaré en el caso de los múltiples de 3. ¿Era verdadera o falsa? Se había demostrado para todas las demás dimensiones, pero el caso de los múltiples de 3 se resistía. Hubo muchas demostraciones erróneas, hasta 2002, cuando se admitió que Grigori Perelman, del Instituto Steklov de San Petersburgo, finalmente la había demostrado. Al igual que la solución para otros grandes problemas de las matemáticas, las técnicas necesarias para solucionar la conjetura de Poincaré se hallaban fuera de su área inmediata, en una técnica relacionada con la difusión del calor.
La idea en síntesis: de los donuts a las tazas de café
Leonardo da Vinci escribió en su cuaderno: «La ciencia de la pintura comienza con el punto, después viene la línea, en tercer lugar llega el plano, y lo cuarto es el cuerpo en su ropaje de planos». En la jerarquía de Da Vinci, el punto tiene dimensión cero, la línea es unidimensional, el plano es bidimensional y el espacio es tridimensional. ¿Podría esto ser más obvio? Es así como el geómetra griego Euclides había divulgado el punto, la línea, el plano y la geometría sólida, y Leonardo estaba siguiendo la exposición de Euclides.Que el espacio físico es tridimensional ha sido la opinión generalizada durante milenios. En el espacio físico podemos desplazarnos fuera de esta página a lo largo del eje x, o a través de ella horizontalmente a lo largo del eje y o ascender verticalmente por el eje z, o cualquier combinación de estos movimientos.

Un cubo tiene, obviamente, estas tres dimensiones y también las tiene cualquier otra cosa que tenga solidez. En el colegio normalmente se nos enseña la geometría del plano, que es bidimensional, y después pasamos a las tres dimensiones, la «geometría sólida», y nos detenemos allí.
En torno a comienzos del siglo XIX, los matemáticos empezaron a tener escarceos con las cuatro dimensiones y con matemáticas n-dimensionales con valores de n aún mayores. Muchos filósofos y matemáticos empezaron a preguntar si existían dimensiones superiores.
Dimensiones físicas superiores
Muchos destacados matemáticos del pasado pensaban que era imposible imaginar cuatro dimensiones. Se cuestionaron la realidad de las cuatro dimensiones, y explicar esto se convirtió en un desafío.
Una forma habitual de explicar por qué podían ser posibles cuatro dimensiones era recurrir a las dos dimensiones. En 1884, Edwin Abbott publicó un libro muy popular sobre «habitantes de la Tierra Plana» que vivían en el plano bidimensional. Ellos no podían ver los triángulos, ni los cuadrados ni los círculos que existían en la Tierra Plana porque no podían entrar en la tercera dimensión para verlos. Su visión estaba extremadamente limitada. Tenían los mismos problemas a la hora de pensar en una tercera dimensión que los que tenemos nosotros a la hora de pensar en una cuarta. Pero leer a Abbott nos predispone mentalmente para aceptar la cuarta dimensión.
La necesidad de considerar la posibilidad de la existencia real de un espacio tetradimensional se hizo más urgente cuando apareció Einstein. La geometría tetradimensional se volvió más verosímil, e incluso más comprensible, porque la dimensión adicional en el modelo de Einstein es el tiempo. A diferencia de Newton, Einstein consideraba que el tiempo estaba ligado al espacio en un continuo espacio-temporal de cuatro dimensiones. Einstein decretó que vivimos en un mundo tetradimensional que tiene cuatro coordenadas (x, y, z, t) donde t designa el tiempo.
Hoy en día el mundo tetradimensional einsteiniano parece bastante dominado y natural. Un modelo más reciente de realidad física se basa en las «cuerdas». En esta teoría, las conocidas partículas subatómicas, como son los electrones, son las manifestaciones de cuerdas vibrantes sumamente diminutas. La teoría de las cuerdas propone la sustitución del continuo espacio-temporal de cuatro dimensiones por una versión con un mayor número de dimensiones. Las investigaciones actuales sugieren que el continuo espacio-temporal que se puede acomodar a la teoría de las cuerdas debería tener o 10, u 11, o 26 dimensiones, dependiendo de otras suposiciones y de distintos puntos de vista.
Un enorme imán de 2.000 toneladas que se halla en el CERN, cerca de Ginebra, Suiza, diseñado para fraguar colisiones de partículas a altas velocidades, podría contribuir a resolver el problema. Con él se pretende descubrir la estructura de la materia y, como resultado adicional de ello, podría apuntar hacia una teoría mejor y hacia la respuesta «correcta» sobre la dimensionalidad. Se especula con que vivimos en un universo de 11 dimensiones.
El hiperespacio
A diferencia de lo que sucede con las dimensiones físicas superiores, un espacio matemático de más de tres dimensiones no plantea ningún problema en absoluto. El espacio matemático puede ser cualquier número de dimensiones. Desde comienzos del siglo XIX, los matemáticos han usado habitualmente las variables n en su trabajo. George Green, molinero de Nottingham que exploró las matemáticas de la electricidad, y los matemáticos puros A. L. Cauchy, Arthur Cayley y Hermann Grassmann, describieron, todos ellos, sus matemáticas en términos del hiperespacio de n dimensiones. No parecía haber ninguna buena razón para poner límites a las matemáticas y sí parecía que había mucho que ganar en elegancia y claridad.
La idea que hay detrás de las n dimensiones es simplemente una ampliación de las coordenadas tridimensionales (x, y, z) a un número no especificado de variables. Un círculo en dos dimensiones tiene una ecuación x2 + y2 = 1, una esfera en tres dimensiones tiene una ecuación x2 + y2 + z2 = 1, de modo que ¿por qué no una hiperesfera en cuatro dimensiones con la ecuación x2 + y2 + z2 + w2 = 1?
Las coordenadas de las ocho esquinas de un cubo en tres dimensiones tienen la forma (x, y, z), donde cada una de las coordenadas x, y, z es ó 0 ó 1. El cubo tiene seis caras, cada una de las cuales es un cuadrado, y hay 2 × 2 × 2 = 8 esquinas.
¿Y un cubo tetradimensional? Sus coordenadas tendrán la forma (x, y, z,w), donde cada una de las coordenadas x, y, z y w es ó 0 ó 1. De modo que hay 2 × 2 × 2 × 2 = 16 posibles esquinas para el cubo tetradimensional, y ocho caras, cada una de las cuales es un cubo. En realidad no podemos ver este cubo tetradimensional, pero podemos crear una representación pictórica de él en esta hoja de papel. Ésta muestra una proyección del cubo tetradimensional que existe en la imaginación del matemático. Las caras cúbicas casi pueden percibirse.Un espacio matemático de muchas dimensiones es algo con lo que los matemáticos puros están bastante acostumbrados a verse. No se afirma su existencia real, aunque se puede suponer que existe en un mundo ideal platónico. En el gran problema de la clasificación de grupos, por ejemplo, el «grupo monstruoso» es una forma de medir la simetría en un espacio matemático de 196.883 dimensiones. No podemos «ver» este espacio de la misma manera que podemos hacerlo en el espacio tridimensional normal, pero aún así se puede imaginar y se puede operar con él de forma precisa mediante el álgebra moderna.
El interés del matemático por la dimensión es completamente independiente del significado que el físico adscribe al análisis dimensional. Las unidades habituales de la física se miden en términos de masa M, longitud L, y tiempo T.

De modo que, usando su análisis dimensional, un físico puede comprobar si las ecuaciones tienen sentido ya que ambos lados de una ecuación deben tener las mismas dimensiones.
No sirve de nada tener fuerza = velocidad. Un análisis dimensional da la velocidad como metros por segundo, de modo que tiene dimensión de longitud dividida por tiempo o L/T, que escribimos como LT1. La fuerza es la aceleración multiplicada por la masa, y como la aceleración es metros por segundo por segundo, el resultado es que la fuerza tendrá las dimensiones MLT-2.
Topología
La teoría de la dimensión forma parte de la topología general. Pueden definirse otros conceptos de dimensión independientemente en términos de espacios matemáticos abstractos. Una importante tarea es mostrar cómo se relacionan entre sí. Figuras destacadas de muchas ramas de las matemáticas han ahondado en el significado de la dimensión.
La dimensión en todas sus formas
Desde las tres dimensiones introducidas por los griegos, la idea de dimensión se ha analizado críticamente y se ha ampliado.
Las dimensiones n del espacio matemático se introdujeron sin demasiada dificultad, mientras que los físicos han basado sus teorías en el espacio-tiempo (de cuatro dimensiones) y en recientes versiones de la teoría de las cuerdas que requieren 10, 11 y 26 dimensiones. Ha habido incursiones en dimensiones fraccionarias con formas fractales en las que se han estudiado varias medidas distintas.
La idea en síntesis: mas allá de la tercera dimensión
En marzo de 1980, el ordenador central, equipado con la tecnología punta de la época, del centro de investigación de IBM de Yorktown Heights, en el estado de Nueva York, enviaba sus instrucciones a un prehistórico dispositivo de impresión Tektronix. Este percutía diligentemente una página blanca imprimiendo puntos en curiosos lugares, y cuando detuvo su repiqueteo el resultado parecía un puñado de polvo difuminado por toda la hoja. Benoit Mandelbrot se frotaba los ojos sin dar crédito a lo que veía. Comprendía que aquello era importante, pero ¿qué era? La imagen que aparecía lentamente ante él era como una copia en blanco y negro que surgía de un baño de revelado fotográfico. Fue un primer vislumbre de ese icono del mundo de los fractales: el conjunto de Mandelbrot.Esto eran matemáticas experimentales por excelencia, una aproximación a la materia en la que los matemáticos tenían sus bancos de laboratorio del mismo modo que los físicos y los químicos. Se abrieron nuevas perspectivas, literalmente.
Era una liberación respecto a los áridos climas de «definición, teorema, demostración», si bien es cierto que posteriormente tendría que producirse un regreso a los rigores de la argumentación racional.

El conjunto de Mandelbrot
Mandelbrot y sus colegas no estaban siendo matemáticos especialmente abstrusos. Estaban jugando con la fórmula más sencilla. Toda la idea se basa en la iteración, la práctica de aplicar una fórmula una y otra vez. La fórmula que generó el conjunto de Mandelbrot era sencillamente x2 + c.
Lo primero que hacemos es escoger un valor de c. Escojamos c = 0,5. Empezando con x = 0, lo sustituimos en la fórmula x2 + 0,5. Este primer cálculo da 0,5 de nuevo. Ahora usamos esto como x, sustituyéndolo en x2 + 0,5, lo que nos da un segundo cálculo: (0,5 )2 + 0,5 = 0,75. Seguimos así, y en la tercera etapa esto será (0,75)2 + 0,5 = 1,0625. Todos estos cálculos se pueden hacer en una calculadora manual. Si continuamos, hallamos que la solución es cada vez mayor.
Probemos otro valor de c, esta vez c = - 0,5. Como antes, empezamos en x = 0 y lo sustituimos en x2 - 0,5, lo que nos da - 0,5. Si continuamos, obtenemos - 0,25, pero esta vez los valores no se hacen cada vez mayores, sino que, después de algunas oscilaciones, se establecen en una cifra próxima a - 0,3660...
De modo que, si escogemos c = 0,5, la secuencia que empieza en x = 0 se dispara hacia el infinito, pero si escogemos c = - 0,5 hallamos que la secuencia que empieza en x = 0 en realidad converge en un valor próximo a - 0,3660. El conjunto de Mandelbrot consiste en todos esos valores de c para los cuales la secuencia que empieza en x = 0 no se escapa hacia el infinito.

Esto no es todo lo que hay, ya que hasta ahora sólo hemos tomado en consideración los números reales unidimensionales, lo que nos daba un conjunto de Mandelbrot unidimensional, de modo que no veíamos gran cosa. Lo que hay que tomar en consideración es la misma fórmula z2 + c pero con z y c como números complejos bidimensionales. Esto nos dará un conjunto de Mandelbrot bidimensional.
Para algunos valores de c en el conjunto de Mandelbrot, la secuencia de cs puede hacer todo tipo de cosas extrañas, como bailar entre varios puntos, pero no se escaparán hacia el infinito. En el conjunto de Mandelbrot vemos otra propiedad fundamental de los fractales, la de la auto-similitud. Si usted hace zoom sobre el conjunto no estará seguro del nivel de amplificación, porque no verá sino más conjuntos de Mandelbrot.
Antes de Mandelbrot
Al investigar la historia, Mandelbrot halló que matemáticos como Henri Poincaré y Arthur Cayley ya habían tenido incipientes vislumbres de la idea cien años antes que él. Desgraciadamente no habían tenido la capacidad informática necesaria para ir más allá en sus investigaciones.
Entre las formas que descubrió la primera ola de teóricos fractales figuraban las curvas arrugadas y las «curvas monstruosas» que anteriormente se habían desechado como ejemplos patológicos de curvas. Como eran tan patológicas, los matemáticos las habían guardado bajo llave en el armario y se les había prestado escasa atención. Lo que se buscaba entonces era las curvas «lisas» más normales que se podían tratar mediante el cálculo diferencial. Cuando los fractales se hicieron populares, otros matemáticos cuyo trabajo se desempolvó fueron Gastón Julia y Pierre Fatou, que trabajaron sobre estructuras parecidas a los fractales en el plano complejo en los años posteriores a la primera guerra mundial.
Otros fractales célebres
La famosa curva de Koch lleva ese nombre en honor al matemático sueco Niels Fabian Helge von Koch. La curva de copo de nieve es prácticamente la primera curva fractal. Se genera a partir del lado del triángulo tratado como un elemento, dividiéndolo en tres partes, cada una de las cuales tiene una longitud 1/3 y añadiendo un triángulo en la posición central.La propiedad curiosa de la curva de Koch es que tiene un área finita, porque siempre permanece dentro de un círculo, pero en cada etapa de su generación aumenta su longitud.

Otro famoso fractal lleva el nombre del matemático polaco Waclaw Sierpinski. Se halla sustrayendo triángulos de un triángulo equilátero; y continuando este proceso hallamos el triángulo de Sierpinski (generado mediante un proceso distinto en páginas anteriores).
La dimensión fraccionaria
Félix Hausdorff tuvo una forma innovadora de contemplar la dimensión. Tiene que ver con la escala.
Si una línea se amplía a escala por un factor de 3 será 3 veces más larga de lo que era antes. Como este 3 = 31 se dice que una línea tiene dimensión 1. Si un cuadrado sólido se amplía a escala por un factor de 3, su área será 9 veces su valor anterior o 32 y por consiguiente la dimensión será 2. Si un cubo se amplía a escala por este factor, su volumen será 27 o 33 veces su valor anterior, de modo que su dimensión será 3. Todos estos valores de la dimensión de Hausdorff coinciden con las expectativas que tenemos para una línea, cuadrado, o cubo.
Si la unidad básica de la curva de Koch se amplía a escala por 3, se hace 4 veces más larga que antes. Siguiendo el esquema descrito, la dimensión de Hausdorff es el valor de D por el cual 4 = 3D. Un cálculo alternativo es que
D = log 4/log 3
lo que significa que D para la curva de Koch es aproximadamente 1,262. Con los fractales frecuentemente se da el caso de que la dimensión de Hausdorff es mayor que la dimensión normal, que es 1 en el caso de la curva de Koch.La dimensión de Hausdorff inspiró la definición de fractal que realizó Mandelbrot: un conjunto de puntos cuyo valor de D no es un número entero. La dimensión fraccionaria se convirtió en la propiedad fundamental de los fractales.
Las aplicaciones de los fractales
El potencial para las aplicaciones de los fractales es amplio. Los fractales bien podrían ser el medio matemático que modela objetos naturales tales como el crecimiento de las plantas, o la formación de las nubes.
Los fractales ya se han aplicado al crecimiento de organismos marinos como los corales y las esponjas. Se ha demostrado que la extensión de las ciudades modernas tiene una similitud con el crecimiento fractal. En medicina se han hallado aplicaciones en el modelado de la actividad cerebral.
La idea en síntesis: formas de dimensión fraccionaria
¿Cómo es posible que tengamos una teoría del caos? El caos se da en ausencia de la teoría, ¿no es cierto? La historia se remonta a 1812. Mientras Napoleón avanzaba sobre Moscú, su compatriota el marqués Pierre-Simon de Laplace publicó un ensayo sobre el universo determinista: si en un instante determinado se conocieran las posiciones y las velocidades de todos los objetos del universo, y las fuerzas que actúan sobre ellos, estas cantidades se podrían calcular con exactitud para todos los momentos futuros. El universo y todos los objetos que hay en él quedarían totalmente determinados. La teoría del caos nos enseña que el mundo es más intrincado que lo que propone esa visión.En el mundo real no podemos conocer todas las posiciones, velocidades y fuerzas con exactitud, pero el corolario de la creencia de Laplace era que si conociéramos los valores aproximados en un momento, el universo no sería muy distinto en cualquier caso.

El efecto mariposa
El efecto mariposa demuestra cómo unas condiciones iniciales ligeramente distintas a las dadas pueden producir un resultado real muy distinto al de las predicciones. Si se predice buen tiempo para un día en Europa, pero una mariposa bate sus alas en América del Sur, esto en realidad podría ser un presagio de tormentas al otro lado del mundo, porque el batir de las alas cambia la presión atmosférica muy ligeramente, provocando un patrón climático totalmente diferente al que se ha pronosticado en un principio.
Podemos demostrar la idea con un sencillo experimento mecánico. Si usted deja caer una bola de acero a través de la abertura de la parte superior de una caja en la que se hayan clavado alfileres que obstruyan el camino del rodamiento, ésta avanzará hacia abajo, desviándose una forma u otra por los distintos alfileres que se encuentra en su camino hasta que llega a una ranura final en la parte inferior. Usted podría entonces intentar soltar otra bola idéntica desde exactamente la misma posición a exactamente la misma velocidad. Si usted pudiera hacer esto exactamente, el marqués de Laplace estaría en lo cierto y la trayectoria recorrida por la bola sería exactamente la misma. Si la primera bola cayera en la tercera hendidura por la derecha, también lo haría la segunda bola.

Pero, claro, usted no puede soltar la bola desde exactamente la misma posición a exactamente la misma velocidad y exactamente con la misma fuerza. En realidad, habrá una muy ligera diferencia que es posible que usted no pueda ni siquiera medir. El resultado es que puede que la bola tome una ruta muy distinta hacia el fondo y probablemente acabe en una ranura diferente.
Un simple péndulo
El péndulo libre es uno de los sistemas mecánicos más simples que se pueden analizar. A medida que el péndulo gira de un lado a otro, va gradualmente perdiendo energía. El desplazamiento desde la vertical y la velocidad (angular) de la pesa disminuyen hasta que ésta queda finalmente detenida.
El movimiento de la pesa se puede representar en un diagrama de fases. En el eje horizontal se mide el desplazamiento (angular) y en el vertical se mide la velocidad. El punto desde el que se suelta se representa como el punto A en el eje horizontal positivo. En A, el desplazamiento está en su nivel máximo y la velocidad es cero. A
medida que la pesa se mueve a través del eje vertical (donde el desplazamiento es cero) la velocidad está en su nivel máximo, y esto se representa en el diagrama de fases como B. En C, cuando la pesa está en el otro extremo de su oscilación, el desplazamiento es negativo y la velocidad es cero. La pesa vuelve a oscilar entonces a través de D (donde se está moviendo en la dirección contraria, de modo que su velocidad es negativa) y completa una oscilación en E.En el diagrama de fases esto se representa mediante una rotación a través de 360 grados, pero como la oscilación se reduce el punto E se muestra dentro de A. Como el péndulo cada vez oscila menos, esta representación de fases gira en espiral hacia el origen, hasta que finalmente el péndulo queda en reposo.
No sucede lo mismo en el caso del péndulo doble, en el que la pesa se halla en el extremo de un par de varas articulado.
Si el desplazamiento es pequeño, el movimiento del péndulo doble es similar al del péndulo simple, pero si el desplazamiento es grande la pesa oscila, gira, y da bandazos, y el desplazamiento que se produce en tomo a la articulación intermedia es aparentemente aleatorio. Si no se fuerza el movimiento, la pesa también acabará quedando en reposo, pero la curva que describe su movimiento dista mucho de ser la disciplinada espiral del péndulo sencillo.El movimiento caótico
La característica del caos es que un sistema determinista puede dar la impresión de generar una conducta aleatoria. Examinemos otro ejemplo, la fórmula repetitiva, o iterativa,
a × p × (1 - p) donde p representa la población, medida como una proporción en una escala de 0 a 1. El valor de a debe estar comprendido entre 0 y 4 para garantizar que el valor de p permanezca en el rango de 0 a 1.Vamos a modelar la población cuando a = 2. Si escogemos un valor inicial de, por ejemplo, p = 0,3 en tiempo = 0, para hallar la población en tiempo = 1, introducimos p = 0,3 en a × p × (1 - p), lo que nos da 0,42. Usando únicamente una calculadora manual podemos repetir esta operación, esta vez con p = 0,42, lo que nos da la siguiente cifra (0,4872). Avanzando de esta manera, hallamos la población que habrá en tiempos posteriores. En este caso, la población rápidamente se estabiliza enp = 0,5. Esta estabilización siempre se da para los valores de a menores de 3.
Si ahora escogemos a = 3,9, un valor próximo al máximo permisible, y usamos la misma población inicial p = 0,3, la población no se estabiliza sino que oscila desenfrenadamente.
Esto es porque el valor de a está en la «región caótica», es decir, que a es un número mayor que 3,57. Además, si escogemos una población inicial distinta, x = 0,29, que es un valor próximo a 0,3, el crecimiento de la población sigue de cerca el modelo de crecimiento anterior durante los primeros pasos pero después empieza a divergir completamente de él. Éste es el comportamiento que experimentó Edward Lorenz en 1961 (véase recuadro).
Pronóstico del tiempo
Incluso con ordenadores muy potentes, todos sabemos que no podemos hacer pronósticos meteorológicos con más de unos pocos días de antelación. Las ecuaciones que gobiernan el tiempo son no lineales: implican las variables multiplicadas entre sí, no sólo las propias variables.
El ingeniero francés Claude Navier en 1821 y el físico y matemático británico George Gabriel Stokes en 1845 elaboraron de forma independiente la teoría que hay detrás de las matemáticas de los pronósticos meteorológicos. Las ecuaciones Navier-Stokes que se obtuvieron tienen un enorme interés para los científicos.
Aunque se sabe mucho sobre la teoría de los sistemas lineales de ecuaciones, las ecuaciones Navier-Stokes contienen términos no lineales que las hacen insolubles.
Prácticamente, la única forma de resolverlas es hacerlo numéricamente usando potentes ordenadores.
Atractores extraños
Puede pensarse en los sistemas dinámicos como si poseyeran «atractores» en sus diagramas de fases. En el caso del péndulo simple el atractor es el punto individual del origen hacia el cual se dirige el movimiento. Con el péndulo doble es más complicado, pero incluso en este caso la representación de la fase mostrará cierta regularidad y se verá atraída hacia un conjunto de puntos en el diagrama de fases. En el caso de sistemas como este, es posible que el conjunto de puntos forme un fractal (véase página 106) que se denomina un atractor «extraño», y que tendrá una estructura matemática clara.
La idea en síntesis: la alocada regularidad
Capítulo 27
El postulado de las paralelas
Esta espectacular historia comienza con un sencillo argumento geométrico. Imagine una línea l y un punto P que no está en la línea. ¿Cuántas líneas podemos dibujar a través de P en paralelo a la línea l? Parece obvio que hay exactamente una línea a través de P que nunca se encontrará con l, por mucho que se alargue en cualquier dirección. Euclides de Alejandría incluyó una variante de ello como uno de sus postulados en ese fundamento de la geometría que son los Elementos.El sentido común no siempre es una guía de confianza. Veremos si la suposición de Euclides tiene sentido matemático.

La geometría de Euclides es uno de los textos de matemáticas más influyentes que se han escrito jamás, y los matemáticos griegos constantemente aludían a él como la primera codificación sistemática de la geometría. Posteriores eruditos lo estudiaron y lo tradujeron a partir de los manuscritos existentes y se transmitió y se alabó universalmente como el paradigma de lo que debía ser la geometría.

Los Elementos se propagaron hasta llegar al nivel del colegio, y las lecturas del «libro sagrado» se convirtieron en el modo en el que se enseñaba la geometría. Sin embargo, ello resultó ser poco adecuado para los alumnos más jóvenes. Como dijo jocosamente el poeta A. C. Hilton: «aunque lo escribían de memoria, no lo escribían bien». Se podría decir que el libro de Euclides estaba escrito para hombres, no para niños.
Es el estilo de los Elementos de Euclides lo que lo hace notable: su logro radica en la presentación de la geometría como una sucesión de proposiciones demostradas.
Aunque los cimientos del edificio de la geometría de Euclides son los postulados (lo que actualmente se denomina axiomas; véase el recuadro), no bastaba con ellos. Euclides agregó «definiciones» y «nociones comunes». Las definiciones incluyen aseveraciones como «un punto es aquello que no tiene ninguna parte» y «una línea es longitud sin anchura». Entre las nociones comunes figuran artículos como «el todo es mayor que la parte» y «las cosas que son iguales a una misma cosa también son iguales entre sí». Fue a finales del siglo XIX cuando se admitió que Euclides había hecho suposiciones tácitas.
El quinto postulado
Es el quinto postulado de Euclides lo que generó polémica durante más de 2.000 años después de la aparición de los Elementos.

Posteriores matemáticos o bien intentaron demostrarlo o bien sustituirlo por un postulado más sencillo. En 1795, John Playfair lo expuso de una forma que se hizo popular: en el caso de una línea l y un punto P que no está en la línea l, hay una única línea que atraviesa P en paralelo a l.
Aproximadamente en esa misma época, Adrien Marie Legendre sustituyó otra versión equivalente cuando afirmó la existencia de un triángulo cuyos ángulos suman 180 grados. Estas nuevas formas del quinto postulado ayudaron un poco a hacer frente a la objeción de artificialidad.Otra línea de ataque era buscar la escurridiza demostración del quinto postulado. Éste ejercía una poderosa atracción sobre sus partidarios. Si se podía hallar una demostración, el postulado se convertiría en un teorema y podría quedar a salvo de las críticas. Desgraciadamente, los intentos de hacer esto resultaron ser excelentes ejemplos de razonamiento circular, argumentos que suponen la propia cosa que están intentando demostrar.
Geometría no euclídea
Se hizo un gran progreso gracias al trabajo de Carl Friedrich Gauss, János Bolyai y Nikolai Ivanovich Lobachevski. Gauss no publicó su trabajo, pero parece claro que llegó a sus conclusiones en 1817. Bolyai publicó en 1831 y Lobachevski, de forma independiente, en 1829, lo que provocó una disputa entre los dos acerca de quién había sido el primero en llegar a los resultados. No hay ninguna duda sobre la genialidad de todos estos hombres. Demostraron eficazmente que el quinto postulado era independiente de los otros cuatro postulados. Añadiendo su negación a los otros cuatro postulados, demostraron que un sistema coherente era posible.

Bolyai y Lobachevski construyeron una nueva geometría permitiendo que hubiera más de una línea a través de P que no se encuentra con la línea l. ¿Cómo puede ser esto? Sin duda, las líneas de puntos se encuentran con l. Si aceptamos esto, inconscientemente nos estamos mostrando de acuerdo con la opinión de Euclides. El diagrama es, por consiguiente, un engaño, pues lo que Bolyai y Lobachevski estaban proponiendo era un nuevo tipo de geometría que no se ajusta al de sentido común propuesto por Euclides. De hecho, se puede pensar en su geometría no euclídea como si fuera geometría sobre la superficie curvada de lo que se conoce como una pseudoesfera.
Los caminos más cortos entre los puntos de una pseudoesfera desempeñan el mismo papel que las líneas rectas en la geometría de Euclides. Una de las curiosidades de esta geometría no euclídea es que la suma de los ángulos de un triángulo es menor de 180 grados. Esta geometría se llama geometría hiperbólica.
Otra alternativa al quinto postulado afirma que toda línea que atraviese P se encuentra con la línea l. Dicho de otra manera, no hay ninguna línea que atraviese P que sea «paralela» a l. Esta geometría es distinta a la de Bolyai y Lobachevski, pero, no obstante, es una auténtica geometría. Un modelo para ello es la geometría sobre la superficie de una esfera. Aquí los grandes círculos (aquellos círculos que tienen la misma circunferencia que la propia esfera) desempeñan el papel que en la geometría euclídea desempeñan las líneas rectas. En esta geometría no euclídea, la suma de los ángulos de un triángulo es mayor de 180 grados. Esto se denomina geometría elíptica y está asociada con el matemático alemán Bernhard Riemann, que la investigó en la década de 1850.
La geometría de Euclides, que hasta entonces se había considerado la única geometría verdadera, había sido derribada de su pedestal. La geometría euclídea ahora era uno de muchos sistemas, intercalada entre la geometría hiperbólica y la elíptica. Félix Klein unificó las distintas versiones bajo un término global en 1872. La llegada de la geometría no euclídea fue un acontecimiento trascendental en las matemáticas y preparó el terreno para la geometría de la relatividad general de Einstein (véase página 198). Es la teoría general de la relatividad la que exige un nuevo tipo de geometría, la geometría del espacio-tiempo curvo, o geometría de Riemann. Fue esta geometría no euclídea la que explicó entonces por qué las cosas caen, una explicación distinta a la que plantea como causa la fuerza gravitatoria atractiva entre los objetos identificada por Newton. La presencia de objetos sólidos en el espacio, como la Tierra y el Sol, hace que el espacio-tiempo sea curvo. Una canica sobre una hoja de goma fina provocará una pequeña hendidura, pero pruebe a poner sobre ella un bolo y se producirá una gran deformación.
Esta curvatura medida por la geometría de Riemann predice cómo los rayos luminosos se tuercen en presencia de objetos sólidos en el espacio. El espacio euclídeo normal, en el cual el tiempo es un componente independiente, no basta para la relatividad general. Uno de los motivos es que el espacio euclídeo es plano: no hay ninguna curvatura. Piense en una hoja de papel sobre una mesa; podemos decir que en cualquier punto del papel la curvatura es cero. Un concepto de curvatura que varía continuamente subyace al espacio-tiempo de Riemann, del mismo modo que la curvatura de un trozo de tela arrugado varía de un punto a otro.
La idea en síntesis: ¿y si las líneas paralelas si se encuentran?
Capítulo 28
La geometría discreta
La geometría es uno de los oficios más antiguos: literalmente significa medición [metría] de la tierra [geo]. En la geometría común hay líneas continuas y formas sólidas que investigar, y se puede pensar en ambas como si estuvieran compuestas por puntos que están «uno junto al otro». Las matemáticas discretas se ocupan de números enteros, en oposición a los números reales continuos. La geometría discreta puede implicar un número finito de puntos y líneas o retículas de puntos; lo continuo se sustituye por lo aislado.Una retícula o cuadrícula es habitualmente un conjunto de puntos cuyas coordenadas son números enteros. Esta geometría plantea interesantes problemas y tiene aplicaciones en áreas tan dispares como la teoría de códigos y el diseño de experimentos científicos.

La ecuación del rayo a través del origen es y = mx. Ésta es la ecuación de una línea recta que atraviesa el origen con gradiente m. Si el rayo es y = 2x, incidirá en el punto cuyas coordenadas son x = 1 e y = 2 porque estos valores cumplen los requisitos de la ecuación. Si el rayo incide en un punto de la retícula cuyas coordenadas sean x = a e y = b el gradiente m es la fracción b/a. Por consiguiente, si m no es una auténtica fracción (puede ser y/2, por ejemplo) el rayo de luz no incidirá en ningún punto de la retícula.El rayo luminoso y = 2x incide en el punto A cuyas coordenadas son x= 1 e y = 2, pero no incidirá en el punto B cuyas coordenadas son x = 2 e y = 4, y todos los demás puntos que están «detrás de» A (como C, con coordenadas x = 3 e y = 6, y D, con x = 4 e y = 8) quedarán en la oscuridad.
Podríamos imaginamos a nosotros mismos en el origen identificando los puntos que se pueden ver desde allí, y aquellos que quedan en la oscuridad.Podemos demostrar que aquellos puntos con coordenadas x = a y x = b que se pueden ver son aquellos que son relativamente primos entre sí. Éstos son los puntos que tienen coordenadas, como x = 2 y y = 3, donde x e y no son ambas divisibles por ningún número excepto por 1. Los puntos detrás de éste serán múltiplos, como x = 4 e y = 6, o x = 6 e y = 9, y así sucesivamente.
El teorema de Pick
El matemático austríaco Georg Pick escribió un breve artículo, publicado en 1899, sobre geometría «reticular». De toda una vida de trabajo en el que trató una amplia variedad de temas, se le recuerda por el cautivador teorema de Pick; y, ¡menudo teorema es éste!

El teorema de Pick proporciona un medio para calcular el área encerrada por una figura de muchos lados (o poligonal) formada uniendo puntos cuyas coordenadas son números enteros. Esto son matemáticas de máquina flíper.
Para hallar el área de la figura tendremos que contar el número de puntos ● que hay en el límite de la figura y el número de puntos interiores ○. En nuestro ejemplo, el número de puntos que hay en el límite es b = 22 y el número de puntos interiores es c = 7. Esto es todo lo que necesitamos para usar el teorema de Pick:
área = b/2 + c - 1
A partir de esta fórmula, el área es 22/2 + 7 - 1 = 17. El área es 17 unidades cuadradas. Es así de sencillo. El teorema de Pick puede aplicarse a cualquier figura que una puntos discretos con coordenadas de números enteros, siendo la única condición que el límite no se cruce a sí mismo.El plano de Fano
El plano de Fano, denominado así en honor al matemático italiano Gino Fano, que fue pionero en el estudio de la geometría finita, es el ejemplo más sencillo de una geometría «proyectiva». Tiene solamente siete puntos y siete líneas.

Los siete puntos se llaman A, B, C, D, E, F y G. Es fácil escoger seis de las siete líneas, pero ¿y la séptima? Las propiedades de la geometría y la forma en la que está construido el diagrama hacen que sea necesario tratar la séptima línea como DFG: el círculo que atraviesa D, F y G. Esto no supone ningún problema, ya que las líneas en la geometría discreta no tienen por qué ser «rectas» en el sentido convencional.
Esta pequeña geometría tiene muchas propiedades, por ejemplo:
- cada par de puntos determina una línea que los atraviesa a ambos
- cada par de líneas determina un punto que está en ambos.
Estas dos propiedades ponen de manifiesto la notable dualidad que se da en las geometrías de este tipo. La segunda propiedad es sencillamente la primera con las palabras «punto» y «línea» intercambiadas, y, de igual modo, la primera es simplemente la segunda con los mismos intercambios.Si en cualquier afirmación cierta intercambiamos las dos palabras y hacemos pequeños ajustes para corregir la expresión, obtenemos otra afirmación cierta. La geometría proyectiva es muy simétrica. No es ése el caso de la geometría euclídea. En la geometría euclídea hay líneas paralelas, es decir, pares de líneas que nunca se encuentran. Podemos hablar acertadamente de la idea de paralelismo en la geometría euclídea. Esto no es posible en la geometría proyectiva.
En la geometría proyectiva todos los pares de líneas se encuentran en un punto. Para los matemáticos esto significa que la geometría euclídea es una clase inferior de geometría.Si eliminamos una línea y sus puntos del plano de Fano, volvemos una vez más al terreno de la geometría asimétrica euclídea y a la existencia de líneas paralelas. Supongamos que eliminamos la línea «circular» DFG, lo que nos da un diagrama euclídeo.
Con una línea menos ahora hay seis líneas: AB, AC, AE, BC, BE y CE. Ahora hay pares de líneas que son «paralelas», a saber, AB y CE, AC y BE, y BC y AE. Las líneas son paralelas en este sentido si no tienen ningún punto en común, como las líneas AB y CE.
El plano de Fano ocupa una posición icónica en las matemáticas por la conexión que tiene con tantas ideas y aplicaciones. Es una importante clave para la resolución del problema de la colegiala de Thomas Kirkman. En la teoría del diseño de experimentos, el plano de Fano aparece como un ejemplo proteico, un Sistema Triple de Steiner (STS). Dado un número finito de n objetos, un STS es una forma de dividirlos en bloques de tres de modo que cada par que se tome de los n objetos esté exactamente en un bloque. Dados los siete objetos A, B, C, D, E, F y G, los bloques del STS se corresponden con las líneas del plano de Fano.
Un par de teoremas
El teorema de Pascal y el teorema de Brianchon se hallan en la frontera entre la geometría A continua y la discreta. Son distintos pero están relacionados entre sí. Tomemos un círculo estirado, que se denomina elipse (véase página 95) y marquemos seis puntos a lo largo de ella, que llamaremos A1, B1 y C1, y A2, B2 y C2. Llamaremos P al punto en el cual la línea A1B2 interseca a A2B1; Q al punto en el cual la línea A1C2 interseca a A2C1; y R al punto en el cual la línea B1C2 interseca a B2C1. El teorema afirma que los puntos P, Q y R se hallan, todos ellos, en una sola línea recta.
El teorema de Pascal es verdadero sean cuales sean las posiciones de los distintos puntos alrededor de la elipse. De hecho, podríamos sustituir la elipse por una cónica distinta, como una hipérbola, un círculo, una parábola o incluso por líneas rectas paralelas (en cuyo caso se llama a la configuración «cuna de gato») y el teorema seguiría siendo verdadero.El teorema de Brianchon fue descubierto mucho tiempo después. Dibujemos seis tangentes a las que llamaremos líneas a1 b1 y c2 y a1 b2 y c2, en contacto con la circunferencia de una elipse. Luego podemos definir tres diagonales, las líneas p, q y r, por la coincidencia de las líneas, de modo que: p es la línea entre los puntos donde a1 coincide con b2 y donde a2 coincide con b; q es la línea entre los puntos donde a2 coincide con c2 y a2 coincide con c2; y r es la línea entre los puntos donde b1 coincide con c2 y b2 coincide con c1 El teorema de Brianchon afirma que las líneas p, q y r coinciden en un punto.
La idea en síntesis: puntos individuales de interés
Hay dos tipos de gráficas en matemáticas. En el colegio trazamos curvas que muestran la relación entre las variables xe y. En otro tipo de gráficas más reciente, los puntos se unen mediante líneas onduladas.Königsberg es una ciudad de Prusia oriental que es célebre por los siete puentes que cruzan el río Pregel. Residencia del insigne filósofo Immanuel Kant, la ciudad y sus puentes también están vinculados con el famoso matemático Leonhard Euler.

En 1735, Euler presentó su solución a la Academia Rusa, una solución que actualmente se considera el comienzo de la teoría de grafos moderna. En nuestro diagrama semi-abstracto, la isla que se halla en el centro del río se llama l y las orillas del río A, B y C. ¿Puede usted planear un paseo de una tarde de domingo en el que atraviese cada puente solamente una vez? Coja un lápiz e inténtelo.
El paso fundamental es despojarse de la semi-abstracción y avanzar hacia la abstracción total. Al hacerlo se obtiene una gráfica de puntos y líneas. La tierra se representa mediante «puntos» y los puentes que los unen se representan mediante «líneas». No nos importa que las líneas no sean rectas o que difieran en longitud. Estas cosas son insignificantes. Lo único que importa son las conexiones.
Euler realizó una observación sobre cómo debía ser un paseo realizado con éxito. Aparte del principio y el fin del paseo, cada vez que se atraviesa un puente hacia una parcela de tierra tiene que ser posible no abandonarla por un puente por el que se haya caminado antes. Trasladando esta idea a la imagen abstracta, podemos decir que las líneas que se encuentren en un punto deben darse en pares. Aparte de dos puntos que representan el comienzo y el final del paseo, los puentes se pueden atravesar si y sólo si cada punto tiene un número par de líneas incidentes en él.El número de líneas que se encuentran en un punto se denomina el «grado» del punto.
El teorema de Euler afirma que
Los puentes de un pueblo o ciudad se pueden atravesar exactamente una vez si, salvo a lo sumo dos, todos los puntos tienen un grado par.
Al examinar la gráfica que representa a Königsberg, vemos que todos los puntos son de grado impar. Esto significa que no es posible dar un paseo en Königsberg en el que se atraviese cada puente solamente una vez.Si se cambiara la configuración del puente podría ser posible dar un paseo así. Si se construyera un puente adicional entre la isla I y C, los grados tanto de I como de C podrían ser pares. Esto significa que podríamos empezar un paseo en A y acabar en B tras haber pasado por cada puente exactamente una vez.
Si se construyera otro puente más, esta vez entre A y B (mostrado a la derecha), podríamos empezar en cualquier lugar y terminar en el mismo lugar porque todos los puntos tendrían grado par en este caso.El teorema del apretón de manos
Si nos pidieran que dibujáramos una gráfica que contuviera tres puntos de grado impar, tendríamos un problema. Inténtelo. Es imposible hacerlo porque
En cualquier gráfica, el número de puntos con grado impar debe ser un número par.Éste es el teorema del apretón de manos, el primer teorema de la teoría de grafos. En cualquier gráfica toda línea tiene un principio y un fin, o, en otras palabras,
hacen falta dos personas para un apretón de manos. Si sumamos los grados de todos los puntos que hay en la gráfica hemos de obtener un número par, llamémosle N. Después decimos que hay x puntos con grado impar e y puntos con grado par. Sumando todos los grados de los puntos impares obtendremos Nx, y sumando todos los grados de los puntos pares obtendremos Ny, que es par. De modo que tenemos Nx + Ny = N, y por consiguiente Nx = N - Ny . De ello se deduce que Nx es par. Pero el propio x no puede ser impar porque la suma de un número impar de grados impares sería un número impar. Así que se deduce de ello que x tiene que ser par.Gráficas no planares
El problema de los servicios públicos es un antiguo enigma. Imagine tres casas y tres servicios públicos: el gas, la electricidad y el agua. Tenemos que conectar cada una de las casas a cada uno de los servicios públicos, pero hay una pega: las conexiones no se deben cruzar.

En realidad es imposible hacerlo; pero usted podría probar a planteárselo a sus desprevenidos amigos. La gráfica que se describe conectando tres puntos con otros tres puntos de todas las formas posibles (con sólo nueve líneas) no se puede dibujar en el plano sin cruces. Una gráfica de este tipo se denomina no planar. Esta gráfica de servicios públicos, junto con la gráfica compuesta por todas las líneas que conectan cinco puntos, tiene un lugar especial en la teoría de grafos. En 1930, el matemático polaco Kazimierz Kuratowski demostró el asombroso teorema de que una gráfica es planar si y sólo si no contiene cualquiera de estas dos gráficas como subgráfica, una gráfica más pequeña contenida dentro de la principal.
Arboles
Un «árbol» es un tipo especial de gráfica, muy distinta a la gráfica de los servicios públicos o a la gráfica de Königsberg. En el problema del puente de Königsberg había oportunidades para empezar en un punto y regresar a él a través de una ruta distinta. Una ruta de este tipo, que empieza en un punto y regresa a él, se llama ciclo. Un árbol es una gráfica que no tiene ningún ciclo.
Un conocido ejemplo de una gráfica de árbol es la forma en la que se ordenan los directorios en los ordenadores. Se ordenan en una jerarquía que tiene un directorio raíz y subdirectorios que arrancan a partir de él. Como no hay ningún ciclo, es imposible que haya ninguna forma de cruzar de una rama a otra salvo a través del directorio raíz.
Conteo de árboles
¿Cuántos árboles distintos se pueden hacer a partir de un número concreto de puntos?
Arthur Cayley abordó el problema del conteo de árboles. Por ejemplo, hay exactamente tres tipos de árboles distintos con cinco puntos.Cayley pudo contar el número de tipos distintos de árboles cuando había pequeñas cantidades de puntos. Fue capaz de llegar a los árboles con menos de 14 puntos antes de que la mera complejidad computacional fuera excesiva para un hombre que no contaba con un ordenador. Desde entonces los cálculos han avanzado hasta los árboles con hasta 22 puntos. Hay millones de tipos posibles para éstos.
Incluso en su propia época la investigación de Cayley tuvo aplicaciones prácticas. Contar árboles es pertinente en química, donde el elemento distintivo de algunos compuestos depende de la forma en la que los átomos están dispuestos en sus moléculas. Los compuestos con el mismo número de átomos pero con distintas disposiciones tienen propiedades químicas distintas.
La idea en síntesis: atravesar puentes y adentrarse en los arboles
Capítulo 30
El problema de los cuatro colores
¿Quién podría haberle regalado por Navidad al pequeño Tim cuatro lápices de cera de colores y un mapa en blanco de los condados de Inglaterra? Podría haber sido el vecino cartógrafo que de vez en cuando enviaba pequeños regalos, o ese matemático raro, Augustus De Morgan, que vivía cerca y se pasaba el día con el padre de Tim. El señor Scrooge no había sido.Los Cratchit vivían en una gris casa adosada de Bayham Street, en Camden Town, justo al norte de la universidad recientemente inaugurada en la que De Morgan era profesor. La procedencia del regalo se aclararía en el nuevo año, cuando el profesor llamó para ver si Tim había coloreado el mapa.
De Morgan tenía ideas muy claras sobre cómo debía hacerse esto: «has de colorear el mapa de forma que dos condados que tengan un linde común estén en colores distintos».

¿Es posible colorear cualquier mapa con sólo cuatro colores de forma que las regiones se distingan? Puede que los cartógrafos hayan creído esto durante siglos, pero ¿es posible demostrarlo rigurosamente?Examinemos el mapa de los estados occidentales de Norteamérica. Si sólo dispusiéramos de azul, verde y rojo podríamos empezar coloreando Nevada e Idaho.
No importa con qué color empecemos, así que escogeremos el azul para Nevada y el verde para Idaho.
Hasta aquí todo bien. Esta opción significaría que Utah debe colorearse en rojo, y a su vez Arizona en verde, California en rojo y Oregón en verde. Esto significa que tanto Oregón como Idaho están coloreados en verde, de forma que no se distinguen. Pero si tuviéramos cuatro colores, con un amarillo también, podríamos usarlo para colorear Oregón y todo sería satisfactorio.
¿Bastarían estos cuatro colores, azul, verde, rojo y amarillo, para cualquier mapa? Esta pregunta se conoce como el problema de los cuatro colores.
La difusión del problema
Menos de 20 años después de que De Morgan reconociera el problema como uno de importancia, este ya se había hecho popular en la comunidad matemática de Europa y América. En la década de 1860, Charles Sanders Peirce, matemático y filósofo norteamericano, pensaba que lo había demostrado pero no queda ni rastro de su razonamiento.
El problema adquirió mayor relevancia a través de la intercesión del científico Victoriano Francis Galton. Este percibió un valor publicitario en él e indujo al eminente matemático de Cambridge Arthur Cay- ley a escribir un artículo sobre él en 1878. Desgraciadamente, Cayley se vio obligado a admitir que no había logrado obtener una demostración, pero observó que bastaba con tomar en consideración sólo los mapas cúbicos (donde exactamente tres países se encuentran en un punto). Esta contribución estimuló a su alumno Alfred Bray Kempe a intentar hallar una solución. Tan sólo un año después, Kempe anunció que había hallado una demostración. Cayley le felicitó efusivamente, su demostración se publicó, y él obtuvo su elección como miembro de la Royal Society de Londres.
¿Qué sucedió después?
La demostración de Kempe era extensa y técnicamente difícil, y aunque no acabó de convencer a una o dos personas, fue, en general, aceptada. Diez años después se produjo una sorpresa cuando Percy Heawood encontró un ejemplo de mapa que ponía de manifiesto un defecto en el razonamiento de Kempe. Aunque no logró hallar su propia demostración, Heawood demostró que el desafío del problema de los cuatro colores seguía sin resolverse. Usando algunas de las técnicas de Kempe, Heawood demostró un teorema de cinco colores: que cualquier mapa se podía colorear con cinco colores. Éste habría sido un gran resultado si alguien pudiera construir un mapa que no friera posible colorear con cuatro colores. Tal como estaba la situación, a los matemáticos se les planteó un dilema: ¿cuatro o cinco?
El problema básico de los cuatro colores atañía a los mapas dibujados sobre una superficie plana o esférica. ¿Y los mapas dibujados sobre una superficie como un donut? En el caso de esta superficie, Heawood demostró que siete colores eran tanto necesarios como suficientes para colorear cualquier mapa dibujado sobre ella. Incluso demostró un resultado para el caso de un donut con múltiples agujeros (con un número a de agujeros) en el que contó el número de colores que garantizaba que cualquier mapa se pudiera colorear; aunque no había demostrado que éstos fueran el número mínimo de colores. Una tabla para los primeros valores de la a de Heawood es: número de agujeros

¿Problema resuelto?
Después de 50 años, el problema que había surgido en 1852 seguía sin demostrarse. En el siglo XX la inteligencia de los matemáticos de élite del mundo estaba desconcertada.

Se hicieron ciertos progresos y un matemático demostró que cuatro colores bastaban para hasta 27 países en un mapa, otro mejoró esto con 31 países y uno se presentó con 35 países. Este proceso de mordisqueo se habría eternizado si se hubiera continuado en esa dirección. En realidad las observaciones realizadas por Kempe y Cayley en sus primeros artículos proporcionaban un mejor modo de avanzar, y los matemáticos hallaron que sólo tenían que comprobar ciertas configuraciones de mapas para garantizar que bastaba con cuatro colores. La pega era que había un gran número de ellas: en las primeras etapas de estos intentos de demostración había miles que comprobar. Esta comprobación no podía hacerse a mano, pero afortunadamente el matemático alemán Wolfgang Haken, que había trabajado sobre el problema durante muchos años, pudo hacerse con los servicios del matemático y experto en informática norteamericano Kenneth Appel. Mediante ingeniosos métodos se redujo el número de configuraciones a menos de 1.500. A finales de junio de 1976, después de muchas noches sin dormir, el trabajo se completó y, conjuntamente con su fiel ordenador IBM 370, habían resuelto el gran problema.
Pero el aplauso de la comunidad matemática mundial fue irregular. Algunos aceptaron de mala gana que el trabajo se había hecho, pero muchos no quedaron convencidos. El problema era que se trataba de una demostración basada en ordenador y esto se apartaba por completo de lo que era la forma tradicional de una demostración matemática. Era de esperar que una demostración fuera difícil de seguir, y su extensión podría ser grande, pero una demostración por ordenador era ir demasiado lejos. Ello planteaba el problema de la «comprobabilidad». ¿Cómo se podían comprobar las miles de líneas de código informático en las que se basaba la demostración? Se pueden cometer errores al escribir el código informático. Un error podría ser fatal.
Eso no era todo. Lo que faltaba, en realidad, era el factor «ajá». ¿Cómo podía alguien leer la demostración en su totalidad y apreciar la sutileza del problema, o experimentar la parte crucial del razonamiento, el momento ajá? Uno de los críticos más feroces fue el eminente matemático Paul Halmos. Para él, una demostración realizada por ordenador tenía tanta credibilidad como una demostración realizada por un reputado adivino.
Después de la demostración
Desde 1976 el número de configuraciones que se habían de comprobar se ha reducido por un factor de un medio y los ordenadores se han hecho cada vez más rápidos y potentes. Dicho esto, el mundo matemático sigue esperando una demostración más breve en el estilo tradicional. Mientras tanto, el teorema de los cuatro colores ha generado importantes problemas en el ámbito de la teoría de grafos y ha tenido el efecto adicional de poner en tela de juicio la propia idea que el matemático tiene de lo que constituye una demostración matemática.
La idea en síntesis: bastará con cuatro colores
¿Qué probabilidades hay de que nieve mañana?La teoría de la probabilidad es importante. Es relevante para la incertidumbre y es un ingrediente fundamental en la evaluación de riesgos. Pero ¿cómo se puede cuantificar una teoría en la que interviene la incertidumbre? Al fin y al cabo, ¿no son las matemáticas una ciencia exacta?
¿Qué posibilidades hay de que usted coja el primer tren de la mañana? ¿Qué probabilidades tiene usted de ganar la lotería? Probabilidad, posibilidad, son palabras que usamos todos los días cuando queremos saber las respuestas a estas preguntas. También son las palabras que se usan en la teoría matemática de la probabilidad.

Supongamos que cogemos el ejemplo más sencillo del mundo, lanzar una moneda al aire. ¿Qué probabilidades hay de que salga cara? Podríamos precipitarnos y decir que la respuesta es 1/2 (expresado en ocasiones como 0,5 o 50%). Al examinar la moneda suponemos que es una moneda limpia, lo que significa que las posibilidades de que salga cara son las mismas que las de que salga cruz, y por consiguiente que la probabilidad de que salga cara es 1/2.
Las situaciones que implican monedas, pelotas en cajas, y ejemplos «mecánicos» son relativamente sencillas. Hay dos teorías principales en la asignación de probabilidades. Uno de los enfoques es examinar la simetría de las dos caras de la moneda. El otro es el enfoque de la frecuencia relativa, en el que llevamos a cabo el experimento un gran número de veces y contamos el número de caras. Pero ¿cuán grande? Es fácil creer que el número de caras en relación con el número de cruces es aproximadamente de 50:50, pero podría ser que esta proporción cambiara si continuamos realizando el experimento.
Pero, ¿cómo llegar a una medición sensata de la probabilidad de que nieve mañana? De nuevo habrá dos resultados: o nieva o no nieva, pero no está en absoluto claro que los dos sean igual de probables, como sucedía en el caso de la moneda.
Una evaluación de las probabilidades de que nieve mañana tendrá que tener en cuenta las condiciones meteorológicas del momento y una gran cantidad de otros factores. Pero aún así no es posible apuntar con precisión un número exacto para esta probabilidad. Aunque puede que no lleguemos a un número real, podemos atribuir útilmente un «grado de creencia» a que la probabilidad será baja, media o elevada. En matemáticas, la probabilidad se mide en una escala de 0 a 1. La probabilidad de que se produzca un acontecimiento imposible es 0 y una certeza es 1. Una probabilidad de 0,1 significaría una probabilidad baja mientras que 0,9 significaría una probabilidad elevada.
Los orígenes de la probabilidad
La teoría matemática de las probabilidades empezó a destacarse en el siglo XVII con los debates sobre problemas de juegos de azar entre Blaise Pascal, Pierre de Fermat y Antoine Gombaud (también conocido como el Chevalier de Méré). Había un sencillo juego que les parecía desconcertante. La pregunta del Chevalier de Méré es ésta: ¿qué es más probable, sacar un «seis» en cuatro tiradas de un dado, o sacar un «seis doble» en 24 tiradas con dos dados? ¿A qué opción se apostaría usted hasta la camisa?
La opinión imperante en la época era que la mejor opción era apostar al seis doble, porque se permitían muchas más tiradas. Esta opinión se hizo añicos cuando se analizaron las probabilidades. He aquí los cálculos:
Tirando un dado:
La probabilidad de no sacar un seis en una sola tirada es 5/6, y en cuatro tiradas la probabilidad de esto sería 5/6 × 5/6 × 5/6 × 5/6, que es (5/6)4. Como los resultados de las tiradas no se afectan entre sí, son «independientes» y podemos multiplicar las probabilidades. La probabilidad de sacar por lo menos un seis es, por consiguiente,
1 - (5/6)4 = 0,517746...
Tirando dos dados:La probabilidad de no sacar un seis doble en una tirada es 35/36 y en 24 tiradas esto tiene la probabilidad (35/36)24.
La probabilidad de sacar por lo menos un seis doble es, por consiguiente,
1 -(35/36)24 = 0,491404...
Podemos llevar este ejemplo un poco más lejos.El juego de dados «craps»
El ejemplo de los dos dados es la base del juego de dados moderno «craps» que se juega en los casinos y en las apuestas por internet. Cuando se tiran dos dados distinguibles (rojo y azul) hay 36 posibles resultados y éstos se pueden anotar como parejas (x, y) y mostrar como 36 puntos sobre un conjunto de ejes x/y, esto se denomina el «espacio de muestra».
Planteémonos el «acontecimiento» A de lograr que los dados sumen 7. Hay 6 combinaciones que suman 7, de modo que podemos describir el acontecimiento como
A = {(1,6), (2,5), (3,4), (4,3), (5,2), (6,1)}
y rodearlo con un círculo en el diagrama. La probabilidad de A es 6 posibilidades de 36, que se puede escribirPr(A) = 6/36 = 1/6.
Si hacemos que B sea el acontecimiento de lograr que los dados sumen 11, tenemos el acontecimiento
B = {(5,6), (6,5)}
yPr(B) = 2/36 = 1/18.
En el juego de dados «craps», en el que se tiran dos dados sobre una mesa, usted puede ganar o puede perder en la primera etapa, pero si se obtienen determinadas puntuaciones no todo está perdido y usted puede pasar a una segunda etapa. Usted gana en la primera tirada si se da el acontecimiento A o el B; esto se llama un «natural». La probabilidad de que se dé un natural se obtiene sumando las probabilidades individuales, 6/36 + 2/36 = 8/36. Usted pierde en la primera etapa si saca un 2, un 3 o un 12 (esto se llama «craps»). Un cálculo como el anterior nos da que la probabilidad de perder en la primera etapa es 4/36. Si se saca la suma de 4, 5, 6, 8, 9 o 10, usted pasa a la segunda etapa y la probabilidad de hacer esto es 24/36 = 2/3.En el mundo de los juegos de azar de los casinos, las probabilidades se escriben como probabilidades de que no se produzca un acontecimiento. En el juego de craps, por cada 36 partidas jugadas, por término medio usted ganará en la primera tirada 8 veces y no ganará 28 veces, así que las probabilidades de que no gane en la primera tirada son de 28 a 8, que es lo mismo que 3,5 a 1.
El mono sobre una máquina de escribir
Alfred es un mono que vive en el parque zoológico local. Tiene una máquina de escribir con 26 teclas para las letras del alfabeto, una para el punto, una para la coma, una para el signo de interrogación y una para el espacio: 30 teclas en total. Se sienta en un rincón lleno de ambición literaria, pero tiene un curioso método de escritura: golpea las teclas al azar.
Cualquier secuencia de letras tecleadas tendrá una probabilidad no nula de darse, de modo que existe una posibilidad de que teclee las obras de teatro de Shakespeare letra por letra.
Además de esto, existe una posibilidad (aunque más pequeña) de que después de esto continúe escribiendo una traducción al francés, y después al español, y después al alemán. Además, podríamos tener en cuenta la posibilidad de que continuase con los poemas de William Wordsworth. Las posibilidades de que se produzca todo esto son mínimas, pero sin duda no son cero. Ésta es la cuestión fundamental. Veamos cuánto tardará en teclear el monólogo de Hamlet, empezando por el comienzo «Ser o no». Imaginamos 8 recuadros que contendrán las 8 letras incluyendo los espacios.

¿Cómo se ha desarrollado la teoría?
Cuando se aplica la teoría de la probabilidad los resultados pueden ser controvertidos, pero los fundamentos matemáticos, cuando menos, son bastante sólidos. En 1933, Andrey Nikolaevich Kolmogórov desempeñó un papel decisivo al definir la probabilidad sobre una base axiomática, de una forma muy parecida a como se habían definido los principios de la geometría dos milenios antes.
La probabilidad se define por los siguientes axiomas:
- la probabilidad de todos los acontecimientos es 1
- la probabilidad tiene un valor que es mayor o igual a cero
- Cuando los acontecimientos no pueden coincidir, sus probabilidades se pueden sumar.
La idea en síntesis: el sistema secreto del jugador
Thomas Bayes nació en el sudeste de Inglaterra, probablemente en 1702, se hizo pastor religioso protestante no perteneciente a la Iglesia Anglicana, pero también se ganó una reputación como matemático y fue admitido como miembro de la Royal Society de Londres en 1742. El famoso texto de Bayes Un ensayo hacia la resolución de un problema de la doctrina de probabilidades se publicó en 1763, dos años después de su muerte. Este proporcionó una fórmula para encontrar la probabilidad inversa, la probabilidad «al revés», y contribuyó a crear una idea fundamental para la filosofía Bayesiana: la probabilidad condicional.Thomas Bayes ha dado nombre a los bayesianos, los partidarios de un tipo de estadística distinta a la que practican los estadísticos tradicionales o «frecuentistas».

La probabilidad condicional
Imagine que el brioso doctor Por Qué tiene la tarea de diagnosticar el sarampión en sus pacientes. La aparición de manchas es un indicador que se usa para la detección, pero el diagnóstico no es sencillo. Un paciente podría tener el sarampión sin tener manchas y algunos pacientes podrían tener manchas sin tener el sarampión. La probabilidad de que un paciente tenga manchas dado que tiene el sarampión es una probabilidad condicional. Los bayesianos usan una línea vertical en sus fórmulas para expresar «dado que», de modo que si escribimos
prob(un paciente tiene manchas | el paciente tiene el sarampión)
nos referimos a la probabilidad de que un paciente tenga manchas dado que tiene sarampión. El valor de prob(un paciente tiene manchas | el paciente tiene el sarampión) no es el mismo que prob(el paciente tiene el sarampión | el paciente tiene manchas).En su relación mutua, una es la probabilidad inversa de la otra. La fórmula de Bayes calcula una a partir de la otra. Nada gusta más a los matemáticos que usar la notación para representar cosas. Así que digamos que el acontecimiento de tener el sarampión es M y que el acontecimiento de que un paciente tenga manchas es S. El símbolo S es el acontecimiento de que un paciente no tenga manchas y M es el acontecimiento de que no tenga el sarampión. Podemos ver esto en un diagrama de Venn.

Esto le dice al doctor Por Qué que hay x pacientes que tienen sarampión y manchas y m pacientes que tienen el sarampión, mientras que el número total de pacientes en conjunto es N. A partir del diagrama el doctor puede ver que la probabilidad de que alguien tenga sarampión y tenga manchas es simplemente x/N, mientras que la probabilidad de que alguien tenga el sarampión es m/N. La probabilidad condicional, la probabilidad de que alguien tenga manchas dado que tiene el sarampión, que se escribe como prob(S I M), es x/m. Uniéndolas, el doctor Por Qué obtiene la probabilidad de que alguien tenga sarampión y manchas



Igualar las expresiones para prob(M & S) nos da la fórmula de Bayes, la relación entre la probabilidad condicional y su inversa. El doctor Por Qué tendrá una buena idea sobre prob(S | M), la probabilidad de que si un paciente tiene el sarampión, tenga manchas. La probabilidad condicional a la inversa es lo que realmente interesa al doctor Por Qué, su cálculo aproximado de que un paciente tenga el sarampión si se presenta con manchas. Para calcular las probabilidades necesitamos introducir algunos números. Estos serán subjetivos pero lo importante es ver cómo se combinan. La probabilidad de que los pacientes tengan el sarampión si tienen manchas, prob(S | M), será elevada, digamos del 0,9, y el doctor Por Qué ya tendrá una idea de esto. El brioso médico también tendrá una idea sobre el porcentaje de personas de la población que tiene sarampión, digamos el 20%. Esto se expresa como prob(M) = 0,2. La única información que necesitamos además de esto es prob(S), el porcentaje de personas en la población que tienen manchas. Bien, la probabilidad de que alguien tenga manchas es la probabilidad de que alguien tenga sarampión y manchas más la probabilidad de que alguien no tenga sarampión pero sí tenga manchas. A partir de nuestras relaciones fundamentales, prob(S) = 0,9 × 0,2 + 0,15 × 0,8 = 0,3. Sustituyendo estos valores en la fórmula de Bayes obtenemos:

Bayesianos modernos
El estadístico tradicional no estaría excesivamente en contra del uso de la fórmula de Bayes en los casos en los que se puede medir la probabilidad. El escollo polémico estriba en la interpretación de la probabilidad como grados de creencia o, como en ocasiones se define, de probabilidad subjetiva.
Al estadístico frecuentista le cuesta atribuir algún significado a la probabilidad de que un preso sea culpable de un delito. No así al bayesiano, al que no le importa incorporar los sentimientos. Si vamos a usar el método del equilibrio de probabilidades para juzgar la culpa y la inocencia, veremos cómo se pueden hacer malabarismos con las probabilidades.
Un jurado ha decidido que la probabilidad de que el acusado sea culpable es aproximadamente de 1 entre 100. Durante las deliberaciones se vuelve a llamar al jurado al tribunal para que la acusación le presente más pruebas. Se ha hallado un arma en la casa del preso y el principal abogado de la acusación afirma que la probabilidad de hallarla es hasta del 0,95 si el prisionero es culpable, pero que si es inocente la probabilidad de hallar el arma sería solamente del 0,1. La probabilidad de hallar un arma en la casa del preso es, por consiguiente, mucho más elevada si el prisionero es culpable que si es inocente. La cuestión que se le plantea al jurado es cómo debería modificar su opinión sobre el preso en vista de esta nueva información. Usando de nuevo nuestra notación, G es el acontecimiento de que el prisionero sea culpable y E es el acontecimiento de que se obtengan nuevas pruebas. El jurado ha hecho una valoración inicial de que prob(G) = 1/100 o 0,01. Esta probabilidad se denomina probabilidad anterior. La probabilidad reevaluada prob (G | E) es la probabilidad revisada de culpa dada la nueva prueba E, y ésta se denomina probabilidad posterior. La fórmula de Bayes en forma


La idea en síntesis: actualización de las creencias usando pruebas
Capítulo 33
El problema del cumpleaños

Hay 365 días en un año normal (e ignoraremos los años bisiestos sólo para simplificar las cosas), de modo que si hubiera 366 personas en la sala, al menos un par de ellas tendrían la misma fecha de cumpleaños, categóricamente. No puede darse el caso de que todas ellas tengan fechas de cumpleaños distintas.
Es el principio del palomar: si hay n + 1 palomas que ocupan n palomares, un palomar tiene que contener más de una paloma. Si hubiera 365 personas no podríamos estar seguros de que habría una fecha de cumpleaños en común porque todos los cumpleaños podrían ser en fechas distintas del año. Sin embargo, si se coge a 365 personas al azar esto sería sumamente improbable y la probabilidad de que dos personas no compartieran una fecha de cumpleaños sería minúscula. Aun cuando sólo haya 50 personas en la sala hay una probabilidad del 96,5% de que dos personas compartan una fecha de cumpleaños.
Si se reduce aún más el número de personas, se reduce la probabilidad de que dos personas compartan una misma fecha de cumpleaños. Hallamos que 23 personas es el número para el cual la probabilidad es apenas mayor que 1/2 y que para 22 personas la probabilidad de que se comparta una fecha de cumpleaños es apenas menor que 1/2. El número 23 es el valor crítico. Aunque la respuesta al problema clásico del cumpleaños es sorprendente, no es una paradoja.
¿Podemos demostrarlo?
Escojamos a una persona al azar. La probabilidad de que otra persona tenga la misma fecha de cumpleaños es 1/365 y por consiguiente la probabilidad de que estas dos personas no compartan la fecha de su cumpleaños es de uno menos esto (o 364/365). La probabilidad de que otra persona escogida al azar comparta su fecha de cumpleaños con alguna de las dos primeras es de 2/365, de modo que la probabilidad de que esta persona no comparta su fecha de cumpleaños con ninguna de las dos primeras es de uno menos esto (o 363/365). La probabilidad de que ninguna de estas tres personas comparta su fecha de cumpleaños es la multiplicación de estas dos probabilidades, o (364/365)×(363/365), que es 0,9918.
Si continuamos esta línea de pensamiento en los casos de 4, 5, 6... personas, la paradoja de problema del cumpleaños queda aclarada. Cuando llegamos a las 23 personas con nuestra calculadora de bolsillo obtenemos la solución 0,4927 como la probabilidad de que ninguna de ellas comparta la misma fecha de cumpleaños. La negación de que «ninguna de ellas comparte una misma fecha de cumpleaños» es que «al menos dos personas comparten un cumpleaños» y la probabilidad de esto es 1 - 0,4927 = 0,5073, apenas mayor que el crucial 1/2.
Si n = 22, la probabilidad de que dos personas compartan una misma fecha de cumpleaños es 0,4757, que es menos que 1/2. La naturaleza aparentemente paradójica del problema del cumpleaños está estrechamente vinculada al lenguaje. El resultado del cumpleaños constituye una afirmación sobre dos personas que comparten una fecha de cumpleaños, pero no nos dice qué dos personas son. No sabemos a quiénes corresponderán las coincidencias. Si el señor Trevor Thomson, cuyo cumpleaños es el 8 marzo, está en la sala, podríamos hacer otra pregunta distinta.
¿Cuántos cumpleaños coinciden con el del señor Thomson?
Para esta pregunta, el cálculo es distinto. La probabilidad de que el señor Thomson no comparta su fecha de cumpleaños con otra persona es 364/365, de modo que la probabilidad de que no comparta su fecha de cumpleaños con cualquiera de las otras n - 1 personas de la sala es de (364/365 )n-1. Por consiguiente, la probabilidad de que el señor Thomson comparta su fecha de cumpleaños con alguien será de uno menos este valor.
Si calculamos esto en el caso de n = 23 esta probabilidad es de solamente 0,061151, de modo que sólo hay una probabilidad del 6% de que el cumpleaños de otra persona sea el 8 de marzo. Si aumentamos el valor de n, esta probabilidad aumentará. Pero tenemos que llegar hasta n = 254 (incluyendo al señor Thomson en la cuenta) para que la probabilidad sea mayor que 1/2. En el caso de n = 254, su valor es 0,5005. Este es el punto de separación, porque n = 253 dará el valor 0,4991, que es menos que 1/2. Tendrá que producirse una reunión de 254 personas en la sala para que haya una probabilidad mayor que 1/2 de que el señor Thomson comparta su fecha de cumpleaños con alguien más. Esto está quizá más en sintonía con nuestra intuición que con la sorprendente solución del problema del cumpleaños clásico.
Otros problemas sobre cumpleaños
El problema del cumpleaños se ha generalizado de muchas formas. Uno de los enfoques es plantearse el caso de que tres personas compartan un cumpleaños. En este caso se necesitarían 88 personas para que la probabilidad de que tres personas compartieran el mismo cumpleaños no fuera igual que la de que no lo compartieran, sino mayor. En la misma medida, se necesitarán grupos más grandes si cuatro, cinco personas... han de compartir una misma fecha de cumpleaños.
Otras incursiones en el problema del cumpleaños se han preguntado por las fechas próximas a los cumpleaños. En este problema se considera que se ha producido una coincidencia si un cumpleaños cae dentro de un plazo de cierto número de días respecto a otro cumpleaños. Resulta que apenas se necesitarán 14 personas en una sala para que la probabilidad de que dos personas tengan una fecha de cumpleaños en común, o de que tengan un cumpleaños dentro de un plazo de un día entre sí, no sea igual, sino mayor a la probabilidad de que esas circunstancias no se produzcan.
Una variante del problema del cumpleaños que requiere herramientas matemáticas más sofisticadas es el problema del cumpleaños para chicos y chicas: si una clase consiste en un número igual de chicos y chicas, ¿cuál sería el grupo mínimo que haría que la probabilidad de que un chico y una chica compartieran una fecha de cumpleaños no fuera igual, sino mayor a la probabilidad de que no lo hicieran?El resultado es que una clase de 32 (16 chicas y 16 chicos) constituiría el grupo mínimo. Se puede comparar esto con los 23 del problema clásico del cumpleaños.
En el cálculo de los cumpleaños se trabaja sobre el supuesto de que los cumpleaños están distribuidos de manera uniforme y de que cada cumpleaños tiene una probabilidad igual de darse en el caso de una persona escogida al azar. Los resultados experimentales muestran que esto no es exactamente cierto (nacen más personas durante los meses de verano) pero es lo suficientemente aproximado como para que la solución sea aplicable.
Los problemas de cumpleaños son ejemplos de problemas de ocupación, en los que los matemáticos piensan en términos de la colocación de bolas en celdas. En el problema del cumpleaños, el número de celdas es 365 (estas se identifican con posibles cumpleaños) y las bolas que se ha de colocar al azar en las celdas son las personas. El problema se puede simplificar para investigar la probabilidad de que dos bolas caigan en la misma celda. Para el problema de los chicos y las chicas, las bolas son de dos colores.
El problema del cumpleaños no sólo interesa a los matemáticos. A Satyendra Nath Bose le atrajo la teoría de Albert Einstein de que la luz se basaba en los fotones. Se apartó de las líneas tradicionales de investigación y contempló el entorno físico en términos de un problema de ocupación. Para él, las celdas no eran los días del año, como en el problema del cumpleaños, sino los niveles de energía de los fotones. En lugar de poner personas en las celdas, como en el problema del cumpleaños, él distribuyó números de fotones. Hay muchas aplicaciones de los problemas de ocupación en otras ciencias.
La idea en síntesis: calculo de coincidencias
A Ladislaus J. Bortkiewicz le fascinaban las tablas de mortalidad. Para él no eran un asunto macabro, sino un área de investigación científica permanente. Se hizo célebre por contar el número de soldados del ejército prusiano cuya muerte había sido provocada por coces de caballos. Luego estaba Frank Benford, un ingeniero eléctrico que contaba los primeros dígitos de distintos tipos de datos numéricos para ver cuántos eran irnos, doses, etc. Y George Kingsley Zipf, que enseñaba alemán en Harvard, tenía interés por la filología y analizaba las incidencias de ciertas palabras en los textos.Todos estos ejemplos implican la medición de las probabilidades de los acontecimientos.

Vida y muerte en el ejército prusiano
Bortkiewicz reunió los historiales de diez cuerpos militares a lo largo de un período de 20 años, con lo que obtuvo datos para 200 años-cuerpo. Se fijaba en el número de muertes (esto era lo que los matemáticos llaman la variable) y el número de años-cuerpo en los que tenía lugar este número de muertes. Por ejemplo, había 109 años-cuerpo en los que no tenía lugar ninguna muerte, mientras que en un año-cuerpo había cuatro muertes. En el cuartel, el Cuerpo C (por ejemplo) en un año determinado había tenido cuatro muertos.
¿Cómo se distribuye el número de muertes? Bortkiewicz obtuvo los siguientes datos:
La distribución teórica de Poisson dice que la probabilidad de que el número de muertes (que llamaremos λ) tenga el valor r viene dada por la fórmula de Poisson, en la que e es el número especial del que se ha hablado anteriormente en este libro y que está asociado con el crecimiento y el signo de exclamación representa el factorial, el número multiplicado por todos los demás números enteros comprendidos entre él mismo y 1. La letra griega lambda, escrita λ, es el promedio de muertes. Necesitamos hallar este promedio a lo largo de nuestros 200 años-cuerpo, así que multiplicamos 0 muertes por 109 años-cuerpo (lo que nos da 0), 1 muerte por 65 años-cuerpo (lo que nos da 65), 2 muertes por 22 años-cuerpo (lo que nos da 44), 3 muertes por 3 años-cuerpo (lo que nos da 9) y 4 muertes por 1 año-cuerpo (lo que nos da 4) y después lo sumamos todo (lo que nos da 122) y dividimos esto por 200. Así que nuestro promedio de muertes por año-cuerpo es 122/200 = 0,61.Las probabilidades teóricas (que llamaremos p) se pueden hallar sustituyendo los valores r = 0, 1, 2, 3 y 4 en la fórmula de Poisson.

Primeros números
Si analizamos los últimos dígitos de los números de teléfono de una columna de la guía telefónica, esperaríamos hallar que 0, 1, 2,..., 9 estuvieran distribuidos de manera uniforme. Aparecen al azar y todos los números tienen las mismas probabilidades de aparecer. En 1938 el ingeniero eléctrico Frank Benford halló que esto no era cierto en el caso de los primeros dígitos de algunos conjuntos de datos. De hecho redescubrió una ley que el astrónomo Simón Newcomb había observado por primera vez en 1881.
Ayer llevé a cabo un pequeño experimento. Eché un vistazo a los datos sobre el cambio de divisas extranjeras que publicaba un periódico nacional. Había tipos de cambio como 2,119, lo que significa que se necesitan 2,119 $ (dólares norteamericanos) para comprar 1 £ (libra esterlina). De igual modo, se necesitan 1,59 € (euros) para comprar 1 £ esterlina y 15,390 $ HK (dólares de Hong Kong) para comprar 1 £. Al repasar los resultados de los datos y al anotar el número de apariciones por primer dígito, se obtenía la siguiente tabla:

No resulta obvio por qué hay tantos conjuntos de datos que sí siguen la ley de Benford. En el siglo XIX, cuando Simón Newcomb la observó en el uso de las tablas matemáticas, difícilmente podría haber supuesto que estaría tan extendida.
Entre los casos en los que se puede detectar la distribución de Benford figuran los resultados de los acontecimientos deportivos, los datos de los mercados de valores, los números de las casas, las poblaciones de los países, y las extensiones de los ríos.
Palabras
Uno de los diversos intereses de G. K. Zipf era la inusual práctica de contar las palabras. Resulta que las diez palabras más populares que aparecen en el idioma inglés son estas diminutas palabras clasificadas en este orden:

No es de extrañar que «el» sea la más habitual, y que «de» sea la segunda. La lista continúa y quizá usted quiera saber que «entre» está en la posición número 500 y «cuello» en la 1.000. Nosotros sólo tomaremos en consideración las diez primeras palabras. Si usted coge un texto al azar y cuenta estas palabras, obtendrá más o menos las mismas palabras en el mismo orden de posición. El hecho sorprendente es que las posiciones influyen en el número real de apariciones de las palabras en un texto. La palabra «el» aparecerá el doble de veces que «de» y el triple de veces que «y», y así sucesivamente. El número real viene dado por una fórmula muy conocida. Se trata de una ley experimental y Zipf la descubrió a partir de datos. La ley teórica de Zipf dice que el porcentaje de incidencias de la palabra que se encuentra en la posición r viene dado por
k/r × 100
donde el número k sólo depende del tamaño del vocabulario del autor. Si un autor dominase todas las palabras del idioma inglés, y según algunos cálculos aproximados existen alrededor de un millón, el valor de k sería aproximadamente 0,0694- En la fórmula para la ley de Zipf la palabra «el» supondría, en ese caso, aproximadamente el 6,94% de todas las palabras de un texto. De igual modo, «de» supondría la mitad de esto, o aproximadamente el 3,47% de las palabras. Un ensayo de 3.000 palabras escrito por un autor con tanto talento contendría, por consiguiente, 208 incidencias de «el» y 104 apariciones de la palabra «de».Cuando más pequeño el vocabulario, más a menudo veremos que aparece «el».
Mirando fijamente la bola de cristal
Todas estas distribuciones, ya sea la de Poisson, la de Benford o la de Zipf, nos permiten hacer predicciones. Puede que no podamos hacer predicciones con total certeza, pero saber cómo se distribuyen las probabilidades es mucho mejor que dar palos de ciego. Si a estas tres les añadimos otras distribuciones como la binomial, la binomial negativa, la geométrica, la hipergeométrica, y muchas más, el estadístico tiene una eficaz serie de herramientas para analizar una inmensa variedad de actividades humanas.
La idea en síntesis: predecir cuantos
La curva «normal» desempeña un papel fundamental en la estadística. Se ha dicho que es el equivalente a la línea recta en las matemáticas. Tiene propiedades matemáticas importantes, sin duda, pero si nos pusiéramos a analizar un bloque de datos que no han sido procesados, raramente hallaríamos que éste sigue exactamente una curva normal.La curva normal está prescrita por una fórmula matemática concreta que crea una curva con forma de campana; una curva con un montículo que va disminuyendo por ambos lados. La importancia de la curva normal no estriba tanto en la naturaleza como en la teoría, y en ésta tiene un largo historial.

Adolphe Quetelet usó la curva normal en sus estudios sociológicos publicados en 1835, en los que midió la divergencia respecto al «hombre corriente» mediante la curva normal. En otros experimentos midió las alturas de los reclutas franceses y las medidas del pecho de los soldados escoceses y supuso que éstas seguían la curva normal. En aquella época se creía firmemente que la mayoría de los fenómenos eran «normales» en este sentido.
El cóctel
Supongamos que Georgina fue a un cóctel y el anfitrión, Sebastian, le preguntó si había venido desde lejos. Posteriormente ella se dio cuenta de que ésa era una pregunta muy útil para los cócteles: Es pertinente para todos e invita a contestar. No es complicada y es un comienzo si hay dificultades para entablar una conversación.

Al día siguiente, con una ligera resaca, Georgina se desplazó a la oficina preguntándose si sus compañeros habrían venido al trabajo desde lejos. En el comedor de los empleados se enteró de que algunos vivían a la vuelta de la esquina y de que otros vivían a 80 kilómetros de allí; había una gran variabilidad. Se aprovechó del hecho de que era la directora de Recursos Humanos de una empresa muy grande para añadir una pregunta al final de su cuestionario anual para los empleados: «¿Qué distancia ha recorrido hoy para llegar al trabajo?». Quería calcular la distancia media de desplazamiento de los empleados de la empresa. Cuando Georgina dibujó un histograma de resultados, la distribución no mostraba ninguna forma especial, pero al menos pudo calcular la distancia media recorrida.
Este promedio resultó ser de 20 millas. Los matemáticos denotan esto mediante la letra griega mu, escrita μ, y por consiguiente aquí μ = 20. La variabilidad en la población se denota mediante la letra griega sigma, escrita σ, que a veces se denomina desviación típica. Si la desviación típica es pequeña, los datos están próximos entre sí y tienen una variabilidad pequeña, pero, si es grande, los datos están desplegados. El analista de mercadotecnia de la empresa, que se había formado como estadístico, mostró a Georgina que podría haber obtenido aproximadamente el mismo valor de 20 tomando muestras. No había ninguna necesidad de preguntar a todos los empleados. Esta técnica de cálculo aproximado se basa en el Teorema del Límite Central.
Tomemos una muestra aleatoria de empleados de toda la plantilla de la empresa. Cuanto mayor sea la muestra mejor, pero con 30 empleados tendremos bastante. Al seleccionar esta muestra al azar es probable que haya gente que viva a la vuelta de la esquina y también gente que recorra una gran distancia. Cuando calculemos la distancia media para nuestra muestra, el efecto de las distancias más largas compensará las distancias más cortas. Los matemáticos escriben el promedio de la muestra como x, que se lee como «barra x». En el caso de Georgina, lo más probable es que el valor de x esté próximo a 20, el promedio de la población. Aunque sin duda es posible, es improbable que el promedio de la muestra sea muy pequeño o muy grande.
El Teorema del Límite Central es una de las razones por las que la curva normal es importante para los estadísticos. Éste afirma que la distribución real de los promedios de muestra x se aproxima a una curva normal sea cual sea la distribución de x. ¿Qué significa esto? En el caso de Georgina, x representa la distancia desde el lugar de trabajo y x es el promedio de una muestra. La distribución de x en el histograma de Georgina no se parece en nada a una curva con forma de campana, pero la distribución de xes, y está centrada en, μ = 20.

Ésta es la razón por la que podemos usar el promedio de una muestra xcomo un cálculo aproximado del promedio de población μ. La variabilidad de los promedios de muestra x es un plus añadido. Si la variabilidad de los valores de x es la desviación típica σ, la variabilidad de x es σ/√n, donde n es el tamaño de la muestra que escogemos. Cuanto mayor sea el tamaño de la muestra, más estrecha será la curva normal, y mejor será el cálculo aproximado de μ.
Otras curvas normales
Hagamos un sencillo experimento. Lanzaremos una moneda al aire cuatro veces. La probabilidad de que salga cara cada una de las veces es p = 1/2. El resultado de los cuatro lanzamientos puede anotarse usando C para las caras y R para las cruces, disponiéndolas en el orden en que se den. Hay 16 posibles resultados en total. Por ejemplo, podríamos obtener tres caras en el resultado RCCC. De hecho, hay cuatro posibles resultados que dan tres caras (los otros son CRCC, CCRC, CCCR) de modo que la probabilidad de que salgan tres caras es 4/16 = 0,25.
Con un número pequeño de lanzamientos, las probabilidades se calculan fácilmente y se disponen en una tabla, y también podemos calcular cómo se distribuyen las probabilidades. La fila del número de combinaciones se puede hallar a partir del triángulo de Pascal (véase página 52):

Lanzar la moneda cuatro veces es un poco restrictivo. ¿Qué ocurre si la lanzamos un gran número de veces, digamos 100? La distribución binomial de probabilidades puede aplicarse cuando n = 100, pero podemos aproximarnos útilmente a ella mediante la curva de campana normal con un promedio μ = 50 (ya que esperaríamos obtener 50 caras al lanzar una moneda 100 veces) y una variabilidad (desviación típica) de σ = 5. Esto es lo que de Moivre descubrió en el siglo XVI.
Para valores grandes de n, la variable x que mide el número de éxitos encaja en la curva normal cada vez mejor. Cuanto más grande el valor de n, mejor la aproximación, y lanzar la moneda 100 veces se puede considerar un valor grande. Ahora digamos que queremos conocer qué probabilidad hay de obtener entre 40 y 60 caras. El área A muestra la región que nos interesa y nos da la probabilidad de lanzar entre 40 y 60 caras, que escribimos como prob (40 < x < 60). Para hallar el valor numérico real hemos de usar tablas matemáticas calculadas con antelación, y una vez hecho esto, hallamos que prob(40 < x < 60) = 0,9545. Esto muestra que la probabilidad de obtener entre 40 y 60 caras en 100 lanzamientos de una moneda es del 95,45%, lo que significa que esto es muy probable.
El área restante es 1 - 0,9545, que es apenas 0,0455.Como la curva normal es simétrica aproximadamente en torno a su centro, la mitad de esto dará la probabilidad de obtener más de 60 caras en 100 lanzamientos de la moneda. Esto es simplemente 2,275% y representa, en efecto, una muy pequeña probabilidad.
Yo que usted no apostaría a ello si visita Las Vegas.
La idea en síntesis: la ubicua curva con forma de campana
¿Cómo están conectados dos conjuntos de datos? Los estadísticos de hace cien años creían tener la respuesta. La correlación y la regresión van juntas como un caballo y un carruaje, pero, al igual que en este emparejamiento, son distintas y cada una de ellas tiene su propia tarea. La correlación mide hasta qué punto están relacionadas entre sí cantidades como el peso y la altura. La regresión se puede usar para predecir los valores de una propiedad (por ejemplo, el peso) a partir de otra (en este caso, la altura).
La correlación de Pearson
Francis Galton introdujo el término correlación en la década de 1880. En un principio la llamó «correlación», una palabra mejor para explicar su significado.

A menudo deseamos calcular la correlación entre dos variables para ver qué grado de conexión tienen entre sí. Tomemos el ejemplo de las ventas de gafas de sol y veamos cómo se relaciona esto con las ventas de helados. San Francisco sería un buen lugar en el que llevar a cabo nuestro estudio y recabaremos datos cada mes en esa ciudad. Si trazamos los puntos en una gráfica en el que la coordenada x (horizontal) representa las ventas de gafas de sol y la coordenada y (vertical) ofrece las ventas de helados, cada mes tendremos un punto de datos (x, y) que representa ambos datos. Por ejemplo, el punto (3,4) podría significar que en mayo se vendieron gafas de sol por un valor de 30.000 dólares, mientras que en ese mismo mes en la ciudad se vendieron helados por un total de 40.000 dólares. Podemos trazar los puntos de los datos mensuales (x, y) durante todo un año en un diagrama de dispersión.
En el caso de este ejemplo, el valor del coeficiente de correlación de Pearson estaría alrededor de +0,9, lo que indica una fuerte correlación. Los datos tienen tendencia a seguir una línea recta. Es positivo porque la línea recta tiene un gradiente positivo; apunta en dirección nordeste.
Causa y correlación
Hallar una fuerte correlación entre dos variables no es suficiente para afirmar que una causa la otra. Puede existir una relación de causa y efecto entre las dos variables, pero no podemos afirmar esto basándonos exclusivamente en las
pruebas numéricas. En la cuestión de causa/correlación lo habitual es usar la palabra «asociación».Hay una fuerte correlación entre las ventas de gafas de sol y las de helados. A medida que aumentan las ventas de gafas de sol, el número de helados vendidos tiende a aumentar. Sería ridículo afirmar que el gasto en gafas de sol causara que se vendieran más helados. Con la correlación puede haber una variable oculta en juego. Por ejemplo, el gasto en gafas de sol y el gasto en helados están vinculados entre sí a consecuencia de los efectos estacionales. Usar la correlación entraña otro peligro. Puede haber una elevada correlación entre variables pero ninguna conexión lógica o científica.
La correlación de Spearman
Se puede dar otros usos a la correlación. El coeficiente de correlación se puede adaptar para tratar datos ordenados, datos sobre los cuales queremos saber cuál va primero, segundo, tercero, etcétera, pero no necesariamente otros valores numéricos.
Ocasionalmente los únicos datos de los que disponemos son las posiciones en una clasificación jerárquica. Pensemos en Albert y Zac, dos resueltos jueces de patinaje sobre hielo que tienen que evaluar el mérito artístico de los patinadores en una competición. Será una evaluación subjetiva. Tanto Albert como Zac han ganado medallas olímpicas y se les ha llamado para juzgar al grupo final, que ha quedado reducido a cinco competidores: Ann, Beth, Charlotte, Dorothy y Ellie. Si Albert y Zac los clasificaran exactamente de la misma manera estaría muy bien, pero la vida no es así.

¿Cómo podemos medir el grado de acuerdo entre los jueces? El coeficiente de correlación de Spearman es el instrumento que usan los matemáticos en los casos en los que se tienen datos ordenados. Su valor aquí es +0,8, lo que indica una elevada medida de acuerdo entre Albert y Zac. Si tratamos como puntos los pares de posiciones en las dos clasificaciones, podemos trazarlas en una gráfica para obtener una representación visual de hasta qué punto están de acuerdo los dos jueces.La fórmula para hallar este coeficiente de correlación fue desarrollada en 1904 por el psicólogo Charles Spearman, quien, como Pearson, estuvo influido por Francis Galton.
Líneas de regresión
¿Tiene usted una estatura inferior o superior tanto a la de su padre como a la de su madre, o la estatura de usted está entre la de ellos? Si todos fuéramos más altos que nuestros padres, y esto sucediera en cada generación, un día la población podría estar compuesta por gente que midiera tres metros y más, y sin duda esto no es posible. Si todos fuéramos más bajos que nuestros padres, la altura de la población disminuiría gradualmente y esto es igualmente improbable. La verdad es otra.
Francis Galton llevó a cabo experimentos en la década de 1880 en los que comparó las estaturas de adultos jóvenes maduros con las estaturas de sus padres. Para cada valor de la variable x que medía la estatura de los padres (combinando, en realidad, la estatura de la madre y del padre en una estatura «media de los padres») observó las estaturas de sus hijos. Para 205 (medias de) padres y 928 hijos halló que la estatura media de ambos conjuntos era de 68 1/4 pulgadas o de 5 pies 8 1/4 pulgadas, y a este valor lo llamó la mediocridad. Halló que los hijos de (medias de) padres muy altos eran generalmente más altos que esta mediocridad, pero no tan altos como sus (medias de) padres, mientras que los hijos más bajos eran más altos que sus (medias de) padres pero más bajos que la mediocridad. En otras palabras, las estaturas de los hijos regresaban hacia la mediocridad.
La regresión es una técnica potente y tiene amplias aplicaciones. Supongamos que el equipo de investigación operativa de una cadena de comercios escoge cinco de sus tiendas, desde pequeñas tiendas minoristas (con 1.000 clientes al mes) hasta megatiendas (con 10.000 clientes al mes). El equipo observa el número de empleados que tiene cada una de ellas. Piensan usar la regresión para calcular aproximadamente cuántos empleados necesitarán para sus otras tiendas.

La idea en síntesis: la interacción de datos
La genética es una rama de la biología, de modo que, ¿por qué está en un libro de matemáticas? La respuesta es que el intercambio de ideas entre estas dos materias estimula el desarrollo de ambas y las dos se enriquecen mutuamente. Los problemas de la genética exigen el uso de las matemáticas, pero la genética también ha sugerido nuevas ramas del álgebra. Gregor Mendel es fundamental para todo el tema de la genética, el estudio de la herencia humana. Las características hereditarias como el color de los ojos, el color del cabello, el daltonismo, el hecho de que la persona sea diestra o zurda y los tipos de grupo sanguíneo están, todos ellos, determinados por factores (alelos) de un gen. Mendel dijo que estos factores pasan de forma independiente a la siguiente generación.
que tienen el genotipo BB. En términos de porcentajes, estos genotipos constituirían el 20%, el 20% y el 60% de la población. Esto se puede representar mediante un diagrama que muestra estas proporciones de genotipos.El factor B, que denota el color de ojos marrón, es el factor dominante y b, el color de ojos azul, es el factor recesivo. Una persona que tenga un genotipo de genes puros BB tendrá ojos marrones, pero también los tendrá una persona que tenga factores mixtos, es decir, aquellos que tengan un genotipo híbrido bB, porque B es dominante. Una persona que tenga el genotipo de genes puros bb será el único genotipo que muestre ojos azules.
A comienzos del siglo XIX surgió una cuestión candente en el campo de la biología. ¿Acabarían dominándolo todo los ojos marrones y se extinguirían los ojos azules? La respuesta fue un rotundo «no».
La ley de Hardy-Weinberg
Esto se explicó mediante la ley de Hardy-Weinberg, una aplicación de matemáticas básicas a la genética. Ésta explica cómo, en la teoría mendeliana de la herencia, un gen dominante no acaba dominándolo todo por completo y un gen recesivo no se extingue.
G. H. Hardy fue un gran investigador en el ámbito de las matemáticas puras pero probablemente sea más conocido por esta sola contribución a la genética, que nació en forma de unas operaciones matemáticas realizadas en el reverso de un sobre después de un partido de cricket. Wilhelm Weinberg tenía unos orígenes muy distintos. Médico general en Alemania, fue genetista toda su vida. Descubrió la ley al mismo tiempo que Hardy, en torno a 1908.
La ley atañe a una gran población en la que el apareamiento se produce al azar. No hay ningún emparejamiento preferido. Después del apareamiento, el niño recibe un factor de cada uno de los padres. Por ejemplo, un genotipo híbrido bB que se aparea con un híbrido bB puede producir bb, o bB, o BB, pero un bb que se aparea con un BB sólo puede producir un bB híbrido. ¿Qué probabilidad hay de que se transmita un factor b? Contando el número de factores b, hay dos factores b por cada genotipo bb y un factor b por cada genotipo bB, lo que nos da, como proporción, un total de tres factores b de 10 (en nuestro ejemplo de una población con proporciones 1:1:3 de los tres genotipos). La probabilidad de transmisión de que un factor b se incluya en el genotipo de un niño es, por consiguiente, 3/10 o 0,3. La probabilidad de transmisión de que un factor B se incluya es 7/10 o 0,7. La probabilidad de que el genotipo bb se incluya en la siguiente generación, por ejemplo, es, por consiguiente, 0,3 × 0,3 = 0,09. El conjunto completo de probabilidades se resume en la tabla.

La distribución inicial de genotipos era 20%, 20% y 60% y en la nueva generación la distribución de genotipos es 9%, 42% y 49%. ¿Qué pasa después? Veamos lo que sucede si se obtiene una nueva generación a partir de ésta por apareamiento aleatorio. La proporción de factores b es 0,09 + 1/2 × 0,42 = 0,3, la proporción de factores B es 1/2 × 0,42 + 0,49 = 0,7. Éstas son idénticas a las anteriores probabilidades de transmisión de los factores b y B. La distribución de genotipos bb, bB y BB en la generación posterior es, por consiguiente, igual que en el caso de la generación anterior, y en particular el genotipo bb que da los ojos azules no se extingue, sino que permanece estable en el 9% de la población. Las proporciones sucesivas de genotipos durante una sucesión de apareamientos aleatorios son, por consiguiente,
20%, 20%, 60% → 9%, 42%, 49%→… 9%, 42%, 49%
Esto concuerda con la ley de Hardy-Weinberg: después de una generación, las proporciones de genotipos permanecen constantes y las probabilidades de transmisión también son constantes.El razonamiento de Hardy
Para ver que la ley Hardy-Weinberg funciona en el caso de cualquier población inicial, no sólo la de 20%, 20% y 60% que escogimos en nuestro ejemplo, nada mejor que remitimos al propio razonamiento de Hardy, que éste escribió al director de la publicación norteamericana Science en 1908.
Hardy empieza con la distribución inicial de los genotipos bb, bB y BB como p, 2r y q y las probabilidades de transmisión p + r y r + q. En nuestro ejemplo numérico (de 20%, 20%, 60%), p = 0,2, 2r = 0,2 y q = 0,6. Las probabilidades de transmisión de los factores b y B son p + r = 0,2 +0,1 = 0,3 y r + q = 0,1 + 0,6 = 0,7. ¿Y si hubiera una distribución inicial distinta de los genotipos bb, bB y BB y empezáramos con, por ejemplo, 10%, 60% y 30%? ¿Cómo funcionaría la ley Hardy-Weinberg en este caso? Aquí tendríamos p = 0,1; 2r = 0,6 y q = 0,3 y las probabilidades de transmisión de los factores b y B son respectivamente p + r = 0,4 y r + q = 0,6. De modo que la distribución de la siguiente generación de genotipos es 16%, 48% y 36%. Las proporciones sucesivas de los genotipos bb, bB, y BB después de las uniones aleatorias son:
10%, 60%, 30% → 16%, 48%, 36% → 16%, 48%, 36%
y las proporciones se estabilizan después de una generación, como antes, y las probabilidades de transmisión de 0,4 y 0,6 permanecen constantes. Con estas cifras el 16% de la población tendrá ojos azules y 48% + 36% = 84% tendrá los ojos marrones porque B es dominante en el genotipo bB.De modo que la ley de Hardy-Weinberg implica que estas proporciones de genotipos bb, bB y BB permanecerán constantes de generación en generación sea cual sea la distribución inicial de factores en la población. El gen dominante B no acaba dominándolo todo y las proporciones de genotipos son intrínsecamente estables.
Hardy subrayó que su modelo sólo era aproximado. Su sencillez y elegancia dependían de muchas suposiciones que no se sostienen en la vida real. En el modelo, la probabilidad de mutación de genes o de cambios en los propios genes se ha descartado, y la consecuencia de que las proporciones de transmisión sean constantes significa que no tiene ninguna influencia en la evolución. En la vida real hay «deriva genética» y las probabilidades de transmisión de los factores no permanecen constantes. Esto causará variaciones en las proporciones globales y evolucionarán nuevas especies.
La ley de Hardy-Weinberg agrupó la teoría de Mendel (la «teoría cuántica» de la genética) con el darwinismo y la selección natural de forma intrínseca. Hubo que esperar al genio de R. A. Fisher para reconciliar la teoría mendeliana de la herencia con la teoría continua en la que evolucionan las características.
Lo que faltaba en la ciencia de la genética hasta la década de 1950 era una comprensión física del propio material genético. Se produjo entonces un espectacular avance, aportado por Francis Crick, James Watson, Maurice Wilkins y Rosalind Franklin. El medio era el ácido desoxirribonucleico o ADN. Se necesitan las matemáticas para modelar la famosa doble hélice. Los genes están situados en segmentos de esta doble hélice.
La idea en síntesis: incertidumbre en el banco genético
Evariste Galois murió en un duelo a los 20 años, pero dejó tras él suficientes ideas para mantener ocupados a los matemáticos durante siglos. Entre éstas estaba la teoría de grupos, estructuras matemáticas que pueden usarse para cuantificar la simetría. Aparte de su atractivo artístico, la simetría es el ingrediente fundamental para los científicos que sueñan con una futura teoría del todo. La teoría de grupos es el adhesivo que mantiene unido al «todo».Estamos rodeados de simetría por todas partes. Los jarrones griegos la tienen, los cristales de nieve la tienen, los edificios a menudo la tienen y algunas letras de nuestro alfabeto la tienen. Hay varias clases de simetría: entre ellas las principales son la simetría especular y la simetría rotacional.

Simetría especular
¿Podemos colocar un espejo de forma que un objeto se vea de la misma manera tanto delante del espejo como en el espejo? Las palabras ATA y ASA tienen simetría especular, pero LOS y SON no; ATA delante del espejo es lo mismo que ATA en el espejo, mientras que LOS se convierte en SOL. Un trípode tiene simetría especular, pero el triskelion (trípode con pies) no. El triskelion, como objeto ante el espejo, es diestro, pero su imagen en el espejo, en lo que se llama el plano de la imagen, es zurda.Simetría rotacional
También podemos preguntarnos si hay un eje perpendicular a la página de forma que el objeto pueda rotarse en la página a través de un ángulo y devolverse a su posición original. Tanto el trípode como el triskelion tienen simetría rotacional. El triskelion, que significa tres piernas, es una figura interesante. La versión diestra es una figura que aparece como el símbolo de la Isla de Man y también en la bandera de Sicilia.
Si lo rotamos 120 grados o 240 grados, la figura rotada coincidirá consigo misma; si usted cerrara sus ojos antes de rotarla, vería el mismo triskelion cuando los volviera a abrir después de la rotación.
Lo curioso de la figura de tres piernas es que, por mucho que se rote en el plano, un triskelion diestro jamás se convertirá en uno zurdo. A los objetos cuya imagen en el espejo es distinta del objeto que hay delante del espejo se les denomina quirales: parecen similares, pero no son los mismos. La estructura molecular de algunos compuestos químicos puede existir en formas tanto diestras como zurdas en tres dimensiones y son ejemplos de objetos quirales. Es el caso del compuesto limoneno, que en una forma sabe a limones y en la otra a naranjas. La droga talidomida en una forma es una cura eficaz de las náuseas matutinas en el embarazo, pero en la otra forma tiene consecuencias trágicas.Medición de la simetría
En el caso de nuestro triskelion, las operaciones de simetría básicas son las (en el sentido de las agujas del reloj) rotaciones R de 120 grados y S de 240 grados. La transformación I es la que rota el triángulo 360 grados, o bien que no hace nada en absoluto. Podemos crear una tabla basada en las combinaciones de estas rotaciones, de la misma manera que podríamos crear una tabla de multiplicar.
Esta tabla es como una tabla de multiplicar corriente con números, salvo por el hecho de que estamos «multiplicando» símbolos. Según la convención más usada, la multiplicación R ° S significa: primero rotar el triskelion en el sentido de las agujas del reloj 240 grados con S y después 120 grados con R, siendo el resultado una rotación de 360 grados, como si usted no hiciera nada en absoluto. Esto se puede expresar como R ° S = I, y el resultado se halla en el cruce de la penúltima fila y la última columna de la tabla.El grupo de simetría del triskelion está compuesto por f, R y S y la tabla de multiplicar de cómo se combinan. Como el grupo contiene tres elementos, su tamaño (u «orden») es tres. A la tabla también se le da el nombre de tabla de Cayley (llamada así en homenaje al matemático Arthur Cayley, primo lejano de Sir George Cayley, pionero de la aviación).
Al igual que el triskelion, el trípode sin patas tiene simetría rotacional. Pero también tiene simetría especular y por consiguiente tiene un grupo de simetría más grande. Llamaremos U, V y W a las reflexiones en los tres ejes del espejo.
El grupo de simetría más grande del trípode, que es de orden seis, está compuesto por las seis transformaciones I, R, S, U, V y W y tiene la tabla de multiplicar que se muestra.
Una transformación interesante se consigue combinando dos reflexiones en distintos ejes, como U ° W (donde el reflejo W se aplica primero y después le sigue el reflejo U). En realidad esto es una rotación de 120 grados del trípode, en símbolos U ° W =R. Si combinamos las reflexiones al revés, W °U = S, nos da una rotación de 240 grados. En particular U ° W * W ° U. Esta es una diferencia fundamental entre una tabla de multiplicar para un grupo y una tabla de multiplicar normal con números.
Un grupo en el que no importa el orden en el que se combinan los elementos se denomina grupo abeliano, llamado así en homenaje al matemático noruego Niels Abel. El grupo de simetría del trípode es el grupo más pequeño que no es abeliano.
Grupos abstractos
En el siglo XX, se había tendido al álgebra abstracta, en la que un grupo se define por algunas reglas básicas que se conocen como axiomas. Desde esta perspectiva, el grupo de simetría del triángulo se convierte, simplemente, en un ejemplo de
un sistema abstracto. Hay sistemas en el álgebra que son más básicos que un grupo y que requieren menos axiomas; otros sistemas que son más complejos requieren más axiomas. Sin embargo, el concepto de un grupo es perfecto y es el sistema algebraico más importante de todos. Es extraordinario que a partir de tan pocos axiomas haya surgido un conjunto de conocimientos tan grande. La ventaja del método abstracto es que se pueden deducir teoremas generales para todos los grupos y aplicarlos, si es necesario, a grupos concretos.
Una de las características de la teoría de grupos es que puede haber grupos pequeños dentro de grupos más grandes. El grupo de simetría del triskelion de orden tres es un subgrupo del grupo de simetría de orden seis. L. Lagrange demostró un dato básico de los subgrupos. El teorema de Lagrange afirma que el orden de un grupo siempre debe ser divisible exactamente por el orden de sus subgrupos. Así que sabemos automáticamente que el grupo de simetría del trípode no tiene ningún subgrupo de orden cuatro o cinco.Clasificación de los grupos
Se ha llevado a cabo un exhaustivo programa para clasificar todos los posibles grupos finitos. No hay ninguna necesidad de enumerarlos todos porque algunos grupos se construyen a partir de grupos básicos, y son los grupos básicos los que se necesitan. El principio de clasificación es muy parecido al de la química, donde el interés se centra en los elementos químicos básicos y no en los compuestos que se pueden hacer a partir de ellos. El grupo de simetría del trípode de seis elementos es un «compuesto» que se forma a partir del grupo de rotaciones (de orden tres) y reflexiones (de orden dos).
Casi todos los grupos básicos se pueden clasificar en clases conocidas. La clasificación completa, que se denomina «el teorema enorme», fue anunciada por Daniel Gorenstein en 1983. Es un atlas de todos los grupos conocidos. Los grupos básicos entran dentro de uno de cuatro tipos principales, sin embargo se han hallado 26 grupos que no entran dentro de ninguna categoría. Estos se conocen como los grupos esporádicos.

Los grupos esporádicos son independientes y habitualmente son de orden grande. Entile Mathieu conocía cinco de los más pequeños en la década de 1860, pero gran parte de la actividad moderna tuvo lugar entre 1965 y 1975. El grupo esporádico más pequeño es de orden 7.920 = 24 × 32 × 5 × 11, pero en la parte superior están el «monstruo pequeño» y el «monstruo» a secas que tiene orden 246 × 320 × 59 × 76 × 112 × 133 × 17 × 19 × 23 × 29 × 31 × 41 × 47 × 59 × 71, que en lenguaje decimal es aproximadamente 8 × 1053 o, si lo prefiere, un 8 seguido de 53 ceros, un número muy grande, desde luego. Se puede demostrar que 20 de los 26 grupos esporádicos están representados como subgrupos dentro del «monstruo»: los seis grupos que desafían todos los sistemas clasificatorios se conocen como los «seis parias».
Aunque las demostraciones concisas y vigorosas y la brevedad son muy buscadas en las matemáticas, la demostración de la clasificación de los grupos finitos ocupa unas 10.000 páginas de simbolizaciones rigurosamente argumentadas. El progreso matemático no siempre se debe al trabajo de un único genio extraordinario.
La idea en síntesis: medición de la simetría
Los matemáticos llevaban siglos jugando con bloques de números, pero la idea de tratar los bloques como un solo número despegó hace 150 años con un pequeño grupo de matemáticos que reconocieron su potencial.El álgebra normal es el álgebra tradicional en la que símbolos como a, b, c, x e y representan números individuales. Comparada con esto, el «álgebra extraordinaria» generó un cambio sísmico. Este progreso de un álgebra unidimensional a un álgebra de múltiples dimensiones resultaría ser increíblemente potente para aplicaciones sofisticadas.

En el álgebra habitual, a podría representar un número como 7, y escribiríamos a = 7, pero en la teoría de matrices una matriz A sería un «número de múltiples dimensiones», por ejemplo el bloque

Un ejemplo práctico
Supongamos que la matriz A representa la producción de la empresa AJAX en una semana. La empresa AJAX tiene tres fábricas situadas en distintas partes del país y su producción se mide en unidades (digamos miles de artículos) de los cuatro productos que produce. En nuestro ejemplo, las cantidades, cuadrándolas con la matriz A en el lado contrario, son:



Pero en lugar de ocupamos solamente de una fábrica podemos calcular con la misma facilidad los beneficios totales para todas las fábricas


El álgebra matricial contra el álgebra normal
Se pueden establecer muchos paralelismos entre el álgebra matricial y el álgebra normal. La diferencia más célebre se da en la multiplicación de matrices. Si multiplicamos la matriz A por la matriz B y después probamos a hacerlo al revés:

En las inversas se da otra diferencia. En el álgebra normal es fácil calcular las inversas. Si a = 7 su inversa es 1/7 porque tiene la propiedad de que 1/7×7 = 1. En ocasiones escribimos esta inversa como crl = 1/7 y tenemos a-1 × a = 1.

Planes de viaje
Otro ejemplo lo tenemos en el análisis de una red de vuelos para compañías aéreas, incluyendo centros aeroportuarios y aeropuertos pequeños. En la práctica esto puede implicar centenares de destinos, aquí examinaremos un pequeño ejemplo: los centros aeroportuarios Londres (L) y París (P), y los aeropuertos más pequeños Edimburgo (E), Burdeos (B), y Toulouse (T) y la red que muestra los posibles vuelos directos. Para usar un ordenador con el fin de analizar estas redes, primero se codifican mediante matrices. Si hay un vuelo directo entre los aeropuertos, se anota un 1 en la intersección de la fila y la columna que están designadas como estos aeropuertos. La matriz de «conectividad» que describe la red anterior es A.
La submatriz más baja (señalada por las líneas de puntos) muestra que no hay ningún enlace directo entre los tres aeropuertos más pequeños. Puede interpretarse que el producto de la matriz A × A = A2 de esta matriz consigo misma da el número de posibles viajes entre dos aeropuertos con exactamente una escala. De modo que, por ejemplo, hay tres posibles viajes de ida y vuelta a París pasando por otras ciudades pero ningún viaje de Londres a Edimburgo que implique escalas. El número de rutas que, o bien son directas, o bien implican una escala, son los elementos de la matriz A + A2. Este es otro ejemplo de la capacidad de las matrices para captar la esencia de una enorme cantidad de datos aglutinándolos en un cálculo.Cuando un pequeño grupo de matemáticos creó la teoría de matrices en la década de 1850, lo hicieron para resolver problemas de matemáticas puras. Desde una perspectiva aplicada, la teoría de matrices era, en gran medida, una «solución que buscaba un problema».
La idea en síntesis: combinación de bloques de números
¿Qué tiene en común Julio César con la transmisión de las modernas señales digitales? La respuesta breve es: los códigos y la codificación. Para enviar señales digitales a un ordenador o a un televisor digital, la codificación de imágenes y habla en un torrente de ceros y irnos (un código binario) es fundamental, ya que es el único lenguaje que entienden estos dispositivos.La precisión era fundamental para César y también es necesaria para la eficaz transmisión de las señales digitales. César también quería guardarse sus códigos para sí mismo, como hacen las empresas de televisión por cable y por satélite que quieren que únicamente sus abonados puedan descifrar sus señales.

Detección y corrección de errores
Uno de los primeros sistemas de codificación binaria fue el código Morse, que hace uso de dos símbolos, los puntos • y las rayas -. El inventor norteamericano Samuel F. B. Morse envió el primer mensaje interurbano usando su código de Washington a Baltimore en 1844- Era un código diseñado para el telégrafo eléctrico de mediados del siglo XIX, en cuya confección no se había pensado demasiado en lograr un diseño eficaz. En el código Morse, las letras A están codificadas como distintas sucesiones de puntos y rayas. Sean cuales sean sus méritos, el alfabeto Morse no es muy bueno en la detección de errores, y mucho menos en su corrección.
A un nivel más primitivo podríamos examinar un sistema de codificación que consista solamente en 0 y 1, donde 0 represente una palabra y 1 otra. Supongamos que un comandante del ejército tiene que transmitir un mensaje a sus tropas que es o bien «invadan» o bien «no invadan». La instrucción «invadan» está codificada por «1» y la instrucción «no invadan» por «0». Si se transmitiera incorrectamente un 1 o un 0 el receptor nunca lo sabría, y se daría la instrucción equivocada, con consecuencias desastrosas.
Podemos mejorar las cosas usando palabras en clave de longitud dos. Si esta vez codificamos la instrucción «invadan» como 11 y la de «no invadan» como 00, esto ya está mejor. Un error en un dígito haría que se recibiera 01 o 10. Como solamente 11 o 00 son palabras en clave legítimas, el receptor sabría sin duda que se había cometido un error. La ventaja de este sistema es que un error sería detectable, pero seguiríamos sin saber cómo corregirlo. Si se recibiera 01, ¿cómo sabríamos si se debería haber enviado 00 o 11?
Podemos obtener un sistema mejor combinando el diseño con palabras en clave más largas. Si codificamos la instrucción «invadan» como 111 y la de «no invadan» como 000 sin duda se podría detectar un error en un dígito, como antes. Si supiéramos que a lo sumo se podía cometer un error (una suposición razonable, ya que la probabilidad de que se cometan dos errores en una palabra en clave es pequeña), de hecho el receptor podría hacer la corrección. Por ejemplo, si se recibiera 110 el mensaje correcto habría sido 111. Con nuestras normas no podría ser 000, ya que esta palabra en clave está a dos errores de 110. En este sistema sólo hay dos palabras en clave, 000 y 111, pero son lo suficientemente lejanas entre sí como para posibilitar la detección y la corrección de errores.
Se emplea el mismo principio cuando el procesador de textos está en modo de autocorrección. Si tecleamos «animul», el procesador de textos detecta el error y lo corrige tomando la palabra más próxima, «animal».
Un código binario moderno está compuesto por palabras en clave que son bloques compuestos por ceros y unos. Si se escogen palabras en clave legítimas que estén lo suficientemente lejanas entre sí, tanto la detección como la corrección son posibles. Las palabras en clave del código Morse están demasiado próximas entre sí, pero los sistemas de codificación modernos que se emplean para transmitir datos desde satélites siempre pueden ponerse en modo de autocorrección. Las palabras en clave largas que tienen un alto rendimiento en términos de corrección de errores tardan más tiempo en transmitirse, de modo que para poder tener longitud hay que hacer un pequeño sacrificio en la velocidad de transmisión. En los viajes al espacio interplanetario llevados a cabo por la NASA se han usado códigos que tienen una capacidad de corrección de tres errores y éstos han demostrado ser satisfactorios a la hora de combatir el ruido en la línea.
Hacer que los mensajes sean secretos
Julio César mantenía en secreto sus mensajes cambiando las letras de su mensaje de acuerdo con una clave que sólo él y sus generales conocían. Si la clave caía en las manos equivocadas, sus enemigos podrían descifrar sus mensajes. Durante la segunda guerra mundial se descifró el código alemán Enigma gracias al descubrimiento de su clave. En este caso, ello supuso un reto formidable, pero el código siempre fue vulnerable porque la clave se transmitía como parte del mensaje.
En la década de 1970 se descubrió un sorprendente avance en la encriptación de mensajes. En contra de todo lo que se había creído anteriormente, la clave secreta podía ser transmitida a todo el mundo y aún así el mensaje podría seguir siendo completamente seguro. Esto se denomina criptografía de clave pública. El método se basa en un teorema de 200 años de antigüedad que pertenece a una rama de las matemáticas ensalzada por ser la más inútil de todas.
Codificación de clave pública
El Sr. John Emisor, agente secreto conocido en el mundo del espionaje como «J», acaba de llegar a la ciudad y quiere enviar a su supervisor, el Dr. Rodney Receptor, un mensaje secreto para anunciar su llegada. Lo que hace a continuación es bastante curioso. Va a la biblioteca pública, coge del estante una guía telefónica de la ciudad y busca al Dr. R. Receptor. En la guía encuentra dos números junto al nombre de Receptor: uno largo, que es 247, y uno corto, 5. Esta información está disponible para todo el mundo, y es toda la información que John Emisor necesita para encriptar su mensaje, que en aras de la sencillez es su tarjeta de visita, J. Esta letra es el número 74 en una lista de palabras, que de nuevo está disponible públicamente.
Emisor codifica 74 calculando 745 (en relación al módulo 247), es decir, quiere saber el resto de la división de 745 por 247. Calcular 745 es casi posible en una calculadora manual, pero se tiene que hacer exactamente:
745 = 74 × 74 × 74 × 74 × 74 = 2.219.006.624
y2.219.006.624 = 8.983.832 × 247 + 120
dividiendo de este modo su enorme número por 247 obtiene el resto 120. El mensaje codificado de Emisor es 120 y transmite esto a Receptor. Como los números 247 y 5 estaban disponibles públicamente, cualquiera podría codificar un mensaje. Pero no todos podrían descifrarlo. El Dr R. Receptor tiene más información en la manga. Compuso su número personal 247 multiplicando dos números primos entre sí. En este caso obtuvo el número 247 multiplicando p = 13 y q = 19, pero sólo él sabe esto.En este punto es donde se saca y se desempolva el antiguo teorema que debemos a Leonhard Euler. El Dr R. Receptor usa el conocimiento de p = 13 y q = 19 para hallar un valor de a donde 5 × a ≡ 1 en relación al módulo (p - 1)(q - 1), donde el símbolo ≡ significa iguales en aritmética modular. ¿Qué es a de modo que dividiendo 5xa por 12 × 18 = 216 obtengamos un resto de 1? Saltándose el cálculo real, halla que a = 173.
Como él es el único que conoce los números primos p y q, el Dr. Receptor es el único que puede calcular el número 173. Con él calcula el resto, dividiendo el enorme número 120173 por 247. Esto excede la capacidad de una calculadora manual pero se halla fácilmente usando un ordenador. La solución es 74, como sabía Euler hace doscientos años. Con esta información, Receptor busca la palabra 74 y ve que ya está de vuelta en la ciudad.
Usted podría decir que sin duda un hacker podría descubrir el hecho de que 247 = 13 × 19, y que el código se podría descifrar. Estaría en lo cierto. Pero el principio de codificación y decodificación sería el mismo si el Dr. Receptor hubiera usado otro número en lugar de 247. Podría escoger dos números primos muy grandes y multiplicarlos para obtener un número mucho mayor que 247.
Hallar los dos factores primarios de un número muy grande es prácticamente imposible: ¿cuáles son los factores primos de 24-812.789.922.307, por ejemplo? Pero también se pueden escoger números mucho más grandes que éste. El sistema de clave pública es seguro, y si la potencia de varios superordenadores unidos logra factorizar un número de codificación, lo único que tiene que hacer el Dr. Receptor es aumentar aún más su tamaño. Al final al Dr. Receptor le resulta considerablemente más sencillo «mezclar cajas de arena negra y arena blanca» que lo que a cualquier hacker le resulta deshacer esa mezcla.
La idea en síntesis: mantener los mensajes en secreto
A la rama de las matemáticas que se denomina combinatoria en ocasiones se la conoce como conteo avanzado. Esta no gira en tomo a sumar una columna de cifras mentalmente. «¿Cuántos?» es una pregunta, pero también lo es «¿cómo pueden combinarse los objetos?». A veces los problemas se exponen de manera sencilla, sin que los acompañe la pesada superestructura de la teoría matemática. Esto hace que los problemas de combinatoria resulten atractivos. Pero deberían llevar una advertencia sanitaria: es posible desarrollar una adicción a ellos y sin duda pueden provocar insomnio.
Los niños pueden empezar con la combinatoria a una temprana edad. Hay una canción infantil tradicional que plantea una pregunta combinatoria:
De camino a St. Ives,El último verso es la pregunta con trampa (respuesta: uno). Pero siempre se puede dar la vuelta a cualquier pregunta: ¿cuántos venían de St. Ives?
me encontré con un hombre
que tenía siete esposas;
Cada esposa tenía siete sacos,
En cada saco tenía siete gatos,
Cada gato tenía siete gatitos.
Gatitos, gatos, sacos y esposas,
¿Cuántos iban a St. Ives?
La interpretación es importante. ¿Podemos estar seguros de que el hombre y sus siete esposas estaban, todos ellos, alejándose de St. Ives? ¿Las esposas estaban acompañando al hombre cuando fue encontrado, o estaban en algún otro lugar? El primer requisito de un problema de combinatoria es que esté claramente expuesto y que se entienda.
Supondremos que el séquito venía por el único camino que se aleja de la ciudad costera de Cornualles y que los «gatitos, gatos, sacos y esposas» estaban todos presentes. ¿Cuántos venían desde St. Ives? La siguiente tabla nos da una solución.

Números factoriales
El problema de las colas nos presenta la primera arma del arsenal combinatorio: el número factorial. Supongamos que Alan, Brian, Charlotte, David, y Ellie forman una cola
E C A B D
con Ellie a la cabeza de la cola seguida por Charlotte, Alan y Brian, y David al final. Cambiando de lugar a las personas se forman otras colas; ¿cuántas colas distintas son posibles?En este problema, el arte de contar depende de las opciones. Hay 5 opciones para elegir a quién ponemos como primera persona en la cola, y una vez que se ha escogido esta persona, hay 4 opciones para la segunda persona, y así sucesivamente. Cuando llegamos a la última posición no queda ninguna opción, ya que sólo se puede llenar con la persona que queda.
Hay, por consiguiente, 5 × 4 × 3 × 2 × l = 120 posibles colas. Si empezáramos con 6 personas, el número de colas distintas sería 6 × 5 × 4 × 3 × 2 × 1 = 720.
Se denomina número factorial a un número obtenido multiplicando números enteros sucesivos.Éstos se dan con tanta frecuencia en matemáticas que se escriben utilizando la notación 5! (léase «5 factorial») en lugar de5 Se denomina número factorial a un número obtenido multiplicando números enteros sucesivos.
Éstos se dan con tanta frecuencia en matemáticas que se escriben utilizando la notación 5! (léase «5 factorial») en lugar de 5 × 4 × 3 × 2 × 1. Echemos un vistazo a los primeros factoriales (definiremos 0! como igual a 1). En seguida vemos que configuraciones bastante «pequeñas» dan lugar a números factoriales «grandes». El número n puede ser pequeño, pero n! puede ser enorme.
Si todavía nos interesa formar colas de 5 personas, pero ahora podemos usar para ello un grupo de 8 personas A, B, C, D, E, F, G, y H,el análisis es casi el mismo. Hay 8 opciones para la persona del primer puesto de la cola, 7 para el segundo y así sucesivamente. Pero esta vez hay 4 opciones para el último puesto. El número de colas posibles es
8 × 7 × 6 × 5 × 4 = 6.720
Esto se puede escribir con la notación para números factoriales, porque8×7×6×5×4 = 8×7×6×5×4× (3×2×1/3×2×1) = 8!/3!
Combinaciones
En una cola, el orden importa. Las dos colas
C E B A D D A C E B
están compuestas por las mismas letras pero son colas distintas. Ya sabemos que con estas letras se pueden hacer 5! colas. Si nos interesa contar las formas de seleccionar a 5 personas a partir de 8 sin que impone el orden, debemos dividir 8×7×6×5×4 = 6.720 por 5! El número de formas de seleccionar a 5 personas a partir de 8 es, por consiguiente8×7×6×5×4 / 5×4×3×2×1 = 56.
Este número, usando C para indicar combinación, se escribe C85 y es

Sólo gana una combinación, de modo que hay aproximadamente 1 posibilidad entre 14 millones de que a uno le toque el premio gordo.
El problema de Kirkman
La combinatoria es una disciplina amplia y, aunque es antigua, se ha desarrollado rápidamente durante los últimos 40 años, debido a su relevancia para la informática. Los problemas que implican la teoría de grafos, los cuadrados latinos y similares pueden considerarse parte de la combinatoria moderna.
Thomas Kirkman, que trabajó en una época en la que la combinatoria se asociaba principalmente con las matemáticas recreativas, captó su esencia. Éste hizo muchas contribuciones originales a la geometría discreta, a la teoría de grupos y a la combinatoria, pero nunca tuvo ningún cargo universitario. En 1850 Kirkman presentó el «problema de las 15 colegialas» en el que unas colegialas caminan hacia la iglesia en 5 filas de 3 cada día de la semana. Si a usted le aburren los sudokus, podría intentar resolverlo. Necesitamos organizar un programa diario de forma que no haya dos de ellas que vayan juntas más de una vez. Usando minúsculas y mayúsculas deliberadamente, las muchachas son: abigail, beatrice, constance, dorothy, emma, francés, grace, Agnes, Bernice, Charlotte, Danielle, Edith, Florence, Gwendolyny Victoria, identificadas como a, b, c, d, e, f, g, A, B, C, D, E, F, G y V, respectivamente.
Hay en realidad siete soluciones distintas para el problema de Kirkman, y la que nosotros daremos es «cíclica»: se genera «rotando». Aquí es donde la identificación de las colegialas demuestra su utilidad.

La razón que subyace a la elección de la notación es que las filas corresponden a las líneas de la geometría de Fano. El problema de Kirkman no sólo es un juego de salón, sino uno que forma parte de la corriente dominante de las matemáticas.
La idea en síntesis: ¿cuántas combinaciones?
«Un matemático», escribió G. H. Hardy, «como un pintor o un poeta, es un creador de patrones.» Los cuadrados mágicos tienen patrones muy curiosos, incluso juzgándolos según criterios matemáticos. Se hallan en la frontera entre las matemáticas que usan una profusión de símbolos y los fascinantes patrones que adoran los creadores de puzles.Un cuadrado mágico es una cuadrícula cuadrada en cada una de cuyas celdas se escriben números enteros distintos de forma que cada fila horizontal y cada columna vertical, y cada diagonal, suma el mismo número.

Los cuadrados que tienen sólo una fila y una columna son técnicamente cuadrados mágicos, pero son muy aburridos, así que nos olvidaremos de ellos. No existe ningún cuadrado mágico que tenga dos filas y dos columnas. Si hubiera alguno, tendría la forma que se muestra. Como las sumas de las filas y las sumas de las columnas han de ser iguales, a + b = a + c. Esto significa que b = c, lo que contradice el hecho de que todas las entradas han de ser distintas.
El cuadrado de Lo Shu
Como los cuadrados de 2 × 2 no existen, examinaremos secuencias de 3 × 3 e intentaremos construir uno con una cuadrícula. Empezaremos con un cuadrado mágico normal, uno cuya cuadrícula se rellena con los números consecutivos 1, 2, 3, 4, 5, 6, 7, 8 y 9.
En el caso de un cuadrado tan pequeño es posible construir un cuadrado mágico de 3 x 3 por el método de «prueba y error», pero primero podemos hacer algunas deducciones para que nos ayuden en el proceso. Si sumamos todos los números de la cuadrícula, tenemos1+2+3+4+5+6+7+8+9=45
y este total tendría que ser igual a la suma de los totales de 3 filas. Esto muestra que cada fila (y cada columna, y cada diagonal) ha de sumar 15. Ahora fijémonos en la celda central: llamaremos a esta c. Dos diagonales implican a c, así como lo hace la fila central y la columna central. Si sumamos los números de estas cuatro líneas obtenemos 15 + 15 + 15 + 15 = 60 y esto debe ser igual a todos los números sumados más 3 veces c. A partir de la ecuación 3c + 45 = 60, vemos que cha de ser 5. También se pueden aprender otros hechos, como que no se puede poner un 1 en una celda de esquina. Una vez que hemos reunido algunas pistas, ya estamos en una buena situación para usar el método de prueba y error. ¡Inténtelo!Naturalmente, nos gustaría tener un método totalmente sistemático para construir cuadrados mágicos. Uno lo encontró Simón de la Loubére. Loubére se interesó por las matemáticas chinas y escribió un método para construir cuadrados mágicos que tienen un número impar de filas y columnas. Este método empieza poniendo un 1 en el centro de la primera fila y «subiendo, cruzando y girando si es necesario» para colocar el 2 y los números posteriores. Si está bloqueado, se usa el siguiente número que esté por debajo del número actual.

Sorprendentemente, este cuadrado mágico normal es fundamentalmente el único que tiene 3 filas y 3 columnas. Todos los demás cuadrados mágicos de 3 × 3 se pueden obtener a partir de éste rotando los números en torno al centro y/o reflejando los números del cuadrado en la columna central o la fila central. Se denomina «cuadrado de Lo Shu» y era conocido en China en torno al 3.000 a.C.
Si hay un cuadrado mágico de 3 x 3, ¿cuántos cuadrados mágicos de 4 x 4 distintos hay? La asombrosa respuesta es que hay 880 distintos (y, prepárese, hay 2.202.441.792 cuadrados mágicos de orden 5). No sabemos cuántos cuadrados mágicos hay para valores generales de n.
Los cuadrados de Durero y Franklin
El cuadrado mágico de Lo Shu es muy conocido por su antigüedad y su singularidad, pero un cuadrado mágico de 4 x 4 ha adquirido condición de icono por su asociación con un famoso artista. También tiene muchas más propiedades que algunos de los mediocres cuadrados mágicos que constituyen las 880 versiones distintas que se pueden construir. Es el cuadrado de 4 × 4 del grabado Melancolía de Alberto Durero, que hizo en el año 1514.
En el cuadrado de Durero todas las filas suman 34,
igual que las columnas, las diagonales, y los cuadrados pequeños de 2 x 2 que constituyen el cuadrado completo de 4 × 4. Durero incluso logró «firmar» su obra maestra con la fecha de su finalización en el centro de la fila inferior.El científico y diplomático norteamericano Benjamín Franklin comprendió que construir cuadrados mágicos era una herramienta útil para agudizar la mente. Él era experto en esto, y hoy en día los matemáticos siguen sin tener ni idea de
cómo lo hacía; no es posible construir cuadrados mágicos grandes por hallazgos fortuitos. Franklin confesó que en su juventud había empleado mucho tiempo en ellos a pesar de que la aritmética no le entusiasmaba de niño. He aquí uno que descubrió en su juventud.En este cuadrado mágico normal hay todo tipo de simetrías. Todas las filas, columnas y diagonales suman 260, al igual que las «filas torcidas», una de las cuales hemos resaltado. Hay muchas otras cosas que descubrir, como la suma del cuadrado central de 2 × 2 más los cuatro recuadros de las esquinas, que también suman 260. Mire atentamente y hallará un resultado interesante para cada cuadrado de 2 × 2.
Cuadrados cuadrados
Algunos cuadrados mágicos pueden tener celdas ocupadas por distintos números cuadrados. El matemático francés Édouard Lucas planteó en 1876 el problema de la construcción de éstos. Hasta la fecha no se ha hallado ningún cuadrado de cuadrados de 3 x 3, aunque se ha estado cerca de conseguir uno.
Todas las filas y las columnas y una diagonal de este cuadrado suman la suma mágica de 21.609, pero la otra diagonal no lo hace, ya que 1272 + 1132 + 972 = 38.307. Si usted siente la tentación de hallar uno por usted mismo, debería tomar nota de un resultado demostrado: el valor de la celda del centro debe ser mayor que 2,5 × 1025, ¡así que no tiene mucho sentido buscar un cuadrado con números pequeños! Esto son matemáticas serias, que tienen una conexión con las curvas elípticas, el tema que se usó para demostrar el Último Teorema de Fermat. Se ha demostrado que no hay ningún cuadrado mágico de 3 x 3 cuyas entradas sean cubos o cuartas potencias.No obstante, la búsqueda de cuadrados cuadrados ha sido fructífera en el caso de cuadrados más grandes. Sí existen cuadrados cuadrados mágicos de 4 × 4 y 5 × 5. En 1770 Euler presentó un ejemplo sin mostrar su método de construcción. Desde entonces se han encontrado familias enteras vinculadas al estudio del álgebra de los cuaternios, los números imaginarios tetradimensionales.
Cuadrados mágicos exóticos
Los cuadrados mágicos grandes pueden tener propiedades espectaculares. El experto en cuadrados mágicos William Benson ha presentado un ordenamiento de 32 × 32 en el que los números, sus cuadrados, y sus cubos forman, todos ellos, cuadrados mágicos. En 2001 se presentó un cuadrado de 1024 × 1024 en el que todas las potencias de los elementos hasta la quinta potencia constituyen cuadrados mágicos. Hay muchos resultados como éstos.
Podemos crear toda una variedad de otros cuadrados mágicos si se relajan los requisitos. Los cuadrados mágicos normales son lo convencional. Eliminar la condición de que la suma de los elementos diagonales debe ser igual a las sumas de las filas, y de las columnas, hace que sea posible la aparición de una abundancia de resultados especializados. Podemos buscar cuadrados cuyos elementos consistan solamente en números primos, o podemos contemplar formas que no sean cuadrados y que tengan «propiedades mágicas». Pasar a dimensiones superiores nos lleva a contemplar cubos e hipercubos mágicos.
Pero el premio al cuadrado mágico más extraordinario de todos, desde luego por su valor como curiosidad, debe otorgarse a un humilde cuadrado de 3 × 3 que presentó el holandés Lee Sallows, ingeniero electrónico y experto en el uso de las palabras:



La idea en síntesis: brujería matemática
Desde hace unos años hay una fiebre mundial por los sudokus. Por toda la tierra se mastican plumas y lápices a la espera de que llegue la inspiración adecuada que revele el número que hay que poner en ese recuadro. Los trabajadores que diariamente se desplazan a su lugar de trabajo emergen de sus trenes por las mañanas tras haber dedicado a ello un esfuerzo mental mayor que el que realizarán durante el resto del día. ¿Es el 5, el 4, o quizá el 7? Todas estas personas están jugando con cuadrados latinos; están siendo matemáticos.
Las claves del sudoku
En el sudoku se nos da una cuadrícula de 9 × 9 con algunos números. El objetivo es rellenar el resto usando los números que se dan como pistas. Cada fila y cada columna deberían contener exactamente uno de los dígitos 1, 2, 3... 9, como hacen los pequeños cuadrados de 3×3 que lo constituyen.
Se cree que el sudoku se inventó a finales de la década de 1970. Adquirió popularidad en Japón en la década de 1980 antes de propagarse y haber alcanzado una popularidad masiva ya en 2005.Cuadrados latinos de 3×3
Una serie cuadrada que contiene exactamente un símbolo en cada fila y en cada columna se denomina cuadrado latino. El número de símbolos es igual al tamaño del cuadrado y se denomina su «orden».
Cuando presentó la idea del cuadrado latino, Leonhard Euler se refirió a él como un «nuevo tipo de cuadrado mágico». Pero los cuadrados latinos no tienen relación con la aritmética y los símbolos no tienen que ser necesariamente números. La razón por la que tiene ese nombre es simplemente que los símbolos usados para formarlos están tomados del alfabeto latino, mientras que Euler usó el griego con otros cuadrados.Un cuadrado latino de 3×3 se puede escribir fácilmente.
Si pensamos en a, b y c como los días de la semana lunes, miércoles y viernes, el cuadrado se podría usar para programar reuniones entre dos equipos de personas. El Equipo Uno está compuesto por Larry, Mary y Nancy y el Equipo Dos por Ross, Sophie y Tom.

Este no es el único cuadrado latino de 3×3 posible. Si interpretamos A, B y C como temas de los que se habla en las reuniones entre el Equipo Uno y el Equipo Dos, podemos producir un cuadrado latino que garantice que cada persona hable de un tema distinto con un miembro del otro equipo.

Pero ¿cuándo deberían tener lugar las conversaciones, entre quiénes, y sobre qué tema? ¿Cuál sería el programa para esta compleja organización? Afortunadamente los dos cuadrados latinos se pueden combinar

En el caso de un cuadrado latino de 4×4, un «problema de 16 oficiales» sería colocar las 16 figuras de una baraja de naipes en un cuadrado de forma que haya un rango (As, Rey, Reina o Jota) y un palo (picas, tréboles, corazones o diamantes) en cada fila y cada columna. En 1782 Euler planteó el mismo problema para «36 oficiales». Básicamente estaba buscando dos cuadrados ortogonales de orden 6. El no pudo encontrarlos y aventuró la conjetura de que no había ningún par de cuadrados latinos ortogonales de orden 6, 10, 14, 18, 22... ¿Se podría demostrar esto?
Gastón Tarry examinó ejemplos y en 1900 ya había verificado la conjetura de Euler en un caso: no existe ningún par de cuadrados latinos ortogonales de orden 6. Los matemáticos supusieron naturalmente que Euler estaba en lo cierto en los otros casos, 10, 14, 18, 22...
En 1960, los esfuerzos conjuntos de tres matemáticos dejaron anonadado al mundo matemático al demostrar que Euler se equivocaba en todos los demás casos. Raj Bose, Ernest Parker y Sharadchandra Shrikhande demostraron que sí había pares de cuadrados latinos ortogonales de órdenes 10, 14, 18, 22,... El típico caso en el que no existen cuadrados latinos (aparte de cuadrados triviales de órdenes 1 y 2) es la orden 6.
Hemos visto que hay dos cuadrados latinos mutuamente ortogonales de orden 3. En el caso del orden 4 podemos producir tres cuadrados que son mutuamente ortogonales entre sí. Se puede demostrar que nunca hay más de n - 1 cuadrados latinos mutuamente ortogonales de orden n, de modo que para n = 10, por ejemplo, no puede haber más de nueve cuadrados mutuamente ortogonales. Pero encontrarlos es otra historia. Hasta la fecha, nadie ha podido ni siquiera presentar tres cuadrados latinos de orden 10 que sean mutuamente ortogonales entre sí.
¿Son útiles los cuadrados latinos?
R. A. Fisher, eminente estadístico, percibió el uso práctico de los cuadrados latinos. Los usó para revolucionar los métodos agrícolas durante su época en la Rothamsted Research Station en Hertfordshire, Reino Unido.
El objetivo de Fisher era investigar la eficacia de los fertilizantes en el rendimiento de las cosechas. En el mejor de los casos querríamos plantar cosechas en idénticas condiciones de tierra de modo que la calidad de la tierra no fuera un factor indeseable que influyera en el rendimiento de la cosecha. Podríamos entonces aplicar los distintos fertilizantes sabiendo con seguridad que la «molestia» de la calidad de la tierra había sido eliminada. La única manera de garantizar unas condiciones de tierra idénticas sería usar el mismo suelo; pero no es práctico desenterrar y replantar las cosechas una y otra vez. Aun cuando esto fuera posible, la posibilidad de que las condiciones meteorológicas fueran distintas podría convertirse en una nueva molestia.
Una forma de evitar esto es usar cuadrados latinos. Examinemos cuatro tratamientos. Si demarcamos un campo cuadrado en 16 parcelas podemos concebir el cuadrado latino como una descripción del campo en el que la calidad de la tierra varía «vertical» y «horizontalmente».
Los cuatro fertilizantes se aplican entonces aleatoriamente en el plan identificados como a, b, c y d, de modo que se aplica exactamente uno en cada fila y cada columna en un intento de eliminar la variación de la calidad de la tierra. Si sospechamos que otro factor podría influir en el rendimiento de la cosecha, también podríamos ocuparnos de ello. Supongamos que pensamos que el momento del día en el que aplicamos el tratamiento es un factor. Identifique cuatro zonas de tiempo durante el día como A, B, C y D y use cuadrados latinos ortogonales como diseño para un plan para recabar datos. Esto garantiza que cada tratamiento y cada zona de tiempo se aplique en una de las parcelas. El plan para el experimento sería:

La idea en síntesis: el sudoku al descubierto
Capítulo 44
Matemáticas económicas
Norman es un vendedor excelente cuando se trata de bicicletas. También considera que tiene el deber de lograr que todo el mundo se suba a una bicicleta, así que se siente encantado cuando un cliente entra en su tienda y sin vacilación compra una bicicleta por 99 libras. El cliente la paga con un cheque por valor de 150 libras, y, como los bancos están cerrados, Norman le pide a su vecino que lo cobre. Vuelve y le da el cambio de 51 libras a su cliente, que después se aleja rápidamente de allí montado en la bicicleta. A continuación llega el desastre. El cheque es rechazado, el vecino exige que le devuelva su dinero, y Norman tiene que acudir a un amigo para pedirle prestado el dinero. En un principio la bicicleta le costó 79 libras, pero ¿cuánto perdió Norman en total?
Fue el gran creador de puzles Henry Dudeney quien propuso la idea de esta pequeña adivinanza.

Demuestra que el dinero depende del tiempo y que la inflación está sana y salva. La bicicleta de Dudeney, que escribía en la década de 1920, en realidad le costó al cliente 15 libras. Una forma de combatir la inflación es aplicar interés al dinero. De esto se ocupan las matemáticas serias y el mercado financiero moderno.
Interés compuesto
Hay dos clases de interés, que se conocen como simple y compuesto. Dirijamos nuestro foco matemático hacia dos hermanos, Charlie Compuesto y Simón Simple. Su padre da 1.000 libras a cada uno, que ambos ingresan en un banco. Charlie Compuesto siempre elige una cuenta que aplica un interés compuesto, pero Simón Simple es más tradicional y prefiere cuentas que usan
un interés simple. Históricamente, el interés compuesto se ha identificado con la usura y ha estado mal visto. Hoy en día el interés compuesto es ley de vida, y resulta fundamental para los sistemas monetarios modernos. El interés compuesto es el interés compuesto sobre el interés, y por eso a Charlie le gusta. El interés simple no tiene esta característica y se calcula sobre una cantidad fija conocida como el «principal». Simón puede entenderlo fácilmente, ya que el principal aumenta la misma cantidad de interés cada año.Al hablar de matemáticas, siempre es bueno tener a Albert Einstein de nuestra parte; pero la afirmación generalizada de que él dijo que el interés compuesto es el mayor descubrimiento de todos los tiempos es demasiado exagerada. Es innegable que la fórmula del interés compuesto tiene una mayor inmediatez que su E = mc2. Si usted ahorra dinero, pide dinero prestado, usa una tarjeta de crédito, contrata una hipoteca o compra una renta vitalicia, la fórmula del interés compuesto está en el trasfondo de todo ello, trabajando para (o contra) usted. ¿Qué representan los símbolos? El término P representa el principal (el dinero que usted ahorra o pide prestado), i es el tipo de interés porcentual dividido por 100 y n es el número de períodos de tiempo.
Charlie deposita sus 1.000 libras en una cuenta que paga un 7% de interés anualmente. ¿Cuánto acumulará en tres años? Aquí P = 1.000, i = 0,07 y n = 3. El símbolo A representa la cantidad acumulada y por la fórmula del interés compuesto A = 1.225,04 £.
La cuenta de Simón paga el mismo tipo de interés, 7%, como interés simple. ¿Qué diferencia hay entre sus ganancias y las de Charlie después de tres años? Durante el primer año ganaría 70 libras de interés y esto sería igual en los años segundo y tercero. Tendría, por consiguiente, 3×70 £ de interés, lo que da una cantidad total acumulada de 1210 £. La inversión de Charlie fue la mejor decisión comercial.
Las sumas de dinero que crecen por interés compuesto pueden aumentar muy rápidamente. Esto está bien si usted ahorra, pero no es tan bueno si usted pide prestado. Un componente fundamental del interés compuesto es el período en el que tiene lugar la composición. Charlie ha oído hablar de un plan que paga 1% por semana, un penique por cada libra. ¿Cuánto tendría que ganar con este plan?
Simón cree saber la respuesta: propone que multipliquemos el tipo de interés del 1% por 52 (el número de semanas que tiene el año) para obtener un tipo porcentual anual del 52%. Esto supone un interés de 520 £, lo que hace un total de 1520 £ en la cuenta. No obstante, Charlie le recuerda la magia del interés compuesto y la fórmula del interés compuesto. Siendo P = 1.000 £, i = 0,01 y n = 52, Charlie calcula que la cantidad devengada será 1.000 £×(l,01)52. Usando su calculadora halla que esto es 1.677,69 £, mucho más que el resultado de la suma de Simón Simple. El tipo de interés porcentual anual equivalente de Charlie es 67,769% y es mucho mayor que el cálculo de Simón del 52%.
Simón queda impresionado, pero su dinero ya está en el banco bajo el régimen de interés simple. Se pregunta cuánto tiempo necesitará para doblar sus 1.000 £ originales. Cada año obtiene 70 £ de interés, de modo que lo único que tiene que hacer es dividir 1.000 por 70. Esto da 14,29, así que puede estar seguro de que en 15 años tendrá más de 2.000 £ en el banco. Es una espera muy larga. Para demostrar la superioridad del interés compuesto, Charlie empieza a calcular el período en el que él conseguirá doblar su dinero. Esto es un poco más complicado, pero un amigo le habla de la regla del 72.
La regla del 72
Para un tipo porcentual dado, la regla del 72 sirve para calcular aproximadamente el número de períodos necesarios para doblar el dinero. Aunque a Charlie le interesan los años, la regla del 72 también es aplicable a los días o los meses. Para hallar el período en el que se doblarán sus ahorros, hay que dividir 72 por el tipo de interés. El cálculo es 72/7 = 10,3, así que Charlie puede informar a su hermano de que su inversión se doblará en 11 años, mucho más rápidamente que en los 15 años de Simón. La regla es una aproximación, pero es útil cuando hay que tomar decisiones rápidas.
Valor actual
El padre de Charlie Compuesto queda tan impresionado por la sensatez de su hijo que habla con él aparte y le dice «te propongo darte 100.000 £». Charlie se entusiasma. Entonces, su padre añade la condición de que sólo le dará las 100.000 £ cuando tenga 45 años y para eso faltan diez años. Charlie ya no está tan contento.
Charlie quiere gastar el dinero ahora, pero, obviamente, no puede. Va a su banco y les promete darles las 100.000 £ dentro de diez años. El banco responde que el tiempo es oro y que 100.000 £ dentro de diez años no es lo mismo que 100.000 £ ahora. El banco tiene que calcular aproximadamente el tamaño de la inversión que, realizada ahora, produciría 100.000 £ en diez años. Esta será la cantidad que prestarán a Charlie. El banco cree que una tasa de crecimiento del 12% les daría un beneficio sustancial. ¿Cuál sería la cantidad actual que aumentaría hasta las 100.000 £ en diez años, al 12% de interés? La fórmula del interés compuesto nos da A = 100.000 £ y tenemos que calcular P, el valor actual de A. Siendo n = 10 e i = 0,12, el banco estará dispuesto a adelantar a Charlie la cantidad de 100.000/1,1210 = 32.197,32 £.
¿Cómo se pueden gestionar los pagos regulares?
Ahora que el padre de Charlie ha prometido darle 100.000 £ a su hijo dentro de diez años, tiene que ahorrar el dinero. Él planea hacer esto realizando una serie de ingresos iguales en una cuenta de ahorros al final de cada año durante diez años. Al final de este período podrá entregar el dinero a Charlie el día que ha prometido, y Charlie podrá entregar el dinero al banco para pagar por completo el préstamo.
El padre de Charlie consigue encontrar una cuenta que paga un tipo de interés anual del 8% durante todo el período de diez años. Encarga a Charlie la tarea de calcular los ingresos que va a tener que hacer anualmente.
Con la fórmula del interés compuesto, a Charlie le interesaba un pago (el principal original) pero ahora le interesan diez ingresos realizados en distintos momentos. Si se hacen ingresos regulares R al final de cada año en un entorno en el que el tipo de interés es i, la cantidad ahorrada después de n años se puede calcular mediante la fórmula de los pagos regulares.Charlie sabe que S = 100.000 £, n = 10 e i = 0,08 y calcula que R = 6.902,95 £.
Charlie se ha comprado un Porsche, cortesía del banco, y necesita un garaje donde dejarlo. Decide pedir una hipoteca por valor de 300.000 £ para comprar una casa, una suma de dinero que devolverá en una serie de pagos anuales iguales a lo largo de 25 años. Él reconoce esto como un problema en que las 300.000 £ es el valor actual de una serie de pagos que se han de realizar y calcula sus pagos anuales con facilidad. Su padre queda impresionado y hace un mayor uso de la habilidad de Charlie. Le acaban de dar un pago único de jubilación de 150.000 £ y quiere comprar una renta vitalicia. «De acuerdo», dice Charlie, «podemos usar la misma fórmula, porque las matemáticas son las mismas. En lugar de que la empresa hipotecaria me adelante dinero que yo devolveré en cuotas regulares, tú les das el dinero y ellos te hacen los pagos regulares a ti.»
La solución de la adivinanza de Henry Dudeney es 130 £, compuestas por las 51 £ que Norman dio al cliente y las 79 £ que él pagó por la bicicleta.
La idea, en síntesis: el interés compuesto funciona mejor
Capítulo 45
El problema de la dieta
Tanya Smith se toma muy en serio su práctica del atletismo. Va al gimnasio todos los días y controla cuidadosamente su dieta. Tanya se abre camino en el mundo aceptando trabajos a tiempo parcial y tiene que mirarse el dinero. Es de crucial importancia que tome la cantidad adecuada de minerales y vitaminas cada mes para mantenerse en forma y sana. Su entrenador ha determinado las cantidades. El indica que los futuros campeones olímpicos deben consumir al menos 120 miligramos (mg) de vitaminas y al menos 880 mg de minerales cada mes. Para seguir este régimen, Tanya cuenta con dos complementos alimenticios. Uno se presenta en forma sólida y su nombre comercial es Solido, y el otro está comercializado en forma líquida bajo el nombre de Liquex. Su problema es decidir qué cantidad de cada uno de ellos debería comprar cada mes para satisfacer a su entrenador.El clásico problema de la dieta consiste en organizar una dieta sana y pagar el menor precio por ella. Fue un prototipo para los problemas de programación lineal.
A principios de marzo Tanya hace una excursión al supermercado e inspecciona el Solido y el Liquex.
En los 30 paquetes de Solido tiene 2×30 = 60 mg de vitaminas y en los 5 cartones de Liquex, 3×5 = 15. En total tiene 2×30 + 3×5 = 75 mg de vitaminas. Repitiendo el cálculo para los minerales, tiene 10×30 + 50×5 = 550 mg de minerales.Como el entrenador le exigió que tomase al menos 120 mg de vitaminas y 880 mg de minerales, necesita más paquetes y cartones en el carro. Vuelve a la sección de salud del supermercado y mete más paquetes y cartones en su carro. Ahora tiene 40 paquetes y 15 cartones. Vuelve a calcular y halla que tiene 2×40 + 3×15 = 125 mg de vitaminas y 10 x 40 + 50 x 15 = 1.150 mg de minerales. Ahora Tanya satisface, desde luego, la recomendación de su entrenador e incluso ha excedido las cantidades requeridas.
Soluciones factibles
La combinación (40, 15) de complementos alimenticios permitirá a Tanya cumplir con los requisitos de la dieta. Esto se denomina una combinación posible, o una solución «factible». Ya hemos visto que (30, 5) no es una solución factible, de modo que hay una demarcación entre los dos tipos de combinaciones: soluciones factibles en las que se cumple con los requisitos de la dieta y soluciones no factibles las que no.
Tanya tiene muchas más opciones. Podría llenar su carro solamente con Solido. Si hiciera esto, necesitaría comprar al menos 88 paquetes. La compra (88, 0) cumple con ambos requisitos, porque esta combinación contendría 2×88 + 3×0 = 176 mg de vitaminas y 10×88 + 50×0 = 880 mg de minerales. Si comprase sólo Liquex necesitaría al menos 40 cartones, la solución factible (0, 40) cumple con los requisitos tanto de vitaminas como de minerales, porque 2×0 + 3×40 = 120 mg de vitaminas y 10×0 + 50×40 = 2.000 mg de minerales. Podríamos observar que el consumo de vitaminas y minerales no se satisface exactamente con ninguna de estas posibles combinaciones, aunque sin duda el entrenador se sentirá satisfecho porque Tanya está tomando las suficientes.
Soluciones óptimas
Ahora entra en juego el dinero. Cuando Tanya llega a la caja, tiene que pagar las compras. Observa que los paquetes y los cartones tienen marcado el mismo precio de 5 £ cada uno. De las combinaciones factibles (40, 15), (88, 0) y (0, 40), las facturas serían de 275 £, 440 £ y 200 £ respectivamente, de modo que hasta ahora la mejor solución será no comprar nada de Solido y 40 cartones de Liquex. Esta será la compra menos costosa y se cumplirá con el requisito dietético. Pero la cantidad de complementos alimenticios que hay que comprar se ha obtenido al azar. Tanya ha intentado sobre la marcha varias combinaciones de Solido y Liquex y sólo ha calculado el coste en estos casos. ¿Lo puede hacer mejor? ¿Hay una posible combinación de Solido y Liquex que satisfará a su entrenador y al mismo tiempo le costará lo mínimo?
Problemas de programación lineal
A Tanya siempre la han entrenado para que visualice sus objetivos. Si puede aplicar esto a ganar el oro olímpico, ¿por qué no a las matemáticas? Así que dibuja un cuadro de la región factible. Esto es posible porque solamente está tomando en consideración dos complementos alimenticios. La línea AD representa las combinaciones de Solido y Liquex que contienen exactamente 120 mg de vitaminas. Las combinaciones que se hallan por encima de esta línea tienen más de 120 mg de vitaminas. La línea EC representa las combinaciones que contienen exactamente 880 mg de minerales. Las combinaciones de complementos alimenticios que están por encima de ambas líneas son la región factible, y ésta representa todas las combinaciones factibles que Tanya podría comprar.
Los problemas que tienen la estructura del problema de la dieta se denominan problemas de programación lineal. La palabra «programación» hace referencia a un procedimiento (el sentido con el que se usaba la palabra antes de que esta se convirtiera en un sinónimo de la informática), mientras que «lineal» se refiere al uso de líneas rectas. Los matemáticos han demostrado que lo único que tenemos que hacer es calcular el tamaño de la factura de los complementos alimenticios en los puntos de las esquinas de la gráfica de Tanya. Tanya ha descubierto una nueva solución factible en el punto B con coordenadas (48, 8), lo que significa que podría comprar 48 paquetes de Solido y 8 cartones de Liquex. Si hiciera esto, cumpliría con los requisitos de su dieta exactamente, porque en esta combinación hay 120 mg de vitaminas y 880 mg de minerales. A 5 £ tanto por paquete como por cartón, esta combinación le costaría 280 £. Así que la compra óptima seguirá siendo la misma: nada de Solido y 40 cartones de Liquex a un coste total de 200 £, aunque tendrá 1.120 mg de vitaminas por encima de los 880 mg requeridos.
La combinación óptima depende en última instancia de los costes relativos de los complementos. Si el coste por paquete de Solido bajara a 2 £ y el de Liquex subiera a 7 £, las facturas por las combinaciones de los puntos de las esquinas A (0, 40), B (48, 8) y C (88, 0) serían respectivamente de 280 £, 152 £ y 176 £.
La mejor compra que puede hacer Tanya con estos precios es 48 paquetes de Solido y 8 cartones de Liquex, con una factura de 152 £.
Historia
En 1847 el matemático norteamericano George Dantzig, que por entonces trabajaba para las Fuerzas Aéreas norteamericanas, formuló un método para resolver problemas de programación lineal denominado método símplex. Tuvo tanto éxito que Dantzig llegó a ser conocido en occidente como el padre de la programación lineal. En la Rusia soviética, aislada durante la Guerra Fría, Leonid Kantorovich formuló independientemente una teoría de la programación lineal. En 1975 se otorgó el Premio Nobel de Economía a Kantorovich y al matemático holandés Tjalling Koopmans por su trabajo sobre la asignación de recursos, que incluía técnicas de programación lineal.
Tanya sólo tomaba en consideración dos complementos alimenticios, dos variables, pero hoy en día son habituales los problemas que implican miles de variables. Cuando Dantzig halló su método había pocos ordenadores, pero existía el Mathematical Tables Project, un programa de creación de trabajos que empezó en Nueva York en 1938 y duró una década. Se necesitó un equipo de unos diez calculadores humanos que trabajaron durante 12 días con calculadoras manuales para resolver un problema de la dieta que tenía nueve requisitos de «vitaminas» y 77 variables.
Aunque el método símplex y sus variantes han tenido un éxito extraordinario, también se han probado otros métodos. En 1984 el matemático indio Narendra Karmarkar obtuvo un nuevo algoritmo de importancia práctica, y el ruso Leonid Khachiyan propuso uno que tenía una importancia principalmente teórica.
El modelo básico de programación lineal se ha aplicado a muchas situaciones distintas a la elección de una dieta. Un tipo de problema, el problema del transporte, se ocupa del transporte de género de las fábricas a los almacenes. Tiene una estructura especial y se ha convertido en un ámbito de estudio por derecho propio. El objetivo en este caso es minimizar el coste del transporte. En algunos problemas de programación lineal el objetivo es maximizar (maximizar el beneficio, por ejemplo). En otros problemas las variables sólo toman valores enteros o únicamente dos valores, 0 o 1, pero estos problemas son bastante diferentes y requieren sus propios procedimientos de solución.
Queda por ver si Tanya Smith ganará su medalla de su oro en los Juegos Olímpicos. Si lo hace, será un nuevo triunfo para la programación lineal.
La idea en síntesis: mantenerse sano al menor precio
James Cook, residente en Bismarck (Dakota del Norte, EE. UU.), es un excelente vendedor de la empresa Electra, fabricante de limpiadoras de alfombras. Su área de ventas abarca las ciudades de Albuquerque, Chicago, Dallas y El Paso, y visita cada una de ellas en un viaje de ida y vuelta una vez al mes.James ha trazado una gráfica de millaje que muestra las distancias entre las ciudades. Por ejemplo, la distancia entre Bismarck y Dallas es de 1.020 millas, que se halla en la intersección (sombreada) de la columna de Bismarck con la fila de Dallas.
Se plantea cómo hacer el viaje minimizando la cantidad de kilómetros que ha de recorrer. Es el clásico problema del viajante.

Como es una persona práctica, James Cook traza un mapa del área de ventas pero no se preocupa por la exactitud mientras éste le diga aproximadamente dónde están las ciudades y las distancias entre ellas. Una ruta que toma a menudo empieza en Bismarck, viajando después a Chicago, Albuquerque, Dallas y El Paso antes de regresar a Bismarck. Esta es la ruta BCADEB, pero se da cuenta de que este viaje de 4.113 millas en total es costoso en cuanto a la distancia recorrida. ¿Lo puede mejorar?

Una vez en Dallas ya ha recorrido 706 + 785 millas.
Entonces tiene que escoger entre Albuquerque y El A Paso. Escoge Albuquerque porque está más próxima.Desde Albuquerque tiene que ir a El Paso, con lo cual ya ha visitado todas las ciudades y, con el trabajo hecho, regresa a Bismarck. Su total de millas recorridas es 706 + 785 + 580 + 236 + 1.100 = 3.407 millas. Esta ruta BCDAEB es mucho más corta que su ruta anterior y también ha ahorrado en emisiones de carbono.
Este es el algoritmo voraz de encontrar una ruta corta, porque la decisión de James Cook es siempre local: se encuentra en una determinada ciudad y busca la mejor ruta a partir de esa ciudad. Nunca intenta planificar con antelación más de un paso en cada ocasión. No es estratégico porque no contempla globalmente cuál es la mejor ruta. El hecho de que acabara en El Paso significa que se vio obligado a regresar a Bismarck tomando una ruta larga. Así que se ha encontrado una ruta más corta, pero ¿es la ruta más corta de todas?
James se da cuenta de que puede aprovecharse del hecho de que sólo haya cinco ciudades involucradas. Habiendo tan pocas es posible enumerar todas las rutas posibles y después escoger la más corta. Con cinco ciudades sólo hay 24 rutas que examinar o solamente 12 si contamos una ruta y su inversa como equivalentes. Esto es admisible porque ambas tienen la misma distancia total en millas. El método le es muy útil a James Cook y se entera de que la ruta BAEDCB (o su inversa BCDEAB) es realmente óptima, al tener una longitud de únicamente 3.199 millas.
De vuelta en Bismarck, James se da cuenta de que su viaje dura demasiado tiempo. Quiere ahorrar en tiempo.

Cuando el problema se centraba en la distancia en millas, James sabía que la suma de las distancias que hay a lo largo de dos lados de un triángulo siempre es mayor que la longitud del tercer lado; en este caso la gráfica se denomina euclídea y se sabe mucho sobre los métodos para solucionarla. No así cuando el problema es de tiempo. Volar en mías principales a menudo es más rápido que hacerlo en mías secundarias, y James Cook advierte que al ir de El Paso a Chicago es más rápido volar a través de Dallas. La llamada desigualdad del triángulo no es aplicable aquí.
El algoritmo voraz aplicado al problema del tiempo produce un tiempo total de 22 horas en la mta BCDEAB, mientras que hay dos rutas óptimas distintas, BCADEB y BCDAEB, que suman un total de 14 horas cada una. De estas dos rutas, la primera es de 4.113 millas, y la segunda de 3.407 millas. James Cook se alegra de haber ahorrado lo máximo al escoger BCDAEB. Como proyecto futuro, reflexionará sobre la ruta con el menor coste.
De segundos a siglos
La verdadera dificultad relacionada con el problema del viajante se da cuando hay un gran número de ciudades. Como James Cook es un empleado tan brillante, no tarda demasiado en ser ascendido a supervisor. Ahora tiene que visitar 13 ciudades desde Bismarck, en lugar de las 4 de antes. No le gusta usar el algoritmo voraz, y prefiere mirar un listado completo de las rutas. Empieza a enumerar las posibles rutas para sus 13 ciudades. Pronto descubre que habría hasta 3,1×109 rutas que examinar. Dicho de otra manera, si un ordenador tardara un segundo en imprimir una ruta, tardaría aproximadamente un siglo en imprimirlas todas. Un problema con una entrada de 100 ciudades tendría ocupado al ordenador durante milenios.
Se han aplicado algunos métodos sofisticados al problema del viajante. Se han proporcionado métodos exactos que son aplicables a 5.000 ciudades o menos y hay uno que incluso se ha enfrentado con éxito a un problema concreto de 33.810 ciudades, aunque la potencia informática que se necesitó en este caso fue colosal. Los métodos no exactos producen rutas que están dentro del rango de lo óptimo con una probabilidad especificada. Los métodos de este tipo tienen la ventaja de poder ocuparse de problemas de millones de ciudades.
Complejidad computacional
Examinando el problema desde el punto de vista de un ordenador, pensemos simplemente en el tiempo que se podría tardar en encontrar una solución. El peor de los panoramas es sencillamente hacer una lista de todas las rutas posibles. James ha descubierto que se tardaría casi un siglo en completar este método de fuerza bruta para 13 ciudades.
Naturalmente, estos cálculos aproximados dependerán del ordenador concreto que se use, pero para n ciudades el tiempo que se tarda aumenta en consonancia con n factorial (el número que se obtiene al multiplicar entre sí todos los números enteros de 1 a n). Calculamos 3,1×109 rutas para 13 ciudades. Decidir si cada ruta es la más corta que se ha encontrado hasta ahora se convierte en un problema de tiempo factorial; y lo será durante mucho tiempo.
Se dispone de otros métodos para acometer el problema en el que el tiempo para n ciudades aumenta con 2n (2 multiplicado por sí mismo n veces) de modo que para 13 ciudades esto implicaría el orden de 8.192 decisiones (8 veces más que para 10 ciudades). Un método de esta complejidad se denomina algoritmo de tiempo exponencial. El santo grial de estos «problemas de optimización combinatoria» es encontrar un algoritmo que no dependa de la nésima potencia de 2, sino de una potencia fija de n. Cuanto menor sea la potencia, mejor; por ejemplo, si el algoritmo variase de acuerdo con n2, en el caso de 13 ciudades esto ascendería a sólo 169 decisiones, menos del doble del tiempo que se tarda en el caso de 10 ciudades. Se dice que un método de esta «complejidad» se lleva a cabo en tiempo polinómico; los problemas que se resuelven de esta manera son «problemas rápidos» y se podría tardar 3 minutos en resolverlos, en lugar de siglos.
El tipo de problemas que pueden ser resueltos por un ordenador en tiempo polinómico se denotan mediante P. No sabemos si el problema del viajante es uno de ellos. Nadie ha presentado un algoritmo de tiempo polinómico para él, pero tampoco ha habido nadie que haya podido demostrar que no existe ninguno.
Un tipo más amplio denotado por NP consiste en problemas cuyas soluciones se pueden verificar en tiempo polinómico. El problema del viajante es, sin duda, uno de ellos, porque la comprobación de si una ruta dada recorre una distancia más corta que cualquier distancia dada se puede realizar en tiempo polinómico. Simplemente se suman las distancias que hay a lo largo de la ruta dada y se compara el resultado con el número dado. Hallar y verificar son dos operaciones distintas: por ejemplo, es fácil verificar que 167×241 = 40.247, pero hallar los factores de 40.247 ya es otro cantar.
¿Se pueden resolver en tiempo polinómico todos los problemas que son verificables en tiempo polinómico? Si esto fuera así, los dos tipos P y NP serían idénticos y podríamos escribir P = NP. La cuestión de si P = NP es la cuestión candente en la actualidad para los informáticos. Más de la mitad de la profesión piensa que no es así: creen que existen problemas que se pueden verificar en tiempo polinómico pero que no se pueden resolver en tiempo polinómico.
La idea en síntesis: hallar la mejor ruta
John von Neumann fue un niño prodigio que se convirtió en una leyenda en el mundo matemático. Cuando la gente oyó que había llegado a una reunión en taxi tras haber garabateado su «teorema del minimax» sobre la teoría de juegos, se limitaron a asentir con la cabeza. Hizo aportaciones a la mecánica cuántica, a la lógica, al álgebra, así que, ¿por qué debía librarse de su atención la teoría de juegos? Von Neumann escribió conjuntamente con Oskar Morgenstem el influyente Teoría de juegos y del comportamiento económico. En su sentido más amplio, la teoría de juegos es una materia antigua, pero Von Neumann fue fundamental a la hora de pulir la teoría del «juego de suma cero de dos personas».
Juegos de suma cero de dos personas
Parece complicado, pero un juego de suma cero de dos personas es simplemente uno que «juegan» dos personas, empresas, o equipos, en el cual una de las partes gana lo que la otra pierde.
Si A gana 200 £, B pierde esas 200 £; eso es lo que significa suma cero. No tiene sentido que A coopere con B: es una pura competición en la que sólo hay ganadores y perdedores.
Traducido a un lenguaje en el que «todo el mundo gana», A gana 200 £ y B gana 200 £, y la suma es 200 + (-200) = 0. Éste es el origen del término «suma cero».

Supondremos que las empresas toman sus decisiones excepcionales basándose en la tabla de rendimientos y que realizan sus ofertas simultáneamente mediante plicas. Obviamente, ambas empresas actúan en beneficio propio.
Si ATV escoge Escocia, lo peor que podría darse sería una pérdida de 3 millones; si puja por Inglaterra, lo peor sería un aumento de 2 millones. La estrategia obvia para ATV sería escoger Inglaterra (fila 2). Para ella el resultado nunca podría ser peor que un aumento de 2 millones de espectadores independientemente de lo que escoja BTV. Examinándolo numéricamente, ATV calcula -3 y 2 (los mínimos de la fila) y elige la fila que corresponde al máximo de éstos.
BTV se halla en una posición más débil pero aún así puede desarrollar una estrategia que limite sus posibles pérdidas y esperar que el año siguiente haya una mejor tabla de rendimientos. Si BTV escoge Escocia (columna 1) lo peor que podría darse sería una pérdida de 5 millones; si escoge Inglaterra, lo peor sería una pérdida de 4 millones. La estrategia más segura para BTV sería escoger Inglaterra (columna 2) ya que para ella sería preferible perder a una audiencia de 4 millones a perder una de 5 millones. El resultado no puede ser peor que la pérdida de 4 millones de espectadores, independientemente de lo que decida ATV.
Éstas serían las estrategias más seguras para cada jugador y, si se siguen, ATV ganaría 4 millones de espectadores adicionales mientras que BTV los pierde.
¿Cuándo está determinado un juego?
Al año siguiente, las dos empresas de televisión tienen una opción añadida: operar en Gales. Hay una nueva tabla de rendimientos.

Escogiendo Gales, ATV puede asegurarse de ganar no menos de 1 millón de espectadores independientemente de lo que haga BTV, y escogiendo Inglaterra (columna 3), BTV puede asegurarse de no perder más de 1 millón de espectadores independientemente de lo que haga ATV. Por consiguiente, estas opciones representan las mejores estrategias para cada empresa, y en este sentido el juego está determinado (pero sigue siendo injusto para BTV). En este juego el máximo de {+1, -1, -3} = mínimo de {+4, +5, +1} y ambos lados de la ecuación tienen el valor común de +1. A diferencia del primer juego, esta versión tiene un punto de equilibrio tipo silla de +1.
Juegos repetitivos
El juego repetitivo que ha alcanzado categoría de icono es el juego tradicional de «piedra, papel, tijeras».

No hay ningún punto de equilibrio tipo silla para este juego y ninguna estrategia pura obvia que adoptar. Si un jugador siempre escoge la misma acción, por ejemplo, papel, el adversario se dará cuenta de esto y simplemente escogerá tijeras para ganar todas las veces. El «teorema minimax» de Von Neumann ofrece una «estrategia mixta» o una forma de escoger acciones distintas basándose en la probabilidad.
Según las matemáticas los jugadores deberían escoger al azar, pero en conjunto cada una de las opciones de papel, piedra o tijeras se debería escoger una tercera parte de las veces. No obstante, puede que la aleatoriedad «ciega» no siempre sea la mejor forma de actuar, ya que los campeones mundiales tienen formas de escoger su estrategia con un pequeño giro «psicológico». Se les da bien adelantarse a las decisiones de sus adversarios.
¿Cuándo un juego no es de suma cero?
No todos los juegos son de suma cero: en ocasiones cada jugador tiene su propia tabla de rendimientos independiente. Un famoso ejemplo es el «dilema del prisionero» diseñado por A. W. Tucker.
La policía arresta a dos personas, Andrew y Bertie, como sospechosas de robo a mano armada y las mantiene detenidas en celdas separadas para que no pueden dialogar entre ellas. Los rendimientos, en este caso penas de prisión, no sólo dependen de sus respuestas individuales en los interrogatorios policiales sino también de cómo respondan conjuntamente. Si A confiesa y B no, a A sólo se le condena a una pena de un año (de la tabla de rendimientos de A) pero a B se le condena a diez años (de la tabla de rendimientos de B). Si A no confiesa pero B lo hace, las condenas son a la inversa. Si ambos confiesan, cada uno de ellos será condenado a cuatro años, pero si ninguno de los dos confiesa y ambos mantienen su inocencia, ¡quedarán libres!
Si los prisioneros pudieran cooperar, escogerían la línea de acción óptima y no confesarían: ésta sería la situación en la que «todos ganan».
La idea en síntesis: matemáticas en las que «todos ganan»
Cuando un objeto se mueve, su movimiento se mide en relación con otros objetos. Si circulamos con nuestro automóvil por una carretera principal a 70 millas por hora (mph) y otro automóvil está circulando junto a nosotros a 70 mph en la misma dirección, nuestra velocidad en relación con este automóvil es cero. No obstante, ambos nos desplazamos a 70 mph en relación a la tierra. Y nuestra velocidad es 140 mph en relación con un coche que circula a 70 mph en la calzada opuesta. La teoría de relatividad cambió esta forma de pensar.La teoría de la relatividad fue expuesta por el físico holandés Hendrik Lorentz a finales del siglo XIX, pero Albert Einstein realizó el avance definitivo en 1905.
El famoso artículo de Einstein sobre la relatividad especial revolucionó el estudio del movimiento de los objetos, reduciendo la teoría clásica de Newton, que fue un espléndido logro en su época, a un caso especial.
Regreso a Galileo
Para describir la teoría de la relatividad seguiremos el consejo del propio maestro: a Einstein le encantaba hablar de trenes y experimentos mentales. En nuestro ejemplo, Jim Diamond se halla a bordo de un tren que circula a 60 mph.

Como todo movimiento es relativo, hablamos de un «marco de referencia» como el punto de vista desde el cual se mide un movimiento concreto. En el movimiento unidimensional del tren que se desplaza a lo largo de una vía recta podemos pensar en un marco de referencia fijo situado en una estación de ferrocarril y una distancia x y un tiempo t en términos de este marco de referencia. La posición cero está determinada por un punto señalado en el andén y el tiempo que marca el reloj de la estación. Las coordenadas distancia/tiempo en relación con este marco de referencia de la estación son (x, t).
También hay un marco de referencia a bordo del tren. Si medimos la distancia desde el final del tren y el tiempo por el reloj de pulsera de Jim, habría otro conjunto de coordenadas (X, T). También es posible sincronizar estos dos sistemas de coordenadas. Cuando el tren pasa por la marca realizada en el andén, -x = 0 y el reloj de la estación está en t = 0. Si Jim establece que x = 0 en este punto, y pone t = 0 en su reloj de pulsera, ahora hay una conexión entre estas coordenadas.
Cuando el tren pasa por la estación, Jim empieza a caminar en dirección al vagón cafetería. Podemos calcular a qué distancia está de la estación después de cinco minutos. Sabemos que el tren se desplaza a 1 milla por minuto, así que en ese tiempo se ha desplazado 5 millas y Jim ha caminado x = 10/60 de una milla (a partir de su velocidad de 2 mph multiplicada por el tiempo 5/60). Así que, en total, Jim está a una distancia (x) que es 5 10/60 millas de la estación. La relación entre x y X viene dada, por consiguiente, por x = X + v x t (aquí v = 60). Dando la vuelta a la ecuación para obtener la distancia que Jim ha recorrido en relación con el marco de referencia del tren, obtenemos
X = x - v×t
La idea del tiempo en la teoría clásica newtoniana es un flujo unidimensional del pasado al futuro. Es universal para todos y es independiente del espacio. Como es una cantidad absoluta, el tiempo de Jim a bordo del tren es el mismo que para el jefe de estación en el andén t, de modo queT = t
Estas dos fórmulas para X y T, obtenidas por primera vez por Galileo, son tipos de ecuaciones denominadas transformaciones, ya que transforman cantidades de un marco de referencia a otro. Según la teoría clásica de Newton, se debería esperar que la velocidad de la luz obedeciera a estas dos transformaciones galileanas para X y T.En el siglo XVII ya se reconocía que la luz tenía velocidad, y en 1676 el astrónomo danés Ole Römer midió el valor aproximado de ésta.
Cuando Albert Michelson midió la velocidad de la luz con mayor precisión en 1881, halló que ésta era de 186.300 millas por segundo. Y no solamente esto; se dio cuenta que la transmisión de la luz era muy distinta a la transmisión del sonido.
Michelson halló que, a diferencia de lo que ocurría con la velocidad de nuestro observador a bordo del tren en movimiento, la dirección del haz luminoso no influía en absoluto en la velocidad de luz. Este resultado paradójico requería una explicación.La teoría especial de la relatividad
Lorentz expuso las ecuaciones matemáticas que determinan la conexión entre la distancia y el tiempo cuando un marco de referencia se mueve a una velocidad constante v en relación con otro. Estas transformaciones son muy similares a las que ya hemos resuelto, pero implican un factor (de Lorentz) que depende de v y de la velocidad de luz, c.
Entra Einstein
Einstein afrontó los hallazgos de Michelson sobre la velocidad de la luz adoptándolos como postulado:
La velocidad de la luz tiene el mismo valor para todos los observadores y es independiente de la dirección.Si Jim Diamond encendiera y apagara intermitentemente una linterna mientras atraviesa la estación en su tren que se desplaza a toda velocidad, proyectando el haz luminoso a lo largo del vagón en la dirección en la que se desplaza el tren, mediría su velocidad como c. El postulado de Einstein dice que el jefe de estación que observa desde el andén también mediría la velocidad del haz como c, no como c + 60 mph. Einstein también daba por sentado un segundo principio:
Un marco de referencia se mueve a una velocidad constante en relación con otro.La genialidad del artículo de 1905 de Einstein se debía en parte a cómo había abordado su tarea, impulsado por la elegancia matemática. Las ondas sonoras se desplazan como vibraciones de moléculas en el medio a través del cual se transporta el sonido. Otros físicos habían supuesto que la luz también necesitaba algún medio a través del cual desplazarse. Nadie sabía lo que era, pero le dieron un nombre: el éter luminífero.
Einstein no sentía ninguna necesidad de suponer la existencia del éter como medio para la transmisión de la luz. En lugar de ello, dedujo las transformaciones de Lorentz a partir de los dos principios simples de la relatividad y toda la teoría se desarrolló a partir de ahí. En particular, demostró que la energía de una partícula E está determinada por la ecuación
E = α × mc2
En el caso de la energía de un cuerpo en reposo (cuando v = 0 y por consiguiente α = 1), esto lleva a la ecuación, que ha alcanzado categoría de icono, que muestra que masa y energía son equivalentes:E = mc2
Tanto Lorentz como Einstein fueron propuestos como candidatos al Premio Nobel en 1912. Lorentz ya lo había recibido en 1902, pero Einstein tuvo que esperar hasta 1921.Einstein contra Newton
En el caso de observaciones sobre trenes que se desplazan lentamente sólo hay una diferencia muy pequeña entre la teoría de la relatividad de Einstein y la teoría newtoniana clásica. En estas situaciones la velocidad relativa v es tan pequeña comparada con la velocidad de la luz que el valor del factor de Lorentz a es casi 1. En este caso las ecuaciones de Lorentz son prácticamente iguales que las transformaciones galileanas clásicas. Así que en el caso de velocidades bajas, Einstein y Newton estarían de acuerdo.
La teoría general de la relatividad
Einstein publicó su teoría general en 1915. Esta teoría se aplica al movimiento cuando los marcos de referencia pueden acelerar en relación los unos con los otros y vincula los efectos de la aceleración a los de la gravedad.
Usando la teoría general, Einstein pudo predecir fenómenos físicos como la desviación de los haces luminosos producida por los campos gravitatorios de objetos grandes como el Sol. Su teoría también explicó el movimiento del eje de la rotación de Mercurio. Esta precesión no se podía explicar en su totalidad por la teoría de la gravitación de Newton y por la fuerza ejercida sobre Mercurio por los otros planetas. Era un problema que había preocupado a los astrónomos desde la década de 1840.
El marco de referencia apropiado para la teoría general es el del espacio-tiempo tetradimensional. El espacio euclídeo es plano (tiene curvatura cero) pero la geometría del espacio-tiempo tetradimensional de Einstein (o geometría de Riemann) es curvada. Reemplaza a la fuerza de gravedad newtoniana como explicación de que los objetos se atraigan entre sí. Con la teoría general de la relatividad de Einstein, lo que explica esta atracción es la curvatura del espacio-tiempo.
La idea en síntesis: la velocidad de la luz es absoluta
Capítulo 49
El último teorema de Fermat

Fermat resolvió muchos problemas extraordinarios, pero parece que el último teorema de Fermat no fue uno de ellos. El teorema ha ocupado a legiones de matemáticos durante trescientos años, y no se ha logrado demostrar hasta hace poco.
La ecuación x + y = z
¿Cómo podemos resolver esta ecuación con tres variables x, y y z? En una ecuación normalmente tenemos una incógnita x, pero aquí tenemos tres. En realidad esto hace que la ecuación x + y = z sea bastante fácil de resolver. Podemos elegir los valores de x e y como queramos, sumarlos para obtener z y estos tres valores darán una solución. Es así de sencillo.
Por ejemplo, si escogemos x = 3 e y = 7, los valores x = 3, y = 7 y z = 10 constituyen una solución para la ecuación. También podemos ver que algunos valores de x, y y z no son soluciones para la ecuación. Por ejemplo x = 3, y = 7 y z = 9 no es una solución porque estos valores no hacen que el lado izquierdo sea igual al derecho z.
La ecuación x2 + y2 = z2
Ahora pensaremos en los cuadrados. El cuadrado de un número es ese número multiplicado por sí mismo, número que escribimos como x2. Si x = 3, x2 = 3×3 = 9. La ecuación en la que pensamos ahora no es x + y = z, sino
x2 + y2 = z2
¿Podemos resolver esto como antes, escogiendo valores para x e y y calculando z? Con los valores x = 3 e y = 7, por ejemplo, el lado izquierdo de la ecuación es 32 + 72, que es 9 + 49 = 58. Para esto z tendría que ser la raíz cuadrada de 58 (z = √58), que es aproximadamente 7,6158.
Sin duda tenemos derecho a afirmar que x = 3, y = 7 y z = √58 es una solución para x2 + y2 = z2, pero desgraciadamente las ecuaciones diofánticas se ocupan principalmente de soluciones con números enteros. Como √58 no es un número entero, la solución x = 3, y = 7 y z = √58 no sirve.
La ecuación x2+ y2 = z2 está relacionada con los triángulos. Si x, y y z representan las longitudes de los tres lados de un triángulo rectángulo, cumplen con los requisitos de esta ecuación. A la inversa, si x, y y z cumplen con los requisitos de la ecuación, el ángulo que hay entre x e y es un ángulo recto. Debido a las conexiones con las soluciones del teorema de Pitágoras para x, y y z se denominan triples pitagóricos.

¿Cómo podemos hallar triples pitagóricos? Ahora es cuando el constructor local llega al rescate. Parte del equipo del constructor es el ubicuo triángulo 3-4-5. Los valores x = 3, y = 4 y z = 5 resultan ser una solución del tipo que estamos buscando, porque 32 + 42 = 9 + 16 = 52. A partir de lo inverso, un triángulo con dimensiones 3, 4 y 5 debe incluir un ángulo recto. Éste es el dato matemático que usa el constructor para construir sus paredes en ángulos rectos.
En este caso podemos descomponer un cuadrado de 3×3, y envolver con él un cuadrado de 4×4 para componer un cuadrado de 5×5.
Hay otras soluciones con números enteros para x2 + y2 = z2. Por ejemplo x = 5, y = 12 y z = 13 es otra solución porque 52 + 122 = 132 y de hecho existe un número infinito de soluciones para la ecuación. La solución del constructor x = 3,y = 4 y z = 5 ocupa el lugar de honor porque es la solución más pequeña, y es la única solución compuesta por números enteros consecutivos. Hay muchas soluciones en las que dos números son consecutivos, como x = 20, y = 21 y z= 29, así como x = 9, y = 40 y z = 41, pero no hay ninguna solución en la que los tres lo sean.
Del festín al hambre
Ir de x2+ y2 = z2a x3 + y3 = z3 parece un paso pequeño. Así que, siguiendo la idea de reensamblar un cuadrado en torno a otro para formar un tercer cuadrado, ¿podemos usar con éxito el mismo truco con un cubo? ¿Podemos reensamblar un cubo en torno a otro para formar un tercero? Resulta que no se puede. La ecuación x2+ y2 = z2tiene un número infinito de soluciones diferentes pero Fermat fue incapaz de encontrar ni siquiera un ejemplo de x3 + y3 = z3con números enteros. Lo peor llegaría a continuación, y la falta de resultados llevó a Leonhard Euler a expresar el último teorema:
No hay ninguna solución con números enteros para la ecuación xn + yn =znpara todos los valores de n superiores a 2.
Una manera de acometer el problema de demostrar esto es empezar con los valores más bajos de n y seguir adelante. Así se puso a trabajar Fermat. El caso de n = 4 en realidad es más sencillo que n = 3, y es probable que Fermat tuviera una demostración para este caso. En los siglos XVIII y XIX, Euler completó el caso de n = 3, Adrien-Marie Legendre completó el caso de n = 5 y Gabriel Lamé demostró el caso de n = 7. En un principio Lamé creyó tener una demostración del teorema general, pero, desgraciadamente, se equivocaba.
Ernst Kummer realizó una importante contribución y en 1843 presentó un manuscrito en el que afirmaba que había demostrado el teorema en general, pero Dirichlet señaló una fisura en el razonamiento. La Academia Francesa de las Ciencias ofrecía un premio de 3000 francos por una demostración válida, y finalmente lo otorgó a Kummer por su loable intento. Kummer demostró el teorema para todos los primos menores de 100 (y otros valores), pero excluyendo los primos irregulares 37, 59 y 67. Su fracaso en la demostración general del teorema ofreció valiosas técnicas para el álgebra abstracta. Ésta fue, quizá, una mayor contribución a las matemáticas que lo que habría sido la resolución de la propia cuestión.
Ferdinand von Lindemann, que sí demostró que el círculo no se podía cuadrar (véase página 28) afirmó que había demostrado el teorema en 1907 pero se descubrió que estaba equivocado. En 1908 Paul Wolfskehl dejó en herencia un premio de 100.000 marcos que se otorgaría al primero que aportara una demostración, un premio que se hizo disponible durante 100 años. A lo largo de los años han sido enviadas unas 5.000 demostraciones, han sido comprobadas, y todas han sido devueltas a los candidatos por erróneas.
La demostración
Aunque el vínculo con el teorema de Pitágoras sólo es aplicable a n = 2, el vínculo con la geometría resultó ser la clave para la demostración que finalmente se halló. Se estableció una conexión con la teoría de las curvas y dos matemáticos japoneses, Yutaka Taniyama y Goro Shimura, plantearon una conjetura. En 1993 Andrew Wiles dio una conferencia sobre esta teoría en Cambridge e incluyó su demostración del teorema de Fermat. Desgraciadamente, esta demostración era errónea.
El matemático francés André Weil, de parecido nombre, descartó estos intentos. Comparó la tarea de demostrar el teorema con la de escalar el Everest, y añadió que si un hombre se queda a 100 metros de la cima no ha escalado el Everest. Había presión. Wiles se aisló y trabajó incesantemente sobre el problema. Muchos pensaban que Wiles pasaría a ser uno de tantos que «casi» lo habían resuelto.
Sin embargo, con la ayuda de otros compañeros de profesión, Wiles pudo extirpar el error y sustituirlo por un razonamiento correcto. Esta vez convenció a los expertos y demostró el teorema. Su demostración se publicó en 1995, reclamó el premio de Wolfskehl dentro del período habilitador (aunque por poco) y se convirtió en una celebridad de las matemáticas.
La idea en ^síntesis: demostración de una cuestión marginal
Capítulo 50
La hipótesis de Riemann
Usando solamente una calculadora manual, estas fracciones suman aproximadamente 2,9 en decimales. Una tabla muestra cómo aumenta el total a medida que se suman cada vez más términos.La serie de números

En la serie armónica se suman fracciones cada vez más pequeñas, pero ¿qué pasa con el total? ¿Crece por encima de todos los números, o hay una barrera en algún punto, un límite más allá del cual nunca aumenta? Para contestar esto, el truco es agrupar los términos, doblando las series a medida que avanzamos. Si sumamos los primeros 8 términos (reconociendo que 8 = 2×2×2 = 23) por ejemplo





En esta última serie la potencia de los términos es 2. En la serie armó' nica la potencia de los denominadores es calladamente igual a 1 y este valor es decisivo. Si la potencia aumenta en una minúscula cantidad a un número que sea apenas superior a 1 la serie converge, pero si la potencia disminuye en una minúscula cantidad a un valor que sea apenas inferior a 1, la serie diverge. La serie armónica se halla en el límite entre la convergencia y la divergencia.
La función zeta de Riemann
La célebre función zeta ζ(s) de Riemann, ya conocida por Euler en el siglo XVIII, se escribe como:

La hipótesis de Riemann
La variable s de la función zeta de Riemann representa una variable real, pero se puede extender la aplicación de ésta para representar un número complejo. Esto permite aplicarle las potentes técnicas del análisis complejo.
La función zeta de Riemann tiene una infinidad de ceros, es decir, una infinidad de valores de s para los cuales ζ(s) = 0. En un artículo presentado a la Academia de Ciencias de Berlín en 1859, Riemann demostró que todos los ceros importantes eran números complejos que se hallaban en la franja crítica delimitada por x = 0 y x = 1. También realizó su famosa hipótesis:Todos los ceros de la función zeta ζ(s) de Riemann se hallan en la línea x = 1/2; la línea que se halla a lo largo de la parte central de la franja crítica.Charles de la Vallée-Poussin y Jacques Hadamard de- mostraron que los ceros debían hallarse en el interior de la franja (de modo que x no pudiera ser igual a 0 o 1). En 1914, el matemático inglés G. H. Hardy de- mostró que una infinidad de ceros se hallan a lo largo de la línea x = 1/2, aunque esto no impide que haya una infinidad de ceros fuera de ella.
Por lo que respecta a los resultados numéricos, los ceros no triviales calculados hasta 1986 (1.500.000.000 de ellos) sí se hallan en la línea x = 1/2, mientras que los cálculos realizados hasta la fecha han verificado que esto también es cierto para los primeros 100 billones de ceros. La conjetura es que todos los ceros se hallan en esta línea decisiva, pero esto aún está por ser demostrado o refutado.
¿Por qué es importante la hipótesis de Riemann?
Existe una inesperada conexión entre la función zeta £(s) de Riemann y la teoría de los números primos (véase página 42). Los números primos son 2, 3, 5, 7, 11 y así sucesivamente, los números que solamente son divisibles por 1 y por sí mismos. Usando primos, podemos formar la expresión

En 1900, David Hilbert expuso sus famosos 23 problemas pendientes de ser resueltos por los matemáticos. Dijo de su octavo problema:
«Si me despertase después de haber dormido durante quinientos años, mi primera pregunta sería: ¿se ha demostrado la hipótesis de Riemann?».Hardy usaba la hipótesis de Riemann como seguro cuando atravesaba el mar de Norte después de su visita estival a su amigo Harald Bohr en Dinamarca. Antes de dejar el puerto enviaba una postal a su amigo en la que afirmaba que acababa de demostrar la hipótesis de Riemann. Era una inteligente apuesta en la que era imposible perder. Si el barco se hundía, tendría el honor póstumo de haber resuelto el gran problema. Por otro lado, si Dios sí existía no permitiría que un ateo como Hardy tuviera ese honor y por consiguiente impediría que el barco se hundiera.
La persona que resuelva el problema ganará un premio de un millón de dólares, ofrecido por el Clay Mathematics Institute. Aunque la mayoría de los matemáticos se conformarían con lograr el resultado y alcanzar una posición muy elevada en el panteón de los grandes matemáticos.
La idea en síntesis: el máximo desafío
- Álgebra. El álgebra, que trata con letras en lugar de números para ampliar la aritmética, es actualmente un método general aplicable a todas las matemáticas y a sus aplicaciones. La palabra «álgebra» proviene de «al-jabr», que se usó en un texto árabe del siglo ix d.C.
- Algoritmo. Una fórmula matemática; una rutina fija para resolver un problema.
- Axioma. Una afirmación, para la cual no se busca justificación, que se usa para definir un sistema. El término «postulado» cumplía el mismo fin para los griegos pero para ellos era una verdad obvia.
- Base. La base de un sistema numérico. Los babilonios basaban su sistema numérico en el 60, mientras que la base moderna es 10 (decimal).
- Cardinalidad. El número de objetos de un conjunto. La cardinalidad del conjunto {a, b, c, d, e} es 5, pero también se puede dar sentido a la cardinalidad en el caso de conjuntos infinitos.
- Conjunto. Un grupo de objetos: por ejemplo, el conjunto de algunos muebles podría ser M = {silla, mesa, sofá, taburete, armario}.
- Conjunto vacío. Conjunto que no tiene objetos. Tradicionalmente denotado por 0, es un concepto útil en la teoría de conjuntos.
- Conmutativo. La multiplicación en el álgebra es conmutativa si a x b = b x a, como en la aritmética común (por ejemplo 2×3=3 × 2). En muchas ramas del álgebra moderna no sucede esto (por ejemplo en el álgebra matricial).
- Contraejemplo. Un ejemplo individual que refuta una afirmación. Se demuestra que la afirmación «Todos los cisnes son blancos» es falsa presentando un cisne negro como contraejemplo.
- Corolario Una consecuencia secundaria de un teorema.
- Correspondencia de uno a uno. La naturaleza de la relación en la que cada objeto de un conjunto corresponde exactamente a un objeto de otro conjunto, y viceversa.
- Cuadratura del círculo. El problema de construir un cuadrado que tenga la misma área que un círculo determinado, usando únicamente una regla para dibujar líneas rectas y un compás para dibujar círculos. Es imposible hacerlo.
- Cuaternios. Números imaginarios tetradimensionales descubiertos por W. R. Hamilton.
- Denominador. La parte inferior de una fracción. En la fracción 3/7, el número 7 es el denominador.
- Diagrama de Argand. Un método visual para mostrar el plano bidimensional de los números complejos.
- Diagrama de Venn. Un método gráfico (diagrama de globo) que se usa en la teoría de conjuntos.
- Diferenciación. Una operación básica de cálculo con la que se obtiene la derivada o ritmo de cambio. En el caso de una expresión que describe cómo la distancia depende del tiempo, por ejemplo, la derivada representa la velocidad. La derivada de la expresión para la velocidad representa la aceleración.
- Discreto. Término que se usa en oposición a «continuo». Hay espacios entre los valores discretos, como los espacios que hay entre los números enteros 1, 2, 3, 4...
- Distribución. La gama de probabilidades de los acontecimientos que ocurran en un experimento o situación. Por ejemplo, la distribución de Poisson proporciona las probabilidades de que se produzcan r incidencias de un acontecimiento infrecuente para cada valor de r.
- Divisor. Un número entero por el que se puede divir exactamente otro número entero. El número 2 es un divisor de 6 porque 6:2 = 3. De modo que 3 es otro, porque 6:3 = 2.
- Ecuación diofántica. Una ecuación cuyas soluciones tienen que ser números enteros o quizá fracciones. Se las denomina así en homenaje al matemático griego Diofanto de Alejandría (c. 250 d.C.).
- Ejes x-y. La idea de dibujar puntos que tienen una coordenada x (eje horizontal) y una coordenada y (eje vertical), que debemos a René Descartes.
- Exponente. Una notación que se usa en aritmética. La multiplicación de un número por sí mismo, 5×5, se escribe 52 con el exponente 2. La expresión 5×5×5 se escribe 53, y así sucesivamente. La notación se puede ampliar: por ejemplo, el número 51/2 significa la raíz cuadrada de 5. Potencia e índice son términos equivalentes.
- Fracción. Un número entero dividido por otro, por ejemplo 3/7.
- Fracción de unidad. Fracciones cuya parte superior (el denominador) es igual a 1. Los antiguos egipcios basaban en parte su sistema numérico en fracciones de unidad.
- Geometría. Esta materia, que se ocupa de las propiedades de las líneas, las figuras y los espacios, fue formalizada en los Elementos de Euclides en el siglo m a.C. La geometría domina todas las matemáticas y actualmente ha perdido su significado histórico restringido.
- Hipótesis. Una afirmación provisional que está a la espera de ser demostrada o refutada. Tiene la misma categoría matemática que una conjetura.
- Integración. Una operación básica de cálculo que mide el área. Se puede demostrar que es la operación inversa de la diferenciación.
- Iteración. Empezar con un valor a y repetir una operación se denomina iteración. Por ejemplo, empezando con 3 y sumando repetidamente 5 obtenemos la secuencia iterada 3, 8, 13, 18, 23...
- Lema. Una afirmación demostrada que hace de puente hacia la demostración de un importante teorema.
- Matriz. Una serie de números o símbolos dispuestos en un cuadrado o rectángulo. Las series se pueden sumar y multiplicar entre sí y forman un sistema algebraico.
- Máximo común divisor, mcd. El mcd de dos números es el mayor número por el cual ambos son divisibles exactamente. Por ejemplo, 6 es el mcd de los números 18 y 84.
- Numerador. La parte superior de una fracción. En la fracción 3/7, el número 3 es el numerador.
- Número cuadrado. El resultado de multiplicar un número entero por sí mismo. El número 9 es un número cuadrado porque 9 = 3 x 3. Los números cuadrados son 1, 4,9, 16, 25, 36, 49, 64...
- Número primo. Un número entero que sólo se tiene a sí mismo y a 1 como divisores. Por ejemplo, 7 es un número primo pero 6 no (porque 6 : 2 = 3). Es habitual empezar la secuencia de números primos por el 2.
- Número trascendente. Un número que no puede ser la solución de una ecuación algebraica, como ax2 + bx + c = 0 o uno donde x está elevado a un potencia aún mayor. El número n es un número trascendente.
- Números imaginarios. Los números que implican al «imaginario» i = √- 1. Ayudan a formar los números complejos cuando se combinan con los números normales (o «reales»).
- Números irracionales. Números que no se pueden expresar como una fracción (por ejemplo, la raíz cuadrada de 2).
- Números racionales. Números que son, o bien números enteros, o bien fracciones.
- Poliedro. Una figura sólida con muchas caras. Por ejemplo, un tetraedro tiene cuatro caras triangulares y un cubo tiene seis caras cuadradas.
- Primos gemelos. Dos números primos separados por, como máximo, un número. Por ejemplo, los gemelos 11 y 13. No se sabe si hay una cantidad infinita de estos gemelos.
- Raíz cuadrada. Número que, si se multiplica por sí mismo, es igual a un número determinado. Por ejemplo, 3 es la raíz cuadrada de 9 porque 3×3=9.
- Resto. Si un número entero se divide por otro número entero, el número que sobra es el resto. El número 17 dividido por 3 da 5 con resto 2.
- Sección cónica. El nombre colectivo que se da a la familia clásica de curvas que incluye los círculos, las líneas rectas, las elipses, las parábolas y las hipérbolas. Todas estas curvas se hallan como cortes transversales de un cono.
- Secuencia. Una sucesión (posiblemente infinita) de números o símbolos.
- Serie. Una sucesión (posiblemente infinita) de números o símbolos sumados entre sí.
- Simetría. La regularidad de una figura. Si una figura se puede girar de forma que ocupa su marca original, se dice que tiene simetría rotacional. Una figura tiene simetría especular si su reflejo encaja con su marca original.
- Sistema de valor de posición. La magnitud de un número depende de la posición de sus dígitos. En 73, el valor de posición de 7 significa «7 decenas» y la de 3 significa «3 unidades».
- Sistema hexadecimal. Un sistema numérico de base 16 que se basa en 16 símbolos: 0, 1, 2, 3, 4, 5, 6, 7, 8, 9, A, B, C, D, E, y F. Su uso está muy extendido en la informática.
- Sistema numérico binario. Un sistema numérico basado en dos símbolos, 0 y 1, fundamental para el cálculo informático.
- Solución óptima. Muchos problemas exigen la mejor solución, o la solución óptima. Esta puede ser una solución que minimice el coste o maximice el beneficio, como sucede en la programación lineal.
- Teorema. Término reservado para un hecho establecido de cierta trascendencia.
- Teorema de Pitágoras. Si los lados de un triángulo rectángulo tienen longitudes x, y y z, entonces x2 + y2 = z2 donde z es la longitud del lado más largo (la hipotenusa) que se halla frente al ángulo recto.
- Teoría del caos. La teoría de los sistemas dinámicos que parecen aleatorios pero que tienen una regularidad subyacente.
Notas: